Sony DCR TRV520 User Manual CAMCORDER Manuals And Guides L0060099
SONY Digital Camcorder Manual L0060099 SONY Digital Camcorder Owner's Manual, SONY Digital Camcorder installation guides
User Manual: Sony DCR-TRV520 DCR-TRV520 SONY CAMCORDER - Manuals and Guides View the owners manual for your SONY CAMCORDER #DCRTRV520. Home:Electronics Parts:Sony Parts:Sony CAMCORDER Manual
Open the PDF directly: View PDF
.
Page Count: 132 [warning: Documents this large are best viewed by clicking the View PDF Link!]

SONY. =0=_61./1/
Digital
Video Camera
Recorder
Operating Instructions
Before operating the unit, please read this manual thoroughly,
and retain it for future reference.
Owner's Record
The model and serial numbers are located on the bottom. Record the
serial number in the space provided below. Refer to these numbers
whenever you call upon your Sony dealer regarding this product.
Model No. DCR-TRV. Model No. AC-
Serial No. Serial No.
I]i!Iili®IHandgcam
C'_,=,°.,_.,uM0
8ER_ES
v
DCR-TRV520 MEMORYSTII:K _-M
Digital 8
DCR- TRV5201TR V52 5
©2000 Sony Corporation

Welcome!
Congratulations on your purchase of this Sony Digital Handycam camcorder. With your
Digital Handycam, you can capture life's precious moments with superior picture and sound
quality. Your Digital Handycam is loaded with advanced features, but at the same time it is
very easy to use. You will soon be producing home video that you can enjoy for years to
come.
2
To prevent fire or shock hazard, do
not expose the unit to rain or
moisture.
DO NOT OPEN //_
RISK OF ELECTRIC SHOCK
CAUTION: TO REDUCE THE RISK OF ELECTRIC SHOCK,
[30 NOT REMOVE COVER (OR BACK)
NO USER-SERVICEABLE PARTS INSIDE
REFER SERVICING TO QUALIFIED SERVICE PERSONNEL.
This symbol is intended to alert
the user to the presence of
uninsulated "dangerous voltage"
within the product's enclosure
that may be of sufficient
magnitude to constitute a risk of
electric shock to persons.
This symbol is intended to alert
the user to the presence of
important operating and
maintenance (servicing)
instructions in the literature
accompanying the appliance.
Never expose the battery pack to temperatures
above 140°F (60°C) such as in a car parked in
the sun or under direct sunlight.
DISPOSAL OF LITHIUM ION BATrERY.
LITHIUM ION BATTERY.
DISPOSE OF PROPERLY.
You can return your unwanted lithium ion batteries
to your nearest Sony Service Center or Factory
Service Center.
Note: In some areas the disposal of lithium ion
batteries in household or business trash may
be prohibited.
For the Sony Service Center nearest you call
1-800-222-SONY (United States only)
For the Sony Factory Service Center nearest you call
416-499-SONY (Canada only)
Caution: Do not handle damaged or leaking lithium
ion battery.
For customers in the U.S,A.
If you have any questions about this product, you
may call :
Sony Customer Information Center 1 800-222 SONY
(7669) or write to :
Sony Customer Information Center 1 Sony Drive,
Mail Drop #TI-ll, Park Ridge, NJ 07656
CAUTION
You are cautioned that any changes or modifications
not expressly approved in this manual could void
your authority to operate this equipment.
Declaration of Conformity
Trade Name: SONY
Model No.: DCR-TRV520
Responsible Party: Sony Electronics Inc.
Address: 1 Sony Drive, Park Ridge,
NJ, 07656 USA
Telephone No.: 201-930-6972
This device complies with Part15 of the FCC
Rules. Operation is subject to the following two
conditions.: (1) This device may not cause
harmful interference, and (2) this device must
accept any interference received, including
interference that may cause undesired operation.
Declaration of Conformity
Trade Name: SONY
Model No.: DCR-TRV525
Responsible Party: Sony Electronics Inc.
Address: 1 Sony Drive, Park Ridge,
NJ, O7656 USA
Telephone No.: 201-930 6972
This device complies with Part15 of the FCC
Rules. Operation is subject to the following two
conditions.: (1) This device may not cause
harmful interference, and (2) this device must
accept any interference received, including
I ir_terference that cause undesired operation.
may

Note:
This equipment has been tested and found to comply
with the limits for a Class B digital device, pursuant
to Part 15 of the FCC Rules. These limits are designed
to provide reasonable protection against harmful
interference in a residential installation. This
equipment generates, uses, and can radiate radio
frequency energy and, if not installed and used in
accordance with the instructions, may cause harmful
interference to radio communications. However,
there is no guarantee that interference will not occur
in a particular installation. If this equipment does
cause harmful interference to radio or television
reception, which can be determined by turning the
equipment off and on, the user is encouraged to try to
correct the interference by one or more of the
following measures:
-- Reorient or relocate the receiving antenna.
-- Increase the separation between the equipment
and receiver.
-- Connect the equipment into an outlet on a circuit
different from that to which the receiver is
connected.
-- Consult the dealer or an experienced radio/TV
technician for help.
For customers in CANADA
CAUTION
TO PREVENT ELECTRIC SHOCK, MATCH
WIDE BLADE OF PLUG TO WIDE SLOT,
FULLY INSERT.
"Memory Stick"
For customers in CANADA
This Class B digital apparatus complies with
Canadian ICES-003.
For customers in the U.S.A
This device complies with Part15 of the FCC Rules.
Operation is subject to the following two conditions.:
(1) This device may not cause harmful interference,
and (2) this device must accept any interference
received, including interference that may cause
undesired operation.
3

Table of contents
4
Checking supplied accessories ....................... 5
Quick Start Guide .................................6
Getting started
Using this manual ............................................ 8
Step 1 Preparing the power supply ............ 10
Installing the battery pack ..................... 10
Charging the battery pack ..................... 11
Connecting to a wall outlet ................... 14
Step 2 Inserting a cassette ............................ 15
Recording - Basics
Recording a picture ........................................ 16
Shooting backlit subjects
- BACK LIGHT ............................... 20
Shooting in the dark
- NightShot/Super NightShot ...... 20
Self-timer recording ............................... 22
Checking the recording - END SEARCH /
EDITSEARCH /Rec Review ................ 23
Playback - Basics
Playing back a tape ........................................ 24
Viewing the recording on TV ....................... 27
Advanced Recording Operations
Recording a still image on a tape
-Tape Photo recording ......................... 29
Using the wide mode .................................... 32
Using the fader function ............................... 33
Using special effects - Picture effect ........... 36
Using special effects Digital effect ............ 37
Using the PROGRAM AE function ............. 40
Adjusting the exposure manually ............... 42
Focusing manually ......................................... 43
Superimposing a title .................................... 44
Making your own titles ................................. 46
Inserting a scene ............................................. 48
Advanced Playback Operations
Playing back a tape with picture effects ..... 49
Playing back a tape with digital effects ...... 50
Enlarging recorded images PB ZOOM .... 51
Quickly locating a scene using the zero set
memory function .................................... 52
Searching a recording by date
Date search ........................................... 53
Searching for a photo
- Photo search/Photo scan ................... 55
Editing
Dubbing a tape ............................................... 57
Using with analog video unit and PC
Signal convert function ....................... 59
Recording video or TV programs ................ 60
Inserting a scene from a VCR
- Insert Editing ........................................ 62
Customizing Your Camcorder
Changing the menu settings ......................... 64
Resetting the date and time .......................... 71
"Memory Stick" operations
Using "Memory Stick" introduction .......... 72
Recording still images on "Memory Stick"
- Memory Photo recording ................... 77
Superimposing a still image in the
"Memory Stick" on a moving image
-MEMORY MIX ..................................... 82
Recording an image from a tape as a still
image ........................................................ 85
Copying still images from a tape
- Photo save ............................................. 87
Viewing a still image
- Memory Photo playback .................... 89
Copying the image recorded on
"Memory Stick" to tapes ....................... 92
Enlarging still images recorded on "Memory
Stick's - Memory PB ZOOM ................ 94
Playing back images in a continuous loop
- SLIDE SHOW ....................................... 95
Preventing accidental erasure
- Image protection .................................. 97
Deleting images .............................................. 98
Writing a print mark PRINT MARK ...... 101
Additional Information
Digital8 t} system, recording and playback
................................................................. 102
About i.LINK ................................................ 104
Changing the lithium battery in your
camcorder .............................................. 106
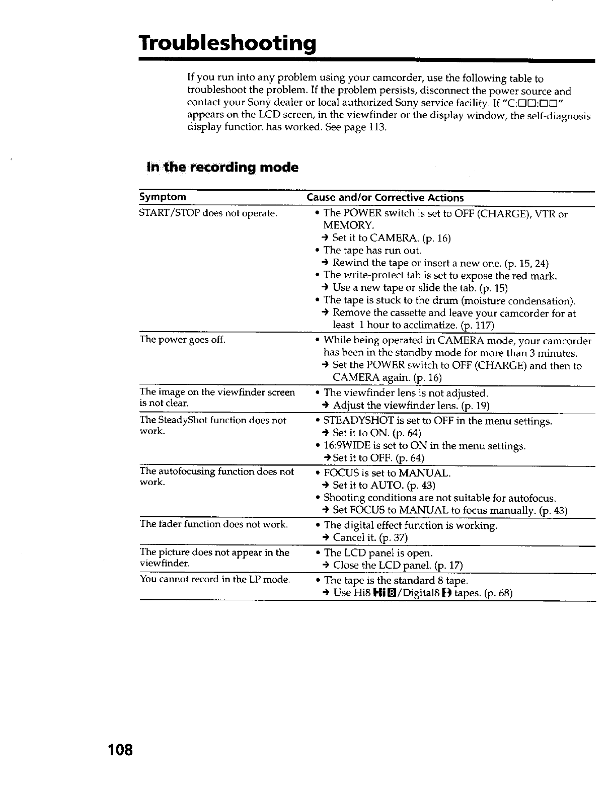
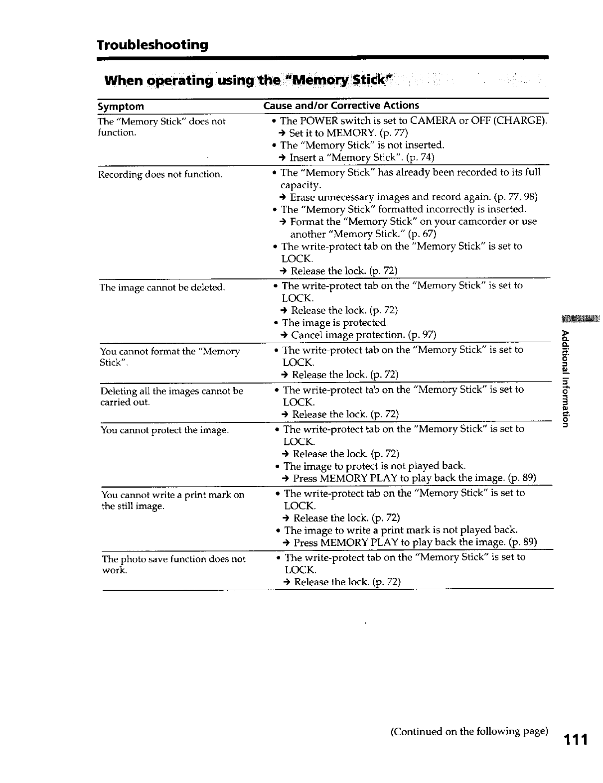
Troubleshooting ........................................... 108
Self-diagnosis display .................................. 113
Warning indicators and messages ............. 114
Using your camcorder abroad ................... 116
Maintenance information and
precautions ............................................ 117
Specifications ................................................ 122
Quick Reference
Identifying the parts and controls ............. 123
Quick Function Guide ................................. 130
Index .............................................................. 131
• Microsoft ®and Windows ®are either registered
trademarks or trademarks of Microsoft Corporation
in the United States and/or other countries.
• Macintosh and Mac OS are trademarks of Apple
Computer, Inc.
• All other product names mentioned herein may be
the trademarks or registered trademarks of their
respective companies.
Furthermore, "TM"and "®" are not mentioned in each
case in this manual.

Checking supplied accessories
Make sure that the following accessories are supplied with your camcorder.
[] [][]
[]
[]
ti I
[]
[]
[]
[]
[]
[]
[] Wireless Remote Commander (!)
(p. 128)
[] AC-L10A/L10B/L10C AC power
adaptor (1), Power cord (1) (p. 11)
[] NP-F330 battery pack (1) (p. 10, 11)
[] CR2025 lithium battery (1) (p. 106)
The lithium battery is already installed
in your camcorder.
[] Size AA (R6) battery for Remote
Commander (2) (p. 128)
[] A/V connecting cable (1) (p. 27)
[] Shoulder strap (1) (p. 125)
[] Lens cap (1) (p. 16)
[] PC serial cable (1) (p. 91)
[] "Memory Stick" (1) (p. 72)
[] Application software: PictureGear 4.1
Lite (CD-ROM) (1) (p. 91)
Contents of the recording cannot be compensated if recording or playback is not
made due to a malfunction of the camcorder, video tape, etc.
5

Quick Start Guide
This chapter introduces you to the basic features of your
camcorder. See the page in parentheses "( )" for more
information.
Use the battery pack when using your camcorder outdoors (p. 10).
_O
€
m
i,i_ _ •
L
AC power adaptor (supplied)
OOpen the lid of the
cassette compartment,
and press EJECT. The
compartment opens
automatically.
1_ Insert a cassette
into the cassette
compartment
with its window
facing out and the
write-protect tab
on the cassette up.
Open the DC IN
jack cover.
Connect the plug with
its • mark facing up.
O Close the cassette
compartment by
pressing the _ mark
on the cassette
compartment. The
cassette compartment
automatically goes
down.
Close the lid of the
cassette comlSartment.
6

0 Remove the lens cap.
0 Open the LCD panel
while pressing OPEN.
The picture appears
on the LCD screen.
J
(..-
7
)Set the POWER
switch to CAMERA
while pressing the
small green button.
O Press the red button.
Your camcorder
starts recording. To
stop recording, press
the red button again.
Viewfinder
When the LCD panel is closed, use the
viewfinder placing your eye against its eyecup.
The picture in the viewfinder is black and white
(DCR-TRV520 only).
_O
e-
Da
at
C
Ei
t_
,-)
/
O Press _ to rewind the tape.
REW(
O Press _ to start playback.
PLAY
Note
Do not pick up your camcorder by
holding the viewfinder, the LCD
panel, or the battery pack.
7

-- Getting started
Using this manual
The instructions in this manual are for the two models listed in the table below. Before
you start reading this manual and operating your camcorder, check the model number
by looking at the bottom of your camcorder. The DCR-TRV520 is the model used for
illustration purposes. Otherwise, the model name is indicated in the illustrations. Any
differences in operation are clearly indicated in the text, for example, "DCR-TRV520
only."
As you read through this manual, buttons and settings on your camcorder are shown in
capital letters.
e.g. Set the POWER switch to CAMERA.
When you carry out an operation, you can hear a beep sound to indicate that the
operation is being carried out.
Type of difference
DCR- TRV520 TRV525
viewfinder B/W Color
With your digital camcorder, you can use Hi8 I'll Ill/Digital8 E}video cassettes. Your
camcorder records and plays back pictures in the Digital8 |} system. Also, your
camcorder plays back tapes recorded in the Hi8 Hii/I/standard 8 [] (analog) system.
You, however, cannot use the functions in "Advanced Playback Operations" on page 49
to 56 for playback in the Hi8 HI []/standard 8 [] system. To enable smooth transition,
we recommend that you do not mix pictures recorded in the Hi8 I'll []/standard 8 []
with the Digital8 E} system on a tape.
TV color systems differ from country to country. To view your recordings on a TV, you
need an NTSC system-based TV.
Television programs, films, video tapes, and other materials may be copyrighted.
Unauthorized recording of such materials may be contrary to the provision of the
copyright laws.
8

Using this manual
Precautions on camcorder care
• The LCD screen and the viewfinder are manufactured using high-precision
technology. However, there may be some tiny black points and/or bright points
(red, blue, green or white) that constantly appear on the LCD screen and in the
viewfinder. These points occur normally in the manufacturing process and do not
affect the recorded picture in any way. Effective ratio of pixels and/or screen are
99.99% or more.
• Do not let your camcorder get wet. Keep your camcorder away from rain and sea
water. Letting your camcorder get wet may cause your camcorder to malfunction.
Sometimes this malfunction cannot be repaired [a].
• Never leave your camcorder exposed to temperatures above 140°F (60°C), such as in a
car parked in the sun or under direct sunlight [b].
• Do not place your camcorder so as to point the viewfinder, the LCD screen or lens
toward the sun. The inside of the viewfinder, LCD screen or lens may be damaged [c].
&3
r¢
[a] [b] [c]
Q

Step 1 Preparing the power supply
Installing the battery pack
Install the battery pack to use your camcorder outdoors.
Slide the battery pack down until it clicks.
To remove the battery pack
Slide the battery pack out in the direction of the arrow while pressing _ BATT
RELEASE down.
_BAI-r
RELEASE
After installing the battery pack
Do not carry your camcorder by holding the battery pack. If you do so, the battery pack
may slide off your camcorder unintentionally, damaging your camcorder.
10

Step 1 Preparing the power supply
Charging the battery pack
Use the battery pack after chargingit for, your camcorder.
Your camcorder operates only with the InfoLITHIUM battery pack (L series).
(1) Open the DC IN jack cover and connect the AC power adaptor supplied with a_
your camcorder to the DC IN jack with the plug's • mark facing up. m
(2) Connect the power cord to the AC power adaptor. -_'=
(3) Connect the power cord to a wall outlet.
(4) Set the POWER switch to OFF (CHARGE). Charging begins. The remaining
battery time is indicated in minutes on the display window. ®
When the remaining battery indicator changes to _, normal charge is completed, To o.
fully charge the battery (full charge), leave the battery pack attached for about I hour
after normal charge is completed until FULL appears in the display window. Fully
charging the battery allows you to use the battery longer than usual,
After charging the battery pack
Disconnect the AC power adaptor from the DC IN jack on your camcorder.
Notes
• Prevent metallic objects from coming into contact with the metal parts of the DC plug
of the AC power adaptor. This may cause a short-circuit, damaging the AC power
adaptor.
• Keep the battery pack dry.
• When the battery pack is not to be used for a long time, charge the battery pack once
fully, and then use it until it fully discharges again. Keep the battery pack in a cool
place.
When the battery pack is charged fully
The LCD backlight of the display window is turned off.
Remaining battery time indicator
The remaining battery time indicator in the display window roughly indicates the
recording time with the viewfinder.
Battery pack
The supplied battery pack is charged a little. 11

Step 1 Preparing the power supply
12
Until your camcorder calculates the actual remaining battery time
.... min" appears in the display window.
While charging the battery pack, no indicator appears or the indicator flashes in
the display window in the following cases:
-The battery pack is not installed correctly.
The AC power adaptor is disconnected.
- Something is wrong with the battery pack.
Charging time
Battery pack Full charge (Normal charge)
NP-F330 (supplied) 150 (90)
NP-F530/F550 210 (150)
NP-F730/F730H/F750 300 (240)
NP-F930/F950 390 (330)
NP-F960 420 (360)
Approximate number of minutes to charge an empty battery pack
Recording time
DCR-TRV520
Recording with Recording with
Battery pack the viewfinder the LCD screen
Continuous* Typical** Continuous* Typical**
NP-F330 (supplied) 95 (85) 55 (50) 75 (65) 40 (35)
NP-F530 160 (145) 90 (80) 120 (105) 70 (60)
NP-F550 195 (175) 110 (100) 145 (130) 80 (75)
NP-F730 325 (290) 185 (165) 265 (240) 150 (135)
NP-F730H/F750 395 (355) 225 (200) 305 (270) 175 (155)
NP-F930 515 (465) 295 (265) 415 (375) 235 (215)
NP-F950 610 (550) 345 (315) 475 (430) 270 (245)
NP-F960 720 (645) 410 (365) 565 (505) 320 (285)
DCR-TRV525
Recording with Recording with
Battery pack the viewfinder the LCD screen
Continuous* Typical** Continuous* Typical**
NP-F330 (supplied) 105 (95) 60 (55) 75 (65) 40 (35)
NP-F530 175 (160) 100 (90) 120 (105) 70 (60)
NP-F550 210 (190) 120 (110) 145 (130) 80 (75)
NP-F730 365 (325) 210 (185) 265 (240) 150 (135)
NP-F730H/F750 440 (395) 250 (225) 305 (270) 175 (155)
NP-F930 575 (520) 325 (295) 415 (375) 235 (215)
NP-F950 675 (610) 385 (345) 475 (430) 270 (245)
NP-F960 790 (710) 450 (405) 565 (505) 320 (285)
Approximate number of minutes when you use a fully charged battery
X m •lj ii ....
u bers m parentheses ( ) indicate the time using a normally charged battery.
• Approximate continuous recording time at 77°F (25°C). The battery life will be
shorter if you use your camcorder in a cold environment.
•* Approximate number of minutes when recording while you repeat recording start/
stop, zooming and turning the power on/off. The actual battery life may be shorter.

Step 1 Preparing the power supply
Playing time
DCR-TRV520
Battery pack Playing time Playing time
on LCD screen with LCD closed
NP-F330 (supplied) 70 (65) 95 (85)
NP-F530 115 (105) 155 (140)
NP-F550 145 (130) 190 (170)
NP-F730 260 (235) 315 (285)
NP-F730H/F750 295 (265) 385 (345)
NP-F930 405 (370) 495 (450)
NP-F950 465 (420) 590 (530)
NP-F960 550 (495) 700 (630)
DCR-TRV525
Battery pack Playing time Playing time
on LCD screen with LCD closed
NP-F330 (supplied) 70 (65) 100 (90)
NP-F530 115 (105) 170 (155)
NP-F550 145 (130) 205 (185)
NP-F730 260 (235) 350 (310)
NP-F730H/F750 295 (265) 425 (380)
NP-F930 405 (370) 555 (500)
NP-F950 465 (420) 650 (590)
NP-F960 550 (495) 765 (685)
Approximate number of minutes when you use a fully charged battery
Numbers in parentheses "( )" indicate the time using a normally charged battery. The
battery life will be shorter if you use your camcorder in a cold environment.
UD
O.
The remaining battery time indicator
The indicator may not be correct, depending on the conditions in which you are
recording. When you close the LCD panel and open it again, it takes about 1 minute for
the correct remaining battery time to be displayed.
If the power may go off although the battery remaining indicator indicates that
the battery pack has enough power to operate
Charge the battery pack fully again so that the indication on the battery remaining
indicator is correct.
What is "InfoLITHIUM'?
The "InfoLITHIUM" is a lithium ion battery pack which can exchange data such as
battery consumption with compatible electronic equipment. This unit is compatible
with the "InfoLITHIUM" battery pack (L series). Your camcorder operates only with the
"InfoLITHIUM" battery. "InfoLITHIUM" battery packs have the ('1_InfourHluMmark.
"InfoLITHIUM" is a trademark of Sony Corporation.

Step 1 Preparing the power supply
Connecting to a wall outlet
When you use your camcorder for a long time, we recommend that you power it from a
wall outlet using the AC power adaptor.
(1) Open the DC IN jack cover, and connect the AC power adaptor to the DC IN
jack on your camcorder with the plug's • mark facing up.
(2) Connect the power cord to the AC power adaptor.
(3) Connect the power cord to a wall outlet.
PRECAUTION
The set is not disconnected from the AC power source (house current) as long as it is
connected to the wall outlet, even if the set itself has been turned off.
Notes
•The AC power adaptor can supply power even if the battery pack is attached to your
camcorder.
• The DC IN jack has "source priority". This means that the battery pack cannot supply
any power if the power cord is connected to the DC IN jack, even when the power
cord is not plugged into a wall outlet.
Using a car battery
Use Sony DC Adaptor/Charger (not supplied).
14

Step 2 Inserting a cassette
2
We recommend using Hi8 Hi[]/Digital8 1_ video cassettes.
(1) Prepare the power supply (p. 10).
(2) Open the lid of the cassette compartment, and press EJECT. The cassette
compartment opens automatically.
(3) Insert a cassette with its window facing out and the write-protect tab on the
cassette up.
{4) Close the cassette compartment by pressing the _ mark on the cassette
compartment. The cassette compartment automatically goes down.
(5) Close the lid of the cassette compartment.
3 4,5
To eject a cassette
Follow the procedure above, and eject the cassette in step 3.
Notes
• Do not press the cassette compartment down. Doing so may cause malfunction.
• Your camcorder records pictures in the Digital8 1} system.
• The recording time when you use your camcorder is half of indicated time on Hi8
Hi [] tape. If you select the LP mode in the menu settings, 3/4 of indicated time on Hi8
HI [] tape.
• If you use standard 8 [] tape, be sure to play back the tape on this camcorder. Mosaic
pattern noise may appear when you play back standard 8 [] tape on other camcorders
(including other DCR-TRV520/TRV525).
• The cassette compartment may not be closed when you press any part of the lid other
than the _ mark.
• Do not pick up your camcorder by holding the lid of the cassette compartment.
m
u_
./
To prevent accidental erasure
Slide the write-protect tab on the cassette to expose the red mark.
!ii!ilii!¸, 15

-- Recording - Basics --
Recording a picture
Your camcorder automatically focuses for you.
(1) Remove the lens cap by pressing both knobs on its sides and attach the lens
cap to the grip strap.
(2) Install the power source and insert a cassette. See "Step 1" and "Step 2" for
more information (p. 10 to 15).
(3) Set the POWER switch to CAMERA while pressing the small green button.
Your camcorder is set to the standby mode.
(4) Open the LCD panel while pressing OPEN. The viewfinder automatically
turns off.
(5) Press START/STOP. Your camcorder starts recording. The REC indicator
appears. The camera recording lamp located on the front of your camcorder
lights up. To stop recording, press START/STOP again.
The recording lamp lights up in the viewfinder when you record with the
viewfinder (DCR-TRV520 only).
13
LOCK
_40min E) _ REC 0:00:01
Microphone
Camera recording
lamp
2
16
Notes
• Fasten the grip strap firmly.
• Do not touch the built-in microphone during recording.
Note on Recording mode
Your camcorder records and plays back in the SP (standard play) mode and in the LP
(long play) mode. Select SP or LP in the menu settings (p 64). In the LP mode, you can
record 1.5 times as long as in the SP mode. When you record a tape in the LP mode on
your camcorder, we recommend that you play back the tape on your camcorder.

Recording a picture
Note on LOCK
When you slide LOCK to the left, the POWER switch can no longer be set to MEMORY
accidentally. The LOCK is released as a default setting.
To enable smooth transition
You can make the transition between the last scene you recorded and the next scene
smooth as long as you do not eject the cassette if you turn off your camcorder. When
you change the battery pack, set the POWER switch to OFF (CHARGE).
If you leave your camcorder in the standby mode for 3 minutes
Your camcorder automatically turns off. This is to save battery power and to prevent
battery and tape wear. To resume the standby mode, set the POWER switch to OFF
(CHARGE) once, then turn it to CAMERA again.
;u
o
I
CO
2.
r,t
To adjust the brightness of the LCD screen, press either of the two buttons on LCD
BRIGHT.
The LCD panel moves about 90 degrees to the viewfinder side and about 180 degrees to
the lens side.
If you turn the LCD panel over so that it faces the other way, the Q indicator appears
on the LCD screen and in the viewfinder (Mirror mode).
180 °
90 °
When closing the LCD panel, set it vertically until it clicks, and swing it into the
camcorder body.
Note
When using the LCD screen except in the mirror mode, the viewfinder automatically
turns off.
When you use the LCD screen outdoors in direct sunlight
The LCD screen may be difficult to see. If this happens, we recommend that you use the
, viewfinder.
Picture in the mirror mode
The picture on the LCD is a mirror-image. However, the picture will be normal when
recorded.
During recording in the mirror mode
You cannot operate the ZERO SET MEMORY on the Remote Commander.
Indicators in the mirror mode
The STBY indicator appears as IIO and REC as O. Some of other indicators appear
mirror-reversed and others are not displayed. 17

Recording a picture
After recording
(1) Set the POWER switch to OFF (CHARGE).
(2) Close the LCD panel.
(3) Eject the cassette.
Move the power zoom lever a little for a slower zoom. Move it further for a faster zoom.
Using the zoom function sparingly results in better-looking recordings.
"T" side: for telephoto (subject appears closer)
"W" side: for wide-angle (subject appears farther away)
Zoom greater than 25x is performed digitany. To activate digital zoom, select the digital
zoom power in D ZOOM in the menu settings. (p. 64)
The picture quality deteriorates as the picture is processed digitally.
The right side of the bar shows the digital
zooming zone.
The digital zooming zone appears when you -- --
select the digital zoom power in D ZOOM in
the menu settings.
Notes on digital zoom
•Digital zoom starts to function when zoom exceeds 25x.
•The picture quality deteriorates as you go toward the "T" side.
When you shoot close to a subject
If you cannot get a sharp focus, move the power zoom lever to the "W" side until the
focus is sharp. You can shoot a subject that is at least about 2 feet 5/8 inch (about 80 cm)
away from the lens surface in the telephoto position, or about 1/2 inch (about I cm)
away in the wide-angle position.
18

Recording a picture
If you record pictures with the LCD panel closed, check the picture with the viewfinder.
Adjust the viewfinder lens to your eyesight so that the indicators in the viewfinder
come into sharp focus.
Lift up the viewfinder and move the viewfinder lens adjustment lever.
The indicators are not recorded on tape.
_a
o
I
_a
Remaining battery time indicator
Format indicator
Recording mode indicator
STBY/REC indicator
Time code/Tape counter indicator
indicator
This appears after you start to record for a while.
dicator
This is displayed for five seconds after the POWER switch
is set to CAMERA or MEMORY.
Date indicator
This is displayed for five seconds after the POWER switch
is set to CAMERA or MEMORY.
Time code (for tapes recorded in the Digital8 [) system only)
The time code indicates the recording or playback time, "0:00:00" (hours:minutes:
seconds) in CAMERA mode and "0:00:00:00" (hours:minutes:seconds:flames) in VTR
mode. You cannot rewrite only the time code.
When you play back tapes recorded in the Hi8/standard 8 system, the tape counter
appears.
You cannot reset the time code or the tape counter. 19

Recording a picture
When you shoot a subject with the light source behind the subject or a subject with a
light background, use the backlight function.
Press BACK LIGHT in CAMERA or MEMORY mode.
The [] indicator appears on the LCD screen or in the viewfinder.
To cancel, press BACK LIGHT again.
LIGHT
If you press EXPOSURE when shooting backlit subjects
The backlight function will be canceled.
The NightShot function enables you to shoot a subject in a dark place. For example, you
can satisfactorily record the environment of nocturnal animals for observation when
you use this function.
While your camcorder is in CAMERA or MEMORY mode, slide NIGHTSHOT to ON.
and "NIGHTSHOT" indicators flash on the LCD screen or in the viewfinder.
To cancel the NightShot function, slide NIGHTSHOT to OFF.
OFFI ION _SUPER NIGHTSHOT J
NightShot Light
emitter
2O

Recording a picture
Using SUPER NIGHTSHOT
The Super NightShot mode makes subjects up to 16 times brighter than those recorded
in the NightShot mode.
(1) Slide NIGHTSHOT to ON in CAMERA mode. [] and "NIGHTSHOT"
indicators flash on the LCD screen or in the viewfinder.
(2) Press SUPER NIG_ITSHOT. S_ and "SUPER NIGHTSHOT" indicators flash
on the LCD screen or in the viewfinder.
To cancel the Super NightShot mode, press SUPER NIGHTSHOT again.
Using the NightShot Light
The picture will be clearer with the NightShot Light on. To enable NightShot Light, set
N.S.LIGHT to ON in the menu settings (p. 64).
m
8
I
Notes
• Do not use the NightShot function in bright places (ex. outdoors in the daytime). This
may cause your camcorder to malfunction.
• When you keep NIGHTSHOT set to ON in normal recording, the picture may be
recorded in incorrect or unnatural colors.
• If focusing is difficult with the autofocus mode when using the NightShot function,
focus manually.
While using the NightShot function, you can not use the following functions:
- Exposure
- PROGRAM AE
While using the Super NightShot function, you can not use the following
functions:
- Fader
- Digital effect
- Exposure
- PROGRAM AE
Shutter speed in the Super NightShot mode
The shutter speed will be automatically changed depending on the brightness of
the background. The motion of the picture will be slow.
NightShot Light
NightShot Light rays are infrared and so are invisible. The maximum shooting distance
using the NightShot Light is about 10 feet (3 m).
21

Recording a picture
Recording with the self-timer starts in 10 seconds automatically. This mode is useful
when you want to record yourself. You can also use the Remote Commander for this
operation.
(1) Press _ (self-timer) in the standby mode. The _ (self-timer) indicator appears
on the LCD screen or in the viewfinder.
(2) Press START/STOP.
Self-timer starts counting down from 10 with a beep sound. In the last two
seconds of the countdown, the beep sound gets faster, then recording starts
automatically.
START/STOP
1(self-timer)
To stop the self-timer recording
Press START/STOP.
Use the Remote Commander for convenience.
To record still images using the self-timer
Press PHOTO in step 2. (P. 30)
To cancel self-timer recording
Press _ (self-timer) so that the _ indicator disappears from the LCD or viewfinder
screen while your camcorder is in the standby mode.
Note
The self-timer recording mode is automatically cancelled when:
- Self-timer recording is finished.
- The POWER switch is set to OFF (CHARGE) or VTR.
22

Checking the recording
- END SEARCH /EDITSEARCH /Rec Review
You can use these buttons to check the recorded picture or shoot so that the transition
between the last recorded scene and the next scene you record is smooth.
O
u_
I
u_
_ . _ :_ 7 ¸
END SEARCH ;
:?,
You can go to the end of the recorded section after you record.
Press END SEARCH in the standby mode.
The last 5 seconds of the recorded section are played back and returns to the standby
mode. You can monitor the sound from the speaker or headphones.
You can search for the next recording start point.
Hold down the +/- (@) side of EDITSEARCH in the standby mode. The recorded
section is played back.
+ : to go forward
- : to go backward
Release EDITSEARCH to stop playback. If you press START/STOP, re-recording begins
from the point you released EDITSEARCH. You cannot monitor the sound.
You can check the section which you have stopped most recently.
Press the - (@) side of EDITSEARCH momentarily in the standby mode.
The section you have stopped most recently will be played back for a few seconds, and
then your camcorder will return to the standby mode. You can monitor the sound from
the speaker or headphones.
Notes
• END SEARCH, EDITSEARCH and Rec Review wor konly for tapes recorded in the
Digital8 |) system.
• If you start recording after using the end search function, occasionally, the transition
between the last scene you recorded and the next scene may not be smooth.
• Once you eject the cassette after you have recorded on the tape, the end search
function does not work.
If a tape has a black portion in the recorded portions
The end search function may not work correctly. _

--Playback- Basics--
Playing back a tape
You can monitor the playback picture on the LCD screen. If you close the LCD panel,
you can monitor the playback picture in the viewfinder. You can control playback usin_
the Remote Commander supplied with your camcorder.
(1) Install the power source and insert the recorded tape.
(2) Set the POWER switch to VTR while pressing the small green button. The
video control buttons light up.
(3) Open the LCD panel while pressing OPEN.
(4) Press _ to rewind the tape.
(5) Press I_ to start playback.
(6) To adjust the volume, press either of the two buttons on VOLUME. The
speaker on your carncorder is silent when the LCD panel is closed.
REW8
PLAY
1
To stop playback
PressII.
When monitoring on the LCD screen
You can turn the LCD panel over and move it back to the camcorder body with the LCI_
screen facing out.
24

Playing back a tape
To display the screen 'n -....
=dlcato_ Di play funct,on
Press DISPLAY on your camcorder or the Remote Commander supplied with your
camcorder.
The indicators appear on the LCD screen.
To make the indicators disappear, press DISPLAY again.
DATA CODE
DISPLAY
"0
o-
I
Using the data code function
Your camcorder automatically records not only images on the tape but also the
recording data (date/time or various settings when recorded) (Data code).
Press DATA CODE on your camcorder or the Remote Commander in the playback
mode.
The display changes as follows:
date/time _ various settings (SteadyShot, exposure AUTO/MANUAL, white balance,
gain, shutter speed, aperture value) ---* no indicator
JUL 4 2O00
12:05:56 AM
"_ AUTO
60 AWB
F1.6 9dB
Not to display recording date
Set DATA CODE to DATE in the menu settings (p. 64).
The display changes as follows:
date/time --* no indicator
Notes on the data code function
• The data code function works only for tapes recorded in the Digital8 [) system.
• Various settings of the recording data are not recorded when recording images on
"Memory Stick."
Recording data
Recording data is your camcorder's information when you have recorded. In the
recording mode, the recording data will not be displayed.
When you use data code function, bars (......... and --:--:--) appear if:
- A blank section of the tape is being played back.
-The tape is unreadable due to tape damage or noise.
- The tape was recorded by a camcorder without the date and time set.
Data code
When you connect your camcorder to the TV, the data code appears on the TV screen. 25

Playing back a tape
26
Various playback modes
To operate video control buttons, set the POWER switch to VTR.
To view a still image (playback pause)
Press II during playback. To resume playback, press II or I_.
To advance the tape
Press _ in the stop mode. To resume normal playback, press I_.
To rewind the tape
Press _ in the stop mode. To resume normal playback, press I_.
To change the playback direction
Press _ on the Remote Commander during playback to reverse the playback directio]
To resume normal playback, press ID".
To locate a scene monitoring the picture (picture search)
Keep pressing _ or _ during playback. To resume normal playback, release the
button.
To monitor the high-speed picture while advancing or
rewinding the tape (skip scan)
Keep pressing _ while rewinding or _ while advancing the tape. To resume
rewinding or advancing, release the button.
To view the picture at slow speed (slow playback)
Press l_- on the Remote Commander during playback. For slow playback in the rever_
direction, press (, then press roD-on the Remote Commander. To resume normal
playback, press I=.-.
To view the picture at double speed
Press x2 on the Remote Commander during playback. For double speed playback in t}
reverse direction, press (, then press x2 on the Remote Commander. To resume
normal playback, press I_.
To view the picture frame-by-frame
Press II1_ on the Remote Commander in the playback pause mode. For frame-by-fram_
playback in the reverse direction, press 4111.To resume normal playback, press I=_.
To search the last scene recorded (END SEARCH)
Press END SEARCH in the stop mode. The last 5 seconds of the recorded section plays
back and stops.
in the various playback modes
• Noise may appear when your camcorder plays back tapes recorded in the Hi8/
standard 8 system.
• Sound is muted.
• The previous recording may appear as a mosaic image when playing back in the
Digital8 [) system.
Notes on the playback pause mode
• When the playback pause mode lasts for 3 minutes, your camcorder automatically
enters the stop mode. To resume playback, press I1_.
• The previous recording may appear.
Slow playback for tapes recorded in the Digital8 1) system
The slow playback can be performed smoothly on your camcorder; however, this
function does not work for an output signal from the [ DV IN/OUT jack.
When you play back a tape in reverse
Horizontal noise may appear at the center or top and bottom of the screen. This is not
malfunction.

Viewing the recording on TV
Connect your camcorder to your TV or VCR with the A/V connecting cable supplied
with your camcorder to watch the playback picture on the TV screen. You can operate
the playback control buttons in the same way as when you monitor playback pictures
on the LCD screen. When monitoring the playback picture on the TV screen, we
recommend that you power your camcorder from a wall outlet using the AC power
adaptor (p. 14). Refer to the operating instructions of your TV or VCR.
Open the jack cover. Connect your camcorder to the TV using the A/V connecting
cable. Then, set the TV/VCR selector on the TV to VCR.
,-"aN : Signal flow
S VIDEO
AUDIO/VIDEO
IN
@ S VIDEO
O VIDEO
} oo,o
Connect your camcorder to the LINE IN input on the VCR by using the A/V connecting
cable supplied with your camcorder. Set the input selector on the VCR to LINE.
O"
I
Connect the yellow plug of the A/V connecting cable to the video input jack and the
white or the red plug to the audio input jack on the VCR or the TV. If you connect the
white plug, the sound is L (left) signal. If you connect the red plug, the sound is R
(right) signal.
If your "IV or VCR has an S video jack
Connect using an S video cable (not supplied) to obtain high-quality pictures.
With this connection, you do not need to connect the yellow (video) plug of the A/V
connecting cable.
Connect an S video cable (not supplied) to the S video jacks on both your camcorder
and the TV or the VCR.
27

Viewing the recording on TV
Using the AV cordless iR receiver
Once you connect the AV cordless IR receiver (not supplied) to your TV or VCR, you
can easily view the picture on your TV. For details, refer to the operating instructions of
the AV cordless IR receiver.
S.LASER LINK
Super laser link emittel
Before operation
Attach the power supply such as the AC power adaptor to your camcorder, and insert
the recorded tape.
(q) After connecting your TV and AV cordless IR receiver, set the POWER switch
on the AV cordless IR receiver to ON.
(2) Turn the TV on and set the TV/VCR selector on the TV to VCR.
(3) Set the POWER switch on your camcorder to VTR
(4) Press S.LASER LINK. The lamp of S.LASER LINK lights up.
(5) Press I_ on your camcorder to start playback.
(6) Point the super laser link emitter at the AV cordless IR receiver. Adjust the
position of your camcorder and the AV cordless IR receiver to obtain clear
playback pictures.
28
To cancel the super laser link function
Press S.LASER LINK. The lamp on the S.LASER LINK button goes out.
If you use a Sony TV
•You can turn on the TV automatically when you press S.LASER LINK on your
camcorder. To do so, do as follow in advance:
- Turn the TV's main switch on.
- Set AUTO TV ON to ON in the menu settings.
- Point the super laser link emitter of your camcorder at the TV's remote sensor.
• You can switch the video input of the TV automatically to the one which the AV
cordless IR receiver is connected. To do so, set AUTO TV ON to ON and TV INPUT to
the same video input (1, 2, 3) in the menu settings. With some models, however, the
picture and sound may be disconnected momentarily when the video input is
switched.
• The above feature may not work on some TV models.
If you turn the power off
Super laser link function turns off automatically.
When super laser link is activated (the S.LASER LINK button is lit)
Your camcorder consumes power. Press S.LASER LINK to turn off the super laser link
function when it is not needed.
__,_is a trademark of Sony Corporation.

Advanced Recording Operations --
Recording a still image on a tape
-Tape Photo recording
You can record a still image like a photograph. This mode is useful when you want to
record an image such as a photograph or when you print a picture using a video printer
(not supplied).
You can record about 510 images in the SP mode and about 765 images in the LP mode
on a tape which can record for 60 minutes in the SP mode.
Besides the operation described here, your camcorder can record still images on
"Memory Stick's (p. 72).
(1) In the standby mode, keep pressing PHOTO lightly until a still image appears.
The CAPTURE indicator appears. Recording does not start yet.
To change the still image, release PHOTO, select a still image again, and then
press and hold PHOTO lightly.
(2) Press PHOTO deeper.
The still image on the LCD screen or in the viewfinder is recorded for about seven
seconds. The sound during those seven seconds is also recorded.
The still image is displayed on the LCD screen or in the viewfinder untill recording
is completed.
2
i im,i
I_CAPTURE
Q.
Q,,
0
_&.
o
m,
0
Notes
• During the tape photo recording, you cannot change the mode or setting.
• The PHOTO button does not work:
- while the digital effect function is set or in use.
- while the fader function is in use.
• When recording a still image, do not shake your camcorder. Mosaic-pattern noise may
appear on the image.
To use tape photo recording function using the Remote Commander
Press PHOTO in the Remote Commander. Your camcorder records an image on the
LCD screen or in the viewfinder immediately.
When you use the tape photo recording function during normal CAMERA
recording
You cannot check an image on the LCD screen or in the viewfinder by pressing PHOTO
lightly. Press PHOTO deeper. The still image is then recorded for about seven seconds,
and your camcorder returns to the standby mode. During the seven seconds to record,
you cannot shoot another still image.
29

Recording a still image on a tape - Tape Photo recording
You can record still images on tapes with the self-timer. This mode is useful when you
want to record yourself. You can also use the Remote Commander for this operation.
(1) In the standby mode, press xff.)(self-timer). The _ (self-timer) indicator
appears on the LCD screen or in the viewfinder.
(2) Press PHOTO firmly.
Self-timer starts counting down from 10 with a beep sound. In the last two
seconds of the countdown, the beep sound gets faster, then recording starts
automatically.
PHOTO
1,o(self-timer) --
To cancel self-timer recording
Press _ (self-timer) so that the _ indicator disappears from the LCD or viewfinder
screen while your camcorder is in the standby mode. You cannot cancel self-timer
recording with the Remote Commander.
Note
The self-timer recording mode is automatically cancelled when:
- Self-timer recording is finished.
- The POWER switch is set to OFF (CHARGE) or VTR.
3O

Recording a still image on a tape - Tape Photo recording
Printing the still image
You can print a still image by using the video printer (not supplied). Connect the video
printer using the A/V connecting cable supplied with your camcorder.
Connect the A/V connecting cable to the AUDIO/VIDEO jack and connect the yellow
plug of the cable to the video input of the video printer. Refer to the operating
instructions of the video printer as well.
S VIDEO
AUDIO/VIDEO
Video printer _,
IVIDEO
K
o
o
: Signal flow
If the video printer is equipped with S video input
Use the S video connecting cable (not supplied). Connect it to the S VIDEO jack and the
S video input of the video printer.
31

Using the wide mode
You can record a 16:9 wide picture to watch on the 16:9 wide-screen TV (16:9 WIDE).
Black bands appear on the LCD screen or in the viewfinder (DCR-TRV525) during
recording in 16:9 WIDE mode [a]. The picture during playing back in the viewfinder
(DCR-TRV520), on a normal TV [b] or a wide-screen TV [c] are compressed in the
widthwise direction. If you set the screen mode of the wide-screen TV to the full mode,
you can watch pictures of normal images [d].
[a]
16:9_
[b] _
In the standby mode, set 16:9WIDE to ON in the menu settings (p. 64).
MENU
32
To cancel the wide mode
Set 16:9WIDE to OFF in the menu settings.
In the wide mode, you cannot select the following functions:
- Old movie
- Bounce
During recording
You cannot select or cancel the wide mode. When you cancel the wide mode, set your
camcorder to the standby mode and then set 16:9WIDE to OFF in the menu setting.
Connection for a TV
Pictures recorded in the 16:9WIDE mode automatically appear on the TV screen at full
size when:
- you connect your camcorder to a TV that is compatible with the video ID (ID-1/ID-2)
system.
- you connect your camcorder to the S video jack on the TV.
ID-2 system
The ID-2 system sends a copyright protection signal with ID-1 signals inserted between
video signals when you connect your camcorder to other equipment by an A/V
connecting cable.
If the wide mode is set to ON
The SteadyShot function does not work. If you set 16:9WIDE to ON in the menu settings
when the SteadyShot function is working, _q_ flashes and the SteadyShot function does
not function.

Using the fader function
You can fade the picture in or out to give your recording a professional appearance.
[a]
FADER
M.FADER
(mosaic)
BOUNCE_I _)
OVERLAP 2)
o.
<
f_
D.
rD
fl
O
o
"o
tO
O
WIPE 2)
DOT 2)
(ramdom dot)
[b] :it:_ i_:
MONOTONE
When fading in, the picture gradually changes from black-and-white to color.
When fading out the picture gradually changes from color to black-and-white.
_)You can use this function when D ZOOM is set to OFF in the menu setting.
2)Fade in only
33

Using the fader function
(1) When fading in [a]
In the standby mode, press FADER until the desired fader indicator flashes.
When fading out [b]
In the recording mode, press FADER until the desired fader indicator flashes.
The indicator changes as follows:
FADER ---* M.FADER ---* BOUNCE _ MONOTONE --* OVERLAP
WIPE ---* DOT
The last selected fader mode is indicated first of all.
(2) Press START/STOP. The fader indicator stops flashing.
After the fade in/out is carried out, your camcorder automatically returns to
the normal mode.
1
FADER
ttllIJ_
-FADER-
III1_ _
To cancel the fader function
Before pressing START/STOP, press FADER until the indicator disappears.
34

Using the fader function
Notes
• The overlap, wipe and dot functions work only for tapes recorded in the Digital8 [)
system.
• You cannot use the following functions while using the fader function. Also, you
cannot use the fader function while using the following functions:
- Digital effect
- Low lux mode of PROGRAM AE (Overlap, wipe, or dot function only)
- Super NightShot
- Tape photo recording
Before operating the overlap, wipe, or dot function
Your camcorder stores the image on the tape. As the image is being stored, the indicator
flashes quickly, and the image you are shooting disappears from the LCD or viewfinder
screen. Depending on the tape condition, the image may not be recorded clearly.
While using the bounce function, you cannot use the following functions:
- Focus
- Zoom
- Picture effect
Note on the bounce function
The BOUNCE indicator does not appear in the following mode or functions:
- D ZOOM is activated in the menu settings
- Wide mode
- Picture effect
- PROGRAM AE
o.
<
oJ
o.
_0
o
t_
o
"o
rD
O
b_
35

Using special effects - Picture effect
You can digitally process images to obtain special effects like those in films or on the
TV.
NEG. ART [a] : The color and brightness of the image is reversed.
SEPIA : The image is sepia.
B&W : The image is monochrome (black-and-white).
SOLARIZE [b] : The light intensity is clearer, and the picture looks like an illustration.
SLIM [c] : The image expands vertically.
STRETCH [d] : The image expands horizontally.
PASTEL [e] : The contrast of the image is emphasized, and the image looks like an
animated cartoon.
MOSAIC If] : The image is mosaic.
[a] [b] It] [d] [el [f]
(1) Press PICTURE EFFECT in CAMERA mode.
The picture effect indicator appears.
(2) Turn the SEL/PUSH EXEC dial to select the desired picture effect mode.
The indicator changes as follows:
NEG.ART H SEPIA *---* B&W *---*SOLARIZE *---*SLIM _ STRETCH
PASTEL _ MOSAIC
1PICTURE
EFFECT
2
NEG. ART
To turn the picture effect function off
Press PICTURE EFFECT.
While using the picture effect function
You cannot select OLD MOVIE with DIGITAL EFFECT.
When you turn the power off
The picture effect is automatically canceled.
36

Using special effects - Digital effect
You can add special effects to recorded image using the various digital functions. The
sound is recorded normally.
STILL
You can record a still image so that it is superimposed on a moving image.
FLASH (FLASH MOTION)
You can record still images successively at constant intervals.
LUML (LUMINANCEKEY)
You can swap a brighter area in a still image with a moving image. D.
,€
TRAIL ==
You can record the image so that an incidental image like a trail is left.
SLOW SHTR (SLOW SHUTTER) 8
You can slow down the shutter speed. The slow shutter mode is good for recording =
dark images more brightly. However, the image may be less clear. o
"o
OLD MOVIE g
You can add an old movie type atmosphere to images. Your camcorder automatically o
sets the wide mode to ON, picture effect to SEPIA, and the appropriate shutter speed. =_
Still image Moving image
STILL
LUMI.
Still image Moving image
37

Using special effects - Digital effect
(1) Press DIGITAL EFFECT in CAMERA mode. The digital effect indicator
appears.
(2) Turn the SEL/PUSH EXEC dial to select the desired digital effect mode.
The indicator changes as follows:
STILL _ FLASH _ LUMI. _ TRAIL _ SLOW SHTR _ OLD MOVIE
(3) Press the SEL/PUSH EXEC dial. The indicator lights up and the bars appear.
In the STILL and LUMI. modes, the still image is stored in memory.
(4) Turn the SEL/PUSH EXEC dial to adjust the effect as follows:
STILL - The rate of the still image you want to superimpose on the moving
image
FLASH - The interval of flash motion
LUMI. - The color scheme of the area in the still image which is to be
swapped with a moving image
TRAIL - The vanishing time of the incidental image
SLOW SHTR - Shutter speed. The larger the shutter speed number, the
slower the shutter speed.
OLD MOVIE - No adjustment necessary
The more bars there are on screen, the stronger the digital effect. The bars
appear in the following modes: STILL, FLASH, LUMI. and TRAIL.
1
2
DIGITAL
EFFECT
LUMI.
To cancel the digital effect
Press DIGITAL EFFECT.
38

Using special effects - Digital Effect
Notes
• The following functions do not work during digital effect:
- Fader
- Low lux mode of PROGRAM AE
- Tape photo recording
- Super NightShot
• The following functions do not work in the slow shutter mode:
- Exposure
- PROGRAM AE
• The following functions do not work in the old movie mode:
-- Exposure
- Wide mode
- Picture effect
- PROGRAM AE
When you turn the power off
The digital effect is automatically canceled.
When recording in the slow shutter mode
Auto focus may not be effective. Focus manually using a tripod.
Shutter speed
Shutter speed number Shutter speed
SLOW SHTR 1 1/30
SLOW SHTR 2 1/15
SLOW SHTR 3 1/8
SLOW SHTR 4 1/4
3=
o-
tO
0.
;;0
O
o
"O
=.
==
39

Using the PROGRAM AE function
You can select PROGRAM AE (Auto Exposure) mode to suit your specific shooting
requirements.
O Spotlight mode
This mode prevents people's faces, for example, from appearing excessively white
when shooting subjects lit by strong light in the theater,
_Soft portrait mode
This mode brings out the subject while creating a soft background for subjects such as
people or flowers.
Sports lesson mode
This mode minimizes shake on fast-moving subjects such as in tennis or golf.
"_" Beach & ski mode
This mode prevents people's faces from appearing dark in strong light or reflected ligh
such as at a beach in midsummer or on a ski slope.
Sunset & moon mode
This mode allows you to maintain atmosphere when you are recording sunsets, general
night views, fireworks displays.and neon signs.
[] Landscape mode
This mode is for when you are recording distant subjects such as mountains and
prevents your camcorder from focusing on glass or metal mesh in windows when you
are recording a subject behind glass or a screen.
Low lux mode
This mode makes subjects brighter in insufficient light.
4O

Using the PROGRAM AE function
(1) Press PROGRAM AE in CAMERA or MEMORY mode. The PROGRAM AE
indicator appears.
(2) Turn the SEL/PUSH EXEC dial to select the desired mode.
The indicator changes as follows:
1
2
o.
o.
0
_&.
o
"o
t#
o
To turn the PROGRAM AE function off
Press PROGRAM AE.
Notes
• In the spotlight, sports lesson and beach & ski modes, you cannot take close-ups. This
is because your camcorder is set to focus only on subjects in the middle to far distance.
• In the sunset & moon and landscape modes, your camcorder is set to focus only on
distant subjects.
• The following functions do not work in the PROGRAM AE mode:
-Slow shutter
- Old movie
- Bounce
• The following functions do not work in the low lux mode:
- Digital effect
- Overlap
- Wipe
- Dot
- Exposure
• While setting the NIGHTSHOT to ON, the PROGRAM AE function does not work.
(The indicator flashes.)
• While shooting in MEMORY mode, the low lux mode does not work. (The indicator
flashes.)
If you are recording under a discharge tube such as a fluorescent lamp, sodium
lamp or mercury lamp
Flickering or changes in color may occur in the following modes. If this happens, turn
the PROGRAM AE function off.
- Soft portrait mode
- Sports lesson mode
41

Adjusting the exposure manually
You can manually adjust and set the exposure.
Adjust the exposure manually in the following cases:
- The subject is backlit
- Bright subject and dark background
To record dark pictures (e.g, night scenes) faithfully
(1) Press EXPOSURE in CAMERA or MEMORY mode.
The exposure indicator appears on the LCD screen or in the viewfinder.
{2) Turn the SEL/PUSH EXEC dial to adjust the brightness.
1EXPOSURE
2
To return to the automatic exposure mode
Press EXPOSURE.
Notes
• When you adjust the exposure manually, the following function and modes do not
work in CAMERA mode:
- Backlight
- Old movie
- Slow shutter
• When you adjust the exposure manually, the backlight function does not work in
MEMORY mode.
Your camcorder automatically returns to the automatic mode:
-if you change the PROGRAM AE mode
- if you slide NIGHTSHOT to ON
42

Focusing manually
You can gain better results by manually adjusting the focus in the following cases:
• The autofocus mode is not effective when shooting:
- subjects through glass coated with water droplets.
- horizontal stripes.
-subjects with little contrast with backgrounds such as walls and sky.
• When you want to change the focus from a subject in the foreground to a subject in the
background.
• Shooting a stationary subject when using a tripod.
(1) Set FOCUS to MANUAL in CAMERA or MEMORY mode, The _ indicator
appears on the LCD screen or in the viewfinder.
(2) Turn the focus ring to sharpen focus.
3>
<
t_
to
o.
_0
tO
o
uo
o
13
rD
O
==
FOCUS
To return to the autofocus mode
Set FOCUS to AUTO.
To record distant subjects
When you press FOCUS down to INFINITY. The lens focuses on infinity and
indicator appears. When you release FOCUS, your camcorder returns to the manual
focus mode. Use this mode when your camcorder focuses on near objects even though
you are trying to shoot a distant object.
To focus precisely
Adjust the zoom by first focusing at the "T" (telephoto) position and then shooting at
the "W" (wide-angle) position. This makes focusing easier.
When you shoot close to the subject
Focus at the end of the "W" (wide-angle) position.
changes to the following indicators:
when recording a distant subject.
• when the subject is too close to focus on.
III
43

Superimposing a title
You can select one of eight preset titles and two custom titles (p. 46). You can also select
the language, color, size and position of titles.
(1) Press TITLE to display the title menu in the standby mode.
(2) Turn the SEL/PUSH EXEC dial to select O, then press the dial.
(3) Turn the SEL/PUSH EXEC dial to select the desired title, then press the dial.
The titles are displayed in the language you selected.
(4) Change the color, size, or position, if necessary.
(_) Turn the SEL/PUSH EXEC dial to select the color, size, or position, then
press the dial. The item appears.
(_ Turn the SEL/PUSH EXEC dial to select the desired item, then press the
dial.
(_) Repeat steps (D and (_) until the title is laid out as desired.
(5) Press the SEL/PUSH EXEC dial again to complete the setting.
(6) Press START/STOP to start recording.
(7) When you want to stop recording the title, press TITLE.
"2 PRESET TITLE
£3<HELLO!
_i _HAPPYB_RTHDAY
!" T_ HAppy HOLIOAYS
CONGRATULATIONS!
;_OUR SWEET BABY
WEDDING
VACATION
THE END
rr ITLE} : END
I__ T_ HAppy HOLIDAYS
[_ _CONGRATDLATIONS !
OUR SWEET BA6Y
WEDDING
VACATION
THE END
_RETURN
_JTLE]:ENO
PRESET TITLE
HAPPY 81RTHDAY
t_* HAPPy HOLIDAYS
CONGRATULATIONS!
OUR SWEET BABY
WEDDING
[VACATION
THE END
_RETURN
[TITLE} END
_\IIII I
VACATION
"/I i i\ %
[TITLE] : END
4
VACATION
L
\_1111/
-VACATION-
/lllll \
[T tTLE] : END
44

Superimposing a title
To superimpose the title while you are recording
Press TITLE while you are recording, and carry out steps 2 to 5. When you press the
SEL/PUSH EXEC dial at step 5, the title is recorded.
To select the language of a preset title
If you want to change the language, select i_ before step 2. Then select, the desired
language and return to step 2.
If you display the menu while superimposing a title
Tile title is not recorded while the menu is displayed.
To use the custom title
If you want to use the custom title, select r'_ in step 2.
If you have not made any custom title, " ..." appears on the display.
Title setting
•The title color changes as follows :
WHITE _ YELLOW _ VIOLET _ RED _-_ CYAN _ GREEN _ BLUE
• The title size changes as follows :
SMALL *---*LARGE
You cannot input more than 12 characters in LARGE size.
• The title position changes as follows :
1----* 2*--* 3+---*4*--+ 5_--* 6*--* 7*---*8,---_ 9
The larger the position number, the lower the title is positioned.
When you select the title size LARGE, you cannot choose position 9.
When you are selecting and setting the title
You cannot record the title displayed on the screen.
When you superimpose a title while you are recording
The beep does not sound.
While you are playing back
You can superimpose a title. However, the title is not recorded on tape.
You can record a title when you dub a tape connecting your camcorder to the VCR with
the A/V connecting cable. If you use the i. LINK cable instead of the A/V connecting
cable, you cannot record the title.
t_
O
o
m
o
UI

Making your own titles
You can make up to two titles and store them in your camcorder. Each title can have up
to 20 characters.
(1) Press TITLE in the standby or VTR mode.
(2) Turn the SEL/PUSH EXEC dial to select _P, then press the dial.
(3) Turn the SEL/PUSH EXEC dial to select the first line (CUSTOM1) or second
line (CUSTOM2), then press the dial.
(4) Turn the SEL/PUSH EXEC dial to select the column of the desired character,
then press the dial.
(5) Turn the SEL/PUSH EXEC dial to select the desired character, then press the
dial.
(6) Repeat steps 4 and 5 until you have selected all characters and completed the
title.
(7) To finish making your own titles, turn the SEL/PUSH EXEC dial to select
[SET], then press the dial. The title is stored in memory.
(8) Press TITLE to make the title menu disappear.
1
TITLE
PRESET TITLE
_::_,HELLO!
{_ HAPPY BIRTHDAY
T_ HAPPY HOLIDAYS
mCONGRATUlaTIONS!
_ITLE]:END
_ OUR SWEET BABY
WEDDING
VACATION
THE END
2
ITITLESET
C3 CUSTOM1" - ."
4CUSTOM2 "•
[TITLE]:END
3
4o
@
_T_LSET
_'_RETUR"
{TITLE] :END
I TITLE SET
<_glETURN
[r _TLE]: END
TITLE SET PI
ABCDE 12345 SFV_£
FGHIJ 67890 Lie":
K_MNO _Ei0_
PQRST _ti6U [_p ]
UVWXY A_ {SET]
ZS ?_ _6kq8
'r/ _T_OA
{TITLE]:_ND
TITL_ SET P1
ABCOE 12345 $F¥_£
FGHIJ 67B90 _1€"
KLM_0 kEi_u [÷]
_ _EioO [_P ]
uvwxY _6_ {SET]
W]TLE]:END
TITLE SET P1
_BCDE 12345 $F¥_£
FGHIJ 6?890 _i_:
KLMNO A_IOU [ ÷ ]
P_@ _EiOU I*P ]
,/ _T00i
_ITLEJEN_
@TITLE SET P1
ABCDE 12345 $F¥_£
KLMNO AEIOU [ ÷ ]
_ST Atiou {_p )
UVWXY _6_ [SET}
[TITLEJ:END
TITLE SET P1
S
ABC_£ 12345 $F¥_£
FGHIJ 67890 _I_-
KLMNO _EI_U I ÷]
pOF_T AEi6u [_p ]
UVWXY _ {SET]
[TITLE]:_ND
O
46

Making your own titles
To change a title you have stored
In step 3, select CUSTOM1 or CUSTOM2, depending on which title you want to change,
then press the SEL/PUSH EXEC dial. Turn the SEL/PUSH EXEC dial to select [(-], then
press the dial to delete the title. The last character is erased. Enter the new title as
desired.
If you take 3 minutes or longer to enter characters in the standby mode while a
cassette is in your camcorder
The power automatically goes off. The characters you have entered remain stored in
memory. Set the POWER switch to OFF (CHARGE) once, and turn it to CAMERA
again, then proceed from step 1.
We recommend setting the POWER switch to VTR or removing the cassette so that your
camcorder does not automatically turn off while you are entering title characters.
If you select [÷P2]
The menu for selecting alphabet and Russian characters appear. Select [-)Pl] to return
to the previous screen.
To erase a character
Select [(-]. The last character is erased.
To enter a space
Select [Z& ?!], then select the blank part.
o.
,€
t_
a_
o.
_u
o
_a.
u_
o
"o
{0
B'
U_
47

Inserting a scene
You can insert a scene in the middle of arecorded tape by setting the start and end
points. The previously recorded frames between these start and end points will be
erased. Use the Remote Commander for this operation.
[a] [b]
(1) While your camcorder is in the standby mode, keep pressing EDITSEARCH,
and release the button at the insert end point [b].
(2) Press ZERO SET MEMORY. The ZERO SET MEMORY indicator flashes and
the counter resets to zero.
(3) Keep pressing the - @ side of EDITSEARCH and release the button at the
insert start point [a].
(4) Press START/STOP to start recording. The scene is inserted. Recording stops
automatically near the counter zero point. Your camcorder returns to the
standby mode.
ZERO SET
MEMORY EDITSEARCH
Notes
•The zero set memory function works only for tapes recorded in the Digital81) system.
• The picture and the sound may be distorted at the end of the inserted section when it
is played back.
If a tape has a blank portion in the recorded portions
The zero set memory function may not work correctly.
48

-- Advanced Playback Operations --
Playing back a tape with picture effects
During playback, you can process a scene using the picture effect functions: NEG.ART,
SEPIA, B&W and SOLARIZE.
During playback, press PICTURE EFFECT and turn the SEL/PUSH EXEC dial until the
desired picture effect indicator (NEG.ART, SEPIA, B&W or SOLARIZE) appears.
For details of each picture effect function, see page 36.
PICTURE
EFFECT
[_ NEG. ART
To cancel the picture effect function
Press PICTURE EFFECT.
Notes
•The picture effect function works only for tapes recorded in the Digital8 [) system.
• You cannot process externally input scenes using the picture effect function.
• You cannot record pictures that you have processed using the picture effect function
with this camcorder. To record pictures that you have processed using the picture
effect function, record the pictures on the VCR using your camcorder as a player.
Pictures processed by the picture effect function
Pictures processed by the picture effect function are not output through the _ DV IN/
OUT jack.
When you set the POWER switch to OFF (CHARGE) or stop playing back
The picture effect function is automatically canceled.
0.
o-
o
O
49

Playing back a tape with digital effects
During playback, you can process a scene using the digital effect functions: STILL,
FLASH, LUMI. and TRAIL.
(1) During playback, press DIGITAL EFFECT and turn the SEL/PUSH EXEC dial
until the desired digital effect indicator (STILL, FLASH, LUMI. or TRAIL)
flashes.
(2) Press the SEL/PUSH EXEC dial.
The digital effect indicator lights up and the bars appear. In the STILL or
LUMI. mode, the image where you press the SEL/PUSH EXEC dial is stored in
memory as a still image.
(3) Turn the SEL/PUSH EXEC dial to adjust the effect.
For details of each digital effect function, see page 37.
1
2
DIGITAL
EFFECT STILL Imllm
To cancel the digital effect function
Press DIGITAL EFFECT.
Notes
• The digital effect function works only for tapes recorded in the Digital8 l) system.
• You cannot process externally input scenes using the digital effect function.
• You cannot record images that you have processed using the digital effect function
with this camcorder. To record images that you have processed using the digital effect
function, record the images on the VCR using your camcorder as a player.
Pictures processed by the digital effect function
Pictures processed by the digital effect function are not output through the _ DV IN/
OUT jack.
When you set the POWER switch to OFF (CHARGE) or stop playing back
The digital effect function is automatically canceled.
5O

Enlarging recorded images - PB ZOOM
You can enlarge moving and still images recorded on tapes.
Besides the operation described here, your camcorder can enlarge still images recorded
on "Memory Stick"s.
(1) Press PB ZOOM on your camcorder while you are playing back. The image is
enlarged, and _ _ appears on the LCD screen or in the viewfinder.
(2) Turn SEL/PUSH EXEC dial to move the enlarged image, then press the dial.
: The image moves downwards.
: The image moves upwards.
_ becomes available.
(3) Turn SEL/PUSH EXEC dial to move the enlarged image, then press the dial.
*--- :The image moves rightward (Turn the dial downwards.)
--_ :The image moves leftward (Turn the dial upwards.)
1PB ZOOM
PB ZOOM
[EXECl :_ _, '_
IIIIIIII I I
&l
I'D
CI.
'1#
0"
I#
X"
o
"o
I'D
0
To cancel PB ZOOM function
Press PB ZOOM.
Notes
• PB ZOOM works only for tapes recorded in the Digital8 1) system.
•You cannot process externally input scenes using PB ZOOM function.
• You cannot record pictures that you have processed using PB ZOOM function with
this camcorder. To record pictures that you have processed using PB ZOOM function,
record the pictures on the VCR using your camcorder as a player.
Pictures processed by PB ZOOM function
Pictures processed by PB ZOOM function are not output through the _ DV IN/OUT
jack.
When you set the POWER switch to OFF (CHARGE) or stop playing back
PB ZOOM function is automatically canceled. 51

Quickly locating a scene using the zero
set memory function
Your camcorder goes forward or backward to automatically stop at a desired scene
having a counter value of "0:00:00".
Use the Remote Commander for this operation.
Use this function, for example, to view a desired scene later on during playback.
(1) In the playback mode, press DISPLAY.
(2) Press ZERO SET MEMORY at the point you want to locate later. The counter
shows "0:00:00" and the ZERO SET MEMORY indicator flashes.
(3) Press • when you want to stop playback.
(4) Press "_1 to rewind the tape to the counter's zero point. The tape stops
automatically when the counter reaches approximately zero. The ZERO SET
MEMORY indicator disappears and the time code appears.
(5) Press Imp. Playback starts from the counter's zero point.
DISPLAY
ZERO SET MEMORY
Notes
• The zero set memory function works only for tapes recorded in the Digital8 [) system.
• When you press ZERO SET MEMORY before rewinding the tape, the zero set memory
function is canceled.
• There may be a discrepancy of several seconds from the time code.
If a tape has a blank portion in the recorded portions
The zero set memory function may not work correctly.
ZERO SET MEMORY functions also in the standby mode
When you insert a scene in the middle of a recorded tape, press ZERO SET MEMORY at
the point you want to end the insertion. Rewind the tape to the insert start point, and
start recording. Recording stops automatically at the tape counter zero point. Your
camcorder returns to the standby mode.
52

Searching a recording by date
- Date search
You can automatically search for the point where the recording date changes and start
playback from that point (Date search). Use the Remote Commander for this operation.
Use this function to check where recording dates change or to edit the tape at each
recording date.
,--N
JUL 4 20vv - " JUL 5 2000
## •
[a] [b] [c]
2000
(1) Set the POWER switch to VTR.
(2) Press SEARCH MODE on the Remote Commander repeatedly, until the date
search indicator appears.
The indicator changes as follows:
DATE SEARCH -_ PHOTO SEARCH --* PHOTO SCAN
(3) When the current position is [b], press _ to search towards [a] or press
to search towards [€]. Your camcorder automatically starts playback at the
point where the date changes.
Each time you press _ or _, the camcorder searches for the previous or
next date.
o.
ca
o.
o"
O
"0
ca
0
I SEARCH
MODE DATE O0
SEARCH
To stopsearching
Press lll.
53

Searching a recording by date - Date search
Notes
• The date search works only for tapes recorded in the Digital8 E} system.
• If one day's recording is less than two minutes, your camcorder may not accurately
find the point where the recording date changes.
If a tape has a blank portion in the recorded portions
The date search functidn may not work correctly.
54

Searching for a photo
- Photo search/Photo scan
You can search for the recorded still image recorded on tape (photo search).
You can also search for still images one after another and display each image for five
seconds automatically (photo scan). Use the Remote Commander for these operations.
2
(1)Set the POWER'switch to VTR.
(2) Press SEARCH MODE on the Remote Commander repeatedly, until the photo
search indicator appears.
The indicator changes as follows:
DATE SEARCH --* PHOTO SEARCH _ PHOTO SCAN
(3) Press _ or _ to select the photo for playback. Each time you press _ or I_1_1,
the camcorder searches for the previous or next photo. Your camcorder
automatically starts playback from the photo.
SEARCH P.oTo 00
SEARCH
MODE
tD
Q.
,.u
o
"o
0
To stop searching
Press I.
55

Searching for a photo - Photo search/Photo scan
_a•,_i_ _ i! _i _ _i¸ _i ..... .... •_ ! _
:_€!nn_g pn Xo
(1) Set the POWER switch to VTR.
(2) Press SEARCH MODE on the Remote Commander repeatedly, until the photo scan
indicator appears.
The indicator changes as follows:
DATE SEARCH ---* PHOTO SEARCH ---* PHOTO SCAN
(3)Press _ or I_1_1.
Each photo is played back for about 5 seconds automatically.
SEARCH
MODE
To stop scanning
Press El.
Note
The photo search and photo scan work only for tapes recorded in the Digital8 _) system.
If a tape has a blank portion in the recorded portions
The photo search and photo scan functions may not work correctly.
56

-- Editing
Dubbing a tape
Using the A/V connecting cable
Connect your camcorder to the VCR using the A/V connecting cable supplied with
your camcorder.
(1) Insert a blank tape (or a tape you want to record over) into the VCR, and insert
the recorded tape into your camcorder.
(2) Set the input selector on the VCR to LINE. Refer to the operating instructions
of your VCR for more information.
(3) Set the POWER switch to VTR.
(4) Play back the recorded tape on your camcorder.
(5) Start recording on the VCR.
Refer to the operating instructions of your VCR for more information.
: Signal flow
S VIDEO
IN
S VIDEO
0 VIDEO
"".., }AODlO
m
VCR
When you have finished dubbing a tape
Press • on both your cam€order and the VCR.
If you have displayed the screen indicators on the "IV
Make the indicators disappear by pressing SEARCH MODE on the Remote
Commander, DISPLAY or DATA CODE so that they will not be superimposed on the
edited tape.
You can edit on VCRs that support the following systems:
[] 8 ram, Hi[] Hi8, _i_ VHS, _ S-VHS, _ VHSC, S[_]51_ S-VHSC, Ill Betamax,
ED Betamax, "i*l_"mini DV, 1_ DV or 1) Digital8
If your VCR is a monaural type
Connect the yellow plug of the A/V connecting cable to the video input jack and the
white or the red plug to the audio input jack on the VCR or the TV. When the white
plug is connected, the left channel audio is output, and the red plug is connected, the
right channel audio is output.
If your VCR has an S video jack
Connect using an S video cable (not supplied) to obtain high-quality pictures.
With this connection, you do not need to connect the yellow (video) plug of the A/V
connecting cable.
Connect an S video cable (not supplied) to the S video jacks of both your camcorder and
the VCR. 57

Dubbing a tape
Using the i.LINK cable (DV connecting cable)
Simply connect the i.LINK cable (DV connecting cable) (not supplied) to
DV IN/OUT and to DV IN/OUT of the DV products. With digital-to-digital
connection, video and audio signals are transmitted in digital form for high-quality
editing. You cannot dub the screen indicators.
(1) Insert a blank tape (or a tape you want to record over) into the VCR, and insert
the recorded tape into your camcorder.
(2) Set the input selector on the VCR to DV IN if it is available. Refer to the
operating instructions of your VCR for more information.
(3) Set the POWER switch to VTR.
(4) Play back the recorded tape on your camcorder.
(5) Start recording on the VCR.
Refer to the operating instructions of your VCR for more information.
_DVIN/OUT (not supplied)
: Signal flow
When you have finished dubbing a tape
Press • on both your camcorder and the VCR.
Note on tapes that are not recorded in the Digital8 [) system
The picture may fluctuate. This is not a malfunction.
During playback of tapes recorded in the Hig/standard 8 system
Digital signals are output as the image signals from the _ DV IN/OUT jack.
You can connect one VCR only using the i.LINK cable (DV connecting cable).
See page 104 for more infomation about i.LINK.
During digital editing
You cannot use PICTURE EFFECT or DIGITAL EFFECT button function.
If you record playback pause picture via the _DV IN/OUT jack
The recorded picture becomes rough. Also, when you play back the recorded pictures
on other video equipment, the picture may jitter.
58

Using with analog video unit and PC
- Signal convert function
You can capture images and sound from an analog video unit connected to a PC which
has the i. LINK (DV) jack to your camcorder.
Analog video signals --_ Digital video signals
(1) Set the POWER switch to VTR.
(2) Set A/V ---* DV OUT to ON in the menu settings. (P. 64)
(3) Start playback on the analog video unit.
(4) Start capturing procedures on your PC.
The operation procedures depend on your PC and the software which you use.
For details on how to capture images, refer to .the instruction manual of PC and
software.
AUDIO/VIDEO
m
OUT
S VIDEO
VIDEO
}AUO,O
VIDEO
VCR : Signal flow
(not supplied)
After capturing images and sound
Stop capturing procedares on your PC, and stop the playback on the analog video unit.
Notes
• You need to install software which can exchange video signals.
• Depending on the condition of the analog video signals, the PC may not be able to
output the images correctly when you convert analog video signals into digital video
signals via your camcorder. Depending on the analog video unit, the image may
contain noise or incorrect colors.
• You cannot record or capture the video output via your camcorder when the video
includes copyright protection signals such as ID - 2 system.
Kq

Recording video or TV programs
Using the A/V connecting cable
You can record a tape from another VCR or a TV program from a TV that has video/
audio outputs. Use your camcorder as a recorder.
(1) Insert a blank tape (or a tape you want to record over) into your camcorder. If
you are recording a tape from the VCR, insert a recorded tape into the VCR.
(2) Set the POWER switch to VTR.
(3) Set DISPLAY to LCD in the menu settings (p. 64).
(4) Press • REC and the button on its right simultaneously on your camcorder,
then immediately press I I on your camcorder.
(5) Press IJ_ on the VCR to start playback if you are recording a tape from VCR.
Select a TV program if you are recording from TV.
The picture from a TV or VCR appears on the LCD screen or in the viewfinder.
(6) Press I I on your camcorder at the scene where you want to start recording
from.
4PAUSE
OUT
S VIDEO
VIDEO
AUDIO/VIDEO
,---N, : Signal flow
6O
When you have finished dubbing a tape
Press • on both your camcorder and the VCR.
Notes
•To enable smooth transition, we recommend that you do not mix pictures recorded in
the Hi8/standard 8 with the Digital8 [) system on a tape.
• If you fast-forward or slow-playback on the other equipment, the image being
recorded may fluctuate. When recording from other equipment, be sure to play back
the original tape at normal speed.
If your VCR is a monaural type
Connect the yellow plug of the A/V connecting cable to the video output jack and the
white or the red plug to the audio output jack on the VCR or the TV. When the white
plug is connected, the left channel audio is output, and the red plug is connected, the
right channel audio is output.
If your TV or VCR has an S video jack
Connect using an S video cable (not supplied) to obtain high-quality pictures.
With this connection, you do not need to connect the yellow (video) plug of the A/V
connecting cable.
Connect an S video cable (not supplied) to the S video jacks of both your camcorder and
the TV or VCR.

Recording video or TV programs
Using the i.LINK cable (DV connecting cable)
Simply connect the i.LINK cable (DV connecting cable) (not supplied) to
DV IN/OUT and to DV IN/OUT of the DV products. With digital-to-digital
connection, video and audio signals are transmitted in digital form for high-quality
editing.
(1) Insert a blank tape (or a tape you want to record over) into your camcorder,
and insert the recorded tape into the VCR.
(2) Set the POWER switch to VTR.
(3) Set DISPLAY to LCD in the menu settings (p. 64).
(4) Press • REC and the button on its right simultaneously on your camcorder,
then immediately press | I on your camcorder.
(5) Press I_ on the VCR to start playback.
The picture from a TV or VCR appears on the LCD screen or in the viewfinder.
(6) Press II on your camcorder at the scene where you want to start recording
from. a.
m.
DV IN/OUT
(not supplied) J
: Signal flow
[DVIN/OUT
When you have finished dubbing a tape
Press • on both your camcorder and the VCR.
You can connect one VCR only using the i.LINK cable (DV connecting cable).
During digital editing
The color of the display may be uneven. However this does not affect the dubbed
picture.
If you record playback pause picture with the _DV IN/OUT jack
The recorded picture becomes rough. And when you play back the picture using your
camcorder, the picture may jitter.
Before recording
Make sure if the DV IN indicator appears the on LCD screen or in the viewfinder by
pressing DISPLAY. The DV IN indicator may appear on both equipment.
61

Inserting a scene from a VCR
- Insert Editing
You can insert a new scene from a VCR onto your originally recorded tape by
specifying the insert start and end points.
Use the Remote Commander for this operation.
Connections are the same as in "Recording video or TV programs" on page 60, 61.
Insert a cassette containing the desired scene to insert into the VCR.
[a] I
[b] [c]
I I
62

Inserting a scene from a VCR - Insert Editing
(1) Set the POWER switch to VTR.
(2) On the VCR, locate just before the insert start point [a], then press I I to set the VCR
to the playback pause mode.
(3)On your camcorder, locate the insert end point [c] by pressing _ or I_1_. Then
press |1 to set it to the playback pause mode.
(4) Press ZERO SET MEMORY on the Remote Commander. The ZERO SET MEMORY
indicator flashes and the end point of the insert is stored in memory.
(5)On your camcorder, locate the insert start point [b] by pressing ,91_, then press
• REC and the button on its right simultaneously to set your camcorder to the
recording pause mode.
(6) First press I I on the VCR, and after a few seconds press I I on your camcorder to
start inserting the new scene.
Inserting automatically stops near the zero point on the counter. Your camcorder
automatically stops. The end point [c] of the insert stored in memory is canceled.
5
m
ZERO SET
MEMORY
To change the insert end point
Press ZERO SET MEMORY again after step 5to erase the ZERO SET MEMORY
indicator and begin from step 3.
Notes
• The zero set memory function works only for tapes recorded in the Digital8 l) system.
• The picture and sound recorded on the section between the insert start and end points
will be erased when you insert the new scene.
When the inserted picture is played back
The picture may be distorted at the end of the inserted section. This is not a
malfunction.
To insert a scene without setting the insert end point
Skip step 3 and 4. Press • when you want to stop inserting.
63

Customizing Your Camcorder --
Changing the menu settings
To change the mode settings in the menu settings, select the menu items with the SEL/
PUSH EXEC dial. The default settings can be partially changed. First, select the icon,
then the menu item and then the mode.
(1) In CAMERA, VTR or MEMORY mode, press MENU.
(2) Turn the SEL/PUSH EXEC dial to select the desired icon, then press the dial to
set.
(3) Turn the SEL/PUSH EXEC dial to select the desired item, then press the dial to
set.
(4) Turn the SEL/PUSH EXEC dial to select the desired mode, and press the dial
to set.
(5) If you want to change other items, select _ RETURN and press the dial, then
repeat steps from 2 to 4.
For details, see "Selecting the mode setting of each item" (p. 65).
1I CAMERA
MENU II4MAAUNTUOALSHSTET
Q
[MENUI : END
I VTR
I VT R SET
1_'1HiFi SOUND
_" TBC
AUDIO MIX
P8 MODE
_¢ A/V_DV OUT
{MENU] :END
[MEMORY ]
I= CAMERA SET
'1_'=DZOOM
_i_ STeADYSHOT
NS LfGHT
[MENU} : t_ND
M_NUAL SET
_,'AUTOSHTR I_'_
OTHERS
_' WORLDTIME
_ t1_ SEEP
COMMANDER
_ DISPLAY
REC LAMP
_C_INDICATOR
O.R
BEEP
_6' COMMANDER
DISPLAY
REC LAMP
_C41NOICATOR
roO oHml
BEEP
OTHERS
WORLD TIME
_4 _ BEEP
_ONDISP_Y
REC _MP
_INDICATOR
MANUAL SET
_WORLOTIME
MANDER N
BEEP
_ISP_Y OFF
REC _MP
INDICATOR
MANUAL SET ]
O_WORLD TIME
q_' BEEP
/_DISPLAY [_:_ZZZ_Z] I
I _ REC LAMP 1
_c INDICATOR
_RETURN
OTHERS
_r WORLDTIME
g OFF
_ ISPLAY
REC LAMP
=m=41NDICATOR
_RETURN
64
To make the menu display disappear
Press MENU.

Changing the menu settings
Menu items are displayed as the following icons:
[] MANUAL SET
[] CAMERA SET
[] VTR SET
[] LCD/VF SET (DCR-TRV525)
LCD SET (DCR-TRV520)
[] MEMORY SET
[] TAPE SET
[] SETUP MENU
[] OTHERS
Seie_ing the mode setting of each item • is the default setting.
Menu items differ according to the position of the POWER switch.
The LCD screen and the viewfinder shows only the items you can operate at the
moment.
Icon/item
[] AUTO SHTR
[] D ZOOM
16:9WIDE
STEADYSHOT
N.S. LIGHT
Mode
• ON
OFF
•OFF
Meaning
To automatically activate the electronic shutter
when shooting in bright conditions
To not automatically activate the electronic
shutter even when shooting in bright conditions
To deactivate digital zoom. Up to 25x zoom is
carried out.
50x To activate digital zoom. More than 25x to 50x
zoom is performed digitally. (p. 18)
450x To activate digital zoom. More than 25x to 450x
zoom is performed digitally. (p. 18)
• OFF
ON
•ON
OFF
• ON
OFF
To record a 16:9 wide picture (p. 32)
To compensate for camera-shake
To cancel the SteadyShot function. Natural
pictures are produced when shooting a stationary
object with a tripod.
To use the NightShot Light function (p. 20)
To cancel the NightShot Light function
POWER
switch
CAMERA
CAMERA
MEMORY
CAMERA
CAMERA
MEMORY
CAMERA
MEMORY
t_
3.
N,
t_
,<
O
t-1
3
8
&
Notes on the SteadyShot function
• The SteadyShot function will not correct excessive camera-shake.
• Attachment of a conversion lens (not supplied) may influence the SteadyShot
function.
If you cancel the SteadyShot function
The SteadyShot off indicator _, appears. Your camcorder prevents excessive
compensation for camera-shake.
65

Changing the menu settings
POWER
Icon/item Mode Meaning switch
HiFi SOUND •STEREO To play back a stereo tape or dual sound track VTR
tape with main and sub sound
1 To play back a stereo tape with the left sound
or a dual sound track tape with main sound
2 To play back a stereo tape with the right sound
or a dual sound track tape with sub sound
TBC* •ON To correct jitter VTR
OFF To not correct jitter. Set TBC to OFF when
playing back a tape on which you have dubbed
over and recorded the signal of a TV game or
similar machine.
TBC stands for "Time Base Corrector'.
DNR* • ON To reduce picture noise VTR
OFF To reduce a conspicuous afterimage when the
picture has a lot of movement
DNR stands for "Digital Noise Reduction".
AUDIO MIX -- To adjust the balance between the stereo 1 and VTR
stereo 2
II I
ST1 ,A. ST2
PB MODE •AUTO
I,II Iiiiiii
A/V "--_DV OUT • OFF
ON
To automatically select the system (HIS/
standard 8 or Digital8 [1) that was used to
record on the tape, and play back the tape
To play back a tape that was recorded in the
Hi8/standard 8 system when your camcorder
does not automatically distinguish the
recording system
To convert digital video signals into analog
video signals via your camcorder.
To convert analog video signals into digital
video siginals via your camcorder
"A/V --_ DV" appears on the LCD screen or in
the viewfinder. (P. 59)
VTR
VTR
* When you play back tapes recorded in the Hi8/standard 8 system only.
Notes on AUDIO MIX
• When playing back a tape recorded in the 16-bit mode, you cannot adjust the balance.
• You can adjust the balance only for tapes recorded in the Digital8 {_ system.
Note on PB MODE
The mode will return to the default setting when:
-you remove the battery pack or power source.
-you turn the POWER switch.
66

Changing the menu settings
POWER
Icon/item Mode Meaning switch
LCD B.L. • BRT NORMAL To set the brightness on the LCD screen normal VTR
BRIGHT To brighten the LCD screen CAMERA
MEMORY
LCD COLOR
VF B.L* •BRT NORMAL
BRIGHT
To adjust the color on the LCD screen, turning VTR
the SEL/PUSH EXEC dial to adjust the CAMERA
following bar _- j MEMORY
A
to lighten _ V- to darken
To set the brightness in the viewfinder normal VTR
To brighten viewfinder CAMERA
MEMORY
CONTINUOUS •OFF
MULTI SCRN
QUALITY •FINE
STANDARD
FLD./FRAME •FIELD
FRAME
PRINT MARK •OFF
ON
PROTECT •OFF
ON
Not to record continuously MEMORY
To record 9 images continuously (p. 78)
To record still images in the fine image quality VTR
mode, using the "Memory Stick" MEMORY
To record still images in the standard image
quality mode, using the "Memory Stick"
To record movin_ subjects MEMORY _"
To record stopping subjects in high quality 5.
_.
To cancel print marks on still images VTR =
To write a print mark on the recorded still MEMORY
images you want to print out later o
Not to protect still images VTR
To protect selected still images against MEMORY
accidental erasure (p. 97) 8
To play back images in a continuous loop _-
(p. 95)
To delete all the images (p. 99) VTR
MEMORY
SLIDE SHOW
DELETE ALL
FORMAT
MEMORY
• RETURN To cancel formatting. VTR
FORMAT To format an inserted "Memory Stick." MEMORY
1. Select FORMAT with the SEL/PUSH EXEC
dial, then press the dial.
2. Turn the SEL/PUSH EXEC dial to select
FORMAT, thenpress the dial.
3. After EXECUTE appears, press the SEL/
PUSH EXEC dial. FORMATTING appears
during formatting. COMPLETE appears when
formattin_ is finished.
PHOTO SAVE To duplicate still images (p. 87) VTR
*DCR-TRV525 only
Notes on LCD B.L. and VF B.L.
• When you select BRIGHT, battery life is reduced by about 10 percent during recording.
• When you use power sources other than the battery pack, BRIGHT is automatically
selected.
Notes on formatting
• Supplied or optional "Memory Stick"s have been formatted at factory. Formatting with this
camcorder is not required.
• Do not turn the POWER switch or press any button while the display shows
FORMATTING_
• You cannot format the "Memory Stick" if the write-protect tab on the "Memory Stick" is set
to LOCK.
• Format again if the message _fl appears.
Formatting erases all information on the "Memory Stick"
Check the contents of the "Memory Stick" before formatting.
• Formatting erases sample images on the "Memory Stick."
Formatting erases the protected linage data on the Memory Stick. 67

Changing the menu settings
POWER
Icon/item Mode Meaning switch
I_1 RECMODE •SP To record in the SP (Standard Play) mode VTR
LP To increase the recording time to 1.5 times the CAMERA
SP mode
AUDIO MODE •12BIT
16B1T
I_ REMAIN •AUTO
DATA CODE
ON
• DATE/CAM
DATE
To record or play back in the 12-bit mode (two VTR*
stereo sounds) CAMERA
To record or play back in the 16-bit mode (the
one stereo sound with high quality)
To display the remaining tape bar:
• for about 8 seconds after your camcorder is
turned on and calculates the remaining
amount of tape
• for about 8 seconds after a cassette is inserted
and your camcorder calculates the remaining
amount of tape
• for about 8 seconds after I_ is pressed in
VTR mode
• for about 8 seconds after DISPLAY is pressed
to display the screen indicators
• for the period of tape rewinding, forwarding
or picture search in the VTR mode
To always display the remaining tape bar
To display date, time and recording data
during playback
To display date and time during playback
VTR
CAMERA
VTR
Note on REC MODE
When you record on the standard 8 [] tape, your camcorder records in the SP mode
even you select the LP mode in the menu settings. In this case, the indicator "8mm
TAPE _ SP REC, Hi8 TAPE _ LP/SP REC" appears on the LCD screen or in the
viewfinder. Use the Hi8 Hi [] tapes for the LP mode.
Notes on the LP mode
•When you record a tape in the LP mode on your camcorder, we recommend playing
the tape on your camcorder. When you play back the tape on other camcorders or
VCRs, noise may occur in images or sound.
•When you record in the SP and LP modes on one tape or you record some scenes in
the LP mode, the playback image may be distorted or the time code may not be
written properly between scenes.
Note on AUDIO MODE
When playing back a tape recorded in the 16-bit mode, you cannot adjust the balance in
AUDIO MIX.
*To dub a tape to another VCR
You cannot select AUDIO MODE for tapes recorded in the Digital8 [) system. You,
however, can select AUDIO MODE when you dub tapes recorded in the Hi8/standard
8 system to another VCR using the i.LINK cable.
68

Changing the menu settings
POWER
Icon/item Mode Meaning switch
CLOCKSET -- To reset the date or time (p. 71) CAMERA
MEMORY
AUTO TV ON •OFF VTR
ON To automatically turn on the Sony TV when CAMERA
using the super laser link function MEMORY
"IVINPUT
LTR SIZE
DEMO MODE
• VIDEO1
VIDEO2
VIDEO3
To switch the video input on a Sony TV when VTR
using the super laser link function (p. 28) CAMERA
MEMORY
OFF
• NORMAL
2x
•ON
OFF
To display selected menu items in normal size VTR
To display selected menu items at twice the CAMERA
normal size MEMORY
To make the demonstration appear CAMERA
To cancel the demonstration mode
O
3
Ill
,<
O
Notes on DEMO MODE
• You cannot select DEMO MODE when a cassette is inserted in your camcorder.
• DEMO MODE is set to STBY (Standby) at the factory and the demonstration starts
about 10 minutes after you have set the POWER switch to CAMERA without a e_
cassette inserted. 3
To cancel the demonstration, insert a cassette, set the POWER switch to other than
CAMERA, or set DEMO MODE to OFF. II.
• When NIGHTSHOT is set to ON, the "NIGHTSHOT" indicator appears on the LCD
screen or in the viewfinder and you cannot select DEMO MODE in the menu settings.
69

Changing the menu settings
Icon/item Mode
WORLD TIME --
BEEP • MELODY
COMMANDER
NORMAL
OFF
• ON
OFF
DISPLAY •LCD
REC LAMP
INDICATOR
Meaning
To set the clock to the local time.
Turn the SEL/PUSH EXEC dial to set a time
difference. The clock changes by the time
difference you set here. If you set the time
difference to 0, the clock returns to the
originally set time.
To output the melody when you start/stop
recording or when an unusual condition occurs
on your camcorder
To output the beep instead of the melody
To cancel all sound including shutter sound
To activate the Remote Commander supplied
with your camcorder
To deactivate the Remote Commander to avoid
remote control misoperation caused by other
VCR's remote control
To show the display on the LCD screen and in
the viewfinder
V-OUT/LCD
• ON
OFF
• BL OFF
BLON
To show the display on the TV screen, LCD
screen and in the viewfinder
POWER
switch
CAMERA
MEMORY
VTR
CAMERA
MEMORY
VTR
CAMERA
MEMORY
VTR
CAMERA
MEMORY
To light up the camera recording lamp at the CAMERA
front of your camcorder MEMORY
To turn the camera recording lamp off so that
the subject is not aware of the recording
To turn off the backlight on display window
To turn on the backlight
VTR
CAMERA
MEMORY
Note
If you press DISPLAY with DISPLAY set to V-OUT/LCD in the menu settings, the
picture from a TV or VCR will not appear on the LCD screen even when your
camcorder is connected to outputs on the TV or VCR. (Except when your camcorder is
connected with the i. LINK cable)
In more than 5 minutes after removing the power source
The AUDIO MIX, COMMANDER and HiFi SOUND items are returned to their default
settings.
The other menu items are held in memory even when the battery is removed, as long as
the lithium battery is installed.
Notes on INDICATOR
• When you select BL ON, battery life is reduced by about 10 percent during recording.
• When you use power sources other than the battery pack, BL ON is automatically
selected.
7O

Resetting the date and time
The default clock setting is set to East Coast Standard Time.
The date and time are held in memory by the lithium battery. If you replace the lithium
battery with the battery pack or other power source connected, you need not reset the
date and time.
You must reset the date and time when the lithium battery becomes dead with no
power source installed.
First, set the year, then the month, the day, the hour and then the minute.
(1) While the camcorder is in the standby mode, press MENU to display the menu
settings.
(2) Turn the SEL/PUSH EXEC dial to select [_, then press the dial.
(3) Turn the SEL/PUSH EXEC dial to select CLOCK SET, then press the dial.
(4) Turn the SEL/PUSH EXEC dial to adjust the desired year, then press the dial.
(5) Set the month, day and hour by turning the SEL/PUSH EXEC dial and
pressing the dial.
(6) Set the minute by turning the SEL/PUSH EXEC dial and pressing the dial by
the time signal. The c!ock starts to move.
(7) Press MENU to make the menu settings disappear.
_JAN
_t
12 00 AM
2000
''ii
10 O0 AM
6
]
WAUTO TV ON _* _ MI
_g TV INPUT 2000 JUL 4
eu LTR SiZE i * i
_, DEMO k_E
_1¢ _ORETURN ¢ ¢
MENU : END J
_<m_TvAUTOWON_LTRINPUTsIZEMoDE5:30:00PM I
_ _ETURN
[MENUJ:END
The year changes as follows:
1999 *--_ 2000 *-- .... _ 2029
T T
If you do not set the date and time
.... --:-:--" is recorded on the tape and the "Memory Stick".
Note on the time indicator
The internal clock of your camcorder operates on a 12-hour cycle.
• 12:00 AM stands for midnight.
•12:00 PM stands for noon. 71

"Memory Stick" operations --
Using "Memory Stick"-introdu ion
You can record and play back still images on the "Memory Stick" supplied with your
camcorder. You can easily play back, record or delete still images. You can exchange
image data with other equipment such as a personal computer etc., using the serial port
adaptor for "Memory Stick" (not supplied) or PC card adaptor for "Memory Stick" (not
supplied).
On file format (JPEG)
Your camcorder compresses image data in JPEG format (extension .jpg).
Typical image data file name
100-0001: This file name appears on the LCD screen or in the viewfinder of your
camcorder.
Dsc00001.jpg: This file name appears on the display of your personal computer.
Before using "Memory Stick"
Terminal
Write-protect tab ,__ _
Labeling position
• You cannot record or erase still images when the write-protect tab on the "Memory
Stick" is set to LOCK,
• We recommend backing up important data.
• Image data may be damaged in the following cases:
- If you remove the "Memory Stick", turn the power off, or detach the battery for
replacement when the access lamp is flashing
-If you use "Memory Stick's near static electricity or magnetic fields.
• Prevent metallic objects or your finger from coming into contact with the metal parts
of the connecting section.
• Stick its label on the labeling position.
• Do not bend, drop or apply strong shock to "Memory Stick's.
• Do not disassemble or modify "Memory Stick's.
• Do not let "Memory Stick's get wet.
• Do not use or keep "Memory Sfick's in locations that are:
- Extremely hot such as in a car parked in the sun or under the scorching sun
- Under direct sunlight
- Very humid or subject to corrosive gases
• When you carry or store a "Memory Stick", put it in its case.
72

Using "Memory Stick"-introduction
Formatting the supplied "Memory Stick"
Formatting with this camcorder is not required. The "Memory Stick" has been
formatted in the FAT-format at factory.
"Memory Stick" supplied with your camcorder
• Sample images are recorded in the "Memory Stick" (p. 84). Note that these images will
be deleted if you format the "Memory Stick." o
• Stick the supplied label on the labeling position to prevent the accidental erasure. As
for the labeling position, see the illustration on the previous page.
"Memory Stick"s formatted by a computer
"Memory Stick"s formatted by Windows OS or Macintosh computers do not have a
guaranteed compatibility with this camcorder.
Notes on image data compatibility
• Image data files recorded on "Memory Stick's by your camcorder conform with the
Design Rules for Camera File Systems universal standard established by the JEIDA
(Japan Electronic Industry Development Association). You cannot play back on your
camcorder still images recorded on other equipment (DCR-TRV890E/TRV900/
TRV900E or DSC-D700/D770) that does not conform with this universal standard.
(These models are not sold in some areas.)
• If you cannot use the "Memory Stick" that has been used on other equipment, format
the "Memory Stick" on your camcorder following the steps on page 67. Note that all
images on the "Memory Stick" will be deleted if you format it.
"Memory Stick" and _ are trademarks of Sony Corporation.
_EMORY 5TICK
rD
3
O
O
"o
O
73

Using "Memory Stick"-introduction
Inserting "Memory Stick"
(1) Open the lid of the cassette compartment.
(2) Insert the "Memory Stick" with the • mark facing toward the "Memory Stick"
compartment as illustrated until it clicks.
(3) Close the lid of the cassette compartment.
To eject the "Memory Stick"
Open the lid of the cassette compartment, then press the "Memory Stick" once lightly.
The "Memory Stick" pops up.
When the access lamp is lit or flashing
Do not shake or strike your camcorder. Do not turn the power off, eject the "Memory
Stick" or remove the battery pack. Otherwise, the image data breakdown may occur.
74

Using "Memory Stick'-introduction
Selecting image quality mode
You can select image quality mode in still image recording. Default setting is FINE.
(1) Set the POWER switch to VTR or MEMORY. Make sure that the LOCK is set to
the right (unlock) position.
(2) Press MENU to make the menu display appear.
(3) Turn the SEL/PUSH EXEC dial to select _, _hen press the dial.
(4) Turn the SEL/PUSH EXEC dial to select QUALITY, then press the dial.
(5) Turn the SEL/PUSH EXEC dial to select the desired image quality, then press
the dial.
(6) Press MENU to erase the menu display.
3
4
5
_'_OFF
'_ QUALITY
_,FLD./FRAME
I_1 _ _ PRINT MARK
_c PROTECT
[_ _ SLIDE SHOW
DELETE ALL
FORMAT
_RETURN
[MENUI:END
MEMORY SET
'1_ CONTINUOUS
_4FLD /FRAME STANDARD
_PRINT MARK
eTC PROTECT
SLIDE SHOW
DELETE ALL
FORMAT
_RETURN
[MENU] : END
MEMORYSET
• t" CONTINUOUS
_'STANDARD
_'FLD./FRAME
PRINT MARK
_c PROTECT
SLIDE SHOW
DELETE ALL
FORMAT
;;3RETURN
[MENU]:END
3
O
,2
M_
0
0
Note
In some cases, changing the image quality mode may not affect the image quality,
depending on the types of images you are shooting.
75

Using "Memory Stick"-introduction
Image quality settings
Setting Meaning
FINE (FINE) Use this mode when you want to record high quality
images. The image is compressed to about 1/6.
STANDARD (STD) This is the standard image quality. The image is
compressed to abou_ 1/10.
Differences in image quality mode
Recorded images are compressed in JPEG format before being stored into memory. The
memory capacity allotted to each image varies depending on the selected image quality
mode. Details are shown in the table below. (The number of pixels is 640 x 480,
regardless of image quality mode. The data size before compression is about 600 KB.)
Image quality mode Memory capacity
FINE About 100 KB
STANDARD About 60 KB
Approximate number of images you can record on a "Memory Stick"
The approximate number of images you can record on a "Memory Stick" formatted
using this camcorder varies depending on which image quality mode you select and the
complexity of the subject.
Maximum number of images you can record on a "Memory Stick"
Setting 4MB 8MB 16MB 32MB 64MB
FINE 40 81 164 329 659
STANDARD 60 122 246 494 988
Note on the image quality mode indicator
This is only displayed during recording.
76

Recording still images on "Memory
Stick" - Memory Photo recording
You can select the FIELD or FRAME mode in still image recording. Your camcorder
compensates for camera-shake when recording moving subjects in the FIELD mode.
Your camcorder records still images in high quality in the FRAME mode. Select the
FIELD or FRAME in the menu settings (p. 64).
Before operation
Insert a "Memory Stick" into your camcorder.
(1) Set the POWER switch to MEMORY. Make sure that the LOCK is set to the
right (unlock) position.
(2) Keep pressing PHOTO lightly. The green • mark stops flashing, then lights
up. The brightness of the image and focus are adjusted, being targeted for the
middle of the image and are fixed. Recording does not start yet.
(3) Press PHOTO deeper. The image displayed on the screen will be recorded on
the "Memory Stick". Recording is complete when the bar scroll indicator
disappears.
3
O
O
"o
a
O
2_NE,._.,_'-"-"_ -- Number of images can be recorded
on the "Memory Stick"
-- Number of recorded images
3
®FINE Illllll[_ i
Notes
•When recording fast-moving subjects in the FRAME mode, the recorded image blurry.
• When recording in the FRAME mode, your camcorder may not correct camera-shake.
We recommend that you shoot objects with a tripod.
• When recording still images at step 2 with the PHOTO button pressed lightly, the
image momentarily flickers. This is not a malfunction.
• Before you shoot in autofocus mode, check that the subject is in sharp focus.
• The brightness of the picture and focus are adjusted on the center portion of the
image. 77

Recording still images on "Memory Stick"
- Memory Photo recording
When the POWER switch is set to MEMORY
The following functions do not work:
wide mode, digital effect, picture effect, title, low lux mode of PROGRAM AE.
When you are recording a still image
You can neither turn off the power nor press PHOTO.
When you press the PHOTO'button on the Remote Commander
Your camcorder immediately records the image that is on the screen when you press
the button.
You can record still images continuously.
Multi screen mode
You can record 9 still images continuously on a single page.
78

Recording still images on "Memory Stick"
- Memory Photo recording
(1) Set the POWER switch to MEMORY. Make sure that the LOCK is set to the
right (unlock) position.
(2) Press MENU to make the menu display appear.
(3) Turn the SEL/PUSH EXEC dial to select [], then press the dial.
(4) Turn the SEL/PUSH EXEC dial to select CONTINUOUS, then press the dial.
(5) Turn the SEL/PUSH EXEC dial to select the desired setting, then press the
dial.
(6) Press MENU to erase the menu display.
MENU
®
4
5
LOCK
I OFF
QUALITY
D4FLD /FRAME
PRINT MARK
PROTECT
SLIDE SHOW
[MENU]:END
DELETE ALL
FORMAT
RETURN
_OFF
_ QUALITY
_4FLD/FRAME
_ PRINT MARK
_ PROTECT
_ SLIDE SHOW
DELETE ALL
FORMAT
_ETURN
[MENU]:END
MEMORYSET
_ CONTINUOU_]OFF I
_' QUALITY MULTISCRN
_4FLD /FRAME
[MENU]:END
[_ _ PRtNT MAAK
_PROTECT
_SLIDE SHOW
DELETE ALL
FONMAT
_ETURN
_' QUALITY
_4FLD_IFR_E
_ PRINT MARK
'_ PROTECT
_ SLIDE SHOW
DELETE ALL
POR_T
_EIURN
[MENUI_D
0
O
"o
0
If the capacity of the "Memory Stick" becomes full
"_ FULL" appears on the LCD screen or in the viewfinder, and you cannot record still
images on the "Memory Stick"
79

Recording still images on "Memory Stick"
- Memory Photo recording
Continuous shooting settings
Setting Meaning (indicator on the screen)
OFF Your camcorder shoots one image at a time. (no indicator)
MULTI SCRN Your camcorder shoots 9 still images at about 0.3 sec intervals and
displays the images on a single page divided into 9 boxes. ( _ )
Note on using the video flash light (not supplied)
The video flash light does not work in the multi screen mode if you install it to the
accessory shoe.
8O

Recording still images on "Memory Stick"
- Memory Photo recording
You can record still images on "Memory Stick"s with the self-timer. This mode is useful
when you want to record yourself. You can use the Remote Commander for this
operation.
(1) Set the POWER switch to MEMORY. Make sure that the LOCK is set to the
right (unlock) position.
(2) Press _ (self-timer). The _ (self-timer) indicator appears on the LCD screen
or in the viewfinder.
(3) Press PHOTO firmly.
Self-timer starts counting down from 10 with a beep sound. In the last two
seconds of the countdown, the beep sound gets faster, then recordIng starts
automatically.
PHOTO
(self-timer) __
PHOTO
3
0
0
ro
0
To cancel self-timer recording
Press _.) (self-timer) so that the _) indicator disappears from the LCD or viewfinder
screen while your eamcorder is in the standby mode. You cannot cancel self-timer
recording with Remote Commander.
Note
The self-timer recording mode is automatically cancelled when:
- Self-timer recording is finished.
- The POWER switch is set to OFF (CHARGE) or VTR.
81

Superimposing a still image in the
"Memory Stick" on a moving image
- MEMORY MIX
You can superimpose a still image you have recorded on the "Memory Stick" on top of
the moving image you are recording.
M. CHROM (Memory chroma key)
You can swap a blue area of a still image such as an illustration or a frame with a
moving image.
M. LUMI (Memory luminance key)
You can swap a brighter area of a still image such as a handwritten illustlation or title
with a moving image. Record a title on the "Memory Stick" before a trip or event for
convenience.
C, CHROM (Camera chroma key)
You can superimpose a moving image on top of a still image such as an image can be
used as background. Shoot the subject against a blue background. The blue area of the
moving image will be swapped with a still image.
M. OVERLAP (Memory overlap)
You can make a moving image fade in on top of a still image.
Still image Moving image
M. CHROM
le
Still image
+
Moving image
M. LUMI mY
Still image
C. CHROM
Moving image
+
Blue
Still image Still image +
Moving image
Moving image
M. OVERLAP
82

Superimposing a still image in the "Memory Stick" on a moving
image - MEMORY MIX
2
Before operation
Insert a Hi8 Him/Digital8 l) tape for recording and a "Memory Stick" into your
camcorder.
(1) Set the POWER switch to CAMERA.
(2) Press MEMORY MIX in the standby mode.
The last recorded or last composed image appears on the lower part of the
screen as a thumbnail image.
(3) Press MEMORY+/- to select the still image you want to superimpose.
To see the previous image, press MEMORY . To see the next image, press
MEMORY+.
(4) Turn the SEL/PUSH EXEC dial to select the desired mode.
The mode changes as follows:
M. CHROM _ M. LUMI _ C. CHROM _ M. OVERLAP
(5) Press the SEL/PUSH EXEC dial.
The still image is superimposed on the moving image.
(6) Turn the SEL/PUSH EXEC dial to adjust the effect.
M. CHROM - The color (blue) scheme of the area in the still image which is
to be swapped with a moving image
M. LUMI - The color (bright) scheme of the area in the still image which
is to be swapped with a moving image
C. CHROM - The color (blue) scheme of the area in the moving image
which is to be swapped with a still image
M. OVERLAP - No adjustment necessary
The fewer bars there are on the screen, the stronger the effect.
(7) Press START/STOP to start recording.
MEMORYMIX
Still image
+
3
0
,2
o
0
83

Superimposing a still image in the "Memory Stick" on a moving
image - MEMORY MIX
To change the still image to superimpose
Do either of the following:
-Press MEMORY+/-before step 7.
- Press the SEL/PUSH EXEC dial before step 7, and repeat the procedure from step 4.
To change the mode setting
Press the SEL/PUSH EXEC dial before step 7, and repeat the procedure from step 4.
To cancel M. CHROM/M. LUMI/C. CHROM/M.OVERLAP
Press MEMORY MIX.
During recording
You cannot change the mode setting.
The "Memory Stick" supplied with your camcorder stores 20 images
-For M. CHROM: 18 images (such as a frame) 100-0001-100-0018
- For C. CHROM: 2 images (such as a background) 100-0019~100-0020
Sample images
Sample images stored in the "Memory Stick" supplied with your camcorder are
protected (p. 97).
When you select M.OVERLAP
You cannot change the still image or the mode setting.
84

Recording an image from a tape as a still
image
Your camcorder can read moving image data recorded on a tape in the Digital8 t)
system, and record it as a still image on a "Memory Stick."
Your camcorder can also take in moving image data through the input connector and
record it as a still image on a "Memory Stick."
Before operation
Insert a tape recorded in the Digital8 1) system and a "Memory Stick" into your
camcorder.
(1) Set the POWER switch to VTR.
(2) Press I1_. The image recorded on the tape is played back.
(3) Keep pressing PHOTO lightly until the image from the tape freezes.
CAPTURE appears on the LCD screen or in the viewfinder. Recording does
not start yet,
(4) Press PHOTO deeper. The image displayed on the screen will be recorded on
the "Memory Stick". Recording is complete when the bar scroll indicator
disappears.
4
i-a
3
O
0
0
When the acccess lamp is lit or flashing
Never shake or strike the unit. Also do not turn the power off, eject the "Memory Stick"
or remove the battery pack. Otherwise, an image data breakdown may occur.
If _'_ appears on the LCD screen or in the viewfinder
The inserted "Memory Stick" is imcompartible with your camcorder because its format
does not comform with your camcorder. Check the format of the "Memory Stick".
If you press PHOTO lightly in the playback mode
Your camcorder stops momentarily.
Sound recorded on a tape
You cannot record the audio from a tape.
Titles superimposed on tapes
You cannot record the titles on the "Memory Stick." However, you can record titles
which have already been recorded on tapes.
When you press PHOTO on the Remote Commander
Your camcorder immediately records the image that is on the screen when you press
the button. 85

Recording an image from a tape as a still image
Recording a still image from other equipment
(1) Set the POWER switch to VTR and set DISPLAY to LCD in the menu settings.
(2) Play back the recorded tape, or turn the TV on to see the desired program.
The image from TV or VCR appears on the LCD or in the viewfinder.
(3) Follow the steps 3 and 4 on page 85.
Using the AN connecting cable
VCR
OUT
S VIDEO
VIDEO
AUDIO/VIDEO
t
: Signal flow
Connect the yellow plug of the A/V connecting cable to the video jack on the VCR or
the TV.
If your TV or VCR has an $ video jack
Connect using an S video cable (not supplied) to obtain high-quality pictures.
With this connection, you do not need to connect the yellow (video) plug of the A/V
connecting cable.
Connect an S video cable (not supplied) to the S video jacks of both your cameorder and
the TV or VCR.
Using the i.LINK cable (the DV connecting cable)
DV $ VIDEO ULANC
DV OUT
86
(not supplied)
:Signal flow
DV IN/OUT

Copying still images from a tape
- Photo save
Using the search function, you can automatically take in only still images from tapes
recorded in the Digital8 E) system and record them on a "Memory Stick" in sequence.
Before operation
• Insert a tape recorded in the Digital8 _) system and rewind the tape.
• Insert a "Memory Stick" into your camcorder.
(1) Set the POWER switch to VTR.
(2) Press MENU to make the menu display appear.
(3) Turn the SEL/PUSH EXEC dial to select [], then press the dia!.
(4) Turn the SEL/PUSH EXEC dial to select PHOTO SAVE, then press the dial.
PHOTO BUXTON appears on the LCD screen or in the viewfinder.
(5) Press PHOTO firmly. The still image from the tape is recorded on the
"Memory Stick". The number of still images copied is displayed. END is
displayed when copying is completed.
PHOTO SAV E I1_.0:00 00 : 00 i PHOTO S/WE 0:300000
21 /40E 25/40_
MENU _ _ F,NE F_NE
SAV 1NG -'_ END
0 4
[MENU]:ENO [MENU]:_ND
3
[MENU]:ENO
MEMORYSET
I_ QUALITY
I_' pRINT MARK
K39PROTECT
I:_ DELETE ALL
_t FOAMAT
rn_ READY
{MENUj:ENO
PHOTO SAVE 0:00:00 :O0
FIN_
PHOTO BUTTON
[PHOTO]START [MENUIEND
(g
3
O
O
O
87

Copying still images from a tape - Photo save
To stop copying
Press MENU to stop copying.
When the memory of the "Memory Stick" is full
MEMORY FULL appears on the LCD screen, and the copying stops, Insert another
"Memory Stick" and repeat the procedure from step 2.
When the access lamp is lit or flashing
Never shake or strike your camcorder. As well do not turn the power off, eject the
"Memory Stick" or remove the battery pack. Otherwise, the image data breakdown
may occur.
To record all the images recorded on the tape
Rewind the tape all the way back and start copying.
If the write-protect tab on the "Memory Stick" is set to LOCK
NOT READY appears when you select PHOTO SAVE in the menu settings.
When you change the "Memory Stick" in the middle of copying
Your camcorder resumes copying from the last image recorded on the previous
"Memory Stick".
88

Viewing a still image
- Memory Photo playback
You can play back still images recorded on a "Memory Stick". You can also play back 6
images at a time by selecting the index screen.
Before operation
Insert a "Memory Stick" into your camcorder.
(1) Set the POWER switch to MEMORY or VTR. Make sure that the LOCK is set to
the right (unlock) position.
(2) Open the LCD panel while pressing OPEN.
(3) Press MEMORY PLAY. The last recorded image is displayed.
(4) Press MEMORY +/- to select the desired still image. To see the previous
image, press MEMORY -. To see the next image, press MEMORY +.
LOCK
.-t-
3
0
0
"0
(D
0
To stop memory photo playback
Press MEMORY PLAY.
To play back recorded images on a TV screen
• Connect your camcorder to the TV with the A/V connecting cable supplied with your
camcorder before the operation.
• When operating memory photo playback on a TV or the LCD screen, the image
quality may appear to have deteriorated. This is not a malfunction. The image data is
as good as ever.
• Turn the audio volume of the TV down before operation, or noise (howling) may be
output from the TV speakers.
If "_3 NO FILE" appears on the LCD screen or in the viewfinder
No image is recorded on the "Memory Stick."
Image data modified with personal computers or shot with other equipment
You may not be able to play them back with your camcorder.
89

Viewing a still image - Memory Photo playback
Screen indicators during still image playback
Data file name
Image number/Total number of recorded images
Print mark
Protect indicator
Playing back 6 recorded images at a time (index SCreen)
You can play back 6 recorded images at a time. This function is especially useful when
searching for a particular image.
MEMORY ")
PLAY INDEX DELETE
_ MEMORY INDEX
Press MEMORY INDEX.
A red • mark appears above the image that is displayed before changing to the index
screen mode.
Z Z52
100-0006 6 /40_
-- • mark
9O
• To display the following 6 images, keep pressing MEMORY +.
• To display the previous 6 images, keep pressing MEMORY -.
To return to the normal playback screen (single screen)
Press MEMORY +/- to move the • mark to the image you want to display on full
screen, then press MEMORY PLAY.

Viewing a still image - Memory Photo playback
Note
When displaying the index screen, the number appears above each image. This
indicates the order in which images are recorded on the "Memory Stick". These
numbers are different from the data file names.
Files modified with personal computers
These files may not be displayed on the index screen, hnage files shot with other
equipment may not be displayed on the index screen either.
Viewing the recorded images using a personal computer
The image data recorded with your camcorder is compressed in the JPEG format. If you
use the application software, PictureGear 4.1Lite supplied with your camcorder, you
can see images recorded on the "Memory Stick" on a computer screen. Use the PC serial
cable supplied with your camcorder for this operation.
I,•
: Signal flow
Serial port
LANC _/ "t
DIGITAL I/O
v ............
PC serial cable (supplied)
3
0
0
"o
0
91

Copying the image recorded on "Memory
Stick" to tapes
You can copy still images or titles recorded on "Memory Stick"s and record them to
Hi8 Hi m/Digital8 _) tapes.
Before operation
Insert a Hi8 Him/Digital8 l) tape for recording and a "Memory Stick" into your
camcorder.
(1) Set the POWER switch to VTR.
(2) Using the video control buttons, search a point where you want to record the
desired still image. Set the Hi8 Hi IR/Digital8 t_ tape to playback pause mode.
(3) Press • REC and the button on its right simultaneously on your camcorder.
The Hi8 HI []/Digital8 t) tape is set to the recording pause mode.
(4) Press MEMORY PLAY to play back the still image you want to copy (p. 89).
(5) Press || to start recording and press I| again to stop.
(6) If you have more to copy, repeat steps 4 and 5.
3
5
To stop copying in the middle
Press I.
92

Copying the image recorded on "Memory Stick" to tapes
During copying
You cannot operate the following buttons:
MEMORY PLAY, MEMORY INDEX, MEMORY DELETE, MEMORY MIX, MEMORY +
and MEMORY -.
Note on the index screen
You cannot record the index screen.
If you press the EDITSEARCH buttons during pause mode
Memory playback stops.
Image data modified with personal computers or shot with other equipment
You may not be able to copy them with your camcorder.
If you press the DISPLAY button in the standby or recording mode
You can see memory playback and the file name indicators in addition to the indicators
pertinent to Hi8 HI Ill/Digital8 [} tapes, such as the time code indicator.
When copying
You cannot copy the image recorded on "Memory Stick" with titles to tapes. 3
O
O
"o
O
93

Enlarging still images recorded on
"Memory Stick"s- Memory PB ZOOM
You can enlarge still images recorded on a "Memory Stick."
Before operetion
Insert a "Memory Stick" into your camcorder.
(1) Set the POWER switch to MEMORY or VTR. Make sure that the Lock is set to
the right (unlock) position.
(2) Press PB ZOOM on your camcorder while you are playing back images
recorded on "Memory Stick." The still image is enlarged, and T_ appears on
the LCD screen or in the viewfinder.
(3) Turn SEL/PUSH EXEC dial to move the enlarged image, then press the dial.
T: The image moves downward.
: The image moves upward.
*-- ---* becomes available.
(4) Turn SEL/PUSH EXEC dial to move the enlarged image, then press the dial.
*-- :The image moves rightward. (Turn the dial downward.)
--* :The image moves leftward. (Turn the dial upward.)
1
2
LOCK
PB ZOOM
PB ZOOM
_l_ll," [EXEC] : _ T
To cancel memory PB ZOOM function
Press PB ZOOM.
Pictures processed by PB ZOOM function
Pictures processed by PB ZOOM function are not output through the _ DV IN/OUT
jack.
94

Playing back images in a continuous loop
- SLIDE SHOW
You can automatically play back images in sequence. This function is useful especially
when checking recorded images or during a presentation.
Before operation
Insert a "Memory Stick" into your camcorder.
(1) Set the POWER switch to MEMORY. Make sure that the LOCK is set to the
right (unlock) position.
(2) Press MENU to make the menu display appear.
(3) Turn the SEL/PUSH EXEC dial to select [_1, then press the dial.
(4) Turn the SEL/PUSH EXEC dial to select SLIDE SHOW, then press the dial.
(5) Press MEMORY PLAY. Your camcorder plays back the images recorded on the
"Memory Stick" in sequence.
MENU
Q
PLAY
LOCK
l_ OFF
_4FLD /FRAME
PRINT MARK
PROTECT
SLIDE SHOW
DELETE ALL
FORMAT
40_ETURN
,,. EMo YsETs .DEs OW l,4O l_READY [M PLAy]START
ii_ CONTINUOUS 100-0021
q_' OUALITY
D_FLDIFRAME
pRiNT MARK
_c PROTECT
DELETE ALL
FORMAT
;1O_ETURN
[MENUI:END [MENU]END
3
O
O
O
To stop the slide show
Press MENU.
To pause during a slide show
Press MEMORY PLAY.
To start the slide show from a particular image
Select the desired image using MEMORY +/- buttons before step 2.
95

Playing back images in a continuous loop - SLIDE SHOW
To view the recorded images on TV
Connect your camcorder to a TV with the A/V connecting cable supplied with your
camcorder before operation.
If you change the "Memory Stick" during operation
The slide show does not operate. If you change the "Memory Stick", be sure to follow
the steps again from the beginning.
96

Preventing accidental erasure
- Image protection
To prevent accidental erasure of important images, you can protect selected images.
Before operation
Insert a "Memory Stick" into your camcorder.
(1) Set the POWER switch to MEMORY or VTR. Make sure that the LOCK is set to
the right (unlock) position.
(2) Play back the image you want to protect (p. 89).
(3) Press MENU to make the menu display appear.
{4) Turn the SEL/PUSH EXEC dial to select D, then press the dial.
(5) Turn the SEL/PUSH EXEC dial to select PROTECT, then press the dial.
(6) Turn the SEL/PUSH EXEC dial to select ON, then press the dial.
(7) Press MENU to erase the menu display. The o--. mark is displayed beside the
data file name of the protected image.
LOCK
MENU
®
_I'_OFF
_ _ QUALITy
_,FLD IFRAME
_ _ PRINT MARK
_PROTECT
_ SLIDE SHOW
DELETE ALL
FORMAT
_N:tETURN
{MENU]:END
5
I MEMORY SET 21/40D _ll_l. MEMORY SET 21/40_
_1 CONTINUOUS
_' QUALITY _QUALITyCONTINUOUS
D_FLO./FRAME _4FLD/FRAME
_ RINT M RK >_ PRI T MARK
I T SLIDE SHOW _ SLIDE SHOW_
DELETE ALL DELETE ALL
FORMAT _ORMA_
_ETURN **}RETURN
6MEMORY SET 21/40_
_E_ _/_ "CONTINUOU_
_QUALITY
OIELO/FRAME
_ P INT MARK
_ ON
SLIDE SHOW
DELETE ALL
FORMAT
_ETURN
[MENU]:END
m
o
o
I'D
P_
0
To cancel image protection
Select OFF in step 6, then press the SEL/PUSH EXEC dial.
Note
Formatting erases all information on the "Memory Stick", including the protected
image data. Check the contents of the "Memory Stick" before formatting.
If the write-protect tab on the "Memory Stick" is set to LOCK
You cannot carry out image protection. 97

Deleting images
You can delete images stored in a "Memory Stick."
Before operation
Insert a "Memory Stick" into your camcorder.
Deleting selected images
(1) Set the POWER switch to MEMORY or VTR. Make sure that the LOCK is set to
the right (unlock) position.
(2) Play back the image you want to delete (p. 89).
(3) Press MEMORY DELETE. "DELETE?" appears on the LCD screen.
(4) Press MEMORY DELETE again. The selected image is deleted.
LOCK
4DELETE
3
DELETE 21 /40 _I
10o-oo21
DELETE?
DELETE] :DEL [ ] :CANCELJ
To cancel deleting an image
Press MEMORY - Lnstep 4.
To delete an image displayed on the index screen
Press MEMORY +/- to move the _ indicator to the desired image and follow steps 3
and 4.
Notes
• To delete a protected image, first cancel image protection.
• Once you delete an image, you cannot restore it. Check the images to delete carefully
before deleting them.
98

Deleting images
Deleting all the images
You can delete all the unprotected images in the "Memory Stick".
(1) Set the POWER switch to MEMORY or VTR. Make sure that the LOCK is set to
the right (unlock) position.
(2) Press MENU to make the menu display appear.
(3) Turn the SEL/PUSH EXEC dial to select D, then press the dial.
(4) Turn the SEL/PUSH EXEC dial to select DELETE ALL, then press the dial.
(5) Turn the SEL/PUSH EXEC dial to select OK, then press the dial. OK changes
to EXECUTE.
(6) Turn the SEL/PUSH EXEC dial to select EXECUTE, then press the dial.
DELETING appears on the LCD screen. When all the unprotected images are
deleted, COMPLETE is displayed.
MENU
®
4
5
IMEMORYSE T
CONTINUOUS
QUALITY
[_4FLD/FRAME
PRINT MARK
_c PROTECT
_READY
FORMAT
_ErURN
[MENU]:END
lMEMORYSET
_ CONTINUOUS
QUALITY
_,FLD/FRAME
PRINT MARK
PROTECT
lFORMAT OK
_ETURN
IMENUI:ENO
IMEMORYSE T]
CONTINUOUS
QUALITY
PRINT MARK
r_ PROTECT
_4R_TVRN
/ FORMAT _1
_ETURN
[MENU];ENO
MEMORYSET 1
_1_ _1 CONTINUOUS
QUALITY
D4FLD./FRAME
PRINT MARK
r_ PROTECT
SLIDE SHOW
_4RETURN
I FORMAT _I
1 _ETURN
[MENU]:END
MEMORY SET MEMORY SET ]
_' CONTINUOUS _ CONTrNUOUS
_i_ _ QUALITY _' QUALITY
_4FLD /FRAME _,IFLD /FRAME
_PRkNT MARK _ pRI_IT MARK
_pROTECT _PROTECT
_ IOE H W • _ ID W
_1_ _'DE_ET,Na _,COMP_ETE
FORMAT L
[_J _ETURN FORMAT,_ETURN
MENU END (MENUl :ENO
¢D
3
0
ol
0
"0
O_
P0
0
To cancel deleting all the images in the "Memory Stick"
Select RETURN in step 5, then press the SEL/PUSH EXEC. 99

Deleting images
While DELETING appears
Do not turn the POWER switch or press any buttons.
If the write-protect tab on the "Memory Stick" is set to LOCK
You cannot delete images.
100

Writing a print mark - PRINT MARK
You can specify the recorded still image to print out. This function is useful for printing
out still images later.
Your camcorder conforms with the DPOF (Digital Print Order Format) standard for
specifying the still images to print out.
Before operation
Insert a "Memory Stick" into your camcorder.
(1) Set the POWER switch to MEMORY or VTR. Make sure that the LOCK is set to
the right (un!ock) position.
(2) Play back the image you want to write a print mark. (p. 89)
(3) Press MENU to display the menu.
(4) Turn the SEL/PUSH EXEC dial to select [_, then press the dial.
(5) Turn the SEL/PUSH EXEC dial to select PRINT MARK, then press the dial.
(6) Turn the SEL/PUSH EXEC dial to select ON, then press the dial.
(7) Press MENU to erase the menu display. The J3," mark is displayed beside the
data file name of the image with a print mark.
LOCK
MENU 4'1[_ OFF
_ i [_ _ QUALITY
D_ FLD • /FRAME
i/ ._'_ _ PRINT MARK
!_PROTECT
I_ SLIDE SHOW
DELETE ALL
FORMAT
_URN
[MENUI :END
1B' CONTINUOUS _,* _ CONTINUOUS
QUALITY _ QUALITY
K:_,IFLD /FRAME
_ OFF _ _4 FLD, /FRAME
Ere PROTECT r,c PROTECT
SLIDE SHOW El _ SLIDE SHOW
DELETE ALL DELETE ALL
FORMAT FORMAT
_qETURN _ETURN
[MENU] : END [MENU 1 : ENO
6liC 'ME_ORYSET 21 /40!_]
_m" CONTINUOUS
_[f QUALITY
_:_,FLDIFRAME
_oN
_ SLIDE SHOW
DELETE ALL
FORMAT
_ETURN
[MENO]ENO
k
tO
3
O
O
"o
m
p.
O
To cancel writing print marks
Select OFF in step 6, then press the SEL/PUSH EXEC dial.
If the write-protect tab on the "Memory Stick" is set to LOCK
You cannot write print marks on still images. 101

-- Additional Information --
Digital8 [1 system, recording and
playback
What is the "Digital8 _1 system"?
This video system has been developed to enable digital recording to Hi8 Hi[/Digital8
l) video cassette.
Usable cassette tapes
We recommend using Hi8 Hi[/Digital8 l) video cassette. *
The recording time when you use your Digital8 l) system camcorder on Hi8 It|[/
standard 8 [ tape is half the recording time when using the conventional Hi8 H|I_I/
standard 8 [ system camcorder. (120 minutes of recording time becomes 60 minutes in
the SP mode.)
• If you use standard 8 [ tape, be sure to play back the tape on this camcorder. Mosaic
pattern noise may appear when you play back standard 8 [ tape on other VCRs
(including other DCR-TRV520/TRV525).
Note
Tapes recorded in the Digital8 |) system cannot be played back on Hi8 Hi []/I/standard 8
[ (analog) system machine.
[ is a trademark.
Hi[ is a trademark.
I[) is a trademark.
The Digital8 E) system or Hi8 Him/standard 8 [ system is automatically detected
before the tape is played back.
During playback of tapes recorded in the Hi8 Him/standard 8 [ system, digital signals
are output as the image signals from the _ DV IN/OUT jack.
Display during automatic detection of system
The Digital8 [) system or Hi8 I'11[]/I/standard 8 [ system is automatically detected, and
the playback system is automatically switched to. During switching of systems, the
screen turns blue, and the following displays appear. A hissing noise also sometimes
can be heard.
[) --* HI [/lil: During switching from Digital8 t) to Hi8 HI []/standard 8 [
Hi I/I/[ --_ E): During switching from Hi8 H|l/I/standard 8 [ to Digital8 |)
When you play back
Using any other video camera recorder, you cannnot record on a tape that has recorded
copyright control signals for copyright protection of software which is played back on
your camcorder.
When you record
You cannot record software on your camcorder that contains copyright control signals
for copyright protection of software.
COPY INHIBIT appears on the LCD screen, in the viewfinder or on the TV screen if you
try to record such software. Your camcorder does not record copyright control signals
on the tape when it records.
102

Digital8 [) system, recording and playback
When you playback a dual sound track tape
When you use tapes recorded in the Digital8 [) system
When you play back a Digital8 |) system tape which is dubbed from a dual sound track
tape recorded in the DV system, set HiFi SOUND to the desired mode in the menu
settings (p. 64).
Sound from speaker
HiFi Sound Playing back Playing back a dual
Mode a stereo tape sound track tape
STEREO Stereo Main sound and sub sound
1 Lch Main sound
2 Rch Sub sound
When you use a tape recorded in the Hi8/standard 8 system
When you play back a dual sound track tape recorded in an AFM HiFi stereo system,
set HiFi SOUND to the desired mode in the menu settings (p. 64).
Sound from speaker
HiFi Sound Playing back Playing back a dual
Mode a stereo tape sound track tape
STEREO Stereo Main sound and sub sound
1 Monaural Main sound
2 Unnatural Sound Sub sound
You cannot record dual sound programs on your camcorder.
Q.
O
DJ
o
o
103

About i.LINK
The DV jack on this unit is an i.LINK-compliant DV input/output jack. This section
describes the i.LINK standard and its features.
What is "i.LINK"?
i.LINK is a digital serial interface for handling digital video, digital audio and other
data in two directions between equipment having the i.LINK jack, and for controlling
other equipment.
i.LINK-compatible equipment can be connected by a single i.LINK cable. Possible
applications are operations and data transactions with various digital AV equipment.
When two or more i.LINK-compatible equipment are connected to this unit in a daisy
chain, operations and data transactions are possible with not only the equipment that
this unit is connected to but also with other devices via the directly connected
equipment.
Note, however, that the method of operation sometimes varies according to the
characteristics and specifications of the equipment to be connected, and that operations
and data transactions are sometimes not possible on some connected equipment.
Note
Normally, only one piece of equipment can be connected to this unit by the i.LINK
cable (DV cable). When connecting this unit to i.LINK-compatible equipment having
two or more i.LINK jacks (DV jacks), refer to the instruction manual of the equipment to
be connected.
i.LINK is a more familiar term for IEEE 1394 data transport bus proposed by SONY,
and is a trademark approved by many corporations.
IEEE 1394 is an international standard standardized by the Institute of Electrical and
Electronic Engineers.
i.LINK's maximum baud rate varies according to the equipment. Three maximum baud
rates are defined:
$100 (approx. 100Mbps*)
$200 (approx. 200Mbps)
$400 (approx. 400Mbps)
The baud rate is listed under "Specifications" in the instruction manual of each
equipment. It is also indicated near the i.LINK jack on some equipment.
The maximum baud rate of equipment on which it is not indicated such as this unit is
"$100".
When units are unit is connected to equipment having a different maximum baud rate,
the baud rate sometimes differs from the indicated baud rate.
* What is "Mbps'?
Mbps stands for megabits per second, or the amount of data that can be sent or received
in one second. For example, a baud rate of 100Mbps means that 100 megabits of data
can be sent in one second.
104

About i.LINK
iiLINK Functions on this unit
For details on how to dub when this unit is connected to other video equipment having
DV jacks, see page 86.
This unit can also be connected to other i.LINK (DV) compatible equipment made by
SONY (e.g. VAIO series personal computer) other than video equipment.
Before connecting this unit to a personal computer, make sure that application software
supported by this unit is already installed on the personal computer.
For details on precautions when connecting this unit, also refer to the instruction
manuals for the equipment to be connected.
Required i.EiNK Cabie
Use the Sony i.LINK 4-pin-to-4-pin cable (during DV dubbing).
i.LINK and _, are trademarks.
m.
e_
o
O
105

Changing the lithium battery in your
camcorder
When replacing the lithium battery, keep the battery pack or other power source
attached. Otherwise, you will need to reset the date, time and other items in the menu
settings hold in memory by the lithium battery.
Insert the battery with the positive (+) side facing out. When the battery becomes weak
or dead, the K_indicator flashes on the LCD screen or in the viewfinder for about 5
seconds when you set the POWER switch to CAMERA or MEMORY. In this case,
replace the battery with a Sony CR2025 or Duracell DL-2025 lithium battery. Use of
any other battery may present a risk of fire or explosion. Discard used batteries
according to the manufacturer's instructions.
(+) (-)
WARNING
The battery may explode if mistreated. Do not recharge, disassemble, nor dispose of it
in fire.
Lithium battery
• Keep the lithium battery out of the reach of children.
• Should the battery be swallowed, immediately consult a doctor.
• Wipe the battery with a dry cloth to ensure good contact.
Lithium battery installed at the factory
This battery may not last 1year.
106

Changing the lithium battery in your camcorder
Changing the lithium battery
(1) Open the LCD panel and open the lid of the lithium battery compartment.
(2) Push the lithium battery in the direction of the arrow and pull it out from the
holder.
(3) Install a Sony CR2025 or Duracell DL-2025 lithium battery with the positive (+)
side facing out.
(4) Close the lid.
1
3
2
4
o.
o.
o
o
107

Troubleshooting
If you run into any problem using your camcorder, use the following table to
troubleshoot the problem. If the problem persists, disconnect the power source and
contact your Sony dealer or local authorized Sony service facility. If "C:Dr-I:DE3"
appears on the LCD screen, in the viewfinder or the display window, the self-diagnosis
display function has worked. See page 113.
Inthe ;recording mode
Symptom Cause and/or Corrective Actions
START/STOP does not operate. •The POWER switch is set to OFF (CHARGE), VTR or
The power goes off.
The image on the viewfinder screen
is not clean
The SteadyShot function does not
work.
The autofocusing function does not
work.
The fader function does not work.
The picture does not appear in the
viewfinder.
You cannot record in the LP mode.
MEMORY.
-) Set it to CAMERA. (p. 16)
• The tape has run out.
-), Rewind the tape or insert a new one. (p. 15, 24)
• The write-protect tab is set to expose the red mark.
"_ Use a new tape or slide the tab. (p. 15)
• The tape is stuck to the drum (moisture condensation).
-_ Remove the cassette and leave your camcorder for at
least i hour to acclimatize. (p. 117)
• While being operated in CAMERA mode, your camcorder
has been in the standby mode for more than 3 minutes.
-) Set the POWER switch to OFF (CHARGE) and then to
CAMERA again. (p. 16)
• The viewfinder lens is not adjusted.
-) Adjust the viewfinder lens. (p. 19)
• STEADYSHOT is set to OFF in the menu settings.
-) Set it to ON. (p. 64)
• 16:9WIDE is set to ON in the menu settings.
"_Set it to OFF. (p. 64)
• FOCUS is set to MANUAL.
-)' Set it to AUTO. (p. 43)
• Shooting conditions are not suitable for autofocus.
-_ Set FOCUS to MANUAL to focus manually. (p. 43)
• The digital effect function is working.
-) Cancel it. (p. 37)
• The LCD panel is open.
-)' Close the LCD panel. (p. 17)
• The tape is the standard 8 tape.
-) Use Hi8 HI I_l/Digital8 [) tapes. (p. 68)
108

Troubleshooting
Symptom
A vertical band appears when you
shoot a subject such as lights or a
candle flame against a dark
background.
Cause and/or Corrective Actions
• The contrast between the subject and background is too
high. This is not a malfunction.
A vertical band appears when you
shoot a very bright subject.
Some tiny white spots appear on the
LCD screen or in the viewfinder.
An unknown picture is displayed on
the LCD screen or in the viewfinder.
The picture is recorded in incorrect
or unnatural colors.
Picture appears too bright, and the
subject does not appear on the LCD
screen or in the viewfinder.
A horizontal black band appears
when shooting a TV screen or
computer screen.
• This is not a malfunction.
• Slow shutter, low lux or Super NightShot mode is
activated. This is not a malfunction.
• If 10 minutes elapse after you set the POWER switch to
CAMERA or DEMO MODE is set to ON in the menu
settings without a cassette inserted, your camcorder
automatically starts the demonstration.
Insert a cassette and the demonstration stops.
You can also cancel DEMO MODE. (p. 69)
• NIGHTSHOT is set to ON.
"_ Set it to OFF. (p. 20)
• NIGHTSHOT is set to ON in a bright place.
-) Set it to OFF, or use the NightShot function in a dark
place. (p. 20)
• Set STEADYSHOT to OFF in the menu setting. (P. 64)
Symptom
The tape does not move when a
video control button is pressed.
The playback button does not work.
There are horizontal lines on the
picture or the playback picture is
not clear or does not appear.
No sound or only a low sound is
heard when playing back a tape.
Cause and/or Corrective Actions
• The POWER switch is set to CAMERA, MEMORY or OFF
(CHARGE).
-_ Set it to VTR. (p. 24)
• The tape has run out.
4, Rewind the tape. (p. 24)
• The video head may be dirty.
"_ Clean the heads using the Sony V8-25CLD cleaning
cassette (not supplied). (p. 118)
• The stereo tape is played back with HiFi SOUND set to 2
in the menu settings.
"_ Set it to STEREO. (p. 64)
• The volume is turned to minimum.
") Open the LCD panel and press VOLUME +. (p. 24)
• AUDIO MIX is set to ST2 side in the menu settings.
") Adjust AUDIO MIX. (p. 64)
The date search does not work * The tape has a blank portion in the recorded portion
correctly. (p. 53)
The picture which is recorded in the • PB MODE is set to Hi 1_1/1_1in the menu settings.
Digital8 |} system is not played back. -) Set it to AUTO. (p. 64)
The tape which is recorded in the Hi8 • Set PB MODE to I'll lrfl/m in the menu settings. (p. 64)
/standard 8 system is not played
back correctly.
(Continued on the following page)
o.
o.
O
3
109

Troubleshooting
In the recording and playback modes
Symptom Cause and/or Corrective Actions
The power does not turn on. • The battery pack is not installed, or is dead or nearly dead.
4. Install a charged battery pack. (p. 10, 11)
• The AC power adaptor is not connected to a wall outlet.
4, Connect the AC power adaptor to a wall outlet. (p. 14)
The end search function does not * The tape was ejected after recording.
work. • You have not recorded on the new cassette yet.
The end search function does not • The tape has a blank portion in the beginning or middle.
work correctly.
The battery pack is quickly • The operating temperature is too low.
discharged. • The battery pack is not fully charged.
4. Charge the battery pack fully again. (p. 11)
• The battery pack is completely dead, and cannot be
recharged.
4. Replace with a new battery pack. (p. 10)
• You have used the battery pack in an extremely hot or
cold environment for a long time.
• The battery pack is completely dead, and cannot be
recharged.
4. Replace with a new battery pack. (p. 10)
• The battery is dead.
4, Use a charged battery pack. (p. 10, 11)
• Charge the battery pack fully again so that the indication
on the battery remaining indicator is correct.
The battery remaining
indicator does not indicate
the correct time.
The power goes off although the
battery remaining indicator indicates
that the battery pack has enough
power to operate.
The cassette cannot be removed from • The power source is disconnected.
the holder. 4. Connect it firmly. (p. 11, 14)
• The battery is dead.
4, Use a charged battery pack. (p. 10, 11)
The [] and A indicators flash and no • Moisture condensation has occurred.
functions except for cassette ejection 4, Remove the cassette and leave your camcorder for at
work. least 1 hour to acclimatize. (p. 117)
110

Troubleshooting
When operating usung the Memo St!Ok
Symptom Cause and/or Corrective Actions
The "Memory Stick" does not • The POWER switch is set to CAMERA or OFF (CHARGE).
function. ") Set it to MEMORY. (p. 77)
• The "Memory Stick" is not inserted.
4" Insert a "Memory Stick". (p. 74)
Recording does not function. • The "Memory Stick" has already been recorded to its full
capacity.
4, Erase unnecessary images and record again. (p. 77, 98)
• The "Memory Stick" formatted incorrectly is inserted.
4, Format the "Memory Stick" on your camcorder or use
another "Memory Stick." (p. 67)
• The write-protect tab on the "Memory Stick" is set to
LOCK.
4, Release the lock. (p. 72)
•The write-protect tab on the "Memory Stick" is set to
LOCK.
4, Release the lock. (p. 72)
• The image is protected.
-) Cancel image protection. (p. 97)
• The write-protect tab on the "Memory Stick" is set to
LOCK.
4, Release the lock. (p. 72)
• The write-protect tab on the "Memory Stick" is set to
LOCK.
4, Release the lock. (p. 72)
• The write-protect tab on the "Memory Stick" is set to
LOCK.
4, Release the lock. (p. 72)
• The image to protect is not played back.
4, Press MEMORY PLAY to play back the image. (p. 89)
• The write-protect tab on the "Memory Stick" is set to
LOCK.
4, Release the lock. (p. 72)
• The image to write a print mark is not played back.
4, Press MEMORY PLAY to play back the image. (p. 89)
• The write-protect tab on the "Memory Stick" is set to
LOCK.
The image cannot be deleted.
You cannot format the "Memory
Stick".
Deleting all the images cannot be
carried out.
You cannot protect the image.
You cannot write a print mark on
the still image.
The photo save function does not
work.
4, Release the lock. (p. 72)
o.
O
O
(Continued on the following page) 111

Troubleshooting
hers
Symptom Cause and/or Corrective Actions
The Remote Commander supplied
with your camcorder does not work.
The picture from a TV or VCR does
not appear even when your
camcorder is connected to outputs on
the TV or VCR.
•COMMANDER is set to OFF in the menu settings.
•_ Set it to ON. (p. 64)
• Something is blocking the infrared rays.
Remove the obstacle.
• The batteries are inserted in the battery holder with the
+ - polarities incorrectly matching the + - marks.
-_ Insert the batteries with the correct polarity. (p. 128)
• The batteries are dead.
-_ Insert new ones. (p. 128)
• DISPLAY is set to V-OUT/LCD in the menu settings.
-1, Set it to LCD. (p. 64)
The melody or beep sounds for 5
seconds.
While charging the battery pack, no
indicator appears or the indicator
flashes in the display window.
•Moisture condensation has occurred.
"_ Remove the cassette and leave your camcorder for at
least I hour to acclimatize. (p. 117)
• Some troubles has occurred in your camcorder.
"_ Remove the cassette and insert it again, then operate
your camcorder.
• The AC power adaptor is disconnected.
Connect it firmly. (p. 14)
• Something is wrong with the battery pack.
÷ Contact your Sony dealer or local authorized Sony
service facility.
112

Self-diagnosis display
Your camcorder has a self-diagnosis display
function.
This function displays the current condition of
your camcorder as a 5-digit code (a combination of
a letter and figures) on the LCD screen, in the
viewfinder, or in the display window.
If a 5-digit code is displayed, check the following
code chart. The last two digits (indicated by DE])
will differ depending on the state of your
camcorder.
LCD screen, viewfinder or
display window
-4121:6bq
/
Self-diagnosis display
° C:OE]:IZIr7
You can service your camcorder
yourself.
oE:E]E]:E]N
Contact your Sony dealer or local
authorized Sony facility.
Five-digit display Cause and/or Corrective Actions
C:04:[Zln • You are using a battery pack that is not an
"InfoLITHIUM" battery pack.
-> Use an "InfoLITHIUM" battery pack. (p. 13) _,
C:21:E]r7 • Moisture condensation has occurred.
_' Remove the cassette and leave your camcorder for at
least 1 hour to acclimatize. (p. 117) __
C:22:U]E] " The video heads are dirty. =
÷ Clean the heads using the Sony V8-25CLD cleaning
cassette (not supplied). (p. 118) o
C:31:E]UI • A malfunction other than the above that you can service =
C:32:rTr7 has occurred.
Remove the cassette and insert it again, then operate
your camcorder.
-'>Disconnect the power cord of the AC power adaptor or
remove the battery pack. After reconnecting the power
source, operate your camcorder.
E:61:E]E] • A malfunction that you cannot service has occurred.
E:62:r70 "_ Contact your Sony dealer or local authorized Sony
service facility and inform them of the 5-digit code.
(example: E:61:10)
If you are unable to rectify the problem even if you try corrective actions a few times,
contact your Sony dealer or local authorized Sony service facility.
113

Warning indicators and messages
If indicators and messages appear on the LCD screen, in the viewflnder, or in the
display window, check the following:
See the page in parentheses "( )" for more information.
Warning indicators
The still image is protected*
Slow flashing:
• The still image is protected. (p. 97)
Warning indicator as to "Memory
Stick"*
Slow flashing:
• No "Memory Stick" is inserted.
(p. 74)
Fast flashing:
• The "Memory Stick" is not readable
with your camcorder. (p. 72)
Warning indicator as to
"Memory Stick"*
Fast flashing:
• The "Memory Stick" is not
formatted correctly. (p. 67)
• The "Memory Stick" data is
corrupted. (p. 72)
The battery is dead or nearly
dead
Slow flashing:
•The battery is nearly dead. (P. 11)
Fast flashing:
• The battery is dead.
Depending on conditions, the r_'_
indicator may flash, even if there
are 5 to 10 minutes remaining.
Warning indicator as to tape
Slow flashing:
• The tape is near the end.
• No tape is inserted. (p. 15)
• The write-protect tab on the
cassette is out (red).* (p. 15)
Fast flashing:
• The tape has run out.*
The lithium battery is weak or
is not installed. (p. 106)
100-0021
)
_Self-diagnosis display (p. 113)
Moisture condensation has
occurred*
Fast flashing:
0:21:00 • Eject the cassette, turn off your
camcorder, and leave it for
about I hour with the cassette
compartment open. (p. 117)
-- You need to eject the cassette*
Slow flashing:
•The write-protect tab on the
cassette is out (red). (p. 15)
Fast flashing:
• Moisture condensation has
occurred. (p. 117)
• The tape has run out.
• The self-diagnosis display
function is activated. (p. 113)
Warning indicator as to file
Slow flashing:
• The file is corrupted. (p. 72)
• The file is unreadable. (p. 72)
Warning indicator as to tape or
battery**
Slow flashing:
• The battery is nearly dead.
• The tape is near the end.
Fast flashing:
• The battery is dead.
• The tape has run out. *
* You hear the melody or beep sound.
** This indicator appears in the viewfinder only. (DCR-TRV520 only)
114

Warning indicators and messages
Warning messages
• CLOCK SET
• FOR "InfoLITHIUM"
BATTERY ONLY
• 8mm TAPE _ SP REC
Hi8 TAPE _ LP/SP REC
• _ A TAPE END
• ,L_ NO TAPE
• r_ CLEANING CASSETTE**
• COPY INHIBIT
• _] FULL
• _K3NO FILE
• _ NO MEMORY STICK
• _fl MEMORY STICK ERROR
• _] FORMAT ERROR
• _. o--,, DIRECTORY ERROR
Reset the date and time. (p. 71)
Use an "InfoLITHIUM" battery pack. (p. 13)
Use Hi8 Hi m/Digital8 _) tapes when you record
in the hP mode.* (p. 68)
The tape has run out.*
Insert a cassette tape.* (P. 15)
The video heads are dirty. (p. 118)
You tried to record a picture that has a copyright
control signal.* (p. 102)
The "Memory Stick" is full.* (p. 79)
The write-protect tab on the "Memory Stick" is set to
LOCK.* (p. 72)
No still image is recorded on the "Memory Stick".*
(p. 89)
No "Memory Stick" is inserted.* (p. 74)
The "Memory Stick" data is corrupted.* (p. 72)
Check the type of formatting.*
The "Memory Stick" has more than one directory
such as 100msdcf.*
* You hear the melody or beep sound.
x.* ii o- tl
The _ indicator and _ CLEANING CASSETTE message appear one after another
on the LCD screen or in the viewfinder.
o.
o.
m.
O
m
o
3
O
115

Using your camcorder abroad
Using your camcorder abroad
You can use your camcorder in any country or area with the AC power adaptor
supplied with your camcorder within 100 V to 240 V AC, 50/60 Hz.
When charging the battery pack, use a commercially available AC plug adaptor [a], if
necessary, depending on the design of the wall outlet [bl.
AC-L10A/L10B/L10C }
[a] [b]
Your camcorder is an NTSC system based camcorder. If you want to view the playback
picture on a TV, it must be an NTSC system based TV with VIDEO/AUDIO input jack.
The following shows TV color systems used overseas.
NTSC system
Bahama Islands, Bolivia, Canada, Central America, Chile, Colombia, Ecuador, Jamaica,
Japan, Korea, Mexico, Peru, Surinam, Taiwan, the Philippines, the U.S.A., Venezuela,
etc.
PAL system
Australia, Austria, Belgium, China, Czech Republic, Denmark, Finland, Germany, Great
Britain, Holland, Hong Kong, Italy, Kuwait, Malaysia, New Zealand, Norway, Portugal,
Singapore, Slovak Republic, Spain, Sweden, Switzerland, Thailand, etc.
PAL-M system
Brazil
PAL-N system
Argentina, Paraguay, Uruguay
SECAM system
Bulgaria, France, Guyana, Hungary, Iran, Iraq, Monaco, Poland, Russia, Ukraine, etc.
116
You can easily set the clock to the local time by setting a time difference. Select WORLD
TIME in the menu settings. See page 64 for more information.

Maintenance information and
precautions
Moisture condensation
If your camcorder is brought directly from a cold place to a warm place, moisture may
condense inside your camcorder, on the surface of the tape, or on the lens. In this
condition, the tape may stick to the head drum and be damaged or your camcorder may
not operate correctly. If there is moisture inside your camcorder, the beep sounds and
the [] indicator flashes. When the A indicator flashes at the same time, the cassette is
inserted in your carncorder. If moisture condenses on the lens, the indicator will not
appear.
If moisture condensation occurred
None of the functions except cassette ejection will work. Eject the cassette, turn off your
camcorder, and leave it for about 1 hour with the cassette compartment open. Your
camcorder can be used again if the [] indicator does not appear when the power is
turned on again.
Note on moisture condensation
Moisture may condense when you bring your camcorder from a cold place into a warm
place (or vice versa) or when you use your camcorder in a hot place as follows:
- You bring your camcorder from a ski slope into a place warmed up by a heating
device. _,
-You bring your camcorder from an air-conditioned car or room into a hot place a._"
outside. _.
-You use your camcorder after a squall or a shower.
-You use your camcorder in a high temperature and humidity place. _-
0
How to prevent moisture condensation
When you bring your camcorder from a cold place into a warm place, put your _.
o
camcorder in a plastic bag and tightly seal it. Remove the bag when the air temperature =
inside the plastic bag has reached the surrounding temperature (after about 1 hour).
117

Maintenance information and precautions
Maintenance information
Cleaning the LCD screen
If fingerprints or dust make the LCD screen dirty, we recommend using a LCD
Cleaning Kit (not supplied) to clean the LCD screen.
Cleaning the video head
To ensure normal recording and clear pictures, clean the video heads.
When you playback/record in the Digital8 t) system
The video head may be dirty when:
-mosaic-pattern noise appears on the playback picture.
playback pictures do not move.
- playback pictures are hardly visible.
- playback pictures do not appear.
- the _ indicator and "_ CLEANING CASSETTE" message appear one after another
on the LCD screen or in the viewfinder.
or
When you play back in the Hi8/Standard 8 (analog) system
The video head may be dirty when:
- playback pictures contain noise.
- playback pictures are hardly visible.
- playback pictures do not appear.
or _ :_ --,,__ ._7__
If the above problem occurs, clean the video heads with the Sony V8-25CLD cleaning
cassette (not supplied). Check the picture and if the above problem persists, repeat
cleaning.
118

Maintenance information and precautions
Removing dust from inside the viewfinder (DCR-TRV520 only)
(1) ORemove the screw with a screwdriver (not supplied). OThen, while holding
the RELEASE knob up, Oturn the eyecup in a counterclockwise direction and
pull it out.
(2) Clean the surface with a commercially available blower for a still camera.
(3) Turn the eyecup in a clockwise direction, then replace the screw.
Caution
Do not remove any other screws. You may remove only the screw to remove the
eyecup.
Q.
O
,,.h
o
3
O
119"

Maintenance information and precautions
Precautions
Camcorder operation
• Operate your camcorder on 7.2 V (battery pack) or 8.4 V (AC power adaptor).
• For DC or AC operation, use the accessories recommended in this operating
instructions.
• If any solid object or liquid get inside the casing, unplug your camcorder and have it
checked by a Sony dealer before operating it any further.
• Avoid rough handling or mechanical shock. Be particularly careful of the lens.
• Keep the POWER switch set to OFF (CHARGE) when you are not using your
camcorder.
• Do not wrap your camcorder with a towel, for example, and operate it. Doing so
might cause heat to build up inside.
• Keep your camcorder away from strong magnetic fields or mechanical vibration.
Noise may appear on the image.
• Do not touch the LCD screen with your fingers or a sharp-pointed object.
• If your camcorder is used in a cold place, a residual image may appear on the LCD
screen or in the viewfinder. This is not a malfunction.
• While using your camcorder, the back of the LCD screen may heat up. This is not a
malfunction.
On handling tapes
Do not insert anything into the small holes on the rear of the cassette. These holes are
used to sense the type and thickness of the tape and if the recording tab is in or out.
Camcorder care
•Remove the tape, and periodically turn on the power, operate the CAMERA and VTR
sections and play back a tape for about 3 minutes when your camcorder is not to be
used for a long time.
• Clean the lens with a soft brush to remove dust. If there are fingerprints on the lens,
remove them with a soft cloth.
• Clean the camcorder body with a dry soft cloth, or a soft cloth lightly moistened with
a mild detergent solution. Do not use any type of solvent which may damage the
finish.
• Do not let sand get into your camcorder. When you use your camcorder on a sandy
beach or in a dusty place, protect it from the sand or dust. Sand or dust may cause
your camcorder to malfunction, and sometimes this malfunction cannot be repaired.
Connection to your PC
• When recording with i.LINK cable the image processed or edited by your PC, use a
new Hi8 Hi I_l/Digital8 l_ tape.
• When inputting the image recorded by Hi8/standard 8 (analog) system into your PC,
dub the image into a Digital8 |) or DV tape first, and then input it into your PC.
When inputting the image recorded by Hi8/standard 8 system into Sony VAIO
The Program Capture function of DVgate motion doesn't work. To use this function,
dub the image into a Digital8 |} or DV tape first, and then input it into your Sony VAIO.
120

Maintenance information and precautions
AC power adaptor
• Unplug the unit from the wall outlet when you are not using the unit for a long time.
To disconnect the power cord, pull it out by the plug. Never pull the power cord itself.
• Do not operate the unit with a damaged cord or if the unit has been dropped or
damaged.
• Do not bend the power cord forcibly, or place a heavy object on it. This will damage
the cord and may cause fire or electrical shock.
• Prevent metallic objects from coming into contact with the metal parts of the
connecting section. If this happens, a short may occur and the unit may be damaged.
• Always keep metal contacts clean.
• Do not disassemble the unit.
• Do not apply mechanical shock or drop the unit.
• While the unit is in use, particularly during charging, keep it away from AM receivers
and video equipment. AM receivers and video equipment disturb AM reception and
video operation.
• The unit becomes warm during use. This is not a malfunction.
• Do not place the unit in locations that are:
- Extremely hot or cold
- Dusty or dirty
Very humid
- Vibrating
Battery pack
• Use only the specified charger or video equipment with the charging function.
• To prevent accident from a short circuit, do not allow metal objects to come into
contact with the battery terminals.
• Keep the battery pack away from fire.
• Never expose the battery pack to temperatures above 140°F (60°C), such as in a car
parked in the sun or under direct sunlight.
• Keep the battery pack dry.
• Do not expose the battery pack to any mechanical shock.
• Do not disassemble nor modify the battery pack.
• Attach the battery pack to the video equipment securely.
• Charging while some capacity remains does not affect the original battery capacity.
Note on dry batteries
To avoid possible damage from battery leakage or corrosion, observe the following:
- Be sure to insert the batteries with the + - polarities matched to the + - marks.
- Dry batteries are not rechargeable.
- Do not use a combination of new and old batteries.
- Do not use different types of batteries.
- Current flows from batteries when you are not using them for a long time.
- Do not use leaking batteries.
If batteries are leaking
• Wipe off the liquid in the battery compartment carefully before replacing the batteries.
• If you touch the liquid, wash it off with water.
• If the liquid get into your eyes, wash your eyes with a lot of water and then consult a
doctor.
If any problem occurs, unplug your camcorder and contact your nearest Sony dealer.
o.
o.
O
3
O
121

Specifications
Video camera
recorder
System
Video recording system
2 rotary heads
Helicalscaning system
Audio recording system
Rotary heads, PCM system
Quantization: 12 bits (Fs 32 kHz,
stereo 1, stereo 2), 16 bits
(Fs 48 kHz, stereo)
Video signal
NTSC color, EIA standards
Recommended cassette
HiS/Digital8 video cassette
Recording/playback time (using
120 min. Hi8 video cassette)
SP mode: 1 hour
LP mode: 1 hour and 30 minuites
Fastforward/rewind time (using
120 rain, Hi8 video cassette)
Approx. 5 min.
V[ewfinder
Electric View finder
DCR-TRV520: monochrome
DCR-TRV525: color
Image device
1/4 type CCD
(Charge Coupled Device)
Approx. 460,000 pixels
(Effective: Approx. 290,000 pixels)
Lens
Combined power zoom lens
Filter diameter 1 7/16 in. (37 mm)
25x (Optical), 450x (Digital)
Focal length
5/32 - 2 7/8 in. (3.7 - 92.5 mm)
When converted to a 35 mm still
camera
1 5/8 - 32 3/8 in. (48 - 1200 mm)
Color temperature
Auto
Minimum illumination
1 lux (F 1.6)
0 lux (in the NightShot mode)*
*Objects unable to be seen due to
the dark can be shot with
infrared lighting.
122
S video input/output
4-pin mini DIN
Luminance signal: 1 Vp-p,
75 ohms, unbalanced
Chrominance signal: 0.286 Vp-p,
75 ohms, unbalanced
Audio/Video input/output
AV MINIJACK, 1 Vp-p, 75 ohms,
unbalanced, sync negative 327
mV, (at output impedance more
than 47 kilohms)
Output impedance with less than
2.2 kilohms/Stereo minijack
(0 3.5 ram)
Input impedance more than 47
kilohms
DV input/output
4-pin connector
Headphone jack
Stereo minilack (o 3.5 ram)
LANK _/DIGITAL I/O jack
Stereo mini-minijack (o 2.5 mm)
Transfer rate:
Max 115.2 Kbps
RS-232C based
MIC jack
Stereo minijack (o 3.5 ram)
LCD screen
Picture
DCR-TRV520:
3.5 type
2 7/8 x 2 in. (72.2 x 50.4 ram)
DCR-TRV525:
3type
2 1/2 x 1 3/4 in. (61.0 × 43.8 mm)
Total dot number
123,200 (560 × 220)
General
Power requirements
7.2 V (battery pack)
8.4 V (AC power adaptor)
Average power consumption
(when using the battery pack)
During camera recording using
LCD
DCR-TRV520: 4.8W
DCR-TRV525: 4.5W
Viewfinder
DCR-TRV520: 3.3W
DCR-TRV525: 3.0W
Operating temperature
32 °F to 104 °F (0 °C to 40 °C)
Storage temperature
_1 °F to +140 °F (-20 °C to +60 °C)
Dimensions (Approx.)
DCR-TRV520:
4 3/8x 4 1/4 x 9 1/4in.
(111 x 106 x 233 mm) (w/h/d)
DCR-TRV525:
43/8 x4 1/4 x 8 1/4in.
(111 x 106 x 207 mm) (w/h/d)
Mass (approx.)
DCR-TRV520:
2 lb 2oz (980 g)
excluding the battery pack, lithium
battery, cassette and shoulder
strap
2 lb 7 oz (1.1 kg)
including the battery pack
NP-F330, lithium battery CR2025,
120min. Hi8 cassette, and shoulder
strap
DCR-TRV525:
1 lb 15 oz (890 g)
excluding the battery pack, lithium
battery, cassette and shoulder
strap
2 lb 2 oz (980 g)
including the battery pack
NP-F330, lithium battery CR2025,
120rain. Hi8 cassette, and shoulder
strap
Supplied accessories
See page 5.
AC power adaptor
Power requirements
100 - 240 V AC, 50/60 Hz
Power consumption
23 W
Output voltage
DC OUT: 8.4 V, 1.5 A in the
operating mode
Operating temperature
32 °F to 104 °F (0 °C to 40 °C)
Storage temperature
°F to +140 °F (-20 °C to +60 °C)
Dimensions (approx.)
5 x 19/16 x2 1/2in.
(125 x 39 x 62 ram) (w/h/d)
excluding projecting parts
Mass (approx.)
9.8 oz (280 g)
excluding power cord
Battery pack
Output voltage
DC 7.2 V
Capacity
5.0 Wh
Dimensions (approx.)
1 9/16x 13/16 x 2 7/8 in.
(38 x 21 x 71 mm) (w/h/d)
Mass (approx.)
3.4 oz (95 g)
Type
Lithium ion
Memory
Flash memory
4MB: MSA-4A
Operating voltage
2.7- 3.6 V
Power consumption
Approx. 48 mA in the operating
mode
Approx. 130 pA in the standby
mode
Dimensions (approx.)
2x 1/8x7/8 in.
(50 x 2.8 x 21.5 mm) (w/h/d)
Mass (approx.)
0.14 oz (4 g)
Design and specifications are
subject to change without notice.

-- Quick Reference --
Identifying the parts and controls
Camcorder
[]
[]
[]
[]
®
[]
[]
[] LCD BRIGHT buttons (p. 17)
[] OPEN button (p. 16)
[] VOLUME buttons (p. 24)
[] BATT RELEASE lever (p. 10)
[] POWER switch (p. 16)
[] START/STOP button (p. 16)
[] Hooks for shoulder strap (p. 125)
[] DC IN jack (p. 11)
€
;o
This mark indicates that this product is a genuine accessory for Sony
video products.
When purchasing Sony video products, Sony recommends that you
purchase accessories with this "GENUINE VIDEO ACCESSORIES"
mark.
123

Identifying the parts and controls
[]
[]
[]
[]
[]
[]
[]
[]
[]
[]
[]
[] Video control buttons (p. 24, 26)
• STOP (stop)
•_I REW (rewind)
I_ PLAY (playback)
FF (fastforward)
I I PAUSE (pause)
• REC (recording)
The control buttons light up when you
set the POWER switch to VTR.
[] EDITSEARCH buttons (p. 23)
[] S.LASER LINK button (p. 28)
[] FOCUSring (p. 43)
[] Microphone
[] Camera recording lamp (p. 16)
[] Infrared rays emitter (p. 20, 28)
[] SUPER NIGHTSHOT button (p. 20)
[] NIGHTSHOT switch (p. 20)
[] Display window (p. !29)
[] FOCUS switch (p. 43)
[] Tripod receptacle (base)
Make sure that the length of the tripod
screw is less than 9/32 inch (6.5 mm).
Otherwise, you cannot attach the tripod
securely and the screw may damage
your camcorder.
[] Remote sensor
What is SUPER LASER LINK?
The super laser link system sends and receives pictures and sound between video
equipment having the super laser link mark _ by using infrared rays.
124

Identifying the parts and controls
[]
[]
[]
[]
[]
[] Eyecup
[] Viewfinder
[] MEMORY PLAY button (p. 89)
[] MEMORY - button (p. 83, 89)
[] LCD screen (p. 17)
[] Speaker
[] _ (self-timer) button (p. 22)
[] Viewfinder lens adjustment lever
(p. 19)
[] Eyecup RELEASE knob (p. 119)
(DCR-TRV520 only)
[] MEMORY INDEX button (p. 90)
[] MEMORY DELETE button (p. 98)
[] FADER button (p. 33)
[] BACK LIGHT button (p. 20)
[] PROGRAM AE button (p. 41)
[] EXPOSURE button (p. 42)
[] MEMORY MIX button (p. 83)
[] MEMORY + button (p. 83, 89)
[]
[]
[]
[]
[]
[]
[]
[]
[]
[]
£.
_o
rD
Attaching the shoulder strap
Attach the shoulder strap supplied with your camcorder to the hooks for the shoulder
strap.
125

Identifying the parts and controls
[]
[]
[]
[]
[]
[]
[]
[]
[]
[]
[]
[] []
[] Intelligent accessory shoe
[] DATA CODE button (p. 25)
[] DISPLAY button (p. 25)
[] Lithium battery compartment (p. 107)
[] PB ZOOM button (p. 51, 94)
[] TITLE button (p. 44)
[] Power Zoom lever (p. 18)
[] "Memory Stick" lamp
This lamp lights up while "Memory
Stick" is in the "Memory Stick"
compartment.
[] PHOTO button (p. 29, 77)
[] DIGITAL EFFECT button (p. 38, 50)
[] END SEARCH button (p. 23)
[] PICTURE EFFECT button (p. 36, 49)
[] MENU button (p. 32, 64)
[] SEL/PUSH EXEC dial (p. 32, 64)
_ Intelligent
AccessoryShoe
Notes on the intelligent accessory shoe
• The intelligent accessory shoe supplies power to optional accessories such as a video
light or microphone.
• The intelligent accessory shoe is linked to the POWER switch, allowing you to turn the
power supplied by the shoe on and off. Refer to the operating instructions of the
accessory for further information.
• The intelligent accessory shoe has a safety device for fixing the installed accessory
securely. To connect an accessory, press down and push it to the end, and then tighten
the screw.
• To remove an accessory, loosen the screw, and then press down and pull out the
accessory.
126

Identifying the parts and controls
[]
[]
[]
[]
[]
[]
[]
[]
[]
[] EJECT button (p. 15)
[] Access lamp (p. 74)
[] "Memory Stick" compartment (p. 74)
[] Cassette compartment (p. 15)
[] Grip strap
[] LANC @/DIGITAL I/O jack (p. 91)
LANC stands for Local Application
Control Bus System. The LANC control
jack is used for controlling the tape
transport of video equipment and other
peripherals connected to the video
equipment. This jack has the same
function as the jack indicated as
CONTROL L or REMOTE.
[]
[]
[]
S VIDEO ID-2 jack (p. 27)
Q(headphones) jack
AUDIO/VIDEO ID-2 jack
(p. 27, 31, 57, 86)
[] MIC (PLUG IN POWER) jack
Connect an external microphone
(not supplied). This jack also accepts
a"plug-in-power" microphone.
[] _ DV IN/OUT jack (p. 58, 86)
The _ DV IN/OUT jack is i.LINK
compatible.
_o
€
,,,k
rD
?D
Fastening the grip strap
Fasten the grip strap firmly.
127

Identifying the parts and controls
Remote Commander
[]
[]
[]
[]
[]
[]
The buttons that have the same name on the Remote Commander as on your camcorder
function identically to the buttons on your camcorder.
[]
[]
[]
[]
[] PHOTO button (p. 29, 77)
[] DISPLAY button (p. 25)
[] SEARCH MODE button (p. 53, 55)
[] _/IH_I buttons (p. 53, 55)
[] Tape transport buttons (p. 26)
[] DATA CODE button (p. 25)
[] ZERO SET MEMORY button (p. 48, 52)
[] Transmitter
Point toward the remote sensor to
control the camcorder after turning on
the camcorder.
[] START/STOP button (p. 16)
[] Power zoom button (p. 18)
To prepare the Remote Commander
Insert 2 size AA (R6) batteries by matching the + and - polarities on the batteries to
the + - marks inside the battery compartment.
r
128
Notes on the Remote Commander
• Point the remote sensor away from strong light sources such as direct sunlight or
overhead lighting. Otherwise, the Remote Commander may not function properly.
• Your camcorder works in the Commander mode VTR 2. Commander modes
1, 2 and 3 are used to distinguish your camcorder from other Sony VCRs to avoid
remote control misoperation. If you use another Sony VCR in the Commander mode
VTR 2, we recommend changing the Commander mode or covering the sensor of the
VCR with black paper.

Identifying the parts and controls
Operation:indicators
LCD screen and Viewfinder
[]
[] []
[]
Display window
[]
Handycam
[]
[]
[]
[]
[] Recording mode indicator (p. 16)
/Mirror mode indicator (p. 17)
[] Format indicator (p. 102)
|), I'll Ill or [] indicator appears.
[] Remaining battery time indicator
(p. 11, 19)
[] Zoom indicator (p. 18)/Exposure
indicator (p. 42)
[] Fader indicator (p. 34)/Digital effect
indicator (p. 38, 50)
[] Wide mode indicator (p. 32)
FRAME indicator (p. 77)
[] Picture effect indicator (p. 36, 49)
[] LCD bright indicator (p. 17)/Volume
indicator (p. 24)/Data code indicator
(p. 25)
[] PROGRAM AE indicator (p. 40)
[] Backlight indicator (p. 20)
[] SteadyShot off indicator (p. 65)
[] Manual focusing indicator (p. 43)
[] Self-timer indicator (p. 22)
STBY/REC indicator (p. 16)/Video
control mode (p. 26)
[]
[]
[]
[] Tape counter indicator (p. 19, 48, 52)/
Time code indicator (p. 19)/Self-
diagnosis display indicator (p. 113)/
Tape photo recording indicator (p. 29)
[] Remaining tape indicator (p. 19)
[] ZERO SET MEMORY indicator
(p. 48, 52, 63)
[] Search mode indicator
(p. 23, 53, 55)
[] NIGHTSHOT indicator (p. 20)
[] A/V --_ DV indicator (p. 66)/
DV IN indicator (p. 61)
[] Audio mode indicator (p. 68)
[] Warning indicators (p. 114)
[] Recording lamp (p. 16)
(DCR-TRV520 only)
This indicator appears in the
viewfinder.
[] Video flash ready indicator
This indicator appears when you use the
video flash light (not supplied).
_2_ Tape counter indicator (p. 19, 48, 52)/
Time code indicator (p. 19)Self-
diagnosis display indicator (p. 113)/
Remaining battery time indicator
(p. 11)
[] FULL charge indicator (p. 11)
€.
&
fl_
129

Quick Function Guide
Functions to adjust exposure (in the recording mode)
• In a dark place
• In insufficient light
• In dark environments such as sunset, fireworks,
or general night views
• Shooting backlit subjects
• In spotlight, such as at the theater
• In strong light or reflected light, such as
at a beach in midsummer or on a ski slope
NIGHTSHOT (p. 20)
Low lux mode (p. 40)
Sunset & moon mode (p. 40)
BACK LIGHT (p. 20)
Spotlight mode (p. 40)
Beach & ski mode (p. 40)
Functions to give images more impact
(in the recording mode)
• Smooth transition between scenes
• Taking a still image
• Digital processing of images
• Creating a soft background for subjects
• Superimposing a title
FADER (p. 33)
Tape photo recording (p. 29)/
Memory photo recording (P. 77)
PICTURE EFFECT (p. 36)/
DIGITAL EFFECT (p. 37)
Soft portrait mode (p. 40)
TITLE (p. 44)
Functions to give a natural appearance to your recordings
(in the recording mode)
• Preventing deterioration of picture quality D ZOOM [MENU] (p. 64)
in digital zoom
• Focusing manually
• Shooting distant subjects
• Recording fast-moving subjects
Manual focus (p. 43)
Landscape mode (p. 40)
Sports lesson mode (p. 40)
Functions to use in editing (in the recording mode)
• Watching the picture on a wide-screen TV Wide mode (p. 32)
• Viewing images using a personal computer "Memory Stick" (p. 72)
Functions to use after recording (in the playback mode)
• Digital processing of recorded images PICTURE EFFECT (p. 49)/
• Displaying the date/time or recording data
when you recorded
• Quickly locating a desired scene
• Searching for scenes recorded on tape in
the photo mode
• Scanning scenes recorded on tape in
the photo mode
• Playing back on monaural sound or sub sound
• Playing back the picture on a TV without
connecting a cord
DIGITAL EFFECT (p. 50)
Data code (p. 25)
Zero set memory (p. 48, 52)
Photo search (p. 55)
Photo scan (p. 56)
HiFi SOUND [MENU] (p. 64)
SUPER LASER LINK (p. 28)
130

Index
A, B
AC power adaptor .................. 11
Adjusting viewfinder ............. 19
AFM HiEi Sound .................. 103
AUDIO MIX ............................ 66
AUDIO MODE ........................ 68
A/V connecting cable
.............................. 27, 31, 57, 86
BACK LIGHT .......................... 20
Battery pack ............................. 10
BEEP ......................................... 70
BOUNCE .................................. 33
C,D
Camera chromakey ................ 82
Charging battery ..................... 11
Clock set ................................... 71
Connection
(viewing on TV) ................... 27
(dubbing a tape) .................. 57
Connection to your PC .......... 59
Data code ................................. 25
Date search .............................. 53
DEMO ...................................... 69
DIGITAL EFFECT ............ 37, 50
Digital 8 system .................... 102
DIGITAL I/O ........................ 127
DISPLAY .................................. 25
DOT .......................................... 33
Dual sound track tape .......... 103
Dubbing a tape ........................ 57
DV connecting cable ......... 58, 86
E
EDITSEARCH ......................... 23
END SEARCH ................... 23, 26
Exposure .................................. 42
External microphone
(not supplied) ..................... 124
F,G,H
FADER ..................................... 33
Fade in/out .............................. 33
FLASH MOTION .................... 37
FOCUS ...................................... 43
Format ...................................... 67
Full charge ............................... 11
Grip strap ............................... 127
Headphone jack .................... 127
Heads ...................................... 118
HiFi SOUND ........................... 66
I, J, K, L
i.LINK ....................... 58, 104, 127
Image protection ..................... 97
Image quality mode ............... 75
Index screen ............................. 90
"ln foLITHIUM" battery ........ 13
Infrared rays emitter ........ 20, 28
JPEG .......................................... 72
LANC ..................................... 127
LCD screen .............................. 17
LUMINANCEKEY ................. 37
M,N
Main sound .............................. 66
Manual focus ........................... 42
Memory chromakey ............... 82
Memory luminancekey .......... 82
MEMORY MIX ........................ 82
Memory overlap ..................... 82
Memory photo recording ...... 77
"Memory Stick". ..................... 72
Menu settings .......................... 64
Mirror mode ............................ 17
Moisture condensation ........ 117
Monaural .................................. 27
MONOTONE .......................... 33
Mosaic fader ............................ 33
NIGHTSHOT .......................... 20
Normal charge ........................ 11
NTSC system ......................... 116
O,P,O
OLD MOVIE ............................ 37
Operation indicators ............ 129
OVERLAP ................................ 33
PB ZOOM .......................... 51, 94
PC serial cable ......................... 91
Photo scan ................................ 56
Photo search ............................ 55
PICTURE EFFECT ............ 36, 49
Picture search .......................... 26
Playback pause ........................ 26
Power sources
(battery pack) ....................... 10
(house current) ..................... 14
(car battery) .......................... 14
Print mark .............................. 101
PROGRAM AE ....................... 40
R
Recording time ....._.................. 12
Rec Review .................. :........... 23
Remaining battery time
indicator ................................ 19
Remaining tape indicator ...... 19
Remote Commander ............ 128
Remote control jack (LANC)
.............................................. 127
Remote sensor ....................... 124
S
Self-diagnosis display .......... 113
Self-timer ............................ 22, 81
SEL/PUSH EXEC dial ......... 126
Shoulder strap ....................... 125
Signal convert function .......... 59
Skip scan .................................. 26
Slide show ................................ 95
Slow playback ......................... 26
SLOW SHUTTER .................... 37
STEADYSHOT ........................ 65
Stereo tape ............................. 103
STILI ......................................... 37
Sub sound ................................ 66
SUPER LASER LINK ..... 28, 124
SUPER NIGHTSHOT ............. 21
S video jack .............................. 27
T, U, V
Tape counter ............................ 19
Tape photo recording ............. 29
Telephote ................................. 18
Time code ................................. 19
Title ........................................... 44
TRAIL ....................................... 37
Transition ................................. 17
TV color systems ................... 116
W, X, Y, Z
Warning indicators ............... 114
Wide-angle .............................. 18
Wide mode .............................. 32
WIPE ......................................... 33
WORLD TIME ......................... 70
Write-protect tab ..................... 15
Zero set memory ......... 48, 52, 63
Zoom ........................................ 18
131

Sony Corporation Printed in Japan
SonyOline http://www.world.sony.com/
Printed on recycled paper