Poulan Pro Pc1538D Users Manual
POULAN Lawn, Tractor Manual L0310503 POULAN Lawn, Tractor Owner's Manual, POULAN Lawn, Tractor installation guides
!! Poulan-60 Poulan Lawn Mower Manuals - Lawn Mower Manuals – The Best Lawn Mower Manuals Collection
2015-02-06
: Poulan-Pro Poulan-Pro-Pc1538D-Users-Manual-519940 poulan-pro-pc1538d-users-manual-519940 poulan-pro pdf
Open the PDF directly: View PDF
.
Page Count: 44

i
OWNER'S MANUAL
MODEL NO. PC1538D
15 HP 38 Inch
LawnTractor
Assembly
• Operation
•Maintenance
•Service and Adjustments
•Storage
• Troubleshooting
•Repair Parts
For Parts and Service, contact our authorized distributor: call 1-800-849-1297
For Technical Assistance: call 1-800-829-5886
|
Poulan
187581 3.5.03 MH
PRINTED IN U.S.A.

SAFETY RULES
_i SAFE OPERATION PRACTICES FOR RIDE-ON MOWERS ,_
IMPORTANT: THIS CUTTING"I_ACHINE IS CAPABLE OF AMPUTATINGHANDSAND FEET AND T!_=_/VlNG OBJECTS. FAILURE
TO OBSERVE THE FOLLOWINGSAFETY INSTRUCTIONS COULD RESULTIN SERIOUS INJURYOR DEATH.
I. GENERAL OPERATION
Read, understand, and follow all instructions in the
manual and on the machine before starting.
Only allow responsible adults, who are familiar with the
instructions, to operate the machine.
•Clear the area of objects such as rocks, toys, wire, etc.,
which could be picked up and thrown by the blade.
•Be sure the area is clear of other people before mow-
ing. Stop machine if anyone enters the area.
Never carry passengers.
• Do not mow in reverse unless absolutely necessary.
Always look down and behind before and while back-
ing.
• Be aware of the mower discharge direction and do not
point it at anyone. Do not operate the mower without
either the entire grass catcher or the guard in place.
• Slow down before turning.
• Never leave a running machine unattended. Always
turn off blades, set parking brake, stop engine, and
remove keys before dismounting.
Turn off blades when not mowing.
• Stop engine before removing grass catcher or un-
clogging chute.
•Mow only in daylight or good artificial light.
• Do not operate the machine while under the influence
of alcohol or drugs.
•Watch for traffic when operating near or crossing road-
ways.
• Use extra care when loading or unloading the machine
into a trailer or truck.
• Data indicates that operators, age 60 years and above,
are involved in a large percentage of riding mower-re-
lated injuries. These operators should evaluate their
ability to operate the riding mower safely enough to
protect themselves and others from serious injury.
• Keep machine free of grass, leaves or other debris
build-up which can touch hot exhaust /engine parts
and burn. Do not allow the mower deck to plow leaves
or other debris which can cause build-up to occur.
Clean any oil or fuel spillage before operating or
storing the machine. Allow machine to cool before
storage.
II. SLOPE OPERATION
Slopes are amajor factor related to loss-of-controland tipover
accidents,which can resultinsevere injuryor death. Allslopes
requireextra caution. If youcannotback upthe slopeor if you
feel uneasyon it, donot mowit.
DO:
•Mow up and down slopes, not across.
•Remove obstacles such as rocks, tree limbs, etc.
•Watch for holes, ruts, or bumps. Uneven terrain could
overturn the machine. Tall grass can hide obstacles.
Use slow speed. Choose a low gear so that you will
not have to stop or shift while on the slope.
Follow the manufacturer's recommendations for wheel
weights or countenNeights to improve stability.
•Use extre care withgress catchersorother attachments.
These can change the stability of the machine.
•Keep all movement on the slopes slow and gradual
Do not make sudden changes in speed or direction.
•Avoid starting or stopping on aslope. Iftireslosetrac-
tion, disengage the blades and proceed slowly straight
down the slope.
DO NOT:
•Do not turn on slopes unless necessary, and then,
turn slowly and gradually downhill, if possible.
•Do not mow near drop-offs, ditches, or embankments.
The mower could suddenly turn over if a wheel is over
the edge of a cliff or ditch, or if an edge caves in.
•Do not mow on wet grass. Reduced traction could
cause sliding.
•Do net try to stabilize the machine by putting your foot
on the ground.
Do not use grass catcher on steep slopes.
IlL CHILDREN
Tragic accidents can occur if the operator is not alert to
the presence of children. Children are often attracted to
the machine and the mowing activity. Never assume that
childrenwill remain where you last saw them.
•Keep children out of the mowing area and under the
watchfulcare of another responsible adult.
Be alert and turn machine off if children enter the
area.
•Before and when backing, look behind and down for
small children.
•Nevercarry children. They may fall off and be seriously
injuredor interfere with safe machine operation.
•Never allow children to operate the machine.
Useextra care when approachingblind corners, sh rubs,
trees, or other objects that may obscure vision.
IV. SERVICE
•Use extra care in handling gasoline and other fuels,
They are flammable and vapors are explosive.
- Use only an approved container.
-Never remove gas cap or add fuel with the engine
running. Allow engine to cool before refueling. Do
not smoke.
- Never refuel the machine indoors.
- Neverstore the machine or fuelcontainer inside where
there is an open flame, such as a water heater.
• Never run a machine inside a closed area.
• Keep nuts and bolts, especially blade attachment bolts,
tight and keep equipment in good condition.
• Never tamper with safety devices. Check their proper
operation regularly.
Keep machine free of grass, leaves, or other debris
build-up. Clean oil or fuel spillage. Allow machine to
cool before storing.
• Stop and inspect the equipment if you strike an object.
Repair, if necessary, before restarting.
• Never make adjustments or repairs with the engine
running.
Grass catcher components are subject to wear, dam-
age, and deterioration, which could expose moving
parts or allow objects to be thrown. Frequently check
components and replace with manufacturer's recom-
mended parts, when necessary.
• Mower blades are sharp and can cut. Wrap the blade(s)
or wear gloves, and use extra caution when servicing
them.
• Check brake operation frequently. Adjust and service
as required.
2

SAFETY RULES
Asafe Operation Practices for Ride-On Mowers A
Be sure the area is clear of other people before mowing.
Stop machine if anyone enters the area.
Never carry passengers or children even with the blades
off.
Do not mow in reverse unless absolutely necessary. Always
look down and behind before and while backing.
Never carry children. They may fall off and be seriously
injured or interfere with safe machine operation.
• Keep children out ofthe mowing area and under the watchful
care of another responsible adult.
Be alert and turn machine off if children enter the area.
Before and when backing, look behind and down for small
children.
,, Mow up and down slopes (15 °Max), not across.
•Remove obstacles such as rocks, tree limbs, etc.
Watch for holes, ruts, or bumps. Uneven terrain could over-
turn the machine. Tall grass can hide obstacles.
• Use slow speed. Choose a low gear so that you will not
have to stop or shift while on the slope.
Avoid starting or stopping on a slope. If tires lose traction,
disengage the blades and proceed slowly straight down the
slope.
• If machine stops while going uphill, disengage blades, shift
into reverse and back down slowly.
Do not turn on slopes unless necessary, and then, turn
slowly and gradually downhill, if possible.
AWARNING: In order to prevent ac-
cidental starting when setting up,
transporting, adjusting or making
repairs, always disconnect spark
plug wire and place wire where it
cannot contact spark plug.
A WARNING: Do not coast down ahill
in neutral, you may lose control of
the tractor.
AWARNING: Tow only the attach-
ments that are recommended by
and comply with specifications of
the manufacturer of your tractor.
Use common sense when towing.
Operate only at the lowest possible
speed when on a slope. Too heavy
of a load, while on a slope, is dan-
gerous. Tires can lose traction with
the ground and cause you to lose
control of your tractor.
A WARNING A
Engine exhaust, some of its constituents, and cer-
tain vehicle components contain or emit chemicals
known to the State of California to cause cancer and
birth defects or other reproductive harm.
A WARNING A
Battery posts, terminals and related accessories
contain lead and lead compounds,chemicals known
to the State of California to cause cancer and birth
defects or other reproductive harm. Wash hands
after handling.
3

PRODUCT SPECIFICATIONS
GASOLINE CAPACITY 1.25 GALLONS
AND TYPE: UNLEADED REGULAR
OIL TYPE (API-SF-SJ): SAE 30 (above 32°F)
SAE 5W-30 (below 32°F)
OIL CAPACITY: W/Filter 3.5 Pints
W/O Filter 3.0 Pints
SPARK PLUG: CHAMPION RC12YC
(GAP: ,030")
GROUND SPEED (MPH):
TIRE PRESSURE:
CHARGING SYSTEM:
BA'FrERY:
FORWARD:
1st 1.1
2nd 2.2
3rd 3,4
4th 4.3
5th 5.5
REVERSE: 1.7
FRONT: 14 PSI
REAR: 12 PSI
3 AMPS BATTERY
5 AMPS HEADLIGHTS
AMP/HR: 28
MIN. CCA: 230
CASE SIZE: U1R
CONGRATULATIONS on your purchase of a new tractor.
Ithas been designed, engineered and manufactured to give
you the best possible dependability and performance.
Should youexperience any problem youcannot easily rem-
edy, please contact your nearest authorized service center/
department. We have competent, well-trained technicians
and the proper tools to service or repair this tractor.
Please read and retain this manual. The instructions will
enable youto assemble and maintain yourtractor properly.
Always observe the "SAFETY RULES".
CUSTOMER RESPONSIBILITIES
Read and observe the safety rules.
Follow a regular schedule in maintaining, caring for
and using your tractor.
Follow the instructions under "Maintenance" and
"Storage" sections of this owner's manual.
WARNING: This tractor is equipped with an internal com-
bustion engine and should not be used on or near any
unimproved forest-covered, brush-covered or grass-covered
land unless the engine's exhaust system is equipped with
a spark arrester meeting applicable local or state laws (if
any). If a spark arrester is used, it should be maintained
in effective working order by the operator.
A spark arrester for the muffler is available through your
nearestauthorizedservicecenter/department (See REPAIR
PARTS section of this manual).
TABLE OF CONTENTS
SAFETY RULES ......................................................... 2-3
PRODUCT SPECIFICATIONS ....................................... 4
CUSTOMER RESPONSIBILITIES ................................. 4
ASSEMBLY ................................................................. 6-8
OPERATION ............................................................. 9-13
MAINTENANCE SCHEDULE ...................................... 14
MAINTENANCE ..................................................... 14-18
SERVICE AND ADJUSTMENTS ............................ 19-23
STORAGE .................................................................... 24
TROUBLESHOOTING ............................................ 25-26
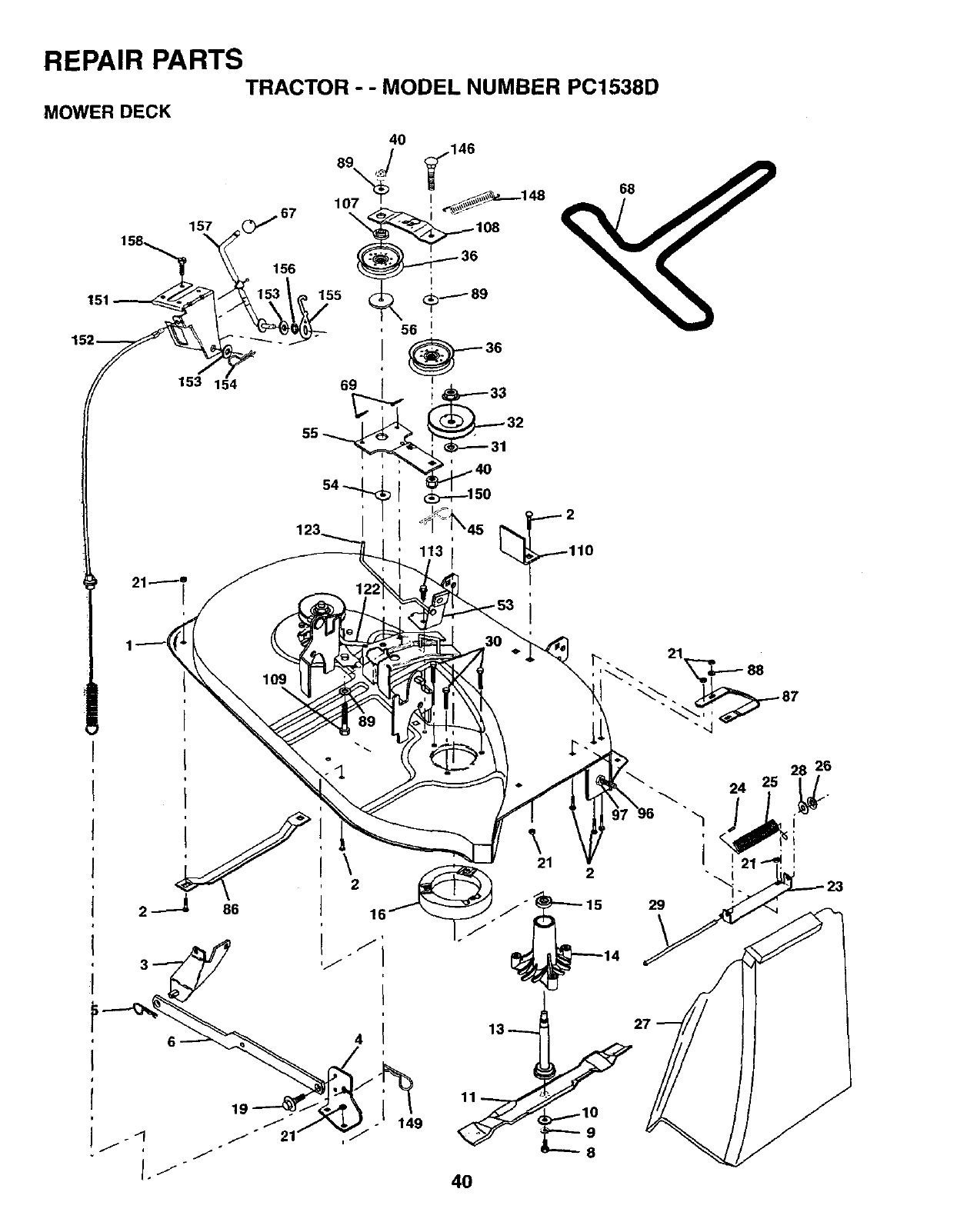
REPAIR PARTS ...................................................... 28-43
WARRANTY ................................................................. 45
4

UNASSEMBLED PARTS
Steering Wheel
Steering Wheel
Insert
Steering Wheel
Adapter
Steering
Extension
Shaft
(1) Large Flat Washer
(1) Hex Bolt 1/4-28 x 1-1/4
Steering
Boot
(1) Locknut 1/2-20
®
(1) Locknut 1/4-28
Seat
(1) Washer
17/32 x 1-3/16 x 12 Gauge
(1) Lock
Washer 1/2
(1) Bolt
(1) Oil Drain Tube
For Future Use
Keys
2) Keys
Slope Sheet
5

ASSEMBLY
Your new tractor has been assembled at the factory with exception of those parts left unassembled for shipping purposes.
To ensure safe and proper operation of your tractor all parts and hardware you assemble must be tightened securely. Use
the correct tools as necessary to insure proper tightness.
TOOLS REQUIRED FOR ASSEMBLY
A socket wrench set will make assembly easier. Standard
wrench sizes are listed.
(2) 1/2" wrenches Pliers
(1) 9/16" wrench Tire pressure gauge
Utility knife
When right or left hand is mentioned in this manual, it means
when you are in the operating position (seated behind the
steering wheel).
TO REMOVE TRACTOR FROM
CARTON
UNPACK CARTON
•Remove all accessible loose parts and parts cartons
from carton.
• Cut along dotted lines on all four panels of carton.
Remove end panels and lay side panels flat.
•Check for any additional loose parts or cartons and
remove.
BEFORE REMOVING TRACTOR FROM
SKID
A'n'ACH STEERING WHEEL (See Fig. 1)
ASSEMBLE EXTENSION SHAFT AND BOOT
•Slide extension shaft onto lower steering shaft. Align
mounting holes inextension and Iowershafts and install
1/4 hex bolt and Iocknut. Tighten securely.
IMPORTANT:TIGHTEN BOLTAND NUT SECURELYTO 10-12
FT.LBS TORQUE.
• Place tabs of steering boot over tab slots in dash and
push down to secure.
INSTALL STEERING WHEEL
• Position front wheels of the tractor so they are pointing
straight forward.
• Remove steering wheel adapter from steering wheel
and slide adapter onto steering shaft extension.
• Position steering wheel so cross bars are horizontal
(left to right) and slide inside boot and onto adapter.
• Assemble large flat washer, 1/2 hex nut and tighten
securely.
Snap steering wheel insert into center of steering
wheel.
• Remove protective materials from tractor hood and
grill.
IMPORTANT: CHECK FOR AND REMOVE ANY STAPLES
IN SKID THAT MAY PUNCTURE TIRES WHERE TRACTOR
IS TO ROLL OFF SKID.
STEERING _/
WHEEL
ADAPTER ---___.__.._..._
WASHER
STEERING
BOOT
_i_ TABS
EXTENSION SHAFT
1/4 HEX BOLT
114 LOCKNUT "." _
LOWER
STEERING
SHAFT
FIG. 1
6

ASSEMBLY
HOW TO SET UP YOUR TRACTOR
INSTALL SEAT (See Fig. 2)
Adjust seat before tightening adjustment bolt.
•Remove adjustment bolt, lock washer and flat washer
securing seat to cardboard packing and set aside for
assembly of seat to tractor.
• Pivot seat upward and remove fromthecardboard pack-
ing. Remove the cardboard packing and discard.
• Place seat on seat pan so head of shoulder bolt is
positioned over large slotted hole in pan.
• Push down on seat to engage shoulder bolt in slot and
pull seat towards rear of tractor.
• Pivot seat and pan forward and assemble adjust-
ment bolt, Iockwasher and flat washer loosely. Do not
tighten
Lower seat into operating position and sit on seat.
• Slide seat until a comfortable position is reached
which allows you to press clutch/brake pedal all the
way down.
• Get off seat without moving its adjusted position.
• Raise seat and tighten adjustment bolt securely.
SHOULDER
BOLT
FLAT WASHER
LOCKWASHER-_
ADJUSTMENT
BOLT
FIG. 2
CHECK BATTERY (See Fig. 3)
•Lift seat pan to raised position.
• If this battery is put into service after month and year
indicated on label (label located between terminals)
charge battery for minimum of one hour at 6-10 amps.
(See "BA]-I-ERY" in the Maintenance section of this
manual for charging instructions).
SEAT PAN
LABEL
FIG. 3
NOTE: You may now roll or drive your tractor off the skid.
Follow the appropriate instruction below to remove the
tractor from the skid.
TO ROLL TRACTOR OFF SKID (See
Operation section for location and function
of controls)
• Press lift lever plunger and raise attachment lift lever
to its highest position.
• Release parking brake by depressing clutch/brake
pedal.
• Place gearshift lever in neutral (N) position.
• Roll tractor forward off skid.
• Remove banding holding deflector shield up against
tractor.
TO DRIVE TRACTOR OFF SKID (See Op-
eration section ,for location and function of
controls)
AWARNING: Before starting, read, understand and follow
all instructionsin the Operation section of this manual. Be
sure tractor is ina well-ventilated area. Be sure the area in
front of tractor is clear of other people and objects.
•Be sure all the above assembly steps have been com-
pleted.
•Check engine oil level and fill fuel tank with gasoline.
•Sit on seat inoperating position, depress clutch/brake
pedal and set the parking brake.
•Place gear shift lever in neutral (N) position.
• Press lift lever plunger and raise attachment lift lever
to its highest position.
• Start the engine.After engine has started, move th rottle
control to idle position.
• Depress clutch/brake pedal into full "BRAKE" position
and hold. Move gearshift lever to 1st gear.
• Slowly release clutch/brake pedal and slowly drive
tractor off skid.
• Apply brake to stop tractor, set parking brake and place
gearshift lever in neutral position.
• Turn ignition key to "OFF" position.
Continue with the instructions that follow.
7

ASSEMBLY
CHECK TIRE PRESSURE
The tires on your tractor were overinflated at the factory
for shipping purposes. Correct tire pressure is important
for best cutting performance.
• Reduce tire pressure to PSI shown in "PRODUCT
SPECIFICATIONS" section of this manual.
CHECK DECK LEVELNESS
For best cutting results, mower housing should be properly
leveled. See'`TO LEVEL MOWER HOUSING"in the Service
and Adjustments section of this manual.
CHECK FOR PROPER POSITION OF ALL
BELTS
See the figures that are shown for replacing motion and
mower blade drive belts in the Service and Adjustments
section of this manual. Verify that the belts are routed
correctly.
CHECK BRAKE SYSTEM
Afteryou learn how to operate your tractor,check to see that
the brake is properly adjusted. See "TO ADJUST BRAKE"
in the Service and Adjustments section of this manual.
,/CHECKLIST
BEFORE YOU OPERATE AND ENJOYYOUR NEW TRAC-
TOR, WE WISH TO ASSURE THAT YOU RECEIVE THE
BESTPERFORMANCEAND SATISFACTIONFROMTHIS
QUALITY PRODUCT.
PLEASE REVIEW THE FOLLOWING CHECKLIST"
,/ All assembly instructions have been completed.
,/ No remaining loose parts in carton.
,/ Battery is properly prepared and charged. (Minimum
1 hour at 6 amps).
•/ Seat is adjusted comfortably and tightened securely.
,/ All tires are properly inflated. (For shipping purposes,
the tires were overinflated at the factory).
,/ Be sure mower deck is properly leveled side-to-side/
front-to-rear for best cutting results. (Tires must be
properly inflated for leveling).
,/ Check mower and drive belts. Be sure they are routed
properly around pulleys and inside all belt keepers.
,/ Check wiring. See that all connections are still secure
and wires are properly clamped.
WHILE LEARNING HOW TO USE YOUR TRACTOR, PAY
EXTRA ATTENTION TO THE FOLLOWING IMPORTANT
ITEMS:
•/Engine oil is at proper level.
,/ Fuel tank is filled with fresh, clean, regular unleaded
gasoline.
,/ Become familiar with all controls - their location and
function. Operate them before you start the engine.
,/ Be sure brake system is in safe operating condition.
8

OPERATION
These symbols may appear on your tractor or in literature supplied with the product. Learn and understand their meaning.
R N H L Ikl
REVERSE NEUTRAL HIGH LOW CHOKE FAST SLOW IGNITION
ENGINE OFF LIGHTS ON ENGINE ON ENGINE START PARKING BRAKE PARKING BRAKE PARKING BRAKE
LOCKED UNLOCKED
Ol ,= I
OVER TEMP FUEL OIL PRESSURE BA'I-I'ERY REVERSE FORWARD MOWER HEIGHT MOWER LIFT
LIGHT
ATTACHMENT ATTACHMENT
CLUTCH ENGAGED CLUTCH DISENGAGED
FREE WHEEL
(Automatic Models only)
Failure to follow instructions
could result in serious injury or
death. The safety alert symbol
is used to identify safety inform-
ation about hazards which can
result in death, serious injury
and/or property damage.
DANGER, KEEP HANDS
AND FEET AWAY
KEEP AREA CLEAR SLOPE HAZARDS
(SEE SAFETY RULES SECTION)
&
&
&
DANGER indicates a hazard which, if not avoided,
will result in death or serious injury.
WARNING indicates a hazard which, if not avoided,
could result in death or serious injury.
CAUTION indicates ahazard which, if not avoided,
might result in minor or moderate injury.
CAUTION when used without the alert symbol,
indicates a situation that could result in damage
to the tractor and/or engine.
HOT SURFACES indicates a hazard which,
,.j_t_,l,.. if not avoided, could result in death, serious injury
and/or property damage,
FIRE indicates a hazard which, if not avoided,
could result in death, serious injury and/or
property damage.
9

OPERATION
KNOW YOUR TRACTOR
READ THIS OWNER'S MANUAL AND SAFETY RULES BEFORE OPERATING YOUR TRACTOR
Compare the illustrations with your tractor to familiarize yourself with the locations of various controls and adjustments.
Save this manual for future reference.
ATTACHMENT IGNmON UGHT SWITCH
CLUTCH LEVER SWITCH POSITION
THROTTL_CHOKE
CONTROL_
PLUNGER
,,, 'ATTACHMENT
LIFT LEVER
CLUTCH/BRAKE
PEDAL MOWER DECK
•HEIGHT ADJUSTMENT
POSITIONS
PARKING
BRAKE
GEARSHIFT
LEVER
FIG. 4
Our tractors conform to the safety standards of the American National Standards Institute.
ATTACHMENT CLUTCH LEVER: Used to engage the
mower blades, or other attachments mounted to your
tractor.
UGHT SWITCH POSITION: Turns the headlights on and
off.
THROTTLE/CHOKE CONTROL: Used for starting and
controlling engine speed.
CLUTCH/BRAKE PEDAL: Used for declutching and brak-
ing the tractor and starting the engine.
PARKING BRAKE: Locksclutch/brake pedal intothe brake
position.
GEARSHIFT LEVER: Selects the speed and direction
of tractor.
ATTACHMENT UFT LEVER: Used to raise, lower, and
adjust the mower deck or other attachments mounted to
yourtractor.
LIFT LEVER PLUNGER: Used to release attachment lift
leverwhen changing its position.
IGNITION SWITCH: Used for starting and stopping the
engine.
10

OPERATION
The operation of any tractor can result in foreign objects thrown into the eyes, which
can result in severe eye damage. Always wear safety glasses or eye shields while op-
erating your tractor or performing any adjustments or repairs. We recommend a wide
vision safety mask over spectacles or standard safety glasses.
HOW TO USE YOUR TRACTOR
TO SET PARKING BRAKE (See Fig. 5)
Your tractor is equipped with an operator presence sens-
ing switch. When engine is running, any attempt by the
operator to leave the seat without first setting the parking
brake will shut off the engine.
Depress clutch/brake pedal into full "BRAKE" position
and hold.
• Place parking brake lever in "ENGAGED" position and
release pressure from clutch/brake pedal. Pedal should
remain in "BRAKE" position. Make sure parking brake
will hold tractor secure.
ATTACHMENT CLUTCH LEVER
"ENGAGED" POSITION
IGNITION KEY
CLUTCH/BRAKE PEDAL
"DRIVE" POSITION
PARKING B_AKE
"DISENGAGED" POSITION
IMPORTANT: LEAVING THE IGNITION SWITCH IN ANY
POSITION OTHER THAN "OFF" WILL CAUSE THE BATTERY
TO BE DISCHARGED, (DEAD).
NOTE: Under certain conditions when tractor is standing
idle with the engine running, hot engine exhaust gases may
cause "browning" of grass. To eliminate this possibility,al-
ways stop engine when stopping tractor on grass areas.
CAUTION: Always stop tractor com-
pletely, as described above, before
leaving the operator's position; to
empty grass catcher, etc.
TO USE THROTTLE CONTROL (See Fig. 5)
IAlways operate engine at full throttle.
• Operating engine at less than full throttle reduces the
battery charging rate.
• Full throttle offers the best bagging and mower perfor-
mance.
TO MOVE FORWARD AND BACKWARD
(See Fig. 5)
The direction and speed of movement is controlled by the
gearshift lever.
• Start tractor with clutch/brake pedal depressed and
gearshift lever in neutral (N) position.
•Move gearshift lever to desired position.
• Slowly release clutch/brake pedal to start move-
ment.
IMPORTANT: BRING TRACTOR TO ACOMPLETE STOP
BEFORE SHIFTING OR CHANGING GEARS. FAILURE
TO DO SO WILL SHORTEN THE USEFUL LIFE OF YOUR
TRANSAXLE.
FIG.5
STOPPING (See Fig. 5)
MOWER BLADES -
• To stop mower blades,move attachment clutch lever
to "DISENGAGED" position.
GROUND DRIVE -
•To stop ground drive, depress clutch/brake pedal into
full _BRAKE" position.
• Move gearshift lever to neutral (N) position.
ENGINE -
• Move throttle control to slow position.
NOTE: Failure to move throttle control to slow position and
allowing engine to idle before stopping may cause engine
to =backfire".
•Turn ignition key to "OFF" position and remove key.
Always remove key when leaving tractor to prevent
unauthorized use.
•Never use choke to stop engine.
TO ADJUST MOWER CuI-rING HEIGHT
(See Fig. 5)
The position of the attachment lift lever determines the
cutting height.
•Grasp lift lever.
• Press plunger with thumb and move lever to desired
position.
The cutting height range is approximately 1-1/2 to 4".
The heights are measured from the ground to the blade tip
withthe engine not running.These heights are approximate
and may vary depending upon soil conditions, height of
grass and types of grass being mowed.
• The average lawn should be cut to approximately 2-1/2
inches during the cool season and to over 3 inches
during hot months. For healthier and better looking
lawns, mow often and after moderate growth.
•For best cutting performance, grass over 6 inches
in height should be mowed twice. Make the first cut
relatively high; the second to desired height,
11

OPERATION
TO OPERATE MOWER (See Fig. 6)
Yourtractor is equipped withan operator presence sensing
switch. Any attempt by the operator to leave the seat with
the engine runningand the attachment clutch engaged will
shut off the engine.
•Select desired height of cut.
Start mower blades by engaging attachment clutch
control.
• TO STOP MOWER BLADES - disengage attachment
clutch control.
II
CAUTION: Do not operate the mower I
without either the entire grass catcher, I
on mowers so equipped, or the deflector
shield in place.
"ENGAGED" POSITION
ATTACHMENT LIFT LE-
VER HIGH POSITION
POSITION
A'rI'ACHMENT //,_
CLUTCH LEVER
"DISENGAGED"
POSITION
DEFLECTOR
SHIELD
FIG, 6
TO OPERATE ON HILLS
I_WARNING: Do not drive up or down
hills with slopes greater than 15° and
do not drive across any slope.
Choose the slowest speed before starting up or down
hills.
° Avoid stopping or changing speed on hills.
• If slowing is necessary, move throttle control lever to
slower position.
If stopping is absolutely necessary, push clutch/brake
pedal quickly to brake position and engage parking
brake.
•Move gearshift lever to 1st gear. Be sure you have
allowed room for tractor to roll slightly as you restart
movement.
•To restart movement, slowly release parking brake and
clutch/brake pedal.
•Make all turns slowly.
TO TRANSPORT
Raise attachment liftto highestpositionwithattachment
lift control.
When pushing Ortowing yourtractor,be sure gearshift
lever is in neutral (N) position.
•Do not push or tow tractor at more than five (5) MPH.
NOTE: To protect hood from damage when transporting
your tractor on a truck or a trailer, be sure hoed is closed
and secured to tractor. Use an appropriate means of tying
hood to tractor (rope, cord, etc.).
TOWING CARTS AND OTHER ATTACH-
MENTS
Tow only the attachments that are recommended by and
comply withspecifications of the manufacturer of your trac-
tor. Use common sense when towing.Tooheavy of a load,
while on a slope, is dangerous. Tires can lose traction with
the ground and cause you to lose control of your tractor.
BEFORE STARTING THE ENGINE
CHECK ENGINE OIL LEVEL
•The engine in your tractor has been shipped, from the
factory, already filled with summer weight oil.
•Check engine oil with tractor on levelground.
Remove oil fill cap/dipstick and wipeclean, reinsert the
dipstick and screw cap tight, wait for a few seconds,
remove and read oil I_vel. If necessary, add oil until
"FULL" mark on dipstick is reached. Do not overfill.
•For cold weather operation you should change oil for
easier starting (See "OIL VISCOSITY CHART" in the
Maintenance section of this manual).
•To change engine oil, see the Maintenance section in
this manual.
ADD GASOLINE
•Fill fuel tank to bottom of filler neck. Do not overfill.
Use fresh, clean, regular unleaded gasoline with a
minimum of 87 octane. (Use of leaded gasoline will
increase carbon and lead oxide deposits and reduce
valve life). Do not mix oil with gasoline. Purchase fuel
in quantities that can be used within30 days to assure
fuel freshness.
I & CAUTION: Wipe off any spilled oil or I
fuel. Do not store, spill or use gasoline
near an open flame.
IMPORTANT: WHEN OPERATING IN TEMPERATURES
BELOW32°F(0°C), USE FRESH, CLEAN WINTER GRADE
GASOLINE TO HELP INSURE GOOD COLD WEATHER
STARTING.
12

OPERATION
CAUTION: Alcohol blended fuels (called gasehol or
using ethanol or methanol) can attract moisture which
leads to separation and formation of acids during stor-
age. Acidic gas can damage the fuel system ofan engine
while in storage. To avoid engine problems, the fuel
system should be emptied before storage of 30 days
or longer. Drain the gas tank, start the engine and let
it run untilthe fuel lines and carburetor are empty. Use
fresh fuel next season. See Storage Instructions for
additional information. Never use engine orcarburetor
cleaner products inthe fuel tank or permanent damage
may Occur.
TO START ENGINE (See Fig. 5)
When starting the engine for the first time or if the engine
has run out of fuel, it will take extra cranking time to move
fuel from the tank to the engine.
•Sit on seat in operating position, depress clutch/brake
pedal and set parking brake.
Place gear shift lever in neutral (N) position.
•Move attachment clutch to "DISENGAGED" position.
•Move throttle control to choke position.
NOTE: Before starting, read the warm and cold starting
prOcedures below.
•Insert keyintoignitionand turn keyclockwise to"START"
position and release key as soon as engine starts.
Do not run starter continuously for more than fifteen
seconds per minute. If the engine does not start after
several attempts, move throttle control to fast position,
wait a few minutes and thy again. If engine still does
not start, move the throttle control back to the choke
position and retry.
WARM WEATHER STARTING (50 °F and above)
• When engine starts, move the throttle control to the
fast position.
•The attachments and ground drive can now be used. If
the engine does notaccept the load, restart the engine
and allow it to warm upfor one minute using the choke
as described above.
COLD WEATHER STARTING (50°F and below)
•When engine starts, allow engine to run with the
throttle control in the choke position until the engine
runs roughly, then move throttle control to fast posi-
tion.This may require an engine warm-up period from
several seconds to several minutes, depending on the
temperature.
•The attachments can also be used during the engine
warm-up period.
NOTE: If at a high altitude (above 3000 feet) or in cold
temperatures (below 32 F) the carburetor fuel mixture may
need to be adjusted for best engine performance. See "TO
ADJUST CARBURETOR" in the Service and Adjustments
section of this manual.
MOWING TIPS
•Mower should be properly leveled for best mowingper-
formance. See "TO LEVEL MOWER HOUSING" inthe
Service and Adjustments section of this manual.
The left hand side of mower should be used for trim-
ming.
Drive so that clippings are discharged onto the area
that has been cut. Have the cut area to the rightof the
machine. This will result in a more even distribution of
clippings and more uniform cutting.
When mowing large areas, start by turning to the right so
that clippings will discharge away from shrubs, fences,
driveways, etc. After one or two rounds, mow in the
opposite direction making left hand turns until finished
(See Fig. 7 ).
f
lr
FIG. 7
If grass is extremely tall, it should be mowed twice to
reduce load and possible fire hazard from dried clip-
pings. Make first cut relatively high; the second to the
desired height.
•Do not mow grass when it is wet. Wet grass will plug
mower and leave undesirable clumps. Allow grass to
dry before mowing.
Always operate engine at full throttle when mow-
ing to assure better mowing performance and proper
discharge of material. Regulate ground speed by se-
lecting a low enough gear to give the mower cutting
performance as well as the quality of cut desired.
•When operating attachments, select a ground speed
that will suit the terrain and give best performance of
the attachment being used.
13

MAINTENANCE
M..NTEN.NCESC.EOULE
FILL IN DATES _
AS YOU COMPLETE
REGULAR SERVICE _.,_ _'_'-_J"__-7_'_- _ -J_O'_-- .....
_" £'_"J_'r_£-_"_--4_/_=t_" S E R V IC E DATES
Check Brake Operation _1_
Check Tire Pressure
Check Operator Presence and
T Interlock Systems
Check for Loose Fasteners V_s V'
ASharpen/Replace Mower Blades _3
T Lubrication Chart
Check Battery Level 1_4
aClean Battery and Terminals I_ I_
Check Transaxle Cooling
Check V-Betts I# #
Check Engine Oil Level _
Change Engine Oil (with oil filter) 1_1,2
EChange Engine Oil (with°ut °ilfilter)cleanAir Filter _i 2
v'
Clean Air Screen
Inspect Muffler/Spark Arrester
NReplace Oil Filter (If equipped) _,2
Clean Engine Cooling Fins _ 2
Replace Spark Plug _ _ "
V'2Replace Air Filter Paper Cartridge
Replace Fuel Filter _#'
1 - Change more often when operating under a heavy load or_
in high ambient temperatures.
2 - Service mere often when operating in dirty or dusty conditions,
3-Replace blades more often when mowing in sandy soil.
4- Not required if equipped with maintenance-free battery.
5 - Tighten front axle pivot bolt to 35 ft,-Ibs, maximum.
Do not overtighten.
GENERAL RECOMMENDATIONS
The warranty on this tractor does not cover items that have
been subjected to operator abuse or negligence. To receive
full value from the warranty, operator must maintain tractor
as instructed in this manual.
Some adjustments will need to be made periodically to
properly maintain your tractor.
All adjustments in the Service and Adjustments section
of this manual should be checked at least once each
season.
• Once a year you should replace the spark plug, clean
or replace air filter, and check blades and belts for wear.
A new spark plug and clean air filter assure proper
air-fuel mixture and help your engine run better and
last longer.
BEFORE EACH USE
• Check engine oil level.
• Check brake operation.
• Check tire pressure.
• Check operator presence and
interlock systems for proper operation.
• Check for loose fasteners.
LUBRICATION CHART
ZERK
_FRONTWHEEL _ z
BEARING ZERK <-_
OFRONT WHEEL
BEARING ZERK
_)ENGINE
14
(I_GENERAL PURPOSE GREASE
(_REFER TO MAINTENANCE "ENGINE*' SECTION
IMPORTANT: DO NOT OIL OR GREASE THE PIVOT POINTS WHICH
HAVE SPECIAL NYLON BEARINGS. VISCOUS LUBRICANTS WILL
ATTRACT DUST AND DIRT THAT WILL SHORTEN THE LIFE OF THE
SELF-LUBRICATING BEARINGS. IFYOU FEELTHEY MUST BE LUBRI-
CATED, USE ONLY A DRY, POWDERED GRAPHITE TYPE LUBRICANT
SPARINGLY.

MAINTENANCE
TRACTOR
Always observe safety rules when performing any main-
tenance.
BRAKE OPERATION
If tractor requires more than six (6) feet stopping distance
at high speed in highest gear, then brake must be adjusted.
(See"TO ADJUST BRAKE" in the Service and Adjustments
section of this manual). "
TIRES
•Maintain proper air pressure in all tires (See"PRODUCT
SPECIFICATIONS" section of this manual).
Keep tires free of gasoline, oil, or insect control chemi-
cals which can harm rubber.
Avoid stumps, stones, deep ruts, sharp objects and
other hazards that may cause tire damage.
NOTE: To seal tire punctures and prevent flat tires due to
slow leaks, tire sealant may be purchased from your local
parts dealer. Tire sealant also prevents tire dry rot and
corrosion.
OPERATOR PRESENCE SYSTEM
Be sure operator presence and interlock systems are work-
ing properly. If your tractor does not function as described,
repair the problem immediately.
• The engine should not start unless the clutch/brake
pedal is fully depressed and attachement clutch control
is in the disengaged position.
• Whenthe engine is running, anyattempt bythe operator
to leave the seat without first setting the parking brake
should shut off the engine.
• When the engine is running and the attachment clutch
is engaged, any attempt by the operator to leave the
seat should shut off the engine.
• The attachment clutch should never operate unless
the operator is in the seat.
BLADE CARE
For best resultsmower blades must be kept sharp. Replace
bent or damaged blades.
BLADE REMOVAL (See Fig. 8)
•Raise mower to highest position to allow access to
blades.
•Remove blade bolt, lock washer and flat washer se-
curing blade.
•install new or resharpened blade with trailing edge up
towards deck as shown.
IMPORTANT: TO' ENSURE PROPER ASSEMBLY,CENTER
HOLE IN BLADE MUST ALIGN WITH STAR ON MANDREL
ASSEMBLY.
• Reassemble blade bolt, lock washer and flat washer
in exact order as shown.
• Tighten blade bolt securely (27-35 Ft. Lbs. torque).
IMPORTANT: BLADE BOLT IS GRADE 8 HEATTREATED.
MANDREL
TRAILING ASSEMBLY
EDGEOP
(GRADE 81"
*A GRADE 8 HEATTREATED BOLT CAN BE
IDENTIFIED BY SiX LINES ON THE BOLT HEAD.
FIG. 8
TO SHARPEN BLADE (See Fig. 9)
NOTE: We do not recommend sharpening blade -but if
you do, be sure the blade is balanced.
Care should be taken to keep the blade balanced. An un-
balanced blade will cause excessive vibration and eventual
damage to mower and engine.
•The blade can be sharpened with a file or on a grind-
ing wheel. Do not attempt to sharpen while on the
mower.
•To check blade balance, you will need a 5/8" diameter
steel bolt, pin, or acone balancer. (When using a
cone balancer, follow the instructions supplied with
balancer.)
NOTE: Do not use anail for balancing blade. The lobes of
the center hole may appear to be centered, but are not.
•Slide blade on to an unthreaded portion of the steel bolt
or pin and hold the bolt or pin parallel with the ground.
If blade is balanced, it should remain in a horizontal
position. I( either end of the blade moves downward,
sharpen the heavy end until the blade is balanced.
/
CENTER ROLE /
5/8" BOLT BLADE
OR PIN
FIG. 9
15

MAINTENANCE
BATTERY
Yourtractor has abattery charging systemwhich issufficient
for normal use. However, periodic charging of the battery
with an automotive charger will extend its life.
Keep battery and terminals clean.
Keep battery bolts tight.
•Keep small vent holes open.
• Recharge at 6-10 amperes for 1 hour.
NOTE: The original equipment battery on your tractor is
maintenance free. Do not attempt to open or remove caps
or covers. Adding or checking level of electrolyte is not
necessary.
TO CLEAN BATTERY AND TERMINALS
Corrosion and dirt on the battery and terminals can cause
the battery to "leak" power.
• Disconnect BLACK battery cable first then RED bat-
tery cable and remove battery from tractor.
• Rinse the battery with plain water and dry.
• Clean terminals and battery cable ends with wire brush
until bright.
• Coat terminals with grease or petroleum jelly.
• Reinstall battery (See "REPLACING BATTERY" in
the SERVICE AND ADJUSTMENTS section of this
manual).
V-BELTS
Check V-belts for deterioration and wear after 100 hours
of operation and replace if necessary. The belts are not
adjustable. Replace belts if they begin to slip from wear.
TRANSAXLE COOLING
Keep transaxle free from build-up of dirt and chaff which
can restrict cooling.
ENGINE
LUBRICATION
Only use high quality detergent oil rated with API service
classification SF-SJ. Select the oil's SAE viscosity grade
according to your expected operating temperature.
SAE VISCOSITY GRADES
F -2O 0 30 32 40 60 8O 100
C -30 -20 -10 010 20 30 40
TEMPERATURE RANGE ANTICIPATED BEFORE NEXT OIL CHANGE
FIG. 10
NOTE: Although multi-viscosity oils (5W30, 10W30 etc.)
improve starting in cold weather, these multi-viscosity oils
will result in increased oil consumption when used above
32°E Check your engine oil level more frequently to avoid
possible engine damage from running low on oil.
Change the oil after every 25 hours of operation or at least
once a year if the tractor is not used for 25 hours in one
year.
Check the crankcase oil level before starting the engine
and after each eight (8) hours of operation. Tighten oil fill
cap/dipstick securely each time you check the oil level.
TO CHANGE ENGINE OIL (See Figs. 10 and 11)
Determine temperature range expected before oil change.
All oil must meet API service classification SF-SJ.
Be sure tractor is on level surface.
Oil will drain more freely when warm.
• Catch oil in a suitable container.
••Remove oil fill cap/dipstick. Be careful not to allow dirt
to enter the engine when changing oil.
Remove yellow cap from end of drain valve and install
the drain tube onto the fitting.
OIL DRAIN VALVE
YELLOW CAP---"__ TUBE
FIG. 11
Unlock drain valve by pushing inward and turning
counterclockwise.
•To open, pull out on the drain valve.
•After oil has drained completely, close and lock the
drain valve by pushing inward and turning clockwise
untilthe pin is in the locked positionas shown.
•Remove the drain tube and replace the cap onto to the
bottom fitting of the drain valve.
•Refill engine with oil through oil fill dipstick tube. Pour
slowly. Do not overfill. For approximate capacity see
"PRODUCT SPECIFICATIONS" section of this man-
ual.
•Use gauge on oil fill cap/dipstick for checking level.
Be sure dipstick cap is tightened securely for accurate
reading. Keep oil at "FULL" line on dipstick.
16

MAINTENANCE
CLEAN AIR SCREEN
Air screen must be kept free of dirt and chaff to prevent
engine damage from overheating. Clean with a wire brush
or compressed air to remove dirt and stubborn dried gum
fibers.
ENGINE COOLING FINS (See Fig. 12)
Remove any dust, dirt or oil from engine cooling fins to
prevent engine damage from overheating.
Remove screws from blower housing and lift housing
and dipstick tube assembly off engine.
•Cover oil fill opening to prevent entry of dirt.
• Use compressed air or stiff bristle brush to thoroughly
clean engine cooling fins.
•To reassemble, reverse above procedure.
SCREWS BLOWER
HOUSING
SCREWS
OIL FILL
TUBE ASSEMBLY
OIL FILL
OPENING
\
ENGINE COOLING FINS
SPARK
PLUG
FIG. 12
AIR FILTER (See Fig. 13)
Your engine will not run properly using a dirty air filter.
Replace pre-cleaner after every 25 hours of operation or
every season. Service paper cartridge every 100 hours of
operation or every season, whichever occurs first.
Service air cleaner more often under dusty conditions.
Pull up on air filter cover handle and rotate towards
engine.
• Remove cover.
• Carefully remove air filter cartridge and pre-cleaner
from base.
Clean base carefully to prevent debris from falling into
carburetor.
NOTE: If very dirty or damaged, replace cartridge.
Place new pre-cleaner and cartridge firmly in base.
Align tabs on cover with slots in blower housing and
replace cover.
• Hock handle on cover and push down on handle to
close.
IMPORTANT: Petroleum solvents, such as kerosene, are
not to be used to clean the cartridge. They may cause
deterioration of the cartridge. Do not oil cartridge. Do not
use pressurized air to clean cartridge.
j.ANB'E
COVER
GE
PRE-CLEANER
FIG. 13
TABS
SLOTS
17

MAINTENANCE
MUFFLER
Inspect and replace corroded muffler and spark arrester
(if equipped) as it could create a fire hazard and/or dam-
age.
SPARK PLUGS
Replace spark plugs at the beginning of each mowing
season or after every 100 hours of operation, whichever
occurs first. Spark plug type and gap setting are shown in
"PRODUCT SPECIFICATIONS" section of this manual.
IN-UNE FUEL FILTER (See Fig. 14)
The fuel filter should be replaced once each season. If fuel
filter becomes clogged, obstructing fuel flow to carburetor,
replacement is required.
•With engine cool, remove filter and plug fuel line sec-
tions.
Place new fuel filter in position in fuel line with arrow
pointing towards carburetor.
• Be sure there are no fuel line leaks and clamps are
properly positioned.
• Immediately wipe up any spilled gasoline.
CLAMP
FUE_ CLAMP
FILTER
FIG. 14
CLEANING
•Clean engine, battery, seat, finish, etc. of all foreign
matter.
• Keep finished surfaces and wheels free of all gasoline,
oil, etc.
• Protect painted surfaces with automotive type wax.
We do not recommend using a garden hose or pressure
washer to clean your tractor unless the engine and trans-
mission are covered to keep water out. Water in engine or
transmission will shorten the useful life of your tractor. Use
compressed air or a leaf blower to remove grass, leaves
and trash from tractor and mower.
18

SERVICE AND ADJUSTMENTS
WARNING: TO AVOID SERIOUS INJURY, BEFORE PERFORMING ANY SERVICE OR ADJUST-
MENTS:
Depress clutch/brake pedal fully and set parking brake.
Place gearshift lever in neutral (N) position.
Place attachment clutch in "DISENGAGED" position.
Turn ignition key to "STOP" and remove key.
Make sure the blades and all moving parts have completely stopped.
• Disconnect spark plug wire from spark plug and place wire where it cannot come in contact
with plug.
TRACTOR
TO REMOVE MOWER (See Fig. 15)
Mower will be easier to remove from the right side of
tractor.
• Place attachment clutch in "DISENGAGED" posi-
tion.
Move attachment lift lever forward to lower mower to
its lowest position.
• Roll belt off engine pulley.
Remove small retainer spring, and remove clutch
spring off pulley bolt.
• Remove large retainer spring, slide collar off and push
housing guide out of bracket.
•Disconnect anti-swaybar from chassis bracket by re-
moving retainer spring.
• Disconnect suspension arms from rear deck brackets
by removing retainer springs.
• Disconnect front linksfrom deck by removing retainer
springs.
• Raise lift lever to raise suspension arms. Slide mower
out from under tractor.
IMPORTANT: IF AN ATTACHMENT OTHER THAN THE
MOWER DECK IS TO BE MOUNTED ON THE TRAC-
TOR, REMOVE THE FRONT LINKS AND HOOK THE
CLUTCH SPRING INTO SQUARE HOLE IN FRAME.
TO INSTALL MOWER (See Fig. 15)
Raise attachment lift lever to its highest position.
Slide mower under tractor with deflector shield to right
side of tractor.
• Lower lift lever to its lowest position.
• Connect front links to mower deck and secure with
retainer springs.
• Connect suspension arms to rear deck brackets and
secure with retainer springs.
Connect anti-swaybar to chassis bracket and secure
with retainer spring.
Push clutch cable housing guide into bracket, slide collar
onto guide and secure with large retainer spring.
• Place flat washer and clutch spring on idler pulley bolt
and secure with small retainer spring.
Install belt onto engine pulley.
FLAT WASHER
CLUTCH SPRING
SMALL RETAINERSPRING
CLUTCH SPRING
ENGINE PULLEY
RETAINER SPRING FRONT LINK
ANTI-SWAY BAR
COLLAR
RETAINER SPRINGS
(BOTH SIDES)
HOUSING GUIDE LARGE RETAINER
SPRING
BRACKET
DEFLECTOR SHIELD
FIG. 15 19

SERVICE AND ADJUSTMENTS
TO LEVEL MOWER HOUSING rear, tighten nuts "F" against trunnion on both front
links.
Adjust the mower while tractor is parked on level ground
or driveway. Make sure tiros are properly inflated (See
"PRODUCT SPECIFICATIONS" section of this manual). If
tires are over or underinflated, you will not properly adjust
your mower.
SIDE-TO-SIDE ADJUSTMENT (See Figs. 16 and 17)
• Raise mower to its highest position.
At the midpoint of both sides of mower, measure height
from bottom edge of mower to ground. Distance "A"
on both sides of mower should be the same or within
1/4" of each other.
• If adjustment is necessary, make adjustment on one
side of mower only.
• To raise one side of mower, tighten lift link adjustment
nut on that side.
• To lower one side of mower, loosen lift link adjustment
nut on that side.
NOTE: Three full turnsof adjustment nutwill change mower
height about 1/8".
• Recheck measurements after adjusting.
BOTTOM EDGE OF BOTTOM EDGE
MOWER _OF MOWER
TO GR_OUND
N. GROUND LINE-"---------
FIG. 16
FT LINK
li_=_0 _/A OJUST ME N'I"
'_NUT
FIG. 17
FRONT-TO-BACK ADJUSTMENT (See Figs. 18 and 19)
IMPORTANT: DECK MUST BE LEVEL SIDE-TO-SIDE. IFTHE
FOLLOWING FRONT-TO-BACK ADJ USTM ENT IS NECESSARY,
BE SURE TO ADJUST BOTH FRONT LINKS EQUALLY SO
MOWER WILL STAY LEVEL SIDE-TO-SIDE.
To obtain the best cutting results, the mower housing
should be adjusted so that the front is approximately 1/8"
to 1/2" lower than the roar when the mower is in its high-
est position.
Check adjustment onrightsideof tractor. Measure distance
"D" directly in front and behind the mandrel at bottom edge
of mower housing as shown.
• Before making any necessary adjustments, check that
both front links are equal in length.
•If links are notequal in length, adjust one link to same
length as other link.
•To lower front of mower loosen nut "E" on both front
links an equal number of turns.
•When distance "D" is 1/8" to 1/2" lower at front than 20
To raise front of mower, loosen nut"F" from trunnionon
both front links. Tighten nut "E" on both front links an
equal number of turns. The two front links must remain
equal in length.
When distance "D" is 1/8" to 1/2" lower at front than rear,
tighten nut "F" against trunnion on both front links.
Recheck side-to-side adjustment.
MANDREL
FIG. 18
BOTH FRONT LINKS MUST BE EQUALIN LENGTH
NUT "F"_
TRUNNION _NUT "E"
FRONT LIN KS_
FIG. 19
TO REPLACE MOWER BLADE DRIVE BELT
(See Fig. 20)
The mower blade drive belt may be replaced withouttools,
Park the tractor on level surface. Engage parking brake,
BELT REMOVAL -
•Place attachment clutch in "DISENGAGED" position.
•Move attachment lift lever forward to lower mower to
its lowest position.
•Roll belt off engine pulley,
• Disconnect R.H.suspension arm fromroar deck bracket
by removing retainer spring.
•Work belt off both mandrel pulleys and idler pulleys.
•Pull belt away from mower.
BELT INSTALLATION -
•Work new belt around both mandrel pulleys and idler
pulleys.
•Install new belt into engine pulley grove.
•Reconnect R.H. suspension arm and secure with re-
tainer spring.
•Make sure belt is in all pulley grooves and inside all
belt guides.

SERVICE AND ADJUSTMENTS
R...SUSPEHS,O.ARM
MANDREL ENGINE
PULLEY PULLEY
SPRING
IDLER
MANDREL
PULLEY
FIG. 20
TO CHECK AND ADJUST BRAKE (See Fig. 21)
Your tractor is equipped with an adjustable brake system
which is mounted on the right side of the transaxle.
If tractor requires more than five (5) feet to stop at highest
speed in highest gear on a level, dry concrete or paved
surface, then brake must be checked and adjusted.
TO CHECK BRAKE
•Park tractor on alevel, dry concrete or paved surface,
depress clutch/brake pedal all the way down and en-
gage parking brake.
•Place gear shift lever in neutral (N) position.
The rearwheels must lockand skidwhen youtry to manually
push the tractor forward. Ifthe rear wheels rotate, the brake
needs to be adjusted or the pads need to be replaced.
TO ADJUST BRAKE
•Depress clutch/brake pedal all the way down and en-
gage parking brake.
Measure distance between brake operating arm and
nut =A"on brake rod.
•Ifdistanceisotherthanl-1/2",loosenjamnutandturn
nut "A" until distance becomes 1-1/2". Retighten jam
nut against nut =A".
•Road test tractor for proper stopping distance as stated
above. Readjust if necessary. If stopping distance is
still greater than five (5) feet in highest gear, further
maintenance is necessary. Replace brake pads or
contact a qualified service center.
WITH PARKING BRAKE "ENGAGED"
TO REPLACE MOTION DRIVE BELT
(See Fig. 22)
Park the tractor on level surface. Engage parking brake.
For assistance, there is a belt installation guide decal on
bottom side of left footrest.
BELT REMOVAL -
Remove mower (See "TO REMOVE MOWER" in this
section of manual).
NOTE: Observe entire motion drive belt and position of all
belt guides and keepers.
• Remove belt from stationary idler and clutching idler.
• Remove belt downward from around engine pulley.
• Pull belt slack toward rear of tractor. Remove belt
upwards from transaxle pulley by deflecting belt keep-
ers.
•Remove belt from center span keeper and pull belt
away from tractor.
BELT INSTALLATION -
•Carefully work new belt down between transaxle belt
keepers and onto the input pulley.
Slide belt into the center span keeper.
•Pull belt toward front of tractor and rollaround the top
groove of engine pulley.
Install belt through stationary idler and clutching
idler.
•Make sure belt is in all pulley grooves and inside al!
belt guides and keepers.
•Install mower (See"TO INSTALL MOWER" inthissec-
tion of manual).
PULLEY
CLUTCHING " STATIONARY
IDLER _IDLER
CENTERSPAN "ll L II TRANSAXLE
KEEPER _@PULLEY
FIG. 22
TRANSAXLE GEAR SHIFT LEVER NEUTRAL-
ADJUSTMENT (See Fig. 23)
The transaxle should be in neutral when the gear shift
lever is in neutral (N) (lock gate) position.The adjustment
is preset at the factory; however, if adjustment is needed,
proceed as follows:
•Make sure transaxle is in neutral (N).
NOTE: When the tractor rear wheels move freely, the
transaxle is in neutral.
•Loosen adjustment bolt in front of the right rear
wheel.
FIG. 21 21

SERVICE AND ADJUSTMENTS
Position the gear shift lever in the neutral (N) posi-
tion.
Tighten adjustment bolt securely.
NOTE: Ifadditional clearance is needed to get to adjustment
bolt, move mower deck height to the lowest position.
_.._GEARSHIFTLEVER
ADJUSTMENT
BOLT
NEUTRAL
LOCK GATE
FIG. 23
TO ADJUST STEERING WHEEL ALIGN-
MENT
If steering wheel crossbars are not horizontal (left to right)
when wheels are positioned straightforward, remove steer-
ing wheel and reassemble per instructionsinthe Assembly
section of this manual.
FRONT WHEEL TOE-IN/CAMBER
The front wheel toe-in and camber are not adjustable" on
your tractor. If damage has occurred to affect the front
wheel toe-in or camber, contact your nearest authorized
service center/department.
TO REMOVE WHEEL FOR REPAIRS
(See Fig. 24)
•Block up axle securely.
•Remove axle cover, retaining ring and washers to allow
wheel removal (rear wheel contains a square key - Do
not lose).
Repair tire and reassemble.
• On rear wheels only: align grooves in rear wheel hub
and axle. Insert square key.
• Replace washers and snap retaining ring securely in
axle groove.
• Replace axle cover.
NOTE: To seal tire punctures and prevent flat tires due to
slow leaks, tire sealant may be purchased from your local
parts dealer. Tire sealant also prevents tire dry rot and
corrosion.
WASHERS
.ETA,.,NGR,NG
,x oov% j
SQUARE KEY (REAR 'V..b w_
WHEEL ONLY)
FIG. 24
TO START ENGINE WITH A WEAK BA'I-rERY
(See Fig. 25)
&WARNING: Lead-acid batteries gen-
erate explosive gases. Keep sparks,
flame and smoking materials away from
batteries. Always wear eye protection
when around batteries.
22
"If your battery is too weak to start the engine, it should be
recharged. (See "BATI'ERY" in the MAINTENANCE sec-
tion of this manual).
If "jumper cables" are used for emergency starting, follow
this procedure:
IMPORTANT: YOURTRACTORIS EQUIPPED WITH A 12VOLT
SYSTEM. THE OTHER VEHICLE MUST ALSO BE A 12 VOLT
SYSTEM. DO NOTUSEYOURTRACTOR BATTERYTO START
OTHER VEHICLES.
TO
TO
ATTACH JUMPER CABLES -
Connect one end of the RED cable to the POSITIVE
(+) terminal of each battery(A-S), taking care not to
short against tractor chassis.
Connect one end of the BLACK cable to the NEGATIVE
(-) terminal (C) of fully charged battery.
Connect the other end of the BLACK cable (D) to good
chassis ground, away from fuel tank and battery.
REMOVE CABLES, REVERSE ORDER -
BLACK cable first from chassis and then from the fully
charged battery.
RED cable last from both batteries.
WEAK OR DEAD FULLY CHARGED
BATTERY BATTERY
FIG. 25
REPLACING BA'n'ERY (See Figs. 26 and 27)
&WARNING: Do not short battery
terminals by allowing a wrench or any
other object to contact both terminals
at the same time. Before connect-
ing battery, remove metal bracelets,
wristwatch bands, rings, etc.
Positive terminal must be connected
first to prevent sparking from acci-
dental grounding.

SERVICE AND ADJUSTMENTS
Lift seat pan to raised position.
Disconnect BLACK batterycable firstthen RED battery
cable and carefully remove battery from tractor.
Install new battery with terminals in same positionas
old battery.
First connect RED battery cable to positive (+) terminal
with hex bolt and keps nut as shown.Tighten securely.
Slide terminal cover over terminal.
Connect BLACK grounding cable to negative (-) ter-
minal with remaining hex bolt and keps nut. Tighten
securely.
HOOD
HEADLIGHT
WIRE
CONNECTOR
SEATPAN
FIG. 26
TERMINAL KEPS
COVER /NUT
HEX
POSITIVE (RED) NEGATIVE
CABLE (SLACK) CABLE
I
FIG. 27
TO REPLACE HEADLIGHT BULB
• Raise hood.
Pull bulb holder out of the hole in the backside ofthe
grill.
• Replace bulb in holder and push bulb holder securely
back into the hole in the backside of the grill,
• Close hood.
INTERLOCKS AND RELAYS
Loose or damaged wiring may cause your tractor to run
poorly, stop running, or prevent it from starting.
•Check wiring. See electrical wiring diagram in the
Repair Parts section.
TO REPLACE FUSE
Replace with 20 amp automotive-type plug-in fuse. The
fuse holder is located behind the dash.
TO REMOVE HOOD AND GRILL ASSEMBLY
(See Fig. 28)
•Raise hood.
•Unsnap headlight wire connector.
•Stand in frontof tractor. Grasp hoodat sides, tilttoward
engine and liftoff of tractor.
•To replace, reverse above procedure.
ENGINE
FIG. 28
TO ADJUST THRO'n'LE CONTROL CABLE
(See Fig. 29)
The throttle control has been preset at the factory and
adjustment should not be necessary. Check adjustment
as described below before loosening cable. If adjustment
is necessary, proceed as follows:
With engine not running, move throttle control lever
from slow to choke position. Slowly move lever from
choke to fast position.
•Check that holes "A" in governor control lever and hole
in governor plate line-up. If holes "A" are not aligned,
loosen clamp screw and move throttle cable until holes
are aligned. Tighten clamp screw securely.
GOVERNOR GOVERNOR
CONTROL LEVER PLATE
\
23
HOLES "A" CLAMP THROTTLE
SCREW CABLE
FIG. 29
TO ADJUST CARBURETOR
The carburetor has been preset at the factory and adjustment
should not be necessary. However, minor adjustment may be
required to compensate for differences in fuel, temperature,
altitude or load. If the carburetor does need adjustment,
see engine manual.
High speed stop is factory adjusted. Do not adjust - dam-
age may result.
IMPORTANT: NEVERTAMPERWITHTHE ENGINEGOVERNOR,
WHICH IS FACTORY SET FOR PROPER ENGINE SPEED.
OVERSPEEDING THE ENGINE ABOVE THE FACTORY HIGH
SPEED SETTING CAN BE DANGEROUS. IF YOU THINK THE
ENGINE-GOVERNED HIGH SPEED NEEDS ADJUSTING,
CONTACTYOUR NEAREST AUTHORIZED SERVICE CENTER/
DEPARTMENT, WHICH HAS PROPER EQUIPMENT AND
EXPERIENCE TO MAKE ANY NECESSARY ADJUSTMENTS.

STORAGE
ENGINE
Immediately prepare your tractor for storage at the end
of the season or if the tractor will not be used for 30 days
or more.
WARNING: Never store the tractor with
gasoline in the tank inside a building
where fumes may reach an open flame
orspark. AIIowthe engine to cool before
storing in any enclosure.
TRACTOR
Remove mower from tractor for winterstorage. When mower
is to be stored for a period of time, clean it thoroughly, remove
all dirt, grease, leaves, etc. Store in a clean, dry area.
• Clean entire tractor (See "CLEANING" in the Mainte-
nance section of this manual).
•Inspect and replace belts, if necessary (See belt re-
placement instructions in the Service and Adjustments
section of this manual).
• Lubricate as shown in the Maintenance section of this
manual.
•Be sure that all nuts, bolts and screws are securely
fastened. Inspect moving parts for damage, breakage
and wear. Replace if necessary.
• Touch up all rusted or chipped paint surfaces; sand
lightly before painting.
BATTERY
•Fully charge the battery for storage.
•After aperiod of time in storage, battery may require
recharging.
• To help prevent corrosion and power leakage during
long periods of storage, battery cables should be dis-
connected and battery cleaned thoroughly (see "TO
CLEAN BATTERY AND TERMINALS" in the Mainte-
nance section of this manual).
• After cleaning, leave cables disconnected and place
cables where they cannot come in contact with battery
terminals.
• If battery is removed from tractor for storage, do not
store battery directly on concrete or damp surfaces.
FUEL SYSTEM
IMPORTANT: IT ISIMPORTANTTO PREVENTGUMDEPOSITS
FROMFORMING IN ESSENTIAL FUELSYSTEMPARTSSUCH
AS CARBURETOR, FUEL FILTER, FUEL HOSE, OR TANK
DURING STORAGE. ALSO, EXPERIENCE INDICATESTHAT
ALCOHOL BLENDED FUELS (CALLED GASOHOL OR USING
ETHANOLOR METHANOL) CANATTRACTMOISTUREWHICH
LEADSTOSEPARATIONANDFORMATIONOFACIDS DURING
STORAGE. ACIDIC GAS CAN DAMAGETHE FUEL SYSTEM
OF AN ENGINE WHILE IN STORAGE.
• Drain the fuel tank.
Start the engine and let it run until the fuel lines and
carburetor are empty.
• NeveruseengineorcarburetorcleanerproductsJnthe
fuel tank or permanent damage may occur.
• Use fresh fuel next season.
NOTE: Fuel stabilizer is an acceptable alternative in mini-
mizing the formation of fuel gum deposits during storage.
Add stabilizer to gasoline in fuel tank or storage container.
Always follow the mix ratio found on stabilizer container.
Run engine at least 10 minutes after adding stabilizer to
allow the stabilizer to reach the carburetor. Do not drain
the gas tank and carburetor if using fuel stabilizer.
ENGINE OIL
Drain oil (with engine warm) and replace with clean en-
gine oil. (See "ENGINE" in the Maintenance section of
this manual).
CYLINDER(S)
• Remove spark plug(s).
•Pour one ounce of oil through spark plug hole(s) into
cylinder(s).
• Turn ignition key to"START" position for a few seconds
to distribute oil
• Replace with new spark plug(s).
OTHER
Do not store gasoline from one season to another.
• Replace your gasoline can if your can starts to rust.
Rust and/or dirt in your gasoline will cause problems.
• If possible, store your tractor indoors and cover it to
give protection from dust and dirt.
• Cover your tractor with a suitable protective cover that
does not retain moisture. Do not use plastic. Plastic
cannot breathe which allows condensation to form and
will cause your tractor to rust.
IMPORTANT: NEVER COVERTRACTORWHILEENGINE AND
EXHAUST AREAS ARE STILL WARM.
24

TROUBLESHOOTING POINTS
PROBLEM
Will not start
Hard to start
Engine will not turn over
Engine clicks but will not
start
Loss of power
Excessive vibration
CAUSE
1. Out of fuel.
2. Engine not"CHOKED" properly.
3. Engine flooded.
4. Bad spark plug.
5. Dirty air filter.
6. Dirty fuel filter,
7. Water in fuel,
8. Loose or damaged wiring.
9. Carburetor out of adjustment,
10. Engine valves out of adjustment.
1. Dirty air filter.
2. Bad spark plug.
3. Weak or dead battery.
4. Dirty fuel filter.
5. Stale or dirty fuel.
6. Loose or damaged wiring.
7. Carburetor out of adjustment.
8. Engine valves out of adjustment.
1. Clutch/brake pedal not depressed.
2. Attachment clutch is engaged.
3, Weak or dead battery.
4. B_ownfuse.
5, Corroded battery terminals,
6. Loose or damaged widng.
7. Faulty ignition switch.
8. Faulty solenoid or starter.
9. Faulty operator presence swltch(es).
1. Weak or dead battery.
2. Corroded battery terminals.
3. Loose or _maged widng.
4. Faulty solenoid or starter.
1. Cuffing too much grass/too fast.
2. Throttle in "CHOKE" position.
3. Build-up of grass, leaves and trash under mower,
4. Dirty air filter.
5. Low oil leval/dirty oil.
6. Faulty spark plug,
7. Dirty fuel tilter.
8. Stale or dirty fuel
9. Water in fuel.
10. Spark plug wire loose.
11. Dirty engine air screen/fins.
12. Otrty/clngged muffler,
13. Loose or damaged wiring.
14. Carburetor out of adjustment.
15. Engine valves out of adjustment.
1. Worn, bent or loose blade.
2. Bent blade mandrel.
3. Loose/damagod part(s).
CORRECTION
1, Flit fuel tank.
2. See "TO START ENGINE* in Operation section.
3. Wait several minutes before attempting to start.
4. Replace spark plug,
5. Clean/replace air tilter.
6, Replace fuel tilter.
7. Drain fuel tank and carburetor, refill tank with fresh
gasoline and replace fuel filter,
8. Check all wiring,
9. See "To Adjust Carburetor" in Service Adjustments
section.
10. Contact an authorized service centar/department.
1. Clean/replace air filter,
2. Replace spark plug.
3. Recharge or replace battery.
4. Replace fuel filter.
5. Drain fuel tank and refill with fresh gasoline.
6. Check aiI wiring,
7. See "To Adjust Carburetor" in Service Adjustments
section.
8. Contact an euthedzed service center/department.
1. Depress clutch/brake pedal.
2. Disengage attachment clutch.
3. Recharge or replace battery.
4. Replace fuse.
5. Clean battery terminals.
6. Check all wiring.
7. Check/raptace ignition switch.
8, Check/replace solenoid or starter.
9, Contact an authorized service center/department.
1, Recharge or replace battery.
2. Clean battery terminals.
3. Check all wiring.
4. Check/replace solenoid or starter.
1. Set in =Higher Cut" position/reduce speed_
2. Adjust throttle control.
3, Clean undereide of mower housing.
4. Clean/replace air tilter.
5, Check oil level/change all.
6. Clean and rogap or change spark plug.
7. Replace fuel tilter.
8, Drain fuel tank and refill with fresh gasoline.
9. Drain fuel tank and carburetor, refill tank with fresh
gasoline and replace fue_filter.
10. Connect and tighten spark plug wire.
11. Clean engine air screen/tins.
12. Clean/replace muffler.
13. Check all wiring.
14. See"To Adjust Carburetor" in Service Adjustments
section.
15. Contact an authorized service center/department.
1. Replace blade. Tighten blade bolt.
2. Replace blade mandrel,
3. Tighten loose part(s). Replace damaged parts.
25

TROUBLESHOOTING POINTS
PROBLEM CAUSE CORRECTION
Engine continues to run
when operator leaves
seat with attachment
dutch engaged
Poorcut-uneven
Mower blades will not
rotat_
Poor grass discharge
Headlight(s) not working
(if so.equipped)
Battery will not charge
Engine "backfires"
when turning engine
"OFF"
1. Faulty operator-safety presence control system.
1. Worn, bent or loose blade.
2. Mower deck not level.
3. Buildup of grass, leaves, and trash under mower.
4. Bent blade mandrel
5. Clogged mower deck vent holes from buildup of
grass, leaves, and trash around mandrels.
1. Obstruction in clutch mechanism.
2. Worn/damaged mower drive belt.
3. Frozen idler pulley.
4. Frozen b4ade mandrel.
1. Engine speed too slow.
2. Travel speed too fast.
3. Wet grass.
4. Mower deck not level.
5. Low/uneven tire air pressure.
6. Worn, bent or loose blade.
7. Buildup of grass, leaves and trash under mower.
8. Mower ddve belt worn.
9. Blades impropedy installed.
10. Improper blades used.
11. Clogged mower deck vent holes from buildup of
grass, leaves, and trash around mandrels.
1. Switch is =OFF".
2. Bulb(s) or lamp(s) burned out.
3. Faulty light switch.
4. Loose or damaged wiring.
5. Blown fuse.
1. Bad battery sail(s).
2. Poor cable connections.
3. Faulty regulator (if so equipped).
4. Faulty alternator.
1. Enginethrottle control notset at "SLOW_
position for30 secondsbeforestopping engine.
1. Check wiring, switches and connections. If not
corrected, contact an authorized service center/
department.
1. Replace blade. Tighten blade bolt.
2. Level mower deck.
3. Clean underside of mower housing.
4. Replace blade mandrel.
5. Clean around mandrels to open vent holes.
1. Remove obstruction.
2. Replace mower drive bell
3. Replace idler pulley.
4, Replace blade mandrel.
1. Place throttle control in "FAST" position.
2. Shift to slower speed.
3, Allow grass to dry before mowing.
4. Level mower deck.
5. Check tires for proper air pressure.
6. Replace/sharpen blade. Tighten blade bolt.
7. Clean underside of mower housing.
8. Replace mower drive belt.
9. Reinstall blades sharp edge down.
10. Replace with blades listed in this manual.
11. Clean around mandrels to open vent holes.
1. Turn switch =ON".
2. Replace bulb(s) or lamp(s).
3. Check/replace light switch.
4. Check wiring and connections.
5. Replace fuse.
1. Replace battery.
2. Check/clean all connections.
3. Replace regulator.
4. Replace alternator.
1. Move throttle control to =SLOW" position and allow
to idle fur 30 seconds before stopping engine.
26

SCHEMATIC TRACTOR - - MODEL NUMBER PC1538D
RED
BATFERY
BLACK
/7
)
I RED_
-_ )G AI(
IGNITION
SWITCH
.Eo FUSE
°II I
WHI33E i O , (_11 --
i I
L....... J
CLUTCH /BRAKE
(PEDALUP)
BLACK
BLACK
_f' METER
SOLENOID
STARTER
BLACK
WHITE
SEAT SWITCH
,....... i (NQT OCCUPIED)
) _ ATrMENTCLUTCH _ --
__ BLACK (CLUTCHOFF) jGROUNDING
CONNECTOR
IGNITION SWITCH
A
PoSmON CIRCUIT "MAKE"
OFF M+G+A1 NONE
RUN/[JGHT B+A1 A2+L
RUN B+A1 NONE
START 3+ S + A1 NONE
(OPTIONAL) , ILW SPARK
SL_CK _IGNITION L_ _PLUG L
•-- .... _IT_ {_UNIT t-_J GAP II,
i.... i L -- TWIN CYL ENGINES) •
,_7_N E _ ](2 PLUGS ON
I I
I_ CHARGIf_ SYSTEM OUTPUT 28 VOLTS AC MIN. O3600 F_PM
3 AMP OC @ 3600 RpM (CNARGING SYSTEM DISCONNECTED)
J I-
FUEL SHUT-OFF SOLENOID nED 2__ ^^. i •
(IF SO EQUIPPED) I ...._ _ IIW i ..LJ__LJ.LJ____'-_Plj
__ U_HTi_cG_r. T DtODE ,ALTERNATOR I;
YOUR TRACTOR IS / _aowN _ _ i_,BLAC_
EQUIPPED WITH ASPECIAL " L_
ALTERNATOR SYSTEM. I _ I
THE LIGHTS ARE NOT ] _ I
CONNECTED TO THE
HEADLIGHTS
NON-REMOVABLE
CONNECTIONS
BA'I-rERY, BUT HAVE THEIR
OWN ELECTRICAL SOURCE.
BECAUSE OF THIS, THE
BRIGHTNESS OF THE LIGHTS
WILL CHANGE WITH ENGINE
SPEED. AT IDLE THE LIGHTS
WILL DIM. AS THE ENGINE IS
SPEEDED UP, THE LIGHTS
WILL BECOME THEIR BRIGHTEST.
©
REMOVABLE
CONNECTIONS
WIRING INSULATED CLIPS
NOTE: IF WIRING INSULATED CLIPS WERE REMOVED FOR
SERVICING OF UNIT, THEY SHOULD BE REPLACED TO
PROPERLY SECURE YOUR WIRING.
27

REPAIR PARTS
TRACTOR - -MODEL NUMBER PC1538D
ELECTRICAL
41
27
[
25
22
26
¢.
/
I
I
I
I
I
III
III
III
It I
I
I
I
I
,16
I
I
16_
\
i/
t
II
t t
29
I
28
I
/
/
,%
\
¢
/
/I
/
/
/
/
28

REPAIR PARTS
TRACTOR - - MODEL NUMBER PC1538D
ELECTRICAL
KEY PART
NO. NO. DESCRIPTION
1 163465 Battery
2 74760412 Bolt Hex Hd 1/4-20unc X 3/4
8 176689 Box Battery
16 176138 Switch Interlock
21 175685 Harness Asm Light W/4152j
22 4152J Bulb Light #1156
24 4799J Cable Battery 6 Ga 11"red
25 146147 Cable Battery
26 175158 Fuse 20 AMP
27 73510400 Nut Keps Hex 1/4-20 Uric
28 4207J Cable Ground 6 Ga 12"black
29 121305X Switch Plunger Nc Gray
30 175566 Switch Ign
33 140401 Key Ign
40 179720 Harness Ign
41 71110408 Bolt BIk Fin Hex 1/4-20
42 131563 Cover Terminal Red
43 178861 Solenoid
48 140844 Adapter Ammeter
52 141940 Protection Wire Loop
90 180449 Cover Terminal Battery
NOTE: All component dimensions given in U. S.
inches 1 inch =25.4 mm.
29

REPAIR PARTS
TRACTOR - -MODEL NUMBER PC1538D
CHASSIS
208
30
207
26
33 IO
25
5
53
51 52
29
12 28
208
206
35
34 26 chassis-pl.lt_stlt_50
30

REPAIR PARTS
TRACTOR -- MODEL NUMBER PC1538D
CHASSIS
KEY PART
NO. NO. DESCRIPTION
1174619
2 176554
3 17060612
5 155272
9168336X010
10 72140608
11 174996
12 145660
13 172105X010
14 17490608
17 159639x428
18 184921
24 74780616
25 19131312
26 73800600
28 179101
29 140273X599
30 169468X428
31 136619
33 179716X428
34 179717X428
35 72110606
37 17490508
38 175710
51 73800400
52 19091416
53 144697
54 161464
55 144696
57 74780412
64 154798
142 175702
145 156524
206 170165
2O7 17670508
208 17670608
209 17000612
212 156229
--- 5479J
Chassis
Drawbar, Stretch
Screw 3/8-16 x 3/4
Bumper, Hood/Dash
Dash
Bolt, Carriage 3/8-16 x 1
Panel Dash LH
Clip Tinnerman Grille P.L
Panel Slkscr Dash RH
Screw Thdrol 3/8-16 x 1/2
Hood
Bumper Hood
Bolt Fin Hex 3/8-16unc X 1 Gr. 5
Washer 13/32 X 13/16 X 12 Ga
Nut Lock Hex w/Ins 3/8-16 Unc
Grille/Lens Asm.
Lens Grille Private Label
Fender
Bracket Fender Rep1109873x
Footrest Pnt LH
Footrest Pnt RH
Bolt Rdhd Sht Sqnk 3/8-16 X3/4
Screw Thdrol 5/16-18 x 1/2 TYT
Bracket Asm. Pivot Mower
Nut Look W/Insert 1/4-20unc
Washer 9/32 x 7/8x16 Ga.
Bracket Grille Lh
Screw Hex 8-18 x 7/8
Bracket Grille Rh
Bolt Fin Hex 1/4-20 unc x .75
Dash Lower
Plate Reinforcement
Rod Pivot Chassis/Hood
Bolt Shoulder 5/16-18
Screw Thdrol 5/16-18 x 1/2
Screw Thdrol 3/8-16 x 1/2
Screw Hex Wsh THDR 3/8-16 x 3/4
Insert Lens Reflect
Plug Button BIk 359 Dia Choke
NOTE: All component dimensions given in U.S. inches
1 inch = 25.4 ram.
31

REPAIR PARTS TRACTOR -- MODEL NUMBER PC1538D
DRIVE
77 37
116
150
48
26 27
drive-fender.stlt_22
32

REPAIR PARTS
TRACTOR --MODEL NUMBER PC1538D
DRIVE
KEY PART KEY PART
NO. NO, DESCRIPTION NO. NO.
2 146682
3123666X
4 12000028
5121520X
6 17060512
8 165619
10 76020416
11 105701X
13 74550412
14 1OO404O0
15 74490544
16 73680500
18 74780616
19 73800600
21 106933X
22 130804
24 73350600
25 106888X
26 19131316
27 76020412
28 175765
29 71673
30 174973
32 74760512
34 175578
35 120183X
36 19211616
37 1572H
38 179114
39 74760648
41 175556
47 127783
48 154407
49 123205X
50 72110612
51 73680600
52 73680500
53 105710X
55 105709X
56 17060620
57 160855
59 169691
Transaxle Dana D4360-139 61 17120614
(Order parts from transaxle manu- 62 8883R
facturer) 63 175410
Spring Return Brake T/a Zinc 64 173937
Pulley Transaxle 18" tires 65 10040700
Ring Retainer # 5100-62 66 154778
Strap Torque 30 Degrees 69 142432
Screw 5/16-18 X 3/4 70 134683
Rod Shifter Fender Adj Lt 74 109502X
Pin Cotter 1/8 X 1 Cad 75 121749X
Washer Plate Shf 388 Sq Hole 76 12000001
Bolt 1/4-28 Unf Gr 8 W/Patch 77 123583X
Washer Lock Hvy Helical 1/4 78 121748X
Bolt Hex 5/16-18 Gr. 5 79 2228M
Nut Lock Hx W/Ins 5/16-18 Uric 80 131488
Bolt, Fin Hex 3/8-16 UNC x 1 Gr. 5 81 165594
Nut Lock 3/8-16 Unc 82 123782X
Knob 83 19171216
Rod Brake BIk Zinc 26 840 84 166229
Nut Hex Jam 3/8-16 Unc 85 150360
Spring Rod Brake 2 00 Zinc 89 169370X428
Washer 13/32 X 13/16 X 16 Ga 96 4497H
Pin Cotter 1/8 X 3/4 Cad 112 19091210
Rod Brake Parking LT/YT 113 127285X
Cap Brake Parking 116 72140608
Bracket Mtg Transaxle 120 73900600
Bolt Hex Hd 5/16-18unc X 3/4 150 175456
Shaft Asm Pedal Foot 151 19133210
Bearing Nylon BIk 629 Id 156 166002
Washer 21/32 X 1 X 16 Ga 158 165589
Pin Roll 3/16 X 1" 159 183900
Pulley Idler Composite 161 72140406
Bolt Fin Hex 3/8-16 X 3 162 73680400
Keeper Belt Idler 163 74780416
PulleyldlerV Groove Plastic 164 19091010
Bellcrank Asm 165 165623
Retainer Belt Style Spring 166 166880
Bolt Carr Sh 3/8-16 x 1-1/2 Gr.5 168 165492
Nut Crownlock 3/8-16 Une 169 165580
Nut Crownlock 5/16-18 Unc 170 178394
Link Clutch 197 169613
Spring Return Clutch 6 75 198 169593
Screw 3/8-16 X 1-1/4 202 72110614
V-Belt Ground Drive 212 145212
Keeper Belt Span Ctr
DESCRIPTION
Screw 3/8-16 x .875
Cover Pedal BIk Round
Engine Pulley LT/YT
Bolt Hex 7/16-20 x 4 Gr. 5
Washer Lock Hvy Hlcl Spr 7/16
Keeper Belt Engine Foolproof
Screw Hex Wsh Hi-Lo 1/4-1/2 Unc
Guide Belt Mower Drive RH
Spacer Axle
Washer 25/32 X 1 1/4X 16Ga
E-ring #5133-75
Key Square 2 0 X 1845/1865
Washer 25/32 X 1-5/8 X 16 Ga
Key Woodruff
Arm Shift
Shaft Asm Cross Tapered 20"t
Spring Torsion T/a
Washer 17/32 X 3/4 X 16 Ga
Link Transaxle
Nut Lock Center 1/4 - 28 FNTHD
Console Shift STLT
Retainer Spring
Washer 9/32 x 3/4 x 10 Ga.
Strap Torque Lh
Bolt Rdhd Sq Neck 3/8-16 x 1
Nut Lock Fig 3/8-16 Gr. 5
Spacer Retainer
Washer 13/32 x 2 x 10
Washer Srrted 5/16 ID x 1.125
Bracket Shift Mount
Hub Tapered Flange Shift It
Bolt Rdhd Sqnk 1/4-20 x 3/4 Gr 5
Nut Crownlock 1/4-20 Unc
Bolt Hex Fin 1/4-20 Uric x 1 Gr 5
Washer5/8 x .281 x 10 Ga
Bracket Pivot Lever
Screw 5/16-18 x 5/8
Bolt Shoulder 5/16-18 x .561
Plate Fastening Lt
Keeper Belt Transaxle
Nyliner Snap-In
Washer Nyliner
Bolt Carr. Sh 3/8-16 x 1-3/4 Gr. 5
Nut Hex Flange Lock
NOTE: All component dimensions given in U.S. inches
1 inch = 25.4 mm
33

REPAIR PARTS
TRACTOR --MODEL NUMBER PC1538D
STEERING
_39
¢/
I
36
17
68 67 67
67\
34

REPAIR PARTS
TRACTOR -- MODEL NUMBER PC1538D
STEERING
KEY PART
NO. NO. DESCRIPTION
1140044X428
2 175131
3 169840
4169839
5 6266H
6121748X
7 19272016
8 12000029
9 3366R
10 175121
11 10040600
12 73940800
13 136518
15 145212
17 180641
26 126847X
28 19131416
29 17060612
30 76020412
32 130465
36 155099
37 152927
38 140045X428
39 19183812
40 7810H
41 100711L
42 145054X428
43 121749X
44 180640
46 121232X
47 183226
51 73540400
54 71130420
65 160367
67 72110618
68 169827
71 175146
82 169835
85 133835
88 175118
91 175553
Wheel Steering
Axle Asm
Spindle Asm LH
Spindle Asm RH
Bearing Race Thrust Harden
Washer 25/32 x 1-5/8 x 16 Ga
Washer 27/32 x 1-1/4 x 16 Ga
Ring Klip #t5304-75
Bearing Col Strg BIk
Link Drag
Washer Lock Hvy Hlcl Spr 3/8
Nut Hex Jam Toplock 1/2-20 Unf
Spacer earing Axle Front
Hexflange Lock
Shaft Asm Strg
Bushing Link Drag BIk LR
Washer 13/32 x 7/8 x 16 Ga
Screw 3/8-16 x 3/4
Pin Cotter 1/8 x 3/4 Cad
Rod Tie Wire Form 19 75 Mech
Bushing Strg 5/8 Id Dash
Screw
Cap Wheel Steer Ayp
Washer 9/16 x 2-3/8
Nut Lock Center 3/8-24un
Adaptor Wheel Strg
Boot Dash Mtl Steering BIk
Washer 25/32 X 1 1/4 X 16 Ga
Extension Steering
Cap Spindle Fr Top BIk
Fitting Grease
Nut Crownlock 1/4-28
Bolt Hex 1/4-28 Unf x 1-1/4 Gr. 8
Spacer Brace Axle
Bolt RDHD SQNK 3/8-16 x 2-1/4
Brace Axle
Steering Asm.
Bracket Susp Chassis Front
Fastener Christmas Tree
Bolt Shoulder 7/16-20
Clip Steering
NOTE: All component dimensions given in U.S. inches
1 inch = 25.4 mm.
35

REPAIR PARTS
TRACTOR - - MODEL NUMBER PC1538D
ENGINE
23
81 13 4
KEY
NO.
1
2
3
4
13
14
16
23
29
31
32
31
40
78
'33
33
29
\
OPTIONAL EQUIPMENT
Spark Arrester
PART
NO.
170551
17720408
137352
165291
148456
11050600
169837
137180
184900
140527
23
DESCRIPTION
Control Th/ch Flag
Screw Hex Thd Cut 1/4-20 x 1/2
Engine, B&S 282H07
(Order parts from engine manufac-
turer)
Muffler Exhaust B&S
Gasket Eng 1 313 Id Tin Plated
Tube Drain Oil Easy
Washer Lock Ext Tooth 3/8
Shield BRN/DBR Guard
Kit Spark Arrestor (Flat Scrn)
Tank Fuel Front
Cap Asm Fuel
KEY PART
NO. NO. DESCRIPTION
33 123487X
37 137040
38 181654
40 124028X
44 17670412
45 17000612
46 19091416
72 183906
78 17060620
81 73510400
Clamp Hose
Line Fuel 20"
Plug Drain Oil
Bushing Snap Nyl BIk Fuel Line
Screw Thdrol 1/4-20 x 3/4
Screw Hex Wsh Thdrol 3/8-16
Washer 9/32 X 7/8 X 16 Ga.
Screw Socket Head 5/16-18 x 1
Screw 3/8-16 x 1-1/4
Nut Keps Flex t/4-20 Unc
NOTE: All component dimensions given in U.S, inches
1 inch = 25.4 mm
36

REPAIR PARTS
TRACTOR --MODEL NUMBER PC1538D
SEAT
KEY
NO.
1
2
3
4
5
6
7
8
9
10
12
13
PART
NO.
127426X
140551
71110616
19131610
145006
73800600
124181X
17000616
19131614
182493
121246X
121248X
KEY PART
DESCRIPTION NO. NO. DESCRIPTION
Seat
Bracket Seat Pivot
Bolt Hex 3/8 - 16 X 1
Washer 13/32 X 1 X10Ga.
Clip Push-In Hinged
Nut Lock Hex w/Ins 3/8 -16
Spring Seat Cprsn 2250 BIk Zi
Screw 3/8-16 x 1.5
Washer 13/32 X 1 X 14 Ga
Pan Pnt Seat (BIk)
Bracket Pnt Mounting Switch
Bushing Snap BIk Nyl
14 72050412
15 134300
16 121250X
17 123976X
21 171852
22 73800500
23 71110814
24 19171912
25 127018X
26 10040800
Bolt Rdhd Sht Nk 1/4 - 20 X1-1/2
Spacer Split .28 X .96
Spring Cprsn
Nut Lock 1/4 Lge Fig
Bolt Shoulder 5/16-18 Unc-2A
Nut Lock Hex w/Ins 5/16 - 18
Bolt Hex
Washer 17/32 X 1-3/16 X 12 Ga
Bolt Shoulder 5/16-18 X .62
Washer Lock Hvy Hlcl Spr 1/2
NOTE: All component dimensions given in U.S. inches
1 inch = 25.4 mm.
37

REPAIR PARTS
TRACTOR - - MODEL NUMBER PC1538D
DECALS
9
7\12 1 14 6 8 15
3
17
KEY PART KEY PART
NO. NO. DESCRIPTION NO. NO.
1 187580 Decal, NPR Replace
3 184768 Decal, Engine HP
4 170563 Decal, Warning
6 157140 Decal, Fender Danger English
7 158168 Decal, Ins StrWh
8 172200 Decal, Fender 5 Sp.
9 158166 Decal, Fender
12 181552 Decal, Hood RH
14 181553 Decal, Hood LH
15 145005 Decal, Caution, Battery
16 156369 Decal, Oper Inst.
DESCRIPTION
17 136832 Decal, V-Belt Sch.
- - 138311 Decal, Handle Lft Height Adj.
- - 187581 Manual, Owner's English
- - 187582 Manual, Owner's French
Available accessories not included with mower:
- - C38 Grass Catcher
- - MK38 Mulch Kit w/Blades
- - LSB42 42" Snow Blower
- - LC05 Wheel Weights
- - LBD48 48" Snow Blade
- - CH11 Tire Chains
WHEELS & TIRES
74,10
11
38
KEY PART
NO. NO. DESCRIPTION
1 59192
2 65139
3 106222X
4 59904
5 106732X624
6 278H
7 9040H
8 106108X624
9 124635X
10 7152J
11 104757X428
-- 144334
Cap, Tire valve
Stem, Valve
Tire, Front
Tube, Front (Service item only)
Rim assembly, 6"front
Fitting, Grease (Front wheel only)
Bearing, Flange (Front wheel only)
Rim assembly, 8" rear
Tire, Rear
Tube, Rear (Service item only)
Cap, Hub Axle
Sealant, Tire (10 oz. Tube)
NOTE: All component dimensions given in U.S. inches
1 inch = 25.4 mm

REPAIR PARTS TRACTOR -- MODEL NUMBER PC1538D
13
11
,12
I
19 I
MOWER LIFT
5
2\
13
13
13_
32
2O 2O
15
KEY PART
NO. NO. DESCRIPTION
1159460
2159471
3105767X
412000002
519211621
6 120183X
7 109413X
8 124526X
11 139865
12 139866
13 4939M
15 173288
16 73350800
17 175689
18 73800800
19 139868
20 163552
31 169865
32 73540600
Wire Asm Inner/Sprg w/plunger
Shaft Asm Lift RH
Pin Groove 1 500 Zinc
E Ring #5133-62
Washer 21/32 X 1 X 21 Ga
Bearing Nylon BIk 629 Id
Grip Handle Bicycle Matte BIk
Button Plunger Black
Link Lift LH Fixed Length
Link Lift RH Fixed Length
Retainer Spring
Link Front
Nut Jam Hex 1/2-13 Unc
Trunnion
Nut LockwNVsh 1/2-13 Unc
Arm Suspension Rear
Retainer, Spring
Bearing pvt Lift
Nut Crownlock 3/8-24
NOTE: All component dimensions given in U.S. inches
1 inch = 25.4 mm.
39

REPAIR PARTS
TRACTOR - - MODEL NUMBER PC1538D
MOWER DECK
68
3S'J" J
6 4
- 9
\
16 J
13_
4O
2
29
27
S
_..,.._,-10

REPAIR PARTS
TRACTOR -- MODEL NUMBER PC1538D
MOWER DECK
KEY PART
NO. NO.
1170280
272140506
3 138017
4 169970
5 4939M
6 178024
8 850857
9 10030600
10 140296
11 134148
13
139774
138497
137645
14 128774
15 110485X
16 174493
19 132827
21 73680500
23 137607
24 105304X
25 123713X
26 110452X
27 106736X428
28 19111016
29 106735X
30 173984
31 129963
32 153532
33 178342
36 131494
40 73680600
45 4497H
53 130840
DESCRIPTION KEY PART
NO. NO.
Mower Housing Assembly 54 178515
Bolt Carriage 5/16-18 x 3/4 55 133840
Bracket Asm Fr. Sway Bar 56 165723
Bracket Deck Sway Bar 38"/42" 67 106932X
Retainer Spring 68 144200
Bar Sway Deck 69 76020312
Bolt 3/8-24 x 1.25 Grade 8 86 7631J
Washer, Lock 3/8 87 128772
Washer, Hardened 88 19111216
(The following blades are available) 89 19131612
Blade, 38" Mulching STD (For 96 74930620
mulching mowers only) 97 73930600
Blade, 38" Mulching Premium (For 107 133502
better wear when mulching) 108 133503
Blade, 38" Hi-Lift (For bagging and 109 74760640
discharging) 110 142587
Shaft Assembly, Mandrel, Vented 113 17060512
(Includes Key Number 6) 122 131289
Housing, Mandrel, Vented 123 169971
Bearing, Ball, Mandrel 146 165891
Stripper, Vented Mower Deck 148 169022
Bolt, Shoulder 149 165898
Nut 150 19091216
Bracket, Mower Deflector 151 169670
Cap, Sleeve 152 172758
Spring, Torsion, Deflector 153 169674
Nut, Push 154 169675
Shield, Deflector 155 169671
Washer 11/32 x 5/8 x16 Gauge 156 169672
Rod, Hinge 157 169669
Screw Thdrel. 158 17720408
Washer, Spacer - - 130794
Pulley, Mandrel
Nut, Toplock
Pulley, Idler, Flat - - 170317
Nut, Crewnlock 3/8-16 Unc
Retainer
Brake Assembly
DESCRIPTION
Washer, Hardened
Idler Arm Assembly
Spacer, Retainer
Knob
V-Belt, 42" Mower
Pin, Cotter 3/32 x 3/4
Runner, LH
Runner, RH
Washer 11/32 x 3/4 x 16 Ga
Washer 13/32 x 1 x 12Ga.
Bolt 3/8-16 x 1-1/4 Mulcher
Nut Centedock 3/8-16 Unc
Spacer Retainer
Stiffener, Idler Arm
Bolt, Hex Hd 3/8-16 x 2-1/2
Upstop Deck Front 38"
Screw 5/16-1/x 3/4
Rod, Brake LH
Rod, Brake RH
Bolt Carriage Idler
Spring Return Idler
Retainer Spdng Yellow
Washer 9/32 x 3/4 x 16 Ga.
Bracket Clutch Cable
Clutch Cable 38"/46"
Washer Flat 3/8" Type B
Spring Retainer
Spring Retention LVR CLTCH CAB
Spacer Clutch Cable
Rod Clutch Cable 3/8"
Screw Hex Thd Cut 1/4-20 x 1/2
Mandrel Assembly (Includes Hous-
ing, Shaft and Shaft Hardware Only
- Pulley Not Included)
Replacement Mower, Complete
NOTE: All component dimensions given in U.S. inches
1 inch = 25.4 mm
41

LIMITED WARRANTY
The Manufacturer warrantsto the original consumer purchaserthat this product as manufactured is free from defects in materi-
als and workmanship. For a period of two (2) years from date of purchaseby the original consumer purchaser, we will repair or
replace, at our option, without charge for parts or labor incurred in replacingparts, any part which we find to be defective due
to materials or workmanship. This Warranty is subject to the following limitations and exclusions.
1. This warranty d_es n_t apply t_ the engine_ _ther than EHP manufactured transax_e/transmissi_n c_mp_nents_
battery (except as noted below) or components parts thereof. Please refer to the applicable manufacturer's
warranty on these items.
2. Transportation charges for the movement of any power equipment unit or attachment are the responsibility of
the purchaser. Transportation charges for any parts submitted for replacement under this warranty must be
paid by the purchaser unless such return is requested by Electrolux Home Products.
3. Battery Warranty: On products equipped with a Battery, we will replace, without charge to you, any battery
which we find to be defective in manufacture, during the first ninety (90) days of ownership. After ninety (90)
days, we will exchange the Battery, charging you 1/12 of the price of a new Battery for each full month from
the date of the original sale. Battery must be maintained in accordance with the instructions furnished.
4. The Warranty period for any products used for rental or commercial purposes is limited to 90 days from the
date of original purchase.
5. This Warranty applies only to products which have been properly assembled, adjusted, operated, and main-
tained in accordance with the instructions furnished. This Warranty does not apply to any product which has
been subjected to alteration, misuse, abuse, improper assembly or installation, delivery damage, or to normal
wear of the product.
6. Exclusions: Excluded from this Warranty are belts, blades, blade adapters, normal wear, normal adjustments,
standard hardware and normal maintenance.
7. In the event you have a claim under this Warranty, you must return the product to an authorized service deal-
er.
Should you have any unanswered questions concerning this Warranty, please contact:
Electrolux Home Products, Inc. In Canada contact:
Outdoor Products Customer Service Dept. Electrolux Canada Corp.
250 Bobby Jones Expressway 7075 Ordan Drive
Augusta, GA 30909 USA Mississauga, Ontario
L5T 1K6
giving the model number, sedal number and date of purchase of your product and the name and address of the authorized
dealer from whom it was purchased.
THIS WARRANTY DOES NOT APPLY TO INCIDENTAL OR CONSEQUENTIAL DAMAGES AND ANY IMPLIED WARRAN-
TIES ARE LIMITED TO THE SAME TIME PERIODS STATED HEREIN FOR OUR EXPRESSED WARRANTIES. Some areas
do not allow the limitation of consequential damages or limitations of how long an implied Warranty may last, so the above limi-
tations or exclusions may not apply to you. This Warranty gives you specific legal rights, and you may have other rights which
vary from locale to locale.
This is a limited Warranty within the meaning of that term as defined in the Magnuson-Moss Act of 1975.
42

SUGGESTED GUIDE FOR SIGHTING SLOPES FOR SAFE OPERATION
ONLY RIDE UP AND DOWN HILL,
NOT ACROSS HILL
15 DEGREES MAX.
WARNING: To avoid serious injury, operate your tractor up and
down the face of slopes, never across the face. Do not mow
slopes greater than 15 degrees. Make turns gradually to prevent
tipping or loss of control. Exercise extreme caution when
changing direction on slopes.
1. Fold this page along dotted line indicated above.
2. Hold page before you so that its left edge Is vertically parallel to a tree
trunk or other upright structure.
3. Sight across the fold in the direction of hill slopeyou want to measure.
4. Compare the angle of the fold with the slope of the hill.

Poulan