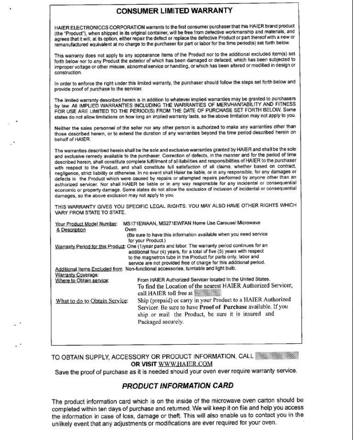
Qingdao Haier Microwave Production FGTHR700 Microwave Oven User Manual users manual
Qingdao Haier Microwave Production Co., Ltd. Microwave Oven users manual
UserManual.wiki
>
Qingdao Haier Microwave Production
>
FGTHR700 User Manual HTML Version
users manual
Navigation menu
Upload a User Manual
Namespaces
Wiki Guide
HTML
PDF
Info
Views
User Manual
Discussion / Help
Navigation