Samsung Electronics Co SCX5530FN Multi Function Printer User Manual
Samsung Electronics Co Ltd Multi Function Printer Users Manual
UserManual.wiki
>
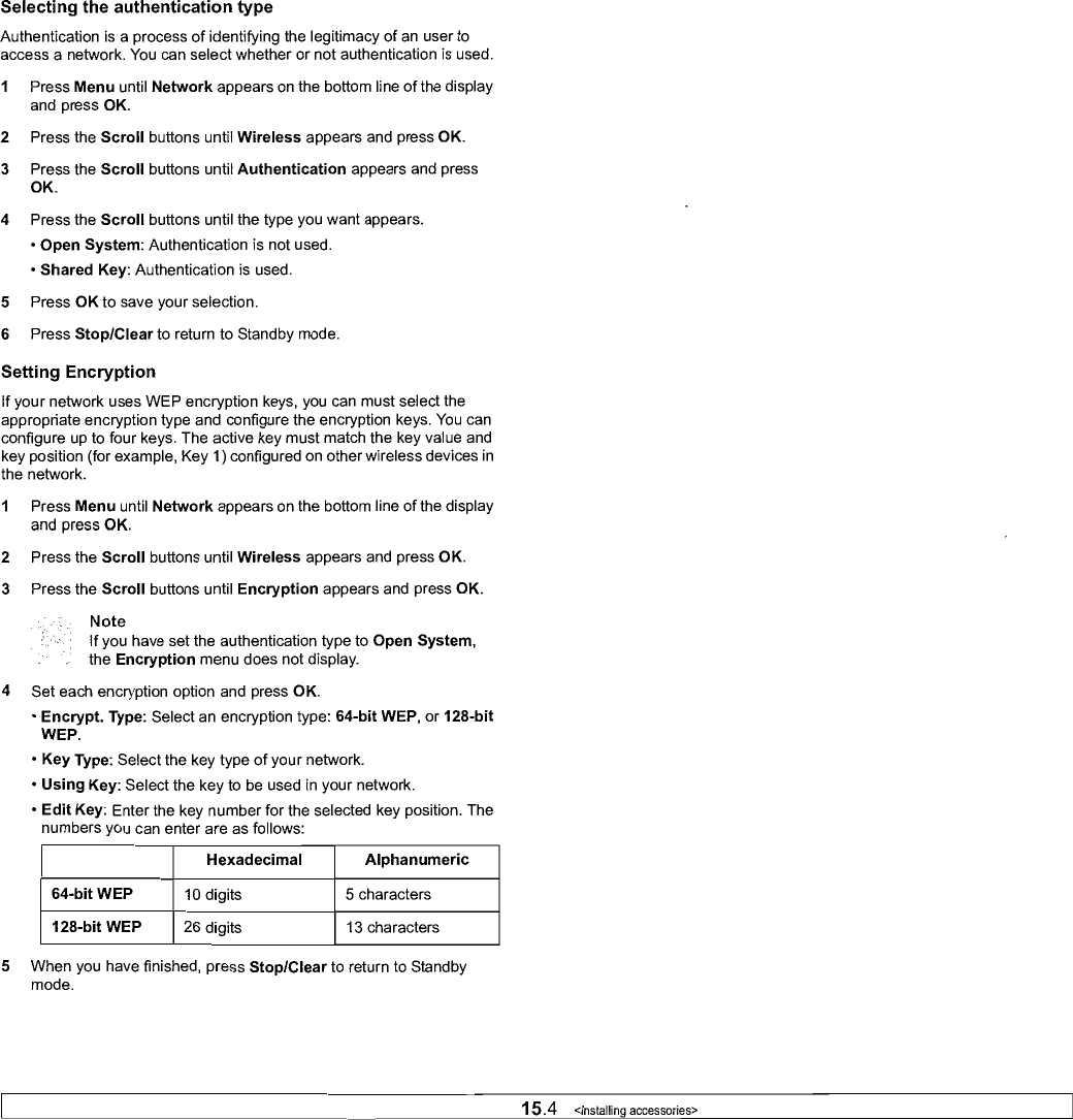
Samsung Electronics Co
>
SCX5530FN User Manual
Users Manual
Navigation menu
Upload a User Manual
Namespaces
Wiki Guide
HTML
PDF
Info
Views
User Manual
Discussion / Help
Navigation