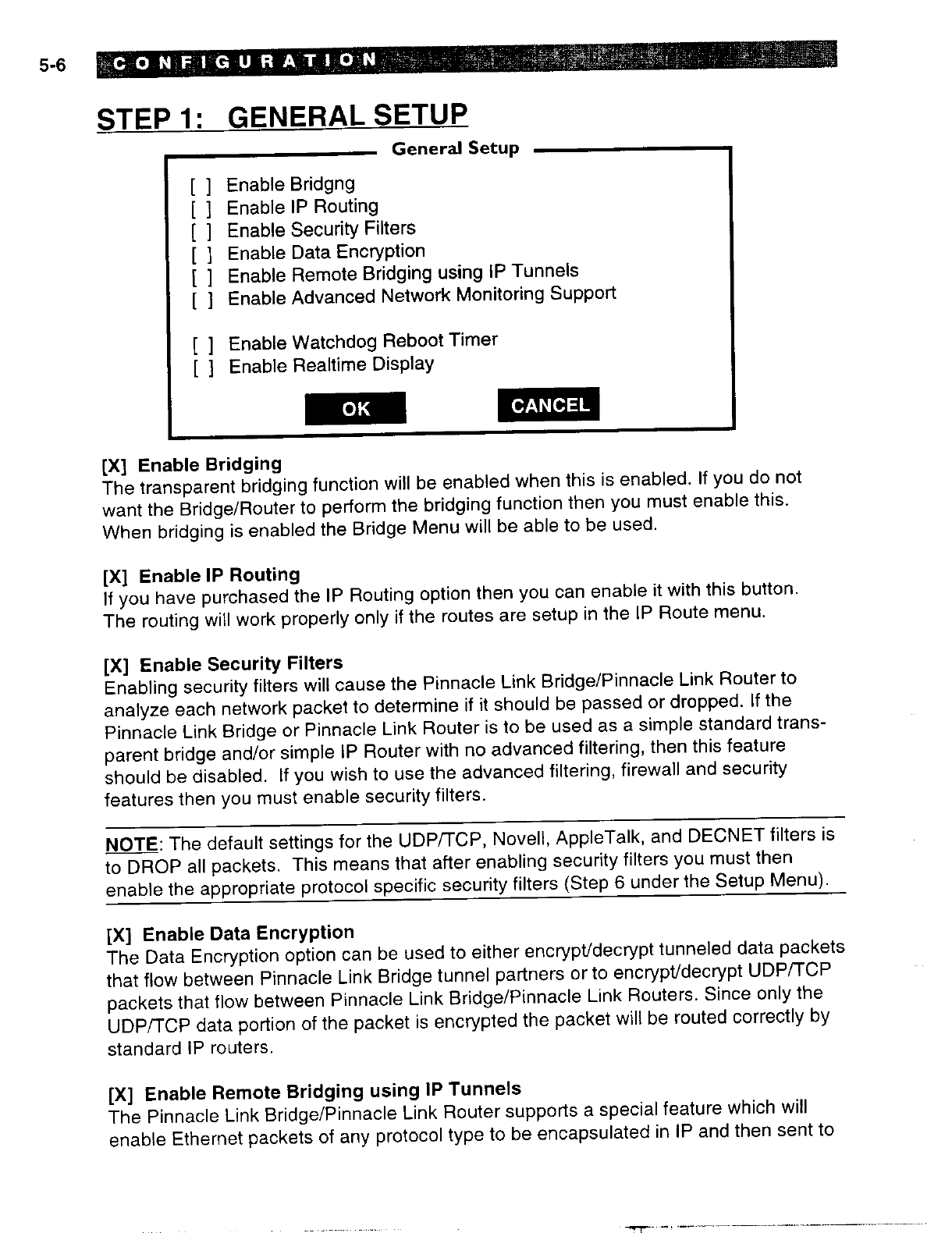
Pinnacle Communications EIPRTR Wireless Bridge/Router User Manual blank
Pinnacle Communications Inc Wireless Bridge/Router blank
UserManual.wiki
>
Pinnacle Communications
>
EIPRTR User Manual
>
EIPRTR 8b HTML Version
Contents
1.
8
2.
8a
3.
8b
8b
Navigation menu
Upload a User Manual
Namespaces
Wiki Guide
HTML
PDF
Info
Views
User Manual
Discussion / Help
Navigation