Robert Bosch LCN2K70A00 LCN2K70A00 User Manual 1485166 2014 l2k nav

Robert Bosch Car Multimedia GmbH LCN2K70A00 1485166 2014 l2k nav

Contents

User Manual

JOBNAME: 1485166-2014-l2k-nav PAGE: 1 SESS: 4 OUTPUT: Tue Jun 11 14:46:07 2013Table ofContentsIntroductionGetting startedMap settingsNavigationOther settingsGeneral system informationTroubleshooting guideIndex12345678ZREVIEW COPY—2014 Low Cost Navi 2 Kai (l2k)Navigation System OM—USA_English (nna)06/11/13—tbrooksX
JOBNAME: 1485166-2014-l2k-nav PAGE: 2 SESS: 4 OUTPUT: Tue Jun 11 14:46:07 2013ZREVIEW COPY—2014 Low Cost Navi 2 Kai (l2k)Navigation System OM—USA_English (nna)06/11/13—tbrooksX
JOBNAME: 1485166-2014-l2k-nav PAGE: 3 SESS: 4 OUTPUT: Tue Jun 11 14:46:07 20131 IntroductionHowtousethismanual ............................1-2Forsafeoperation..............................1-2Referencesymbols.............................1-2Safetyinformation.................................1-2Laserproduct.....................................1-4ZREVIEW COPY—2014 Low Cost Navi 2 Kai (l2k)Navigation System OM—USA_English (nna)06/11/13—tbrooksX
JOBNAME: 1485166-2014-l2k-nav PAGE: 4 SESS: 4 OUTPUT: Tue Jun 11 14:46:07 2013This manual uses special words, symbols andicons that are organized by function.Please refer to the following items to understandhow to use this manual properly.FOR SAFE OPERATIONmWARNINGIndicates the presence of a hazard thatcould cause death or serious personalinjury. To avoid or reduce the risk, theprocedures must be followed precisely.CAUTIONIndicates the presence of a hazard thatcould cause minor or moderate per-sonal injury or damage to your vehicle.To avoid or reduce the risk, the proce-dures must be followed carefully.NOTE:Indicates items that help you understandand maximize the performance of yourvehicle. If ignored, they may lead to a mal-function or poor performance.REFERENCE SYMBOLSINFO:Indicates information that is necessary for effi-cient use of your vehicle or accessories.Reference page:Indicates the title and page that you should referto.NAV:This is an example of how a button on the controlpanel will be shown.“Route”:This is an example of a key/item displayed on thescreen.This system is primarily designed to help youreach your destination, and it also performs otherfunctions as outlined in this manual. However,you, the driver, must use the system safely andproperly. Information concerning roadconditions, traffic signs and the availability ofservices may not always be up-to-date. The sys-tem is not a substitute for safe, proper and legaldriving.Before using the navigation system, please readthe following safety information. Always use thesystem as outlined in this manual.mWARNING●To operate the navigation system,first park the vehicle in a safe loca-tion and set the parking brake. Oper-ating the system while driving candistract the driver and may result in aserious accident.●Do not rely on route guidance alone.Always be sure that all driving ma-neuvers are legal and safe in order toavoid accidents.●Do not disassemble or modify thissystem. If you do, it may result inaccidents, fire or electrical shock.HOW TO USE THIS MANUAL SAFETY INFORMATION1-2 IntroductionZREVIEW COPY—2014 Low Cost Navi 2 Kai (l2k)Navigation System OM—USA_English (nna)06/11/13—tbrooksX
JOBNAME: 1485166-2014-l2k-nav PAGE: 5 SESS: 4 OUTPUT: Tue Jun 11 14:46:07 2013●If you notice any foreign objects inthe system hardware, spill liquid onthe system or notice smoke or asmell coming from it, stop using thesystem immediately and contact aNISSAN dealer. Ignoring such condi-tions may lead to accidents, fire orelectrical shock.CAUTION●Do not use this system if you noticeany malfunctions such as a frozenscreen or the lack of sound. Contin-ued use of the system may result inaccidents, fire or electrical shock.●Some states/provinces may havelaws limiting the use of videoscreens while driving. Use this sys-tem only where it is legal to do so.●Extreme temperature conditions [be-low -4 °F (-20 °C) and above 158 °F(70 °C)] could affect the performanceof the system.NOTE:Do not keep the navigation system runningwith the engine stopped. Doing so maydischarge the vehicle battery. When youuse the navigation system, always keepthe engine running.Introduction 1-3ZREVIEW COPY—2014 Low Cost Navi 2 Kai (l2k)Navigation System OM—USA_English (nna)06/11/13—tbrooksX
JOBNAME: 1485166-2014-l2k-nav PAGE: 6 SESS: 4 OUTPUT: Tue Jun 11 14:46:07 2013mWARNING●Do not disassemble or modify thissystem. There are no user service-able parts in this navigation system.●If maintenance, adjustments and op-erations other than those specifiedin this manual are attempted, injurydue to laser radiation and exposurecould occur.SiriusXM services require a subscription after a trial period and are sold separately or as a package. Our sat-ellite service is available only in the 48 contiguous USA and DC. For more information visitwww.siriusxm.com.“Made for iPod” and “Made for iPhone” mean that an electronic accessory has been designed to connect spe-cifically to iPod or iPhone, respectively, and has been certified by the developer to meet Apple performancestandards. Apple is not responsible for the operation of this device or its compliance with safety and regula-tory standards. Please note that the use of this accessory with iPod or iPhone my affect wireless performance.The Bluetooth® word mark and logos are registered trademarks owned by Bluetooth SIG, Inc. and any useof such marks by DENSO CORPORATION is under license. Other trademarks and trade names are those oftheir respective owners.Required SiriusXM Satellite Radio and SiriusXM Traffic monthly subscriptions are sold separately. Siri-usXM Traffic are only available in select markets. For more information, seewww.siriusxm.com/siriusxmtrafficLASER PRODUCT1-4 IntroductionZREVIEW COPY—2014 Low Cost Navi 2 Kai (l2k)Navigation System OM—USA_English (nna)06/11/13—tbrooksX
JOBNAME: 1485166-2014-l2k-nav PAGE: 7 SESS: 4 OUTPUT: Tue Jun 11 14:46:07 2013Required SiriusXM Satellite Radio and SiriusXM Travel Link monthly subscriptions are sold separately. Siri-usXM Travel Link is only available in select markets. For more information, seewww.siriusxm.com/travellinkApp StoreApple and the Apple logo are trademarks of Apple Inc., registered in the U.S. and other countries. App Store is a service mark of Apple Inc.Google Play™Google Play is a trademark of Google Inc.Google© 2012 Google Inc. All rights reserved.Introduction 1-5ZREVIEW COPY—2014 Low Cost Navi 2 Kai (l2k)Navigation System OM—USA_English (nna)06/11/13—tbrooksX
JOBNAME: 1485166-2014-l2k-nav PAGE: 8 SESS: 4 OUTPUT: Tue Jun 11 14:46:07 20131-6 IntroductionMEMO
JOBNAME: 1485166-2014-l2k-nav PAGE: 9 SESS: 4 OUTPUT: Tue Jun 11 14:46:07 20132 Getting startedControl buttons and functions. . . . . . . . . . . . . . . . . . . . . . . 2-2Controlpanel(TypeA)..........................2-2Controlpanel(TypeB)..........................2-3Steering wheel switch (Type A) . . . . . . . . . . . . . . . . . . 2-4Steering wheel switch (Type B) . . . . . . . . . . . . . . . . . . 2-4Steering wheel switch (Type C) . . . . . . . . . . . . . . . . . . 2-5Basicoperation ...................................2-6Touch screen operation . . . . . . . . . . . . . . . . . . . . . . . . . 2-6Menuscreenoperation..........................2-7How to input characters . . . . . . . . . . . . . . . . . . . . . . . . . 2-8ZREVIEW COPY—2014 Low Cost Navi 2 Kai (l2k)Navigation System OM—USA_English (nna)06/11/13—tbrooksX
JOBNAME: 1485166-2014-l2k-nav PAGE: 10 SESS: 4 OUTPUT: Tue Jun 11 14:46:07 2013CONTROL PANEL (Type A)h1VOL (volume) control knob/POWER button:Rotate clockwise to increase the volume orcounterclockwise to lower the volume.Press to turn the audio system on or off.h2Touch screen displayh3TUNE-SCROLL dial / ENTER/AUDIO but-ton:Turn to scroll through the items in a list.Press to select a menu item. When thescreen is not displaying a list or menu, theknob is used to control the audio system.Press the ENTER/AUDIO button to select ahighlighted item on the screen.h4BACK button:Press to return to the previous screen or todelete the last inputted letter if a touch key-board is displayed on the screen.h5MAP button:Press to display the current location mapscreen.h6NAV button:Press to access the functions of the Navi-gation system.h7button:Press to access the system settings.h8button:Press to change the display brightness be-tween day and night modes. While themode is being displayed, the brightness canbe adjusted using the TUNE/SCROLL dial.Press and hold for more than two secondsto switch the display to a larger display ofthe digital clock.“DISPLAY SETTINGS”(page 5-3)LNV2446CONTROL BUTTONS AND FUNC-TIONS2-2 Getting startedZREVIEW COPY—2014 Low Cost Navi 2 Kai (l2k)Navigation System OM—USA_English (nna)06/11/13—tbrooksX
JOBNAME: 1485166-2014-l2k-nav PAGE: 11 SESS: 4 OUTPUT: Tue Jun 11 14:46:07 2013CONTROL PANEL (Type B)h1Touch screen displayh2MAP button:Press to display the current location mapscreen.h3NAV button:Press to access the functions of the Navi-gation system.h4MENU button:Press to access the system settings.h5BACK button:Press to return to the previous screen or todelete the last inputted letter if a touch key-board is displayed on the screen.h6TUNE dial/AUDIO button:Turn to scroll through the items in a list.Press to select a menu item. When thescreen is not displaying a list or menu, theknob is used to control the audio system.Press the dial to select a highlighted item onthe screen.h7button:Press to change the display brightness be-tween day and night modes. While themode is being displayed, the brightness canbe adjusted using the TUNE dial.Press and hold for more than two secondsto switch the display to a larger display ofthe digital clock.“DISPLAY SETTINGS”(page 5-3)h8VOL (volume) control knob/ON-OFF button:Rotate clockwise to increase the volume orcounterclockwise to lower the volume.Press to turn the audio system on or off.LNV2469Getting started 2-3ZREVIEW COPY—2014 Low Cost Navi 2 Kai (l2k)Navigation System OM—USA_English (nna)06/11/13—tbrooksX
JOBNAME: 1485166-2014-l2k-nav PAGE: 12 SESS: 4 OUTPUT: Tue Jun 11 14:46:07 2013STEERING WHEEL SWITCH (Type A)h1ENTER button / tuning switchScrolls up and down through lists and se-lects the highlighted item on the screen.h2(back) buttonReturns to the previous screen or deletesthe last inputted letter if a touch keyboard isdisplayed on the screen.h3Volume increase buttonIncreases the volume of the voice guidancegiven by the Navigation System if pressedwhile the voice guidance is speaking. If thevolume increase button is pressed at anyother time, only the volume of the activescreen (phone, SMS playback, Voice Rec-ognition system [if so equipped], audio sys-tem) will be increased.h4Volume decrease buttonDecreases the volume of the voice guidancegiven by the Navigation System if pressedwhile the voice guidance is speaking. If thevolume decrease button is pressed at anyother time, only the volume of the activescreen (phone, SMS playback, Voice Rec-ognition system [if so equipped], audio sys-tem) will be decreased.For more information about the audio system,Bluetooth® Hands-Free Phone System andVoice Recognition system (if so equipped), seethe vehicle’s Owner’s Manual.STEERING WHEEL SWITCH (Type B)h1Tuning switchScrolls up and down through lists and se-lects the highlighted item on the screen.h2Volume control buttonIncreases or decreases the volume of thevoice guidance given by the Navigation Sys-tem if pressed while the voice guidance isspeaking. If the volume button is pressed atany other time, only the volume of the activescreen (phone, SMS playback, Voice Rec-ognition system [if so equipped], audio sys-tem) will be adjusted.Altima LNV2018 Sentra LNV23952-4 Getting startedZREVIEW COPY—2014 Low Cost Navi 2 Kai (l2k)Navigation System OM—USA_English (nna)06/11/13—tbrooksX
JOBNAME: 1485166-2014-l2k-nav PAGE: 13 SESS: 4 OUTPUT: Tue Jun 11 14:46:07 2013For more information about the audio system,Bluetooth® Hands-Free Phone System andVoice Recognition system (if so equipped), seethe vehicle’s Owner’s Manual.STEERING WHEEL SWITCH (Type C)h1Volume control buttonIncreases or decreases the volume of thevoice guidance given by the Navigation Sys-tem if pressed while the voice guidance isspeaking. If the volume button is pressed atany other time, only the volume of the activescreen (phone, SMS playback, Voice Rec-ognition system [if so equipped], audio sys-tem) will be adjusted.For more information about the audio system,Bluetooth® Hands-Free Phone System andVoice Recognition system (if so equipped), seethe vehicle’s Owner’s Manual.Xterra and Frontier LNV2399 NV200 LNV2002Getting started 2-5ZREVIEW COPY—2014 Low Cost Navi 2 Kai (l2k)Navigation System OM—USA_English (nna)06/11/13—tbrooksX
JOBNAME: 1485166-2014-l2k-nav PAGE: 14 SESS: 4 OUTPUT: Tue Jun 11 14:46:07 2013TOUCH SCREEN OPERATIONThe same operations described for the scrollingdial are possible using touch screen operation.Examples of touch screen operationSelecting an item:When any item is touched, the next screen isdisplayed.Adjusting:Touch the “+”, “-”, “>” or “<” key to adjust asetting.LNV2443 LNV2440BASIC OPERATION2-6 Getting startedZREVIEW COPY—2014 Low Cost Navi 2 Kai (l2k)Navigation System OM—USA_English (nna)06/11/13—tbrooksX
JOBNAME: 1485166-2014-l2k-nav PAGE: 15 SESS: 4 OUTPUT: Tue Jun 11 14:46:07 2013Scrolling through a message or list:Turn the TUNE-SCROLL dial to scroll through amessage or a list. When scrolling a lengthy list,you can also touch the screen and slide your fin-ger along the scroll bar where shown to scrollmore quickly. Touching the up or down arrow willmove between pages of the list.MENU SCREEN OPERATION Menu screens and their purposePress one of the application buttons to activatethe corresponding menu screen:●NAV (Navigation)●or MENUHow to select a menu item1. As an alternative to using the touch screen,turn the scrolling dial clockwise or counter-clockwise to scroll through the menu itemsuntil the preferred item is highlighted.2. To select the preferred item, press thescrolling dial.3. Press the BACK or BACK button.The previous screen will be displayed andthe changes will be saved.LNV0921 (Type A) LNV2448 (Type B) LNV2466Getting started 2-7ZREVIEW COPY—2014 Low Cost Navi 2 Kai (l2k)Navigation System OM—USA_English (nna)06/11/13—tbrooksX
JOBNAME: 1485166-2014-l2k-nav PAGE: 16 SESS: 4 OUTPUT: Tue Jun 11 14:46:07 2013HOW TO INPUT CHARACTERSCharacter (letter and number) inputscreenAlphanumeric characters are used when settinga destination, searching for an address, editingstored locations, etc.1. Touch characters on the touch keyboardand they will appear in the field at the top ofthe screen. When the entry is complete,touch the “OK” key.Alternatively, use the scrolling dial to high-light a character and press the dial to selectthat character.NOTE:●Press the BACK button to delete thelast inputted character or to return to the pre-vious screen if no characters have beeninputted.●On every character entry screen, the touchkeyboard will display only the letters that arepossible to enter after the current letter.●Symbol and number keys are available whenthe “123/ABC” key is touched.●Touch the “123/ABC” key to toggle the dis-play between the touch keyboard for lettersand the touch keyboard for numbers andsymbols.2. To delete the last entry, touch the “Delete”key or hold it to delete all entries at once.3. After finalizing the entries, touch the “OK”key or touch the “List” key for the completedlist screen.NOTE:●If a phrase is being entered that has been pre-viously entered into the system, the matchedtext may appear in light gray. Touch “OK” tosearch for the matched text. Touch “List” tosearch for both the matched text and enteredtext.LNV24152-8 Getting startedZREVIEW COPY—2014 Low Cost Navi 2 Kai (l2k)Navigation System OM—USA_English (nna)06/11/13—tbrooksX
JOBNAME: 1485166-2014-l2k-nav PAGE: 17 SESS: 4 OUTPUT: Tue Jun 11 14:46:07 20133 Map settingsMaptypes........................................3-22-Dimensional (2D) view . . . . . . . . . . . . . . . . . . . . . . . . 3-22-Dimensional North Up (2DN) view . . . . . . . . . . . . . . 3-23-Dimensional (3D) view . . . . . . . . . . . . . . . . . . . . . . . . 3-2Screen information (2D, 2DN or 3D) . . . . . . . . . . . . . . 3-3Movingamap.....................................3-4Returning to the current vehicle location. . . . . . . . . . . 3-5Mapoptionsmenuscreen..........................3-5Changingthemapscale............................3-6Mapscale.....................................3-6Looking at information on the map . . . . . . . . . . . . . . . . . . . 3-7Mapsymbols...................................3-7Map settings for the map screen . . . . . . . . . . . . . . . . . . . . 3-9Laneinformation..................................3-11MapSD-card....................................3-11How to handle the SD-card. . . . . . . . . . . . . . . . . . . . .3-12SD-cardreplacement..........................3-12How to order map data updates. . . . . . . . . . . . . . . . .3-12Aboutthemapdata............................3-12End-userterms................................3-14ZREVIEW COPY—2014 Low Cost Navi 2 Kai (l2k)Navigation System OM—USA_English (nna)06/11/13—tbrooksX
JOBNAME: 1485166-2014-l2k-nav PAGE: 18 SESS: 4 OUTPUT: Tue Jun 11 14:46:07 20132-DIMENSIONAL (2D) VIEWThe 2D map is a two-dimensional (flat) repre-sentation of the map data, similar to a road map,focused on the vehicle’s position (vehicle icon).“SCREEN INFORMATION (2D, 2DNor 3D)” (page 3-3)“MAP SETTINGS FOR THE MAPSCREEN” (page 3-7)2-DIMENSIONAL NORTH UP (2DN)VIEWThe 2DN map is a two-dimensional (flat) repre-sentation of the map data, similar to a road map,focused on the vehicle’s position (vehicle icon)with the top of the map aligned North.3-DIMENSIONAL (3D) VIEWThe 3D map displays the map from an elevatedperspective, providing a panoramic view over along distance.The map in 3D view always appears with the cur-rent forward direction facing up (heading up).2D LNV2455 2DN LNV2454 3D LNV2456MAP TYPES3-2 Map settingsZREVIEW COPY—2014 Low Cost Navi 2 Kai (l2k)Navigation System OM—USA_English (nna)06/11/13—tbrooksX
JOBNAME: 1485166-2014-l2k-nav PAGE: 19 SESS: 4 OUTPUT: Tue Jun 11 14:46:07 2013SCREEN INFORMATION (2D, 2DN or3D)h1“Voice” keyTouch to repeat the voice guidance while aroute is active. Touch and hold for two sec-onds to toggle the voice guidance on or off(button will be grayed out when voice guid-ance is turned off). This option is availableonly when a route is set.h2Audio informationIndicates the radio station, CD track num-ber or other audio information currentlyplaying.h3Next maneuver road nameIndicates the name of the next road in theroute guidance. This is only shown if routeguidance is active.h4ClockIndicates the current time.h5Direction indicator and distance to next ma-neuver on the routeWhen route guidance is active but you havedeviated from the route, this area displays acompass icon with an arrow indicating thedestination direction.When route guidance is active and you areon the route, this area indicates the dis-tance (in miles or kilometers) to the nextpoint and the turning direction at that point.When the “Voice” key is not shown on thescreen (such as when an audio screen isdisplayed on the screen), touch the direc-tion indicator to repeat the voice guidancewhile a route is active. Touch and hold fortwo seconds to toggle the voice guidanceon or off.h6Estimated time of arrival and distance todestination or remaining time of travel anddistance to destination.Touch this button to switch the indicator be-tween estimated arrival time and remainingtravel time. This indicator only appears oncethe destination is set and the route guid-ance is initiated. The estimated arrival timemay not switch to the estimated arrival timefor the destination’s time zone if a time zoneline is crossed as part of the route.LNV2206Map settings 3-3ZREVIEW COPY—2014 Low Cost Navi 2 Kai (l2k)Navigation System OM—USA_English (nna)06/11/13—tbrooksX
JOBNAME: 1485166-2014-l2k-nav PAGE: 20 SESS: 4 OUTPUT: Tue Jun 11 14:46:07 2013h7Current road indicatorThe location of where the car is positioned.h8Vehicle iconIndicates the current location and directionof the vehicle.h9Suggested routeAppears as a bold blue line during routeguidance.h10 Scale indicatorIndicates the scale of the map.h11 Compass iconIndicates the direction of the map. Touchthis icon to switch the map view betweenthe North Up, Heading Up (or actual direc-tion) and 3D modes.h12 “Presets” keyThis option toggles on and off with the“Menu” key and displays a touch menu ofthe radio presets on the screen. For moreinformation about the audio system, see thevehicle Owner’s Manual.h13 Zoom in and zoom out keysTouch to zoom the map in or out.h14 “Options” keyTouch this key to access the map optionsmenu screen.“MAP OPTIONS MENUSCREEN” (page 3-5)To scroll the map in either direction:1. Touch and release the screen anywhere onthe map.2. Touch the screen again and move your fin-ger along the screen in the direction youwish to scroll.After releasing and touching the map again, amarker will be displayed at the point touchedand, if possible, the position determined.NOTE:When the current location of the vehicle isrecognized, the street name will be dis-played at the bottom of the screen. Whenscrolling a map and an area that is not aroad, city or POI is touched, coordinatescorresponding to the marker’s position aredisplayed at the bottom of the screen.LNV2463MOVING A MAP3-4 Map settingsZREVIEW COPY—2014 Low Cost Navi 2 Kai (l2k)Navigation System OM—USA_English (nna)06/11/13—tbrooksX
JOBNAME: 1485166-2014-l2k-nav PAGE: 21 SESS: 4 OUTPUT: Tue Jun 11 14:46:07 2013RETURNING TO THE CURRENT VE-HICLE LOCATIONThe basic map screen displays the current loca-tion of the vehicle. The current location can bedisplayed again even after the map is moved, orafter the menu screen is displayed.Press the MAP button or the BACK orBACK button and the current location will bedisplayed on the map.The Map Options menu allows you to quicklystore the current position, show position infor-mation or destination information, and adjust themap settings.1. Touch the “Options” key while the routeguidance map is displayed.2. The following options are available for se-lection:●Enter DestinationSelect to open the navigation screen forentering an address.●Turn ListSelect to display all of the turns and way-points along the route.●Cancel RouteSelect to cancel entire route or way-points along route.LNV2457MAP OPTIONS MENU SCREENMap settings 3-5ZREVIEW COPY—2014 Low Cost Navi 2 Kai (l2k)Navigation System OM—USA_English (nna)06/11/13—tbrooksX
JOBNAME: 1485166-2014-l2k-nav PAGE: 22 SESS: 4 OUTPUT: Tue Jun 11 14:46:07 2013●POIs Along RouteSelect to choose the types of points ofinterest to display along the active route.Available options are gas stations,restaurants, ATMs, parking, rest areas,hotels, dealerships and airports.NOTE:Some places of interest on divided high-ways may show the equivalent place of in-terest on the opposite side of the road(such as a rest area) as being closer thanthe place in your traveling direction. Con-firm location of the place before followingthe route.●TrafficSelect to display all traffic events onroute and options to avoid roads alongroute.●Show Route On MapSelect to display the entire route on thescreen. The view will zoom to the neces-sary level in order to show both the start-ing point and destination on the screen.●Routing OptionsSelect to view options available to cus-tomize route. Avoiding specific roads, dy-namic guidance, route type and minimiz-ing freeways, types of roads and ferriescan all be adjusted.●Show Position InformationSelect to display the latitude, longitudeand altitude for the current position of thevehicle. Location can also be stored tothe Address Book.●Show WaypointsSelect to add or show list of waypointsalong route.●Guidance & Map SettingsSelect to toggle guidance informationand map settings options.“MAP SETTINGS FOR THEMAP SCREEN” (page 3-7)When using the “+” or “-” for zooming in or out,the scale on the bottom left side of the screenchanges to indicate the new scale level.MAP SCALEThe following scales are available depending onthe map view:Per approximately 1/2 inch (1 cm)150 ft (50 m)300 ft (100 m)600 ft (200 m)1/4 mile (500 m)1/2 mile (1 km)1 mile (2 km)2.5 mi (5 km)5 mi (10 km)LNV2462CHANGING THE MAP SCALE3-6 Map settingsZREVIEW COPY—2014 Low Cost Navi 2 Kai (l2k)Navigation System OM—USA_English (nna)06/11/13—tbrooksX
JOBNAME: 1485166-2014-l2k-nav PAGE: 23 SESS: 4 OUTPUT: Tue Jun 11 14:46:07 2013Per approximately 1/2 inch (1 cm)10 mi (20 km)25 mi (50 km)50 mi (100 km)100 mi (200 km)250 mi (500 km)Icons of various categories of locations can bedisplayed on the map.MAP SYMBOLSThis navigation system uses symbols to displayvarious types of facilities. The following icons (ifso equipped) may be used on the map screen.LOOKING AT INFORMATION ON THEMAPMap settings 3-7ZREVIEW COPY—2014 Low Cost Navi 2 Kai (l2k)Navigation System OM—USA_English (nna)06/11/13—tbrooksX
JOBNAME: 1485166-2014-l2k-nav PAGE: 24 SESS: 4 OUTPUT: Tue Jun 11 14:46:07 2013LNV24673-8 Map settingsZREVIEW COPY—2014 Low Cost Navi 2 Kai (l2k)Navigation System OM—USA_English (nna)06/11/13—tbrooksX
JOBNAME: 1485166-2014-l2k-nav PAGE: 25 SESS: 4 OUTPUT: Tue Jun 11 14:46:07 2013Other settings are available for the map screen,such as switching the map view or changing themap direction.1. Press the or MENU button.2. Touch the “Settings” key.3. Touch the “Navigation” key.4. Touch the “Guidance & Map Settings” key.When selected, the system will offer the fol-lowing map setting options:Menu Item OptionsVoice Guidance Select to toggle on or off the voice guidance on map screen.Volume Select “+” or “-” to increase or decrease voice guidance volume.Map View Touch the “Map View” key to toggle between 2D and 3D map view.2D-North/Heading Up Touch to toggle display between “Head” and “North” for 2D mode. When “Head” is selected, the screen always shows the mapin the driving direction. When “North” is selected, the top of the map is always orientated north. This option can only be selectedwhen the “Map View” is set to 2D.Auto Zoom Touch the “Auto Zoom” key to choose a setting for automatic zooming. Available settings are “Never”, “Always” and “Only with aroute”.Show Points of Interest On Map Select to toggle various map icons on and off including gas stations, restaurants, banks and parking.LNV2459 LNV2460MAP SETTINGS FOR THE MAPSCREENMap settings 3-9ZREVIEW COPY—2014 Low Cost Navi 2 Kai (l2k)Navigation System OM—USA_English (nna)06/11/13—tbrooksX
JOBNAME: 1485166-2014-l2k-nav PAGE: 26 SESS: 4 OUTPUT: Tue Jun 11 14:46:07 2013Menu Item OptionsMy Points of Interest Alert Select to control alert options. Choose “Off” to disable the alert. Choose “Show Only” to have the alert displayed on the screen.Choose “Show & Beep” to have an audible beep in addition to the alert displayed on the screen.Show Presets On Map Select to toggle on or off the preset radio station buttons on the map screen.Split Map for Freeway Exit Select to toggle on or off the split view map when approaching a freeway exit.Show Lane Information Select to toggle on or off lane information when available.Show Speed Limit Select to toggle on or off the display of speed limit information when available.Show Estimated Time Select to control display of estimated time of arrival or trip time remaining.Customize Travel Speed Select to customize travel speeds on local roads and freeways along route.Speed Limit Warning Select to control the speed limit alert that activates when the vehicle speed is greater than the speed limit information for the cur-rent location. Choose “Off” to disable the alert. Choose “Show Only” to have the alert displayed on the screen. Choose “Show &Beep” to have an audible beep in addition to the alert displayed on the screen.Speed Limit Sensitivity Select the sensitivity level for the speed limit warning. Choose a value between zero and 30Speed Warning for Curves Select to control the alert that activates depending on vehicle speed and a curve in the road ahead. Choose “Off” to disable thealert. Choose “Show Only” to have the alert displayed on the screen. Choose “Show & Beep” to have an audible beep in additionto the alert displayed on the screen.Distance Units Select to toggle “US” or “Metric” for the distance units on the map screen.3-10 Map settingsZREVIEW COPY—2014 Low Cost Navi 2 Kai (l2k)Navigation System OM—USA_English (nna)06/11/13—tbrooksX
JOBNAME: 1485166-2014-l2k-nav PAGE: 27 SESS: 4 OUTPUT: Tue Jun 11 14:46:07 2013When the vehicle is approaching a junction orinterchange, the screen switches to a split view.Lane information is graphically displayed on theleft side of the split screen and icons showingthe proper lanes for upcoming maneuvers areshown in the upper right corner below the clock.The highlighted lanes are those from which thenext maneuver on the route will be made. Lanesdisplayed in gray are those that do not follow theroute at the upcoming junction or interchange.The icons in the upper right corner also indicatedirection and may change as the junction or in-terchange approaches (for example, straightahead, to straight and then right).Once the vehicle passes through the junction orinterchange, the screen returns to the previousview.NOTE:Lane information is not available for allareas. It will only be displayed in areaswhere the necessary map data is available.NOTE:The number of lane icons in the upper rightcorner may change as the junction or inter-change approaches due to a difference inthe number of available lanes.The SD-card slot is located on the front of theunit. When you purchase this system, an SD-card with map data is provided.LNV2464 LNV2465 Type A LNV2473LANE INFORMATION MAP SD-CARDMap settings 3-11ZREVIEW COPY—2014 Low Cost Navi 2 Kai (l2k)Navigation System OM—USA_English (nna)06/11/13—tbrooksX
JOBNAME: 1485166-2014-l2k-nav PAGE: 28 SESS: 4 OUTPUT: Tue Jun 11 14:46:07 2013NOTE:●Before inserting the map SD-card confirmthat there is no SD-card already in the slot.●The SD-card slot can only read the SD-cardwith map data provided specifically for usewith the vehicle’s navigation system. The sys-tem will not read other SD-cards.●If an SD-card with something other than mapdata (such as music, pictures or movies) is in-serted into the slot, the Navigation System willnot function. A message will appear prompt-ing for the map SD-card to be reinserted. Thismessage will not appear if the SD-card is re-moved while in audio mode. The audio modeis not affected by the SD-card.HOW TO HANDLE THE SD-CARDWhen handling the SD-card, please be carefuland adhere to the following instructions:CAUTION●Handle the SD-card with care. Nevertouch the metal contacts.●Do not use any conventional cleaner,benzine, thinner, or antistatic spray.●If you need to clean the SD-card usea soft cloth.●Never attempt to use an SD-card thathas been cracked, deformed or re-paired using adhesive. Doing so maydamage the equipment.●Do not try to bend the SD-card. Donot use any SD-card that is bent orcracked.●Do not put on any sticker or writeanything on the SD card.●Handle the SD-card carefully to avoidcontamination or flaws. Otherwise,the data may not be read properly.●Do not store the SD-card in locationsexposed to direct sunlight, or in hightemperatures or humidity.●Always place the SD-card in its stor-age case when not in use.SD-CARD REPLACEMENTFor additional SD-cards with map data, contactthe NISSAN Navigation Helpdesk.HOW TO ORDER MAP DATA UP-DATESTo order updated map data and voicecommands, contact the NISSAN NavigationHelpdesk. See the contact information on the in-side front cover of this manual.ABOUT THE MAP DATA●Bosch has compiled the digitized map datainto a usable format. © 2011 Robert BoschGmbH all rights in compilation softwarereserved. Due to the production timing of themap data, some new roads may not beincluded, or some names and roads may bedifferent from those in use at the time this mapdata is used.Type B LNV24743-12 Map settingsZREVIEW COPY—2014 Low Cost Navi 2 Kai (l2k)Navigation System OM—USA_English (nna)06/11/13—tbrooksX
JOBNAME: 1485166-2014-l2k-nav PAGE: 29 SESS: 4 OUTPUT: Tue Jun 11 14:46:07 2013●Traffic control and regulation data used in thismap data may be different from those in use atthe time this map data is used. When driving,follow the actual traffic control signs and no-tices on the roads.●Reproducing or copying this map software isstrictly prohibited by law.mWARNING●This navigation system should not beused to replace your own judgement.No itinerary suggested by this navi-gation system should ever overrideany freeway regulations, your ownjudgement, or a knowledge of safedriving practices. Do not follow thenavigation system’s suggested itin-erary if it would cause you to performa dangerous or illegal act, place youin a dangerous situation, or take youinto an area you consider unsafe.●The advice provided by the navigationsystem is to be regarded as a sugges-tion only. There may be times whenthe navigation system displays the ve-hicle’s location incorrectly, fails tosuggest the shortest route, or fails todirect you to your desired destination.In such instances, rely on your ownjudgement taking into account thedriving conditions at the time.●Do not use the navigation system tolocate emergency services. The data-base does not contain a completelisting of emergency services such aspolice stations, fire stations, hospi-tals and walk-in clinics. Please showdiscretion and ask for directions insuch instances.●As the driver, you alone are respon-sible for your driving safety.– In order to avoid a traffic accident,do not operate the system whiledriving.– In order to avoid a traffic accident,operate the system only when thevehicle is stopped at a safe placeand the parking brake is on.– In order to avoid a traffic accidentor traffic offence, remember thatactual road conditions and trafficregulations take precedence overthe information contained on thenavigation system.– The software may contain inaccu-rate or incomplete informationdue to the passage of time, chang-ing circumstances, and thesources of information used.Please respect current traffic con-ditions and regulations at alltimes while driving.– Where actual road conditions andhighway regulations differ fromthe information contained on thenavigation system, abide by thehighway regulations.– Keep the amount of time spentviewing the screen while driving toa strict minimum.The navigation system does not provide, nor rep-resent in any way information on: traffic andhighway regulations; technical aspects of the ve-hicle including weight, height, width, load andspeed limits; road conditions including grade,percentage of incline and surface conditions;Map settings 3-13ZREVIEW COPY—2014 Low Cost Navi 2 Kai (l2k)Navigation System OM—USA_English (nna)06/11/13—tbrooksX
JOBNAME: 1485166-2014-l2k-nav PAGE: 30 SESS: 4 OUTPUT: Tue Jun 11 14:46:07 2013obstacles such as the height and width ofbridges and tunnels; and other current driving orroad conditions. Always rely on your own judge-ment when driving a car, taking into account cur-rent driving conditions.The company trademarks used in this product toidentify locations and business offices are thetrademarks of their respective owners. Their usedoes not represent sponsorship, approval orrecommendation of this product by thesecompanies.END-USER TERMSThe data (“Data”) is provided for your personal,internal use only and not for resale. It is pro-tected by copyright, and is subject to the follow-ing terms and conditions which are agreed to byyou, on the one hand, and NISSAN and its licen-sors (including their licensors and suppliers) onthe other hand.© 2011 NAVTEQ. All rights reserved.The Data for areas of Canada includes informa-tion taken with permission from Canadianauthorities, including: © Her Majesty the Queenin Right of Canada, © Queen’s Printer forOntario, © Canada Post Corporation,GeoBase®, © Department of Natural Re-sources Canada.NAVTEQ holds a non-exclusive license from theUnited States Postal Service® to publish andsell ZIP+4® information.©United States Postal Service® 2009. Pricesare not established, controlled or approved bythe United States Postal Service®. The follow-ing trademarks and registrations are owned bythe USPS: United States Postal Service, USPS,and ZIP+4.The Data may include or reflect data of licensors,including Her Majesty the Queen in the Right ofCanada (“Her Majesty”), Canada PostCorporation (“Canada Post”) and the Depart-ment of Natural Resources Canada (“NRCan”).Such data is licensed on an “as is” basis. Thelicensors, including Her Majesty, Canada Postand NRCan, make no guarantees, representa-tions or warranties respecting such data, eitherexpress or implied, arising by law or otherwise,including but not limited to, effectiveness,completeness, accuracy or fitness for a particu-lar purpose.The licensors, including Her Majesty, CanadaPost and NRCan, shall not be liable in respect ofany claim, demand or action, irrespective of thenature of the cause of the claim, demand or ac-tion alleging any loss, injury or damages, director indirect, which may result from the use or pos-session of the data or the Data. The licensors, in-cluding Her Majesty, Canada Post and NRCan,shall not be liable in any way for loss of revenuesor contracts, or any other consequential loss ofany kind resulting from any defect in the data orthe Data.End User shall indemnify and save harmless thelicensors, including Her Majesty, Canada Postand NRCan, and their officers, employees andagents from and against any claim, demand oraction, irrespective of the nature of the cause ofthe claim, demand or action, alleging loss, costs,expenses, damages or injuries (including injuriesresulting in death) arising out of the use or pos-session of the data or the Data.Terms and conditionsPersonal Use Only:You agree to use this Data together withNISSAN Automotive Products for the solelypersonal, non-commercial purposes for whichyou were licensed, and not for service bureau,timesharing or other similar purposes.Accordingly, but subject to the restrictions setforth in the following paragraphs, you may copythis Data only as necessary for your personal useto view it, and save it, provided that you do notremove any copyright notices that appear and donot modify the Data in any way. You agree not tootherwise reproduce, copy, modify, decompile,disassemble or reverse engineer any portion of3-14 Map settingsZREVIEW COPY—2014 Low Cost Navi 2 Kai (l2k)Navigation System OM—USA_English (nna)06/11/13—tbrooksX
JOBNAME: 1485166-2014-l2k-nav PAGE: 31 SESS: 4 OUTPUT: Tue Jun 11 14:46:07 2013this Data, and may not transfer or distribute it inany form, for any purpose, except to the extentsuch restrictions are expressly prohibited or lim-ited by applicable law.Restrictions:Except where you have been specifically li-censed to do so by NISSAN and without limitingthe preceding paragraph, you may not:a. use this Data with any products, systems, orapplications installed or otherwise connectedto or in communication with vehicles, capableof vehicle navigation positioning, dispatch,real time route guidance, fleet managementor similar applications;b. use this Data with or in communication withany positioning devices or any mobile orwireless-connected electronic or computerdevices, including without limitation mobilephones, palmtop and handheld computers,pagers, and personal digital assistants orPDAs.Warnings:The Data may contain inaccurate or incompleteinformation due to the passage of time, changingcircumstances, sources used and the nature ofcollecting comprehensive geographic data, anyof which may lead to incorrect results.No Warranty:This Data is provided to you “as is,” and youagree to use it at your own risk. NISSAN and itslicensors (and their licensors and suppliers)make no guarantees, representations or warran-ties of any kind, express or implied, arising by lawor otherwise, including but not limited to,content, quality, accuracy, completeness,effectiveness, reliability, fitness for a particularpurpose, usefulness, use or results to be ob-tained from this Data, or that the Data or serverwill be uninterrupted or error-free.Disclaimer of Warranty:NISSAN AND ITS LICENSORS (INCLUDINGTHEIR LICENSORS AND SUPPLIERS) DIS-CLAIM ANY WARRANTIES, EXPRESS ORIMPLIED, OF QUALITY, PERFORMANCE,MERCHANTABILITY FITNESS FOR A PAR-TICULAR PURPOSE ORNON-INFRINGEMENT.Some countries, local laws and territories do notallow certain warranty exclusions, so to that ex-tent the above exclusion may not apply to you.Disclaimer of Liability:NISSAN AND ITS LICENSORS (INCLUDINGTHEIR LICENSORS AND SUPPLIERS) SHALLNOT BE LIABLE TO YOU: IN RESPECT OFANY CLAIM, DEMAND OR ACTION, IRRE-SPECTIVE OF THE NATURE OF THE CAUSEOF THE CLAIM, DEMAND OR ACTION AL-LEGING ANY LOSS, INJURY OR DAMAGES,DIRECT OR INDIRECT, WHICH MAY RESULTFROM THE USE OR POSSESSION OF THEINFORMATION; OR FOR ANY LOSS OFPROFIT, REVENUE, CONTRACTS ORSAVINGS, OR ANY OTHER DIRECT,INDIRECT, INCIDENTAL, SPECIAL OR CON-SEQUENTIAL DAMAGES ARISING OUT OFYOUR USE OF OR INABILITY TO USE THISINFORMATION, ANY DEFECT IN THEINFORMATION, OR THE BREACH OF THESETERMS OR CONDITIONS, WHETHER IN ANACTION IN CONTRACT OR TORT OR BASEDON A WARRANTY, EVEN IF NISSAN OR ITSLICENSORS (OR THEIR LICENSORS ORSUPPLIERS) HAVE BEEN ADVISED OF THEPOSSIBILITY OF SUCH DAMAGES.Some countries or local laws do not allow cer-tain liability exclusions or damages limitations, soto that extent the above may not apply to you.Export control:You agree not to export from anywhere any partof the Data provided to you or any direct productthereof except in compliance with, and with all li-censes and approvals required under, applicableexport laws, rules and regulations.Map settings 3-15ZREVIEW COPY—2014 Low Cost Navi 2 Kai (l2k)Navigation System OM—USA_English (nna)06/11/13—tbrooksX
JOBNAME: 1485166-2014-l2k-nav PAGE: 32 SESS: 4 OUTPUT: Tue Jun 11 14:46:07 2013Entire Agreement:These terms and conditions constitute the entireagreement between NISSAN (and its licensors,including their licensors and suppliers) and youpertaining to the subject matter hereof, and su-persedes in their entirety any and all written ororal agreements previously existing between uswith respect to such subject matter.3-16 Map settingsZREVIEW COPY—2014 Low Cost Navi 2 Kai (l2k)Navigation System OM—USA_English (nna)06/11/13—tbrooksX
JOBNAME: 1485166-2014-l2k-nav PAGE: 33 SESS: 4 OUTPUT: Tue Jun 11 14:46:07 20134 NavigationAboutrouteguidance..............................4-2Voice guidance during route guidance . . . . . . . . . . . . 4-2Navigationscreen .................................4-3Basicoperation ................................4-3Available setting items . . . . . . . . . . . . . . . . . . . . . . . . . . 4-3Settingadestination...............................4-5Available destination setting methods . . . . . . . . . . . . . 4-5Setting a destination from a street address . . . . . . . . . . . 4-6Setting a destination from points of interest. . . . . . . . . . . 4-9Searching for nearby restaurants orgasstations...................................4-10Searching for places near current location. . . . . . . .4-11Searching for points of interest in anothercity ..........................................4-12Searching for places usingVoice Recognition (if so equipped) . . . . . . . . . . . . . .4-13My points of interest/User-defined points ofinterest(POIs) ................................4-13Setting a destination from the address book . . . . . . . . .4-17Setting a new entry to the address book . . . . . . . . .4-17Setting an entry as a destination. . . . . . . . . . . . . . . . . 4-18Setting a destination from the address bookusing Voice Recognition (if so equipped). . . . . . . . .4-18Setting an intersection as a destination . . . . . . . . . . . . .4-19Setting a city center as a destination. . . . . . . . . . . . . . . .4-19Trafficfeature....................................4-20Displaying traffic events along route . . . . . . . . . . . . . 4-20Trafficflowfeature.............................4-21Trafficsettings ................................4-21Weatherfeature..................................4-22Displaying weather information on thescreen .......................................4-22Fuelprices.......................................4-24ZREVIEW COPY—2014 Low Cost Navi 2 Kai (l2k)Navigation System OM—USA_English (nna)06/11/13—tbrooksX
JOBNAME: 1485166-2014-l2k-nav PAGE: 34 SESS: 4 OUTPUT: Tue Jun 11 14:46:07 2013After setting the destination, select “Start” to be-gin route guidance.During route guidance, the system navigates youthrough the guide points using visual and voiceguidance.CAUTION●The navigation system visual andvoice guidance is for reference pur-poses only. The contents of the guid-ance may be inappropriate depend-ing on the situation.●When driving along the suggestedroute, follow all traffic regulations(for example, one-way traffic).“Route guidance” (page 6-2) VOICE GUIDANCE DURING ROUTEGUIDANCEWhen approaching a guide point (intersection orcorner), destination, etc., during route guidance,voice guidance announces the remaining dis-tance and/or turning direction.Touch “Voice” on the upper left of the screen torepeat the voice guidance.Example of voice guidance:h1“In about one quarter mile (400 meters), right(or left) turn.” “Right (or left) turn ahead.”h2“In about one quarter mile (400 meters)freeway entrance on your right onto (roadnumber and direction).” “Freeway entranceon your right onto (road number anddirection).”h3“In about one mile (1.6 kilometers), exit onyour right.” “Take the second exit on yourright.”h4“You have reached your destination. Endingroute guidance.”LNV0943ABOUT ROUTE GUIDANCE4-2 NavigationZREVIEW COPY—2014 Low Cost Navi 2 Kai (l2k)Navigation System OM—USA_English (nna)06/11/13—tbrooksX
JOBNAME: 1485166-2014-l2k-nav PAGE: 35 SESS: 4 OUTPUT: Tue Jun 11 14:46:07 2013Several methods are available to set yourdestination.BASIC OPERATION1. Press the NAV button.2. Select the appropriate destination settingmethod by touching the screen or scrollingwith the scrolling dial.AVAILABLE SETTING ITEMS●Street Address:Set a destination address.Several methods are available to set yourdestination.“SETTING A DESTINATION”(page 4-5)●Points of Interest:The system features a database of placessuch as restaurants, hotels, banks and moreto assist you in navigation. These points ofinterest can be set as destinations and thesystem can then calculate a route.LNV2409 LNV2410NAVIGATION SCREENNavigation 4-3ZREVIEW COPY—2014 Low Cost Navi 2 Kai (l2k)Navigation System OM—USA_English (nna)06/11/13—tbrooksX
JOBNAME: 1485166-2014-l2k-nav PAGE: 36 SESS: 4 OUTPUT: Tue Jun 11 14:46:07 2013●Cancel Route:Touch “Cancel Route” to cancel the routeguidance.NOTE:If route guidance is not active, “CancelRoute” cannot be operated.●Previous Destinations:Searches for a destination from the previ-ous destinations in the destination memory.Up to 50 previous destinations will be auto-matically stored. If the number of previousdestinations exceeds 50, the oldest one willbe removed from the list and the newestone will be added.To manually delete a previous destinationentry, select an entry from the list and thentouch the “Delete” key.Touch the “Save” key to add a previous des-tination to the address book.Previous destinations can also be selectedusing the NISSAN Voice Recognition Sys-tem (if so equipped):1. Press the or button on thesteering wheel. The system providesprompts and waits for voice commands.2. Say “Navigation”.3. Say “Previous destinations”.4. Speak the number of an entry on the dis-played list to choose that destination or say“Next Page” to view more entries (ifavailable).If no route is set, route guidance is calcu-lated automatically. If a route is set, say “Re-place Destination” to use the chosen previ-ous destination in Step 4 as the newdestination. Say “Set as Waypoint” to addthe chosen previous destination as a way-point on the current route. Say “Show onMap” to show the chosen previous destina-tion on the map.For more information about the NISSANVoice Recognition System, see the vehicleOwner’s Manual.NOTE:It is not possible to retrieve deleted previ-ous destination entries.●Home:Your home address can be entered as adestination.Home can also be set as a destination using theNISSAN Voice Recognition System (if soequipped):1. Press the or button on thesteering wheel. The system providesprompts and waits for voice commands.2. Say “Navigation”.3. Say “Home”.If a home location is set, route guidance to thehome location is calculated automatically.For more information about the NISSAN VoiceRecognition System, see the vehicle Owner’sManual.●Address Book:Touch “Address Book” to access storedaddresses.●Intersection:Select “Intersection” to designate an inter-section of two roads as a destination.●City Center:Touch “City Center” to designate a city as adestination.4-4 NavigationZREVIEW COPY—2014 Low Cost Navi 2 Kai (l2k)Navigation System OM—USA_English (nna)06/11/13—tbrooksX
JOBNAME: 1485166-2014-l2k-nav PAGE: 37 SESS: 4 OUTPUT: Tue Jun 11 14:46:07 2013●My Points of Interest:My Points of Interest are locations enteredinto the system via the vehicle’s USB port.“MY POINTS OFINTEREST/USER-DEFINEDPOINTS OF INTEREST (POIs)”(page 4-13)Press the NAV button. The methods for setting adestination are shown.If route guidance is active, you can choose howto use the new destination. Select “Add as Way-point” to keep the current destination and to addthe current destination as a waypoint along theroute. Select “Replace” to cancel the currentroute and replace the current destination withthe new destination.AVAILABLE DESTINATION SETTINGMETHODS●“Street Address”“SETTING A DESTINATIONFROM A STREET ADDRESS”(page 4-6)●“Points of Interest”“SETTING A DESTINATIONFROM POINTS OF INTEREST”(page 4-9)●“My Points of Interest”“MY POINTS OFINTEREST/USER-DEFINED MYPOINTS OF INTEREST”(page 4-13)●“Address Book”“SETTING A DESTINATIONFROM THE ADDRESS BOOK”(page 4-17)●“Intersection”“SETTING AN INTERSECTIONAS A DESTINATION”(page 4-19)●“City Center”“SETTING A CITY CENTER ASA DESTINATION” (page 4-19)SETTING A DESTINATIONNavigation 4-5ZREVIEW COPY—2014 Low Cost Navi 2 Kai (l2k)Navigation System OM—USA_English (nna)06/11/13—tbrooksX
JOBNAME: 1485166-2014-l2k-nav PAGE: 38 SESS: 4 OUTPUT: Tue Jun 11 14:46:07 20131. Press the NAV button.2. Touch “Street Address”.3. If the state or province shown on the screenis correct, proceed to step 5. If the state orprovince shown on the screen is notcorrect, touch “Change State/Province”.4. Enter the name of the state or province. Thedisplay shows the touch keyboard.“HOW TO INPUT CHARAC-TERS” (page 2-8)The keyboard has an intelligent spellingsetting, so it excludes non-existingcombinations. On the top right of thescreen, the number of matches is shown. Atany time, touch the “List” key to display a listof possible names based on the letters cur-rently entered. When the number ofmatches is reduced to six or less, a list willbe shown automatically.5. Touch “City”NOTE:It is possible to choose “House Number &Street” at this step if you want to manuallyenter the street name. However, the sys-tem can automatically narrow down thestreet in most cases when you enter thecity name first. Entering by city can also beuseful if you are unsure of the street’s cor-rect spelling.LNV2426 LNV2415SETTING A DESTINATION FROM ASTREET ADDRESS4-6 NavigationZREVIEW COPY—2014 Low Cost Navi 2 Kai (l2k)Navigation System OM—USA_English (nna)06/11/13—tbrooksX
JOBNAME: 1485166-2014-l2k-nav PAGE: 39 SESS: 4 OUTPUT: Tue Jun 11 14:46:07 20136. The display shows a touch keyboard to en-ter the city of the destination. Enter thename of the city. At any time, touch the“List” key to display a list of possible citynames based on the letters currentlyentered. When the number of matches isreduced to six or less, the city list will beshown automatically.7. Touch the city name on the list. 8. The display shows a touch keyboard to en-ter the house number of the destination. Ifthe house number is not known, touch“Skip” and a default location on the streetwill be used.NOTE:If you choose “Skip”, a default location ischosen by the system and you will have achance to change the position once themap is displayed. See step 12 for more in-structions on changed the default location.LNV2406 LNV0953 LNV2411Navigation 4-7ZREVIEW COPY—2014 Low Cost Navi 2 Kai (l2k)Navigation System OM—USA_English (nna)06/11/13—tbrooksX
JOBNAME: 1485166-2014-l2k-nav PAGE: 40 SESS: 4 OUTPUT: Tue Jun 11 14:46:07 20139. The display shows a touch keyboard to en-ter the street name. Enter the name of thestreet. At any time, touch the “List” key todisplay a list of possible street names basedon the letters currently entered. When thenumber of matches is reduced to six or less,the street list will be shown automatically.10. Touch the street name on the list.11. If the house number entered in step 8 doesnot exist on the street in the chosen city,“The house number is not available” will bedisplayed. Select “Show Map” or “ChangeNumber”.NOTE:You will have a chance to change the posi-tion from the default location once themap is displayed. See step 12 for more in-structions on changing the defaultlocation.12. A map of the destination is displayed on thescreen. Touch “Start” to calculate the route.The map of the destination is always displayed in2D North Up. Once the “Start” key is touched,the system returns to the current map settings.NOTE:If you did not enter an exact street addressearlier in the process, the system will havechosen a default location, either along thestreet or within a range of addresses onthat street. To move the map from that de-fault position, touch the “Move” key. Amessage will be displayed asking if youwant to touch a new location for thedestination. Touch “OK” when complete.LNV2412 LNV2413 LNV24384-8 NavigationZREVIEW COPY—2014 Low Cost Navi 2 Kai (l2k)Navigation System OM—USA_English (nna)06/11/13—tbrooksX
JOBNAME: 1485166-2014-l2k-nav PAGE: 41 SESS: 4 OUTPUT: Tue Jun 11 14:46:07 2013Touch “Store” to store the location in the ad-dress book.“SETTING A NEW ENTRY TO THEADDRESS BOOK” (page 4-17)A destination can also be set from a street ad-dress using the NISSAN Voice Recognition Sys-tem (if so equipped):1. Press the or button on thesteering wheel. The system providesprompts and waits for voice commands.2. Say “Navigation”.3. Say “Enter address in steps”.4. When prompted, say the name of the stateor province. If the system cannot clearly in-terpret the name of the state or province, alist is provided with possible matches.Speak the number of the state or provincedisplayed on the screen or say “Spell State”to spell the name of the state.5. When prompted, say the name of the city. Ifthe system cannot clearly interpret the nameof the city, a list is provided with possiblematches. Speak the number of the city dis-played on the screen or say “Spell City” tospell the name of the city.6. When prompted, say the name of the street.If the system cannot clearly interpret thename of the street, a list is provided withpossible matches. Speak the number of thestreet displayed on the screen or say “SpellStreet” to spell the name of the street.7. When prompted, say the house number orsay “No House Number” to display a defaultlocation on the chosen street within thechosen city. If the house number spoken isnot on the chosen street, the system will no-tify you that the number is out of range andto restate the number or say “No HouseNumber”.If a route is active, say “Replace Destination” toreplace the current destination with the newstreet address or say “Set as Waypoint” to setthe new street address as a waypoint on the cur-rent route.If a route is not set, say “Set as Destination” toset the new street address as the destinationand begin route guidance.Say “Show on Map” to display the new street ad-dress on the map.For more information about the NISSAN VoiceRecognition System, see the vehicle Owner’sManual.The system features a database of points of in-terest such as restaurants, hotels, banks andmore to assist you in navigation. These points ofinterest can be set as destinations and the sys-tem can then calculate a route.“MY POINTS OFINTEREST/USER-DEFINED POINTSOF INTEREST (POIs)” (page 4-13)SETTING A DESTINATION FROMPOINTS OF INTERESTNavigation 4-9ZREVIEW COPY—2014 Low Cost Navi 2 Kai (l2k)Navigation System OM—USA_English (nna)06/11/13—tbrooksX
JOBNAME: 1485166-2014-l2k-nav PAGE: 42 SESS: 4 OUTPUT: Tue Jun 11 14:46:07 2013SEARCHING FOR NEARBY RES-TAURANTS OR GAS STATIONSWhile a wide variety of places can be searchedin the system, shortcut buttons are available forrestaurants and gas stations.1. Press the NAV button.2. Touch “Points of Interest”.3. Touch “Nearby Restaurants”, “Nearby GasStations”, “Nearby Parking” or “NearbyATMs”.4. The system searches for destinations within50 miles (80 km) of the current position.5. Places are shown based on the straight linedistance to the current position. The arrowon the right shows the direction of thedestination. Touch the desired destinationon the list.NOTE:A maximum of 200 destinations will belisted when searching with this method.LNV2409 LNV2437 LNV24074-10 NavigationZREVIEW COPY—2014 Low Cost Navi 2 Kai (l2k)Navigation System OM—USA_English (nna)06/11/13—tbrooksX
JOBNAME: 1485166-2014-l2k-nav PAGE: 43 SESS: 4 OUTPUT: Tue Jun 11 14:46:07 20136. A detailed description of the destination isprovided.●Press the BACK or BACK button to goback and pick another destination.●Touch “Call” to call the destination (if a phonenumber is available) using the Bluetooth®Hands-Free Phone System. See the vehicleOwner’s Manual for more information aboutthe Bluetooth® Hands-Free Phone System.●Touch “Map” to show a map of thedestination.●Touch “Start” to calculate the route to thedestination.SEARCHING FOR PLACES NEARCURRENT LOCATION1. Press the NAV button.2. Touch “Points of Interest”.3. Touch “Search by Category”.4. Touch “Near Current Location”.When searching by category, you can browsedestinations from a variety of categories andsubcategories, including:●Automotive●Banking & Business●Emergency●Hotel/Motel●Leisure●Public Places●Restaurant●Shopping●TravelLNV2408 LNV2409 LNV2437Navigation 4-11ZREVIEW COPY—2014 Low Cost Navi 2 Kai (l2k)Navigation System OM—USA_English (nna)06/11/13—tbrooksX
JOBNAME: 1485166-2014-l2k-nav PAGE: 44 SESS: 4 OUTPUT: Tue Jun 11 14:46:07 2013If you choose “By Name”, you can search forplaces using a specific name. The touch key-board is shown.“HOW TO INPUT CHARACTERS”(page 2-8)NOTE:●When using “Search By Category”, the sys-tem will search for up to 200 matches within50 miles (80 km) of the current position.●When using “Search By Name”, the systemwill search for up to 30 matches within50 miles (80 km) of the current position.●If the destination is not found within the50 mile (80 km) search radius, you can searchfor places around a specific city name.“SEARCHING FOR POINTS OF IN-TEREST IN ANOTHER CITY”(page 4-12)5. Destinations are shown based on the dis-tance to the selected position. The arrow onthe right shows the direction of thedestination. The distance shown is astraight line distance.Touch the desired destination from the list.6. A detailed description of the destination isprovided.Press the BACK or BACK button togo back and pick another destination ortouch “Start” to have the system calculatethe route to the destination.SEARCHING FOR POINTS OF IN-TEREST IN ANOTHER CITY1. Press the NAV button.2. Touch “Points of Interest”.3. Touch “Search By Category” or “Search ByName”.4. Touch “In Another City”.5. Touch “Change State/Province” if the stateor province shown is not correct.6. If necessary, enter the name of the state orprovince.The display shows the touch keyboard.“HOW TO INPUT CHARAC-TERS” (page 2-8)The keyboard has an intelligent spellingsetting, so it excludes non-existingcombinations. On the top right of thescreen, the number of matches is shown.7. Touch “City”.8. A touch keyboard is displayed. Enter thename of the desired city.Press “List” at any time to display a list of remain-ing cities. Touch the desired city.9. If you chose “Search By Category” inStep 4, you can browse destinations from alist of categories and subcategories.If you choose “Search By Name” in Step 4, youcan search for places using a specific name. Thetouch keyboard is shown.NOTE:●When using “Search By Category”, the sys-tem will search for up to 200 matches within50 miles (80 km) of the chosen city.●When using “Search By Name”, the systemwill search for up to 30 matches within50 miles (80 km) of the chosen city. If nomatches are found, touch “Change Name” tosearch for another name.10. Destinations are shown based on the dis-tance from the selected position. The arrowon the right shows the direction of thedestination. The distance shown is astraight line distance from the city center.Touch the desired destination from the list.4-12 NavigationZREVIEW COPY—2014 Low Cost Navi 2 Kai (l2k)Navigation System OM—USA_English (nna)06/11/13—tbrooksX
JOBNAME: 1485166-2014-l2k-nav PAGE: 45 SESS: 4 OUTPUT: Tue Jun 11 14:46:07 201311. A detailed description of the destination isprovided.Press the BACK or BACK button togo back and pick another destination ortouch “Start” to have the system calculatethe route to the destination.SEARCHING FOR PLACES USINGVOICE RECOGNITION (if soequipped)Places can be set as destinations using theNISSAN Voice Recognition System:1. Press the or button on thesteering wheel. The system providesprompts and waits for voice commands.2. Say “Navigation”.3. Say “Points of Interest” followed by a brandname.4. Say number of the point of interest from theavailable list on the screen.5. There are up to four options to search for apoint of interest:●Say “Along Route” to search for the de-sired places along the current route.●Say “Nearby” to search for the desiredplaces close to the vehicle’s currentlocation.●Say “Near Destination” to search for thedesired places near the route’sdestination.●Say “In another city” so search for the de-sired places in another city. Selectingthis option will lead to a series of othersteps.6. The system displays a list of results fittingthe search criteria. Say the number of thedesired entry on the list.If a route is active, say “Replace Destination” toreplace the current destination with the newstreet address or say “Set as Waypoint” to setthe new street address as a waypoint on the cur-rent route.If a route is not set, say “Set as Destination” toset the new street address as the destinationand begin route guidance.Say “Show on Map” to display the new street ad-dress on the map.For more information about the NISSAN VoiceRecognition System, see the vehicle Owner’sManual.MY POINTS OF INTEREST/USER-DEFINED POINTS OF INTEREST(POIs)A point of interest (POI) in the My Points of Inter-est database is a specific location of interestsuch as a gas station or bank. The POI consistsof a longitude value, a latitude value and a name.Additional POIs can be added to the system us-ing the vehicle’s USB port. For more informationabout using the USB port, see your vehicle’sowner’s manual.The POIs can be set as a destination or be setupto activate POI warnings that display a pop-upmessage when the vehicle approaches certainareas such as hazard spot warnings.NOTE:●In order to save the user-defined points of in-terest data, a USB mass storage device isrequired. The user-defined points of interestdata cannot be saved on the SD-card whichcontains the navigation data.●User-defined points of interest are not shownin the map representation.Navigation 4-13ZREVIEW COPY—2014 Low Cost Navi 2 Kai (l2k)Navigation System OM—USA_English (nna)06/11/13—tbrooksX
JOBNAME: 1485166-2014-l2k-nav PAGE: 46 SESS: 4 OUTPUT: Tue Jun 11 14:46:07 2013●The system recognizes the user-definedpoints of interest (POI) data and then asks theuser via a pop-up message if the data needsto be downloaded into the system.●If you confirm the download, the available userPoints of Interest in the system internalmemory will be deleted and the new ones inthe USB mass storage device will be down-loaded into the internal memory of the system.●The progress of the download is shown by aprogress-bar. When the download is finished,the user is notified that the USB mass storagedevice can be removed.Creating user-defined points of inter-est (POIs)h1Longitudeh2Latitudeh3Nameh4Location/Folder to saveh5File namePOI data can be downloaded from the Internetor created in a simple text editor in CSV (CommaSeparated Values) file format.There are two kinds of POI data supported bythe system:●User POIs – user-defined points of interest(POI) that can later be set as a destinationand found using route guidance.●POI-warnings – user-supplied areas such ashazard spots that the system displays in apop-up window when the vehicle is ap-proaching the designated area.LNV10174-14 NavigationZREVIEW COPY—2014 Low Cost Navi 2 Kai (l2k)Navigation System OM—USA_English (nna)06/11/13—tbrooksX
JOBNAME: 1485166-2014-l2k-nav PAGE: 47 SESS: 4 OUTPUT: Tue Jun 11 14:46:07 2013Perform the following procedure to create yourown User POIs:1. Connect a USB mass storage device toyour personal computer.2. Use a standard software program to createa list of POIs. Make sure the software cansupport the CSV file format.3. In the first column, enter the longitude valueof the position of the POI.4. In the second column, enter the latitudevalue of the position of the POI.5. In the third column, enter the name of thePOI. Information entered in the fourthcolumn, such as address or phone number,will be appended to the name of the POI.6. Add more rows if necessary.7. Save the file with the extension .csv (forexample, myplacesfile.csv).NOTE:The name of the .CSV file will be used tocreate a My Points of Interest category inthe system. Create separate .CSV files withdifferent names to create other My Pointsof Interest categories.8. Make sure to select the USB mass storagedevice as the location to save, using the ex-act folder name “/myPOIs” for User POIs or“/myPOIs/myPOIwarnings”for POI-warnings. For example, if the USBmass storage device’s root folder is repre-sented by f:/, save the file to the folder“f:/myPOIs” for User POIs or to the folder“f:/myPOIs/myPOIwarnings”for POI-warnings.9. Connect the USB mass storage device tothe vehicle’s USB port. For more informa-tion about the USB port, see your vehicle’sOwner’s Manual.Adding user-defined points of interest(POIs)Perform the following procedure to add yourUser POIs to the system:1. Press the NAV button.2. Touch “Next Page”.3. Touch “My Points of Interest”.4. If a USB mass storage device with the newPOI data is connected, the system will auto-matically ask if you want to transfer the POIdata. Touch “Download” to begin the trans-fer or “Cancel” to cancel the procedure.NOTE:New POI data will overwrite POI data al-ready in the internal memory.LNV2410Navigation 4-15ZREVIEW COPY—2014 Low Cost Navi 2 Kai (l2k)Navigation System OM—USA_English (nna)06/11/13—tbrooksX
JOBNAME: 1485166-2014-l2k-nav PAGE: 48 SESS: 4 OUTPUT: Tue Jun 11 14:46:07 20135. The POI data on the USB mass storage de-vice is transferred to the vehicle.NOTE:A maximum of 8 MB of POI data can beadded to the system.6. Once the download process is complete,the available POIs are displayed in a list onthe screen.7. Touch the name of a POI on the list to set itas the destination.8. Touch “Start” to calculate the route.A user-defined POI in the My Points of Interestdatabase can also be set as the destination byfollowing the procedure below:1. Press the NAV button.2. Touch “Next Page”.3. Touch “My Points of Interest”4. Touch the name of the user-defined Point ofInterest to set that entry as a destination.Deleting user-defined points of inter-est (POIs)Perform the following procedure to delete theuser-defined POIs stored in the My Points of In-terest memory:1. Press the or MENU button.2. Touch “Settings”.3. Touch “Navigation”.4. Touch “My Points of Interest Settings”5. Touch “Remove My Points of Interest FromSystem”.6. A pop-up is displayed to confirm that youwant to delete all User POIs (My Points ofInterest) from the system. Touch “Yes” todelete the User POIs or “No” to cancel.Other options are available on the “My Points ofInterest Settings” screen:●My Points of Interest AlertSelect to adjust how alerts are provided whenapproaching a destination set by My Points ofInterest. Choose “OFF” to disable the alert.Choose “Show Only” to display the alert onthe screen. Choose “Show & Beep” to displaythe alert on the screen and play an audiblesound.LNV2459 LNV24604-16 NavigationZREVIEW COPY—2014 Low Cost Navi 2 Kai (l2k)Navigation System OM—USA_English (nna)06/11/13—tbrooksX
JOBNAME: 1485166-2014-l2k-nav PAGE: 49 SESS: 4 OUTPUT: Tue Jun 11 14:46:07 2013●Points of Interest Alert DistanceSelect to choose from the available list a dis-tance away from the My Points of Interestdestination at which to activate the alert.This option allows you to set and store the des-tination in the address book and use the storeddestinations to calculate a route.SETTING A NEW ENTRY TO THEADDRESS BOOK1. Press the NAV button.2. Touch “Next Page”.3. Touch “Address Book”.4. Touch “Add New Entry”.There are four possibilities shown:NOTE:Up to 50 address book entries can bestored. If the number of address book en-tries exceeds 50, one must be deleted be-fore the new one can be added.“SETTING AN ENTRY AS A DESTI-NATION” (page 4-18)LNV2410SETTING A DESTINATION FROM THEADDRESS BOOKNavigation 4-17ZREVIEW COPY—2014 Low Cost Navi 2 Kai (l2k)Navigation System OM—USA_English (nna)06/11/13—tbrooksX
JOBNAME: 1485166-2014-l2k-nav PAGE: 50 SESS: 4 OUTPUT: Tue Jun 11 14:46:07 2013●“Street Address”This option allows you to save a new entryby selecting the address.“SETTING A DESTINATIONFROM A STREET ADDRESS”(page 4-6)●“Previous Destination”This option allows you to save a destinationin the address book from a location storedin the previous destination memory.Touch the destination you would like to saveinto the address book.The touch keyboard gives the option to changethe name of the selected destination.Touch “OK”. The system confirms the entry andadds it to the address book.●“Current Destination”This option allows you to store the currentlyset destination in the address book when aroute is active. This option is only availablewhen a route is active.Touch “Current Destination”.The touch keyboard gives the option to changethe name of the destination.Touch “OK”. The system confirms the entry andadds it to the address book.●“Current Position”This option allows you to set the current po-sition as a destination in the address book.Touch “Current Position”.The touch keyboard gives the option to changethe name of the destination.Touch “OK”. The system confirms the entry andadds it to the address book.SETTING AN ENTRY AS A DESTINA-TIONInstead of touching “Add New Entry”, you cantouch any previously saved address.The detailed description of the entry is shown. Ifinformation for the destination is not available,latitude and longitude coordinates will be shown.You can rename or delete the entry. Touch “OK”to set the entry as a destination.The system will calculate the route to the ad-dress chosen.SETTING A DESTINATION FROMTHE ADDRESS BOOK USINGVOICE RECOGNITION (if soequipped)Entries in the address book can be set as desti-nations using the NISSAN Voice RecognitionSystem:1. Press the or button on thesteering wheel. The system providesprompts and waits for voice commands.2. Say “Navigation”.3. Say “Address Book”.4. Say the number of the entry in the addressbook displayed on the screen.If a route is active, say “Replace Destination” toreplace the current destination with the addressbook entry or say “Set as Waypoint” to set ad-dress book entry as a waypoint on the currentroute.If a route is not set, route guidance is calculatedto the address book entry.Say “Show on Map” to display the location of theaddress book entry on the map.For more information about the NISSAN VoiceRecognition System, see the vehicle Owner’sManual.4-18 NavigationZREVIEW COPY—2014 Low Cost Navi 2 Kai (l2k)Navigation System OM—USA_English (nna)06/11/13—tbrooksX
JOBNAME: 1485166-2014-l2k-nav PAGE: 51 SESS: 4 OUTPUT: Tue Jun 11 14:46:07 2013An intersection of two streets can be set as adestination. To set an intersection as the desti-nation:1. Press the NAV button.2. Touch “Next Page”.3. Touch “Intersection”.4. Touch “Change State/Province” if the stateor province displayed is not correct.5. If necessary, enter the name of the state orprovince.The display shows the touch keyboard.“HOW TO INPUT CHARACTERS”(page 2-8)6. Press “List” at any time and a list of remain-ing cities will be shown. Touch the desiredcity.7. Touch “Street”.The display shows the touch keyboard.8. Touch the name of the desired street.9. A list of intersecting streets will be shown ifsix or less exist. Otherwise, the touch key-board will be displayed again so that thename of the second street in the intersec-tion can be entered. Enter the second streetname.10. Select the intersecting street.11. Touch “Start”.The route to the intersection will becalculated.The center of a city can be set as a destination.To set a city center as a destination:1. Press the NAV button.2. Touch “Next Page”.3. Touch “City Center”.4. If the state shown is not correct, touch“Change State or Province”. Otherwise,proceed to step 7.5. Enter the name of the state or province. Thedisplay shows the touch keyboard.“HOW TO INPUT CHARAC-TERS” (page 2-8)The keyboard has an intelligent spellingsetting, so it excludes non-existingcombinations. On the top right of thescreen, the number of matches is shown.LNV2410 LNV2410SETTING AN INTERSECTION AS ADESTINATION SETTING A CITY CENTER AS A DES-TINATIONNavigation 4-19ZREVIEW COPY—2014 Low Cost Navi 2 Kai (l2k)Navigation System OM—USA_English (nna)06/11/13—tbrooksX
JOBNAME: 1485166-2014-l2k-nav PAGE: 52 SESS: 4 OUTPUT: Tue Jun 11 14:46:07 20136. Touch “City”7. Enter the name of the first street. The dis-play shows the touch keyboard.8. Touch “Start” to calculate the route to thecity center.The Navigation System receives traffic informa-tion from NavTraffic to inform you of traffic eventsand guide you to an alternate route. Trafficevents include accidents, road construction,heavy traffic and other factors that affect theroute ahead.DISPLAYING TRAFFIC EVENTSALONG ROUTEWhen a route is active, press the orMENU button and then touch “Traffic” to displaythe traffic event nearest the current vehiclelocation. The location and nature of the trafficevent is displayed on the screen. Three menuoptions are available on the screen.NOTE:This feature can also be accessed usingthe NISSAN Voice Recognition System (ifso equipped) by pressing theor button on the steering wheel andwhen prompted, saying “Information” then“Traffic”.LNV2459TRAFFIC FEATURE4-20 NavigationZREVIEW COPY—2014 Low Cost Navi 2 Kai (l2k)Navigation System OM—USA_English (nna)06/11/13—tbrooksX
JOBNAME: 1485166-2014-l2k-nav PAGE: 53 SESS: 4 OUTPUT: Tue Jun 11 14:46:07 2013●“Avoid Road On Route.”Touch the “Avoid Road On Route.” key to directthe navigation system to avoid the area impactedby the listed traffic event. The next screen listsmultiple options.Touch the “Detour by Distance” key to avoid theroad listed on the traffic event. You can choosethe distance over which the system avoids theaffected road. Touch the “+” or “-” key to set thedistance and then touch “Recalculate Route” tocalculate the new route.Touch the “Avoid Segment of Route List” key toavoid a series of roads on the route list due tothe traffic event. The route list is displayed on thescreen. Touch the names of two streets on thelist to avoid that portion of the route and thentouch “Recalculate Route” to calculate the newroute.●“List All Traffic Events”Touch the “List All Traffic Events” key to display alist of all traffic events in the area, including thosewhich are not directly along the current route.Touch the line of a specific event on the screento see more details about that item.TRAFFIC FLOW FEATUREUsing information received from NavTraffic, thesystem informs you of traffic levels on certainhighways and roads in the area along the route.Press the MAP button to display the map of thecurrent vehicle location. Any roads with trafficflow information will appear colored as follows:●Green: traffic is light and moving at normalspeeds. (>45 mph)●Yellow: traffic is heavy and moving slowly.(10-45 mph)●Red: traffic is gridlocked and not moving.(<10 mph)TRAFFIC SETTINGSTo access the settings for the traffic feature:1. Press the or MENU button.2. Touch the “Settings” key.LNV2459Navigation 4-21ZREVIEW COPY—2014 Low Cost Navi 2 Kai (l2k)Navigation System OM—USA_English (nna)06/11/13—tbrooksX
JOBNAME: 1485166-2014-l2k-nav PAGE: 54 SESS: 4 OUTPUT: Tue Jun 11 14:46:07 20133. Touch the “Traffic Messages” key.The following settings can be adjusted:●Dynamic Guidance●Show Traffic Incidents●Show Traffic Flow●Announce Traffic AlertsNavWeatherXM information is a subscriptionservice offered by SiriusXM Satellite Radio.This service provides real-time information re-garding current weather and forecasts whereavailable. The weather information is broadcastto the vehicle by the SiriusXM satellites.mWARNINGNavWeatherXM information is not asubstitute for attentive driving.Weather conditions change constantlyand emergency situations can arisewithout warning. Relying only onNavWeatherXM information could re-sult in serious personal injury.XM NavWeather information is available in lim-ited markets. To subscribe to or check if this ser-vice is available in the area, call1-866–635–2349 or accesswww.siriusxm.com/navweather.DISPLAYING WEATHER INFORMA-TION ON THE SCREEN1. Press the or MENU button.2. Touch “SiriusXM Travel Link”.3. Touch “Weather”.LNV2460 LNV2461WEATHER FEATURE4-22 NavigationZREVIEW COPY—2014 Low Cost Navi 2 Kai (l2k)Navigation System OM—USA_English (nna)06/11/13—tbrooksX
JOBNAME: 1485166-2014-l2k-nav PAGE: 55 SESS: 4 OUTPUT: Tue Jun 11 14:46:07 2013The weather conditions for the current locationare displayed on the screen.NOTE:In some areas, the location name at thetop of the screen may not match the loca-tion shown for “Weather Station” due todifferences in where weather informationis collected.Touch “Forecast” to see the weather forecast forthe selected area for the next five days.Touch “Location” to view weather information fora different location:●“Near Current Location”Select to view weather information for the cur-rent location.●“Near Destination”Select to view weather information near thedestination of the current route. Route guid-ance must be active for this option to beavailable.●“In Another City”Select to view weather information for a differ-ent city. Follow the on screen prompts andcharacter input screens to select the desiredlocation.NOTE:When the weather function is accessed forthe first time of the day, the GPS locationmay not be used. If this occurs, touch the“Location” key to update the location.NOTE:This feature can also be accessed usingthe NISSAN Voice Recognition System (ifso equipped) by pressing theor button on the steering wheel andwhen prompted, saying “Information” then“Current Weather” or “Weather Forecast”.LNV2441 LNV2442Navigation 4-23ZREVIEW COPY—2014 Low Cost Navi 2 Kai (l2k)Navigation System OM—USA_English (nna)06/11/13—tbrooksX
JOBNAME: 1485166-2014-l2k-nav PAGE: 56 SESS: 4 OUTPUT: Tue Jun 11 14:46:07 2013To display fuel prices at gas stations in the sur-rounding area on the screen:1. Press the or MENU button.2. Touch “SiriusXM Travel Link”.3. Touch “Fuel Prices”.NOTE:This feature can also be accessed usingthe NISSAN Voice Recognition System (ifso equipped) by pressing theor button on the steering wheel andwhen prompted, saying “Information” then“Fuel Prices”.4. A list of gas stations is displayed with thedistance and direction to each entry. Touchan entry on the screen to view informationabout that gas station.5. The name, address and phone number ofthe gas station are displayed. If available,the prices for each grade of gasoline arealso displayed. Touch “Store” to store thelocation in the address book. Touch “Call”to call the location using the Bluetooth®Hands-Free Phone System. Touch “Map” toview the location on the map. Touch “Start”to begin route guidance to the location.LNV2461FUEL PRICES4-24 NavigationZREVIEW COPY—2014 Low Cost Navi 2 Kai (l2k)Navigation System OM—USA_English (nna)06/11/13—tbrooksX
JOBNAME: 1485166-2014-l2k-nav PAGE: 57 SESS: 4 OUTPUT: Tue Jun 11 14:46:07 20135 Other settingsSystemsettings...................................5-2Touchscreenclick..............................5-3Systembeeps..................................5-3Return to factory settings. . . . . . . . . . . . . . . . . . . . . . . . 5-3Displaysettings...................................5-3Display........................................5-3Brightness.....................................5-3Rear View Camera Settings . . . . . . . . . . . . . . . . . . . . . 5-4Temperature Unit Settings . . . . . . . . . . . . . . . . . . . . . . . 5-4Clocksettings.....................................5-4Setclockmanually..............................5-5Languagesettings.................................5-5ZREVIEW COPY—2014 Low Cost Navi 2 Kai (l2k)Navigation System OM—USA_English (nna)06/11/13—tbrooksX
JOBNAME: 1485166-2014-l2k-nav PAGE: 58 SESS: 4 OUTPUT: Tue Jun 11 14:46:07 2013The system can be customized according toyour preference.1. Press the or MENU button.2. Touch “Settings”.3. Touch “System”.4. Select the preferred setting item on thescreen and the next screen will be shown.You may need to use the scrolling dial or thetouch screen to scroll if more than onescreen of options is available.The following settings are available:●Display“DISPLAY SETTINGS”(page 5-3)●Clock“CLOCK SETTINGS” (page 5-4)●Language“LANGUAGE SETTINGS”(page 5-5)●Camera“CAMERA DISPLAY SETTINGS”(page 5-4)●Temperature Unit“TEMPERATURE UNIT”(page 5-4)●Touchscreen Click“TOUCHSCREEN CLICK”(page 5-3)●System Beeps“SYSTEM BEEPS” (page 5-3)●“Return to Factory Settings/Clear Memory”“RETURN TO FACTORY SET-TINGS” (page 5-3)5. Select the button of the preferred item andadjust the setting. Alternatively, use thescrolling dial or steering wheel scrollingswitch (if so equipped).6. Press the BACK or BACK button toreturn to the previous screen or press theNAV button to return to the current locationmap screen.LNV2459 LNV2460SYSTEM SETTINGS5-2 Other settingsZREVIEW COPY—2014 Low Cost Navi 2 Kai (l2k)Navigation System OM—USA_English (nna)06/11/13—tbrooksX
JOBNAME: 1485166-2014-l2k-nav PAGE: 59 SESS: 4 OUTPUT: Tue Jun 11 14:46:07 2013TOUCHSCREEN CLICKUse this setting to change the audible confirma-tion between the on or off position when ascreen button is touched.Select the “Touchscreen Click” key to toggle be-tween On and Off.SYSTEM BEEPSUse this setting to change the audible confirma-tion when:●a button on the unit is pressed and held forabout two seconds, such as the button.●a pop-up message appears on the screen.Select the “System Beeps” key to toggle be-tween ON and OFF.RETURN TO FACTORY SETTINGSUse this setting to restore the factory defaultsettings.Touch the “Return to Factory Settings/ClearMemory” key and then confirm the message. Ifyou choose “Yes”, the system will reset the set-tings to the default settings. If you choose “No”,the default settings will not be restored and thedisplay returns to the system settings screen.DISPLAYSwitching the display on or offThis setting allows you to turn the display on oroff. When the display is turned off, the clock willstill be displayed.To turn off the display, press and hold thebutton.The display will switch on when:●the button is pressed.●any other button is pressed.●receiving incoming calls or during a phonecall. When the call is ended, the display re-turns to clock display.Voice guidance (if active) continues even whenthe display is turned off.Press and hold the button for more thantwo seconds to switch the display to a larger dis-play of the digital clock.Changing day-night brightnessPress the button for less than two sec-onds to toggle:●between day and auto (night) when head-lights are on.●between night and auto (day) when head-lights are off.While the display is showing the current bright-ness mode, turn the TUNE/SCROLL dial to ad-just the brightness.The day or night mode can also be toggled fromthe Display Settings menu.BRIGHTNESSThis menu allows you to adjust the brightness ofthe screen.1. Press the or MENU button.2. Touch the “Settings” key.3. Touch the “System” key.4. Touch the “Display” key.5. Adjust the brightness using the “+” and “-”keys.6. To save the setting, press the BACKor BACK button to return to the pre-vious screen.DISPLAY SETTINGSOther settings 5-3ZREVIEW COPY—2014 Low Cost Navi 2 Kai (l2k)Navigation System OM—USA_English (nna)06/11/13—tbrooksX
JOBNAME: 1485166-2014-l2k-nav PAGE: 60 SESS: 4 OUTPUT: Tue Jun 11 14:46:07 2013REAR VIEW CAMERA SETTINGSUse this setting to change the display mode(automatic/day/night) for the rear view camera.Brightness, contrast and color can also beadjusted.1. Press the or MENU button.2. Touch the “Settings” key.3. Touch the “System” key.4. Scroll down and touch the “Camera” key.Toggle display mode and use the “+” and “–”keys to adjust brightness, contrast and color forrear camera display.TEMPERATURE UNIT SETTINGSUse this setting to change the temperature units(Fahrenheit/Celsius).1. Press the or MENU button.2. Touch the “Settings” key.3. Touch the “System” key.4. Scroll down and touch the “TemperatureUnit” key.This setting allows you to make clockadjustments.1. Press the or MENU button.2. Touch the “Settings” key.3. Touch the “System” key.4. Touch the “Clock” key.5. Select the preferred setting item and makean adjustment.●“Time Format”:Touch the “Time Format” key to change theclock format between 12-hour and 24-hour.●“Date Format”:Touch the “Date Format” key to choose oneof five available date formats.●“Clock Mode”:Select “Manual” to manually set the clockwith the “Set Clock Manually” key. Select“Auto” to have the clock automatically ad-justed by the GPS system. Select “TimeZone” to have the time set to a specific timezone.●“Set Clock Manually”:Allows you to set the clock manually. Thisfeature is only available if “Manual” is se-lected for “Clock Mode”.“SET CLOCK MANUALLY”(page 5-5)●“Daylight Savings Time”:Touch the “Daylight Savings Time” key totoggle daylight savings time on or off. Thisfeature is unavailable if “Clock Mode” is setto “Auto”.●“Time Zone”:Select and touch an appropriate time zoneof the current vehicle location to bypass theGPS satellite. This feature is only available if“Time Zone” is selected for “Clock Mode”.NOTE:If “Daylight Savings Time” is set to “ON”and a time zone is chosen for an area thatdoes not observe Daylight Savings Time,the “Daylight Savings Time” setting re-mains “On” and must be turned offmanually.CLOCK SETTINGS5-4 Other settingsZREVIEW COPY—2014 Low Cost Navi 2 Kai (l2k)Navigation System OM—USA_English (nna)06/11/13—tbrooksX
JOBNAME: 1485166-2014-l2k-nav PAGE: 61 SESS: 4 OUTPUT: Tue Jun 11 14:46:07 20136. After adjusting the desired settings, pressthe BACK or BACK button to returnto the previous screen. You can also pressthe MAP button to return to the current lo-cation map screen or the FM, AM, CD orAUX button to return to the audio screen.SET CLOCK MANUALLYAdjust the hour, minute, day, month and year us-ing the “+” and “–” keys.1. Press the or MENU button.2. Touch the “Settings” key.3. Touch the “System” key.4. Touch the “Clock” key.5. Toggle “Clock Mode” key to “Manual”.6. Toggle “MODE” to “AM” or “PM”, then use“+” and “–” keys to adjust hour, minute, day,month and year.After adjusting the desired settings, press theBACK or BACK button to return to theprevious screen.This setting allows you to change the languageused by the system.1. Press the or MENU button.2. Touch the “Settings” key.3. Touch the “System” key.4. Touch the “Language” key.5. Select the appropriate language. The avail-able languages are:– English– Français– EspañolLANGUAGE SETTINGSOther settings 5-5ZREVIEW COPY—2014 Low Cost Navi 2 Kai (l2k)Navigation System OM—USA_English (nna)06/11/13—tbrooksX
JOBNAME: 1485166-2014-l2k-nav PAGE: 62 SESS: 4 OUTPUT: Tue Jun 11 14:46:07 20135-6 Other settingsMEMO
JOBNAME: 1485166-2014-l2k-nav PAGE: 63 SESS: 4 OUTPUT: Tue Jun 11 14:46:07 20136 General system informationSafetyinformation.................................6-2Features of this navigation system . . . . . . . . . . . . . . . . . . . 6-2Routeguidance................................6-2Points of Interest directory. . . . . . . . . . . . . . . . . . . . . . . 6-3Addressbook..................................6-3NavTrafficinformation...........................6-3Voiceguidance.................................6-3Currentvehiclelocation............................6-4Display of current vehicle location . . . . . . . . . . . . . . . . 6-4What is GPS (Global Positioning System)?. . . . . . . . 6-4Detailed map coverage (MCA) for thenavigationsystem ..............................6-4When a gray road is displayed on the map . . . . . . . . 6-4Routecalculation..................................6-4Routeguidance...................................6-6Basics of voice guidance . . . . . . . . . . . . . . . . . . . . . . . . 6-6Directions provided and the distances toguidepoints ...................................6-6Repeating voice guidance . . . . . . . . . . . . . . . . . . . . . . . 6-6Notes on voice guidance . . . . . . . . . . . . . . . . . . . . . . . . 6-6How to handle the display . . . . . . . . . . . . . . . . . . . . . . . . . . 6-7Characteristics of a liquid crystal display . . . . . . . . . . 6-7Maintenance of the display . . . . . . . . . . . . . . . . . . . . . . 6-8ZREVIEW COPY—2014 Low Cost Navi 2 Kai (l2k)Navigation System OM—USA_English (nna)06/11/13—tbrooksX
JOBNAME: 1485166-2014-l2k-nav PAGE: 64 SESS: 4 OUTPUT: Tue Jun 11 14:46:07 2013This system is primarily designed to help youreach your destination, and it performs otherfunctions as outlined in this manual. However thedriver must use the system safely and properly.Information concerning road conditions, trafficsigns and the availability of services may not al-ways be up-to-date. The system is not a substi-tute for safe, proper and legal driving.Before using the navigation system, please readthe following safety information. Always use thesystem as outlined in this manual.mWARNING●When the driver wants to operate thenavigation system, first park the ve-hicle in a safe location and set theparking brake. Operating the systemwhile driving can distract the driverand may result in a serious accident.●Do not rely on route guidance alone.Always be sure that all driving ma-neuvers are legal and safe in order toavoid accidents.●Do not disassemble or modify thissystem. If you do, it may result inaccidents, fire or electrical shock.●Do not use this system if you noticeany malfunctions such as a frozenscreen or lack of sound. Continueduse of the system may result inaccidents, fire or electrical shock.●If you notice any foreign objects inthe system hardware, spill liquid onthe system or notice smoke or asmell, stop using the system immedi-ately and contact a NISSAN dealer.Ignoring such conditions may lead toaccidents, fire or electrical shock.CAUTION●Some states or provinces may havelaws limiting the use of videoscreens while driving. Use this sys-tem only where it is legal to do so.NOTE:Do not keep the navigation system runningwith the engine stopped. Doing so maydischarge the vehicle battery. When youuse the navigation system, always keepthe engine running.ROUTE GUIDANCEThe main features of the NISSAN NavigationSystem are visual guidance and voice guidancein selected map coverage areas. Utilizing a net-work of GPS (Global Positioning System)satellites, the NISSAN Navigation System tracksthe location on the map and navigates to a pre-ferred location.Once you set the destination in a map coveragearea, the NISSAN Navigation System will calcu-late a route from your current location to yourdestination. The real-time map display and turn-by-turn voice guidance leads the driver along theroute. These features can be especially helpfulwhen driving to unfamiliar locations.The system may be unable to set a destinationand/or calculate a route when the destination isoutside the map coverage area. Additionally,voice guidance may not be available if the desti-nation is outside the map coverage area. Formore information on how to set a destination, re-fer to Section 4.SAFETY INFORMATION FEATURES OF THIS NAVIGATIONSYSTEM6-2 General system informationZREVIEW COPY—2014 Low Cost Navi 2 Kai (l2k)Navigation System OM—USA_English (nna)06/11/13—tbrooksX
JOBNAME: 1485166-2014-l2k-nav PAGE: 65 SESS: 4 OUTPUT: Tue Jun 11 14:46:07 2013POINTS OF INTEREST DIRECTORYThe NISSAN Navigation System offers an exten-sive Points of Interest directory in map coverageareas. This directory includes a wide variety ofdestinations. By accessing the Points of Interestdirectory, you can search for addresses for adestination, and just by pushing a button, theNISSAN Navigation System will calculate aroute to the destination.The Points of Interest directory has many uses.For example, the directory can be sorted by thevarious types of restaurants near your currentlocation. If you need a bank or a gas station, theNISSAN Navigation System can navigate you tothe closest preferred location using the Points ofInterest entered in the system.“SETTING A DESTINATION FROMPOINTS OF INTEREST” (page 4-9)ADDRESS BOOKThe address book can store up to 50 locationsfrom map coverage areas into a personaldirectory. This is especially useful for frequentlyvisited locations, such as clients, relatives andfriends. The address book function allows easyaccess to frequently visited locations when set-ting them as your destination.“SETTING A DESTINATION FROMTHE ADDRESS BOOK” (page 4-17)NAVTRAFFIC INFORMATIONWhen available, the NavTraffic Informationbroadcast may help to avoid delays due to trafficincidents. Traffic jams, roadwork, closed roadsaround the current location, etc. are representedgraphically on the map by icons depicting thenature of the event. Incidents on the route areautomatically displayed when they areapproached.The NavTraffic Information feature, via the guid-ance mode, may help to detour around trafficproblems. For more information on the NavTrafficInformation feature, refer to section 4.VOICE GUIDANCERoute guidance is provided through voice andvisual instructions. Voice guidance announcesthe appropriate directions when approaching anintersection at which you need to turn. To repeatthe voice guidance, touch the “Voice” key.The voice guidance can be alternately enabledor disabled by touching and holding the “Voice”key on the screen for about two seconds. Whenthe voice guidance is disabled, the “Voice” keyon the screen will appear grayed out.LNV2026General system information 6-3ZREVIEW COPY—2014 Low Cost Navi 2 Kai (l2k)Navigation System OM—USA_English (nna)06/11/13—tbrooksX
JOBNAME: 1485166-2014-l2k-nav PAGE: 66 SESS: 4 OUTPUT: Tue Jun 11 14:46:07 2013DISPLAY OF CURRENT VEHICLELOCATIONThis navigation system combines the data ob-tained from the vehicle (by gyro sensor) and fromGPS (Global Positioning System) satellites tocalculate the current location of the vehicle. Thisposition is then displayed throughout route guid-ance to a destination.WHAT IS GPS (Global PositioningSystem)?GPS is a position detecting system that usessatellites deployed by the U.S. government. Thisnavigation system receives radio signals fromthree or more different satellites that orbit13,049 miles (21,000 km) above the earth inspace, and detects the position of the vehicle byutilizing the principle of triangulation.DETAILED MAP COVERAGE (MCA)FOR THE NAVIGATION SYSTEMThis system is designed to help you reach yourdestination, and also performs other functions asoutlined in this manual. However, you, the driver,must use the system safely and properly. Infor-mation concerning road conditions, traffic signsand the availability of services may not always beup-to-date. The system is not a substitute forsafe, proper, and legal driving.Map data is available on the provided SD-card.For information about the map SD-card, contacta NISSAN dealer or call the NISSAN NAVIGA-TION SYSTEM HELPDESK. See the contact in-formation on the inside front cover of thismanual.Map data includes 2 types of areas: “Detailedcoverage areas” providing all detailed road dataand other areas showing “Main roads only”.NOTE:Detailed map data is not available in manyareas and is generally limited to select ma-jor metropolitan areas.WHEN A GRAY ROAD IS DIS-PLAYED ON THE MAP●Route calculation may not be possible when adestination or the current vehicle location isnear a gray road.●Route guidance (enlarged view and voiceguidance) may not be available at the inter-section where the road your vehicle is drivingon and a gray road intersect.●Places information and street names neargray roads are not contained in the map data.●The NISSAN Navigation System may not cal-culate a route if the current vehicle location istoo far away from the destination. In this case,please divide your trip by selecting one or twointermediate destinations.●To reach your destination, refer to the mapscreen. Always follow actual roads and regu-lations and drive safely.●The suggested route may not be the shortest,nor are other circumstances such as trafficjams considered unless the NavTraffic isactive.●Because of the inevitable difference in roadconditions and circumstances between thetime you use this system and the time the in-formation was produced for the map data,there may be discrepancies in roads andregulations. In such cases, follow the actualinformation available.●During route calculation, the map will notscroll, however the vehicle icon will move withthe actual vehicle’s movement.●In some cases, after the calculation iscomplete, the calculated route may not be im-mediately displayed.●If you scroll the map while the suggestedroute is being drawn, it may take more time tofinish drawing.CURRENT VEHICLE LOCATION ROUTE CALCULATION6-4 General system informationZREVIEW COPY—2014 Low Cost Navi 2 Kai (l2k)Navigation System OM—USA_English (nna)06/11/13—tbrooksX
JOBNAME: 1485166-2014-l2k-nav PAGE: 67 SESS: 4 OUTPUT: Tue Jun 11 14:46:07 2013●If waypoints are set, the system calculatesmultiple routes between waypointssimultaneously, and the following may result.– If one section between waypoints cannotbe calculated, none of the route will bedisplayed.– The route may not connect completely atsome waypoints.– The route may require a U-turn close tosome waypoints.●Route calculation may not be completed inthe following cases.– If there is no main road within a range of1.5 miles (2.5 km) from the vehicle, amessage will then appear on the screen.Try recalculating when the vehicle iscloser to a main road.– If the vehicle is too close to the destina-tion or if there are no roads to thedestination, a message will then appearon the screen.– If it is impossible to reach the destinationor waypoints because of trafficregulations, etc.– If the only target route to the destinationor waypoints is extremely complicated.●The following may occur when the route isdisplayed.– If you calculate a route on a main road,the starting point of the route may not ex-actly match the current vehicle location.– The endpoint of the route may not exactlymatch the destination.– If you calculate a route on a main road,the system may display a route from an-other main road. This may be becausethe position of the vehicle icon is notaccurate. In this case, park the vehicle ina safe location and reset the vehicle icon,or continue driving to see if the positionof the vehicle icon is automatically ad-justed before recalculating the route.“VEHICLE ICON” (page 7-3)– In some cases, the system shows an in-direct route to the destination or way-points if you set them from stored orplaces information. In order to correct,you must be careful about the trafficdirection, especially when lanes with dif-ferent travel directions are shownseparately, such as interchanges andservice areas.– Even if the freeway preference is set toOFF, a route that uses the freeway maybe suggested.– Even if the preference is set to OFF, aroute that uses a ferry line may besuggested.– Ferry lines, excluding those that are onlyfor pedestrians, bicycles andmotorcycles, are stored in this system.Take into consideration the travel time re-quired and operational condition beforedeciding whether to use the route.General system information 6-5ZREVIEW COPY—2014 Low Cost Navi 2 Kai (l2k)Navigation System OM—USA_English (nna)06/11/13—tbrooksX
JOBNAME: 1485166-2014-l2k-nav PAGE: 68 SESS: 4 OUTPUT: Tue Jun 11 14:46:07 2013BASICS OF VOICE GUIDANCEThe voice guidance announces which directionto follow when approaching an intersectionwhere a turn is required.After setting the route, select “Start” to beginroute guidance.During route guidance, the system navigates youthrough the guide points using visual and voiceguidance.NOTE:●The navigation system visual and voice guid-ance is for reference purposes only. The con-tents of the guidance may be inappropriatedepending on the situation.●There may be some cases in which voiceguidance and actual road conditions do notcorrespond. This may occur because of dis-crepancies between the actual road and theinformation on the map data, or due to the ve-hicle’s speed.●In case voice guidance does not correspondto the actual road conditions, follow the infor-mation obtained from traffic signs or noticedon the road.●Route guidance provided by the navigationsystem does not take carpool lane driving intoconsideration, especially when carpool lanesare separated from other road lanes.DIRECTIONS PROVIDED AND THEDISTANCES TO GUIDE POINTSDirections will differ, depending on the roadtype.INFO:Distances may vary, depending on the vehiclespeed.Notification when approaching thedestinationOrdinary road:The voice guidance will warn you when ap-proaching your destination. To reach your desti-nation precisely, refer to the map screen.REPEATING VOICE GUIDANCEThis function is available throughout routeguidance, from the time after the route calcula-tion is completed until the vehicle arrives at thedestination.Touch the “Voice” key.Voice guidance will be repeated.INFO:●If you touch the “Voice” key when you havedeviated from the suggested route, voiceguidance will announce, “Proceed to thehighlighted route.”●If you touch the “Voice” key when you are go-ing in the wrong direction, voice guidance willannounce: “Please make a legal U-turn ifpossible.”NOTES ON VOICE GUIDANCE●Voice guidance in this system should be re-garded as a supplementary function. Whendriving your vehicle, check the route on themap and follow the actual roads and trafficregulations.●Voice guidance is activated only for intersec-tions with certain conditions.●There may be cases where the vehicle has toturn, but voice guidance is not provided.●Voice guidance contents may vary, dependingon the direction of the turn and the type ofintersection.●The voice guidance timing will vary dependingon the situation.ROUTE GUIDANCE6-6 General system informationZREVIEW COPY—2014 Low Cost Navi 2 Kai (l2k)Navigation System OM—USA_English (nna)06/11/13—tbrooksX
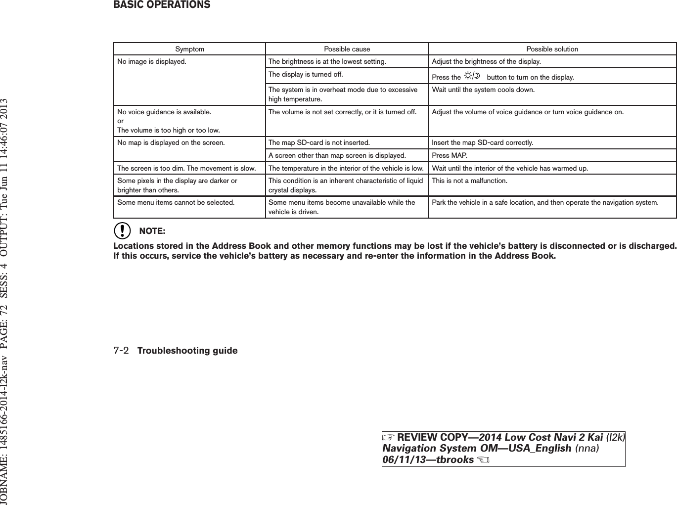
JOBNAME: 1485166-2014-l2k-nav PAGE: 69 SESS: 4 OUTPUT: Tue Jun 11 14:46:07 2013●When the vehicle has deviated from the sug-gested route, voice guidance is not available.The system will not announce this to you. Re-fer to the map and recalculate the route.●Voice guidance may not accurately corre-spond with road numbers and directions atfreeway junctions.●Voice guidance may not accurately corre-spond to street names at freeway exits.●The displayed street names may sometimesdiffer from the actual names, or “UNKNOWNSTREET NAME” may be displayed.●Voice guidance is not available when the fea-ture is disabled in the SETTINGS menu.●Voice guidance will start when the vehicle en-ters the suggested route. Refer to the map fordirections to the starting point of the route.●When approaching a waypoint, voice guid-ance will announce, “You have reached yourintermediate destination on the (left/right)side.” Voice guidance will switch to the nextsection of the route. When voice guidance isnot available, refer to the map for directions.●In some cases, voice guidance ends beforearrival at the destination. Refer to the destina-tion icon on the map to reach the destination.●If the system recognizes on which side thedestination (waypoint) is located, voice guid-ance will announce “on the right/left” after an-nouncing the arrival at the destination.●Voice guidance may be partially operational orinoperative due to the angle of roads at anintersection.●Because it is not possible to consider dataconcerning roads that are seasonally availableor unavailable, a route may be displayed thatdoes not match the actual traffic restrictions.Be sure to follow the actual traffic restrictionswhile driving.●Canada and Alaska contain many roads withincomplete map data. As a result, whensearching for a route, the route may includeroads with incomplete data. In regions whereroad data is not complete, voice guidancemay stop for long periods of time. Be sure tofollow the actual traffic restrictions whiledriving.The display is a liquid crystal display and shouldbe handled with care.mWARNINGNever disassemble the display. Someparts utilize extremely high voltage.Touching them may result in seriouspersonal injury.CHARACTERISTICS OF A LIQUIDCRYSTAL DISPLAY●If the temperature inside the vehicle is espe-cially low, the display will stay relatively dim orthe movement of the images may be slow.These conditions are normal. The display willfunction normally when the interior of the ve-hicle has warmed up.●Some pixels in the display are darker orbrighter than others. This condition is an in-herent characteristic of liquid crystal displays,and it is not a malfunction.●A remnant of the previous display image mayremain on the screen. This screen burn is in-herent in displays, and it is not a malfunction.INFO:The screen may become distorted by strongmagnetic fields.HOW TO HANDLE THE DISPLAYGeneral system information 6-7ZREVIEW COPY—2014 Low Cost Navi 2 Kai (l2k)Navigation System OM—USA_English (nna)06/11/13—tbrooksX
JOBNAME: 1485166-2014-l2k-nav PAGE: 70 SESS: 4 OUTPUT: Tue Jun 11 14:46:07 2013MAINTENANCE OF THE DISPLAYCAUTION●To clean the display, never use arough cloth, alcohol, benzine,thinner, any kind of solvent, or papertissues with chemical cleaning agent.They would scratch or deteriorate thepanel.●Do not splash any liquid such as wa-ter or car fragrance on the display.Contact with liquid will cause thesystem to malfunction and damagethe hardware.For cleaning, use a dry soft cloth. If additionalcleaning is necessary, use a small amount ofneutral detergent with a soft cloth. Never spraythe screen with water or detergent. Dampen thecloth first, then wipe the screen.6-8 General system informationZREVIEW COPY—2014 Low Cost Navi 2 Kai (l2k)Navigation System OM—USA_English (nna)06/11/13—tbrooksX
JOBNAME: 1485166-2014-l2k-nav PAGE: 71 SESS: 4 OUTPUT: Tue Jun 11 14:46:07 20137 Troubleshooting guideBasicoperations ..................................7-2Vehicleicon.......................................7-3Map SD-card route calculation and visual guidance . . . 7-5Voiceguidance....................................7-6ZREVIEW COPY—2014 Low Cost Navi 2 Kai (l2k)Navigation System OM—USA_English (nna)06/11/13—tbrooksX
JOBNAME: 1485166-2014-l2k-nav PAGE: 72 SESS: 4 OUTPUT: Tue Jun 11 14:46:07 2013Symptom Possible cause Possible solutionNo image is displayed. The brightness is at the lowest setting. Adjust the brightness of the display.The display is turned off. Press the button to turn on the display.The system is in overheat mode due to excessivehigh temperature.Wait until the system cools down.No voice guidance is available.orThe volume is too high or too low.The volume is not set correctly, or it is turned off. Adjust the volume of voice guidance or turn voice guidance on.No map is displayed on the screen. The map SD-card is not inserted. Insert the map SD-card correctly.A screen other than map screen is displayed. Press MAP.The screen is too dim. The movement is slow. The temperature in the interior of the vehicle is low. Wait until the interior of the vehicle has warmed up.Some pixels in the display are darker orbrighter than others.This condition is an inherent characteristic of liquidcrystal displays.This is not a malfunction.Some menu items cannot be selected. Some menu items become unavailable while thevehicle is driven.Park the vehicle in a safe location, and then operate the navigation system.NOTE:Locations stored in the Address Book and other memory functions may be lost if the vehicle’s battery is disconnected or is discharged.If this occurs, service the vehicle’s battery as necessary and re-enter the information in the Address Book.BASIC OPERATIONS7-2 Troubleshooting guideZREVIEW COPY—2014 Low Cost Navi 2 Kai (l2k)Navigation System OM—USA_English (nna)06/11/13—tbrooksX
JOBNAME: 1485166-2014-l2k-nav PAGE: 73 SESS: 4 OUTPUT: Tue Jun 11 14:46:07 2013Symptom Possible cause Possible solutionNames of roads and locations differ between 2Dand 3D mode.This is because the quantity of the displayed information isreduced so that the screen does not become difficult to read.There is also a chance that names of the roads or locationsmay be displayed several times, and the names appearing onthe screen may be different because of a processingprocedure.This is not a malfunction.The vehicle icon is not displayed in the correctposition.The vehicle was transported after the ignition switch wasturned off by a ferry or car transporter, for example.Drive the vehicle for a while on a road where GPS signals canbe received.The position and direction of the vehicle icon may be incor-rect depending on the driving environments and the levels ofpositioning accuracy of the navigation system.This is not a malfunction. Drive the vehicle for a while to auto-matically correct the position and direction of the vehicle icon.“CURRENT VEHICLE LOCATION” (page 6-4)When the vehicle is traveling on a new road, thevehicle icon is located on another road nearby.The system automatically places the vehicle icon on the near-est available road, because the new road is not stored in themap data.Updated road information will be included in the next version ofthe map SD-card.The map does not scroll even when the vehicle ismoving.The current location map screen is not displayed. Press the MAP button.The vehicle icon is not displayed. The current location map screen is not displayed. Press the MAP button.The GPS indicator on the screen remains gray. GPS signals cannot be received under certain conditions,such as in a parking garage, on a road with many tallbuildings, etc.Drive on an open, straight road for a while.A sufficient number of GPS satellites is not available. Wait for the satellites to move to locations available for the navi-gation system.VEHICLE ICONTroubleshooting guide 7-3ZREVIEW COPY—2014 Low Cost Navi 2 Kai (l2k)Navigation System OM—USA_English (nna)06/11/13—tbrooksX
JOBNAME: 1485166-2014-l2k-nav PAGE: 74 SESS: 4 OUTPUT: Tue Jun 11 14:46:07 2013Symptom Possible cause Possible solutionThe location of the vehicle icon is misaligned fromthe actual position.When using tire chains or replacing the tires, speed calcula-tions based on the speed sensor may be incorrect.Drive the vehicle for a while (at approximately 19 MPH [30 km/h]for about 30 minutes) to automatically correct the vehicle iconposition. If this does not correct the vehicle icon position, con-tact a NISSAN dealer.The map data has a mistake or is incomplete (the vehicleicon position is always misaligned in the same area).Updated road information will be included in the next version ofthe map data.7-4 Troubleshooting guideZREVIEW COPY—2014 Low Cost Navi 2 Kai (l2k)Navigation System OM—USA_English (nna)06/11/13—tbrooksX
JOBNAME: 1485166-2014-l2k-nav PAGE: 75 SESS: 4 OUTPUT: Tue Jun 11 14:46:07 2013Symptom Possible cause Possible solutionThe message “Error” appears. The SD-card is not recognized by the system. Replace the map SD-card if you see any damage.In the automatic reroute calculation, the waypoint is notincluded.A waypoint that you have already passed is not included in the auto-matic reroute calculation.If you want to go to that waypoint again, you need toadd it back to the route.Route information is not displayed. Route calculation has not yet been performed. Set the destination and perform route calculation.The vehicle is not on the suggested route. Drive on the suggested route.Route guidance is cancelled. Turn on route guidance.The automatic reroute calculation (or detour calculation)suggests the same route as the one previouslysuggested.Route calculations took priority conditions into consideration, butthe same route was calculated.This is not a malfunction.The suggested route is not displayed. Roads near the destination cannot be calculated. Reset the destination to a main or ordinary road, andrecalculate the route.The starting point and destination are too close. Set a more distant destination.The starting point and destination are too far away. Divide the trip by selecting one or two intermediatedestinations, and perform route calculations multipletimes.An indirect route is suggested. If there are restrictions (such as one-way streets) on roads close tothe starting point or destination, the system may suggest an indirectroute.Adjust the location of the starting point ordestination.The system may suggest an indirect route because route calculationdoes not take into consideration some areas such as narrow streets(gray roads).Reset the destination to a main or ordinary road, andrecalculate the route.The landmark information does not correspond to theactual information.This may be caused by insufficient or incorrect data on the mapSD-card.Updated information will be included in the next ver-sion of the map SD-card.The suggested route does not exactly connect to thestarting point or destination.There is no data for route calculation closer to these locations. Set the starting point and destination on a main road,and perform route calculation.MAP SD-CARD ROUTE CALCULATIONAND VISUAL GUIDANCETroubleshooting guide 7-5ZREVIEW COPY—2014 Low Cost Navi 2 Kai (l2k)Navigation System OM—USA_English (nna)06/11/13—tbrooksX
JOBNAME: 1485166-2014-l2k-nav PAGE: 76 SESS: 6 OUTPUT: Tue Jun 11 14:46:07 2013Symptom Possible cause Possible solutionVoice guidance is not available. In some cases, voice guidance is not available even when thevehicle should make a turn.This is not a malfunction.The vehicle has deviated from the suggested route. Go back to the suggested route or request route calculationagain.Voice guidance is set to off. Turn on voice guidance.The guidance content does not correspond to theactual condition.The content of voice guidance may vary, depending on thetypes of intersections at which turns are made.Follow all traffic rules and regulations.VOICE GUIDANCE7-6 Troubleshooting guideZREVIEW COPY—2014 Low Cost Navi 2 Kai (l2k)Navigation System OM—USA_English (nna)06/11/13—tbrooksX
JOBNAME: 1485166-2014-l2k-nav PAGE: 77 SESS: 6 OUTPUT: Tue Jun 11 14:46:07 20138 IndexAAddressbook...................6-3BBasic operations . . . . . . . . . . . . . . . . .7-2Basics of voice guidance . . . . . . . . . . . .6-6CClock settings . . . . . . . . . . . . . . . . . .5-4Control buttons and functions. . . . . . . . . .2-2Current vehicle location . . . . . . . . . . . . .6-4DDirections provided and the distances toguidepoints....................6-6Display of current vehicle location. . . . . . . .6-4Display settings. . . . . . . . . . . . . . . . . .5-3FFeatures of this navigation system . . . . . . .6-2For safe operation . . . . . . . . . . . . . . . .1-2HHow to use this manual . . . . . . . . . . . . .1-2LLanguage settings . . . . . . . . . . . . . . . .5-5Laser product. . . . . . . . . . . . . . . . . . .1-4MMoving a map. . . . . . . . . . . . . . . . . . .3-4My Places . . . . . . . . . . . . . . . . . . . .4-13NNotes on voice guidance . . . . . . . . . . . .6-6PPoints Of Interest (POI) directory . . . . . . . .6-3RReference symbols . . . . . . . . . . . . . . . .1-2Repeating voice guidance . . . . . . . . . . . .6-6Returning to the current vehicle location . . . .3-5Route calculation . . . . . . . . . . . . . . . . .6-4Route calculation and visual guidance . . . . .7-5Route guidance. . . . . . . . . . . . . . . . . .6-2SSafety information . . . . . . . . . . . . . . . .1-2Steering wheel switch. . . . . . . . .2-4, 2-5, 2-4UUser-defined points of interest (POIs). . . . .4-13VVehicle icon . . . . . . . . . . . . . . . . . . . .7-3Voice guidance . . . . . . . . . . . . . . .6-3, 7-6Voice recognition . . .4-9, 4-18, 4-21, 4-5, 4-13,4-24WWhat is GPS (Global Positioning System)? . .6-4When a gray road is displayed on the map. . .6-4XXM NavWeather™ . . . . . . . . . . . .4-22, 4-22ZREVIEW COPY—2014 Low Cost Navi 2 Kai (l2k)Navigation System OM—USA_English (nna)06/11/13—tbrooksX

Navigation menu