Sanyo Refrigerator Mpr 311Dh Users Manual
MPR-311D(H) to the manual beed74e8-7bc9-4de2-bca5-0e791e7952e6
2015-01-26
: Sanyo Sanyo-Refrigerator-Mpr-311Dh-Users-Manual-338146 sanyo-refrigerator-mpr-311dh-users-manual-338146 sanyo pdf
Open the PDF directly: View PDF  .
.
Page Count: 20

INSTRUCTION MANUAL 
Pharmaceutical Refrigerator 
=MPR-311 
(II) 
MPR-3110(H) 
---MPR-314DR{II} 
MPR-311 DR(H) 

Note: 
1. No 
part 
of 
this 
manual may be  reproduced  in 
any 
form 
with 
the expressed 
written 
permission 
of 
SANYO. 
2. The 
contents 
of 
this 
manual are 
subject 
to 
change 
without 
notice. 
3.  Please 
contact 
SANYO 
if 
any 
point 
in 
this 
manual  is 
unclear 
or 
if 
there  are 
any 
inaccuracies. 
SANYO Electric Co., Ltd.  All rights reserved.  Printed 
in 
Japan. 

CONTENTS 
PRECAUTIONS FOR SAFE OPERATION 
P. 
1 
CAUTIOINS FOR USAGE 
P.5 
NAME AND FUNCTION OF PARTS 
P. 
6 
BEFORE COMMENCING OPERATION 
P.8 
AUTOMATIC TEMPERATURE RECORDER 
P.10 
START-UP OF UNIT 
P. 
11 
OPERATING INSTRUCTIONS 
P. 
12 
MAINTENANCE 
P. 
14 
TROUBLE SHOOTING 
P. 
15 
ENVIRONMENTAL CONDITIONS 
P.15 
DISPOSAL 
OF 
UNIT 
P. 
15 
SPECIFICATIONS 
P. 
16 
PERFORMANCE 
P. 
16 
SAFETY CHECK SHEET 
P. 
17 
1 
PRECAUTIONS FOR 
SAFE OPERATION 
It  is  imperative  that  the  user 
complies with  this  manual 
as 
it 
contains  important  safety 
advice. 
Items  and  procedures  are  described  so  that 
you  can  use this  unit correctly and  safely.  If 
the precautions advised are followed,  this will 
prevent possible damage to the user and  any 
other person. 
Precautions  are  illustrated 
in 
the  following 
way: 
~WARNING 
Failure  to  observe  WARNING  signs 
could  result 
in 
a hazard to personnel 
possibly resulting 
in 
serious  injury  or 
death. 
~CAUTION 
Failure  to  observe  CAUTION  signs 
could result 
in 
injury to personnel and 
damage  to  the  unit  and  associated 
property. 
Symbol shows; 
~ 
L::, 
this symbol means caution. 
o 
iSl 
this symbol means 
an 
action 
is 
prohibited. 
o • this  symbol  means 
an 
instruction  must  be 
followed. 
Be 
sure  to  keep  this  manual 
in 
a  place 
accessible to users 
of 
this unit. 

PRECAUTIONS FOR SAFE OPERATION 
o 
o 
o 
o 
e 
~WARNING 
Do 
not  use  the  unit  outdoors.  Current 
leakage or electric 
shOck 
may result 
if 
the 
unit 
is exposed to rainwater. 
Only  qualified  engineers  or  service  personnel 
should  install  the  unit.  The  installation 
by 
unqualified  personnel  may  cause  gas or liquid 
leakage, electric shock or fire. 
Be 
sure 
to 
install the unit 
on 
a sturdy floor. 
If 
the floor 
is 
not strong enough 
or 
the installation 
site  is  not  adequate,  this  may  result 
in 
injury 
from the unit falling or tipping over. 
Never  install  the  unit 
in 
a  humid  place  or  a 
place where it is likely 
to 
be 
splashed 
by 
water. 
Deterioration of the insulation may result which 
could cause current leakage 
or 
electric shock. 
Never install the unit 
in 
a flammable or volatile 
location. This may cause explosion 
or 
fire. 
Never install  the  unit where  acid  or  corrosive 
gases  are  present  as  current  leakage  or 
electric shock may result due to corrosion. 
Make  sure  a dedicated  power  source 
is 
used 
as  indicated 
on 
the 
rating  label attached 
to 
the 
unit. 
Make  sure  to  remove  dust  from  the  power 
supply 
plug 
before inserting 
in 
a power source. 
A dusty plug or improper insertion may pose a 
hazard. 
Use a power  supply outlet with  ground  (earth) 
to  prevent electric shock.  If the power supply 
outlet 
is 
not  grounded,  it  will 
be 
necessary 
to 
install a ground 
by 
qualified engineers. 
2 
o 
o 
Never  ground  the  unit  through  a  gas  pipe, 
water 
main, 
telephone  line  or  lightening 
rod. 
Such  grounding  may  cause  electric  shock 
in 
the case of 
an 
incomplete circuit. 
Do 
not insert metal  objects  such  as  a 
pin 
or a 
wire  into  any  vent,  gap  or any  outlet for  inner 
air circulation.  This may cause electric shock 
or  injury 
by 
accidental  contact  with  moving 
parts. 
Never  store  volatile  or flammable  substances 
in 
this unit.  This may cause explosion or fire. 
Never store  corrosive  substances  in  this  unit. 
This  may 
lead 
to 
damage  to  the  inner 
components or electric parts. 
Make sure  to  use  this  unit 
in 
safe  area  when 
treating  the  poison,  harmful  or radiate  articles. 
Improper  use  may  cause 
bad 
effect 
on 
your 
health or environment. 
Make  sure 
to 
prepare  a  safety  check  sheet 
when 
you 
request 
any 
repair  or  maintenance 
fO! 
the 
safety of service personnel. 
Always disconnect the power supply 
to 
the  unit 
prior 
to 
any repair or maintenance of the unit 
in 
order 
to 
prevent electric shock or injury. 
Ensure 
you 
do 
not  inhale  or  consume 
medication or aerosols  from  around the  unit at 
the  time  of  maintenance.  These  may 
be 
harmful 
to 
your health. 
Never splash water directly onto the unit as this 
may cause electric shock or short circuit. 

PRECAUTIONS FOR SAFE OPERATION 
I 
o 
o 
o 
~WARNING 
Never  disassemble,  repair,  or modify  the  unit 
yourself.  Any  such  work  carried  out 
by 
an 
unauthorized  person  may result 
in 
fire or injury 
due 
to 
a malfunction. 
Make  the  power  supply  to 
the 
unit 
is 
disconnected  when  the  fluorescent  light 
is 
replaced as this will prevent electric 
S110ck. 
Disconnect  the  power  supply 
plug 
if 
there 
is 
something  wrong  with  the  unit.  Continued 
abnormal operation may cause electric shock 
or 
fire. 
o 
o 
If 
the  unit  is  to 
be 
stored  unused 
in 
an 
unsupervised  area  for 
an 
extended  period 
ensure  that  children 
do 
not  have  access 
and 
doors cannot 
be 
closed completely. 
The  disposal 
accomplished 
of 
by 
the  unit  should 
be 
appropriate  personnel. 
Always  remove  doors 
to 
prevent  accidents 
such as suffocation. 
~CAUTION 
Select  a  level 
and 
sturdy  floor  for  installation. 
This  precaution  will  prevent  the  unit  from 
tipping.  Improper  installation  may  result 
in 
water  spillage  or  injury  from  the  unit  tipping 
over. 
Do 
not install the unit where objects may fall 
on 
it. 
The 
electric parts are  located 
in 
the  upper 
part of this unit. 
Connect the unit 
to 
a power source 
as 
indicated 
on 
the 
rating  label  attached to the unit.  Use of 
any 
other voltage  or frequency  other than  that 
on 
the 
rating  label 
may 
cause  fire  or  electric 
shock. 
Fix 
the 
shelves securely.  Incomplete 
installation may cause injury or damage. 
3 
o When  removing  the 
plug 
from  the  power 
supply  outlet,  grip  the  power  supply  plug,  not 
the  cord. 
PUlling 
the  cord  may  result 
in 
electric shock or fire 
by 
short circuit. 
Never damage or break 
the 
power supply plug 
or cord. 
Do 
not use the supply plug 
if 
its cord 
is 
loose.  This may cause fire or electric shock. 
Do  not  touch  any  electrical  parts  such 
as 
the 
power supply  plug  or  any  switches with  a wet 
hand.  This  may cause electric shock. 
Do 
not  put  a  container  with  water  or  heavy 
articles 
on 
the  unit.  It  may  cause  injury 
by 
falling  down  of 
th·e 
articles.  Current  leakage 
or  electric  shock  may 
be 
resulted  from  the 
deterioration of insulation 
by 
spilled water. 
Do 
not climb onto the  unit or 
do 
not put articles 
on 
the  unit.  This  may cause  injury 
by 
turning 
or damage 
to 
the unit. 

PRECAUTIONS FOR SAFE OPERATION 
o 
~CAUTION 
Always 
hold 
the handle when  closing  the  door. 
This  will  prevent  the  likelihood  of  a  trapped 
finger. 
Never 
lean 
or press 
on 
the  glass.  Intentional 
force may cause injury if the glass breaks. 
Do 
not 
lean 
on 
the door.  This may cause 
injury if 
the 
unit tips over. 
Check 
the 
filter mentioned 
in 
this manual and 
clean it 
as 
necessary.  The dusty filter may 
cause temperature rise or failure. 
Never touch the condenser directly when the 
filter is removed for cleaning  Surfaces may 
be 
hot. 
4 
o 
o 
c 
Always  disconnect  the  power  supply 
plug 
before  moving  the  unit  during  transit.  Take 
care  not 
to 
damage  the  power 
cord. 
The 
damaged cord may cause electric shock or fire. 
Dispose  of  water 
in 
the  evaporation 
try. 
completely.  Spilled  water  or  splashed  water 
may cause current leakage or fire. 
Be  careful  not  to  tip  over  the  unit  during 
movement 
to 
prevent damage 
or 
injury. 
Always disconnect the power plug 
when 
the 
unit is not used for long periods. 
Do not put the packing plastic 
bag 
within reach 
of 
children as suffocation may result. 

CAUTIONS FOR USAGE 
G) If the  unit 
is 
unplugged  or the  power to  the  unit 
is 
interrupted, 
do 
not restart the unit for at least 5 minutes. 
This protects the compressor. 
®  This  inner  cabinet 
is 
refrigerated 
by 
the  forced 
circulation  of cooled  air inside  the  chamber. 
Ensure 
that the intake and exhaust vents are not blocked. 
@  Adequate  space  should 
be 
provided  between 
the 
items inside the unit to allow air circulation. 
@  Never  store  corrosive  materials  such  as 
acid 
or 
alkali  unless  the  container 
is 
completely  sealed 
up. 
Corrosion may lead to failure 
of 
the unit 
in 
time. 
@ Once  the  chamber temperature  has  stabilized, 
put 
the  items  into  the  chamber 
in 
small  batches 
to 
minimize the temperature increase. 
®  Fix  the  shelves  securely.  Place  items 
on 
the 
shelves 
and 
leave  a  space  between  the  walls  of 
the 
cabinet 
and 
the  contents 
to 
allow  air circulation. 
Do 
not place items 
on 
the floor of the chamber. 
(J) 
When 
the 
power plug-in  the  unit,  the  fan  does 
not 
always operate  immediately.  After a few minutes, 
the 
fan  operates properly. 
® For  some  time  after 
the 
unit  has  been  started,  or 
when the ambient temperature 
is 
fairly high,  the cabinet 
walls  may  heat 
up. 
This  does  not  indicate  a 
malfunction.  It  indicates  that  the  dew 
preventative/power  economy  function 
is 
performing 
satisfactorily.  Hot  gases  are  piped  from  the  motor 
compressor  along  the  front  edges  of the  cabinet  to 
prevent dew condensation. 
@ If condensation  forms 
on 
the  front  glass 
or 
frame 
surface, wipe it off with  a soft,  dry cloth. 
@l 
Do 
not clean  the  unit with  scrubbing  brushes,  acid, 
thinner,  solvents,  powdered soap,  cleanser 
or 
hot water. 
These agents 
can 
scratch the  paint or cause  it to  peel. 
Plastic  and  rubber  parts 
can 
be 
easily  damaged  by 
these  materials,  especially  solvents.  When  a  neutral 
detergent 
is 
used 
to 
clean 
the  unit,  rinse  thoroughly 
with a cloth soaked 
in 
clean 
water. 
!TIl 
If 
an 
instrument requiring  a  power  source  is  to  be 
placed  inside the cabinet,  the cable 
can 
be 
led through 
the  access  port 
on 
the 
left  hand  side  of the  cabinet. 
After installation,  a  rubber cap  should 
be 
used 
to 
seal 
the  access 
port. 
Failure  to 
do 
this 
can 
affect  the 
temperature  uniformity  inside  the  cabinet  and  lead  to 
condensation 
on 
the outside of the access port. 
Caution for model with 
CE 
mark 
This unit is equipped with the circuit breaker 
on 
the 
back.  Make sure this breaker is switched ON 
before the unit is started to run. 
When 
the operation 
of 
the unit is stopped by this 
breaker, contact a dealer 
or 
a service station after 
disconnected the power supply plug. 
• 
Circuit 
breaker 
t:JZ::;:::r-
5 
Never disassemble,  repair,  or  modify the  unit 
yourself.  Any 
such 
work  carried  out 
by 
an 
unauthorized person  may result 
in 
fire 
or 
injury 
due 
to 
a malfunction. 
Disconnect  the  power  supply 
plug 
if there  is 
something  wrong  with  the  unit.  Continued 
abnormal operation may cause electric shock 
or fire . 
Connect the unit 
to 
a power source as indicated 
on 
the rating 
label 
attached 
to 
the unit.  Use of 
any  other voltage  or frequency  other than  that 
on 
the 
rating 
label 
may  cause  fire  or  electric 
shock. 

NAME AND FUNCTION OF PARTS 
.-. 
ii~r 
. 
..""''' 
-
-~ 
---
@ 
(Q) 
@ 
@ 
-
IIIII 
il 
' 
.. 
1 i 
"-
~ 
I 
, 
.. 
. 
MPR-311 D(H) 
([) 
Door 
Consists 
of 
double pair glass with heat 
ray 
reflection 
film. 
® Frame (Product unit) 
@  Fluorescent lamp 
20W 
white light.  For replacement,  refer to page 
13. 
@ Air circulating fan 
Circulate the cooled air 
in 
chamber. 
(Q) 
Air intake vent 
@ Air exhaust vent 
CD 
Monitoring hole 
This hole allows cables to be passed into the cabinet. 
@Lock 
® Circuit breaker install position 
,.. 
r-;c-
..L 
I 
6 
i 
i  @ 
; 
,  -
-® 
\lJ 
1-,@ 
I~@ 
® 
@Caster 
Drawer 
." 
_ 
.. 
_. 
__ 
.L~ 
-_._ 
.• 
__ 
.• 
--<. 
MPR-311DR(H) 
For moving 
of 
the unit.  At the time 
of 
installation, use 
the height adjusting screw to level the unit. 
® Height adjusting screw 
Adjust the height 
by 
screw bolt used to level and install 
the unit. 
@ Door switch (MPR-311 D(H) only) 
@ Temperature recorder install position 
@ Evaporating tray 
Place 
in 
rear bottom 
of 
the frame.  Pull out forward for 
removing. 
@Shelf 
@ Control panel 
® Thermometer (MPR-311 (H) only) 

NAME AND FUNCTION OF PARTS 
I Control panel 
® 
0' 
0' 
II 
II 
El 
0  0  0 
\,0 
"  0 
0" 
DEFROST 
"" 
~" 
" 
. -_:.All 
.. 
._. 
TeMP. 
CONTROL 
UGHT 
MPR·311(H) 
®@@ 
@  ® 
0' 
II 
sll 
AA 
El 
0  0  0  0  0 
0" 
~~ 
'ow 
"~ 
,~ 
DEFROST 
w,'m. 
o~. 
" 
.=. 
.~-
lEMPERATIJRE 
lEMP. 
CONTROL 
UGHT 
MPR·311D(H), MPR·311DR(H) 
cD 
Buzzer switch (BUZZER) 
By 
sliding this switch to OFF position, the buzzer can 
be silenced when the alarm is activated. 
® Defrost lamp (DEFROST) 
This lamp is lit during defrosting. 
@ High temperature alarm lamp (HIGH TEMP.) 
This lamp is lit during high temperature alarm condition. 
@  Door check lamp (DOOR) 
This lamp is lit when the door is open.  (MPR·311 D(H), 
MPR·311 DR(H)) 
@  Digital temperature display 
This indicator shows the chamber temperature or set 
temperature.  (MPR·311D(H), MPR·311DR(H)) 
7 
@ Set button (PUSH SET) 
The set temperature 
is 
displayed while this button is 
pressed. (MPR·311D(H), MPR·311DR(H)) 
r:v 
Temperature control knob 
This knob is for setting a desired temperature. 
® Fluorescent lamp switch (LIGHT) 
To turn 
on 
the light, keep 
on 
pressing this switch  until 
the both sides 
of 
a fluorescent lamp is lit.  To turn off 
the light,  press this switch again. 
® Power supply lamp 
This lamp is lit when the power is supplied to the unit. 
(MPR·311(H) only) 

BEFORE COMMENCING OPERATION 
Installation site 
To operate this unit property and 
to 
obtain maximum performance, install the unit 
in 
a location with the following 
conditions. 
<D 
A location not subjected to direct sunlight 
Installation 
in 
a  location  subjected 
to 
direct  sunlight 
may 
lead· 
to 
inadequate cooling. 
® A location with adequate ventilation 
Leave  at  least  10cm  around  the  unit  for  ventilation. 
Poor ventilation result 
in 
a reduction of the  refrigeration 
capability. 
@ A location far from heat generating sources 
Avoid  installing  the  unit  near  heat-emitting  appliances 
such  as  gas  ranges  or  stoves.  Heat 
can 
cause. 
inefficient refrigeration. 
@ A location with a sturdy and level floor 
&'WARNING 
o Be  sure to install the unit 
on 
a sturdy floor. 
If  the  floor  is  not  strong  enough  or  the 
installation  site 
is 
not  adequate,  this  may 
result 
in 
injury from the unit falling or tipping 
over. 
~CAUTION 
o Select  a  level  and  sturdy  floor  for 
installation.  This  precaution  prevents  the 
unit  from  tipping.  Improper  installation 
may  result 
in 
water spillage  or  injury  from 
the unit tipping over. 
Install the unit 
on 
a sturdy floor 
to 
avoid vibration 
and noise.  Placing the unit 
on 
an 
unsteady floor 
will cause vibration 
and 
noise. 
8 
@ A location not prone to high humidity 
&'WARNING 
'" 
Do 
not  use  the  unit  outdoors.  Current 
\.Y 
leakage  or electric shock  may  result  if the 
unit 
is 
exposed 
to 
rainwater. 
'" 
Never install the  unit 
in 
a humid  place  or a 
\.Y 
place  where  it is  likely  to 
be 
splashed 
by 
water.  Deterioration 
of 
the  insulation  may 
resultwhich could cause current leakage or 
electric shock. 
'" 
Do 
not install  the  unit  under the  piping  for 
\.Y 
water main  and lor vapor.  Deterioration of 
.  the  insulation  may  cause  current  leakage 
or electric shock. 
@ A location without a flammable 
or 
corrosive gas 
&'WARNING 
'" 
Never install  the  unit  near  a  flammable  or 
\.Y 
volatile  location.  This  may  cause 
explosion or fire. 
'" 
Never  install  the  unit  where  acid  or 
\.Y 
corrosive  gases  are  present  as  current 
leakage or electric shock may result due to 
corrosion. 

BEFORE COMMENCING OPERATION 
I Installation 
<D 
Remove 
the 
packaging materials and tapes 
Remove  all  transportation  packaging  materials 
and 
tapes.  Open  the  doors 
and 
ventilate  the  unit.  If the 
outside  panels  are  dirty,  clean  them  with  a 
mild 
detergent and rinse with water. 
® 
Adjust 
the 
height adjusting screws 
Extend 
the  height  adjusting  screws 
by 
rotating  them 
counterclockwise 
to 
contact them to 
the 
floor. 
lb 
JJ 
~I 
! 
0 
l/ 
e 
'\ 
./"~ 
Height 
adjusting 
screw 
@ Fix the 
unit 
Two hooks are attached 
to 
the 
rear of the cabinet.  Fix 
the  cabinet to  the  wall  with  these  hooks  and 
rope 
or 
chain. 
='"""-=-......,= 
-= 
-==~-
---:-~~. 
~ 
~" 
/ 
Hook 
9 
.  . . 
"' 
@Grounding 
&WARNING 
.. 
Use 
an 
outlet  with  ground 
to 
prevent 
velectric 
shock. 
In 
the  case  of 
no 
outlet 
with  ground,  it  is  necessary 
to 
provide 
ground 
by 
qualified engineers. 
Never ground  the  unit through  a gas pipe, 
o water main, telephone line or lightening 
rod. 
Such wiring may cause electric shock 
in 
the 
case 
of 
incomplete ground. 

AUTOMATIC TEMPERATUER RECORDER 
I Automatic temperature recorder (optional) 
To record the chamber temperature, an optional automatic temperature recorder is available.  Please consult with 
our sales department 
or 
agency for recorder installation. 
The available recorder model is MTR-0620LH.  Moreover, a mounting kit (MDF-53RO(H)) is also necessary for 
MPR-311 (H).  Refer to an instruction manual attached to a recorder for the recorder installation . 
.  1  Installation 
of 
temperature recorder 
Following shows the procedure for installing a temperature recorder to the unit MPR-311 D(H) and MPR-311 DR(H). 
(j) 
Take out a recorder from the package.  Make sure 
to keep the instruction manual and warranty card 
in 
an 
accessible place. 
@ Remove the mounting panel by opening and lifting it 
up. 
.'"-.... 
® Wire the harness provided with the recorder properly 
as shown 
in 
the figure. 
@ Remove the cover from the mounting panel. 
® Fix the recorder to the mounting panel with two 
screws. 
10 
® Install the mounting panel. 
r:J) 
Route the recorder sensor into the chamber 
by 
passing through the monitoring hole 
on 
the back side. 
@ After installation, power 
on 
the unit.  Check that the 
temperature alarm is operated properly when the 
temperature indicator needle (yellow) is matched to the 
upper limit temperature alarm needle (red). 
Setting 
of 
iemperature alarm needle 
Open the cover and set the upper limit temperature 
alarm needle (red) and lower limit temperature alarm 
needle (blue) manually to the required temperature 
on 
the scale.  Both the upper and lower alarm needles 
should be set at least 
3°C 
apart from the set 
temperature 
of 
the thermostat. 
Upper limit temperature = set tem perature of the 
thermostat plus more than 
3°C 
Lower  limit  temperature  =  set  temperature 
of 
the 
thermostat minus more than 
3°C 

START-UP OF UNIT 
The following procedure should 
be 
adhered to for initial start-up and continuous operation. 
<D 
Connect unit to dedicated power supply.  Do not put 
any 
product 
in 
the unit 
at 
this time. 
® When the  power 
is 
initially applied, the audible alarm 
may sound.  Set the BUZZER switch to OFF to silence 
the alarm. 
@ Set the desired temperature. 
Handling 
of 
the containers 
@ Check that the chamber temperature has reached to 
the desired temperature. 
@ 
When 
you  are  satisfied  that  the  unit 
is 
working 
correctly, begin slowly placing product into the chamber 
to minimize the temperature rise. 
Arrange containers not to disturb air circulation 
in 
the unit.  Disturbance 
of 
air circulation  may cause freeze 
of 
containers or incline 
of 
temperature. 
<D 
Air 
intake 
vent 
Avoid  the  disturbance 
of 
air circulation 
in 
the  unit 
by 
containers.  Disturbance 
of 
air circulation may causes 
freeze 
of 
containers or incline 
of 
temperature. 
® 
Air 
exhaust 
vent 
Do 
not disturb the exhaust air port 
by 
putting containers 
near the exhaust air port.  Containers near the exhaust 
air  port  may  freeze  when  the  unit  runs  with  low 
temperature (less than 
5°C). 
Note: 
Never store the  material  of corrosive  such 
as 
acid  or 
alkaline 
of 
which container is not sealed 
up 
completely. 
It may cause poor cool 
by 
refrigerant leakage resulted 
from corrosion 
of 
the evaporator. 
~I 
_D_ef_r_os_t_c~y_c_le_s 
______________________________ 
~1 
There are two types 
of 
defrost cycles present 
in 
this blood bank refrigerator, and both cycles occur automatically. 
1.  Cycle 
defrost 
To keep the temperature stable inside the chamber, the 
refrigeration  compressor 
is 
cycled 
on 
and  off.  During 
the  "off'  periods 
any 
frost which  has  accumulated  on 
the  refrigeration  coils 
is 
melted 
by 
energizing  a  small 
heater,  this  will  not have any discernable effect on  the 
chamber temperature. 
11 
2. 
Forced 
defrost 
When  ambient  humidity 
is 
high,  or a  large  amount 
of 
damp  product 
is 
being  stored  inside  the  refrigerator, 
there  is  a  possibility  that  cycle  defrost  may  not  be 
enough  to remove  all 
of 
the  frost 
on 
the  refrigeration 
coils.  In  this  case,  a  forced  defrost  cycle  will  be 
initiated.  While  the  unit 
is 
operating  under a  forced 
defrost cycle, the defrost lamp on  the control panel will 
be  lit.  Once  the  forced  defrost  cycle 
is 
complete, 
normal  operation  will  resume.  The  chamber 
temperature rises to about 
10°C 
during the defrosting. 

.-; 
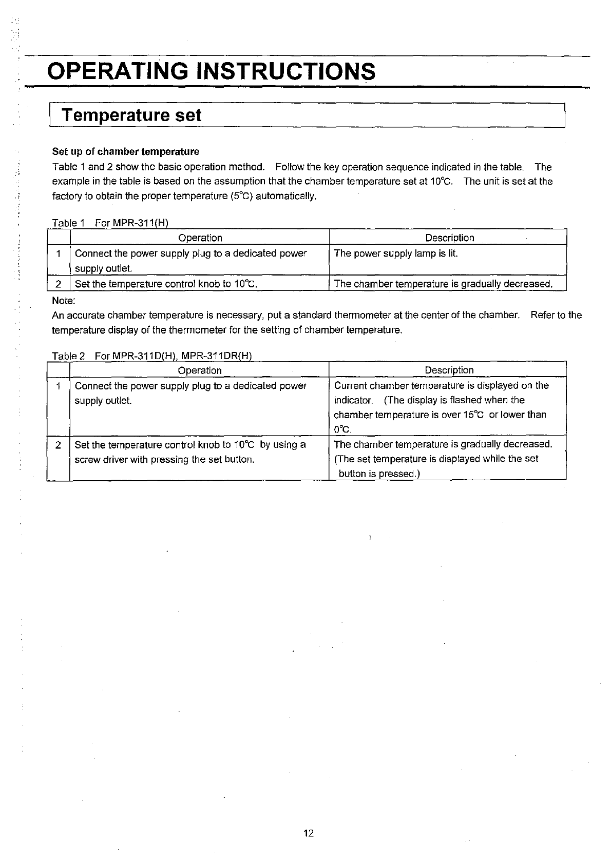
OPERATING INSTRUCTIONS 
I Temperature set 
Set 
up 
of 
chamber 
tern perature 
Table 1 and 2 show the basic operation method.  Follow the key operation sequence indicated 
in 
the table.  The 
example 
in 
the table is based on the assumption that the chamber temperature set at 1 
GOC. 
The unit is set at the 
factory to obtain the proper temperature (5°C) automatically. 
Table 1  For MPR-311 (H) 
Operation  Description 
1  Connect the power supply plug to a dedicated power  The power supply lamp is lit. 
supply outlet. 
2  Set the temperature control knob to  1 
GOC. 
The chamber temperature is gradually decreased. 
Note: 
An accurate chamber temperature is necessary, put a standard thermometer at the center 
of 
the chamber.  Refer to the 
temperature display 
of 
the thermometer for the setting 
of 
chamber temperature. 
Table 2  For MPR-311 D(H), MPR-311 DR(H) 
Operation  Description 
1  Connect the power supply plug to a dedicated power  Current chamber temperature is displayed 
on 
the 
supply outlet.  indicator.  (The display is flashed when the 
chamber tem perature is over 
15°C 
or 
lower than 
aOc. 
2  Set the temperature control knob to 1 
GOC 
by using a  The chamber temperature is gradually decreased. 
screw driver with pressing the set button.  (The set temperature is displayed while the set 
button is pressed.) 
12 

OPERATING INSTRUCTIONS 
I Alarm, Safety function and Self diagnostic function 
This unit has the alarm and safety functions shown 
in 
Table 3 and Table 
4, 
and also a self diagnostic function. 
Table 3  Alarm and safety functions (MPR-311  H)) 
Alarm 
or 
safety  Situation  Indication  Buzzer  Safety operation 
High temp. alarm 
The 
chamber temp. is  High temp. alarm lamp is  Pulse tone  ~----
more than about 20°C.  lit. 
Low temp. alarm  The chamber temp. is less  Defrost lamp is lit.  Pulse tone 
-----
than about 
_2°C. 
Note:  The alarm buzzer can be canceled 
by 
turning the buzzer switch to OFF. 
Table 4  Alarm and safety functions (MPR-311 D(H), MPR-311 DR(H)) 
Alarm 
or 
safety  Situation  Indication  Buzzer  Safety operation 
High temp. alarm 
The 
chamber temp. is  Temperature display is  Pulse tone 
more than 15°C.  fiashed. 
-----
The 
chamber temp. is  High temp. alarm lamp is  Pulse tone 
more than about 20°C.  lit. 
Low temp. alarm 
The 
chamber temp. is less  All digits on the temp.  Pulse tone 
than 
DOC. 
display are flashed. 
-----
The 
chamber temp. is less  Defrost lamp is lit.  Pulse tone 
than about 
_2°C. 
Door alarm 
When 
the door is opened.  Door check lamp is lit.  Pulse tone after 
----
delay 
of 
30 
seconds 
Thermal sensor  If the thermal sensor is 
E1 
and chamber temp. is  Pulse tone  Running with 
abnormality  disconnected.  displayed alternately.  defrost sensor 
If the thermal sensor is  E2 and  chamber temp. is  Pulse tone  Running with 
short circuited.  displayed alternately.  defrost sensor 
If 
the defrost sensor is  E3 and chamber temp. is 
-----
---
disconnected.  displayed alternately. 
If 
the defrost sensor is  E4 and chamber temp. is  -----
----
short circuited.·  displayed alternately. 
Note:  The alarm buzzer can be canceled by turning the buzzer switch to OFF. 
13 

MAINTENANCE 
&WARNING 
.. 
Disconnect  Always 
~ 
supply  to  the  unit 
maintenance  of  the 
disconnect  the  power 
prior  to  any  repair  or 
unit 
in 
order  to  prevent 
electric shock or injury. 
Cleaning 
G)  Clean  this  unit  once  a  month.  Regular  cleaning 
keeps the unit looking 
new. 
®  Use a dry cloth 
to 
wipe off small amounts of dirt 
on 
the  outside and  inside of the  unit 
and 
all  accessories. 
If 
the unit 
is 
very dirty,  use a neutral detergent. 
® After  cleaning,  wipe  away  the  cleaner  completely 
with a cloth washed 
by 
clean water. 
'" 
Ensure 
you 
do 
not  inhale  or  consume 
\.y 
medication  or aerosols  from  around  the  unit a 
. the  time  of  maintenance.  These  may 
be 
harmful to your health. 
@  Never pour water  onto  or  into  the  unit.  Doing 
so 
can 
damage  the  electrical  insulation  and  may  cause 
electric shock or short circuit. 
@ 
The 
compressor 
and 
other  mechanical  parts 
are 
completely  sealed.  This  unit  requires  absolutely 
no 
lubrication.  There 
is 
a 
fan 
behind  the  compressor, 
so 
be 
very careful 
if 
you 
stick your 
hand 
into this part of 
the 
unit. 
Replacement 
of 
fluorescent light 
G)  Disconnect the power supply plug. 
® Remove all shelves or drawers. 
® Remove the two screws fixing the lamp shade. 
@ Pull the fluorescent light downwards and take it 
out. 
@ Replace the light. 
@ After the replacement,  install the shade 
to 
it 
original 
position. 
Cleaning 
of 
evaporating tray 
G) Clean  the  evaporation  tray twice or three times 
in 
a 
year.  The  evaporating  tray  is  placed 
in 
the  rear 
and 
bottom side 
of 
the unit. 
® Remove the fix plate 
by 
pulling the clip towards front. 
® 
Pull 
the  evaporating  tray  towards  front 
and 
clean  it 
completely. 
@ After the cleaning,  replace the fix plate 
to 
its original 
position. 
14 

TROUBLE SHOOTING 
If 
the unit malfunctions, check out the following before calling for service. 
1. 
If 
nothing operates even when switched 
on 
1) 
Is unit connected to the power supply? 
2)  Is there a power failure? 
3) 
Is the fuse blown.or the circuit breaker inactivated? 
2.  When alarm is activated 
When alarm lamp and buzzer are activated, follow 
procedures, to determine a cause. 
1)  On start-up 
Does the temperature 
in 
the unit match set value?  . 
2) 
In 
use 
Was 
the door kept opened for long time?  Were 
containers 
of 
high temperature (load) put 
in 
the unit? 
In 
this case, alarm is removed automatically by running 
the unit for several hours. 
3. 
When unit does not get cold enough 
1)  Is air exhaust vent blocked 
up 
with containers? 
2) 
Was 
a large amount 
of 
warm product put 
in 
the 
unit? 
3) 
Is there nearly heat source? 
4)  Is the door opened frequently? 
5) 
Is ambient temperature too high? 
6)  Is the unit 
in 
direct sunlight? 
7) 
8) 
Is the door securely closed? 
Is 
the 
door 
seal 
damaged 
or 
foreign 
substance 
inserted 
between 
door 
gaskets? 
ENVIRONMENTAL CONDITIONS 
This equipment is designed to be safe at least under Ihe following conditions: 
1. 
Indoor use; 
2. 
Altitude up to 2000 
m; 
3. 
Ambient temperature 
5°C 
to 40°C; 
4.  Maximum  relative  humidity 80%  for temperature 
up 
to 
31°C 
decreasing linearly to  50% relative  humidity at 
40°C; 
DISPOSAL OF  UNIT 
5. 
Mains  supply  voltage  fluctuations 
as 
stated  by  the 
manufacturer; 
6.  Transient  overvoltages  according  to  Installation 
Categories  (Overvoltage  Categoires) 
II; 
For  mains 
supply the minimum and normal category is 
II; 
7. 
Pollution degree 2 
in 
accordance with IEC 664. 
LtWARNING 
O 
When the unit is stored 
in 
an 
unsupervised area for an extended period, ensure that children 
do 
not have 
access and make sure the doors cannot be closed completely. 
O 
The  disposal  of the  unit  should  be  undertaken  by  appropriate  personnel.  Always  remove  doors  to 
prevent accidents such as suffocation. 
15 

SPECIFICATIONS 
Name  Pharmaceutical Refrigerator 
Model  MPR-311(H)  MPR-311 D(H)  • MPR-311DR(H) 
External dimensions  W800 x D450x H1800 (mm) 
Internal dimensions  W720 x D350x H1435 (mrn) 
Effective capacity  340 L 
Exterior  Acrylic finish baked on zinc galvanized steel 
Interior  Acrylic finish baked on zinc galvanized steel  Stainless steel 
Door  Double layer pair glass/steel plate, Heat ray reflection film, 4 doors 
Insulation  Rigid polyurethane foamed-in place (CFC-FREE) 
Shelves  5 
pcs. 
(MPR-311 DR(H); 3 drawers) 
Cooling method  Forced cool air circulation 
Compressor  Hermetic type,  Motor output; 160 W 
Fan 
motor  Output; 1 W 
Condenser  Fin tube type 
Evaporator  Wire tube type 
Refrigerant  R-412A (TP5R) 
Defrosting  Forced type,  Fully automatic 
Defrost heater  114 W 
Temperature controller  Electronic control system  Microprocessor control system 
Thermometer  Alcohol type  Digital type 
Fluorescent light  White light 20 W x 1 
High temp. alarm  Buzzer,  High  temp. alarm lamp 
ON 
Buzzer, High temp. alarm.lamp 
ON, 
Flash 
of 
display 
Low temp. alarm  Buzzer, Defrost lamp 
ON 
Buzzer, Defrost lamp ON,  Flash 
of 
display 
Door alarm 
-----
Door check lamp ON, 
Buzzer after delay 
of 
30 seconds 
Accessories  Key;  1set, Bottom plate; 1 
pc. 
Shelf; 5 pcs.  (MPR,311DR(H); 3 drawers) 
Option  Automatic temperature recorder MTR-0620LH) 
Weight 
90 
Kg 
,  90 
Kg 
(MPR-311 
D(H» 
95 
K~ 
(MPR-311DR(H)) 
PERFORMANCE 
Model 
MPR-311(H)' 
MPR-161D(H) • MPR-311DR(H) 
Temperature control range  +2°C  to +14°C 
Usable ambient temperature 
_10°C 
to +35°C 
Noise level  38 dB(A scale) 
Maximum pressure  1646 kPa 
Rated voltage  AC 110V 
AC 
115V  AC 220V  AC 220 to 240 V 
Rated frequency  60 Hz  60 Hz  60 Hz  50 Hz 
Rated power consumption 
193W 
193 W 
193W 
181 
W 
Note: 
Design 
or 
specifications will 
be 
changed without notice. 
16 

&  CAUTION 
Please fill 
in 
this form  before servicing. 
Hand over this form to the service engineer to keep for his 
and 
your safety. 
Safety 
check 
sheet 
1. 
Refrigerator contents: 
DYes 
DNo 
Risk 
of 
infection: 
DYes 
DNo 
Risk 
of 
toxicity: 
DYes 
DNo 
Risk from radioactive sources: 
DYes 
DNo 
(List all potentially hazardous materials that have been stored 
in 
this unit.) 
Notes: 
2. 
Contamination 
of 
the unit 
Unit interior 
DYes 
DNo 
No 
contamination 
DYes 
DNo 
Decontaminated 
DYes 
DNo 
Contaminated 
DYes 
DNo 
Others: 
3. 
Instructions for safe repair/maintenance of the unit 
a) The unit is safe to work on 
DYes 
DNo 
b) 
There is some danger (see below) 
DYes 
DNo 
Procedure to 
be 
adhered to 
in 
order to reduce safety risk indicated 
in 
b) 
below. 
Date: 
Signature: 
Address,  Division: 
Telephone: 
Product 
name: 
Pharmaceutical 
Refrigerator 
Model: 
MPR-311 
(H) 
MPR-311D(H) 
MPR-311DR(H) 
Serial number: 
Please decontaminate the unit yourself before calling the service engineer. 
17 
Date 
of Installation: 
I 

"  i 
t 
'j 
! 
"-j 
'I 
7FB6P10124000 
SANYO Electric Co.,  Ltd. 
Refrigerating Products Division 
1-1-1, Sakata Oizumi-Machi, 
Ora-Gun, Gunma 370-0596 Japan 
Printed 
in 
Japan