544142 2 Myers 3RMW Sewage Pump Installation Manual
544117 2 Myers 3Mw & 3Rmw Series Manual 544117_2_Myers 3MW & 3RMW Series Manual
544144 2 Myers 3Rmw Sewage Pump Installation Manual 544144_2_Myers 3RMW Sewage Pump Installation Manual
544143 2 Myers 3Rmw Sewage Pump Installation Manual 544143_2_Myers 3RMW Sewage Pump Installation Manual
544134 2 Myers 3Rmw Sewage Pump Installation Manual 544134_2_Myers 3RMW Sewage Pump Installation Manual
544100 2 Myers 3Mw & 3Rmw Series Manual 544100_2_Myers 3MW & 3RMW Series Manual
: Pump 544142 2 Myers 3Rmw Sewage Pump Installation Manual 544142_2_Myers 3RMW Sewage Pump Installation Manual pdf
Open the PDF directly: View PDF
.
Page Count: 12

NOTE! To the installer: Please make sure you provide this manual to the owner of the equip ment or to the responsible
party who maintains the system.
3MW, 3RMW SERIES
1750 and 3450 RPM MODELS
SUBMERSIBLE SEWAGE PUMPS
INSTALLATION AND SERVICE MANUAL
Single and dual seal. Single and three phase power.
Part # 23833A397 | © 2014 Pentair Ltd. | 02/07/14
3MW
3RMW

2
SAFETY WARNINGS
This manual contains important information for the
safe use of this product. Read this manual completely
before using this product and refer to it often for
continued safe product use.
Failure to heed these symbols and follow the
instructions in this manual may result in severe bodily
injury or death, or substantial property damage.
DO NOT THROW AWAY OR LOSE THIS MANUAL.
Keep it in a safe place so that you may refer to
it often.
m DO NOT wear loose clothing that can become
entangled in the impeller or other moving parts.
m This pump is designed to handle materials that
could cause illness or disease through direct
exposure. Wear adequate protective clothing when
working on the pump or piping.
m To reduce risk of electrical shock, pump must be
properly grounded in accordance with the National
Electrical Code and all applicable state and local
codes and ordinances.
m ALWAYS disconnect the pump from power source
before handling or servicing.
m Any wiring to be done on pumps should be done
by a qualified electrician.
m NEVER operate a pump with a power cord that
has frayed or brittle insulation.
m NEVER let cords or plug lie in water.
m NEVER handle connected power cords with
wet hands.
WARNING: RISK OF ELECTRICAL SHOCK!
Single phase pumps are supplied with a grounding
conductor and grounding-type attachment plug on
the power cord. To reduce risk of electrical shock,
be certain that it is connected only to a properly
grounded, grounding-type receptacle. DO NOT cut off
ground pin or use an adapter fitting. DO NOT use an
extension cord with this pump.
Entire plug may be cut off if a control panel is used. All
dual seal pumps, all duplex installations and all three
phase pumps require a control box.
Follow all local electrical and safety codes and
ordinances as well as the most recent National
Electric Code (NEC-ANSI/NFPA 70).
All pumps have a GROUND WIRE that is connected
to a screw in the metal motor housing. This wire
goes to the receptacle or control box which must be
connected to a good outside GROUND such as a
metal water pipe or GROUND STAKE driven at least 8
feet into the ground.
PUMPS
m Pumps build up heat and pressure during
operation. Allow time for pump to cool before
handling or servicing.
m Only qualified personnel should install, operate or
repair pump.
m Keep clear of suction and discharge openings. DO
NOT insert flingers in pump with power connected.
m This pump MUST NOT be used to pump
flammable, combustible or hazardous liquids.
Make sure lifting handles are securely fastened
each time before lifting.
m DO NOT lift pump by power cord.
m DO NOT exceed manufacturer’s recommendation
for maximum performance, as this could cause
the motor to overheat.
m ALWAYS secure the pump in its operating position
so it cannot tip over, fall or slide.
m Keep hands and feet away from impeller when
power is connected.
m DO NOT use in swimming pools, decorative
fountains or any installation where human contact
with pumped fluid is common.
m Do not operate pump without safety devices
in place.
IMPORTANT! F.E. Myers is not responsible for losses,
injury or death resulting from a failure to observe these
safety precautions, misuse or abuse of pumps or
equipment.
CALIFORNIA PROPOSITION 65 WARNING:
This product and related
accessories contain chemicals known to the
State of California to cause cancer, birth
defects or other reproductive harm.
3
GENERAL DESCRIPTION AND
APPLICATION
Myers 3MW and 3RMW series sewage pumps are
available in both a single seal and dual seal with leak
detector and in 1750 RPM and 3450 RPM models.
They are designed for raw sewage applications.
These units can also be used for sump and general
dewatering applications where larger solids
capabilities are required.
These pumps are available in single and three phase.
All three phase units, all dual seal units and all duplex
installations must be used with a control box.
AIR VENTING
Upon initial filling of wet well with water, air may be
trapped in the pump volute. To vent off this air a
5/32" diameter hole is located in volute. BE SURE
THIS VENT HOLE IS CLEAN AFTER ANY SERVICE
WORK ON PUMP.
LEVEL CONTROLS
All pumps must use sealed level control switches for
automatic operation.
Simplex single phase pumps can be made automatic
by attaching MFS controls to the pump or discharge
pipe. These switches have a fixed draw off level of
8 to 10 inches and can be used up to 1 HP. Simplex
and higher horsepower systems may also use on/off
pilot control switches (SMNO) with control box and
magnetic starter. The ALC and AWS-1 controls can
be used for simplex single phase pumps with ratings
up to 2 HP. All duplex systems must use pilot control
switches (SNMO) with control box and magnetic
starters.
Plug-in cords can be used on all the single phase
pumps with a single seal (does not have seal leak
detector). This cord has a GROUND pin that plugs
into a grounded receptacle. The grounded receptacle
cannot be used in the wet sumps or basin due to
DANGER of current leakage. Sealed junction boxes
must be used in wet sumps or basins to make
connections to motor cord. The AWS-1 control also
acts as a sealed junction box for connecting power
cord to pump cord.
DUAL SEAL PUMPS
Dual seal units are all made with a seal leak detector.
The leak detector in the oil seal chamber detects a
water leakage into the chamber and turns on a red
signal light in the control panel. Control panels must
be used for pumps having the seal leak detectors, and
seal leak must be wired.
MOTOR TYPE
Motors are ¾ frame 1, 1½, 2 and 3 HP single or
three phase, 60 hertz, 1750 & 3450 RPM with class
B insulation. All single phase motors are permanent
split-capacitor (PSC) type with built-in winding
overload protection and do not require a start switch
or start relay. The three phase pump motors require
a magnetic starter with 3 leg overload protection. All
motors have upper and lower ball bearings and all are
oil-cooled and lubricated.
INSTALLATION
WARNING: Basin or tank must be vented in
accordance with local plumbing codes. These pumps
are not designed for and CANNOT be installed in
locations classified as hazardous in accordance with
the National Electric Code ANSI/NFPA 70.
CAUTION: Never enter pump chamber after sewage
or effluent has been in basin. Sewage water can
give off methane, hydrogen sulfide and other gases
that are highly poisonous. For this reason, Myers
recommends installing the 3MW and 3RMW series
sewage pumps with a quick removal system. The
quick removal system may be a union or Cam-lok
coupling if the pipe or discharge hose is within reach
from the surface, or an SRA rail system type quick
disconnect on deeper installations.
The dosing tank or pumping chamber must be
constructed of corrosion resistant materials and must
be capable of withstanding all anticipated internal
and external loads. It also must not allow infiltration
or exfiltration. The tank must also have provisions
for anti-buoyancy. Access holes or covers must be
of adequate size and be accessible from the surface
to allow installation and maintenance of the system.
ACCESS COVERS MUST BE LOCKABLE OR
HEAVY ENOUGH TO PREVENT EASY ACCESS
TO UNAUTHORIZED PERSONNEL. The pumping
chamber holding capacity should be selected to allow
for emergency conditions.
The discharge pipe must be the same size as the
pump discharge (3 inches) or larger. In order to
ensure sufficient fluid velocity to prevent any residual
solids from collecting in the discharge pipe, it is
recommended that a minimum flow of 2 feet per
second be maintained (46 gpm through 3" pipe). It
is recommended that a PVC or equal pipe is used

4
for corrosion resistance. A full flow (ball or gate)
shut-off valve must be installed to prevent back
flow of sewage if the pump must be removed for
service. A CHECK VALVE MUST BE INSTALLED
ON PRESSURE SEWER SYSTEMS and on other
systems where conditions allow to prevent back flow
and to reduce wear on the pump system.
A high water alarm must be installed on a separate
circuit from the pump circuit. The alarm should have
the ability to be tested for proper operation.
SPECIAL INSTRUCTIONS FOR
THREE PHASE PUMPS
1. F.E. Myers recommends three phase pumps to be
installed by qualified personnel. CAUTION: RISK
OF ELECTRICAL SHOCK! Do not remove cord
and strain relief. DO NOT connect conduit
to pump.
2. Three phase pumps are always installed with
control boxes having magnetic starters with 3-leg
overload protections. DO NOT TRY TO RUN
THREE PHASE PUMPS DIRECTLY ACROSS
THE LINE.
3. To Connect Pump: Run wire from pump to bottom
of control box or appropriate junction box suitable
for enclosing splice connections. A hole must be
cut into the control box for the wires. With power
on control box OFF, connect green (ground) line to
ground lug. Connect black (power) wires to power
lead terminals. Note: For a typical CE style control
box, these terminals are M1, M2 and M3. Make
sure that all wires are inside control box and not
in a position to be pinched or shorted when door
is closed.
4. Before installing pumps check rotation of
impeller to make sure pump is connected
correctly to magnetic starter. All pump
impellers either single or three phase must turn
counterclockwise when looking into pump inlet.
To check for proper rotation, lay pump on side so
impeller is visible. Turn on power and start pump
using Hand position of H-O-A switch. Turn on and
off fast so that coast of impeller can been seen.
NEVER PUT HANDS OR FINGERS ON THE
IMPELLER WHEN POWER IS CONNECTED.
Interchange any two line leads at magnetic starter
to change if rotation is incorrect.

5
CHECK LIST IF PUMP DOES NOT OPERATE PROPERLY
CONDITION
Pump does not run or start when water is up in tank.
Pump runs but does not deliver flow.
PROBABLE CAUSE
1. Check for blown fuse or tripped circuit breaker.
2. Check for defective level switch.
3. Where control panel is used be sure H-O-A switch is
in the Auto position. If it does not run, turn switch to
Hand position and if pump runs then the trouble is in
the automatic electrical system. Have an electrician
make electrical checks.
4. Check for burned-out motor. Occasionally lightning
can damage a motor even with lightning protection.
5. Where plug-in cords are used be sure contact blades
are clean and make good contact. DO NOT USE
PLUG-IN CORDS INSIDE A SUMP OR WET WELL.
6. Level control ball or weight may be stuck on the side
of basin. Be sure it floats freely.
1. Check air lock. Start and stop pump several times;
if this does not help it may be necessary to loosen a
union in the discharge line to relieve air lock.
2. Check valve may be installed backward. Check flow
arrow on valve body. Check shut-off valve. It may
be closed.
3. Check vertical elevation. It may be higher than pump
can develop (see pump curve).
4. Pump inlet may be plugged. Remove pump to check.
CAUTION: ALWAYS UNPLUG POWER CORDS
OR TURN OFF ALL MAIN AND BRANCH CIRCUIT
BREAKERS BEFORE DOING ANY WORK ON
THE PUMP. If control panel is remote from pump,
disconnect lead wires to motor so that no one can
turn the circuit breaker back on. If motor is three
phase mark the leads so they can be replaced in the
same order.

1
2
3
4
6
7
8
9
10
11
12
13
14
17
18
16
15
5
6
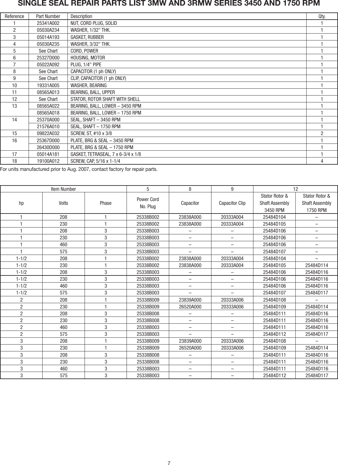
3MW AND 3RMW SINGLE SEAL PUMPS – MOTOR END PARTS

7
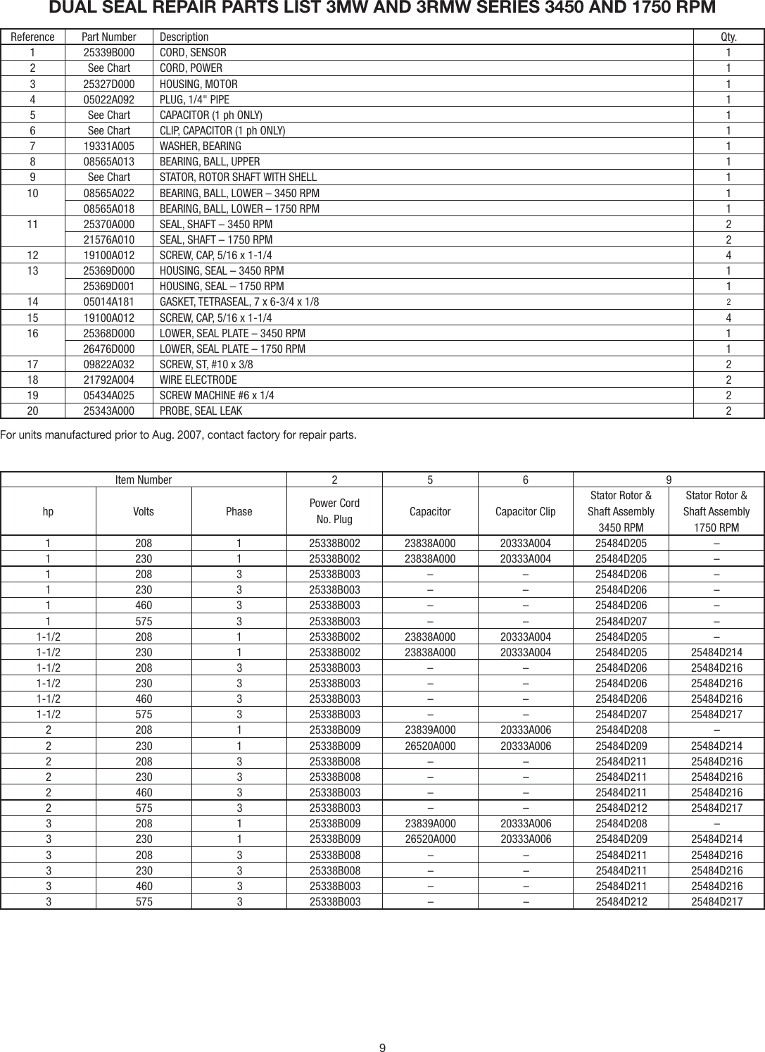
SINGLE SEAL REPAIR PARTS LIST 3MW AND 3RMW SERIES 3450 AND 1750 RPM
For units manufactured prior to Aug. 2007, contact factory for repair parts.
Reference Part Number Description Qty.
1 25341A002 NUT, CORD PLUG, SOLID 1
2 05030A234 WASHER, 1/32" THK. 1
3 05014A193 GASKET, RUBBER 1
4 05030A235 WASHER, 3/32" THK. 1
5 See Chart CORD, POWER 1
6 25327D000 HOUSING, MOTOR 1
7 05022A092 PLUG, 1/4" PIPE 1
8 See Chart CAPACITOR (1 ph ONLY) 1
9 See Chart CLIP, CAPACITOR (1 ph ONLY) 1
10 19331A005 WASHER, BEARING 1
11 08565A013 BEARING, BALL, UPPER 1
12 See Chart STATOR, ROTOR SHAFT WITH SHELL 1
13 08565A022 BEARING, BALL, LOWER – 3450 RPM 1
08565A018 BEARING, BALL, LOWER – 1750 RPM 1
14 25370A000 SEAL, SHAFT – 3450 RPM 1
21576A010 SEAL, SHAFT – 1750 RPM 1
15 09822A032 SCREW, ST, #10 x 3/8 2
16 25367D000 PLATE, BRG & SEAL – 3450 RPM 1
26430D000 PLATE, BRG & SEAL – 1750 RPM 1
17 05014A181 GASKET, TETRASEAL, 7 x 6-3/4 x 1/8 1
18 19100A012 SCREW, CAP, 5/16 x 1-1/4 4
Item Number 5 8 9 12
hp Volts Phase Power Cord
No. Plug Capacitor Capacitor Clip
Stator Rotor &
Shaft Assembly
3450 RPM
Stator Rotor &
Shaft Assembly
1750 RPM
1 208 1 25338B002 23838A000 20333A004 25484D104 –
1 230 1 25338B002 23838A000 20333A004 25484D105 –
1 208 3 25338B003 – – 25484D106 –
1 230 3 25338B003 – – 25484D106 –
1 460 3 25338B003 – – 25484D106 –
1 575 3 25338B003 – – 25484D107 –
1-1/2 208 1 25338B002 23838A000 20333A004 25484D104 –
1-1/2 230 1 25338B002 23838A000 20333A004 25484D105 25484D114
1-1/2 208 3 25338B003 – – 25484D106 25484D116
1-1/2 230 3 25338B003 – – 25484D106 25484D116
1-1/2 460 3 25338B003 – – 25484D106 25484D116
1-1/2 575 3 25338B003 – – 25484D107 25484D117
2 208 1 25338B009 23839A000 20333A006 25484D108 –
2 230 1 25338B009 26520A000 20333A006 25484D109 25484D114
2 208 3 25338B008 – – 25484D111 25484D116
2 230 3 25338B008 – – 25484D111 25484D116
2 460 3 25338B003 – – 25484D111 25484D116
2 575 3 25338B003 – – 25484D112 25484D117
3 208 1 25338B009 23839A000 20333A006 25484D108 –
3 230 1 25338B009 26520A000 20333A006 25484D109 25484D114
3 208 3 25338B008 – – 25484D111 25484D116
3 230 3 25338B008 – – 25484D111 25484D116
3 460 3 25338B003 – – 25484D111 25484D116
3 575 3 25338B003 – – 25484D112 25484D117

1
3
4
5
6
7
8
9
10
11
12
13
14
15
16
4
14
20
19
18
17
2
8
3MW AND 3RMW DUAL SEAL PUMPS – MOTOR END PARTS

9
DUAL SEAL REPAIR PARTS LIST 3MW AND 3RMW SERIES 3450 AND 1750 RPM
For units manufactured prior to Aug. 2007, contact factory for repair parts.
Reference Part Number Description Qty.
1 25339B000 CORD, SENSOR 1
2 See Chart CORD, POWER 1
3 25327D000 HOUSING, MOTOR 1
4 05022A092 PLUG, 1/4" PIPE 1
5 See Chart CAPACITOR (1 ph ONLY) 1
6 See Chart CLIP, CAPACITOR (1 ph ONLY) 1
7 19331A005 WASHER, BEARING 1
8 08565A013 BEARING, BALL, UPPER 1
9 See Chart STATOR, ROTOR SHAFT WITH SHELL 1
10 08565A022 BEARING, BALL, LOWER – 3450 RPM 1
08565A018 BEARING, BALL, LOWER – 1750 RPM 1
11 25370A000 SEAL, SHAFT – 3450 RPM 2
21576A010 SEAL, SHAFT – 1750 RPM 2
12 19100A012 SCREW, CAP, 5/16 x 1-1/4 4
13 25369D000 HOUSING, SEAL – 3450 RPM 1
25369D001 HOUSING, SEAL – 1750 RPM 1
14 05014A181 GASKET, TETRASEAL, 7 x 6-3/4 x 1/8 2
15 19100A012 SCREW, CAP, 5/16 x 1-1/4 4
16 25368D000 LOWER, SEAL PLATE – 3450 RPM 1
26476D000 LOWER, SEAL PLATE – 1750 RPM 1
17 09822A032 SCREW, ST, #10 x 3/8 2
18 21792A004 WIRE ELECTRODE 2
19 05434A025 SCREW MACHINE #6 x 1/4 2
20 25343A000 PROBE, SEAL LEAK 2
Item Number 2 5 6 9
hp Volts Phase Power Cord
No. Plug Capacitor Capacitor Clip
Stator Rotor &
Shaft Assembly
3450 RPM
Stator Rotor &
Shaft Assembly
1750 RPM
1 208 1 25338B002 23838A000 20333A004 25484D205 –
1 230 1 25338B002 23838A000 20333A004 25484D205 –
1 208 3 25338B003 – – 25484D206 –
1 230 3 25338B003 – – 25484D206 –
1 460 3 25338B003 – – 25484D206 –
1 575 3 25338B003 – – 25484D207 –
1-1/2 208 1 25338B002 23838A000 20333A004 25484D205 –
1-1/2 230 1 25338B002 23838A000 20333A004 25484D205 25484D214
1-1/2 208 3 25338B003 – – 25484D206 25484D216
1-1/2 230 3 25338B003 – – 25484D206 25484D216
1-1/2 460 3 25338B003 – – 25484D206 25484D216
1-1/2 575 3 25338B003 – – 25484D207 25484D217
2 208 1 25338B009 23839A000 20333A006 25484D208 –
2 230 1 25338B009 26520A000 20333A006 25484D209 25484D214
2 208 3 25338B008 – – 25484D211 25484D216
2 230 3 25338B008 – – 25484D211 25484D216
2 460 3 25338B003 – – 25484D211 25484D216
2 575 3 25338B003 – – 25484D212 25484D217
3 208 1 25338B009 23839A000 20333A006 25484D208 –
3 230 1 25338B009 26520A000 20333A006 25484D209 25484D214
3 208 3 25338B008 – – 25484D211 25484D216
3 230 3 25338B008 – – 25484D211 25484D216
3 460 3 25338B003 – – 25484D211 25484D216
3 575 3 25338B003 – – 25484D212 25484D217

10
3MW AND 3RMW SERIES – 1750 AND 3450 RPM WET END REPAIR PARTS LIST
3MW
1750 RPM
23
22
21
24
25
3MW
3450 RPM
23
22
21
24
25
3RMW
1750 RPM
3RMW
3450 RPM
22
23
21
25
22
23
21
25

11
3MW AND 3RMW SERIES – 1750 AND 3450 RPM WET END REPAIR PARTS LIST
Reference Part Number Description Qty.
21 See Chart IMPELLER, 3MW 1750, – 3450 RPM 1
See Chart IMPELLER, 3RMW 1750, – 3450 RPM 1
22 05030A262 WASHER, IMPELLER RETAINER – 3450 RPM 1
22585A000 WASHER, IMPELLER RETAINER – 1750 RPM 1
23 06106A042 SCREW, MACHINE #10 x 3/8 – 3450 RPM 1
07597A036 SCREW, MACHINE 5/16 x 1 – 1750 RPM 1
24 22835A009 CUP, U, HUVA – 3450 RPM 1
22835A010 CUP, U, HUVA – 1750 RPM 1
25 26437D000 CASE, VOLUTE 3MW – 1750 RPM 1
26423D000 CASE, VOLUTE 3MW – 3450 RPM 1
27701D000 CASE, VOLUTE 3RMW – 3450 RPM 1
27703D000 CASE, VOLUTE 3RMW – 1750 RPM 1
Item Number 21
hp Volts Phase 3MW Impeller
2 Pole
3MW Impeller
4 Pole
3RMW Impeller
2 Pole
3RMW Impeller
4 Pole
1 208 1 26029B012 – – –
1 230 1 26029B012 – – –
1 208 3 26029B012 – – –
1 230 3 26029B012 – – –
1 460 3 26029B012 – – –
1 575 3 26029B012 – – –
1-1/2 208 1 26029B011 26438C523 27702B002 27704B002
1-1/2 230 1 26029B011 26438C523 27702B002 27704B002
1-1/2 208 3 26029B011 26438C523 27702B002 27704B002
1-1/2 230 3 26029B011 26438C523 27702B002 27704B002
1-1/2 460 3 26029B011 26438C523 27702B002 27704B002
1-1/2 575 3 26029B011 26438C523 27702B002 27704B002
2 208 1 26029B000 26438C526 27702B001 27704B001
2 230 1 26029B000 26438C526 27702B001 27704B001
2 208 3 26029B000 26438C526 27702B001 27704B001
2 230 3 26029B000 26438C526 27702B001 27704B001
2 460 3 26029B000 26438C526 27702B001 27704B001
2 575 3 26029B000 26438C526 27702B001 27704B001
3 208 1 26029B004 26438C531 27702B000 27704B000
3 230 1 26029B004 26438C531 27702B000 27704B000
3 208 3 26029B004 26438C531 27702B000 27704B000
3 230 3 26029B004 26438C531 27702B000 27704B000
3 460 3 26029B004 26438C531 27702B000 27704B000
3 575 3 26029B004 26438C531 27702B000 27704B000
For units manufactured prior to Aug. 2007, contact factory for repair parts.

1101 MYERS PARKWAY 490 PINEBUSH ROAD, UNIT #4
ASHLAND, OHIO, USA 44805 CAMBRIDGE, ONTARIO, CANADA N1T 0A5
419-289-1144 800-363-PUMP
WWW.FEMYERS.COM
Warranty Rev. 12/13
STANDARD LIMITED WARRANTY
Pentair Myers® warrants its products against defects in material and workmanship for a period of 12 months from the
date of shipment from Pentair Myers or 18 months from the manufacturing date, whichever occurs first – provided
that such products are used in compliance with the requirements of the Pentair Myers catalog and technical manuals
for use in pumping raw sewage, municipal wastewater or similar, abrasive-free, noncorrosive liquids.
During the warranty period and subject to the conditions set forth, Pentair Myers, at its discretion, will repair or
replace to the original user, the parts that prove defective in materials and workmanship. Pentair Myers reserves the
right to change or improve its products or any portions thereof without being obligated to provide such a change or
improvement for prior sold and/or shipped units.
Start-up reports and electrical schematics may be required to support warranty claims. Submit at the time of start-
up through the Pentair Myers website: http://forms.pentairliterature.com/startupform/startupform.asp?type=m.
Warranty is effective only if Pentair Myers authorized control panels are used. All seal fail and heat sensing devices
must be hooked up, functional and monitored or this warranty will be void. Pentair Myers will cover only the lower
seal and labor thereof for all dual seal pumps. Under no circumstance will Pentair Myers be responsible for the cost
of field labor, travel expenses, rented equipment, removal/reinstallation costs or freight expenses to and from the
factory or an authorized Pentair Myers service facility.
This limited warranty will not apply: (a) to defects or malfunctions resulting from failure to properly install, operate or
maintain the unit in accordance with the printed instructions provided; (b) to failures resulting from abuse, accident
or negligence; (c) to normal maintenance services and parts used in connection with such service; (d) to units that
are not installed in accordance with applicable local codes, ordinances and good trade practices; (e) if the unit is
moved from its original installation location; (f) if unit is used for purposes other than for what it is designed and
manufactured; (g) to any unit that has been repaired or altered by anyone other than Pentair Myers or an authorized
Pentair Myers service provider; (h) to any unit that has been repaired using non factory specified/OEM parts.
Warranty Exclusions: PENTAIR MYERS MAKES NO EXPRESS OR IMPLIED WARRANTIES THAT EXTEND BEYOND
THE DESCRIPTION ON THE FACE HEREOF. PENTAIR MYERS SPECIFICALLY DISCLAIMS THE IMPLIED WARRANTIES
OF MERCHANTABILITY AND FITNESS FOR ANY PARTICULAR PURPOSE.
Liability Limitation: IN NO EVENT SHALL PENTAIR MYERS BE LIABLE OR RESPONSIBLE FOR CONSEQUENTIAL,
INCIDENTAL OR SPECIAL DAMAGES RESULTING FROM OR RELATED IN ANY MANNER TO ANY PENTAIR MYERS
PRODUCT OR PARTS THEREOF. PERSONAL INJURY AND/OR PROPERTY DAMAGE MAY RESULT FROM IMPROPER
INSTALLATION. PENTAIR MYERS DISCLAIMS ALL LIABILITY, INCLUDING LIABILITY UNDER THIS WARRANTY, FOR
IMPROPER INSTALLATION. PENTAIR MYERS RECOMMENDS INSTALLATION BY PROFESSIONALS.
Some states do not permit some or all of the above warranty limitations or the exclusion or limitation of incidental or
consequential damages and therefore such limitations may not apply to you. No warranties or representations at any
time made by any representatives of Pentair Myers shall vary or expand the provision hereof.