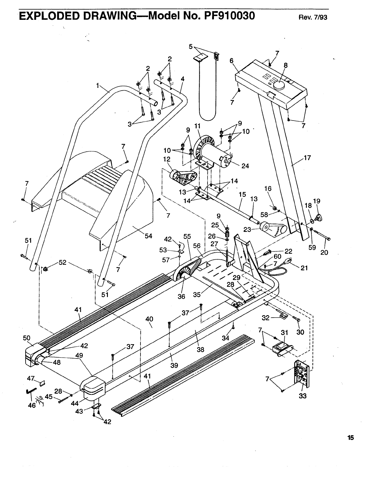
Proform Pf910030 910 Treadmill Users Manual
Proform-Pf910030-Owner-S-Manual proform-pf910030-owner-s-manual
2015-04-13
: Proform Proform-Pf910030-910-Treadmill-Users-Manual-699551 proform-pf910030-910-treadmill-users-manual-699551 proform pdf
Open the PDF directly: View PDF
.
Page Count: 16















