SPEEDCAM DT100U LMR UHF Transceiver User Manual Q4XDT100UUserMan

SPEEDCAM, Inc. LMR UHF Transceiver Q4XDT100UUserMan

users manual

ROGERS LABS, INC.   Speedcam, Inc.    4405 W. 259th Terrace    MODEL: DT 100U Louisburg, KS  66053    Test #: 030506 FCCID#: Q4X DT100U Phone/Fax: (913) 837-3214 Test to: FCC Parts 2 and 90 Page 1 of 13   Q4XDT100UUserman1.doc 5/13/2003
ROGERS LABS, INC.   Speedcam, Inc.    4405 W. 259th Terrace    MODEL: DT 100U Louisburg, KS  66053    Test #: 030506 FCCID#: Q4X DT100U Phone/Fax: (913) 837-3214 Test to: FCC Parts 2 and 90 Page 2 of 13   Q4XDT100UUserman1.doc 5/13/2003
ROGERS LABS, INC.   Speedcam, Inc.    4405 W. 259th Terrace    MODEL: DT 100U Louisburg, KS  66053    Test #: 030506 FCCID#: Q4X DT100U Phone/Fax: (913) 837-3214 Test to: FCC Parts 2 and 90 Page 3 of 13   Q4XDT100UUserman1.doc 5/13/2003
ROGERS LABS, INC.   Speedcam, Inc.    4405 W. 259th Terrace    MODEL: DT 100U Louisburg, KS  66053    Test #: 030506 FCCID#: Q4X DT100U Phone/Fax: (913) 837-3214 Test to: FCC Parts 2 and 90 Page 4 of 13   Q4XDT100UUserman1.doc 5/13/2003
ROGERS LABS, INC.   Speedcam, Inc.    4405 W. 259th Terrace    MODEL: DT 100U Louisburg, KS  66053    Test #: 030506 FCCID#: Q4X DT100U Phone/Fax: (913) 837-3214 Test to: FCC Parts 2 and 90 Page 5 of 13   Q4XDT100UUserman1.doc 5/13/2003
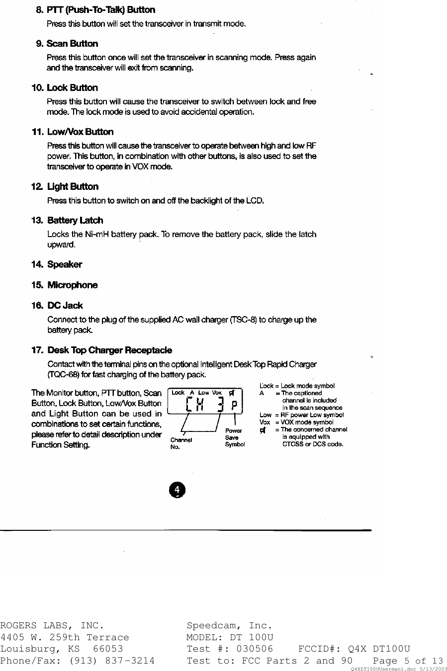
ROGERS LABS, INC.   Speedcam, Inc.    4405 W. 259th Terrace    MODEL: DT 100U Louisburg, KS  66053    Test #: 030506 FCCID#: Q4X DT100U Phone/Fax: (913) 837-3214 Test to: FCC Parts 2 and 90 Page 6 of 13   Q4XDT100UUserman1.doc 5/13/2003
ROGERS LABS, INC.   Speedcam, Inc.    4405 W. 259th Terrace    MODEL: DT 100U Louisburg, KS  66053    Test #: 030506 FCCID#: Q4X DT100U Phone/Fax: (913) 837-3214 Test to: FCC Parts 2 and 90 Page 7 of 13   Q4XDT100UUserman1.doc 5/13/2003
ROGERS LABS, INC.   Speedcam, Inc.    4405 W. 259th Terrace    MODEL: DT 100U Louisburg, KS  66053    Test #: 030506 FCCID#: Q4X DT100U Phone/Fax: (913) 837-3214 Test to: FCC Parts 2 and 90 Page 8 of 13   Q4XDT100UUserman1.doc 5/13/2003
ROGERS LABS, INC.   Speedcam, Inc.    4405 W. 259th Terrace    MODEL: DT 100U Louisburg, KS  66053    Test #: 030506 FCCID#: Q4X DT100U Phone/Fax: (913) 837-3214 Test to: FCC Parts 2 and 90 Page 9 of 13   Q4XDT100UUserman1.doc 5/13/2003
ROGERS LABS, INC.   Speedcam, Inc.    4405 W. 259th Terrace    MODEL: DT 100U Louisburg, KS  66053    Test #: 030506 FCCID#: Q4X DT100U Phone/Fax: (913) 837-3214 Test to: FCC Parts 2 and 90 Page 10 of 13   Q4XDT100UUserman1.doc 5/13/2003
ROGERS LABS, INC.   Speedcam, Inc.    4405 W. 259th Terrace    MODEL: DT 100U Louisburg, KS  66053    Test #: 030506 FCCID#: Q4X DT100U Phone/Fax: (913) 837-3214 Test to: FCC Parts 2 and 90 Page 11 of 13   Q4XDT100UUserman1.doc 5/13/2003
ROGERS LABS, INC.   Speedcam, Inc.    4405 W. 259th Terrace    MODEL: DT 100U Louisburg, KS  66053    Test #: 030506 FCCID#: Q4X DT100U Phone/Fax: (913) 837-3214 Test to: FCC Parts 2 and 90 Page 12 of 13   Q4XDT100UUserman1.doc 5/13/2003
ROGERS LABS, INC.   Speedcam, Inc.    4405 W. 259th Terrace    MODEL: DT 100U Louisburg, KS  66053    Test #: 030506 FCCID#: Q4X DT100U Phone/Fax: (913) 837-3214 Test to: FCC Parts 2 and 90 Page 13 of 13   Q4XDT100UUserman1.doc 5/13/2003 FCC Information THIS DEVICE COMPLIES WITH PART 15 OF THE FCC RULES. OPERATION IS SUBJECT TO THE CONDITION THAT THIS DEVICE DOS NOT CAUSE HARMFUL INTERFERENCE.  MODIFICATIONS OR CHANGES NOT EXPRESSLY APPROVED BY THE MANUFACTURER COULD VOID THE USER’S AUTHORITY TO OPERATE THE EQUIPMENT.  IMPORTANT NOTE:  To maintain compliance with the FCC's RF exposure guidelines, hold the transmitter and antenna at least 1 inch (2.5 centimeters) from your face and speak in a normal voice, with the antenna pointed up and away from the face.  If you wear, the handset on your body while using the headset accessory, use only the manufacturers supplied belt clip for this product and ensure that the antenna is at least 1 inch (2.5 centimeters) from your body when transmitting.  To provide the recipients of your transmission the best sound quality, hold the unit at least 5cm (2 inches) from the mouth, and place the antenna slightly off to one side.  Your radio generates radio frequency electromagnetic energy during transmission mode.  The radio is designed for and classified as “Occupational Use Only” and must be used by individuals who are properly trained and aware of these hazards and the means in which to minimize such hazards.  This radio is NOT intended for use by the “General Population” or in uncontrolled environments.   To ensure that your exposure to radio frequency electromagnetic energy is within the FCC allowable limits for occupational use, always follow these guidelines: DO NOT operate the radio without a proper antenna attached, as this may damage the radio and increase your RF exposure.  A proper antenna is supplied with the radio by the manufacturer or an antenna specifically authorized by the manufacturer for use with this radio. DO NOT transmit for more than 50% of the total radio use time (this is a maximum 50% duty cycle radio).  Transmitting more than 50% can cause FCC RF exposure compliance requirements to be exceeded.  Pressing the PTT switch enables the radio to transmit. ALWAYS use ONLY authorized accessories with this radio.  Use of unauthorized accessories can cause the FCC RF Exposure compliance requirements to be exceeded.

Navigation menu