SAF Tehnika AS 58F2D Digital Modulation Transmission System User Manual CFIP PhoeniX TD EN

SAF Tehnika A/S Digital Modulation Transmission System CFIP PhoeniX TD EN

Contents

User Manual 1

   CFIP PhoeniX Series TDM/IP Split Mount System    Technical Description & Configuration Guide  Product code: S0DRFMD1       SAF Tehnika JSC 2015
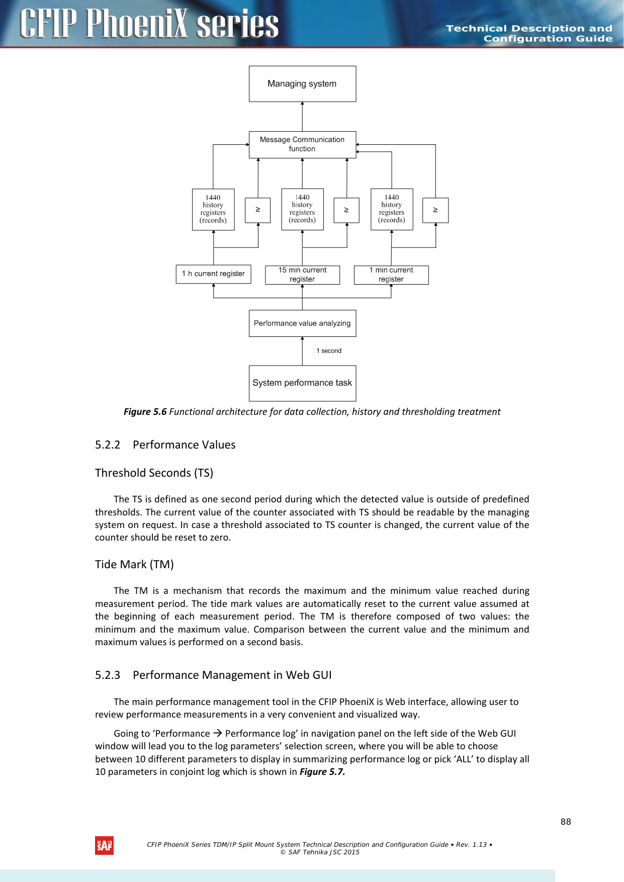
 Table of Contents        1 Overview .................................................................................................................................... 5 1.1 CFIP PhoeniX TDM/IP split mount system ....................................................................................... 5 1.2 CFIP PhoeniX feature Summary ....................................................................................................... 6 1.2.1 Main Features ........................................................................................................................................... 6 1.2.2 IDU mechanical features ........................................................................................................................... 6 1.2.3 ODU mechanical features ......................................................................................................................... 6 1.2.4 IRFU mechanical features.......................................................................................................................... 7 1.2.5 Interfaces/Management ........................................................................................................................... 7 1.3 CFIP PhoeniX ODU Parameters ........................................................................................................ 8 1.4 Application Examples ...................................................................................................................... 8 1.4.1 CFIP PhoeniX 1+0 configuration ................................................................................................................ 8 1.4.2 CFIP PhoeniX 1+1 Frequency Diversity (FD) .............................................................................................. 8 1.4.3 CFIP PhoeniX 1+1 Hot Stand-by (HSB) ....................................................................................................... 9 1.4.4 CFIP PhoeniX 1+1 Space Diversity (SD) ...................................................................................................... 9 1.4.5 CFIP PhoeniX Ring Topology .................................................................................................................... 10 1.5 Technical specification .................................................................................................................. 11 1.6 Cable Requirements ...................................................................................................................... 16 1.7 Labelling ........................................................................................................................................ 17 2 Configuration and Management ....................................................................................... 19 2.1 Connecting CFIP PhoeniX IDU to power source ............................................................................. 19 2.1.1 Power protection port............................................................................................................................. 20 2.1.2 Connecting CFIP PhoeniX IRFU to power source ..................................................................................... 20 2.2 Resetting the CFIP PhoeniX ........................................................................................................... 20 2.3 Web Interface ................................................................................................................................ 21 2.3.1 10/100/1000Base-T Ports ....................................................................................................................... 21 2.3.2 Ethernet Management Connection Configuration .................................................................................. 21 2.3.3 Connecting to Web Interface .................................................................................................................. 21 2.3.4 Interface Description ............................................................................................................................... 23 2.3.5 Command Execution ............................................................................................................................... 24 2.3.6 Initial Configuration with Web GUI ......................................................................................................... 25 2.4 Command Prompt Interface .......................................................................................................... 28 2.4.1 RS-232 Serial Management Port ............................................................................................................. 29 2.4.2 Telnet connection ................................................................................................................................... 31 2.4.3 Initial Configuration with Command Prompt .......................................................................................... 32 2.5 LED indications .............................................................................................................................. 32 2.5.1 CFIP PhoeniX IDU alarm LED indications ................................................................................................. 32 2.5.2 Ethernet RJ-45 connector LED indications .............................................................................................. 33 2.5.3 E1 RJ-45 connector LED indications ........................................................................................................ 33 3 Status Window .......................................................................................................................... 34 3.1.1 Radial MSE .............................................................................................................................................. 36 3.1.2 LDPC ........................................................................................................................................................ 36 3.2 Alarm status .................................................................................................................................. 37 3.3 Ethernet aggregation status ......................................................................................................... 37 3.4 Diagnostics data ............................................................................................................................ 38 4 Detailed Configuration in Web Graphic User Interface ................................................................. 40 4.1 ODU Configuration ........................................................................................................................ 40 4.1.1 Radio Configuration ................................................................................................................................ 40 4.1.2 ATPC Configuration ................................................................................................................................. 41 ATPC Algorithm ...................................................................................................................................................... 42 4.2 IDU Configuration .......................................................................................................................... 43 4.2.1 Modem Configuration ............................................................................................................................. 43 4.2.2 Loopback Configuration .......................................................................................................................... 45 4.3 Protection configuration ............................................................................................................... 47 4.3.1 Frequency Diversity (FD) protection mode ............................................................................................. 47 4.3.2 Hot Standby (HSB) and Space Diversity (SD) protection modes .............................................................. 49 4.3.3 Protection Status ..................................................................................................................................... 52 4.3.4 Protection Configuration ......................................................................................................................... 53  CFIP PhoeniX Series TDM/IP Split Mount System Technical Description and Configuration Guide • Rev. 1.13 • © SAF Tehnika JSC 2015  2
 4.3.5 Advanced Protection Configuration ........................................................................................................ 53 4.4 System Configuration .................................................................................................................... 54 4.4.1 User Configuration .................................................................................................................................. 55 4.4.2 Name configuration ................................................................................................................................ 56 4.4.3 Other configuration ................................................................................................................................. 56 4.4.4 NTP configuration ................................................................................................................................... 56 4.4.5 Upgrade Software ................................................................................................................................... 57 4.4.6 Service information ................................................................................................................................. 57 4.5 IP Configuration Window .............................................................................................................. 58 4.5.1 Ethernet management port IP configuration .......................................................................................... 59 4.5.2 IP Services ............................................................................................................................................... 59 4.5.3 Static Route Configuration ...................................................................................................................... 59 4.6 Ethernet Configuration .................................................................................................................. 62 4.6.1 Link state propagation configuration ...................................................................................................... 63 4.6.2 Protocol transparency ............................................................................................................................. 64 4.6.3 Ethernet ingress/egress rate configuration............................................................................................. 64 4.7 Aggregation configuration ............................................................................................................ 65 4.8 VLAN Configuration ....................................................................................................................... 67 4.8.1 Ethernet Switch Port Status and Settings ................................................................................................ 69 4.8.2 Ethernet Switch VLAN Status and Settings .............................................................................................. 69 4.9 QoS ................................................................................................................................................ 72 4.9.1 General Configuration ............................................................................................................................. 72 4.9.2 QoS 802.1p Configuration ....................................................................................................................... 74 4.9.3 DSCP Configuration ................................................................................................................................. 74 4.10 Spanning Tree Configuration ......................................................................................................... 76 4.10.1 Spanning Tree Configuration ................................................................................................................... 76 4.10.2 Region, mapping configuration for MSTP ............................................................................................... 77 4.10.3 Spanning Tree Protocol statistics ............................................................................................................ 78 4.11 SNMP v1/v2 configuration ............................................................................................................ 79 4.11.1 SNMP community configuration ............................................................................................................. 79 4.11.2 SNMP Allowed Hosts Configuration ........................................................................................................ 79 5 Performance and Alarm Management ........................................................................................ 81 5.1 Alarm Management ...................................................................................................................... 81 5.1.1 Alarms and Events Structure ................................................................................................................... 81 5.1.2 Alarms-Events and Groups Tables ........................................................................................................... 81 5.1.3 Alarm Status Window ............................................................................................................................. 83 5.1.4 Alarm Log ................................................................................................................................................ 84 5.1.5 Alarm and Alarm Threshold Configuration.............................................................................................. 84 5.1.6 Alarm Management Commands ............................................................................................................. 86 5.2 Performance Management ........................................................................................................... 87 5.2.1 Performance Management Data Collection ............................................................................................ 87 5.2.2 Performance Values ................................................................................................................................ 88 Threshold Seconds (TS) .......................................................................................................................................... 88 Tide Mark (TM) ...................................................................................................................................................... 88 5.2.3 Performance Management in Web GUI .................................................................................................. 88 5.2.4 Adaptive Equalizer .................................................................................................................................. 91 5.2.5 Performance Management Commands .................................................................................................. 92 5.3 Ethernet modem statistics............................................................................................................. 93 5.4 Ethernet switch statistics .............................................................................................................. 95 6 Miscellaneous Controls in Web Graphic User Interface ................................................................ 99 6.1 Ethernet/Configuration files .......................................................................................................... 99 6.2 License Management .................................................................................................................. 102 6.3 Command Line ............................................................................................................................. 104 6.4 File System ................................................................................................................................... 104 6.5 Security commands ..................................................................................................................... 106 7 Software Update ..................................................................................................................... 107 7.1 Uploading File via Ethernet Management Port (FTP) .................................................................. 107 7.2 Uploading File via Serial Port (Xmodem) ..................................................................................... 108  CFIP PhoeniX Series TDM/IP Split Mount System Technical Description and Configuration Guide • Rev. 1.13 • © SAF Tehnika JSC 2015  3
 8 CFIP Discovery Protocol ........................................................................................................... 110 8.1 CFIP Unit Discovery Procedure .................................................................................................... 110 8.2 Discovery Protocol Performance Examples ................................................................................. 110 8.2.1 Discovery of IP Address and Firmware Version in Case The Subnet of CFIP Unit is Unknown .............. 110 8.2.2 Discovery of IP Address and Firmware Version in Case The Subnet of CFIP Unit is Known .................. 111 8.2.3 Discovery of IP Address and Firmware Version of Remote CFIP Unit Connected to Router In Case one IP address of Remote Units is Known .................................................................................................... 112 9 RSSI Port ................................................................................................................................. 113 10 Pinouts ................................................................................................................................... 114 10.1 Ethernet RJ-45 port ..................................................................................................................... 114 10.2 E1 port ......................................................................................................................................... 114 10.3 Alarm port (26-pin D-SUB)........................................................................................................... 114 10.4 RS232 (DB9 female connector) .................................................................................................... 115 10.5 1+1 protection port (RJ-45) ......................................................................................................... 115 10.6 1+1 protection cable .................................................................................................................... 116 10.7 Power protection port ................................................................................................................. 117 11 Available Accessories ............................................................................................................... 118 11.1 Other Available Accessories ........................................................................................................ 119 12 List of Abbreviations ................................................................................................................ 121 13 SAF Tehnika JSC Contacts ......................................................................................................... 123  CFIP PhoeniX Series TDM/IP Split Mount System Technical Description and Configuration Guide • Rev. 1.13 • © SAF Tehnika JSC 2015  4
 Proprietary notice  The information presented in this guide is the property of SAF Tehnika, JSC. No part of this document may be reproduced or transmitted without proper permission from SAF Tehnika, JSC.  The specifications or information contained in this document are subject to change without notice due to continuing introduction of design improvements. If there is any conflict between this document and compliance statements, the latter will supersede this document.  SAF Tehnika, JSC has no liability for typing errors in this document or damages of any kind that result from the use of this document.  To get up to date information about accessories and their availability, please contact sales representative.  Note: FODU/ODU does not contain serviceable parts.  Warranty will not be applicable in the event FODU/ODU has been hermetically unsealed.  Note: SAF Tehnika, JSC is not responsible for any radio or TV interference caused by unauthorized modifications to this equipment.  Such modifications could void the user's authority to operate the equipment.  Copyright Notice  Copyright © 2015 SAF Tehnika, JSC. All rights reserved.  1 Overview This document briefly describes the CFIP PhoeniX series TDM/IP split mount system (IDU+ODU) covering the built-in management system, configuration functionality, hardware features, etc. 1.1 CFIP PhoeniX TDM/IP split mount system CFIP product family is the new next generation product line which is targeting growing demands for data transmission over microwave radio. As a result the primary traffic interface for CFIP split mount system is Gigabit Ethernet. As CFIP is capable of providing bit rate of up to 363Mbps, it is a great addition to SAF portfolio. CFIP radio and modem performance allows achieving high system capacity by employing 256-decision states modulation scheme by user’s choice. Apart from the full system capacity of 363Mbps, it is possible to configure the radio to any of 3.5, 7, 14, 28, 40 and 56 MHz channels as well as to any of 4QAM, 16QAM, 32QAM, 64QAM, 128QAM and 256QAM modulations, thus providing various capacities to suit particular needs. SAF Tehnika has employed most modern design solutions and components to create high performance split mount system with low power consumption – 33-69W per system. CFIP is a perfect building block for any modern future proof wireless network, including mobile service providers, fixed data service operators, enterprise customers, municipal and governmental networks among others.     CFIP PhoeniX Series TDM/IP Split Mount System Technical Description and Configuration Guide • Rev. 1.13 • © SAF Tehnika JSC 2015  5
 1.2 CFIP PhoeniX feature Summary  1.2.1 Main Features • Split mount system solution • Capacity: up to 363 Mbps • Channel Bandwidth: 3.5 / 7 / 14 / 28 / 40 / 56 MHz • Modulations: 4QAM / 16QAM / 32QAM / 64QAM / 128QAM / 256QAM • Interfaces: 10 / 100 / 1000 Eth + 20E1/T1 • Traffic: Ethernet only, Eth+1E1/T1 to Eth+20E1/T1 • Frequency bands: 6 / 7 / 8 / 10 / 11 / 13 / 15 / 18 / 23 / 26 / 38 GHz • ACM and ATPC with QoS four priority queues • 802.1Q VLAN support 1.2.2 IDU mechanical features • 1U high • Power consumption: 20-30W • Dimensions 45x430x240 mm, weight 3 kg.  Figure 1.1 CFIP PhoeniX IDU 1.2.3 ODU mechanical features • Compact unit, 285x285x80mm, 3.9kg, antenna adaption backwards compatible with all CFM and CFQ series units • 3 handles for user convenience • Safe and easy to use 4 side locking arrangement • All connectors on the side of the unit, always at 45° regarding vertical axis for both V and H polarization • Power consumption: 13-39W  CFIP PhoeniX Series TDM/IP Split Mount System Technical Description and Configuration Guide • Rev. 1.13 • © SAF Tehnika JSC 2015  6
  Figure 1.2 CFIP PhoeniX ODU 1.2.4 IRFU mechanical features • Indoor radio unit (IDU+IRFU) • 2U high • Power consumption: 13-39W • Dimensions 90x430x260 mm, weight 5.8 kg.  Figure 1.3 CFIP PhoeniX IRFU 1.2.5 Interfaces/Management  • CFIP PhoeniX IDU unit provides Ethernet, E1, power, EOW, alarm, serial, 1+1, ODU connectors and a grounding screw •  4 Gigabit Ethernet ports for user and management traffic • Ethernet traffic supports QoS and 4 priority queues, essential for ACM use • User and  NMS traffic could be treated as a single data stream or separated by tagging with different VLAN tags • DB-9 connector of the unit enables serial access into the unit • 1+1 RJ-45 connector allows to interconnect 2 CFIP PhoeniX IDUs for 1+1 configuration • Web, Telnet and SNMP are available as NMS interfaces into the unit  CFIP PhoeniX Series TDM/IP Split Mount System Technical Description and Configuration Guide • Rev. 1.13 • © SAF Tehnika JSC 2015  7
  Figure 1.4 CFIP PhoeniX IDU connectors  1.3 CFIP PhoeniX ODU Parameters  • CFIP PhoeniX is a good example of latest achievements in modem and transceiver development, providing both excellent radio parameters (System Gain), due to use of QAM modulations and efficient despite it consumes small amount of power Tx/Rx part of the system. • RSL Threshold at for 6GHz ODU BER 10-6, 56MHz, 256QAM, 363Mbps: -64 dBm.  • System Gain with guaranteed max Tx power and Rx sensitivity is 76 dB (SP) and 84 dB (HP) • ACM (Adaptive Coding and Modulation), hitless ACM opens new possibilities depending on network designers strategy • ATPC, Automatic Transmitter Power Control, for increased deployment density capability. • Very high flexibility allows configuring the system to various channel bandwidths, modulation schemes and capacity settings 1.4 Application Examples 1.4.1 CFIP PhoeniX 1+0 configuration • Basic split-mount 1+0 system with up to 20E1/T1 or up to 363 Mbps Ethernet   Figure 1.5 CFIP PhoeniX 1+0 configuration 1.4.2 CFIP PhoeniX 1+1 Frequency Diversity (FD) • FD protected (1+1) configuration is used with single antenna and OMT (orthomode transducer) or a coupler at each side of the link; • Each pair of ODUs utilizes its own frequency channel (flow, fhigh, f′low, f′high);  CFIP PhoeniX Series TDM/IP Split Mount System Technical Description and Configuration Guide • Rev. 1.13 • © SAF Tehnika JSC 2015  8
 • The outgoing (Tx) traffic at each site is passed to both ODUs, and both are always transmitting; • The incoming (Rx) traffic is picked from one of the ODUs; • 1+1 configuration provides hardware redundancy  and mitigates multipath fading; • Both Tx and Rx switching is hitless. 1.4.3 CFIP PhoeniX 1+1 Hot Stand-by (HSB) • HSB protected (1+1) configuration is used with single antenna and a coupler at each side of the link; • Both the incoming (Rx) and outgoing (Tx) traffic is switched to either one link or other, only single ODU at each side is transmitting; • Protects modem and radio from failure; • Rx switching is hitless, Tx switching <50ms.   Figure 1.6 CFIP Phoenix FD and HSB 1+1 configuration 1.4.4 CFIP PhoeniX 1+1 Space Diversity (SD) • SD protected (1+1) configuration is used with two antennas at each side of the link; • Both the incoming (Rx) and outgoing (Tx) traffic is switched to either one link or other, only single ODU at each side is transmitting; • In Space Diversity mode antennas are located 10-12 meters apart hence allows avoiding frequency selective fading - multipath (e.g. reflection over water, air refraction, etc.); • Rx switching is hitless , Tx switching <50ms.   CFIP PhoeniX Series TDM/IP Split Mount System Technical Description and Configuration Guide • Rev. 1.13 • © SAF Tehnika JSC 2015  9
  Figure 1.7 CFIP PhoeniX 1+1 SD configuration  1.4.5 CFIP PhoeniX Ring Topology • Utilization of STP protocol allows CFIP PhoeniX operation in ring topology (for Ethernet traffic only)   Figure 1.8 CFIP PhoeniX ring topology configuration  CFIP PhoeniX Series TDM/IP Split Mount System Technical Description and Configuration Guide • Rev. 1.13 • © SAF Tehnika JSC 2015  10
 1.5 Technical specification CFIP PhoeniX IDU Modem Channel Bandwidths 3.5, 7, 14, 28, 40, 56 MHz Modulations 4QAM, 16QAM, 32QAM, 64QAM, 128QAM, 256QAM Capacity 9 - 363 Mbps Supported ODUs CFIP ODU  Applications Configuration 1+0, 1+1 (HSB, SD, FD),  Ring/Mesh (with RSTP), 2+0, 3+0, 4+0 (built-in Ethernet aggregation) Protection switching Hot Stand-by (<50ms), Space/Frequency diversity (hitless, errorless) Ports Ethernet 4x1000Base-T, RJ-45 E1/T1 20 E1/T1, RJ-45 Serial port for configuration RS-232, DB-9 connector Alarm port 4 digital inputs, 4 relay outputs (26 pin hi-density D-SUB) ODU port N-Type Female EOW port 3.5mm headset and mic, 64 Kbps Extension/protection port RJ-45 DC power connector 2ESDV-02 with screw locks Management features Management port  Ethernet with VLAN support or serial (RS-232) Monitoring via Telnet, WEB GUI, NMS, SNMP Manager, Serial interface SNMP Yes, SNMP traps, MIB, SNMP v1/v2c, RMON EMS Uptime, Rx level, Tx level, System temperature, Radial MSE, LDPC decoder stress, constellation diagram, equalizer graph ATPC feature Web based, HTTP ACM feature Yes Ethernet Switch type Managed Gigabit Ethernet Layer 2 Max frame size 9728 bytes MAC table 4K entries; automatic learning and aging Packet buffer 128KB; non-blocking store & forward Flow Control IEEE 802.3x VLAN support IEEE 802.1Q (up to 4K VLAN entries) QinQ (Double Tagging) Yes, IEEE 802.1ad (Providing Bridging Technique) QoS 64 level DiffServ (DSCP) or 8 level 802.1p mapped in 4 prioritization queues with VLAN support QoS queuing Fixed or weighted (configurable ratio) Spanning Tree Protocol IEEE 802.1D-2004 RSTP, IEEE 802.1Q-2005 MSTP MEF MEF 9, MEF 14 Mechanical & Electrical Operational use Conforms to ETSI EN 300 019 Class 3.1E, IP20, NEMA 1 Temperature Range / Humidity -5°C to +55°C / 5% to 95% Dimensions: HxWxD / weight 1U (45x430x240 mm) / 3.1 kg Max. power consumption 20-30 W IDU-ODU connection Belden 9914/RG-8 cable (300 m), RG213 cable (200 m), N-Type connectors DC port -40.5V to -57V DC (conforms to ETSI EN 300 132-2) Built-in DC and IF port surge protection Conforms to ETSI EN 301 489-1;EN 61000-4-5;IEC 61000-4-5       CFIP PhoeniX Series TDM/IP Split Mount System Technical Description and Configuration Guide • Rev. 1.13 • © SAF Tehnika JSC 2015  11
    Ports  CFIP PhoeniX ODU CFIP PhoeniX IRFU Antenna N-Type or flange  A) N-Type or flange B) Tx and Rx ports1 IF to IDU N-Type SMA RSSI BNC  2-port for multi-meter Power --- (over IF port) 2-pin power port  (alternative to IF port) Mechanical & Electrical Operational use Conforms to ETSI EN 300 019 Class 4.1, IP65, NEMA 4X Conforms to ETSI EN 300 019 Class 3.1E, IP20, NEMA 1 Temperature Range -33°C to +55°C -33°C to +55°C Dimensions: HxWxD / weight 288x288x80 mm / 3.5 kg 19” 2U rack 90x430x260 / 5.8 kg IF port surge protection Conforms to ETSI EN 301 489-1; EN 61000-4-5; IEC 61000-4-5 Input DC voltage -40.5V to -57V DC (conforms to ETSI EN 300 132-2) Max. power consumption SP: 13-27 W; HP: 21-39 W   Max Tx Power Modulation Standard/High Tx Power1, dBm 4, U4 GHz  L6, U6, 7, 8 GHz 10, 11, 13, 15 GHz 18, 23, 26 GHz 38 GHz 4QAM  +33 +19/+27 +19/+25 +19 +17 16QAM +32 +18/+26 +18/+24 +18 +16 32QAM +31 +17/+25 +17/+23 +17 +15 64QAM +29 +15/+23 +15/+21 +15 +13 128QAM +29 +15/+23 +15/+21 +15 +13 256QAM  +26 +12/+20 +12/+18 +12 +10   Band Frequency range Duplex offset 4 GHz 3.6 – 4.2 GHz 213 MHz, 320 MHz U4 Ghz 4.4 – 5.0 GHz 100 MHz, 300 MHz, 312 MHz L6 GHz 5.925 – 6.425 GHz 252.04 MHz, 266 MHz U6 GHz 6.425 – 7.125 GHz 160 MHz, 170 MHz, 200 MHz, 340 MHz 7 GHz 7.110 – 7.900 GHz 154 MHz, 161 MHz, 168 MHz, 196 MHz, 245 MHz 8 GHz 7.725 – 8.5 GHz 119 MHz, 126 MHz, 151.614 MHz, 154 MHz, 160 MHz, 208 MHz, 266 MHz, 300 MHz, 310 MHz, 311.32 MHz, 525 MHz, 550 MHz  CFIP PhoeniX Series TDM/IP Split Mount System Technical Description and Configuration Guide • Rev. 1.13 • © SAF Tehnika JSC 2015  12
 Band Frequency range Duplex offset 10 GHz 10.15 – 10.68 GHz 65 MHz, 91 MHz, 300 MHz, 350 MHz 11 GHz 10.7 – 11.7 GHz 490 MHz, 500 MHz, 530 MHz 13 GHz 12.75 – 13.25 GHz 225 MHz, 266 MHz 15 GHz 14.4 – 15.35 GHz 315 MHz, 322 MHz, 420 MHz, 475 MHz, 490 MHz, 644 MHz, 728 MHz 18 GHz 17.7 – 19.7 GHz 1008 MHz, 1010 MHz, 1560 MHz 23 GHz 21.2 – 23.6 GHz 1008 MHz, 1036 MHz, 1200 MHz, 1232 MHz 26 GHz 24.25 – 27.5 GHz 800 MHz, 1008 MHz 38 GHz 38.6 – 40 GHz 700 MHz, 1260 MHz   Notes: 1 For CFIP PhoeniX IRFU with Tx and Rx ports (without diplexer), Tx Power and RSL figures for improve by up to 2 dB CFIP ODU waveguide flange sizes 4, U4, L6, U6 GHz 7, 8 GHz 10, 11 GHz  13, 15 GHz 18, 23 GHz 26 GHz 38 GHz N-type UBR84 UBR100  UBR140 UBR220 UBR260 UBR320  CFIP PhoeniX Series TDM/IP Split Mount System Technical Description and Configuration Guide • Rev. 1.13 • © SAF Tehnika JSC 2015  13
    CFIP PhoeniX ODU  CFIP ODU RSL at 10-6 (dBm) and Total Payload Capacity (Mbps) BW**, MHz Modulation FEC*** 6 GHz 7 GHz 8 GHz 10 GHz 11 GHz 13 GHz 15 GHz 18 GHz 23 GHz 26 GHz 38 GHz Bit rate, Mbps 3.5 4QAM Strong -97 -95 -95 -97 -96 -95 -93,5 -95 -97 -96,5 -93,5 3 16QAM Strong -90,5 -88 -88 -90 -89 -88 -88 -88,5 -90 -89,5 -86,5 7 32QAM Strong -87 -85 -85,5 -87 -86 -85 -85 -85,5 -87 -86,5 -83,5 9 64QAM Strong -84 -81,5 -82 -84 -83 -82 -82 -82 -83,5 -83 -80 13 Weak -81,5 -79 -79,5 -81 -80 -79,5 -79 -79,5 -81 -81 -78 14 7 4QAM  Strong -93  -92  -92  -94  -93  -92,5  -91  -92  -94  -93,5  -90,5  8 16QAM Strong -86,5 -85 -85,5 -87,5 -86,5 -85,5 -85 -85,5 -87,5 -87 -84 17 32QAM Strong -83,5 -82,5 -83 -84,5 -83,5 -83 -82,5 -83 -84,5 -84 -81 21 64QAM Strong -80 -79 -80 -81,5 -80,5 -79,5 -79,5 -79,5 -81,5 -80,5 -77,5 28 128QAM Strong -77  -76  -76,5  -78  -77  -76  -76,5  -76  -78  -77,5  -74,5 34 Weak -75 -73,5 -75 -76 -75 -74,5 -74 -74 -75,5 -75,5 -72,5 36 14 4QAM Strong -90 -90,5 -90 -91 -90 -90 -89 -90,5 -91 -90,5 -87,5 17 16QAM Strong -83,5 -83,5 -83,5 -84,5 -83,5 -83,5 -83 -84 -84 -83,5 -80,5 34 32QAM Strong -80  -80  -80,5  -81,5  -80,5  -80  -80  -80,5  -80,5  -80,5  -77,5 45 64QAM Strong -77,5 -77,5 -78 -79 -78 -77,5 -77,5 -78 -78,5 -78 -75 57 128QAM Strong -74,5 -74,5 -75 -75,5 -74,5 -74,5 -74 -75 -75 -75 -72 68 256QAM Strong -71 -71 -71,5 -72 -71 -70,5 -70,5 -72 -71,5 -71,5 -68,5 79 Weak -67,5  -67,5  -68  -69  -68  -67,5  -67  -68  -65,5  -68  -65 86 28 4QAM Strong -90.5 -89.5 -89 -88.5 -89.5 -89.5 -89 -90 -89 -91.5 -85 35 16QAM Strong -84.5 -83 -83 -82.5 -83.5 -83.5 -83 -84 -83 -85 -79 69 32QAM Strong -81.5 -80 -80 -80 -80.5 -80.5 -80.5 -80.5 -80 -82 -76 88 64QAM Strong -79  -77.5  -77.5  -77  -78  -77.5  -77  -78  -77.5  -79.5  -73.5 115 128QAM Strong -75.5 -74.5 -74 -73.5 -74.5 -74.5 -74 -75.5 -74 -76.5 -70 138 256QAM Strong -72.5 -71 -70.5 -70.5 -71 -71 -70.5 -72 -71 -73 -67 161 Weak -69 -67 -66 -66 -67 -67 -66.5 -69 -67.5 -70 -63.5 174  CFIP PhoeniX Series TDM/IP Split Mount System Technical Description and Configuration Guide • Rev. 1.13 • © SAF Tehnika JSC 2015  14
   CFIP ODU RSL at 10-6 (dBm) and Total Payload Capacity (Mbps) BW**, MHz Modulation FEC*** 6 GHz 7 GHz 8 GHz 10 GHz 11 GHz 13 GHz 15 GHz 18 GHz 23 GHz 26 GHz 38 GHz Bit rate, Mbps 40 4QAM Strong -89 -87.5 -88 -87.5 -88 -88 -88 -88 -87.5 -89.5 -83.5 49 16QAM Strong -82.5 -81.5 -81.5 -81 -82 -82 -81.5 -82.5 -81 -83.5 -77 98 32QAM Strong -80 -78.5 -79 -78.5 -79.5 -79.5 -79 -79.5 -78.5 -80.5 -74.5 127 64QAM Strong -77 -76 -75.5 -75.5 -76.5 -76 -76 -77 -75.5 -78 -71.5 163 128QAM Strong -74  -73  -72.5  -72.5  -73.5  -73  -72.5  -73.5  -72.5  -74.5  -68.5 196 256QAM Strong -70.5 -69.5 -69 -68.5 -69.5 -69.5 -69 -70.5 -69 -71 -65 229 Weak -68 -67 -64.5 -64.5 -65.5 -65 -65 -67.5 -66.5 -68.5 -62.5 245 56 4QAM Strong -87 -85.5 -86 -85.5 -87 -86.5 -86 -87 -85.5 -88 -81.5 72/67* 16QAM Strong -81 -80 -79.5 -79.5 -80.5 -80 -79.5 -80.5 -79.5 -82 -75.5 145/135* 32QAM Strong -78 -77 -77.5 -77 -78 -77.5 -77 -77.5 -76.5 -79 -72.5 182 64QAM Strong -75.5 -74.5 -74 -73.5 -74.5 -74.5 -74 -75.5 -74 -76 -70 240 128QAM Strong -72 -71 -71 -70.5 -71.5 -71.5 -71 -72 -70.5 -73 -66.5 287 256QAM Strong -68.5 -67.5 -67 -66.5 -68 -67.5 -67 -68.5 -67 -69.5 -63 335 Weak -64 -63 -63 -62.5 -63.5 -63 -62.5 -64.5 -62.5 -65 -58.5 363 * Higher capacity is available in 16QAM and 4QAM if using 32QAM-256QAM with ACM enabled ** According to ETSI channel plan *** Forward Error Correction (FEC) can be optimized either for sensitivity (Strong FEC) or for capacity (Weak FEC)  CFIP PhoeniX Series TDM/IP Split Mount System Technical Description and Configuration Guide • Rev. 1.13 • © SAF Tehnika JSC 2015  15
   1.6 Cable Requirements IDU-ODU cable IDU–ODU cable is a 50 Ω coaxial cable intended to interconnect the Indoor Unit with the Outdoor Unit. Any type of 50 Ω cable of good quality can be used; the cable should be equipped with N–type male connectors on each end. There are two N–type male connectors included in each radio unit delivery that fit RG–213 cables or other cables with a surface diameter of 10 mm. As the attenuation of the cable is essential particularly at 350 MHz frequency, its usage is restricted, - the attenuation of the signal should not exceed 20 dB at 350 MHz. Commonly employing RG–213 type coaxial cable, its length may reach 100 m, LMR–400 type cable may usually reach up to 300 m in length.   Figure 1.9 CFIP PhoeniX IDU-ODU cable  DC power cable Due to low power consumption of the CFIP PhoeniX split mount system, there are no special requirements for the cable used to connect the IDU to the DC power source. Any 2 wire power cable of good quality which fits well in SAF Tehnika’s supplied 2 pole “screw on” power connector could be used. The power connector is 2 pole, type 2ESDV-02.   1+1 protection cable Cable used should be rated Cat6 STP or better and length of the cable should not exceed meters. For pinouts and further details please refer to Chapter 10.6.  RS-232 Serial Connection The ASCII console must be connected to the RS-232 serial port. This requires a twisted pair (TP) cable with common shield (foil and plaited shield); the cable must be suitable for DB-9 connector. Using a proper cable, the operation is guaranteed for up to 10 m of cable.  RSSI BNC To connect the digital multimeter to the CFIP PhoeniX ODU RSSI port in order to adjust the antenna alignment, a coaxial cable with BNC connector on one end and appropriate termination on other end can be used (see example in Figure 1.10).  The CFIP Series Full Outdoor Unit Technical Description and Configuration Guide • Rev. 1.13  © SAF Tehnika A/S 2015 16
     Figure 1.10 Cable for connecting the voltmeter to the CFIP PhoeniX ODU RSSI port 1.7 Labelling The label can be found on the front side of the unit. The label contains the following information (see samples in the picture below): - Model name. The model name example is: CFIP-IDU-PhoeniX for CFIP PhoeniX Indoor Unit (IDU), CFIP-18-PhoeniX for 18GHz Outdoor Unit (ODU), etc - Product Number (S0GIPT01, S18RFU05LA): product number contains information of product version (01), in case of ODU - in which frequency band (18) and band side (L, H) the ODU operates. Letters A, B, C or D indicate specific subband. - Unit Serial Number (3221901 00024); the serial number uniquely identifies the unit.  Figure 1.11 Label of the CFIP PhoeniX Indoor Unit  Figure 1.12 Label of the CFIP PhoeniX ODU Low band side, operating in 18 GHz band   CFIP PhoeniX Series TDM/IP Split Mount System Technical Description and Configuration Guide • Rev. 1.13 • © SAF Tehnika JSC 2015   17
    Figure 1.13 Label of the CFIP PhoeniX IRFU Low band side, operating in 6 GHz band P/N Translation for CFIP PhoeniX ODU: - “S” designates CFIP split mount series product; - “18” designates Frequency range (18 GHz) of the Unit; - “RF” designates standard power radio; - “U” designates unified band ODU operating 3.5 - 56MHz;     - “05” designates the version number of the Unit; - “L” designates the band side in which ODU operates (H, L); - “A” designates the subband in which ODU operates (A, B, C).  Please note that frequency range is set from the central frequency of the first 14 MHz channel to the central frequency of the last 14 MHz channel (see the Figure 1.14).  Figure 1.14 Frequency range of the low side CFIP PhoeniX 18 GHz ODU  Figure 1.14 explains Tx frequency range of low side CFIP PhoeniX 18 GHz radio.   CFIP PhoeniX Series TDM/IP Split Mount System Technical Description and Configuration Guide • Rev. 1.13 • © SAF Tehnika JSC 2015   18
   2 Configuration and Management 2.1 Connecting CFIP PhoeniX IDU to power source   In case AC/DC Power supply, 48VDC, 80W (EU - P/N I0AB4810, US – P/N I0AB4811, AUS - I0AB4818) provided by SAF Tehnika JSC is used to power up CFIP PhoeniX IDU, interconnect IDU and power source through appropriate connectors. Otherwise perform the following steps to ensure that CFIP PhoeniX IDU is powered up correctly: 1.  It is necessary to interconnect CFIP PhoeniX IDU DC power connector (located on left side of front panel) with power source. For this purpose power cable is required. Any 2 wire power cable of good quality which fits well in SAF Tehnika’s supplied 2 pole “screw on” power connector could be used. The power cable connector is 2 pole, type 2ESDV-02.  This connector has screw clamp terminals that accommodate 24 AWG to 12 AWG wire.  The recommended wire size for construction of power cables under 3 meters in length, supplying -48 V DC, is 18 AWG. The opposite end of the power cable should have a termination appropriate for the power supply being used.  The power cable should be of sufficient length to avoid tension in the cable and provide a service loop for connection, but not be of excessive length.  Using the power cable connector of type 2ESDV-02, pin 1 (labelled ‘-‘) should be connected to the power supply terminal supplying -48 V DC, while pin 2 (labelled ‘+’) should be grounded.  Refer to Figure 2.1. 2. Connect the power cable to the -48 V DC power supply, and place the voltmeter probes at the unconnected ends of the power cable, with the positive voltmeter probe on pin 1 (’-’) of the cable connector and the negative probe on pin 2(’+’).  The connector screw terminal screw heads may be used as convenient monitor points.  Refer to Figure 2.1. 3. Turn on the –48 V DC supply.  Verify that the digital voltmeter reads between -36 V DC and -57 V DC when monitoring the cable points specified above.  Adjust the power supply output voltage and/or change the connections of the power supply to achieve this reading. 4. With the negative voltmeter probe still on pin 2 (’+’) of the power cable connector (and the power supply still on), put the positive voltmeter probe to the CFIP PhoeniX IDU chassis and verify a potential of zero volts between the IDU chassis and cable pin 2 (’+’).  If the measured potential is not zero, the power supply may be grounded incorrectly and should not be used for CFIP PhoeniX IDU powering.  Note that this measurement assumes that CFIP PhoeniX IDU is installed and properly grounded.  If that is not the case, the same measurement can be made between cable pin 2 (’+’) and a convenient ground (such as an ac outlet third-wire ground).  5. Turn the -48 V DC supply off. 6. Plug the power cable into CFIP PhoeniX IDU front panel DC Power connector (DC Input).  Place the voltmeter probes on the cable connector screw terminal screw heads as described in step 2 above.  Refer to Figure 2.1. Note that CFIP PhoeniX IDU does not have a power on/off switch.  When DC power is connected, the digital radio powers up and is operational.  There can be up to 500 mW of RF power present at the antenna port.  The antenna should be directed safely when power is applied. 7. Turn on the -48 V DC power supply, and verify that the reading on the digital voltmeter is as specified in step 3 above.  (!)  Note that pin 2 (‘+’) of the CFIP PhoeniX IDU DC Power connector (Figure 2.1) is connected to the IDU chassis ground internal to the IDU.  Use of a power supply with an inappropriate ground reference may cause damage to CFIP PhoeniX IDU and/or the power supply.    CFIP PhoeniX Series TDM/IP Split Mount System Technical Description and Configuration Guide • Rev. 1.13 • © SAF Tehnika JSC 2015   19
    Figure 2.1 CFIP Phoenix IDU DC Power Cable Connector of type 2ESDV-02 After successful powering of PhoeniX IDU there are four ways to adjust and read settings and operation parameters of the CFIP PhoeniX equipment:  1. using Web terminal connected to the 10/100/1000Base-T Port, 2. using Telnet terminal connected to the 10/100/1000Base-T Port, 3. using NMS or SNMP terminal, connected to the 10/100/1000Base-T Port, or 4. using ASCII console connected to the serial port. 2.1.1 Power protection port Optionally CFIP PhoeniX IDU can be equipped with power protection port, which allows you to interconnect 2 CFIP PhoeniX IDUs in 1+1 configuration for power interface redundancy functionality. Interconnection between power protection ports is done with optional power protection cable (P/N S0ACPR11).  Figure 2.2 CFIP Phoenix power protection port  and cable (for IDU S0GIP*11) 2.1.2 Connecting CFIP PhoeniX IRFU to power source CFIP PhoeniX IRFU can be powered via coaxial IF cable or using separate power supply, providing at least 60W load power. 2.2 Resetting the CFIP PhoeniX  Depending on the method used, the user may reset the whole terminal or the management controller individually, see table below for details.    Reset action unplugging power source.  Restarts both the multiplexer module and the management module. Resets all management counters.  Resetting with   button in Web GUI ‘Configuration  System configuration’ window or using command Restarts CPU of the management controller. Resets all management counters. (!)  Power protection port is available for CFIP PhoeniX IDU with P/N S0GIP*11 (!)  Note that pin 2 (‘+’) of the CFIP PhoeniX IRFU DC Power connector (Figure 2.1) is connected to the IDU chassis ground internal to the IDU.  Use of a power supply with an inappropriate ground reference may cause damage to CFIP PhoeniX IRFU and/or the power supply.    CFIP PhoeniX Series TDM/IP Split Mount System Technical Description and Configuration Guide • Rev. 1.13 • © SAF Tehnika JSC 2015   20
   prompt command “system reset” Resetting with command prompt command “system reset cold” Restarts modem and CPU of the management controller. Resets all management counters.  2.3 Web Interface This section describes operation of Web interface. 2.3.1 10/100/1000Base-T Ports 10/100/1000Base-T port is used to connect CFIP PhoeniX to a PC or Ethernet network for Web, SNMP and Telnet management.  (!) The length of 10/100/1000Base-T Port cable should not exceed 100m. 2.3.2 Ethernet Management Connection Configuration Before proceeding with initial link setup in Web GUI, you must adjust IPv4 settings of your LAN adapter to 192.168.205.0 subnet. IP address should be other than default low/high side IP addresses (192.168.205.10/192.168.205.11).  Figure 2.3 Internet Protocol Version 4 (TCP/IPv4) Properties After applying these settings you are ready to connect to Web GUI or establish Telnet connection.  2.3.3 Connecting to Web Interface It is recommended to use the following web-browsers (and all later versions):    CFIP PhoeniX Series TDM/IP Split Mount System Technical Description and Configuration Guide • Rev. 1.13 • © SAF Tehnika JSC 2015   21
   • IE v. 6.0 • Mozilla Firefox v. 2.0.0.11 • Google Chrome  Figure 2.4 Supported browsers: “Internet Explorer”, “Mozilla Firefox” and “Google Chrome” After web browsers selection, open it and enter address of the CFIP PhoeniX IDU (Figure 2.5). (!) The IP address of CFIP PhoeniX IDU is 192.168.205.10  Figure 2.5 CFIP PhoeniX IP address  (!) The default username and password for Web access are: – username: admin – password: changeme  If the IP address is correct and you have suitable browser version, you will see confirmation text. After confirmation you will be redirected to Web interface page. In case of not valid IP address you will not obtain the configuration interface. In case your browser is not accepted, you will see the text informing about that. You can push the button “Continue Anyway” to be redirected to Web interface page. At first “ConfigurationConfiguration wizard” should be run in order to perform basic link configuration (by default Tx power is disabled and parameters of remote side will not be seen). If configuration was made correctly, you will see the main window of the WEB Interface. If in the field displaying Local and/or Remote system values there are problems (configured values are not the same for Local and Remote, or there is a problem with parameter value), the appropriate cell will be highlighted in red colour.   (!)  If you are not obtaining the correct Web page, try to clear browser cookies, cache and offline data and restart the browser. (!) All the commands executed from Web GUI will be interpreted CLI commands and will be executed as in CLI.   CFIP PhoeniX Series TDM/IP Split Mount System Technical Description and Configuration Guide • Rev. 1.13 • © SAF Tehnika JSC 2015   22
    Figure 2.6 Web Interface - main window 2.3.4 Interface Description WEB interface consists of four parts, they are:  1. Top panel, that allows to log out and gives information about device type, software version, device name, IP, serial number and uptime; 2. Menu panel that is used to open links to other pages; 3. Status summary for local and remote devices: this section is available while browsing other pages. 4. The main panel where the new pages selected from the menu panel are displayed;  Also, special marks are used: – Entries highlighted in red indicate that specific parameters do not comply with the norms of standard operation. For example: value is out of range; local value is not equal to the remote value and vice versa (only in some places); no value data (N/D). – Entry highlighted in yellow indicates warning. – ‘N/D’ in value place corresponds to ‘No Data’. – ‘N/A’ in value place corresponds to ‘Not Available’.     CFIP PhoeniX Series TDM/IP Split Mount System Technical Description and Configuration Guide • Rev. 1.13 • © SAF Tehnika JSC 2015   23
    Figure 2.7 Web Interface - main window with section numbering 2.3.5 Command Execution There is “IP configuration” page shown in Figure 2.8. The entire page is divided into smaller fragments: 1. The header of page; 2. Sub-header of single type configuration parameters; 3. Execution controls related to a single type configuration parameters. 4. „Execute configuration” button executes configuration changes only on the local side CFIP PhoeniX, but “Execute for both” executes configuration changes on both remote and local side  of  CFIP  PhoeniX link. Enabling rollback feature allows going back to previous configuration in case of management connectivity loss. 5. Write to config file button, which generates “cfg write” CLI command, which saves changed configuration; 6. Configuration parameter name; 7. Configuration parameter current value; 8. Comments (not on every page).   CFIP PhoeniX Series TDM/IP Split Mount System Technical Description and Configuration Guide • Rev. 1.13 • © SAF Tehnika JSC 2015   24
   “Execute for both” is available in “Main configuration” section during configuration of modem or ATPC parameters for local and remote radio sides simultaneously. Connection between both management CPUs must be established in order to complete successfully configuration execution for both sides. “Rollback on” feature is intended to maintain connectivity of the CFIP link by cancelling last erroneous configuration changes and reverting to previous successful configuration used. Rollback will activate only if you lose connection to WEB interface of CFIP PhoeniX after configuration changes applied, and reverting process will take approx. 3 minutes.  After parameter value editing, when the focus from this object is removed, this parameter value edit box may be highlighted in red, meaning that entered value is not valid. If “Execute configuration” or “Execute for both” buttons are pressed, and one or several configuration values edit boxes is/are highlighted in red, the user will see error message with the explanation text.  Figure 2.8 Web Interface - IP configuration page with numbering 2.3.6 Initial Configuration with Web GUI IP settings of connected laptop should be in the same subnet as manageable CFIP in order to observe it. Refer to Chapter 2.3.2 for further details. The next step is to connect to CFIP PhoeniX by entering IP in the browser address line – which is by default 192.168.205.10. In case you are not sure which side you are managing at the moment, you can try both default IP addresses. When you are connected to the CFIP PhoeniX, you will see the window similar to the one shown in Figure 2.6. To start simple configuration process, you must proceed with the configuration wizard which will set up the main parameters of the link to make it work. So, the first step is to go to ‘Configuration  Configuration wizard’ as shown below in the Figure 2.9.   CFIP PhoeniX Series TDM/IP Split Mount System Technical Description and Configuration Guide • Rev. 1.13 • © SAF Tehnika JSC 2015   25
    Figure 2.9 Starting configuration wizard Initially, you can specify preferable system name, location name, passwords for guest and admin accounts.  The next time you will try to access the Web GUI management, you will be asked to enter the user name (guest or admin) and user password.  By default, system name is ‘SAF’, but location name is not specified. It is possible to perform configuration for local and remote ends of the link simultaneously. Please note that it requires modem synchronization between both sides of the link.  Figure 2.10 STEP 1. Defining system name, location name and passwords for “guest” and “admin” accounts After accepting and pressing ‘Next step >>’ button, you will be redirected to the second configuration wizard screen, where you will be asked to define the network IP settings by entering IP address, IP mask, default gateway and remote link side IP address. (!) Default password for “admin” account is changeme. “guest” account is disabled by default! (!)  It is highly recommended to name the system after its geographical location.   CFIP PhoeniX Series TDM/IP Split Mount System Technical Description and Configuration Guide • Rev. 1.13 • © SAF Tehnika JSC 2015   26
    Figure 2.11 STEP 2. Defining IP address, mask, default gateway and remote IP address The third screen of the wizard is devoted to the modem and radio configuration and requires specifying utilized bandwidth (from  3.5  to 56  MHz), modulation type (4QAM,  16QAM,  32QAM, 64QAM, 128QAM or 256QAM), E1 channel port numbers, Tx power (range depends on modulation chosen) and Tx frequency;  besides, the modem and radio data status is being shown. These configuration parameters will determine overall link capacity.  Figure 2.12 STEP 3. Defining modem bandwidth and modulation The final screen allows checking the selected settings and applying them. The optional settings are as follows: – Clear cfg file before the new settings will take place – resetting or keeping all the other parameters, not mentioned here, after configuration execution – Set local machine time – uses the time of your laptop – Write  this  configuration into cfg file  –  configuration is automatically written in configuration file If „Rollback on” is selected, configuration will be reverted in case erroneous configuration changes are applied   CFIP PhoeniX Series TDM/IP Split Mount System Technical Description and Configuration Guide • Rev. 1.13 • © SAF Tehnika JSC 2015   27
    Figure 2.13 STEP 4 Checking settings and executing configuration To verify the settings, we can go to ‘Status’ or the main screen, which is the first option in the navigation panel. If there are no ‘red fields’, everything is set correctly and the link is up. 2.4 Command Prompt Interface  CFIP equipment can be monitored and configured by using command interface described in this chapter. This process is performed by connecting to Telnet terminal via Ethernet  management port; Telnet management supports only one client.  Command line management interface offers the wider configuration and monitoring functionality. The available commands for Telnet management are found in detailed explanation of Web GUI windows, as well as in tables of additional commands.  (!) − To end Telnet session press Ctrl+D. Opening the session again, the prompt will appear to enter username and password.  − Default username is admin and password - changeme   CFIP PhoeniX Series TDM/IP Split Mount System Technical Description and Configuration Guide • Rev. 1.13 • © SAF Tehnika JSC 2015   28
   2.4.1 RS-232 Serial Management Port  RS-232 serial management port provides terminal management via a connected PC or another terminal device or modem.  The terminal connected to serial management port provides the same management functionality as Telnet interfaces (refer to Chapter  2.3.2). In order to interconnect the CFIP  PhoeniX and the management terminal directly through serial ports, a “straight through” modem cable is required.   Figure 2.14 Serial connection to CFIP PhoeniX To connect the PC to the RS232 management port, using serial terminal-emulation software (e.g. PuTTY), use the following parameters: •  Baud rate: 19200 • Data bits: 8 • Parity: None • Stop bits: 1 • Data flow control: None Below are connection steps with PuTTY - Windows freeware software. 1) Open PuTTY and go to “Serial” category. Specify your COM port number you will be using, change “Speed (baud)” to “19200” and “Flow control” to “None”: (!)   Syntactic notes for command prompt commands – Commands are in bold font.  – All arguments (variables) are in italic font.  – Subcommands and keywords are in regular font.  – Arguments in square brackets ([ ]) are optional but required arguments are in angle brackets (<>).  – Alternative keywords are grouped in braces ( {} ) and separated by vertical bars  ( | ). – The purpose of each command will be displayed if command is typed with “?”  at the end (or any unrecognizable string) is entered, e.g., radio ? The management system is automatically restarted if it freezes. This is performed by the watchdog timer. Restart of the management system is not affecting (interrupting) the Ethernet traffic.   CFIP PhoeniX Series TDM/IP Split Mount System Technical Description and Configuration Guide • Rev. 1.13 • © SAF Tehnika JSC 2015   29
    Figure 2.15 PuTTY configuration - 1 2) Go to “Keyboard” category and change “The Backspace Key” to “Control-H”:  Figure 2.16 PuTTY configuration - 2 3) Press “Open” and after pressing “Enter” key following prompt should appear:   CFIP PhoeniX Series TDM/IP Split Mount System Technical Description and Configuration Guide • Rev. 1.13 • © SAF Tehnika JSC 2015   30
    Figure 2.17 PuTTY serial prompt Password is disabled by default. See Chapters 3...7 for available commands.  2.4.2 Telnet connection The Telnet connection to the  CFIP  PhoeniX is carried out using the  Ethernet management connection. Please refer to Chapter 2.3.2 for Ethernet management port connection details. You can use any Telnet client. Below are connection steps with PuTTY - Windows freeware software. 1) Open PuTTY, choose “Connection Type”: “Telnet”, enter IP address and make sure that correct port number is used (“23” by default):  Figure 2.18 PuTTY configuration - 3 2) Press “Open”, enter login credentials (default user name is admin and password - changeme). After successful login following prompt should appear:   CFIP PhoeniX Series TDM/IP Split Mount System Technical Description and Configuration Guide • Rev. 1.13 • © SAF Tehnika JSC 2015   31
    Figure 2.19 PuTTY Telnet prompt See Chapters 3...7 for available commands. 2.4.3 Initial Configuration with Command Prompt Configuration steps using command prompt are as follows:  1. Check the system settings with command ‘status’ 2. Configuration required parameters: – Tx power with the command ‘radio txpower [<power dBm>]’; – Tx frequency with the command ‘radio freq [<freq KHz>]’; – Channel bandwidth, modulation, FEC mode and channel mask with the command ‘modem set <bandwidth> <min modulation> <max modulation> <WeakFEC|StrongFEC> <channel mask>’, where you can choose among 3.5-56 MHz values and modulations 4QAM – 256QAM; – Name of CFIP PhoeniX with the command ‘system name <name>’. Default name is ‘SAF’; – IP address with the command ‘net ip addr <addr>’, if it is necessary; – IP mask with the command ‘net ip mask <mask>’ , if it is necessary; – IP default gateway with the command ‘net ip gw <gw>’ , if it is necessary; 3. Save settings with the command ‘cfg write’; restarting with the command ‘system reset’; 4. Check the settings made, modem and radio status with the commands ‘status’, ‘modem status’ and ‘radio status’ respectively. 2.5 LED indications  2.5.1 CFIP PhoeniX IDU alarm LED indications Below you can see table summarizing which alarms each of CFIP PhoeniX IDU LEDs represents.   (!) Before you set the parameters listed below, you must know what frequency and bandwidth you are allowed to use and at what power you are allowed to transmit.   CFIP PhoeniX Series TDM/IP Split Mount System Technical Description and Configuration Guide • Rev. 1.13 • © SAF Tehnika JSC 2015   32
   LED name Description ODU Green – OK Yellow blinks – ODU Tx mute. Yellow – Rx level alarm; ODU Temperature failure; IDU PSU to ODU state alarm. Red – Tx PLL error alarm; Rx PLL error alarm; ODU RX LOS; ODU TX LOS; ODU RX failure; ODU TX failure; ODU Frequency failure. Red blinks – No data from ODU. IDU Green – OK Yellow – IDU temperature fault; Main supply 48V failure; IDU PSU state alarm; PSU temperature fault; Power supply voltage failure. Red blinks – No data from IDU temperature sensor; No data from main PSU IDU ADC; No data from main PSU ODU ADC; No data from PSU temperature sensor; No data from power supply ADC.  Modem Green – OK Yellow – Radial MSE; LDPC decoder stress; RX carrier offset. Red – Acquire status alarm; Last acquire error status. Red blinks – No data from MODEM. System Green – OK after successful boot. Green blinks – System booting. Yellow - License expired. Yellow blinks - Invalid device license. Red – Boot failure or selftest failure. 2.5.2 Ethernet RJ-45 connector LED indications LED color Description Yellow ON – link speed is 1000Mbps/s OFF – link speed is 100Mbps/s Green ON – Ethernet link is up Blinking – activity on port’s egress/ingress directions 2.5.3 E1 RJ-45 connector LED indications E1 port LED (highlighted) Color Description    Green (loop-back LED yellow or off) Indicates normal operation of the channel, no problems with signal reception.    Red (loop-back LED yellow or off) Constant red indicates that E1 signal is lost. If red flashes momentarily, the bipolar violation (line code error) was received from user equipment.    Blinking green and red (loop-back LED yellow or off) AIS signal is being received from user equipment.    Yellow loop-back LED (loop-back switched on) When loopback LED is switched on, analog, digital or remote loop-back mode is active for that channel.    No LED is lit Channel is switched off.   CFIP PhoeniX Series TDM/IP Split Mount System Technical Description and Configuration Guide • Rev. 1.13 • © SAF Tehnika JSC 2015   33
   3 Status Window The main window in the Web GUI is status window that shows all main system parameters, and, in case of failure or any other problems, it tints a specific parameter in red. To have a better understanding on status window, we will go through every field.   Figure 3.1 “Main status” page 1. Shows the name of this CFIP PhoeniX, its IP address, serial number and uptime since the last restart. If uptime is displayed in red, the connection to CFIP management port was lost; 2. Shows the firmware version this CFIP PhoeniX is currently using; 3. Logout button allows ending the current Web GUI management session and logging in as a different user if necessary. After pressing the button, you are automatically redirected to the login page; 4. The tree of Web GUI sections; 5. Shows short summary of the  main operational parameters of local and remote system.    CFIP PhoeniX Series TDM/IP Split Mount System Technical Description and Configuration Guide • Rev. 1.13 • © SAF Tehnika JSC 2015   34
   • Rx level (or RSL) at both ends  must  not differ significantly from the previously calculated value.  • Modulation indicates which modulation mode is used. For better operation the same modulation must be set at both ends.  • Radial MSE is explained below in the Chapter 3.1.1. • LDPC is explained below in the Chapter 3.1.2. 6. ODU data status – shows if management CPU was able to read data from radio; 7. ODU side –  shows the radio side of local and remote CFIP (command line –  radio side); 8. Tx mute – shows if transmitter is currently muted; 9. Tx power – shows current transmitter power in dBm. Factory default setting is “Off” (command line - radio status or status);  10. ATPC – shows if ATPC is enabled or disabled (command line – atpc status); 11. Rx level – shows current level of received signal. It must not differ significantly from the previously calculated value (command line - radio status or status); 12. Duplex shift – shows the margin between the transmitting and receiving frequencies (command line - radio status); 13. Tx frequency – shows the transmitting frequency (command line - radio status); 14. Rx frequency – shows the receiving frequency (command line - radio status); 15. Configuration file –  shows which configuration the  modem  is  currently using. It should match on both sides of the link (command line – modem configuration); 16. Bandwidth – shows width of currently utilized bandwidth in MHz (command line – modem status or status); 17. Modulation  –  shows  modulation mode set (command line –  modem status or status); 18. Total capacity – shows total capacity set (command line – modem status); 19. Ethernet capacity / rate –  shows Ethernet capacity set and rate limitation of Ethernet switch. If Ethernet rate is not limited “Unlimited” will be displayed after “/” symbol (command line – modem status or status); 20. E1 channels – shows number of E1 channels set. The number must be equal at both ends (command line – modem status or status); 21. IDU data status – shows if management CPU was able to read data from modem; 22. IDU status  – indicates the acquire status of the modem. ‘ACQUIRE_IN_PROGRESS’ will appear during start-up, when modem acquires required parameters, but in normal operation mode ‘ACQUIRE_LOCKED’ will be seen. Any other options designate failure (command line – modem status or status); 23. Radial MSE –  shows radial mean square error value. Refer to Chapter  3.1.1. for detailed description (command line - modem status or status); 24. LDPC decoder stress  –  shows the load of LDPC (low-density parity-check code) decoder. Refer to Chapter 3.1.2. for  detailed description (command line – modem status or status); 25. ACM engine –  shows if ACM (Adaptive Coding and Modulation) engine is enabled (command line – modem status or status); 26. Current modulation Rx / Tx –  shows the modulation modes currently utilized (command line – modem status); 27. Current  link  capacity Rx / Tx –  shows the current capacities in both directions (command line – modem status); 28. E1 status – shows if the E1 channel is connected or not and shows status of LOS and AIS indications. To see the status, click on the text (command line – e1 status); 29. Diagnostics data status –  shows if system parameters are in acceptable margins (command line - diagnostics);   CFIP PhoeniX Series TDM/IP Split Mount System Technical Description and Configuration Guide • Rev. 1.13 • © SAF Tehnika JSC 2015   35
   30. IDU  temperature  –  shows the IDU  internal temperature in degrees by Celsius and Fahrenheit (command line - diagnostics or status); 31. ODU temperature – shows the ODU internal temperature in degrees by Celsius and Fahrenheit (command line - odu status); 32. Modem temperature – shows the temperature on modem chip in degrees by Celsius and Fahrenheit (command line - diagnostics); 33. IDU input voltage –  shows the input voltage of IDU  PSU in volts (command line – diagnostics psu status); 34. IDU input current  –  shows the current of IDU  PSU in amperes (command line – diagnostics psu status); 35. IDU  power consumption –  shows the amount of power consumed  by  IDU  PSU in watts (command line – diagnostics psu status); 36. ODU PSU state – shows whether ODU PSU is operating (command line – diagnostics psu status); 37. IDU output voltage to ODU –  shows the input voltage of ODU PSU in volts (command line – diagnostics psu status); 38. IDU output current to ODU – shows the current of ODU PSU in amperes (command line – diagnostics psu status); 39. ODU power consumption – shows the amount of power consumed by ODU PSU in watts (command line – diagnostics psu status); 40. ODU cable attenuation  –  shows attenuation on IDU-ODU cable (command line – odu status); 41. AUX alarm input – shows which inputs from four available are active (command line - diagnostics); 42. AUX alarm output – shows which outputs from four available are active (command line - diagnostics); 43. Tx polarization – shows transmission polarization and position of connectors and cables (command line - diagnostics); 44. Name (serial number) –  shows system name and serial number (command line – system name and system inventory); 45. License remaining time –  shows amount of time (in seconds) remaining for active time limited license (if applicable); in case of no license “N/A” is being shown; in case of unlimited time license “Unlimited” is being shown (command line – license status); 46. Firmware version –  shows current firmware version. Make sure it is the same on both ends of the link (command line – ver). 3.1.1 Radial MSE Radial MSE is a method for estimating the signal to noise ratio. ACM engine uses normalized MSE, which is the inverse of SNR. It is calculated by dividing the estimated MSE level with the energy of the received constellation. Radial MSE peak value threshold is dependent on modulation used and LDPC code rate.  If the Radial MSE value trespasses following thresholds, BER at the output of LDPC decoder will reach the value of 1.0⋅10-6: 4QAM StrongFEC 16QAM StrongFEC 32QAM StrongFEC 64QAM StrongFEC 128QAM StrongFEC 256QAM StrongFEC 256QAM WeakFEC - 8.5 dB  -13.8 dB  -16.0 dB  - 19.3 dB  -22.3 dB  -25.1 dB  -27.6 dB 3.1.2 LDPC The LDPC is monitored for the number of errors being corrected on the input of LDPC decoder (see Figure 3.2).    CFIP PhoeniX Series TDM/IP Split Mount System Technical Description and Configuration Guide • Rev. 1.13 • © SAF Tehnika JSC 2015   36
    Figure 3.2 LDPC decoder structure LDPC stress value thresholds @ BER 1.0⋅10-6: - for Strong FEC mode ~ 4.0⋅10-2; - for Weak FEC mode ~ 1.0⋅10-2 As long as LDPC stress value is under the specified thresholds, the amount of errors (and BER itself) on the output of LDPC remains at zero level. 3.2 Alarm status Table on “Alarm status” page summarizes current alarms by showing alarm group number, date and time the alarm occurred and its name.  Figure 3.3 Alarm status Full list of alarms is available in “Alarm configuration” page where it is possible to disable alarm if necessary. For further details please refer to Chapter 5.1. 3.3 Ethernet aggregation status Ethernet aggregation status page shows summary of current n+0 aggregation status if such is enabled. In case of no configuration “Ethernet aggregation is disabled” will be shown.   CFIP PhoeniX Series TDM/IP Split Mount System Technical Description and Configuration Guide • Rev. 1.13 • © SAF Tehnika JSC 2015   37
    Figure 3.4 Ethernet aggregation/protection status 1. Clear max N/D time – clear maximum no data time; 2. State – displays current device state status – Active or Standby; 3. Previous state – displays previous device state status; 4. Max N/D time: - displays maximum disconnection time between devices; 5. Alarms  - displays alarm notifications:  − Local modem Airloss – there is no radio connection between local and remote device − LAN1-4 link down – media is disconnected; − No data from device Nr.1-4 – media is connected but not receiving aggregation information from aggregated device; − No data from remote device – local device is not receiving aggregation information from remote device. 3.4 Diagnostics data “Diagnostics data” page summarizes system inventory and troubleshooting information.   CFIP PhoeniX Series TDM/IP Split Mount System Technical Description and Configuration Guide • Rev. 1.13 • © SAF Tehnika JSC 2015   38
    Figure 3.5 Diagnostics data 1. Inventory information - displays the CFIP PhoeniX IDU and ODU product code, serial number and additional hardware information; 2. Download system information - allows saving system information (output from “full system information page”) in separate txt file on your hard disk drive. Same functionality is available in “ConfigurationSystem configurationService informationDownload system information” (Chapter 4.4.6); 3. Download alarm log file - allows saving alarm log file in separate txt file on your hard disk drive. Same functionality is available in “PerformanceAlarm log>Alarm-event log file<” (Chapter 5.1.4); 4. Download pm log 1 minute interval - allows saving performance log file for 1 minute intervals in separate txt file on your hard disk drive. Same functionality is available in “PerformancePerformance logPerformance log file download: 1 min interval” (Chapter 5.2.3); 5. Download pm log 15 minute interval - allows saving performance log file for 15 minutes intervals in separate txt file on your hard disk drive. Same functionality is available in “PerformancePerformance logPerformance log file download: 15 min interval” (Chapter 5.2.3); 6. Download pm log 60 minute interval - allows saving performance log file for 60 minutes intervals in separate txt file on your hard disk drive. Same functionality is available in “PerformancePerformance logPerformance log file download: 60 min interval” (Chapter 5.2.3).   CFIP PhoeniX Series TDM/IP Split Mount System Technical Description and Configuration Guide • Rev. 1.13 • © SAF Tehnika JSC 2015   39
   4 Detailed Configuration in Web Graphic User Interface Configuration section in Web interface allows customizing your system to suit your specific needs. 4.1 ODU Configuration The  ODU  configuration window provides the configuration of CFIP PhoeniX radio part parameters. Below is a short explanation of provided customization fields. 4.1.1 Radio Configuration  Figure 4.1 Radio configuration 1. ODU data status – shows if management CPU was able to read data from the radio; 2. Radio side – shows if radio side you are currently viewing is low or high (command line – radio side); 3. Tx power – allows you to define transmitter power. If the RSL is too high (much higher than normal -50dBm), you might want to lower transmitter power. Too high Rx level (>  -20 dBm) may even result in synchronization loss. The minimum and maximal values you can choose are dependent on modulation type and CFIP model. Maximal and minimal Tx power values are shown in the brackets. (command line - radio txpower [<power dBm>]); 4. Tx frequency – allows you to enter preferable transmitter frequency, hence defining utilized channel (command line - radio txfreq [<freq KHz>]); 5. Rx frequency – shows the current receiver utilized frequency (command line - radio freq); 6. Duplex shift –  shows the duplex shift between the transmitter frequency and receiver frequency (command line - radio duplexshift); 7. Tx mute – allows turning transmitter power off. It may be effective when diagnosing on interference existence –  when transmitter power of one side is off, you should not experience significant RSL on the other side (command line -  radio txmute [on|off]); 8. By pressing „Execute configuration” changes made to the corresponding section apply only for the local side CFIP PhoeniX. If „Rollback on” is selected, configuration will be reverted in case erroneous configuration changes are applied. 9. Pressing “Execute for both” applies changes made to the corresponding section both for local and remote side CFIP PhoeniX.   CFIP PhoeniX Series TDM/IP Split Mount System Technical Description and Configuration Guide • Rev. 1.13 • © SAF Tehnika JSC 2015   40
   4.1.2 ATPC Configuration To configure ATPC, it is necessary to set Rx (remote) “min” and “max” values and enable the ATPC feature. ATPC update period and ATPC delta are recommended to be left unchanged. It is also possible to change the limit of Tx power correction.  Figure 4.2 ATPC configuration 1. ATPC function –  allows  enabling or disabling ATPC (Automatic Transmit Power Control). By default this feature is disabled (command line – atpc [enable|disable]); 2. ATPC update period (1..5) – allows  defining the period in seconds in which ATPC parameters are being updated. By default the update period is 1 second (command line – atpc delay <power change delay time 1..5 sec>); 3. Tx power correction –  displays  the amount of transmitter power in decibels ATPC has currently corrected (command line – atpc status); 4. Tx power correction limit – allows defining the amount of dB ATPC will be able to correct regarding initial Tx power value (command line –  atpc limit <tx power correction limit>); 5. Remote device status –  shows if management CPU was able to read data from remote management CPU; 6. Rx (remote) level (-90..-20 dBm) – allows defining the maximum and minimum Rx level. ATPC Tx power correction will be performed only in case of exceeding these defined thresholds Rx level (command line – atpc rxminmax <rxmin> <rxmax>); 7. Rx (remote) level – shows current Rx level of remote end (command line – atpc status); 8. By pressing „Execute configuration” changes made to the corresponding section apply only for the local side CFIP PhoeniX. If “Rollback on” is selected, configuration will be reverted in case erroneous configuration changes are applied. 9. Pressing “Execute for both” applies changes made to the corresponding section both for local and remote side CFIP PhoeniX. 10. Pressing “Write to config file” saves all the changes made on the whole page (command line – cfg write); 11. Pressing “Write to config file for both” saves all the changes made on the whole page for both ends of the link simultaneously (command line – cfg write); 12. System returned - in case of error or incorrectly entered parameter value, or other problems on the whole page – the info message is being shown here. Otherwise it says “Ok”. (!) Note, that ATPC is mechanism for reducing Tx power, that’s why to make proper use of ATPC, transmitter power (Tx power) must be set to the maximum value.   CFIP PhoeniX Series TDM/IP Split Mount System Technical Description and Configuration Guide • Rev. 1.13 • © SAF Tehnika JSC 2015   41
   ATPC Algorithm  ACM can be implemented together with automatic transmit power control (ATPC), complimentary features that enhance overall system performance. ATPC reduces the average transmitted power as well as CCI and adjacent-channel interference (ACI), which is caused by extraneous power from a signal in an adjacent channel. It also enables a more efficient and cost-effective network frequency plan and deployment, as well as eliminating some of the receivers’ “upfade” problems by changing the transmitted power according to the link momentary conditions. The lower average Tx power also extends the equipment’s mean time between failures. ATPC can be used together with ACM to control the transmitted power in any given ACM profile. Different algorithms can be implemented to achieve maximal spectral efficiency or minimal transmitted power using both features in combination. One implementation could target maximal spectral efficacy by trying to reach the highest ACM profile, while the other is willing to compromise on some of the spectral efficiency enabling CCI and ACI reduction. In any chosen algorithm, ATPC reduces the average transmitted power, benefiting each ACM profile and any link condition. The local CFIP PhoeniX receives information (each second) about Rx level from the far-end CFIP PhoeniX through the service channel; depending on the received Rx level parameter, the local CFIP PhoeniX adjusts the transmitter power in accordance with the algorithm shown below.  Figure 4.3 ATPC algorithm   CFIP PhoeniX Series TDM/IP Split Mount System Technical Description and Configuration Guide • Rev. 1.13 • © SAF Tehnika JSC 2015   42
   4.2 IDU Configuration 4.2.1  Modem Configuration  Figure 4.4 Modem configuration 1. Modem data status – shows if management CPU was able to read data from modem; 2. Modem standard  – allows switching between ETSI and ANSI (FCC) standards, changing available bandwidths to 3.5/7/14/28/40/56 MHz and 5/10/20/30/40/50 MHz and changing between E1 and T1 channels respectively (command line – modem standard <ETSI|ANSI>); 3. Bandwidth –  allows choosing between 3.5 and 56 MHz bandwidths available. The default value is 3.5 MHz. The wider bandwidth you have, the higher will be the overall link bitrate. The maximum bitrate of 363 Mbps is available using 56 MHz bandwidth (command line –  modem set <bandwidth> <min_modulation> <max_modulation> <strongFEC|weakFEC> <channel mask>); 4. Modulation  – allows choosing between 256QAM, 128QAM, 64QAM, 32QAM, 16QAM and  4QAM modulations. The default value is 4QAM. The higher is the modulation order, the higher is the overall link bitrate, but worse RSL threshold. The maximum bitrate of 363 Mbps is available using 256QAM modulation (command line  –  modem set <bandwidth> <min_modulation> <max_modulation> <strongFEC|weakFEC> <channel mask>). See below the explanation for Adaptive Coding and Modulation and FEC modes; 5. E1 channels – allows to choose preferable E1 channels to be used. Each E1 channel activated detracts 2.048Mbps from Ethernet capacity. By default E1 channels are turned off (command line –  modem set <bandwidth> <min_modulation> <max_modulation> <strongFEC|weakFEC> <channel mask>). In order to switch to T1 channels, modem standard needs to be changed to ANSI (FCC); 6. By pressing „Execute configuration” changes made to the corresponding section apply only for the local side CFIP PhoeniX. If „Rollback on” is selected, configuration will be reverted in case erroneous configuration changes are applied. 7. Pressing “Execute for both” applies changes made to the corresponding section both for local and remote side CFIP PhoeniX link.  Adaptive code and modulation (ACM) technology allows operators to achieve high-capacity data transmission over microwave links and improve the link utilization. This reduces both operational and capital expenditures for maintaining high-capacity links. ACM can maintain the highest link spectral efficiency possible at any given time in any link condition. In traditional voice-dominated wireless backhaul transmission networks, service availability levels of 99.995% are the norm. However, newer services such as Internet browsing, video streaming and video conferencing can operate at more relaxed availability levels. With use of QoS prioritizing ACM can allocate the required   CFIP PhoeniX Series TDM/IP Split Mount System Technical Description and Configuration Guide • Rev. 1.13 • © SAF Tehnika JSC 2015   43
   availability based on the priority. As a result, high-priority services such as voice enjoy 99.995% availability, while low-priority services like video streaming are allocated lower priorities. Use of QoS prioritizing defines which services should be transmitted under any link condition and which services should be adapted whenever the link condition is degraded and the link payload is decreased. For example, when bad weather has decreased the channel capacity of a link, ACM maintains high-priority services –  such as voice data –  with full bandwidth capacity while adapting the bandwidth capacity of low- and mid-priority services such as Internet browsing (see Figure 4.5).   Figure 4.5 ACM bandwidth capacity adaptation Full modulation range: 256QAM, 128QAM, 64QAM, 32QAM, 16QAM, 4QAM Traffic can be mapped into different priorities, which define the level of service for each application. Figure 4.6 illustrates how different services – such as rich voice and video – are mapped into different classes of availability (CoA) such as 99.995% or 99.687%. The implementation of multiple priorities increases the available capacity up to 10 times that of standard links. When conditions are clear, the wireless link operates at maximum capacity and provides all services with the full data rate. When link conditions are poor –  during harsh rain, for example – predefined high-availability services such as voice are not affected. However, the capacity of low-priority services is adapted dynamically to the changing link conditions. This is done by provisioning bandwidth according to the link conditions and traffic priority. An ACM profile defines the link parameters (modulation) for a given range of the Radial MSE. The Radial MSE range of each profile defines the threshold for switching from one ACM profile to another. Each ACM profile has a different spectral efficiency, derived from its modulation. The receiver continuously monitors the link condition based on Radial MSE value.  Once the estimators at the receiver side show that the link performance is not suitable for the current ACM profile, an ACM switching process will be initiated. In case of degradation in the link performance, the new ACM profile will include lower modulation, decreasing the link bitrate. The ACM switching rate is measured in dB/s and is a key feature of ACM systems. In general, the higher the switching rate, the better the system’s immunity to rapid Radial MSE changes. When the switching is being executed, the payload rate is being modified to fit the aggregated data rate to the new available link data rate. Alternatively, ACM can also be used to increase the link distance, resulting in added link spectral efficiency. The same concept is implemented as previously, with the margins that were kept for 99.995-percent bandwidth availability now used to increase the link distance. Whenever the link conditions are degraded, the system will switch to an ACM profile with lower spectral efficiency to enable maintaining the link.    CFIP PhoeniX Series TDM/IP Split Mount System Technical Description and Configuration Guide • Rev. 1.13 • © SAF Tehnika JSC 2015   44
   The following real-world example illustrates the benefits of ACM. Consider a CFIP link operating at 23 GHz with 56 MHz channel spacing and 45.9 dBi (120 cm) antenna gain. The link is operating in a moderate rain region similar to central Europe with a distance of 15 kilometers. The system operation is set to a minimal payload of 69 Mbps Ethernet for 99.995% availability. Most of the time system would support 363Mbps Ethernet connection instead of a 69 Mbps connection. The system automatically monitors the link conditions and changes the capacity without interrupting the data transmission (hitless changes), as shown in Figure 4.6.    Figure 4.6  Link availability and classes of services In comparison similar system using 256QAM and providing similar capacity would provide only 99,687% of availability. Besides, lack of ACM would not provide higher availability. You would have to decrease the distance, decrease modulation or increase antenna sizes to achieve 99,995% availability for the given link. This example demonstrates how the new technology, based on an ACM mechanism, can play a key role in the development of cost-effective next-generation wireless access networks, by taking advantage of traffic evolution from synchronous TDM traffic to packet IP-based traffic. The  FEC mode (Weak or Strong) allows increasing overall capacity of the link in terms of deteriorating RSL sensitivity threshold.  For more details refer to table in Chapter 1.5. 4.2.2 Loopback Configuration Loopback tests are accessible using local or remote management methods. For safety purposes all loopbacks (local and remote) can be set on a fixed time interval only. If no time interval is specified, the default value is 60 seconds (1 minute).  Figure 4.7 Loopback modes   CFIP PhoeniX Series TDM/IP Split Mount System Technical Description and Configuration Guide • Rev. 1.13 • © SAF Tehnika JSC 2015   45
   • E1 and E1 FAR loopback modes loop signal back to local end and to remote end respectively in bounds of E1 interface. E1 loopback mode must be set on the particular channel you need to test. If no E1 channels are selected, E1 loopback mode is not available. E1 loopbacks are named “interface” and “interface far” in “Loopback name” dropdown menu. • MODEM loopback mode loops signal back to local end after the modem. • IF loopback mode loops signal back to local end by linking intermediate frequencies.  Figure 4.8 Loopback configuration 1. Loopback  name – allows choosing loopback mode  (command line –  loopback {status | none | if | modem |e1 <num> [far] | e1 mask <mask> [far]} [<time>]); 2. Loopback timeout – allows specifying activity time of chosen loopback mode in seconds (command line – loopback {status | none | if | modem |e1 <num> [far] | e1 mask <mask> [far]} [<time>]); 3. By pressing „Execute configuration” changes made to the corresponding section apply only for the local side CFIP PhoeniX. If „Rollback on” is selected, configuration will be reverted in case erroneous configuration changes are applied. 4. Pressing “Write to config file” saves all changes made in the whole page (command line – cfg write); 5. Pressing “Write to config file for both” saves all changes made in the whole page for both sides of the link simultaneously (command line – cfg write); 6. System returned - in case of error or incorrectly entered parameter value, or other problems in the whole page – info message will be displayed here. Otherwise it says “Ok”. Additional radio and modem configuration commands in Telnet/serial interface Command  Description  modem status Shows all the modem parameters. modem configuration show Displays current configuration file. modem configuration <file> Uses separate configuration file. modem configuration embedded Switches back to the embedded configuration last used. modem factory [max] Resets modem settings to factory defaults (minimum bandwidth, minimum modulation). ‘max’ option will set maximum configuration (maximum bandwidth, maximum modulation + ACM). modem ipremote [on | off] Allows enabling manual remote IP specifying (modem ipremote off). By default remote IP is being obtained automatically (modem ipremote on). modem standard [etsi | ansi] Allows switching between ETSI and ANSI (FCC) standards, allowing to utilize E1 channels or T1 channels respectively. modem counters [show | clear] Shows modem performance counters according to G.826 standard. radio factory [max] Resets radio settings to factory defaults. By default Tx power will be turned off. ‘max’ option will switch Tx power to the maximum value after restart. radio duplexshift [<DS KHz>] Allows switching to different duplexshift if supported. radio side [L|H] Allows switching radio side if supported.   CFIP PhoeniX Series TDM/IP Split Mount System Technical Description and Configuration Guide • Rev. 1.13 • © SAF Tehnika JSC 2015   46
   4.3 Protection configuration  This section describes 1+1 protection implementation for PhoeniX IDU. The possible 1+1 configuration modes are Frequency diversity (FD), Hot Standby (HSB) and Space diversity (SD).   Figure 4.9 1+1 interconnection of two CFIP PhoeniX IDUs (with power protection ports – P/N S0GIPT11) For 1+1 operation two CFIP PhoeniX IDUs (“working” and “protection”) before power is supplied should be interconnected as shown in Figure  4.9 - via one of the 1000Base-T user data and management Ethernet switch ports with Ethernet cable (I0ACPP02); modems  should be interconnected via special extension port for 1+1 protection with protection cable CAT6 (P/N S0ACPP1); grounding screws should be interconnected with grounding cable and connected to ground circuit; power protection ports (if available) should be interconnected with power protection cable (P/N S0ACPR11).      4.3.1 Frequency Diversity (FD) protection mode  For FD mode performance two links differentiated by frequencies are working in parallel. Each link uses different frequency pair. One of the links is marked as ‘working’ and the other one as ‘protection’ link. At transmitter side the data is duplicated and transmitted in both links. At receiver side data is received from both transmitters. The decoder of working link then selects the preferred received data.  Setup for 1+1 Frequency Diversity (FD) mode  (!)  Power protection connector for power redundancy is optional and is available only for CFIP PhoeniX IDU P/N S0GIP*11. (!)  For proper 1+1 operation 2 IDU’s are required on each side of the link.   CFIP PhoeniX Series TDM/IP Split Mount System Technical Description and Configuration Guide • Rev. 1.13 • © SAF Tehnika JSC 2015   47
   EthernetswitchModemIDU4192.168.205.13ODU3ODU4ODU1ODU2IDU1 192.168.205.10Ethernetswitch Modem ModemIDU3192.168.205.12IDU2192.168.205.11Ethernetswitch ModemProtection mode: WorkingProtection mode: ProtectionProtection mode: WorkingProtection mode: ProtectionP1P4P3P2Protection cableProtection cableEth.Port disabledProtection switch1+1F=F1 F=F1F=F2F=F2Working linkProtection linkEth.EthernetswitchPort disabledProtection switch1+1Figure 4.10 CFIP PhoeniX FD mode 1. Connect each IDU to appropriate ODU. Note that High ODUs should be at one site and Low ODUs at remote site. 2. IDU pairs must be interconnected as shown in Figure 4.9.  3. Before power is supplied to equipment:  - both IDUs on each side of the link should be grounded; - switches of IDUs must be set to correct state. For working link protection mode switch on  CFIP PhoeniX IDU front panel should be set to “1+0” position and for protection link protection switch should be to “1+1” position as shown in Figure 4.10.  4. Choose different frequencies for ‘working’ and ‘protection’ links as shown in Figure 4.10: F1 and F2. 5. Supply the IDUs with power and proceed with configuration. Configuration of 1+1 Frequency Diversity (FD) mode  It is possible to perform configuration in Web GUI or through CLI (serial or telnet connection). For detailed description of commands necessary for 1+1 configuration refer to Chapter 4.3.5.  For 1+1 FD mode it is necessary to: • Assign different IP addresses for each IDU. Note that IP addresses should be within the same subnet; • Set different frequency pairs for working and protection links as shown in Figure 4.10: F1 and F2; • Set appropriate state (working/protection) for each IDU; • Disable automatic remote IP address identification (set by default) in “ToolsCommand line” with command “modem ipremote off” and set appropriate remote site IP address for each IDU in “ConfigurationIP configuration”: “Remote IP address” for local working IDU is “IP address” of remote working IDU and “Remote IP address” for local protection IDU is ”IP address” of remote protection IDU.  Example of configuration for FD mode:   CFIP PhoeniX Series TDM/IP Split Mount System Technical Description and Configuration Guide • Rev. 1.13 • © SAF Tehnika JSC 2015   48
    Figure 4.11 CFIP PhoeniX configuration for 1+1 FD mode  Please refer to Chapter 4.3.5 for details of 1+1 configuration parameters and configuration possibilities via CLI. After successful 1+1 FD configuration, the screen of ‘Protection configuration’ in Web GUI should look as follows:   Figure 4.12 Protection configuration window after successful FD configuration 4.3.2 Hot Standby (HSB) and Space Diversity (SD) protection modes  For HSB and SD mode two transmitters are operating at the same frequency. One of the transmitters is in operation ‘Active’ while the other one is in ‘Standby’ mode (Tx power is muted). The data is duplicated at the transmitter side of the working link and sent towards receivers of both links (working and protection). The decoder of working unit selects the preferred link. Setup for 1+1 Hot Standby (HSB) and Space Diversity (SD) protection modes    CFIP PhoeniX Series TDM/IP Split Mount System Technical Description and Configuration Guide • Rev. 1.13 • © SAF Tehnika JSC 2015   49
   EthernetswitchModemIDU4192.168.205.13ODU3ODU4ODU1ODU2IDU1 192.168.205.10Ethernetswitch Modem ModemIDU3192.168.205.12IDU2192.168.205.11Ethernetswitch ModemProtection mode: WorkingProtection mode: ProtectionProtection mode: WorkingProtection mode: ProtectionP1P2Protection cableProtection cableEth.Port disabledProtection switch1+1Eth.EthernetswitchPort disabledProtection switch1+1P4P3Tx = mute Tx = muteFigure 4.13 CFIP PhoeniX HSB mode 1. Connect each IDU to appropriate ODU. Note that High ODUs should be at one side and Low ODUs at remote side. Note that for HSB mode ODUs should be interconnected through coupler at each site. 2. IDU pairs must be connected as shown in Figure  4.9. Note that switches of IDU pair (‘working’ and ‘protection’) are connected through one of the 1000Base-T user data and management ports via Ethernet cable, and modems are connected through special extension port for 1+1 protection via protection cable CAT6 (available from SAF Tehnika P/N S0ACPP1). 3. Choose same frequencies for ‘working’ and ‘protection’ links. 4. Before power is supplied to equipment:  - both IDUs on each side of the link should be grounded; - switches of IDUs must be set to correct state. For working link protection mode switch on CFIP PhoeniX IDU front panel should be set to “1+0” position and for protection link protection switch should be to “1+1” position as shown in Figure 4.13; - power protection ports of appropriate units should be interconnected (if available). 5. Supply the IDUs with power and proceed with configuration. Configuration for 1+1 Hot Standby Mode  It is possible to perform configuration in Web GUI or through CLI (serial or telnet connection). For detailed description of commands necessary for 1+1 configuration refer to Chapter 4.3.5.  For 1+1 HSB mode it is necessary to: • Assign different IP addresses for each IDU. Note that IP addresses should be within the same subnet; • Set the same frequency pair for working and protection links; • Set appropriate state (working/protection) for each IDU; • Disable automatic remote IP address identification (set by default) in “ToolsCommand line” with command “modem ipremote off” and set appropriate remote site IP address for each IDU in “ConfigurationIP configuration”: “Remote IP address” for local working IDU is “IP address” of remote working IDU and “Remote IP address” for local protection IDU is ”IP address” of remote protection IDU; • It is recommended that ‘Standby’ and ‘Activetry’ times remain default. IDU will remain in appropriate state during forcing it to another state for this specified time.    CFIP PhoeniX Series TDM/IP Split Mount System Technical Description and Configuration Guide • Rev. 1.13 • © SAF Tehnika JSC 2015   50
   Example of configuration for HSB mode:  Figure 4.14 CFIP PhoeniX configuration for 1+1 HSB mode  After successful 1+1 HSB configuration, the screen of ‘Protection configuration’ in Web GUI should look as follows:  Figure 4.15 Protection configuration window after successful HSB configuration Configuration for 1+1 Space Diversity Mode For 1+1 SD mode it is necessary to: • Assign different IP addresses for each IDU. Note that IP addresses should have the same subnet; • Set the same Tx frequency pair for working and protection link; • Set appropriate state (working/protection) for each IDU; • Disable automatic remote IP address identification (set by default) in “ToolsCommand line” with command “modem ipremote off” and set appropriate remote site IP address for each IDU in “ConfigurationIP configuration”: “Remote IP address” for local working IDU is “IP address” of remote working IDU and “Remote IP address” for local protection IDU is ”IP address” of remote protection IDU;   CFIP PhoeniX Series TDM/IP Split Mount System Technical Description and Configuration Guide • Rev. 1.13 • © SAF Tehnika JSC 2015   51
   • It is recommended that ‘Standby’ and ‘Activetry’ times remain default. IDU will remain in appropriate state during forcing it to another state for this specified time. Example of configuration for SD mode:  Figure 4.16 CFIP PhoeniX configuration for 1+1 SD mode The same commands can be executed using Web GUI. Please refer to Chapter 4.3.5 for details. After successful 1+1 SD configuration, the screen of ‘Protection configuration’ in Web GUI should look as follows:   Figure 4.17 Protection configuration window after successful SD configuration The following subsections are giving detailed description of Web GUI Protection configuration window. 4.3.3 Protection Status You will see the following Protection Status window when 1+1 mode is disabled:  Figure 4.18 Protection status while 1+1 is disabled   CFIP PhoeniX Series TDM/IP Split Mount System Technical Description and Configuration Guide • Rev. 1.13 • © SAF Tehnika JSC 2015   52
   1. Value – denotes the names of CFIP PhoeniX units in 1+1 configuration. ‘Local’ and ‘Local alternate’ designates both units (working and protection) at the local side and ‘Remote’ and ‘Remote alternate’ designates both units of remote side. 2. Protection status – denotes that CFIP PhoeniX 1+1 protection is disabled. In case 1+1 Hot Standby mode is enabled the Protection Status window might look as follows:  Figure 4.19 Protection status while 1+1 is enabled 1. Status – for enabled 1+1 protection mode designates the status of each CFIP Phoenix unit in 1+1 protection mode. ‘Working’ denotes that particular unit is used for main working link and ‘Protection’ designates that particular unit is used for protection purpose. 2. Mode – specifies the 1+1 protection mode. Possible modes are ‘Hot Standby’  or ‘Frequency Standby’ 3. State – designates the state of each unit specifically for Hot Standby mode. ‘Active’ designates that CFIP PhoeniX unit is active part of 1+1 Hot Standby mode and ‘Standby’ state denotes that unit is on standby. 4. Previous state – denotes the previous state of each CFIP PhoeniX unit in 1+1 protection mode 4.3.4 Protection Configuration  Figure 4.20 Protection configuration 1. IDU protection role – allows specifying the protection role of CFIP PhoeniX IDU from drop-down menu. Available roles are ‘Working’, ‘Protection’ or ‘Disable’ that allows disable the protection role of IDU (command line –  prot set {hsb|fd} {working|protection|disable} [independent]); 2. Protection mode – gives the possibility to choose ‘Hot Standby’ or ‘Frequency Diversity’ protection mode from the drop-down menu (command line –  prot set {hsb|fd} {working|protection|disable} [independent]); 3. By pressing „Execute configuration” changes made to the corresponding section apply only for the local side CFIP PhoeniX. If „Rollback on” is selected, configuration will be reverted in case erroneous configuration changes are applied. 4.3.5 Advanced Protection Configuration The following section will appear in Web GUI only if protection is enabled for 1+1 Hot Standby mode.   CFIP PhoeniX Series TDM/IP Split Mount System Technical Description and Configuration Guide • Rev. 1.13 • © SAF Tehnika JSC 2015   53
    Figure 4.21 Advanced protection configuration 1. Protection switch – temporarily switches IDU to active or standby state (command line –  prot {active|standby}); 2. Force state – permanently switches IDU to active or standby state until force state is disabled by selecting ‘Off’ (command line –  prot force {active|standby|off}); 3. Standby time – allows specifying Standby time (in range 1 – 15sec) for Standby state. IDU will remain for this time slot in Standby state during forcing it to another state (command line –  prot time standby [<0...15 sec.>]); 4. Activetry time – allows specifying Active try time (in range 1-15sec) for Activetry state. IDU will remain for this time slot in Activetry state during forcing it to another state (command line –  prot time activetry [<0...15 sec.>]); 5. By pressing „Execute configuration” changes made to the corresponding section apply only for the local side CFIP PhoeniX. If „Rollback on” is selected, configuration will be reverted in case erroneous configuration changes are applied. 6. Writes to configuration file all the changes made on the whole page (command line –  cfg write); 7. System returned - in case of error or incorrectly entered parameter value, or other problems on the whole page – info message will be displayed here. Otherwise it says “Ok”. 4.4 System Configuration The system configuration window provides the configuration of web access, telnet and FTP interfaces; allows changing system name, web data refresh time and system time.  Additional user management commands in Telnet/serial interface Command   Description  prot status [remote|alternate|altrem|all] Shows protection status of particular IDU, as well as of any or all units involved in 1+1 configuration prot alarms Shows protection alarm status prot trace Traces protection state changes by printouts on terminal prot ext statistics Shows protection information exchange quality statistics between local and  alternate IDU prot ext statistics clear Clears all previous exchange quality statistics   CFIP PhoeniX Series TDM/IP Split Mount System Technical Description and Configuration Guide • Rev. 1.13 • © SAF Tehnika JSC 2015   54
   4.4.1 User Configuration  Figure 4.22 User configuration 1. guest – Enter new password (length: 4..30 characters) – allows entering preferable ‘guest’ account password and enabling the account. By default guest account is disabled. Maximal length of the password cannot exceed 30 symbols. Guest account has only monitoring privileges. The following Web GUI sections are available:  Figure 4.23 Menu for “guest” user 2. admin – Enter new password (length: 4..30 characters) – allows to enter preferable ‘admin’ account password. Maximal length of user name cannot exceed 30 symbols. By default password for ‘admin’ account is ‘changeme’. Admin account has full control of the CFIP configuration process.  3. Hide password(-s) – Hides typed in password. This option unchecked will display typed in password in plaintext. 4. By pressing “Execute configuration” changes made to the corresponding section apply only for the local side CFIP PhoeniX. If “Rollback on” is selected, configuration will be reverted in case erroneous configuration changes are applied. More detailed status controls are available in command prompt, which include: Additional user management commands in Telnet/serial interface Command  Description  access login <name> <password> Logs on as a user specified by <name> and <password>. access logout Logs current user out. access set <guest|admin>  <password> [plaintext] Allows specifying a new password for a specific account (admin or guest). ‘plaintext’ option will save the password in plaintext in configuration script without encrypting it (by default saved passwords in configuration file are encrypted). access show Shows user name and password of a user currently logged on. access list Shows the list of usernames and passwords the current account is able to manage (if logged on as admin, ‘guest’ and ‘admin’ account passwords will be seen).   CFIP PhoeniX Series TDM/IP Split Mount System Technical Description and Configuration Guide • Rev. 1.13 • © SAF Tehnika JSC 2015   55
   4.4.2 Name configuration  Figure 4.24 Name configuration 1. System name (Max length: 16 characters) –  allows entering preferable system name. Maximum length of the system name cannot exceed 16 symbols. Default name is ‘SAF’ (command line – system name <name>); 2. Location name (Max length: 16 characters) –  allows entering preferable system location name. Maximum length of the location name cannot exceed 16 symbols. By default system location is not specified (command line – system location <name>); 3. System hostname (Max length: 16 characters) – allows entering preferable system hostname. Maximum length of the hostname cannot exceed 16 symbols. By default system location is not specified (command line – system location <name>); 4. Pressing „Execute configuration” applies changes made to the corresponding section only for the local side CFIP PhoeniX. If „Rollback on” is selected, configuration will be reverted in case of erroneous configuration changes applied. 4.4.3 Other configuration  Figure 4.25 Other configuration 1. Web refresh (2 .. 600 sec) – allows specifying time interval of Web data refreshing. The default value is 5 seconds. You can choose between 2 and 600 seconds (10 minutes) (command line – web refresh <web refresh time>); 2. Time (Usage: YY-MM-DD HH:mm:ss) –  allows changing system date and time manually by entering date and time in specific syntax. “Set local machine time” button forces system to use the time set on your PC or laptop, from which you are connected to the Web interface (command line –  system time [yyyy-mm-dd hh:mm:ss]); 3. By pressing “Execute configuration” changes made to the corresponding section apply only for the local side CFIP PhoeniX. If “Rollback on” is selected, configuration will be reverted in case erroneous configuration changes are applied. 4.4.4 NTP configuration Starting from firmware version 1.64.xx CFIP PhoeniX features NTP (Network Time protocol) implementation – SNTP (Simple Network Time Protocol).   CFIP PhoeniX Series TDM/IP Split Mount System Technical Description and Configuration Guide • Rev. 1.13 • © SAF Tehnika JSC 2015   56
    Figure 4.26 NTP configuration 1. NTP Status – shows if NTP is enabled or disabled (command line –  system ntp status); 2. NTP enable – allows enabling or disabling NTP. By default this feature is disabled (command line – system ntp [enable|disable]); 3. NTP server IP address – allows to specify NTP server IP address (command line – system ntp server <IP address>); 4. NTP time zone (-12..12) – allows to specify UTC (Coordinated Universal Time) offset (command line – system ntp timezone <UTC offset>); 5. By pressing „Execute configuration” changes made to the corresponding section apply only for the local side CFIP PhoeniX. If „Rollback on” is selected, configuration will be reverted in case erroneous configuration changes are applied; 6. Writes to configuration file all the changes made on the whole page (command line – cfg write); 4. Restarts CFIP PhoeniX you are connected to (command line – system reset).  7.   4.4.5 Upgrade Software  Figure 4.27 Upgrade software 1. Choose file – allows choosing location of software upgrade file (e.g. cfipidu165.elf.ezip) stored on your hard disk. Software upgrade file must have *.elf.ezip extension. 4.4.6 Service information  Figure 4.28 Service information 1. Open full system information page / Download system information – allows to open/save full system information page. Links on the top of the page allow you to save full system information page and alarm log in separate txt files on your hard disk drive; (!)  Note that after restarting the CFIP will use only those settings, which are written to the configuration script. Other settings will be set to default values.   CFIP PhoeniX Series TDM/IP Split Mount System Technical Description and Configuration Guide • Rev. 1.13 • © SAF Tehnika JSC 2015   57
   2. Open advanced ethernet information page / Download ethernet statistics – allows to open/save advanced Ethernet statistics. Link on the top of the page allow you to save advanced Ethernet statistics page in separate txt file on your hard disk drive; 3. System returned - in case of error or incorrectly entered parameter value, or other problems in the whole page – the info message will be displayed here. Otherwise it says “Ok”.   4.5 IP Configuration Window The IP configuration window provides configuration of the Ethernet management port addressing, IP services and routes. Settings listed here are essential for building a network or other specific traffic purposes. (!)  Note that Advanced Ethernet information page resets all counters and gathers Ethernet information. Please wait until information is gathered and displayed. Additional system commands in Telnet/serial interface Command  Description  System status Displays the name of the device and its uptime. System inventory  [ show ] Displays the CFIP PhoeniX product code, serial number and additional information. System aliases  [ list | all | basic | off | add | remove | clear ] list  – shows the alias list and whether the aliases are going to be used. The user can choose whether to see all the aliases (adding the argument “all”), built-in aliases (“built-in”), or optional aliases (“optional”) , or user aliases (“user”); all – all the aliases will be used; basic – only basic (built-in, hidden and user) aliases will be used; off – no aliases will be used; add – if two arguments are given, creates an alias of the second argument, named as the first argument. If one argument given, alias command tries and loads the aliases from a file specified by the argument; remove – removes the alias specified by the argument; clear – removes all the user aliases. System commands  [ show | help ] show – displays all available commands; help – displays available help messages for all commands. System reset [cold] Restarts CPU of the management controller. Resets all management counters. cold – Restarts modem as well. Ver Displays hardware and software version of CFIP-IDU-PhoeniX, as well as built date.   CFIP PhoeniX Series TDM/IP Split Mount System Technical Description and Configuration Guide • Rev. 1.13 • © SAF Tehnika JSC 2015   58
   4.5.1 Ethernet management port IP configuration  Figure 4.29 Ethernet management port IP configuration 1. IP Address – allows specifying IP address of CFIP PhoeniX you are currently logged in. Default IP address is 192.168.205.10. (command line – net ip addr <addr>);  2. IP Mask –  allows specifying IP mask of CFIP PhoeniX you are currently logged in. Default IP mask is 255.255.255.0, and it should not be changed unless you are owning network with huge amount of hops (command line – net ip mask <mask>); 3. IP Default gateway – allows specifying gateway of CFIP PhoeniX you are currently logged in. Default gateway is 255.255.255.255 which means that there is no gateway specified (command line – net ip gw <gw>); 4. Ethernet MAC address – shows the MAC address of CFIP PhoeniX you are currently logged in (command line – net mac); 5. Remote IP Address – shows IP address of remote (far-end) CFIP PhoeniX if the link is up (even in case of wrong IP configuration) (command line –  net ip remaddr <remaddr>); 6. By pressing “Execute configuration” changes made to the corresponding section apply only for the local side CFIP PhoeniX. If “Rollback on” is selected, configuration will be reverted in case erroneous configuration changes are applied. 7. By pressing “Execute configuration & write configuration” changes made to the corresponding section apply only for the local side CFIP PhoeniX and saved to configuration file. 4.5.2 IP Services  Figure 4.30 IP services 1. FTP service –  starts FTP service for file access and software update of your CFIP PhoeniX. By default FTP service is not running (command line – net start ftp); 2. TFTP service – starts TFTP service for file transfer between both CFIP PhoeniX link sides. By default TFTP service is not running (command line – net start tftp). 4.5.3 Static Route Configuration  (!)  Note that CFIP PhoeniX IP addresses have to have the same subnet. (!) Do not make any changes to default route; otherwise, management connection to CFIP will be lost.   CFIP PhoeniX Series TDM/IP Split Mount System Technical Description and Configuration Guide • Rev. 1.13 • © SAF Tehnika JSC 2015   59
    Figure 4.31 Static route configuration 1. Static routes –  shows the list of existing static routes, as well as allows you to choose specific route you are willing to change or delete. By default there is one route which depends on earlier entered IP settings (command line – net route); 2. Network address – allows specifying network address for the route changing/adding (command line – net route add|delete <dest addr> [MASK <mask>] <gateway>); 3. Network mask -  allows specifying network mask for changing/adding the route (command line – net route add|delete <dest addr> [MASK <mask>] <gateway>); 4. Gateway - allows specifying gateway for the route changing/adding (command line – net route add|delete <dest addr> [MASK <mask>] <gateway>); 5. After entering addresses or selecting a specific route, buttons “Add”, “Change” and “Delete” allow you to modify CFIP PhoeniX routes. If „Rollback on” is selected, configuration will be reverted in case of erroneous configuration changes applied. 6. Writes to configuration file all the changes made on the whole page (command line – cfg write); 7. System returned - in case of error or incorrectly entered parameter value, or other problems on the whole page –  info message will be displayed here. Otherwise it says “Ok”.   Below is the explanation of the procedure of network IP configuration in case of network IP Class area change. Additional network configuration commands in Telnet/serial interface Command  Description  Net ping <ip> This command is for troubleshooting purposes to verify the service channel connectivity, -  it sends a special packet to the specified address and then waits for a reply. Net telnet  <host> [<port>] Opens Telnet session with the CFIP PhoeniX IDU, host – IP address of the IDU unit management Ethernet port. Net tftp <host> {get|put} <source> [<destination>] Uploads or downloads (put/get) file (<source>) to or from the host IDU unit (<host>). Web trace {show|on|off} Web trace allows you to see commands being executed through Web interface when you’re using serial or telnet connection. Show – shows web trace status (on or off), on – turns web trace on, off – turns web trace off. Web timeout  <time in minutes> Allows setting the time, after which the Web GUI presumes no connectivity state. By default the value is set to 15 minutes. Web alert  <on|off> Allows to enable or disable Web connectivity alert when Web GUI becomes unreachable   CFIP PhoeniX Series TDM/IP Split Mount System Technical Description and Configuration Guide • Rev. 1.13 • © SAF Tehnika JSC 2015   60
   For the purpose of illustration, we use B class IP network address 10.0.10.11 for the remote side CFIP and 10.0.10.10 for the local side CFIP, while the IP address of our management PC LAN adapter will is 10.0.0.1. The steps of the configuration procedure are as follows: 1) Enter the remote side (far-end) Web GUI first (in the following case it is 192.168.205.10) and go to “IP configuration”. The configuration in this particular example will look in the following way:  Figure 4.32 Changing subnet for remote side Press “Execute configuration”. 2) Enter the local side (close-end) Web GUI and go to “IP configuration”. The configuration will look in the following way:  Figure 4.33 Changing subnet for local side Press “Execute configuration”. 3) In “MS Windows” go to “Control panel  Network Connections”. In LAN “Properties” find “Internet Protocol TCP/IP” and click on its “Properties” (detailed description is in Chapter  2.3.2. Configuration of LAN Ethernet port must be as follows: (!) “Rollback on” should not be selected! (!) “Rollback on” should not be selected!   CFIP PhoeniX Series TDM/IP Split Mount System Technical Description and Configuration Guide • Rev. 1.13 • © SAF Tehnika JSC 2015   61
    Figure 4.34 Internet Protocol (TCP/IP) Properties 4) Go to the remote side Web GUI, choose “Tools  Configuration file” and press “Cfg write”. 5) Repeat step 4) for the local side Web GUI. 4.6 Ethernet Configuration The Ethernet configuration window provides the speed settings for all four LAN ports of Ethernet switch as well as shows the current status of all four LAN ports (command line – ethernet stat). Explanation of customization fields:  Figure 4.35 Ethernet status and configuration 1. Represents four LAN (Local Area Network) ports of the CFIP PhoeniX switch, as well as WAN (Wide Area Port) connected to modem Ethernet interface; 2. Port state – shows operation status of each port;   CFIP PhoeniX Series TDM/IP Split Mount System Technical Description and Configuration Guide • Rev. 1.13 • © SAF Tehnika JSC 2015   62
   3. Link  –  shows whether link with appropriate port is established. If link is off, according field will be shown in red; 4. Duplex (actual) – shows if port is currently operating in full or half duplex mode;  5. Rx flow – shows if ‘flow control’ is enabled or disabled for ingress traffic; 6. Tx flow – shows if ‘flow control’ is enabled or disabled for egress traffic; 7. Rx state – shows if ingress activity is allowed; 8. Tx state – shows if egress activity is allowed;  9. Speed (set) – shows current operation mode of each port and allows to set manual speed setting (10hdx/10fdx/100hdx/100fdx/1000fdx) (command line – ethernet set <1 | 2 | 3 | 4> connection <auto | 10hdx | 10fdx | 100hdx | 100fdx | 1000fdx>); 10. Ethernet flowcontrol – allows manually disabling or enabling flow control for specific port. Default option is auto (from autonegotiation). Uncheck “auto” in order to enable manual force mode (command line –  ethernet flowcntrl {forced <Ports> | auto}); 11. By pressing „Execute configuration” changes made to the corresponding section apply only for the local side CFIP PhoeniX. If „Rollback on” is selected, configuration will be reverted in case erroneous configuration changes are applied. 12. configuration will be reverted in case erroneous configuration changes are applied. 4.6.1 Link state propagation configuration Link state propagation (LSP) functionality allows shutting down specified LAN ports if synchronization loss events occur so that customer-premises equipment (CPE) is able to apply necessary changes promptly.  Figure 4.36 Link state propagation configuration 1. LSP ports – enables LSP (Link State Propagation) on selected LAN ports (command line – ethernet rps ports <ports>); 2. LAN auto recovery* (0..600) sec – synchronization loss timeout after which port is reenabled even if link synchronization is still lost, otherwise timout is ignored. If parameter is set to “0”, port will not be reenabled until link synchronization is recovered (command line – ethernet rps time <tm1> <tm2> <tm3>); 3. SyncLoss keepalive timeout (0..10) sec – LAN port shutdown timeout after synchronization loss and synchronization recovery events (command line – ethernet rps time <tm1> <tm2> <tm3>); 4. LSP startup timeout (0..3600) sec – LSP activity timeout after management CPU start up and configuration script execution. During this period synchronization events are ignored (command line – ethernet rps time <tm1> <tm2> <tm3>); 5. SNMP  traps – SNMP trap will be sent if enabled. Note that SNMP trap address should be configured in SNMP configuration page  (command line –  ethernet rps trap <on|off>); 6. By pressing „Execute configuration” changes made to the corresponding section apply only for the local side CFIP PhoeniX. If „Rollback on” is selected, configuration will be reverted in case erroneous configuration changes are applied.   CFIP PhoeniX Series TDM/IP Split Mount System Technical Description and Configuration Guide • Rev. 1.13 • © SAF Tehnika JSC 2015   63
   4.6.2 Protocol transparency  Figure 4.37 Protocol Transparency 1. Represents four LAN (Local Area Network) ports of the CFIP PhoeniX switch, as well as WAN (Wide Area Port) connected to modem Ethernet interface; 2. STP – allows enabling/disabling Spanning Tree Protocol (STP) transparency by passing through/filtering BPDU (Bridge Protocol Data Unit) frames on specified ports (command line –  ethernet transparency STP {enable | disable} {<port list> | All}); 3. LACP – allows enabling/disabling Link Aggregation Control Protocol (LACP) transparency by passing through/filtering LACP frames on specified ports (command line – ethernet transparency LACP {enable | disable} {<port list> | All}); 4. OAM – allows enabling/disabling Operations, Administration and Management (OAM) transparency by passing through/filtering OAM frames on specified ports (command line – ethernet transparency OAM {enable | disable} {<port list> | All}); 5. By pressing „Execute configuration” changes made to the corresponding section apply only for the local side CFIP PhoeniX. If „Rollback on” is selected, configuration will be reverted in case erroneous configuration changes are applied. 4.6.3 Ethernet ingress/egress rate configuration  Figure 4.38 Ethernet ingress/egress rate configuration 1. Following section allows configuring ingress and egress rates on available Ethernet switch ports. In case ver.2 license with Ethernet rate limitation is applied, according Ethernet limitation will be indicated as ingress rate for WAN port; 2. Pressing  „Execute configuration” applies changes made to the corresponding section only for the local side CFIP PhoeniX. If  „Rollback on” is selected, configuration will be reverted in case of erroneous configuration changes applied; 3. Writes to configuration file all the changes made on the whole page (command line – cfg write); 4. System returned - in case of error or incorrectly entered parameter value, or other problems on the whole page – the info message is being shown here. Otherwise it says “Ok”.   CFIP PhoeniX Series TDM/IP Split Mount System Technical Description and Configuration Guide • Rev. 1.13 • © SAF Tehnika JSC 2015   64
   4.7 Aggregation configuration Link aggregation in n+0 mode allows utilizing up to 1000 Mbps Ethernet Layer 2 throughput by using independent frequency pair for each link. Traffic is being balanced (n+0) by internal switches of Master link. In case of link aggregation n+0 traffic distribution between n links is based upon the source and destination MAC addresses of Ethernet packets. Link aggregation (n+0) requires multiple MAC to MAC address pair connections as path for each connection is chosen based upon Ethernet frame’s source and destination MAC addresses. In case of link aggregation n+0 OMT, dual-polarized antenna or coupler can be used. When active link is down, in n+0 mode all connections are being switched to active links. Average switchover time is 100ms. Necessary equipment for CFIP PhoeniX link aggregation n+0 2, 3 or 4 CFIP PhoeniX links 1. 2 Gigabit Ethernet switches with at least n+2 ports (e.g. 4 ports for 2+0 configuration). There are no special requirements for external switch (SOHO switches can be used).  General configuration guide Do not interconnect CFIP PhoeniX IDUs with each other and do not plug CFIP PhoeniX IDUs into switches before you have finished the configuration.  1. Choose one link which will operate as “Master”. Other link will operate as “Slave” 2. Configure each link separately in mode you would like to operate. All CFIP PhoeniX links should operate in the same operational mode (bandwidth, modulation, Ethernet capacity) 3. In case of link aggregation n+0 different frequencies should be set for master and slave links. 4. Choose different IP addresses for each CFIP PhoeniX unit. Please see example given in Figure 4.39. 5. Remote IP address for all units should be entered manually. In order to do that in “ToolsCommand line” should be entered “modem ipremote off” command and afterwards appropriate remote IP address entered in “ConfigurationIP configuration” 6. When you have configured both links proceed with n+0 configuration  Figure 4.39 Link aggregation 2+0 setup IDU1 IP address - 192.168.205.10 – Master local unit IDU2 IP address - 192.168.205.11 – Master remote unit IDU3 IP address - 192.168.205.12 – Slave local unit   IDU4 IP address - 192.168.205.13 – Slave remote unit Configuration for master unit:   CFIP PhoeniX Series TDM/IP Split Mount System Technical Description and Configuration Guide • Rev. 1.13 • © SAF Tehnika JSC 2015   65
    Figure 4.40 Ethernet aggregation configuration for Master 1. Role – choose “Master”; 2. Mode – choose “Aggregation” for link aggregation 2+0; 3. Revertive mode – in case of “enabled” setting link will automatically reconfigure back to 2+0 operation when unit/cable/link failure is resolved. In case of “disabled” setting link will continue to operate in 1+0 mode; In order to activate 2+0 manually, it is necessary to press “Change state: Active” button on any of two Slave units. 4. In “Master aggregation/protection table” set the following: a. IP address of Master unit (you are configuring) b. IP address of Slave unit (directly connected to Master unit a) c. Link ID for Master link (same Link ID should be set on second Master unit) d. Link ID for Slave link (same Link ID should be set on second Slave unit) e. LAN port number which will be used as Traffic port (connection to external switch) f. LAN port number which will be used as Aggregation/Protection port (connection with Slave unit) 5. Add entry – use to add additional Slave units (in case of 3+0 or 4+0 configurations); 6. Pressing „Execute configuration” applies changes made to the corresponding section only for the local side CFIP PhoeniX. If „Rollback on” is selected, configuration will be reverted in case of erroneous configuration changes applied; 7. Writes to configuration file all the changes made on the whole page (command line – cfg write); 8. System returned - in case of error or incorrectly entered parameter value, or other problems on the whole page – the info message is being shown here. Otherwise it says “Ok”.  Configuration for local slave unit:   CFIP PhoeniX Series TDM/IP Split Mount System Technical Description and Configuration Guide • Rev. 1.13 • © SAF Tehnika JSC 2015   66
    Figure 4.41 Ethernet aggregation configuration for Slave 1. Role – choose “Slave”; 2. Mode – choose “Aggregation” for link aggregation 2+0 or “Protection” for link protection 1+1; 3. Revertive mode – in case of “enabled” setting link will automatically reconfigure back to 2+0 operation when unit/cable/link failure is resolved. In case of “disabled” setting link will continue to operate in 1+0 mode; In order to activate 2+0 manually, it is necessary to press “Change state: Active” button (7) on any of two Slave units. 4. In “Slave aggregation/protection table” set the following: a. IP address of Master unit (directly connected to Slave unit b) b. IP address of Slave unit (you are configuring) c. Link ID for Master link (same Link ID should be set on second Master unit) d. Link ID for Slave link (same Link ID should be set on second Slave unit) e. LAN port number which will be used as Management port (connection to external switch) f. LAN port number which will be used as Aggregation/Protection port (connection with Master unit) 5. Pressing „Execute configuration” applies changes made to the corresponding section only for the local side CFIP PhoeniX. If „Rollback on” is selected, configuration will be reverted in case of erroneous configuration changes applied; 6. Writes to configuration file all the changes made on the whole page (command line – cfg write); 7. Change state: Active – can be used to manually reactivate 2+0 aggregation mode if Revertive mode was disabled and for some reason link reconfigured to 1+0 8. System returned - in case of error or incorrectly entered parameter value, or other problems on the whole page – the info message is being shown here. Otherwise it says “Ok”. 4.8 VLAN Configuration The VLAN configuration window provides configuration of port-based Ethernet Virtual Local Area Networks (VLANs), allowing using up to 4095 different VLAN IDs. It is possible to assign 2 modes to your VLANs – Trunk (VLAN tagged packets are passed through on egress and ingress directions) and Access (VLAN tagged packets are untagged on egress direction). In order to add VLAN tag to untagged packets on ingress direction, according “Default VLAN” (5) should be specified. By default “Default VLAN” value on all ports is VLAN ID 1. When upgrading from any firmware prior to 1.63.xx, “Default VLAN” VID 0 will be changed to VID 1, but if “Default VLAN” VID was other than “0”, it will remain the same.    CFIP PhoeniX Series TDM/IP Split Mount System Technical Description and Configuration Guide • Rev. 1.13 • © SAF Tehnika JSC 2015   67
   Additionally starting from 1.63.xx firmware all ports (except WAN) by default are configured as Access VLAN ID 1.   Figure 4.42 VLAN configuration 1. 802.1Q VLAN – enables support of 802.1Q VLAN (command line – ethernet vlan [enable | disable]); 2. 802.1Q Double Tagging – enables double tagging feature, which is useful for ISP applications. When the ISP aggregates incoming traffic from each individual customer, the extra tag (double tag) can provide an additional layer of tagging to the existing IEEE 802.1Q VLAN. The ISP tag (extra tag) is a way of separating individual customers from other customers. Using the IEEE 802.1Q VLAN tag, a user can separate the individual customer’s traffic. If P1-P4 (LAN1-LAN4) is being used in Access mode, it is required to enable this option (command line – ethernet vlan doubletag [enable | disable]); With enabled QinQ feature, client VLAN (C-tag) stays with default Ether type 0x8100 and Service  tag  (S-tag) is added with Ether type 0x9100. 3. VLAN Nr.\Port – displays all 6 ports of CFIP PhoeniX switch; 4. Default VLAN – specifies default VID for untagged frames; Must match VLAN ID if port is set to Access mode – example for Management port is seen on Figure 4.42 (command line – ethernet vlan <N> default <port list>); 5. VLAN table displays the list of set VLAN IDs and appropriate VLAN types on all available switch ports (command line – ethernet vlan status); 6. Select/Deselect all VLAN(-s) – Allows selecting or deselecting all VLANs of the corresponding column; 7. You can delete single VLANs or VLAN ranges by entering preferable VID range and pressing “Del” button; 8. By pressing “Execute configuration” changes made to the corresponding section apply only for the local side CFIP PhoeniX. If “Rollback on” is selected, configuration will be reverted in case erroneous configuration changes are applied. (!)   When upgrading from any firmware prior to 1.63.xx you had VLAN configuration applied, management access will be available with previously specified management VLAN ID (as Default VLAN ID will remain the same), but it will be required to delete VLAN ID 1 from VLAN configuration table in order to make any further changes to VLAN configuration table.   CFIP PhoeniX Series TDM/IP Split Mount System Technical Description and Configuration Guide • Rev. 1.13 • © SAF Tehnika JSC 2015   68
   9. You can add VLANs by entering preferable VID, enabling appropriate port, choosing VLAN type and pressing “Add” button (command line – ethernet vlan <N[ - N]> {Delete} | {Port <port list  [1[u]] [2[u]] [3[u]] [4[u]] [5[u]] [6[u]]>); 10. Reset VLAN(-s) – resets the whole VLAN configuration (command line – ethernet vlan reset); 11. Writes to configuration file all the changes made on the whole page (command line – cfg write); 12. System returned - in case of error or incorrectly entered parameter value, or other problems on the whole page – the info message is being shown here. Otherwise it says “Ok”.  4.8.1 Ethernet Switch Port Status and Settings  Figure 4.43 Ethernet switch ports Switch LAN ports 1, 2, 3 and 4 are connected to LAN interface. Switch WAN port is connected to WAN interface, modem and radio part. Switch Mng port is connected to LAN Management CPU. 4.8.2 Ethernet Switch VLAN Status and Settings  Figure 4.44 System without VLANs   CFIP PhoeniX Series TDM/IP Split Mount System Technical Description and Configuration Guide • Rev. 1.13 • © SAF Tehnika JSC 2015   69
   When VLANs are not used (Figure  4.44), user data and management data are not separated either logically, or physically.  When using VLANs (Figure 4.45), it is necessary to use external switches (Switch 3 and Switch 4). These switches add/remove VLAN tags per port basis. Thus, management data and user data have different VLAN tags and are logically separated.  Ext. switch 2Int. switch 1CPU 1Int. switch 2CPU 2CFIP1 CFIP2UserdataMMdataPort 1 Port 2Port 3MngLAN 1,2WANWANExt. switch 1UserdataMMdataPort 3Port 1 Port 2LAN 1,2MngExt. switch 4UserdataMMdataPort 1 Port 2Port 3Ext. switch 3UserdataMMdataPort 3Port 1 Port 2 Figure 4.45 System with VLANs System with two separate VLANs – A and B. Figure 4.46. represents ports membership to VLANs.  Ext. switch 2Int. switch 1CPU 1Int. switch 2CPU 2CFIP1 CFIP2UserdataMMdataPort 1 Port 2Port 3MngLAN 1,2WANWANExt. switch 1UserdataMMdataPort 3Port 1 Port 2LAN 1,2MngExt. switch 4UserdataMMdataPort 1 Port 2Port 3Ext. switch 3UserdataMMdataPort 3Port 1 Port 2VLAN B VLAN A&BVLAN BVLAN BVLAN BVLAN AVLAN AVLAN A&BVLAN BVLAN AVLAN BVLAN A Figure 4.46 VLANs and ports membership LAN and WAN ports of Int. switch 1 and switch 2 are sending data according to VLAN ID and destination address, and adding VLAN tags for packets outgoing from Mng port. Additionally, VLAN tag is removed at Mng port of Switch 1 and Switch 2.  VLAN A is the Trunk type VLAN with LAN & WAN port membership. VLAN B is the Management type VLAN with LAN & WAN & Mng membership.   CFIP PhoeniX Series TDM/IP Split Mount System Technical Description and Configuration Guide • Rev. 1.13 • © SAF Tehnika JSC 2015   70
   Ext. switch 1Int. switch 1CPU 1Int. switch 2CPU 2CFIP1 CFIP2UserdataMMdataPort 1 Port 2Port 3MngWANWANMngExt. switch 2UserdataMMdataPort 1 Port 2Port 3VLAN B VLAN A&BVLAN BVLAN BVLAN BVLAN AVLAN AVLAN A&BVLAN AUserdataUserdataVLAN ALAN1LAN1LAN2 LAN2 Figure 4.47 Configuration with management and user VLANs on separate LAN ports For both switches: VLAN A is configured as: - Trunk type VLAN with LAN1 & WAN membership; - Access type VLAN with LAN2 & WAN membership with removing and inserting VLAN tags while packet is being transmitted to LAN2 and WAN, respectively. VLAN B is configured as: - Management type VLAN with LAN1, WAN and Mng ports membership when removing VLAN tags while packet is being sent to Mng port and inserting tag while packet is transmitting to LAN&WAN ports. Limitations and rules on using VLAN: • Supports up to 4096 full range VLAN IDs. • Only one VLAN with unique IDs is allowed. When adding a different VLAN with the same IDs, the old VLAN is deleted (also the other types of VLANs). • Simultaneous use of Access and Trunk type VLANs on one LAN port is not allowed. • After the VLAN table initialization is completed, 802.1Q VLAN mode must be enabled. • WAN (P5) allows using only Trunk VLAN Type and Management (P6) – only Access VLAN Type • In order to pass untagged packets through the link, VLAN ID “0” should be added as Trunk VLAN Type on LAN (P1-4) and WAN (P5). Steps required for VLAN configuration: 1) Add preferable VLAN IDs in “ConfigurationVLAN Configuration” in Web GUI on both sides of the link; 2) Enable “802.1Q VLAN” for remote unit first, then for the local unit; 3) Configure switches for VLAN tag encapsulation on both ends of the link; 4) Reconnect to Web GUI via configured Management VLAN ID. Examples of VLAN usage:   CFIP PhoeniX Series TDM/IP Split Mount System Technical Description and Configuration Guide • Rev. 1.13 • © SAF Tehnika JSC 2015   71
    Figure 4.48 VLAN configuration of CFIP PhoeniX link 4.9 QoS 4.9.1 General Configuration QoS status provides control over main QoS parameters, accordingly allowing enabling or disabling QoS 802.1p, DiffServ or port based priorities and change priority queuing mode.  Figure 4.49 QoS general configuration 1. QoS 802.1p – enables or disables 802.1p priorities for any available switch port – LAN1/2/3/4, WAN or Mng (command line – ethernet QoS  802.1p  {[enable | disable <Port>] | [map]});   CFIP PhoeniX Series TDM/IP Split Mount System Technical Description and Configuration Guide • Rev. 1.13 • © SAF Tehnika JSC 2015   72
   2. DiffServ – enables or disables DiffServ (DSCP) priorities for any available switch port – LAN1/2/3/4, WAN or Mng (command line – ethernet QoS DSCP [enable | disable <port>] |  map); 3. Port based priority – implies ingress packets on specified ports directly to  priority queue set. By default port based priority queuing passes packets from all ports to lowest (1) priority queue (command line – ethernet QoS port <port> <priority>); 4. Queuing priority selection – allows to select primary QoS method, upon which queueing decision shall be made; 5. Queuing type – allows choosing fixed priority queuing mode or weighted queuing mode; 6. Weights (0<Q1<Q2<Q3<Q4<50) – allows specifying correlation of all four queues. Queue values should correspond to limitations. Default correlation is 1:2:4:8. 7. By pressing „Execute configuration” changes made to the corresponding section apply only for the local side CFIP PhoeniX. If „Rollback on” is selected, configuration will be reverted in case erroneous configuration changes are applied. 8. Writes to configuration file all the changes made on the whole page (command line – cfg write); 9. Execution status - in case of error or incorrectly entered parameter value, or other problems on the whole page – the info message is being shown here. Otherwise it says “Ok”.  Figure 4.50 Weighted priority queuing mode  Figure 4.51 Fixed priority queuing mode In case of weighted priority queuing mode, highest (q3) priority buffer may pass up to 8 consecutive packets subsequently proceeding to lower priority buffer (q2), which may pass up to 4 consecutive packets. This means that highest priority after passing 8 consecutive packets will wait no longer than until 7 packets of lower priorities pass (4(q2)+2(q1)+1(q0)).   CFIP PhoeniX Series TDM/IP Split Mount System Technical Description and Configuration Guide • Rev. 1.13 • © SAF Tehnika JSC 2015   73
   If any queues are empty, the highest non-empty queue gets one more weighting. For example, if q2 is empty, q3:q2:q1:q0 becomes (8+1):0:2:1. In case of fixed queuing mode, highest priority buffer (q3) will pass packets as long as its buffer is full. By default weighted priority queuing mode is enabled. 4.9.2 QoS 802.1p Configuration QoS 802.1p provides configuration of QoS 802.1p priority mapping. You are able to map 8 different traffic 802.1p values (0 – 7) into 4 priority queues (1 – 4).  Figure 4.52 QoS 802.1p priority mapping 1. QoS 802.1p priority mapping – allows assigning queue values to specific 802.1p values. 2. By pressing „Execute configuration” changes made to the corresponding section apply only for the local side CFIP PhoeniX. If „Rollback on” is selected, configuration will be reverted in case erroneous configuration changes are applied. 3. Writes to configuration file all the changes made on the whole page (command line –  cfg write); 4. System returned - in case of error or incorrectly entered parameter value, or other problems on the whole page – the info message is being shown here. Otherwise it says “Ok”. 4.9.3 DSCP Configuration QoS DSCP provides mapping of different traffic DSCP classes to priority queues.    CFIP PhoeniX Series TDM/IP Split Mount System Technical Description and Configuration Guide • Rev. 1.13 • © SAF Tehnika JSC 2015   74
    Figure 4.53 DSCP mapping 1. DSCP mapping – allows assigning queues for different DSCP classes. You may have up to 64 different traffic DSCP classes; 2. By pressing „Execute configuration” changes made to the corresponding section apply only for the local side CFIP PhoeniX. If „Rollback on” is selected, configuration will be reverted in case erroneous configuration changes are applied. 3. Writes to configuration file all the changes made on the whole page (command line – cfg write); 4. System returned - in case of error or incorrectly entered parameter value, or other problems on the whole page – the info message is being shown here. Otherwise it says “Ok”.    CFIP PhoeniX Series TDM/IP Split Mount System Technical Description and Configuration Guide • Rev. 1.13 • © SAF Tehnika JSC 2015   75
   4.10 Spanning Tree Configuration 4.10.1 Spanning Tree Configuration  Figure 4.54 Spanning Tree Protocol – Bridge configuration Bridge configuration - Values 2-4 take effect only if a given Bridge is Root: 1. Bridge ID  –  value from (0..61440);  this parameter and MAC address determine whether a given Bridge is Root Bridge. Advantage is given to the combination of Priority and Address, which is numerically smaller; 2. Hello Time (1..100) – time gap, between which the BPDU packets are being sent; 3. Max Age (6..40) –  this parameter determines time period, during which the received BPDU packets’ information is stored for a separate port; 4. Forward Delay (4..30) – time period that determines time a separate port stays in Listening and Learning conditions; 5. Version – allows to switch STP versions between STP, RSTP or MSTP; 6. STP operation –  Enable or Disable STP operation;  7. Change between MST instances configuration when  MSTP operation mode is enabled; Root information – displays the data only when STP/RSTP/MSTP is enabled: 8. Regional Root ID – displays the Bridge ID for  instance 0*  of current Root bridge; 9. Regional Root Port  – currently selected root port  for  instance 0*  is being shown;  10. Root Path Cost – displays the path cost port  for  instance 0*  from current bridge to root bridge; 11. Hello Time – displays the current hello time; 12. Max Age – displays the current max age; 13. Forward Delay – displays the current forward delay;   CFIP PhoeniX Series TDM/IP Split Mount System Technical Description and Configuration Guide • Rev. 1.13 • © SAF Tehnika JSC 2015   76
   14. Bridge ID – displays the Bridge ID of current Root bridge; 15. Root Port – currently elected root port is being shown; 16. Root Path Cost – displays the path cost from current bridge to root bridge; 17. Port 1 LAN – STP parameters of LAN port; 18. Port 2 WAN – STP parameters of WAN port: -  Priority (0..240) – Port Priority. Combination of Priority, Port number and Path Cost determines whether the port will be selected as Root port or will be blocked on the occasion of loop, etc; -  Path cost (1..200000000) –  this parameter setting depends on the capacity of a separate port; -  State  –  port condition. Can be one of the following: Disabled,  Blocking,  Listening, Learning or Forwarding; -  Role  –  role of the particular port. Can be one of the following: Root, Designated, Alternate, Backup or Disabled; -  Edge – specifies whether this particular port is Edge port or not; -  Point-to-point – specifies whether there is point-to-point connection from particular port or not; 19.  By pressing „Execute configuration” changes made to the corresponding section apply only for the local side; 20. Write to config file - saves to configuration file all the changes made on the whole page (command line – cfg write); 21. System returned - in case of error or incorrectly entered parameter value, or other problems on the whole page – the info message is being shown here. Otherwise it says “Ok”. * Instance 0 carries all STP-related information and refers only when MSTP is enabled 4.10.2 Region, mapping configuration for MSTP  Figure 4.55 Spanning Tree Protocol – Redion configuration 1. Region name (0 –  32 characters) – displays region name. By default device’s MAC address; 2. Region revision (0- 65545) – displays region revision; 3. Region digest –  hash value calculated over VLANs to Multiple Spanning Tree Instance mapping table contents and region revision;   CFIP PhoeniX Series TDM/IP Split Mount System Technical Description and Configuration Guide • Rev. 1.13 • © SAF Tehnika JSC 2015   77
   4. By pressing „Execute configuration” changes made to the corresponding section apply only for the local side; 5. VLAN (1 – 4094) – map VLAN ID or VLAN IDs range for each instance. Up to seven instances;  6. Write to config file - saves to configuration file all the changes made on the whole page (command line – cfg write); 7. System returned - in case of error or incorrectly entered parameter value, or other problems on the whole page – the info message is being shown here. Otherwise it says “Ok”. 4.10.3 Spanning Tree Protocol statistics Spanning tree protocol statistics summarizes STP statistics on all available switch ports.  Figure 4.56 Spanning Tree Protocol Statistics 1. Rx MSTP BPDUs – displays how many MSTP BPDUs packets received; 2. Rx RSTP BPDUs – displays how many RSTP BPDUs packets received 3. RX Conf BPDUs – displays how many STP BPDUs packets received; 4. RX TCN BPDUs – displays how many topology changing notification BPDUs packets received; 5. Bad MSTP BPDUs – displays how many bad MSTP BPDUs packets received; 6. Bad RSTP BPDUs – displays how many bad RSTP BPDUs packets received; 7. Bad Conf BPDUs – displays how many bad STP BPDUs packets received; 8. Bad TCN BPDUs – displays how many bad topology changing notifications BPDUs packets received; 9. Tx MSTP BPDUs – displays how many MSTP BPDUs packets send; 10. Tx RSTP BPDUs – displays how many RSTP BPDUs packets send; 11. Tx Conf BPDUs -  displays how many STP BPDUs packets send; 12. Tx TCN BPDUs – displays how many topology changing notification BPDUs packets send; 13. Fwd Transitions – displays how many times port has been changed to forward status; 14. Times Since Top Chg – displays time since last topology change in HH:MM:SS; 15. Top Change Count  - displays total change count for all port;   CFIP PhoeniX Series TDM/IP Split Mount System Technical Description and Configuration Guide • Rev. 1.13 • © SAF Tehnika JSC 2015   78
   4.11 SNMP v1/v2 configuration The SNMP v1/v2 configuration pages provide configuration of SNMP communities, host and trap addresses. SAF NMS system will work only when SNMP is properly configured. Explanation of customization fields: 4.11.1 SNMP community configuration  Figure 4.57 SNMP community configuration 1. Read  -  Specifies the SNMP v1/v2  community name of the agent to enable parameters to be read (not configured) (command line –  snmp community read <communityname> and snmp2 community read <communityname>); 2. Write  –  specifies the community name of the agent to enable parameters to be written (configured) (command line –  snmp community write <communityname> and snmp2 community write <communityname>); 3. Trap  – specifies SNMP v1/v2  trap community name for trap authentication in monitoring applications (command line – snmp community trap <communityname> and snmp2 community trap <communityname>); 4. SNMP trap host list – shows the list of IP addreses of the management terminal with the installed Trap  Manager software, based on SNMP v1/v2  platform. The CFIP PhoeniX management controller sends SNMP traps to the Trap Manager with IP address specified here. The SNMP Trap Manager is a PC with installed SNMP trap management software. The default Trap Manager IP address is 255.255.255.255 meaning that no trap packets are sent by the management controller; 5. Allows to add or delete SNMP v1/v2 trap host IP addresses from the list (command line – snmp trap <IP addresses of trap receivers> and snmp2 trap <IP addresses of trap receivers>); 6. By pressing „Execute configuration” changes made to the corresponding section apply only for the local side CFIP PhoeniX. If „Rollback on” is selected, configuration will be reverted in case erroneous configuration changes are applied. 4.11.2 SNMP Allowed Hosts Configuration    CFIP PhoeniX Series TDM/IP Split Mount System Technical Description and Configuration Guide • Rev. 1.13 • © SAF Tehnika JSC 2015   79
   Figure 4.58 SNMP allowed hosts configuration 1. SNMP host list – shows the list of available v1/v2 SNMP hosts; adds or deletes the host IP address to the CFIP SNMP v1/v2 host table. If the SNMP host connected to the CFIP is not added to the CFIP SNMP v1/v2 host table, the CFIP will not respond to the SNMP requests from that host. If „Rollback on” is selected, configuration will be reverted in case of erroneous configuration changes applied.  2. Allows to add or delete SNMP host IP addresses from the list (command line – snmp host {add | delete | list | reset} <ipaddr> and snmp2 host {add | delete | list | reset} <ipaddr>); 3. Reset SNMP host(-s) – deletes all SNMP managers’ IP addresses from the list;  4. Writes to configuration file all the changes made on the whole page (command line – cfg write); 5. System returned - in case of error or incorrectly entered parameter value, or other problems in the whole page – info message will be displayed here. Otherwise it says “Ok”.    CFIP PhoeniX Series TDM/IP Split Mount System Technical Description and Configuration Guide • Rev. 1.13 • © SAF Tehnika JSC 2015   80
   5 Performance and Alarm Management 5.1 Alarm Management 5.1.1 Alarms and Events Structure All alarms and events are placed in indexed table. Low level raw alarms and events are placed in the first table. Raw alarms and events are merged in groups, which are placed in the second indexed group table. Raw alarm table and group table are related one to many, or one to one if each alarm has a separate group (see Figure 5.1). Group is in SET state if one or more group members are in SET state. If there is no info about any group member alarm or event state, then there is no info about group state too.   Figure 5.1 Alarm and group table relation 5.1.2 Alarms-Events and Groups Tables Most groups write log when group state changes (Set/Reset), but some groups are only rising. Alarms events and event groups: Alarm ID Group ID Alarm-Event name Description 1  1  ==> System Start Software started [Only rising] 2  2  Invalid device license License is not valid 3  3  License expired License validity has expired 4  4  License will soon expire License validity will soon expire 5  5  Log was Cleared Entered when ‘Log Clear’ command was called [Only rising] 6  6  Log ERROR Log data structure missing 7  7  Log TEST Log test was made 8  8  Counters was Cleared System performance counters were cleared [Only rising] 9  9  Config was Written Configuration was written [Only rising] 10 10 System CPU restart ==> Entered when system restart was called [Only rising] 11 11 No data from IDU temperature sensor No data from temperature sensor connected via I2C interface 1                                alarm_list (indexed table)                        alarm_idx (index field)                alarm_group (group id field)                        alarm_group_list (indexed table)                        alarm_goup (index field)                        ∞                                Description fields ...                              Description fields ...                                   CFIP PhoeniX Series TDM/IP Split Mount System Technical Description and Configuration Guide • Rev. 1.13 • © SAF Tehnika JSC 2015   81
   12 12 IDU temperature fault Temperature is out of defined range  13 13 No data from main PSU IDU ADC No data from IDU ADC connected via I2C interface 14 14 Main supply 48V failure Main supply voltage is out of defined range 15 15 IDU PSU state One of the possible PSU state "OFF","IDLE","Ok","OVERLOAD","SHORT","FAULT" state was changed for IDU 16 16 No data from main PSU ODU ADC No data from ODU ADC connected via I2C interface 17 17 IDU PSU to ODU state One of the possible PSU state "OFF","IDLE","Ok","OVERLOAD","SHORT","FAULT" state was changed for ODU 18 18 No data from PSU temperature sensor No data from PSU temperature sensor via I2C interface 19 19 PSU temperature fault PSU temperature is out of defined range 20 20 Main 3,3V PSU failure Main supply 3,3V voltage is out of defined range 21 21 No data from power supply ADC No data from ADC connected via I2C interface 22 22 1,0V failure Power supply voltage out of  defined range 23 22 1,2V failure Power supply voltage out of  defined range 24 22 1,5V failure Power supply voltage out of  defined range 25  22  2,5V failure Power supply voltage out of  defined range 26 22 3,3V failure Power supply voltage out of  defined range 27 22 Main 3,3V failure Power supply voltage out of  defined range 28 22 5,0V failure Power supply voltage out of  defined range 29 23 No data from RADIO No data from ODU 30 24 Rx level alarm Rx alarm level is out of defined range 31 25 Tx PLL error alarm Tx PLL failure 32 26 Rx PLL error alarm Rx PLL failure 33 29 ODU TX LOS Tx IF AGC error is greater than 2 dB 34 31 ODU TX failure Tx RF AGC error is greater than 2 dB 35 28 ODU RX LOS RxPow < RslMinPower 36 30 ODU RX failure Rx AGC error is greater than2 dB 37 32 ODU TX Frequency failure Tx  synthesizer could not synchronize 38 32 ODU RX Frequency failure Rx  synthesizer could not synchronize 39 32 ODU IF Frequency failure IF synthesizer could not synchronize 40 27 ODU Temperature alarm ODU sends temperature alarm 41 27 ODU Temperature fault  ODU temperature is out of defined range U temperature is out of defined range 42  33  ODU Tx mute on ODU transmitter was muted 43 34 ODU RF loopback on ODU radio frequency loopback was enabled   CFIP PhoeniX Series TDM/IP Split Mount System Technical Description and Configuration Guide • Rev. 1.13 • © SAF Tehnika JSC 2015   82
   44 35 No data from MODEM No data from MODEM connected via UART interface 45 36 Acquire status alarm Modem acquire failure status  46 37 Last acquire error status Modem last acquire failure status 47 38 Radial MSE Radial MSE is out of defined range 48 39 LDPC decoder stress LDPC decoder stress is out of defined range 49 40 Tx ACM profile was changed ACM profile was changed 50 41 RX carrier offset Error in Rx carrier offset 51 42 No data from modem temperature sensor No data from modem temperature sensor via I2C interface 52 43 Modem temperature fault Modem temperature is out of defined range  53 44 ATPC Tx power correction was changed ATPC Tx power correction was changed 54 45 Rollback initiate system CPU restart ==> System restart was called by rollback [Only rising] 55 46 System CPU reset was WDT initiated ==> System restart was called by watchdog [Only rising] 56 47 PM log flash write error Error while writing pm log to flash 57 48 Command from interface Message about command execution from particular interface 58 49 Message of event Informative message 59 50 E1/T1 interface E1/T1 interface state was changed 60 51 Eth interface No connection to Ethernet LAN port 61 52 AUX alarm in 1 AUX alarm 1 was enabled 62 53 AUX alarm in 2 AUX alarm 2 was enabled 63 54 AUX alarm in 3 AUX alarm 3 was enabled 64 55 AUX alarm in 4 AUX alarm 4 was enabled 65 56 No protection data from alternate If 1+1 protection is enabled and no data from alternate (paired) device 66 57 Protection state was changed Protection state was changed 67 58 Aggregation state was changed Event of aggregation state change in aggregation 2+0 configuration 68 59 Aggregation events Event of aggregation 2+0 configuration 69 60 Keepalive ethernet switch reset Ethernet switch does not respond and thus is reset  5.1.3 Alarm Status Window ‘Status  Alarm status’ in navigation bar shows you all the current alarms.  Date and time represents the time the alarm appeared, so you can easily evaluate for how long the alarm has  been active. ‘Alarm gr.’ is the number of alarm group in which the specific alarm is   CFIP PhoeniX Series TDM/IP Split Mount System Technical Description and Configuration Guide • Rev. 1.13 • © SAF Tehnika JSC 2015   83
   grouped. Complete list of alarm individual IDs and group IDs can be seen in the table above or using the command ‘alarm list’ in the command prompt. To configure representation of alarms, refer to Chapter 5.2.5.  Figure 5.2 Alarm status window 5.1.4 Alarm Log To view alarms history, go to ‘Performance  Alarm log’. Alarm log shows 21 latest alarm entries per page and about 2000 latest alarm entries in total. Alarm entries are mostly distributed in two groups – ‘Set’ when alarm appears and ‘Reset’ when alarm disappears. To view earlier log entries, please enter the number of log entry and press ‘Previous 21’ or ‘Next 21’ to view 21 entries before or after entered entry number. Note that the alarm ID (for example, ‘057’ in the Figure 5.3) here is an individual ID, not a group ID. You also have fast access to alarm filtering, where it is possible to choose which alarm ID you are willing to search among all log entries. To configure detailed and permanent alarm representation, refer to the next chapter.  Figure 5.3 Alarm log window 5.1.5 Alarm and Alarm Threshold Configuration The alarm configuration screen allows you to configure alarm representation. You have a choice to see specific alarm groups globally in alarm status (Global), in alarm log (Log) or in NMS system (SNMP). AUX allows choosing one of four available alarm outputs.   CFIP PhoeniX Series TDM/IP Split Mount System Technical Description and Configuration Guide • Rev. 1.13 • © SAF Tehnika JSC 2015   84
     Figure 5.4 Alarm configuration window Alarm threshold configuration screen allows you to define specific threshold levels to bound alarms to desirable values, so that you are able to adapt alarm system to your individual needs. Alarms in bold font represent group alarms and alarms in normal font – individual alarms.    CFIP PhoeniX Series TDM/IP Split Mount System Technical Description and Configuration Guide • Rev. 1.13 • © SAF Tehnika JSC 2015   85
    Figure 5.5 Alarm threshold configuration window 5.1.6 Alarm Management Commands To manage alarms in command prompt, the commands are as follows:  Alarm management commands Command  Description  Log show [<start line>] The management controller maintains event log, -  events include configuration changes, management controller restarts, and local site alarm changes. The “log show” or “log” commands display the latest 20 log entries, the log entries are numbered, -  entry with the largest number is the latest event. The “log show” command can be followed up with an entry number to display the latest 20 entries beginning from the entry specified by the number, e.g., “log show 100” will display entries 100…120.   CFIP PhoeniX Series TDM/IP Split Mount System Technical Description and Configuration Guide • Rev. 1.13 • © SAF Tehnika JSC 2015   86
   5.2 Performance Management The main aim of the performance management is to register mostly critical device performance event values in predefined time intervals. 5.2.1 Performance Management Data Collection The performance parameters are collected within time intervals of 1 min., 15 min. and 1 hour. List reserved space for every time interval is 1440 records (see Figure 5.6). Second-by-second the input performance event values are stored by updating previous second values. The register is called current register. The current register contains the performance values collected second-by-second from the reset instant to the present second.  At the end of period the contents of current registers are transferred to the history registers (records), with a time-date stamp to identify the period, after which the current register must be reset. Some current register values are passed to the threshold crossing control unit for triggering threshold crossing notification. Optionally,  the same values are output to the Message Communication Function (MCF) to be forwarded to the managing system. Alarm management commands Command  Description  Log filter <alarm ID> [<num>] Filters event list by specific alarm ID. <start line> ; works similarly to ‘log show’ command.  Log file <file name> Makes event log file with specified filename. Alarm stat Lists alarm groups currently set. Alarm list Displays the list of all alarms, their group IDs and alarm IDs. Alarm groups Displays the list of all alarms and their group IDs. Alarm cfg <group ID> [<global> <led> <aux> <log> <snmp>] Allows defining detailed alarm representation settings. [<global> <led> <aux> <log> <snmp>] must be defined in a row of ‘1’s or ‘0’s of 5 values for specified group ID with <group ID>. ‘1’ means the values are ‘on’ and ‘0’ – ‘off’. Alarm threshold {stat} | {<Alarm ID> lo|hi|delta <value>} Sets threshold values outside which alarm status will be shown.   CFIP PhoeniX Series TDM/IP Split Mount System Technical Description and Configuration Guide • Rev. 1.13 • © SAF Tehnika JSC 2015   87
    Figure 5.6 Functional architecture for data collection, history and thresholding treatment 5.2.2 Performance Values Threshold Seconds (TS) The TS is defined as one second period during which the detected value is outside of predefined thresholds. The current value of the counter associated with TS should be readable by the managing system on request. In case a threshold associated to TS counter is changed, the current value of the counter should be reset to zero. Tide Mark (TM)  The TM is a mechanism that records the maximum and the minimum value reached during measurement period. The tide mark values are automatically reset to the current value assumed at the beginning of each measurement period. The TM is therefore composed of two values: the minimum and the  maximum value. Comparison between the current value and the minimum and maximum values is performed on a second basis. 5.2.3 Performance Management in Web GUI The main performance management tool in the CFIP PhoeniX is Web interface, allowing user to review performance measurements in a very convenient and visualized way.  Going to ‘Performance  Performance log’ in navigation panel on the left side of the Web GUI window will lead you to the log parameters’ selection screen, where you will be able to choose between 10 different parameters to display in summarizing performance log or pick ‘ALL’ to display all 10 parameters in conjoint log which is shown in Figure 5.7.   CFIP PhoeniX Series TDM/IP Split Mount System Technical Description and Configuration Guide • Rev. 1.13 • © SAF Tehnika JSC 2015   88
    Figure 5.7 Selecting performance log parameters  Figure 5.8 Performance log window Time interval can be chosen between 1 min, 15 min or 1 hr. You can also define the start time and the start date. When start values are defined, it is also possible to define the end time and the end date. TS (threshold seconds) show the amount of seconds in a chosen period (1min, 15min or 1h) when the parameter has  been out of bounds set by performance thresholds in ‘Configuration  Performance log configuration’. To define thresholds from where TS (threshold seconds) will be counted, you must go to ‘Configuration   Performance log configuration’ and enter preferable threshold values. Refer to Chapters 5.2.1 and 5.2.2 for further details on threshold seconds.    CFIP PhoeniX Series TDM/IP Split Mount System Technical Description and Configuration Guide • Rev. 1.13 • © SAF Tehnika JSC 2015   89
    Figure 5.9 Performance log configuration window The main advantage in terms of demonstration means is obtained from ‘Performance graphs’, which are found in ‘Performance  Performance graph’ section. You are able to choose between  9  parameters  –  Rx level; Tx level; Radial MSE;  LDPC stress; Modem temperature; IDU temperature; ODU temperature; PSU input voltage and PSU power consumption – and  to view their graphs. It is possible to choose between 8 scales –  from 12 last minutes to the maximum of 6 last days to be displayed in the graph. It is also possible to choose time period to be displayed, defining date and time till which the graph will be shown.  Figure 5.10 Performance graph showing system temperature and Rx level in period of last 6 hours 1. 10. 9. 5. 7. 8. 6. 4. 2. 3. 11.   CFIP PhoeniX Series TDM/IP Split Mount System Technical Description and Configuration Guide • Rev. 1.13 • © SAF Tehnika JSC 2015   90
   1. Time scale selector. User can select the scale and accuracy (1 / 15 / 60 minutes). The lower accuracy, the longer the period available for data (mechanism of the performance management system) 2. Updates the performance graph; the latest data is shown 3. Shows / hides period settings (point 5) 4. Performance data selector. Only two performance parameters can be selected at a time 5. Period settings. Allows the user to specify time period for the graph 6. Date and time fields. The date format is “yy-mm-dd”, the time format is “hh:mm” 7. Sets date and time fields (point 6) one screen back / forth 8. Shows / updates the performance graph using the period settings (point 5) 9. Performance graph. Displays two performance parameters. Each parameter is shown with the minimum and maximum curves, which are in the same color. The curves in red have the scale on the left, while the curves in blue have the scale on the right 10. Time scale. Shows the time scale chosen from the time scale selector (point 1) for the performance data available. If no data is available for the according moment, “__:__” is shown 11. Legend for the curves of the performance graph.  Contains the color, the name and the unit of measurement, if available. In case no performance data has been recorded, or the period specified has no data, “No data” is shown (instead of points 9, 10, 11). 5.2.4 Adaptive Equalizer CFIP  PhoeniX features adaptive equalizer, which is a filter that automatically adapts to time-varying properties of a communication channel with selective fading, having a target to compensate the inequalities in frequency response, mitigating the effects of multipath propagation. In wireless telecommunications, using QAM modulation this filter equalizes not only a separate quadrature channel, but provides a cancellation of cross-interference between them. In current CFIP device an adaptive equalizer is realized as complex-arithmetic 24-taps digital FIR (Finite Impulse Response) filter. In other words, equalizer is a selective frequency amplifier and attenuator, a device, which application to IF (Intermediate Frequency) band-limited signal is schematically shown in the picture below:  Figure 5.11 Equalizer operation Equalizer graph window shows adaptive equalizer taps’ coefficients, which at a set time moment minimize multipath fading effect in channel. Example of equalizer taps’ coefficients and its frequency response in case of a normal operation is shown below:    CFIP PhoeniX Series TDM/IP Split Mount System Technical Description and Configuration Guide • Rev. 1.13 • © SAF Tehnika JSC 2015   91
    Figure 5.12 Equalizer graph – normal operation During normal operation frequency response curve is smooth and the only equalizer tap towers are in the centre of equalizer taps graph, otherwise frequency response curve will appear jagged and many equalizer taps will become visible. The latter case most probably will indicate to multipath issue, which must be inspected with use of precise and accurate path profiling. An example of multipath caused equalization is shown on the picture below. Taps mainly on the right side designate a weaker reflected signal in comparison with the main signal.  Figure 5.13 Equalizer graph – multipath 5.2.5 Performance Management Commands It is also possible to view performance log in command prompt. The list of available commands is the following:   CFIP PhoeniX Series TDM/IP Split Mount System Technical Description and Configuration Guide • Rev. 1.13 • © SAF Tehnika JSC 2015   92
    5.3 Ethernet modem statistics Ethernet modem statistics window shows the full Ethernet and framing statistics of CFIP modem since unit start or statistics reset. All statistics are also accessible using command prompt command ethernet statistics all. Explanation of fields:  Figure 5.14 Ethernet modem statistics  1. Shows the time during which statistics have been gathered; Additional performance management commands in Telnet/serial interface Command Description pm log <interval> {<last rec count>|{<start date>|<start time>|<end date>|<end time>}} Lists performance management log with selected <interval> of 1min, 15min or 1hr. Allows choosing the number of last records to be shown (<last rec count>) or to define start and end time and date. Note that end time and date values must be entered after entering start time or date respectively.  pm select {Up_TIME . Rx_LEVEL . Tx_LEVEL . RADIAL_MSE . LDPC_STRES . MOD_TEMPER . IDU_TEMPER . ODU_TEMPER . PSU_U_IN . PSU_POW.} | {ALL | NOT} Allows  selecting the  system parameters to be monitored and shown in the  performance management log. pm logclear Clears performance log. pm threshold stat | auto | {{|Rx_LEVEL | Tx_LEVEL | RADIAL_MSE | LDPC_STRES | MOD_TEMPER | IDU_TEMPER | ODU_TEMPER | PSU_U_IN | PSU_POW} {min | max <value>} | auto } Sets threshold levels for parameters  from where TS (Threshold Seconds) are counted and shown in the performance log.   CFIP PhoeniX Series TDM/IP Split Mount System Technical Description and Configuration Guide • Rev. 1.13 • © SAF Tehnika JSC 2015   93
   2. Modem state – shows if the modem is operating correctly; 3. Clear statistics – resets all statistics counters (not available for “guest” account); 4. Truncated frames – number of truncated received frames; 5. Long events –  frames having byte count greater than MAXIMUM FRAME SIZE parameter (1518, 1536 or 1916 bytes); 6. Vlan tags detected – VLAN tagged frames; 7. Unsup. opcodes – frames recognized as control frames but contained an Unknown Opcode; 8. Pause frames – frames received are control frames with valid PAUSE opcodes; 9. Control frames – frames received as control frames; 10. Dribble nibbles – indicates that following the end of the packet additional 1 to 7 bits are received. A single nibble, named the dribble nibble, is formed but not sent to the system; 11. Broadcasts – packets, which destination address contained broadcast address; 12. Multicasts – packets, which destination address contains multicast address; 13. Dones – reception of packets successfully completed; 14. Jumbo frames – frame Type/Length field larger than 1518 (Type Field) bytes; 15. Length check errors –  frame length field in the packet does not match the actual data byte length and is not a Type Field; 16. CRC errors – frame CRC do not match the internally generated CRC; 17. Code errors – one or more nibbles are signalled as errors during reception of the packet; 18. False carrier errors – indicates that following the last received statistics vector, a false carrier was detected, noted and reported with next received  statistics. The false carrier is not associated with this packet. False carrier is activated on the receiving channel that does not result in a packet receive attempt being made; 19. Rx Dv event – indicates that the last receiving event seen is too short to be a valid packet; 20. Prev. pkt dropped  –  indicates that since the last RSV, a packet is dropped (i.e. interframe gap too small); 21. Byte counter –  total number of bytes received on the wire, not counting collided bytes; 22. FCS errors – number of generic framing procedure (GFP) frames with CRC errors received by the de-encapsulation block; 23. CHEC errors – number of generic framing procedure (GFP) frames with CHEC errors received by the de-encapsulation block; 24. Dropped frames – number of generic framing procedure (GFP) frames that were dropped in the de-encapsulation block; 25. Delineation errors – number of ‘loss of synchronization’ events; 26. Vlan tags – number of VLAN tagged packets, 32-bit counter; 27. Backpres. events – carrier-sense-method backpressure was previously applied; 28. Pause frames – frames transmitted are control frames with a valid PAUSE opcodes; 29. Control frames – frames transmitted are control frames; 30. Wire byte counter – total number of bytes transmitted on the wire, including all bytes from collided attempts; 31. Underruns – underruns occur during frame transmission; 32. Giants – frames having byte count greater than the  MAXIMUM FRAME SIZE parameter (1516, 1536 or 1916 bytes); 33. Late collisions – Collisions occurred beyond the collision window (512 bit times); 34. Max collisions  – packets aborted after number of collisions exceeded the RETRANSMISSION MAXIMUM parameter;   CFIP PhoeniX Series TDM/IP Split Mount System Technical Description and Configuration Guide • Rev. 1.13 • © SAF Tehnika JSC 2015   94
   35. Excessive defers  –  packets deferred in excess of 6,071 nibble times in 100 Mbps mode, or 24,287 bit-times in 10 Mbps mode; 36. Non-exc. defers – packets deferred for at least one attempt, but less than an excessive defer; 37. Broadcasts – packets, which destination address contained broadcast address; 38. Multicasts – packets, which destination address contained multicast address; 39. Dones – transmission of packets successfully completed; 40. Length check errors –  frame length field in the packet does not match the actual data byte length and is not a Type Field; 41. CRC errors – frame CRC do not match the internally generated CRC; 42. Collisions –  number of collisions the current packet incurred during transmission attempts; 43. Byte counter – total count of bytes transmitted on the wire not including collided bytes; 44. Rx Q1 frames – number of frames received on Q1; 45. Rx Q1 dropped – number of frames dropped on Q1; 46. Rx Q2 frames – number of frames received on Q2; 47. Rx Q2 dropped – number of frames dropped on Q2; 48. Tx frames – number of frames passed through TX FIFO; 49. Tx dropped – number of frames dropped in TX FIFO. 5.4 Ethernet switch statistics Ethernet switch statistics window shows the full Ethernet statistics of CFIP switch since unit start or statistics reset. All statistics are also accessible using command prompt command ethernet counters <1|2|3|4|5|6|All|Clear>. Explanation of fields:   CFIP PhoeniX Series TDM/IP Split Mount System Technical Description and Configuration Guide • Rev. 1.13 • © SAF Tehnika JSC 2015   95
    Figure 5.15 Ethernet switch statistics 1. Shows the time during which statistics have been gathered; 2. Clear statistics – resets all statistics counters (not available for “guest” account); 3. TxOctets - The total number of good bytes of data transmitted by a port (excluding preamble but including FCS); 4. TxDropPkts -  This counter is incremented every time a transmit packet is dropped due to lack of resources (e.g., transmit FIFO underflow), or an internal MAC sublayer transmit error not counted by either the TxLateCollision or the TxExcessiveCollision counters; 5. TxQ0PKT  -  The total number of good packets transmitted on COS0, which is specified in MIB queue select register when QoS is enabled; 6. TxBroadcastPkts - The number of good packets transmitted by a port that are directed to a broadcast address. This counter does not include errored broadcast packets or valid multicast packets; 7. TxMulticastPkts - The number of good packets transmitted by a port that are directed to a multicast address. This counter does not include errored multicast packets or valid broadcast packets;   CFIP PhoeniX Series TDM/IP Split Mount System Technical Description and Configuration Guide • Rev. 1.13 • © SAF Tehnika JSC 2015   96
   8. TxUnicastPkts  -  The number of good packets transmitted by a port that are addressed to a unicast address; 9. TxCollisions - The number of collisions experienced by a port during packet transmissions; 10. TxSingleCollision - The number of packets successfully transmitted by a port that have experienced exactly one collision; 11. TxMultiCollision - The number of packets successfully transmitted by a port that have experienced more than one collision; 12. TxDeferred Transmit  -  The number of packets transmitted by a port for which the first transmission attempt is delayed because the medium is busy. This only applies to the Half Duplex mode, while the Carrier Sensor Busy; 13. TxLateCollision - The number of times that a collision is detected later than 512 bit-times into the transmission of a packet; 14. TxExcessiveCollision -  The number of packets that are not transmitted from a port because the packet experienced 16 transmission attempts; 15. TxFrameInDiscards – The number of valid packets received which are discarded by the forwarding process due to lack of space on an output queue (not maintained or reported in the MIB counters). This attribute only increments if a network device is not acting in compliance with a flow control request, or the sum of the drop count when the packet is dropped on the flow control; 16. TxPausePkts - The number of PAUSE events at each port; 17. TxQ1PKT  –  The total number of good packets transmitted on COS1, which is specified in MIB queue select register when QoS is enabled; 18. TxQ2PKT  –  The total number of good packets transmitted on COS2, which is specified in MIB queue select register when QoS is enabled; 19. TxQ3PKT  -  The total number of good packets transmitted on COS3, which is specified in MIB queue select register when QoS is enabled; 20. RxOctets - The number of data bytes received by a port (excluding preamble, but including FCS), including bad packets; 21. RxUndersizePkts(runts) - The number of good packets received by a port that are less than 64 bytes long (excluding framing bits, but including the FCS); 22. RxPausePkts - The number of PAUSE frames received by a port; 23. RxPkts64Octets - The number of received packets (including error packets) that are 64 bytes long; 24. RxPkts65to127Octets - The number of received  packets (including error packets) that are between 65 and 127 bytes long; 25. RxPkts128to255Octets - The number of received  packets (including error packets) that are between 128 and 255 bytes long; 26. RxPkts256to511Octets - The number of received  packets (including error packets) that are between 256 and 511 bytes long; 27. RxPkts512to1023Octets - The number of received packets (including error packets) that are between 512 and 1023 bytes long; 28. RxPkts1024to1522Octets - The number of received packets (including error packets) that are between 1024 and 1522 bytes long; 29. RxOversizePkts  -  The number of good packets received by a port that are greater than 1522 bytes (tagged) and 1518 bytes (untagged). This counter alone is incremented for packets in the range 1523–1536 bytes inclusive, whereas both this counter and the RxExcessSizeDisc counter are incremented for packets of 1537 bytes and higher; 30. RxJabbers – The number of packets received by a port that are longer than 1522 bytes and have either an FCS error or an alignment error; 31. RxAlignmentErrors  -  The number of packets received by a port that have a length (excluding framing bits, but including FCS) between 64 and 1522 bytes, inclusive, and have a bad FCS with a nonintegral number of bytes;   CFIP PhoeniX Series TDM/IP Split Mount System Technical Description and Configuration Guide • Rev. 1.13 • © SAF Tehnika JSC 2015   97
   32. RxFCSErrors – The number of packets received by a port that have a length (excluding framing bits, but including FCS) between 64 and 1522 bytes inclusive, and have a bad FCS with an integral number of bytes; 33. RxGoodOctets  –  The total number of bytes in all good packets received by a port (excluding framing bits, but including FCS); 34. RxDropPkts - The number of good packets received by a port that were dropped due to a lack of resources (e.g., lack of input buffers) or were dropped due to a lack of resources before a determination of the validity of the packet was able to be made (e.g., receive FIFO overflow). The counter is only incremented if the receive error was not counted by the RxExcessSizeDisc, the RxAlignmentErrors, or the RxFCSErrors counters; 35. RxUnicastPkts – The number of good packets received by a port that are addressed to a unicast address; 36. RxMulticastPkts – The number of good packets received by a port that are directed to a multicast address. This counter does not include errored multicast packets or valid broadcast packets; 37. RxBroadcastPkts – The number of good packets received by a port that are directed to the broadcast address. This counter does not include errored broadcast packets or valid multicast packets; 38. RxSAChanges – The number of times the SA of good receive packets has changed from the previous value. A count greater than 1 generally indicates the port is connected to a repeater-based network. 39. RxFragments – The number of packets received by a port that are less than 64 bytes (excluding framing bits) and have either an FCS error or an alignment error; 40. RxExcessSizeDisc – The number of good packets received by a port that are greater than 1536 bytes (excluding framing bits but including the FCS) and were discarded due to excessive length. The RxOversizePkts counter alone is incremented for packets in the range 1523–1536 bytes inclusive, whereas both this counter and the RxOversizePkts counter are incremented for packets of 1537 bytes and higher; 41. RxSymbolError – The total number of times a valid-length packet was received at a port and at least one invalid data symbol was detected. The counter only increments once per carrier event and does not increment on detection of a collision during the carrier event; 42. RxPkts1523to2047Octets  –  The number of received  packets (including error packets) that are between 1523 and 2047 bytes long; 43. RxPkts2048to4095Octets  –  The number of received  packets (including error packets) that are between 2048 and 4095 bytes long; 44. RxPkts4096to8191Octets  –  The number of received  packets (including error packets) that are between 4096 and 8191bytes long; 45. RxPkts8192to9728Octets - The number of received packets (including error packets) that are between 8192 and 9728bytes long; 46. RxDiscard - The number of good packets received by a port that were discarded by the Forwarding Process.    CFIP PhoeniX Series TDM/IP Split Mount System Technical Description and Configuration Guide • Rev. 1.13 • © SAF Tehnika JSC 2015   98
   6 Miscellaneous Controls in Web Graphic User Interface  These controls are located in the Navigation Panel under the “Tools” item. 6.1 Ethernet/Configuration files This section allows working with CFIP configuration script.  The management module has RAM and EEPROM chips  on-board. When CFIP is booted up, bootstrap is loaded from the EEPROM into RAM. The bootstrap contains the parameters that were previously stored in EEPROM using write and/or cfg write commands. These parameters are stored in EEPROM in the form of script and during boot up, the script parameters are loaded into RAM. These parameters can be freely changed in run-time, - changing the data in RAM. If the CFIP is shut down without saving the current configuration (script) in EEPROM, the original configuration will be restored from EEPROM during next boot-up.  Example of script can be observed on the screenshot below. The script can be edited:  – string can be added by simply entering required string (see Nr. 7 on the screenshot below) or by executing command in CLI or in the appropriate Web GUI section (the script will be supplemented with the new string or the instant string entry will be updated); – string can be deleted by entering appropriate line number (see Nr. 2 on the screenshot below) or by using “cfg delete <string#>” in CLI. The changes can be saved in EEPROM by pressing “Cfg write” button (see Nr. 3 on the screenshot below) or by entering “cfg write” command in CLI. Explanation of customization fields: (!) Note! The parameters that are not specified in the configuration script will have their default values when the CFIP is restarted.   CFIP PhoeniX Series TDM/IP Split Mount System Technical Description and Configuration Guide • Rev. 1.13 • © SAF Tehnika JSC 2015   99
     Figure 6.1 Configuration (cfg & Ethernet) files    CFIP PhoeniX Series TDM/IP Split Mount System Technical Description and Configuration Guide • Rev. 1.13 • © SAF Tehnika JSC 2015   100
   1. Download cfg file –  allows downloading system configuration file and saving it on your hard drive. 2. Upload configuration file  -  allows uploading system configuration file to CFIP PhoeniX flash memory. In order to load configuration file from system memory, cfg restore should be used (refer to number 9); 3. Saved configuration file  -  shows contents of system configuration file saved in EEPROM memory. Commands contained in this configuration file are executed at every system start-up; 4. Running configuration file -  shows currently running system configuration file (command line – cfg show). In order to save current configuration use command cfg write; 5. Delete entry number from running configuration file – allows deleting a specific line from currently running system configuration (refer to number 4);  (command line – cfg delete <line>); 6. Execute current configuration  –  executes commands present in currently running system configuration file (command line – cfg run); 7. Input file name to backup cfg in system memory – allows choosing file name under which currently running system configuration file will be saved in the CFIP flash memory (command line – cfg backup <file>); 8. Input file name to restore cfg from system memory – allows loading system configuration file from backup file located in flash memory (command line –  cfg restore <file>). To view the contents of flash memory refer to number 18; 9. Enter string, which you want to save in cfg  –  allows you to enter desirable command, which will be added to running system configuration file as the last line (command line – cfg add <cmdline>); 10. Load factory configuration file – Resets system configuration by loading in EEPROM the script with default settings. This command performs the following actions (in the following order):  1. clears the currently saved system configuration file from EEPROM,  2. creates and stores new system script in EEPROM the with the following settings:   - net ip addr 192.168.205.10 or 192.168.205.11 (as marked on the label)  - net ip remaddr 192.168.205.11 or 192.168.205.10  - net ip mask 255.255.255.0  - net ip gw – 255.255.255.255 (default gateway - none)   - SNMP trap 255.255.255.255 (none)  3. restarts the management controller.  (command line – cfg factory); 11. Backup Ethernet configuration file  –  allows choosing file name under which currently running Ethernet configuration file will be saved in the CFIP flash memory (command line – ethernet config <file>); 12. Download current Ethernet configuration to PC  –  allows downloading Ethernet configuration file and saving it on your hard drive. 13. Upload Ethernet configuration file – allows uploading Ethernet configuration file to CFIP PhoeniX flash memory. In order to load Ethernet configuration file from system memory, appropriate dialog should be used - refer to number 15; 14. Run/restore Ethernet configuration from file – allows loading Ethernet configuration file from backup file located in flash memory. To view the contents of flash memory refer to number 18;   CFIP PhoeniX Series TDM/IP Split Mount System Technical Description and Configuration Guide • Rev. 1.13 • © SAF Tehnika JSC 2015   101
   15. Saved configuration file -  shows contents of system configuration file saved in EEPROM memory. Commands contained in this configuration file are executed at every system start-up; 16. Running configuration file -  shows currently running system configuration file (command line – eth config). In order to save current configuration use command cfg write; 17. File system content – shows contents of internal flash memory (command line – tfs ls); 18. Write to config file – saves all changes made (command line – cfg write); 19. Write to config file for both  –  saves all changes made for local and remote side (command line – cfg write); 20. System returned - in case of error or incorrectly entered parameter value, or other problems in the whole page – the info message will be displayed here. Otherwise it says “Ok”.  6.2 License Management License management allows specifying data transmit parameters and functionality for specific time period or for unlimited time. CFIP without licensing option will operate with full functionality, but CFIP with licensing option but without activated licenses will operate with minimum functionality (Limited 4QAM modulation). Functionality may be expanded using appropriate license key. Explanation of fields: Additional commands for script editing in Telnet/serial interface Command  Description  Cfg load Loads the configuration script from EEPROM into RAM. Cfg clear Clears the script stored in RAM. Cfg insert <line> <cmdline> Inserts typed command line with specified line number into configuration script stored in RAM. Cfg cmd <file with commands> Restarts CPU of management controller and loads configuration script from the specified file.  Cfg group Groups commands in configuration script.   CFIP PhoeniX Series TDM/IP Split Mount System Technical Description and Configuration Guide • Rev. 1.13 • © SAF Tehnika JSC 2015   102
    Figure 6.2 License management 1. Show active license  –  if non-active license is selected, pressing this button will switch selection back to currently active license (command line – license status); 2. License status – shows if management CPU was able to read license data (command line – license status); 3. Version  – shows version of active or currently selected license; Version 2 licenses feature Ethernet rate limitation, for version 1 licenses Ethernet rate is always ‘Unlimited’ (command line – license status); 4. Left time –  shows the amount of time left for active or currently selected license (command line – license status); 5. Key  –  displays active or currently selected license key (command line –  license status); 6. Time – shows time limitation for active or currently selected license (command line – license status); 7. 3500 KHz –  shows the maximum modulation that can be used together with 3.5 MHz channel bandwidth (command line – license status); 8. 5000 KHz – shows the maximum modulation that can be used together with 5 MHz channel bandwidth (command line – license status); 9. 7000 KHz – shows the maximum modulation that can be used together with 7 MHz channel bandwidth (command line – license status); 10. 10000 KHz –  shows the maximum modulation that can be used together with 10 MHz channel bandwidth (command line – license status); 11. 14000 KHz – shows the maximum modulation that can be used together with 14 MHz channel bandwidth (command line – license status); 12. 20000 KHz –  shows the maximum modulation that can be used together with 20 MHz channel bandwidth (command line – license status);   CFIP PhoeniX Series TDM/IP Split Mount System Technical Description and Configuration Guide • Rev. 1.13 • © SAF Tehnika JSC 2015   103
   13. 28000 KHz –  shows the maximum modulation that can be used together with 28 MHz channel bandwidth (command line – license status); 14. 30000 KHz –  shows the maximum modulation that can be used together with 30 MHz channel bandwidth (command line – license status); 15. 40000 KHz –  shows the maximum modulation that can be used together with 40 MHz channel bandwidth (command line – license status); 16. 50000 KHz –  shows the maximum modulation that can be used together with 50 MHz channel bandwidth (command line – license status); 17. 56000 KHz –  shows the maximum modulation that can be used together with 56 MHz channel bandwidth (command line – license status); 18. ACM  – shows if adaptive coding and modulation (ACM) is allowed for the active license (command line – license status); 19. E1 channels – shows how many E1 channels are allowed by the license (command line – license status); 20. Ethernet  – shows Ethernet rate limitation for active or currently selected license. Ethernet rate of version 1 licenses will always be “Unlimited” (command line – license status); 21. Available licenses – shows the list of entered licenses. To activate any license, select it. “Add” button will transform into “Activate”, which should be pressed (command line – license list); 22. License key – allows entering a license key. Entering a license key twice, activates it (command line – license key <key>); 23. System returned – in case of error or incorrectly entered parameter value, or other problems on the whole page –  info message will be displayed here. Otherwise it says “Ok”. 6.3 Command Line In the command line you are able to execute all the commands to manage CFIP PhoeniX which are available through serial/telnet interface. This dialog box translates commands to Telnet commands and sends them to the device. The initial screen shows you the available commands. To view help on a command, type in “<command> ?”, where <command> stands for the specific command.  Figure 6.3 Command management  6.4 File System  The software used by CFIP management controller is organized in files, which are stored on Flash disk.  Firmware and boot configuration files  Additional command prompt commands Command Description Cls Clears the screen. Help <command> Provides help messages for commands.   CFIP PhoeniX Series TDM/IP Split Mount System Technical Description and Configuration Guide • Rev. 1.13 • © SAF Tehnika JSC 2015   104
   The following files are required for the CFIP to start:  – ‘boot.ini’ file, - device boot configuration file. This file is a text file and contains the name of the firmware file which must be executed on start-up. The file name can be freely changed, but its default name is ‘boot.ini’; hereinafter, it is assumed that this file has default filename. The most important factor concerning this file is that it must be uploaded with ‘B’ and ‘e’ attribute flags (flags are case sensitive!), only then it will be treated as executive script.  Attribute flags for ‘boot.ini’ file:  B – query run at boot; e – executive script  For information how to upload files in the Flash disk, please refer to Chapter 7.  – Firmware file, - this file is the main firmware executable for the appropriate CFIP model. The file name can be freely changed, but its default name will contain the version and CFIP model, e.g., ‘cfipf000.elf.ezip’. The most important factor concerning this file is that it must be uploaded with ‘E’ and ‘c’ attribute flags, otherwise this file will not be used as the firmware.  Attribute flags for firmware file:  E – executable binary; c - compressed  Notes:  – The files are uploaded from PC to Flash disk using TFTP/FTP (via Ethernet management port), or using Xmodem protocol (via RS232 serial port), for more information about file upload please refer to Chapter 7; configuration backup files are created by CFIP management system.  – The flash disk may store other files as well, for example -  previous firmware versions, configuration backup files, - up to 6.5 Mb (about 5 firmware files).  – The attribute flags for files are case sensitive.  – The file names can be changed, but it is very important that the file has the necessary attribute flags; otherwise, the file will not be used either as firmware, or as ‘boot.ini’ type file.  – There are no file extensions in the file system; either file, when edited, is treated as ASCII text file.  – When uploading the file, if the Flash disk stores the file with the same filename as for the file being uploaded, it will be overwritten with the new file.  Configuration backup files  Using ‘cfg backup <filename>’ command, the user can create the backup file of the current CFIP configuration. The configuration backup file is a text file and, when created, contains the current configuration script, - the same configuration script that is stored in EEPROM. Please refer to Chapter 7 for more information on configuration script.  The configuration backup files are stored on Flash disk, where they can be edited or downloaded to PC. The backup configuration file can be applied in run-time, by consecutively entering ‘cfg restore <filename>’ and ‘cfg run’ commands. Note: the configuration restored from file is not stored in EEPROM and, therefore it will be lost during CFIP restart. To save it in EEPROM use ‘write’ command.  The user can create and store several configuration files to quickly revert to other CFIP site configurations.  Working with files  The following commands are intended to operate with files stored in  Flash disk in  the management controller.    CFIP PhoeniX Series TDM/IP Split Mount System Technical Description and Configuration Guide • Rev. 1.13 • © SAF Tehnika JSC 2015   105
   tfs edit <file> Edits the specified file. This command is applied for editing configuration backup files and boot configuration file (boot.ini). For example,   edit boot.ini,Be  – file ‘boot.ini’ will be opened for editing. ‘Be’ specifies that this file will be saved with attributes ‘B’ and ‘e’. If boot.ini file is intended to be modified, it should always be opened specifying ‘B’ and ‘e’ flags as in the example above, this will ensure that file is saved with these attributes (flags).  To close the file and save changes press Ctrl+Z, to close the file without saving changes press Ctrl+Q.  The configuration backup files do not require specific attributes.  tfs ls  Displays the list of files stored on the Flash disk and the number of bytes, both free and used by these files.  ‘tfs dir’ can also be used.  tfs cat <filename>  Displays the contents of the text file.  ‘tfs type’ can also be used.  tfs del <filename>  Deletes the specified file from Flash disk.  ‘tfs rm’ can also be used.  6.5 Security commands General tips  Telnet server supports one user only, web server supports up to 32 users simultaneously.  By default the username and password for Web server, FTP server and Telnet terminal is:  – Username (login): admin – Password: changeme The username and password can be changed in Web GUI “System configuration   User configuration” ‘access set <username> <password> [plaintext]’ command.   Take note of upper case and lower case type: it should be taken into account for the password!  The passwords may contain spaces; if using space(s), the password should be entered in quotation marks.  For Telnet, FTP and Web GUI the password can be changed by simply entering the security command  ‘access set  <guest | admin> <password> [plaintext]’  while logged on and then saving the configuration in EEPROM by using ‘write’ command.  To terminate Telnet session press Ctrl+D.  (!) “guest” account is unable to change its access password. (!) Specification of the password should always be followed by saving the configuration script (using “cfg write” command); otherwise, the password request will be ignored after the restart of CFIP.   CFIP PhoeniX Series TDM/IP Split Mount System Technical Description and Configuration Guide • Rev. 1.13 • © SAF Tehnika JSC 2015   106
   7 Software Update  To simplify the firmware update process, SAF Tehnika JSC provides special update package, as a new version is available. This update pack is available as archive (e.g. zip), which includes firmware file (with *.elf.ezip,Ec extension), upgrade instructions, release notes and MIB files for SNMP protocol. The latest CFIP series firmwares are available in the following URL: https://saftehnika.com/en/downloads (registration required) The main method for firmware upgrade is being done via Web GUI, which automates the whole firmware upgrade process. To perform software upgrade from Web GUI, please go to “Configuration  System configuration” and in “Upgrade software” section press “Browse…” button and locate firmware upgrade file (e.g. cfipf000.elf.ezip,Ec) on your hard disk.  Figure 7.1 Upgrade software Although upgrade procedure usually takes less than 1 min., Management CPU might initiate defragmentation of flash memory and upgrade process may take up to 3-5 minutes. Please do not unplug power until firmware upgrade procedure is finished - Web GUI will automatically reconnect and login page will appear. Besides there are other various ways how the user can update the CFIP management software by uploading the appropriate firmware file to the CFIP  PhoeniX flash disk and further editing boot configuration file if necessary. The file upload can be performed:  – via Ethernet management port using update package, – via Ethernet management port using FTP, – via Ethernet management port using TFTP, or  via RS232 serial port using Xmodem protocol.   Following chapters describe other methods how to update the software, 7.1 Uploading File via Ethernet Management Port (FTP)  Before uploading file via FTP, make sure the  CFIP FTP server is running. To start it, go to ‘Configuration  IP configuration’ in Web GUI and press ‘Start FTP’:  Figur e 7.2 IP services 1. Open command window.  2. Start FTP client by entering “ftp” command (“ftp>” prompt will appear).  3. Connect to CFIP FTP server using command “open <CFIP_IP_address>”. Type in username and password when prompted (by default username is admin and password is changeme).   4. Enter the command “type binary” to make sure the binary transfer mode is selected.  5. Use command “send <local file> <remote file>, <flags>” to upload files to CFIP Flash disk. For example:  send c:\boot.ini boot.ini,Be    Use flags ‘E’ and ‘c’ if the file is a firmware file; if the file is a boot configuration file (boot.ini), the flags must be ‘B’ and ‘e’ (‘Be’); the flags for configuration backup files may not be specified.    CFIP PhoeniX Series TDM/IP Split Mount System Technical Description and Configuration Guide • Rev. 1.13 • © SAF Tehnika JSC 2015   107
   Use command “ls” to list files on CFIP flash disk.  Use command “delete <filename>” to delete the file from the CFIP Flash disk.  6. Proceed with steps 5. and 6. in Chapter 7.1. You can also use any preferable FTP client if you wish. 7.2 Uploading File via Serial Port (Xmodem)  File upload via serial port takes much longer time compared to use of TFTP and should be used only in case Ethernet connection with the CFIP management system is not available, or does not start normally.  1. Connect the ASCII console to the CFIP serial port, make connection with the following properties: Bits per second: 19200; Data bits: 8; Parity: none; Stop bits: 1; Flow control: none; if using ‘Hyper Terminal’ program, please refer to Chapter 2.3.1 for information how to make a connection.  2. Type ‘restartcpu’ and, while CFIP is booting, press any key when ‘boot.ini?’ prompt appears. This  will stop executing script in ‘boot.ini’ file and the CFIP will remain in MicroMonitor mode. This is the system start-up mode which loads the management system firmware;  Note: When you are in MicroMonitor mode, the ‘uMON>’ prompt will be displayed, instead of normal prompt with CFIP name (default ‘SAF>’).  3. In MicroMonitor mode enter the following command:  xmodem –cd –F <file_path-no_flags> -f Ec  where <file_path-no_flags> - file name with no flags specified  ‘Ec’ – file flags, in case the file is firmware file - ‘E’ and ‘c’ flags must be used; if the file is boot configuration file (boot.ini), the flags must be ‘Be’ (‘B’ and ‘e’); the flags for configuration backup files may not be specified, in that case the command will be  xmodem –cd –F <file_path-no_flags> After xmodem command execution, proceed to the next step. 4. Use terminal emulation software with file upload function, such as Hyper Terminal (in Windows) to upload the firmware file to CFIP as binary image (use binary transfer mode), using Xmodem protocol.  If  you are using Hyper Terminal, proceed as follows: from menu select ‘TransferSend File…’, then select file and in ‘protocol’ box select Xmodem protocol and press ‘Send’ button. The following box should appear:   CFIP PhoeniX Series TDM/IP Split Mount System Technical Description and Configuration Guide • Rev. 1.13 • © SAF Tehnika JSC 2015   108
    Figure 7.3 Xmodem file send for CFIP When upload is complete, the following information will be displayed (Figure 7.4):    Figure 7.4 HyperTerminal 5. Enter ‘reset’ command to exit from MicroMonitor mode and restart the CFIP.  6. Proceed with steps 5. and 6. in Chapter 7.1.   CFIP PhoeniX Series TDM/IP Split Mount System Technical Description and Configuration Guide • Rev. 1.13 • © SAF Tehnika JSC 2015   109
    8 CFIP Discovery Protocol Discovery Protocol is Layer 3 Network protocol. This feature allows gathering information from connected CFIP devices. The protocol discovers the IP address and software version of connected CFIP unit. Discovery protocol uses UDP packets sent on port 78.  Discovery Protocol feature may be useful, when the IP address of connected device is unknown and there is no possibility to establish connection through serial management port in order to find out the IP address.  8.1 CFIP Unit Discovery Procedure In order to discover the IP address and software version of CFIP unit proceed with the following steps: - Connect your PC to CFIP unit through PoE injector  - Download Discovery Protocol (available from saftehnika.com webpage „link”) - Open the cmd window on your PC (Go to "Start->Run.." and enter "cmd") - Check for the IP address of your PC Ethernet adapter connected to CFIP unit by executing the command "ipconfig" - Navigate to the folder containing previously downloaded and unzipped Discovery Protocol using “cd” command - Now the necessary Discovery Protocol command can be executed (e.g. "dp sight <scan_addr>", where <scan_addr> should be substituted by Ethernet adapter IP address of your PC.) Discovery Protocol Commands: Discovery protocol commands Command Description dp sight <local_addr> Allows to find out the IP address and firmware version of CFIP unit without knowing the IP subnet. dp scan <local_addr> <scan_addr> This command gathers the information in the specified subnet. It sends discovery packets to the broadcast address <scan_addr> and returns the IP address and firmware version of CFIP unit.  dp remote <local_addr> <remote_addr> <scan_addr> Allows to find out the IP address and firmware version of CFIP remote unit. This procedure allows bypassing routers as the response packets are unicast packets. 8.2 Discovery Protocol Performance Examples 8.2.1 Discovery of IP Address and Firmware Version in Case The Subnet of CFIP Unit is Unknown For this purpose the command “dp sight <local_addr>” should be executed in ‘cmd’. Instead of <local_addr> place the IP address of your PC Ethernet adapter that is connected to CFIP unit. Refer to Figure 8.1 for example.   CFIP PhoeniX Series TDM/IP Split Mount System Technical Description and Configuration Guide • Rev. 1.13 • © SAF Tehnika JSC 2015   110
    Figure 8.1 CIDR notation (routing prefix) is related to network mask that is also necessary in order to manage CFIP unit. The IP address of your PC Ethernet adapter and CFIP unit should be from the same subnet in order to manage the CFIP unit. In the table below some examples are given for CIDR notation and subnet mask relation. CIDR notation Network mask /24 255.255.255.0 /25 255.255.255.128 /26 255.255.255.192 /27 255.255.255.224 /28 255.255.255.240 /29 255.255.255.248 /30 255.255.255.252 8.2.2 Discovery of IP Address and Firmware Version in Case The Subnet of CFIP Unit is Known For this purpose the command “dp scan <local_addr> <scan_addr>” should be executed in ‘cmd’. Instead of <local_addr> place the IP address of your PC Ethernet adapter that is connected to CFIP unit and instead of <scan_addr> place the broadcast address of specified subnet. Refer to Figure 8.2 for example.      (!) Note that IP addresses of Ethernet adapter and CFIP units may belong to different subnets. This command sends discovery messages on broadcast address 255.255.255.255 to all devices in network. All CFIP devices connected to this network are responding with its own IP address/CIDR notation and firmware version.   CFIP PhoeniX Series TDM/IP Split Mount System Technical Description and Configuration Guide • Rev. 1.13 • © SAF Tehnika JSC 2015   111
    Figure 8.2 8.2.3 Discovery of IP Address and Firmware Version of Remote CFIP Unit Connected to Router In Case one IP address of Remote Units is Known For this purpose the command “dp remote <local_addr> <remote_addr> <scan_addr>” should be executed in ‘cmd’. Instead of <local_addr> place the IP address of your PC Ethernet adapter that is connected to router/CFIP unit. Instead of <remote_addr> place the IP address of one of the remote CFIP units known to you. Instead of <scan_addr> place the broadcast address. Refer to Figure 8.3 for example.  Figure 8.3   (!) Note that IP address of Ethernet adapter should belong to the same subnet as CFIP units, i.e. the subnet of CFIP units should be known. The subnet mask of Ethernet adapter and CFIP units may differ. This command sends discovery messages on specified broadcast address to all devices in the specified subnet. All CFIP devices from specified subnet are responding with its own IP address/CIDR notation and firmware version (!) Note that one IP address of remote CFIP units should be known. The remote host sends discovery packets to specified broadcast address and the responses are delivered to the local host. This allows to find out the IP address and firmware version of neighbouring devices of a known remote device. The bypassing of a router is possible as the response packets are unicast.   CFIP PhoeniX Series TDM/IP Split Mount System Technical Description and Configuration Guide • Rev. 1.13 • © SAF Tehnika JSC 2015   112
   9  RSSI Port  RSSI (Received Signal Strength Indicator) port is used to adjust the alignment of antenna for best performance (for both rough and fine adjustment); this can be done using digital multimeter which is connected to the RSSI port. The output of the RSSI port is DC voltage and varies depending on received signal level.  The following chart and table shows typical relationship of the received signal level (Rx level) displayed by CFIP vs. RSSI port output voltage (RSSI – Received Signal Strength Indicator). The RSSI port is located on ODU. The evaluated Rx level has the error +/-2 dB.   Typical RSSI=f(RSL) chart  Figure 9.1 RSSI chart   CFIP PhoeniX Series TDM/IP Split Mount System Technical Description and Configuration Guide • Rev. 1.13 • © SAF Tehnika JSC 2015   113
   10 Pinouts 10.1 Ethernet RJ-45 port The pinouts of RJ45 socket are as follows:                  Figure 10.1 Ethernet RJ-45 port pinouts 10.2 E1 port  RJ-45 pinouts The pinouts of CFIP PhoeniX IDU RJ-45 sockets for E1 channels are shown in Figure 10.2. 1 2 3 4 5 6 7 8IN(Rx)12345678GND GNDNotusedOUT(Tx)E1 portINPUT (Rx)OUTPUT (Tx)RJ-45 pin numbering E1 port pinouts Figure 10.2 E1 traffic port pinouts 10.3 Alarm port (26-pin D-SUB)  Figure 10.3 Alarm 26-pin D-SUB port pinouts   The pin assignments for relay outputs are the following: 1, 2 – Bi-directional pair A 3, 6 – Bi-directional pair B 4, 5 – Bi-directional pair C 7, 8 – Bi-directional pair D   CFIP PhoeniX Series TDM/IP Split Mount System Technical Description and Configuration Guide • Rev. 1.13 • © SAF Tehnika JSC 2015   114
   Pin type Pin number Pin type Pin number Alarm input 1  1  Ground 12 Alarm input 2  2  Ground 13 Alarm input 3  3  Alarm output 4 NC 15 Alarm input 4  4  Alarm output 3 NC 16 Alarm output 4 NO  6  Alarm output 2 NC 17 Alarm output 3 NO  7  Alarm output 1 NC 18 Alarm output 2 NO  8  Alarm output 4 COM 23 Alarm output 1 NO  9  Alarm output 3 COM 24 Ground 10 Alarm output 2 COM 25 Ground 11 Alarm output 1 COM 26  Electrical specifications of auxiliary alarm inputs  • Nominal open output voltage: 5V; • Nominal closed contact current: 1 mA; • Maximum closed contact resistance: 800 Ω; • Minimum open contact resistance: 10 kΩ.  Electrical specifications of auxiliary alarm outputs  • Max. switching voltage: 68 VDC; • Max. switching current (steady state): 2 A; • Max. contact resistance: 75 mΩ. 10.4 RS232 (DB9 female connector)  Figure 10.4 RS232 DB9 port pinouts 10.5 1+1 protection port (RJ-45) The pinouts of RJ45 socket are as follows: Unassigned Unassigned Received from DTE Transmitted from DCE Transmitted Data Received Data DTE Ready Signal Ground DCE Ready Request to Send Clear to Send Shield 1 2 3 4 5 6 7 8 9   CFIP PhoeniX Series TDM/IP Split Mount System Technical Description and Configuration Guide • Rev. 1.13 • © SAF Tehnika JSC 2015   115
                    Figure 10.5 1+1 protection port pinouts 10.6 1+1 protection cable Connector 1 pin Wire Connector 2 pin 1 Pair 1A 4 2 Pair 1B 5 3 Pair 2A 7 4 Pair 3A 1 5 Pair 3B 2 6 Pair 2B 8 7 Pair 4A 3 8 Pair 4B 6 Figure 10.6 1+1 protection cable pinouts Pins Direction Description 1 In RIN- 2 In RIN+ 3 Out PROT_CLK_OUT+ 4 Out DO- 5 Out DO+ 6 Out PROT_CLK_OUT- 7 In PROT_CLK_IN- 8 In PROT_CLK_IN+   CFIP PhoeniX Series TDM/IP Split Mount System Technical Description and Configuration Guide • Rev. 1.13 • © SAF Tehnika JSC 2015   116
   10.7 Power protection port  Figure 10.7 Power protection port and cable (P/N S0ACPR11) pinouts   CFIP PhoeniX Series TDM/IP Split Mount System Technical Description and Configuration Guide • Rev. 1.13 • © SAF Tehnika JSC 2015   117
   11 Available Accessories   Surge protection P/N: CLALA001 Surge Protection with gas tube  P/N: CLALA003   AC/DC Power supply, 48VDC, 80W  EU - P/N I0AB4810, US - P/N I0AB4811, AUS - P/N I0AB4818 Flexible Waveguide UBR-PBR (See the list of available test equipment below)   CFIP PhoeniX 1+1 protection bus cable CAT6 0,3m P/N S0ACPP11 Power protection cable 160mm; compatible with IDU P/N S0GIP*11 P/N S0ACPR11   IDU 1+1 grounding cable, 180 mm P/N S0ACGD02 Ethertnet Cat5e STP patch cable  P/N I0ACPP02   CFIP PhoeniX Series TDM/IP Split Mount System Technical Description and Configuration Guide • Rev. 1.13 • © SAF Tehnika JSC 2015   118
     Coaxial attenuator 40 dB P/N CLA40A01 SAF adapted OMT for Arkivator antenna for dual-polarization (See the list of available test equipment below)   RSSI cable for ODU align 1m BNC − 2 plug-in P/N CLGCRS01 CFIP ODU Mounting Bracket (for 1xODU P/N: CLGRFB05; for 2xODU P/N: CLGRFB06)   Test equipment (See the list of available test equipment below) FODU RJ-45 connector 8P shield solid P/N FOACNR02  11.1 Other Available Accessories P/N  Name  Description CLGC2131 Outdoor cable ODU-IDU RG213 Outdoor cable RG213 for ODU-IDU connecting, maximum length of cable is 100m. CLACLMR4 Outdoor IF cable LMR-400 Outdoor IF cable LMR-400 for connecting IDU-ODU, maximum length - 300m CLACNN01  N-type cable connector  N-type cable connector, provided for manufacturing the coaxial cable for interconnection of ODU and IDU CLACNN02  N-type coax cable w.connector 1,5m  N-type coax cable w.connector 1,5m S0ACPK22 CFIP IDU/FIDU 1+1 IDU protection kit CFIP IDU/FIDU 1+1 IDU protection kit   CFIP Test Equipment P/N  Name:  Description C06TST02 Test equipment 6 GHz Test equipment 6 GHz   CFIP PhoeniX Series TDM/IP Split Mount System Technical Description and Configuration Guide • Rev. 1.13 • © SAF Tehnika JSC 2015   119
   C08TST02 Test equipment 7/8 GHz 7/8GHz test suite, contains two waveguide-to-coaxial adapters, two attenuators, 40 dB, coaxial cable, 40 cm long C11TST02 Test equipment 10/11 GHz Test equipment 10/11 GHz C15TST02 Test equipment 13/15 GHz 13/15GHz test suite, contains two waveguide-to-coaxial adapters, two attenuators, 40 dB, coaxial cable, 40 cm long C22TST02 Test equipment 18/23GHz 18/23GHz test suite, contains two waveguide-to-coaxial adapters, two attenuators, 40 dB, coaxial cable, 40 cm long C26TST02 Test equipment 26GHz 26 GHz test suite, contains flexible waveguide, waveguide attenuators (60dB) C38TST02 Test equipment 38GHz 38 GHz test suite, contains flexible waveguide, waveguide attenuators (60dB) UBR-PBR Waveguides OMT P/N  Name  Description C07WF201 7/8GHz Flexible Waveguide 60cm UBR-PBR Flexible Waveguide 2ft/60cm, 7-8GHz for connection of ODU to antenna (if installed separately) /for connection between splitter and antenna (1+1 protected installation) C07WF301 7/8GHz Flexible Waveguide 90cm UBR-PBR 7/8GHz Flexible Waveguide 90cm UBR-PBR C11WF301 10/11GHz Flex Waveguide 90cm  PBR-UBR 10/11GHz Flex Waveguide 90cm PBR-UBR C15WF301 13-15 GHz Flexible Waveguide 3ft/90cm UBR 13-15 GHz Flexible Waveguide 3ft/90cmUBR C15WF201 13/15GHz Flexible Waveguide 60cm UBR-PBR Flexible Waveguide 2ft/60cm, 13-15Ghz for connection of ODU to antenna (if installed separately) /for connection between splitter and antenna (1+1 protected installation) C13WF301 13GHz Flexible Waveguide 90cm UBR-PBR 13/15 GHz Flexible Waveguide 90cm UBR-PBR C22WF101 18/23GHz Flexible Waveguide 1ft/30cm 18/23GHz Flexible Waveguide 1ft/30cm C22WF201 18/23GHz Flexible Waveguide 2ft/60cm 18-23GHz flexible waveguide to connect 18/23GHz coupler to antenna C22WF401 18/23GHz Flexible Waveguide 4ft/120cm 18/23GHz Flexible Waveguide 4ft/120cm P/N  Name  Description C07OM31001i OMT (Arkivator) 7GHz 7Ghz OMT (orthomode transducer) SAF adapted for direct mount to Arkivator 0.3, 0.6, 0.99 and 1.2m antennas C11OM31001i OMT (Arkivator) 11GHz 11Ghz OMT (orthomode transducer) SAF adapted for direct mount to Arkivator 0.3, 0.6, 0.99 and 1.2m antennas C13OM31001i OMT (Arkivator) 13GHz 13Ghz OMT (orthomode transducer) SAF adapted for direct mount to Arkivator 0.3, 0.6, 0.99 and 1.2m antennas C15OM31001i OMT (Arkivator) 15GHz 15Ghz OMT (orthomode transducer) SAF adapted for direct mount to Arkivator 0.3, 0.6, 0.99 and 1.2m antennas C18OM31001i OMT (Arkivator) 18GHz 18Ghz OMT (orthomode transducer) SAF adapted for direct mount to Arkivator 0.3, 0.6, 0.99 and 1.2m antennas C23OM31001i OMT (Arkivator) 23GHz 23Ghz OMT (orthomode transducer) SAF adapted for direct mount to Arkivator 0.3, 0.6, 0.99 and 1.2m antennas C26OM31001i OMT (Arkivator) 26GHz 26Ghz OMT (orthomode transducer) SAF adapted for direct mount to Arkivator 0.3, 0.6, 0.99 and 1.2m antennas C38OM31001i OMT (Arkivator) 38GHz 38Ghz OMT (orthomode transducer) SAF adapted for direct mount to Arkivator 0.3, 0.6, 0.99 and 1.2m antennas   CFIP PhoeniX Series TDM/IP Split Mount System Technical Description and Configuration Guide • Rev. 1.13 • © SAF Tehnika JSC 2015   120
   12 List of Abbreviations  3G – third generation AC – Alternating Current ACI – Adjacent-Channel Interference ACM – Adaptive Coding and Modulation AGC – Automatic Gain Control ASCII - American Standard Code for Information Interchange ATPC – Automatic Transmit Power Control BER – Bit-Error Ratio BNC connector - Bayonet Neill-Concelman coaxial connector CCI – Co-Channel Interference CLI – Command-Line Interface CPU – Central Processing Unit CRC – Cyclic Redundancy Check DC – Direct Current DiffServ – Differentiated Services DSCP - Differentiated Services Code Point EEPROM - Electrically Erasable Programmable Read-Only Memory EMI – Electromagnetic Interference ETS – European Telecommunication Standard ETSI – European Telecommunications Standards Institute FIR – Finite Impulse Response FO – Fiber Optics FODU – Full Outdoor Unit FTP – File Transfer Protocol GFP – Generic Framing Procedure GND - Ground GSM - Global System for Mobile communications GUI – Graphical User Interface IEEE - Institute of Electrical and Electronics Engineers IF – Intermediate Frequency ISP – Internet Service Provider ITU-T – International Telecommunication Union – Telecommunication Standardization Sector LAN – Local Area Network LDPC – Low-Density Parity-Check Code LED – Light-Emitting Diode LTE – Long-Term Evolution MAC – Media Access Control MSE – Mean Square Error NMS – Network Management System PC – Personal Computer PDH – Plesiochronous Digital Hierarchy PLL – Phase-Locked Loop PoE - Power over Ethernet QAM - Quadrature amplitude modulation QoS – Quality of Service 4QAM - Quadrature Phase-Shift Keying   CFIP PhoeniX Series TDM/IP Split Mount System Technical Description and Configuration Guide • Rev. 1.13 • © SAF Tehnika JSC 2015   121
   RAM – Random Access Memory RSL – Received Signal Level RSSI – Received Signal Strength Indicator Rx – Receive SNMP - Simple Network Management Protocol SNR – Signal-to-Noise Ratio STM-1 – Synchronous Transport Module - 1 TCP/IP – Internet Protocol Suite (Transmission Control Protocol / Internet Protocol) TDM – Time-Division Multiplexing TFTP – Trivial File Transfer Protocol TM – Tide Mark TP – Twisted Pair TS – Threshold Seconds Tx – Transmission UART – Universal Asynchronous Receiver/Transmitter USB – Universal Serial Bus UTP – Unshielded Twisted Pair VLAN – Virtual Local Area Network WAN – Wide Area Network   CFIP PhoeniX Series TDM/IP Split Mount System Technical Description and Configuration Guide • Rev. 1.13 • © SAF Tehnika JSC 2015   122
   13  SAF Tehnika JSC Contacts SAF Tehnika A/S technical support can be reached by: - Email:     techsupport@saftehnika.com - Telephone:  +371 67046840 - Fax:    +371 67046809    CFIP PhoeniX Series TDM/IP Split Mount System Technical Description and Configuration Guide • Rev. 1.13 • © SAF Tehnika JSC 2015   123

Navigation menu