Psion Teklogix Hand Held Computer 7530 G2 Users Manual
7530 G2 to the manual 055a57fe-f8bd-17a4-bdab-c45b7bf3dc7c
2015-02-06
: Psion-Teklogix Psion-Teklogix-Hand-Held-Computer-7530-G2-Users-Manual-521125 psion-teklogix-hand-held-computer-7530-g2-users-manual-521125 psion-teklogix pdf
Open the PDF directly: View PDF
.
Page Count: 296 [warning: Documents this large are best viewed by clicking the View PDF Link!]
- 7530 G2 Hand-Held Computer
- TABLE OF CONTENTS
- Program License Agreements
- Approval And Safety Summary
- Introduction 1
- Basic Checkout 2
- Getting To Know Your 7530 G2 3
- 3.1 Features Of The 7530 G2
- 3.2 The Battery
- 3.3 The Keyboard
- 3.4 The Display
- 3.5 7530 G2 Indicators
- 3.6 Internal Scanners
- 3.7 Connecting & Disconnecting Tethered Peripherals
- 3.8 Monitoring The Battery And Maximizing Run Time
- 3.9 Monitoring The Network Connection
- 3.10 Uploading Data In A Docking Station
- 3.11 General Maintenance
- Working With Windows CE 4
- Configuration 5
- 5.1 Remote Desktop Connection
- 5.2 The TekTerm Application
- 5.3 Pocket PC Compatibility
- 5.4 The Control Panel
- 5.5 Control Panel Icons
- 5.6 Basic Setup
- 5.7 Bluetooth Setup
- 5.8 Total Recall
- 5.9 IPv6 Support
- 5.10 Narrow Band Radio Setup
- 5.11 Scanner Settings
- 5.11.1 Bar Codes
- 5.11.2 Non-Decoded Scanners
- 5.11.3 Decoded (Internal) Scanners
- 5.11.3.1 Decoded (Internal) Options
- 5.11.3.2 Decoded (Internal) Advanced Options
- 5.11.3.3 Decoded (Internal) 2D Scanning Options (SE2223 only)
- 5.11.3.4 Decoded (Internal) Data Options
- 5.11.3.5 Code 39
- 5.11.3.6 Code 128
- 5.11.3.7 EAN 13
- 5.11.3.8 EAN 8
- 5.11.3.9 UPC A
- 5.11.3.10 UPC E
- 5.11.3.11 UPC/EAN Shared Settings
- 5.11.3.12 Codabar
- 5.11.3.13 Code 93
- 5.11.3.14 Interleaved 2 of 5
- 5.11.3.15 MSI Plessey
- 5.11.3.16 Discrete 2 of 5
- 5.11.3.17 2D PDF-417 (SE2223 only)
- 5.11.3.18 2D Micro PDF-417 (SE2223 only)
- 5.11.3.19 RSS Code (Reduced Space Symbology)
- 5.11.3.20 Composite (SE2223 only)
- 5.11.4 Decoded (Intermec ISCP)
- 5.11.4.1 Decoded (Intermec) Options
- 5.11.4.2 Decoded (Intermec) Advanced Options
- 5.11.4.3 Code 39
- 5.11.4.4 Code 128
- 5.11.4.5 EAN 13
- 5.11.4.6 EAN 8
- 5.11.4.7 UPC A
- 5.11.4.8 UPC E
- 5.11.4.9 UPC/EAN Shared Settings
- 5.11.4.10 Codabar
- 5.11.4.11 Code 93
- 5.11.4.12 Code 11
- 5.11.4.13 Interleaved 2 of 5
- 5.11.4.14 Matrix 2 of 5
- 5.11.4.15 MSI Plessey
- 5.11.4.16 Discrete 2 of 5
- 5.11.4.17 2D PDF-417
- 5.11.4.18 2D Micro PDF-417
- 5.11.4.19 2D Codablock
- 5.11.4.20 Telepen
- 5.11.5 Imager
- 5.11.5.1 Imager Options
- 5.11.5.2 Imager Advanced Options
- 5.11.5.3 Code 39
- 5.11.5.4 Code 128
- 5.11.5.5 UPC/EAN
- 5.11.5.6 Codabar
- 5.11.5.7 Code 93
- 5.11.5.8 Interleaved 2 of 5
- 5.11.5.9 RSS Code (Reduced Space Symbology)
- 5.11.5.10 Postal: Australian
- 5.11.5.11 Postal: Japanese
- 5.11.5.12 Postal: Korean
- 5.11.5.13 Postal: PlaNET
- 5.11.5.14 Postal: PostNET
- 5.11.5.15 Postal: Royal
- 5.11.5.16 2D DataMatrix
- 5.11.5.17 2D Maxicode
- 5.11.5.18 2D PDF-417
- 5.11.5.19 2D Micro PDF-417
- 5.11.5.20 2D QR Code
- 5.11.5.21 2D Aztec
- 5.11.5.22 Composite
- 5.11.6 Options Tab
- 5.11.7 Translations
- 5.11.8 Ports
- 5.12 SNMP (Simple Network Management Protocol) Setup
- Peripheral Devices & Accessories 6
- 6.1 External Bar Code Readers
- 6.2 RD7950 Integrated UHF RFID Reader
- 6.3 Batteries
- 6.4 Battery Charging
- 6.5 Gang Charger
- 6.6 Combo Charger
- 6.7 Combo Dock
- 6.8 Quad Dock
- 6.9 Portable Docking Module (PDM)
- 6.10 Bluetooth Peripherals
- 6.11 The 7530 G2 Picker Cradle
- 6.12 Tether Adaptor Cables
- Specifications 7
- 7.1 7530 G2 Hand-Held Computer Specifications
- 7.2 Radio Specifications
- 7.3 Internal Scanner Port
- 7.4 RFID Applications
- 7.5 External Scanners
- 7.6 Internal Scanner Specifications
- 7.7 1900 mAh Lithium-Ion Battery Pack
- 7.8 2400 mAh Lithium-Ion Battery Pack
- Support Services And Worldwide Offices
- Port Pinouts
- USB Setup Application
- INDEX

ISO 9001 Certified
Quality Management System
7530 G2 Hand-Held
Computer
User Manual
June 21, 2006 Part No. 8000081.A
© Copyright 2006 by Psion Teklogix Inc., Mississauga, Ontario
This document and the information it contains is the property of Psion Teklogix Inc.,
is issued in strict confidence, and is not to be reproduced or copied, in whole or in
part, except for the sole purpose of promoting the sale of Teklogix manufactured
goods and services. Furthermore, this document is not to be used as a basis for
design, manufacture, or sub-contract, or in any manner detrimental to the interests
of Psion Teklogix Inc.
All trademarks are the property of their respective holders.

Return-To-Factory Warranty
Psion Teklogix Inc. provides a return to factory warranty on this product for a period
of twelve (12) months in accordance with the Statement of Limited Warranty and
Limitation of Liability provided at www.psionteklogix.com/warranty. (If you are not
already a member of Teknet and you attempt to view this warranty, you will be asked
to register. As a member of Teknet, you will have access to helpful information about
your Psion Teklogix products at no charge to you.) In some regions, this warranty
may exceed this period. Please contact your local Psion Teklogix office for details.
For a list of offices, see Appendix A: “Support Services And Worldwide Offices”.
The warranty on Psion Teklogix manufactured equipment does not extend to any
product that has been tampered with, altered, or repaired by any person other than an
employee of an authorized Psion Teklogix service organization. See Psion Teklogix
terms and conditions of sale for full details.
Important:Psion Teklogix warranties take effect on the date of shipment.
Service
Psion Teklogix provides a complete range of product support services to its custom-
ers. For detailed information, please refer to Appendix A: “Support Services And
Worldwide Offices”. This section also provides information about accessing support
services through the Psion Teklogix web site.
Waste Electrical and Electronic Equipment (WEEE) Directive
2002/96/EC
This Product, and its accessories, comply with the requirements of the Waste Electri-
cal and Electronic Equipment (WEEE) Directive 2002/96/EC. If your end-of-life
Psion Teklogix product or accessory carries a label as shown here, please contact
your local country representative for details on how to arrange recycling.
For a list of international subsidiaries, please go to:
www.psionteklogix.com/public.aspx?s=us&p=Contacts.
Restriction On Hazardous Substances (RoHS) Directive 2002/95/EC
What is RoHS?
The European Union has mandated that high environmental standards be met in the
design and manufacture of electronic and electrical products sold in Europe, to reduce
hazardous substances from entering the environment. The “Restriction on Hazardous

Substances Directive (RoHS)” prescribes the maximum trace levels of lead, cad-
mium, mercury, hexavalent chromium, and flame retardants PBB and PBDE that
may be contained in a product. Only products meeting these high environmental
standards may be “placed on the market” in EU member states after July 1, 2006.
RoHS Logo
Although there is no legal requirement to mark RoHS-compliant products, Psion
Teklogix Inc. indicates its compliance with the directive as follows:
The RoHS logo located either on the back of the product or underneath the battery in
the battery compartment (or on a related accessory such as the charger or docking
station) signifies that the product is RoHS-compliant as per the EU directive. Other
than as noted below, a Psion Teklogix product that does not have an accompanying
RoHS logo signifies that it was placed on the EU market prior to July 1, 2006, and is
thereby exempt from the directive.
Note: Not all accessories or peripherals will have a RoHS logo due to physical
space limitations or as a result of their exempt status.
Disclaimer
Every effort has been made to make this material complete, accurate, and up-to-
date. In addition, changes are periodically added to the information herein; these
changes will be incorporated into new editions of the publication.
Psion Teklogix Inc. reserves the right to make improvements and/or changes in the
product(s) and/or the program(s) described in this document without notice, and
shall not be responsible for any damages, including but not limited to consequential
damages, caused by reliance on the material presented, including but not limited to
typographical errors.

Psion Teklogix 7530 G2 Hand-Held Computer User Manual i
TABLE OF CONTENTS
Program License Agreements ............................I
Approval And Safety Summary .........................VII
Chapter 1: Introduction
1.1 About This Manual ............................ 3
1.2 Text Conventions.............................4
1.3 7530 G2 Features.............................4
1.4 About The 7530 G2 Hand-Held Computer ................ 7
1.4.1 The 7530 G2 Hand-Held Computer................8
1.4.2 Regulatory Labels.........................9
Chapter 2: Basic Checkout
2.1 Preparing The 7530 G2 For Operation . . ................13
2.1.1 Equipment You Need To Get Started...............13
2.1.2 Charging The Battery.......................13
2.1.3 Installing The Battery.......................14
2.1.4 Switching On The Hand-Held...................14
2.1.5 Attaching Carrying Accessories..................15
2.2 Calibrating The Touchscreen.......................16
2.3 Configuring An IEEE 802.11 Radio In The Unit . . . ..........17
2.3.1 Assigning An IP Address.....................23
2.3.2 Name Servers Tab.........................24
2.3.3 Advanced Features.........................25
2.4 Checking The Scanner ..........................26
2.5 Using Microsoft ActiveSync.......................26
2.6 Resetting The Hand-Held.........................27
Contents
ii Psion Teklogix 7530 G2 Hand-Held Computer User Manual
Chapter 3: Getting To Know Your 7530 G2
3.1 Features Of The 7530 G2 ........................ 31
3.2 The Battery................................ 32
3.2.1 Battery Safety .......................... 32
3.2.2 Removing And Installing The Battery Pack........... 32
3.2.3 Battery Chargers.........................32
3.3 The Keyboard .............................. 33
3.3.1 Modifier Keys.......................... 34
3.3.2 The Keys............................. 34
3.3.3 Function And Macro Keys.................... 36
3.3.4 Alphanumeric Keyboard – 63-Key................38
3.3.5 Numeric Keyboard – 37-Key .................. 38
3.3.6 The Keypad Backlight......................40
3.4 The Display ...............................41
3.4.1 Adjusting The Display Backlight ................41
3.4.2 Adjusting The Contrast...................... 41
3.4.3 Calibrating The Touchscreen................... 41
3.5 7530 G2 Indicators............................ 43
3.5.1 LEDs............................... 43
3.5.2 Onscreen Indicators ....................... 45
3.5.3 Audio Indicators.........................47
3.6 Internal Scanners............................. 48
3.6.1 Scanning Techniques.......................49
3.6.2 Scan LED Indicators....................... 50
3.6.3 Troubleshooting ......................... 50
3.6.4 Operating One Dimensional (1D) Internal Laser Scanners . . . 50
3.6.5 Operating Internal PDF Laser Scanners............. 51
3.6.6 Operating Internal Two Dimensional (2D) Imager Scanners . . 51
3.7 Connecting & Disconnecting Tethered Peripherals ........... 52
3.8 Monitoring The Battery And Maximizing Run Time.......... 53
3.8.1 Storing Batteries.........................54
3.9 Monitoring The Network Connection .................. 55
3.10 Uploading Data In A Docking Station.................. 55
3.11 General Maintenance .......................... 56
3.11.1Caring For The Touchscreen...................56
Psion Teklogix 7530 G2 Hand-Held Computer User Manual iii
Contents
3.11.2 Cleaning The 7530 G2.......................56
Chapter 4: Working With Windows CE
4.1 Navigating In Windows CE And Applications ..............59
4.1.1 Navigating Using A Touchscreen And Stylus...........59
4.1.2 Navigating Using The Keyboard . ................59
4.2 Working With Files, Folders And Programs...............60
4.3 The Startup Desktop............................61
4.3.1 The Desktop Icons.........................62
4.3.2 The Taskbar............................62
4.4 The Start Menu..............................65
4.4.1 The Desktop............................66
4.4.2 Security Settings..........................66
4.4.3 Programs..............................68
4.4.4 Shortcuts..............................69
4.4.5 Settings...............................71
4.4.6 Run.................................72
4.4.7 Shutdown .............................72
4.5 Using A Dialog Box............................73
Chapter 5: Configuration
5.1 Remote Desktop Connection .......................81
5.2 The TekTerm Application.........................81
5.3 Pocket PC Compatibility.........................81
5.4 The Control Panel.............................82
5.5 Control Panel Icons............................83
5.6 Basic Setup................................87
5.6.1 Display Properties.........................87
5.6.2 Keyboard Properties . .......................90
5.6.3 Volume And Sound Properties . . ...............100
5.6.4 Power Management Properties.................102
5.6.5 Stylus Properties.........................107
5.6.6 Manage Triggers.........................109
5.6.7 Certificate Assignment .....................113
5.7 Bluetooth Setup.............................114
5.7.1 The Devices Tab.........................115
Contents
iv Psion Teklogix 7530 G2 Hand-Held Computer User Manual
5.7.2 The Servers Tab.........................118
5.7.3 Outgoing Tab...........................118
5.7.4 Active Conn. Tab.........................119
5.7.5 The Properties Tab........................120
5.7.6 Bluetooth GPRS Connection...................121
5.8 Total Recall ...............................126
5.8.1 Creating A Backup Profile....................126
5.8.2 Restoring A Profile........................130
5.9 IPv6 Support ...............................131
5.10 Narrow Band Radio Setup........................132
5.10.1Info Tab..............................132
5.10.2Channel Tab...........................135
5.10.3Protocol Tab...........................138
5.10.4Power Tab............................141
5.10.5Radio Tab.............................142
5.11 Scanner Settings.............................143
5.11.1Bar Codes.............................144
5.11.2Non-Decoded Scanners .....................145
5.11.3Decoded (Internal) Scanners...................156
5.11.4Decoded (Intermec ISCP)....................173
5.11.5Imager ..............................187
5.11.6Options Tab ...........................196
5.11.7Translations............................198
5.11.8Ports ...............................199
5.12 SNMP (Simple Network Management Protocol) Setup.........204
5.12.1Contact Tab............................205
5.12.2Communities Tab.........................206
5.12.3Trap Destination Tab.......................208
5.12.4Permitted Hosts Tab.......................210
Chapter 6: Peripheral Devices & Accessories
6.1 External Bar Code Readers .......................215
6.1.1 PowerScan™ Standard, LR and XLR Bar Code Scanners . . . 215
6.1.2 Entering Data With The Bar Code Reader............215
6.2 RD7950 Integrated UHF RFID Reader .................215
6.3 Batteries.................................215
Psion Teklogix 7530 G2 Hand-Held Computer User Manual v
Contents
6.4 Battery Charging ............................216
6.5 Gang Charger..............................216
6.5.1 Installation............................216
6.5.2 Operator Controls........................217
6.5.3 Charge Indicators........................217
6.5.4 Charging Batteries........................217
6.5.5 Troubleshooting . . . ......................218
6.6 Combo Charger.............................219
6.6.1 Installation............................219
6.6.2 Operator Controls........................220
6.6.3 Using the Combo Charger With The 7530 G2 .........220
6.6.4 Charging The Spare Battery...................220
6.6.5 Charge Indicators........................221
6.6.6 Troubleshooting . . . ......................221
6.7 Combo Dock ..............................222
6.7.1 Installation............................222
6.7.2 Using The Combo Dock.....................222
6.7.3 Network Access.........................222
6.7.4 Troubleshooting . . . ......................222
6.8 Quad Dock ...............................223
6.8.1 Installation............................223
6.8.2 Indicators And Controls.....................223
6.8.3 Using The Quad Dock......................224
6.8.4 Network Access.........................224
6.8.5 Battery Charging.........................224
6.8.6 Troubleshooting . . . ......................224
6.9 Portable Docking Module (PDM)....................225
6.10 Bluetooth Peripherals..........................228
6.11 The 7530 G2 Picker Cradle . ......................228
6.11.1Picker Cradle Mounting Recommendations...........229
6.11.2Wiring Guidelines........................230
6.11.3Using The Picker Cradle.....................230
6.11.4Maintaining The Picker Cradle.................230
6.11.5 Powered Cradle Installation In High Voltage Vehicles . . . . . 231
6.11.6Powered Cradle Installation...................231
6.11.7The Port Replicator.......................233
Contents
vi Psion Teklogix 7530 G2 Hand-Held Computer User Manual
6.12 Tether Adaptor Cables..........................234
Chapter 7: Specifications
7.1 7530 G2 Hand-Held Computer Specifications .............237
7.2 Radio Specifications...........................239
7.3 Internal Scanner Port...........................240
7.4 RFID Applications............................240
7.5 External Scanners............................240
7.6 Internal Scanner Specifications.....................240
7.6.1 SE 1200 High Performance & Long Range Specs. . ......241
7.6.2 SE 1200 Advanced Long Range & SE 2223PDF Specs.....241
7.6.3 SE 1224HP Scanner Specifications . . . ............243
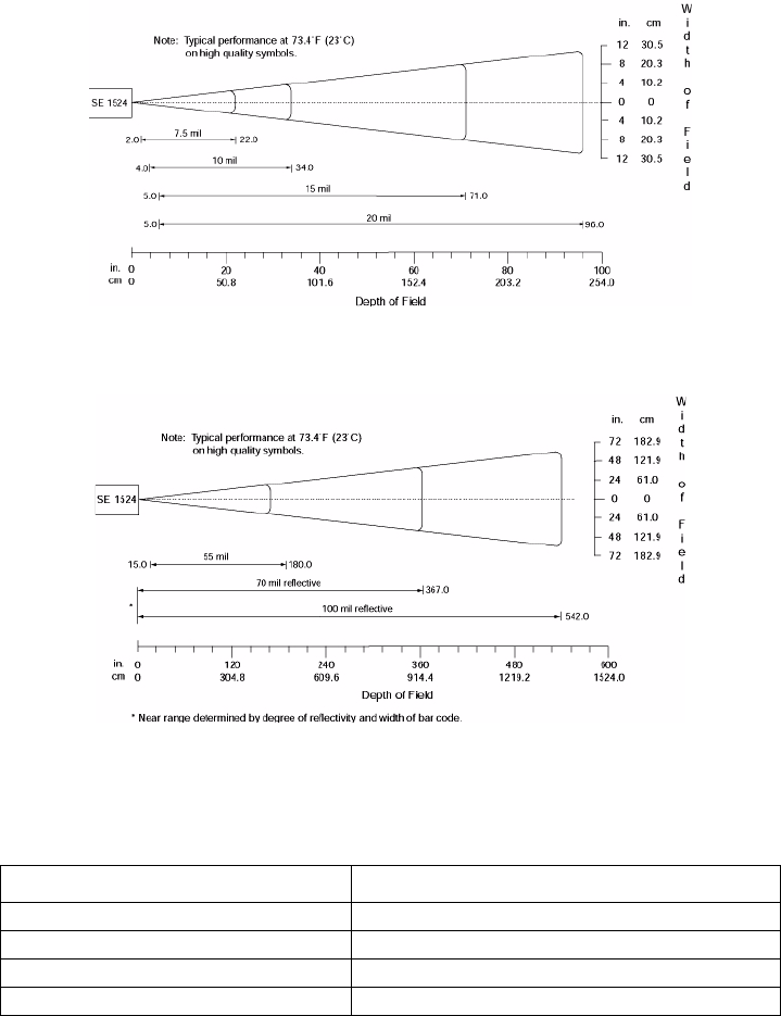
7.6.4 SE 1524ER – Extended Range Scanner Specifications .....244
7.6.5 EV15 Imager Specifications...................245
7.6.6 SX5303 Imager Specifications ..................247
7.7 1900 mAh Lithium-Ion Battery Pack..................247
7.8 2400 mAh Lithium-Ion Battery Pack..................248
Appendix A: Support Services And Worldwide Offices
A.1 Technical Support . . . .........................A-1
A.2 Product Repairs .............................A-1
A.3 Worldwide Offices............................A-2
Appendix B: Port Pinouts
B.1 Tether Port Pinout . . . .........................B-1
B.2 Docking Station Connector .......................B-1
B.3 Battery Contacts.............................B-2
B.4 JB5 To USB Type B Cable - PN CA1020 ................B-3
B.5 JB5 To RS-232 Serial Cable - PN CA1010 . . . ............B-3
Appendix C: USB Setup Application
C.1 USB Setup................................C-1
C.1.1 Launching The Application...................C-2
C.1.2 Installation Complete Dialog Box................C-3

Psion Teklogix 7530 G2 Hand-Held Computer User Manual I
PROGRAM LICENSE AGREEMENTS
Microsoft's End User License Agreement
You have acquired a device (“DEVICE”) that includes software licensed by Psion Teklogix
Inc. from Microsoft Licensing Inc. or its affiliates (‘MS”). Those installed software products
of MS origin, as well as associated media, printed materials, and “online” or electronic doc-
umentation (“SOFTWARE”) are protected by international intellectual property laws and
treaties. The SOFTWARE is licensed, not sold. All rights reserved.
IF YOU DO NOT AGREE TO THIS END USER LICENSE AGREEMENT (“EULA”),
DO NOT USE THE DEVICE OR COPY THE SOFTWARE. INSTEAD, PROMPTLY
CONTACT PSION TEKLOGIX INC. FOR INSTRUCTIONS ON RETURN OF THE
UNUSED DEVICE(S) FOR A REFUND. ANY USE OF THE SOFTWARE, INCLUD-
ING BUT NOT LIMITED TO USE ON THE DEVICE, WILL CONSTITUTE YOUR
AGREEMENT TO THIS EULA (OR RATIFICATION OF ANY PREVIOUS CON-
SENT).
GRANT OF SOFTWARE LICENSE. This EULA grants you the following license:
• You may use the SOFTWARE only on the DEVICE.
•NOT FAULT TOLERANT. THE SOFTWARE IS NOT FAULT TOLERANT.
PSION TEKLOGIX INC. HAS INDEPENDENTLY DETERMINED HOW TO
USE THE SOFTWARE IN THE DEVICE, AND MS HAS RELIED UPON
PSION TEKLOGIX INC. TO CONDUCT SUFFICIENT TESTING TO DETER-
MINE THAT THE SOFTWARE IS SUITABLE FOR SUCH USE.
• NO WARRANTIES FOR THE SOFTWARE. THE SOFTWARE is provided
“AS IS” and with all faults. THE ENTIRE RISK AS TO SATISFACTORY
QUALITY, PERFORMANCE, ACCURACY, AND EFFORT (INCLUDING
LACK OF NEGLIGENCE) IS WITH YOU. ALSO, THERE IS NO WAR-
RANTY AGAINST INTERFERENCE WITH YOUR ENJOYMENT OF
THE SOFTWARE OR AGAINST INFRINGEMENT. IF YOU HAVE
RECEIVED ANY WARRANTIES REGARDING THE DEVICE OR THE SOFT-
WARE, THOSE WARRANTIES DO NOT ORIGINATE FROM, AND ARE NOT
BINDING ON, MS.
•Note on Java Support. The SOFTWARE may contain support for programs
written in Java. Java technology is not fault tolerant and is not designed, manufac-
tured, or intended for use or resale as online control equipment in hazardous envi-
ronments requiring fail-safe performance, such as in the operation of nuclear
License Agreement
II Psion Teklogix 7530 G2 Hand-Held Computer User Manual
facilities, aircraft navigation or communication systems, air traffic control, direct
life support machines, or weapons systems, in which the failure of Java technology
could lead directly to death, personal injury, or severe physical or environmental
damage. Sun Microsystems, Inc. has contractually obligated MS to make this dis-
claimer.
• No Liability for Certain Damages. EXCEPT AS PROHIBITED BY LAW, MS
SHALL HAVE NO LIABILITY FOR ANY INDIRECT, SPECIAL, CONSE-
QUENTIAL OR INCIDENTAL DAMAGES ARISING FROM OR IN CON-
NECTION WITH THE USE OR PERFORMANCE OF THE SOFTWARE.
THIS LIMITATION SHALL APPLY EVEN IF ANY REMEDY FAILS OF
ITS ESSENTIAL PURPOSE. IN NO EVENT SHALL MS BE LIABLE FOR
ANY AMOUNT IN EXCESS OF U.S. TWO HUNDRED FIFTY DOLLARS
(U.S.$250.OO).
•Limitations on Reverse Engineering, Decompilation, and Disassembly. You
may not reverse engineer, decompile, or disassemble the SOFTWARE, except and
only to the extent that such activity is expressly permitted by applicable law not-
withstanding this limitation.
•SOFTWARE TRANSFER ALLOWED BUT WITH RESTRICTIONS. You
may permanently transfer rights under this EULA only as part of a permanent sale
or transfer of the Device, and only if the recipient agrees to this EULA. If the
SOFTWARE is an upgrade, any transfer must also include all prior versions of the
SOFTWARE.
•EXPORT RESTRICTIONS. You acknowledge that SOFTWARE is subject to
U.S. export jurisdiction. You agree to comply with all applicable international and
national laws that apply to the SOFTWARE, including the U.S. Export Administra-
tion Regulations, as well as end-user, end-use and destination restrictions issued by
U.S. and other governments. For additional information see
http://www.microsoft.com/exporting/.
Psion Teklogix Inc. End User License Agreement
IMPORTANT – READ CAREFULLY:
This License Agreement (“Agreement”) is a legal agreement between you and Psion Tek-
logix (“we”), the licensor of this software package (“Software”), for your use of the Soft-
ware only as authorized in this Agreement.
By clicking on the “Accept” or other appropriate assent button and/or installing the Soft-
ware, you agree to be and are hereby bound by the terms and conditions of this Agreement.
If you do not agree with this Agreement, we do not grant you a license to the Software, and
you may not install or use the Software or any accompanying documentation.
Psion Teklogix 7530 G2 Hand-Held Computer User Manual III
License Agreement
The Software is the property of Psion Teklogix Inc. or its licensors and is protected by copy-
right laws and international copyright treaties, as well as other intellectual property laws and
treaties. The Software is licensed, not sold. Psion Teklogix Inc. provides the Software and
licenses its use worldwide. You assume responsibility for the selection of the Software to
achieve your intended results, and for the use and results obtained from it.
1. GRANT OF LICENSE
We hereby grant you and you hereby accept a non-exclusive, non-transferable, limited
license to install and use the Software in object code form only, subject to the terms and
restrictions set forth in this Agreement. Except as explicitly set forth below, (i) you are not
permitted to copy, sell, lease or rent, distribute or sublicense the Software or to use the Soft-
ware in a time-sharing arrangement or in any other unauthorized manner; (ii) no license is
granted to you in the human readable code of the Software (source code); and (iii) this
Agreement does not grant you any rights to patents, copyrights, trade secrets, trademarks,
intellectual property or any other ownership rights with respect to the Software.
2. DESCRIPTION OF REQUIREMENTS, RESTRICTIONS, RIGHTS AND
LIMITATIONS
a. Copy. The right and license granted to you shall be limited to installation and use
of the Software up to but not exceeding the number of copies you have licensed.
However, you may make a copy of the Software for backup or archival purposes.
You shall not remove any copyright notice or proprietary notices, labels or marks
in or on the Software.
b. Evaluation. As part of evaluation, you may install and use the Software only
during the specified evaluation period. Unless you register the license as
described below, the evaluation license shall expire upon the expiration of the
evaluation period.
c. License Registration. You will be required to provide a license ID, unique to
each device, for registering your Software license. As part of your software
license registration, we will provide you a corresponding license key for each
device.
d. No Modifications. You may not modify or create any derivative work of the
Software or any copy or portion thereof nor may you remove any Software iden-
tification, copyright or other notices.
e. No Distribution. You may not distribute the Software, in whole or in part, to any
other third party.
f. Virus Program. You may not develop or knowingly incorporate any virus pro-
gram that may be harmful to a computer or a network in conjunction with the
Software, or use the Software for any other purpose as which may be harmful to
a third party.
g. Assignment. You may not assign or transfer the Software to a third party or
allow a third party to use the same.
h. Reverse Engineering. Modification, reverse engineering, reverse compiling,
License Agreement
IV Psion Teklogix 7530 G2 Hand-Held Computer User Manual
disassembly, unbundling or extraction of the Software is expressly prohibited.
i. Export Restrictions. You agree to comply with all applicable laws and regula-
tions and that you will not export or re-export the Software, or any part or copies
thereof, or any products utilizing the Software in violation of applicable laws or
regulations of the United States or the country in which you obtained them.
3. HIGH RISK ACTIVITIES
The Software is not fault-tolerant and is not designed, manufactured or intended for use or
resale as on-line control equipment in hazardous environments requiring fail-safe perfor-
mance, such as in the operation of nuclear facilities, aircraft navigation or communication
systems, air traffic control, direct life support machines, or weapons systems, in which the
failure of the Software could lead to death, personal injury, or severe physical or environ-
mental damage (“High Risk Activities”). We specifically disclaim any express or implied
warranty of fitness for High Risk Activities.
4. DISCLAIMER OF WARRANTY
We do not warrant uninterrupted or error free operation of the Software nor do we warrant
that the Software will meet your requirements. THE SOFTWARE IS PROVIDED “AS-IS”
WITHOUT ANY WARRANTY WHATSOEVER AND WITHOUT ANY TECHNICAL
SUPPORT OF ANY KIND. WE DISCLAIM ANY AND ALL REPRESENTATIONS,
WARRANTIES AND CONDITIONS, WHETHER EXPRESS OR IMPLIED, INCLUD-
ING, BUT NOT LIMITED TO, THE IMPLIED WARRANTIES OR CONDITIONS OF
MERCHANTABLE QUALITY OR FITNESS FOR A PARTICULAR PURPOSE. WE DO
NOT WARRANT OR MAKE ANY REPRESENTATIONS REGARDING THE USE OR
THE RESULTS OF THE USE OF THE SOFTWARE IN TERMS OF ITS CORRECT-
NESS, ACCURACY, RELIABILITY, USE WITH FUTURE PSION TEKLOGIX
DEVICES INTRODUCED, OR OTHERWISE. YOU EXPRESSLY ACKNOWLEDGE
AND AGREE THAT USE OF THE SOFTWARE IS AT YOUR SOLE RISK AND YOU
ARE RESPONSIBLE FOR INSTALLATION OF THE SOFTWARE ON YOUR COM-
PUTER.
5. LIMITATION OF LIABILITY
We are liable for no more than the value of the license fee that you paid for the Software.
This limitation is cumulative and our responsibility for multiple claims will not exceed in
aggregate this limit.
Under no circumstances are we or our third party suppliers liable for damages of third parties
claimed against you, or for harm to your records or data, or special, incidental, indirect, or
consequential damages, including but not limited to lost profits, lost business revenue or fail-
ure to realize expected savings, loss of data, loss of use of the Software or any associated
equipment, downtime and user’s time, even if you informed us of their possibility, or for
breach of any express or implied warranty, breach of contract, negligence, strict liability or
any other legal theory related to the Software. This limitation applies whether you are enti-
tled to claim damages from us or our third party suppliers as a matter of contract or tort.
Psion Teklogix 7530 G2 Hand-Held Computer User Manual V
License Agreement
6. COPYRIGHTS, OWNERSHIP AND PROPRIETARY RIGHTS
All title and copyrights in and to the Software, and any copies thereof, are owned by Psion
Teklogix Inc. or its suppliers. The Software also contains copyrighted material licensed from
our suppliers or obtained from open source and all rights to such copyrighted material rests
with such suppliers. Additional third party license terms and conditions may apply. We
retain title to the Software and any copies made from it. Any copies of the Software you
made are subject to the restrictions of this Agreement.
WE DISCLAIM ALL WARRANTIES AND INDEMNITIES, EXPRESS, IMPLIED OR
STATUTORY, FOR PATENT OR COPYRIGHT INFRINGEMENT.
7. CONFIDENTIALITY
You agree not to use or disclose any proprietary information provided by us, except for the
purposes of this Agreement. You agree not to reproduce any of the copyrighted materials
unless expressly permitted by this Agreement.
8. ENDING THIS AGREEMENT
We may terminate this Agreement and your license immediately without notice if (a) you
fail to comply with any term of this Agreement, or (b) your rights are assigned by you, by
operation of law or otherwise. In such event, you must return or destroy all copies and com-
ponent parts of the Software and documentation, as well as any other Psion Teklogix propri-
etary information in your possession, within fourteen (14) days of the date of termination.
Any rights and obligations under this Agreement that by their nature continue after it ends
will remain in effect until they are completed.
9. GENERAL
The laws of the Province of Ontario and the federal laws applicable therein, excluding the
conflict of laws provisions, govern this Agreement. If any provision of this Agreement is
deemed invalid or unenforceable by any country, that particular provision will be deemed
modified to the extent necessary to make the provision valid and enforceable, and the
remaining provisions will remain in full force and effect. Failure by us to insist on strict per-
formance or to exercise a right when entitled, does not prevent us from doing so at a later
time, either in relation to that default or any subsequent one.
No modifications of this Agreement shall be effective unless in writing and approved by us.
You acknowledge that you have read this Agreement, understand it, and that it is the com-
plete agreement between you and Psion Teklogix with respect to the subject matter hereof
and supersedes all prior agreements, oral or written.

Psion Teklogix 7530 G2 Hand-Held Computer User Manual VII
APPROVAL AND SAFETY SUMMARY
FCC DECLARATION OF CONFORMITY (DoC)
Applicant’s Name & Address: PSION TEKLOGIX
2100 Meadowvale Blvd.
Mississauga, Ontario
Canada L5N 7J9
Contact Person: Iain Roy
Telephone No.: (905) 813-9900
US Representative’s Name & Address: 1810 Airport Exchange Blvd., Suite 500
Erlanger, KY, 41018, USA
Contact Person: Kyle Day
Telephone No.: (859) 372-4329
Equipment Type/Environment: Computing Devices
Trade Name / Model No.: 7530 G2 Hand-Held Micro-computer with
Portable Docking Module
Year of Manufacture: 2006
Standard(s) to which Conformity is Declared:
The 7530 G2 Hand Held Micro-computer with Portable Docking Module, supplied by
Psion Teklogix, has been tested and found to comply with FCC PART 15, SUBPART B -
UNINTENTIONAL RADIATORS, CLASS B COMPUTING DEVICES FOR
HOME & OFFICE USE.
I, the undersigned, hereby declare that the equipment as tested is representative within
manufacturing tolerance to units.
Applicant Legal Representative in U.S.
Signature Signature
Mike Doyle Kyle Day
Full Name Full Name
Vice President, Engineering Vice President, Channel Sales
Position Position
Mississauga, Ontario, Canada Erlanger, KY 41018, USA
Place Place
June 2006 June 2006
Date Date
Approvals And Safety Summary
VIII Psion Teklogix 7530 G2 Hand-Held Computer User Manual
CE Marking
When used in a residential, commercial or light industrial environment the product
and its approved UK and European peripherals fulfil all requirements for CE marking.
R&TTE Directive 1999/5/EC
This equipment complies with the essential requirements of EU Directive
1999/5/EC (Declaration available: www.psionteklogix.com).
Cet équipement est conforme aux principales caractéristiques définies dans la
Directive européenne RTTE 1999/5/CE. (Déclaration disponible sur le site:
www.psionteklogix.com).
Die Geräte erfüllen die grundlegenden Anforderungen der RTTE-Richtlinie
(1999/5/EG). (Den Wortlaut der Richtlinie finden Sie unter:
www.psionteklogix.com).
Questa apparecchiatura è conforme ai requisiti essenziali della Direttiva Europea
R&TTE 1999/5/CE. (Dichiarazione disponibile sul sito: www.psionteklogix.com).
Este equipo cumple los requisitos principales de la Directiva 1995/5/CE de la UE,
“Equipos de Terminales de Radio y Telecomu-nicaciones”. (Declaración disponible
en: www.psionteklogix.com).
Este equipamento cumpre os requisitos essenciais da Directiva 1999/5/CE do
Parlamento Europeu e do Conselho (Directiva RTT). (Declaração disponível no
endereço: www.psionteklogix.com).
Ο εξοπλισμός αυτός πληροί τις βασικές απαιτήσεις της κοινοτικής οδηγίας EU
R&TTE 1999/5/EΚ. (Η δήλωση συμμόρφωσης διατίθεται στη διεύθυνση:
www.psionteklogix.com)
Deze apparatuur voldoet aan de noodzakelijke vereisten van EU-richtlijn
betreffende radioapparatuur en telecommunicatie-eindappa-ratuur 199/5/EG.
(verklaring beschikbaar: www.psionteklogix.com).
Dette udstyr opfylder de Væsentlige krav i EU's direktiv 1999/5/EC om Radio- og
teleterminaludstyr. (Erklæring findes på: www.psionteklogix.com).
Dette utstyret er i overensstemmelse med hovedkravene i R&TTE-direktivet
(1999/5/EC) fra EU. (Erklæring finnes på: www.psionteklogix.com).
Utrustningen uppfyller kraven för EU-direktivet 1999/5/EC om ansluten
teleutrustning och ömsesidigt erkännande av utrustningens överensstämmelse
(R&TTE). (Förklaringen finns att läsa på: www.psionteklogix.com).
Psion Teklogix 7530 G2 Hand-Held Computer User Manual IX
Approvals And Safety Summary
Tämä laite vastaa EU:n radio- ja telepäätelaitedirektiivin (EU R&TTE Directive
1999/5/EC) vaatimuksia. (Julkilausuma nähtävillä osoitteessa:
www.psionteklogix.com).
Psion Teklogix tímto prohlašuje, že 7530 G2 je ve shodě se základními požadavky a
dalšími příslušnými ustanoveními směrnice 1995/5/ES (NV č. 426/2000 Sb.) a
Prohlášení o shodě je k dispozici na www.psionteklogix.com. Toto zarízení lze
provozovat v České republice na základě generální licence č. GL-12/R/2000.
Psion Teklogix týmto vyhlasuje, že 7530 G2 spĺňa základné požiadavky a všetky
príslušné ustanovenia Smernice 1995/5/ES (NV č. 443/2001 Z.z.) a Vyhlásenie o
zhode je k dispozícii na www.psionteklogix.com. Toto zariadenie je možné
prevádzkovat’ v Slovenskej republike na základe Všeobecného povolenia č. VPR-
01/2001.
Use of the 802.11g 7530 G2 Hand-Held in France:
Owing to French Government restrictions, the 802.11g 7530 G2 Hand-Held
Computer is limited to indoor use. It may be used outdoors, on private property,
only with prior authorization from the French Ministry of Defense.
FCC Information To Users
Federal Communication Commission Interference Statement
This equipment has been tested and found to comply with the limits for a Class B
digital device, pursuant to Part 15 of the FCC Rules. These limits are designed to
provide reasonable protection against harmful interference in a residential
installation. This equipment generates, uses and can radiate radio frequency energy
and, if not installed and used in accordance with the instructions, may cause harmful
interference to radio communications. However, there is no guarantee that
interference will not occur in a particular installation.
If this equipment does cause harmful interference to radio or television reception,
which can be determined by turning the equipment off and on, the user is
encouraged to try to correct the interference by one of the following measures:
• Reorient or relocate the receiving antenna.
• Increase the separation between the equipment and receiver.
• Connect the equipment into an outlet on a circuit different from that to which
the receiver is connected.
• Consult the dealer or an experienced radio/TV technician for help.
L

Approvals And Safety Summary
XPsion Teklogix 7530 G2 Hand-Held Computer User Manual
This device complies with Part 15 of the FCC Rules. Operation is subject to the
following two conditions:
1. This device may not cause harmful interference, and
2. This device must accept any interference received, including interfer-
ence that may cause undesired operation.
FCC Caution: Any changes or modifications not expressly approved by the party
responsible for compliance could void the user's authority to operate this equipment.
IMPORTANT NOTE:
FCC Radiation Exposure Statement:
This equipment complies with FCC radiation exposure limits set forth for an
uncontrolled environment under 47 CFR 2.1093 paragraph (d)(2), for use in a PDA.
End users must follow the specific operating instructions for satisfying RF
exposure compliance.
This transmitter must not be co-located or operating in conjunction with any other
antenna or transmitter.
Some equipment in hospitals and aircraft are not shielded from radio frequency
energy. Do not use the 7530 G2 hand-held onboard aircraft, or in hospitals, without
first obtaining permission.
Do not use near pacemakers. The product may affect the operation of some
medically implanted devices such as pacemakers, causing them to malfunction.
Avoid placing your product next to such devices. Keep a minimum distance of 20
cm between the device and the product to reduce the risk of interference. If you have
any reason to suspect that interference is taking place, turn off the 7530 G2 hand-
held and contact your cardiologist for assistance.
Note: To maintain compliance with the FCC RF exposure guidelines, if
you wear the 7530 G2 on your body, use the Psion Teklogix approved
carrying case.
Use of non-approved accessories may violate FCC RF exposure guidelines.

Psion Teklogix 7530 G2 Hand-Held Computer User Manual XI
Approvals And Safety Summary
Emissions Information For Canada
This Class B digital apparatus meets all requirements of the Canadian Interference-
Causing Equipment Regulations. When using the 802.11 radio option, to prevent
radio interference, this device is intended to be operated indoors and away from
windows to provide maximum shielding. Equipment (or its transmit antenna) that is
installed outdoors is subject to licensing.
Cet appareil numérique de la classe B respecte toutes les exigences du Règlement
sur le matériel brouilleur du Canada. En cas d’utilisation du module radio 802.11,
afin d'éviter toute interférence radio avec le service autorisé, l'appareil doit être
utilisé à l'intérieur, tout en tant éloigné de toute fenêtre afin de garantir le maximum
de protection. Si cet équipement (ou son antenne émettrice) est installé à l'extérieur,
il est alors soumis à licence.
Warning to Users
This product is a Class I/Class II laser product according to CDRH 21 CFR 1040.10
and 1040.11 and Class1/Class 2 laser product according to IEC 60825-
1:1993+A1:1997+A2:2001.
LASER WARNINGS
For your own safety, it is critical that you comply with the following warnings:
CAUTION
Do not look into the laser beam or point the beam at people or animals.
CAUTION
Using controls or adjustments, or performing procedures other than those
specified herein may result in hazardous radiation exposure.
CAUTION
The use of optical instruments (magnification devices) with this product
will increase eye hazard.
DO NOT OPERATE IN AN EXPLOSIVE ATMOSPHERE
Operating Psion Teklogix equipment where explosive gas is present may
result in an explosion.

Approvals And Safety Summary
XII Psion Teklogix 7530 G2 Hand-Held Computer User Manual
DO NOT REMOVE COVERS OR OPEN ENCLOSURES
To avoid injury, the equipment covers and enclosures should only be
removed by qualified service personnel. Do not operate the equipment
without the covers and enclosures properly installed.
CAUTION!
Danger of explosion if a 7530 G2 battery is incorrectly handled, charged,
disposed of or replaced. Replace only with the same or equivalent type
recommended by the manufacturer. Dispose of used batteries according to
the instructions described in “Lithium-Ion Battery Safety Precautions” on
page XII. Carefully review all battery safety issues.
VORSICHT!
Explosiongefahr bei unsachgemäßem Austausch der Batterie Ersatz nur
durch denselben oder einen vom Hersteller empfohlenen gleichwertigen
Typ. Entsorgung gebrauchter Batterien nach Angaben des Herstellers.
LITHIUM-ION BATTERY SAFETY PRECAUTIONS
Important: Before charging or using the battery pack, it is critical that the
safety information in this section is reviewed and that all warn-
ings are strictly followed.
Warning: BATTERIES ARE CONSIDERED HAZARDOUS WASTE and
must be returned to Psion Teklogix for proper disposal. Forward all
used batteries to one of the following offices:
Psion Teklogix Inc. Psion Teklogix Corp.
2100 Meadowvale Blvd. 1810 Airport Exchange Blvd.
Mississauga, Ontario Suite 500
Canada Erlanger, Kentucky
L5N 7J9 USA 41018
Psion Teklogix S.A.
La Duranne, 135 Rue Rene Descartes
BP 421000, 13591 Aix-En-Provence
Cedex 3; France

Psion Teklogix 7530 G2 Hand-Held Computer User Manual XIII
Approvals And Safety Summary
Warning: TO PREVENT the battery from leaking acid, generating heat or
exploding, adhere to precautions listed below.
• The battery incorporates built-in safety devices. To ensure
their proper function, do not disassemble or alter any parts
of the battery.
• Do not short-circuit the battery by directly connecting any of the
exposed terminals with metal objects such as wire. Do not trans-
port or store the battery together with metal objects such as neck-
laces, hair pins, etc.
• Do not dispose of batteries in fire.
• Do not use or leave the battery near a heat source such as a fire
or heater.
• Do not immerse the battery in water.
• When charging, use the battery charger specifically designed for
the battery.
• Do not pierce, strike, throw or step on the battery.
• Do not directly solder the battery.
• Do not connect the battery to an electrical outlet, vehicle
cigarette lighter, etc.
• Do not put battery into a microwave oven or pressurized con-
tainer.
• Do not use the battery in combination with primary batteries (such
as dry-cell batteries) or batteries of different capacities or brands.
• Immediately remove the battery from the device or battery
charger and stop use if the battery gives off an odor, generates
heat, becomes discoloured or deformed, or in any way appears
abnormal during use.
• Do not continue charging the battery if it does not recharge within
the specified charge time.
• The battery may burst or ignite if the battery leaks. Always ensure
that it is away from any exposed flames.
• If leaking electrolyte sprays into your eyes, rinse them with clean
running water, and immediately seek medical attention.
• Do not store the battery in extremely high temperatures (e.g., a
vehicle, strong direct sunlight, etc.). This may cause the battery to
overheat or ignite, and it may also reduce the performance and
service life of the battery.
• Do not use in areas where static electricity is greater than what the
manufacturer guarantees.
• Keep batteries out of reach of children.

Approvals And Safety Summary
XIV Psion Teklogix 7530 G2 Hand-Held Computer User Manual
• Always switch the unit off before changing the battery. While the
battery is being replaced, the 7530 G2 will save its current data for
at least 10 minutes.
IMPORTANT CHARGER AND AC/DC ADAPTOR SAFETY INSTRUCTIONS
•SAVE THESE INSTRUCTIONS – This manual contains important safety
and operating instructions for battery chargers and AC/DC adaptors.
• Before using the battery charger or AC/DC adaptor, read all instructions and
cautionary markings on the (1) AC/DC adaptor, (2) battery charger, (3) bat-
tery, and (4) product using the battery.
• The mains power cord shall comply with national safety regulations of the
country where the equipment is to be sold.
• Use of an attachment not recommended or sold by the battery charger or
AC/DC adaptor manufacturer may result in fire, electric shock, or
personal injury.
• To reduce risk of damage to the electric plug and cord when unplugging the
charger or AC/DC adaptor, pull the plug rather than the cord.
• Make sure the cord is positioned so that it is not stepped on, tripped over,
or otherwise subjected to damage or stress.
• Do not operate the charger or AC/DC adaptor with a damaged cord or plug.
Replace immediately.
• Do not operate the charger or AC/DC adaptor if it has received a sharp blow,
been dropped, or otherwise damaged in any way; it should be inspected by
qualified service personnel.
• Do not disassemble the charger or AC/DC adaptor; it should be repaired by
qualified service personnel. Incorrect reassembly may result in electric shock
or fire.
• To reduce risk of electric shock, unplug the charger or AC/DC adaptor from
the outlet before attempting any maintenance or cleaning.
• An extension cord should not be used unless absolutely necessary. Use of an
improper extension cord could result in fire or electric shock.
• If an extension cord must be used, make sure:
• The plug pins on the extension cord are the same number, size,
and shape as those on the charger or AC/DC adaptor.
• The extension cord is properly wired and in good electrical
condition and that the wire size is larger than 16 AWG.
• Do not expose the charger or AC/DC adaptor to rain or snow.
Psion Teklogix 7530 G2 Hand-Held Computer User Manual XV
Approvals And Safety Summary
• Do not use the charger if, after an overnight charge, any of the batteries feel
warmer than the charger housing. The charger should be inspected by
qualified service personnel.
• Do not use the charger if any of the batteries or the charger get more than
lukewarm. Do not use the AC/DC adaptor if it gets more than lukewarm. The
equipment should be inspected by qualified personnel.

Psion Teklogix 7530 G2 Hand-Held Computer User Manual 1
INTRODUCTION 1
1.1 About This Manual..............................3
1.2 Text Conventions . . . . . . . . . . . . . . . . . . . . . . . . . . . . . . . 4
1.3 7530 G2 Features...............................4
1.4 About The 7530 G2 Hand-Held Computer..................7
1.4.1 The 7530 G2 Hand-Held Computer . . . . . . . . . . . . . . . . . . 8
1.4.2 Regulatory Labels ...........................9
Psion Teklogix 7530 G2 Hand-Held Computer User Manual 3
Chapter 1: Introduction
About This Manual
1.1 About This Manual
This manual describes how to configure, operate and maintain the Psion Teklogix
7530 G2 hand-held computer.
Chapter 1: Introduction
provides a basic overview of the 7530 G2 hand-held.
Chapter 2: Basic Checkout
describes the steps required to get the 7530 G2 ready for operation.
Chapter 3: Getting To Know Your 7530 G2
describes the 7530 G2 features and outlines how to charge and maintain the bat-
tery. This chapter also provides a description of the keyboard, how to navigate
in Microsoft Windows CE, how to use the internal scanner, and so on.
Chapter 4: Working With Windows CE
describes the Microsoft Windows CE desktop and how to use it. This chapter
also outlines the basics of moving around a Windows CE window, selecting and
opening icons, files, folders and working with a Windows dialog box.
Chapter 5: Configuration
provides a description of the Windows CE Control Panel and how to use it to
configure the 7530 G2, along with the scanners attached to the hand-held,
and so on.
Chapter 6: Peripheral Devices & Accessories
describes the peripherals and accessories available for your 7530 G2 hand-held.
Chapter 7: Specifications
details radio, hand-held computer and battery specifications.
Appendix A: Support Services And Worldwide Offices
provides helpdesk phone numbers and provides web-based information to help
you search for worldwide office addresses and phone numbers.
Appendix B: Port Pinouts
includes 7530 G2 pinouts.
Appendix C: USB Setup Application
provides detailed instructions on USB application setup.

Chapter 1: Introduction
Text Conventions
4Psion Teklogix 7530 G2 Hand-Held Computer User Manual
1.2 Text Conventions
Note: Notes highlight additional helpful information.
Important: These statements provide particularly important instructions
or additional information that is critical to the operation of
the equipment.
Warning: These statements provide critical information that may prevent
physical injury, equipment damage or data loss.
1.3 7530 G2 Features
• Rugged design:
• IP67 rating protects against dust and temporary water immersion.
• drop rating up to 2 meters (6.5 feet) onto concrete.
• Processor and memory:
• 520 MHz XScale PXA 270 processor
• On-board RAM: 128MB SDRAM
• On-board ROM: 64MB FLASH
• Operating System:
• Windows CE 5.0
• Programming environment:
• HTML, XML
• Mobile Devices SDK
• CE.NET SDK
• Java, Visual C++
• Standard protocol APIs - Windows sockets (WinCE)
• Wireless communications:
• IEEE 802.11g 54Mbps 2.4 GHz Compact Flash radio
• Narrow Band 403-512 MHz PC Card radio
• On-board Bluetooth radio 2.4 GHz (10m range)
Psion Teklogix 7530 G2 Hand-Held Computer User Manual 5
Chapter 1: Introduction
7530 G2 Features
• Application software:
• Internet Explorer 6 for CE
•Wordpad
• Active Sync
• Optimized for use with Open TekTerm V2.0
• ANSI
• TESS terminal emulations
• IBM 3270, IBM 5250, HP 2392
• User Interface:
•Display:
- 320 x 240 (1/4 VGA) graphic colour TFT
- 3.5" diagonal portrait mode
- 64K displayable colours
- Contrast control and automatic backlight
- Sunlight readable (for outdoor use)
• Keyboards:
- 2 formats available
- 37-key large button (10 F-keys)
- 63-key alpha (10 F-keys)
- Illuminated with EL backlight
- Ergonomic design with ambidextrous one-hand operation with
dual [ENTER] keys
- Dedicated function keys
- Hard-capped keys
• Touchscreen options:
- Passive stylus or finger operation
- Signature capture
- Integral stylus holder
- Ultra-rugged 5-wire technology
• Sound:
- Voice Features - speaker and mic
Chapter 1: Introduction
7530 G2 Features
6Psion Teklogix 7530 G2 Hand-Held Computer User Manual
• Indicators and controls:
• Internal speaker & beeper with volume control, internal mic
• Multicolour LEDs for radio transmit/receive, scanning, battery status,
user applications
• Internal Bar Code Scanners:
• 1D & 2D scan engines:
•Standard
• Long Range
• Advanced Long Range
• Enhanced Standard Range (Fuzzy Logic)
• PDF417 Raster Laser
• 1D Auto-Ranging
• 1D Standard Imager
• 2D Standard Imager
• RFID Applications (future release):
• Tethered reader/writer
• Multi-protocol support @ 900MHz/ 868 MHz (future)
• Internal expansion slots:
• One SD I/O (MultiMediaCard) slot
• One Type II Compact Flash slot
• One Type III Extended PC Card slot
• External ports:
• Tether port with:
-RS232 serial
- decoded/undecoded scanner, printer
-USB host
• Docking Station Port with:
-RS232 serial
- USB device support
- USB host support
- Power in/out
Psion Teklogix 7530 G2 Hand-Held Computer User Manual 7
Chapter 1: Introduction
About The 7530 G2 Hand-Held Computer
• Freezer option:
• Heated scan window to reduce fogging
• Internal heat control optimizes low temperature performance and
battery life
• Power management:
• Up to 12 hr usage Li-Ion standard battery (reduced in
freezer applications)
• Optional High capacity battery (up to 17 hrs) (reduced in
freezer applications)
• Quick swap packs
• Advanced Smart Battery with gas gauge
• Built-in fast charger (2hrs)
• System backup during battery swap (15 min)
• 1 week real-time clock backup
• Network Management And Security:
• SNMP MIB 2 support
• Remote software download
• Remote WLAN management
• Enhanced security for 802.11
1.4 About The 7530 G2 Hand-Held Computer
The 7530 G2 is a rugged, Windows CE based hand-held computer. It is designed to
withstand the harshest mobile environments including cold environments like
freezers, ports and yards. It supports wide area mobile applications and is built using
industry standards-based software and hardware components, making it easy to
integrate existing or future site infrastructures.

Chapter 1: Introduction
The 7530 G2 Hand-Held Computer
8Psion Teklogix 7530 G2 Hand-Held Computer User Manual
1.4.1 The 7530 G2 Hand-Held Computer
Figure 1.1 7530 G2 With 63-Key Keyboard

Psion Teklogix 7530 G2 Hand-Held Computer User Manual 9
Chapter 1: Introduction
Regulatory Labels
Figure 1.2 7530 G2 Ports
1.4.2 Regulatory Labels
Figure 1.3 Laser Warning Label
Figure 1.4 LED Radiation Notice Label
Tether Port
Docking Port
This label is affixed below the scanner window.
MODEL No: 7530 G2 Handheld
610-680nm LASER (LED)DIODE
Max.Output:1.4mW (SCAN ) <1mW(AIM)
IEC 60825-1:1993+A1:1997+A2:2001
LASER RADIATION
DO NOT STARE INTO BEAM
CLASS 2 LASER PRODUCT (IEC)
CLASS II LASER PRODUCT (CDRH)
1080259E
MODEL No: 7530 G2 Handheld
1080258A
IEC 60825-1:1993+A1:1997+A2:2001
LED RADIATION
CLASS 1 LED PRODUCT (IEC)
CLASS I LED PRODUCT (CDRH)
This product contains an imager
that uses an LED light source
to illuminate barcodes

Psion Teklogix 7530 G2 Hand-Held Computer User Manual 11
BASIC CHECKOUT 2
2.1 Preparing The 7530 G2 For Operation...................13
2.1.1 Equipment You Need To Get Started.................13
2.1.2 Charging The Battery.........................13
2.1.3 Installing The Battery.........................14
2.1.4 Switching On The Hand-Held....................14
2.1.5 Attaching Carrying Accessories...................15
2.1.5.1 Attaching The Handstrap..................15
2.1.5.2 Attaching The Pistol Grip..................16
2.2 Calibrating The Touchscreen........................16
2.3 Configuring An IEEE 802.11 Radio In The Unit . . . . . . . . . . . . . . 17
2.3.1 Assigning An IP Address.......................23
2.3.2 Name Servers Tab ..........................24
2.3.3 Advanced Features..........................25
2.3.3.1 Rearranging Preferred Networks . . . . . . . . . . . . . . 25
2.3.3.2 Deleting A Preferred Network. . . . . . . . . . . . . . . . 25
2.3.3.3 Changing Network Properties . . . . . . . . . . . . . . . . 26
2.4 Checking The Scanner ...........................26
2.5 Using Microsoft ActiveSync........................26
2.6 Resetting The Hand-Held..........................27

Psion Teklogix 7530 G2 Hand-Held Computer User Manual 13
Chapter 2: Basic Checkout
Preparing The 7530 G2 For Operation
2.1 Preparing The 7530 G2 For Operation
Typically, 7530 G2 hand-helds are configured at the factory and arrive ready for use.
Although these hand-helds are equipped with an internal Compact Flash and SD I/O
slot, these slots are not intended for user modification. If a device needs to be
changed or added in these slots, contact qualified Psion Teklogix personnel. Refer to
Appendix A: Support Services And Worldwide Offices for service information.
2.1.1 Equipment You Need To Get Started
You’ll need:
• A compatible battery charger, docking station or portable docking module
(PDM) with power supply.
• An operating wireless network (if you are not operating the equipment in
batch mode).
• A #2 Phillips head screwdriver (if you need to attach a carrying strap or
pistol grip handle).
2.1.2 Charging The Battery
Important: The 7530 G2 uses a high capacity Lithium-Ion battery. It is criti-
cal that you review the battery safety guidelines in “Lithium-Ion
Battery Safety Precautions” on page XII before charging
the battery.
Batteries shipped from the factory are not charged. They must be fully charged prior
to use. Full capacity may not be reached until at least 5 full charge/discharge cycles
have been performed.
Batteries can be charged using a gang charger or the unit’s internal charger. When
using the internal charger, a suitable power source is required. All chargers and
docking stations are described in Chapter 6: Peripheral Devices & Accessories
beginning on page 213.
Note: The 7530 G2 Battery Properties dialog box may indicate an incorrect bat-
tery capacity until the new battery has been fully charged.
It may take several charge/discharge cycles for the battery capacity
gauge to register capacity with the full 95% accuracy.

Chapter 2: Basic Checkout
Installing The Battery
14 Psion Teklogix 7530 G2 Hand-Held Computer User Manual
2.1.3 Installing The Battery
• Slide the charged battery with the contoured plastic facing you into the unit.
Click the battery into place.
Keep in mind that if you are using a docking station, you can insert an uncharged
battery in the hand-held, dock the unit and switch it on. If you are using a PDM, you
can configure your unit without a battery, with a charged battery or with an
uncharged battery.
Important: Accidental removal and insertion of the battery during operation
may result in the 7530 G2 not booting up normally. Should this
occur, remove the battery and allow the internal backup power
supply to deplete – approximately 15 minutes. Unsaved data may
be lost.
2.1.4 Switching On The Hand-Held
To switch the unit on:
• Press and hold down the [ENTER/ON] key for at least one second.
• When all four LEDs flash yellow, release the [ENTER/ON] button.
A splash screen of the Psion Teklogix logo and the Windows CE logo appears.
When Windows CE has successfully loaded, the startup desktop is displayed.
Note: The screen may go blank for a few seconds after the splash screen loading
bar reaches the end. This is part of the normal Windows CE cold boot
process. The desktop is displayed after a few moments.

Psion Teklogix 7530 G2 Hand-Held Computer User Manual 15
Chapter 2: Basic Checkout
Attaching Carrying Accessories
2.1.5 Attaching Carrying Accessories
Psion Teklogix recommends that a carrying accessory – a handstrap, pistol grip or
shoulder strap – be installed on the 7530 G2 before use. If your hand-held is not
fitted with a handstrap or pistol grip, you can install either using the carrying
accessory kit supplied. You’ll need:
• A Phillips head screwdriver.
Important: Do not use adhesives such as Loctite to secure screws on carrying
accessories. These chemicals may damage the plastic casing.
2.1.5.1 Attaching The Handstrap
Two Phillips head screws are provided with the handstrap.
• Attach the strap to the two threaded inserts located at the back of the
7530 G2 near the top of the unit.
• Stretch the handstrap toward the base of the 7530 G2, and hook the bottom
of the handstrap into the slot near the base of the battery pack.

Chapter 2: Basic Checkout
Attaching The Pistol Grip
16 Psion Teklogix 7530 G2 Hand-Held Computer User Manual
2.1.5.2 Attaching The Pistol Grip
Note: A Phillips head screwdriver is required.
The pistol grip is attached to the back of the 7530 G2 using the four threaded inserts
in the upper part of the 7530 G2 casing. Four black #4-40 Phillips head screws are
provided with this accessory.
Note: Prior to installation, make sure the trigger mechanism is securely
snapped into the pistol grip body and that the trigger operates properly.
• Position the pistol grip so that it fits snugly over the back of the unit and
the inserts on the back of the hand-held are aligned with the holes in the
pistol grip.
• Using a Phillips screwdriver, securely fasten the pistol grip to the back of
the 7530 G2.
2.2 Calibrating The Touchscreen
Your 7530 G2 touchscreen will need to be calibrated. Refer to “Calibrating The
Touchscreen” on page 41 for details.

Psion Teklogix 7530 G2 Hand-Held Computer User Manual 17
Chapter 2: Basic Checkout
Configuring An IEEE 802.11 Radio In The Unit
2.3 Configuring An IEEE 802.11 Radio In The Unit
The most common 802.11 settings are configured as defaults. However, there are
some fields that must be completed, including the SSID of your access point and the
security methods implemented in the network (including access keys).
Important: If the 7530 G2 is equipped with a radio that has never been con-
figured, the radio settings dialog box opens automatically when
the unit is powered on. In this case, skip to Step 4 on page 19.
Note: In most situations, the configuration of your 802.11 radio will require
parameter setting and access keys from a network administrator.
Network administrators should review the detailed security information in
this section in order to effectively configure the 802.11 wireless network.
To configure the 802.11 radio:
1. Press on [BLUE][0] to display the Start Menu.
Tap on Settings>Network and Dial-up Connections.
If you’re using the keyboard, press [BLUE] [0] to display the Start
Menu. Use the [DOWN] arrow key to highlight Settings. Press the
[RIGHT] arrow key to display the sub-menu. Highlight Network, and
press [ENTER].
Figure 2.1 Network And Dial-Up Connections

Chapter 2: Basic Checkout
Configuring An IEEE 802.11 Radio In The Unit
18 Psion Teklogix 7530 G2 Hand-Held Computer User Manual
2. Choose the radio icon to open the 802.11 Wireless LAN Settings
window – in the sample screen, this is labelled PTXCF8385P N1.
Figure 2.2 802.11 Wireless LAN Settings Window
3. Wireless Statistics Tab
When you choose the Wireless LAN icon, an 802.11 Wireless LAN Set-
tings window (PTXCF8385P N1 in the sample below) is displayed.
Figure 2.3 Wireless Statistics
This tab lists your radio statistics. Choosing the Zero button resets the
statistics of the last four items – Packets IN, Packets OUT, IN errors and
OUT errors.
• Display the next tab in this window – Wireless Information.

Psion Teklogix 7530 G2 Hand-Held Computer User Manual 19
Chapter 2: Basic Checkout
Configuring An IEEE 802.11 Radio In The Unit
4. Wireless Information Tab
The options under this tab display existing networks to which you can
connect, and it allows you to add a new network or modify the settings
for an existing network.
Note: Configure button – To change the settings in an existing network, high-
light the network you want to modify, and tap on the Configure button to
display the Wireless Properties dialog box.
Connect button – To force connection to a specific, existing network,
highlight the network to which you want your 7530 G2 to connect, and
tap on the Connect button.
Figure 2.4 Wireless Information Tab
This tab lists available networks – any access points that are broadcasting
an SSID, and it lists preferred networks – networks that you have config-
ured. Since access points are generally secure, they will most likely not
be listed here. By default, 7530 G2 attempts to connect to preferred net-
works. This behaviour can be changed by enabling Automatically connect
to non-preferred networks in the Advanced dialog box (page 25).
• To add a new configuration, tap on the Add New button. A blank Wire-
less Properties dialog box is displayed.

Chapter 2: Basic Checkout
Configuring An IEEE 802.11 Radio In The Unit
20 Psion Teklogix 7530 G2 Hand-Held Computer User Manual
5. Wireless Properties
Figure 2.5 Wireless Properties Dialog Box
Network name (SSID):
• Type the appropriate SSID (Service Set Identifier) in the Network name
(SSID) text box at the top of this dialog box.
The Network name field can contain a maximum of 32 characters. The
name assigned here is listed as a preferred network.
Important: Keep in mind that the 7530 G2 will only communicate with access
points that are configured with the same SSID.
Ad Hoc And Infrastructure:
If you are using an Infrastructure network – one in which 7530 G2s must
pass data through an access point – leave the checkbox next to This is an
ad hoc network blank.
If you are using an Ad Hoc network – a network in which 7530 G2s pass
data directly to other 7530 G2s without an access point – add a checkmark
in the checkbox next to This is an ad hoc network to enable Ad Hoc.
Encryption
WEP (Wired-Equivalent Privacy) encryption prevents others from acciden-
tally accessing your network. If you are not using encryption, you can
choose Disabled from the dropdown encryption menu. Otherwise, leave
this field as is.

Psion Teklogix 7530 G2 Hand-Held Computer User Manual 21
Chapter 2: Basic Checkout
Configuring An IEEE 802.11 Radio In The Unit
Note: WEP cannot be disabled if you are using WPA or WPA-PSK authentication.
TKIP (Temporal Key Integrity Protocol) is an encryption protocol included
as part of the IEEE 802.11 standard for wireless LANs. Designed to
enhance WEP, TKIP uses the original WEP encryption but ‘wraps’ addi-
tional code at the beginning and end to encapsulate and modify it, encrypt-
ing each data packet with a unique encryption key.
Authentication
802.11 supports four subtypes of network authentication services: Open,
Shared, WPA, and WPA-PSK. Under Open authentication, any wireless
station can request authentication. The station that needs to authenticate
with another wireless station sends an authentication management frame
that contains the identity of the sending station. The receiving station then
sends back a frame that indicates whether it recognizes the identity of the
sending station.
Under Shared authentication, each wireless station is assumed to have
received a secret shared key over a secure channel that is independent from
the 802.11 wireless network communications channel.
Under WPA and WPA-PSK authentication, the use of 802.1x authentication
is required. For wireless networks without a Remote Authentication Dial-In
User Service (RADIUS) infrastructure, WPA supports the use of a pre-
shared key. For wireless networks with a RADIUS infrastructure, Extensi-
ble Authentication Protocol (EAP) and RADIUS is supported.
Network Key:
This text box is used to specify a 5 or 13 ASCII character sequence or an
equivalent 10 or 26 Hexadecimal digit sequence that matches the active
WEP key on the access point.

Chapter 2: Basic Checkout
Configuring An IEEE 802.11 Radio In The Unit
22 Psion Teklogix 7530 G2 Hand-Held Computer User Manual
• To assign a Network key, highlight The key is provided automatically,
and uncheck the checkbox to disable this option.
Figure 2.6 Accessing Network Key And Key Index
Key Index:
This field is used to identify the WEP key.
• Enter a value from 1 to 4.
Enable 802.1x authentication:
802.1X is the IEEE standard that offers additional security for local area
networks. It provides authentication for user devices attached to an Ethernet
network, whether wired or wireless. A security protocol packet such as TLS
or MD5 encapsulated in an EAP is used in conjunction with the 802.1X
standard to authenticate users at the MAC layer. Available EAPs are listed
in the dropdown menu next to the EAP option.
• To activate 802.1X, highlight 802.1x authentication, and check
the checkbox.
EAP Type (Extensible Authentication Protocol):
This dropdown menu lists the EAP types available on your system. The
items in this dropdown menu will vary depending on your network setup.
Keep in mind also that some authentication protocols require that you select
a Certificate. By selecting the Properties button, you will be able to select a
Certificate. “Certificate Assignment” on page 113 provides a website that
outlines how to create certificates for your network.
Disable this option to
access Network Key &
Key Index fields.

Psion Teklogix 7530 G2 Hand-Held Computer User Manual 23
Chapter 2: Basic Checkout
Assigning An IP Address
6. Saving and exiting the radio setup.
Once you’ve completed the configuration, press [ENTER], or tap
on OK.
The connection you created will be listed in the Wireless Information tab as a
preferred network. The radio will search for the SSID and will compare the WEP
and authentication information you specified. If there is a match between your hand-
held settings and the access point settings, the hand-held will communicate on the
network through the access point.
2.3.1 Assigning An IP Address
If your network is not using a DHCP server, you will need to assign an IP address.
•In the PTXCF8385P N1 Settings window, display the IP Information tab.
Figure 2.7 IP Information
Note: Tapping the Renew button forces the 7530 G2 to renew or find a new
IP address. This is useful if, for example, you are out of communication
range for a longer period of time and your 7530 G2 is dropped from
the network.
To define a static IP address:
• Tap on the Configure button.

Chapter 2: Basic Checkout
Name Servers Tab
24 Psion Teklogix 7530 G2 Hand-Held Computer User Manual
Figure 2.8 Defining An IP Address
• Tap the stylus on the radio button next to Specify an IP address to select it.
• Type an IP, Subnet Mask and Default Gateway address in the appropriate
fields. Press [ENTER] to save your information.
2.3.2 Name Servers Tab
Note: If DHCP is enabled, name server addresses are assigned automatically.
•In the PTXCF8385P N1 Settings window, display the IP Information tab.
•In the IP Information tab, tap on the Configure button.
• Tap on the Name Servers tab to display it.
Figure 2.9 Name Servers Tab
The DNS and WINS fields in the Name Servers tab allow you to specify additional
WINS and DNS resolvers. The format for these fields is ###.###.###.###.

Psion Teklogix 7530 G2 Hand-Held Computer User Manual 25
Chapter 2: Basic Checkout
Advanced Features
2.3.3 Advanced Features
To display the Advanced Wireless Settings dialog box:
• Tap on the Advanced button in the Wireless Information tab. (see
Figure 2.4 on page 19).
This window lists the available preferred networks.
Figure 2.10 Advanced Settings
2.3.3.1 Rearranging Preferred Networks
The 7530 G2 attempts to connect with the networks listed in this dialog box in
sequence, beginning at the top of the list. If you need to rearrange this list of
networks – move networks up and down in the list:
• Tap in the Networks List, and highlight the network that you want to move
up or down in the list.
• To move the highlighted item in the list upward or downward, tap on the Up
or Down button.
2.3.3.2 Deleting A Preferred Network
To delete a network from this list:
•In the networks list, highlight the network that you want to remove.
• Tap on the Delete button.

Chapter 2: Basic Checkout
Changing Network Properties
26 Psion Teklogix 7530 G2 Hand-Held Computer User Manual
2.3.3.3 Changing Network Properties
To change the properties of an existing preferred network:
• Highlight the network that you want to modify.
• Tap on the Properties button.
• Make any necessary changes in the Wireless Properties dialog box, and
press [ENTER] to save the changes.
2.4 Checking The Scanner
Note: Details about operating and troubleshooting scanners, Imagers and
RFID readers are provided under the heading “Internal Scanners” on
page 48.
If your 7530 G2 is equipped with an internal scanner, you can test it to ensure that it is
operating properly. Point the scanner window at a bar code that your scanner was
designed to decode—for example, a 1D UPC bar code or 2D bar code. Press the
SCAN button or pistol trigger, and check for a valid decode on the hand-held’s screen.
Performance is improved if you disable all unneeded bar codes in the Bar Codes
screen. Review “Scanner Settings” on page 143 for details about
bar codes.
2.5 Using Microsoft ActiveSync
ActiveSync – Microsoft PC connectivity software – can be used to connect the
hand-held to PCs running this software.
Note: Keep in mind that you’ll need to run the USB Setup program to
configure your workstation before connecting the 7530 G2 via USB.
For information about the USB application, refer to Appendix C: USB
Setup Application.
By connecting the 7530 G2 to a PC with a cable and running ActiveSync on the PC,
you can:
• View 7530 G2 files from Windows Explorer.
• Drag and drop files between the 7530 G2 and the PC in the same way that
you would between PC drives.
• Back up 7530 G2 files to the PC, then restore them from the PC to the hand-
held again, if needed, and so on.
To install ActiveSync, follow the step-by-step instructions provided with the
program’s setup wizard. Refer to the following website for details:
http://www.microsoft.com/windowsmobile/resources/downloads/pocketpc/activesync35.mspx

Psion Teklogix 7530 G2 Hand-Held Computer User Manual 27
Chapter 2: Basic Checkout
Resetting The Hand-Held
2.6 Resetting The Hand-Held
Warm Reset
To execute a warm reset:
• Press and hold down the [BLUE] key and the [ENTER/ON] key simulta-
neously for a minimum of six seconds.
A warm reset closes open applications; any unsaved data are lost. Installed
programs and saved data are preserved.
Note: You do not need to reset your 7530 G2 after configuring the radio.
Cold Reset
There are two options when executing a cold reset: reset to BootLoader or reset
directly to Windows CE operating system.
To execute a cold reset and access the BooSt menu:
• Press and hold down the left [BLUE] key, the [ENTER] key and the
[SCAN] key simultaneously for a minimum of six seconds.
After a cold reset, the BooSt menu appears.
• If you want to load the Windows CE operating system, type 1.
• If you want a clean start, press ! (that is, the [SHIFT] key and 1). All data
and settings are lost. Files and data stored in flash are preserved.
Once the OS loads, any executables and cab files in the startup folders are run. The
cab files are deleted by the cab file installer unless they are marked read-only.

Psion Teklogix 7530 G2 Hand-Held Computer User Manual 29
GETTING TO KNOW YOUR 7530 G23
3.1 Features Of The 7530 G2..........................31
3.2 The Battery.................................32
3.2.1 Battery Safety.............................32
3.2.2 Removing And Installing The Battery Pack . . . . . . . . . . . . . 32
3.2.3 Battery Chargers...........................32
3.3 The Keyboard................................33
3.3.1 Modifier Keys ............................34
3.3.1.1 Activating Modifier Keys . . . . . . . . . . . . . . . . . . 34
3.3.1.2 Locking Modifier Keys...................34
3.3.2 The Keys...............................34
3.3.3 Function And Macro Keys......................36
3.3.3.1 Function Keys........................36
3.3.3.2 Macro Keys.........................37
3.3.4 Alphanumeric Keyboard – 63-Key . . . . . . . . . . . . . . . . . . 38
3.3.5 Numeric Keyboard – 37-Key.....................38
3.3.6 The Keypad Backlight........................40
3.4 The Display.................................41
3.4.1 Adjusting The Display Backlight...................41
3.4.2 Adjusting The Contrast........................41
3.4.3 Calibrating The Touchscreen.....................41
3.5 7530 G2 Indicators.............................43
3.5.1 LEDs.................................43
3.5.1.1 Charge LED.........................43
3.5.1.2 Radio Traffic LED......................44
3.5.1.3 Scan LED..........................44
3.5.1.4 User Application LED....................44
3.5.2 Onscreen Indicators..........................45
3.5.3 Audio Indicators...........................47
3.5.3.1 Adjusting The Beeper Volume................48
3.6 Internal Scanners..............................48
3.6.1 Scanning Techniques.........................49
3.6.2 Scan LED Indicators.........................50
3.6.3 Troubleshooting............................50
Chapter 3: Getting To Know Your 7530 G2
30 Psion Teklogix 7530 G2 Hand-Held Computer User Manual
3.6.4 Operating One Dimensional (1D) Internal Laser Scanners . . . . . . 50
3.6.5 Operating Internal PDF Laser Scanners ...............51
3.6.6 Operating Internal Two Dimensional (2D) Imager Scanners . . . . . 51
3.7 Connecting & Disconnecting Tethered Peripherals . . . . . . . . . . . . . 52
3.8 Monitoring The Battery And Maximizing Run Time . . . . . . . . . . . . 53
3.8.1 Storing Batteries............................54
3.9 Monitoring The Network Connection....................55
3.10 Uploading Data In A Docking Station...................55
3.11 General Maintenance............................56
3.11.1 Caring For The Touchscreen.....................56
3.11.2 Cleaning The 7530 G2........................56

Psion Teklogix 7530 G2 Hand-Held Computer User Manual 31
Chapter 3: Getting To Know Your 7530 G2
Features Of The 7530 G2
3.1 Features Of The 7530 G2
Figure 3.1 Front Of 7530 G2
Sound Port
Stylus
(Pointing Tool)
Microphone
7530 G2 Screen
Ambient Light
Sensor
Beeper Port

Chapter 3: Getting To Know Your 7530 G2
The Battery
32 Psion Teklogix 7530 G2 Hand-Held Computer User Manual
3.2 The Battery
The hand-held operates with a Lithium-Ion battery pack. Preparing the unit for
operation requires that a battery pack be charged and installed in the 7530 G2.
3.2.1 Battery Safety
Important: Before attempting to install, use or charge the battery pack, it is
critical that you review and follow the important safety guidelines
in the section entitled “Lithium-Ion Battery Safety Precautions”
on page XII.
3.2.2 Removing And Installing The Battery Pack
Note: TURN OFF THE HAND-HELD BEFORE REMOVING THE BATTERY
PACK. If you do not turn the hand-held off before removing the battery, it
may be necessary to reboot the unit. Any active sessions may be lost.
Removing The Battery Pack
• If your unit is equipped with a handstrap, unhook it from the base of
the battery.
• Press down the release tab at the top of the battery, and slide the battery out.
Installing The Battery Pack
To install the battery pack:
• Slide the battery pack with the contoured plastic facing you into the
7530 G2. Click the battery into place.
• If your computer is equipped with a handstrap, insert the hook at the end of
the handstrap into the slot at the base of the battery.
3.2.3 Battery Chargers
Important: FOR DETAILED INFORMATION about chargers and docking
stations, refer to Chapter 6: Peripheral Devices & Accessories
beginning on page 213. For battery safety, refer to “Lithium-Ion
Battery Safety Precautions” on page XII.
All batteries must be charged before use. The battery can be charged with a variety
of chargers. These include:

Psion Teklogix 7530 G2 Hand-Held Computer User Manual 33
Chapter 3: Getting To Know Your 7530 G2
The Keyboard
• 6-Unit Gang Charger (Model #HU3006) – charges up to six Lithium-Ion
batteries at one time.
• Portable Docking Module (Model #HU4001 or HU1005 and HU3220) –
charges the 7530 G2 battery (with the battery installed in the unit).
• Combo Charger (Model #HU3002) – a desktop charger that charges the
internal battery along with a spare battery pack.
• Combo Docking Station (Model #HU4002) – operates as both a charger
and a docking station. Operating as a charger, both the battery installed in
the computer and a spare battery can be charged simultaneously.
• Quad Docking Station (Model #HU4004) – can charge the battery of up to
four hand-helds inserted in the docking station while transferring data
through an Ethernet connection.
• Powered Cradle (Model # CV1010 and CV1030) – can charge the 7530 G2
with the battery installed in the hand-held.
It can take from 1.5 to 4 hours to charge a battery. The unit’s intelligent charging
system protects the battery from over-charging by terminating the charge process
when the battery is at maximum capacity.
Note: Refer to “Monitoring The Battery And Maximizing Run Time” on page 53
for additional information about the battery.
Important: To avoid damaging the battery, chargers will not begin the charge
process until the battery temperature is between 0° C (32° F) and
39° C (102° F). If the battery is too hot or cold, the battery status
LED flashes yellow and the charge is suspended. Refer to
Table 3.1, “Charge LEDs” on page 44 for details.
3.3 The Keyboard
The 7530 G2 offers two types of keyboard layouts – a 63-key and a 37-key
keyboard. Most of the keys on these keyboards operate much like a desktop
computer. Where a key or key function is not consistent with the PC keyboard, the
differences are noted.
The [BLUE] and [ORANGE] modifier keys provide access to additional keys and
system functions. These functions are colour coded in orange and blue print above
the keyboard keys.

Chapter 3: Getting To Know Your 7530 G2
Modifier Keys
34 Psion Teklogix 7530 G2 Hand-Held Computer User Manual
3.3.1 Modifier Keys
The [SHIFT], [CTRL], [ALT], [BLUE] and [ORANGE] keys are modifier keys.
Pressing a modifier key changes the function of the next key pressed. For example,
on a 63-key keyboard, a square bracket is printed in orange print above the [4] key.
Pressing the [ORANGE] key followed by the [4] key displays a square bracket
rather than the number 4.
The [SHIFT], [CTRL] and [ALT] keys operate much like a desktop keyboard except
that they are not chorded (two keys held down simultaneously). The modifier key
must be pressed first followed by the key whose function you want modified.
3.3.1.1 Activating Modifier Keys
When a modifier key is not locked ‘on’, it is displayed in lowercase letters in the
taskbar at the bottom of the hand-held screen. For example, if the [CTRL] key is
pressed, ctrl key is displayed at the bottom of the unit screen in lowercase letters.
When the next key is pressed, the modifier key becomes inactive and is cleared from
the taskbar.
3.3.1.2 Locking Modifier Keys
Note: The locking function of the modifier keys can be set up so that pressing
one of these keys once will lock the key ‘on’. They can also be set up so
that they must be pressed twice to be locked ‘on’. Refer to “Keyboard One
Shot Modes” on page 93 for details.
When a modifier key is ‘locked’ on, it is displayed in uppercase letters in the
taskbar. For example, if the [BLUE] key is locked on – it is displayed as BLUE KEY in
the taskbar at the bottom of the screen.
The locked modifier key will remain active until it is pressed again to unlock or turn
it off. Once a modifier key is unlocked, the uppercase representation in the taskbar
is cleared.
3.3.2 The Keys
The [SHIFT] Key
The [SHIFT] key is used to display uppercase alpha characters and provide access to
the symbols above the numeric keys.
Psion Teklogix 7530 G2 Hand-Held Computer User Manual 35
Chapter 3: Getting To Know Your 7530 G2
The Keys
The Arrow Keys
The Arrow keys move the cursor around the screen in the direction of the arrow –
up, down, left and right. The cursor is the flashing box or underline character that
indicates where the next character you type will appear.
The [BKSP/DEL] Key
The [BKSP] key (sometimes referred to as destructive backspace) moves the cursor
one character to the left, erasing the incorrectly entered key stroke.
The [DEL] key ([BLUE] [BKSP]) erases the character at the cursor position.
The [CTRL] And [ALT] Key
The [CTRL] and [ALT] keys modify the function of the next key pressed and are
application dependent.
The [TAB] Key
Typically, the [TAB] key moves the cursor to the next field to the right or
downward.
The [ESC] Key
Generally, this key is used as a keyboard shortcut to close the current menu, dialog
box or activity and return to the previous one.
The [SPACE] Key
Pressing this key inserts a blank space between characters. In a Windows dialog
box, pressing the [SPACE] key enables or disables a checkbox.
The [SCAN] Key
Pressing the [SCAN] key – the yellow key with the star-burst scan symbol on it –
activates the scanner beam while pressed. For units that do not have internal
scanners, this key can be remapped for another use.
Chapter 3: Getting To Know Your 7530 G2
Function And Macro Keys
36 Psion Teklogix 7530 G2 Hand-Held Computer User Manual
3.3.3 Function And Macro Keys
In addition to the standard keyboard functions (see “The Keyboard” on page 33), the
7530 G2 supports function keys and macro keys.
3.3.3.1 Function Keys
63-Key Keyboard Function Keys
The 63-key keyboard is equipped with thirty function keys. Function keys [F1] to
[F10] are located in the top two rows of the keyboard and are directly accessible – a
key combination is not required. Function keys [F11] to [F30] are colour coded in
blue print above the alpha keys and are accessed using a key combination – [BLUE]
followed by the appropriate alpha key.
To access function keys [F11] to [F30]:
• Press the [BLUE] key followed by the alpha key to which the
function key you want to use is mapped. For example:
To access function key [F11], press [BLUE] [C].
To access function key [F12], press [BLUE] [D], and so on.
37-Key Keyboard Function Keys
The 37-key keyboard is equipped with twenty function keys. Function keys [F1] to
[F4] are located across the top of the keyboard and function keys [F5] to [F10] are
located at the bottom of the keyboard.
Additional function keys – [F11] to [F20] – are colour coded in orange print above
function keys [F1] to [F10].
To access function keys [F11] to [F20]:
• Press the [ORANGE] key followed by the appropriate function key.
For example:
To access function key [F11], press the [ORANGE] key followed
by [F1].
To access function key [F12], press [ORANGE] followed by [F2],
and so on.

Psion Teklogix 7530 G2 Hand-Held Computer User Manual 37
Chapter 3: Getting To Know Your 7530 G2
Macro Keys
3.3.3.2 Macro Keys
Important: Refer to “Keyboard Macro Keys” on page 94 for details about
creating macros.
7530 G2 hand-helds are equipped with a series of macro keys that can be
programmed to replace frequently used keystrokes, along with the function of
executable keys like the [ENTER] key, the [BKSP] key, any function key and arrow
key, and so on.
63-Key Keyboard Macro Keys
63-key (alphanumeric) keyboards have twelve macro keys – [M1] to [M12]. These
keys are colour coded in orange print above alpha keys [O] to [Z].
To access a macro key:
• Press the [ORANGE] key followed by the appropriate alpha key from
O to Z. For example:
To access macro key [M1], press [ORANGE] [O].
To access macro key [M2], press [ORANGE] [P], and so on.
37-Key Keyboard Macro Keys
37- key (numeric) keyboards are equipped with six macro keys – [M1] to [M6].
Macro keys [M1] to [M2] are directly accessible in the bottom row of the keyboard
– a key combination is not required.
Macro keys [M3] and [M4] are colour coded in orange print above macro keys [M1]
and [M2].
• To access [M3], press the [ORANGE] key followed by [M1]
• To access [M4], press [ORANGE] [M2].
Macro keys [M5] to [M6] are colour coded in blue print above macro keys [M1]
and [M2].
• To access [M5], press the [BLUE] key followed by [M1].
• To access [M6], press [BLUE] [M2].

Chapter 3: Getting To Know Your 7530 G2
Alphanumeric Keyboard – 63-Key
38 Psion Teklogix 7530 G2 Hand-Held Computer User Manual
3.3.4 Alphanumeric Keyboard – 63-Key
On 63-key, alphanumeric keyboards, all alphabetic and numeric keys are directly
accessible from the keyboard; a key combination is not required.
Function keys [F1] through [F24] can be used with the CE operating system or
another application. The additional function keys, [F25] through [F30] along with
the macro keys, are not used as part of the Windows CE operating system.
All function keys and macro keys can be custom defined for each application. The
TekTerm application utilizes these keys (for detailed information, see the TekTerm
Software User Manual, PN 8000073). Refer to “Function And Macro Keys” on
page 36 for details about accessing function keys [F25] to [F30].
3.3.5 Numeric Keyboard – 37-Key
On 37-key 7530 G2s, all alpha characters are printed on the unit plastic in orange
typeface above the numeric keys. To access an alpha character, you must first press
the [ORANGE] key and then press the numeric key above which the alpha character
you want to type is printed.
Because the alpha keys on these keyboards are laid out much like the letters on a
telephone – generally in groups of three letters per numeric key – you need to take a
few extra steps to access the alphabetic characters. The examples in this section help
illustrate how to access alpha characters.
Choosing A Single Alpha Character
Note: As you press alpha keys, each is displayed in the left-hand corner of the
taskbar to make it easier to determine which letter is currently active.
Alpha key
representation.

Psion Teklogix 7530 G2 Hand-Held Computer User Manual 39
Chapter 3: Getting To Know Your 7530 G2
Numeric Keyboard – 37-Key
The examples below illustrate how to access A, B and C, all of which are printed in
orange characters above the numeric key, [2].
To choose the letter ‘a’:
• Press the [ORANGE] key, and press the numeric key [2].
To choose the letter ‘b’:
• Lock the [ORANGE] key on, and press [2] twice.
• Press the [ORANGE] key again to unlock it.
To choose the letter ‘c’:
• Lock the [ORANGE] key on.
• Press [2] three times.
• Press the [ORANGE] key again to unlock it.
Creating Uppercase Letters
To display a capital letter:
• Press the [ORANGE] key and then the [SHIFT] key before typing the
alpha character.
Choosing More Than One Alpha Character From The Same Key
If you need to choose more than one alpha character from a single key, you’ll need
to press the ‘Accept’ key between alpha selections. The ‘Accept’ key is presented as
an arrow [⇒] symbol above the [0] (zero) key. Pressing this key signals the 7530 G2
to display the alpha character you’ve chosen and await the next selection from the
same key.
Note: Remember that as you choose alpha keys, each is displayed in the
left-hand corner of the taskbar to make it easier to determine which letter
is currently chosen.
For example, suppose you want to type the letters ‘a’, ‘b’ and ‘c’. These letters are
all accessible from the numeric key, [2].
To type the letter ‘a’:
• Lock the [ORANGE] key ‘on’, and then press the numeric key, [2].
• Press the ‘Accept’ key [⇒] (zero key) to indicate that the letter ‘a’ should
be accepted and that another letter from the same key will be chosen.

Chapter 3: Getting To Know Your 7530 G2
The Keypad Backlight
40 Psion Teklogix 7530 G2 Hand-Held Computer User Manual
To type the letter ‘b’:
• Press the [2] key twice.
•Press [⇒] to accept the letter ‘b’.
To type the letter ‘c’:
• Press the [2] key three times.
When you have completed your alpha selections from this key, you can do one of the
following:
• If you want to choose additional alpha characters from another key(s),
leave the [ORANGE] key locked ‘on’, and press the next numeric key that
supports the alpha character you require, or
• If you do not want to choose any additional alpha characters, unlock the
[ORANGE] key, and end alpha selection.
Choosing Multiple Alpha Characters From A Range Of Keys
If you plan on choosing alpha characters from a number of different keys, you are
not required to press the ‘Accept’ [⇒] key after each alpha selection. The [⇒] key
is only required when you are choosing more than one alpha character from the
same key – e.g., ‘a’, ‘b’ and ‘c’ from the [2] key.
Suppose you want to type the letters ‘a’, ‘d’ and ‘g’. These alpha characters are
accessed from the numeric keys [2], [3] and [4].
• With the [ORANGE] key locked ‘on’, press [2] to type the letter ‘a’.
• Press [3] to type ‘d’, and press [4] to type the letter ‘g’.
• To end alpha selection, unlock the [ORANGE] key.
3.3.6 The Keypad Backlight
Note: This option may be restricted to supervisory use only.
The intensity of the keypad backlight and the conditions under which this
backlight is activated can be tailored in the Keyboard Properties dialog box in
the Control Panel.
Note: Refer to “Keyboard Backlight” on page 92 for details about this option.

Psion Teklogix 7530 G2 Hand-Held Computer User Manual 41
Chapter 3: Getting To Know Your 7530 G2
The Display
3.4 The Display
7530 G2s are equipped with display backlighting to improve character visibility in
low light conditions. The backlight switches on when a key is pressed and the
ambient light is below the set threshold. A light sensor on the front of the hand-held
determines the ambient light level. On some displays, the contrast can also be
adjusted to further improve character visibility.
3.4.1 Adjusting The Display Backlight
The behaviour of the display backlight can be specified in the Display Properties
dialog box in the Control Panel.
Note: Refer to “Display Backlight” on page 88 for details about the Display
Properties dialog box.
3.4.2 Adjusting The Contrast
Note: In addition to the manual adjustments described in this section, the dis-
play contrast can also be adjusted using the Control Panel. Refer to “Dis-
play Contrast” on page 87 for details about this dialog box.
The display contrast can be adjusted from the unit keyboard using the [BLUE] key
and function keys [F1] and [F2]. Pressing [F1] darkens the display, and
pressing [F2] lightens the display. Keep in mind that adjusting the contrast on a
colour display is much less pronounced than on a monochrome display.
To adjust the display contrast:
• Lock the [BLUE] key on, and then press [F1] to darken the display or [F2]
to lighten the display.
• Once you’ve successfully adjusted the display contrast, remember to press
the [BLUE] key again to unlock or turn it ‘off’.
Note: Contrast settings are optimized for the maximum readability. However, if
the display jitters or flickers, consider adjusting the contrast at power up.
3.4.3 Calibrating The Touchscreen
If your 7530 G2 touchscreen has never been calibrated, or if you find that the stylus
pointer is not accurate when you tap on an item, use the Stylus Properties dialog
box in the Control Panel to recalibrate the screen.

Chapter 3: Getting To Know Your 7530 G2
Calibrating The Touchscreen
42 Psion Teklogix 7530 G2 Hand-Held Computer User Manual
•In the Control Panel, tap on the Stylus icon to display the Stylus
Properties window.
Figure 3.2 Stylus Icon
• Select the Calibration tab, and then choose the Recalibrate button.
• Follow the directions on the calibration screen to calibrate the screen.

Psion Teklogix 7530 G2 Hand-Held Computer User Manual 43
Chapter 3: Getting To Know Your 7530 G2
7530 G2 Indicators
3.5 7530 G2 Indicators
7530 G2s use LEDs (Light Emitting Diode), onscreen messages and audio tones as
indicators.
3.5.1 LEDs
Hand-helds are equipped with four tri-coloured LEDs. This section outlines what
these LEDs indicate.
Important: If an LED is illuminated in red, the operator should be cautious
as this generally indicates an abnormal operating condition or
active laser emission.
Figure 3.3 Keyboard LEDs
3.5.1.1 Charge LED
The lower-right LED is reserved for internal charger/power status. This indicator is
active even when the hand-held is inserted in a docking station (and in suspend
mode) so that the charge status of the battery can be detected easily.
Function Charge LED Behaviour
External power not available. LED off.
Fully charged to within 95% of charge
capacity. LED displays solid green colour.
Quick charge successfully completed to
within 75% of charge capacity. LED flashes slow green.
Radio Traffic LED
Scanner LED Charge LED
User Application LED

Chapter 3: Getting To Know Your 7530 G2
Radio Traffic LED
44 Psion Teklogix 7530 G2 Hand-Held Computer User Manual
Table 3.1 Charge LEDs
* If the charge fails, refer to the charger troubleshooting sections in ‘Chapter 6:
Peripheral Devices & Accessories’ beginning on page 213 for helpful details.
3.5.1.2 Radio Traffic LED
The upper-left LED on your unit flashes either yellow or green to indicate when the
radio transmits and receives data.
Note: Keep in mind that while the standard 802.11 radio supports the trans-
mit/receive LED, not all radios support this function.
Table 3.2 Transmit and Receive LEDs
3.5.1.3 Scan LED
Successful scans are indicated in two ways – with a scan LED and with an
audio tone.
Table 3.3 Scan LED
3.5.1.4 User Application LED
This indicator is available for user-loaded custom Windows CE applications. Your
supervisor can describe how this LED behaves with your application. Neither
Windows CE nor Open Tekterm V2.0 use this LED.
Charge in progress. LED displays solid yellow colour.
Cell temperature out of range for charge. LED flashes yellow.
Unable to charge battery. LED displays solid red colour.
Charge circuit failure.* LED flashes fast red.*
Function Radio Traffic LED Behaviour
Radio Transmit LED flashes yellow.
Radio Receive LED flashes green.
Function Scan LED Behaviour
Scan in progress LED displays solid red during scan.
Successful scan LED displays solid green after decode.
Off when scan ended.
Unsuccessful scan LED flashes red.
Function Charge LED Behaviour

Psion Teklogix 7530 G2 Hand-Held Computer User Manual 45
Chapter 3: Getting To Know Your 7530 G2
Onscreen Indicators
3.5.2 Onscreen Indicators
The taskbar at the bottom of the screen displays a variety of system status indicators.
Figure 3.4 Taskbar
The taskbar changes dynamically, and only those icons that are applicable are
displayed. For example, if a radio is not installed in your 7530 G2, the radio signal
icon is not displayed in the taskbar.
Windows® Start Button
If you have a touchscreen, you can display the Start Menu by tapping on the Windows
Start button in the taskbar.
Modifier Key Indicators
[SHIFT], [CTRL], [ALT], [BLUE] and [ORANGE] are modifier keys that when
pressed, are displayed in the taskbar to indicate that they are active. If a modifier key
is locked ‘on’, it is displayed in uppercase characters. For example, if the [BLUE]
key is locked on, it is displayed as BLUE KEY in the taskbar. A locked modifier key
remains active until it is pressed again to unlock or turn it off.
If a modifier key has been pressed but is not locked on, it is displayed in the taskbar
in lowercase characters – for example, blue key. It will remain active only until the next
key is pressed at which point, the modifier key is turned off.
Note: The locking function of the modifier keys can be set up so that pressing
one of these keys once will lock the key ‘on’. They can also be set up so
that they must be pressed twice to be locked ‘on’. Refer to “Keyboard One
Shot Modes” on page 93 for details.

Chapter 3: Getting To Know Your 7530 G2
Onscreen Indicators
46 Psion Teklogix 7530 G2 Hand-Held Computer User Manual
Battery Gauge
The battery shaped icon displayed in the taskbar provides a visual indication of the
remaining battery power. The icon acts as a meter that is either full, at three-quarter
level, half, quarter level or empty.
When the battery level is low – approximately 15 minutes from empty – a warning
window pops up. When the battery power is completely depleted, a final warning
window indicates that the 7530 G2 will be powered down.
If the 7530 G2 is using external AC power, an AC icon is displayed in the taskbar.
Battery Charge
The battery charge icon is displayed in the taskbar when the hand-held battery is
being charged.
802.11 Radio Signal Quality
Increasing radio signal quality is represented by longer, filled bars within this icon.
Narrow Band Radio Signal Quality
Increasing radio signal quality is represented by vertical bars within this icon.
AC ConnectionFull
75%
50% 25% Empty
Good No Radio
Reception
Weak
Reception Link
Good No Radio
Reception
Weak
Reception Link

Psion Teklogix 7530 G2 Hand-Held Computer User Manual 47
Chapter 3: Getting To Know Your 7530 G2
Audio Indicators
Tethered Devices
When a peripheral is attached to the tether port and activated, an associated icon
appears in the taskbar.
Docking Device
When a hand-held is inserted in a docking station, charger or cradle, an associated
icon appears in the taskbar.
Bluetooth Radio
This icon represents the Bluetooth radio installed in your unit.
Security Level
Security levels can be set to limit user access. In addition, applications can be
restricted to prevent inadvertent changes.
3.5.3 Audio Indicators
The beeper provides a variety of sounds and can be configured to emit a sound when
a key is pressed, a keyboard character is rejected, scan input is accepted or rejected,
an operator’s entry does not match in a match field or the battery is low. The volume
function keys are located in the top row of the keyboard. The increase volume key is
labelled with a plus symbol and the decrease volume function key is labelled
with a minus symbol .
Scanner RFID Serial DeviceUSB Device
Gang Charger, Combo Charger &
Combo Docking Station
Quad Docking Station Power Cradle Portable Docking
Module (PDM)

Chapter 3: Getting To Know Your 7530 G2
Adjusting The Beeper Volume
48 Psion Teklogix 7530 G2 Hand-Held Computer User Manual
3.5.3.1 Adjusting The Beeper Volume
On 63-key keyboards, the volume function keys are accessed by pressing [BLUE]
[F5] and [F6].
On 37-key keyboards, the volume function keys are accessed by pressing [BLUE]
[F3] and [F4].
To adjust the beeper volume:
• Lock the [BLUE] key ‘on’ and then, press the increase volume function key
or the decrease volume function key until the volume meets
your requirements.
• Remember to unlock the [BLUE] key when you’ve completed the volume
adjustment.
3.6 Internal Scanners
Important: For detailed scanner specifications and decode zone tables, refer
to “Internal Scanner Specifications” beginning on page 240.
7530 G2s support a wide range of scanner options to address a variety of user applica-
tion requirements. The scanner installed in your unit can be configured using the
Scanner Settings dialog box in the Control Panel (see page 143) and the Manage
Triggers application (see page page 109). External, non-decoded scanners are also
configured through the Control Panel.
However, external decoded scanners must be configured by scanning special configura-
tion bar codes. In these cases, the scanner manufacturer provides programming
manuals for configuration purposes.
• For Symbol decoded scanners, refer to the LS3408 programming guide.
• For PowerScan (PSC) decoded scanners, refer to the Powerscan Programing
Guide (PSC).
Scanner types include:
• Advanced Long Range: reads very large 1D bar codes (60 mil+) at very
long distances (up to 14m).
• Long Range: reads large 1D bar codes (55 mil) at long distances (up to 3m).
• High Performance: reads1D linear bar codes (5 - 55 mil) at medium dis-
tances (up to 1m).
• Extended Range: reads regular 1D bar codes (5 - 55mil) at short to medium
distances (1m), as well as large 1D bar codes (e.g. 55 mil) at long distances.

Psion Teklogix 7530 G2 Hand-Held Computer User Manual 49
Chapter 3: Getting To Know Your 7530 G2
Scanning Techniques
• RFID: The RD7950 UHF RFID Reader is an EPC-compliant RFID reader
which can be integrated with laser bar code scanning or imaging (for
future release).
• Fuzzy Logic: reads damaged or low contrast regular 1D bar codes
(5 - 55mil) at medium distances (up to 1m).
• PDF Raster Laser: reads 2D PDF bar codes or regular 1D bar codes at short
to medium distances.
• 2D Imager: reads regular 1D and all 2D bar codes at short to medium distances.
• 1D Imager: reads regular 1D and PDF417 bar codes at short to
medium distances.
It is critical that you review the warnings listed under “Warning to Users” beginning
on page XI (at the beginning of this manual) before using any of the scanners
described in this chapter. “Scanning Techniques” outlines the mechanics of a
successful scan. In addition, review “Scan LED Indicators” on page 50 to better
understand how to interpret whether or not a bar code has been successfully scanned.
Finally, “Troubleshooting” on page 50 provides some helpful suggestions should the
scan fail.
3.6.1 Scanning Techniques
Note: The scanning techniques described here apply to internal and
external scanners.
• Hold the scanner at an angle. Do not hold it perpendicular to the bar code.
•Do not hold the scanner directly over the bar code. In this position, light
can reflect back into the scanner’s exit window and prevent a successful
decode.
• Scan the entire bar code. If you are using a 1D or 2D scanner, make certain
that the scan beam crosses every bar and space on the bar code, including
the margins on either end of the symbol.
• If you are using a 2D imaging scanner, make certain the red, oval-shaped
framing mark is centered within the bar code you want to scan.
• When using imaging scanners, do not move the scanner while decoding the
bar code. Movement blurs the image.
• Hold the scanner farther away for larger bar codes.
• Hold the scanner closer for bar codes with bars that are close together.

Chapter 3: Getting To Know Your 7530 G2
Scan LED Indicators
50 Psion Teklogix 7530 G2 Hand-Held Computer User Manual
3.6.2 Scan LED Indicators
The scanner LED (the lower-left LED) indicates whether or not your scan is
successful. The LED behaves as follows:
• Scan In Progress: scan LED displays solid red colour.
• Successful Scan: scan LED displays solid green colour and turns off when
the scan is ended.
• Unsuccessful scan: scan LED flashes red.
A bar code icon appears on the screen during a scan. While the scanner beam
is active, the onscreen message states – SCANNING. If the scan is successful,
the bar code data is displayed on the screen until the scan button (or pistol trigger)
is released.
3.6.3 Troubleshooting
If the scanner is not working, investigate the following:
• Is the unit on?
• Check that the bar code symbology being scanned is enabled for the
hand-held you are using. Check any other parameters that affect the scan-
ning procedure or the bar code.
• Check the bar code to make sure it is not damaged. Try scanning a different
bar code to verify that the problem is not with the bar code.
• Check that the bar code is within the proper range.
• Does the hand-held display the warning without scanning? This suggests a
hardware problem in the hand-held.
• Is the laser beam scanning across the bar code?
• Once the scan beam has stopped, check the scanner window for
dirt or fogging.
3.6.4 Operating One Dimensional (1D) Internal Laser Scanners
• Turn the hand-held on. Wait until the unit has booted up completely.
Important: If an aiming dot is available on the installed scanner, the dot will
be enabled for a configurable time period (including off), after
which normal scanning begins. Refer to “Dot Time (msec)” on
page 146 for details.

Psion Teklogix 7530 G2 Hand-Held Computer User Manual 51
Chapter 3: Getting To Know Your 7530 G2
Operating Internal PDF Laser Scanners
Double-clicking the trigger will override the aiming delay and
initiate an immediate scan. Note that the aiming dot is standard
on long-range and high visibility internal scanners.
• Aim at the bar code and press the scan key or the trigger. A scan beam and a
warning indicator appear until a successful decode is achieved or six
seconds have elapsed.
3.6.5 Operating Internal PDF Laser Scanners
This scanner decodes PDF417 two-dimensional bar codes.
• Turn the hand-held on. Wait until the unit has booted up completely.
• Aim at the bar code and press the scan key or the trigger. The beam expands
into a rectangle covering the bar code to properly scan it. The scan beam
and a warning indicator are visible until a successful decode is achieved or
three seconds have elapsed.
3.6.6 Operating Internal Two Dimensional (2D) Imager Scanners
An imager scanner takes a snap shot of a single bar code or multiple bar codes (at
one time). It can find a bar code regardless of its orientation – that is, even a bar
code printed at a 45 degree angle to the hand-held will be decoded successfully.
Note: When scanning multiple bar codes, ensure that all of the desired bar
codes are within the field of view of the scanner. It is possible that even
when all bar codes are within the field of view, not all of them will be
decoded. Only successfully decoded bar codes are passed to the applica-
tion program. The application program then issues a warning, asking that
you scan the missing bar codes.
When scanning a single bar code, ensure that only the desired bar code is
within the field of view of the scanner.
Because imager scanners generally have a shorter depth of field than laser scanners,
some practise may be required to find the optimal distance from the types of bar
codes being scanned. Although the imager includes illumination LEDs, ambient
light will help the imager decode the bar codes, especially if the bar code is far from
the hand-held.
Important: Keep in mind that the imager scanner is a camera, and the LED
illumination is a flash. Glare can be an issue on reflective media
such as plastic coated bar codes, just as glare is an issue for pho-
Chapter 3: Getting To Know Your 7530 G2
Connecting & Disconnecting Tethered Peripherals
52 Psion Teklogix 7530 G2 Hand-Held Computer User Manual
tographers. When pointing at a shiny surface, either shift the bar
code to the side or top, or angle the bar code so that the glare
reflects away from the imager scanner.
Most imagers take several ‘snap shots’ of the bar code in order to
decode it. It is normal for the LEDs to flash two or three times. Hold
the unit steady between flashes to improve decode performance.
• Turn the hand-held computer on. Wait until the unit has booted
up completely.
• Aim at the bar code and press the scan key or the trigger.
• When the scan button or trigger is pressed, a red, oval shaped light (the
framing marker) is displayed. Centre the framing marker in the field –
either in the centre of the bar code you want to scan or in the centre of the
area in which multiple bar codes are to be scanned. Hold the scan trigger or
button until a successful or failed scan result is obtained.
Illumination LEDs flashes (typically several times) and a picture of the bar code(s)
is taken.
3.7 Connecting & Disconnecting Tethered Peripherals
Tethered peripherals such as scanners and printers connect to the hand-held
computer with a quick release, circular connector. When a peripheral is connected to
the hand-held, the unit detects the peripheral and loads the necessary drivers for it.
An icon in the taskbar at the bottom of the screen provides a visual representation of
the peripheral and indicates that it is ready for operation.
To attach the peripheral to the round, tether port on the side of the unit:
• Insert the barrel of the plug into the tether port and rotate slowly until
it clicks into place. The red dot on the port and on the connector should
be aligned.

Psion Teklogix 7530 G2 Hand-Held Computer User Manual 53
Chapter 3: Getting To Know Your 7530 G2
Monitoring The Battery And Maximizing Run Time
To remove the peripheral:
•Grasp the shell of the plug, and pull it back gently to unlock and release the
connector.
Important: Never attempt to disconnect a peripheral by pulling the cable by
the wire. The connector is locked into place and can only be
unlocked and removed by pulling back the plug shell.
3.8 Monitoring The Battery And Maximizing Run Time
Under normal operating conditions, fully charged batteries last for 9 hours. As
Lithium-Ion batteries age, their capacity decreases gradually, and they are generally
considered depleted after approximately 2 years of use (less than 60% of original
capacity remaining). Keep in mind however that heavy usage or operating the 7530
G2 at temperature extremes will shorten the battery life.
Lithium-Ion batteries do not require conditioning cycles and the 7530 G2 battery system
(including chargers) requires no user interaction to maintain peak performance.
To maximize the run time of your batteries, consider the following:
• The display backlight is the largest drain on the battery. Try to keep its
brightness as low as possible.
• Depending on the ambient light at your site, consider turning off the
keypad backlight.
Tether Shell
Chapter 3: Getting To Know Your 7530 G2
Storing Batteries
54 Psion Teklogix 7530 G2 Hand-Held Computer User Manual
• The hand-held is ‘event’ driven – that is, when the unit is not in use, it
reverts to sleep mode (even when it appears to be running), saving battery
power. Events include a key press, touchscreen taps and scan triggers.
Power consumption is reduced if you avoid unnecessary events, and allow
the unit to sleep as much as possible.
• The hand-held battery is a ‘smart battery’ with built-in intelligence. The
taskbar battery icon is a linear gauge used to estimate the remaining run
time of the battery. It is important to note that the battery capacity icon dis-
plays quarter percentages of nominal capacity (the capacity of a new bat-
tery). An aged battery, even when fully charged, shows somewhat less
capacity than nominal.
Double-tapping on the battery icon displays a dialog box that provides
detailed information about the battery status and performance. If the
remaining capacity indication seems inaccurate, the battery may need recal-
ibration. Recalibration requires that the battery be fully charged, discharged
and then charged again before use. If the battery is fully discharged and
charged on a regular basis, recalibration should not be necessary.
• When the hand-held is switched off, it goes into a low-power, suspend state
but continues to draw a small amount of power from the battery. This
should not be an issue unless the unit is left in suspend state for more than a
week – in this case, the battery should be removed.
• Batteries left unused for durations of more than one or two months should
be fully charged, discharged (operated in the hand held until the low battery
warning appears), and then charged again before use. This recalibrates the
gas gauge and allows the internal electronics to determine the actual capac-
ity of the battery.
3.8.1 Storing Batteries
Long term battery storage is not recommended. If storage is necessary:
• Always try to use a ‘first-in first-out’ approach to minimize storage time.
• Lithium-Ion batteries age much faster at elevated temperatures. Store bat-
teries at temperatures between 0° C and 20°C.
• Always charge batteries to 40 to 60% before storing them. Batteries can be
damaged by an over-discharge phenomenon that occurs when an empty
battery is stored for a long period of time such that the cell voltage drops
below a lower limit.

Psion Teklogix 7530 G2 Hand-Held Computer User Manual 55
Chapter 3: Getting To Know Your 7530 G2
Monitoring The Network Connection
• To minimize storage degradation, recharge stored batteries to 40 to 60%
every 4 or 6 months to prevent over-discharge damage.
• A ‘never used’ Li-Ion battery that has been stored for 3 years may have
limited or no useful life remaining once put into service. Think of batteries
as perishable goods.
3.9 Monitoring The Network Connection
If your hand-held is equipped with a wireless LAN radio, it will typically associate
with the nearest access point. The radio signal quality meter in the taskbar indicates
the relative strength of the communication link.
• Tap on the Radio icon in the taskbar to display the Wireless Statistics
dialog box.
To access the radio signal icon using the keyboard:
• Press [BLUE] [0] to display the Start Menu.
• Highlight Shortcuts and then choose System Tray from the sub-menu.
• Use the [LEFT] and [RIGHT] arrow keys to highlight the radio signal icon
in the taskbar.
• Press [ENTER] to display the Wireless Statistics dialog box.
Note: Moving in and out of the radio coverage area can have varying effects on
a network session. At times, you may need to renew your connection by
logging in again.
3.10 Uploading Data In A Docking Station
The Combo Docking and Quad Docking peripherals allow your hand-held to link to
an Ethernet network. They are typically used to upload transaction data to a server
computer when a radio link is not available. When a 7530 G2 is properly inserted in
a docking station, a dock icon is displayed in the taskbar at the bottom of the unit
screen. The hand-held also detects the presence of the Ethernet network. Review the
documentation provided with the user application installed in your 7530 G2 before
preforming data uploads.

Chapter 3: Getting To Know Your 7530 G2
General Maintenance
56 Psion Teklogix 7530 G2 Hand-Held Computer User Manual
3.11 General Maintenance
3.11.1 Caring For The Touchscreen
The touchscreen is covered with a thin, flexible polyester plastic sheet with a
conductive coating on the inside. The polyester can be permanently damaged
by harsh chemicals and is susceptible to abrasions and scratches. Using sharp
objects on the touchscreen can scratch or cut the plastic, or crack the internal
conductive coating.
The chemicals listed below must not come into contact with the touchscreen:
• mustard, ketchup
• sodium hydroxide,
• concentrated caustic solutions,
• benzyl alcohol, and
• concentrated acids.
If the touchscreen is used in harsh environments, consider applying a disposable
screen protector (PN HU6110). These covers reduce the clarity of the display
slightly but will dramatically extend the useful life of the touchscreen. When they
become scratched and abraded, they are easily removed and replaced.
3.11.2 Cleaning The 7530 G2
Important: Do not immerse the unit in water. Dampen a soft cloth with mild
detergent to wipe the unit clean.
•Use only mild detergent or soapy water to clean the hand-held unit.
• Avoid abrasive cleaners, solvents or strong chemicals for cleaning. The
7530 G2 has a plastic case that is susceptible to harsh chemicals. The plastic
is partially soluble in oils, mineral spirits and gasoline. The plastic slowly
decomposes in strong alkaline solutions.
• To clean ink marks from the keypad and touchscreen, use isopropyl alcohol.

Psion Teklogix 7530 G2 Hand-Held Computer User Manual 57
WORKING WITH WINDOWS CE 4
4.1 Navigating In Windows CE And Applications . . . . . . . . . . . . . . . 59
4.1.1 Navigating Using A Touchscreen And Stylus . . . . . . . . . . . . 59
4.1.2 Navigating Using The Keyboard...................59
4.2 Working With Files, Folders And Programs................60
4.3 The Startup Desktop ............................61
4.3.1 The Desktop Icons..........................62
4.3.2 The Taskbar..............................62
4.3.2.1 Using The Taskbar......................63
4.3.2.2 Customizing The Taskbar..................63
4.4 The Start Menu...............................65
4.4.1 The Desktop .............................66
4.4.2 Security Settings...........................66
4.4.2.1 Assigning The Supervisor Security Level . . . . . . . . . . 66
4.4.2.2 Changing A Password....................67
4.4.2.3 Configuring Security.....................67
4.4.3 Programs...............................68
4.4.4 Shortcuts...............................69
4.4.5 Settings................................71
4.4.6 Run..................................72
4.4.7 Shutdown...............................72
4.5 Using A Dialog Box ............................73

Psion Teklogix 7530 G2 Hand-Held Computer User Manual 59
Chapter 4: Working With Windows CE
Navigating In Windows CE And Applications
4.1 Navigating In Windows CE And Applications
Graphic user interfaces like Windows CE for portable devices and desktop
Windows (2000, XP, etc.) utilize ‘point and click’ navigation. An equivalent
keyboard shortcut is also available for every ‘point and click’ action.
Windows CE supports the same ‘point and click’ user interface and keyboard
shortcuts as desktop Windows with one difference – the ‘point and click’ action is
accomplished using a touchscreen rather than a mouse. Actions can be performed
using any combination of keyboard shortcuts or touchscreen tapping.
Note: The security level must be set to ‘Supervisor’ in order to access many of
the items discussed in this section.
4.1.1 Navigating Using A Touchscreen And Stylus
Note: If the touchscreen is not registering your screen taps accurately, the
touchscreen may need recalibration. Refer to “Calibrating The Touch-
screen” on page 41.
A touchscreen is standard for all 7530 G2s. Each unit is equipped with a stylus – a
pointing tool that looks like a pen – stored in a slot at the top of the unit. The stylus
is used to select objects on the touchscreen.
Note: To prevent damage to the touchscreen, use only the stylus (pen)
supplied with your 7530 G2.
To choose an icon, open a file, launch an applet or open a folder:
• Double-tap the stylus on the appropriate icon.
4.1.2 Navigating Using The Keyboard
If the touchscreen on your is disabled, you’ll need to use the keyboard to choose
icons and navigate dialog boxes, display the desktop, and so on.
Note: Keep in mind that if your 7530 G2 has already been fully configured and
your application is automatically launched at startup, you will have little
need for keyboard navigation.
Operation Key or Key Combination
Switch between active applications [ALT] [TAB]
Open task manager [ALT] [ESC]
Move the cursor Arrow keys

Chapter 4: Working With Windows CE
Working With Files, Folders And Programs
60 Psion Teklogix 7530 G2 Hand-Held Computer User Manual
Table 4.1 Keyboard Navigation
Unlike a desktop computer, the 7530 G2 does not support key chording (pressing
two keys at the same time). You must press one key followed by the next in
sequence.
Refer to “Working With Files, Folders And Programs” for additional details about
keyboard navigation.
4.2 Working With Files, Folders And Programs
• Double-tap on the appropriate icon – either a folder icon, a program icon or
a file icon – to open or launch your selection.
On a keyboard:
• Use the arrow keys to highlight the icon you want to open or launch.
• Press [ENTER].
Open file, folder or icon [ENTER]
Exit & Save [ENTER]
Close/Exit & Do Not Save [ESC]
Navigate Dialog Boxes
[TAB]
To move cursor up [SHIFT] [TAB]
To display the contents of the next ‘tab’ in
a dialog box [CTRL] [TAB]
Select Radio Button/Press Button [SPACE]
Go to Start Menu [BLUE][0]
Folder File
Program

Psion Teklogix 7530 G2 Hand-Held Computer User Manual 61
Chapter 4: Working With Windows CE
The Startup Desktop
4.3 The Startup Desktop
When the 7530 G2 boots up, the startup desktop (shell) is displayed. Any
applications stored in the Startup folder start up immediately.
Note: The startup folder is located in \Windows\StartUp and
\Flash Disk\StartUp.
• Double-tap on the icon to open a window or, in the case of an application
icon, launch an application.
On the keyboard:
• Use the arrow keys to highlight the icon, and press [ENTER] to launch the
highlighted icon.
Note: If the arrow keys do not highlight the desktop icons, the desktop may not
be selected. Press [BLUE] 0 (zero) to display the Start Menu, and select
Desktop. Now the desktop will be “in focus” and the arrow keys will high-
light the icons.

Chapter 4: Working With Windows CE
The Desktop Icons
62 Psion Teklogix 7530 G2 Hand-Held Computer User Manual
4.3.1 The Desktop Icons
The icons displayed in the startup desktop operate in much the same way as those
displayed on any standard PC desktop that is running Windows.
My Device
Choosing this icon displays the contents of your 7530 G2 computer. If you’re not
sure how to work with the files, folders and programs displayed, refer to “Working
With Files, Folders And Programs” on page 60.
Recycle Bin
The Recycle Bin temporarily stores items that were deleted, allowing you to either
permanently delete or restore these items.
Internet Explorer
Choosing this icon launches Internet Explorer – a standard Windows CE version.
Keep in mind that your supervisor will need to set up access using the Internet
Options and the Network and Dial-up Connections icons in the Control Panel.
Remote Desktop Connection
This option allows your 7530 G2 to communicate with a remote desktop PC. “Remote
Desktop Connection” on page 81 provides a website with step-by-step instructions.
4.3.2 The Taskbar
The 7530 G2 is equipped with a taskbar at the bottom of the screen. It displays icons
through which you can view the status of various elements of your unit such as
Psion Teklogix 7530 G2 Hand-Held Computer User Manual 63
Chapter 4: Working With Windows CE
Using The Taskbar
battery capacity and radio signal quality. If the hand-held is attached to a charger,
cradle, docking station or PDM, an associated icon is displayed. In addition, the
taskbar displays the application(s) currently running on your unit and the security
level assigned to your 7530 G2.
The taskbar also displays active modifier keys – [SHIFT], [ALT], [CTRL], [BLUE]
and [ORANGE]. Keys that have been locked “on” are displayed in uppercase
letters. For example, if you lock the [CTRL] key “on”, it is displayed as CTRL KEY in
the taskbar.
4.3.2.1 Using The Taskbar
Using the icons in the taskbar, you can either display the Control Panel dialog box
associated with an icon, or you can view a tooltip. A tooltip provides the status of
each icon.
• Tap and hold the stylus on an icon to display the icon’s tooltip. Double-tap
on the icon to open the Control Panel dialog box associated with the icon.
On the keyboard:
• Press [BLUE] [0] to display the Start Menu.
• Choose Shortcuts from the Start Menu, and then press the [RIGHT] arrow
key to display the sub-menu.
• Choose System Tray in the sub-menu.
• Use the arrow keys to highlight the icon in the taskbar about which you’d
like more information. As each icon is highlighted, a tooltip is displayed.
• To display the associated Control Panel dialog box, press [ENTER].
4.3.2.2 Customizing The Taskbar
To customize the taskbar so that it displays only those icons you require:
•In the Start Menu, tap on Settings>Taskbar.
If you’re using the keyboard:
• Press [BLUE] [0] to display the Start Menu.
• Highlight the Settings option, highlight Taskbar in the sub-menu, and
press [ENTER].

Chapter 4: Working With Windows CE
Customizing The Taskbar
64 Psion Teklogix 7530 G2 Hand-Held Computer User Manual
The Taskbar and Start Menu dialog box is displayed.
Figure 4.1 Taskbar And Start Menu Settings
Taskbar General Tab
• Tap on the items you want to display in the taskbar. The checkmark indi-
cates items that will be displayed.
If you’re using the keyboard:
• Highlight the options you want to activate, and press the [SPACE] key to
select them.
Taskbar Advanced Tab
• Tap on the Clear button to empty the Documents folder.
• To display Control Panel applets in menu form rather than in a window, tap
in the checkbox next to Expand Control Panel.

Psion Teklogix 7530 G2 Hand-Held Computer User Manual 65
Chapter 4: Working With Windows CE
The Start Menu
Taskbar Security Tab
If you check Disable hot keys, the Application from Start menu field becomes
enabled. Use this field to enter the name of the application you want to run when the
user presses the Menu hot key – [BLUE] [0].
If you have disabled hot keys, hidden the Start Menu and have no application
configured, the Menu hot key brings up the Security dialog box.
4.4 The Start Menu
Note: Some of the Start Menu items may be disabled based on the 7530 G2’s
current security settings.
The Start Menu lists the operations you can access and work with. It is available
from the startup desktop or from within any application.
To display the menu:
• Press [BLUE] [0] (zero).
• Tap on the item in the menu with which you want to work.
If you’re using a keyboard:
• Use the arrow keys to highlight a menu item, and press [ENTER], or

Chapter 4: Working With Windows CE
The Desktop
66 Psion Teklogix 7530 G2 Hand-Held Computer User Manual
• If the menu item has an underlined character, type the underlined alpha
character – for example, to display the Security dialog box, type the letter s.
4.4.1 The Desktop
Choosing the Desktop option from the Start Menu displays the 7530 G2 desktop.
4.4.2 Security Settings
Choosing the Security option from the Start Menu displays a dialog box in which
you can define the access level for the 7530 G2 – Supervisor or User.
Figure 4.2 Security Levels
4.4.2.1 Assigning The Supervisor Security Level
The security level is represented by an icon in the shape of a lock in the taskbar. The
security levels define the options accessible to the operator in the Start Menu and
the taskbar. By default, the security level is set to User, restricting access to only the
most basic Start Menu items.
To allow access to all the Start Menu and taskbar options:
•In the Security Level dialog box, tap on the radio button next to Supervisor.
•In the Password field, type the Supervisor level password.
• Tap on OK – you can now access all menu items in the Start Menu along
with the icons in the taskbar.

Psion Teklogix 7530 G2 Hand-Held Computer User Manual 67
Chapter 4: Working With Windows CE
Changing A Password
4.4.2.2 Changing A Password
Note: Keep in mind that this is the same password as that assigned through the
Password control panel applet.
• To assign a password, choose a security level, and enter the existing pass-
word in the Password field.
• Tap on the Set Password button.
A dialog box labelled Password Properties is displayed.
• Type the new password in the Password: text box
•In the Confirm Password: text box, retype the new password.
4.4.2.3 Configuring Security
In the Security Level dialog box (see Figure 4.2 on page 66):
• Tap on the Configure button.
This dialog box also allows you to determine which security levels will have an
associated icon displayed in the taskbar. By default, a security icon is not displayed
for user-level security.
Note: It is recommended that you enable ‘Allow Teklogix Security Level’ so that
authorized Psion Teklogix service personnel can access your unit should
it require maintenance.

Chapter 4: Working With Windows CE
Programs
68 Psion Teklogix 7530 G2 Hand-Held Computer User Manual
4.4.3 Programs
• Tap on Programs to display a sub-menu of options.
Figure 4.3 Program Sub-Menu
This sub-menu allows you to choose ActiveSync and Command Prompt, and you
can access the Internet Explorer, installed applications (e.g., Open Tekterm V2.0),
Remote Desktop Connection or Windows Explorer.
ActiveSync®
ActiveSync is used to connect your PC to another device.
Demo
This folder contains the Demo Imager, Demo Scanner, Demo Signature and Demo
Sound applications. Demo Imager is used for simple image-capturing purposes and
for displaying bar code data and bar code statistics on the same screen with image
data and information. Demo Scanner can be used to test how the hand-held reads
and writes RFID tags. Demo Signature allows you to capture a signature written
on the screen with your stylus and save it to a file. Demo Sound allows you to
record sound.
Command Prompt
Command Prompt is used to access the DOS command prompt. At the prompt, you
can type DOS commands such as dir to display all the directories in the drive.

Psion Teklogix 7530 G2 Hand-Held Computer User Manual 69
Chapter 4: Working With Windows CE
Shortcuts
Internet Explorer
The 7530 G2 is equipped with Microsoft Internet Explorer for Windows CE. You
can access the Internet Options icon through the Start Menu under
Settings>Control Panel or by double-tapping on the desktop icon My Device and
then, double-tapping on the Control Panel icon.
Windows Explorer
The Windows Explorer installed on your 7530 G2 is consistent with all Windows
CE devices. You can access this option from the Start Menu under Programs,
Windows Explorer.
Remote Desktop Connection
Remote Desktop Connection is a 7530 G2 application used to connect to a Windows
Terminal Server so that you can run a “session” on the Server machine using the
7530 G2 (Windows CE device). “Remote Desktop Connection” on page 81
provides a website with details about this option.
4.4.4 Shortcuts
Figure 4.4 Shortcuts Sub-Menu
The System Tray
If your touchscreen is disabled, you can use the System Tray option to access the
icons in the taskbar at the bottom of the screen. The taskbar displays indicators such
as a radio signal icon and the security level. These indicators are attached to dialog
boxes that provide additional information.

Chapter 4: Working With Windows CE
Shortcuts
70 Psion Teklogix 7530 G2 Hand-Held Computer User Manual
• Press [BLUE] [0] to display the Start Menu.
• Using the arrow keys, highlight Shortcut>System Tray.
When System Tray is chosen, the taskbar icons become accessible.
• Use the arrow keys to highlight an icon. As each icon is highlighted, a
tooltip – a description of the status of the icon – is displayed.
• Press [ENTER] to display the Control Panel dialog box associated with
the icon.
Cycle Tasks
When Cycle Tasks is selected (and the Task Manager is not open), you can cycle
through active applications.
To cycle through your active applications:
• Tap on Shortcuts>Cycle Tasks, or
Press [ALT] [TAB].
The Task Manager
The Task Manager allows you to switch to another task or to end an active task. To
display the task manager window:
• Tap on Shortcut>Task Manager, or
Press [ALT] [ESC].

Psion Teklogix 7530 G2 Hand-Held Computer User Manual 71
Chapter 4: Working With Windows CE
Settings
4.4.5 Settings
The Settings sub-menu includes the following settings: Control Panel, Network
and Dial-up Connections and Taskbar and Start Menu.
Figure 4.5 Settings Sub-Menu
Control Panel
The Control Panel contains applets used to configure hardware, the operating
system and the shell. If your 7530 G2 is running with the Psion Teklogix Tekterm
application or another application, additional configuration applets may appear in
the Control Panel.
Network And Dial-Up Connections
The Network and Dial-up Connections window allows you to configure the 7530
G2 radio or execute an existing configuration. Refer to “Configuring An IEEE
802.11 Radio In The Unit” on page 17 for radio setup details.
Taskbar And Start Menu
The Taskbar and Start Menu option displays a dialog box in which you can
customize the taskbar, choosing which options will be displayed. Refer to
“Customizing The Taskbar” on page 63 for additional details about this option.

Chapter 4: Working With Windows CE
Run
72 Psion Teklogix 7530 G2 Hand-Held Computer User Manual
4.4.6 Run
Choosing the Run option from the Start Menu displays a dialog box in which you
can enter the name of the program, folder or document you want to open or launch.
Figure 4.6 Run Option
4.4.7 Shutdown
The Shutdown menu includes the following options: Suspend, Warm Reset and
Cold Reset.
Figure 4.7 Shutdown Sub-Menu
Note: This menu varies slightly depending on the security level chosen. When
the 7530 G2 is set to User level, the Shutdown option is replaced by Sus-
pend. A sub-menu is not available.

Psion Teklogix 7530 G2 Hand-Held Computer User Manual 73
Chapter 4: Working With Windows CE
Using A Dialog Box
Suspend
The Suspend option suspends the 7530 G2 immediately – this is equivalent to
turning the hand-held off.
Warm Reset
The Warm Reset option resets the 7530 G2, leaving all saved files and (registry)
settings intact. Any unsaved data is lost.
Cold Reset
The Cold Reset option resets the 7530 G2. Any files not stored in permanent
memory are lost; however, the registry settings are saved.
4.5 Using A Dialog Box
A dialog box (like the samples in Figure 4.8) appears when you need to make
selections and enter further information.
You can move between dialog items by tapping on them with your stylus (provided
your unit is equipped with a touchscreen), or by pressing the arrow keys and the
[TAB] key. ([SHIFT] [TAB] moves the cursor backwards.)
Figure 4.8 Dialog Boxes
Note: If your 7530 G2 touchscreen is enabled, you can use the stylus to tap on
an element in a dialog box to select or deselect it, display dropdown menu
items, save your selections, and so on. If your touchscreen is disabled, fol-
low the directions that follow in this section.
Checkbox
Dropdown Menu
Button
Textbox
Radio
Button
Tabs

Chapter 4: Working With Windows CE
Using A Dialog Box
74 Psion Teklogix 7530 G2 Hand-Held Computer User Manual
Dialog boxes contain one or more of the following elements:
Tab : A tab separates different elements of a dialog box. Press the [TAB] key until a
tab in the dialog box is highlighted. To display adjoining tabs, press the [RIGHT] or
[LEFT] arrow key. To display the information in the next tab from anywhere in the
window, press [CTRL] [TAB].
Tex t bo x: A textbox requires that you type information. Press the [TAB] key to
highlight the textbox and then type the appropriate information.
Dropdown: This type of menu is identified by up and down arrows next to the
dropdown menu to indicate that additional options are available. Press the [TAB]
key to highlight the menu, and use the arrow keys on your keyboard to cycle
through the options.
Checkbox: This box allows you to select or deselect an option. To select or deselect
a checkbox, press the [TAB] key to highlight the checkbox, and press the [SPACE]
key to select or deselect it.
Radio buttons: These buttons allow you to choose from a number of options. For
example, in the sample screen in Figure 4.8 on page 73 you can choose to Obtain an
IP address via DHCP or Specify an IP address. Press the [TAB] key to highlight a
radio button option, and then select a radio button by pressing the arrow keys to
highlight the appropriate option.
Buttons: This type of button allows you to Save, Delete and so on the options
you’ve chosen in a dialog box. Use the [TAB] key to highlight the button you want
to use. Press the [ENTER] key to activate it.
Saving Your Choices: Once you’ve made all your changes, press the [ENTER] key
to save your changes and exit the window.
Note: A dialog box item that is displayed in grey text indicates that it is not
currently available.

Psion Teklogix 7530 G2 Hand-Held Computer User Manual 75
CONFIGURATION 5
5.1 Remote Desktop Connection........................81
5.2 The TekTerm Application..........................81
5.3 Pocket PC Compatibility..........................81
5.4 The Control Panel..............................82
5.5 Control Panel Icons.............................83
5.6 Basic Setup.................................87
5.6.1 Display Properties ..........................87
5.6.1.1 Display Contrast.......................87
5.6.1.2 Display Backlight......................88
5.6.1.3 Display Appearance.....................90
5.6.2 Keyboard Properties . . . . . . . . . . . . . . . . . . . . . . . . . 90
5.6.2.1 Key Repeat..........................91
5.6.2.3 Keyboard One Shot Modes.................93
5.6.2.4 Keyboard Macro Keys....................94
5.6.2.5 Unicode Mapping......................96
5.6.2.6 Scancode Remapping....................98
5.6.3 Volume And Sound Properties . . . . . . . . . . . . . . . . . . . .100
5.6.3.1 Volume Adjustments.....................101
5.6.3.2 Sound . . . . . . . . . . . . . . . . . . . . . . . . . . . .101
5.6.4 Power Management Properties....................102
5.6.4.1 Battery Capacity.......................102
5.6.4.2 Power Saving Schemes...................103
5.6.4.3 Suspend Threshold......................104
5.6.4.4 Calibrate...........................105
5.6.4.5 Advanced Power Properties.................105
5.6.4.6 Devices............................106
5.6.5 Stylus Properties...........................107
5.6.5.1 Setting Double-Tap Sensitivity . . . . . . . . . . . . . . .107
5.6.5.2 Touchscreen Calibration...................108
5.6.5.3 Disabling The Touchscreen . . . . . . . . . . . . . . . . .108
5.6.6 Manage Triggers...........................109
5.6.6.1 Trigger Mappings......................110
5.6.6.2 Add And Edit Trigger Mapping . . . . . . . . . . . . . . .111
Chapter 5: Configuration
76 Psion Teklogix 7530 G2 Hand-Held Computer User Manual
5.6.7 Certificate Assignment....................... 113
5.7 Bluetooth Setup.............................. 114
5.7.1 The Devices Tab........................... 115
5.7.2 The Servers Tab........................... 118
5.7.3 Outgoing Tab............................ 118
5.7.4 Active Conn. Tab.......................... 119
5.7.5 The Properties Tab .........................120
5.7.6 Bluetooth GPRS Connection....................121
5.8 Total Recall................................126
5.8.1 Creating A Backup Profile . . . . . . . . . . . . . . . . . . . . . 126
5.8.2 Restoring A Profile.........................130
5.9 IPv6 Support................................131
5.10 Narrow Band Radio Setup........................132
5.10.1 Info Tab ..............................132
5.10.2 Channel Tab............................135
5.10.3 Protocol Tab............................138
5.10.4 Power Tab.............................141
5.10.5 Radio Tab .............................142
5.11 Scanner Settings.............................143
5.11.1 Bar Codes .............................144
5.11.1.1 The Scanner........................144
5.11.2 Non-Decoded Scanners......................145
5.11.2.1 Non-Decoded Options ..................146
5.11.2.2 Code 39..........................147
5.11.2.3 Code 128.........................149
5.11.2.4 EAN 13..........................150
5.11.2.5 EAN 8...........................151
5.11.2.6 UPC A...........................152
5.11.2.7 UPC E...........................152
5.11.2.8 Codabar..........................153
5.11.2.9 Code 93..........................153
5.11.2.10 Code 11 .........................154
5.11.2.11 Interleaved 2 of 5 ....................154
5.11.2.12 MSI Plessey.......................155
5.11.2.13 Discrete 2 of 5......................155
5.11.2.14 IATA 2 of 5 .......................156
5.11.3 Decoded (Internal) Scanners....................156
5.11.3.1 Decoded (Internal) Options................157
Psion Teklogix 7530 G2 Hand-Held Computer User Manual 77
Chapter 5: Configuration
5.11.3.2 Decoded (Internal) Advanced Options . . . . . . . . . . .157
5.11.3.3 Decoded (Internal) 2D Scanning Options (SE2223 only) .159
5.11.3.4 Decoded (Internal) Data Options. . . . . . . . . . . . . .160
5.11.3.5 Code 39...........................161
5.11.3.6 Code 128..........................163
5.11.3.7 EAN 13...........................164
5.11.3.8 EAN 8 ...........................164
5.11.3.9 UPC A...........................164
5.11.3.10 UPC E...........................165
5.11.3.11 UPC/EAN Shared Settings................166
5.11.3.12 Codabar..........................167
5.11.3.13 Code 93..........................167
5.11.3.14 Interleaved 2 of 5.....................168
5.11.3.15 MSI Plessey........................169
5.11.3.16 Discrete 2 of 5.......................170
5.11.3.17 2D PDF-417 (SE2223 only). . . . . . . . . . . . . . . .170
5.11.3.18 2D Micro PDF-417 (SE2223 only) . . . . . . . . . . . .171
5.11.3.19 RSS Code (Reduced Space Symbology) . . . . . . . . .171
5.11.3.20 Composite (SE2223 only). . . . . . . . . . . . . . . . .172
5.11.4 Decoded (Intermec ISCP)......................173
5.11.4.1 Decoded (Intermec) Options................173
5.11.4.2 Decoded (Intermec) Advanced Options . . . . . . . . . .173
5.11.4.3 Code 39...........................174
5.11.4.4 Code 128..........................175
5.11.4.5 EAN 13...........................177
5.11.4.6 EAN 8 ...........................178
5.11.4.7 UPC A...........................178
5.11.4.8 UPC E ...........................178
5.11.4.9 UPC/EAN Shared Settings.................179
5.11.4.10 Codabar..........................180
5.11.4.11 Code 93..........................181
5.11.4.12 Code 11..........................181
5.11.4.13 Interleaved 2 of 5.....................182
5.11.4.14 Matrix 2 of 5 .......................183
5.11.4.15 MSI Plessey........................183
5.11.4.16 Discrete 2 of 5.......................184
5.11.4.17 2D PDF-417........................185
5.11.4.18 2D Micro PDF-417....................185
Chapter 5: Configuration
78 Psion Teklogix 7530 G2 Hand-Held Computer User Manual
5.11.4.19 2D Codablock......................186
5.11.4.20 Telepen..........................186
5.11.5 Imager...............................187
5.11.5.1 Imager Options......................187
5.11.5.2 Imager Advanced Options ................189
5.11.5.3 Code 39..........................191
5.11.5.4 Code 128.........................191
5.11.5.5 UPC/EAN.........................192
5.11.5.6 Codabar..........................192
5.11.5.7 Code 93..........................192
5.11.5.8 Interleaved 2 of 5.....................192
5.11.5.9 RSS Code (Reduced Space Symbology) . . . . . . . . . 193
5.11.5.10 Postal: Australian....................193
5.11.5.11 Postal: Japanese.....................193
5.11.5.12 Postal: Korean......................193
5.11.5.13 Postal: PlaNET .....................193
5.11.5.14 Postal: PostNET.....................194
5.11.5.15 Postal: Royal.......................194
5.11.5.16 2D DataMatrix......................194
5.11.5.17 2D Maxicode ......................194
5.11.5.18 2D PDF-417.......................194
5.11.5.19 2D Micro PDF-417 ...................195
5.11.5.20 2D QR Code.......................195
5.11.5.21 2D Aztec.........................195
5.11.5.22 Composite........................195
5.11.6 Options Tab ............................196
5.11.7 Translations ............................198
5.11.8 Ports................................199
5.11.8.1 Tether Port (COM1)....................200
5.11.8.2 Console Port (COM3)...................201
5.11.8.3 Port Replicator Tether (COM6)..............202
5.11.8.4 Port Replicator Port A (COM5)..............203
5.12 SNMP (Simple Network Management Protocol) Setup . . . . . . . . . 204
5.12.1 Contact Tab ............................205
5.12.1.1 Contact..........................205
5.12.1.2 Location..........................205
5.12.2 Communities Tab .........................206
5.12.2.1 Adding A Community ..................206
Psion Teklogix 7530 G2 Hand-Held Computer User Manual 79
Chapter 5: Configuration
5.12.2.2 Modifying A Community Setting . . . . . . . . . . . . .207
5.12.2.3 Removing An Existing Community . . . . . . . . . . . .207
5.12.3 Trap Destination Tab ........................208
5.12.3.1 Enabling Authentication TRAPS. . . . . . . . . . . . . .208
5.12.3.2 Adding A Destination ...................208
5.12.3.3 Changing A Destination..................209
5.12.3.4 Removing A Trap Destination...............209
5.12.4 Permitted Hosts Tab.........................210
5.12.4.1 Adding A Host.......................210
5.12.4.2 Changing A Host......................211
Psion Teklogix 7530 G2 Hand-Held Computer User Manual 81
Chapter 5: Configuration
Remote Desktop Connection
5.1 Remote Desktop Connection
Remote Desktop Connection is a 7530 G2 application used to connect to a
Windows Terminal Server so that you can run a “session” on the Server machine,
using the 7530 G2 (Windows CE device).
Refer to the following website for step-by-step information about setting up this
connection:
http://www.microsoft.com/WindowsXP/pro/using/howto/gomobile/remotedesktop/default.asp
Contact Psion Teklogix personnel if you need help accessing this site. Refer to
Appendix A: “Support Services And Worldwide Offices” at the back of this manual
for contact information.
5.2 The TekTerm Application
TekTerm is a powerful emulation application ideally suited for real time data
transaction applications associated with mainframes and servers. The 7530 G2 includes
unique features that support TekTerm—a Psion Teklogix application that has the ability
to maintain multiple simultaneous sessions with a variety of host computers. For
detailed information, refer to the TekTerm Software User Manual, P/N 8000073.
5.3 Pocket PC Compatibility
The 7530 G2 supports the AYGShell API set that allows Pocket PC-compatible
applications to run on the hand-held. Windows CE includes application
programming interface (API) compatibility support for the Microsoft Windows
Powered Pocket PC 2002 shell in units running Windows CE.
The website listed below describes the APIs exposed through AYGShell and the
application compatibility between Windows Powered Pocket PC 2002-based
applications and Windows CE-based devices:
http://msdn.microsoft.com/library/default.asp?url=/library/en-us/dncenet/html/WINCENET_CEPCC_App.asp

Chapter 5: Configuration
The Control Panel
82 Psion Teklogix 7530 G2 Hand-Held Computer User Manual
5.4 The Control Panel
The Windows CE Control Panel provides a group of icons through which you can
set a variety of system-wide properties.
Note: If you are uncertain how to move around a dialog box and make selec-
tions, review “Using A Dialog Box” on page 73.
When the 7530 G2 boots up, the startup desktop (shell) is displayed, and any
applications stored in the Startup folder start up immediately.
To access the Control Panel:
• Tap on the Start button in the taskbar to display the Start Menu.
• Tap on Setting>Control Panel.
If you’re using the keyboard:
• Press [BLUE] [0] to display the Start Menu.
• Highlight Settings in Start Menu, and press the [RIGHT] arrow key to
highlight Control Panel.
• Press the [ENTER] key.
The Control Panel folder contains icons used in the setup of your 7530 G2.
Figure 5.1 Control Panel

Psion Teklogix 7530 G2 Hand-Held Computer User Manual 83
Chapter 5: Configuration
Control Panel Icons
5.5 Control Panel Icons
The Control Panel provides a group of icons that allow you to customize and adjust
settings on your 7530 G2.
App Launch Keys
Allows you to map keys to applications so that you can then launch those
applications from a single key-press.
Bluetooth
Provides options for Bluetooth radio setup. It also provides the capability to
use a Bluetooth-enabled cellular phone as a data modem to exchange infor-
mation with other Bluetooth devices and provide network access.
Certificates
A public key is transmitted as part of a certificate. The certificate assigned
through this icon is used to ensure that the submitted public key is, in fact,
the public key that belongs to the submitter. The client checks that the cer-
tificate has been digitally signed by a certification authority that the client
explicitly trusts. “Certificate Assignment” on page 113 directs you to the
appropriate setup information.
Date/Time
Allows you to set the current Month, Date, Time and Time Zone on your unit.
Dialing
Specifies dialing settings, including area code, country code, dial type and
the code to disable call waiting. You can store multiple patterns – for exam-
ple, ‘Work’, ‘Home’, and so on using this dialog box.
Display
Allows you to change the appearance (window colour scheme) of the 7530
G2 desktop.

Chapter 5: Configuration
Control Panel Icons
84 Psion Teklogix 7530 G2 Hand-Held Computer User Manual
Input Panel
Provides the framework for a Soft Input Panel (SIP) should you need to
design your own SIP.
Internet Options
Provides options to configure your Internet browser. You can determine
items such as the default and search page that the browser applies when
connecting to the Internet, the cache size, the Internet connection options,
and the security level that is applied when browsing.
IPv6 Support
Refers to a new Internet Protocol specification (version 6) that has been
published to use 128-bit IP addresses (replacing version 4).
Keyboard
Toggles character repeat on and off and specifies delay and rate for repeated char-
acters. It also allows you to adjust the keyboard backlight threshold and intensity.
Manage Triggers
Allows multiple-scanner trigger management, including the ability to con-
figure each of the trigger buttons. You can configure the trigger ID for each
trigger button for both single- and double-click, and the double-click time.
Narrow Band Radio
This icon is displayed only if a Narrow Band radio is installed in the 7530.
It provides access to the Narrow Band setup screens.
Network And Dial-up Connections
Displays a network window from which the 7530 G2 802.11 radio can be
configured and an existing configuration can be executed. Refer to “Config-
uring An IEEE 802.11 Radio In The Unit” on page 17 for details.

Psion Teklogix 7530 G2 Hand-Held Computer User Manual 85
Chapter 5: Configuration
Control Panel Icons
Owner
Provides fields in which you can specify owner information. A Notes tab
allows additional information to be entered and displayed when the
unit is powered up. Network ID tab information is used to access
network resources. (This information should be provided by your
System Administrator.)
Password
Allows you to assign a password to restrict access to elements of the unit.
Once assigned, password access cannot be circumvented so it is important
that you write down your password and keep it in a safe place. Refer to
“Security Settings” on page 66 for details.
PC Connection
Enables direct connections to a desktop computer. Selecting the Change
Connection button allows you to change the type of direct connect to
your PC.
Power
Displays battery pack power status. (Alternately, battery status can be
accessed through the taskbar.) Additional tabs allow you to determine
suspend states, to activate card slots and to enable the built-in, Bluetooth
radio. (Refer to “Power Management Properties” on page 102 for details.)
RDC Licenses
The Terminal Services license server stores all license tokens that have been
installed for a group of terminal servers and tracks licenses issued. The
Remote Desktop Licenses (RDC) application displays license ‘tokens’ for
devices that connect to a Terminal Server.
Region & Language
Allows you to specify the local language that is to be displayed on the
hand-held screen along with the format of numbers, currency, time and date
for your region.

Chapter 5: Configuration
Control Panel Icons
86 Psion Teklogix 7530 G2 Hand-Held Computer User Manual
Remove Programs
Lists the programs that can be removed from your unit. To remove a pro-
gram, select it and then click on the Remove button.
SNMP
SNMP (Simple Network Management Protocol) is the protocol used to
monitor and manage devices attached to a TCP/IP network.
Storage Manager
Allows the user to view information about the storage devices that are
present, such as SD-MMC flash cards.
Stylus
Adjusts how Windows CE recognizes your double-tap (as slow or rapid
successive taps).
In the Calibration tab, you can recalibrate your touchscreen by tapping
on the Recalibrate button and following the directions on the screen.
System
Displays system and memory properties. In the Memory tab, you can
allocate memory between storage memory and program memory.
Teklogix Scanners
Provides scanner parameters and the bar code symbologies that the 7530
G2 scanner will successfully read.
Total Recall
Provides access to a backup and restore utility to maintain applications and
settings over cold reboots.
TweakIT Settings
Allows you to change Advanced System Settings (interface, network, and
servers), User System Settings (display font size), and provides the
Registry Editor.

Psion Teklogix 7530 G2 Hand-Held Computer User Manual 87
Chapter 5: Configuration
Basic Setup
Volume & Sound
Allows you to adjust the volume of the sound emitted to indicate events like
warnings, key clicks and screen taps.
Wireless WAN
Provides access to technology like GSM/GPRS and CDMA which allows
wide area networking capability such as internet browsing via GSM/GPRS.
5.6 Basic Setup
5.6.1 Display Properties
•In the Control Panel, choose the Display icon.
Figure 5.2 Choosing The Display Icon
5.6.1.1 Display Contrast
The Contrast tab allows you to adjust the 7530 G2 display contrast to suit the
environment in which you are using the hand-held. The contrast control can also be
used to reduce display flickering that can occur with colour displays in certain
lighting conditions

Chapter 5: Configuration
Display Properties
88 Psion Teklogix 7530 G2 Hand-Held Computer User Manual
•In the Display Properties dialog box, tap on the Contrast tab.
• Slide the bar in the Contrast tab to the left to decrease or darken the
display contrast.
• Slide the bar to the right to increase or lighten the display contrast.
5.6.1.2 Display Backlight
The Display Properties dialog box in the Control Panel allows you to specify the
intensity of the backlight along with how long the backlight remains on when the
7530 G2 is not active.
Note: Keep in mind that this option may be restricted to supervisory use only.
•In the Display Properties dialog box, tap on the Backlight tab.
Note: Backlight changes take effect immediately. You do not need to reset
the unit.

Psion Teklogix 7530 G2 Hand-Held Computer User Manual 89
Chapter 5: Configuration
Display Properties
Important: To maximize battery run time, keep the display backlight bright-
ness and active durations as low as possible.
ON Threshold
The 7530 G2 is equipped with an ambient light sensor. This sliding bar allows you
to determine how dark the ambient light needs to be before the backlight turns on.
Intensity
This parameter is used to adjust the light intensity of the 7530 G2 backlight.
Sliding the bar to the left lowers the light intensity, and sliding it to the right raises
the intensity.
Bright For
The value chosen from this dropdown menu determines the duration of time that the
backlight stays on at the configured intensity after the last user action (keypress or
scan trigger).
Dim For
The value chosen from this dropdown menu determines the duration of time that
the backlight stays on at half the configured intensity (dimmed backlight) after
expiration of the Bright For delay and as long as no user action takes place (such as
a keypress or scan trigger). At the expiration of the Dim For duration, the display
backlight shuts off.
External Power Checkbox
When you select the checkbox next to When using external power keep the
backlight always ON, the backlight remains ON at the configured intensity when
the 7530 G2 is operating with external power (not battery power). If the 7530 G2 is
drawing power from its battery, this option is ignored and the other parameters
defined in Display Properties dialog box take affect.

Chapter 5: Configuration
Keyboard Properties
90 Psion Teklogix 7530 G2 Hand-Held Computer User Manual
5.6.1.3 Display Appearance
•In the Display Properties dialog box, open the Appearance tab.
This dialog box allows you to customize the display colour scheme.
5.6.2 Keyboard Properties
This icon displays the Keyboard Properties dialog box in which you can adjust the
repeat rate of the keys, the intensity of the keyboard backlight and the behaviour of
the [BLUE] and [ORANGE] modifier keys. This dialog box also allows you to
define macro keys and remap the keyboard.
•In the Control Panel, tap on the Keyboard icon.
Figure 5.3 Choosing The Keyboard Icon

Psion Teklogix 7530 G2 Hand-Held Computer User Manual 91
Chapter 5: Configuration
Keyboard Properties
5.6.2.1 Key Repeat
•In the Keyboard Properties dialog box, open the Repeat tab.
Repeat Delay
The position of the slider determines how long a key must be held down before it
begins to autorepeat.
Repeat Rate
The value assigned for the Repeat Rate parameter determines how quickly the key
you press repeats and is measured in characters per second (cps). Sliding the bar to
the left slows the repeat rate, and sliding the bar to the right increases the repeat rate.
Note: Use the field at the bottom of this dialog box to test the repeat delay and
rate settings you’ve chosen.

Chapter 5: Configuration
Keyboard Properties
92 Psion Teklogix 7530 G2 Hand-Held Computer User Manual
5.6.2.2 Keyboard Backlight
•In the Keyboard Properties dialog box, open the Backlight tab.
ON Threshold
The ON Threshold sliding bar allows you to determine how dark the ambient light
needs to be before the keyboard backlight turns on.
Intensity
This parameter is used to adjust the light intensity of the 7530 G2 keyboard
backlight. Sliding the bar to the left darkens the keyboard backlight intensity, and
sliding it to the right lightens the intensity.
Note: The keypad backlight maximum brightness will decrease over time as it
ages. Use mid-range intensity settings when possible to extend the back-
light life span. When the backlight starts to dim, use this parameter to
make it brighter.
ON For
The value chosen from this dropdown menu determines the duration of time that the
keyboard backlight stays on after the last user action (keypress or scan trigger).

Psion Teklogix 7530 G2 Hand-Held Computer User Manual 93
Chapter 5: Configuration
Keyboard Properties
5.6.2.3 Keyboard One Shot Modes
•In the Keyboard Properties dialog box, tap on the One Shots tab.
Figure 5.4 Keyboard One Shot Properties
The options in this tab allow you to determine how modifier keys on your 7530 G2
behave. For each modifier key—[ALT], [SHIFT], [CTRL], [ORANGE] and
[BLUE]—you have the following options in the drop-down menu: Lock, OneShot,
and OneShot/Lock.
Note: The taskbar helps you determine whether or not these keys are locked on.
For example, if the [ORANGE] key is locked ‘on’, the taskbar at the bot-
tom of the screen displays it in uppercase characters, ORANGE KEY. If this
key is displayed in lowercase characters in the taskbar, you’ll know that
the orange key is not locked. It will become inactive following a key press.
Important: Once you’ve assigned a One Shot mode to a modifier key, you need to
tap on the OK button at the top of the tab to activate your selection.
Lock
If you choose Lock from the drop-down menu, pressing a modifier key once locks it
‘on’ until you press the modifier key a second time to unlock or turn it off.
OneShot
If you choose OneShot, the modifier key remains active only until the next key is pressed.

Chapter 5: Configuration
Keyboard Properties
94 Psion Teklogix 7530 G2 Hand-Held Computer User Manual
OneShot/Lock
OneShot/Lock allows you to combine these functions. When you choose this
option and you press the modifier key once, it remains active only until the next key
is pressed.
If you press the modifier key twice, it is locked ‘on’, remaining active until the
modifier key is pressed a third time to turn it ‘off’.
5.6.2.4 Keyboard Macro Keys
•In the Keyboard Properties dialog box, open the Macros tab.
Figure 5.5 Macro Dialog Box
A macro has 200 programmable characters (or “positions”). The macro keys can be
programmed to replace frequently used keystrokes, along with the function of
executable keys including [ENTER], [BKSP] and [DEL] ([BLUE]-[BKSP]),
function keys and arrow keys.
Recording And Saving A Macro
You can program up to 12 macro keys on a 63-key keyboard. On a 37-key keyboard,
you can program a maximum of 6 macro keys.
•In the Macro menu, highlight a macro key number – for example, macro 1
to assign a macro to macro key [M1]. Tap on the Record button.

Psion Teklogix 7530 G2 Hand-Held Computer User Manual 95
Chapter 5: Configuration
Keyboard Properties
A message screen is displayed instructing you to Please Enter Key Strokes
• Type the macro sequence you want to assign to the Macro key. You can
type text and numbers, and you can program the function of special keys
into a macro.
• When you’ve finished recording your macro sequence, press the key
sequence – [CTRL] [ALT] [ENTER], or
Tap on Stop Recording.
A new screen displays the macro sequence you created. The Save Macro button
is highlighted.
• Press [ENTER] to save your macro.
Note: If you want to discard the macro you’ve just created, highlight the
Discard Macro button, and press [ENTER].
Executing A Macro
To execute a macro:
• Press the macro key to which you’ve assigned the macro. For example, if
you created a macro for macro key 1, press [M1] to execute the macro.
Deleting A Macro
To delete a macro:
•In the Macros tab, highlight the macro number you want to delete.
• Tap on the Delete button.

Chapter 5: Configuration
Keyboard Properties
96 Psion Teklogix 7530 G2 Hand-Held Computer User Manual
5.6.2.5 Unicode Mapping
•In the Keyboard Properties dialog box, open the Unicode Mapping tab.
Figure 5.6 Unicode Mapping
The Unicode Mapping tab is used to map combinations of virtual key values and
[CTRL] and [SHIFT] states to Unicode™ values. This tab shows the configured
Unicode character along with the Unicode value. For example, the sample screen
above shows “a (U+0061)” indicating that the character “a” is represented by the
Unicode value “0061”, and so on. Keep in mind that Unicode configurations are
represented as hexadecimal rather than decimal values.
All user-defined Unicode mappings are listed in the Unicode Mapping tab in order
of virtual key value, and then by order of the shift state. If a Unicode mapping is not
listed, the Unicode mapping is mapped to the default Unicode value.

Psion Teklogix 7530 G2 Hand-Held Computer User Manual 97
Chapter 5: Configuration
Keyboard Properties
Adding And Changing Unicode Values
Important: Changes to Unicode mappings are not saved until you exit the
Keyboard Properties dialog box.
• Tap on the Add/Change button.
• Highlight a value in the Unicode mapping list – in the sample screen above,
a value will be assigned to virtual key 0 (VK 0).
• Position the cursor in the Unicode Mapping field, and type a Unicode
value for the highlighted key.
Note: To add a shifted state – [SHIFT] and/or [CTRL], press [TAB] to position
the cursor in the checkbox next to ‘SHIFT Pressed’ and/or ‘CTRL
Pressed’. Press [SPACE] to select the shift state you want to assign.
Removing Unicode Values
•In the Unicode Mapping tab, highlight the item you want to delete, and
choose the Remove button.

Chapter 5: Configuration
Keyboard Properties
98 Psion Teklogix 7530 G2 Hand-Held Computer User Manual
5.6.2.6 Scancode Remapping
A scancode is a number that is associated with a physical key on a keyboard. Every
key has a unique scancode that is mapped to a virtual key, a function or a macro.
Scancode Remapping allows you to change the functionality of any key on the
keyboard. A key can be remapped to send a virtual key (e.g. VK_F represents the
‘F’ key; VK_RETURN represents the [ENTER/ON] key, etc.), perform a function
(e.g. turn the scanner on, change volume/contrast, etc.) or run a macro.
There are three different tables of scancode mappings: the Normal table, the Blue
table and the Orange table. The Normal table defines unmodified key presses; the
Blue table defines key presses that occur when the [BLUE] modifier is on; the
Orange table defines key presses that occur when the [ORANGE] modifier is on.
The default mappings of these scancodes can be overwritten for each of these three
tables using the Scancode Remapping tab accessed from the Keyboard Properties
dialog box.
Figure 5.7 Scancode Remapping
The first column in the Scancode Remapping tab displays the scancodes in
hexadecimal. If the scancode is remapped to a virtual key, that virtual key is
displayed in the next column labelled ‘V-Key’. A virtual key that is ‘Shifted’ or
‘Unshifted’ is displayed in the third column labelled ‘Function’.
If the scancode is remapped to a function or a macro, the first and second columns
remain blank while the third column contains the function name or macro key
number (e.g., Macro 2).

Psion Teklogix 7530 G2 Hand-Held Computer User Manual 99
Chapter 5: Configuration
Keyboard Properties
Adding A Remap
To add a new remapping:
• Tap on the Add button at the bottom of the dialog box.
The Remap Scancode dialog box is displayed.
• Type the scan code in hexadecimal in the field labelled Scancode
Note: The Label field displays the default function of the scancode you
are remapping.
Virtual Key, Function And Macro
The radio buttons at the bottom of the dialog box allow you to define to what the
scan code will be remapped: Virtual Key, Function or Macro.
When Virtual Key is selected, you can choose to force [SHIFT] to be on or off when
the virtual key is sent. If No Force is selected, the shift state is dependent on whether
the shift state is on or off at the time the virtual key is sent.
When Function is selected, a list of valid functions appears in the dialog box.
When Macro is selected, the macro keys available on your unit are listed in the
dialog box.
• Choose Virtual Key, Function or Macro.
• Choose a function from the Function list in the dialog box, and tap on OK.

Chapter 5: Configuration
Volume And Sound Properties
100 Psion Teklogix 7530 G2 Hand-Held Computer User Manual
Editing A Scancode Remap
To edit a scancode:
•In the Scancode Remapping tab, tap the stylus on the remap you want
to edit.
• Tap on the Edit button, and make the appropriate changes.
• Tap on OK to save your changes.
Removing A Remap
To delete a remap:
•In the Scancode Remapping tab, highlight the scancode you want to delete,
and tap on the Remove button.
• Tap on OK.
5.6.3 Volume And Sound Properties
Note: Additional sounds can be generated by the application installed in your
7530 G2.
•In the Control Panel, tap on the Volume & Sounds icon.
Figure 5.8 Choosing The Volume Icon

Psion Teklogix 7530 G2 Hand-Held Computer User Manual 101
Chapter 5: Configuration
Volume And Sound Properties
5.6.3.1 Volume Adjustments
• Slide the volume button to the left to lower the beeper volume or to the right
to increase the beeper volume.
• Under the heading Enable sounds for, enable the conditions under which
you want the 7530 G2 to emit a beep.
5.6.3.2 Sound
The 7530 G2 hand-held computer is equipped with a sound port. This dialog box
allows you to determine the sound file that will be emitted from this port.

Chapter 5: Configuration
Power Management Properties
102 Psion Teklogix 7530 G2 Hand-Held Computer User Manual
5.6.4 Power Management Properties
This icon displays the Power Properties dialog box that indicates the unit’s battery
capacity and allows you to manage battery use.
•In the Control Panel, tap on the Power icon.
Figure 5.9 Choosing The Power Icon
5.6.4.1 Battery Capacity
•In the Power Properties dialog box, open the Battery tab to view battery details.

Psion Teklogix 7530 G2 Hand-Held Computer User Manual 103
Chapter 5: Configuration
Power Management Properties
5.6.4.2 Power Saving Schemes
•In the Power Properties dialog box, open the Schemes tab.
Power Scheme
This dropdown menu allows you to specify whether the unit is using AC Power or
Battery Power.
Switch State To Suspend
Important: Psion Teklogix recommends setting the Suspend value to 10 min-
utes. Setting ‘Switch State To Suspend’ to ‘Never’ will adversely
affect the battery run time.
To further reduce power consumption, carefully consider the
duration of time that the display backlight is ‘on’ (see “Display
Backlight” on page 88).
When the 7530 G2 is idle – not receiving any user input (a key touch, a scan, and so
on) or system activity (serial data, an activity initiated by an application, and so on),
the value chosen in the Suspend Timeout dropdown menu determines when the unit
will go to suspend state (appear to be off).
When the time in the Suspend Timeout field elapses without any activity, the unit
enters Suspend state. In Suspend state, the 7530 G2 CPU enters a sleep state, and the
radio is shut off. The state of the device (RAM contents) is preserved. Pressing
[ENTER] wakes the system from suspend state. When the 7530 G2 is in suspend
state, the network connection is broken immediately; you must re-establish the
network connection.

Chapter 5: Configuration
Power Management Properties
104 Psion Teklogix 7530 G2 Hand-Held Computer User Manual
5.6.4.3 Suspend Threshold
The Suspend Threshold adjustment tells the system when to shut down when the
battery drains. If you choose Maximum Operating Time, the unit will run until the
battery is completely empty; the RAM is only backed up for a short period of time.
If you choose Maximum Backup Time, the hand-held shuts off with more energy left
in the battery so RAM can be backed up for a longer period of time.
Important: Selecting Maximum backup time will reserve approximately 20%
of the battery capacity for memory backup. Once the battery drains
the system, RAM memory is lost and the unit must cold boot.
In most real-time transaction environments this is not a problem
(it only takes a few seconds to cold boot). Batch transaction envi-
ronments, where data is not saved to a non-volatile memory (such
as an SD FLASH card), may need to pay particular attention to
this parameter. Psion Teklogix does not recommend the storage of
any valuable data in system RAM.
The 7530 G2 normal Windows CE environment does not store
any critical data in RAM (such as the registry or file system).
If the user's application does not save data to RAM,
Psion Teklogix recommends keeping the Suspend Threshold
setting as low as possible to maximize battery run time.

Psion Teklogix 7530 G2 Hand-Held Computer User Manual 105
Chapter 5: Configuration
Power Management Properties
5.6.4.4 Calibrate
Tapping in the checkbox next to Allow Battery Calibration allows the battery to be
recalibrated only when necessary if the unit is inserted in a Combo Docking station.
5.6.4.5 Advanced Power Properties
Allow Suspend With
This tab allows you to specify whether or not your unit will enter suspend state
while is operating with an active PPP connection, network interface or active
TCP/IP connection.

Chapter 5: Configuration
Power Management Properties
106 Psion Teklogix 7530 G2 Hand-Held Computer User Manual
Low Power Warning
The sliding scale under this section of the tab allows you to specify the remaining
battery capacity at which a warning message is displayed on the 7530 G2 screen –
0% to 20%.
5.6.4.6 Devices
This tab enables or disables power to individual CF, PC Card and SDIO slots in the unit.
Slot Power Status
This tab allows you to enable or disable power to the individual CF, PC Card and
SDIO slots in your unit.
Built-In Devices Power Status
A checkmark next to Enable Bluetooth activates the unit’s built-in, Bluetooth radio.

Psion Teklogix 7530 G2 Hand-Held Computer User Manual 107
Chapter 5: Configuration
Stylus Properties
5.6.5 Stylus Properties
Note: Touchscreen calibration may not be enabled on your unit. If your screen
appears to require recalibration, contact your supervisor.
•In the Control Panel, tap on the Stylus icon.
Figure 5.10 Stylus Icon
5.6.5.1 Setting Double-Tap Sensitivity
•In the Double-Tap tab, follow the directions to tailor the sensitivity of the
stylus when you tap on the touchscreen.

Chapter 5: Configuration
Stylus Properties
108 Psion Teklogix 7530 G2 Hand-Held Computer User Manual
5.6.5.2 Touchscreen Calibration
Touchscreens rarely require recalibration. However, if your touchscreen has never
been calibrated or if you find that the stylus pointer is not accurate when you tap on
an item, follow the directions below.
• Tap on the Calibration tab, and then on the Recalibrate button.
• Follow the directions in the Calibration tab to recalibrate the screen.
5.6.5.3 Disabling The Touchscreen
This tab allows you to disable the touchscreen.
• To disable the touchscreen, tap in the checkbox next to Disable the
touch panel.

Psion Teklogix 7530 G2 Hand-Held Computer User Manual 109
Chapter 5: Configuration
Manage Triggers
5.6.6 Manage Triggers
The Manage Triggers icon allows you to configure how bar code scanners and other
devices such as RFID readers are triggered. You can configure the trigger ID for
each trigger button for both single- and double-click, and the double-click time.
•In the Control Panel, tap on the Manage Triggers icon.
Figure 5.11 Choosing The Manage Trigger Icon
In the Manage Triggers screen you’ll see a list of trigger mappings.

Chapter 5: Configuration
Manage Triggers
110 Psion Teklogix 7530 G2 Hand-Held Computer User Manual
5.6.6.1 Trigger Mappings
A trigger mapping is an association between a particular key on the keyboard and a
driver or application, the “owner(s)” of the trigger source. When the specified key is
pressed, the owner (for example, a decoded scanner) is sent a message.
Important: It is not possible to have two or more identical mappings—for
example [F1] cannot be mapped to the Non-Decoded Scanner
twice—even if the trigger type is different.
A keyboard key that is used as a trigger source will no longer gen-
erate key data or perform its normal function. For example, if the
space button is used as a trigger source, it will not be able to send
space characters to applications.
Double-Click
When a key is pressed and released, then pressed again within the configured time
(between 0 to 1000 milliseconds), a double-click occurs. See also “Trigger Type” on
page 112.
Show All
By default, the trigger mapping list only shows active mappings. Mappings for
drivers or applications that are not currently active are not normally displayed. By
checking this checkbox, all mappings, both active and inactive, are displayed.
Add
Tapping this button brings up the Add mapping dialog (see below), so that you can
add new trigger mappings.
Edit
Tapping this button brings up the Edit mapping dialog, so that you can edit existing
trigger mappings.
Remove
Tapping this button removes an existing mapping.
OK
The OK button in the top right of the Manage Triggers screen saves all changes
made. If the cancel button X is tapped instead, or the [ESC] key is pressed, all
changes made will be discarded.

Psion Teklogix 7530 G2 Hand-Held Computer User Manual 111
Chapter 5: Configuration
Manage Triggers
5.6.6.2 Add And Edit Trigger Mapping
• Tap on the Add button to add a new trigger map, or on the Edit button to
edit an existing trigger map.
Figure 5.12 Add Trigger Mapping Menus
Source
This dropdown list allows you to specify the source of the trigger events, such as a
keyboard key [F1], the grip trigger, etc., for the Trigger Owner selected.
Notes: It is possible to map the same source to different owners—for example,
[F1] can be mapped to both the Imager and Non-Decoded Scanner. If so,
both devices/operations will occur simultaneously. This is not recom-
mended in most cases, especially with devices such as Imagers or RFID
Readers.
It is also possible to map different sources to the same owner—for exam-
ple, [F2] and [F3] can both be mapped to the RFID File System.

Chapter 5: Configuration
Manage Triggers
112 Psion Teklogix 7530 G2 Hand-Held Computer User Manual
Add Source
Only existing trigger sources are shown in the Source combo-box. To add a new
source to this list, tap on the Add Source button. A dialog box pops up, allowing
you to select the keyboard key to use as a trigger source.
Figure 5.13 Add Source Dialog
Trigger Type
You can enable either an Up/Down or Double Click response to a trigger press.
Normally, when a trigger (keyboard key, etc.) is pressed and released, a “trigger
down” event is sent to the “owner”—that is, the application receiving the trigger
press information—followed by a “trigger up”. If Double Click is chosen in this
menu, when the trigger is pressed, released, and then pressed again, a “double-click”
event will occur. If a mapping with the type Up/down has also been configured for
the same source, it will only receive the first set of trigger events.
Trigger Owner
This identifies the driver or application receiving the trigger presses.
Show All
By default, inactive owners are not shown. By checking this checkbox, all owners,
both active and inactive, are displayed.

Psion Teklogix 7530 G2 Hand-Held Computer User Manual 113
Chapter 5: Configuration
Certificate Assignment
5.6.7 Certificate Assignment
•In the Control Panel, tap on the Certificate icon.
Figure 5.14 Certificates Icon
This dialog box is used in conjunction with 802.1x authentication to enhance
7530 G2 security.
For a detailed description about Certificate setup for both the server and client-side
devices (7530 G2s), refer to the following website:
www.microsoft.com/windows2000/techinfo/planning/walkthroughs/default.asp - "Security Services"
Note: When importing certificates, the 7530 G2 only recognizes .cer files.

Chapter 5: Configuration
Bluetooth Setup
114 Psion Teklogix 7530 G2 Hand-Held Computer User Manual
5.7 Bluetooth Setup
Bluetooth is a global standard for wireless connectivity for digital devices and is
intended for Personal Area Networks (PAN). The technology is based on a
short-range radio link that operates in the ISM band at 2.4 GHz. When two
Bluetooth-equipped devices come within a 5 meter range of each other, they can
establish a connection. Because Bluetooth utilizes a radio-based link, it does not
require a line-of-sight connection in order to communicate.
Note: The Bluetooth radio uses an internal antenna.
•In the Control Panel, tap on the Bluetooth Devices icon to display the
Bluetooth Control dialog box.
Figure 5.15 Bluetooth Icon
The Bluetooth Control dialog box is used to display the other Bluetooth devices
with which you can communicate.

Psion Teklogix 7530 G2 Hand-Held Computer User Manual 115
Chapter 5: Configuration
The Devices Tab
5.7.1 The Devices Tab
Note: If you intend to configure Bluetooth communication with specific devices
(e.g., a scanner or printer), turn on the devices and bring them within 5
metres of the hand-held before proceeding with the discovery process
described below.
Scan
• Tap on the Scan button to list available devices.
Wait for the 7530 G2 to complete its scan (approximately 20 seconds). When
scanning starts, the Scan button will change to Stop – if necessary, you can
tap on this button to stop the process. Once scanning is complete, all discovered
devices will be displayed in the list box, with Name, Address, Active status,
and PIN information.

Chapter 5: Configuration
The Devices Tab
116 Psion Teklogix 7530 G2 Hand-Held Computer User Manual
Note: During the scanning process, addresses are located first, followed by
names. Only the names of devices that are within the Bluetooth radio cov-
erage range will be retrieved.
The Active column indicates whether any service is activated for that device. When
a service is activated, the device is displayed in the list even when it is not detected
during the scan.
The PIN column indicates whether you have a PIN (password) set for the device.
At this point you can either query for services or set the PIN for each device. Once
you highlight a device in the list box, both the Services and Set PIN buttons
become available.
Services
A discovered device may display several service profiles that it can use to
communicate, and you will want to activate the type you need. Supported profiles
that can be activated include: DUN (Dial-Up Networking service), Printer (serial
service), and LANPPP (LANAccessUsingPPP service). ASync (ActiveSync) is
another available profile.
• To start the service scan, highlight a device in the Devices tab list, and then
click on the Services button or double-click on the device entry.
Note: If the remote device is out of reach or turned off, it can take a consider-
able amount of time for the Services dialog box to appear – it may appear
to be frozen.
Once the device’s service profiles are displayed in the Services list box:
• Highlight the service to be activated.
• Press [SPACE] or right-click to display the Activation menu.
The Activation menu contains four options – Activate, Authenticate, Outgoing and
Encrypt.
Once the service is successfully activated, the assigned port (if applicable) will
appear in the Port column of the Services list box. You can choose to use BSP or
COM as the port name. BSP is the latest Microsoft Bluetooth stack standard, but
older applications assume serial ports are COM. When using COM as the port name,
the Bluetooth manager will try to find and use a free port between COM7 and
COM9. When using BSP as the port name, BSP2 to BSP9 are available for use. The
port is available as soon as it is activated.

Psion Teklogix 7530 G2 Hand-Held Computer User Manual 117
Chapter 5: Configuration
The Devices Tab
Note: The CH column shows the RFCOMM channel of the service if the
service is RFCOMM-based. This information is not generally needed
except for debugging purposes.
To add a service to the Outgoing port, an active service must first be deactivated.
Then you can choose the ‘Outgoing’ option from the Activation menu (highlight a
service, right-click or press the [SPACE] bar to display the Activation menu).
The Authentication and Encryption options can be changed only before activation.
To change these after activation, deactivate the service first, then change the options.
Once a service is activated, all the information regarding the service, including the
RFCOMM channel number, is saved in the registry. (Some remote devices may
change their RFCOMM channel numbers when they reboot, so your saved setting
may not work when the remote device is rebooted. In that case, you must deactivate
the service and reactivate it to detect the current RFCOMM channel.)
Set PIN
PINs can be set for each device by pressing the Set PIN button in the Devices tab, or
you can skip this step and try to connect to the device first.
Important: The remote device must have authentication enabled, otherwise
the PIN authentication will fail.
• Highlight a device, click on the Set Pin button, and type the PIN.
You will receive a message, either that the PIN has been successfully validated or
that it has been rejected.
If the PIN has been validated, an asterisk (*) appears in the PIN column in the
Devices list box, indicating that this device has a PIN set. Once a PIN is entered, it is
saved in the registry.
To remove the PIN:
• Choose Set PIN, and press [ENTER].
If the 7530 G2 attempts to connect to a remote device that has Authentication
enabled and does not have a required PIN set, an Authentication Request dialog
box appears.
• Enter the PIN, and tap on OK to connect the devices.

Chapter 5: Configuration
The Servers Tab
118 Psion Teklogix 7530 G2 Hand-Held Computer User Manual
5.7.2 The Servers Tab
The Bluetooth connection is initiated from your 7530 G2 to the remote device –
therefore the 7530 G2 is called the ‘client’ and the remote is called the ‘server’. The
Servers tab displays the server profiles that can be activated in your 7530 G2. There
is currently one server profile available: Serial.
• Tap on the checkbox to activate the server, and it will display the associated
port name beside the server name.
Once you activate a server profile, it is recommended that the 7530 G2 be rebooted
before you try to bond from a server.
Note: You do not need to reboot if you are deactivating a server.
5.7.3 Outgoing Tab
Outgoing Port acts as a serial port that can be used to connect to a list of Bluetooth
devices (one at a time), but you have the freedom to switch on-the-fly.
The Outgoing Port checkbox allows you to create the Outgoing port. When the port is
created, the Outgoing tab lists the port name.

Psion Teklogix 7530 G2 Hand-Held Computer User Manual 119
Chapter 5: Configuration
Active Conn. Tab
The Outgoing list dialog box displays a list of services marked as ‘Outgoing’. The *
column indicates the currently selected service. You can tap on Unselect to reset the
current selection, or you can tap on Select to make a selection. The Remove button
deletes the service from the outgoing list.
The Prompt menu determines the behaviour of the pop-up Selection menu.
Choosing Everytime causes the Selection menu to be displayed each time an
outgoing port is created. If you choose Once, the menu is displayed only when a
partner service is not selected.
To display the Selection menu at any time:
• Press [CTRL] [ALT] [F1], and switch the partner Bluetooth device.
If a connection to a partner device already exists, the connection is dropped and
another connection to the newly selected device is created instantly without
disrupting the application that has opened the outgoing port.
Note: To add a service to the Outgoing port, an active service must first be
deactivated. Then you can choose the ‘Outgoing’ option from the Activa-
tion menu (highlight a service, right-click or press the [SPACE] bar to
display the Activation menu).
5.7.4 Active Conn. Tab
The Active Conn. tab lists the Name, Address, and Type of the currently active
connections. The table is periodically updated, but it can take a few seconds before
it reflects the actual list of connections. The Type column of the table shows ‘ACL’
or ‘SCO’. The Connection list table shows the connections for scanning as well as
the service connections.
Note: You can change the device-name and description of your radio by clicking
on the System icon in Control Panel, which will open the System Proper-

Chapter 5: Configuration
The Properties Tab
120 Psion Teklogix 7530 G2 Hand-Held Computer User Manual
ties dialog box. Click on the Device Name tab to access the menu and
change your settings. Then click on OK.
Although the name will have changed in the Properties menu in Bluetooth
Controls, the radio only reads it on boot-up. For the changes to take
effect, you must cold reset the 7530 G2 (see“Cold Reset” on page 27).
5.7.5 The Properties Tab
The Properties tab displays information about your 7530 G2, and provides some
port options.
The Device Name field shows the device name of your 7530 G2. This name can be
changed (see the Note on the previous page for details).
Device Class shows the Class of Device (e.g. desktop, hand-held), which is always
set to Handheld.
Local Bluetooth Address shows the address of your 7530 G2 radio.
Port Prefix is used to set the port name to either BSP or COM. When the name is set
to BSP, BSP2 to BSP9 are available for activated services (including the server).
When COM is chosen, COM7 to COM9 are available.
NQuery Retry (Name Query Retry) governs the number of times the hand-held will
attempt to query the names of other Bluetooth devices if the first attempt fails.
(When the 7530 G2 scans for other devices, it sometimes fails to scan names.)

Psion Teklogix 7530 G2 Hand-Held Computer User Manual 121
Chapter 5: Configuration
Bluetooth GPRS Connection
5.7.6 Bluetooth GPRS Connection
1. To set up the internet parameters, tap on the Network And Dial-up
Connections icon.
Figure 5.16 Network And Dial-up Connection Icon
2. Tap on the Make New Connection icon.
Figure 5.17 Creating A GPRS Connection

Chapter 5: Configuration
Bluetooth GPRS Connection
122 Psion Teklogix 7530 G2 Hand-Held Computer User Manual
3. In the Make New Connection dialog box, tap on Dial-Up Connection.
Enter a name for your GPRS network connection.
Figure 5.18 Setting Up The Connection
4. Tap on the Next button to display the Modem dialog box.
Figure 5.19 Setting Up The Modem
5. In the dropdown menu labelled Select a modem, choose the name
of the modem with which you want to connect, and then tap on the
Configure button to display the Device Properties dialog box.

Psion Teklogix 7530 G2 Hand-Held Computer User Manual 123
Chapter 5: Configuration
Bluetooth GPRS Connection
The 7530 G2 communicates via Bluetooth to your Bluetooth-equipped cel-
lular telephone and retrieves the parameters for the Device Properties
dialog box. The 7530 G2 then disconnects.
Figure 5.20 Port Settings
6. Under the Call Options tab, turn off Cancel the call if not connected
within, and press [ENTER] to save your changes.
Figure 5.21 Call Options

Chapter 5: Configuration
Bluetooth GPRS Connection
124 Psion Teklogix 7530 G2 Hand-Held Computer User Manual
7. In the Modem dialog box, tap on the Next button to display the Phone
Number dialog box.
Figure 5.22 Setting The Phone Number
The phone number you enter is network carrier dependent. Once you’ve
specified all the necessary information, choose the Finish button.
8. In the Control Panel, choose the Dialing icon.
Figure 5.23 Dialing Icon

Psion Teklogix 7530 G2 Hand-Held Computer User Manual 125
Chapter 5: Configuration
Bluetooth GPRS Connection
9. The values in the Dialing Properties dialog box need to be edited
according to your network carrier specifications.
Figure 5.24 Setting Up Dialing Properties
Once you’ve edited this dialog box to reflect your network carrier require-
ments, press [ENTER] to save your changes.
10. At this point, you’ll need to return to the Control Panel, and choose the
Network and Dial-up Connections icon.
11. In the network connection window, the new network configuration – in
this case – GPRS Network – is displayed. Tap on the new icon.
Figure 5.25 GPRS Network Connection

Chapter 5: Configuration
Total Recall
126 Psion Teklogix 7530 G2 Hand-Held Computer User Manual
An onscreen message will be displayed indicating the status of your con-
nection – connected, disconnected, error messages, and so on.
• Tap on the Hide button to move this message to the background.
You can now access the internet.
5.8 Total Recall
Total Recall is a Psion Teklogix utility developed to maintain applications setting
over cold boots. This utility is based on a backup and restore concept.
•In the Control Panel, tap on the Total Recall icon
Figure 5.26 Total Recall Icon
5.8.1 Creating A Backup Profile

Psion Teklogix 7530 G2 Hand-Held Computer User Manual 127
Chapter 5: Configuration
Creating A Backup Profile
In the dropdown menu, you can choose from four options: Create Backup Profile,
View Selected Profile, Restore Selected Profile and Delete Selected Profile. Keep in
mind however that until a profile is created, the only available option is Create
Backup Profile.
• Tap on the Next button to begin the process.
Profile Information
This dialog box lists the possible storage destinations for the profile file.
• To begin, type a name for the profile in the field labelled Profile Name.
The image type – OS Version and Registry Type for the 7530 G2 is also listed here.
• Tap on this icon to expand your settings for AutoRetore Profile and
Profile Location.
•For this device only – creates a backup that is manually restored by
the operator.
•AutoRestore for this device only – creates a profile that automatically
restores itself following a cold boot.
•AutoRestore for this and other devices – creates a profile that automati-
cally restores after resuming from a cold boot, but it will not contain the
touchscreen calibration coordinates or the Wireless radio settings.

Chapter 5: Configuration
Creating A Backup Profile
128 Psion Teklogix 7530 G2 Hand-Held Computer User Manual
•Profile Location – allows the operator to specify where the profile is to
be saved. The location for the profile is either \Flash Disk or
\SD-MMC Card.
• Choose the Next button to display the next dialog box – Add Files.
Add Files
By default, All Files is selected so that all installed or copied files, database entries,
and the Registry will be saved. You can, however, limit the backup to databases,
and/or the registry only. By tapping the checkbox next to these items, you can add or
remove a check mark to enable or disable the option.
The Select Files option allows you to select predefined file types.
• Remove the check mark next to All Files. You’ll notice the checkbox next
to Select Files changes , indicating that additional options are available.
• Tap on this icon next to Select Files to view your options.
Figure 5.27 Selecting Files

Psion Teklogix 7530 G2 Hand-Held Computer User Manual 129
Chapter 5: Configuration
Creating A Backup Profile
Choosing By Individual File displays a pop-up menu where you can tailor the list of
files you want to back up.
Figure 5.28 Adding Files
To add a file to your backup list:
• Tap on Add Files. Browse to and choose the files you want to add to
your list.
Choosing By File Type allows you to select the file types that you want backed up.
Figure 5.29 Adding Files By File Type

Chapter 5: Configuration
Restoring A Profile
130 Psion Teklogix 7530 G2 Hand-Held Computer User Manual
View Selections
Depending on what you have selected for inclusion in your profile, you can view a
list of the selected files, databases and/or registry.
• Choose the Next button to perform the operation.
Performing The Backup
• Tap on the Backup button to start the process, and create a profile.
5.8.2 Restoring A Profile
To manually restore a profile:
•Tap on Restore Selected Profile from the dropdown menu, and choose the
Profile Name displayed in the drop down box.

Psion Teklogix 7530 G2 Hand-Held Computer User Manual 131
Chapter 5: Configuration
IPv6 Support
Note: You can also manually restore an auto restore profile located in flash or a
storage device.
5.9 IPv6 Support
The IPv6 Support icon in the Control Panel allows you to activate IPv6 network
support on your unit. This internet protocol specification (version 6) supports
128-bit IP addresses, replacing version 4.
Figure 5.30 IPv6 Support Icon
• Choose the IPv6 Support icon to display the associated dialog box.
• Choose the checkbox next to Enable IPv6 Network Support to enable this
internet protocol.

Chapter 5: Configuration
Narrow Band Radio Setup
132 Psion Teklogix 7530 G2 Hand-Held Computer User Manual
5.10 Narrow Band Radio Setup
Keep in mind that the Narrow Band icon is only visible in the 7530 G2 Control
Panel when a Narrow Band radio is installed in the unit.
•In the Control Panel, tap on the Narrow Band Radio icon.
5.10.1 Info Tab
In the Narrow Band Radio dialog box, the Info tab displays information about the
radio – it cannot be edited.
The Power information in this screen indicates the power of the radio installed in
the unit – 0.5 or 1.0 W. The “Serial Number” is the identifier for the radio and is
used by the protocol when the “Auto Radio Address” parameter is enabled. The
“CIS Data” (Card Information Structure) is manufacturer information describing the
PC Card installed in the 7530 G2. “DSP x.x / FPGA 0xNN” indicates the firmware
revision of the radio’s DSP (x.x) and FPGA (0xNN) where x.x and NN represent
actual revision numbers.
Statistics Screen
• Tap on the Statistics button to display the Protocol Statistics screen.

Psion Teklogix 7530 G2 Hand-Held Computer User Manual 133
Chapter 5: Configuration
Info Tab
These statistics are updated every second while the dialog box is displayed.
The following table provides a brief description of these statistics:
Table 5.1 Protocol Statistics Descriptions
Statistic Description
cq
Channel quality. See the description of the “Channel Switch Speed” parame-
ter in the channel tab for more information on how “cq” affects channel
switching (see “Channel Switch Speed” on page 136).
ch Current channel
sc Monitor state of RF Link: LOCKED=0, LOCKPENDING=1, LOWC-
QWAIT=2, SCANNING=3, STARTUP=4, ABANDON=5
rm Number of received messages, complete application messages
xm Number of transmitted messages, complete application messages
rf Number of received polls with attached message
xf Number of transmitted frames
ra Number of received radio link aborts
xi Number of transmitted radio link initialization messages
rp Number of received polls
xr Number of transmitted retries
pt Number of poll timeouts
xe Number of transmitted errors
rssi Received Signal Strength Indicator

Chapter 5: Configuration
Info Tab
134 Psion Teklogix 7530 G2 Hand-Held Computer User Manual
Low Level Screen
• Tap on the Low Level tab to display the Low Level statistics screen.
Table 5.2 defines the elements of the Low Level statistics screen.
Table 5.2 Low Level Statistics Descriptions
Statistic Description
RxOk Message buffers discarded due to lack of available receive buffers
RxHd Message headers successfully received
RxBd Message bodies successfully received
RxEr Message buffers received with detected errors
RxOv Number of transmitted messages, complete application messages
TxOk Message buffers successfully transmitted
TxEr Message buffers which failed to transmit
CD Number of carrier detect changes detected
Coll Number of collisions detected
Tx D Actual difference in time (in RTC ticks) between when the most recent trans-
mit (with timestamp) was scheduled to start and when it actually started.
TxMD Maximum "Tx D" value
Rx X Number of extra characters received for last received message (due to delay
in host reporting back actual body size)
RxMx Maximum "Rx X" value
MChg Number of completed mode changes

Psion Teklogix 7530 G2 Hand-Held Computer User Manual 135
Chapter 5: Configuration
Channel Tab
Default All Parameters
• Tap on the Default all Parameters button to return all registry parameters
to default values.
When this button is pressed, a screen appears asking if you’re sure you want to
return all parameters to their default values.
• Tap on the Ye s button to return values to their default settings.
Note: This button does not default the radio parameters set under the Radio tab.
5.10.2 Channel Tab
Channel Number
This parameter determines the operating radio channel of the 7530 G2. The
allowable range for this parameter is 1 to 20. The default value is 1.
Note: The Channel Number dropdown menu displays only the channels that
have been enabled in the Channel Enable List.
Power Up Channel
When this parameter is enabled (checked), the 7530 G2 begins communicating on
the channel specified in the Channel Number parameter when the unit is powered
up. This setting may prevent the migration of 7530 G2s to the same channel due to
uneven coverage in some sites.
If this parameter is disabled (unchecked), the unit will continue communicating on
the same channel that it was on before it was powered off.

Chapter 5: Configuration
Channel Tab
136 Psion Teklogix 7530 G2 Hand-Held Computer User Manual
Channel Enable List
• Tap on the Channel Enable List button to display a dialog box listing
available channels.
This dialog box is completed by default with all channels that have frequencies
configured. A checkmark indicates that a channel is enabled. An unchecked check
box indicates that the channel is disabled. The maximum number of channels
supported by the RA1001 Narrow Band radio is 20.
Enabling a channel allows the channel to be set to an operating channel (Channel
Number) and makes it available for channel searching. For example, if Channel 1 is
the operating channel and all other channels are enabled, the 7530 G2 can roam
through all 20 channels.
Channel Switch Speed
This parameter changes the threshold the 7530 G2 uses to determine when
communication quality with a base station is unacceptable. When this threshold is
exceeded, the unit starts channel searching for a new base station.
Setting this parameter to “Slow” means a higher threshold – the 7530 G2 is more
tolerant of poor communication quality. When the channel quality of the hand-held
radio drops below 46%, the unit monitors the channel quality for 15 timeout periods
before searching for a new channel. If Channel Switch Speed is set to “Fast”, the
current channel is only monitored for up to 2 time-out periods before channel
switching begins.
Important: “Fast” switch speed is most effective where coverage areas are
largely overlapping. If the coverage areas barely overlap, have
dead spots, or if the 7530 G2 frequently operates on the fringe of
coverage, this parameter should be set to “Slow”.

Psion Teklogix 7530 G2 Hand-Held Computer User Manual 137
Chapter 5: Configuration
Channel Tab
Channel Selection
Enabling “Manual Select” allows you to set the channel search order the 7530 G2
will use if communication quality drops and channel switching is required. If this
parameter is enabled, the 7530 G2 uses the channel switching lists specified in the
Manual Switch Table. If this parameter is disabled (unchecked), the hand-held uses
a standard algorithm to decide which channel it should switch to in the event of poor
channel quality.
Warning: It is not recommended that the “Manual Select” parameter be used
without a clear understanding of how to order the channel
sequences for optimum performance.
Manual Switch Table
• Tap on the Set Switch Table button to display the Manual Switch Table
dialog box.
This feature is used rarely. It is used when the order of channel switching needs to be
tightly controlled. The values in the “Channel” column are completed for you with
the enabled channels when this dialog box is opened. For each corresponding
enabled channel, the “List” column contains “0,0,0,0,0,0,0,0” values by default.
If communication quality falls below 46%, only the channels entered in the Manual
Switch Table are considered for channel switching. The channel search is carried out
in the order in which the channels were entered in the table.
To configure channel switching order for a particular channel:
• Highlight the channel you want to edit, and tap on the Edit Channel
List button.

Chapter 5: Configuration
Protocol Tab
138 Psion Teklogix 7530 G2 Hand-Held Computer User Manual
Editing The Channel List
Only those channels that are enabled are displayed in the dropdown menus in the
Edit Channel List dialog box. The allowable values range from 0 to 20.
• Tap on the arrow next to dropdown menu to scroll through the available
channels. Highlight the value you want to assign.
• Once you’ve assigned the switching order, tap on the OK button to close
the dialog box.
The channel list is added to the selected channel in the Manual Switch Table
dialog box.
5.10.3 Protocol Tab
Enable Cellular Protocol
The value assigned to this parameter must be identical to the value assigned to the
corresponding parameter in the Psion Teklogix Network Controller, Wireless
Gateway or Base Station. A warm reset of the 7530 G2 is required before this
parameter can take effect.
If Enable Cellular Protocol is disabled (unchecked), the options in the Cellular
Radio Address frame are displayed in grey text indicating that they cannot
be accessed.

Psion Teklogix 7530 G2 Hand-Held Computer User Manual 139
Chapter 5: Configuration
Protocol Tab
Cellular Radio Address
Auto Radio Address
If Auto radio address is enabled, the 7530 G2 requests an automatically assigned
radio address. Manual radio address is displayed in grey text indicating that it
cannot be accessed.
Manual Radio Address
The value entered in the Manual Radio Address parameter is used to identify
the 7530 G2 over the radio link. A unique value from 1 to 3840 must be assigned for
each unit.
Note: This parameter is set to ‘0’ (an out-of-range value) by default to block
radio communication when the unit is initially powered up. This prevents
several new hand-helds from attempting to communicate with the same
default terminal number at initial power up. Once the default value is
changed, it cannot be set back to ‘0’.
Polling
The default values for the Polling parameters are dependent on the value assigned to
the Modulation / Baud Rate parameter in the Radio tab.
Table 5.3 Polling Parameters
Sync Delay
Warning: This parameter should not be changed from its factory setting
without a clear understanding of radio protocol timing.
The “Sync Delay” parameter specifies the delay between the base station
transmission and the first response window, measured in milliseconds. The value
assigned to this parameter must be compatible with other hand-helds and base
stations in the system. The allowable range for this parameter is between 1 and 40.
Modulation / Baud Rate Sync Delay Window Delay Poll Timeout
4 Level / 19200 17 20 20
4 Level / 9600 17 23 25
2 Level / 9600 17 19 22
2 Level / 4800 25 23 37

Chapter 5: Configuration
Protocol Tab
140 Psion Teklogix 7530 G2 Hand-Held Computer User Manual
Window Delay
Important: The value assigned to this parameter should not be changed from
the factory setting without a clear understanding of the timing of
the radio protocol.
This parameter specifies the amount of time (in milliseconds) the 7530 G2 should
add to each response window in order to accommodate the receive/transmit
switching characteristics of the radio. The value assigned must be compatible with
other units and base stations in the system. The default setting of 19 is based on the
requirements of a 2 level modulation narrow band radio, operating at 9600 baud.
Poll Timeout
This parameter (in units of 16.6 ms) sets the time-out value used for automatic
channel switching. “Poll Timeout” is the time during which the 7530 G2 should
detect at least one poll from a base station. As each “Poll Timeout” passes without a
successful poll from the base station, the 7530 G2 channel quality decreases. If the
channel quality falls to below 46%, the unit begins searching for a new channel.
A value from 1 to 200 can be assigned to this parameter.
Late TX Limit
The value entered for this parameter (measured in milliseconds) sets the maximum
allowable deviation time from the start of a response window during which an
7530 G2 can make a transmission. After this threshold, the transmission will not be
attempted and the 7530 G2 will try again at the next opportunity. For example,
suppose this parameter is set to 5. From the beginning of the response window,
the 7530 G2 can be up to 5 milliseconds late sending a transmission. Beyond
this threshold, the transmission is not attempted. The hand-held waits for the
next opportunity.
The allowable range for this parameter is from 1 and 10 – the default value is 2.
Test Polling Values
• Tap on the Test Polling Values button to test the polling values indicated in
this dialog box without committing them to memory.
To commit the new polling values to memory:
• Tap on the OK button – the dialog box is closed and the new values
are saved.
To discard the new values, and retain the existing values:
• Tap on the X button at the top of the dialog box.

Psion Teklogix 7530 G2 Hand-Held Computer User Manual 141
Chapter 5: Configuration
Power Tab
5.10.4 Power Tab
Enable Power Saving
When this parameter is checked, power saving is enabled.
Idle Poll Limit
Note: The “Idle Poll Limit” parameter is only used when “Enable Power Sav-
ing” is enabled.
This parameter determines how many transmit opportunities – base station polls
with available response windows – must be consecutively skipped before the 7530
G2 places the radio into power-down mode for power saving. The allowable range
for this parameter is from 1 to 200. The default value is 10.
Lower values cause the hand-held to enter power saving mode quickly, extending
battery life but reducing 7530 G2 responsiveness. Higher values increase
responsiveness but decrease battery life.
Power Off Time
This parameter determines the amount of time (in seconds) the 7530 G2 radio stays
in power-down mode when a power down period has been initiated. “Power Off
Time” is only used when the “Enable Power Saving” parameter is enabled.
The allowable range for this parameter is 1 to 60.

Chapter 5: Configuration
Radio Tab
142 Psion Teklogix 7530 G2 Hand-Held Computer User Manual
5.10.5 Radio Tab
Modulation/Baud Rate
The options listed in the “Modulation / Baud Rate” dropdown menu are:
2 Level/4800, 2 Level/9600, 4 Level/9600 and 4 Level/19200. The value assigned
to this parameter must be identical to the corresponding parameter in the Psion
Teklogix Base Station. This parameter is stored in the radio’s non-volatile memory.
The default value for “Modulation/Baud Rate” is 2 Level/9600
Data Squelch
“Data Squelch” controls the radio receiver, cutting it off when the signal is too weak
for reception of anything but noise. Receive Signal Strength Indicator values below
the “Data Squelch” threshold prevent further processing of the receive signal while
higher values allow further processing. The allowable range is 0 to 100 with a
default value of 0.
In noisy environments, this value can be increased to reject noise. In environments
with less noise, this value can be decreased to allow the received signal and increase
range. This parameter is stored in the radio’s non-volatile memory.
Test Squelch
• Tap on the Test Squelch button to prompt the radio to use the “Data
Squelch” value without committing it to the radio’s non-volatile memory –
in other words, to ‘test’ the value assigned to the “Data Squelch” parameter.
To commit the new “Data Squelch” value to the radio’s non-volatile memory:
• Tap on the OK button – the dialog box is closed and the new value is saved.

Psion Teklogix 7530 G2 Hand-Held Computer User Manual 143
Chapter 5: Configuration
Scanner Settings
To discard the new value, and keep the old “Data Squelch” value:
•Tap on the X button at the top of the dialog box. The old value is sent to the
protocol driver.
Frequency Table
• Tap on the Frequency button to display the Frequency Table dialog box.
• Tap on the Copy “Receive” to “Transmit” button to copy the contents of
the “Receive” fields into the corresponding “Transmit” fields.
When you tap on this button, a warning box is displayed asking Copy all the Rx
frequencies to the Tx frequencies?
• Tap on the Ye s button to go ahead or No to stop the copy process.
Statistics
• Tap this button to display communication statistics.
Refer to “Statistics Screen” beginning on page 132 for details about this screen.
Advanced
This button launches the “Radio Test Application”.
5.11 Scanner Settings
The Teklogix Scanners icon in the Control Panel provides dialog boxes in
which you can tailor bar code options and choose the bar codes your scanner
will recognize. The parameters are preset with the default settings of the decoded
scanner installed in the unit.
If you wish to recover the factory defaults after making changes, the defaults can be
applied to a selected parameter, sub-tree of parameters, or all scanner parameters.

Chapter 5: Configuration
Bar Codes
144 Psion Teklogix 7530 G2 Hand-Held Computer User Manual
Using the stylus, touching and holding on a symbology will pop up a menu to
default the sub-tree, or all settings. Touching and holding on an individual setting
will pop up a menu to default that setting, or all settings.
Figure 5.31 Teklogix Scanner Icon
5.11.1 Bar Codes
Figure 5.32 Scanner Properties
5.11.1.1 The Scanner
The dropdown menu to the right of the Scanner option allows you to choose from one
of the following scanner types used with your hand-held: Non-decoded, Decoded
(internal), Decoded (Intermec ISCP) and Imager.

Psion Teklogix 7530 G2 Hand-Held Computer User Manual 145
Chapter 5: Configuration
Non-Decoded Scanners
Note: Your 7530 G2 is configured at the factory for internal scanner types. The
type of scanner installed can be determined through the System icon in
the Control Panel, under the System Properties tab.
Important: To improve the decode speed and performance, enable (set to
‘on’) only those codes that are required by the application.
Keep in mind that some bar code types are only available when an internal imaging
scanner is installed. All internal scanners can be configured using these dialog
boxes. External, non-decoded scanners are also configured through the Scanner
Properties dialog box.
However, external decoded scanners must be configured by scanning special
configuration bar codes. In these cases, the scanner manufacturer provides
programming manuals for configuration purposes.
• For Symbol decoded scanners, refer to the LS3408 programming guide.
• For PowerScan® (PSC) decoded scanners, refer to the Powerscan Program-
ing Guide (PSC).
5.11.2 Non-Decoded Scanners
• Tap on the Scanner dropdown menu, and choose Non-decoded.
All the available bar code symbologies for this type of scanner can be selected in
this tab.
Chapter 5: Configuration
Non-Decoded Scanners
146 Psion Teklogix 7530 G2 Hand-Held Computer User Manual
A ‘plus’ sign (+) to the left of the menu item indicates that a sub-menu of parameters
is attached.
• Tap the stylus on the + sign to display the sub-menu.
• To change a parameter value, double-tap on the parameter. If you need to
type a value, a dialog box is displayed in which you can type a new value.
If you need to change a yes or no value, double-tapping on the parameter
toggles between yes and no.
If you’re using the keyboard:
• Highlight the bar code you want to work with, and press the [RIGHT]
arrow key to display the sub-menu.
• Use the [UP] and [DOWN] arrow keys to highlight a parameter.
• To change a parameter value, press [SPACE] or the [RIGHT] arrow key. If
a field requires text entry, a text box is displayed in which you can enter the
appropriate value.
5.11.2.1 Non-Decoded Options
• Tap the stylus on the + sign next to Options to display these parameters.
Dot Time (msec)
The value selected for “Dot Time (msec)” determines (in milliseconds) how long
the targeting dot remains on before the scanner switches to a normal scan sweep.
When you double-tap on this parameter, a dialog box is displayed in which you can
enter a value from 0 to 3000. A value of 0 (zero) disables the target dot.
Short Code
When enabled, this parameter allows scanning of short I 2 of 5 bar codes (2
characters). When disabled, these short bar codes are rejected.
Enabling “Short Code” may reduce the robustness of the decoding since the
hand-held must decode more potential bar codes; it is therefore not recommended
for general-purpose bar codes with 4 or more characters.
Verify
The value entered for this parameter determines the number of correct additional
decodes required after the initial decode, prior to a bar code being accepted. Higher
values significantly increase the time it takes to decode a bar code but also improve
the reliability of the decoded bar code.

Psion Teklogix 7530 G2 Hand-Held Computer User Manual 147
Chapter 5: Configuration
Non-Decoded Scanners
Security
This parameter controls the tolerance for decoding edge-to-edge bar codes
(Code 93, Code 128, UPC/EAN). Lower values have a lower tolerance for
misreads, but they also increase the time it takes to decode the bar code. The default
value of 30 is generally a good compromise setting.
5.11.2.2 Code 39
Enabled
Set this parameter to on to enable “Code 39” or off to disable it.
Full Ascii
If this parameter is enabled, the characters +, %, and / are used as escape
characters. The combination of an escape character and the next character
is converted to an equivalent ASCII character.
Include Check
If this parameter is enabled, the check digit is included with the decoded bar
code data.
AIAG Strip
If this parameter is enabled, the AIAG data identifier is removed from each decoded
Code 39 label. The data identifier occurs in the first position next to the Code 39
start character. It can be a single alphabetic character or a series of numeric digits
followed by an alphabetic character. This identifier defines the general category or
specific use of the data contained in the rest of the bar code.
Note: If your unit is operating with the Psion Teklogix TESS application, this
parameter should not be used in conjunction with the TESS AIAG feature.
This is because the hand-held performs the strip function before it pro-
cesses the data through the AIAG feature; if the prefix is stripped, the data
is not identified as AIAG.
Error Accept
If the “Err Accept” and “AIAG Strip” parameters are enabled, all label data without
an AIAG identifier character is accepted. If the “Err Accept” parameter is disabled
and the “AIAG Strip” parameter is enabled, the label data is not accepted.

Chapter 5: Configuration
Non-Decoded Scanners
148 Psion Teklogix 7530 G2 Hand-Held Computer User Manual
Mod Checks
This parameter allows you to choose the check digit calculated: MOD 43 Check,
MOD 10 Check or None.
• Double-tap on Mod Checks to display your options.
• Tap on a check digit to highlight it, and tap on OK.
If you choose None, a check is not executed.
Field Size/Chars
Field Size
The field size is the length of the field after the first character is stripped and
the prefix and suffix characters are added. If the field size is non-zero, only
bar codes of that length are passed through.
Prefix Char
This character, if non-zero, is added before a successfully decoded bar code. Press
the key you want to insert in the dialog box attached to this parameter. The
ASCII/Unicode key value of the keypress is displayed.
Pressing the [ESC] key in this dialog box resets the data to zero.
Suffix Char
Note: The appended character is treated as any other keyboard character.
For example, if [BKSP] is pressed, the usual action for that key is
performed. If your unit is operating with the Psion Teklogix ANSI
emulation application, the hand-held transmits the escape sequence
associated with the function immediately after the bar code data.
This character, if non-zero, is added after a successfully decoded bar code. Press the
key you want to insert in the dialog box attached to this parameter. The
ASCII/Unicode key value of the keypress is displayed.
Pressing the [ESC] key in this dialog box resets the data to zero.
Strip Leading
This parameter determines the number of characters that will be removed from the
beginning of the bar code before the prefix character is added.
Note: For Code 39 bar codes, the “AIAG Strip” is performed before the
“Strip Leading”.

Psion Teklogix 7530 G2 Hand-Held Computer User Manual 149
Chapter 5: Configuration
Non-Decoded Scanners
Strip Trailing
The value entered in this parameter determines the number of characters that will be
removed from the end of the bar code before the suffix character is added.
5.11.2.3 Code 128
Enabled
Set this parameter to on to enable “Code 128” or off to disable it.
Include Sym
Setting “Include Sym” to on causes the group separator(s) and start code contained
in this type of bar code to be displayed on the screen.
Note: This option is available only when ‘EAN/UCC 128’ is selected.
Variations
When using Code 128, you can choose the bar code variation the scanner will
recognize. The options available are Standard, UCC 128 and EAN/UCC 128.
• Double-tap on Variations to display a dialog box listing your options.
• Tap on a variation to highlight it, and then tap on OK.
Standard
Enable Standard if “Code 128” is desired.
UCC 128
UCC 128 is a variation of “Code 128”.
EAN/UCC 128
To successfully scan this type of bar code, “EAN/UCC 128” must be enabled.
“EAN/UCC” bar codes include group separators and start codes.
Note: If you choose None, a check is not executed.
Field Size/Chars
Refer to the description beginning on page 148 for details.

Chapter 5: Configuration
Non-Decoded Scanners
150 Psion Teklogix 7530 G2 Hand-Held Computer User Manual
5.11.2.4 EAN 13
Enabled
Set this parameter to on to enable “EAN 13” or off to disable it.
Enable Bookland EAN
Setting this parameter to ON allows your scanner to recognize Bookland EAN
bar codes.
Include Country
If this parameter is enabled, the country code is included with the decoded bar
code data.
Include Check
If this parameter is enabled, the check digit is included with the decoded bar
code data.
Addendum
Important: Before “Addendum” can take effect, the “Short Code” parameter
(see page 146) must be enabled.
An addendum is a separate bar code, supplementary to the main bar code.
This parameter provides three options: Disabled, Optional and Required.
Depending on the value chosen for this parameter, an addendum is recognized
or ignored.
• Double-tap on Addendum to display a dialog box listing your options.
• Highlight an item, and tap on OK.
When “Addendum” is set to Disabled, the scanner does not recognize an
addendum. If this parameter is set to Optional, the scanner searches for
an addendum and if one exists, appends it to the main bar code. When the
parameter is set to Required, the scanner does not accept the main bar code
without an addendum.
Note: Setting ‘Addendum’ to Optional reduces performance. Optional
should only be selected if at least some of the bar codes being read
have addendums.

Psion Teklogix 7530 G2 Hand-Held Computer User Manual 151
Chapter 5: Configuration
Non-Decoded Scanners
Prefix/Suffix
Prefix Char
This character, if non-zero, is added before a successfully decoded bar code. Press
the key you want to insert in the dialog box attached to this parameter. The
ASCII/Unicode key value of the keypress is displayed.
Pressing the [ESC] key in this dialog box resets the data to zero.
Suffix Char
This character, if non-zero, is added after a successfully decoded bar code. Press the
key you want to insert in the dialog box attached to this parameter. The
ASCII/Unicode key value of the keypress is displayed.
Pressing the [ESC] key in this dialog box resets the data to zero.
Strip Leading
This parameter determines the number of characters that will be removed from the
beginning of the bar code before the prefix character is added.
Note: The appended character is treated as any other keyboard character. For
example, if [BKSP] is pressed, the usual action for that key is performed.
If your hand-held is operating with the Psion Teklogix ANSI emulation
application, the hand-held transmits the escape sequence associated with
the function immediately after the bar code data.
Strip Trailing
The value entered in this parameter determines the number of characters that will be
removed from the end of the bar code before the suffix character is added.
5.11.2.5 EAN 8
Enabled
Set this parameter to on to enable “EAN 8” or off to disable it.
Include Check
If this parameter is enabled, the check digit is included with the decoded bar
code data.

Chapter 5: Configuration
Non-Decoded Scanners
152 Psion Teklogix 7530 G2 Hand-Held Computer User Manual
Addendum
Important: Before “Addendum” can take effect, the “Short Code” parameter
(see page 146) must be enabled.
Refer to “Addendum” on page 150.
Prefix/Suffix
See “Prefix/Suffix” beginning on page 151.
5.11.2.6 UPC A
Enabled
Set this parameter to on to enable “UPC A”.
Include Number Sys
If this parameter is enabled, the number system digit is included with the decoded
bar code data.
Include Check
If this parameter is enabled, the check digit will be included with the decoded bar
code data.
Addendum
Important: Before “Addendum” can take effect, the “Short Code” parameter
(see page 146) must be enabled.
Refer to “Addendum” on page 150.
Prefix/Suffix
Refer to page 151 for details.
5.11.2.7 UPC E
Convert to UPC-A
Setting this parameter to on results in a non-standard decoding that returns 12 digits
from the 6 digit UPC E bar code.

Psion Teklogix 7530 G2 Hand-Held Computer User Manual 153
Chapter 5: Configuration
Non-Decoded Scanners
Include Number Sys
If this parameter is enabled, the number system digit is included with the decoded
bar code data.
Include Check
When enabled, the check digit is included with the decoded bar code data.
Addendum
Important: Before “Addendum” can take effect, the “Short Code” parameter
(see page 146) must be enabled.
Refer to “Addendum” on page 150.
Prefix/Suffix
Refer to page 151 for details.
5.11.2.8 Codabar
Enabled
Set this parameter to on to enable “Codabar” or off to disable it.
Strip Start/Stop Chars
Codabar uses the characters A, B, C, and D as start and stop characters. Thus, the
first and last digits of a Codabar message must be A, B, C, or D, and the body of the
message should not contain these characters. Setting this parameter to ON strips the
start and stop characters from this bar code.
Field Size/Chars
Refer to the description beginning on page 148 for details.
5.11.2.9 Code 93
Enabled
Set this parameter to on to enable “Code 93”.
Field Size/Chars
Refer to the description beginning on page 148 for details.
Chapter 5: Configuration
Non-Decoded Scanners
154 Psion Teklogix 7530 G2 Hand-Held Computer User Manual
5.11.2.10 Code 11
Enabled
Set this parameter to on to enable “Code 11”.
Include Check
If “Include Check” is enabled, the check digit is included with the decoded bar
code data.
Check Digits
This parameter can be set to None, One Check Digit or Two Check Digits.
• Double-tap on this parameter to display a dialog box listing your options.
• Highlight the check digit you want to use, and tap on OK.
If this parameter set to One Check Digit, it is assumed that the last digit is a
check digit.
If this parameter is set to Two Check Digits, it is assumed that the last two digits are
check digits.
Field Size/Chars
Refer to the description beginning on page 148 for details.
5.11.2.11 Interleaved 2 of 5
Enabled
Set this parameter to on to enable “Interleaved 2 of 5”.
Mod 10 Check
If this parameter is enabled, the “Mod 10” check digit is calculated. This calculation
is the same as the Code 39 Mod 10 check digit.
ITF Check
If this parameter is enabled, the ITF-14/16 Mod10 check digit is calculated.
Include Check
If this parameter is enabled, the check digit is included with the decoded bar
code data.
Psion Teklogix 7530 G2 Hand-Held Computer User Manual 155
Chapter 5: Configuration
Non-Decoded Scanners
Field Size/Chars
Refer to the description beginning on page 148 for details.
5.11.2.12 MSI Plessey
Enabled
Set this parameter to on to enable “MSI Plessey”.
One Check Digit
If this parameter is enabled, it is assumed that the last digit is a check digit.
Include Check
If this parameter is enabled, the check digit is included with the decoded bar
code data.
Field Size/Chars
Refer to the description beginning on page 148 for details.
5.11.2.13 Discrete 2 of 5
Enabled
Set this parameter to on to enable “Discrete 2 of 5”.
Mod 10 Check
If this parameter is enabled, the Mod 10 check digit is calculated. This calculation is
the same as the Code 39 Mod 10 check digit.
ITF Check
If this parameter is enabled, the ITF-14/16 Mod10 check digit is calculated.
Include Check
If this parameter is enabled, the check digit is included with the decoded bar
code data.
Field Size/Chars
Refer to the description beginning on page 148 for details.

Chapter 5: Configuration
Decoded (Internal) Scanners
156 Psion Teklogix 7530 G2 Hand-Held Computer User Manual
5.11.2.14 IATA 2 of 5
Enabled
Set this parameter to on to enable “IATA 2 of 5”.
Mod 10 Check
If this parameter is enabled, the Mod 10 check digit is calculated.
ITF Check
If this parameter is enabled, the ITF-14/16 Mod10 check digit is calculated.
Include Check
If this parameter is enabled, the check digit is included with the decoded bar
code data.
Field Size/Chars
Refer to the description beginning on page 148 for details.
5.11.3 Decoded (Internal) Scanners
• Tap on the Scanner dropdown menu, and choose Decoded (internal).
Psion Teklogix 7530 G2 Hand-Held Computer User Manual 157
Chapter 5: Configuration
Decoded (Internal) Scanners
5.11.3.1 Decoded (Internal) Options
Dot Time (msec)
(SE2223 only)
The value selected for “Dot Time (msec)” determines (in milliseconds) how long
the targeting dot remains on before the scanner switches to a normal scan sweep.
When you double-tap on this parameter, a dialog box is displayed in which you can
enter a value of 0 msec, 200 msec or 400 msec. A value of 0 (zero) disables the
target dot.
Aim Duration
(SE1224, SE1524, SE1223 only)
This parameter determines the total time the aiming pattern appears before the
scanner laser begins sweeping. When you double-tap on this parameter, a dialog box
is displayed in which you can enter a value from 0 to 30 (0 to 3 sec.). A value of 0
(zero) disables the aiming-dot.
Laser On Time
The value assigned to this parameter determines how long the laser will remain on
when the scan button or trigger is pressed.
Double-tapping on this parameter displays a dialog box in which you can enter a
value between 5 and 99, each number representing 0.1 seconds.
5.11.3.2 Decoded (Internal) Advanced Options
Continuous Scan Mode
Setting this parameter to ‘on’ keeps the laser on and continuously decoding as long
as the scanner button is pressed and held down.
Minimum Cancel Time
The value assigned to this parameter determines the time delay before the scanner is
turned off, once the scanner trigger or button is released. This gives the scanner a
minimum amount of time to complete its current decode before the scan is cancelled
when the user quickly triggers on/off.

Chapter 5: Configuration
Decoded (Internal) Scanners
158 Psion Teklogix 7530 G2 Hand-Held Computer User Manual
Low Power Timeout
To extend laser life, you can select the length of time the scanner remains active
following a successful decode. The scanner wakes from low power mode when a
bar code is scanned – a successful decode restores normal blinking.
When you double-tap on this parameter, a dialog box is displayed in which you can
choose a value of 30 sec, 1 min, 2 min or 3 min.
Note: This parameter is only used if the Trigger Mode has been set to Continu-
ous On and the 7530 G2 is mounted in a fixed position; otherwise, ‘Low
Power Timeout’ is not used.
Parameter Scanning
Setting this parameter to on enables decoding of parameter bar codes.
Linear Security Level
This parameter allows you to select the security level appropriate for your bar code
quality. There are four levels of decode security for linear code types (e.g., Code 39,
Interleaved 2 of 5). Higher security levels should be selected for decreasing levels of
bar code quality. As security levels increase, the scanner’s decode speed decreases.
Double-tapping on this parameter displays a dialog box in which you can enter a
value from 1 to 4.
“Linear security level 1” specifies that the following code types must be
successfully read twice before being decoded:
“Linear security level 2” specifies that all types of codes must be successfully read
twice before being decoded.
Code Type Length
Codabar All
MSI Plessey 4 or less
D 5 of 5 8 or less
I 2 of 5 8 or less

Psion Teklogix 7530 G2 Hand-Held Computer User Manual 159
Chapter 5: Configuration
Decoded (Internal) Scanners
“Linear security level 3” specifies that code types other than the following must be
successfully read twice before being decoded. The following codes must be read
three times:
“Linear security level 4” requires that all code types be successfully read three times
before being decoded.
Bi-Direction Redundancy
Note: This parameter is only valid if a” Linear Security Level” is enabled.
When this parameter is enabled, a bar code must be successfully scanned in both
directions (forward and reverse) before being decoded.
5.11.3.3 Decoded (Internal) 2D Scanning Options
(SE2223 only)
Scanning Mode
When you double-tap on this parameter, a dialog box is displayed in which you can
choose one of the following scanning modes: Smart Raster, Always Raster,
Programmable Raster, Slab Pattern, Cyclone Pattern or Semi-Omni Pattern.
Raster Height And Raster Expand Rate
These parameter determine the laser pattern’s height and rate of expansion.
Note: These parameters are only used when either Programmable Raster or
Always Raster is assigned to the “2D Scanning Mode” parameter.
“2D Raster Height” and “2D Raster Expand Rate” are intended
for very specific applications and are usually not required for normal
scanning purposes.
Double-tapping on this parameter displays a dialog box in which you can enter a
value from 1 to 15.
Code Type Length
MSI Plessey 4 or less
D 2 of 5 8 or less
I 2 of 5 8 or less
Chapter 5: Configuration
Decoded (Internal) Scanners
160 Psion Teklogix 7530 G2 Hand-Held Computer User Manual
5.11.3.4 Decoded (Internal) Data Options
Transmit Code ID Char
A code ID character identifies the scanned bar code type. In addition to any single
character prefix already selected, the code ID character is inserted between the
prefix and the decoded symbol.
When you double-tap on this parameter, a dialog box is displayed in which you can
choose a transmit code: None, AIM or Symbol.
Scan Data Format
This parameter allows you to change the scan data transmission format.
Double-tapping on “Scan Data Format” displays the following options from which
you can choose a data format: data (as-is), data [S1], data [S2], data [S1][S2],
[P] data, [P] data [S1], [P] data [S2] and [P] data [S1][S2].
Prefix [P], Suffix [S1] And Suffix [S2]
A prefix and/or one or two suffixes may be appended to scan data for use in
data editing.
When you double-tap on these parameters, a dialog box is displayed in which you
can enter a value from 0 to 255.
Delete Char Set ECIs (
SE2223 only)
Setting this parameter to on enables the scanner to delete any escape sequences
representing Character Set ECIs – Extended Channel Interpretations (also known as
GLIs) from its buffer before transmission.
When this parameter is enabled, the scanner transmits data from PDF417 and
MicroPDF417 bar codes containing Character Set ECIs, even when the ECI
Protocol is disabled.
ECI Decoder (
SE2223 only)
Setting this parameter to on enables the scanner to interpret any Extended Channel
Interpretations (ECIs) supported by the scanner. This parameter has no effect on
symbols that were not encoded using ECIs.
If this parameter is set to off and a symbol that was encoded using an ECI escape is
scanned, the scanner transmits the ECI escape followed by the uninterpreted data.

Psion Teklogix 7530 G2 Hand-Held Computer User Manual 161
Chapter 5: Configuration
Decoded (Internal) Scanners
5.11.3.5 Code 39
Enable
Setting this parameter to on enables “Code 39”.
Enable Trioptic Code 39
Note: “Trioptic Code 39” and “Full ASCII” should not be enabled simulta-
neously. The scanner does not automatically discriminate between these
two symbologies.
Trioptic Code 39 symbols always contain six characters. Setting this parameter to
on allows this type of symbology to be recognized.
Convert To Code 32
Note: “Code 39” must be enabled in order for this parameter to function.
Setting this parameter to on allows the scanner to convert the bar code from “Code
39” to “Code 32”.
Code 32 Prefix
Note: “Convert to Code 32” must be enabled in order for this parameter to
function.
When this parameter is enabled, the prefix character “A” is added to all “Code 32”
bar codes.
Set Length L1 And Set Length L2
Lengths for “Code 39” can be set for Any length, Length within a range, One
discrete length or Two discrete lengths. The length of a code refers to the number of
characters (i.e., human readable characters), including check digit(s).

Chapter 5: Configuration
Decoded (Internal) Scanners
162 Psion Teklogix 7530 G2 Hand-Held Computer User Manual
Double-tapping on this parameter displays a dialog box labelled Set Code Lengths
where you can define the code length that will be decoded by your scanner.
Choosing One discrete length allows you to decode only those codes containing a
selected length. Choosing Two discrete lengths allows you to decode only those
codes containing two selected lengths. Length within a range allows you to decode
a code type within a specified range from 1 to 55.
Check Digit Verification
When this parameter is enabled, the integrity of a “Code 39” symbol is checked to
ensure that it complies with specified algorithms.
Note: Only those “Code 39” symbols that include a Mod 43 check digit are
decoded when this parameter is enabled.
Transmit Check Digit
If the check digit is to be transmitted with the data, this parameter must to enabled.
Full ASCII
If this parameter is enabled, the characters +, %, and / are used as escape characters.
The combination of an escape character and the next character is converted to an
equivalent ASCII character.
Decode Performance (
SE2223 only)
If this parameter is enabled, one of three decode levels can be chosen in the “Decode
Performance Level” parameter.
Decode Perf. Level (
SE2223 only)
This parameter provides three levels of decode performance or “aggressiveness” for
Code 39 symbols. Increasing the performance level reduces the amount of required
bar code orientation—this is useful when scanning very long and/or truncated bar
codes. Keep in mind that increased levels reduce decode security.

Psion Teklogix 7530 G2 Hand-Held Computer User Manual 163
Chapter 5: Configuration
Decoded (Internal) Scanners
When you double-tap on this parameter, a dialog box is displayed in which you can
enter a decode performance level of between 1 and 3.
Note: Keep in mind that this parameter limits scanning to one fixed length.
Field Size/Chars
Refer to page 148 for details.
5.11.3.6 Code 128
Enabled
Set this parameter to on to enable “Code 128”.
Enable UCC/EAN-128
EAN/UCC bar codes include group separators and start codes. To successfully scan
this type of bar code, “EAN/UCC 128” must be enabled.
Enable ISBT 128
To successfully scan this type of bar code, this option must be set to on.
Decode Performance (
SE2223 only)
If this parameter is set to on, one of three decode levels assigned to the “Decode
Performance Level” parameter can be selected.
Decode Perf. Level (
SE2223 only)
This parameter provides three levels of decode performance or “aggressiveness” for
Code 128 symbols. Increasing the performance level reduces the amount of required
bar code orientation—this is useful when scanning very long and/or truncated bar
codes. Keep in mind that increased levels reduce decode security.
When you double-tap on this parameter, a dialog box is displayed in which you can
enter a decode performance level of between 1 and 3.
Note: Keep in mind that this parameter limits scanning to one fixed length.
Field Size/Chars
Refer to page 148 for details.
Chapter 5: Configuration
Decoded (Internal) Scanners
164 Psion Teklogix 7530 G2 Hand-Held Computer User Manual
5.11.3.7 EAN 13
Enabled
Set this parameter to on to enable “EAN 13”.
Prefix/Suffix
See “Prefix/Suffix” beginning on page 151.
5.11.3.8 EAN 8
Enabled
Set this parameter to on to enable “EAN 8”.
EAN-8 Zero Extend
When this parameter is enabled, five leading zeros are added to decoded EAN-8
symbols, making them compatible in format to EAN-13 symbols. Disabling this
parameter returns EAN-8 symbols to their normal format.
Prefix/Suffix
See “Prefix/Suffix” beginning on page 151.
5.11.3.9 UPC A
Enabled
Set this parameter to on to enable “UPC A”.
UPC-A, Check Digit
If you enable this parameter, the check digit is included with the decoded bar
code data.
UPC-A, Preamble
When you double-tap on this parameter, a dialog box is displayed where you can
choose one of three options for lead-in characters for UPC-A symbols transmitted to
the host device: System Char – system character transmitted with the data, Country
code and System Char – both the country code (“0” for USA) and system character
are transmitted with the data or None – no preamble is transmitted. The lead-in
characters are considered part of the symbol.
Psion Teklogix 7530 G2 Hand-Held Computer User Manual 165
Chapter 5: Configuration
Decoded (Internal) Scanners
Prefix/Suffix
See “Prefix/Suffix” beginning on page 151.
5.11.3.10 UPC E
Enabled UPC-E
Set this parameter to on to allow “UPC E” bar code scans.
Enabled UPC-E1
Set this parameter to on to allow “UPC-E1” (zero suppressed) bar code scans.
UPC-E And UPC-E1 Check Digit
If you enable one or both of these parameters, a check digit is included with the
decoded bar code data.
UPC-E And UPC-E1 Preamble
When you double-tap on one of these parameters, a dialog box is displayed where
you can choose one of three options for lead-in characters for UPC-E and UPC-E1
symbols transmitted to the host device: System Char – system character transmitted
with the data, Country code and System Char – both the country code (“0” for
USA) and system character are transmitted with the data or None – no preamble is
transmitted. The lead-in characters are considered part of the symbol.
Conv. UPC-E To UPC-A
This parameter converts UPC-E (zero suppressed) decoded data to UPC-A format
before transmission. After conversion, data follows UPC-A format and is affected
by UPC-A programming selections (e.g., Preamble, Check Digit).
Conv. UPC-E1 To UPC-A
This parameter converts UPC-E1 (zero suppressed) decoded data to UPC-A format
before transmission. After conversion, data follows UPC-A format and is affected
by UPC-A programming selections (e.g., Preamble, Check Digit).
Prefix/Suffix
See “Prefix/Suffix” beginning on page 151.
Chapter 5: Configuration
Decoded (Internal) Scanners
166 Psion Teklogix 7530 G2 Hand-Held Computer User Manual
5.11.3.11 UPC/EAN Shared Settings
The parameters you set here are a shared across all available UPC and EAN
bar codes.
Enable Bookland EAN
Setting this parameter to on allows your scanner to recognize Bookland EAN
bar codes.
Supplementals
'Supplementals” are additionally appended characters (2 or 5).
Double-tapping this parameter displays a list of options. If Ignore is chosen,
UPC/EAN is decoded and the supplemental characters are ignored. If Decode is
chosen, UPC/EAN symbols are decoded with supplementals. Autodiscriminate
works in conjunction with the Supp. Redundancy parameter.
Supp. Redundancy
With “Autodiscriminate” selected in the “Supplementals” parameter, “Supp.
Redundancy” adjusts the number of times a symbol without supplementals is
decoded before transmission.
When you double-tap on this parameter, a dialog is displayed in which you can enter
a value between 2 and 20. A value of 5 or above is recommended when
Autodiscriminate is selected and you are decoding a mix of UPC/EAN symbols with
and without supplementals.
Security Level
This parameter controls the tolerance for decoding edge-to-edge UPC/EAN bar
codes. Double-tapping on this parameter displays a dialog box in which you can
choose a level from 0 to 3. Lower values have a lower tolerance for misreads, but
they also increase the time it takes to decode the bar code.
Linear Decode (
SE2223 only)
“Linear Decode” applies to code types containing two adjacent blocks (e.g.,
UPC-A, EAN-8, EAN-13). When enabled (set to on), a bar code is transmitted only
when both the left and right blocks are successfully decoded within one laser scan.
This option should be enabled when bar codes are in proximity to each other.

Psion Teklogix 7530 G2 Hand-Held Computer User Manual 167
Chapter 5: Configuration
Decoded (Internal) Scanners
2D UPC Half Block Stitching (
SE2223 only)
Setting this parameter to on enables “UPC Half Block Stitching” for the SE 3223
omnidirectional engine only.
5.11.3.12 Codabar
Enabled
Set this parameter to on to enable “Codabar”.
Set Length L1 And Set Length L2
Lengths for “Codabar” can be set for Any length, Length within a range, One
discrete length or Two discrete lengths. The length of a code refers to the number of
characters (i.e., human readable characters), including check digit(s).
Double-tapping on this parameter displays a dialog box labelled Set Code Lengths
where you can define the code length that will be recognized by your scanner.
Choosing One discrete length allows you to decode only those codes containing a
selected length. Choosing Two discrete lengths allows you to decode only those
codes containing two selected lengths. Length within a range allows you to decode
a code type within a specified range from 5 to 55.
CLSI Editing
When enabled, this parameter strips the start and stop characters and inserts a space
after the first, fifth, and tenth characters of a 14-character Codabar symbol.
Note: Symbol length does not include start and stop characters.
NOTIS Editing
When enabled, this parameter strips the start and stop characters from decoded
Codabar symbol.
Field Size/Chars
Refer to page 148 for details.
5.11.3.13 Code 93
Enabled
Set this parameter to on to enable “Code 93”.
Chapter 5: Configuration
Decoded (Internal) Scanners
168 Psion Teklogix 7530 G2 Hand-Held Computer User Manual
Set Length L1 And Set Length L2
Lengths for “Code 93” can be set for Any length, Length within a range, One
discrete length or Two discrete lengths. The length of a code refers to the number of
characters (i.e., human readable characters), including check digit(s).
Double-tapping on this parameter displays a dialog box labelled Set Code Lengths
where you can define the code length that will be recognized by your scanner.
Choosing One discrete length allows you to decode only those codes containing a
selected length. Choosing Two discrete lengths allows you to decode only those
codes containing two selected lengths. Length within a range allows you to decode
a code type within a specified range from 4 to 55.
Field Size/Chars
Refer to page 148 for details.
5.11.3.14 Interleaved 2 of 5
Enabled
Set this parameter to on to enable “Interleaved 2 of 5”.
Set Length L1 And Set Length L2
Lengths for “Interleaved 2 of 5” can be set for Any length, Length within a range,
One discrete length or Two discrete lengths. The length of a code refers to the
number of characters (i.e., human readable characters), including check digit(s).
Double-tapping on this parameter displays a dialog box labelled Set Code Lengths
where you can define the code length that will be recognized by your scanner.
Choosing One discrete length allows you to decode only those codes containing a
selected length. Choosing Two discrete lengths allows you to decode only those
codes containing two selected lengths. Length within a range allows you to decode
a code type within a specified range from 4 to 14.
Check Digit Verification
When enabled, this parameter checks the integrity of an I 2 of 5 symbol to ensure it
complies with a specified algorithm – either USS (Uniform Symbology
Specification) or OPCC (Optical Product Code Council).
Transmit Check Digit
If this parameter is enabled, the check digit is included with the bar code data.

Psion Teklogix 7530 G2 Hand-Held Computer User Manual 169
Chapter 5: Configuration
Decoded (Internal) Scanners
Convert To EAN 13
If this parameter is enabled, an I 2 of 5 bar code is converted to EAN 13.
Field Size/Chars
Refer to page 148 for details.
5.11.3.15 MSI Plessey
Enabled
Set this parameter to on to enable “MSI Plessey”.
Set Length L1 And Set Length L2
Lengths for “MSI Plessey” can be set for Any length, Length within a range, One
discrete length or Two discrete lengths. The length of a code refers to the number of
characters (i.e., human readable characters), including check digit(s).
Double-tapping on this parameter displays a dialog box labelled Set Code Lengths
where you can define the code length that will be recognized by your scanner.
Choosing One discrete length allows you to decode only those codes containing a
selected length. Choosing Two discrete lengths allows you to decode only those
codes containing two selected lengths. Length within a range allows you to decode
a code type within a specified range from 6 to 55.
Check Digits
Double-tapping on this parameter displays a dialog box in which you can choose
One or Two check digit(s).
If this parameter is set to One, it is assumed that the last digit is a check digit. If
“Check Digits” is set to Two, it is assumed that the last two digits are check digits.
Note: If Two check digits is selected, an MSI Plessey “Check Digit Algorithm”
must also be selected. See page 9-88.
Transmit Check Digit
If this parameter is enabled, the check digit is included with the bar code data.
Chapter 5: Configuration
Decoded (Internal) Scanners
170 Psion Teklogix 7530 G2 Hand-Held Computer User Manual
Check Digit Algorithm
When the Two MSI Plessey check digits option is selected, an additional
verification is required to ensure integrity. Double-tapping on this parameter
displays a dialog box in which you can choose the algorithm to be used: MOD
10/MOD 11 or MOD 10/MOD 10.
Field Size/Chars
Refer to page 148 for details.
5.11.3.16 Discrete 2 of 5
Enabled
Set this parameter to on to enable “Discrete 2 of 5”.
Set Length L1 And Set Length L2
Lengths for “Discrete 2 of 5” can be set for Any length, Length within a range, One
discrete length or Two discrete lengths. The length of a code refers to the number of
characters (i.e., human readable characters), including check digit(s).
Double-tapping on this parameter displays a dialog box labelled Set Code Lengths
where you can define the code length that will be recognized by your scanner.
Choosing One discrete length allows you to decode only those codes containing a
selected length. Choosing Two discrete lengths allows you to decode only those
codes containing two selected lengths. Length within a range allows you to decode
a code type within a specified range from 1 to 12.
Field Size/Chars
Refer to page 148 for details.
5.11.3.17 2D PDF-417 (
SE2223 only)
Enable
Setting this parameter to on enables PDF-417 two dimensional (2D) coding.
Field Size/Chars
Refer to page 148 for details.
Psion Teklogix 7530 G2 Hand-Held Computer User Manual 171
Chapter 5: Configuration
Decoded (Internal) Scanners
5.11.3.18 2D Micro PDF-417 (
SE2223 only)
Enable
Setting this parameter to on enables “2D Micro PDF-417” bar code scanning. Micro
PDF-417 is a multi-row symbology that is useful for applications requiring greater
area efficiency but lower data capacity than PDF-417.
Code 128 Emulation
When this parameter is enabled, the scanner transmits data from certain Micro
PDF-417 symbols as if it was encoded in Code 128 symbols.
If Code 128 Emulation is enabled, the following Micro PDF-417 symbols are
transmitted with one of the following prefixes:
]C1 if the first codeword is 903-907, 912, 914, 915
]C2 if the first codeword is 908 or 909
]C0 if the first codeword is 910 or 911
If Code 128 Emulation is set to off, the Micro PDF-417 symbols are transmitted
with one of the following prefixes:
]L3 if the first codeword is 903-907, 912, 914, 915
]L4 if the first codeword is 908 or 909
]L5 if the first codeword is 910 or 911
Field Size/Chars
Refer to page 148 for details.
5.11.3.19 RSS Code (Reduced Space Symbology)
Enable
Setting this parameter to on enables “RSS Code” scanning capability.
Enable RSS-14
(SE1224, SE2223 and SE1524 only)
RSS-14 code can be either purely linear or split in half with one half stacked on top
of the other half. Stacking the code reduces the bar code length, and providing the
nominal height of the code is maintained, it can be omni-directionally scanned.

Chapter 5: Configuration
Decoded (Internal) Scanners
172 Psion Teklogix 7530 G2 Hand-Held Computer User Manual
Enable RSS Limited
(SE1224, SE2223 and SE1524 only)
‘RSS-Limited” is restricted, in that it can only encode 14 digit GTINs (global trade
item number) that begin with either a 0 or a 1. It is not stackable and is not designed
to be read omni-directionally.
Enable RSS Expanded
(SE1224, SE2223 and SE1524 only)
‘RSS Expanded” uses the same application identifiers as UCC/EAN-128 codes but
they can be split into sections and stacked several rows high, reducing the length of
the symbol, while increasing the capacity of data that can be stored. “RSS
Expanded” code can be omni-directionally scanned.
Field Size/Chars
Refer to page 148 for details.
5.11.3.20 Composite (
SE2223 only)
Important: To successfully read this type of bar code, the two types of
symbologies included in a composite bar code must be enabled.
A composite symbol includes multi-row 2D components making it compatible with
linear and area CCD scanners along with linear and rastering laser scanners.
The options available for this parameter represent multi-level components of a
composite symbol.
Enable CC-C And Enable CC-AB
To activate these components, set the parameters to on.
Enable TLC-39
This composite component integrates MicroPDF417 with the linear code. Setting
this parameter to on enables this parameter.

Psion Teklogix 7530 G2 Hand-Held Computer User Manual 173
Chapter 5: Configuration
Decoded (Intermec ISCP)
5.11.4 Decoded (Intermec ISCP)
• Tap on the Scanner dropdown menu, and choose Decoded (Intermec ISCP).
5.11.4.1 Decoded (Intermec) Options
Laser On Time
The value assigned to this parameter determines how long the imager will remain on
when the scan button or trigger is pressed.
Double-tapping on this parameter displays a dialog box in which you can enter a
value between 1 and 10 seconds.
5.11.4.2 Decoded (Intermec) Advanced Options
Continuous Scan Mode
Setting this parameter to on keeps the imager on and continuously decoding as long
as the scanner button is pressed and held down.
Minimum Cancel Time
The value assigned to this parameter determines the time delay before the scanner is
turned off, once the scanner trigger or button is released. This gives the scanner a
minimum amount of time to complete its current decode before the scan is cancelled
when the user quickly triggers on/off.
Chapter 5: Configuration
Decoded (Intermec ISCP)
174 Psion Teklogix 7530 G2 Hand-Held Computer User Manual
Parameter Scanning
Setting this parameter to on enables decoding of parameter bar codes.
Same Read Validate
The data is only transmitted after repeated reads give the same result. The
value assigned at this parameter determines the number of reads required, from
0 to 10 times.
Same Read Timeout
Prevents the same bar code from being read more than once. The value assigned
determines after what time period the scanner will timeout, from 0 to 2550 msec.
Diff Read Timeout
Prevents unwanted reading of other bar codes on the same label. The value assigned
determines after what time period the scanner will timeout, from 0 to 2550 msec.
5.11.4.3 Code 39
Enable
Setting this parameter to on enables “Code 39”.
Full ASCII
If this parameter is enabled, the characters +, %, and / are used as escape
characters. The combination of an escape character and the next character
is converted to an equivalent ASCII character.
Reading Range
Determines the reading distance from which a bar code can be successfully scanned.
The default setting, Extended, allows for increased reading distance.
Start/Stop Transmit
Setting this parameter to on enables the transmission of start and stop characters,
which are usually not transmitted. Code 39 can start and end with either a * or a $
character (see also next parameter Accepted Start Char).

Psion Teklogix 7530 G2 Hand-Held Computer User Manual 175
Chapter 5: Configuration
Decoded (Intermec ISCP)
Accepted Start Char
This parameter allows the user the option of using one of the two start/stop
characters or both ($ char, * char, $ and * char).
Check Digit Verification
Uses the specified algorithm of the option you've chosen to ensure the integrity of
the symbol data before transmitting. If the data does not contain that algorithm, the
data is not transmitted. The available options are: Disabled, MOD 43 Check, French
CIP, or Italian CIP.
Notes: French CIP (French pharmaceutical) is only used with bar codes contain-
ing 7 characters.
Italian CIP (Italian pharmaceutical) is also known as Code 32. It is trans-
mitted as a standard Code 39 if checksum is not validated.
Transmit Check Digit
If the check digit is to be transmitted with the data, this parameter must be enabled.
Minimum Length
Minimum lengths for the bar code can be set from 0 to 255. The length of a code
refers to the number of characters (i.e., human readable characters), including
check digit(s).
Field Size/Chars
Refer to page 148 for details.
5.11.4.4 Code 128
Enabled
Setting this parameter to on enables “Code 128”.
EAN 128
To successfully scan this type of bar code, EAN 128 must be enabled. “EAN” bar
codes include group separators and start codes.

Chapter 5: Configuration
Decoded (Intermec ISCP)
176 Psion Teklogix 7530 G2 Hand-Held Computer User Manual
EAN 128 Identifier
‘EAN 128 Identifier’ allows the AIM ID " ]C1" for EAN 128 to be transmitted or
removed. By default, this identifier is transmitted if EAN 128 is enabled.
GTIN Compliant
GTIN (global trade item number) processing transmits EAN 128 as the 14-character
EAN/UCC GTIN. To use GTIN processing, you must activate the EAN 128 symbology.
Important: When EAN 128 and GTIN processing are both activated, it is not
possible to read normal EAN 128 Codes.
FNC1 Conversion
‘FNC1 Conversion’ allows the embedded FNC1 character to be converted to
another character for applications that cannot use the default <GS> Group Separator
or hex (1d).
Double-tapping on this option displays a dialog box listing the allowable
range – 0 to 255.
Enable ISBT 128
To successfully scan this type of bar code (International Society of Blood
Transfusion), this option must be set to on. If you enable this type of bar code, Code
128/EAN 128 is deactivated to avoid any confusion.
ISBT Concat Transmit
The codes are not concatenated by default. You need to choose one of the options
provided for this parameter to send concatenated code. Choosing Only
Concatenated Codes transmits only concatenated codes—single codes will not be
transmitted. Choosing Concatenated or Single transmits single codes or
concatenated codes. If only one code of a pair is read, that code will be transmitted
as a single code. If both codes in a pair are detected, they will be concatenated
provided that ISBT Concat Any Pair (see below) is enabled.
ISBT Concat Any Pair
Enabling this parameter causes all code pairs that can be, to be concatenated even if
they do not comply with Section 4.1 of the “ISBT 128 Bar Code Symbology and
Application Specification for Labeling of Whole Blood and Blood Components”
(June 2000, Version 1.2.1).

Psion Teklogix 7530 G2 Hand-Held Computer User Manual 177
Chapter 5: Configuration
Decoded (Intermec ISCP)
Reading Range
Determines the reading distance from which a bar code can be successfully scanned.
The default setting Extended, allows for increased reading distance.
Check Digit Verification
Uses the specified algorithm of the option you've chosen to ensure the integrity of
the symbol data before transmitting. If the data does not contain that algorithm, the
data is not transmitted. The available options are: Disabled, or French CIP.
Note: French CIP (French pharmaceutical) is only used with bar codes contain-
ing 7 characters.
Minimum Length
Minimum lengths for the bar code can be set from 0 to 255. The length of a code
refers to the number of characters (i.e., human readable characters), including
check digit(s).
Field Size/Chars
Refer to page 148 for details.
5.11.4.5 EAN 13
Enabled
Set this parameter to on to enable “EAN 13”.
ISBN Conversion
When this parameter (International Standard Book Number) is enabled, the first 3
characters (‘978’) are ignored and the checksum (0.9, ‘X’) is calculated on the
remaining characters.
Transmit Check Digit
If the check digit is to be transmitted with the data, this parameter must be enabled.
Prefix/Suffix
See “Prefix/Suffix” beginning on page 151.
Chapter 5: Configuration
Decoded (Intermec ISCP)
178 Psion Teklogix 7530 G2 Hand-Held Computer User Manual
5.11.4.6 EAN 8
Enabled
Set this parameter to on to enable “EAN 8”.
Transmit Check Digit
If the check digit is to be transmitted with the data, this parameter must be enabled.
Convert To EAN 13
If this parameter is enabled, an EAN 8 bar code is converted to EAN 13.
Prefix/Suffix
See “Prefix/Suffix” beginning on page 151.
5.11.4.7 UPC A
Enabled
Set this parameter to on to enable “UPC A” bar code scanning recognition.
Transmit Check Digit
If the check digit is to be transmitted with the data, this parameter must be enabled.
Transmit Number System
If this parameter is enabled, the number system digit is transmitted with the decoded
bar code data.
Convert To EAN 13
If this parameter is enabled, a UPC A bar code is converted to EAN 13.
Prefix/Suffix
Refer to page 151 for details.
5.11.4.8 UPC E
Enabled
Set this parameter to on to enable “UPC E”.
Psion Teklogix 7530 G2 Hand-Held Computer User Manual 179
Chapter 5: Configuration
Decoded (Intermec ISCP)
Enable UPC-E1
Set this parameter to ON to allow “UPC-E1” (zero suppressed) bar code scans.
Transmit Check Digit
If the check digit is to be transmitted with the data, this parameter must be enabled.
Transmit Number System
If this parameter is enabled, the number system digit is transmitted with the decoded
bar code data.
Convert To UPC-A
This parameter converts UPC E (zero suppressed) decoded data to UPC A format
before transmission. After conversion, data follows UPC A format and is affected
by UPC A programming selections (e.g. Check Digit).
Prefix/Suffix
Refer to page 151 for details.
5.11.4.9 UPC/EAN Shared Settings
The setting assigned to the “Addendum” parameter associated with this option is
shared across all UPC and EAN bar codes.
Addendum
An addendum is a separate bar code, supplementary to the main bar code.
This parameter provides two options: Not Required but Transmitted if Read or
Required and Transmitted.
• Double-tap on Addendum to display a dialog box listing your options.
• Highlight an item, and tap on OK.
When Addendum is set to Not Required but Transmitted if Read, the scanner
searches for an addendum and if one exists, appends it to the main bar code. When
the parameter is set to Required and Transmitted, the scanner does not accept the
main bar code without an addendum.
Addendum Add-on 2 And Addendum Add-on 5
Enabling these parameters sets the length of the addendum bar code to either 2 or
5 characters.

Chapter 5: Configuration
Decoded (Intermec ISCP)
180 Psion Teklogix 7530 G2 Hand-Held Computer User Manual
Addendum Security
This parameter defines the security level for Addendum Add-on 2 and Addendum
Add-on 5. The higher the security level, the lower the decode rate, which can be set
from 0 to 100.
GTIN Compliant
GTIN (global trade item number) processing transmits EAN 128 as the 14-character
EAN/UCC GTIN. To use GTIN processing, you must activate the EAN 128 symbology.
Important: When EAN 128 and GTIN processing are both activated, it is not
possible to read normal EAN 128 Codes.
Reading Range
Determines the reading distance from which a bar code can be successfully scanned.
The default setting Extended, allows for increased reading distance.
5.11.4.10 Codabar
Enabled
Set this parameter to on to enable “Codabar”.
Start/Stop Transmit
Codabar can use the following sets of characters as start and stop characters:
a, b, c, d
A, B, C, D
a, b, c, d, /, t, n, *, e
DC1, DC2, DC3, DC4
Thus, when a set is chosen, the first and last digits of a Codabar message must be
one of those characters and the body of the message should not contain these
characters. Setting this parameter to Not Transmitted strips the start and stop
characters from this bar code.
CLSI Library System
When enabled, spaces are inserted after characters 1, 5, 10 in the 14-character label
(used in the USA by libraries using the CLSI system).
Psion Teklogix 7530 G2 Hand-Held Computer User Manual 181
Chapter 5: Configuration
Decoded (Intermec ISCP)
Check Digit Verification
When enabled, this parameter checks the integrity of an I 2 of 5 symbol to ensure it
complies with a specified algorithm: either USS (Uniform Symbology
Specification) or OPCC (Optical Product Code Council).
Transmit Check Digit
If the check digit is to be transmitted with the data, this parameter must be enabled.
Set Length L1, Set Length L2, And Set Length L3
Lengths for “Codabar” can be set from 0 to 255. The length of a code refers to the
number of characters (i.e., human readable characters), including check digit(s).
Double-tapping on these parameters displays dialog boxes where you can define the
code length that will be recognized by your scanner.
Length Mode
You can choose to set L1 as Minimum Length or L1,L2,L3 as Fixed Length.
Field Size/Char
Refer to page 148 for details.
5.11.4.11 Code 93
Enabled
Set this parameter to on to enable “Code 93”.
Minimum Length
Minimum lengths for the bar code can be set from 0 to 255. The length of a code
refers to the number of characters (i.e., human readable characters), including
check digit(s).
Field Size/Char
Refer to page 148 for details.
5.11.4.12 Code 11
Enabled
Set this parameter to on to enable “Code 11”.

Chapter 5: Configuration
Decoded (Intermec ISCP)
182 Psion Teklogix 7530 G2 Hand-Held Computer User Manual
Check Digit Verification
Uses the specified algorithm of the option you've chosen to ensure the integrity of the
symbol data before transmitting. If the data does not contain that algorithm, the data
is not transmitted. The available options are: One Check Digit or Two Check Digits.
Transmit Check Digit
If the check digit is to be transmitted with the data, this parameter must be enabled.
Minimum Length
Minimum lengths for the bar code can be set from 0 to 255. The length of a code
refers to the number of characters (i.e., human readable characters), including
check digit(s).
Field Size/Chars
Refer to page 148 for details.
5.11.4.13 Interleaved 2 of 5
Enabled
Set this parameter to on to enable “Interleaved 2 of 5”.
Reading Range
Determines the reading distance from which a bar code can be successfully scanned.
The default setting Extended, allows for increased reading distance.
Check Digit Verification
Uses the specified algorithm of the option you've chosen to ensure the integrity of
the symbol data before transmitting. If the data does not contain that algorithm, the
data is not transmitted. The available options are: Disabled, MOD 10 Check, or
French CIP.
Note: French CIP (French pharmaceutical) is only used with bar codes contain-
ing 7 characters.
Transmit Check Digit
If the check digit is to be transmitted with the data, this parameter must be enabled.
Psion Teklogix 7530 G2 Hand-Held Computer User Manual 183
Chapter 5: Configuration
Decoded (Intermec ISCP)
Set Length L1, Set Length L2, And Set Length L3
Lengths for “Codabar” can be set from 0 to 255. The length of a code refers to the
number of characters (i.e., human readable characters), including check digit(s).
Double-tapping on these parameters displays dialog boxes where you can define the
code length that will be recognized by your scanner.
Length Mode
You can chose to set L1 as Minimum Length or L1,L2,L3 as Fixed Length.
Field Size/Chars
Refer to page 148 for details.
5.11.4.14 Matrix 2 of 5
Enabled
Set this parameter to ON to enable “Matrix 2 of 5”.
Minimum Length
Minimum lengths for the bar code can be set from 0 to 255. The length of a code
refers to the number of characters (i.e., human readable characters), including
check digit(s).
Field Size/Chars
Refer to page 148 for details.
5.11.4.15 MSI Plessey
Enabled
Set this parameter to on to enable “MSI Plessey”.
Enable Plessy
Set this parameter to on to enable the “Plessy” bar code.
Check Digit Verification
Uses the specified algorithm of the option you've chosen to ensure the integrity of
the symbol data before transmitting. If the data does not contain that algorithm, the
data is not transmitted. The available options are: MOD 10 Check, or Double MOD
10 Check.
Chapter 5: Configuration
Decoded (Intermec ISCP)
184 Psion Teklogix 7530 G2 Hand-Held Computer User Manual
Transmit Check Digit
If the check digit is to be transmitted with the data, this parameter must be enabled.
Plessy Transmit Check Digit
If the check digit is to be transmitted with the Plessy data, this parameter must
be enabled.
Minimum Length
Minimum lengths for the bar code can be set from 0 to 255. The length of a code
refers to the number of characters (i.e., human readable characters), including
check digit(s).
Plessy Minimum Length
Minimum lengths for the Plessy bar code can be set from 0 to 255. The length of a
code refers to the number of characters (i.e., human readable characters), including
check digit(s).
Field Size/Char
Refer to page 148 for details.
5.11.4.16 Discrete 2 of 5
Enabled
Set this parameter to on to enable “Discrete 2 of 5”.
Standard 2 of 5 Format
You can choose as the standard format either Identicon (6 start/stop bars) or
Computer Identics (4 start/stop bars).
Check Digit Verification
Uses the specified algorithm of the option you've chosen to ensure the integrity of
the symbol data before transmitting. If the data does not contain that algorithm, the
data is not transmitted. The available options are: Disabled, or MOD 10 Check.
Transmit Check Digit
If the check digit is to be transmitted with the data, this parameter must be enabled.
Psion Teklogix 7530 G2 Hand-Held Computer User Manual 185
Chapter 5: Configuration
Decoded (Intermec ISCP)
Set Length L1, Set Length L2, And Set Length L3
Lengths for “Codabar” can be set from 0 to 255. The length of a code refers to the
number of characters (i.e., human readable characters), including check digit(s).
Double-tapping on these parameters displays dialog boxes where you can define the
code length that will be recognized by your scanner.
Length Mode
You can chose to set L1 as Minimum Length or L1,L2,L3 as Fixed Length.
Field Size/Chars
Refer to page 148 for details.
5.11.4.17 2D PDF-417
Enabled
Set this parameter to on to enable “2D PDF-417”.
Field Size/Chars
Refer to page 148 for details.
5.11.4.18 2D Micro PDF-417
Enabled
Set this parameter to ON to enable “2D Micro PDF-417”.
Code 128 Emulation
When this parameter is enabled, the scanner transmits data from certain Micro
PDF-417 symbols as if it was encoded in Code 128 symbols.
If Code 128 Emulation is enabled, the following Micro PDF-417 symbols are
transmitted with one of the following prefixes:
]C1 if the first codeword is 903-907, 912, 914, 915
]C2 if the first codeword is 908 or 909
]C0 if the first codeword is 910 or 911
If Code 128 Emulation is set to OFF, the Micro PDF-417 symbols are transmitted
with one of the following prefixes:
]L3 if the first codeword is 903-907, 912, 914, 915
Chapter 5: Configuration
Decoded (Intermec ISCP)
186 Psion Teklogix 7530 G2 Hand-Held Computer User Manual
]L4 if the first codeword is 908 or 909
]L5 if the first codeword is 910 or 911
5.11.4.19 2D Codablock
Enable Codablock A
Set this parameter to on to enable Codablock type A.
Enable Codablock F
Set this parameter to on to enable Codablock type F.
Enable RSS-14
RSS-14 code can be either purely linear or split in half with one half stacked on top
of the other half. Stacking the code reduces the bar code length, and providing the
nominal height of the code is maintained, it can be omni-directionally scanned.
Enable RSS Limited
‘RSS-Limited” is restricted, in that it can only encode 14 digit GTINs (global trade
item number) that begin with either a 0 or a 1. It is not stackable and is not designed
to be read omni-directionally.
Enable RSS Expanded
‘RSS Expanded” uses the same application identifiers as UCC/EAN-128 codes but
they can be split into sections and stacked several rows high, reducing the length of
the symbol, while increasing the capacity of data that can be stored. “RSS
Expanded” code can be omni-directionally scanned.
Field Size/Chars
Refer to page 148 for details.
5.11.4.20 Telepen
Enabled
Set this parameter to ON to enable “Telepen”.
Format
Set the bar code character type to either ASCII or Numeric.

Psion Teklogix 7530 G2 Hand-Held Computer User Manual 187
Chapter 5: Configuration
Imager
Minimum Length
Minimum lengths for the bar code can be set from 0 to 255. The length of a code
refers to the number of characters (i.e., human readable characters), including
check digit(s).
Field Size/Chars
Refer to page 148 for details.
5.11.5 Imager
• Tap on the Scanner dropdown menu, and choose Imager.
5.11.5.1 Imager Options
TekImager Enabled
Setting this option to on enables the imager installed in your hand-held.
Continuous Scan Mode
Setting this parameter to on keeps image capture active and continuously decoding
as long as the scanner button is pressed and held down.
Center Bar Code Only
Note: This parameter must be disabled when reading Composite bar codes.

Chapter 5: Configuration
Imager
188 Psion Teklogix 7530 G2 Hand-Held Computer User Manual
When more than one bar code is visible in a single snap shot, this parameter allows
you to specify that only the centre image within the imager framing marker be read.
When this parameter is set to on, the target dot is pointed at the centre image and
only that image is returned.
Max Number Barcodes
Specifies the maximum number of bar codes the imager attempts to decode in an
image. A maximum of 6 bar codes can be decoded at one time.
Barcodes Must Decode
Specifies the minimum number of bar codes that the imager must decode in order to
report success.
Note: This number must be less than the number of bar codes assigned to Max
Number Barcodes. The driver validates and reassigns the value if necessary.
Window Width
This parameter determines the width of the captured image in pixels.
Note: The driver will validate and reassign the value assigned to this parameter,
if necessary; the driver will also use the Window Width value to horizon-
tally center the image in the field of view.
Window Height
This parameter determines the height of the captured image in pixels.
Note: The driver will validate and reassign the value assigned to this parameter,
if necessary; the driver will also use Window Height value to vertically
center the image in the field of view.
Dot Time (msec)
The value selected for “Dot Time (msec)” determines (in milliseconds) how long
the targeting dot remains on before the scanner begins capturing images. When you
double-tap on this parameter, a dialog box is displayed in which you can enter a
value of between 0 and 3000. A value of 0 disables the target dot.

Psion Teklogix 7530 G2 Hand-Held Computer User Manual 189
Chapter 5: Configuration
Imager
5.11.5.2 Imager Advanced Options
Important: Do not adjust the advanced options without first consulting Psion
Teklogix technical support.
Default Dev. On Reboot
The value assigned to this parameter determines whether or not the driver will
restore the factory defaults to the imager device on the next reboot—that is, a cold
boot or warm boot.
Note: The driver will default the imager device on a clean-cold-boot, regardless
of the value of this parameter.
Min Scan Duration
This parameter defines the minimum amount of time in seconds that the imager will
scan when the trigger is pressed and held down without successful decode.
Note: The actual scan duration when the trigger is pressed relies on the value
assigned to Captures Per HW Trigger, below.
Captures Per HW Trigger
The value assigned to this parameter determines the number of captures the imager
device will take while the imager's internal hardware trigger is held down.
Note: This parameter, together with Min Scan Duration, determines the actual
scan duration. When the scan trigger is pressed and held down, the driver
starts a timer based on the value of Min Scan Duration and also sends a
command to emulate the hardware trigger. When completed, if the time
has not yet expired, it will send another command to the imager device,
forcing the imager to flash again using the value assigned to Captures Per
HW Trigger.
Auto Exposure
Important: This parameter value should only be changed by qualified Psion
Teklogix personnel. It should be left at the default value – ‘on’.
Setting this parameter to on allows the imager to make automatic gain, integration
and illumination adjustments based on ambient light before capturing the bar code.
If the adjustment is insufficient, further adjustments are made automatically before
another image is captured.

Chapter 5: Configuration
Imager
190 Psion Teklogix 7530 G2 Hand-Held Computer User Manual
Fast Converge
Note: “Auto Exposure” must be set to ‘on’ in order for this parameter
to function.
Keep in mind that while this parameter can improve imager performance,
“Fast Converge” increases battery power consumption.
Setting this parameter to on speeds the “Auto Exposure” process. It allows the
imager to rapidly snap a number of bar code capture attempts while finding ideal
values for gain, integration and illumination.
Max Gain, Max Integration And Max Illumination
Important: These parameter values should only be changed by qualified
Psion Teklogix personnel.
These parameters represent internal values used by the 2D imager. The “Auto
Exposure” parameter automatically adjusts the “Max Gain”, “Max Integration” and
“Max Illumination” parameters to produce the best bar code read. Keep in mind that
“Auto Exposure” must be set to on in order for these parameter values to be
automatically adjusted.
Double-tapping on any of these parameters displays an associated dialog box in
which an allowable range is displayed: Max Gain – 357 to 7920, Max Integration –
0 to 65535, Max Illumination – 0 to 7.
Decoder Timeout
The decoder is a set of algorithms that examine the image and attempt to find the bar
codes, and then turn the pixels into data that the computer can use—this process
takes time. ‘Decoder Timeout’ limits the amount of time the decoder will spend
attempting to decode an image, and forces it to stop and grab a new image, which
will probably be easier to decode.
Note: When decoding multiple bar codes in one image, the value assigned to
‘Decoder Timeout’ should be increased to 200ms/extra bar code after the first.

Psion Teklogix 7530 G2 Hand-Held Computer User Manual 191
Chapter 5: Configuration
Imager
Adaptive Windowing
Adaptive Windowing is an advanced technique used to speed up bar code
recognition in certain applications. The ‘Adaptive Windowing’ parameter
automatically reduces the size of the window to the user-programmed window size
when it successfully decodes (which reduces decode time the next time it is used),
but increases it to the full size window (1280x1024 for SX5303) on a failed decode.
Note: This feature assumes that you have reached an understanding about how
the device operates in your application, and that, after a learning period,
operators will get used to using the imager in one particular way. It also
assumes that a trained operator will usually only have near miss scenarios.
Constant Illumination
Constant Illumination is used to reduce the intrusiveness of the device’s illumination
on the observer. Instead of the illumination turning on and off every time the device
attempts a decode (2-4 times per second), the illumination stays on from the time the
trigger is pulled until a decode is successful. This feature is useful in low light
environments, since it will also reduce the distraction that the illumination can have
on nearby coworkers.
5.11.5.3 Code 39
Enabled
Set this parameter to on to enable “Code 39”.
Field Size/Chars
Refer to page 148 for details.
5.11.5.4 Code 128
Enabled
Set this parameter to on to enable “Code 128.
Field Size/Chars
Refer to page 148 for details.
Chapter 5: Configuration
Imager
192 Psion Teklogix 7530 G2 Hand-Held Computer User Manual
5.11.5.5 UPC/EAN
This parameter allows you to enable the following UPC (Universal Product Code)
and EAN (European Article Numbering) bar codes: UPC-A, UPC-E, UPC-E1,
UPC-8, EAN-13, Bookland EAN-13 and Bookland EAN.
Enabled
Set this parameter to on to enable “UPC/EAN” bar codes.
Addendum
Refer to “Addendum” on page 150.
Prefix/Suffix
Refer to page 151 for details.
5.11.5.6 Codabar
Enabled
Set this parameter to on to enable “Codabar”.
Field Size/Char
Refer to page 148 for details.
5.11.5.7 Code 93
Enabled
Set this parameter to on to enable “Code 93”.
Field Size/Char
Refer to page 148 for details.
5.11.5.8 Interleaved 2 of 5
Enabled
Set this parameter to on to enable “Interleaved 2 of 5”.
Field Size/Chars
Refer to page 148 for details.
Psion Teklogix 7530 G2 Hand-Held Computer User Manual 193
Chapter 5: Configuration
Imager
5.11.5.9 RSS Code (Reduced Space Symbology)
Enable
Setting this parameter to on enables “RSS Code” scanning capability.
Field Size/Chars
Refer to page 148 for details.
5.11.5.10 Postal: Australian
Enabled
Set this parameter to on to enable “Postal: Australian”.
Field Size/Chars
Refer to page 148 for details.
5.11.5.11 Postal: Japanese
Enabled
Set this parameter to on to enable “Postal: Japanese”.
Field Size/Chars
Refer to page 148 for details.
5.11.5.12 Postal: Korean
Enabled
Set this parameter to on to enable “Postal: Korean”.
Field Size/Chars
Refer to page 148 for details.
5.11.5.13 Postal: PlaNET
Enabled
Set this parameter to on to enable “Postal: PlaNET”.
Field Size/Chars
Refer to page 148 for details.
Chapter 5: Configuration
Imager
194 Psion Teklogix 7530 G2 Hand-Held Computer User Manual
5.11.5.14 Postal: PostNET
Enabled
Set this parameter to on to enable “Postal: PostNET”.
Field Size/Chars
Refer to page 148 for details.
5.11.5.15 Postal: Royal
Enabled
Set this parameter to on to enable “Postal: Royal”.
Field Size/Chars
Refer to page 148 for details.
5.11.5.16 2D DataMatrix
Enabled
Set this parameter to on to enable “2D DataMatrix”.
Field Size/Chars
Refer to page 148 for details.
5.11.5.17 2D Maxicode
Enabled
Set this parameter to on to enable “2D Maxicode”.
Field Size/Chars
Refer to page 148 for details.
5.11.5.18 2D PDF-417
Enabled
Set this parameter to on to enable “2D PDF-417”.
Field Size/Chars
Refer to page 148 for details.

Psion Teklogix 7530 G2 Hand-Held Computer User Manual 195
Chapter 5: Configuration
Imager
5.11.5.19 2D Micro PDF-417
Enabled
Set this parameter to on to enable “2D Micro PDF-417”.
Field Size/Chars
Refer to page 148 for details.
5.11.5.20 2D QR Code
Enabled
Set this parameter to on to enable “2D QR Code”.
Field Size/Chars
Refer to page 148 for details.
5.11.5.21 2D Aztec
Enabled
Set this parameter to on to enable “2D Aztec”.
Field Size/Chars
Refer to page 148 for details.
5.11.5.22 Composite
A composite symbol includes multi-row 2D components making it compatible with
linear and area CCD scanners along with linear and rastering laser scanners.
Enabled
Set this parameter to on to enable “Composite” bar code scanner.
Important: To successfully read this type of bar code, the two types of
symbologies included in the composite must be enabled.
In addition, “Center Bar Code Only” must be disabled.

Chapter 5: Configuration
Options Tab
196 Psion Teklogix 7530 G2 Hand-Held Computer User Manual
5.11.6 Options Tab
This tab allows you to tailor the double-click parameters and the display options
associated with your scanner.
Double Click Parameters
Click Time (msec)
This parameter controls the maximum gap time (in milliseconds) for a double-click.
If the time between the first and second clicks of the scanner trigger is within this
time, it is considered a double-click. The allowable range is 0 to 1000. A value of
zero disables this feature.
A double-click produces different results depending on whether or not a value is
assigned in the “Click Data” parameter. When a value is not assigned for the “Click
Data”, double-clicking the scanner trigger overrides the target dot delay set in the
“Dot Time” parameter and initiates a normal scan sweep. If a value is assigned for
the “Click Data” parameter, double-clicking the scanner trigger inserts the “Click
Data” value rather than initiating a scan.
Click Data
For both integrated and external scanners, this parameter determines which
character is sent to the application installed in your 7530 G2 following a
double-click. A dialog box appears, asking that you press the key you want to insert.
The ASCII/Unicode key value of the keypress is displayed.
Pressing the [ESC] key in this dialog box resets the data to zero.

Psion Teklogix 7530 G2 Hand-Held Computer User Manual 197
Chapter 5: Configuration
Options Tab
Display Parameters
Scan Result
When this parameter is enabled, the type of bar code and the result of the scan
appear on the screen. Note that this information is only displayed after a successful
decode and is visible only while the scanner trigger is pressed. When the trigger is
released, this information is cleared from the screen.
Scan Indicator
When this parameter is enabled, the laser warning logo appears on the display
whenever the scanner is activated.
Scan Result Time (sec)
The value assigned to the “Scan Result Time (sec)” parameter determines how long
the scan results of a successful scan are displayed on the screen. Time is measured in
seconds, and a value of “0” (zero) disables the parameter. When you choose this
option, a dialog box appears where you can enter a value.
Note: To remove the scan result from the screen before the “Result Time” has
expired, point the scanner away from the bar code and press the trigger.
Good Scan Beep And Bad Scan Beep
These parameters determine whether or not the 7530 G2 emits an audible scanner
‘beep’ when a good (successful) scan or a bad (unsuccessful) scan is performed. Set
these parameters to either on to enable the beeper or off to disable it.
Soft Scan Timeout
This parameter is used by the SDK “Scan” function (soft-scan: starting a scan
session via the SDK function, instead of a physical user trigger press). The value
assigned to this parameter determines the soft-scan timeout from 1 to 10 sec.
(default is 3 sec.).
Scan Log File
If this parameter is enabled, the input barcode and the modified/translated output bar
code are logged in the file \Flash Disk\ScanLog.txt. Keep in mind that if ‘Scan Log
File’ is enabled, there is a slight performance impact when performing multiple
scans since the log file is written to persistent storage.

Chapter 5: Configuration
Translations
198 Psion Teklogix 7530 G2 Hand-Held Computer User Manual
5.11.7 Translations
•In the Translation tab, tap on the Add button.
Input
This value is compared with the decoded bar code reading. If there is a match, the
“Output” string replaces the data read from the bar code.
Output
If there is a match between the decoded bar code and the corresponding “Input”
string, the decoded bar code will be translated into the “Output” string. This string
entry parameter can be null, or it may contain any combination of standard and
special characters (e.g., function keys, [ENTER], etc.).

Psion Teklogix 7530 G2 Hand-Held Computer User Manual 199
Chapter 5: Configuration
Ports
Type
The value chosen from this dropdown menu determines what is compared with
the decoded bar code reading – the beginning of decoded bar code, the end of
decoded bar code, the entire decoded bar code or anywhere within the decoded bar
code (default).
5.11.8 Ports
While you cannot configure the scanner, you can configure communications with a
serial decoded scanner using the options in this tab.
Use these settings to ensure that the communication ports on the 7530 G2 match the
settings of the serial devices to which they are connected. If the settings do not
match exactly, the devices may not function. Note that some devices can auto-detect
serial port settings (such as baud rate), and in this case the 7530 G2 will dictate the
settings. Baud rates often have a direct impact on performance – they should be set
as high as possible while still ensuring reliable communication.

Chapter 5: Configuration
Ports
200 Psion Teklogix 7530 G2 Hand-Held Computer User Manual
5.11.8.1 Tether Port (COM1)
Note: RS232 serial communications is one of the modes available on the tether
port, located on the side of the 7530 G2
Baud
Double-tapping on this parameter displays a pop-up window in which you can
choose an appropriate baud rate.
Data Bits
This parameter determines the number of bits data bits included in each
asynchronous data byte. Most devices use 8 bit data bytes. Double-tapping on this
option displays a pop-up window in which you can choose either 7 or 8 data bits.

Psion Teklogix 7530 G2 Hand-Held Computer User Manual 201
Chapter 5: Configuration
Ports
Parity
This parameter determines the type of parity checking used on the data going
through the tether port. Double-tapping on this option displays a pop-up window in
which you can choose the appropriate Parity.
Stop Bits
This parameter specifies the number of stop bits – 1, 1.5 or 2 – used for asynchro-
nous communication.
5.11.8.2 Console Port (COM3)
Note: The console port is accessed via the docking connector on the bottom of
the 7530 G2. Only the Portable Docking Module (PDM) provides access
to the console port through a DE-9 interface.
Enabled
This parameter must be set to on in order for the 7530 G2 to recognize the device
connected to the console port.
Baud
Refer to page 200 for details.

Chapter 5: Configuration
Ports
202 Psion Teklogix 7530 G2 Hand-Held Computer User Manual
Data Bits
Refer to page 200 for details about this parameter.
Parity
For details, refer to page 201.
Stop Bits
Refer to page 201 for details about “Stop Bits”.
5.11.8.3 Port Replicator Tether (COM6)
The port replicator tether is a duplicate tether port located on the port replicator
module of 7530 G2 cradles.
Baud
Refer to page 200 for details.
Data Bits
Refer to page 200 for details about this parameter.
Parity
For details, refer to page 201.
Stop Bits
Refer to page 201 for details about “Stop Bits”.

Psion Teklogix 7530 G2 Hand-Held Computer User Manual 203
Chapter 5: Configuration
Ports
5.11.8.4 Port Replicator Port A (COM5)
Port replicator Port A is the standard RS232 DE-9 DTE port on the 7530 G2 port
replicator module available on certain cradle types.
Enabled
This parameter must be set to on in order for the 7530 G2 to recognize the device
connected to the port replicator RS232 DE-9 port (port A).
Baud
Refer to page 200 for details.
Data Bits
Refer to page 200 for details about this parameter.
Parity
For details, refer to page 201.
Stop Bits
Refer to page 201 for details about “Stop Bits”.

Chapter 5: Configuration
SNMP (Simple Network Management Protocol) Setup
204 Psion Teklogix 7530 G2 Hand-Held Computer User Manual
5.12 SNMP (Simple Network Management Protocol) Setup
Simple Network Management Protocol (SNMP) is the protocol used to monitor and
manage devices attached to a TCP/IP network (providing they support SNMP).
SNMP uses Management Information Bases (MIBs) that define the variables an
SNMP Network Management Station can access. Each product has a defined set of
MIBs that determine how SNMP operates, the type of access allowed and so on.
All Psion Teklogix products support the TEKLOGIX-GENERIC-MIB – a MIB that
defines some common features across Psion Teklogix products. All devices also
support MIB-II, a management information base that defines the common features
of TCP/IP networks. The SNMP Agent software embedded in the 7530 G2 product
supports SNMPv1 (RFC 1157).
•In the Control Panel, tap on the SNMP icon.
Figure 5.33 SNMP Icon

Psion Teklogix 7530 G2 Hand-Held Computer User Manual 205
Chapter 5: Configuration
Contact Tab
5.12.1 Contact Tab
5.12.1.1 Contact
This field identifies the contact person for this managed node along with
information about how to get in touch with this person. The content of this
parameter is accessible through MIB-II’s sysContact object.
5.12.1.2 Location
This parameter is used to identify the physical location of this node (e.g., Warehouse
A: Pillar 32B). The content of this parameter is accessible through MIB-II’s
sysLocation object.

Chapter 5: Configuration
Communities Tab
206 Psion Teklogix 7530 G2 Hand-Held Computer User Manual
5.12.2 Communities Tab
The “Communities” tab provides a means of limiting access to SNMP managed
devices to those SNMP Managers with matching “community names”, as specified
by RFC 1157.
Enable SNMP
Enabling Enable SNMP allows the device to respond to SNMP queries and to send
Traps. After enabling this option and rebooting the device, the SNMP Agent will
automatically start up. To disable this feature, remove the check mark from the
check box.
5.12.2.1 Adding A Community
• Tap on the Add button to add a new ‘community’.

Psion Teklogix 7530 G2 Hand-Held Computer User Manual 207
Chapter 5: Configuration
Communities Tab
Name
The value assigned here is the name assigned by the network administrator to the set
of devices to which this managed node belongs.
Rights
This menu allows you to specify access – that is, ‘Read-Only’ or Read-Write’
5.12.2.2 Modifying A Community Setting
To modify an existing community:
• Highlight the community you want to alter.
• Tap on the Change button.
A Modify Community dialog box is displayed, listing the community you
highlighted.
•Edit the Name and/or Rights, and press [ENTER] to save your changes.
5.12.2.3 Removing An Existing Community
To remove an item:
• Highlight the community you want to remove in the Communities tab and
then tap on the Remove button.
A Delete Confirmation screen is displayed.
• To remove a community, tap on the Ye s button, or
If you decide not to remove the community, tap on No.

Chapter 5: Configuration
Trap Destination Tab
208 Psion Teklogix 7530 G2 Hand-Held Computer User Manual
5.12.3 Trap Destination Tab
A trap is an unsolicited report sent to SNMP Managers by the SNMP Agent running
on the managed node. This option allows you to define where the report will be sent.
5.12.3.1 Enabling Authentication TRAPS
Enabling Enable Authentication TRAPS allows authorization traps to be sent when
a failure is detected (e.g., an SNMP message received with a bad community name).
5.12.3.2 Adding A Destination
To add a new destination:
• Tap on the Add button.
• Type a destination in the text box provided, and press [ENTER].

Psion Teklogix 7530 G2 Hand-Held Computer User Manual 209
Chapter 5: Configuration
Trap Destination Tab
5.12.3.3 Changing A Destination
To change an existing trap destination:
• Highlight the destination you want to alter in the Trap Destination tab, and
then tap on the Change button.
A dialog box like the one displayed when you add a destination is displayed.
• Make the changes to the destination, and press [ENTER] to save
the changes.
5.12.3.4 Removing A Trap Destination
To remove a trap destination:
•In the Trap Destination tab, highlight the destination you want to delete.
• Tap on the Remove button.
A Delete Confirmation screen is displayed.
• To remove a destination, tap on the Yes button, or
If you decide not to remove the destination, tap on No.

Chapter 5: Configuration
Permitted Hosts Tab
210 Psion Teklogix 7530 G2 Hand-Held Computer User Manual
5.12.4 Permitted Hosts Tab
For security reasons, the Network Administrator may want to restrict SNMP-node
access to a known sub-set of SNMP Managers. This tab lists the IP addresses of all
the SNMP Managers which are allowed to monitor and manage this device. If no
entries are listed, the device will accept SNMP queries from any host.
5.12.4.1 Adding A Host
To add a new host:
• Tap on the Add button.
• Type a new host IP address in the text box provided, and press [ENTER].
Psion Teklogix 7530 G2 Hand-Held Computer User Manual 211
Chapter 5: Configuration
Permitted Hosts Tab
5.12.4.2 Changing A Host
To change an existing host IP address:
• Highlight the IP address you want to alter in the Permitted Hosts tab, and
then tap on the Change button.
A dialog box like the one displayed when you add a host is displayed.
• Make the necessary changes, and press [ENTER].

Psion Teklogix 7530 G2 Hand-Held Computer User Manual 213
PERIPHERAL DEVICES & ACCESSORIES 6
6.1 External Bar Code Readers.........................215
6.1.1 PowerScan™ Standard, LR and XLR Bar Code Scanners . . . . . .215
6.1.2 Entering Data With The Bar Code Reader..............215
6.2 RD7950 Integrated UHF RFID Reader . . . . . . . . . . . . . . . . . . .215
6.3 Batteries...................................215
6.4 Battery Charging..............................216
6.5 Gang Charger................................216
6.5.1 Installation..............................216
6.5.2 Operator Controls...........................217
6.5.3 Charge Indicators...........................217
6.5.4 Charging Batteries..........................217
6.5.5 Troubleshooting............................218
6.5.5.1 Excessive Charge Duration.................218
6.5.5.2 Indicator Flashing Red....................218
6.5.5.3 Power LED Does Not Light Up...............219
6.5.5.4 Indicator Does Not Light When Battery Installed. . . . . .219
6.6 Combo Charger...............................219
6.6.1 Installation..............................219
6.6.2 Operator Controls...........................220
6.6.3 Using the Combo Charger With The 7530 G2 . . . . . . . . . . . .220
6.6.4 Charging The Spare Battery .....................220
6.6.5 Charge Indicators...........................221
6.6.6 Troubleshooting............................221
6.7 Combo Dock ................................222
6.7.1 Installation..............................222
6.7.2 Using The Combo Dock.......................222
6.7.3 Network Access............................222
6.7.4 Troubleshooting............................222
6.8 Quad Dock .................................223
6.8.1 Installation..............................223
6.8.2 Indicators And Controls .......................223
6.8.3 Using The Quad Dock........................224
Chapter 6: Peripheral Devices & Accessories
214 Psion Teklogix 7530 G2 Hand-Held Computer User Manual
6.8.4 Network Access...........................224
6.8.4.1 Network Addressing....................224
6.8.5 Battery Charging ..........................224
6.8.6 Troubleshooting...........................224
6.8.6.1 Network Link Unsuccessful................225
6.8.6.2 7530 G2 LED Does Not Light When Docked . . . . . . . 225
6.9 Portable Docking Module (PDM).....................225
6.10 Bluetooth Peripherals ..........................228
6.11 The 7530 G2 Picker Cradle . . . . . . . . . . . . . . . . . . . . . . . 228
6.11.1 Picker Cradle Mounting Recommendations . . . . . . . . . . . . 229
6.11.1.1 Mounting Template....................229
6.11.2 Wiring Guidelines.........................230
6.11.3 Using The Picker Cradle......................230
6.11.4 Maintaining The Picker Cradle ..................230
6.11.5 Powered Cradle Installation In High Voltage Vehicles . . . . . . 231
6.11.6 Powered Cradle Installation....................231
6.11.6.1 Wiring Vehicle Power To The Cradle...........232
6.11.7 The Port Replicator ........................233
6.12 Tether Adaptor Cables..........................234

Psion Teklogix 7530 G2 Hand-Held Computer User Manual 215
Chapter 6: Peripheral Devices & Accessories
External Bar Code Readers
6.1 External Bar Code Readers
6.1.1 PowerScan™ Standard, LR and XLR Bar Code Scanners
The 7530 G2 supports Psion Teklogix’ PowerScan™ industrial bar code scanner
with standard, long range and extra long range options.
To connect this scanner to the 7530 G2, attach the device to the tether port at the
upper-right side of the 7530 G2. Review your “PowerScan Programing Guide
(PSC)” before you begin.
6.1.2 Entering Data With The Bar Code Reader
Note: For helpful scanning tips, refer to “Scanning Techniques” on page 49.
When a label is scanned successfully, the 7530 G2 will beep if configured
appropriately and the scan LED will flash. Occasionally, the bar code labels are
poorly printed or damaged and cannot be read properly. In this case, use the
keyboard to enter data from the label.
6.2 RD7950 Integrated UHF RFID Reader
Note: This RFID reader is scheduled for future release.
The RD7950 UHF RFID Reader is an EPC-compliant RFID reader available for
Psion Teklogix rugged hand-held computing devices. Multimedia data capture
capabilities are delivered by combining RFID with existing technologies such as
laser bar code scanning or imaging.
6.3 Batteries
Note: Battery specifications are detailed beginning on page 247.
7530 G2s operate with Lithium-Ion batteries – either a 1900 mAh battery pack or a
high capacity, 2400 mAh battery.
Important: It is critical that the battery safety information described on
page XII near the beginning of this manual be reviewed carefully
and that all warnings be strictly followed.

Chapter 6: Peripheral Devices & Accessories
Battery Charging
216 Psion Teklogix 7530 G2 Hand-Held Computer User Manual
6.4 Battery Charging
Note: Initially, new batteries that have been fully charged may indicate slightly
less than 100% charge. No special conditioning is required. The full
capacity of the battery will reach 100% after 5 cycles through the charger.
It can take from 1.5 to 4 hours to charge a battery. The 7530 G2’s intelligent
charging system protects the battery from over-charging by terminating the charge
process when the battery is at maximum capacity.
Important: To preserve battery integrity, the charger will proceed with a
charge only when the battery temperature falls between 5° C and
39° C (41° F to 102° F). If the battery is too hot or cold, the
battery status LED flashes yellow and the charge is suspended.
6.5 Gang Charger
The gang charger is designed to charge up to six 7530 G2 Lithium-Ion batteries at
one time. Your charger is shipped with the appropriate IEC mains power cord. If the
supplied power cord is incorrect for your country, contact Psion Teklogix for
assistance (see Appendix A: Support Services And Worldwide Offices).
Note: The gang charger is shipped with a user manual. It is critical that this
manual be reviewed for additional information and updates.
6.5.1 Installation
The gang charger can be wall mounted using the wall mount kit, Model # HU3106,
or it can be operated on a flat surface. Install the charger in an area that is free from
excessive dirt, dust and contaminants. The ambient temperature must be in the range
5° C to 39° C (41° F to 102° F). The charger will not charge batteries outside
of this temperature range. For maximum performance, it is recommended that
the charger be operated at room temperature – a temperature range between
18° C to 25° C (64° F to 77° F).
The charger can consume up to 2A @ 120VAC or 1A @ 240VAC. Check to ensure
the mains circuit supplying the charger is adequate for this loading (especially if
several chargers are being powered from the same circuit).
After unpacking the unit:
• Visually check the charger for damage.
• Install the IEC power cord and apply power.

Psion Teklogix 7530 G2 Hand-Held Computer User Manual 217
Chapter 6: Peripheral Devices & Accessories
Operator Controls
A green indicator in the lower-right lights to indicate power is present. All charge
indicators flash momentarily at powerup to indicate that the charger is ready for
operation.
If you choose to wall mount the charger, follow the instructions packaged with the
mounting bracket kit. Be sure to locate the charger in an area where there is no risk
of injury to persons walking in the vicinity.
6.5.2 Operator Controls
The gang charger does not have operator controls or a power switch.
6.5.3 Charge Indicators
Each battery charge slot is equipped with a tri-coloured LED to indicate the charge
status of the battery. When 7530 G2 batteries are inserted in the charger, the colour
and behaviour of the LEDs associated with the charge wells in use indicate the
status of the charge.
Table 6.1 Gang Charger Indicators
6.5.4 Charging Batteries
• Install the battery with the battery contacts facing the charger. Slide the
battery between the guide rails until it lightly latches in place.
LED Behaviour Icon Charge Status
Off No battery detected in the slot.
Solid green Battery is fully charged.
Flashing green Battery is charged to 75% capacity.
Solid yellow Charge in progress.
Flashing
yellow
Battery temperature out of charge range between 5° C
to 39° C (41° F to 102° F). This icon indicates that the
charger is waiting to charge. Charging is attempted
every five minutes until the battery is within the
appropriate temperature range.
Solid red Battery rejected (at insertion) or unable to complete
charge on battery
Flashing red Charging circuit problem. Refer to “Troubleshooting”
on page 218.
Chapter 6: Peripheral Devices & Accessories
Troubleshooting
218 Psion Teklogix 7530 G2 Hand-Held Computer User Manual
The LED directly below the slot in which a battery is inserted lights up immediately.
A solid yellow LED indicates that the battery is being charged. If the battery
temperature is outside 5° C to 39° C (41° F to 102° F), the LED flashes yellow until the
temperature is acceptable. A fully discharged battery will normally take between 1.5
and 4 hours to charge. When the battery charge reaches 75%, the indicator flashes
green. At full capacity, it turns solid green.
When the battery is fully charged, the charger stops applying power; the battery
cannot be overcharged if left in the charger slot. The 75% charge indicator is handy
if you need a quick recharge – it often occurs after less than an hour.
6.5.5 Troubleshooting
6.5.5.1 Excessive Charge Duration
The charger is equipped with a recalibration function – a function that fully
discharges and then fully recharges the battery. This process is necessary to
recalibrate the battery capacity gauge internal to the battery. The charger attempts
recalibration when:
• the battery capacity is at less than 30%, and
• the battery has undergone more than 40 partial charge cycles since the last
full discharge.
A complete battery discharge takes between 1.5 and 4 hours to complete. When in
discharge mode, the LED indicator flashes yellow. The recalibration function
extends the charge time by up to 2 hours.
6.5.5.2 Indicator Flashing Red
If the indicator flashes red:
• Remove all batteries and disconnect the mains power cable.
• Wait at least 20 seconds, and then plug the cable in again.
If any of the charge slot LEDs continue to flash red, the charger is defective and
requires service. If all indicators are flashing red, there is a power supply problem
and the charger requires service.

Psion Teklogix 7530 G2 Hand-Held Computer User Manual 219
Chapter 6: Peripheral Devices & Accessories
Power LED Does Not Light Up
6.5.5.3 Power LED Does Not Light Up
• Remove all batteries, and unplug the charger.
• Connect another device to the mains outlet to ensure there is power.
• Remove the IEC mains power cable from the charger, and check it for
damage.
• Reconnect the mains cable in the charger and mains outlet.
If the power LED still does not light up:
• Unplug the mains cable, and check the fuse at the rear of the charger.
If the fuse appears to be intact, the charger requires service.
6.5.5.4 Indicator Does Not Light When Battery Installed
• Remove the battery, and clean the contacts on the battery and the
charge slot.
• Reinstall the battery, and check that it is fully seated in the slot.
• Inspect the charge slot contacts for damage (are they bent, flattened, twisted
or broken).
• Try inserting a battery that you know to be working in the charger slot.
• Reconnect the mains power cable, and check that the slot indicator flashes
at powerup.
6.6 Combo Charger
The 7530 G2 combo charger is a desktop charger designed to charge the 7530 G2
internal battery along with a spare battery pack. The combo charger provides
sufficient power to operate and fast charge the 7530 G2 internal battery, while
recharging the spare battery pack.
Note: The combo charger is shipped with a user manual. It is critical that this
manual be reviewed for additional information and updates.
6.6.1 Installation
Keep the combo charger away from excessive dirt, dust and contaminants. The
combo charger will not charge batteries outside an ambient temperature range of
5° C to 39° C (41° F to 102° F). It is recommended that this charger be operated at
room temperature – between 18° C and 25° C (64° F to 77° F) for maximum
performance.

Chapter 6: Peripheral Devices & Accessories
Operator Controls
220 Psion Teklogix 7530 G2 Hand-Held Computer User Manual
After unpacking the unit:
• Visually inspect the charger for possible damage.
• Install the IEC power cord and apply power.
A green LED in the lower-right corner of the front panel lights to indicate that
power is present. The charge LED flashes momentarily at powerup. The charger is
now ready for operation.
6.6.2 Operator Controls
The combo charger has no operator controls or power switch.
6.6.3 Using the Combo Charger With The 7530 G2
• Gently slide the 7530 G2 into the cradle portion of the combo charger until
lightly latched. An icon is displayed indicating that the 7530 G2 is properly
installed in the combo charger – .
The battery charge LED on the 7530 G2 lights up indicating that the unit has
external power and battery charging may begin. It is safe to leave the 7530 G2 in the
combo charger cradle while it is not in use – the battery will not be overcharged.
6.6.4 Charging The Spare Battery
• Install the battery with the latch facing towards the rear of the charger –
slide it between the guide rails until it lightly latches in place.
The LED for the slot lights up immediately. A solid yellow LED indicates the
battery is being charged. A flashing yellow LED indicates that the battery
temperature is outside the acceptable charge range – between 5° C and 39° C
(41° F to 102° F).
A fully discharged battery normally takes between 1.5 and 4 hours to charge. When
the battery capacity reaches 75%, the LED flashes green. When the battery is at full
capacity, the indicator turns solid green.
The combo charger stops applying power to the battery when it is fully charged –
there is no risk of overcharge if the battery remains in the charge slot. The 75%
charge indicator is handy if you need a quick recharge – a quick charge often takes
less than one hour.

Psion Teklogix 7530 G2 Hand-Held Computer User Manual 221
Chapter 6: Peripheral Devices & Accessories
Charge Indicators
6.6.5 Charge Indicators
The spare battery charge slot has an associated tri-colour LED indicator on the
lower-right area of the front panel.
Table 6.2 Combo Charger Indicators
The combo charger supplies DC power to enable the 7530 G2 internal fast charger.
Charge status is displayed on the 7530 G2 charge LED – the lower-right LED. Refer
to “Charge LED” on page 43 for details.
Normally, it takes from 1.5 to 4.0 hours to fully charge the 7530 G2 internal battery.
Note: Battery charging continues whether the 7530 G2 is switched on or off.
6.6.6 Troubleshooting
The gang charger troubleshooting section also applies to the combo charger. Refer
to “Troubleshooting” on page 218, for helpful tips.
LED Behaviour Charge Status
Off No battery detected in the slot.
Solid green Battery is fully charged.
Flashing green Battery is charged to 75% capacity.
Solid yellow Charge in progress.
Flashing yellow
Battery temperature outside the charge range of between
5° C to 39° C (41° F to 102° F). Charging is attempted
every five minutes until the battery is within the appropriate
temperature range.
Solid red Battery rejected (at insertion) or unable to complete charge
on battery.
Flashing red Charging circuit problem. Refer to “Troubleshooting” on
page 218 for details.

Chapter 6: Peripheral Devices & Accessories
Combo Dock
222 Psion Teklogix 7530 G2 Hand-Held Computer User Manual
6.7 Combo Dock
The combo dock is identical to the combo charger with one exception – the combo
dock is equipped with a 10/100 BaseT Ethernet interface. The charging information
in “Combo Charger” beginning on page 219 also applies to the combo dock.
6.7.1 Installation
Refer to the “Installation” guidelines for the combo charger beginning on page 219.
• Attach a CAT5 RJ45 network patch cable (shipped with the combo dock)
between your network and the RJ45 jack on the rear of the dock.
A green LED is illuminated next to the RJ45 connector when a valid network link is
established.
A user application needs to be loaded onto each 7530 G2 that utilizes the combo
dock for communication. With the network connected and this application loaded,
the combo dock is ready for use.
6.7.2 Using The Combo Dock
• Gently slide the 7530 G2 into the cradle portion of the combo dock until
lightly latched. The 7530 G2 detects combo dock and displays the appropri-
ate icon – .
The battery charge LED (lower-right LED) on the 7530 G2 lights up to show it has
external power and may start charging the battery.
Interaction with the 7530 G2 while in the combo dock is a function of the user
application software used to communicate with the host network.
6.7.3 Network Access
The combo dock includes a dedicated USB to Ethernet converter. This USB
converter appears as a USB slave to the 7530 G2 USB host controller. The 7530 G2
automatically detects insertion into a combo dock and loads the appropriate drivers
to communicate with the USB/Ethernet converter.
See “Network Addressing” on page 224 for details about network addressing issues
with the combo dock.
6.7.4 Troubleshooting
Troubleshooting issues for the combo dock are identical to those of the quad dock.
Refer to “Troubleshooting” on page 224 for helpful tips.

Psion Teklogix 7530 G2 Hand-Held Computer User Manual 223
Chapter 6: Peripheral Devices & Accessories
Quad Dock
6.8 Quad Dock
Note: The quad dock is shipped with a user manual. It is critical that this man-
ual be reviewed for additional information and updates.
The Quad Dock permits each of four docked 7530 G2 hand-helds to communicate
with a 10/100 BaseT Ethernet network at greater than 2Mbps. It also provides
sufficient power to operate and fast charge the batteries in the 7530 G2s.
6.8.1 Installation
The quad dock should be located away from excessive dirt, dust and contaminants.
The ambient temperature must fall between 5° C to 39 °C (41° F to 102° F). The
7530 G2 internal charger will not charge batteries outside of this temperature range.
For maximum performance, it is recommended that the quad dock be operated at
room temperature – from 18° C to 25° C (64° F to 77° F).
The quad dock can consume up to 3A @ 120VAC or 1.5A @ 240VAC. Ensure that
the mains circuit supplying the unit is adequate, especially if several docks are being
powered from the same circuit.
After unpacking the unit:
• Visually inspect the unit for any damage.
• Install the IEC power cord and apply power.
A green indicator in the lower-right corner of the front panel lights up to indicate
that power is present.
• Attach a CAT5 RJ45 network patch cable (supplied) between your network
and the RJ45 jack on the rear of the dock.
A green LED is illuminated next to the RJ45 connector when a valid network link is
established.
A user application must be loaded onto each 7530 G2 that utilizes the quad dock for
communication. When the network is connected and this application is loaded, the
quad dock is ready for use.
6.8.2 Indicators And Controls
The quad dock has no user controls. It is equipped with a power indicator LED and
RJ45 link and traffic indicator LEDs. When a valid network link is established, a
green LED is illuminated next to the RJ45 connector.

Chapter 6: Peripheral Devices & Accessories
Using The Quad Dock
224 Psion Teklogix 7530 G2 Hand-Held Computer User Manual
6.8.3 Using The Quad Dock
• Gently slide the 7530 G2 into the cradle portion of the quad dock until
lightly latched.
The 7530 G2 detects that it is in a quad dock and displays the appropriate icon in the
taskbar – . The battery charge LED on the 7530 G2 lights up to show it has
external power and may start charging the battery.
Interaction with the 7530 G2 while in the quad dock is a function of the user
application software used to communicate with the host network.
6.8.4 Network Access
The quad dock includes a four port 10/100 Ethernet hub. Each of the four
downstream ports are connected to dedicated USB-to-Ethernet converters. These
USB converters appear as USB slaves to the 7530 G2 USB host controller. The
7530 G2 automatically detects insertion into a quad dock and loads the appropriate
drivers to communicate with the USB/Ethernet converters.
6.8.4.1 Network Addressing
Although the USB converters have fixed Ethernet MAC addresses, there is
generally no correlation between these addresses and a specific 7530 G2 hand-held.
The host application uses standard TCP/IP protocol to name, locate and
communicate with a specific 7530 G2 on the network.
If a link is established between a hand-held and a host, the application on the host
and on the 7530 G2 must have a recovery mechanism in the event that the hand-held
is removed from the dock and the link is interrupted.
6.8.5 Battery Charging
The quad dock supplies DC power to enable the 7530 G2 internal fast charger.
Charge status is displayed on the hand-held charge LED (see “Charge LED” on
page 43). Battery charging continues whether the unit is switched on or off.
Normally, it takes between 1.5 and 4 hours to fully charge the 7530 G2 internal
battery.
6.8.6 Troubleshooting
The indicators, applications and drivers required to use and monitor the docking
station are installed on the 7530 G2 – no indicators or applications are present on the
docking station itself.

Psion Teklogix 7530 G2 Hand-Held Computer User Manual 225
Chapter 6: Peripheral Devices & Accessories
Network Link Unsuccessful
6.8.6.1 Network Link Unsuccessful
If a network link fails, the 7530 G2 application alerts the operator that the link was
unsuccessful.
6.8.6.2 7530 G2 LED Does Not Light When Docked
• Check that the quad dock has power – is the Power LED on the quad
dock illuminated?
• Try inserting the 7530 G2 in another slot in the quad dock.
• Check for dirt or contamination on the docking contacts at the bottom of the
7530 G2. Wipe the contacts with a damp cloth if necessary.
• Check the pogo pins inside the dock cradle for dirt. Gently wipe with a
damp cloth if they appear to be dirty or discoloured.
• Check that the pogo pins are not bent or damaged.
• Remove and reinsert the 7530 G2 in the cradle, and check that the latch is
holding the unit in place (the pogo pins must be compressed for proper
contact).
• Make certain that the battery installed in the 7530 G2 is not defective.
6.9 Portable Docking Module (PDM)
Warning: The mains power cord for the DC adapter shall comply with
national safety regulations of the country where the equipment
is to be sold.
The Portable Docking Module (PDM) clips onto the base of the 7530 G2 and is
most often used to charge the 7530 G2 battery when a desktop charger is not
convenient. The PDM also offers additional communication ports, making it useful
for upgrading software in the 7530 G2 from a USB-equipped laptop computer.
Figure 6.2 on page 227 illustrates the connectors on the PDM.
• Align the pins on the PDM with the connectors on the base of the 7530 G2.
• Gently snap the PDM into place on the base of the unit. Figure 6.1 on
page 226 provides a visual representation of how to secure the PDM.
Note: The latching mechanism on the PDM is designed for quick installation
and release. It is not meant for heavy duty use.

Chapter 6: Peripheral Devices & Accessories
Portable Docking Module (PDM)
226 Psion Teklogix 7530 G2 Hand-Held Computer User Manual
Psion Teklogix recommends using a powered cradle or combo charger in
harsh environments.
Figure 6.1 Attaching The PDM To The Base Of The 7530 G2
Align the guide pins on the PDM with the
slots on the base of the 7530 G2, and
Guide Pins
gently snap the PDM onto the hand-held.

Psion Teklogix 7530 G2 Hand-Held Computer User Manual 227
Chapter 6: Peripheral Devices & Accessories
Portable Docking Module (PDM)
Figure 6.2 PDM Ports And Connectors
The interfaces available on the PDM are as follows:
• DC power jack (15VDC @ 2.5A)
• Type A USB host port (for connection to USB devices such as a mouse,
keyboard, printer, etc.)
• Type B USB device port (for connection to a USB host such as a PC)
• RS232D DE9 serial port (for connection to a PC COM port or a serial
device such as a printer)
The standard Psion Teklogix PDM kit (PN HU4001) includes the necessary DC
power supply, USB cables and RS232D 9-pin cable.
Use only the recommended adaptor with the PDM – it includes transient
suppressors that protect your 7530 G2 from damage.
The PDM contains reverse polarity and over voltage protection. If the DC power
jack is wired backwards or exceeds 20VDC, the PDM shuts down to protect the
7530 G2, the PDM and the power supply from damage. Psion Teklogix does not
recommend substituting the DC power supply provided with your PDM.
The DC power supplied by the PDM is sufficient to operate the 7530 G2 and fast
charge its internal battery at the same time. The 7530 G2 can run from a PDM
without a battery installed.
Type B USB Device
RS232 Serial Port
Type A USB Host
15 VDC Power Jack
Chapter 6: Peripheral Devices & Accessories
Bluetooth Peripherals
228 Psion Teklogix 7530 G2 Hand-Held Computer User Manual
6.10 Bluetooth Peripherals
If the 7530 G2 is equipped with a Bluetooth radio, it is possible to communicate
with a variety of Bluetooth peripherals, including GSM/GPRS handsets, scanners,
printers, and so on. The range of the Bluetooth radio in the 7530 G2 is limited to
approximately 10 meters (32 feet). The Bluetooth antenna is located behind the
scanner ‘bulge’ on the back of the hand-held.
Psion Teklogix provides built-in support for the Bluetooth peripherals listed below.
Psion Teklogix provides built-in support for:
• Bluetooth-equipped cell phone.
• Serial Port Profile (SPP).
• Dial-up Networking Profile (DUN).
• File Transfer Profile (FTP).
• Human Interface Device (HID).
• LAN Access Profile (LAP).
• Object Push Profile (OPP).
Keep in mind that Bluetooth and IEEE 802.11g radios both operate in the 2.4GHz
band. Although the 7530 G2 includes features to minimize interference,
performance of the system will not be optimal if you use both radios simultaneously.
Typically, when both radios operate in the 7530 G2 at the same time, they cannot
transmit simultaneously – this has a negative impact on overall system throughput.
To minimize the impact on the backbone 802.11 network, Psion Teklogix
recommends using Bluetooth peripherals that have low transaction rates (such as
printers and scanners).
Bluetooth peripherals are configured by choosing the Bluetooth icon in the Control
Panel. Refer to “Bluetooth Setup” on page 114 for information about setting up
your Bluetooth devices for communication. In addition, review the manual shipped
with your Bluetooth device to determine the method used to associate with the 7530
G2 host.
6.11 The 7530 G2 Picker Cradle
The 7530 G2 picker cradle is a highly ruggedized, single station dock. Although
it provides quick insertion and removal, the cradle holds the 7530 G2 securely even
when operated in high vibration environments (such as vehicles not equipped with
suspensions).

Psion Teklogix 7530 G2 Hand-Held Computer User Manual 229
Chapter 6: Peripheral Devices & Accessories
Picker Cradle Mounting Recommendations
The7530 G2 base picker cradle can be outfitted with two options – a power module
and a port replicator. Psion Teklogix also supplies a range of standard mounts for
the hand-held picker cradles, and the 7530 G2 picker cradle is compatible with all
of them.
6.11.1 Picker Cradle Mounting Recommendations
Warning: Before mounting a picker cradle in a vehicle, there are a number
of operator safety issues that require careful attention. An improp-
erly mounted cradle may result in one or more of the following:
operator injury, operator visibility obstruction, operator distraction
and/or poor ease of egress for the operator. Psion Teklogix strongly
recommends that you seek professional mounting advice from the
vehicle manufacturer.
Cable routing within a vehicle cab also requires careful consider-
ation, especially for separately tethered scanners and other devices
with loose cables. If you are unable to obtain suitable advice,
contact Psion Teklogix for assistance (see Appendix A: Support Ser-
vices And Worldwide Offices). Note also that for better protection,
the equipment should be mounted inside the vehicle roll cage.
Pedestal mounts are recommended for all fixed mount locations because they offer
optimal operator access. In addition, for safety reasons, only pedestal mounts with
fully locking joints should be used in vehicles. Always adjust the pedestal for the
optimum viewing angle, and securely tighten the hex and wing screws.
The most effective way to mount the picker cradle is to use the four #8-32 threaded
inserts on the rear of the unit. Bolts must not extend more than 10mm (3/8") into
the cradle.
To accommodate the service loop of the connector cable, leave a 4" clearance at the
bottom of the cradle. Leave a 7" (minimum) clearance at the top of the cradle to
allow easy removal of the hand-held. Also remember to leave at least a 3" clearance
at the sides of the cradle to allow activation of the release knobs. Refer to the
detailed assembly instructions that are packaged with the cradle when selecting a
mounting location.
6.11.1.1 Mounting Template
The picker cradle is shipped with detailed mounting instructions including a
drill template.
Chapter 6: Peripheral Devices & Accessories
Wiring Guidelines
230 Psion Teklogix 7530 G2 Hand-Held Computer User Manual
6.11.2 Wiring Guidelines
Before installing the cables between the cradle and other devices, consider
the following:
• Ensure that drilling holes will not damage the vehicle or its wiring.
• Protect cable runs from pinching, overheating and physical damage.
• Use grommets to protect cables that pass through metal.
• Use plastic straps and tie-downs to secure cables and connectors in their
desired location, away from areas where they may get snagged or pulled.
• Keep cables away from heat sources, grease, battery acid and other
potential hazards.
• Keep cables away from control pedals and other moving parts that may
damage the cables or interfere with the operation of the vehicle.
6.11.3 Using The Picker Cradle
If your 7530 G2 is equipped with a shoulder strap or cover, these accessories need to
be removed before installing the unit in a picker cradle. There is no need to remove
handstraps, pistol grips or tethered devices from the unit.
• Slide the 7530 G2 into the cradle, and press firmly downward until it locks
into place. On a vehicle, it’s a good idea to pull up on the 7530 G2 to be
certain that it is secure.
• To remove the 7530 G2, press firmly on one of the knobs on either side of
the cradle until it releases. You do not need to press both knobs.
6.11.4 Maintaining The Picker Cradle
Two latches in the cradle hold the 7530 G2 firmly in place. Although these latches
are designed for at least 80,000 cycles, they will wear over time and will no longer
lock the 7530 G2 securely in the cradle. For replacement parts and instructions
contact Psion Teklogix (see Appendix A: Support Services And Worldwide
Offices). Partial disassembly is required.

Psion Teklogix 7530 G2 Hand-Held Computer User Manual 231
Chapter 6: Peripheral Devices & Accessories
Powered Cradle Installation In High Voltage Vehicles
6.11.5 Powered Cradle Installation In High Voltage Vehicles
Warning: Voltages exceeding 60VDC are considered hazardous. For powered
cradle installations on vehicles with batteries above this voltage,
ensure the powered cradle power connector is mounted in a dry
location on the vehicle, or that the connector is insulated with an
appropriate waterproof material after installation. The connector
must also be installed out of the vehicle operator’s reach. Exposing
an accessible power connector to water or other liquids could create
a hazardous situation resulting in serious injury or death.
Installation of powered cradles in vehicles that operate above 60VDC require
special consideration.
Due to the hazardous voltages present on these vehicles, it is necessary to ensure
that the powered cradle power supply cable connector is not accessible to the
vehicle operator, and does not get exposed to water or other liquids. This can be
accomplished in one of the following ways:
• Ensure the power connector is installed in a dry location on the vehicle,
away from the vehicle operator’s reach (perhaps under a vehicle dash or in a
sealed housing).
• Cover the power connector with a waterproof heat shrink material.
• Wrap the connector securely with a waterproof electrical tape in an area out
of the vehicle operators reach.
All other installation requirements outlined in this document should also be
followed for High Voltage vehicles to insure safe installation and operation of the
powered cradle.
6.11.6 Powered Cradle Installation
The powered cradle option is designed to allow the 7530 G2 to be powered by a
vehicle battery. The battery installed in the 7530 G2 is also recharged by the vehicle
battery. This option accepts DC power sources over the range 12V to 80V.
The 7530 G2 picker cradle can be ordered with the powered cradle option installed,
or it can be retrofitted later at an authorized Psion Teklogix service depot. Service
offices are listed in Appendix A: Support Services And Worldwide Offices.
The 7530 G2 charging LED (see “Charge LED” on page 43) indicates that external
power is available, and it also indicates the charging status of the internal battery.

Chapter 6: Peripheral Devices & Accessories
Wiring Vehicle Power To The Cradle
232 Psion Teklogix 7530 G2 Hand-Held Computer User Manual
Warning: Applying a voltage above 90VDC or reversing polarity may result
in permanent damage to the cradle power option and will void the
product warranty.
Warning: TO AVOID ELECTRIC SHOCK when the powered cradle option
is installed, always ensure that the rear panel ground lug on the
picker cradle is connected to the vehicle chassis. Failure to do this
could result in serious injury or death.
The metal chassis of the picker cradle must be connected directly to the chassis of
the vehicle. A safety ground lug (clearly labelled on the rear of the cradle chassis) is
provided for this purpose. The grounding strap must connect from the ground stud
on the picker cradle to a solid, reliable contact point on the main portion of the
vehicle chassis. It must not be connected to battery negative or a terminal block.
This grounding strap ensures that if there is a fault in the vehicle wiring or in the
picker cradle power module, the picker cradle cannot be at a hazardous voltage with
respect to the vehicle chassis.
Connection between the picker cradle ground lug and the vehicle chassis should be
done with a 16 gauge ground strap (ground wire). Connect the ground strap to the
picker cradle utilizing the ground lug hardware supplied with the picker cradle and a
#10 heavy duty wire crimp ring terminal. Torque the ground lug hardware to 23.0
+/- 2.0 in-lbs. Connect the other end of the ground strap to a solid, reliable point on
the main portion of the vehicle chassis, ensuring a solid electrical connection.
As with other vehicle cables, the routing of the ground strap should be carefully
considered to ensure it does not pose a hazard to the operator or the safe operation of
the vehicle. If necessary, secure the ground strap with cable ties or some other
mechanical means to prevent loops or loose lengths of wire that could catch on
stationary items when the vehicle is in motion.
6.11.6.1 Wiring Vehicle Power To The Cradle
A 1.8 meter (6 foot) extension power cable (PN 13985-302) is supplied with your
power cradle. This cable should be wired to a filtered, fused (maximum 10A)
accessory supply on the vehicle. The power cradle draws no more than 8A (less if
the accessory supply is greater than 12V). Any additional wiring, connectors or
disconnects used should be rated for at least 10A.

Psion Teklogix 7530 G2 Hand-Held Computer User Manual 233
Chapter 6: Peripheral Devices & Accessories
The Port Replicator
The red lead of the power cable attaches to the positive vehicle supply. The black
lead connects to the negative supply – this should be connected to a proper terminal
block and not to the vehicle body. The power cradle is fully isolated and can be used
with both negative and positive chassis vehicles.
You may have the option of connecting power before or after the ‘key’ switch. It is
preferable to wire the power cradle after the key switch – that is, it cannot be turned
on without the key on. However, if the operator switches the key off repeatedly for
long periods during a shift, it may make more sense to wire the cradle before the
switch.
Keep in mind that the 7530 G2 will continue to operate with or without vehicle
power as long as its battery has sufficient charge.
If an unfused power source must be used, a fuse assembly (PN 19440) must be
added to the extension power cable (the fuse and instructions are supplied with the
cable). Use only a 10A slow blow UL approved fuse in the fuse assembly.
6.11.7 The Port Replicator
The port replicator is an optional accessory that allows tethered devices (e.g.,
scanners) as well as mounted peripherals (e.g., bar code printers or weigh scales) to
be attached to the picker cradle. The replicator can be used with or without the
cradle power option.
The functionality of the 7530 G2 tether port is duplicated on the port replicator. In
addition to the tether port, the replicator is equipped with a standard 9 pin RS232D
serial interface. This interface is typically used for fixed peripherals such as printers.
Your serial device likely includes a suitable cable connector for this port.
Note: The 7530 G2 picker cradle can be ordered with the port replicator option
installed, or it can be retrofitted later by an authorized Psion Teklogix
service depot. Service offices are listed in Appendix A: Support Services
And Worldwide Offices.
6.12 Tether Adaptor Cables
The following standard tether cables are available for the external scanners:
• CA1010 JB5 to DE9 RS232 Serial Cable: Straight through wiring.
• CA1015 JB5 to DE9 RS232 Serial Cable: Null modem (signal lines are
crossed-over).
• CA1020 JB5 to Type B USB: Connects to USB devices with Type B
receptacles.
For the pinout diagrams for 7530 G2 USB cables PN CA1020 and PN CA1010,
refer to Appendix B: “Port Pinouts”, page B-3
Special intermediate cabling assemblies are available to allow older devices or
unique peripherals to be connected to the JB5 tether port. These cabling assemblies
permit scanner cables to be re-terminated in an intermediate in-line connector
(called LTW), which then interfaces to one of a number of standard adaptor cables
with JB5 terminations.
These kits include assembly instructions and include the mating connector.
• 1002162 Cable Adaptor LTW - JB5 Scan Decoded.
• 1002163 Cable Adaptor LTW - JB5 Scan Undecoded.
• 1002164 Cable Adaptor LTW - JB5 Scan RS-232.
• 1002165 Cable Adaptor LTW - JB5 Scan RFID.
• 1002166 Cable Adaptor LTW - JB5 Scan USB.
Contact Psion Teklogix support services (see Appendix A: “Support Services And
Worldwide Offices”) for assistance in the creation of these cable assemblies if you
wish to take advantage of this capability.

Psion Teklogix 7530 G2 Hand-Held Computer User Manual 235
SPECIFICATIONS 7
7.1 7530 G2 Hand-Held Computer Specifications . . . . . . . . . . . . . . .237
7.2 Radio Specifications ............................239
7.3 Internal Scanner Port............................240
7.4 RFID Applications.............................240
7.5 External Scanners..............................240
7.6 Internal Scanner Specifications.......................240
7.6.1 SE 1200 High Performance & Long Range Specs . . . . . . . . . .241
7.6.2 SE 1200 Advanced Long Range & SE 2223PDF Specs . . . . . . .241
7.6.2.1 Decode Zones – SE 1200HP, LR AND ALR . . . . . . . .242
7.6.3 SE 1224HP Scanner Specifications. . . . . . . . . . . . . . . . . .243
7.6.3.1 Decode Zone – SE 1224HP . . . . . . . . . . . . . . . . .244
7.6.4 SE 1524ER – Extended Range Scanner Specifications . . . . . . .244
7.6.4.1 Decode Zones – SE 1524ER.................245
7.6.5 EV15 Imager Specifications.....................245
7.6.5.1 Decode Zone– EV15.....................246
7.6.6 SX5303 Imager Specifications . . . . . . . . . . . . . . . . . . . .247
7.6.6.1 Decode Zone – SX5303...................247
7.7 1900 mAh Lithium-Ion Battery Pack....................247
7.8 2400 mAh Lithium-Ion Battery Pack....................248

Psion Teklogix 7530 G2 Hand-Held Computer User Manual 237
Chapter 7: Specifications
7530 G2 Hand-Held Computer Specifications
Note: Performance specifications are nominal and subject to change
without notice.
7.1 7530 G2 Hand-Held Computer Specifications
Size
• 270mmL x 100mmW x 85mmD (10.6"L x 3.9"W x 3.3"D)
• Keypad grip area: 77mmW x 43mmD (3"W x 1.7"D)
Weight
• 950g (30.5oz - Troy)
• Includes std. battery, std radio & std. internal scanner
• Pistol grip add 125g (4oz - Troy)
Operating System
• Microsoft Windows CE 5.0
Processor And Memory
• 520 MHz XScale PXA 270 processor
• 32KB instruction/32KB data cache
• On-board RAM: 128MB SDRAM
• On-board RAM: 64MB FLASH
Power
• Up to 12 hours usage Lithium Ion standard battery (reduced in
freezer applications
• Optional high capacity battery – up to 17 hours (reduced in
freezer applications)
• Quick swap packs
• Advanced Smart Battery with gas gauge
• Built-in fast charger (2 hour typical recharge)
• Adjustable battery allocation between system backup and runtime
• System backup during battery swap (15 minutes)
• 1 week real-time clock backup
Chapter 7: Specifications
7530 G2 Hand-Held Computer Specifications
238 Psion Teklogix 7530 G2 Hand-Held Computer User Manual
External Ports
Tether port with:
- one RS232 serial port
- decoded/undecoded scanner, printer
- USB host port, power out
Docking station port with:
- one RS232 serial port including diagnostics
- USB device port
- USB host port
- Power in/out
Internal Expansion Slots
• One SDIO (MultiMediaCard) slot
• One Type II Comp[act Flash slot
• One Type III Extended PC Card slot
Environmental
• Operating temp: -30°C to +60°C (-22°F to 140°F)
• Storage temp: -40°C to +60°C (-40°F to 140°F)
• Humidity: 5% - 95% RH non-condensing
• Rain/Dust: IEC 529, classification IP67
• Drop Rating: 6' (2m) multiple drops plus 5' (1.5m) drop to polished con-
crete, 26 times
• Cradle shock: 30g in each axis
• Cradle vibration: 1.5g RMS PSD (4 - 500 Hz) (random)
• Frost-free scan window option
Approvals
- RoHS compliant (EU Directive 2002/95/EC)
- Safety: UL 1950, CSA C22.2 No950, LVD EN60950
- EMC: FCC Part 15 Class B, EMC Directive Class B
- Laser: IEC 60825-1 2001 Class 2 (EN60825-1),
*Note this product will carry the CE Mark
Psion Teklogix 7530 G2 Hand-Held Computer User Manual 239
Chapter 7: Specifications
Radio Specifications
7.2 Radio Specifications
802.11g Direct Sequence Spread Spectrum And Orthogonal Frequency
Division Multiplexing (OFDM) (Model Number RA2040)
Form Factor Compact Flash
Antenna Port Single U.FL jack, no diversity
Transmit Power 32mW max (+15dBm), all versions
Frequency Range 2.400 - 2.4835GHz, all versions
Channels 1 to 11 for USA, Canada
1-13 for EU countries
RX Sensitivity (8% FER, 1024 bytes packet) =
-89dBm @ 1Mbps, -87dBm @ 11Mbps,
-83dBm @ 6Mbps, -72dBm @ 54Mbps
Data Rates 6, 9, 12, 18, 24, 36, 48 & 54Mbps
RA1001A - Narrow Band Radio
Psion Teklogix Proprietary Narrowband Modulation (2/4 level FSK)
Type III PC Card Form Factor
Transmit Power 1W or 0.5W
Frequency Range 403-422MHz, 419-435MHz, 435-451MHz,
450-470MHz, 464-480MHz,
480-496MHz, 496-512MHz
Rx Sensitivity < -110dBm @ 19.2kbps (4 level FSK)
Data Rates 4800bps, 9600bps, 19.2kbps
Bluetooth Radio
Embedded (USB interface)
Bluetooth Version 1.2 compliant (features Adaptive Frequency
Hopping for better co-existence with 802.11 radio)
Chip Antenna 2dBi peak
Transmit Power -3dBm (0.5mW) minimum, +4dBm (2.5mW) max
Frequency Range 2.400 - 2.4835GHz
RX Sensitivity -80dBm max
(BER<=0.1%)
Data Rate 732.2kbps and 57.6kbps asymmetric,
433.9kbps symmetric
Chapter 7: Specifications
Internal Scanner Port
240 Psion Teklogix 7530 G2 Hand-Held Computer User Manual
7.3 Internal Scanner Port
Compatibility
1D Imager: EV15
2D Imager: SX5303
1D Lasers: SE 1200HP 1D non-decoded, standard range
SE 1200LR 1D non-decoded, long range
SE 1200ALR 1D non-decoded, advanced
long range
SE1224 1D decoded with fuzzy logic processing
SE 1524ER decoded with fuzzy logic processing,
extended range
2D Laser: SE 2223 PDF decoded raster
7.4 RFID Applications
- RD7950 Integrated UHF RFID Reader (future release)
- Psion Teklogix RFID File System
- Multi-protocol support
7.5 External Scanners
Supported Types Decoded and Non-Decoded 5V only.
Interface Via tether port.
7.6 Internal Scanner Specifications
This section lists specifications for the following internal scanners:
• SE 1200 High Performance and Long Range (page 241).
• SE 1200 Advanced Long Range and SE 2223PDF (page 241).
• SE 1224 High Performance (page 243).
• SE 1524 Extended Range (page 244).
• EV15 (page 245).
• SX5303 2D Imager Scanner (page 247).

Psion Teklogix 7530 G2 Hand-Held Computer User Manual 241
Chapter 7: Specifications
SE 1200 High Performance & Long Range Specs
7.6.1 SE 1200 High Performance & Long Range Specs
7.6.2 SE 1200 Advanced Long Range & SE 2223PDF Specs
Parameter SE 1200HP SE 1200LR
Light Source Visible Laser Diode 650 nm. Visible Laser Diode 650 nm.
Scan Rate 35 (± 5) scans/sec (bidirectional) 35 (± 5) scans/sec (bidirectional)
Scan Angle 42º± 2º 23º± 2º
Scan Patterns Linear Linear
Minimum Print Con-
trast
Minimum 20% absolute
dark/light reflectance measured
at 650 nm.
Minimum 40% absolute
dark/light reflectance measured
at 650 nm.
Symbologies
UPC/EAN, Code 128, Code
39, Code 93, I 2 of 5, Discrete 2
of 5, Codabar, MSI UCC/EAN
128.
UPC/EAN, Code 128, Code
39, Code 93, I 2 of 5,
Discrete 2 of 5, Codabar, MSI,
UCC/EAN 128.
Programmable
Parameters
Laser On Time, Aim Duration,
Symbology types/lengths,
Data formatting.
Laser On Time, Aim Duration,
Symbology types/lengths,
Data formatting.
Ambient Light:
Artificial: 450 ft. candles
(4844 Lux).
Sunlight: 10000 ft. candles
(107,640 Lux).
Artificial: 450 ft. candles
(4844 Lux).
Sunlight: 8000 ft. candles
(86,112 Lux).
Parameter SE 1200ALR SE 2223 PDF
Light Source Visible Laser Diode 650 nm. Visible Laser Diode 650 nm.
Scan Rate 35 (± 5) scans/sec (bi-directional) 590 scan/sec. 22 frames/sec.
Scan Angle 13º± 2º Horizontal: 34º, Vertical: 12.5º
Scan Patterns Linear Linear and Smart Raster
Minimum Print
Contrast
Minimum 40% absolute
dark/light reflectance measured at
650 nm.
Minimum 40% absolute
dark/light reflectance measured
at 650 nm.
35% absolute dark/light reflec-
tance differential (PDF).
25% absolute dark/light reflec-
tance differential (1-D).

Chapter 7: Specifications
Decode Zones – SE 1200HP, LR AND ALR
242 Psion Teklogix 7530 G2 Hand-Held Computer User Manual
7.6.2.1 Decode Zones – SE 1200HP, LR AND ALR
Symbologies
UPC/EAN, Code 128, UCC/EAN
128, RSS, Code 39, Code 93, I 2 of
5, Discrete 2 of 5, Codabar, MSI.
PDF417, Micro PDF,
UPC/EAN, Code 39, Inter-
leaved 2 of 5, Code 128, Coda-
bar, MSI Plessey, RSS and
Composite codes.
Programmable
Parameters
Laser On Time, Aim Duration,
Symbology types/lengths, Data
formatting.
Laser On Time, Aim Duration,
Power Mode, Trigger Mode,
Bidirectional Redundancy,
Symbology types/lengths, Data
formatting, Pattern Controls.
Ambient Light:
Artificial: 450 ft. candles
(4844 Lux).
Sunlight: 4000 ft. candles
(43,056 Lux).
Artificial: 450 ft. candles
(4844 Lux).
Sunlight: 8000 ft. candles
(86112 Lux).
Bar Code Read Distance
High
Performance Long Range Advanced
Long Range
Min Max Min Max Min Max
5 mil 3.0" 4.5"
7.5 mil 3.0" 8.5"
10 mil 2.5" 12.5" 13.0" 17.5"
15 mil 2.5" 18.5" 8.5" 33.5" 20.0" 50.0"
20 mil 2.5" 20.5" 9.5" 38.5" 30.0" 60.0"
40 mil 3.0" 29.5" 9.5" 79.5" 30.0" 98.0"
55 mil 3.5" 35.5" 9.5" 89.5" 27.0" 115.0
"
Parameter SE 1200ALR SE 2223 PDF

Psion Teklogix 7530 G2 Hand-Held Computer User Manual 243
Chapter 7: Specifications
Decode Zones – SE 2223PDF
7.6.2.2 Decode Zones – SE 2223PDF
7.6.3 SE 1224HP Scanner Specifications
Bar Code Raster Laser Scanner
Read Distance
PDF Bar Codes SE2223
Min Max
6.5 mil 2.5" 6.5"
10 mil 2.5" 9.5"
15 mil 2.5" 15.5"
Parameter SE 1224HP
Light Source Visible Laser Diode 650 nm.
Scan Rate 35 (± 5) scans/sec
(bi-directional)
Scan Angle 42º (typical), 30º
(narrow)
Scan Patterns Linear
Minimum Print Contrast Minimum 25% absolute dark/light reflectance measured at
650 nm.
Symbologies UPC/EAN, Code 128, UCC/EAN 128, RSS, Code 39, Code
93, I 2 of 5, Discrete 2 of 5, Codabar, MSI.
Programmable
Parameters
Laser On Time, Aim Duration, Power Mode, Trigger Mode,
Bi-directional Redundancy, Symbology types/lengths,
Data formatting.
Ambient Light: Artificial: 450 ft. candles (4844 Lux).
Sunlight: 8000 ft. candles (86112 Lux).

Chapter 7: Specifications
Decode Zone – SE 1224HP
244 Psion Teklogix 7530 G2 Hand-Held Computer User Manual
7.6.3.1 Decode Zone – SE 1224HP
7.6.4 SE 1524ER – Extended Range Scanner Specifications
Parameter SE 1524ER
Light Source Visible Laser Diode 650 nm.
Scan Rate 35 (±5) scans/sec (bi-directional).
Scan Angle 13.5° ±0.7°
Scan Patterns Linear
Minimum Print Contrast Minimum 25% absolute dark/light reflectance measured at 650 nm.
Symbologies UPC/EAN, Code 128, UCC.EAN128, RSS, Code 39, Code 93,I
2 of 5, Discrete 2 of 5, Codabar, MSI.
Programmable
Parameters
Laser On Time, Aim Duration, Power Mode, Trigger Mode,
Bi-directional Redundancy, Symbology types/lengths,
Data formatting.
Ambient Light: Artificial: 450 ft. candles (4,844 Lux).
Sunlight: 4,000 ft. candles (86,112 Lux).

Psion Teklogix 7530 G2 Hand-Held Computer User Manual 245
Chapter 7: Specifications
Decode Zones – SE 1524ER
7.6.4.1 Decode Zones – SE 1524ER
Figure 7.1 1524ER Decode Zone A (short-range, small codes)
Figure 7.2 1524ER Decode Zone B (long-range, large codes)
7.6.5 EV15 Imager Specifications
Parameter EV15
Light Source 617nm Highly Visible LED
Scan Angle 40º
Minimum Print Contrast Minimum 25%
Min x. Dimension 0.1 mm (4 mils)

Chapter 7: Specifications
Decode Zone– EV15
246 Psion Teklogix 7530 G2 Hand-Held Computer User Manual
7.6.5.1 Decode Zone– EV15
Reading Distance Up to 90cm (35 in)
Symbologies
UPC (E&A), EAN, RSS, Code 39, Code 128,
UCC/EAN 128, ISBN, ISBT, Interleaved,
Matrix, Industrial and Standard 2 of 5, Codabar,
Code 93/93i, Code 11, MSI, Plessey, Telepen,
PDF417, Micro PDF417
Ambient Light Works in any lighting conditions, from 0 to
100,000 lux
Shock 2000G, 0.7ms, half sinus, 3 axes
Vibration 50G r.m.s.
Parameter EV15

Psion Teklogix 7530 G2 Hand-Held Computer User Manual 247
Chapter 7: Specifications
SX5303 Imager Specifications
7.6.6 SX5303 Imager Specifications
7.6.6.1 Decode Zone – SX5303
7.7 1900 mAh Lithium-Ion Battery Pack
Technology Lithium-Ion (Li-Ion)
Capacity 1900mAh nominal at 300mA discharge 20°C to
8.25V
1400mAh nominal at 300mA discharge at -20°C to
8.25V
Parameter SX5303
Optics 1.3 megapixel (1280 x 1024)
Field of View at 6 inches 10.3 in. x 8.2 in.
Pitch Angle ±45°
Skew Angle ±45°
Ambient Light 200 Lux to full sunlight.
Minimum Contrast 10%
Targeting Center locating 623 nm LED.
Decode Symbologies
Supported
Linear: Code 39; UPC/EAN; I2of5; Code 128; Codabar; RSS
PDF417: PDF417, microPDF417; Composite; image capture
and signature capture.
Data Matrix: Data Matrix; QR Code; Maxicode; Aztec Code;
Planet; Postnet; Royal Mail 4SCC; 4 State postal codes from
Australia, Canada, Japan; Korean Post 3of5.
Code Mil Size Min. Range
(inches) Max. Range
(inches)
Data Matrix 10 mil 3.25 in. 5.0 in.
Data Matrix 12.5 mil 2.75 in. 5.5 in.
Data Matrix 15.8 mil 2.5 in. 5.75 in.
PDF417 10 mil 2.5 in. 6.0 in.
PDF417 15 mil 2.75 in. 7.25 in.
QR 15 mil 2.25 in. 5.75 in.
Code 39 5 mil 3.25 in. 5.0 in.
Code 39 10 mil 2.25 in. 6.5 in.
Code 39 15.8 mil 2.25 in. 7.0 in.
Code 128 10 mil 2.25 in. 6.5 in.
Typical performance @ 300 lux
Chapter 7: Specifications
2400 mAh Lithium-Ion Battery Pack
248 Psion Teklogix 7530 G2 Hand-Held Computer User Manual
Charge Temperature 5°C to 39°C (41°F to 102°F)
Discharge Temperature -30°C to 60°C (-22°F to 140°C)
Storage Temperature -30°C to 60°C (-22°F to 140°C)
Storage at elevated temperatures not recommended
Charge Cycles Minimum 300 cycles with no degradation below
70% of nominal capacity
Voltage 11.1V nominal (8.25V mn. to 12.6V max.)
Cell Configuration 1P3S (3 series connected cells)
Cell Type Prismatic
Max. Charge Voltage 12.6V +/- 0.09V
Charge Time 1.5 hr
7.8 2400 mAh Lithium-Ion Battery Pack
Technology Lithium-Ion (Li-Ion)
Capacity 2400mAh nominal at 300mA discharge 20°C to
8.25V
2000mAh nominal at 300mA discharge at -20°C to
8.25V
Charge Temperature 5°C to 39°C (41°F to 102°F)
Discharge Temperature -30°C to 60°C (-22°F to 140°C)
Storage Temperature -30° C to 60° C (-22° F to 140° C)
Storage at elevated temperatures not recommended
Charge Cycles Minimum 300 cycles with no degradation below
70% of nominal capacity
Voltage 11.1V nominal (8.25V mn. to 12.6V max.)
Cell Configuration 1P3S (3 series connected cells)
Cell Type Cylindrical
Max. Charge Voltage 12.6V +/- 0.09V
Fast Charge Time 2.5 hr

Psion Teklogix 7530 G2 Hand-Held Computer User Manual A-1
APPENDIX A
SUPPORT SERVICES AND WORLDWIDE OFFICES
Psion Teklogix provides a complete range of product support services to its
customers worldwide. These services include technical support and product repairs.
A.1 Technical Support
For technical support in North America:
Call Toll free: +1 800 387 8898 Option 3 or
Direct Dial: +1 905 813 9900 Ext. 1999 Option 3
For technical support in EMEA (Europe, Middle East and Africa), please contact
the local office listed in the website below:
http://www.psionteklogix.com/EMEASupport
For technical support in Asia, contact the local office listed in the website below:
http://www.psionteklogix.com
Technical Support for Mobile Computing Products is provided via email through
the Psion Teklogix customer and partner extranets. To reach the website, go to
www.psionteklogix.com, and click on the appropriate Teknet link on the home page.
Then click on the “Login” button or the “Register” button, depending on whether
you have previously registered for Teknet. Once you have logged in, search for the
“Support Request Form”.
A.2 Product Repairs
For repair service in North America:
Call Toll free: +1 800 387 8898 Option 2 or
Direct Dial: +1 905 813 9900 Ext. 1999 Option 2
For repair service in EMEA (Europe, Middle East and Africa), please contact the
local office listed in the website below:
http://www.psionteklogix.com/EMEASupport
For repair service in Asia, contact the local office listed in the website below:
http://www.psionteklogix.com
Appendix A: Support Services And Worldwide Offices
Worldwide Offices
A-2 Psion Teklogix 7530 G2 Hand-Held Computer User Manual
A.3 Worldwide Offices
COMPANY HEADQUARTERS
Psion Teklogix Inc.
2100 Meadowvale Boulevard
Mississauga
Ontario
Canada L5N 7J9
Tel: +1 905 813 9900
Fax: +1 905 812 6300
Email: salescdn@psion.com
CANADIAN SERVICE CENTRE
Psion Teklogix Inc.
7170 West Credit Ave., Unit #1
Mississauga, Ontario
Canada L5N 7J9
Tel: +1 800 387 8898 Option 2 - or -
Direct: + 1 905 813 9900 Ext. 1999 Option 2
Fax: + 1 905 812 6304
Web: www.psionteklogix.com
NORTH AMERICAN HEADQUARTERS AND U.S. SERVICE CENTRE
Psion Teklogix Corp.
1810 Airport Exchange Boulevard
Suite 500
Erlanger, Kentucky
USA 41018
Tel: +1 859 371 6006
Fax: +1 859 371 6422
Email: salesusa@psion.com
INTERNATIONAL SUBSIDIARIES (see also www.psionteklogix.com)
Psion Teklogix S.A.
La Duranne
135 Rue Rene Descartes
BP 421000
13591 Aix-En-Provence
Cedex 3; France
Tel: +33 4 42 90 88 09
Fax: +33 4 42 90 88 88
E-mail: tekeuro@psion.com

Psion Teklogix 7530 G2 Hand-Held Computer User Manual B-1
APPENDIX B
PORT PINOUTS
B.1 Tether Port Pinout
The tether port connector incorporates multiplexed undecoded scanner, decoded
scanner, RS232 serial, and USB interfaces. In order for it to operate, a special wiring
scheme is needed. If you have a need to create cables for the tether port, contact a
Psion Teklogix representative and request document #1010032 “Instruction Tether
Port Termination”. Attempting to interface to the tether connector without
following this document may cause damage to the 7530 G2 or the tethered device.
B.2 Docking Station Connector
1. Ext 5V Switched. Used by external peripherals. 5VDC, 1A max.
2. RS232 Rx Data. Console receive pin.
3. RS232 Tx Data. Console transmit pin
4. DC Power In (13-18VDC @ 3A max). External power adapter
positive input.
5. USB Host Minus. For connecting USB devices.
6. USB Host Plus. For connecting USB devices.
7. DC Power In. Same as pin 4.
2 4 6 8 10 12
1 3 5 7 9 11

Appendix B: Port Pinouts
Battery Contacts
B-2 Psion Teklogix 7530 G2 Hand-Held Computer User Manual
8. Docking Station Id. Identifies device attached to the docking station
connector. The external device applies a specific resistance between
this pin and ground as identification.
9. Ground.
10. USB Device Minus. Connects to other USB host such as a PC.
11. USB Device Plus. Connects to other USB host such as a PC.
12. Ground
B.3 Battery Contacts
These contacts represent right to left numbering with the docking port pointing
toward you, and the battery contacts facing upward.
Battery Contacts
Pin # Signal Description
1 POS Positive Battery
2CLK SMBUS Clock
3 BAT_D Presence/Cell Count
4 DATA SMBUS Data
5NEG Negative Battery

Psion Teklogix 7530 G2 Hand-Held Computer User Manual B-3
Appendix B: Port Pinouts
JB5 To USB Type B Cable - PN CA1020
B.4 JB5 To USB Type B Cable - PN CA1020
B.5 JB5 To RS-232 Serial Cable - PN CA1010
(Mates with USB devices that incorporate Type B receptacles)

Psion Teklogix 7530 G2 Hand-Held Computer User Manual C-1
APPENDIX C
USB SETUP APPLICATION
C.1 USB Setup
The USB Setup application is used to update a Windows PC so that it can connect to
a Psion Teklogix 7530 G2 using the USB port on the Portable Docking Module
(PDM) connector. To download the USB Setup application, go to:
www.psionteklogix.com/downloads
This will take you to the Teknet home page.
• Login with your Teknet Username and Password. (If you’re not already a
member of Teknet, you can register for free at this home page so that you
can access the USB Setup application.)
Once you’ve entered your name and password, the Download page is displayed.
• Scroll down to the Utilities heading, and then under USB Setup, tap on
Download. If you need further assistance, please contact Psion Teklogix
support (1-800-387-8898).
System Requirements
• Windows 2000 or XP
• ActiveSync 3.5 or later
The install program:
• updates copies of the device installation scripts usbstor.inf and
wceusbsh.inf with Psion Teklogix-specific information, and
• sets up a USB connection between the PC and the 7530 G2.

Appendix C: USB Setup Application
Launching The Application
C-2 Psion Teklogix 7530 G2 Hand-Held Computer User Manual
C.1.1 Launching The Application
Before running the USB Setup application:
1. Unplug the 7530 G2 from your PC, and exit all running applications.
2. Double-click on the USB Setup executable in the directory you copied
it to.
Welcome Dialog Box
If you check the “Install as a generic device” checkbox, the Hardware
Manager on your PC will not prompt you to install every new device you
connect to your PC. A generic configuration will be used for the Psion Tek-
logix devices.
3. Tap on the Install button to configure your PC or the Cancel button to
exit the USB Setup program.
The program checks that ActiveSync is installed and that it is a supported
version – 3.5 or later. If the version installed on your PC is not supported,
you’ll need to exit the USB Setup application, and install a later version of
ActiveSync. ActiveSync can be downloaded from Microsoft at:
http://www.microsoft.com/downloads.

Psion Teklogix 7530 G2 Hand-Held Computer User Manual C-3
Appendix C: USB Setup Application
Installation Complete Dialog Box
In some cases, you may see an additional dialog:
Usually, this dialog is shown when more than one version of ActiveSync is
installed. You can either select the correct inf file for the USB Setup
program to work with, or you can cancel the installation, and uninstall the
extra copies of ActiveSync.
C.1.2 Installation Complete Dialog Box
This dialog box indicates the success or failure of the installation.
4. Tap on Exit to exit the application.
If you need to view the log file, tap on View Log.
Once the USB Setup program is exited, you can connect the 7530 G2 to
your PC using a PDM connector and a USB cable, and turn the unit on. If
the USB Setup process was successful, the “Found new hardware” wizard
may start. If this occurs, choose the recommended defaults. ActiveSync will
detect your 7530 G2.

Psion Teklogix 7530 G2 Hand-Held Computer User Manual I
INDEX
A
Accepted Start Char 175
accessories
bar code readers, connecting 215
handstrap 15
picker cradle 228
pistol grip 16
Active Conn Tab 119
ActiveSync
ASync profile 116
Adaptive Windowing 191
adaptor cables, tether 234
Addendum 150, 152, 153, 179, 192
Addendum Add-on 2 179
Addendum Add-on 5 179
Addendum Security 180
Ad Hoc network 20
Advanced (wireless connection) 25
Advanced button (Radio tab) 143
AIAG
AIAG Strip 147
AIAG Strip 147
ALT Key 35
ANSI
transmitting data 148, 151
appearance (display colour scheme) 90
appending to bar codes
characters 148, 151, 196
approvals
7530 (including scanner) 238
arrow keys
moving the cursor 35
ASCII
Full Ascii 147, 174
audio indicators
adjusting volume 48
description of beep conditions 47
volume adjustment using the BLUE
key 48
Authentication, Bluetooth Controls 117
authentication, network (Shared Mode) 21
Auto Exposure (Imager) 189
Auto Radio Address (Cellular Radio) 139
Auto Radio Address (Cellular Radio
Address) 139
B
backlight
display 88
intensity 41
keyboard 40
backup profile, creating (Total Recall) 126
backup profile, restoring (Total Recall)
130
Bad Scan Beep 197
bar code
appending to 148, 151, 196
connecting bar code reader 215
parameters 144–195
prefix character 148, 151
stripping characters 148, 149, 151
suffix character 151
symbologies
Codabar 153, 167, 180, 192
Code 11 154, 181
Code 128 149, 163, 191
Code 39 147, 191
Code 93 153, 167, 181, 192
Discrete 2 of 5 155, 170, 184
EAN 13 150, 164, 177
EAN 8 151, 164, 178
IATA 2 of 5 156
Interleaved 2 of 5 154, 168, 182,
192
Matrix 2 of 5 183
MSI Plessey 155, 169, 183
UPC A 152, 164, 178
UPC E 152, 165, 178
trailing characters 151
bar code reader
external (specs) 240
external scanner, operation of 215
Barcodes Must Decode 188
batteries

II Psion Teklogix 7530 G2 Hand-Held Computer User Manual
Index
advanced power properties 105
calibrate power 105
capacity dialog box 102
charge, time required 215
chargers 32
charging 13
cycles 215
devices (card slot power) 106
gauge 46
installing 32
installing in 7530 G2 14
power saving scheme dialog box 103
removing 32
run time, maximizing 53
safety precautions XII
specifications, 7530 1900mAh 247
specifications, 7530 2400mAh 248
suspend threshold 104
battery charger
safety instructions XIV–XV
battery pack 215
battery safety XII–XV
battery See also batteries 215
Baud 200, 201, 202, 203
Baud Rate/Modulation 142
beeper
adjusting volume 48
description of beep conditions 47
volume adjustment using the BLUE
key 48
Bi-Direction Redundancy 159
BKSP (DEL Key) 35
Bluetooth, enabling 106
Bluetooth radio
changing device name 120
device service profiles 116
ISM band 114
PINs for devices 117
radio configuration 114–126
Bluetooth setup 114
GPRS setup 121
peripherals 228
Bright For (backlight) 89
BSP, Bluetooth Controls 120
C
cable diagrams C-1
cables, tether adaptor 234
calibrating (touchscreen) 41, 108
Captures Per HW Trigger 189
card slot power 106
Cellular Radio Address 139
Center Bar Code Only (Imager) 187
CH, Bluetooth Controls 117
changing password (Start Menu security)
67
Channel Enable List 136
Channel List, editing 138
Channel Number 135
Channel Selection 137
Channel Switch Speed 136
Channel Tab (Narrow Band radio) 135
characters
appending to bar codes 148, 151
prefix 148, 151
stripping 148, 149, 151
suffix 151
trailing 151
charger
descriptions of 33
safety instructions XIV–XV
charging (battery) 13
Check Digit 154
check digit 150, 153, 154, 155, 169
Check Digit, One 155, 169
Check Digit Algorithm 170
Check Digits (MSI Plessey) 169
Check Digit Verification 162, 175, 177,
182, 183, 184
Check Digit Verification (Codabar) 181
Check Digit Verification (I 2 of 5) 168
Click Data (appending data) 196
Click Data (scanner double-click) 196
Click Time 196
CLSI Editing 167
CLSI Library System 180
Codabar 153, 167, 180, 192
Codabar 167
Code 11 154, 181
Code 128 149, 191
Code 128 163, 175
Code 128 Emulation 171, 185
Code 32, Convert To 161
Code 32 Prefix 161
Code 39 147
Code 39 161, 174
Code 93 153, 167, 181, 192
Code 93 167
cold reset 27
Cold Reset (Shutdown menu) 73

Psion Teklogix 7530 G2 Hand-Held Computer User Manual III
Index
COM, Bluetooth Controls 120
Command Prompt 68
Communities 206
Composite 172, 195
configuring IEEE 802.11 radio 17
connection list table, Bluetooth Controls
119
Console Port settings 201
Baud 201, 202, 203
Data Bits 202, 203
Parity 202, 203
Stop Bits 202, 203
Constant Illumination 191
Contact 205
Continuous Scan Mode 157, 173, 187
contrast, adjusting 41
contrast, adjusting display 41
control panel
accessing 82
basic setup 87
Display Properties 87
icons 83
keyboard properties 90
power management properties 102
stylus properties 107
Conv. UPC-E To UPC-A 165
Conv. UPC-E1 To UPC-A 165
Convert To Code 32 161
Convert To EAN 13 169, 178
Convert To UPC -A 179
Convert to UPC-A 152
cradle See also Picker cradle 228
CTRL Key 35
cycle tasks 70
D
data
entering
with a bar code reader 215
Data Bits 200, 202, 203
Data Squelch 142
decoded (internal) scanner parameters 156
decoded Intermec (ISCP) parameters 173
Decode Performance 162, 163
Decode Performance Level 162, 163
Decoder Timeout 190
decode zones 242, 244, 245, 246
Default All Parameters 135
Default Dev. On Reboot 189
DEL (BKSP) Key 35
Delete Char Set ECIs 160
Demo
Imager 68
Scanner 68
Signature 68
desktop connection, remote 81
Device Name, changing 120
dialog box, using 73
Diff Read Timeout 174
digit
check digit 150, 153, 154, 155, 169
Dim For (backlight) 89
Discrete 2 of 5 155, 170, 184
Discrete 2 of 5 170
display
appearance (colour scheme) 90
backlight 88
backlight, adjusting 41
contrast (control panel) 87
contrast, adjusting 41
Display Properties 87
display contrast, adjusting 41
Display Properties 87
docking device icons 47
docking station
uploading data using 55
Dot Time 146, 157, 188
double-click
appending characters to a decoded
bar code 196
Double-Click, Manage Triggers menu 110
Double-Tap (stylus settings) 107
DSSS, 802.11g radio 239
DUN service, Bluetooth 116
Duration 157
E
EAN/UCC 128 149, 163
EAN 128 175
EAN 128 Identifier 176
EAN 13 150, 164, 177
EAN 13, Convert To 169
EAN 8 151, 164, 178
EAN-8 Zero Extend 164
EAP (Extensible Authentication Protocol)
22
ECI Decoder 160
Enable Bookland (UPC-EAN) 166
Enable Bookland EAN 150
Enable CC-AB 172

IV Psion Teklogix 7530 G2 Hand-Held Computer User Manual
Index
Enable CC-C 172
Enable Cellular Protocol 138
Enable Plessy 183
Enable Power Saving 141
Enable RSS Expanded 172, 186
Enable RSS Limited 172, 186
Enable RSS-14 171, 186
Enable SNMP 206
Enable TLC-39 172
Encryption, Bluetooth Controls 117
Error Accept 147
ESC Key 35
EV15 Intermec 245
EV15 1D imager scanner specs 245
Extensible Authentication Protocol (EAP)
22
F
Fast Converge (Imager) 190
features
7530 7
fields
Field Size 148
size 148
FNC1 Conversion 176
Frequency Table (Radio tab) 143
Full ASCII 162
Full Ascii 147, 174
Function Keys 36
37-key keyboard 36
63-key keyboard 36
G
Good Scan Beep 197
GPRS (bluetooth) 121
GTIN Compliant 176, 180
H
handstrap, installing 15
I
IATA 2 of 5 156
Idle Poll Limit 141
IEEE radio, configuring 17
imager
EV15 imager scanner specs 245
SX5303 2D imager specs 247
imager (2D), operating 51
Imager parameters 187
Include Check 150, 151, 153, 155, 156
Include Check (Discrete 2 of 5
symbology) 155
Include Check (Interleaved 2 of 5
symbology) 154
Include Chk 147, 152, 154
Include Country 150
Include Number Sys 152, 153
Include Sym (Code 128) 149
indicators
battery gauge 46
docking devices 47
LED functions 43
modifier keys 45
narrow band radio signal quality 46
onscreen 45
scanner message 51, 52
security level 47
task bar 62
tethered device 47
802.11radio signal quality 46
Info Tab (Narrow Band radio) 132
Infrastructure network 20
input
bar code reader 215
Input (translate) 198
Input Panel (control panel) 84
installation
handstrap 15
pistol grip 16
Intensity (7035 backlighting) 89, 92
Interleaved 2 of 5 154, 168, 182, 192
Intermec EV15 specs 245
Internal PDF scanner, operating 51
Internal scanner (1D), operating 50
Internet Explorer 68
IP address, assigning 23
ISBN Conversion 177
ISBT Concat Any Pair 176
ISBT Concat Transmit 176
ISBT 128 163, 176
ISM band, Bluetooth radio 114
ITF Check (Discrete 2 of 5 symbology)
155
ITF Check (IATA 2 of 5 symbology) 156
ITF Check (I 2 of 5 symbology) 154
K
keyboard
key repeat 90, 92
one shot mode 93

Psion Teklogix 7530 G2 Hand-Held Computer User Manual V
Index
36-key keyboard 38
63-key 38
keyboard backlight 40
keyboard keys 33
ALT 35
arrow keys 35
BKSP 35
CTRL 35
DEL 35
ESC 35
function keys, accessing 36
macro keys 37, 94
modifiers 34
navigating using the keyboard 59
one shot mode 93
SCAN 35
SHIFT 34
SPACE 35
TAB 35
Keyboard Properties 90, 92
backlight 92
one shot mode 93
Key Index, assigning 22
Key Repeat tab 91
keys
alpha keys, 36-key keyboard 38
L
LANAccessUsingPPP service, Bluetooth
116
Laser On Time 157, 173
Late TX Limit (Polling) 140
LED
charge 43
functions 43
receive 44
scan 44
transmit 44
Length Mode 181, 183, 185
Linear Decode 166
Linear Security Level 158
Lithium-Ion batteries
installing 32
removing 32
Location 205
Low Level screen (Narrow Nand radio)
134
Low Power Timeout 158
M
Macro keys
accessing 37
executing a macro 95
Macros menu, accessing 94
recording and saving 94
37-key keyboard 37
63-key keyboard 37
maintenance 56
Manage Triggers 109
Manual Radio Address (Cellular Radio
Address) 139
Manual Switch Table 137
Matrix 2 of 5 183
Max Gain (Imager) 190
Max Illumination (Imager) 190
Max Integration (Imager) 190
Max Number Barcodes 188
messages
scanner warning message 197
Minimum Cancel Time 157, 173
Minimum Length 175, 177, 181, 182,
183, 184, 187
Min Scan Duration 189
modifier keys 34
locking 34
One Shot Mode 93
unlocking 34
Modulation/Baud Rate 142
Mod 10 Check 148, 156
Mod 10 Check (Discrete 2 of 5
symbology) 155
Mod 10 Check (I 2 of 5 symbology) 154
Mod 43 Check 148
MSI Plessey 155, 169, 183
N
Name 207
name servers, assigning 24
Narrow Band radio 132
Channel tab 135
Info tab 132
Low Level screen 134
Power tab 141
Protocol tab 138
Radio tab 142
statistics screen 132
narrow band radio
signal quality 46
network
Ad Hoc 20
connection, monitoring 55

VI Psion Teklogix 7530 G2 Hand-Held Computer User Manual
Index
infrastructure 20
network authentication (Shared Mode) 21
Network Key, assigning 21
non-decoded scanners parameters 145
NOTIS Editing 167
O
OFDM, 802.11g radio 239
One Check Digit 155, 169
One Shot Mode 93
ON Threshold 89, 92
Output (translate) 198
P
Parameter Scanning 158, 174, 175, 176,
177, 180, 181, 182, 183, 184, 187
Parity 201, 202, 203
PDF internal scanner, operating 51
picker cradle 228
installing cable 230
powered 10-55 VDC 228
powered 12 VDC 228
unpowered 228
picker cradle See also Picker Cradle 228
PIN, Bluetooth Controls 116
pinouts C-1
PINs, Bluetooth devices 117
pistol grip, installing 16
Plessy Transmit Check Digit 184
pocket PC compatibility 81
Polling 139
polling values, testing 140
Poll Timeout (Polling) 140
port pinouts C-1
Port Prefix, Bluetooth Controls 120
Port Replicator Port A 203
Port Replicator Tether 202
ports
internal scanner 240
ports, scanner 199
Postal
PlaNET 193
PostNET 194
Royal 194
Power Management Properties 102
advanced power 105
battery capacity 102
calibrate power 105
devices (card slot power) 106
scheme, power saving 103
threshold, power shutdown 104
Power Off Time 141
Power Scheme 103
Power Tab (Narrow Band radio) 141
Power Up Channel 135
preferred networks 25
Prefix 160
Prefix Char 148, 151
Printer (serial service), Bluetooth 116
profile, creating backup 126
profile, restoring backup 130
Programs
Command Prompt 68
Internet Explorer 68
Remote Desktop Connection 68
Windows Explorer 68
Protocol Tab (Narrow Band radio) 138
punctuation marks, accessing (SHIFT
Key) 34
R
radio
adding new network connection 19
advanced settings of 25
Bluetooth 114–126
Configure button 19
configuring 17
adding a new network connection
19
Ad Hoc 20
authentication, network 21
Configure button 19
Connect button 19
EAP (Extensible Authentication
Protocol) 22
Infrastructure 20
Key Index 22
Key Index, assigning 22
network authentication 21
Network Key 21
Network Key, assigning 21
wireless information 19
wireless properties 20
802.1X authentication 22
Connect button 19
IP address, assigning 23
name servers 24
Narrow Band 132
preferred networks, arranging 25
specifications 239

Psion Teklogix 7530 G2 Hand-Held Computer User Manual VII
Index
wireless connection, setting up 17
802.11g Direct Sequence SS 239
802.11signal quality 46
radio specifications 239
Radio Tab (Narrow Band radio) 142
Raster Expand Rate (2D) 159
Raster Height (2D) 159
Reading Range 174, 177, 180, 182
recalibrating (touchscreen) 41, 108
receive LED 44
Remote Desktop Connection 68
remote desktop connection 81
Repeat Delay (between key repeats) 91
Repeat Rate (of key repeats) 91
Repeat tab (key repeat settings) 91
resetting the 7530 G2 27
cold reset 27
warm reset 27
RFID
applications 240
Rights 207
RSS Code 171, 193
Run (Start Menu) 72
S
safety instructions
battery charger XIV–XV
Same Read Timeout 174
Same Read Validate 174
Scan Data Format 160
Scan Indicator 197
SCAN Key 35
Scan Log File 197
scanning
appending characters 148, 151, 196
check digit 155, 169
decoded (internal) parameters 156
decoded Intermec (ISCP) parameters
173
decode zones 242, 244, 245, 246
Imager parameters 187
non-decoded parameters 145
PDF internal scanner, operating 51
ports 199
removing characters 149
symbologies 144
techniques 49
troubleshooting tips 50
1D internal scanner, operating 50
2D Internal imager, operating 51
Scanning Mode (2D) 159
Scan Result 197
Scan Result Time 197
screen
stylus, using to navigate 59
touch pen, using 59
Windows CE, navigating 59
Security (scan) 147
Security Level 166
security level icon 47
Security Settings 66
changing password 67
level 66
Supervisor 66
Teklogix 66
User 66
Servers, Bluetooth Controls 118
Services, Bluetooth Controls 116
Set Length L1 161
Set Length L2 161
Set PIN, Bluetooth Controls 117
Settings
Control Panel 71
Network and Dial-up connections 71
Run 71
Taskbar and Start Menu 71
SE 1200 Advanced LR specs 241
SE 1200 HP specs 241
SE 1200 LR specs 241
SE 1524 ER specs 244
SE 2223 PDF specs 241
Shared Mode (network authentication) 21
SHIFT Key 34
Short Code 146
Shutdown
Cold Reset 73
Suspend 73
Warm Reset 73
Shutdown (Start Menu) 72
signal quality, narrow band 46
signal quality, 802.11 46
Simple Network Management (SNMP)
See SNMP 204
SIP (Soft Input Panel 84
size
of fields 148
Size/Chars (bar code scanning) 148
Sled See picker cradle. 228
slot power status, built-in device, enabling
106

VIII Psion Teklogix 7530 G2 Hand-Held Computer User Manual
Index
SNMP (Simple Network Management
Protocol) 204
Communities 206
Contact 205
Enable SNMP 206
Location 205
Name 207
Rights 207
Soft Input Panel (SIP) 84
Soft Scan Timeout 197
SPACE Key 35
specifications
battery,7530 1900mAh 247
battery,7530 2400mAh 248
for 7530 237
scanner, internal 240
Standard (Code 128) 149
Start/Stop Transmit 174, 180
Start Menu 65
cycle tasks 70
desktop 66
programs 68
Run 72
Security 66
Settings 71
Shutdown 72
system tray 69
task manager 70
Statistics button (Radio tab) 143
Statistics screen (Narrow Band radio) 132
Stop Bits 201, 202, 203
Strip Leading 148, 151
Strip Start/Stop Chars 153
Strip Trailing 149, 151
stylus (touch pen) 59
Stylus Properties 107
Double-tap (stylus sensitivity) 107
Suffix 160
Suffix Char 148, 151
Supervisor security level 66
Supp. Redundancy (Code 128) 166
Supplementals (UPC-EAN) 166
Suspend (Shutdown menu) 73
Suspend State 103
SX5303 2D imager specs 247
symbologies
IATA 2 of 5 156
symbologies, bar code 144
Sync Delay (Polling) 139
system tray 69
T
TAB Key 35
taskbar
onscreen indicators
battery gauge 46
docking devices 47
modifier keys 45
narrow band radio signal quality 46
security level 47
tethered device 47
802.11 radio signal quality 46
using 62
task manager 70
TekImager Enabled 187
Teklogix security level 66
TekTerm application 81
Tele pen 186
Test Polling Values 140
Test Squelch (Radio tab) 142
tether adaptor cables 234
tethered device
connecting and disconnecting 52
taskbar icons 47
Tether Port scanner settings 200
Tether Port settings
Baud 200
Data Bits 200
Parity 201
Stop Bits 201
threshold, setting (backlight) 89, 92
Total Recall
backup profile, creating 126
backup profile, restoring 130
touch pen, using 59
touchscreen
recalibration 41, 108
stylus 59
touch pen 59
Transmit Check Digit 175, 177, 178,
179, 181, 182, 184
Transmit Check Digit (I 2 of 5) 168
Transmit Check Digit (MSI Plessey) 169
Transmit Code 1D Char 160
transmit LED 44
Transmit Number System 178, 179
trigger mappings 110
triggers, configuring 109
Trigger Type , Manage Triggers menu 112
Trioptic Code 39, Enable 161

Psion Teklogix 7530 G2 Hand-Held Computer User Manual IX
Index
troubleshooting tips (scanning) 50
U
UCC 128(Code 128) 149
UPC A 152, 164, 178
UPC-A Check Digit 164
UPC-A Preamble 164
UPC E 152, 165, 178
UPC-EAN 166, 192
UPC-EAN Shared Settings 179
UPC-E Check Digit 165
UPC-E Preamble 165
UPC-E1 Check Digit 165
UPC-E1 Preamble 165
UPC Half Block Stitching, 2D 167
USB Setup Application D-1
launching D-2
User security level 66
V
Vari ati ons (Code 128) 149
Ver ify 146
W
warm reset 27
Warm Reset (Shutdown menu) 73
Window Delay (Polling) 140
Window Height 188
Windows® Start Menu See Start Menu 65
Windows CE
dialog box 73
files, folders, & programs, working
with 60
Windows CE, navigating in 59
Windows Explorer 68
Window Width 188
wireless connection setup 17
Wireless Information Tab 19
Wireless Properties tab 20
WPA authentication 21
WPA-PSK authentication 21
1D Internal scanner, operating 50
2D Aztec 195
2D Codablock 186
2D DataMatrix 194
2D imager scanner, operating 51
2D Maxicode 194
2D Micro PDF-417 171, 185, 195
2D PDF-417 170, 185, 194
2D QR Code 195
2D Raster Expand Rate 159
2D UPC Half Block Stitching 167
36-key keyboard
alpha keys, accessing 38
uppercase letters, creating 39
63-key keyboard 38
7530
approvals 238
specifications 237
802.1X authentication, enabling 22
802.11 radio, configuring 17