Robertshaw Controls TX0625-0300 15.247 User Manual pages
Robertshaw Controls Company 15.247 pages
UserManual.wiki
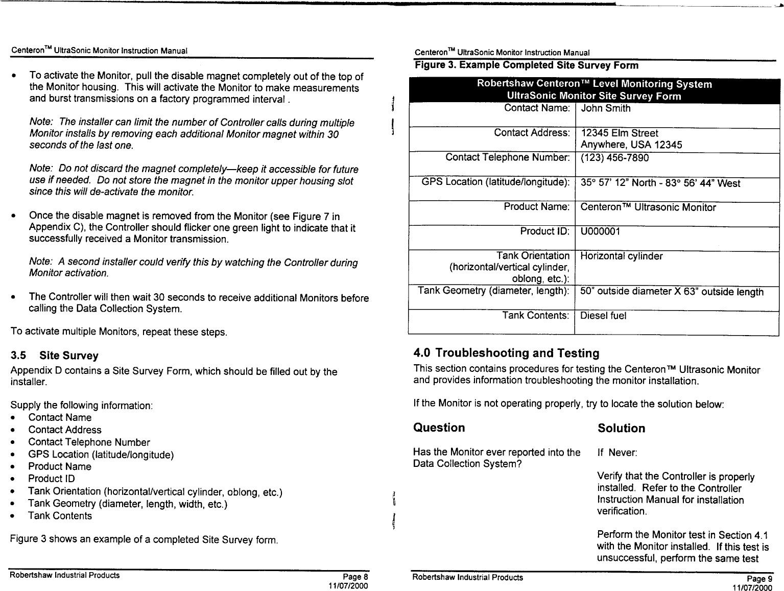
>
Robertshaw Controls
>
TX0625-0300 User Manual
>
User manual
Contents
1.
8
2.
User manual
User manual
Navigation menu
Upload a User Manual
Namespaces
Wiki Guide
HTML
PDF
Info
Views
User Manual
Discussion / Help
Navigation