TAKSTAR ELECTRONIC TS-6310HH Wireless Microphone User Manual TS 6310
GUANGDONG TAKSTAR ELECTRONIC CO., LTD. Wireless Microphone TS 6310
Users Manual

User's Manual
GUANGDONG TAKSTAR ELECTRONIC CO., LTD.
TS-6310

-1-
Features:
Low voltage indication available on handheld microphone transmitter
l Circuit controlled switching noise avoidance
l
Operational Instructions:
Microphone:
1. Handheld Microphone: Rotate the battery cover anti-clockwise, and put
a 9V battery into the battery compartment with proper polarities, then
rotate the battery cover clockwise till it is tight enough.
Belt-pack Transmitter: Open the battery cover by pressing the “OPEN
”sign, then put in the batteries. (Caution: the battery must be in Correct
Polarities
Push the microphone power switch to the “ON” position. If the power
indicator doesn't light, please check if the battery is full enough or the
battery polarities are correct.
3. If the mute function is needed, please push the switch to the middle
position, then the microphone will be in mute state and the unit is still
working.
4. When not using the microphone for a long time, please take out the
batteries from the microphone base in order to avoid damaging the unit
By chemical leakage from the battery.
2.
-2-
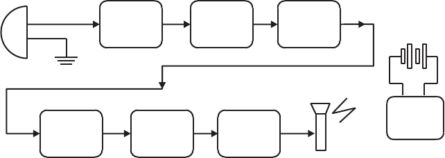
AL C AUDIO
AMP DCNR PRE-
EMPHASIS BATT
VOL
STABILIZING
CIRC
HIF PWR AMP
QUARTZ
CRYSTAL OSC
FM MODE
Working Principle of Microphone:
Modulation Mode: FM
Transmit Power: ≤10mW
Max Adjust Degree: ±20kHz
Transmitter Power Supply: 9V Battery
Specification:
FCC WARNING
This device complies with Part 74 of the FCC Rules. Operation is subject to the following two
conditions:
(1) this device may not cause harmful interference, and
(2) this device must accept any interference received, including interference that may cause
undesired operation.
NOTE 1: The manufacturer is not responsible for any changes or modifications not expressly
approved by the manufacturer for compliance, such modifications could void the user’s authority
to operate the equipment.
NOTE 2: This device complied with FCC radiation exposure limits as set forth for an uscontrolled
environment. This device should be installed and operated so that its antenna(s) are not co-located
or operating in conjunction with any other antenna or transmitter