Sony Group UPDX100 Digital Photo Printer with Bluetooth User Manual Manual
Sony Corporation Digital Photo Printer with Bluetooth Manual
UserManual.wiki
>
Sony Group
>
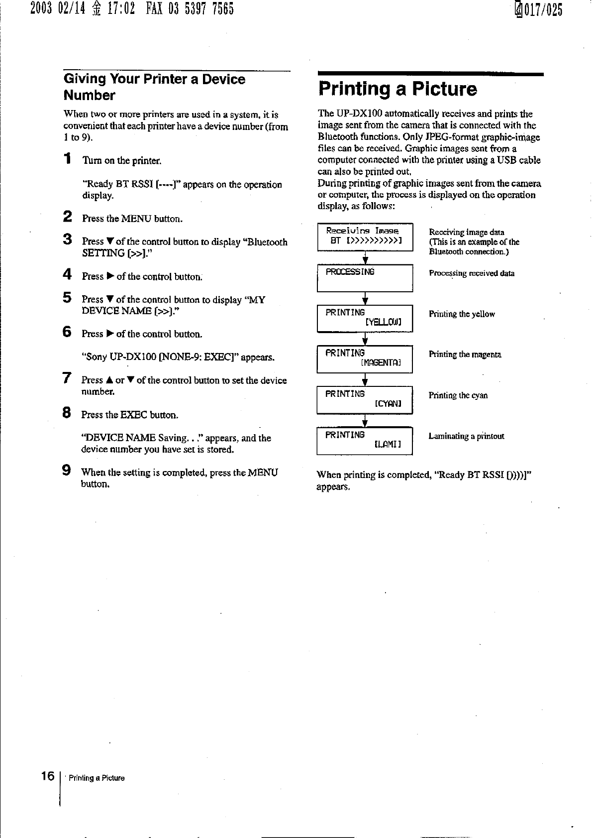
UPDX100 User Manual HTML Version
Manual
Navigation menu
Upload a User Manual
Namespaces
Wiki Guide
HTML
PDF
Info
Views
User Manual
Discussion / Help
Navigation