Sandcalculators Septversion
User Manual: Pdf sandcalculatorsSeptversion
Open the PDF directly: View PDF
.
Page Count: 12
Accounting for Trees in Stormwater Models and Calculators
Trees and forests have a natural ability to reduce stormwater runoff. As more and more
communities encourage or even require the use of natural vegetative systems as part of their
stormwater management programs, municipal planners and engineers require technical tools that
allow them to quantify the stormwater benefits of this “green infrastructure” in a way that works
seamlessly with existing models and methods.
This fact sheet summarizes methods and tools to account for the ability of green infrastructure to
reduce runoff and remove pollutants. It is organized into two categories:
1. Methods for incorporating green infrastructure into runoff models
2. Models and calculators for estimating the functions, benefits, and economics of green
infrastructure
1. Methods for Incorporating Green Infrastructure into Runoff Models
Historically, stormwater management has focused on peak runoff rate control, which requires a
site designer to generate a post-development runoff hydrograph and a pre-development runoff
hydrograph and manage the difference between the two.
More recently, site designers have been introduced to water quality control criteria that are
intended to manage the “capture and treat” (e.g. water quality) volume.
Most recently, communities have developed stormwater runoff reduction criteria that specify a
runoff volume that must be “captured and reduced” (e.g., reused, evaporated, utilized by plants,
infiltrated or otherwise retained on site). Green infrastructure practices, such as conservation of
forests, rain gardens and green rooftops, can be used to meet the runoff reduction criteria. A
particular challenge is providing credit for these runoff reduction volumes within rainfall/runoff
models.
In principle, when runoff reduction practices are used to capture and retain or infiltrate runoff,
downstream stormwater management practices should not be required to detain, retain or
otherwise treat the volume that is removed. In other words, runoff reduction should be
accounted for in stormwater runoff computations.
While it is not easy to predict the absolute hydrograph modification provided by reducing
stormwater runoff volumes, it is clear that reducing runoff volumes will have an impact on the
runoff hydrograph of a development site. The challenge facing stormwater managers and site
designers is developing a hydrograph generating technique that provides adequate credit for
stormwater runoff volumes that are reduced on site.
There are a variety of approaches that can be used to adjust the runoff hydrograph to account for
the effect of runoff reduction practices in a site drainage area. In most cases, the “credit”
received is likely dependent on the storm event and development intensity. In order to be useful

to stormwater managers and site designers, the method developed and used must meet a number
of objectives:
1. Field performance – solves real problems (e.g., water quality, channel protection, long
term maintenance/performance)
2. Greater efficiency – does not lead to the overbuilding of stormwater best management
practices (BMPs) (e.g., size or number of practices)
3. Incentivizes runoff reduction and environmental site design – leads to meaningful results
if the designer applies ample effort to use runoff reduction practices
4. Simple – easy to understand & use, fits into spreadsheets and common models (e.g., TR-
55)
5. Allows for a range of practices – broadens the suite of BMPs to use at a site – basins are
not “automatic”
6. Accountability for the local public works staff – provides some assurance that today’s
plan approvals will not equal tomorrow’s drainage complaints
7. Defensible – makes sense with the site hydrology; engineers believe it is realistic and
plausible
8. Accurate – reflects actual site hydrology
9. Adaptable to different pollutants -- Addresses pollutants of concern for different
applications
10. Relevant at the subwatershed scale – Can be tied to stormwater benchmarks for the
subwatershed, such as flow, volume, and pollutant load reduction
The following section describes five approaches, all of which use the USDA Natural Resources
Conservation Service (NRCS) (formerly known as the Soil Conservation Service) unit
hydrograph method (USDA SCS, 1986) as a baseline. For some methods, a post-development
hydrograph without runoff reduction practices is generated for the site, and is then adjusted.
Other methods initially adjust the runoff depth that results from a site with runoff reduction
practices, and then generates a post-development site hydrograph. Each approach is discussed
below.
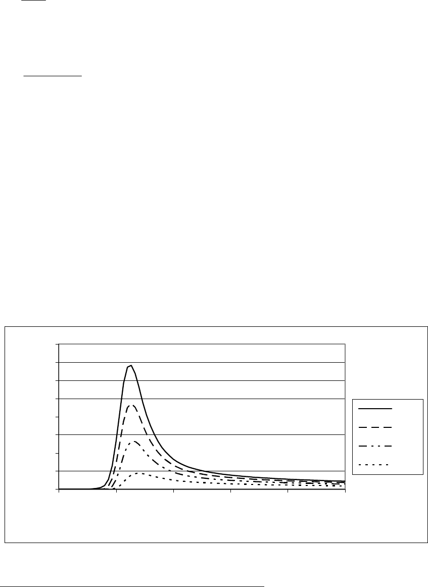
1. Truncated Hydrograph (Volume Diversion)
The truncated hydrograph approach applies runoff reduction in-line at the outlet of a drainage
area. The philosophy behind this approach is that runoff reduction practices will accept and
retain a portion of the initial runoff during a given rain event, which will modify the ultimate
volume of runoff from the site, as well as the shape of the ultimate runoff hydrograph. For this
particular option, a post-development runoff hydrograph for the original site prior to
implementing runoff reduction practices is generated. The volume of runoff reduced by runoff
reduction practices is then subtracted from the rising limb, or front portion, of the hydrograph.
If the amount of runoff reduced is less than the volume up to the hydrograph peak, then no
reduction in the peak flow or time to peak is reflected. As a result, this approach often results in
conservative design estimates of the resulting peak flow, and ultimately gives less credit for
runoff reduction practices.

0.0
0.5
1.0
1.5
2.0
2.5
3.0
3.5
4.0
10 12 14 16 18 20
time (hours)
q (m
3
/s)
0%
25%
50%
75%
Storage as
Percent of
Total Runoff
Graphic source: Paul Koch
2. Hydrograph Scalar Multiplication
Similar to the previous approach, the hydrograph scalar approach begins by generating a post-
development hydrograph for the original site prior to implementing runoff reduction practices.
In this particular approach, the hydrograph is then multiplied by a scalar, which adjusts the
magnitude of the original site hydrograph. The scalar is simply the ratio of runoff generated
from the site with runoff reduction practices to the runoff generated from the original site (with
no runoff reduction practices). The effect of runoff reduction practices is applied over the entire
hydrograph rather than at the beginning. As a result, the degree to which the peak flow rate
would be reduced is decreased, resulting in a conservative peak flow rate estimate, and giving
less credit for runoff reduction practices. Also, no delay in the time to peak is reflected using
this approach.
0.0
0.5
1.0
1.5
2.0
2.5
3.0
3.5
4.0
10 12 14 16 18 20
time (hours)
q (m
3
/s)
0%
25%
50%
75%
Storage as
Percent of
Total Runoff
Graphic source: Paul Koch

3. Precipitation Adjustment- Subtract Retention from Rainfall
This approach adjusts the NRCS runoff depth formula (USDA SCS, 1986) prior to generating a
hydrograph, eliminating the need to develop an original post-development site hydrograph. For
this approach, the amount of runoff reduced is subtracted from the rainfall depth (Equation 1),
and hydrograph calculations are subsequently performed.
()
()
SIRP
IRP
Q
a
a
+−−
−−
=)(
)( 2
(1)
where
P=rainfall depth (in),
R = Reduced Runoff (in),
Q= Runoff (in),
a
I = initial abstraction,
S = potential maximum retention after runoff begins
The problem with this approach is that the volume of runoff reduced is never fully accounted for,
as the change in runoff volume generated will always be less than the amount of runoff reduced.
Further, adjusting the rainfall is not truly representative of what actually occurs over the site, and
no delay in the time to peak is reflected using this approach.
0.0
0.5
1.0
1.5
2.0
2.5
3.0
3.5
4.0
10 12 14 16 18 20
time (hours)
q (m
3
/s)
0%
25%
50%
75%
Storage as
Percent of
Total Runoff
Graphic source: Paul Koch
4. Adjusted CN
The Adjusted CN approach adjusts the NRCS runoff depth formula (USDA SCS, 1986) by
changing the curve number (CN) for the portion of the site draining to runoff reduction practices.
Site runoff is calculated using Equations 2-4. The CN can be adjusted to an improved site
condition; for example, to a meadow in good condition.

10
1000 −= C
N
S (2)
Ia = 0.2S (3)
()
()
SIP
IP
Q
a
a
+−
−
=
2
(4)
where
P=rainfall depth (in),
Q= Runoff (in),
a
I = initial abstraction,
S = potential maximum retention after runoff begins
CN = curve number
This approach reduces the runoff generated from the site and the runoff peak flow rate; however,
no delay in the time to peak is reflected. Further, the effect of runoff reduction is distributed
over the entire course of the storm, as opposed to occurring at the beginning. As a result, the
degree to which the peak flow rate would be reduced is decreased, resulting in a conservative
peak flow rate estimate, and less credit for runoff reduction practices. This method is a plausible
way to reduce volumes and peak rates, and fits into the models that are understood by design
consultants and plan reviewers.
0.0
0.5
1.0
1.5
2.0
2.5
3.0
3.5
4.0
10 12 14 16 18 20
time (hours)
q (m
3
/s)
0%
25%
50%
75%
Storage as
Percent of
Total Runoff
Graphic source: Paul Koch
5. Runoff Adjustment - Subtract Retention from Runoff
The philosophy behind this approach is that runoff reduction practices will accept and retain a
portion of the initial runoff during a given rain event, which will modify the volume of runoff
from the site, as well as the shape of the resulting runoff hydrograph. The runoff adjustment

approach was developed by Koch (2005), and adjusts the NRCS runoff depth formula (USDA
SCS, 1986) prior to generating a hydrograph. The amount of runoff reduced is subtracted from
the calculated site runoff (Equation 5).
In order to generate a site hydrograph for an entire storm event, the storm is divided into discreet
time periods. For each time period, an excess runoff rate is determined based upon watershed
characteristics and the amount of rainfall during that time period. This excess runoff rate is then
translated into a hydrograph. The site hydrograph for the entire storm event is created by
summing each of these hydrographs over the duration of the storm. Instead of making a
subtraction from the site hydrograph, the runoff adjustment approach subtracts each individual
time period hydrograph, until the volume of runoff reduction has been reached.
()
()
R
SIP
IP
Q
a
a−
+−
−
=
2
(5)
where
P=rainfall depth (in),
R = Reduced Runoff (in),
Q= Runoff (in),
a
I = initial abstraction,
S = potential maximum retention after runoff begins
The runoff adjustment approach not only subtracts the runoff reduction volume at the beginning
of the hydrograph, but also tends to reduce the peak flow and extend the time to peak of the site
hydrograph, all of which are expected effects of utilizing runoff reduction practices. This
approach appears to model the actual hydrology of runoff reduction practices most closely, but it
is difficult and time-consuming because subtraction of time period hydrographs requires that the
time period hydrographs be individually calculated throughout a storm event cannot be used to
generate the resulting hydrograph. Existing hydrology programs, such as TR-55 and TR-20, do
not have the capability to subtract individual hydrographs from the site hydrograph and account
for runoff reduction practices in this manner.

0.0
0.5
1.0
1.5
2.0
2.5
3.0
3.5
4.0
10 12 14 16 18 20
time (hours)
q (m
3
/s)
0%
25%
50%
75%
Storage as
Percent of
Total Runoff
Graphic source: Paul Koch
2. Models and Calculators for Estimating the Functions, Benefits, and Economics of Green
Infrastructure
This section describes sixteen models and calculators that are available to account for the
functions, benefits, and economics of green infrastructure. It includes a range of hydrologic and
hydraulic (H&H) models, water quality models, build-out models, and cost-benefit calculators
and tools. Web links are provided for additional information.
"Green Build-Out" Model
Casey Trees and LimnoTech developed a model (based on the STRATUM model) to predict the
stormwater benefits of trees and green roofs for different coverage scenarios in Washington, DC.
The model was applied to an “intensive greening” scenario and a “moderate greening” scenario,
both of which demonstrated that trees and green roofs can be used to achieve substantial
reductions in stormwater runoff and sewage discharges to local rivers. Specific outputs from the
model include city-wide runoff volume reduction, reduction in CSO frequency and discharge,
and the cost savings associated with these environmental benefits.
http://www.caseytrees.org/programs/planning-design/gbo.html
Green Roof Life Cycle Cost-Benefit Calculator
Green Roofs for Healthy Cities developed this calculator to help evaluate various roofing related
investment scenarios. The Tool focuses on long timeframes, real monetary costs and savings, and
financial returns attributed to employing conventional and green (vegetative) roofs. It also
provides some guidance to the users about how to factor in financial information from benefits
that may be overlooked in the analysis. To access the calculator, a free user account must be
created.
http://www.greenroofs.org/index.php?option=com_content&task=view&id=626&Itemid=116

"Green Values" Stormwater Calculator
A calculator developed by the Center for Neighborhood Technology that can be used to estimate
the financial and hydrologic impacts that various green infrastructure technologies can have on a
development site. Specific outputs of the calculator include reduction in peak discharge, average
annual groundwater recharge increase, reduction in total detention required and costs associated
with green infrastructure versus conventional practices. http://greenvalues.cnt.org/calculator
Hydrological Simulation Program – FORTRAN (HSPF)
EPA’s FORTRAN (HSPF) is a comprehensive package for simulation of watershed hydrology
and water quality for both conventional and toxic organic pollutants. This model can simulate the
hydrologic, and associated water quality, processes on pervious and impervious land surfaces
and in streams and well-mixed impoundments. It is the only comprehensive model of watershed
hydrology and water quality that allows the integrated simulation of land and soil contaminant
runoff processes with in-stream hydraulic and sediment-chemical interactions. The result of this
simulation is a time history of the runoff flow rate, sediment load, and nutrient and pesticide
concentrations, along with a time history of water quantity and quality at any point in a
watershed. HSPF simulates three sediment types (sand, silt and clay) in addition to a single
organic chemical and transformation products of that chemical. Analysis of stormwater treatment
using HSPF can be cumbersome. http://www.epa.gov/ceampubl/swater/hspf/
Long-Term Hydrologic Impact Assessment Model (L-THIA)
The Local Government Environmental Assistance Network's Long-Term Hydrologic Impact
Assessment (L-THIA) model was developed as an accessible online tool to assess the water
quality impacts of land use change. Based on community-specific climate data, L-THIA
estimates changes in recharge, runoff, and nonpoint source pollution resulting from past or
proposed development. Inputs include land use/cover, soils, and runoff event mean
concentrations. The model allows the user to modify inputs of impervious cover, forest and open
space to reflect the use of green infrastructure practices. As a quick and easy-to-use approach, L-
THIA's results can be used to generate community awareness of potential long-term problems
and to support planning aimed at minimizing disturbance of critical areas.
http://www.ecn.purdue.edu/runoff/lthianew/
Low Impact Development Rapid Assessment (LIDRA) of Cost-Effectiveness for CSO Control
This paper presents a simple model for assessing the cost-effectiveness of investments in green
infrastructure (GI) techniques, including green roofs, porous pavement and stormwater wetlands,
for reducing combined sewer overflows (CSOs) in urban watersheds. The LIDRA model can be
used as a policy-planning tool to compare GI introduced alone or in conjunction with traditional
stormwater management techniques, to conventional approaches focusing wholly on centralized
infrastructure. The potential reduction in CSOs resulting from various levels of GI adoption is
simulated using a modified Rational Method. A life-cycle cost analysis is used to compare GI
with other alternatives. The model assesses GI effectiveness in terms of estimated change in
annual CSO hours (an hour during which a CSO event occurs) resulting from GI installation.
http://www.nyc.gov/html/planyc2030/downloads/pdf/water_quality_bmp_study.pdf

Pollutant Load and Reduction Model
Comprehensive Environmental Inc. has developed a Pollutant Load and Reduction Model that
can be helpful to a variety of users including watershed groups, municipal land use decision-
makers, and engineers. The simple spreadsheet model allows the user to determine how different
types of green infrastructure (GI) techniques, including stormwater wetlands, ponds, infiltration
facilities, rain gardens and swales, can reduce the pollutant loads in a given watershed. Model
inputs include land use, annual rainfall, road sanding information and BMP information.
Impervious cover inputs are based on land use type but can be changed manually to account for
GI practices that reduce impervious cover or conserve natural areas, if desired. Outputs include
annual loads of TSS, TP and TN and the amount reduced by using GI techniques.
http://www.nsrwa.org/programs/low_impact_development.asp
Program for Predicting Polluting Particle Passage through Pits, Puddles, and Ponds (P8)
P8 is a model for predicting the generation and transport of stormwater pollutants in urban
watersheds. Continuous water balance and mass balance calculations are performed on a user-
defined system consisting of watersheds (divided into pervious and impervious areas), devices
(buffer strips, swales, ponds, infiltration basins, pipes, flow splitters and aquifers), particle
classes, and water quality components. Simulations are driven by continuous hourly rainfall and
daily air temperature time series data. The model simulates pollutant transport and removal in a
variety of devices, some of which are green infrastructure practices. Water quality components
include total suspended solids, total phosphorus, total Kjeldahl nitrogen, copper, lead, zinc, and
hydrocarbons. Outputs for each device include such factors as removal efficiency, flow, loads
and concentrations, water and mass balance, and sediment accumulation rates.
http://www.epa.gov/ORD/NRMRL/pubs/600r05149/600r05149p8ucm.pdf
RECARGA
The University of Wisconsin developed RECARGA as a design tool for evaluating the
performance of bioretention facilities, raingardens, and infiltrations basins. Individual BMPs,
with up to 3 distinct soil layers and optional underdrains, can be modeled under user-specified
precipitation and evaporation conditions. The results of this model can be used to properly size
BMPs to meet specific performance objectives, such as reducing runoff volume or increasing
groundwater recharge, and for analyzing the potential impacts of varying the design parameters.
http://dnr.wi.gov/runoff/stormwater/technote.htm
Site Evaluation Tool (SET)
SET was developed by the Upper Neuse River Basin Association and Tetra Tech Inc. to help
assess the environmental impacts and costs of a site's stormwater management design. The SET
is designed primarily for local government site review planners, professional developers, and
stormwater engineers, but it is useful for anyone with an interest in reducing stormwater runoff
impacts. The model predicts total annual stormwater volume and total annual TSS, TP and TN,
as well as costs associated with each scenario. Although the model was developed for the Upper
Neuse River Basin, it is applicable to the entire Piedmont region. The model includes a wide
range of green infrastructure practices, such as green roofs, permeable pavement, ponds,
wetlands, rain barrels/cisterns, bioretention, and forest buffers.
http://www.unrba.org/set/index.shtml

Stormwater Management Model (SWMM)
EPA’s SWMM is a dynamic rainfall-runoff simulation model used for single event or long-term
(continuous) simulation of runoff quantity and quality from primarily urban areas. SWMM was
first developed in 1971, and has since undergone several major upgrades since then. It continues
to be widely used throughout the world for planning, analysis and design related to stormwater
runoff, combined sewers, sanitary sewers, and other drainage systems in urban areas, with many
applications in non-urban areas as well. http://www.epa.gov/ednnrmrl/models/swmm/index.htm
Source Loading and Management Model (SLAMM)
SLAMM was originally developed by USGS to better understand the relationships between
sources of urban runoff pollutants and runoff quality. It has been continually expanded since the
late 1970s and now includes a wide variety of green infrastructure practices and other pollution
controls (infiltration practices, wet detention ponds, porous pavement, street cleaning, catchbasin
cleaning, and grass swales). SLAMM is strongly based on actual field observations, with
minimal reliance on theoretical processes that have not been adequately documented or
confirmed in the field. SLAMM incorporates unique process descriptions to more accurately
predict the sources of runoff pollutants and flows for the storms of most interest in stormwater
quality analyses. SLAMM calculates mass balances for both particulate and dissolved pollutants
and runoff flow volumes for different development characteristics and rainfalls. Its primary
capabilities include predicting flow and pollutant discharges that reflect a broad variety of
development conditions and the use of many combinations of common urban runoff control
practices. http://wi.water.usgs.gov/slamm/
Street Tree Management Tool for Urban forest Managers (STRATUM)
STRATUM is a street tree management and analysis tool developed by the Center for Urban
Forest Research for urban forest managers that uses tree inventory data to quantify the dollar
value of annual environmental and aesthetic benefits: energy conservation, air quality
improvement, CO2 reduction, stormwater control, and property value increase. STRATUM
quantifies the stormwater volume reduction benefits of trees based on canopy interception. It is
an easy-to-use, computer-based program that allows any community to conduct and analyze a
street tree inventory. Baseline data can be used to effectively manage the resource, develop
policy and set priorities. Using a sample or an existing inventory of street trees, this software
allows managers to evaluate current benefits, costs, and management needs.
http://www.itreetools.org/street_trees/introduction_step1.shtm
Urban Forest Effects Model (UFORE)
The Urban Forest Effects Model (UFORE) is a computer model that calculates the structure,
environmental effects and values of urban forests. The UFORE model was developed by
researchers at the USDA Forest Service, Northeastern Research Station in Syracuse, NY. The
current version was designed only to incorporate data on urban forest structure and carbon
storage, and sequestration. This programs aids in urban forest assessments and sampling,
including assessments for exotic pest infestations and urban forest effects on carbon dioxide, the
dominant greenhouse gas.” One component of the model still under development, UFORE-
Hydro, is designed to evaluate at the watershed scale, how changes in impervious surface and
tree canopy (and some additional variables) affect 1) the total volume of runoff, 2) the peak

storm event volume and duration of peak, 3) stream baseflow, 4) the total annual pollutant
loading and 5) the mean event pollution load. These factors are determined based on the canopy
interception, infiltration and evapotranspiration provided by individual trees and forest patches.
http://www.ufore.org
Water Balance Model (WBM)
The Water Balance Model (WBM) powered by QUALHYMO is a public domain, on-line
decision support and scenario modeling tool for promoting rainwater management and stream
health protection through implementation of "green" development practices. The appeal and the
strength of the tool is that it is evolving to meet the "needs and wants" of participating agencies.
The British Columbia Inter-Governmental Partnership developed the WBM in 2003.
Initially, the WBM was a planning tool that had a site focus. It enabled users to evaluate the
effectiveness of source controls --- such as absorbent landscaping, infiltration facilities, green
roofs, and rainwater harvesting --- in achieving performance targets for rainwater volume capture
and runoff rate control under various combinations of land use, soil and climate conditions.
The WBM has since been integrated with QUALHYMO, a rainfall-runoff simulation tool, to
provide drainage engineers with a suite of analytical capabilities, from site to watershed. The
over-arching goal in integrating these tools is to help local governments achieve desired urban
stream health and environmental protection outcomes at a watershed scale.
http://www.waterbalance.ca/
Watershed Treatment Model (WTM)
Developed by the Center for Watershed Protection, the Watershed Treatment Model (WTM) is a
simple spreadsheet model that tracks pollutant sources and the effectiveness of various watershed
treatment options in urban and urbanizing watersheds. A wide range of treatment options,
including green infrastructure practices, are contained in the WTM (e.g., impervious cover
disconnection, riparian buffers, ponds, wetlands, swales and filters). The WTM can be used to
develop TMDLs for nutrients or sediment; direct bacteria detective work in urbanized
watersheds; determine the effectiveness of watershed education programs; and target the future
program in a Phase II community. Specific outputs of the WTM include total loads of sediment,
nutrients and bacteria from a given watershed. The WTM is currently being revised to provide
estimates of runoff reduction associated with various watershed treatment options.
www.cwp.org
References
Koch, P.R. 2005. A Milwaukee Model for LID Hydrologic Analysis. In Managing Watersheds
for Human and Natural Impacts Part of Engineering, Ecological, and Economic Challenges,
Watershed 2005, Glenn E. Moglen, Editor, July 19–22, 2005 , Williamsburg, Virginia.
American Society of Civil Engineers. Reston, VA.
U.S. Department of Agriculture (USDA) Soil Conservation Service (SCS). (1986). Technical
Release 55: Urban Hydrology for Small Watersheds. Second Edition. USDA SCS, Washington,
DC.

Developed by the Center for Watershed Protection, 8390 Main Street, 2nd Floor, Ellicott City,
MD 21043