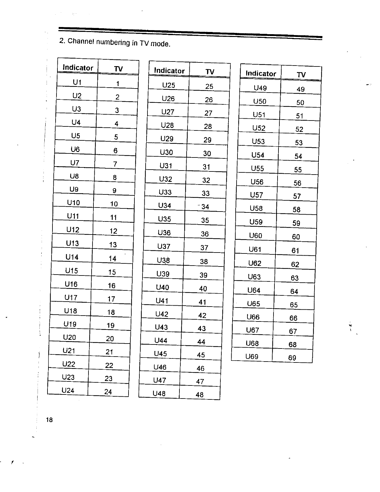
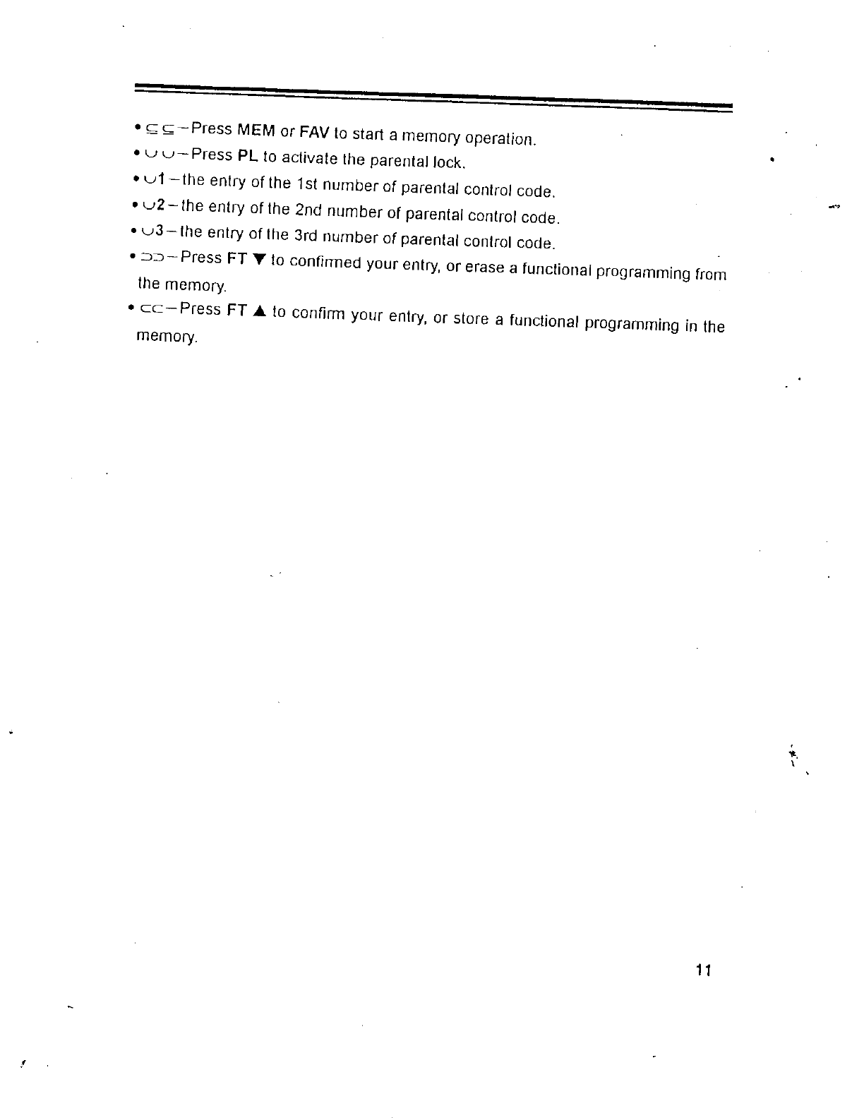
Radio Shack 1501981 Cable Converter Box User Manual 8
RadioShack Corporation Cable Converter Box 8
UserManual.wiki
>
Radio Shack
>
1501981 User Manual HTML Version
8
Navigation menu
Upload a User Manual
Namespaces
Wiki Guide
HTML
PDF
Info
Views
User Manual
Discussion / Help
Navigation