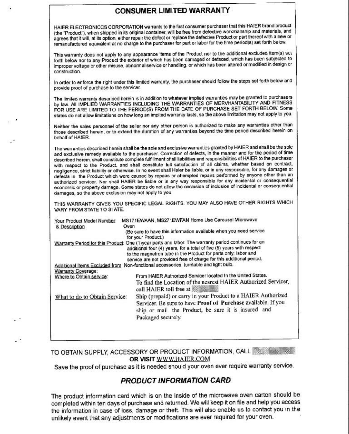
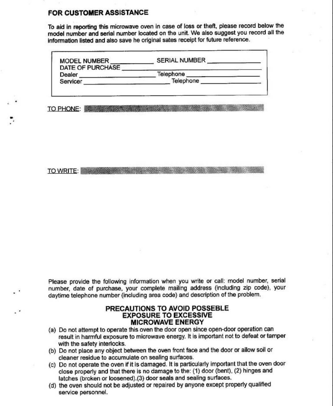
Qingdao Haier Microwave Production XZHM091000W Microwave Oven User Manual
Qingdao Haier Microwave Production Co., Ltd. Microwave Oven
UserManual.wiki
>
Qingdao Haier Microwave Production
>
XZHM091000W User Manual HTML Version
User Manual
Navigation menu
Upload a User Manual
Namespaces
Wiki Guide
HTML
PDF
Info
Views
User Manual
Discussion / Help
Navigation