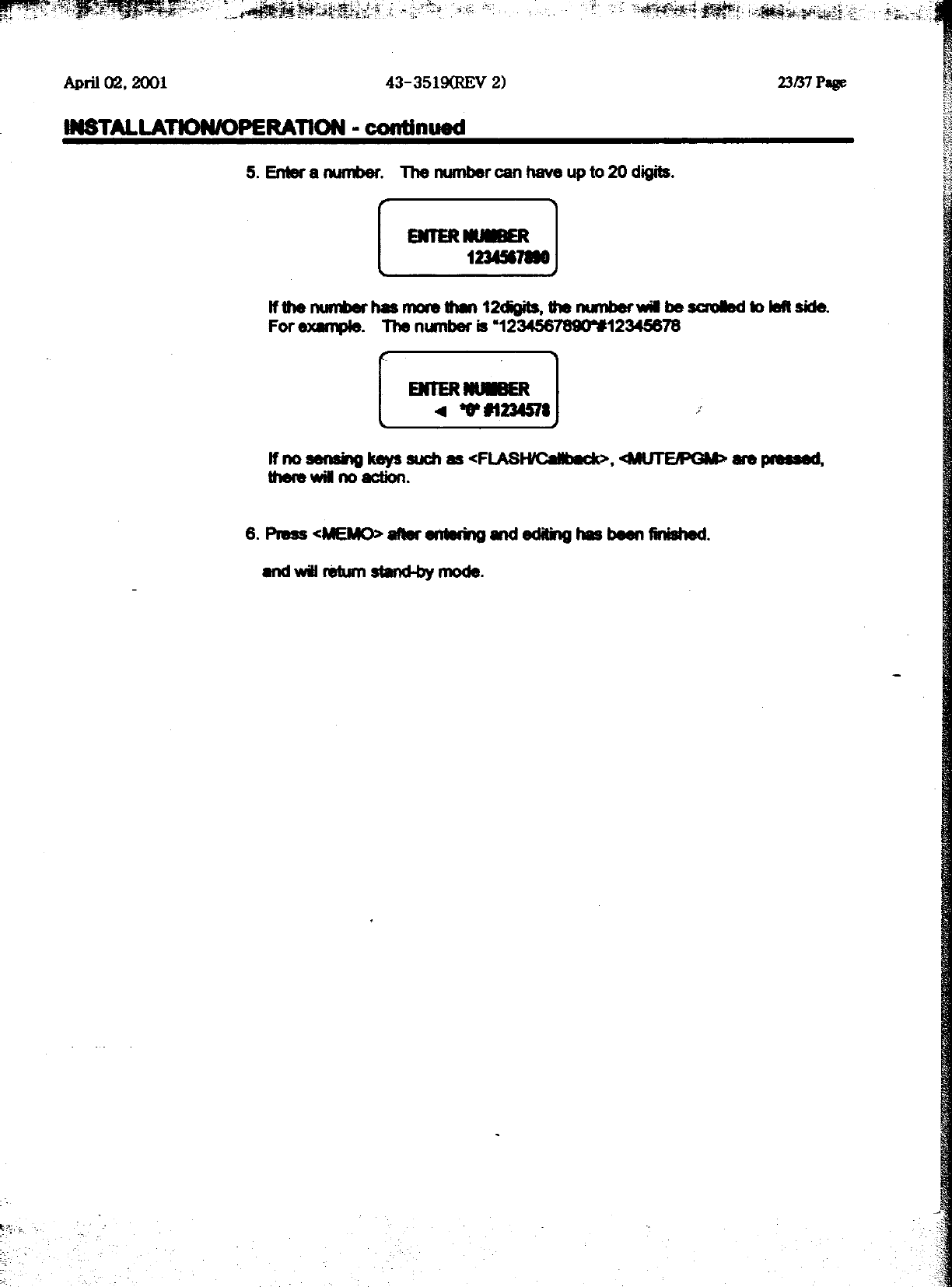
Radio Shack 4303519 2.4 GHz Direct Sequence SS Cordless Phone User Manual Part 2
RadioShack Corporation 2.4 GHz Direct Sequence SS Cordless Phone Users Manual Part 2
Contents
- 1. Users Manual Part 1
- 2. Users Manual Part 2
Users Manual Part 2

















FCC REQUIREMENTS
This equipment complies with Part 68 of the FCC Rules. On the bottom or back of this equipment is a label that
contains, among other information, the FCC Registration Number and Ringer Equivalence Number (REN) for this
equipment. Upon request, you must provide this information to your telephone company.
The USOC number of the registration jack for the equipment is RJ11C.
A FCC compliant telephone cord and modular plug is provided with this equipment. This equipment is designed to be
connected to the telephone network or promises wiring using a compatible modular jack which is Part 68 compliant.
See Installation Instructions for details.
The REN is useful to determine the quantity of devices you may connect to your telephone line and still have all of
those devices ring when your telephone number is called. In most, but not all areas, the sum of the RENs of all
devices connected to one line should not exceed five (5).
If your telephone equipment causes harm to the telephone network, the telephone company may discontinue your
service temporarily. If possible, they will notify you in advance. If advanced notice isn’t practical, you will be notified
as soon as possible. You will be informed of your right to file a complaint with the FCC.
Your telephone company may make changes in its facilities, equipment, operations or procedures that could affect
the proper functioning of your equipment. If they do, you will be notified in advance to give you an opportunity to
maintain uninterrupted telephone service.
If you experience trouble with this telephone equipment, disconnected this equipment from the network until you are
sure the equipment is not malfunctioning
This equipment may not be used on coin service provided by the telephone company.
Connection to party lines is subject to state tariffs.
This equipment if it uses a telephone handset is hearing aid compatible
Please follow instructions for repairing if any (e.g. battery replacement section), otherwise do not alternate or repair
any parts of device except specified.
WARNING : Changes or modifications to this unit not expressly approved by the party responsible for compliance
could void the user’s authority to operate the equipment.
NOTE : This equipment has been tested and found to comply with the limits for a Class B digital device, pursuant to
Part 15 of the FCC Rules. These limits are designed to provide reasonable protection against harmful interference in
a residential installation. This equipment generates, uses and can radiate radio frequency energy and, if not installed
and used in accordance with the instructions, may cause harmful interference to radio communications.
However there is no guarantee that interference will not occur in a particular installation. If this equipment does cause
harmful interference to radio or television reception which can be determined by turning the equipment off and on, the
user in encouraged to try to correct the interference by one or more of the following measures.
Reorient or relocate the receiving antenna.
Increase the separation between the equipment and receiver.
Connect the equipment in to an outlet on a circuit different from that to which the receiver is needed.
Consult the dealer or experienced radio/TV technical for help.

FCC REQUIREMENTS - continued
RF SAFETY INFORMATION
Important : To maintain compliance with the FCC’s exposure guidelines, please read the following specific operating
instruction.
Base
The antenna(s) used for this transmitter must be installed to provide a separation distance of at least 20 cm from all
persons and must not be co-located or operating in conjunction with any other antenna or transmitter.
Handset
This device and its antenna(s) must not be co-located or operating in conjunction with any other antenna or
transmitter.
This device complies with Part 15 of the FCC Rules. Operation is subject to the following two conditions:
(1) this device may not cause harmful interference, and (2) this device must accept any interference received,
including interference that may cause undesired operation. Privacy of communications may not be ensured when
using this phone.
