Sony KDL 32L4000 User Manual TV LCD Manuals And Guides L0804301
SONY LCD Television Manual L0804301 SONY LCD Television Owner's Manual, SONY LCD Television installation guides
User Manual: Sony KDL-32L4000 KDL-32L4000 SONY TV LCD - Manuals and Guides View the owners manual for your SONY TV LCD #KDL32L4000. Home:Electronics Parts:Sony Parts:Sony TV LCD Manual
Open the PDF directly: View PDF
.
Page Count: 41

Operating Instructions
KDL-32L4000
KDL-37L4000
BRA
© 2008 Sony Corporation
VIA

Owner's Record
Tile model and serM numbers are located
al tile rear of tile TV. Record these
numbers in the spaces provided below.
Rel;_r lit them whenever you call upon
your Sony dealer regarding riffs TV.
Model Name
Serial No.
WARNING
To reduce tile risk of tire or electric shock, do
no[ expose [his WV [_) rilill or nlois[urc,
This symbol is intended to
alerl tile user lit tile presence
of uninsulated 'dangerous
voltage" within the TV's
enclosure that may be of
sufficient magnitude lit
conslitute a risk of electric
shock to persons.
This symbol is inlended to
alert the user tit the presence
of imporlant operaling and
mainlenancc (selwicing)
inslrucflons in the literamrc
acconlpanying the TV.
The TV shall not be exposed lo dripping or
splasldng and no objects filled witll liquids, such
as vases, shall be placed on the TV.
Antenna grounding according
to the National Electrical Code,
ANSI/NFPA 70
...... Antennaleaddn
ps_ wire
///,,/Ground Ar_ennadisct_arge
clam
/_ _" *#4 _ unit(NECSection
GroondinrJconductors
_- Groundclamps
_=poGr°_ servicegrounding
electrodesystem
NEC:NationalElectdcNCode (NECArt250PadH)
CAUTION
TIt prevent electric shock and blade exposure, do
not u_ this polarized AC plug with an extension
cord. receptacle or olher oullet unless lhe blades
can be lhlly inserled.
Declaration of Conformity
Trade Nanle: SONY
Model: KDL- 32L4000/KDL- 37 L4000
Responsible Party: Sony Electronics Inc.
Address: 16530 Via Esprillo,
San Diego, CA 92127 U.S.A.
Telephone Number: 858-942-2230
This device complies with part 15 of tile FCC
rules. Operation is subject to tile lollowing
lwo condilions: (1) This device may not
cause harmhd interl;_rcncc, and 12) lhis
device must accept any interlcrcncc rcceived,
including interlcrcnce that may cause
undesired operation.
NOTIFICATION
This equipmcnl has been testcd mid lound to
comply wifll tile limits lor aClass B digital
device, pursuant to Part 15 of tile FCC Rules.
The_ limils are designed to provide reasonable
protccflon against harmfifi interlcrence in a
residential installation. This equipment
generates, uses and can radiate radio l?equency
energy and, if not installed and used ill
accordance with tile inslructions, may cause
harmfifl intcrlcrcnce to radio comumnicalions.
However, there is no guarant_ that inlerl_:rence
will not occur in a particular installation. If this
equipment does cau_ harmfld inlerl_:rcnce 1o
radio or television reception, which can be
delermined by turning the equipmcnl oH and on,
lhe user is encouraged lo try to correcl lhe
interl_:rence by one or more of lhe lbllowing
nleasurcs:
[] Reorient or relocale tile rcceiving
antenna,
[] Increase tile separation between lhe
equipment and recciver.
[] Connect tile equipment into an outlet on a
circuit dilli:rent l?om that to which the
receiver is connectcd.
[] Consult the dealer or an experienced
radio/TV technician Ior help.
Pursuant to FCC rcgulalions, you arc
cautioned lhal any changes or modifications
not expressly approved in this manual could
void your authorily lo operate this
equipment.
Tile shielded inlerli,ce cable recommended in
this manual must be used with this equipment in
order tit comply with the limits lbr a digital
device pursuant to Subparl B of Part 15 of FCC
Rules.
For customer in Canada
This Class B digilal apparalus conlplies with
Canadian ICES-003.
Safety
[] Operate tile TV only on 120-240 V AC.
[] Use tile AC pow'er cord specified by Sony
and suilable R)r lhe voltage where you use
iL
[] The plug is designed. R)r salcly purposes.
to fit inlo the wall oullet only one way. If
you arc unable to insert tile plug fldly into
the outlet, contact your dealer.
[] If you will not be using tile TV ior scveral
days, disconnect tile power by pulling the
plug itself. Never pull on the cord.
[] For delails concerning salcly precautions,
s_ "Important Sali:ty Instructions" on
page 3.
Installing
[] Tile TV should be inslalled near an easily
accessible power outlel.
[] To prevent inlernal heat buildup, do not
block the ventilation openings.
[] Do not install tile TV in a hot or humid
place, or in a place sutliect to excessive
dust or mechanical vibration.
[] Avoid operaling tile TV al temperatures
bdow 41 °F (5°C).
[] If tile TV is transported directly hom a
cold to a W'glrnl location, or if tile rooln
lemperaturc changes suddenly, the piclurc
may be blurrcd or show poor color due 1o
nloisturc condensation. In this case,
please wait a lk:w hours to let the moislurc
evaporate belore turning on the TV.
[] To obtain lhe best picture, do nol expose
lhe scrcen to direcl illumination or direcl
sunlight. II is recommended to use spot
lighting directed down lion_ the ceiling or
lo cover lhe windows thal li*ce tile scl_-en
with opaque drapery. It is desirable to
inslall the TV in a roon_ where tile floor
and walls are nol of a reflective material.
CAUTION
Use tile lollow'ing Sony TVs only with tile
lbllowing WALL-MOUNT BRACKET or
TV-stand.
KDL-32L4000 KDL-37L4000
SU-WL500
SU-FLB00M
Use with other WALL-MOUNT BRACKET or
TV-stand may cau_ instability and possibly
result in injury.
2

To Customers
Sufl_cienlexpertise is required lbr installing thespecified TV. Be sure to
subconlractthe inslallafion titSony dealer or licen_d contractors andpay
adequale altention lit salcty during tile installation.
Note
This telcvision includes a QAMdelnodulator which shouhl allow you to
receiveunscrambled digital cable televisionprogramming viasubscription
sel_'iceto a cable service provider. Availability of digital cable television
programmingin your area depends on the type of programming and signal
provided by your cable selwiceprovider.
Trademark Information
Macintosllis a tradelnark ol Apple [nc., registered in tile U.S. and other
COIIntl'ieS.
HDMI. tile HDM[ logo and High-Definition Mtlllimedia lnlerl_tce are
trademarks or registered trademarks ol HDM[ Licensing LLC.
Manul_tctured under license holn Dolby Laboratories. "Dolby" and the
double-D symbol are trademarks of Dolby Laboratories.
Bhl-ray Disc is a tradenmrk.
"BRAVIA'. B R AVIA and [] are trademarks or registered tradenmrks ol
Sony Corporation.
_=l_l=RIfi'Ig'lf.']:l
1-4 IRFI|
Important
Safety'
Instructions
1)Read these instructions.
2) Keep these instructions.
3) Heed all warnings.
4 t Follow" all instructions.
5} Do not use this apparatus near water.
6) Clean only with dry cloth.
% Do not block _my ventilation openings. Install in
accordance with the manufacturer's instructions.
81 Do not install near any heat sources such
as radiators, heat registers, stoves, or o
apparatus (including amplifiers) that
produce heat
9_ Do not defeat the safety purpose of the polarized or
grounding-type plug. A polarized plug has two blades
with one wider than the other. A grounding type plug
has two blades and a third grounding prong. The wide
blade or the third prong are provided for your safety.
If the provided plug does not fit into your outlet.
consult an electrician for replacement of the obsolete
OUllet.
101 Protect the power cord from being walked on or
pinched particularly at plugs, convenience
receptacles, and the point where they exit from the
apparatus.
11_ Only use attacNnents/accessones specified b 3 the
mmmfacturer.
12 ) Use onl_r with the cart. stand, tripod, bracket, or _able
specified by the manufacturer, or sold with the
apparatus. When a cart is used. use caution when
moving the cart!apparatus combination to avoid
injury from fip-over.
131 Unplug this apparatus during lightning storlns or
when unused for long periods of time.
14 _Refer all servicing to qualified service personnel.
Servicing is required when the apparatus has been
damaged in any way, such as power-supply cora or
plug is damaged, liquid has been _pilled or objects
have fallen into the apparatus, the apparatus has been
exposed to ram or moisture, does not operate
normally, or has been dropped.
tContinued)3

MOISTURE
To reduce rhe risk of fire or electric sl _ck.do not expose this TV to ram or
nloistare
[] The TV must aever be exposed to dripping, splashing, or spilling
liquids of an_ kind.
[] Do not place liquid filled ol_iects such as a vase or potted plant on the
[] Do not use a power line operated TV set near -_ _;.--'-;.-.
water; Ior example, near a bathtub, washbowl_ _ _ '- Leave some space around the TV set as sho_ nbelow.
kitchen sink, laund_Trub, wetb .......... t ......... IF%JI __'Q'iz. Otherwise air-circulation maybe,nadequateane cause
swimming pc _1.etc. _q_/3 ovemeating, which may cause a fire or damage to the TV set.
,a_-,v_..__ _ qstalled on the wall --7/8inches
CLEANING
When cleaning, be _ure to unplug rile power cord to a_oicl any chance of
electric shock.
[] Clean file cabinet of the TV with a dry s_fi
cloth.
[] Wipe tile LCD s.:r_en gently with a soft cloth
[] Stubborn stains may be removed with a cloth slightly moistened with
a solution of mild soat and warlIl water.
[] If using a chemically pretreated cloth, please tbllow the instruction
provided on the package. 4 mctles
[] Never use strong solvents such as a thinner, alcohol or benzine lbt
clemfing
[] Periodic vacuuming of rhe ventilation openings is recommended m
ensure lo proper ventilation.
VENTILATION
Tile ventilation (penings in tile TV are necessar 3 to ensure reliable
operation of the TV and to protect it fi'om overheating.
[] Do not block or cover tile ventilation openings
with cloth or other materials.
Allow adequate space around tile TV set to ensure proper air circulation.
[] Never place rile TV in a contined space, such as a
bookcase or built-in cabinet, unless proper
ventilation is provided.
(30 cm
¢mones
| Leave atleam
j=,. this much
space aroune
_4 inches (1Ohm) the set.
estalledwith stand _. 8 _cnes
(6 crrl)
10 cmt 10cm)
Leave at least this much space around the set.
Never install the TV set as follows:
Air circulation is blocked. Air circulation is blocked.
[] Nevm place tim TV on a bed. soth. rug or oflmr
similar surtbce where ventilation openings may
be blocked.
[] Unless proper ventilation is provide& the TV may accmnulate dust mid
cause damage.
[] Never allow liquid or solid objects to tall into the
ventilation openings. _
[] If any liquid or solid object falls inside the TV unplug the TV
immediately and have it checked W qualified service personnel betore
operating it further
[] Never push objects ofan_ kind into the TV through the ventilation
openings as they may come in contact with dangerous voltage points
or shorT out parts dmt could Jvsult in a fire or an electric shock.
4

CARRYING THE TV
Carry the TV in the specified manner
To aw_id dropping the TV and causing serious injury= be sure to tallow
these guidelines:
[] Befor_ c_rryingtheTV, disconnect allcables.
[] Carrying the large size TV requires two or more people
[] When you carry the TV+ place your hand as illustrated and hold il
secLtrely. Do not pitt stress on the LCD panel.
[] When carrying the TV, do nor subject it to shocks or vibration, oi
excessive iorce.
\ '/
[] When litling or moving the TV. hold it firmly t?om the bottom. Place
your palm directly underneath but do nOT squeeze the trollt pallel or
recessed area.
II IIII
II NI I _----_" "-- _"
[] Wlmn carrying the TV. to avoid pinching your l]ands or hngers ao not
put your hands between the TV and stand, c)r hold file bottotn corner of
the TV,
INSTALLATION
Tile TV should be [nst_dled near an easil} accessible AC power outlet.
[] Do not install the TV face up or down, upside down or on its s[dc.
[] Do nm instan the TV in hot. oily, humid, or excessively dusty places.
[] Do not install file TV in places subject TO
exTrerne Temperature. such as in direct sunlight,
near a radiator or a heating vent. The TV may
overheat in such conditions alia can cause
detk_rmation of the
malfunction.
t_
[] Do not install the TV in a place expomd to /_(,- _£
inside talc may cause TV malfunction. > :- ,_
[] Do not install tim TV where it may be exposed to mechanical vibration.
[] Do not install the TV where insects may enwr
[] Do not install file TV in a location where it may protrude, such as on
or behind a pillar, or any place you might bump your head or receive
bodily injury.
[] To prevent fir_ keep flammable objects or open flame (e.g. candles
away from the TV.
[] D( not place optional equipment on toF of tim TV.
Prevent the TV from toppling over
Take measures ic prevenr die TV t]_om toppling over
_lnd causing injury, damage to fhe TV and property.
[] Secure the TV m a wall and!or stand.
[] Never install the TV on unstable and/or uneven surthces.
[] Do not allow children to climb on or play with tklrniture and TV sets.
[] Do not install the TV on furnitme that can easily be used as steps, st _'h
as a chest of drawers.
[] Cm'e should be taken to install tim TV where it cmlnot be pushed,
pulled over. or knocked down.
[] Care should be taken m route all AC power cords and connecting
cables so thai they cannot be pulled or grabbed b) curious children.
Medical institutions
Do not place this TV in aplace wl ........ dical _] _
equipment is in use. It may cause a medical n_-_,-
equipment malfunction _ ___
Outdoor use
Do not install this TV outdoors. The TV should not be exposed roram or
direct sunlight in order to avoid damage and possible tire or electric shock.
Do not install this TV in a vehicle, ship or other
vessel
[] Excessivebmnpingmotionofamovingvehicle _'72
or continuous swaying lnotion on a boat ll/ay
cause the TV to fall down and cause injury.
[] Exposing the TV to seawater may cause a tire
electric shock or damage ro your TV. _-- ¢
Magnetic influence
[] This TV conkdns a stro]ig lnagnet in the speaker unit that gellerares a
magnetic field. Keep any kems susceptible to magnetic fields aw0y
tTom the speaker.
[] Electro-magnetic radiation emitted fl'om optionM equipment instMled
mo closed to the TV maly cause picture distortion and or nols? sound.
(Continued)

Wall-mount use [] Never .... dmnagedACp ...... M.A ._,
Wall-mount installation requires the use of V_- damaged AC F _wer cord cm_ cause a (AW#
D a Wall_Mount Bracket, When installing or __,_. _ _ short-circuit, whicll may result in ofi ..... __
remo, ing me TV and me Wail-Mount }_3_2_ -{1_ _ electric shock. _" p_
Bracket, be sure to use qualified ]_ '/_--_ _ _ 1_(
contractors, lfllOt properly ...... dduring_ <t a Donotu....I ,m.gedorpoorly, tting,,Cp....
installation or renloval fi*Ollltile outlet as your TV's powel source. -X=--'/ ,L----__
Wall-Mount Bracket. the TV may fi|ll and
cause serious inj ur._
[] Be sure to tbllow tim installation guide supplied with the Wall-Me unr
Bracket when installing the TV.
[] Be sure to attach the brackets witll the specified parts supplied with file
Wall-Mount Bracket.
[] Do not hang tile TV from the ceiling. It may fall mid cause serious
ml ury.
[] Do not hang anything on tim TV.
[] Do not allow children to climb on tile TV.
AC POWER CORD
[] Do not touch tile AC power cord and its plug
witll wet limed, it may cause electric shock.
[] lnsert tile plug fully into die outlet. If il is loose, it _""_ _
may cause arcing and result in a fire.
_[] Do not overload tile same AC power outlet. ,
Unplugging tile AC power cord fi'om the wM1 outlet will completely
remove power t?mn tim TV.
_,o [] During lightning storms or when
*/_ _ij tile TV is left unattended and
LL_f- _'_Y ........ I for extencled periods of z
t.l e,tlle Cp......rd sllould
)) _ ) be unplugged f)'Olll tile wall
_(_ / [ t _ .... tier. This will avoid possible
{__ damage to your TV. Also unplug
tile antenna to prevent damage ro
the TV
[] For energy conserw_tion and safety leasons, practice unplugging tile
AC power cord f?onl the AC power outlet
Clean the AC power plug
Unplug tile AC power plug and clean H
occasionally _o a
[] When disconnecting tile AC power cord, grasp
tile plug and disconnect from tile wall outlet
first. Do not pull b._ the cord.
[] Keep tile power cord away Ironl heat sources
A TV set witll a three-wire grounding type AC power cord plu_ must be
connected to an AC power outlet witll a protective eartldng o:mnection.
[] Do not convell or damage the AC power cord,
[] Consult your electrician to have tile outlet changed to suit your TV. damaged AC power cord should never be used.
ACCESSORIES
Subjecting the AC power cord ro wear andlor abuse can danlage the AC
power cord and your TV. Keep small accessories _ut of children's reach.
Use only tile specified accessories with tltis TV
[] Do not place the TV where tile power cord can be easily pinched, benl
twisted, or catch your lcel Volume Adjustment
7. rr" __- [] Wllen using headpllones, adjust the volume to
avoid excessive audio levels t}onl causm_
possible bearing loss.
[] Do not all ..... ytlting to rest ....... 11.... tl.... d BATTERIES
[] Before c_mnecting cables= be sure to unplug file AC power cord fix Your remote control batteries are consumables.
your safety. [] To preserve our envlronmenL dispose of used batteries according m
[] Do not move the TV witll tim AC power cot d (or otller cables such ns your local laws or lvgulations.
audio and video i cc nnected. [] Do not dispose of batteries in a fire.
[] Use only an original Sony AC power cord witll your TV; no brand [] Do not short-circuit, disassemble or overheat the batteries.
substitution i, allowed. [] Rcplaceonly witlltllesameor equivalenttypeofbattcries. Using
[] Do t)ot use AC _ower cord supplied with the TV witll any other incorrect replacement batteries can lead to an explosion
equlplneni,
6

LCD SCREEN Safety check
[] Although the LCD screen is made with high-precision technology and [] Upon completion of any TV servicing or
has elrEcEive pixels of 99.99_ or more. black dots or bright points of repair, ask the service technician to perf)rm
tight (red, blue, or green) may appear constmatly on the LCD screen, routine safety checks as specified by Sony
This is a structural property of the LCD panel mid is not a malthnction, and to certify that the TV is saf_ to operate. _x._ _._._-J_ _ I
..... qualified service technician dispose __
[] The LCD screen is made with high-precision technology mid to H...... ¢
achieve a high level of performance m_d pictur_ quality, dds TV's at the TV it it is not safe to operg,te. (_-"
backlight setdng is set to maximize the brightness of the TV. However. V"T-"
uneven brightness may be observed when the LCD TV is viewed in a
dark mnbient without ml input source or blank screen. This conditioll For customers in the United States
is normal and not a mMthnction of the TV. Chzmgmg the Picture mode.
Backlight setting, enabling the Light Sensor. ar turning on the Power Lamp in this product contains mercury. Disposal of
Mm_agement will improve this condition, these materials may be regulated due to
[] Toax :dddmnagingtheLCDpanel, donot expose the LCD screen *o environmental considerations. For disposal or
direct sunlight
[] Do not push or scratch the LCD screen, or place objects on top of me recycling information, please contact your local
PV. The images may be uneven or the LCD panel m_/y be dmnaged, authorities or the Electronics Industries Alliance
[] If the TV is used in a cold place, smear may occur in die picture or dm www.eiae.org).
picture may become dark. This does not indicate a fhilure. These
phenotnena improve as the teiilperalur_ rises,
[] Ghosting ma) occur when still pictures are displayed continuously. It
should disappear after a mw momenrs.
[] ghe LCD screen m_d enclosure get warm when the TV is in u_. This
iS ll*.)t a lnalfilnctioll.
[] Avoid spraying insect r_pellent with volatile materiM on the LCD
screen.
[] Avoid prolonged contact with rubber or plastic material to the LCD
screen.
Broken screen panel
Do not throw anything at the TV as the impacl can
cause tile LCD screen glass to crack, break or
_cal[er.
[] If damage occurs ro me LCD panel, small traces of liquid cryst_d
sandwiched between the glass ma 3 be found on scattered br{ ken gloat.
[] Do not touch the broken glass with bare hands. As with rely broken
glass pieces, avoid skin contract and exposure ro your eyes or lnou[n.
Avoid direct contact with liquid or damp sur fi_cesof tile glass as mese
nmy have an adverse effect on some people. Tile contacted area should
be rinsed thoroughl 3 with water. If conditions persisr, see your doctor.
[] If the surf_,ce of the TV cracks do not touch tile TV until you have
unplugged the AC power c{rd. Otherwise electric shock may result.
SERVICING
Do no1 use the TV if yOUsuspect tile TV i-
dnmaged or if the TV is damaged.
[] Do not attclnpt to service the TV yourself
sinceopenmg the cabinet may expose you
to dangerous voltage levels or other
hazards. Ret)r all ser_ icing Toqualified
service personnel.
[] If replacement parrs are required, acquire a
a_
written certification fl'om the service
technician which stales that adequare _ _
replacement parts with the stone or similal
characteristics us tile original parts have been
used. Unauthorizvd substitutions may result in
a fire. ml electric shock or other hazards.
7


Welcome to the World of BRAVIA® ........................................................................... 10
Assembling the Table-Top Stand ................................................................................. 10
Connecting the TV ......................................................................................................... 12
Cable System or VHF/UH F Antenna System ............................................................ 12
Cable Box/Digital Cable Box ..................................................................................... 12
Cable System and VHF/UHF Antenna System ......................................................... 13
Satellite Receiver and Cable/Antenna ....................................................................... 13
VCR, Cable and Antenna .......................................................................................... 14
When Connecting to Optional Equipment ................................................................... 15
Securing the TV .............................................................................................................. 17
Preventing the TV from Toppling ............................................................................... 17
Use a Sony TV Stand ................................................................................................ 17
Recommended Measures to Secure the TV ............................................................. 17
Bundling the Connecting Cables ............................................................................... 19
Setting Up the Channel List -Initial Setup ................................................................... 20
Remote Control .............................................................................................................. 21
TV Controls ..................................................................................................................... 24
Overview of MENU ......................................................................................................... 25
Using the Picture Settings ............................................................................................ 25
Using the Sound Settings ............................................................................................. 26
Using the Screen Settings ............................................................................................. 27
Using the PC Settings ............................................................................................... 28
Using the Channel Settings .......................................................................................... 29
Using the Parental Lock Settings ................................................................................. 30
Using the Setup Settings ............................................................................................... 33
Troubleshooting ............................................................................................................. 35
Preparation for Wall Mounting ...................................................................................... 37
PC Input Signal Reference Chart .................................................................................. 38
Specifications ................................................................................................................. 39
Index ................................................................................................................................ 40
9

Welcome to the World of B RAM IA®
Thank you for purchasing this Sony LCD Digital Color Television. This
manual is for model KDL-32L40001KDL-37L4000. Be sure to check the
supplied accessories against the list on page 39.
Assembling the Table-Top Stand
Follow the assembling steps required to place on a TV stand.
1 Take out the Table-Top Stand and screws from the carton. The screws
are found in the accessory bag.
Accessory bag Screws
Table-Top Stand TV unit
2Place the Table-Top Stand onto a level and stable surface.
10

GettingStarted
3 Gently slide tile TV unit onto the neck of tile Table-Top Stand and align
the screws holes.
Rear ofTV
4 Use the supplied screws to attach the TV unit to the Table-Top Stand.
Screw
11

GettingStarted
Connecting the TV
To display clear crisp pictures, you must connect your TV correctly and select
the correct Wide Mode to display the picture in the correct aspect ratio (see
"Changing the Wide Screen Mode" on page 22). It is strongly recommended to
connect the antenna/cable input using the 75-ohm coaxial cable (not supplied)
to receive optimum picture quality signal. A 300-ohm twin lead cable can be
easily affected by radio noise and the like, resulting in signal deterioration. If
you use a 300-ohm twin lead cable, keep it as far away fiom the TV as
possible.
You can also connect a variety of optional equipment to your TV (see page 15).
For multiple equipment connections, please refer to the Quick Setup Guide.
Cable System or
VHF/UHF Antenna
System
Cable or VHF/UHF (or VHF only) Antenna
75-ohm coaxial cable
(not supplied) __ Rear of TV
CABLE/ANTENNA input
From Cable settings in Channel settings, select Cable On or Cable Off for
your type of input signal.
Cable Box/Digital
Cable Box
"_° To change channels using
the cable box, set your TV
to channel 3 or 4
depending on the cable
box channel output.
Auto Program will fix the
channel automatically.
Use this hookup if
[] You subscribe to a cable TV system that uses scrambled or encoded
signals requiring a cable box to view all channels, and
[] You do not intend to hook up any other audio or video equipment to
your TV.
75-ohm coaxial cable
Cable (not supplied)
IN _ OUT
jack l,ack
Also,setCabletoOn intheCablesettingsinChannelsettings(seepage
29).
12

Cable System and
VHF/UHF Antenna
System
A/B
RF Switch
Cable _
Antenna
Getting Started
If you want to watch both antenna (over-the-air) and cable broadcast signals,
you'll need to use an optional A-B RF switch (not supplied), as shown
below.
Rear of TV Use the A-B selector to switch between the
CABLE/ANTENNA over-the-air signals and the cable signals. Then
input set the Cable setting in the Channel settings to On
or Off, as described on page 29.
k
Satellite Receiver
and Cable/A ntenna
Rear of TV
SVIDEO .............._\ :_
V,DEO=:o !i
S VIDEO cable (yellow) ,@
._ --_/V ! AUDIO-L
ab,e white):i
AUDIO-R
(red)
_ _ _ _ CATV/Antennacable
(not supplied)
Satellite antenna cable
.............. i"
Satellite Receiver
13

GettingStarted
VCR, Cable and
Antenna
VCR_ _ o
AUDIOR AUDIOL VIDEO SVIDEO
LINE IN
S VIDEO cable
_able
L/ 'A
_Eo .....
............................ d
CATV cable
14

When Connecting to Optional Equipment
Left side Rear
_oo,,,,,For
service
use only
Q.
©Io AUDIO
0
p
i_o_o_nZ_p_4_op_48_l
Getting Started
[]
o.
[] VIDEOIN 2
VIDEO/
L(MONO)-AUDIO-
R
[] HDMI IN 1
HDMI/
L-AUDIO-R
[] HDMI IN 2
Conuect to the composite video and audio output jacks on your camcorder or other video
equipment such as video game equipment.
HDMI (High-Definition Multimedia Interface) provides an uncompressed, all-digital
audio/video interface between this TV and any HDMI-equipped audio/video equipment, such
as a set-top box, DVD player, and A/V receiver. HDMI supports enhanced, or high-definition
video, plus digital audio.
If the equipment has a DVI jack and not an HDMI jack, connect the DVI jack to the HDMI IN
1 (with HDMI-to-DVI cable or adapter)jack, and connect the audio jack to the L-AUDIO-R
jacks of HDMI IN 1. (DVI connector is for video signals only.)
HDMI-to-DVI cable
HDMI adapter
Audio cable
(Continued)
15

GettingStarted
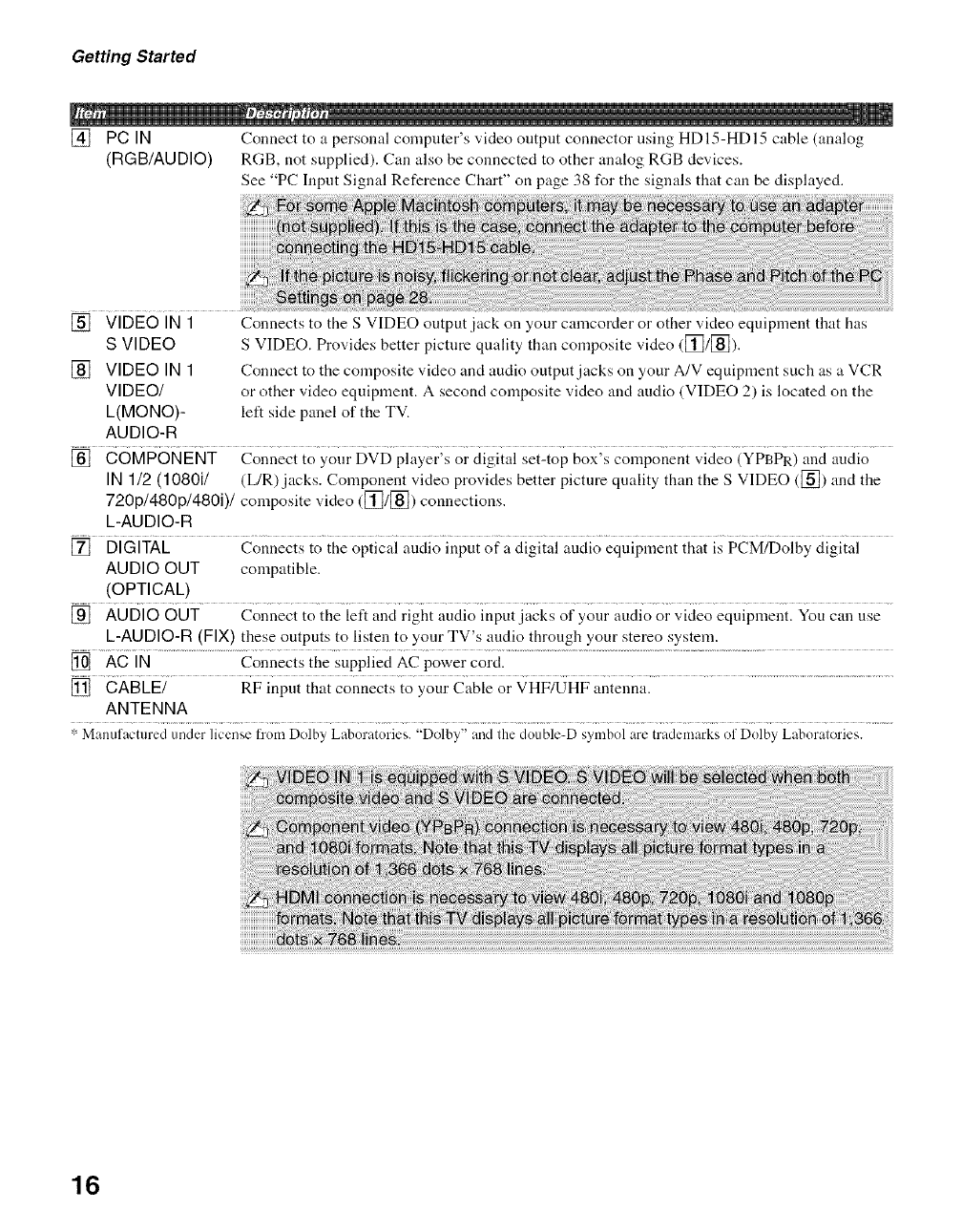
[] PC IN Connect to a personal computer's video output connector using HD 15-HD 15 cable (analog
(RGB/AUDIO) RGB, not supplied). Can also be connected to other analog RGB devices.
See "PC Input Signal Reference Chart" on page 38 for the signals that can be displayed.
[] VIDEO IN 1
S VIDEO
[] VIDEO IN 1
VIDEO/
L(MONO)-
AUDIO-R
Connects to the S VIDEO output jack on your camcorder or other video equipment that has
S VIDEO. Provides better picture quality than composite video ([_/[_]).
Connect to the composite video and audio output jacks on your A/V equipment such as a VCR
or other video equipment. A second composite video and audio (VIDEO 2) is located on the
left side panel of the TV.
[] COMPONENT Connect to your DVD player's or digital set-top box's component video (YPBPR) and audio
IN 1/2 (1080J/ (L/R).jacks. Component video provides better picture quality than the S VIDEO ([]) and the
720p/480p/4801)/colnposite video ([_/[_) connections.
L-AUDIO-R
[] DIGITAL Connects to the optical audio input of a digital audio equipment that is PCM/Dolby digital
AUDIO OUT compatible.
(OPTICAL)
[] AUDIO OUT Connect to the left and right audio input.jacks of your audio or video equipment. You can use
L-AUDIO-R (FIX) these outputs to listen to your TV's audio through your stereo system.
[] AC IN Connects the supplied AC power cord.
[] CABLE/ RF input that connects to your Cable or VHF/UHF antenna.
ANTENNA
* Mamffactured under license from Dolby Laboratories. "Dolby" and lhe double-D symbol are trademarks of Dolby Laboralories.
16

Securing the TV
Preventing the TV
from Toppfing
Getting Started
Sony strongly recommends taking measures to prevent tile TV fiom toppling
over; as unsecured TVs may topple and result in property damage, serious
bodily injury or even death.
17 Secure the TV to a wall and/or stand.
17 Do not allow children to play or climb on furniture and TV sets.
17 Avoid placing or hanging items on the TV.
17 Never install the TV on:
• slippery, unstable and/or uneven surfaces.
• furniture that can easily be used as steps, such as a chest of drawers.
17 Install the TV where it cannot be pulled, pushed, or knocked over.
17 Route all AC power cords and connecting cables so that they are not accessible
to curions children.
k
Use a Sony TV
Stand
Use a Sony specified TV stand (see page 2) and follow the instruction
manual provided with the Sony TV stand.
Ifa Sony specified TV stand is not used, consider the following
recommended measures.
Recommended
Measures to Secure
the TV
1Secure the Stand for the TV.
Make sure the TV stand can adequately support the weight of the TV.
Use two angle braces (not supplied) to secure the stand.
For each angle brace use the appropriate hardware to:
•attach one side of the angle brace to the wall stud.
•attach the other side to the TV stand.
_ ngle brace
Stand
(Continued)
17

GettingStarted
2Secure the TV to the Stand.
Use the optional hardware listed below (not supplied):
• M6 ×12-18ram anchor bolt (screwed into the TV's Table-Top Stand).
• A screw or similar (attach it to the TV stand),
• Rope or chain (strong enough to support the weight of the TV). Make
sure that there is no excess slack in the rope or chain.
An alternative way to secure the TV is with an optional Sony Support Belt Kit.
Anchor
bolt
3Anchor tile TV to tile Wall.
Use the hardware listed below (not supplied).
• Two M6 × 12-18ram anchor bolts (screw into the top-most wall-
mount holes located on the rear of the TV).
• Rope or chain (attach to one M6 anchor bolt).
• Wall-anchor (attach to the wall stud) strong enough to support the
weight of the TV (pass the rope through the wall-anchor, then attach
to the other M6 anchor bolt).
Anchor bolts --
Wall-mount "_
holes
Rope or
chain
...........Wall-anchor
18

Bundfing the
Connecting Cables
Getting Started
You can bundle tile connecting cables with tile supplied cable band as
illustrated below.
19

Getting Started
Setting Up the Channel List -Initial Setup
Ariel" you finish connecting your TV. you need to run Initial Setup, which
automatically sets up awfilable channels. The Initial Setup screen appears
when you turn on your TV for the first time. If you do not want to set up the
channels at this time, you can do it later by selecting the Auto Program
option in the Channel settings (see page 29).
1
2
3
POWER
Press 0to turn on the TV.
The Initial Setup screen appears.
Press 11411,to highlight the desired
language.
The message "First please connect
cable or antenna. Allow 50+ minutes
for completion." and "Start auto
program now'?" appear, make sure you
already connected cable or antenna,
then select OK to start Auto Program.
It" you want to start Auto Program
later, select Cancel.
4
5
6
The scanning of channels will start. If
you want to stop and run Auto
Program later, press Cancel.
When Auto Program is complete,
press @ to continue.
If the Initial Setup programming
found cable channels, you will be able
to scan antenna channels as well.
Connect the antenna using an A-B RF
switch (not supplied) and change the
switch to antenna then start Auto
Program to search antenna channels.
If the Initial Setup programming found antenna channels, the Auto
Program process will finish. If you want to scan cable channels, you
can do it later using the Channel settings.
To run Auto Program again at a later time
r7 Use the Auto Program feature as described on page 29.
To display the Picture in your Preferred Aspect Ratio
El Select the proper Wide Mode as described on pages 22 and 27.
2O

Remote Control ==
[] DISPLAY Press once to display the current channel number, channel 2
label, program remaining time and Wide Mode. The oil-
screen display (OSD) will turn off after a few seconds.
[] SLEEP Press repeatedly until the TV displays the time in minutes
(Off, 15, 30, 45, 60, 90 or 120) that you want the TV to remain
oil before shutting off. To cancel Sleep Timer, press SLEEP
repeatedly until Off appears.
[] FAVORiYES Press;,ice io aispiayii_esioredFavoriiesiisi: Youcansiore{ip
to 8 channels and/or external inputs in your Favorites list.
How to Add to Favorites
While tuned to the channel you want to add to the list, press
FAVORITES and highlight "Add to Favorites", then press
Q.
"_° The 5 button and CH +
have a tactile dot. Use
them as a reference when
operating the TV.
[] PICTURE Press repeatedly to cycle through the available picture modes:
Vivid, Standard, Custom. The picture modes can also be
accessed in the Picture settings. For details, see "Using the
Picture Settings" on pt_ge 25.
[] RETURN Press to goback tothe previous screen when ciispiaying ....
MENU items and settings.
[] MENU Press to dispiay the MENU v,.i{h TV functions and settings
See "Overview of MENU" on page 25.
[] CO Press to turn on mad off Ciosed Capiions (CO) To change or
customize CC Display, see page 34.
[] O Use ;;iih 029an_iENT buiiol_sio seieci c@i;ii channeisl For
example, to enter 2.1, press @, O, C) and ENT.
_VOL +/- ........................P;ss io adjust the voiume ................................................................................................................
[] MUTING .....................Press to mute ihe sound Press again ;;press VOL + toresto;
the sound.
(Continued)
21

Basic Operations
[] POWER Press to turn on and offthe TV.
[] wi Press repeaiediyio siep ti_i:oughihe Wide Mode seiiiiigs;Wide
Zoom, Normal, and Full. The Wide Mode settings can also be
accessed in the Screen settings. (See page 27.)
Changing the Wide Screen Mode
(For PC timing, see below)
4:3 Original source 16:9 Original source
Standard definition source High definition source
!, I,
Wide Zoom Wide Zoom
Normal Normal
This mode is not available
Full Full
Changing the Wide Screen Mode for PC Timing
Incoming PC signal Incoming PC signal
800 x 600 _ 1280 x 768
......... No,-.,,.i......
Normal
Full 1 Full 1
Full 2 Full 2
22

Basic Operations
[] INPUT Press to display the list of external inputs. Press repeatedly to
toggle through the inputs.
Press i./4/I./,_ to move the on-screen cursor. Press (2_) to
select/confirm an item.
_/4/*/,*, @
[] T66ES ......................Pressio displayihe To;is Menli ihai is associ;{iedwiih ;;our
current input: analog TV. digital TV or external inputs. (See
pages 25, 26, and 34)
[] J0U0 P;_; ioi;ii,_pback;n_iforihbeiweeni;:o_hani_i_iTh_TV
alternates between the current channel and the last channel that
was selected.
[] 0 - 9 ENT Press 0 - 9 to select a channel; the channel changes after two
seconds. Press ENT to change channels immediately.
[] CH +)L Press io scan ii_ro[ighciianneis[Tosc;_nq[iicki_;thro[igh
channels, press and hold down either +/-.
o
::3
23

Basic Operations
TV Controls
-- VOLUME "b - CHANNEL + POWER
TIMER
[]
STANDBY _ POWER []
[] MENU Press to display MENU with TV fimctions and settings (see "Overview of MENU" on page
25).
i i i _ i .....................
[] -*- Press to &splay the hst of external mputs. Press repeatedly to toggle through the inputs,
INPUT
- VOLUME +
[] !_ 4, Press to scan through channels. To scan quickly through channels, press and hold down either
- CHANNEL + -/+. In the MENU screen, these buttons serve as up/down buttons.
[] POWER Press to turn on and oft'the TV.
[] TIMER LED Lights up in orange when the sleep timer is set.
[] STANDBY LED Lights up in red when ":,,ourTV is in PC power saving mode.
[] POWER LED Lights up in green when the TV is turned on.
[] (IR) Infrared Receives IR signals from the remote control.
Receiver
[] Speaker Outputs audio signal.
Press to adjust the volume. In the MENU screen, these buttons serve as lei't/right buttons.
24

Overview of MENU
MENU provides one button access for controlling your TV. It enables yon to perform a variety of tasks intuitively with a
control panel on the screen rather than a variety of remote control button presses.
Using the Picture Settings 2
Picture Mode
Customized picture
viewitlg
Vivid Select t)r enhanced picture contrast and sharpness.
Standard Select for standard picture settings. Recommended for home
entertainment.
Custom Allow:s you to store your preferred settings.
Resets the current Picture Mode settings to the defanlt values.
Reset
Backlight Adjust to brighten or darken the backlight.
Picture Adjust to increase or decrease picture contrast.
Brightness Adjust to brighten or darken the picture.
Color Adjust to increase or decrease color intensity.
Hue Adjust to increase or decrease the green tones.
Color Temp Cool Select to give the white colors a bluish tint.
White adjustment Neutral Select to give the white colors a neutral tint.
Warm Select to give the white colors a reddish tint.
Sharpness Adjust to sharpen or soften the picture.
Noise Reduction Select to reduce the noise level. Select from High, Medium, Low and Off.
25

Using the Menus
Using the Sound Settings
Sound Mode Dynamic Enhances treble and bass.
Cu,stomized Standard Standard sound optimized for home use.
so.ml li,,r,,ni,,g Clear Voice ............................Stdtabie t)r spoken diaiogl ...........................................................................................
Reset Resets the current Sound Mode settings to the default values.
Treble Adjust to increase or decrease higher-pitched sounds.
Bass Adjust to increase or decrease lower-pitched sounds.
Balance Adjust to emphasize left or right speaker balance.
MTS Stereo Select for stereo reception when viewing a program broadcast in stereo.
E@w ,stereo, biling_ud Auto SAP Select to automatically switch the TV to second audio programs when a
and mono program,s signal is received. If no SAP signal is present, the TV remains in
Stereo mode.
Mono Select for mono reception. Use to reduce noise during weak stereo
broadcasts.
Alternate Audio
Digital chcmnels' only
Select among the available options to switch among the alternate audio streams. The
program you are tuned to may be broadcasted in a different language in the alternate audio
streams.
Speaker On Select to turn on the TV speakers.
Off Select to turn off the TV speakers and listen to the TV's sound only
through your external audio receiver and speakers.
i!!!!!!!!!!!!!!!!!!!!! iiili
26

[] Using the Screen Settings
Using the Menus
Wide Mode Wide Zoom ......................Fills the screen with minimunl distortion. .._
Normal Select to display,4:3 picture in original size when the original source is 4:3.
Full Select to enlarge the picture horizontally to fill the screen when the _'
original source is 4:3 (Standard definition source). When the original
source is 16:9 (High definition source), select this mode to display 16:9
picture in original size.
Auto Wide
4:3 Default
Select tit(' &{fimlt Screen
Mode to use
.fi)r 4:3 sources
Oil Select to have the screen antomatically change to the screen mode that
is best for the current program. If frequent screen changes are disturbing
to yon, select Off.
Off Select to turn off the Auto Wide option. Choose a screen mode from the
Wide Mode option.
Wide Zoom Enlarges the 4:3 picture to fill the 16:9 screen, displaying as nmch of the
original image as possible.
Normal Select to display the 4:3 picture in its original size.
Full Select to enlarge the 4:3 picture horizontally only, to fill the display, area.
Off Select to continue using the current Wide Mode setting when the
channel or input is changed.
(Continued)
27

Using the Menus
Horizontal Center Allows you to move the position of the picture left and right (Awulableonly in Wide
Zoom).
Vertical Center Allows you to move the position of the picture up and down (Available only in Wide
Zoom).
Using the PC
Settings
When a PC is connected to the TV
and the PC input is selected, the PC
Settings screen appears instead of
the Screen settings.
Wide Mode Normal Select to display in the original image size.
Full1 Select to enlarge the picture to fill the display area, keeping its original
aspect ratio.
Full2 Select to enlarge the picture to fill the display area.
Auto Adjustment Select to automatically adjust the display position and phase of the picture when the TV
receives an input signal from the connected PC. Note that Auto Adjustment may not work
well with certain input signals. In such cases, manually adjust the options below.
Phase Adjust after Pitch to fine tune overall sharpness.
Pitch Adjust uneven sharpness on screen.
Horizontal Center Allows you to move the position of the picture left and right.
Vertical Center Allows yon to move the position of the picture up and down.
Power Management On Select to automatically switch to the power saving mode when there is
no signal input i'or 30 seconds.
Off Select to turn off Power Management.
._ Powe _
28

Using the Menus
Using the Channel Settings
Favorites Select favorite channels and external inputs(see page 21). ,_
Cable On Select if you are receiving cable channels via Cable TV provider.
off ...............................................................Select if you are using an antenna. ..........................................................................................................................................
Digital Channels Select to add digital channels.
Auto Program Automatically sets up the channel list on the TV for all receivable channels.
1 Select Auto Program.
2 Select OK to start Auto Program.
Allows you to show or hide channels that appear when you use the CH +/- buttons.
1 Press tl./'I" to scroll through the channels until you find the channel you want to show or
hide. Then press @ to select it.
2 Press 4"/11'to determine if the channel will be shown or hidden. Then press @ to select
it.
Show/Hide Channels
Label Channels
1Press tl4'I" to scroll through the channel numbers. Then press @ to select tile channel
number that you want to assign a label.
2 Press tl4,!, to scroll through the label characters (A-Z, 0-9, etc.). Press * to move to the
next character. Repeat to add lip to 7 characters to the label. Press ,_, to highlight OK
and press @ tO set. .....
Diagnostics Display diagnostics inforlnation about the TV. This can be useful in providing inforlnation to
an authorized technician or repair person.
Allows you to assign labels (such as station call letters) to channel numbers.
29

Using the Menus
Using the Parental Lock Settings
The Parental Lock settings allows you to set up the TV to block
programs according to their content and rating levels. Use 0-9 on the
remote control to enter a four-digit password. The first time you
create a password, confirm the password by entering it again.
Rating Off Turn Parental Lock off. No programs are
blocked from viewing.
Child Maximum ratings permitted are:
U.S.: TV-Y. TV-G, G
Canada: C, G, TV-Y
Youth Maximum ratings permitted are:
U.S.: TV-PG, PG
Canada: C8+, PG, 8 ans+, TV-PG
Young Adult Maximum ratings permitted are:
U.S.: TV-14, PG-13
Canada: 14+, 13 ans+, TV-14
Custom Select to set ratings lnanually.
U.S.: See page 31 t_r details.
Canada: See page 32 for details.
Digital Rating Off Tnrn Parental Lock off. No programs that contain downloadable ratings
are blocked from viewing.
Custom Select to block programs based on downloadable ratings.
Clear All Select to clear the entire downloadable rating system.
Unrated
(A vaih_ble only
n'hen Count(v is
,setto U.S.A.)
Allow Allows programs and movies that are broadcasted without a rating.
Block Blocks all programs and movies that are broadcasted without a rating.
Channel Block Allows yon to block channels regardless of program ratings.
To View a Blocked Channel
Press ENT when tuned to the blocked channel then enter the password.
External Input Allows you to block external inputs regardless of program ratings.
Block To View a Blocked External Input
Press ENT v,,'hen tuned to the blocked input then enter the passv,,'ord.
3O

Using the Menus
Change Password Select to change your password.
Select Country U.S.A. Select to use U.S.A. ratings (see below).
Canada Select to use Canadian ratings (see page 32).
US Models: Selecting Custom Parental Lock Rating Options
To select custom rating options for tile U.S., select U.S.A. in tile Select Country setting (see above).
Movie Rating G All children and general audience.
PG Parental guidance suggested.
PC-13 Parental guidance for children under 13.
RRestricted viewing, parental guidance is suggested for children under
17.
NC-17 and X No one 17 or under allowed.
TV Rating Age-Based Ratings
BIock programs by their TV-Y All children.
rating, content or both Tv-Y7 Directed to chiMren age 7 and older.
TV-G General audience.
TV-PG Parental guidance suggested.
TV-14 Parents strongly, cautioned.
TV-MA Mature audience only.
Content-Based Ratings
FV Fantasy violence.
D Suggestive dialogue.
LStrong language.
SSexual situations.
V Violence.
"2-
(Continued)
31

Using the Menus
Canadian Models: Selecting Custom Parental Lock Rating Options
To select custom rating options for Canada, select Canada in tile Select Country setting (see page 31).
English Rating C All children.
C8+ Children 8 years and older.
GGeneral programming.
PG Parental guidance.
14+ Viewers 14 and older.
18+ Adult programming.
French Rating G General progrmnnfing.
8 ans+ Not recommended t\)ryoung children.
13 ans+ Not recommended for ages under 13.
16 arts+ Not recommended for ages under 16.
18 arts+ Programming restricted to adults.
U.S.A. Rating See "US Models" on page 31 for details.
Viewing Blocked Programs
You can view blocked programs by entering the password. Press ENT when tuned to a blocked program,
then enter the password. This temporarily turns the parental control feature off. To reactivate the Parental
Lock settings, turn offthe TV. When the TV is turned on again, your Parental Lock settings are reactivated.
32

Using the Menus
[] Using the Setup Settings
Closed Captions Allows you to select from several closed caption modes (for programs that are broadcast with ,_
(CC) closed captioning).
On ......................CloSedCapiions (C/C)is turneli on. ..............................................................
Off Closed Captions (CC) is turned off.
Program Allows you to set basic and advanced Closed Captions (CO) options. See
"Programming Closed Captions (CC)" on page 34.
Info Banner Set to On or Off. When on, displays the program description and the remaining time (if the
broadcaster offers this service). Displays for a few seconds when the channel is changed or the
DISPLAY button is pressed.
Label Video Inputs Allows you to identify A/V equipment you connected to the TV. such as a VCR, DVD, etc. For
example, if you have a DVD player connected to the COMPONENT IN jack, you can select the
label DVD for the Component input. Then when yon press INPUT to change inputs, the video
label you assigned to that input appears on screen.
1 Press 14,!, to highlight the vkteo input (Video 1-2, Component 1-2, HDMI 1-2, PC) to
which you want to assign a label. Then press @ to select the input.
Press 1./!1, to highlight one of the displayed labels. Then press @ to select the label.
You can select from the lbllowing labels for each input:
eomponeni1:5
PC -, Skip
Select to display all on-screen settings in your language of choice: English, Espafiol, Frangais.Language
Sleep Timer Set the time in minutes (Off, 15, 30, 45, 60, 90, or 120) that you want the TV to remain on
bel\_re shutting off automatically.
(Continued)
33

Using the Menus
Power Saving Select to reduce the power consumption by adjusting the backlight brightness. This also
enhances the black level. Select from Off, Low and High.
Product Information Select to display the eqnipment information of your TV.
cineMotion Seieci Auio io auio;_aiic;iiiy ]eieci fii;_ coi]ie]]t ;ind ;ippiy a reverse 322 puikiowu process
Moving pictures vail appear cleaner and more natural looking. Select Off to disable the
detection.
Programming Closed Captions (CC)
If you selected the Program option under Closed Captions (CC), you can change the following settings:
Basic Allows you to select basic analog (EIA-608) closed caption options.
CC1, CC2, Displays a printed version of the dialogue or sound effects of a
CC3, CC4 program. (Shoukt be set to CC1 for most programs.)
Text1, Text2, Displays network/station information presented using either half or
Text3, Text4 the whole screen (if available).
Digital CC......... Xiio;;s yo;; io;&idi_ii;i i;_ii_iiaiEi_Z(_695o_ASvancedi_ii_iiai
EIA-708).
Advanced Allows you to select advanced digital (EIA-708) closed caption options. Select t¥om the
available options.
Advanced Settings Allows you to make additional settings for digital (EIA-708) closed caption options. Select
from the following settings.
Character Style As Broadcast, Style 1-6
Character Color As Broadcast, Color 1-8
Character Size As Broadcast, Small, Standard, Large
Character Opacity As Broadcast, Solid, Translucent, Transparent, Flashing
Edge Color As Broadcast, Color 1-8
Edge Type As Broadcast, None, Raised, Depressed, Uniform,
Left Shadow, Right Shadow
Background Color As Broadcast, Color 1-8
Background As Broadcast, Solid, Translucent, Transparent, Flashing
Opacity
Window Color As Broadcast, Color 1-8
Window Opacity As Broadcast, Solid, Translucent, Transparent, Flashing
34

Troubleshooting
If you have additional questions, service needs, or required technical assistance related to the use of your
Sony TV. please visit our website or call one of the following numbers:
<http://www.sony.com/TVsupport>
1-800-222-SONY(7669) for US Residents
1-877-899-SONY(7669) for Canadian Residents
No picture.
Cannot receive any channels. 121 Make sure the power cord is connected securely.
Turn on the power of the TV.
Check antenna/cable connections.
TV is locked to one channel. 17 Perform Auto Program to add receivable channels that are not presently in the
TV's memory (page 29).
Cannot receive or select channels. 121 Perform Auto Program to add receivable channels that are not presently in the
TV's memory (page 29).
To receive or select cable channels, make sure that Cable in tire Channel
settings is set to On (page 29). To receive or select UHF channels over an
antenna, make sure Cable is set to Off.
The TV turns off automatically. FI Check Power Management in the PC Settings.(page 28)
No picture from some vide() 17 Check the connection between the optional vide() equipment and the TV.
sources. 17 Press INPUT on the remote control (page 23).
Press MENU on the remote control. Select your desired input from the external
inputs list.
Poor picture.
Double images or ghosts. 17 Check antenna/cahle connections.
Check the antenna location and direction.
Only snow and noise appear on the 121 Check if the antenna is broken or bent.
screen. 121 Check it' tire antenna has reached the end of its serviceable lili:. (3-5 years in
normal use, I-2 years at the seaside.)
Dotted lines or stripes. 17 Keep the TV away from noise sources sucb as cars, motorcycles, or hair-dryers.
If using 300 ohm twin lead, move the excess lead away from the TV or try using
75 ohm coaxial cable instead.
No color/Dark picture/Color is not 121 Press PICTURE to select the desired picture mode (page 21).
correct/The picture is too bright. 17 Adjust the Picture Mode options in tire Picture settings (page 25).
If you set tire Power Saving mode to LOWor High, it will enhance tire black
level.
Noisy picture. 121 Make sure that the arrteuna is connected using the 75-ohm coaxial cable (not
supplied).
Keep the arrtenua cable away from other connecting cords.
To avoid TV irrterference, make sure to use an undamaged arrteuna cable.
0
"2-

Other Information
No sound/Noisy sound
Good picture, no sound.
Audio noise.
Wide Mode changes automatically.
"Black box" on screen.
Black bands appear at the top and 17
bottom of the screen.
Certain programs on DVD or other 17
digital sources display a loss of
detail, especially during fast-motion
or dark scenes.
Remote control does not operate. FI
Some digital cable channels are not [7
being displayed. rq
Lost password. 17
How to reset the TV to factory [7
settings.
Check the vnlume control.
Press MUTING or VOL + so that "Muting" disappears from the screen
(page 21).
Set Speaker to On in the Sound settings (page 26). lfit is set to Off, sound is
not output from the TV's speakers regardless of the TV's volume control.
Make sure that the arrtenna is connected using the 75-ohm coaxial cable (not
supplied).
Keep the arrtenua cable away frnm other connecting cords.
To avoid TV irrterference, make sure to use an undamaged arrteuna cable.
The current Wide Mode setting is automatically replaced with the 4:3 Default
setting when you change the channel or vide() input, it"4:3 Default in the Screen
settings is set to anything but Off. If you want to lock in the Wide Mode selected
with the WIDE button, set 4:3 Default to Off in the Screen settings (page 27).
Check the Auto Wide option in the Screen settings (page 27).
You have selected atext option in tire Setup setting and no text is available. (See
pages 33 and 34 to reset Setup selections.) To turn off this feature, set the
Closed Captions (CC) nption to Off. If you were trying to select closed
captioning, select CO1 instead of Text1-4.
Some wide screen programs are filmed in aspect ratios that are greater than 16:9
(this is especially common with theatrical releases). Your TV will show these
programs with black bands at the top and bottom of tire screen. For more details,
check the documentation that came with your DVD (or contact your program
provider).
The compression used by certain digital broadcasts and DVDs may cause your
TV's screen to display less detail than usual, or cause artifacts (small blocks or
dots, pixeladons) to appear on ynur screen. This is due to your TV's large screen
and ability to show very line detail, and is normal lot certain digitally recorded
programs.
Check the polarity of the batteries or replace the batteries.
Point the remote control at the remote control sensor of the TV.
Fluorescent lamps can interlere with your remote control operation; try turning
off the fluorescent lamps.
Keep the remote control sensor area clear from obstacles.
Certain cable companies have limitations on the broadcast of digital cable
channels. Check with your cable cnmpany l\)r more ird\)rmation.
The digital cable channel may be set to Hidden in the Show/Hide Channels
setting (see page 29).
Select the Parental Lock settings on the settings screen, then enter the following
master password: 4357. The master password clears your previous password and
allows you to enter anew password (page 31).
Turn on the TV. While holding down the 'It button on the remote control, press
the POWER button on the TV. (The TV will turn itself of L then back on again.)
Release the tl. button.
WARNING: The Reset will clear all of your customized settings irrcluding
Parental Lock setting.
36

Other Information
Preparation for Wall Mounting
This TV can be installed on a wall by using a Wall-Mount Bracket (sold
separately). Before mounting the TV on a wall, the Table-Top Stand must be
removed fi:om the TV.
Sony Wall-Mount
Bracket Model
SU-WL500
Follow tile simple steps below to remove tile Table-Top Stand:
Disconnect all the cables from tile TV.
1
2 Secure the Mounting Hook to the rear of the TV.
3 Adjust the angle of the Mounting Hook.
4 Start removing the screws behind the TV (See illustration below). Do
not remove any other screws fiom the TV.
5 When screws are removed, lilt the TV off the stand. Make sure that you
carry out this task with at least two people. Do not attempt to lift the TV
by yoursell:
For bracket installation, refer to the instruction guide provided by the Wall-
Mount Bracket model for your TV. Sufficient expertise is required in
installing this TV. especially to determine the strength of the wall for
withstanding the TV's weight. For product protection and safety reasons,
Sony strongly recommends that you use the Wall-Mount Bracket model
designed for your TV and the wall-mounting of your TV should be
performed by Sony dealers or licensed contractors.
f
o
5"
37

Other Information
PC Input Signal Reference Chart
Resolution
Signals [ Horizontal(Pixel)
VGA 640
640
720
SVGA 800
800
XGA 1024
1024
1024
WXGA 1280
1280
136t)
/
Vertical | Horizontal h'equency Vertical fiequency
1(kHz) [ Hz
(Lille) &
480 31.5 6(1
480 37.5 75
4(X) 31.5 70
6(1(I 37.9 6(I
60_1 46.9 75
768 48.4 60
768 56.5 70
768 60.0 75
768 47.4 6(I
768 47.8 60
768 47.7 6(I
l Standard
VGA
VESA
VGA-T
VESA Guidelines
VESA
VESA Guidelines
VESA
VESA
VESA
VESA
VESA
38

Other Information
Specifications
Televisiun system:
NTSC American TV standard
ATSC (8VSB terrestrial) ATSC compliant 8VSB
QAM un cable ANSI/SCTE (17 2111R)
(Does not include CabIeCARD
functionality)
Channel coverage: Analog Digital
Tcrrcstrial 2-69 2-69
Cable 1- 135 1-135
Antenna: 75-ohm external terminal for VHF/UHF
Panel System:
LCD (Liquid Crystal Displ_y) Pand
Display resulution (horizuntal × vertical):
1,366 dots × 768 lines
VIDEO IN 1/2:
S VIDEO (4-pin ndni DIN) (VIDEO 1 only):
Y: 1.0 Vp-p, 75 ohms unbalanced, sync negative
C: 0.286 Vp-p (Burst signal), 75 ohms
VIDEO: 1 Vp-p, 75 ohms unbalanced, ,_yncnegative
AUDIO: 500 mVrms (100% modulation)
Impedance: 47 kiloluns
COMPONENT IN 1/2:
YPBPR (Component Video):
Y: 1.0 Vp-p. 75 ohms unbalanced,
sync negative
PB: 0.7 Vp-p, 75 ohms
PR: 0.7 Vp-p, 75 ohms
Signal Ionnat: 480i. 480p. 720p. 1080i
AUDIO: 500 nlVrms (100% modulation)
hnpedance: 47 kilohms
HDMI IN 1/2:
HDMI: Video: 480i, 480p, 720p, 1080i, 1080p
Audio: Two clmnnel linear PCM 32, 44.1 and 48 kHz,
16, 20 and 24 bits
AUDIO (HDMI lN 1 only):
500 nlVrms (100% modulation)
Inlpedance: 47 kiloluns
AUDIO OUT:
500 nlVrms (100% modulation)
DIGITAL AUDIO OUT (OPTICAL):
Optical Digital Audio Output (PCM/Dolby Digital)
PC IN:
Analog RGB (D-sub 15-pin):
0.7 Vp-p, 75 ohms. positive
Se_ the PC Input Signzd Relcrcnce Chart on page 38
AUDIO (Stereo mini jack):
500 mVrms (100% modulation)
hnpedancc: 47 kiloluns
Power Requirement:
120 V-240 v AC. 50/60 Hz
Screen size (in inches):
32, 37
Speaker/Full range (2):
(in nun) 50 x 115
(in inches) 2 x 4 3/4
Speaker uutput:
10w+ 10w
Power cunsunlptiun:
KDL-32L4000:
in use 165 W
m standby less tllan 1.0W
KDL-37L4000:
in use 190 W
m standby less tllan 1.0 W
Dimensiuns:
KDL-32L4000:
with stand:
(in ram) 807 x 585 x 242
(in inches) 31 7/8 x 23 1/8 x 9 5/8
wilhoul stand:
(in into) 807 x 548 x 101
(in inclles/ 31 7/8 x 21 5/8 x 4
KDL-37L4000:
witl_ stand:
(in ram) 933 x 653 x 276
(in inclles/ 36 3/4 x 25 3/4 x 10 7/8
wilhoul stand:
(in ram) 933 x 616 × 112
(in inches) 36 3/4 × 24 3/8 × 4 1/2
Mass:
KDL-32L4000:
with stand:
(in kg) 16.0
(in lb.) 35 lb 5 oz
willloul stand:
(in kg) 13.8
(in lb.) 3(I lb 7 oz
KDL-37L4000:
with stand:
(in kg) 21.2
(in lb.) 46 lb 12 oz
wilhoul stand:
(in kg) 18.2
(in lb.) 40 lb 2 oz
Supplied accessories:
Remote control RM-YD025 (l)
Size AA batteries (2)
AC power cord (1)
Table-Top Stand (1)
Screws (3)
Cable band (1)
Operating Instructkms (1)
Quick Setup Guide ( 1)
Warranty Card (1)
Online Registration Card (1)
Open-source software flyer ( 1)
Optional accessories:
Connecting cables
Support belt kit
Wall-Mount Bracket: SU-WL500
TV-Stand:
KDL-32L4000: SU-FL300M
KDL-37L4000: SU-FL300M
: i ;:ii ii!! ii
Design and specifications are sttbject to change withottt notice.
o
39

0 - 9 buttons 23
4:3 Default 27
A
AC IN 16
Advanced 34
Advanced Settings 34
Allernale Audio 26
AUDIO OUT jack. described 16
Auto Ac[iustment 28
Auto Program 20, 29
Auto Wide 27
B
Backlight25
Balance 26
Bask' 34
Bass 26
Brightness 25
C
Cable 29
CABLE/ANTENNA input, described 16
CC button 21
CH+_ button 23, 24
Change Password 31
Channel Block 30
Channels
Creating labels 3{3
Setting up 20
CineMotion34
Closed caption modes 33, 34
Closed Captious (CC) 33
Color 25
Color Temp 25
COMPONENT IN
/1080i/720p/48I)p/480i) 16
D
Diagnostics29
Digital CC 34
Digital Channels 29
DIGITAL OUT OPTICAL ] (3
Digital Rating 30
DISPLAY button 21
E
English Raling 32
EiqT bulton 23
External Input Block 31
F
Favorites 29
FAVORITES button 21
French Rating 32
H
HDMI IN.jack, described 15
Horizontal Center 28
Hue25
4O
I
hffo Banner 33
Infrared Receiver (IR) 24
INPUT button 23, 24
Installing the TV on a wall 37
d
JUMP button 23
L
Label Channels 29
Label Video Inputs 33
Language 33
M
MENU button 21,24
Movie Rating 31
MTS 26
MUTING button 21
N
Noise Reduction 25
P
PCIN 16
Phase28
Picture 25
PICTURE button 21
Picture Mode 25
Pitch 28
POWER button 22, 24
POWER LED 24
Power Management 28
Power Saving 34
Product hfformation 34
R
Rating 30
Reset 25, 26, 36
RETURN button 21
S
S VIDEO jack, described 16
Select Country 31
Settings
Channel 29
Parental Lock 30
PC Settings 28
Picture 25
Screen 27
Setup 33
Sound 26
Sharpness 25
Show/Hide Channels 29
SLEEP button 21
Sleep Timer 33
Sound Mode 26
Speaker 26
STANDBY LED 24
T
TIMER LED 24
TOOLS button 23
Treble 26
Troubleshooting35, 36
TV Rating 31
u
U.S.A. Rating 32
Unrated30
V
Vertical Center 28
VIDEO/AUDIO (L/R) jacks, described
15, 16
Viewin_ Blocked Prod*rams 32
VOL+/Z buUon 21, _4
W
WIDE button 22
Wide Mode 27, 28

Please contact Sony directly if you:
• Have questions on the use of your television after reading your Operating Instruction manual
and Quick Setup Guide
• Experience difficulty operating your television
Contact Sony Customer Support at:
htt p://www.sony.com/tvsu pport
or to speak with a support representative:
United States
1-800-222-SONY (7669)
Canada
1-877-899-SONY (7669)
Sony will work to resolve your questions more quickly than your retailer or place of purchase.
Please Do Not Return the Product to the Store
http://www.sony.net/
Printed in China