Scully Signal HHP Hand Held Programmer User Manual SECTION 2 INSTALLATION
Scully Signal Company Hand Held Programmer SECTION 2 INSTALLATION
UserManual.wiki
>
Scully Signal
>
HHP User Manual
>
SECTION 2 INSTALLATION HTML Version
Contents
1.
SECTION 1 DESCRIPTION
2.
SECTION 2 INSTALLATION
3.
SECTION 3 CONFIGURATION
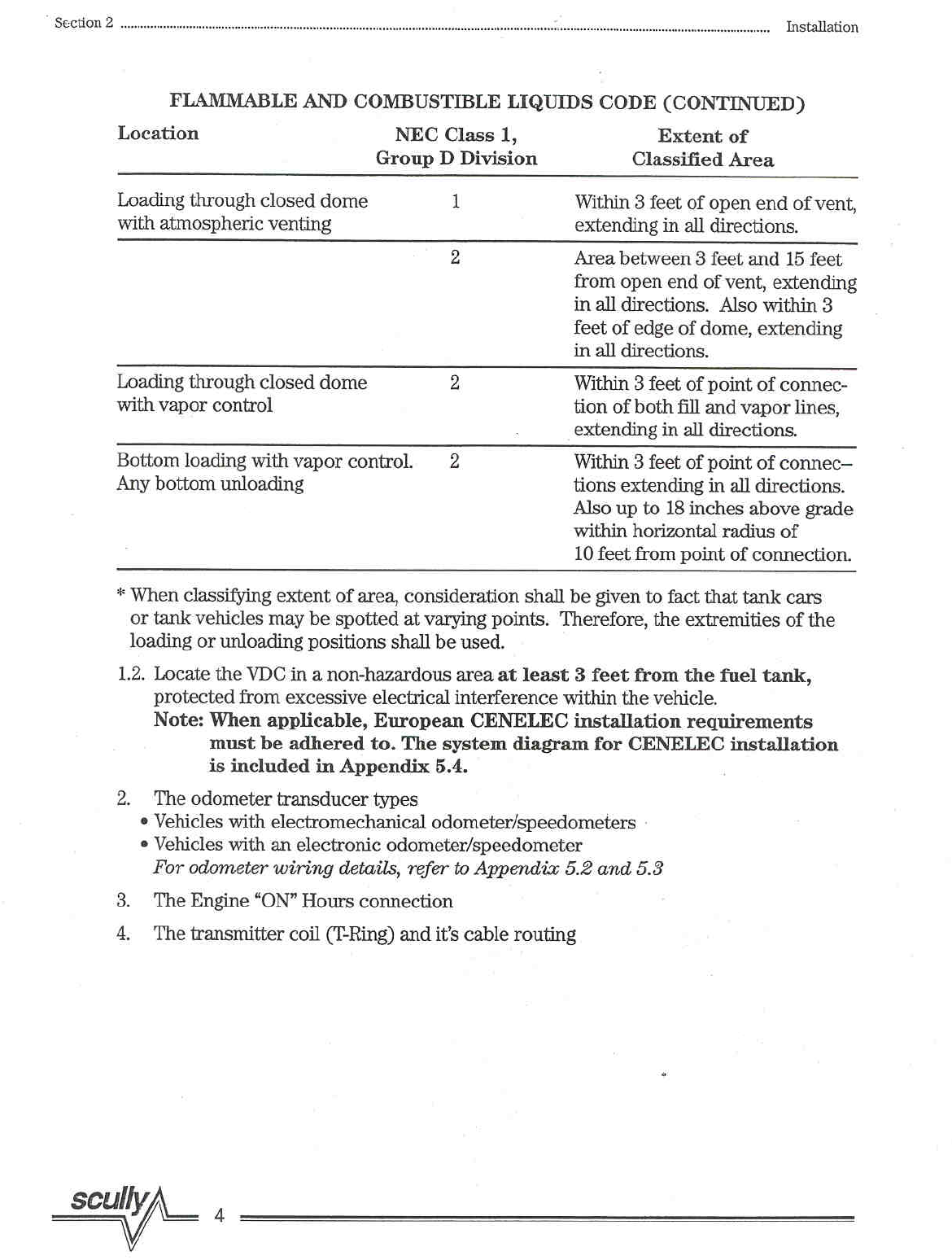
SECTION 2 INSTALLATION
Navigation menu
Upload a User Manual
Namespaces
Wiki Guide
HTML
PDF
Info
Views
User Manual
Discussion / Help
Navigation