Seiko Epson FBP113A User Manual 72808
Seiko Epson Corporation 72808
UserManual.wiki
>
Seiko Epson
>
FBP113A User Manual HTML Version
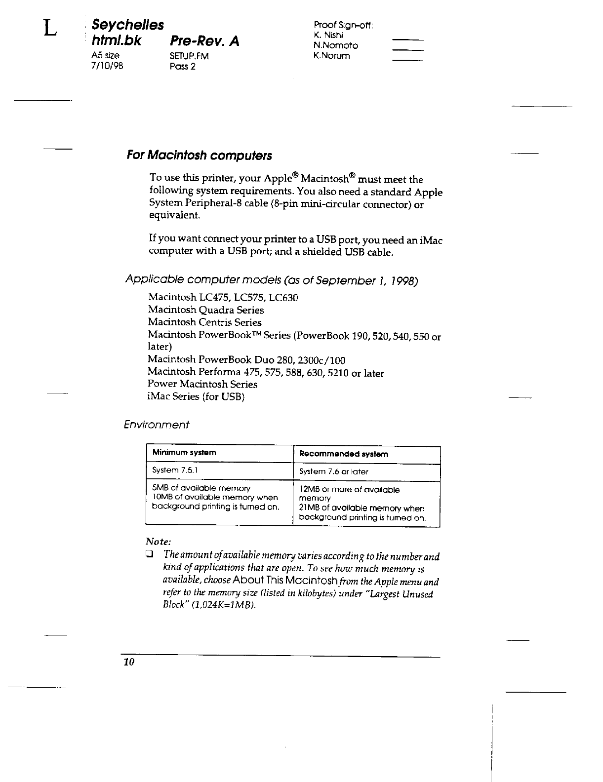
8
Navigation menu
Upload a User Manual
Namespaces
Wiki Guide
HTML
PDF
Info
Views
User Manual
Discussion / Help
Navigation