Contents
- 1. Users Manual Part 1
- 2. Users Manual Part 2
Users Manual Part 1

simatic sensors
System Manual Edition 05/2005
RFID-SYSTEMS
SIMATIC RF 300

Safety Guidelines
This manual contains notices you have to observe in order to ensure your personal safety, as well as to prevent
damage to property. The notices referring to your personal safety are highlighted in the manual by a safety alert
symbol, notices referring to property damage only have no safety alert symbol. These notices shown below are
graded according to the degree of danger.
Danger
indicates that death or severe personal injury will result if proper precautions are not taken.
Warning
indicates that death or severe personal injury may result if proper precautions are not taken.
Caution
with a safety alert symbol, indicates that minor personal injury can result if proper precautions are not taken.
Caution
without a safety alert symbol, indicates that property damage can result if proper precautions are not taken.
Notice
indicates that an unintended result or situation can occur if the corresponding information is not taken into
account.
If more than one degree of danger is present, the warning notice representing the highest degree of danger will
be used. A notice warning of injury to persons with a safety alert symbol may also include a warning relating to
property damage.
Qualified Personnel
The device/system may only be set up and used in conjunction with this documentation. Commissioning and
operation of a device/system may only be performed by qualified personnel. Within the context of the safety notes
in this documentation qualified persons are defined as persons who are authorized to commission, ground and
label devices, systems and circuits in accordance with established safety practices and standards.
Prescribed Usage
Note the following:
Warning
This device may only be used for the applications described in the catalog or the technical description and only in
connection with devices or components from other manufacturers which have been approved or recommended
by Siemens. Correct, reliable operation of the product requires proper transport, storage, positioning and
assembly as well as careful operation and maintenance.
Trademarks
All names identified by ® are registered trademarks of the Siemens AG. The remaining trademarks in this
publication may be trademarks whose use by third parties for their own purposes could violate the rights of the
owner.
Copyright Siemens AG . All rights reserved.
The distribution and duplication of this document or the utilization and transmission of its
contents are not permitted without express written permission. Offenders will be liable for
damages. All rights, including rights created by patent grant or registration of a utility
model or design, are reserved.
Disclaimer of Liability
We have reviewed the contents of this publication to ensure consistency with the
hardware and software described. Since variance cannot be precluded entirely, we cannot
guarantee full consistency. However, the information in this publication is reviewed
regularly and any necessary corrections are included in subsequent editions.
Siemens AG
Automation and Drives
Postfach 4848, 90327 Nuremberg, Germany
Siemens AG 2005
Technical data subject to change
Siemens Aktiengesellschaft --
RF 300
System Manual, 05/2005, (4)J31069 D0166-U001-A1-7618, -- iii
Table of contents
1 Introduction............................................................................................................................................. 1-1
1.1 Navigating in the system manual............................................................................................... 1-2
2 Safety information................................................................................................................................... 2-1
3 System overview..................................................................................................................................... 3-1
3.1 RFID systems............................................................................................................................. 3-1
3.2 RF 300 ....................................................................................................................................... 3-2
3.2.1 RF 300 application areas ........................................................................................................... 3-2
3.2.2 RFID components and their function ......................................................................................... 3-3
3.2.3 Technical data............................................................................................................................ 3-4
4 RF 300 system planning ......................................................................................................................... 4-1
4.1 Fundamentals of application planning .......................................................................................4-1
4.1.1 Transmission window and read/write distance .......................................................................... 4-2
4.1.2 Width of the transmission window.............................................................................................. 4-3
4.1.3 Impact of secondary fields ......................................................................................................... 4-3
4.1.4 Permissible directions of motion of the transponder.................................................................. 4-4
4.1.5 Operation in static and dynamic mode ...................................................................................... 4-5
4.1.6 Dwell time of the transponder .................................................................................................... 4-6
4.1.7 Communication between communication module, reader and transponder ............................. 4-7
4.1.8 Calculation example................................................................................................................... 4-9
4.2 Field data of transponders and readers................................................................................... 4-12
4.3 Impact of the data volume on the transponder speed with RF 310-R (IQ-Sense) .................. 4-13
4.4 Installation guidelines............................................................................................................... 4-14
4.4.1 Overview .................................................................................................................................. 4-14
4.4.2 Reduction of interference due to metal.................................................................................... 4-15
4.4.3 Effects of metal on different transponders and readers........................................................... 4-18
4.4.4 Impact on the transmission window by metal .......................................................................... 4-19
4.5 Chemical resistance of the transponders ................................................................................ 4-21
4.6 EMC Guidelines ....................................................................................................................... 4-26
4.6.1 Overview .................................................................................................................................. 4-26
4.6.2 Definition .................................................................................................................................. 4-27
4.6.3 Basic rules................................................................................................................................ 4-28
4.6.4 Propagation of electromagnetic interference ........................................................................... 4-29
4.6.5 Cabinet configuration ............................................................................................................... 4-32
4.6.6 Prevention of interference sources .......................................................................................... 4-35
4.6.7 Equipotential bonding .............................................................................................................. 4-36
4.6.8 Cable shielding......................................................................................................................... 4-37

Table of contents
RF 300
iv System Manual, 05/2005, (4)J31069 D0166-U001-A1-7618, --
5 Readers.................................................................................................................................................. 5-1
5.1 RF 310-R.................................................................................................................................... 5-2
5.1.1 Features ..................................................................................................................................... 5-2
5.1.2 Indicators.................................................................................................................................... 5-2
5.1.3 Transmission window................................................................................................................. 5-3
5.1.4 Metal-free area........................................................................................................................... 5-3
5.1.5 Minimum distance between several RF 310-R units ................................................................. 5-4
5.1.6 RF 310-R field data .................................................................................................................... 5-4
5.1.7 Pin assignment of the IQ-Sense interface .................................................................................5-5
5.1.8 Cable and connector pin assignment......................................................................................... 5-5
5.1.9 Technical data of the RF 310-R ................................................................................................. 5-6
5.1.10 FCC information ......................................................................................................................... 5-7
5.1.11 RF 310-R ordering data ............................................................................................................. 5-7
5.1.12 Dimension drawing..................................................................................................................... 5-8
6 Transponder/tags.................................................................................................................................... 6-1
6.1 RF 320-T .................................................................................................................................... 6-2
6.1.1 Features ..................................................................................................................................... 6-2
6.1.2 Metal-free area........................................................................................................................... 6-3
6.1.3 Field data.................................................................................................................................... 6-4
6.1.4 Technical data............................................................................................................................ 6-5
6.1.5 Ordering data ............................................................................................................................. 6-6
6.1.6 Dimension drawing..................................................................................................................... 6-6
6.2 RF 340-T .................................................................................................................................... 6-7
6.2.1 Features ..................................................................................................................................... 6-7
6.2.2 Metal-free area........................................................................................................................... 6-8
6.2.3 Field data.................................................................................................................................... 6-9
6.2.4 Technical data.......................................................................................................................... 6-10
6.2.5 Ordering data ........................................................................................................................... 6-11
6.2.6 Dimension drawing................................................................................................................... 6-11
7 Communication modules ........................................................................................................................ 7-1
7.1 8xIQ-Sense ................................................................................................................................ 7-2
7.1.1 Features ..................................................................................................................................... 7-2
7.1.2 Indicators.................................................................................................................................... 7-3
7.1.3 Configuration.............................................................................................................................. 7-4
7.1.4 Addressing ................................................................................................................................. 7-5
7.1.5 Technical data............................................................................................................................ 7-7
7.1.6 Ordering data ............................................................................................................................. 7-7
8 Accessories ............................................................................................................................................ 8-1
8.1 MOBY software .......................................................................................................................... 8-1
A Appendix.................................................................................................................................................A-1
A.1 Certificates and approvals..........................................................................................................A-1
A.2 Service and support ...................................................................................................................A-3
A.3 Contact partners.........................................................................................................................A-3
A.4 Application consulting ................................................................................................................A-4
A.5 Training ......................................................................................................................................A-4
List of abbreviations.................................................................................................................... Glossary-1
Glossary ..................................................................................................................................... Glossary-1
Index

Table of contents
RF 300
System Manual, 05/2005, (4)J31069 D0166-U001-A1-7618, -- v
Tables
Table 4-1 Reduction of field data by metal (in %): Transponder and RF 310-R...................................... 4-20
Table 4-2 Interference sources: origin and effect .................................................................................... 4-30
Table 4-3 Causes of coupling paths......................................................................................................... 4-31
Table 5-1 RF 310-R indicators ................................................................................................................... 5-2
Table 5-2 RF 310-R pin assignment .......................................................................................................... 5-5
Table 5-3 Technical data of the RF 310-R ................................................................................................. 5-6
Table 6-1 Field data for transponder RF 320-T to reader RF 310-R ......................................................... 6-4
Table 6-2 Field data for transponder RF 320-T to RF 320-T ..................................................................... 6-4
Table 6-3 Technical data of the RF 320-T ................................................................................................. 6-5
Table 6-4 Field data for transponder RF 340-T to reader RF 310-R ......................................................... 6-9
Table 6-5 Transponder RF 340-T to transponder RF 340-T...................................................................... 6-9
Table 6-6 Technical data of the RF 340-T ............................................................................................... 6-10

Table of contents
RF 300
vi System Manual, 05/2005, (4)J31069 D0166-U001-A1-7618, --

RF 300
System Manual, 05/2005, (4)J31069 D0166-U001-A1-7618, -- 1-1
Introduction 1
Purpose of this document
This system manual contains all the information needed to plan and configure the system.
It is intended both for programming and testing/debugging personnel who commission the
system themselves and connect it with other units (automation systems, further
programming devices), as well as for service and maintenance personnel who install
expansions or carry out fault/error analyses.
Scope of validity of this document
This documentation is valid for all supplied variations of the SIMATIC RF 300 system and
describes the state of delivery as of May 2005.
Conventions
The following terms/abbreviations are used synonymously in this document:
• Reader, read/write device, SLG
• Tag, transponder, mobile data memory, MDS
• Communication module, interface module, ASM
History
Previous editions of these operating instructions:
Edition Remarks
05/2005 First Edition
Declaration of conformity
The EC declaration of conformity and the corresponding documentation are made available
to authorities in accordance with the EC directives stated above. Your sales representative
can provide these on request.
Observance of installation guidelines
The installation guidelines and safety instructions given in this documentation must be
followed during commissioning and operation.

Introduction
1.1 Navigating in the system manual
RF 300
1-2 System Manual, 05/2005, (4)J31069 D0166-U001-A1-7618, --
1.1 1.1 Navigating in the system manual
Structure of contents Contents
Contents Organization of the documentation, including the index of pages and chapters
Introduction Purpose, layout and description of the important topics.
Safety information Refers to all the valid technical safety aspects which have to be adhered to while installing,
commissioning and operating the product/system and with reference to statutory
regulations.
System overview Overview of all RF identification systems, system overview of SIMATIC RF 300
RFID system planning Information about possible applications of SIMATIC RF 300, support for application
planning, tools for finding suitable SIMATIC RD 300 components.
Readers Description of readers which can be used for SIMATIC RF 300
Transponders Description of transponders which can be used for SIMATIC RF 300
Communication modules Description of communication modules used for SIMATIC RF 300
Accessories Products available in addition to SIMATIC RF 300
Appendix Service and support, contact partners, training centers
Error messages Overview of error messages
List of abbreviations List of all abbreviations used in the document

RF 300
System Manual, 05/2005, (4)J31069 D0166-U001-A1-7618, -- 2-1
Safety information 2
Caution
Please observe the safety instructions on the back cover of this documentation.
SIMATIC RFID products comply with the salient safety specifications to IEC, VDE, EN, UL
and CSA. If you have questions about the admissibility of the installation in the designated
environment, please contact your service representative.
Caution
Alterations to the devices are not permitted.
Failure to observe this requirement shall constitute a revocation of the radio equipment
approval, CE approval and manufacturer's warranty.
Repairs
Repairs may only be carried out by authorized qualified personnel.
Warning
Unauthorized opening of and improper repairs to the device may result in substantial
damage to equipment or risk of personal injury to the user.

Safety information
RF 300
2-2 System Manual, 05/2005, (4)J31069 D0166-U001-A1-7618, --
System expansion
Only install system expansion devices designed for this device. If you install other upgrades,
you may damage the system or violate the safety requirements and regulations for radio
frequency interference suppression. Contact your technical support team or your sales outlet
to find out which system upgrades are suitable for installation.
Caution
If you cause system defects by installing or exchanging system expansion devices, the
warranty becomes void.

RF 300
System Manual, 05/2005, (4)J31069 D0166-U001-A1-7618, -- 3-1
System overview 3
3.1 3.1 RFID systems
RFID systems from Siemens control and optimize material flow. They identify reliably,
quickly and economically, are insensitive to contamination and store data directly on the
product.
Identification system Frequency Max. range Max.
memory
Data
transfer rate
(typical) in
byte/s
Max.
temperature
Special features
RF 300 13.56 MHz 0.25 m 20 byte
EEPROM
64 KB
FRAM
3750 SLG: -25 °C
to +70 °C
MDS: -40 °C
to +85 °C
or
+ 220 °C
cyclic
IQ-Sense interface
available;
Battery-free data
memory
MOBY F 125 kHz 0.4 m 192 byte
EEPROM
100 +130 °C Multitag capability
MOBY D 13.56 MHz 0.8 m 112 byte
EEPROM
110 + 85 °C or
+ 200 °C
SmartLabels based
on ISO 15693
e.g. Tagit/Icode
MOBY E 13.56 MHz 0.1 m 752 byte
EEPROM
350 + 150 °C Battery-free data
memory
MOBY I 1.81 MHz 0.15 m 32 KB
FRAM
1250 + 85 °C or
+ 220 °C
cyclic
Battery-free data
memory
MOBY U 2.45 GHz 3.0 m 32 KB RAM 4800 + 85 °C or
+ 220 °C
cyclic
Frequency hopping

System overview
3.2 RF 300
RF 300
3-2 System Manual, 05/2005, (4)J31069 D0166-U001-A1-7618, --
3.2 3.2 RF 300
SIMATIC RF 300 is an inductive identification system specially designed for use in industrial
production for the control and optimization of material flow. Thanks to its compact
components it is particularly suited to small assembly lines and conveyor systems with
restricted space for installation. The rugged components feature an attractive
price/performance ratio.
3.2.1 RF 300 application areas
SIMATIC RF 300 is used primarily for contactless identification of containers, pallets and
workpiece carriers in a closed production loop, i.e. the data carriers (transponders) remain in
the production chain and are not shipped out with the products. Thanks to the compact
enclosure dimensions of both the transponders and readers, SIMATIC RF 300 is particularly
suitable for (small) assembly lines where space is at a premium.
The main application areas of SIMATIC RF 300 are:
• Assembly and handling systems, assembly lines (identification of workpiece carriers)
• Production logistics (material flow control, identification of containers and other vessels)
• Parts identification (e.g. transponder is attached to product/pallet).
• Conveyor systems

System overview
3.2 RF 300
RF 300
System Manual, 05/2005, (4)J31069 D0166-U001-A1-7618, -- 3-3
3.2.2 RFID components and their function
RF 300 system components
6HULDODV\QFKURQRXVLQWHUIDFH5656
5)7 5)7
3RZHUDQGGDWDWUDQVPLVVLRQ0+]
5)5
,46HQVHLQWHUIDFH
+DQG
WHUPLQDO
[,46HQVHIRU(70
RQ6ZLWK)&
3&LQWHUIDFHWKLUGSDUW\3/&
$60IRU
6,0$7,&6
$60IRU
352),%86'39
5)7 5)7 5)7 5)7
5)5 5)5 5)5 5)5
Communication
modules
A communication module (interface module) is used to integrate the RF identification system in
PLC/automation systems. In the case of SIMATIC RF 300, the reader is connected to an S7 automation
system either via the 8xIQ-Sense module or an equivalent MOBY interface module (e.g. ASM 475).
Readers The reader ensures inductive communication, supplies power to the transponders, and handles the
connection to the various PLCs (e.g. SIMATIC S7).
Transponders Transponders (mobile data memories) are used, for example, in place of barcodes and can contain all
product-specific data in addition to the product number.

System overview
3.2 RF 300
RF 300
3-4 System Manual, 05/2005, (4)J31069 D0166-U001-A1-7618, --
3.2.3 Technical data
RFID system RF 300
Type Inductive identification system for industrial
applications
Transmission frequency data/energy 13.56 MHz
Memory capacity 20 bytes up to 64 KB user memory (r/w)
4 bytes fixed code as serial number (ro)
Memory type EEPROM / FRAM
Write cycles EEPROM: > 100 000
FRAM: Unlimited
Read cycles Unlimited
Data management Byte-oriented access
Data transfer rate Transponder-Reader 3 KB/s
Read/write distance (system limit; depends on
reader and transponder)
Up to 250 mm
Operating temperature Reader: -25°C to +70°C
Transponder: -40°C to +85°C
and up to +220°C cyclic
Degree of protection Reader: IP 65
Transponder: > IP 67
Can be connected to SIMATIC S7-300, Profibus DP V1,
PC, third-party PLC
Special features High noise immunity
Compact components
Extensive diagnostic options
A reader with IQ-Sense interface
Approvals ETS 300 330 (Europe)
FCC Part 15 (USA), UL/CSA
CE
RF 300
System Manual, 05/2005, (4)J31069 D0166-U001-A1-7618, -- 4-1
RF 300 system planning 4
4.1 4.1 Fundamentals of application planning
Assess your application according to the following criteria, in order to choose the right
SIMATIC RF 300 components:
• Transmission distance (read/write distance)
• Tracking tolerances
• Static or dynamic data transfer
• Data volume to be transferred
• Speed in case of dynamic transfer
• Metal-free rooms for transponders and readers
• Ambient conditions such as relative humidity, temperature, chemical impacts, etc.

RF 300 system planning
4.1 Fundamentals of application planning
RF 300
4-2 System Manual, 05/2005, (4)J31069 D0166-U001-A1-7618, --
4.1.1 Transmission window and read/write distance
The reader generates an inductive alternating field. The field is strongest near to the reader.
The strength of the field decreases in proportion to the distance from the reader. The
distribution of the field depends on the structure and geometry of the antennas in the reader
and transponder.
A prerequisite for the function of the transponder is a minimum field strength at the
transponder achieved at a distance Sg from the reader. The picture below shows the
transmission window between transponder and reader:
6,(0(16
6,0$7,&
5)7
7UDQVSRQGHU
63
3ODQYLHZ
7UDQVPLVVLRQ
ZLQGRZ
5)[[5
6J
6
/'
6LGHYLHZ
7UDQVSRQGHU
/6DPD[
/6DPLQ
5)7
Sa Operating distance between transponder and reader
Sg Limit distance (maximum clear distance between upper surface of the reader and the
transponder, at which the transmission can still function under normal conditions)
L Length of a transmission window
The length Ld is valid for the calculation. At Sa,min, the field length increases from Ld to Lmax.
SP Intersection of the axes of symmetry of the transponder
The active field for the transponder consists of a circle (cf. plan view).
The transponder can be used as soon as the intersection (SP) of the transponder enters the
circle of the transmission window.

RF 300 system planning
4.1 Fundamentals of application planning
RF 300
System Manual, 05/2005, (4)J31069 D0166-U001-A1-7618, -- 4-3
From the diagram above, it can also be seen that operation is possible within the area
between Sa and Sg. The active operating area reduces as the distance increases, and
shrinks to a single point at distance Sg. Only static mode should thus be used in the area
between Sa and Sg.
4.1.2 Width of the transmission window
Determining the width of the transmission window
The following approximation formula can be used for practical applications:
0, 4BL=⋅
Figure 4-1 Formula: Width of the transmission window
B: Width of the transmission window
L: Length of the transmission window
Tracking tolerances
The width of the transmission window (B) is particularly important for the mechanical tracking
tolerance. The formula for the dwell time is valid without restriction when B is observed.
4.1.3 Impact of secondary fields
Secondary fields in the range from 0 to 20 mm always exist.
They should only be applied during planning in exceptional cases, however, since the
read/write distances are very limited. Exact details of the secondary field geometry cannot be
given, since these values depend heavily on the operating distance and the application.

RF 300 system planning
4.1 Fundamentals of application planning
RF 300
4-4 System Manual, 05/2005, (4)J31069 D0166-U001-A1-7618, --
4.1.4 Permissible directions of motion of the transponder
Active area and direction of motion of the transponder
The transponder and reader have no polarization axis, i.e. the transponder can come in from
any direction, be placed at any position, and cross the transmission window. The figure
below shows the active area for various directions of transponder motion:
RU
/
%
RU
%
%
/
/
Figure 4-2 Active areas of the transponder for different directions of transponder motion

RF 300 system planning
4.1 Fundamentals of application planning
RF 300
System Manual, 05/2005, (4)J31069 D0166-U001-A1-7618, -- 4-5
4.1.5 Operation in static and dynamic mode
Operation in static mode
If working in static mode, the transponder can be operated up to the limit distance (Sg). The
transponder must then be positioned exactly over the reader:
7UDQVPLVVLRQ
ZLQGRZ
7UDQVSRQGHU
6J
5HDGHUV
Figure 4-3 Operation in static mode
Operation in dynamic mode
When working in dynamic mode, the transponder moves past the reader. The transponder
can be used as soon as the intersection (SP) of the transponder enters the circle of the
transmission window.
63
7UDQVPLVVLRQ
ZLQGRZ
7UDQVSRQGHU
7UDQVSRQGHU
3ODQYLHZ
63
Figure 4-4 Operation in dynamic mode

RF 300 system planning
4.1 Fundamentals of application planning
RF 300
4-6 System Manual, 05/2005, (4)J31069 D0166-U001-A1-7618, --
4.1.6 Dwell time of the transponder
The dwell time is the time in which the transponder dwells within the transmission window of
a reader. The reader can exchange data with the transponder during this time.
The dwell time is calculated thus:
0,8[ ]
[/]
TPDR
K
Lm
t
vms
⋅
=
tV: Dwell time of the transponder
L: Length of the transmission window
vTPDR: Speed of the transponder (TPDR) in dynamic mode
0,8: Constant factor used to compensate for temperature impacts and production tolerances
The dwell time can be of any duration in static mode. The dwell time must be sufficiently long
to allow communication with the transponder.
The dwell time is defined by the system environment in dynamic mode. The volume of data
to be transferred must be matched to the dwell time or vice versa.
In general:
K
v
tt≥
tV:: Dwell time of the data memory within the field of the reader
tK: Communication time between transponder and communication module

RF 300 system planning
4.1 Fundamentals of application planning
RF 300
System Manual, 05/2005, (4)J31069 D0166-U001-A1-7618, -- 4-7
4.1.7 Communication between communication module, reader and transponder
Communication with RF 310-R
Communication between the communication module (IQ Sense), RF 310-R reader and
transponders takes place in fixed telegram cycles. 3 cycles of approximately 3 ms are
always needed for the transfer of a read or write command. 1 or 2 bytes of user data can be
transferred with each of these commands. The acknowledgement transfer (status or read
data) takes place in 3 further cycles. Approximately 18 ms are thus needed for a complete
command acknowledgement sequence with up to 2 bytes of user data. The transponder
must be present within the field of the reader.
Calculation of the communication time for interference-free transfer
KWort
tKtn=+ ⋅
Calculation of the maximum amount of user data
max
Wort
v
tK
n
t
−
=
tK Communication time between communication module, RF 310-R (IQ-Sense) reader and
transponder
tV Dwell time
n Amount of user data in words (2 bytes)
nmax Max. amount of user data in words (2 bytes) in dynamic mode
tWord Transfer time for 1 word (2 bytes)
K Constant (internal system time) This contains the time for power buildup on the transponder
and for command transfer
Note
If only 1 byte of user data is transferred, you still need to allow the time for 1 word.

RF 300 system planning
4.1 Fundamentals of application planning
RF 300
4-8 System Manual, 05/2005, (4)J31069 D0166-U001-A1-7618, --
Time constants K and tWord
K (ms) tWord (ms) Command
9 18 Read
9 27 Write (EEPROM area)
9 18 Write (FRAM area)
The table of time constants applies to every command. If a user command consists of
several subcommands, the above tK formula must be applied to each subcommand.

RF 300 system planning
4.1 Fundamentals of application planning
RF 300
System Manual, 05/2005, (4)J31069 D0166-U001-A1-7618, -- 4-9
4.1.8 Calculation example
A transport system moves pallets with transponders at a maximum velocity of VTPDR = 0.14
m/s. The following RFID components were chosen:
• 8xIQ-Sense module
• RF 310-R reader
• RF 340-T transponder
Task specification
a) The designer of the plant is to be given mechanical specifications.
b) The programmer should be given the maximum number of words in dynamic mode.
Refer to the tables in the "Field data of transponders and readers" section for the technical
data.

RF 300 system planning
4.1 Fundamentals of application planning
RF 300
4-10 System Manual, 05/2005, (4)J31069 D0166-U001-A1-7618, --
Determine tolerance of pallet transport height
'LUHFWLRQRIPRWLRQ
7UDQVSRQGHU
VLGHYLHZ
++6
D
+PP
5HDGHUV
Figure 4-5 Tolerance of pallet transport height
Determine tolerance of pallet side transport
&HQWHUOLQHRIWUDQVSRQGHUDQGUHDGHU
'LUHFWLRQRIPRWLRQRIWKHWUDQVSRQGHU
% ZLGWKRIWKHWUDQVPLVVLRQZLQGRZ
LQG\QDPLFPRGH
%
7ROHUDQFHEDQGRIVLGHWUDQVSRUW
7UDQVSRQGHU
5HDGHUV
Figure 4-6 Tolerance of pallet side transport
Minimum distance from reader to reader
Refer to the field data of the reader for this value.
Minimum distance from transponder to transponder
Refer to the field data of the transponder for this value.

RF 300 system planning
4.1 Fundamentals of application planning
RF 300
System Manual, 05/2005, (4)J31069 D0166-U001-A1-7618, -- 4-11
Calculation of the maximum amount of user data in dynamic mode
Step Formula/calculation
1. Calculate dwell time of the
transponder
Refer to the "Field data of all transponders and readers" table for value L.
Value VTPDR = 0.14m/s
0,8 0, 04 0,8 0, 228 228
0,14 /
TPDR
v
Lm
tsms
vms
⋅⋅
== = =
2. Calculate maximum user data (nmax)
for reading
Take value tv from Step 1.
Take values K and t Word from Table "Time constants K and t Word".
5HDG
max
228 9 12,17 12
18
Wort
v
t K ms ms n Words
tms
−−
==⇒=
3. Calculate maximum user data (nmax)
for writing
(FRAM area)
Take value tv from Step 1.
Take values K and t Word from Table "Time constants K and t Word".
6FKUHLEHQ
max
228 9 12,17 12
18
Wort
v
t K ms ms nWorte
tms
−−
==⇒=
Result
A maximum of 12 words can be read or written when passing the transponder.

RF 300 system planning
4.2 Field data of transponders and readers
RF 300
4-12 System Manual, 05/2005, (4)J31069 D0166-U001-A1-7618, --
4.2 4.2 Field data of transponders and readers
The following table shows the field data for all SIMATIC RF 300 components of transponders
and readers. It facilitates the correct selection of a transponder and reader.
All the technical data listed are typical data and are applicable for an ambient temperature of
between 0 C and +50 °C, a supply voltage of between 22 V and 27 V DC and a metal-free
environment. Tolerances of ±20 % are admissible due to production or temperature
conditions.
If the entire voltage range at the reader of 20 V DC to 30 V DC and/or the entire temperature
range of transponders and readers is used, the field data are subject to further tolerances.
Field data of all transponders and readers without interference from metal
RF 310-R reader RF 320-T transponder RF 340-T transponder
Length of the transmission window in mm (L) 30 mm 40 mm
Width of the transmission window in mm (W) 12 mm 16 mm
Working distance in mm (Sa) 0-12 mm 0-20 mm
Limit distance in mm (Sg) 18 mm 30 mm
• A maximum mean deviation of ±2 mm is possible in static mode (without affecting the
field data)
• This is reduced by approx. 15 % if the transponder enters the transmission window
laterally (see also "Transmission window" figure)
Minimum distance from transponder to transponder
Readers RF 320-T transponder RF 340-T transponder
RF 310-R > 100 mm 400 mm
Minimum distance from reader to reader
The minimum distance from RF 310-R to RF 310-R must be at least 400 mm.
Notice
Adherence to the values specified in the "Minimum distance from reader to reader" table is
essential. The inductive fields may be affected if the distance is smaller. In this case, the
data transfer time would increase unpredictably or a command would be aborted with an
error.

RF 300 system planning
4.3 Impact of the data volume on the transponder speed with RF 310-R (IQ-Sense)
RF 300
System Manual, 05/2005, (4)J31069 D0166-U001-A1-7618, -- 4-13
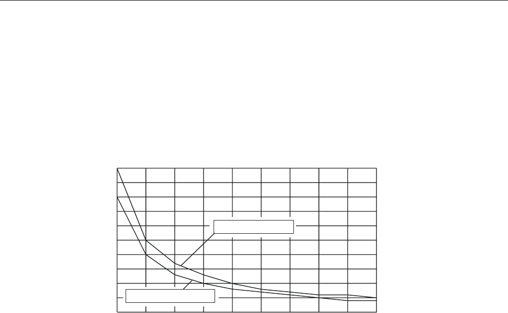
4.3 4.3 Impact of the data volume on the transponder speed with RF 310-R
(IQ-Sense)
The curves shown here show the relationship between the speed of the RF 320 and RF 340
transponders and the volume of data transferred.
5HDGWUDQVSRQGHU
:ULWHWUDQVSRQGHU
1RRIE\WHVQ
90'6LQ
Figure 4-7 Relationship between speed and data volume when using the RF 310-R (IQ-Sense)

RF 300 system planning
4.4 Installation guidelines
RF 300
4-14 System Manual, 05/2005, (4)J31069 D0166-U001-A1-7618, --
4.4 4.4 Installation guidelines
4.4.1 Overview
The transponder and reader are inductive devices. Any type of metal, in particular iron and
ferromagnetic materials, in the vicinity of these devices will affect their operation. Some
points need to be considered during planning and installation if the values described in the
"Field data" section are to retain their validity:
• Minimum distance between two readers
• Minimum distance between two adjacent data memories
• Metal-free area for flush-mounting of readers and transponders in metal
• Mounting of several readers on metal frames or racks
The following sections describe the impact on the operation of the identification system when
mounted in the vicinity of metal.

RF 300 system planning
4.4 Installation guidelines
RF 300
System Manual, 05/2005, (4)J31069 D0166-U001-A1-7618, -- 4-15
4.4.2 Reduction of interference due to metal
Interference due to metal rack Problem
6KHHW0HWDOUDFN
6D
1RQPHWDOOLFVSDFHU
0HWDO
7UDQVSRQGHU
5HDGHUV
A metal rack is located above the
transmission window of the reader.
This affects the entire field. In
particular, the transmission window
between reader and transponder is
reduced.
Remedy:
7UDQVSRQGHU
5HD
The transmission window is no
longer affected if the transponder is
mounted differently.

RF 300 system planning
4.4 Installation guidelines
RF 300
4-16 System Manual, 05/2005, (4)J31069 D0166-U001-A1-7618, --
Flush-mounting
Flush-mounting of transponders and readers Problem
1RQPHWDOOLFVSDFHU 6KHHW
0HWDO
0HWDO
5HDGHUV
Flush-mounting of transponders and
readers is possible in principle.
However, the size of the
transmission window is significantly
reduced. The following measures
can be used to counteract the
reduction of the window:
Remedy:
PP [!PP
5HD
Enlargement of the non-metallic
spacer below the transponder
and/or reader.
The transponder and/or reader are
10 to 20 mm higher than the metal
surround.
(The value x ≥ 100 mm is valid e.g.
for RF 310-R. It indicates that the
reader is no longer affected
significantly by the metal at a
distance of x ≥ 100 mm.)
Remedy:
DD
E
E5HD
Increase the non-metallic distance
a, b.
The following rule of thumb can be
used:
• Increase a, b by a factor of 2 to 3
over the values specified for
metal-free areas
• Increasing a, b has a greater
effect for readers or
transponders with a large limit
distance than for readers or
transponders with a small limit
distance.

RF 300 system planning
4.4 Installation guidelines
RF 300
System Manual, 05/2005, (4)J31069 D0166-U001-A1-7618, -- 4-17
Mounting of several readers on metal frames or racks
Any reader mounted on metal couples part of the field to the metal frame. There is normally
no interaction as long as the minimum distance D and metal-free areas a, b are maintained.
However, interaction may take place if an iron frame is positioned unfavorably. Longer data
transfer times or sporadic error messages at the communication module are the result.
Mounting of several readers on metal racks Problem: Interaction between readers
Remedy
'
5HDGHU
:ULWHU
5HDGHU
:ULWHU
Increase the distance D between the two readers.
Remedy
5HDGHU
:ULWHU
5HDGHU
:ULWHU
Introduce one or more iron struts in order to short-
circuit the stray fields.
Remedy
1RQPHWDOOLF
VSDFHU
UHDGHU
ZULWHU
UHDGHU
ZULWHU
Insert a non-metallic spacer of 20 to 40 millimeter
thickness between the reader and the iron frame. This
will significantly reduce the induction of stray fields on
the rack:

RF 300 system planning
4.4 Installation guidelines
RF 300
4-18 System Manual, 05/2005, (4)J31069 D0166-U001-A1-7618, --
4.4.3 Effects of metal on different transponders and readers
Mounting different transponders on metal or flush-mounting
Not all transponders can be mounted directly on metal. For more information, please refer to
the descriptions of the individual transponders in the relevant sections.
The following section illustrates various possibilities for mounting, allowing for the effect of
metal on the particular transponder.
Transponders which can be mounted directly on metal
Any transponder whose operation is not affected by direct contact with metal can be mounted directly on metal.
0HWDO
Mounting of a transponder directly on
metal
D
E
0HWDO
Flush-mounting of a transponder in
metal
(a, b = required distance from metal)

RF 300 system planning
4.4 Installation guidelines
RF 300
System Manual, 05/2005, (4)J31069 D0166-U001-A1-7618, -- 4-19
Transponders which cannot be mounted directly on metal
Any transponder whose operation is interrupted by direct contact with metal cannot be mounted directly on metal. The
applicable minimum distance to metal must be maintained for the relevant transponder.
1RQPHWDO
0HWDO
K!PP
'DWDPHPRU\
Mounting of a transponder on metal
with a non-metallic spacer
D!PP
K!PP
'DWDPHPRU\ 0HWDO
1RQPHWDO
If the minimum guide values (a, h) are
not observed, a significant reduction of
the field data results. It is possible to
mount the transponder with metal
screws (M4 countersunk head
screws). This has no tangible impact
on the range.
4.4.4 Impact on the transmission window by metal
In general, the following points should be considered when mounting RFID components:
• Direct mounting on metal is allowed only in the case of specially approved transponders.
• Flush-mounting of the components in metal reduces the field data; a test is
recommended in critical applications.
• When working inside the transmission window, it should be ensured that no metal rail (or
similar part) intersects the transmission field.
The metal rail would affect the field data.

RF 300 system planning
4.4 Installation guidelines
RF 300
4-20 System Manual, 05/2005, (4)J31069 D0166-U001-A1-7618, --
The impact of metal on the field data (Sg, Sa, L, B) is shown in tabular and graphical format in
this section. The values in the table describe the reduction of the field data in % with
reference to non-metal (100 % means no impact).
Reduction of field data: Transponder and Reader RF 310-R
Table 4-1 Reduction of field data by metal (in %): Transponder and RF 310-R
Transponder Reader RF 310-R
without metal
on metal flush-mounted
in metal
(20 mm surround)
RF 320-T
Transponder without metal 100 95 80
Transponder on metal,
distance 20 mm
100 80 70
Flush-mounted in metal 80 70 60
RF 340-T
Transponder without metal 100 95 80
Transponder on metal, distance 20
mm
100 95 80
Flush-mounted in metal
distance 20 mm/
20 mm surround
90 85 70

RF 300 system planning
4.5 Chemical resistance of the transponders
RF 300
System Manual, 05/2005, (4)J31069 D0166-U001-A1-7618, -- 4-21
4.5 4.5 Chemical resistance of the transponders
The following table provides an overview of the chemical resistance of the data memories
made of glass-fiber-reinforced epoxy resin (E624). The plastic housing has a notably high
resistance to chemicals used in automobiles (e.g.: oil, grease, diesel fuel, gasoline, etc,);
these are not specified separately.
RF 320-T transponder
Transponder RF 320-T is resistant to the substances specified in the following table.
Concentration 20°C 40°C 60°C
Allylchloride J
Formic acid 50 % J
100 % F
Ammonia gas J
Ammonia liquid, water-free j
Ammonium hydroxide 10 % J
Ethyl acrylate J
Ethyl glycol J
Gasoline, aroma-free J
Gasoline, containing benzol J
Benzoate (Na–, Ca.a.) J
Benzoic acid J
Benzol J
Benzenesulphonic acid J
Benzyl chloride j
Borax J
Boric acid J
Bromine, liquid j
Bromine, gas, dry j
Bromide (K–, Na.a.) J
Bromoform 100 % J
Bromine water j
Butadiene (1,3–) J
Butane gas J
Butanol j
Butyric acid 100 % F
Carbonate (ammonium,
Na.a.)
J
Chlorine, liquid j
Chlorine, gas, dry 100 % j

RF 300 system planning
4.5 Chemical resistance of the transponders
RF 300
4-22 System Manual, 05/2005, (4)J31069 D0166-U001-A1-7618, --
Concentration 20°C 40°C 60°C
Chlorobenzene J
Chloride (ammonium, Na.a.) J
Chloroform j
Chlorophyl J
Chlorosulphonic acid 100 % j
Chlorine water (saturated
solution)
F
Chromate (K–, Na.a.) Up to 50 % J
Chromic acid Up to 30 % j
Chromosulphuric acid j
Citric acid J
Cyanamide J
Cyanide (K–, Na.a.) J
Dextrin (aqueous solution) J
Diethyl ether J
Diethylene glycol J
Dimethyl ether J
Dioxane j
Developer J
Acetic acid 100 % F
Ethanol J J
Fixer J
Fluoride (ammonium, K–,
Na.a.)
J
Hydrofluoric acid Up to 40 % J
Formaldehyde 50 % J
Formamide 100 % J
Glucon acid J
Glycerine J
Glycol J
Urine J
Uric acid J
Hydroxide (ammonium) 10 % J
Hydroxide (Na–, K–) 40 % J
Hydroxide (alkaline earth
metal)
J
Hypochlorite (K–, Na.a.) J
Iodide (K–, Na.a.) J
Silicic acid J
Cresol Up to 90 % j
Methanol 100 % J
Methylene chloride j
Lactic acid 100 % F

RF 300 system planning
4.5 Chemical resistance of the transponders
RF 300
System Manual, 05/2005, (4)J31069 D0166-U001-A1-7618, -- 4-23
Concentration 20°C 40°C 60°C
Mineral oils J
Nitrate (ammonium, K.a.) J
Nitroglycerine j
Oxalic acid J
Phenol 1 % J
Phosphate (ammonium,
Na.a.)
J
Phosphoric acid 50 % J
85 % J
Propanol J
Nitric acid 25 % j
Hydrochloric acid 10 % j
Brine j
Sulphur dioxide 100 % F
Carbon disulfide 100 % j
Sulphuric acid 40 % j
Sulphurous acid F
Soap solution J
Sulfate (ammonium, Na.a.) J
Sulfite (ammonium, Na.a.) j
Tar, aroma-free J
Turpentine J
Trichloroethylene j
Hydrogen peroxide 30 % J
Tartaric acid J

RF 300 system planning
4.5 Chemical resistance of the transponders
RF 300
4-24 System Manual, 05/2005, (4)J31069 D0166-U001-A1-7618, --
RF 340-T transponder
The following table gives an overview of the chemical composition of the data memories
made from polyamide 12. The plastic housing has a notably high resistance to chemicals
used in automobiles (e.g.: oil, grease, diesel fuel, gasoline, etc,); these are not specified
separately.
Concentration 20°C 60 °C
Battery acid 30 F j
Ammonia gas J J
Ammonia, w. conc. J J
10 J J
Benzol J Y
Bleach solution (12.5% effective chlorine) F j
Butane, gas, liquid J J
Butyl acetate (acetic acid butyl ester) J J
n(n) J Y
Calcium chloride, w. J Y
Calcium nitrate, w. c.s. J Y
Chlorine j j
Chrome baths, tech. j j
Iron salts, w. c.s. J J
Acetic acid, w. 50 j j
Ethyl alcohol, w. undenaturated 96 J Y
50 J J
Formaldehyde, w. 30 Y j
10 J Y
Formalin Y j
Glycerine J J
Isopropanol J Y
Potassium hydroxide, w. 50 J J
Lysol F j
Magnesium salts, w. c.s. J J
Methyl alcohol, w. 50 J J
Lactic acid, w. 50 F j
10 Y F
Sodium carbonate, w. (soda) c.s. J J
Sodium chloride, w. c.s. J J
Sodium hydroxide J J
Nickel salts, w. c.s. J J
Nitrobenzol Y F
Phosphoric acid 10 f V
Propane J J
Mercury J J
Nitric acid 10 f j

RF 300 system planning
4.5 Chemical resistance of the transponders
RF 300
System Manual, 05/2005, (4)J31069 D0166-U001-A1-7618, -- 4-25
Concentration 20°C 60 °C
Hydrochloric acid 10 f j
Sulphur dioxide Low J J
Sulphuric acid 25 F j
10 Y j
Hydrogen sulphide Low J J
Carbon tetrachloride J J
Toluene J Y
Detergent High J J
Plasticizer J J
Abbreviations
J Resistant
Y Virtually resistant
F Partially resistant
f Less resistant
j Not resistant
w. Aqueous solution
c.s. Cold saturated

RF 300 system planning
4.6 EMC Guidelines
RF 300
4-26 System Manual, 05/2005, (4)J31069 D0166-U001-A1-7618, --
4.6 4.6 EMC Guidelines
4.6.1 Overview
These EMC Guidelines answer the following questions:
• Why are EMC guidelines necessary?
• What types of external interference have an impact on the control system?
• How can interference be prevented?
• How can interference be eliminated?
• Which standards relate to EMC?
• Examples of interference-free plant design
The description is intended for "qualified personnel":
• Project engineers and planners who plan system configurations with RFID modules and
have to observe the necessary guidelines.
• Fitters and service engineers who install the connecting cables in accordance with this
description or who can rectify defects in this area in the event of interference.
Warning
Failure to observe notices drawn to the reader's attention can result in dangerous
conditions in the plant or the destruction of individual components or the entire plant.

RF 300 system planning
4.6 EMC Guidelines
RF 300
System Manual, 05/2005, (4)J31069 D0166-U001-A1-7618, -- 4-27
4.6.2 Definition
The increasing use of electrical and electronic devices is accompanied by:
• Increasing density of components
• Increasing power electronics
• Increasing switching rates
• Lower power consumption of components
The higher the degree of automation, the greater the risk of interaction between devices.
Electromagnetic compatibility (EMC) is the ability of an electrical or electronic device to
operate satisfactorily in an electromagnetic environment without affecting or interfering with
the environment over and above certain limits.
EMC can be broken down into three different areas:
• Intrinsic immunity to interference:
immunity to internal electrical disturbance
• Immunity to ambient interference:
immunity to external electromagnetic disturbance
• Degree of interference emission:
emission of interference and its effect on the electrical environment
All three areas are considered when testing an electrical device.
The RFID modules are tested for conformity with the limit values required by the CE and
BAPT guidelines. Since the RFID modules are merely components of an overall system, and
sources of interference can arise as a result of combining different components, certain
guidelines have to be followed when setting up a plant.
EMC measures usually consist of a complete package of measures, all of which need to be
implemented in order to ensure that the plant is immune to interference.
Note
The plant manufacturer is responsible for the observance of the EMC guidelines; the plant
operator is responsible for radio interference suppression in the overall plant.
All measures taken when setting up the plant prevent expensive retrospective modifications
and interference suppression measures.
The salient national specifications and regulations must be observed. They are not covered
in this document.

RF 300 system planning
4.6 EMC Guidelines
RF 300
4-28 System Manual, 05/2005, (4)J31069 D0166-U001-A1-7618, --
4.6.3 Basic rules
It is often sufficient to follow a few elementary rules in order to ensure electromagnetic
compatiblity (EMC). The following rules must be observed when erecting a control cabinet:
Shielding by enclosure
• Protect the programmable logic controller against external interference by installing it in a
housing or enclosure. The housing or enclosure must be connected to the chassis
ground.
• Use metal plates to shield the programmable logic controller against electromagnetic
fields.
• Use metal connector housings to shield data conductors.
Laminar ground connection
• Bond all passive metal parts to chassis ground, ensuring large-area and low-HF-
impedance contact.
• Establish a large-area connection between the passive metal parts and the central
grounding point.
• Don't forget to include the shielding bus in the chassis ground system. That means the
actual shielding busbars must be connected to ground by large-area contact.
• Aluminium parts are not suitable for ground connections.
Plan the cable installation
• Break the cabling down into cable groups and install these separately.
• Always route high-voltage and signal cables through separated ducts or in separate
bundles.
• Feed the cabling into the cabinet from one side only and, if possible, on one level only.
• Route the signal cables as close as possible to chassis surfaces.
• Twist the feed and return conductors of separately installed cables.
Shielding for the cables
• Shield the data cables and connect the shield at both ends.
• Shield the analog cables and connect the shield at one end, e.g. on the drive unit.
• Always apply large-area connections between the cable shields and the shielding bus at
the cabinet inlet and make the contact with clamps.
• Feed the connected shield through to the module without interruption.
• Use braided shields, not foil shields.

RF 300 system planning
4.6 EMC Guidelines
RF 300
System Manual, 05/2005, (4)J31069 D0166-U001-A1-7618, -- 4-29
Line and signal filter
• Use only line filters with metal housings
• Connect the filter housing to the cabinet chassis using a large-area low-HF-impedance
connection.
• Never fix the filter housing to a painted surface.
• Fix the filter at the control cabinet inlet or in the direction of the source.
4.6.4 Propagation of electromagnetic interference
Three components have to be present for interference to occur in a system:
• Interference source
• Coupling path
• Interference sink
HJFRQQHFWLQJFDEOH
,QWHUIHUHQFH
VRXUFH
GHYLFHHPLWWLQJ
LQWHUIHUHQFH
&RXSOLQJSDWK
HJGULYHXQLW HJUHDGHU
,QWHUIHUHQFHVLQN
GHYLFHDIIHFWHG
E\LQWHUIHUHQFH
Figure 4-8 Propagation of interference
If one of the components is missing, e.g. the coupling path between the interference source
and the interference sink, the interference sink is unaffected, even if the interference source
is transmitting a high level of noise.
The EMC measures are applied to all three components, in order to prevent malfunctions
due to interference. When setting up a plant, the manufacturer must take all possible
measures in order to prevent the occurrence of interference sources:
• Only devices fulfilling limit class A of VDE 0871 may be used in a plant.
• Interference suppression measures must be introduced on all interference-emitting
devices. This includes all coils and windings.
• The design of the cabinet must be such that mutual interference between individual
components is precluded or kept as small as possible.
• Measures must be taken to eliminate the impact of external interference.
Information and tips for plant design are given in the following sections.

RF 300 system planning
4.6 EMC Guidelines
RF 300
4-30 System Manual, 05/2005, (4)J31069 D0166-U001-A1-7618, --
Interference sources
In order to achieve a high level of electromagnetic compatibility and thus a very low level of
disturbance in a plant, it is necessary to recognize the most frequent interference sources.
These must then be eliminated by appropriate measures.
Table 4-2 Interference sources: origin and effect
Interference source Interference results from Effect on the interference sink
Contacts System disturbances Contactors,
electronic valves Coils Magnetic field
Collector Electrical field Electrical motor
Winding Magnetic field
Contacts Electrical field Electric welding device
Transformer Magnetic field, system disturbance,
transient currents
Power supply unit, switched-
mode
Circuit Electrical and magnetic field, system
disturbance
High-frequency appliances Circuit Electromagnetic field
Transmitter
(e.g. service radio)
Antenna Electromagnetic field
Ground or reference potential
difference
Voltage difference Transient currents
Operator Static charge Electrical discharge currents, electrical
field
Power cable Current flow Electrical and magnetic field, system
disturbance
High-voltage cable Voltage difference Electrical field

RF 300 system planning
4.6 EMC Guidelines
RF 300
System Manual, 05/2005, (4)J31069 D0166-U001-A1-7618, -- 4-31
Coupling paths
A coupling path has to be present before the disturbance emitted by the interference source
can affect the system. There are four ways in which interference can be coupled in:
,
1
7
(
5
)
(
5
(
1
&
(
6
,
1
.
,
1
7
(
5
)
(
5
(
1
&
(
6
2
8
5
&
(
*DOYDQLFFRXSOLQJSDWK
&DSDFLWLYHFRXSOLQJSDWK
,QGXFWLYHFRXSOLQJSDWK
5DGLDWLRQFRXSOLQJ
5),'
$60RU
UHDGHU
ZULWHU
5),'
$60RU
UHDGHU
ZULWHU
5),'
$60RU
UHDGHU
ZULWHU
5),'
$60RU
UHDGHU
ZULWHU
Figure 4-9 Ways in which interference can be coupled in
When RFID modules are used, different components in the overall system can act as a
coupling path:
Table 4-3 Causes of coupling paths
Coupling path Invoked by
Incorrect or inappropriate installation
Missing or incorrectly connected shield
Conductors and cables
Inappropriate physical arrangement of cables
Missing or incorrectly wired equalizing conductor
Missing or incorrect earthing
Inappropriate physical arrangement
Components not mounted securely
Control cabinet or
SIMATIC enclosure
Unfavorable cabinet configuration

RF 300 system planning
4.6 EMC Guidelines
RF 300
4-32 System Manual, 05/2005, (4)J31069 D0166-U001-A1-7618, --
4.6.5 Cabinet configuration
The influence of the user in the configuration of an electromagnetically compatible plant
encompasses cabinet configuration, cable installation, ground connections and correct
shielding of cables.
Note
For information about electromagnetically compatible cabinet configuration, please consult
the installation guidelines for SIMATIC PLCs.
Shielding by enclosure
Magnetic and electrical fields and electromagnetic waves can be kept away from the
interference sink by using a metal enclosure. The easier the induced interference current can
flow, the greater the intrinsic weakening of the interference field. All enclosures and metal
panels in the cabinet should therefore be connected in a manner allowing good
conductance.
Figure 4-10 Shielding by enclosure
If the control cabinet panels are insulated from each other, a high-frequency-conducting
connection can be established using ribbon cables and high-frequency terminals or HF
conducting paste. The larger the area of the connection, the greater the high-frequency
conductivity. This is not possible using single-wire connections.

RF 300 system planning
4.6 EMC Guidelines
RF 300
System Manual, 05/2005, (4)J31069 D0166-U001-A1-7618, -- 4-33
Prevention of interference by optimum configuration
Good interference suppression can be achieved by installing SIMATIC PLCs on conducting
mounting plates (unpainted). When setting up the control cabinet, interference can be
prevented easily by observing certain guidelines. Power components (transformers, drive
units, load power supply units) should be arranged separately from the control components
(relay control unit, SIMATIC S7).
As a rule:
1. The effect of the interference decreases as the distance between the interference source
and interference sink increases.
2. The interference can be further decreased by installing grounded shielding plates.
3. The load connections and power cables should be installed separately from the signal
cables with a minimum clearance of 10 cm.
36
&&(8
'ULYH
6KLHOGSODWH
Figure 4-11 Prevention of interference by optimum configuration

RF 300 system planning
4.6 EMC Guidelines
RF 300
4-34 System Manual, 05/2005, (4)J31069 D0166-U001-A1-7618, --
Filtering of the supply voltage
External interference from the mains can be prevented by installing line filters. Correct
installation is extremely important, in addition to appropriate dimensioning. It is essential that
the line filter is mounted directly at the cabinet inlet. As a result, interference is filtered
promptly at the inlet, and is not conducted through the cabinet.
/LQHILOWHU
,F
&RUUHFW
/LQHILOWHU
,QFRUUHFW
,F LQWHUIHUHQFHFXUUHQW
,F
Figure 4-12 Filtering of the supply voltage
