CP 302E PL 71922 1 B&G Parts List
: Pump 71922 1 B&G Parts List 71922_1_B&G Parts List pdf
Open the PDF directly: View PDF
.
Page Count: 12

Replacement Parts for
Series 1522
Uni-Built®
Centrifugal Pumps
SERIES 1522
Bell & Gossett®
Parts List CP-302F-PL

PARTS LIST CP-302F-PL (CONTINUED) SERIES 1522 CENTRIFUGAL PUMPS
2
PARTS LIST CP-302F-PL (CONTINUED) SERIES 1522 CENTRIFUGAL PUMPS

3
PARTS LIST CP-302F-PL (CONTINUED) SERIES 1522 CENTRIFUGAL PUMPSPARTS LIST CP-302F-PL (CONTINUED) SERIES 1522 CENTRIFUGAL PUMPS

4
PARTS LIST CP-302F-PL (CONTINUED) SERIES 1522 CENTRIFUGAL PUMPSPARTS LIST CP-302F-PL (CONTINUED) SERIES 1522 CENTRIFUGAL PUMPS

5
PARTS LIST CP-302F-PL (CONTINUED) SERIES 1522 CENTRIFUGAL PUMPS
PARTS LIST CP-302F-PL (CONTINUED) SERIES 1522 CENTRIFUGAL PUMPS

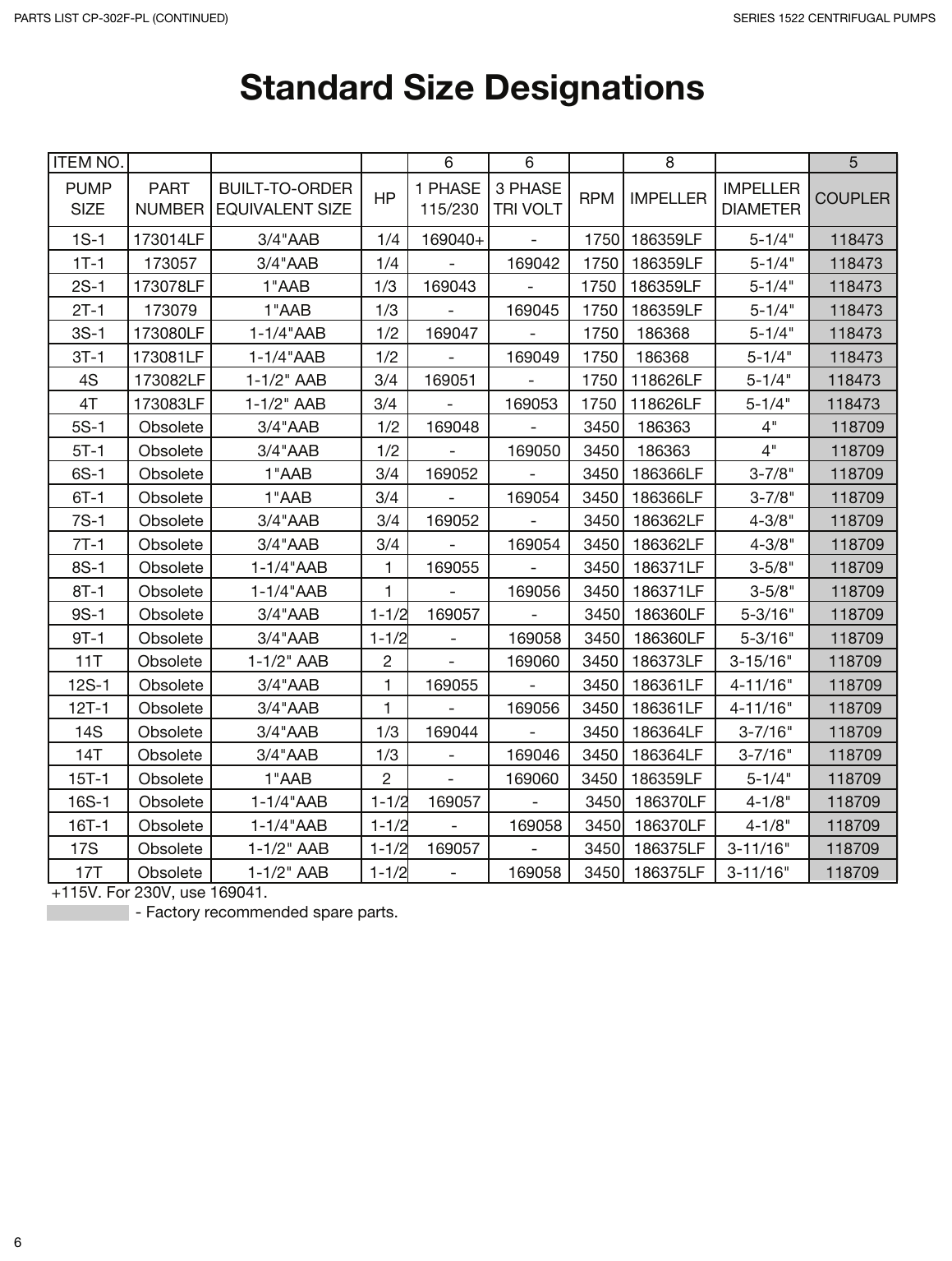
6
PARTS LIST CP-302F-PL (CONTINUED) SERIES 1522 CENTRIFUGAL PUMPS
5866.ON METI
1S-1 173014LF 3/4"AAB 1/4169040+ - 1750 186359LF 5-1/4" 118473
1T-1 173057 3/4"AAB 1/4-1690421750 186359LF 5-1/4" 118473
2S-1 173078LF 1"AAB 1/3169043 - 1750 186359LF 5-1/4" 118473
2T-1 173079 1"AAB 1/3-1690451750 186359LF 5-1/4" 118473
3S-1 173080LF 1-1/4"AAB 1/2169047 - 1750 186368 5-1/4" 118473
3T-1 173081LF 1-1/4"AAB 1/2-1690491750 186368 5-1/4" 118473
4S 173082LF 1-1/2" AAB 3/4169051-1750 118626LF 5-1/4" 118473
4T 173083LF 1-1/2" AAB 3/4-1690531750 118626LF 5-1/4" 118473
5S-1 Obsolete 3/4"AAB 1/2169048 - 3450 186363 4" 118709
5T-1 Obsolete3/4"AAB 1/2-1690503450 186363 4" 118709
6S-1 Obsolete1"AAB 3/4169052 - 3450 186366LF 3-7/8" 118709
6T-1 Obsolete1"AAB 3/4-1690543450 186366LF 3-7/8" 118709
7S-1 Obsolete3/4"AAB 3/4169052 - 3450 186362LF 4-3/8" 118709
7T-1 Obsolete3/4"AAB 3/4-1690543450 186362LF 4-3/8" 118709
8S-1 Obsolete1-1/4"AAB 1169055 -3450 186371LF 3-5/8" 118709
8T-1 Obsolete1-1/4"AAB 1 - 1690563450 186371LF 3-5/8" 118709
9S-1 Obsolete 3/4"AAB1-1/2169057-3450 186360LF 5-3/16" 118709
9T-1 Obsolete3/4"AAB1-1/2-1690583450 186360LF 5-3/16" 118709
11T Obsolete 1-1/2" AAB 2 - 169060 3450 186373LF 3-15/16" 118709
12S-1 Obsolete3/4"AAB 1169055-3450 186361LF 4-11/16" 118709
12T-1 Obsolete 3/4"AAB1-1690563450 186361LF 4-11/16" 118709
14S Obsolete3/4"AAB 1/3169044-3450 186364LF 3-7/16" 118709
14T Obsolete3/4"AAB 1/3-1690463450 186364LF 3-7/16" 118709
15T-1 Obsolete1"AAB 2-1690603450 186359LF 5-1/4" 118709
16S-1 Obsolete1-1/4"AAB1-1/2169057 -3450 186370LF 4-1/8" 118709
16T-1 Obsolete 1-1/4"AAB1-1/2- 1690583450 186370LF 4-1/8" 118709
17S Obsolete 1-1/2" AAB 1-1/2169057 - 3450 186375LF 3-11/16" 118709
17T Obsolete 1-1/2" AAB 1-1/2 - 169058 3450 186375LF 3-11/16" 118709
+115V. For 230V, use 169041.
- Factory recommended spare parts.
IMPELLER
DIAMETER COUPLER
Standard Size Designations
PUMP
SIZE
BUILT-TO-ORDER
EQUIVALENT SIZE
1 PHASE
115/230
3 PHASE
TRI VOLT RPM IMPELLER HP
PART
NUMBER

7
PARTS LIST CP-302F-PL (CONTINUED) SERIES 1522 CENTRIFUGAL PUMPS
4
70681A/N4706813LF336814706811
10 Volute Drain Plug (4) P39020 P39470 P39020 P39030 P39020
7 Volute Capscrew (8)P10620P01850 P10620 P00660 P10620
8 Impeller (State Diameter)P56550P56550 P60350†N/A P56550
4 Bearing Assembly ** 186863LF 186863LF 186865 N/A P10316***
15 Bearing BracketP77179P77179 P77179 P77198 P77179
12 Front Bearing P77216 P77216 P77215 P77217 P77216
13 Front Bearing GasketP80816P80816 P80816 P80816 P80816
5LF30981A/N06918P5LF309815LF3098141
0LF325815786811LF866811LF868111LF8681111
2 Body GasketP57410P57410 P57410 P57410 P57410
Impeller KeyP04940P04940 P04940 P04945 P04940
9 Impeller Nut P2000236 P2000236 P04670 P00651 P2000236
3 Impeller WasherP57000P57000 P04650 P04660 P57000
17 Oil Well CoverP81239P81239 P81239 P81239 P81239
59381159381159381159381159381161
Flat Head Capscrew (4) NONE NONE NONE P51190 NONE
NONE NONE NONE P09421 NONE
***Does not include the Body Gasket, Impeller Nut or Impeller Washer.
1/2" B&G 1/2" 118473 P77234
1/2" B&G 5/8" 118709 118635
1/2" 56 5/8" 118709 118635
1/4169040+NONE 169042 NONE 118228
1/3169043169044169045 169046 118228
1/2169047169048169049 169050 118228
3/4169051169052169053 169054 118228
1 NONE169055NONE 169056 NONE
1-1/2 NONE169057NONE 169058 NONE
2 NONE N/A NONE 169060 NONE
- Factory recommended spare parts.
+115V. For 230V, use 169041.
*For replacement parts purposes only. 1522 pumps no longer available in stainless steel option.
DESCRIPTION
ITEM
NO.
BRONZE
FITTED
A
LL
BRONZE
**Consult factory if parts are needed for the 118478, 118479 or 118480 bearing assembly.
N/A - No Longer Available
Consisting of:
Oil Wick
3/4AAB
†Steel Impeller
Volute
Shaft
Seal
ALL IRON SS*BFE
Coverplate
POWER PACKS ITEM NO. 6
PUMP SHAFT
SIZE FRAME SIZE
MOTOR
SHAFT
SIZE
STANDARD
COUPLER
5
▼For replacement purposes only. 1522 pumps no longer available with 3450 RPM motors.
N/A - No Longer Available
EXPLOSION
PROOF
COUPLER
COUPLERS
HP
1 PHASE
1750 RPM
1 PHASE
3450 RPM▼
3 PHASE
1750 RPM
3 PHASE
3450 RPM▼
RING
MOUNTS

8
PARTS LIST CP-302F-PL (CONTINUED) SERIES 1522 CENTRIFUGAL PUMPS
570681A/N570681P20000165706811
10 Volute Drain Plug (4) P39020 P39470 P39020 P39030 P39020
7 Volute Capscrew (8)P10620P01850 P10620 P00660 P10620
8 Impeller (State Diameter)P56550P56550 P60350†N/A P56550
4 Bearing Assembly ** 186863LF 186863LF 186865 N/A P10316***
15 Bearing BracketP77179P77179 P77179 P77198 P77179
12 Front Bearing P77216 P77216 P77215 P77217 P77216
13 Front Bearing GasketP80816P80816 P80816 P80816 P80816
5LF30981A/N06918P5LF309815LF3098141
0LF325815786811LF866811LF868111LF8681111
2 Body GasketP57410P57410 P57410 P57410 P57410
Impeller KeyP04940P04940 P04940 P04945 P04940
3 Impeller WasherP57000P57000 P04650 P04660 P57000
17 Oil Well CoverP81239P81239 P81239 P81239 P81239
59381159381159381159381159381161
Flat Head Capscrew (4) NONE NONE NONE P51190 NONE
NONE NONE NONE P09421 NONE
*For replacement parts purposes only. 1522 pumps no longer available in stainless steel option.
***Does not include the Body Gasket, Impeller Nut or Impeller Washer.
1/2" B&G 1/2" 118473 P77234
1/2" B&G 5/8" 118709 118635
1/2" 56 5/8" 118709 118635
1/4169040+NONE 169042 NONE 118228
1/3169043169044169045 169046 118228
1/2169047169048169049 169050 118228
3/4169051169052169053 169054 118228
1 NONE169055NONE 169056 NONE
1-1/2 NONE169057NONE 169058 NONE
2 NONE N/A NONE 169060 NONE
- Factory recommended spare parts.
+115V. For 230V, use 169041.
▼For replacement purposes only. 1522 pumps no longer available with 3450 RPM motors.
N/A - No Longer Available
EXPLOSION
PROOF
COUPLER
POWER PACKS ITEM NO. 6
HP
1 PHASE
1750 RPM
1 PHASE
3450 RPM▼
3 PHASE
1750 RPM
3 PHASE
3450 RPM▼
RING
MOUNTS
PUMP SHAFT
SIZE FRAME SIZE
MOTOR
SHAFT
SIZE
STANDARD
COUPLER
5
**Consult factory if parts are needed for the 118478, 118479 or 118480 bearing assembly.
N/A - No Longer Available
COUPLERS
Seal
Oil Wick
Coverplate
†Steel Impeller
Volute
Consisting of:
Shaft
1AAB
ITEM
NO. DESCRIPTION
BRONZE
FITTED
A
LL
BRONZE ALL IRON SS*BFE
9 Impeller Nut P2000236 P2000236 P04670 P00651 P2000236

9
PARTS LIST CP-302F-PL (CONTINUED) SERIES 1522 CENTRIFUGAL PUMPS
180681A/N180681P20000181806811
10 Volute Drain Plug (4) P39020 P39470 P39020 P39030 P39020
7 Volute Capscrew (8)P10620P01850 P10620 P00660 P10620
8 Impeller (State Diameter)P56740P56740 P61010†N/A P56740
4 Bearing Assembly ** 186863LF 186863LF 186865 N/A P10316***
15 Bearing BracketP77179P77179 P77179 P77198 P77179
12 Front Bearing P77216 P77216 P77215 P77217 P77216
13 Front Bearing GasketP80816P80816 P80816 P80816 P80816
530981A/N06918P53098153098141
0325815786811LF866811LF868111LF8681111
2 Body GasketP57410P57410 P57410 P57410 P57410
Impeller KeyP04940P04940 P04940 P04945 P04940
9 Impeller Nut P2000236 P2000236 P04670 P00651 P2000236
3 Impeller WasherP57000P57000 P04650 P04660 P57000
17 Oil Well CoverP81239P81239 P81239 P81239 P81239
59381159381159381159381159381161
Flat Head Capscrew (4) NONE NONE NONE P51190 NONE
NONE NONE NONE P09421 NONE
*For replacement parts purposes only. 1522 pumps no longer available in stainless steel option.
***Does not include the Body Gasket, Impeller Nut or Impeller Washer.
1/2" B&G 1/2" 118473 P77234
1/2" B&G 5/8" 118709 118635
1/2" 56 5/8" 118709 118635
1/4169040+NONE 169042 NONE 118228
1/3169043169044169045 169046 118228
1/2169047169048169049 169050 118228
3/4169051169052169053 169054 118228
1 NONE169055NONE 169056 NONE
1-1/2 NONE169057NONE 169058 NONE
2 NONE N/A NONE 169060 NONE
- Factory recommended spare parts.
+115V. For 230V, use 169041.
▼For replacement purposes only. 1522 pumps no longer available with 3450 RPM motors.
N/A - No Longer Available
POWER PACKS ITEM NO. 6
HP
1 PHASE
1750 RPM
1 PHASE
3450 RPM▼
3 PHASE
1750 RPM
3 PHASE
3450 RPM▼
RING
MOUNTS
**Consult factory if parts are needed for the 118478, 118479 or 118480 bearing assembly.
N/A - No Longer Available
COUPLERS
PUMP SHAFT
SIZE FRAME SIZE
MOTOR
SHAFT
SIZE
STANDARD
COUPLER
5
EXPLOSION
PROOF
COUPLER
Seal
Oil Wick
Coverplate
†Steel Impeller
Volute
Consisting of:
Shaft
1-1/4AAB
ITEM
NO. DESCRIPTION
BRONZE
FITTED
A
LL
BRONZE ALL IRON SS*BFE

10
PARTS LIST CP-302F-PL (CONTINUED) SERIES 1522 CENTRIFUGAL PUMPS
7
80681A/N7806814336817806811
10 Volute Drain Plug (4) P39020 P39470 P39020 P39030 P39020
7 Volute Capscrew (8)P10620P01850 P10620 P00660 P10620
8 Impeller (State Diameter)P56810P56810 P61550†N/A P56810
4 Bearing Assembly ** 186863LF 186863LF 186865 N/A P10316***
15 Bearing BracketP77179P77179 P77179 P77198 P77179
12 Front BearingP77216P77216 P77215 P77217 P77216
13 Front Bearing GasketP80816P80816 P80816 P80816 P80816
530981A/N06918P53098153098141
0325815786811LF866811LF868111LF8681111
2 Body GasketP57410P57410 P57410 P57410 P57410
Impeller KeyP04940P04940 P04940 P04945 P04940
9 Impeller NutP2000236P2000236 P04670 P00651 P2000236
3 Impeller WasherP57000P57000 P04650 P04660 P57000
17 Oil Well CoverP81239P81239 P81239 P81239 P81239
59381159381159381159381159381161
Flat Head Capscrew (4) NONE NONE NONE P51190 NONE
NONE NONE NONE P09421 NONE
*For replacement parts purposes only. 1522 pumps no longer available in stainless steel option.
***Does not include the Body Gasket, Impeller Nut or Impeller Washer.
1/2" B&G 1/2" 118473 P77234
1/2" B&G 5/8" 118709 118635
1/2" 56 5/8" 118709 118635
1/4169040+NONE 169042 NONE 118228
1/3169043169044169045 169046 118228
1/2169047169048169049 169050 118228
3/4169051169052169053 169054 118228
1 NONE169055NONE 169056 NONE
1-1/2 NONE169057NONE 169058 NONE
2 NONE N/A NONE 169060 NONE
- Factory recommended spare parts.
+115V. For 230V, use 169041.
▼For replacement purposes only. 1522 pumps no longer available with 3450 RPM motors.
N/A - No Longer Available
POWER PACKS ITEM NO. 6
HP
1 PHASE
1750 RPM
1 PHASE
3450 RPM▼
3 PHASE
1750 RPM
3 PHASE
3450 RPM▼
RING
MOUNTS
**Consult factory if parts are needed for the 118478, 118479 or 118480 bearing assembly.
N/A - No Longer Available
COUPLERS
PUMP SHAFT
SIZE FRAME SIZE
MOTOR
SHAFT
SIZE
STANDARD
COUPLER
5
EXPLOSION
PROOF
COUPLER
Seal
Oil Wick
Coverplate
†Steel Impeller
Volute
Consisting of:
Shaft
1-1/2AAB
ITEM
NO. DESCRIPTION
BRONZE
FITTED
A
LL
BRONZE ALL IRON SS*BFE

11

FOR MORE INFORMATION, CONSULT YOUR LOCAL
ITT BELL & GOSSETT REPRESENTATIVE
ITT
8200 N. Austin Avenue
Morton Grove, IL 60053
Phone: (847) 966-3700
Fax: (847) 966-9052
www.bellgossett.com
© Copyright 2010 ITT Corporation
Printed in U.S.A. 5-10
THE ITT ENGINEERED BLOCKS SYMBOL AND
ENGINEERED FOR LIFE ARE REGISTERED
TRADEMARKS OF ITT MANUFACTURING
ENTERPRISES, INC.