Samsung Electronics Co SPI-2331022500 Mobile WiMAX Outdoor RAS User Manual ATT E

Samsung Electronics Co Ltd Mobile WiMAX Outdoor RAS ATT E

Users Manual

 FCC ID : A3LSPI-2331022500                                                                                            HCT CO., LTD. SAN 136-1, AMI-RI, BUBAL-EUP, ICHEON-SI, KYOUNGKI-DO, 467-701, KOREA TEL:+82 31 639 8517    FAX:+82 31 639 8525    www.hct.co.kr Report No. :  HCT-R08-012                                                                                                         1/1    ATTACHMENT E.   - USER MANUAL -
EPBD-001880 ED. 02          Mobile WiMAX Outdoor RAS SPI-2331 System Description
    COPYRIGHT This manual is proprietary to SAMSUNG Electronics Co., Ltd. and is protected by copyright. No information contained herein may be copied, translated, transcribed or duplicated for any commercial purposes or disclosed to the third party in any form without the prior written consent of SAMSUNG Electronics Co., Ltd. TRADEMARKSProduct names mentioned in this manual may be trademarks and/or registered trademarks of their respective companies.                      This manual should be read and used as a guideline for properly installing and operating the product. This manual may be changed for the system improvement, standardization and other technical reasons without prior notice.  If you need updated manuals or have any questions concerning the contents of the manuals, contact our Document Center at the following address or Web site:  Address: Document Center 18th Floor IT Center. Dong-Suwon P.O. Box 105, 416, Maetan-3dong Yeongtong-gu, Suwon-si, Gyeonggi-do, Korea 442-600 Homepage: http://www.samsungdocs.com ©2007~2008 SAMSUNG Electronics Co., Ltd.    All rights reserved.
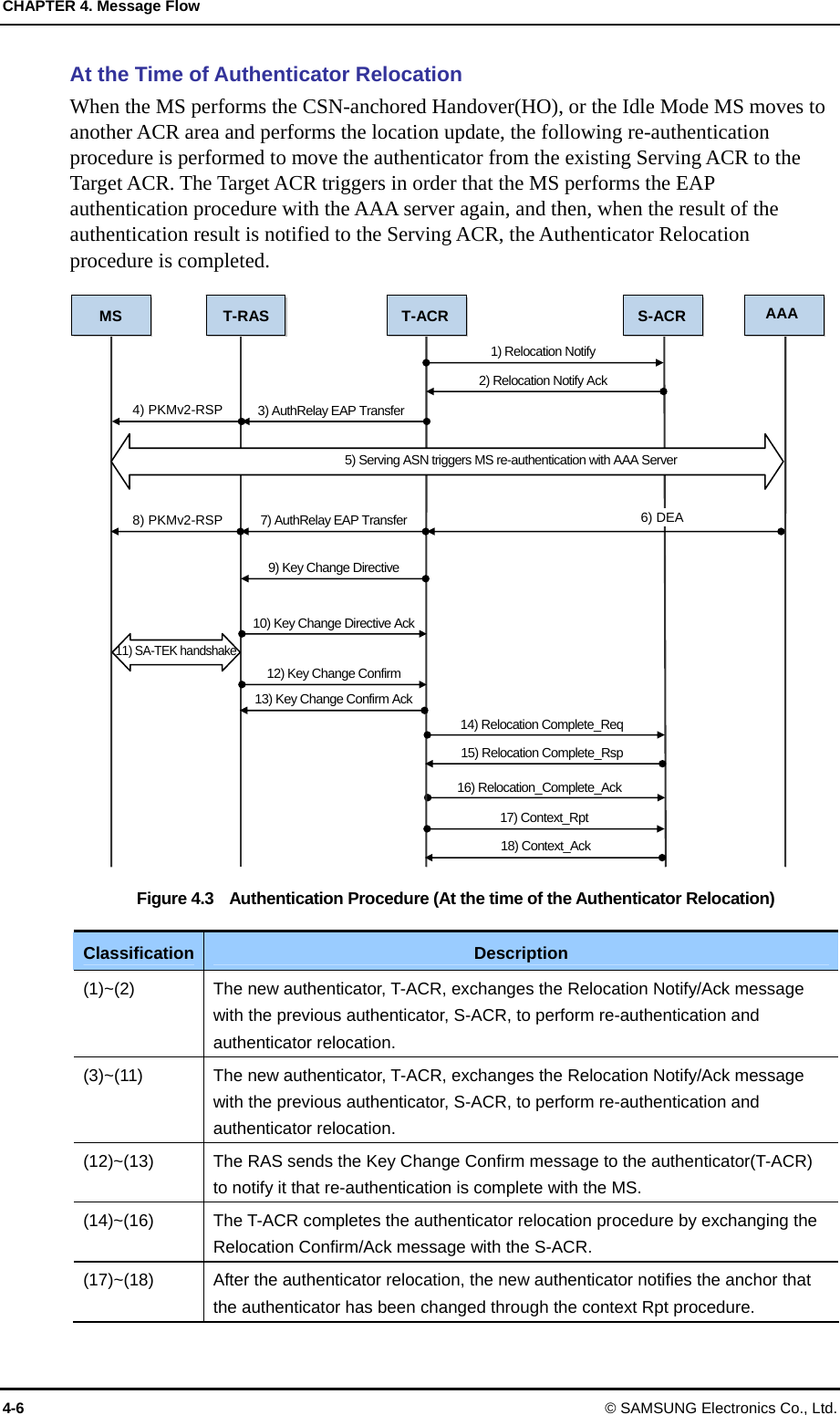
Mobile WiMAX Outdoor RAS SPI-2331 System Description © SAMSUNG Electronics Co., Ltd.  I INTRODUCTION      Purpose This description describes the characteristics, functions and structures of the outdoor SPI-2331, which is the U-RAS Light Series 3 of Mobile WiMAX.   Audience This description is composed of five Chapters, an Abbreviation and Index as follows:  CHAPTER 1. Overview of Mobile WiMAX System y Mobile WiMAX System Introduction y Characteristics of Mobile WiMAX System y Components of Mobile WiMAX Network y Functions of Mobile WiMAX System  CHAPTER 2. Overview of Outdoor SPI-2331 y Outdoor SPI-2331 Introduction y Major functions y Resources y System Configuration y Interface between the Systems  CHAPTER 3. Outdoor SPI-2331 Architecture y System Configuration y Hardware Structure y Software Structure y Redundancy
INTRODUCTION II © SAMSUNG Electronics Co., Ltd. CHAPTER 4. Message Flow y Call Processing Message Flow y Network Synchronization Message Flow y Alarm Message Flow y Loading Message Flow y Operation and Maintenance Message Flow  CHAPTER 5. Additional Functions and Tools Web-EMT  ABBREVIATION Describes the acronyms used in this manual.  INDEX Index provides main searching keywords to be found.   Conventions The following types of paragraphs contain special information that must be carefully read and thoroughly understood. Such information may or may not be enclosed in a rectangular box, separating it from the main text, but is always preceded by an icon and/or a bold title.   NOTE   Indicates additional information as a reference.
  Mobile WiMAX Outdoor RAS SPI-2331 System Description/Ed.02 © SAMSUNG Electronics Co., Ltd.  III Revision History EDITION  DATE OF ISSUE  REMARKS 00  10. 2007.  First Draft 01  11. 2007.  - ‘2.3 Specification’ is changed. - ‘DNS’ related information is deleted. - ‘OAM AAA server’ related information is deleted. - System configuration is changed.   - ‘3.2.2 ULRB’ is changed. - ‘3.3 Software Structure’ is changed. - Other errors are corrected. 02  01. 2008.  - Delete the information related DHCP Server - sFTP Æ SFTP - Modify the ‘PSMR/PSFMR’ information - Modify the external interface(3.2.4.1) - Modify the ‘4.1’ - Modify the OAM software information(3.3.3) - LPM Æ ULPM-2FE
INTRODUCTION IV © SAMSUNG Electronics Co., Ltd.   This page is intentionally left blank.
Mobile WiMAX Outdoor RAS SPI-2331 System Description © SAMSUNG Electronics Co., Ltd.  V TABLE OF CONTENTS   INTRODUCTION IPurpose .................................................................................................................................................. IAudience................................................................................................................................................. IConventions........................................................................................................................................... IIRevision History.................................................................................................................................... IIICHAPTER 1.Overview of Mobile WiMAX System  1-11.1Introduction to Mobile WiMAX.............................................................................................. 1-11.2Characteristics of the Mobile WiMAX System..................................................................... 1-21.3Mobile WiMAX Network Configuration................................................................................. 1-31.4Mobile WiMAX System Functions ........................................................................................ 1-5CHAPTER 2.Overview of Outdoor SPI-2331  2-12.1Introduction to Outdoor SPI-2331......................................................................................... 2-12.2Main Functions ...................................................................................................................... 2-32.2.1Physical Layer Processing Function ....................................................................................2-32.2.2Call Processing Function......................................................................................................2-52.2.3IP Processing Functions....................................................................................................... 2-72.2.4Auxiliary Device Interface Function ......................................................................................2-82.2.5Maintenance Function ..........................................................................................................2-82.2.6Function of Supporting the Outdoor Environment..............................................................2-102.3Specifications .......................................................................................................................2-112.4System Configuration.......................................................................................................... 2-132.5Interface between Systems................................................................................................. 2-142.5.1Interface Structure...............................................................................................................2-142.5.2Protocol Stack.....................................................................................................................2-152.5.3Physical Interface Operation Method .................................................................................2-16CHAPTER 3.Outdoor SPI-2331 Architecture  3-13.1System Configuration............................................................................................................3-1
TABLE OF CONTENTS VI © SAMSUNG Electronics Co., Ltd. 3.2Detailed Structure...................................................................................................................3-23.2.1ULDB ....................................................................................................................................3-43.2.2ULRB ....................................................................................................................................3-53.2.3Other Devices .......................................................................................................................3-73.2.4I/O Connector and LED ........................................................................................................3-83.3Software Structure ...............................................................................................................3-113.3.1Basic Structure.................................................................................................................... 3-113.3.2Call Control (CC) Block.......................................................................................................3-133.3.3Operation And Maintenance (OAM) Block.........................................................................3-15CHAPTER 4.Message Flow  4-14.1Call Processing Message Flow .............................................................................................4-14.1.1Initial Access .........................................................................................................................4-14.1.2Authentication .......................................................................................................................4-44.1.3Status Change ......................................................................................................................4-74.1.4Location Update.................................................................................................................. 4-114.1.5Paging.................................................................................................................................4-144.1.6Handover ............................................................................................................................4-154.1.7Access Termination.............................................................................................................4-204.2Network Synchronization Message Flow ...........................................................................4-224.3Alarm Signal Flow ................................................................................................................4-234.4Loading Message Flow ........................................................................................................4-254.5Operation and Maintenance Message Flow .......................................................................4-27CHAPTER 5.Additional Functions and Tools  5-15.1Web-EMT.................................................................................................................................5-1ABBREVIATION IA ~ D  .................................................................................................................................................. IE ~ M  ................................................................................................................................................. IIN ~ R  ................................................................................................................................................ IIIS ~ W  ................................................................................................................................................IVINDEX  VA ~ F  .................................................................................................................................................VG ~ O  ................................................................................................................................................VIP ~ W  ...............................................................................................................................................VII
  Mobile WiMAX Outdoor RAS SPI-2331 System Description/Ed.02 © SAMSUNG Electronics Co., Ltd.  VII  LIST OF FIGURES Figure 1.1    Mobile WiMAX Network Configuration .................................................................. 1-3Figure 1.2    Configuration of Mobile WiMAX System Functions (Based on Profile C).............. 1-5 Figure 2.1  IPv4/IPv6 Dual Stack Operation ............................................................................ 2-7Figure 2.2    ULOE Configuration ............................................................................................ 2-13Figure 2.3    Structure of Outdoor SPI-2331 Interface ............................................................. 2-14Figure 2.4  Protocol Stack between NEs ............................................................................... 2-15Figure 2.5    Protocol Stack between Outdoor SPI-2331 and WSM ........................................ 2-15 Figure 3.1  Internal Configuration of Outdoor SPI-2331 .......................................................... 3-1Figure 3.2    ULRB Block Diagram of Outdoor SPI-2331........................................................... 3-5Figure 3.3  Power Structure of Outdoor SPI-2331................................................................... 3-7Figure 3.4    I/O Connector and LED of Outdoor SPI-2331 ....................................................... 3-8Figure 3.5  External Interface of Outdoor SPI-2331 ................................................................ 3-8Figure 3.6  Software Structure of Outdoor SPI-2331..............................................................3-11Figure 3.7    CC Block Structure.............................................................................................. 3-13Figure 3.8  OAM Software Structure...................................................................................... 3-15Figure 3.9  Interface between OAM Blocks ........................................................................... 3-15 Figure 4.1  Initial Access Process............................................................................................ 4-2Figure 4.2    Authentication Procedure (At the time of initial access) ........................................ 4-4Figure 4.3    Authentication Procedure (At the time of the Authenticator Relocation)................ 4-6Figure 4.4    Awake Mode Æ Idle Mode Status Change Procedure .......................................... 4-7Figure 4.5    Awake Mode Q Sleep Mode Status Change Procedure ....................................... 4-8Figure 4.6  Idle Mode Q Awake Mode (QCS) Procedure ........................................................ 4-9Figure 4.7  Inter-RAS Location Update Procedure.................................................................4-11Figure 4.8  Inter-ACR Location Update Procedure................................................................ 4-12Figure 4.9  Paging Procedure................................................................................................ 4-14Figure 4.10  Inter-RAS Handover Procedure......................................................................... 4-15Figure 4.11  Inter-ASN Handover (ASN-Anchored Mobility).................................................. 4-17Figure 4.12  Inter-ASN Handover (CSN-Anchored Mobility).................................................. 4-18Figure 4.13    Access Termination (Awake Mode) ................................................................... 4-20Figure 4.14    Access Termination (Idle Mode) ........................................................................ 4-21Figure 4.15  Network Synchronization Flow of Outdoor SPI-2331 ........................................ 4-22Figure 4.16    Alarm Signal Flow of Outdoor SPI-2331............................................................ 4-23Figure 4.17    Alarm and Control Structure of Outdoor SPI-2331 ............................................ 4-24Figure 4.18  Loading Message Flow ..................................................................................... 4-26Figure 4.19    Operation and Maintenance Signal Flow........................................................... 4-28 Figure 5.1  Web-EMT Interface ............................................................................................... 5-1
TABLE OF CONTENTS VIII © SAMSUNG Electronics Co., Ltd.  This page is intentionally left blank.
Mobile WiMAX Outdoor RAS SPI-2331 System Description © SAMSUNG Electronics Co., Ltd.  1-1 CHAPTER 1.  Overview of Mobile WiMAX System      1.1  Introduction to Mobile WiMAX The Mobile WiMAX system is the wireless network system that supports IEEE 802.16e-2005 base service. The IEEE 802.16e-2005 standard is the basis of Mobile WiMAX, and adds the technologies supporting mobility, which include handover, paging and others, to IEEE 802.16-2004 defining fixed wireless internet access service.  The wireless LAN(WLAN, Wireless Local Area Network) can provide high speed data services, but its radio wave is short and covers only small areas, and also gives limited user mobility. It is difficult for WLAN to ensure Quality of Service(QoS) for data service.   On the contrary, the present mobile communication networks support the mobility of the users, but the service charge and the cost of system operations are high due to the limited wireless resources. To provide faster service in the existing mobile communication networks, it requires a separate wireless communication technology such as High Speed Downlink Packet Access(HSDPA) for the data services.  Mobile WiMAX can, therefore, overcome the limitations of the WLAN and present mobile communication networks, and accommodate only the advantages of the system.   Mobile WiMAX can ultimately provide the high speed wireless internet services with low cost at any time and in anyplace.    Samsung Mobile WiMAX System provides high speed data services using the transmission technology of Orthogonal Frequency Division Multiple Access(OFDMA) by the Time Division Duplex(TDD), and can give wider coverage compared to the existing WLAN.   The system performance and the capacity have been expanded by the high performance hardware, and thus, it can easily give various functions and services to the users.  The Mobile WiMAX system consists of Radio Access Station(RAS), Access Control Router(ACR) and Mobile WiMAX System Manager(WSM). RAS manages 802.16 Medium Access Control(MAC)/Physical Layer(PHY) function for Mobile Station(MS), ACR manages various control functions and interworking function between Mobile WiMAX ASN system and CSN system.
CHAPTER 1. Overview of Mobile WiMAX System 1-2 © SAMSUNG Electronics Co., Ltd.   System Support Standards   Network Working Group(NWG) of Mobile WiMAX Forum defines the Mobile WiMAX network as Access Service Network(ASN) and Connectivity Service Network(CSN). Samsung’s RAS is Base Station(BS) and ACR is ASN-GW (Gateway) of ASN, respectively.   RAS and ACR are based on ASN Profile C and Wave 2 Profile defined in the Mobile WiMAX Forum and the Wave 2 Profile contains Wave 1 Profile.  1.2  Characteristics of the Mobile WiMAX System The major characteristics of Mobile WiMAX system are listed below.    High Compatibility and Cross-Interworking The Mobile WiMAX system is based on IEEE 802.16e-2005 standard and complies with Wave 2 Profile and ASN Profile C of the Mobile WiMAX Forum. Therefore, the Mobile WiMAX system provides high compatibility and excellent cross-interworking.  High Performance Module Structure The Mobile WiMAX system has high performance by using high-performance processor and provides the module structure that it is easy to upgrade hardware and software.  MIMO and Wideband Support The Mobile WiMAX system supports Multiple Input Multiple Output(MIMO) and applies the power amplifier to support wideband operation bandwidth.  Maintenance Function with Strengthened Security The Mobile WiMAX system provides the security function(SNMPv3, SSH, SFTP and HTTPs) to all channels for operation and maintenance and authenticates the operator and assign the right for system access.
  Mobile WiMAX Outdoor RAS SPI-2331 System Description/Ed.02 © SAMSUNG Electronics Co., Ltd.  1-3 1.3  Mobile WiMAX Network Configuration Mobile WiMAX network is composed of ASN and CSN. ACR and RAS are involved in ASN and WSM is the Network Element(NE) to manage ACR and RAS. CSN is composed of AAA server, HA and PCRF server. ASN is connected with CSN by router and switch.    The following diagram shows the composition of Mobile WiMAX network.  Figure 1.1    Mobile WiMAX Network Configuration  Radio Access Station (RAS) RAS as the system between ACR and MS has the interface with ACR and provides the wireless connection to MS under IEEE 802.16d/16e standards to support wireless communication service for subscribers.    RAS carries out wireless signal exchange with MS, modulation/demodulation signal processing for packet traffic signal, efficient use of wireless resources, packet scheduling for Quality of Service(QoS) assurance, assignment of wireless bandwidth, Automatic Repeat Request(ARQ) processing and ranging function. In addition, RAS controls the connection for packet calls and handover. RAS  RAS  RAS  RAS WSMACRACRMS  MS MS MSEdge Router/SwitchPCRF HA AAA Core Router/SwitchCSNASN Internet…
CHAPTER 1. Overview of Mobile WiMAX System 1-4 © SAMSUNG Electronics Co., Ltd. Access Control Router (ACR) ACR, which is the system between CSN and RAS, enables several RASs to interwork with IP network, sends/receives traffic between external network and MS, and controls QoS.   ACR connects to Authentication Authorization Accounting(AAA) server and Policy & Charging Rules Function(PCRF) server in Diameter protocol method and provides the interface to NE of CSN.    Mobile WiMAX System Manager (WSM) WSM provides the management environment for the operator to operate and maintain ACR and RAS.  Home Agent (HA) HA accesses other networks or private networks and enables Mobile IP(MIP) users to access internet. HA interworks with ACR that performs Foreign Agent(FA) function for Mobile IPv4 and interworks with MS to exchange data for Mobile IPv6.  Authorization, Authentication and Accounting (AAA) Server   AAA server interfaces with ACR and carries out subscriber authentication and accounting functions. The AAA server interfaces with ACR via Diameter protocol and provides Extensible Authentication Protocol(EAP) certification.  Policy & Charging Rules Function (PCRF) Server   The PCRF server is the server that manages the service policy and interfaces with ACR via Diameter protocol. The PCRF server sends QoS setting information for each user session and accounting rule information to ACR.
  Mobile WiMAX Outdoor RAS SPI-2331 System Description/Ed.02 © SAMSUNG Electronics Co., Ltd.  1-5 1.4  Mobile WiMAX System Functions The figure below shows the functions of the ASN systems(ACR and RAS) based on Profile C.   Each block name complies with the standard of Mobile WiMAX NWG.  Figure 1.2    Configuration of Mobile WiMAX System Functions (Based on Profile C)  The ACR supports the Convergence Sublayer(CS) and performs the packet classification and Packet Header Suppression(PHS) functions. When the ACR carries out the header compression function, it supports ROHC defined in the NWG standard. In addition, the ACR performs the paging controller and location register functions for a MS in Idle Mode.  In authentication, the ACR performs the authenticator function and carries out the key distributor function to manage the higher security key by interworking with the AAA server as an AAA client. At this time, RAS performs the key receiver function to receive the security key from the key distributor and manage it. The ACR interworks with the AAA server of CSN for authentication and charging services and with the HA of CSN for Mobile IP(MIP) service. The ACR as FA of MIP supports both Proxy MIP(PMIP) and Client MIP(CMIP).  ASN R6 ASN GW(ACR) Location Register Context Function Handover Function (Handover Relay) Authenticator Key Distributor SFA AAA Client IP Packet Forwarding Header Compression Packet Classification Paging Controller MIP FA  PMIP client BS(RAS) Context Function Handover Function (Handover Control) Key Receiver RRC & RRA ARQ Operation MAC PDU Encapsulation/PHY SFM (Admission Control)
CHAPTER 1. Overview of Mobile WiMAX System 1-6 © SAMSUNG Electronics Co., Ltd. The RAS performs the Service Flow Management(SFM) function to create/change/release connections for each Service Flow(SF) and the admission control function while creating/changing connections. In regard to the SFM function of the RAS, the ACR carries out the SF Authentication(SFA) and SFID management functions. The ACR carries out the SFA function to obtain the QoS information from Policy Function(PF) and apply it in the SF creation and performs the SFID management function to create/change/release SFID and map SF according to the packet classification.  In handover, the RAS performs the handover control function to determine the execution of the handover and deal with corresponding handover signaling. The ACR confirms the neighbor BS list and relays the handover signaling message to the target system.   At this time, the ACR and the RAS carries out the context function to exchange the context information between the target system and the serving system.  The RAS performs the Radio Resource Control(RRC) and RR Agent(RRA) functions to collect/manage the radio resource information(e.g., BSID) from MSs and the RAS itself.   ASN System Function   For the detailed description about the RAS functions, refer to Chapter 2 of this system description. For the description about the ACR functions, refer to the system description for ACR provided by Samsung.
Mobile WiMAX Outdoor RAS SPI-2331 System Description © SAMSUNG Electronics Co., Ltd.  2-1 CHAPTER 2.  Overview of Outdoor SPI-2331      2.1  Introduction to Outdoor SPI-2331 As an ultra-small RAS of Mobile WiMAX, the outdoor SPI-2331 connects Mobile WiMAX to MS under ACR control.    The outdoor SPI-2331 interfaces with MS via a wireless channel observing the Mobile WiMAX standard(IEEE 802.16e) and provides high-speed data service and multimedia service in wireless broadband. To this end, the outdoor SPI-2331 provides the following functions: modulation/demodulation of packet traffic signal, scheduling and radio bandwidth allocation to manage air resources efficiently and ensure Quality of Service(QoS), Automatic Repeat Request(ARQ) processing, ranging function, connection control function to transmit the information on the outdoor SPI-2331 and set/hold/disconnect the packet call connection, handover control and ACR interface function and system operation management function.    The outdoor SPI-2331 is connected to the ACR via Fast Ethernet and it can send/receive diverse control signals and traffic signals using a stable and fast process.  The outdoor SPI-2331 is installed in the outdoor environment and managed in the omni method. In addition, the outdoor SPI-2331 supports the capacity of the maximum 1Carrier/ Omni and MIMO only with the basic cabinet.  The characteristics of the outdoor SPI-2331 are as follows:  Application of the OFDMA Method OFDMA is used to transmit data to several users simultaneously by using the sub-carrier allocated to each user and transmit data by allocating one or more sub-carriers to a specific subscriber according to the channel status and the transmission rate requested by a user.   In addition, since it can select the sub-carriers with excellent features for each subscriber and allocate them to the subscribers when some subscribers divide and use the whole sub-carrier, it can raise the data throughput by distributing the resources efficiently.
CHAPTER 2. Overview of Outdoor SPI-2331 2-2 © SAMSUNG Electronics Co., Ltd. Wide Channel Bandwidth Support The outdoor SPI-2331 supports 10 MHz bandwidth per carrier and has a large packet service.   Support of Wideband Operation Frequency   The outdoor SPI-2331 can change the center frequency in each 72 MHz bandwidth with a simple software change(no change in hardware required).   y 2,496~2,568 MHz   y 2,618~2,690 MHz  Support of 1Carrier/Omni The outdoor SPI-2331 can support 1Carrier/Omni by the basic cabinet.  Support of MIMO The outdoor SPI-2331 basically supports MIMO of 2Tx/2Rx RF path. There are two methods of MIMO as follows; y Space Time Coding(STC): method for raising reliability of link   y Spatial Multiplexing(SM): method for raising data transmission rate  Convenience Installation and Initialization The outdoor SPI-2331 automatically receives its IP from the DHCP, and it is initialized using software and configuration information saved in a non-volatile memory of the system or an external server.      Schedule to Provide the System Feature   For the schedule to provide the features described in this system description, see separate document.
  Mobile WiMAX Outdoor RAS SPI-2331 System Description/Ed.02 © SAMSUNG Electronics Co., Ltd.  2-3 2.2 Main Functions The main functions of the outdoor SPI-2331 are as follows: y Physical layer processing functiony Call processing functiony IP processing functiony Auxiliary device interface functiony Convenient operation and maintenance function y Function of supporting the outdoor environment  2.2.1  Physical Layer Processing Function OFDMA Ranging The ranging supported by the OFDMA system is roughly divided by the uplink timing synchronization method and the contention based bandwidth request method. y Uplink Timing SynchronizationIn the uplink timing synchronization method, the outdoor SPI-2331 detects the timing error of the uplink signal by using the ranging code transmitted from MS and transmits the timing correction command to each MS to correct the transmission timing of the uplink.  The uplink timing synchronization method has initial ranging, periodic ranging, handover ranging, etc. y Contention Based Bandwidth RequestIn the contention based bandwidth request method, the outdoor SPI-2331 receives the bandwidth request ranging code from each MS and allocates uplink resources to the corresponding MS to enable to transmit the bandwidth request header. The contention based bandwidth request method has bandwidth request ranging or something.  Channel Encoding/Decoding The outdoor SPI-2331 carries out the Forward Error Correction(FEC) encoding for the downlink packet created in the upper layer by using Conventional Turbo Code(CTC).   On the contrary, it decodes the uplink packet received from the MS after demodulating.  Modulation/Demodulation The outdoor SPI-2331 carries out the FEC encoding for the downlink packet created in the upper layer and modulates the encoded packet into the QAM signal. In addition, the outdoor SPI-2331 demodulates and decodes the uplink packet received from MS.
CHAPTER 2. Overview of Outdoor SPI-2331 2-4 © SAMSUNG Electronics Co., Ltd. OFDMA Sub-carrier Allocation The subchannelization is the process to tie the sub-carriers of OFDMA as a transmission unit after grouping them by a certain rule. The outdoor SPI-2331 performs the subchannelization to mitigate the interference between cells.   The outdoor SPI-2331 maps the column of the modulated downlink QAM symbol structure with each sub-carrier and carries out the subchannelization when the column of the QAM symbol structure is transmitted to the MS over the wireless line.   In such way, the outdoor SPI-2331 transmits the column of the QAM symbol structure to the MS via the sub-carriers pertained to each subchannel.  DL/UL MAP Construction The outdoor SPI-2331 informs the air resources for the uplink and the downlink to the MS by using DL/UL MAP. The DL/UL MAP consists of the scheduling information of the outdoor SPI-2331 and includes various control information for the MS.    Power Control The outdoor SPI-2331 carries out the power control function for the uplink signal received from multiple MSs and then set the power intensity of the uplink signal to a specific level. The outdoor SPI-2331 transmits the power correction command to each MS and then makes the MS power intensity be the level required in the outdoor SPI-2331 when the MS transmits the modulated uplink signal in a specific QAM modulation method.    Hybrid-ARQ (H-ARQ) Operation H-ARQ is the physical layer retransmission method using the stop-and-wait protocol.   The outdoor SPI-2331 carries out the H-ARQ function and raises data throughput by   re-transmitting or combining the frame from the physical layer to minimize the effect attending to the change of wireless channel environment or the change in the interference signal level.  MIMO  The outdoor SPI-2331 provides the MIMO function as follows according to Mobile WiMAX Wave 2 Profile: y Downlink − Matrix A(STC) Transmission ratio of the Matrix A or STC is 1 and equal to that of Single Input Single Output(SISO). However The Matrix A or the STC reduces the error of the signal received from the MS by raising the stability of the signal received from the MS by means of the Tx diversity. This technology is, also, effective in Signal to Noise Ratio(SNR) and provides excellent performance even when the MS moves in high speed.   − Matrix B(SM, vertical encoding)     Matrix B or SM method raises the effectiveness of the frequency by raising the transmission ratio in proportion to the number of antenna in comparison with SISO.   This technology is effective when the reception SNR is high.
  Mobile WiMAX Outdoor RAS SPI-2331 System Description/Ed.02 © SAMSUNG Electronics Co., Ltd.  2-5 y Uplink − Collaborative SM   Collaborative SM is the technology that doubles the frequency efficiency in view of the outdoor SPI-2331 as two MSs with each individual antenna send data simultaneously by using the same channel.    2.2.2  Call Processing Function Cell Initialization Function The outdoor SPI-2331 announces the MAC Management message such as DCD/UCD/ MOB_NBR-ADV to the cell area in service periodically to enable the MS receiving the message to carry out the appropriate call processing function.  Call Control and Wireless Resource Allocation Function The outdoor SPI-2331 enables an MS to enter to or exit from the network. When an MS enters to or exit from the network, the outdoor SPI-2331 transmits/receives the signaling message required for call processing via R1 interface with the MS or R6 interface with ACR.  The outdoor SPI-2331 allocates various management/transport Connection Identifier(CID) required for the network entry and service to a MS. When the MS exit from the network, the outdoor SPI-2331 collects and release the allocated CID.    Handover The outdoor SPI-2331 carries out the signaling and bearer processing for inter-sector HO(Handover), inter-ACR HO and inter-carrier HO. At this time, ACR relays the handover message between serving RAS and target RAS through the R6 interface.   To minimize the traffic disconnection in inter-RAS HO, the outdoor SPI-2331 performs the data switching function. In handover, the outdoor SPI-2331 enables the serving RAS to switch the user data in queuing to the target RAS and, therefore, the MS to recover the traffic without loss.   Handover Procedure   For the detailed handover procedure, refer to Chapter 4 ‘Message Flow’.
CHAPTER 2. Overview of Outdoor SPI-2331 2-6 © SAMSUNG Electronics Co., Ltd. Support of Sleep Mode Sleep mode is the mode defined to save the MS power under IEEE 802.16e standard and indicates the status that air resources allocated to an MS are released when the MS does not need traffic reception/transmission temporarily. If the MS in Sleep Mode needs the traffic reception/transmission, the MS returns to the normal status immediately.   Both Idle Mode and Sleep Mode are modes to save the MS power. The Idle Mode release all service flows allocated to an MS, while the Sleep Mode releases only the air resources between the MS and RAS temporarily, continuously keeping the service flow information allocated to the MS.   The outdoor SPI-2331 carries out the related call processing function by receiving/sending the signaling message required for the MS's status transition into Sleep Mode and the MS return from the Sleep Mode to Awake Mode.    Call Admission Control (CAC) Function If the outdoor SPI-2331 receives the call setup request, such as network entry, QCS and handover, from an MS, it monitors the traffic and signaling load for each subcell and the number of user in Active/Sleep Mode and performs the CAC function to prevent the system overload.  CAC can be roughly divided into CAC by MS and CAC by service flow.   y CAC by MS If the number of users who the subcell is in Active/Sleep Mode exceeds the threshold when the outdoor SPI-2331 receives the call setup request from an MS, it rejects the call setup request of the MS. y CAC by service flow When service flow is added, the outdoor SPI-2331 checks if the air resources of the requested subcell exceed the threshold and determines the creation of the service  MAC ARQ Function The outdoor SPI-2331 carries out the ARQ function of the MAC layer. In packet data exchange, ARQ transmits SDU from the transmission side to the ARQ block and retransmits the packet according to the ARQ feedback information received from the reception side to raise the reliability of data communication.   The outdoor SPI-2331 carries out the following function for the service flows applying ARQ:   y Creation and transmission concerned with ARQ operation y Feedback processing depending on ARQ types   y Block processing(fragmentation/reassemble/retransmission) depending on ARQ types y ARQ timer/window management  QoS Support Function The packet traffic exchanged between ACR and Outdoor SPI-2331 is delivered to the modem in the outdoor SPI-2331. At this time, the outdoor SPI-2331 allocates the queue in the modem to each service flow that QoS type is specified to observe the QoS constraint given for each QoS class or service flow and performs the strict-priority scheduling according to the priority.
  Mobile WiMAX Outdoor RAS SPI-2331 System Description/Ed.02 © SAMSUNG Electronics Co., Ltd.  2-7 The modem that receives the packet traffic performs the scheduling by using the uplink/ downlink algorithm, such as Proportional Fair(PF) or Round Robin(RR) and transmits the scheduled allocation information to an MS through DL/UL MAP.   The MS receiving the DL/UL MAP checks the air resources allocated to the MS and modulates/demodulates the downlink packet or transmits the uplink packet from the allocated uplink area. Since the outdoor SPI-2331 provides the QoS monitoring function, it can compile statistics on packets unsatisfying the latency requested from the QoS parameter according to TDD frames and report the statistics to an operator via the OAM interface.  2.2.3  IP Processing Functions IP QoS Function Since the outdoor SPI-2331 supports Differentiated Services(DiffServ), it can provide the backhaul QoS in the communication with ACR.     It supports 8-class DiffServ and supports the mapping between the DiffServ service class and the service class of the user traffic received from an MS. In addition, the outdoor SPI-2331 supports between Differentiated Services Code Point(DSCP) and 802.3 Ethernet MAC service class.    Simultaneous Support of IPv4/IPv6 ACR communicates with the outdoor SPI-2331 through the GRE tunnel and the backhaul IP version between the outdoor SPI-2331 and ACR is managed independently from the service IP version for the MS.   Even if, therefore, IPv4 is used in backhaul between the outdoor SPI-2331 and ACR, all of IPv4, IPv6 and IPv4/IPv6 dual stack services can be supported.   Figure 2.1    IPv4/IPv6 Dual Stack Operation  IPv4 IPv6 Dual Stack MS (IPv4/IPv6) RAS ACRIPv6 Network IPv4 Network Access Network Dual Stack ProcessingGateway Gateway Core Network
CHAPTER 2. Overview of Outdoor SPI-2331 2-8 © SAMSUNG Electronics Co., Ltd. IP Routing Function Since the outdoor SPI-2331 provides several Ethernet interfaces, it stores the routing table with the information on the Ethernet interface to route IP packets. The routing table of the outdoor SPI-2331 is configured depending on operator’s setting and the configuration and the setting of the routing table are similar to the standard setting of the router. The outdoor SPI-2331 supports the static routing configuration only and not the router function for the traffic received from the outside. When the outdoor SPI-2331 connects an auxiliary device, it supports the IP packet routing function for the auxiliary device by using Network Address Translation(NAT).  Ethernet/VLAN Interface Function The outdoor SPI-2331 provides the Ethernet interface and supports the static link grouping function, Virtual Local Area Network(VLAN) function and Ethernet CoS function under IEEE 802.3ad for the Ethernet interface. At this time, the MAC bridge function defined in IEEE 802.1D is excluded.  The outdoor SPI-2331 enables several VLAN IDs to be set in one Ethernet interface and maps the DSCP value of IP header with the CoS value of Ethernet header in Tx packet to support Ethernet CoS.  2.2.4  Auxiliary Device Interface Function The outdoor SPI-2331 can support better performance service and convenience by supporting various auxiliary devices.   The outdoor SPI-2331 provides the Ethernet interface to connect auxiliary devices and allocates IP addresses by operating as a DHCP server for the auxiliary devices. In addition, the outdoor SPI-2331 provides the traffic path to transmit/receive the maintenance traffic between an auxiliary device and the remote auxiliary device monitoring server.   If the auxiliary device uses a private IP address, the outdoor SPI-2331 carries out the NAT function to change the address into a public IP address(i.e., the IP address of the outdoor SPI-2331) for the communication with an external monitoring server.  2.2.5 Maintenance Function The outdoor SPI-2331 interworking with the management system carries out the following maintenance functions: system initialization and restart, management for system configuration, management for the operation parameters, failure and status management for system resources and services, statistics management for system resources and various performance data, diagnosis management for system resources and services and security management for system access and operation.  Convenience Installation and Initialization The outdoor SPI-2331 automatically receives its IP from the DHCP, and it is initialized using software and configuration information saved in a non-volatile memory of the system or an external server.
  Mobile WiMAX Outdoor RAS SPI-2331 System Description/Ed.02 © SAMSUNG Electronics Co., Ltd.  2-9 Graphic and Text-based Console Interface WSM manages the entire Mobile WiMAX system by using Database Management System(DBMS) and Outdoor SPI-2331 interworks with this WSM. In addition, the outdoor SPI-2331 directly access NE as well as WSM and interworks with console terminal to perform the operation and maintenance function.  For operator’s convenience and working purpose, the operator can select graphic-based console interface(Web-based Element Maintenance Terminal, Web-EMT) or text-based console interface(Integrated Management Interface Shell, IMISH).   The operator can access the console interface with no separate software and log in to Web-EMT through Internet Explore and IMISH through Secure Shell(SSH) on the command window. The operator can carry out the retrieval and setup of the configuration and the operation information and monitoring about faults, status and statistics via consol terminal.   However, the operator can carry out grow/degrow of resources and setting of the neighbor list and paging group which have correlation between several NEs only via the WSM.  Operator Authentication Function The outdoor SPI-2331 provides the authentication and the permission management functions for the operator who manages the Mobile WiMAX system. The operator accesses the outdoor SPI-2331 by using the operator’s ID and password via Web-EMT or IMISH and the outdoor SPI-2331 assigns the operation right in accordance with the operator’s level.  The outdoor SPI-2331 carries out the logging function for successful access, access failure and login history.    Maintenance Function with Enhanced Security Function For the security, the outdoor SPI-2331 supports Simple Network Management Protocol version 3(SNMPv3) and secure File Transfer Protocol(SFTP) in the communication with WSM and Hyper Text Transfer Protocol over SSL(HTTPs) and Secure Shell(SSH) in the communication with console terminals. For the operation and maintenance of the outdoor SPI-2331, the outdoor SPI-2331 provides the self or remote loading function in system initialization and restart, the retrieval and setting function for the configuration and operation parameters, the fault and status management function, the statistics collection function for various performance data, the diagnosis function for resources and services, the call trace function and the security management function for system access and operation.  On-line Software Upgrade   When a software package is upgraded, the outdoor SPI-2331 can upgrade the package while running old version of software package. The package upgrade is progressed in the following procedure: ‘Add New Package Æ Change to New package Æ Delete Old Package’.
CHAPTER 2. Overview of Outdoor SPI-2331 2-10 © SAMSUNG Electronics Co., Ltd. In package upgrade, the service is stopped temporarily because the old process is terminated and the new process is started in the ‘Change to New package’ stage.   However, since OS is not restarted, the service will be provided again within a few minutes.    After upgrading software, the outdoor SPI-2331 updates the package stored in a volatile storage.   In addition, the outdoor SPI-2331 can re-perform the ‘Change to New package’ stage to roll back into the previous package before upgrade.  Call Trace Function The outdoor SPI-2331 supports the call trace function for a specific MS. The outdoor SPI-2331 can carry out the call trace function up to 10 MSs. If a call occurs in the MS that an operator previously specified via ACR, the signaling message and statistical traffic data are transmitted to WSM. Besides, the outdoor SPI-2331, also, sends the RF environment information, such as Carrier-to-Interference-and-Noise-Ratio(CINR) for MS, Modulation and Coding Schemes(MCS) level and Burst Error Rate(BER).  Detailed Information for Each Session and Service Flow (PSMR/PSFMR) The Mobile WiMAX system of Samsung collects and stores detailed information of all sessions(Per Session Measurement Record, PSMR) and detailed information of all service flows(Per Service Flow Measurement Record, PSFMR) to provide it to an external log server. When a session or service flow is created, the Mobile WiMAX system starts to collect relevant information, and when the session or service flow terminates, the system creates and stores a message in a file so that the external log server can collect the message.  The information collected by the ACR includes session termination time, initial and final handover information(handover types, cell information), and the MAC address and IP address allocated to the MS. The outdoor SPI-2331 collects such information as MS MAC addresses, continued session time, continued service flow time, turnaround time for network entry, CID, SFID, initial and final wireless quality information(RSSI, CINR, Tx power), and throughput information.  The ACR deliver the information collected by ACR to the outdoor SPI-2331, and the outdoor SPI-2331 creates and stores a file for each period.  2.2.6  Function of Supporting the Outdoor Environment The outdoor SPI-2331 senses and controls the temperature inside the system, collects and reports the environmental alarms to operate normally in the outdoor environment.   The outdoor SPI-2331 has a natural air convection system without a fan to optimize air flow. Therefore, its low power consumption is suitable for use outdoors.
  Mobile WiMAX Outdoor RAS SPI-2331 System Description/Ed.02 © SAMSUNG Electronics Co., Ltd.  2-11 2.3 Specifications Capacity The capacity of the outdoor SPI-2331 is as follows:  Category System Capacity Channel Bandwidth  5/10 MHz  RF Band  - 2,496~2,568 MHz(BW: 72 MHz)  - 2,618~2,690 MHz(BW: 72 MHz) Maximum Number of Carriers/Sectors  1Carrier/Omni Interface between ACR-SPI-2331 Fast Ethernet  FFT size/Carrier/sector  512/1,024 Channel Card Capacity  1Carrier/Omni MIMO MIMO(2Tx/2Rx) Output Antenna Port-based - 100mW/Carrier/Path @ 10 MHz - 50mW/Carrier/Path @ 5 MHz  Input Power   The table below lists the power standard for the outdoor SPI-2331. The outdoor SPI-2331 satisfies the electrical safety standard prescribed in UL60950.  Category Standard System Input Voltage -48 VDC(Voltage Variation Range: -40~-56 VDC)   System Input Voltage   If the system input voltage that the service provider wants is AC, it can be supplied via a separate external rectifier.  Cabinet Size and Weight The table below lists the cabinet size and weight of the outdoor SPI-2331. The cabinet height includes the foot part of the cabinet.  Category Standard Cabine Size(mm) 375(H) × 400(W) × 91(D)   Cabinet Weight(kg)   About 10 or less
CHAPTER 2. Overview of Outdoor SPI-2331 2-12 © SAMSUNG Electronics Co., Ltd. Environmental Condition The table below lists the environmental conditions and related standards such as operational temperature and humidity.  Category Range Applied Standard Temperature Conditiona) -40~50°C(-40~122°F)  GR-487-CORE Sec. 3.26 Humidity Conditiona) 5~95%  However, the vapor content for air of 1 kg should not exceed 0.024 kg.GR-487-CORE Sec.3.34.2 Altitude -60~1,800 m(-197~6,000 ft) GR-63-CORE Sec.4.1.3 Earthquake Zone 4  GR-63-CORE Sec.4.4.1 Vibration Commercial Transportation Curve 2 GR-63-CORE Sec.4.4.4 Noise(sound pressure level) Under 65 dBA in distance of 1.5 m(5 ft) and height of 1.0 m(3 ft). GR-487-CORE Sec.3.29 Electromagnetic Wave(EMI) Standard satisfied  FCC Title47 Part 15 Class B GR-1089-CORE Sec. 3.2 US Federal Regulation  Standard satisfied  FCC Title47 Part27 a) The standards of temperature/humidity conditions are based on the value on the position where is 400 mm(15.8 in) away from the front of the system and in the height of 1.5 m(59 in) on the bottom.  GPSR Specification The table below lists the GPS Receiver(GPSR) characteristics of Outdoor SPI-2331.  Category Description Received Signal from GPS  1PPS, ToD Reference signal  8 kHz Accuracy/Stability 0.01 ppm Holdover time  24 hr  RF Specification The table below lists the RF characteristics of the outdoor SPI-2331.  Category Description Tx Output Power    200mW @avg power(MIMO) per carrier/sector Tx Constellation error  802.16e standard is observed. RX Sensitivity  802.16e standard is observed.
  Mobile WiMAX Outdoor RAS SPI-2331 System Description/Ed.02 © SAMSUNG Electronics Co., Ltd.  2-13 2.4 System Configuration The  outdoor  SPI-2331 consists of the following cabinet.y Samsung Mobile WiMAX base station Outdoor Rack(ULOE)   Figure 2.2    ULOE Configuration  The outdoor SPI-2331 provides up to 1Carrier/Omni capacities and basically supports MIMO, which is 802.16e Wave 2 standard. [Exterior of ULOE] [Front]  [Back] ULRB H e a t e r ULPU  UCCM ULDB ULPM-2FE [Interior of ULOE]
CHAPTER 2. Overview of Outdoor SPI-2331 2-14 © SAMSUNG Electronics Co., Ltd. 2.5 Interface between Systems  2.5.1 Interface Structure The outdoor SPI-2331 interfaces with another RAS and ACR as shown in the figure below:  Figure 2.3    Structure of Outdoor SPI-2331 Interface  Interface between Outdoor SPI-2331 and MS   The outdoor SPI-2331 interfaces with an MS according to the IEEE 802.16e radio access standard to exchange the control signal and the subscriber traffic.  Interface between Outdoor SPI-2331 and ACR The interface between an ACR and the outdoor SPI-2331 in the same ASN is R6 and its physical access method is FE. The R6 is the interface between ACR and RAS defined in Mobile WiMAX NWG and is composed of signaling plane(IP/UDP/R6) and bearer plane(IP/GRE).  Interface between Outdoor SPI-2331 and WSM   The interface between the outdoor SPI-2331 and the WSM complies with SNMPv2c or SNMPv3c of IETF standard, SFTP and Samsung’s proprietary standard and its physical access method is FE. CSN AAA ACR R3(Diameter, MIP, DHCP) R6 R1(802.16e) R4 SNMP, SFTP PCRF MS WSM HA Outdoor SPI-2331 RASR6 R8 ACR RAS ASN
  Mobile WiMAX Outdoor RAS SPI-2331 System Description/Ed.02 © SAMSUNG Electronics Co., Ltd.  2-15 2.5.2 Protocol Stack Protocol Stack between NEs   The figure below shows the protocol stack between NEs.  Figure 2.4    Protocol Stack between NEs  The outdoor SPI-2331 interworks with MSs via R1 interface according to IEEE 802.16e standard and the interface between the outdoor SPI-2331 and ACR is R6 interface.   The R6 signaling interface is executed on UDP/IP and the R6 traffic interface uses the GRE tunnel.   Protocol Stack for Operation and Maintenance Figure 2.5    Protocol Stack between Outdoor SPI-2331 and WSM  The ACR interworks with WSM in IP/UDP-based SNMP method to carry out the operation and maintenance functions. In particular, the outdoor SPI-2331 interworks with WSM in IP/TCP-based SFTP(FTP over SSH) method to collect the statistical data periodically, initialize & restart the system and download software. 16PHY802.16   MAC 802.16   PHY 16 MACGRE(R6) R6UDPIPL2L1MS RASACR GRE(R6) R6 UDP L2 L1 IPL2L116 PHY WSMRAS IP ApplicationFTP TCP SSHFTP TCP SSHL2 IP Application SNMPUDP UDPSNMPL1 L2 L1
CHAPTER 2. Overview of Outdoor SPI-2331 2-16 © SAMSUNG Electronics Co., Ltd. 2.5.3  Physical Interface Operation Method ACR Interface The outdoor SPI-2331 provides a Fast Ethernet interface for the ACR interface, and runs two links in 802.3ad(static)-based link aggregation format.  Maintenance Interface The operation and maintenance interface(interface with WSM) is operated in in-band method, which shares the common user traffic interface.
Mobile WiMAX Outdoor RAS SPI-2331 System Description © SAMSUNG Electronics Co., Ltd.  3-1 CHAPTER 3.  Outdoor SPI-2331 Architecture      3.1 System Configuration The outdoor SPI-2331 is roughly composed of two boards(ULDB and ULRB), power device, heater, and U-RAS Light series-3 Line Protection Module-2 Fast Ethernet(ULPM-2FE).   The internal configuration of the outdoor SPI-2331 is as shown in the figure below:  Figure 3.1    Internal Configuration of Outdoor SPI-2331  The backhaul between the ACR and the outdoor SPI-2331 is Fast Ethernet type, and the service provider can select either 10/100Base-Tx or 100 Base-Fx for the backhaul. When the backhaul between the ACR and the outdoor SPI-2331 is 10/100Base-Tx, ULPM-2FE mounted on the system for protecting the outdoor SPI-2331 from an electrical overload     IP Network (ACR)  ULDB ULRB ULPM-2FEUCCM* Craft  UDA UDE   RectifierLVTTLFE(Optic × 2 port) FE(Copper × 2 port) SPI-2331 GPS 2Tx/2Rx Traffic path Alarm & control Clock or *UCCM is mounted on ULDB.
CHAPTER 3. Outdoor SPI-2331 Architecture 3-2 © SAMSUNG Electronics Co., Ltd. 3.2 Detailed Structure The main functions and capacity of outdoor SPI-2331 are as follows:  Main Functions y Fast Ethernet interface with ACRy Creation and distribution of the network synchronization clocky Wireless signal sending/receiving function y Modulation/demodulation signal processing for packet traffic signal y Packet scheduling function(Efficient use of wireless resources and QoS guarantee) y Wireless bandwidth allocation function y ARQ function   y Ranging function   y System information transfer y Control of packet call connection setup/maintenance/release y Handover function y System operation and maintenance function  Capacity y Provides max. 2 Fast Ethernet connections per system   y 100 mW output power per transmission path y MIMO support  The outdoor SPI-2331 is configured as shown in the figure below:  Board Name Quantity (Sheet) Function ULDB  1  U-RAS Light series-3 Digital Board - System main processor - A channel card processing user data traffic. MIMO(2Tx/2Rx) support.   - OFDMA channel processing - 10/100BASE-TX 2 ports or 100BASE-FX 2 ports provided - Reception of the GPS signal and creation and supply of the clock - Debug interface(RS-232C) provided - LED(power/status, GPS, backhaul) interface provided ULRB  1  U-RAS Light series-3 RF Board - Transceiver function y  Tx path: converts the baseband signal into RF signal y  Rx path: converts the RF signal into baseband signal
  Mobile WiMAX Outdoor RAS SPI-2331 System Description/Ed.02 © SAMSUNG Electronics Co., Ltd.  3-3 (Continued) Board Name Quantity (Sheet) Function ULRB  1  - Power amplifier function Amplifies RF signal level to provide the RF output at the antenna port, which is requested by a service provider - TDD switch function - Separates sending signal and receiving signal - Low Noise Amplifier(LNA) function   Low noise amplification of the received RF signal to amplify the signal to the signal level at which down converting is possible - Filter function Passes the signal within a service provider's bandwidth and rejects other signals ULPU  1  U-RAS Light series-3 Power Unit Converts DC -48 V input to DC +12 V Heater  1  System heating function for cold start and low temperature operation under outdoor conditions ULPM-2FE 1  U-RAS Light series-3 Line Protection Module-2 Fast Ethernet - Protects external electric interface lines from an electrical overload such as lightning - Mounted on the system in case of 10/100Base-Tx backhaul(2 ports)
CHAPTER 3. Outdoor SPI-2331 Architecture 3-4 © SAMSUNG Electronics Co., Ltd. 3.2.1 ULDB The ULDB is the uppermost board in the outdoor SPI-2331. The main processor of the outdoor SPI-2331 is installed on this board and it provides system operation and a maintenance function. In addition, the ULDB is an integrated digital board providing a modem, GPS signal receiving and clock distribution, and network interface functions.  Main Processor Function The ULDB is the board that carries out the role as the highest layer in the outdoor SPI-2331 and is equipped with the main processor. The main processor of the ULDB performs the functions, such as communication path setting between MS and ACR, Ethernet switch function in the outdoor SPI-2331 and system operation and maintenance.  The ULDB manages the status of all hardware and software in the outdoor SPI-2331 and reports each status information to WSM via ACR. In addition, the ULDB allocates and manages the resources of the outdoor SPI-2331 and the connection of the ULDB and a PC for the Web-EMT enables to maintain the outdoor SPI-2331 with no interworking with ACR.  Modem Function The ULDB is equipped with the modem supporting IEEE 802.16e standard physical layer and the modem performs the OFDMA channel processing function.  The ULDB modulates the packet data received, and transmits the modulated data to the ULRB as digital baseband I/Q(LVTTL) signal. In the contrary, the ULDB demodulated the data received from the ULRB, converts the data into the format defined in the IEEE 802.16e Mobile WiMAX physical layer standard and then transmits the converted data to the ACR via Ethernet interface.   Network Interface Function The ULDB interfaces with an ACR in Fast Ethernet method and the ULDB can provide maximum two Fast Ethernet ports. Then the service provider can choose the copper or optic for the network interface.    GPS Reception and Clock Distribution Function The Universal Core Clock Module(UCCM), which is installed as ULDB mezzanine, generates a system clock [Pulse Per 2 Second(PP2S), Reference Clock(44.8 MHz), Analog 11.2 MHz] by using the GPS signal from the GPS and distributes the clock to each board and module. Therefore, each device of the outdoor SPI-2331 runs under the synchronized clock system. The UCCM provides a holdover function(24-hour) which maintains its normal clock for a specific time period based on its prior learning capability when there is no GPS signal because of any accidents.
  Mobile WiMAX Outdoor RAS SPI-2331 System Description/Ed.02 © SAMSUNG Electronics Co., Ltd.  3-5 3.2.2 ULRB The ULRB is the integrated RF board that carries out the transceiver function, power amplifier function, TDD switch function, filter function, and the Low Noise Amplifier (LNA) function.  Figure 3.2    ULRB Block Diagram of Outdoor SPI-2331  The main functions of ULRB are as follows:   y High-power amplification of RF transmission signal y Interfacing with ULDB in digital baseband I/Q(LVTTL) signal y Upconversion/downconversion of frequency y Rx/Tx RF signal from/to an antenna y Suppression of out-of-band spurious wave emitted from RF Rx/Tx signal y Low noise amplification of band-pass filtered RF Rx signal y TDD switching function for RF Tx/Rx path y Automatic Gain Control(AGC) for the received RF signal and Received Signal Strength Indicator(RSSI) support    ULRB FilterRF Ant.TDD Switch PA LNA Up/Down ConverterULDB TDDRF(Tx/Rx) RF(Tx)  RF(Rx) RF(Tx)  RF(Rx) Baseband I/Q (LVTTL)
CHAPTER 3. Outdoor SPI-2331 Architecture 3-6 © SAMSUNG Electronics Co., Ltd. Downlink (Tx) Signal Processing As for the downlink signal, the ULRB performs bandpass filtering of baseband I/Q signal received from the ULDB and converts the signal into the analog signal through Digital to Analog Conversion(DAC).   The converted analog signal goes through frequency up-conversion to RF band signal, and the signal is transferred to power amplifier. The power amplifier amplifies the received RF band signal and sends it to a filter. The filter filters out unnecessary frequency components from the received RF signal and sends out the RF signal through the antenna. The power of the RF transmission signal per Tx path at the RF output port is 100 mW.   Uplink (Rx) Signal Processing Out-of-band spurious wave of RF signal received from the antenna is suppressed through front end analog filter. This signal is low noise amplified in Low Noise Amplifier(LNA), and it is frequency down converted to the analog signal. The converted analog signal is converted to the digital baseband signal through Analog to Digital Conversion(ADC), and it is transferred to ULDB.  TDD Operation The ULRB has a TDD switch and it switches the sending/receiving path by receiving a TDD signal from the ULDB to help the outdoor SPI-2331 run as a TDD system.   The TDD switch connects with the transmission path in the DL section and provides a transmission path for downlink signals amplified in the power amplifier. The TDD switch connects with the reception path in the UL section and provides a reception path for uplink signals from the MS.
  Mobile WiMAX Outdoor RAS SPI-2331 System Description/Ed.02 © SAMSUNG Electronics Co., Ltd.  3-7 3.2.3 Other Devices ULPU ULPU is power device of outdoor SPI-2331, performs the DC/DC converter(DC -48 V Æ DC +12 V converting) function and provides the -48 VDC to heater.  The power structure of outdoor SPI-2331 is as follows:  Figure 3.3    Power Structure of Outdoor SPI-2331  ULPM-2FE This protects the external electric interface lines of the outdoor SPI-2331, e.g., the electric backhaul interface from an electrical overload such as lightning.    Heater If the system’s internal temperature goes below the standard operating temperature during system initialization or operation, the heater heats up the system. The ULDB controls the heater according to the temperature recorded by the temperature sensor, which is fitted inside the outdoor SPI-2331. y Cold Start & low temperature mode: Operating the heater y Normal temperature & high temperature mode: Stopping the heater  Heater UCCM ULRB -48 VDC VRMVRMVRMVRMVRMVRMVRMVRMVRM3.3 VDC5.7 VDC 3.3 VDC 3.3 VDC 5.0 VDC 5.0 VDC 5.0 VDC 1.1 VDC1.0 VDC1.2 VDC1.8 VDCReverse polarity protection circuit FilterConverterFuse-48 VDC 12 VDC  -48 VDCFuseULPU(DC/DC) ULDB
CHAPTER 3. Outdoor SPI-2331 Architecture 3-8 © SAMSUNG Electronics Co., Ltd. 3.2.4 I/O Connector and LED The I/O connectors and LEDs at the top and bottom of the outdoor SPI-2331 cabinet are described below.    Figure 3.4    I/O Connector and LED of Outdoor SPI-2331  3.2.4.1  I/O Connector Information I/O connector(external interface) structure of the outdoor SPI-2331 is as follows:  Figure 3.5    External Interface of Outdoor SPI-2331   RF ProcessingControlBasebandProcessingNetworkInterfaceULDB ULRB GPSRBACKHAUL 0 CRAFT ANT A ANT B ULPU FilterTx power monitoring GPS 11.2M TDD UDE UDA(2Tx/6Rx) PWR ALM Power ConversionPWR BACKHAUL 1 GPS ANT   ANT B  ANT A PWR  PWR ALM    UDA  CRAFT  UDE BACKHAUL 1 Ground 11.2M TDD SYS/LINK GPS RF BACKHAUL 0 [Top of the Cainet] [Bottom of the Cainet]
  Mobile WiMAX Outdoor RAS SPI-2331 System Description/Ed.02 © SAMSUNG Electronics Co., Ltd.  3-9  Category  Interface type  Port  Connector Type  Description 10/100Base-TX   RJ-45 BACKHAUL 0/1 100Base-FX 2 SFP(LC) Connect to the ACRa) GPS  Analog RF(L1 Signal) 1  N-type  Connect to the GPS antenna UDE  10/100Base-TX  1  RJ-45  For a service provider TDD  LVTTL  1  SMA  - Measurement terminal - Used for synchronization with instruments during performance test 11.2M  Analog RF(11.2MHz)  1  SMA  - Measurement terminal - Used for synchronization with instruments during performance test UDA Open/Short  1 16Pin Circular For a service provider (2Tx/6Rx) CRAFT  10/100Base-TX  1  RJ-45  For a service provider PWR ALM  RS-485    1  RJ-45  - Connect to the rectifier b) - Sends rectifier alarm information to the system ANT A/B  Analog(Main Traffic)  2  7/16-DIN  Connect to the antenna PWR  -  1  -  - Connect to the rectifier - Supplies power to the systema) Either 10/100Base-TX or 100Base-FX is supported for the backhaul to ACR. b) The support is only available for Samsung's rectifier.    3.2.4.2 LED Information The LEDs at the bottom of the outdoor SPI-2331cabinet are described below.    SYS/LINK LED Status  Description  LED blinks green  Normal Operation  LED turns green  Processing memory test  LED turns orange  Offline   LED blinks red/orange  Link Down  LED blinks green/orange  Online program loading  LED turns red  Boot-up or Power Fail  LED turns off  Power off
CHAPTER 3. Outdoor SPI-2331 Architecture 3-10 © SAMSUNG Electronics Co., Ltd. GPS LED Status  Description  LED turns green  Normal Operation  LED turns orange  GPS Unlock Status   LED blinks green/orange  LED test status  LED turns red  Power Fail  LED turns off  Power off  RF LED Status  Description  LED turns red  VSWR Abnormal or Path Fail  LED turns orange  Loading or Initialize  LED turns green  Normal Operation   LED turns off  Power off
  Mobile WiMAX Outdoor RAS SPI-2331 System Description/Ed.02 © SAMSUNG Electronics Co., Ltd.  3-11 3.3 Software Structure 3.3.1 Basic Structure The components of the outdoor SPI-2331 software is shown below: Operating System(OS), Device Driver(DD), Middleware(MW), IP Routing Software(IPRS), and application.   The application is divided by Call Control(CC) block for the call processing and the OAM block for operation and maintenance of the outdoor SPI-2331.  Figure 3.6    Software Structure of Outdoor SPI-2331  Operating System (OS) OS initializes and controls the hardware device, and runs the software operation in the hardware. To operate the software, OS uses the embedded Linux OS, and manages the dual software processes. Then, OS provides various functions efficiently with limited resources.    Middleware (MW) MW helps the smooth operation between OS and application under various types of hardware environment, and to achieve this, MW provides various services: message delivery service between applications, event notification service and debugging utility services. In addition, the MW provides the systematic and strong management function of the account, the authority and the authentication. MW IPRS OS DD Hardware OAM CC APPLICATION
CHAPTER 3. Outdoor SPI-2331 Architecture 3-12 © SAMSUNG Electronics Co., Ltd. Device Driver (DD) DD manages the normal operation of applications that OS does not control in the system.   DD provides the API for the user processor to setup/control/detect the hardware device. Also, DD confirms the device configuration by receiving the configuration data from the upper user processor, and also provides the functions of register manipulation for device operation, device diagnosis, statistics and status management.  IP Routing Software (IPRS) IPRS executes the IP routing protocol function. IPRS collects and manages the system configuration and status data necessary for IP routing operation, and based on the data,   it generates the routing table via the routing protocol, and makes packet forwarding possible.  Call Control (CC) CC is a software subsystem that processes the calls in the outdoor SPI-2331, and CC interfaces with MS and ACR. CC supports data exchange function to support wireless data service such as the MAC scheduling, air link control, ARQ processing and IEEE 802.16e message processing.    Operation And Maintenance (OAM) The OAM provides the interface(SNMPv2c or SNMPv3, SFTP, HTTPs, SSH)of which the security is strengthened, and which is standardized to interwork with the upper management system such as the WSM, the Web-EMT and console terminal based on the IMISH.    In addition, this performs the functions of initializing and restarting the system, processing the call, collecting the statistics for various performance data, managing the system configuration and resources, managing the status of the software resources and the hardware resources, managing the failure and performing the diagnostics for the operation and the management of the outdoor SPI-2331.
  Mobile WiMAX Outdoor RAS SPI-2331 System Description/Ed.02 © SAMSUNG Electronics Co., Ltd.  3-13 3.3.2  Call Control (CC) Block The CC block caries out the resource management function of the outdoor SPI-2331 and the BS function of ASN Profile-C defined in NWG of Mobile WiMAX forum. The CC block consists of RAS Resource Controller(RRC), RAS Service Controller(RSC) and RAS Traffic Controller(RTC) sub-blocks and the functions of each sub-block are as follow:  Figure 3.7    CC Block Structure  RRC as the resource manager of the outdoor SPI-2331 exchanges the status information with all blocks and assigns appropriate software resources to a service when it receives the necessary service request from RAS/ACR.    RSC processes the MAC signaling via R1 interface and interworks with ACR via R6 interface. RSC performs the Call Admission Control(CAC) in the service creation process and requests the traffic channel setup to RTC. In addition, RSC transfers the information on the internal control message to the modem block in the outdoor SPI-2331.    RTC fragments the user data received from ACR via the R6 interface in MAC PDU format and transfers the data to the modem block or re-assembles the MAC PDU received from an MS via the R1 interface and transmits to ACR. In addition, the RTC interworks with the RSC block controlling the RAS signal and performs the call setup/release procedure.  3.3.2.1 RAS Resource Controller (RRC) RRC is in charge of the resource management of the outdoor SPI-2331 and is activated on the ULDB. The RRC interfaces with ACR outside the system and the RSC and OAM blocks inside the system.  RRC’s main functions are as follows:   y ACR Keep Alivey RSC Keep Alivey Inter Carrier Load Balancingy Paging Message Transmissiony System Resource Management ULDB RRC 1) RAS signaling interface 2) RAS state monitoring CC RSC 1) RAS signaling interface 2) Modem control interface RTC 1) RAS traffic interface 2) Modem traffic interface
CHAPTER 3. Outdoor SPI-2331 Architecture 3-14 © SAMSUNG Electronics Co., Ltd. 3.3.2.2 RAS Service Controller (RSC) The RSC is in charge of the signaling-concentrated service in the outdoor SPI-2331.   As for the system outside, the RSC performs the message exchange with ACR via the Mobile WiMAX standard R6 interface. As for the system inside, RSC interworks with the RTC that is in charge of traffic data and transmits the information on the internal control message to the modem block.   The RSC performs the MAC message exchange described in IEEE 802.16d/e with an MS and carries out the call setup procedure by interworking with the RRC via the system internal message. The RSC is activated on MRA.  RSC’s main functions are as follows: y CID Creation and Releasey MAC Management Message Processingy R6 Interface Message Processing  y Handover processing y Sleep Mode Support for Power Reductiony Collection of Various Statistics  y Paging Relay Function for MS  3.3.2.3 RAS Traffic Controller (RTC) The RTC is the block to process the traffic of the outdoor SPI-2331. The RTC is the block pertaining to the bearer plane and is located as the kernel module format of the corresponding CPU. The RTC performs the R6 interface under IEEE 802.16e standard and enables to the modem block to perform the R1 interface normally.    The RTC fragments the user data received from ACR via the R6 interface in MAC PDU format and transfers the data to the modem block or re-assembles the MAC PDU received from an MS via the R1 interface and transmits to ACR.    In addition, the RTC interworks with the RTC block controlling the RAS signal and performs the call setup/release procedure. This process is carried out via the memory interface in the ULDB. The RTC communicates with the modem block via the PCI interface.    The RTC is activated on ULDB and its main functions are as follows:   y ARQ function: Receives the ARQ feedback message from an MS and processes the message.y Analyzes and processes the RSC control message and performs the queue management.  y Performs the traffic interface with the modem block. y Performs the scheduling function for each QoS class
  Mobile WiMAX Outdoor RAS SPI-2331 System Description/Ed.02 © SAMSUNG Electronics Co., Ltd.  3-15 y Data Traffic Processing FunctionRTC provides the data path between ACR and the outdoor SPI-2331 via the R6 data path(GRE tunnel). y Traffic Control Function for Handover In handover, RTC performs the data synchronization function between serving RAS/ACR and target RAS/ACR.  3.3.3  Operation And Maintenance (OAM) Block OAM block manages the operation and maintenance of the outdoor SPI-2331, and it is divided as the two shown below: EMS Interface(EMI) and Main OAM.  Figure 3.8    OAM Software Structure  The following interface structure diagram shows the communication between OAM blocks. Main OAM and EMI are running on the ULDB that support master OAM.    Figure 3.9    Interface between OAM Blocks Operation And Maintenance(OAM) EMI 1) SNMPD 2) OAGS 3) WebEMT 4) CLIM 5) PAM Main OAM6) UFM 7) Loader 8) ULM 9) OPM 10) OSSM 11) OER 12) OCM 13) RDM MDSMain ProcessorMain OAMIPC APIOCM RDMUFM OPMLoaderULMEMIWebEMT WSMImage Server WSMSFTP SNMPv 2c/SNMPv3 -HTTP sSSHConsole Terminal CLIMP AMOERMDSOAGS/SNMPD Web-EMT API Shared Memory SoftwareEntityOSSM
CHAPTER 3. Outdoor SPI-2331 Architecture 3-16 © SAMSUNG Electronics Co., Ltd. The EMI carries out SNMP agent and web server function, and provides the OAM interface between the management system(WSM, Web-EMT and CLI Terminal) and the outdoor SPI-2331 by providing the IMISH. Then, to access the outdoor SPI-2331 directly via the Web-EMT or the console terminal, the process of the operator authentication and the authority allowance via the Web-EMT or Pluggable Authentication Module(PAM) block should be done.  The Main OAM is located in the main processor. The Main OAM communicates with the upper management system by interworking with the EMI block and distributes the Programmable Loading Data(PLD) to the lower processors by managing the system configuration as the format of the PLD. In addition, the Main OAM performs the role of the Image Server(IS) and the Registration Server(RS), collects and saves the statistics data and the failure information, and reports them to the upper management system.    Each sub block is implemented in the ULDB and it has a singleplex structure.  3.3.3.1  SNMP Daemon (SNMPD) SNMPD plays the SNMP agent role to support the standard SNMP(SNMPv2c or SNMPv3c) and an interface role for the upper management system(WSM) and interworks with internal subagent. While receiving requests on the standard MIB object from WSM are processed by SNMPD itself, it transmits requests on the private MIB object to subagent in order to be handled properly.    The main functions of SNMPD are as follows: y Standard MIB processingIf the request for the MIB-II object is received, the SNMPD processes it directly and transmits the response. y Private MIB processingIf the request for the Private MIB object is received, it is not processed directly by the SNMPD, but it is transmitted to the corresponding internal subagent, and then the response is transmitted from the subagent and it is transmitted to the manager.  3.3.3.2  Common SNMP Agent Subagent (OAGS) OAGS plays the SNMP subagent role to support the standard SNMP(SNMPv2c or SNMPv3c). Also, through master agent(SNMPD) OAGS plays an interface role for the upper management system for the command inquiry and change of ACR to be operated through the get/get-next/get-bulk/set/trap command defined by SNMP.  The main functions of OAGS are as follows: y Providing private MIB − Provide private MIB to the management system. − Generate the message data file necessary for the interface function between OAM blocks. y SNMP command processing Process the command received from the management system and transmit the corresponding result via the SNMPD.
  Mobile WiMAX Outdoor RAS SPI-2331 System Description/Ed.02 © SAMSUNG Electronics Co., Ltd.  3-17 y Notification function Send the SNMP trap to master agent(SNMPD) whenever there are needs to inform the change or the alarm of the outdoor SPI-2331 data to the upper management system.  3.3.3.3 Web-based Element Maintenance Terminal (WebEMT) The WebEMT is the block to interface with the Web client of the console terminal which uses the Web browser, and performs the role of the Web server. Both Web-EMT and the outdoor SPI-2331 support the HTTP communications based on the Secure Sockets Layer(SSL).  The main functions of WebEMT are as follows: y Web server function − HTTP server for the management using Web-EMT − Receive html requests and display HTML pages y OAM block interface − Process commands from Web-EMT interoperating with other OAM blocks − User management  3.3.3.4  Command Line Interface Management (CLIM) The CLIM is the block to interface with the IMISH, when it is connected to the console terminal via the Secure Shell(SSH) method. The CLIM processes the received command via the IMISH and displays the corresponding result.    The main functions of CLIM are as follows: y IMISH command processing− Setup/change/inquiry of interface and routing functions − Setup/change/inquiry of the outdoor SPI-2331 operation & maintenance  3.3.3.5 Pluggable Authentication Module (PAM) The PAM receives the account and the password of the operator who uses the console terminal(IMISH) when logging in, thus it perform the operator authentication and the process of allowing the authority.  The main functions of PAM are as follows: y Operator’s account management and authentication   The function of managing and authenticating the account of the operator who uses the console terminal(IMISH) is performed. y Operator’s authority management The function of allowing the authority for all the commands which the operator can perform is performed. y Password management Management functions such as creating the operator’s password, saving and updating the encryption are performed.
CHAPTER 3. Outdoor SPI-2331 Architecture 3-18 © SAMSUNG Electronics Co., Ltd. 3.3.3.6  Universal Fault Management (UFM) UFM manages the ACR faults and the status of software and hardware. UFM informs the detected failures to the upper management system by the filtering function, and applies the severity changes and the threshold to the fault management system. In particular, the UFM receives ToD from a Global Positioning System(GPS), distributes the received ToD to CC software for call processing, and manages faults concerned with the ToD.  In addition, the UFM provides the interface function with Device Driver(DD) to support statistics and status management for devices such as Marvel switch 98DX246/98DX166 and Comet PM4358 of ULDB/MEI/MTA. The interfaces for Marvel switch 98DX246/98DX16 and Comet PM4358 are called Marvel Switch Device Driver Interface(MVSDDI) and Comet Device Driver Interface(CMDDI), respectively.  The main functions of UFM are as follows: y Failure Management − Hardware and software failure management by interrupt and polling − When the failure is detected, it is reported to the management system and the related block. y Status Management − Status management for the components − When the status information of the resource is changed, it is reported to the management system and the related block. y Failure filtering and inhibition − The filtering function is applied to many kinds of the occurred failure, and only the failure of the original reason is reported. − Function of inhibiting reporting a specific kind of failure or a specific system according to the operator’s request y Inquiring and changing the failure configuration information Inquiring and changing the parameters such as the failure severity and the threshold for the generation y Failure audit Auditing the failure is performed when initializing and restarting the system and when the operator requests to minimize the inconsistency of the failure information between the outdoor SPI-2331 and the upper management system. y Failure history information management   The failure history information is managed and saved, and the failure information is saved in its own nonvolatile storage periodically. y Call fault reporting In case of the call fault, the related information(call status, error code, MS information, etc.) is collected and reported to the management system. y DD Interface The interface between DD and applications is provided for statistics and status management of devices.
  Mobile WiMAX Outdoor RAS SPI-2331 System Description/Ed.02 © SAMSUNG Electronics Co., Ltd.  3-19 3.3.3.7 Loader Loader manages the entire process from the start of OS to the previous step of ULM running(pre-loading). After that, if ULM is actuated after the initialization script is executed and the registration and loading function is performed, the loader monitors the ULM block.  The main functions of Loader are as follows: y System time setting Before NTP-based synchronization, the system time is set by receiving the Time of Date(ToD) from a GPS receiver. y Outdoor SPI-2331 registration and loading− Registration of the outdoor SPI-2331 to the Registration Server(RS) − Determination of the loading method a)    Loading via its own nonvolatile storage b)    Loading via the remote Image Server(IS) c)    Loading as the latest version via the version comparison y Backing up and restoring the software image and the PLD   Loader saves the software image and the PLD of the latest version in its own nonvolatile storage and restores it as the corresponding information when required. y ULM monitoring Loader monitors whether the ULM block operates normally and if it is abnormal, this restarts it.  3.3.3.8  Universal Loading Management (ULM) ULM downloads and executes the packages that are identified in the file list downloaded by loader during pre-loading process. Also, ULM monitors the executed software and provides the running software information, and supports the restart and the software upgrade by the command. In addition, in the initialization stage, ULM sets the system time by using the Time of Date information obtained from a GPS receiver and periodically performs the synchronization with the NTP server by actuating as an NTP client after the loading is completed.  The main functions of ULM are as follows: y System initialization and reset − System reset by command − Act as internal RS & IS of lower board y Software management− Monitor the operation of software block and restart the software block in abnormal state − Software restart by command − Provide information on software block and the status
CHAPTER 3. Outdoor SPI-2331 Architecture 3-20 © SAMSUNG Electronics Co., Ltd. y Inventory Management− ULM provides the information such as the software version for the components, the PBA ID, the PBA version, the serial number and the Common Language Equipment Identifier(CLEI), etc. − Function of reporting the inventory information when performing the initialization, adding and extending the components y Online upgrade and version management for the software ULM provides the functions of updating the software and the firmware, upgrading the package and managing the version. y System time information synchronization Synchronize system time information with NTP server as a NTP client and transmit the time information to the lower boards y Time Zone setup Setup Time Zone and Daylight Saving Time(DST) y Mortem time update Setup mortem time after system time information synchronization  3.3.3.9  Common Performance Management (OPM) OPM collects and provides the performance data for the upper management system operator to know the outdoor SPI-2331 performance. The OPM collects the event generated during the system operation and the performance data and transmits them to the management system. The collection cycle of the statistics data of the actual OPM can be set as 15 minutes, 30 minutes, 60 minutes, and if the entire statistics file of the binary format is created every 15 minutes, the management system collects it periodically via the SFTP.      The main functions of OPM are as follows: y Record and collect statistics data Record statistics data to the memory and generate the statistics file by regularly collecting data per each board y Save the statistics data Save the statistics data of each board in its own nonvolatile storage during up to eight hours y Inquire and change the statistics configuration information Inquire and change the collection cycle(BI) and the threshold of the statistics data y Threshold Cross Alert(TCA)Generate the TCA(Critical, Major, Minor) according to the defined threshold in every collection cycle and report it to the UFM y Monitor the statistics in real time Provide the real-time monitoring function for the specific statistics item designated by the operator
  Mobile WiMAX Outdoor RAS SPI-2331 System Description/Ed.02 © SAMSUNG Electronics Co., Ltd.  3-21 3.3.3.10    Common Subscription Service Management (OSSM) OSSM distributes the PLD data necessary for the software blocks, and reports the data changed to the corresponding software block if PLD data are changed. Also, it supports the function to maintain the consistency of PLD data that are scattered in the system.    The main functions of OSSM are as follows: y PLD distribution OSSM loads PLD to the shared memory for software block in order to access PLD y PLD change report   Report the changes of PLD to the corresponding software block y PLD audit   Maintain the consistency of PLDs which are distributed in the outdoor SPI-2331 (between main board and lower boards)  3.3.3.11    Common Event Router (OER) The OER manages the event history as the text format. The OER transmits the information on all the events received from the OAM applications to the related agent(OAGS, WebEMT), and creates and saves the history file of the daily/hourly events, and displays the log contents on the operator window(IMISH) in real time.    The main functions of OER are as follows: y Event transmission OER transmits the information on the generated event to the OAGS or the WebEMT block, thus it enables to report it to the management system.   y Creating and saving the event history file OER creates and saves the daily/hourly event history file in its own nonvolatile storage as the 1 Mbyte maximum size. y Event display   OER displays the event generated in the outdoor SPI-2331 on the operator window (IMISH) in real time.  3.3.3.12    Common Configuration Management (OCM) OCM manages the outdoor SPI-2331 configuration and parameter with PLD, and it provides the data that are necessary for the software blocks. Other software blocks can approach PLD by the internal subscription service(OSSM), and through the command from EMI. OCM provides the following functions: Outdoor SPI-2331 configuration grow/degrow, inquiry and change of configuration data and operational parameters.  The main functions of OCM are as follows: y The outdoor SPI-2331 configuration management Manage the outdoor SPI-2331 system configuration with PLD
CHAPTER 3. Outdoor SPI-2331 Architecture 3-22 © SAMSUNG Electronics Co., Ltd. y PLD inquiry and change − Upper management system inquires and changes PLD by command − PLD changes are updated in its own nonvolatile storage periodically. y PLD audit For the consistent PLD data with the upper management system y Grow/degrow of resources Link and the auxiliary devices in the outdoor SPI-2331    3.3.3.13    RAS Diagnosis Management (RDM) The RDM checks if internal and external connection paths or resources of the outdoor SPI-2331 are normal. The connection paths are roughly divided into the external path between the outdoor SPI-2331 internal IPC path and another NE and the path between ACR and the outdoor SPI-2331. In addition, it supports the on-demand test at the request of an operator and the periodical test according to the schedule defined by the operator.  The main functions of RDM are as follows: y Path Test − External path test: Ping or traceroute test for external hosts − Traffic path test: Test for the UDP message-based bearer path between ACR and the outdoor SPI-2331 − Signal path test: Test for the UDP message-based signaling path between ACR and the outdoor SPI-2331 y Software Block Test Ping test for main programs by processors y RF Exchange Test Receive Signal Strength Indicator-based(RSSI-based) Rx/Tx path diagnosis   y Loopback Test Support of IEEE 802.3ah Ethernet loopback functions y Backhaul performance monitoring test Quality(packet loss, delay and delay variance) measurement for backhaul between ACR and the outdoor SPI-2331 y Periodical online test by the operator setting y Change of the Diagnosis Schedule Schedule setup, such as diagnosis period, start time and end time of periodical online test y Support of Call Trace Function It reports the call trace information(signaling message of a specific MS, RF parameter, traffic statistics) to the management system via SNMPD. y VIF generation and removal Generate and remove VIF based on physical link configuration in PLD
  Mobile WiMAX Outdoor RAS SPI-2331 System Description/Ed.02 © SAMSUNG Electronics Co., Ltd.  3-23 y VIF state management   Change the state of physical VIF with link failure y RF Module Setup and Control Transmission of the setup information required for the RF module and management of failure/status
CHAPTER 3. Outdoor SPI-2331 Architecture 3-24 © SAMSUNG Electronics Co., Ltd.   This page is intentionally left blank.
Mobile WiMAX Outdoor RAS SPI-2331 System Description © SAMSUNG Electronics Co., Ltd.  4-1 CHAPTER 4.  Message Flow      4.1  Call Processing Message Flow 4.1.1 Initial Access The following is the procedure to set the Provisioned Service Flow(SF) of the network-initiated Dynamic Service Add(DSA) mode in the process of the initial network entry.   An MS periodically receives DCD, DL-MAP, UCD and UL-MAP messages from the RAS in the initial access, acquires the downlink channel synchronization and the uplink parameter and sets the Provisioned SF connection. The NWG standard defines PMIP and CMIP to support Mobile IP and the procedure below takes account of both PMIP and CMIP.
CHAPTER 4. Message Flow 4-2 © SAMSUNG Electronics Co., Ltd.  Figure 4.1    Initial Access Process  MS  RAS  ACR AAA 8) Authentication & Key Exchange HAIn PMIP case In CMIPcase 1) RNG-REQ 2) RNG-RSP 3) SBC-REQ 6) SBC-RSP 9) REG-REQ 12) REG-RSP 15) DSA-REQ 16) DSA-RSP 19) DSA-ACK 20) DHCP Discover 23) DHCP Offer 24) DHCP Request 25) DHCP Ack 27) MIP REG REQ 30) MIP REG RSP 26) Agent Advertisement 7) MS_PreAttachment_Ack 10) MS_Attachment_Req 11) MS_Attachment_Rsp 13) MS_Attachment_Ack 17) Path Registration Response 14) Path Registration Request21) MIP REG REQ 22) MIP REG RSP 28) MIP REG REQ 29) MIP REG RSP 31) ACR 32) ACA 18) Path Registration Ack 4) MS_PreAttachment_Req 5) MS_PreAttachment_Rsp
  Mobile WiMAX Outdoor RAS SPI-2331 System Description/Ed.02 © SAMSUNG Electronics Co., Ltd.  4-3  Classification Description (1)~(2)  The MS transmits the RNG-REQ message including its own MAC address and the Ranging Purpose Indication to the RAS, and the RAS allocates the Basic & Primary Management CID and transmits the RNG-RSP message to the MS. (3)~(4)  The MS transmits the SBC-REQ message to the RAS including the physical parameter and the authorization policy information which it supports.   The RAS transmits the MS_PreAttachment_Req message to the ACR including the authorization policy support via the Default IP address and the UDP port number of the ACR.   (5)~(7)  The ACR transmits the MS_PreAttachment_Rsp message to the RAS including the supported authorization policy, and the RAS extracts the information received from the ACR, attaches it to the SBC-RSP message and transmits it to the MS.   Then, RAS transmits the MS_PreAttachment_Ack to the ACR, and notifies the start point of the next process(EAP transmission) explicitly. (8)  The procedure of the subscriber authentication between the MS and the AAA server is performed, and when the authentication is successful, the ACR receives the provisioned policy information for each subscriber from the AAA server.   For the detailed information, see ‘4.1.2 Authentication’.   (9)~(13)  The MS transmits the REG-REQ message to the RAS including the registration information(MS Capabilities, CS Capabilities, HO Support, etc), and the RAS transmits the MS_Attachment_Req message to the ACR to inquire the corresponding MS Capability and the corresponding CS Capability. The ACR transmits the response to the RAS including the result of the requested registration information, and the RAS transmits the REG-RSP message to the MS. The RAS transmits the MS_Attachment_Ack to the ACR, and notifies the start point of the next process explicitly. (14)~(19)  To request the DSA for the Pre-Provisioned SF, the ACR transmits the RR-Request message to the RAS, including the SFID, the Resource Description field(SF/CS parameter) and the Data Path ID(=GRE Key) field to set the data path with the RAS. The RAS receives this message and performs admission control for this, and then transmits the DSA-REQ message to the MS. The MS attaches the Confirmation Code to the DSA-RSP message as a result of DSA-REQ and transmits the message to the RAS, and the RAS transmits the RR-Response message to the ACR including the Data Path ID to set the data path with the ACR. Then the ACR transmits the RR-Confirm message to the RAS, and the RAS transmits the DSA-ACK message to the MS. (20)~(25)  This is the procedure to allocate the IP address to the MS, which uses the PMIP, if the MS requests the DHCP procedure to acquire the IP address, the ACR performs the PMIP procedure. (26)~(30)    This is the procedure to allocate the IP address to the MS, which uses the CMIP, if the MS requests the MIP registration directly, the ACR operates as the FA and interworks with the HA and allocates the MIP address to the MS. (31)~(32)  The start of accounting process for the service flow created in the stages of (14) to (19) is notified to the AAA server.
CHAPTER 4. Message Flow 4-4 © SAMSUNG Electronics Co., Ltd. 4.1.2 Authentication At the Time of Initial Access The MS authentication procedure performed in ‘4.1.1 Initial Access’ is as follows:    Figure 4.2    Authentication Procedure (At the time of initial access)  Classification Description (0)~(2)  When the ACR receives MS_PreAttachment_Req_Ack for SBC-RSP from the RAS, the ACR includes the EAP Request/Identity payload in the AuthRelay-EAP-Transfer message and transmits the message to the RAS to start the EAP authentication. The RAS relays the received EAP payload to the MS by using the PKMv2 EAP-Transfer/PKM-RSP message. (3)~(5)  The MS transmits the PKMv2 EAP-Transfer/PKM-REQ message to the RAS by including the NAI in the EAP Response/Identity, and the RAS relays this to the ACR by using the AuthRelay-EAP-Transfer message. Then, the authenticator of the ACR analyzes the NAI and transmits the Diameter EAP Request(DER) message to the home AAA of the MS. (6)~(11)  The subscriber authentication procedure is performed between the MS and the AAA server according to the EAP-method. MS RAS  ACR AAARepeat 2) PKM-RSP (PKMv2 EAP-Transfer) 3) PKM-REQ (PKMv2 EAP-Transfer) 8) PKM-RSP (PKMv2 EAP-Transfer) 9) PKM-REQ (PKMv2 EAP-Transfer) 14) PKM-RSP (PKMv2 EAP-Transfer) 17) PKM-RSP 18) PKM-REQ (PKMv2 SA-TEK-Request) 19) PKM-RSP 20) PKM-REQ (PKMv2 Key Request) 21) PKM-RSP (PKMv2 Key Reply) (PKMv2 SA-TEK-Challenge) (PKMv2 SA-TEK-Response) 0) MS_PreAttachment_Ack 1) AuthRelay-EAP-Transfer 4) AuthRelay-EAP-Transfer 7) AuthRelay-EAP-Transfer 10) AuthRelay-EAP-Transfer 15) Key_Change_Directive 16) Key_Change_Directive_Ack 5) DER 6) DEA 11) DER 12) DEA 13) AuthRelay-EAP-Transfer
  Mobile WiMAX Outdoor RAS SPI-2331 System Description/Ed.02 © SAMSUNG Electronics Co., Ltd.  4-5 (Continued) Classification Description (12)~(16)  When the EAP authentication is completed successfully, the ACR receives the Master Session Key(MSK) which is the prior key to provide the security and the Provisioned Policy on each subscriber via the DEA message from the AAA server. The ACR creates the AK from the MSK, and transmits the Key_Change_Directive message including the created AK Context information and the Security Association(SA) information of the MS to the RAS. In addition, the RAS relays EAP Success to the MS by using PKMv2-EAP-Transfer. (17)~(19)  After the EAP authentication, the RAS verifies the AK key value which it has with MS, and transmits the SA-TEK-Challenge message to the MS to notify the start of the SA negotiation, and the MS verifies the CMAC of the SA-TEK-Challenge message, checks the AK key value, and transmits the SA negotiation information to the RAS by using SA-TEK-Request. The RAS transmits SA-TEK-Response including the AKID and the SA Descriptor which is the final result of the SA negotiation to the MS. (20)~(21)  The MS requests the Traffic Encryption Key(TEK) to the RAS by using PKMv2 Key-Request, and the RAS creates the TEK randomly and transmits it to the MS by using the PKMv2 Key-Reply message. Then, the TEK is transmitted by being encrypted via the Key Encryption Key(KEK).   Keys and Functions   The functions of the keys are as follows.     - MSK: creates the AK   - AK: creates the CMAC key   - KEK: encrypts the TEK   - CMAC key: provides integrity for the MAC management message   - TEK: encrypts traffics in wireless sections
CHAPTER 4. Message Flow 4-6 © SAMSUNG Electronics Co., Ltd. At the Time of Authenticator Relocation When the MS performs the CSN-anchored Handover(HO), or the Idle Mode MS moves to another ACR area and performs the location update, the following re-authentication procedure is performed to move the authenticator from the existing Serving ACR to the Target ACR. The Target ACR triggers in order that the MS performs the EAP authentication procedure with the AAA server again, and then, when the result of the authentication result is notified to the Serving ACR, the Authenticator Relocation procedure is completed.  Figure 4.3    Authentication Procedure (At the time of the Authenticator Relocation)  Classification  Description (1)~(2)  The new authenticator, T-ACR, exchanges the Relocation Notify/Ack message with the previous authenticator, S-ACR, to perform re-authentication and authenticator relocation. (3)~(11)  The new authenticator, T-ACR, exchanges the Relocation Notify/Ack message with the previous authenticator, S-ACR, to perform re-authentication and authenticator relocation. (12)~(13)  The RAS sends the Key Change Confirm message to the authenticator(T-ACR) to notify it that re-authentication is complete with the MS. (14)~(16)  The T-ACR completes the authenticator relocation procedure by exchanging the Relocation Confirm/Ack message with the S-ACR. (17)~(18)  After the authenticator relocation, the new authenticator notifies the anchor that the authenticator has been changed through the context Rpt procedure. MS T-RAS  AAA T-ACR S-ACR 6) DEA 4) PKMv2-RSP 8) PKMv2-RSP 3) AuthRelay EAP Transfer11) SA-TEK handshake 7) AuthRelay EAP Transfer9) Key Change Directive10) Key Change Directive Ack12) Key Change Confirm13) Key Change Confirm Ack5) Serving ASN triggers MS re-authentication with AAA Server 14) Relocation Complete_Req15) Relocation Complete_Rsp1) Relocation Notify2) Relocation Notify Ack17) Context_Rpt18) Context_Ack16) Relocation_Complete_Ack
  Mobile WiMAX Outdoor RAS SPI-2331 System Description/Ed.02 © SAMSUNG Electronics Co., Ltd.  4-7 4.1.3 Status Change Awake Mode Æ Idle Mode If the data traffic is not transmitted/received for a certain time, the status of MS is changed from the Awake Mode to the Idle Mode.   Sleep Mode Æ Idle Mode Change   The MS of the Sleep Mode is not changed into the Idle Mode, immediately.   Before being changed from the Sleep Mode into the Idle Mode, the MS is changed to the Awake Mode, first, and then, after requesting DREG, it is changed into the Idle Mode.    The deregistration procedure to be changed into the Idle Mode is divided into the MS-initiated Idle Mode change and the Network-initiated Idle Mode change, and the following indicates the procedure of the MS-initiated Idle Mode change.  Figure 4.4  Awake Mode Æ Idle Mode Status Change Procedure  Classification Description (1)  When the MS is changed into the Idle Mode, it creates the DREG-REQ message and transmits it to the RAS, and the value of the De-Registration Request Code field is set as 0x01. (2)~(5)  The RAS creates the IM_Entry_State_Change_Req message including the context information of the MS and transmits it to the ACR(Paging Controller), and the ACR creates the IM_Entry_State_Change_Rsp message including the Action Code(0x05), the paging information(PAGING_CYCLE, PAGING_OFFSET) and the Idle Mode Retain Flag and transmits the message to the RAS.   The RAS transmits the DREG-CMD including the received information to the MS. MS RAS ACR4) DREG-CMD 1) DREG-REQ (Code=0x01, Paging Cycle Request)2) IM_Entry_State_Change_Req3) IM_Entry_State_Change_Rsp(ActionCode, Paging Controller ID, Paging Information)6) Path_Dereg_Req7) Path_Dereg_Rsp8) Path_Dereg_AckAAA 9) ACR 10) ACA 5) IM_Entry_State_Change_Ack
CHAPTER 4. Message Flow 4-8 © SAMSUNG Electronics Co., Ltd. (Continued) Classification Description (6)~(8)  If the Network re-entry from the MS is not transmitted until the Idle Resource Retain timer expires, the RAS performs the Data Path(DP) Release procedure with the ACR. (9)~(10)  As the MS status is changed to Idle Mode, the RAS notifies the charging termination message to the AAA server and updates the charging information in the AAA server.  Awake Mode Æ Sleep Mode The Awake Mode and the Sleep Mode of the MS can be classified only by the RAS, and the ACR does not classified the two kinds of status, and recognizes and manages both of them as the Awake Mode.    Figure 4.5  Awake Mode Q Sleep Mode Status Change Procedure  Classification Description (1)~(2)  If the MS does not transmit/receive the data for a certain time(set by the MS/RAS as the parameter), timeout is generated in its own timer, thus the mode is changed from the Awake Mode to the Sleep Mode. Then, the MS transmits the MOB_SLP-REQ message to the RAS, and the RAS transmits the MOB_SLP-RSP message for this, and the status of MS is changed into the Sleep Mode. (3)~(4)  If the terminating traffic exists in the Sleep Mode MS, the RAS transmits the MOB_TRF-IND message in the listening period of the corresponding MS, and the MS which receives this, sets the BW value as 0 in the UL BW Request and transmits it to the RAS. The RAS receives this message and recognizes that the status of MS has been changed into the Awake Mode, and transmits the traffic to the MS.  MS  RAS ACR 2) MOB_SLP-RSP1) MOB_SLP-REQAwake Sleep 3) MOB_TRF-IND4) BW Request HeaderAwake DL Traffic
  Mobile WiMAX Outdoor RAS SPI-2331 System Description/Ed.02 © SAMSUNG Electronics Co., Ltd.  4-9 Idle Mode Æ Awake Mode(QCS) When an MS in Idle Mode responds for the paging because of incoming traffic or sends the traffic, the status of MS is changed from the Idle Mode into Awake Mode. In both cases, the MS should perform the network re-entry procedure to change the status into the Awake Mode and the Mobile WiMAX system of Samsung basically takes account of the QCS procedure as the network re-entry method. The following is the case where the mode is changed from the Idle Mode to the Awake Mode at the time of the Network re-entry(QCS).    Figure 4.6    Idle Mode Q Awake Mode (QCS) Procedure  Classification Description (1)  If the Idle Mode MS is changed into the Awake Mode, the MS creates the RNG-REQ message including the MAC address and the Paging Controller ID value and transmits the message to the RAS. Then, the value of the Ranging Purpose Indication field is set as 0x00(=Network Re-entry). (2)~(3)  The RAS creates the IM Exit State Change Request message including the parameter of the received RNG-REQ message and transmits the message to the ACR. The ACR checks the status information of the Idle Mode of the MS, creates the IM Exit State Change Response message including the Idle Mode Retain information to perform the QCS procedure and the AK Context information for the CMAC authentication and transmits the message to the RAS. (4)~(5)  The RAS transmits the Path Registration Request message including the data path information such as the(UL) GRE Key to the ACR to set the data path with the ACR. The ACR responds to the RAS as the Path Registration Response message including the data path information such as the(DL) GRE Key for this. (6)  The RAS replies with the RNG-RSP message along with HO Optimization Flag for the QCS and relevant CID_Update and SA-TEK_Update information. (7)~(8)  The RAS notifies the new CMAC_KEY_COUNT value updated by the MS to the ACR, which is an authenticator. 1) RNG-REQ 2) IM Exit State Change Request(PC ID, Ranging Purpose=0) 3) IM Exit State Change Response4) Path Reg Request5) Path Reg Response9) Path Reg Ack6) RNG-RSP (CID Update) 10) BW Request Header 11) ACR 12) ACA MS RAS ACR AAA7) CMAC_Key_Count_Update8) CMAC_Key_Count_Update_Ack
CHAPTER 4. Message Flow 4-10 © SAMSUNG Electronics Co., Ltd. (Continued) Classification Description (9)  The ACR receives the Path Registration Ack message and is notified of data path set results. (10)  If an MS receives RNG-RSP, the MS transmits BW Request Header to notify the system that the status is changed into the Awake Mode. (11)~(12)  As the mode is changed into the Awake Mode and new CID(Transport CID) is assigned, new charging start message is notified to update the charging information of the AAA server.   Changing from Idle Mode to Awake Mode   For the procedure that the MS status is changed from Idle Mode to Awake Mode due to paging, refer to ‘4.1.5’.
  Mobile WiMAX Outdoor RAS SPI-2331 System Description/Ed.02 © SAMSUNG Electronics Co., Ltd.  4-11 4.1.4 Location Update Inter-RAS Location Update The following is the location update procedure when the MS moves to other paging group in the same ACR.    Figure 4.7    Inter-RAS Location Update Procedure  Classification Description (1)  When the Idle Mode MS in the paging group 1 moves to the paging group 2,   it receives the PAG-ADV message and recognizes that the location has been changed. (2)~(3)  The MS transmits the RNG-REQ message to a new RAS(RAS 2) including the MAC address, the Location Update Request, and the Paging Controller ID and the RAS 2 transmits the Location Update Request message to the ACR. (4)~(5)  The ACR transmits the Location Update Response message including the paging information and the AK Context information to the RAS 2.   The RAS 2 checks the CMAC validation and transmits the RNG-RSP message including the LU Response to the MS, and notifies that the location update procedure has been completed by transmitting the LU Confirm to the ACR. (6)~(7)  The RAS notifies the new CMAC_KEY_COUNT value updated by MS to the ACR, which is an authenticator. (8)  The ACR receives the LU Confirm message and is notified that the location update procedure is completed.  MS RAS 1(PG 1) ACR 1) MOB-PAG_ADV 5) RNG-RSP (Location Update Response)RAS 2(PG 2)1) MOB-PAG_ADV2) RNG-REG (Location Update Request, Paging Controller ID) 3) LU Request4) LU Response6) CMAC_Key_Count_Update   7) CMAC_Key_Count_Update   8) LU Confirm Ack
CHAPTER 4. Message Flow 4-12 © SAMSUNG Electronics Co., Ltd. Inter-ACR Location Update (Anchor Relocation) The following figure indicates the Inter-ACR location update procedure when the MS moves to other ACR area.    Figure 4.8   Inter-ACR Location Update Procedure S-ACR AAA HA1) RNG-REQ40) MIP REG REQ 41) MIP REG RSP44) MIP REG REQT-ACR2) LU Request3) LU Request5) LU Response4) LU Response11) LU Confirm14) LU Confirm12) PC_relocation_Ind13) PC_relocation_Ack15) Relocation Notify38) Anchor DPF HO Trigger16) Relocation Notify Ack39) Anchor DPF HO Request17) MS Paging Announce20) Exit MS State Change Request19) RNG-REQ18) MOB_PAG-ADV28) RNG-RSP(0b10 Enter Net.) (Event Code 0x01)23) IM Exit State 21) IM Exit State Change Req22) IM Exit State Change Rsp24) Path Reg Request33) Path Reg Ack27) Path Reg Response 26) Path Reg Response25) Path Reg Request37) Context Ack36) Context Report(to DPF)35) Re-authenticationIn PMIP caseIn CMIP42) Agent Advertisement43) MIP REG REQ45) MIP REG RSP46) CMIP REG RSP47) Anchor DPF HO Response48) ACR/AAA/HA Resource release action6) RNG-RSP7) CMAC_Key_Count_Update10) CMAC_Key_Count_update_AckMST-RASChange Response 8) CMAC_Key_Count_Update9) CMAC_Key_Count_update_Ack29) CMAC_Key_Count_Update32) CMAC_Key_Count_Update_Ack30) CMAC_Key_Count_Update31) CMAC_Key_Count_Update_Ack34) Path Reg Ack
  Mobile WiMAX Outdoor RAS SPI-2331 System Description/Ed.02 © SAMSUNG Electronics Co., Ltd.  4-13  Classification Description (1)~(2)  If the paging group is changed, the MS transmits the RNG-REQ message including the MAC address, the Location Update Request and the Paging Controller ID to a new T-RAS(Target RAS). The T-RAS transmits the Location Update Request message including the Paging Controller ID to its own default ACR. (3)~(5)  When the received Paging Controller ID does not belong to the Target ACR (T-ACR), the T-ACR transmits the Location Update Request message of which the APC Relocation Destination is set as its own Paging Controller ID to the previous Serving ACR(S-ACR) via the R4 interface to change the Paging Controller. The S-ACR responds by using the Location Update Response message including the information on whether to allow the Paging Controller Relocation and the Context information of the corresponding MS. (6)  When the T-RAS receives the Location Update Response message, it sets as ‘LU Response=Success’, transmits the RNG-RSP message to the MS, and checks if the paging controller is changed into the T-ACR by transmitting the LU Confirm message.   (7)~(10)  The T-RAS notifies the new CMAC_KEY_COUNT value updated by the MS to the S-ACR, which is an authenticator. (11)  The LU Confirm message is sent to confirm that the T-ACR is now the paging controller. (12)~(14)  The T-ACR, after Location Update Confirm, notifies the FA and the Authenticator which are still located in the S-ACR of that the Paging Controller has been changed.   (15)  The T-ACR requests the FA Relocation for the MS to the S-ACR. (16)~(18)  The S-ACR which receives the request of the FA/DPF Relocation from the T-ACR allows the relocation in the T-ACR, then, the T-ACR/RAS requests paging to the corresponding MS to trigger the relocation.   (19)~(34)  The MS which receives the MOB_PAG-ADV message performs the QCS which is the Network Re-Entry procedure with the network. (35)~(37)  This is the procedure to relocate the Authenticator from the S-ACR to the T-ACR, the T-ACR triggers in order that the MS performs the EAP authentication procedure with the AAA server, and notifies the S-ACR of the authentication result, then completes the Authenticator Relocation procedure. (38) ~ (39)  The T-ACR requests the Anchor DPF Relocation for the MS to the S-ACR. (40)~(41)  If the MS uses the PMIP, the T-ACR instead of the MS registers the MIP to the HA.   (42)~(46)  If the MS uses the CMIP, the ACR operates only as the FA, and the MS registers the MIP in the HA directly.   (47)~(48)  When the anchor DPF relocation is completed successfully, S-ACR releases the existing connection with AAA and HA.  Inter-ASN Location Update The Inter-ASN location update procedure is the same with the Inter-ACR location update procedure.
CHAPTER 4. Message Flow 4-14 © SAMSUNG Electronics Co., Ltd. 4.1.5 Paging Paging can be classified into the following two types.   y The RAS broadcasts the MOB_PAG-ADV message periodically and notifies the MS of the corresponding paging group. The MS is changed into the Idle Mode and checks if the paging group of the MS is changed by checking the MOB_PAG-ADV message periodically based on the paging information(Paging Cycle, Paging Offset, PGID) received from the system.   y If the traffic to be transmitted to the Idle Mode MS exists in the ACR, the ACR triggers the MOB_PAG-ADV message to the RAS to change the corresponding MS into the Awake Mode.    The following figure is the procedure to perform paging on the Idle Mode MS.    Figure 4.9    Paging Procedure  Classification Description (1)~(2)  When receiving the packet to be transmitted to the specific MS, the ACR transmits the MS Paging Announce message including the MAC address, the Paging Group ID and the Action Code(0x10) of the MS when the corresponding MS is the Idle Mode to the RAS. The RAS transmits the MOB_PAG-ADV message including the information received from the ACR to the MS.  After this, the MS performs the QCS procedure with the network. For the information on the QCS procedure, see the procedure of ‘Idle Mode Æ Awake Mode’ in ‘4.1.3’.    MS  RAS ACR 1) MS Paging Announcement2) MOB PAG-ADV QCS Incoming traffic
  Mobile WiMAX Outdoor RAS SPI-2331 System Description/Ed.02 © SAMSUNG Electronics Co., Ltd.  4-15 4.1.6 Handover Inter-RAS Handover The following is the inter-RAS handover procedure.    Figure 4.10    Inter-RAS Handover Procedure 25) Path Reg Response 24) Path Reg Request 21) Path Reg Ack MS  S-RAS  T-RAS1  T-RAS21) MOB-MSHO-REQ ACR2) HO-Request  3) HO-Request 4) HO-Response5) HO-Response7) HO-Ack 9) MOB-HO-IND 10) HO-Confirm 12) Context-Request13) Context-Report14) HO-Ack 15) HO-Ack 23) RNG-REQ 26) RNG-RSP 31) MAC PDU with SN Report Header(Opt.) or BW Request with 0(Opt.) 32) HO-Complete 33) HO-Complete 36) Path De-Reg Request37) Path De-Reg Response6) MOB-BSHO-RSP 8) HO-Ack 11) HO-Confirm 16) Path Pre-Reg Request19) Path Reg Request (For Data Integrity)20) Path Reg Response 17) Path Pre-Reg Response18) Path Pre-Reg Ack 27) Path De-Reg Request   (For Data Integrity)  30) Path De-Reg Response28) Path De-Reg Request29) Path De-Reg Response22) Fast Ranging IE() 34) CMAC_KEY_COUNT Update35) CMAC_KEY_COUNT Update Ack 38) Path De-Reg Ack
CHAPTER 4. Message Flow 4-16 © SAMSUNG Electronics Co., Ltd.  Classification Description (1)~(3)  The MS transmits the MOB_MSHO-REQ message including the Neighbor BS (RAS) ID and the parameter related to handover to the current Serving RAS (S-RAS) to request handover. The S-RAS transmits the HO-Request message including the received MOB_MSHO-REQ parameter and the context information to the ACR, and the ACR forwards the HO-Request message to the Target RAS(T-RAS). (4)~(8)  The T-RAS transmits the HO-Response message including its own capability information to the ACR, and the S-RAS transmits the MOB_BSHO-RSP message including the Recommended Neighbor BS-IDs, the HO-ID and the parameter result value to the MS. (9)~(11)  The MS transmits the MOB_HO-IND message including the HO-IND Type and the Target BS-ID to the S-RAS to notify handover finally, and the S-RAS transmits the HO-Confirm message including the context information and the Data Integrity information(e.g., Buffered SDU SN) of the MS to the T-RAS. (12)~(15)  The T-RAS transmits the Context-Request message to the ACR(Authenticator) to request the AK Context information, and the ACR responds by using the Context-Response message including the AK context information. (16)~(21)  The path pre-registration is executed to set a new data path between the ACR and the T-RAS. In addition, a forwarding path is set to send to the T-RAS the traffics that the S-RAS has not yet transmitted to the MS, and the traffics are sent to the T-RAS. (22)  If T-RAS allows the request of an MS, the T-RAS notifies UL_MAP IE to enable the MS to transmit HO Ranging Request via uplink. (23)  The MS transmits to the T-RAS the RNG-REQ message that contains the MAC address, Serving BS-ID, HO indication, and HO-ID. (24)~(25)  The path registration procedure is executed to exchange the SF information that is mapped with the data path created between the ACR and the T-RAS through the steps (16)~(18). (26)  The T-RAS replies with the RNG-RSP message along with HO Optimization Flag, CID_Update, and SA-TEK_Update. (27)~(30)  If the S-RAS transmits all the traffic to the T-RAS, the forwarding path is removed.   (31)  If an MS successfully receives the RNG-RAS message, the MS transmits Bandwidth Request(BR) MAC PDU to RAS to inform the reception of the message. (32)~(33)  The T-RAS transmits the HO-Complete message to S-RAS to notify the completion of handover. (34)~(35)  The RAS notifies the new CMAC_KEY_COUNT value updated by MS to the ACR, which is an authenticator. (36)~(38)  When the handover procedure is completed, the old path between the S-RAS and the ACR is removed.    Inter-ACR Handover Inter-ACR handover within the same ASN considers the path extension via the R6 interface. The inter-ACR handover procedure is the same with the inter-RAS handover procedure, but data forwarding between the serving RAS and the target RAS is not supported.
  Mobile WiMAX Outdoor RAS SPI-2331 System Description/Ed.02 © SAMSUNG Electronics Co., Ltd.  4-17 Inter-ASN Handover: ASN-Anchored Mobility Inter-ASN handover is divided into the ASN-anchored mobility method via the R4 interface and the CSN-anchored mobility method via the R3/R4 interface. The following figure indicates the inter-ASN handover procedure of the ASN-anchored mobility method, the Serving ACR(S-ACR) performs the anchor function.  Figure 4.11   Inter-ASN Handover (ASN-Anchored Mobility)  The HO signaling procedure is the same with the inter-RAS handover procedure, however in the HO signaling procedure, the procedure of exchanging the HO signaling message via the R4 interface is added between the S-ACR and the Target ACR(T-ACR).   35) Path Reg Ack 33) Path Reg Response 31) Path Reg Request MS  S-RAS  T-ACR T-RAS1  T-RAS21) MOB-MSHO-REQ S-ACRAK Context Transfer 2) HO-Request 3) HO-Request 4) HO-Request 5) HO-Response 6) HO-Response7) HO-Response8) MOB-BSHO-RSP  9) HO-Ack 10) HO-Ack 11) HO-Ack 12) MOB-HO-IND  13) HO-Confirm  14) HO-Confirm  15) HO-Confirm 18) Context-Request 17) Context-Request 19) Context-Report 20) Context-Report 22) HO-Ack  21) HO-Ack 23) HO-Ack R4 Data Path Setup 25) Path Pre-Reg Request 24) Path Pre-Reg Request 26) Path Pre-Reg Response27) Path Pre-Reg Response 29) Path Pre-Reg Ack 28) Path Pre-Reg Ack 16) Fast Ranging IE()30) RNG-REQ 37) RNG-RSP 38) MAC PDU with SN Report Header(Opt.) or BW Request with 0(Opt.) 40) HO-Complete  39) HO-Complete 41) HO-Complete 46) Path De-Reg Request47) Path De-Reg Response42) CMAC_COUNT_UPDATE 45) CMAC_COUNT_UPDATE Ack 43) CMAC_COUNT_UPDATE 44) CMAC_COUNT_UPDATE Ack 32) Path Reg Request34) Path Reg Response 36) Path Reg Ack
CHAPTER 4. Message Flow 4-18 © SAMSUNG Electronics Co., Ltd. Inter-ASN Handover: CSN-Anchored Mobility The following is handover of the CSN-anchored mobility method among the types of inter-ASN handover, the anchor function is relocated from the Serving ACR(S-ACR) to the Target ACR(T-ACR).   CSN-anchored mobility is composed of the process that Authenticator/DPF Anchor is relocated to the target ACR after ASN-anchored mobility handover is performed.   For convenience, the case that T-ACR triggers the relocation is defined in pull mode and the other case that S-ACR triggers is in push mode. Samsung's Mobile WiMAX system supports both pull mode and push mode.   The CSN-anchored mobility method follows the MIP standard, and the NWG defines the PMIP and the CMIP for the MIP method. The first part of the CSN-anchored handover signaling process is the same as the procedure of ASN-anchored mobility handover and the procedure after the ASN-anchored handover is as follows:  Figure 4.12    Inter-ASN Handover (CSN-Anchored Mobility)  MS  T-RAS HA T-ACR S-ACR(Anchor) AAA Inter-ASN HHO PMIP Re-registration 1) Relocation Notify 2) Relocation Notify Ack 3) Relocation Request 4) Relocation Response Pull Model Push Model 6) Anchor DPF HO Trigger7) Anchor DPF HO Request8) MIP REG REQ 9) MIP REG RSP 12) MIP REG REQ 13) MIP REG RSP CMIP Re-registration 10) Agent Advertisement 11) CMIP REG REQ 14) CMIP REG RSP 15) Anchor DPF HO Response 20) STR 21) STA Pull Mode 5) Re-authentication 16) Registration Revocation Request 17) Registration Revocation Ack 18) ACR 19) ACA
  Mobile WiMAX Outdoor RAS SPI-2331 System Description/Ed.02 © SAMSUNG Electronics Co., Ltd.  4-19  Classification Description (1)~(5)  This is the procedure to relocate the Authenticator from the S-ACR to the T-ACR, the T-ACR triggers in order that the MS performs the EAP authentication procedure with the AAA server again. The T-ACR completes the Authenticator Relocation procedure by notifying the S-RAS of the authentication result. (6)~(15)  FA relocation is triggered, and the registration of the PMIP or the CMIP is processed. (16)~(17)  The S-ACR cancels the S-ACR registration of the MS in the HA.   (18)~(21)  The S-ACR updates the information on interworking with the AAA server and the final accounting information of MS. Diameter is applied to AAA protocol, S-ACR performs the session termination procedure.
CHAPTER 4. Message Flow 4-20 © SAMSUNG Electronics Co., Ltd. 4.1.7 Access Termination Access Termination (Awake Mode) The following is the procedure that the access is terminated because the power of the Awake Mode MS is turned off.    Figure 4.13    Access Termination (Awake Mode)  Classification Description (1)~(3)  If the power of the Awake Mode MS is turned off, the MS transmits the DREG-REQ message including ‘Deregistration code=0’ to the RAS, and the RAS notifies the ACR of this. (4)  ACR release the MIP related information with HA. (5)~(6)  The ACR notifies the RAS of the result of power down processing, and release the data path. (7)~(10)  The S-ACR updates the information on interworking with the AAA server and the final accounting information of MS. Diameter is applied to AAA protocol, S-ACR performs the session termination procedure.  MS RAS  ACR AAA 1) DREG-REQ (ReqCode: 0) 3) Path Deregistration Request 7) ACR 2) DREG-CMD (ActionCode: 4) (Power Down Indication) 8) ACA 5) Path Deregistration Response 6) Path Deregistration Ack 9) STR 10) STA HA 4) MIP release
  Mobile WiMAX Outdoor RAS SPI-2331 System Description/Ed.02 © SAMSUNG Electronics Co., Ltd.  4-21 Access Termination (Idle Mode) The following is the procedure that the access is terminated because the power of the Idle Mode MS is turned off.    Figure 4.14    Access Termination (Idle Mode)  Classification Description (1)~(5)  If the power of the Idle Mode MS is turned off, the MS transmits the RNG-REQ message including the Power Down Indicator to the RAS, and the RAS notifies the ACR of this. The ACR deletes the information of the MS.   (6)  ACR release the MIP related information with HA. (7)~(8)  Diameter is applied to AAA protocol, S-ACR performs the session termination procedure.  MS  RAS ACR1) RNG-REQ (Location Update Request, Paging Controller ID)  2) LU Request 4) RNG-RSP (Location Update Response) 3) LU Response 5) LU Confirm AAA 7) STR 8) STA HA 6) MIP release
CHAPTER 4. Message Flow 4-22 © SAMSUNG Electronics Co., Ltd. 4.2  Network Synchronization Message Flow The outdoor SPI-2331 uses GPS for the system synchronization. The UCCM of the ULDB, which is the GPS reception module, creates the clock with the clock information received from a GPS and then distributes the clock to each hardware module in the outdoor SPI-2331.  Figure 4.15    Network Synchronization Flow of Outdoor SPI-2331  D C B A A C A C B D GPS Analog 11.2 MHz   (test) TDD(test) Analog 11.2 MHz  44.8 MHz TDD Signal  PP2S ULDBUCCM* ULRBOutdoor SPI-2331 *UCCM is mounted on ULDB.
  Mobile WiMAX Outdoor RAS SPI-2331 System Description/Ed.02 © SAMSUNG Electronics Co., Ltd.  4-23 4.3 Alarm Signal Flow The detection of failures in the outdoor SPI-2331 can be implemented by hardware interrupt or software polling method. The failures generated in the outdoor SPI-2331 are reported to the management system via the SNMP trap message.  Failure Alarm Types y System Failure Alarms TIME SYNC FAIL, GPSR FAIL, TOD FAIL, LOCKING FAIL, DISK FULL, etc. y Environmental Failure Alarms HEATER FAIL, TEMPERATURE HIGH, LOW, PORT DOWN, ACR COMMUNICATION FAIL, etc. y UDA 2Tx, 6Rx UDAs are supported.  Failure Report Message Flow The main OAM(UFM) collects the failures detected from ULDB, ULRB and UDA interface of the outdoor SPI-2331 and notifies them to the management system. At this time, it only reports the upper failure information by using the failure filtering function. If it receives the command to inhibit the report for a specific failure or all system failures from the management system, it does not report the failure report. The flows for the failure detection and the report message are as shown in the figures below:  Figure 4.16    Alarm Signal Flow of Outdoor SPI-2331 WSM (SNMP Manager) ULDB ULRB ULDB ULRB UCCM* Heater Controller*Alarm detection Alarm filtering Alarm Report (SNMP trap) Alarm detection Alarm filtering Alarm Report (SNMP trap) Outdoor SPI-2331  Outdoor SPI-2331  UCCM*  Heater Controller** UCCM and heater controller are mounted on ULDB.
CHAPTER 4. Message Flow 4-24 © SAMSUNG Electronics Co., Ltd.  Figure 4.17    Alarm and Control Structure of Outdoor SPI-2331  ULRB - Over Power - Clock Fail ULDB FPGAProcessor Status(TOD) 6Rx  2Tx For Service Provider - 2Tx/6Rx UDA - UDE (10/100base-T) Rectifier - High/Low Voltage - Battery related alarm - Flood - Discharging - Deletion   LED - RF - GPS - Link/System Status Heater Controller* - High Temperature - Low Temperature - Heater Fail - Controller Fail - Deletion Alarm Control RS 485 communication Fast Ethernet   Digital I/Q(LVTTL) UCCM* TOD Information (number of satellite,   latitude/longitude,  Locking yes/no) * UCCM and heater controller are mounted on ULDB.
  Mobile WiMAX Outdoor RAS SPI-2331 System Description/Ed.02 © SAMSUNG Electronics Co., Ltd.  4-25 4.4  Loading Message Flow Loading is the procedure to download the software execution files and the data from the IS, which are required to perform each function of each processor and each device of the outdoor SPI-2331. Loading the outdoor SPI-2331 is performed in the procedure of initializing the system. In addition, if a specific board is mounted on the system or the hardware is reset, or if the operator of the upper management system reboots a specific board, loading is performed.   Loading is classified into two types, one is loading by using its own nonvolatile storage and the other is loading by using the remote IS. When the system is initialized for the first time, the outdoor SPI-2331 receives the loading by using the remote IS, and after this, saves the corresponding information in the internal storage, and backs up the recent information periodically, and then it is available to avoid unnecessary loading. After the first initialization, if the information saved in its own storage is the recent information by comparing the version, the outdoor SPI-2331 does not receive the remote loading.    If it is required to perform roll-back to the previous version, or if the communication with the remote server is not available, the function of the forced loading, which enables to receive the loading from the remote server or from its own storage without comparing the version, is provided when required.    The loaded information includes the software image which is configured with the execution file and the script file, the configuration information, the PLD related to the operation parameter and various configuration files. Among them, all the information required for the static routing function of the outdoor SPI-2331 is saved in its own storage as the startup configure file format, and provides the information required at the time of the initialization.    Loading Procedure To perform the loading procedure when initializing the outdoor SPI-2331, the loader performs the followings first.(Pre-loading) y Boot-up: The booter of the Flash ROM loads the kernel and the Root File System(RFS) from the flash ROM to the RAM Disk, and performs the kernel.   y IP configuration: The IP address information is acquired from the flash ROM and is set to communicate with the first upper management system. For automatic initialization, the outdoor SPI-2331 automatically receives L3 information such as the IP address, subnet mask, and gateway IP address from DHCP. At this time, it also receives the IP address of the additional information server, and asks for its ID and the IP address of the RS to which its ID is registered. y Registration: The NE is registered to the RS, and the IP address of the IS is acquired during the registration. y Version Comparison: Except for the case where forced loading is set, the version of the software image and the version of the PLD saved in the remote IS and in the internal storage are compared, and the location where to perform loading is determined from that.   y File List Download: The list of the files to be loaded is downloaded.
CHAPTER 4. Message Flow 4-26 © SAMSUNG Electronics Co., Ltd. Loading Message Flow After performing the pre-loading procedure, if the method of loading is determined, the Main OAM(ULM) of the ULDB which performs the operation and the maintenance of the entire outdoor SPI-2331 performs loading by using the SFTP protocol to the corresponding IS(remote IS or its own storage).   The information on the software loaded in the outdoor SPI-2331 can be checked in the upper management system.    The loading message flow is as the following figure:  Figure 4.18    Loading Message Flow  Outdoor SPI-2331 ULDB Outdoor SPI-2331 ULDB • • • •WSM(RS/IS)Registration Image Loading   RS/IS Registration Image Loading   RS/IS Non-volatile Storage Non-volatileStorage
  Mobile WiMAX Outdoor RAS SPI-2331 System Description/Ed.02 © SAMSUNG Electronics Co., Ltd.  4-27 4.5  Operation and Maintenance Message Flow An operator can check and change the status of the outdoor SPI-2331 by means of the management system. To this end, the outdoor SPI-2331 provides the SNMP agent function. The function enables the WSM operator to perform the operation and maintenance function of the outdoor SPI-2331 at remote site by using the SNMP.   In addition, the operator can perform Web-EMT based maintenance function by using a Web browser in a console terminal or IMISH based maintenance function by using the SSH connection. However, grow/degrow, paging information change and neighbor list change functions are only available on WSM.    The statistical information provided by the outdoor SPI-2331 are provided to the operator according to collection period and the real-time monitoring function for a specific statistical item specified by the operator is, also, provided.  Operation and Maintenance Message Flow The operation and maintenance of the outdoor SPI-2331 is carried out via the SNMP get/get_next/get_bulk/set/trap message between the SNMP agent on the main OAM and the SNMP manager of the WSM. The outdoor SPI-2331 deals with various operation and maintenance messages received from the SNMP manager of the management system, transfers the results and reports the events, such as failure generation or status change, in real time as applicable. The statistical information is provided as statistical file format in unit of BI and the collection period can be specified as one of 15, 30 and 60 minutes.
CHAPTER 4. Message Flow 4-28 © SAMSUNG Electronics Co., Ltd. The OAM signal flow is as shown in the figure below:  Figure 4.19    Operation and Maintenance Signal Flow • • • •WSM (SNMP Manager) Web-EMT(HTTP Client)/ IMISH ULRB • • • •Outdoor SPI-2331 ULRB • • • • ULDB HTTP Server SNMP Agent  ULDB SNMP AgentCLIM CLIM HTTP Server         SNMP get/set/get_next/get_bulk, SNMP trap        HTTP message(command/response)             CLI Command         Statistical Date         Digital I/Q(LVTTL) Outdoor SPI-2331
Mobile WiMAX Outdoor RAS SPI-2331 System Description © SAMSUNG Electronics Co., Ltd.  5-1 CHAPTER 5.  Additional Functions and Tools      5.1 Web-EMT The Web-EMT is a type of GUI-based consol terminals and the tool to access the outdoor SPI-2331 directly, monitor the device status and perform operation and maintenance.   An operator can execute the Web-EMT only with Internet Explorer and the installation of additional software is not necessary. In addition, GUI is provided in HTTPs protocol type internally.  Figure 5.1    Web-EMT Interface  The Web-EMT enables the operator to restart the outdoor SPI-2331 or internal boards, inquire/set configuration and operation parameters, carry out status and failure monitoring and perform the diagnosis function. However, the functions for resource grow/degrow or the changes of the operation information concerned with neighbor list are only available on the WSM managing the entire network and the loading image.   OAM command/response Outdoor SPI-2331 ULRB Outdoor SPI-2331• • • •Web-EMT ULDB  ULDB HTTP Server  HTTP Server HTTP message HTTP message OAM command/response ULRB
CHAPTER 5. Additional Functions and Tools 5-2 © SAMSUNG Electronics Co., Ltd.   This page is intentionally left blank.
Mobile WiMAX Outdoor RAS SPI-2331 System Description © SAMSUNG Electronics Co., Ltd.  I ABBREVIATION      A AAA Authentication, Authorization, Accounting ACR  Access Control Router ADC  Analog to Digital Conversion AGC  Automatic Gain Control API  Application Programming Interface ARQ  Automatic Repeat Request ASN  Access Service Network  B BI Bucket Interval BP Board Processor  C CAC Call Admission Control CC Call Control CID Connection Identifier CLEI    Common Language Equipment Identifier CLIM  Command Line Interface Management CLLI   Common Language Location Identifier CMIP  Client Mobile IP CoS    Class of Service CSN  Connectivity Service Network CTC   Convolutional Turbo Code  D DAC  Digital to Analog Conversion DD Device Driver DHCP  Dynamic Host Configuration Protocol DL Downlink DSA Dynamic Service Add DST Daylight Saving Time
ABBREVIATION II © SAMSUNG Electronics Co., Ltd. E EAP Extensible Authentication Protocol EMI Electro-Magnetic Interference EMI EMS Interface EMS  Element Management System  F FA Foreign Agent FA Frequency Allocation FE Fast Ethernet FEC Forward Error Correction FFT Fast Fourier Transform FRP Frequency Reuse Pattern  G GBIC  Gigabit Interface Converter GE Gigabit Ethernet GPS  Global Positioning System GPSR GPS Receiver  GRE  Generic Routing Encryption GUI  Graphical User Interface  H HA Home Agent H-ARQ  Hybrid-Automatic Repeat Request HO Handover HTTPs  Hypertext Transfer Protocol over SSL  I IEEE  Institute of Electrical and Electronics Engineers IMISH  Integrated Management Interface Shell IP Internet Protocol IPRS  IP Routing Software IS Image Server  L LED  Light Emitting Diode LTE Long Term Evolution LVDS  Low Voltage Differential Signaling  M MAC Medium Access Control MIMO  Multiple Input Multiple Output MIP Mobile IP
  Mobile WiMAX Outdoor RAS SPI-2331 System Description/Ed.02 © SAMSUNG Electronics Co., Ltd.  III MS Mobile Station MW Middleware  N NE Network Element NP Network Processor NWG  Network Working Group  O OAGS  Common SNMP Agent Subagent OAM Operation and Maintenance OCM  Common Configuration Management OER  Common Event Router OFDMA  Orthogonal Frequency Division Multiple Access OPM  Common Performance Management OS Operating System OSSM  Common Subscription Service Management  P PAM Pluggable Authentication Module PBA Panel Board Assembly PCRF  Policy & Charging Rules Function PDU  Protocol Data Unit PF Proportional Fair PGID  Paging Cycle, Paging Offset PHY Physical Layer PLD  Programmable Loading Data PMIP  Proxy Mobile IP PP2S  Pulse Per 2 Seconds  Q QAM Quadrature Amplifier Modulation QCS  Quick Connection Setup QoS Quality of Service  R RAS Radio Access Station RDM  RAS Diagnosis Management RET Remote Electrical Tilting RFS  Root File System RRC  RAS Resource Controller RS Registration Server RSC  RAS Service Controller RSSI  Received Signal Strength Indicator RTC RAS Traffic Controller
ABBREVIATION IV © SAMSUNG Electronics Co., Ltd. S SAE System Architecture Evolution SDU  Service Data Unit SFP  Small Form Factor Pluggable SFTP  secure File Transfer Protocol SNMP  Simple Network Management Protocol SNMPD SNMP Daemon SSH   Secure Shell SSL    Secure Sockets Layer SSR  Solid State Relay  T TCA Threshold Cross Alert TDD Time Division Duplex  U UCCM  Universal Core Clock Module UCM  Universal Control Module UDA User Defined Alarm UDE  User Define Ethernet UDP  User Datagram Protocol UFM  Universal Fault Management UL Uplink ULDB  U-RAS Light series-3 Digital Board ULM  Universal Loading Management ULPU  U-RAS Light series-3 Power Unit ULRB  U-RAS Light series-3 RF Board  V VIF Virtual Interface VLAN  Virtual Local Area Network VRM  Voltage Regulation Module  W Web-EMT  Web-based Element Maintenance Terminal WLAN  Wireless Local Area Network WSM  Mobile WiMAX System Manager
Mobile WiMAX Outdoor RAS SPI-2331 System Description © SAMSUNG Electronics Co., Ltd.  V INDEX      A AAA server....................................1-4 Access Termination ....................4-20 ACR .....................................1-4, 2-15 ADC ..............................................3-6 Alarm ..........................................4-23 Altitude........................................2-13 ARQ..............................................2-6 ASN Interface .............................2-17 ASN-GW.......................................1-2 Authentication......................2-10, 4-4 Auxiliary device.............................2-9 Awake Mode........................4-7, 4-20 B Backhaul.......................................3-1 Backhaul.....................................2-12 BI ................................................4-27 Boot-up .......................................4-25 BS.................................................1-2 C Cabinet ..............................2-12, 2-14 CAC ..............................................2-6 Call processing ......................2-5, 4-1 Call Trace....................................2-10 Capacity......................................2-12 CC overview..............................3-12, 3-13 structure.......................................3-13  Channel Bandwidth .................... 2-12 Channel Card ......................2-12, 3-2 CID................................................2-5 CLIM ...........................................3-17 Clock........................................... 4-22 Cold start....................................... 3-3 Collaborative SM ..........................2-5 Console terminal........................... 2-9 Contention Based Bandwidth Request ........................................2-3 D Decoding ......................................2-3 Demodulation ............................... 2-3 Device Driver..............................3-12 DHCP server ................................ 2-9 DL/UL MAP...................................2-4 Dual Stack ....................................2-8 E Earthquake ................................. 2-13 EMI ....................................2-13, 3-16 Encoding.......................................2-3 Environmental Condition ............2-13 Ethernet CoS................................ 2-8 Ethernet interface .......................2-17 F FFT ............................................. 2-12
INDEX VI © SAMSUNG Electronics Co., Ltd. G GPSR..........................................2-13 H HA.................................................1-4 Handover ......................................2-5 message flow .............................. 4-15 H-ARQ ..........................................2-4 Heater ....................................3-3, 3-7 Humidity Condition......................2-13 I Idle Mode.............................4-7, 4-21 status............................................. 2-6 IMISH..........................................2-10 Initial Access.................................4-1 Input Power.................................2-12 Input Voltage...............................2-12 Interface...............................2-15, 3-8 IP configuration...........................4-25 IP QoS ..........................................2-7 IP Routing.....................................2-8 IPRS............................................3-12 IS.................................................4-25 L LED.............................................3-10 Link aggregation .........................2-17 LNA...............................................3-3 Loader.........................................3-19 Loading ..............................4-25, 4-26 Location update .......................... 4-11 M MAC ARQ .....................................2-6 Main OAM...................................3-16  Matrix A.........................................2-4 Matrix B.........................................2-4 Middleware ................................. 3-11 MIMO........................... 2-4, 2-12, 3-2 Mobile communication..................1-1 Mobile WiMAX introduction.....................................1-1 network ..........................................1-3 standard .........................................1-2 system function ..............................1-5 Modulation ....................................2-3 MS ..............................................2-15 N NAT...............................................2-8 Network Synchronization............4-22 Noise...........................................2-13 O OAGS .........................................3-17 OAM............................................3-12 interface .......................................3-15 overview.......................................3-15 structure .......................................3-15 OAM interface.............................2-17 OCM ...........................................3-22 OER............................................3-22 OFDMA.......................... 2-1, 2-3, 3-2 Operation and Maintenance .......4-27 OPM............................................3-21 OS............................................... 3-11 OSSM .........................................3-21 Outdoor SPI-2331 configuration......................... 2-14, 3-1 interface .......................................2-15 introduction.....................................2-1 software........................................3-11 Output.........................................2-12
  Mobile WiMAX Outdoor RAS SPI-2331 System Description/Ed.02 © SAMSUNG Electronics Co., Ltd.  VII P Paging.........................................4-14 PAM ............................................3-18 PCRF server.................................1-4 PDP-PO........................................3-7 Power Amplifer .............................3-3 Power Control......................2-4, 2-12 Power structure ............................3-7 Pre-loading ........................3-19, 4-25 Protocol Stack.............................2-16 PSFMR ....................................... 2-11 PSMR ......................................... 2-11 Q QAM symbol .................................2-4 QCS..............................................4-9 QoS...............................................2-7 R R1 interface ................................2-16 R6 interface ................................2-16 Ranging ........................................2-3 RAS ..............................................1-3 RDM............................................3-23 RF Band......................................2-12 RF Specification..........................2-13 RRC............................................3-13 RSC ...................................3-13, 3-14 RTC ...................................3-13, 3-14 S Sleep Mode status ......................................2-6, 4-8 SM ................................................2-4 SNMP agent ...............................4-27  SNMP manager..........................4-27 SNMPD....................................... 3-16 Software Upgrade....................... 2-10 Status Change ..............................4-7 STC...............................................2-4 Subchannelization ........................ 2-4 T Temperature Condition ...............2-13 Transceiver...................................3-2 U UCCM..................................3-4, 4-22 UFM............................................3-18 ULDB ............................................ 3-4 ULM ............................................3-20 ULOE..........................................2-14 ULPM-2FE.............................3-3, 3-7 ULPU ............................................3-3 ULPU ............................................3-7 ULRB .....................................3-2, 3-3 ULRB ............................................ 3-5 Uplink Timing Synchronization .....2-3 V Vibration......................................2-13 VLAN ............................................2-8 W Web-EMT......................2-10, 3-4, 5-1 WebEMT..................................... 3-17 WLAN ...........................................1-1 WSM...........................1-4, 2-15, 4-27
INDEX VIII © SAMSUNG Electronics Co., Ltd.    This page is intentionally left blank.
       Mobile WiMAX Outdoor RAS SPI-2331 System Description  ©2007~2008 Samsung Electronics Co., Ltd.     All rights reserved.  Information in this manual is proprietary to SAMSUNG Electronics Co., Ltd. No information contained here may be copied, translated, transcribed or duplicated by any form without the prior written consent of SAMSUNG. Information in this manual is subject to change without notice.

Navigation menu