TOASTMASTER Breadmaker Manual L0904325
Toastmaster-1163-manual Toastmaster-1163-manual
User Manual: TOASTMASTER TOASTMASTER Breadmaker Manual TOASTMASTER Breadmaker Owner's Manual, TOASTMASTER Breadmaker installation guides
Open the PDF directly: View PDF .
Page Count: 61

READ AND SAVE THESE INSTRUCTIONS
OToastmaster.
Bread Box_.Bread Maker
i
\\ \
Use and Care Guide
Recipe Book
•Model 1163
•_? QUESTIONS ??
Before Contacting Your Retailer Call
TOLL-FREE 1-800-947-3744
and talk to one of Toastmaster's
Bread Box,, Experts.
WARNING: A risk of fire and electrical shock exists in all electrical appliances
,-,nrltory cause oersonal iniurv or death. Please follow all safety Instructions.

IMPORTANT SAFEGUARDS
When using electrical appliances, basic safety precautions should always be followed including
the following:
. , ...
1. READ ALL INSTRUCTIONS.
2. To protect against electric shock do not immerse cord, plug, or appliance in water or other
liquid.
.: d ,
3. Do not touch hot surfaces.
Always use oven mitts when handling the hot bread pan or bread.
4. Close supervision is necessary when the appliance is used by or near children.
-5;Unplug-theunit-from-the-outlet-when-not-in-use-and-befo-re_cl_a_ih-g.
Allow to cool before attaching or removing parts.
6. Avoid touching moving parts.
7. Do not operate the appliance With a damaged cord or plug or after the appliance malfunctions,
or has been dropped or damaged in any manner.
iReturn the appliance to the nearest authorized service facility for examination, repair, or
electrical or mechanical adjustment.
8. Attachments that are not recommended Or sold by the appliance manufacturer should not be
used.
9. Do not use outdoors.
10. Do not let the cord hang over the edge of the table or counter, or touch hot surfaces.
11. Do not place on or near a hot gas or electric burner, or in a heated oven.
12. To disconnect, grip the plug and pull out from the wall outlet. Never pull on the cord.
13. Do not use the appliance for other than the intended use.
14. This product is intended for household use only.
15. Use accessory attachments only if recommended by Toastmaster Inc.
l ' "SAVE THESE INSTRUCTIONS
THIS PRODUCTFOR HOUSEHOLD USE ONLY
CAUTION: A short power supply cord is provided to reduce the risk of personal injury resulting from
becoming entangled in or tripping over a longer cord, Extension cords are availiable from local hard-
ware stores and may be used if care is exercised in their use. If an extension cord is required, ape-
cial care and caution is necessary. Also, the cord must be (1) marked with an electrical rating of at
:l_st 13A., 125V., 1625W., and (2) the cord should be arrar_ged so that it willnot drape over the
countertop or tr;bletop where it can be pulled on by children or tripped over accidentally.
,,, -,
ELECTRIC POWER: If electric circuit is overloaded with other appliances, your bread maker may
not operate properly, Bread ,maker should be operated on a separate electrical Circuit from other
operating appliances.
POLARIZED PLUG : This appliance has a polarized plug(one blade is wider than the other). To
reduce the risk of electdc shock, this plug is intended to fit in a polarized outlet only one way. If the
plug does not fit fully in the outlet, reverse the plug. If it still does not fit, contact a qualified
electrician. Do not attempt to defeat this safety feature. :
;

TABLE OF CONTENTS
Ii_PORTANT SAFEGUARDS ........................................................................................................... 2
BREADMAKER INTRODUCTION ............................................................................................... 4.-,7
• Basic features ............................................................................................................................ 4
• Program specification ................................................................................................................ 5
•Parts and functions .................................................................................................................... 6
• Control panel ............................ .................................................................................................. 7
INSTALLATION AND SAFETY PRECAUTIONS ............... ......................................................... 8-9
HOWTO CLEAN ............................................. :............. ..... ........................... ...... _.......................... 10
INGREDIENTS ................................................................. ............................................ ............ 11~13
•Yeast ........................................................................... .i.... ... ................ i...................................... 11
• Flour .......................................... ................................................................................................ 11
oSalt ............................................................................................................................................ 12
eFat ............................................................................................................................................ 12
•Liquids ....................................................................................................................................... 12
•Cinnamon and Garlic ............................................................................................................... 13
•Bread Mixes ............. :........... .i........ •................................................. i......................................... 13
OPERATION ................................. ............................................................................................ 14-18
•Programming(Bread/Specialty, Bread Rapid, Whole Wheat Bread) ................................... 14...16
Programming the Delay Timer ...................... ;.............................................. ............................. 16
•Programming Specialty Breads ................................................................................................ 17
•Programming Dough ............................................................................. ................................... 18
•Baking Control ......................................................................................................................... 18
•Crust Treatments ..................................................................................................................... 18
STORING YEAST PRODUCTS ..., .......................................... ....................................................... 19
COOKBOOK GUIDE (RECIPES) ......... ................................................................................... 20-55
•Breads ............................................................................................................................... 22.-.35
•Doughs ................................ ................................................. ,...... :...................................... 36.-.55
BEFORE REQUESTING SERVICE ......................................................................................... 56_60
•Problems and Solutions ........................................................................................................... 56
•Service Information ................................................................................................................... 56
•Before requesting Service .................................................................................................. 57~58
•Questions and Answers ...................................................................................... ...................... 59
•Display Signals ................................................................................... ...................................... 60
SPECIFICATIONS ............................................................................................................................ 60

B FtEA DMAKE R INTRO DU CT!ON
Basic Features
rPROGRAM SELEC T
The PROGRAM SELECT button will let you choose four different programs;
-Bread/Specialty, Bread Rapid, Whole Wheat Bread and Dough,
The Bread/Specialty Program and Whole Wheat Bread Program contains an audible 4 beeps
signal which sounds 3 minutes before the end of second kneading.
This tells you to add the additional ingredients(i.e, raisins, nuts) required in the specialty bread recipes.
When the bread is done, the beeper sounds 8 times and [:H] is displayed on display board.
•Bread/Specialty Program ...................
•Bread Rapid Program .........................
Whole Wheat Bread Program ............
•Dough Program ...................................
z_....
Simply put the measured ingredients into the bread pan
and press the START pad. After 3 hours and 40
minutes, the beeper sounds 8 times indicating that the
bread is done. This cycle contains an audible signal
(4 Beeps) which sounds after about 21 minutes into the
program, This is when you add the additional
ingredients(i.e, raisins, nuts).
Save an hour using this Bread Rapid Program. After
2 hours and 40 minutes, the beeper sounds 8 times
indicating that the bread is done.
If a recipe containsmore than 50% whole wheat flour,
then use Whole Wheat Bread Program. This program
takes 4:00 hours to complete. The first 20 minutes, the
breadmaker is pre-heating prior to first knead cycle. This
cycle contains an audible signal(4 Beeps) which sounds
after about 92 minutes into the program. This is when you
add the additional ingredients(i.e, raisins, nuts).
The Dough Program'is used tO prepare dough for making
bread or rolls which are shaped before baking in your
conventional oven. The dough is kneaded an hour and
3 minutes. The dough is removed from the bread pan,
rested and shaped as desired before baking. The Dough
Program can be used to make the dough for pizza, coffee
cake, cinnamon buns, pretzels, bread sticks, bagels, etc.
SETTING THE DELAY TIMER
The Timer can be set to delay
breadmaking from 4:10 hours
to 13 hours.
At the selected time, delicious
bread will be ready.
k=
BAKING CONTROL
The Baking control function
allows you to select a dark,
medium or light crust.
WARM
The breadmaker can keep
bread warm for 3 hours after
the Bread/Specialty or Whole
Wheat Bread program is fin-
ished. If the bread is not
removed at the end of the
program, the bread
will automatically be kept
warm for up to 3 hours. J

[] Program Specifications
Program
Process
" limer set
"_ Pre-heat
_,,_" 1st knead
_Rest
_._ 2nd knead
_.._ 1st rise
_7 Gas squeeze
2nd rise
_,1_ Gas squeeze
1_ 3rd rise
_Baking
'_ Cool
"_ Hold Warm
"_ End
TOTAL
Bread/Specialty
4:10-13 hours
7 rain
5 min
12 min
Bread Rapid
m
7 min
5 min
12 min
20 min
4sec
20 min
4sec
46 min
50 min
Whole Wheat
Bread
4:10-13 hours
20 min
13 min
50 rnin
12 min
40 min
4sec
25 min
•4 sec
60 rain
50 min
20 min
3 hours
End
3:40
I
End
2:40
20 min
4 sec
15 min
4 sec
40 min
50 min
20 min
3hours
End
4:00
Dough
6 min
5 min
12 min
40 rain
4 sec
End
1:03
-The Bread/Specialty and Whole Wheat Bread Program containsan audible signal(4 beeps) which
sounds3 minutes before the end of second kneading.
This tells you to add the additionalingredients(i.e. raisin, nutsor vegetables etc.) required in the
specialty bread recipes.
- The beeper sounds8 times at the end of coolingprocess to indicatethe bread is done.

[] Parts and Functions
Bread pan Handle Lid
Kneading Blade
(Flat side down)
Handle
Bread Pan Viewing Window
Shaft
(Rotates the
kneading blade)
Control Pane
Air Exhaust
(Air is vented through
these outlets)
fAccessories
I;
150
Uquid Measuring Cup
(1 cup)

[] Control Panel
r•REMAINING TIME |
INDICATOR /
This displays the remaining I
time for the program to be |
completed, n
__W BREAD• PROGRAM "_
INDICATOR
hen program is selected,
e indicator will light up. _,
BAKING CONTROL
INDICATOR
gthe baking control
pad will advance the indicator
for light, medium or dark
crust.
STOP
Press this pad to cancel a
program. If you make a mis-
take when setting the delay
timer, press the STOP pad
and re-enter the correct
program.
I_Toastmaster
TIMER
Set
REMAINING TIME
I'-'"'-"-'1
I-r. FrFr
HOURS MINUTES
=LAMSELECT
(3D
Whole Wheat _D
Dough _D
Dark aD
Med aD
kight_
START
rDELAY TIMER INDICATOR _
After setting the delay time,
_ress the start pad. The
timer indicator will light up.
When the breadmaker
starts to knead, the indicator
goes off.
TIMER
Press timer pads to set the
time delay. The time will
advance by 10 minute
intervals from 4:10 to 13:00
hours. This timer can
only be used for the
bread basic and whole
wheat ram.
PROGRAM SELECT
Press this pad to select the
program: Bread Basic,
Bread Rapid, Whole wheat
Bread or Dough.
BAKING CONTROL
Press this pad to select dark,
medium or light crust.
START
After setting the desired
program, the baking control
and timer (if needed), press
this pad to start the program
or timer count down. J
CAUTION I If you want to cancel the selected program, press the STOP pad for
more than 1 second at any time during the cycle.

INSTALLATIONANDSAFETYPRECAUTIONS
Read this manual and follow these simple safety precautions before using this appliance.
The breadmaker should be placed on a
heat resistant surface and away from
direct sunlight.
Allow at least 4 inches clearance on all
sides of the breadmaker when it is in
use.
Plug the breadmaker into a properly
wired wall outlet(120V/60Hz only).
Do not use the breadmaker near a
source of heat or where it is unstable.
5
6
L
O0 0 O0
Keep the breadmaker away from
babies and children. They may touch
th e control pads or hot surfaces during
operation.
Do not cover the breadmaker with any-
thing, or put anything in the breadmak-
er(except the bread pan) as this may
cause a fire or a malfunction.
,i

7
8
Do not open the lid or remove the bread
pan during operation.
The lid may be only opened on the
Bread/Specialty or Whole Wheat Bread
program to add extra ingredients at the
indicated time(beeper sounds 4 times).
Lifting the lid during operation will allow
warm air to escape, there by hindering
the RISE and BAKE stage.
Never immerse the breadmaker, cord or
plug in water.
This would be very dangerous.
9
11
Do not immerse the bread pan in
water. It may cause the shaft to
malfunction. Wipepan with a damp
cloth to clean.
Do not dent or damage the bread
pan. The breadmaker will not operate
properly if it is damaged.
Be sure to disconnect the power cord
by pulling out the plug, and allow the
breadmaker to cool down before
storing.

HOW TO CLEAN
,_CLEANING (Always, unplug unit)
• Avoid using any cleaning agent other than
dish detergent.
= Do not use steel wool or other abrasive
materials.
• Do not wash the removable parts in the
dishwasher.
• Wipe the shaft with a soft cloth or sponge to
prevent damage to the seal packing.
Allow to dry before storing the pan inside
the bread maker.
SEAL PACKI SHAFT
•Wash the kneading blade with a soft cloth
or sponge, and let dry. If necessary,
immerse in water for a while and clean with
aSoft toothbrush. Dry thoroughly. The
kneading blade should be removed and
cleaned after use.
KNEADING BLADE
•Do not immerse the bread pan in water.
Wipe clean with a damp cloth, then dry thor-
oughly.
• Wipe the exterior with a damp dish cloth after
each use.
Do not immerse in water or splash with water.
• After using, cool and wipe out crumbs or
flour from the oven interior with a dampened
washcloth. A dampened, small soft
brush may also be used.
•Do not use metal utensils to prevent damage
to the non-stick coating of the bread pan.
NOTE : The non-stick coating may change
color after prolonged use. This is caused by
moisture and steam, and in no way affects per-
formance.
STORING
= Be sure breadmaker is completely cooled before storing.
•All removable parts should be thoroughly cleaned and dried.
•Store breadmaker with lid closed.
.... _ J

INGREDIENTS
Congratulations! You have just acquired a TOASTMASTER Bread BOXTM.Toastmaster, Inc. has
become a household name you can count on as has RED STAR ®Yeast. The home economists at
RED STAR ®Yeast and TOASTMASTER have combined their efforts to provide the exciting recipes
in this cookbook. Many hours of developing and testing these recipes were necessary to assure you,
the home baker, a variety of delicious homemade breads.
While some of you have been baking breads using traditional methods for years, others may have no
experience at all. Actually, neither group has an advantage over the other since using a bread
machine is a completely new concept in bread making. To achieve optimum results, please take a
few minutes and read the following information before you even shop for the ingredients.
All ingredients except water should be at room temperature.
[] Yeast : The Number One Ingredient
RED STAR ®Active Dry Yeast was used in developing all the recipes in this book. However, RED
STAR ®QUICK-RISE TM Yeast could also be used. We found that we did not have to vary the amount
used when we substituted one for the other in this TOASTMASTER Bread BOXTM.
Follow Package directions if using Bread Machine Yeast.
Because yeast can grind against itself and become very fine. It is packaged by weight and not by
volume. A1/4oz. package of RED STAR ®Yeast contains approximately 21/4 level teaspoons of yeast.
The activity of yeast will deteriorate when it is exposed to oxygen, moisture or warmth. Therefore,
yeast needs to be stored airtight, refrigerated or frozen. Yeast is granular and comes to room tem-
perature very quickly.
Yeast ferments sugar to leaven bread. White and brown sugar, honey and molasses may be inter-
changed equally. Since honey and molasses are liquids, decrease the water by the same amount as
the honey or molasses added_
Artificial sweeteners may not be used as the yeast cannot react with them. But yeast does have the
ability to convert the starch in flour to sugar. French bread is an example of yeast activity in a bread
dough with little or no sugar. Although sugar is the favorite food of yeast, too much sugar will cause
the yeast to disfunction, especially within a bread machine program. The yeast will have a feeding
frenzy and then become lethargic. The loaf of bread will be small and dense. Dried fruits also con-
tribute sugar to the bread dough. Resist the temptation to add more than specified in the recipe.
[] Flour : Bread Flour Is Essential
Bread flour is a necessity. It is milled from a hard winter or spring wheat. The protein content is high-
er and more durable in bread flour than in all-purpose flour. The protein when mixed with liquid
becomes gluten. When gluten is kneaded it becomes elastic and when baked is the structure of the
bread. All purpose flour, milled from a combination of soft a_ndhard wheat, becomes elastic too easi-
ly for use in a bread machine and quickly loses its ability to stretch well. The bread made from all-
purpose flour will be small and dense. Several well-known mills now market bread flour. They are
labeled as bread flour on the packages and are readily available at grocery stores.
Wheat is the only grain that contains the type of protein that becomes elastic when kneaded. Other
flours such as rye, barley, oats. soy, rice and buckwheat add flavor and fiber to breads but do not
become part of the structure of the dough. Therefore, it is necessary to have a wheat flour as a base
when making breads with other flours.

ViT_,iWheat Gluten is produced by processingwhite flour one more step. White flour contains protein
and Starch. Mills are now able to remove most of the starch leaving only the protein(gluten). This is
more expensive but is used in very small amounts, when vital wheat gluten is added to recipes con-
taining all whole grains, it helps to improve the volume and shape of the loaf. Usually 1 teaspoon per
cup of flour will make a difference. If more than a tablespoon per cuP of flour is used, the bread may
be tough. Grocery stores are beginning to stock this ingredient in the aisle with baking ingredients.
It is also available at health or natural food stores ....
To measure flour, spoon into measuring cup and level off.
DO NOT : tap cup
pack flour into cup
--sifffl_r
Store flourfor long periods of time in the freezer rather than the refrigerator. Refrigerators tend to dry
out flours.'Be sure the flour is at room temperature before placing in a bread machine.
[] Salt : Regulates Yeast Activity :1
Salt is necessary to control the activity of yeast, disciplining it to work slow and steady. Without salt
yeast acts very rapidly and gives out too quickly. Sa!t also strengthens .the structure of the dough.
If too little or no salt is used, the bread will rise rapidly and then fail either before the baking or as
soon as the baking begins; the texture will be coarse and uneven. Some salt substitutes will work
effectively.
[] Fat : Dough Enhancer And Conditioner
Shortening is an American term for fat used in recipes. The recipes in this book Use vegetable oil.
Solid shortening, butter or margarine maybe substituted; Divide into small pieces before placing in
the machine, There will not be any noticeable flavor difference. The crust may be a little crisper with
butter.,Margarine tends tomake the crust a little tougher. Light or whipped margarine does not work
well. .....
[] Liquids : Activate The Yeast And Bind The Dough
Liquids include all the wet ingredients used in the recipe. Traditional bread bakers have been taught
correctly that warm liquid(110..115°F) will activate dry yeast. However, when yeast is used in a bread
machine, the,liquid temperature most likely to provide a good environment for the yeast is 80°1=.With
this temperature, the yeastactivates gradually to accommodate the program of the machine. When
higher degrees of liquids are used, the yeast not only activatestoo quickly, but also the entire dough
becomes too warm, !fthe temperature of the dough raises over 100°F during the rising times, the
yeast does not die but becomes very lethargic and is not able'to work effectively.
Because climates and seasons of a year make for a wide variety of humidity levels, the liquid
amounts called for in a recipe may haveto be adjusted. Flour will not accept the same amount of
liquid in a moist humid climate as it will in adry climate; i.e., Florida residentsalways use less than
Arizona residents. _ ....
Wisconsin bakers will use less liquid in their machines in thesummer than in the Winter. The differ-

ence may be as much as 1/4 to 1/2 cup of liquid. When bread is kneading, the dough should be a
soft, tacky ball. More flour, one tablespoon at a time, may be added after 5 minutes of kneading if the
dough is too wet.
More liquid may also be added, one tablespoon at a time, if the dough is too dry. If the bread falls
during the baking cycle and/or is quite coarse, reduce the total liquid amount.
When the machine is set on the delay timer, reduce the amount of liquid in most recipes by I table-
spoon and be sure the liquid is very cold.
Eggs are also considered part of the total liquid amount. One egg should measure 1/4 cup. If it does
not, add additional water to equal 1/4 cup per egg. An eggwhite is equal to 1/8 cup. If it does not,
add additional water to equal 1/8 cup. Eggs need to be at room temperature before putting them in
the machine. If eggs are taken directly from the refrigerator, place them in a bowl of warm water to
takeoff the chill before cracking. DO NOT USE EGGS OR ANY PARISHABLE FOODS WITH THE
DELAYED SETTING.
Recipes which require non fat dry milk can be substituted with milk. Omit the dry milk and replace
part or all of the water in the recipe with milk. Dry milk, like liquid milk, will make the crumb structure
have a more velvety texture. Fresh milk is not recommended with the delayed setting.
[] Cinnamon And Garlic : Not True Friends Of Yeast Dough
Although cinnamon is associated very closely to the nostalgic senses of bread, it has not been apart
of the actual dough. Previously, cinnamon and sugar were sprinkled on dough before it was rolled up
jelly roll fashion. Adding it to the dough in a bread machine presents a problem. Cinnamon acts to
bread dough as meat tenderizer acts to meat-breaking down the structure. Although it smells won-
derful as it is baking, the flavor is dissipated in the baking process. DO NOT ADD MORE than listed
in the recipe.
Garlic inhibits yeast activity. Use garlic in a spread for the bread rather than adding it to the dough.
[] Bread Mixes
Use mixes labeled for 1-11/2 pound loaves. For best results use the Rapid or BREAD/SPECIALTY
Delay Program.
Layer ingredients in bread pan in the following sequences:
YEAST
INGREDIENTS
WATER
If additional assistance is needed, expert help is available from Toastmaster(I-800-947-3744) or
from RED STAR °YEAST(I-800-445-4746 #4).

OPERATION
UProgramming,Bread/Specialty, Bread Rapid, Whole Wheat•Bread •
1Openthe lid and remove the bread
pan turning the bread pan clockwise
and then pulling straight :up, using
the handle.
Mount the kneading blade on the
shaft.
Placeall ingredients in the bread
pan. Make sure not to omit any
ingredients.
YEAST
INGREDIENTS
WATER __
NOTE • when using the timer add the _.
yeast last on top of the flour and
,away from the liquid, This is critical,
for goodresults. - , :,,
Place the bread pan in the bread-
makerand turn counterclockwise.
IAlign the (V FRONT) I
mark to the.FRONT
side of the breadmaker

5
6
Close the lid slowly and tightly using
the handle, until it clicks. Plug in the
breadmaker. The display indicator
will light _@_
$
REMAINING TIME
f-I • I'-I FI]U-UU
HOURS MINUTES
Select the desired Program and
Baking Control (light, medium or
dark crust).
The program and Baking Control
indicator should light up.
7
displayed will
•be 4:00. The first
20 minutes will be
pre-heat time.
Press the START pad.
Notice that the time left for the
bread to be finished is displayed
3:40 and is counting down (2:40 for :
Bread Rapid). i i
For the whole wheat IRTART I
cycle the time
The timer counts }by minute.
down the
V
[ __:_nl
__-tj
CAUTION: Do not touch the Breadmaker,
because it is very hot during baking. Do not
open the lid during operation. Heat will
escape and final result may be altered.
r
8The beeper will sound 8 times indicating the bread is done and cooled.
After bread is done, if you do not take the bread out of the breadmaker immediately, the
bread is kept warm for 3 hours displaying [:H] on the remaining time(Not in rapid or
dough cycle).
After 3 hours, [End] is displayed.
[E:H.]} [E ndJ
NOTE: The beeper sounds 4 times when baking is complete, Cooling then proceeds.
When serving bread that is just baked, press the STOP pad first, then take the bread out
from the bread pan. (Be sure to use oven mitts, because the pan is very hot.) Dissipate
heat by placing a towel or other cloth under the bread before cutting. Turn the loaf on its
side and cut with a serrated knife.

9 , .." " i. ,I0
aL°w
Press the STOP pad and remove Turn the bread pan upside down
the bread pan using oven mitts. . and shake the bread pan several
times to release the bread.
Place the bread on a
wire rack to cool and
remove the kneading
blade from the bread.
• The bread pan, kneading blade and bread
:• Always unplug after each use.
[] Programming the Delay Timer (Bread/Specialty And Whole Wheat only)
_"_Set the timer for however 10ng you want to wait before the bread is done(from 4:10 to 13 hours,
in 10 minute intervals).
I EXAMPLE: Itis 9:00 p.m. now. The bread should be ready at 6:30 a.m. the next morning.
Set the timer for 9:30, because there are 9 hours and 30 minutes between 9:00 p.m. and
6i30a.m... .',. ' .,:.i. _:
...... "' 'i. When pressed, the time will
advance in !0 minute incre-
ments.
"!t7
,"ILl.
2. When constant pressure is
applied to the pad, the time will
advance quickly. ,. ,
•q:3DI
3. Press the START pad and the
timer is set. The timer set indi-
ca,or,s,,,,a°Ot,eco,onb,,nko,up I ql
. ..... After one minute, 9:29is dis -'''_ ' TIME SET •, :q,i 2
played, and thetimer continues _
,'to Count down '. Colon will blink
', i i .... 'i .....
TIMER SET indicator lights
NOTE: If you pass the
;desired delay time, push the
(Y) pad to go back.
Continually pressing the (,)
pad will advance the time
faster up to 13:00.
This is the longest that the
timer may be delayed.
It will then count down in 1
minute increments to 3:40,
then it will start.

[] Programming Specialty Breads-Raisin Bread, Nut Bread, etc.
NOTE : SEE COOKBOOK GUIDE FOR RECIPES.
r
[
[
Prima_ry Kneading ]
Rest J
[Secondary Kneading J
1. Press program to select Bread/Specialty Program.
2. Press the START pad. Notice that the knead indicator
is lit, and the timer displays 3:40 indicating how long it
will take to complete the bread making program
.After about 21 minutes from the start (and 3 minutes before
the secondary kneading is finished), 4 beeps indicate the
time to add any additional ingredients raisins, nuts, cheese,
etc.
Open the lid and add ingredients quickly and evenly
over the dough. Opening the lid at this time will not
stop the kneading, so be careful. Close the lid. Now
the unit will continue through the remaining stages
automatically.
NOTE:
•Make sure you select the Bread/Specialty Program: If overlooked, the beeper will not sound to
indicate when to add the additional ingredients. •
•If you add the additional ingredients before the machine beeps 4 times, the ingredients may be
crushed.
•After adding the extras, quickly close the lid to prevent heat loss.
•It is better to select light baking control for a soft and delicious crust.
• _1 I

, i ¸
Programming Dough ,. ,.
The Delay Timer cannot be used for the dough program.
_BEMAINING_TJME_
nnl
HOURS MINUTES
1. First choose a recipe from the Use and Care Guide.
2. Press:the PROGRAM SELECT pad 4 times; the dough
indicator will be lit.
The remaining time displays 1:03.
3. Press the START pad. The knead indicator should be lit
and the breadmaker will start to knead.
4. After I hour and 3 minutes the beeper will sound indicat-
ing the time to remove the dough.
5. Follow your recipe directions to complete whatever you
have chosen to make. 'r )
[] Baking Control
The Baking Control function is used for any loaf of bread baked in the Automatic Breadmaker.
The Baking Control function is used to select the color of the crust. It can be baked light, medium
or dark, you choose!
,L
1. Press one time, medium is selected.
2. Press more than one time, the baking control function will
be advanced as follows:
J
°'az°I'v"xl "0"t"b°atene"w't" 1
Egg YolkGlaze Mix I slightly beaten egg yolk with I tablespoon(15ml) water or milk.
Egg White Glaze Mix1 slightly beaten egg white with I tablespoon(15ml) water.
Always allow optimum rising of shaped dough. Then, use a pastry brush to gently apply the glaze.
Bake as directed in the recipe. For a shiny, golden crust, use Egg Glaze or Egg Yolk Glaze. For a
shiny, chewy crust, use Egg White Glaze, because egg yolk is notused, crust will not be as golden in
color.. ....... ;.: r . ....
[] Crust Treatments (use only with dough program)
NOTE: It is not necessary to press the Baking Control pad when rnedui m is desired.
Just press the START pad and the Baking Control will be set medium automatically.
1

STORING YEAST PRODUCTS
[] FREEZING OF BAKED YEAST PRODUCTS:
When freezing a baked yeast product, it is important to have it completely cooled before wrapping to
prevent moisture from making the product soggy.
Do not frost before freezing. Freeze cooled unwrapped product one hour to harden. Remove from
freezer; wrap in plastic wrap or aluminum foil. Place in plastic bag and seal. Freeze for six to eight
weeks. To thaw, partially open wrappings to allow moisture to escape.
iFREEZING UNBAKED YEAST PRODUCTS:
Freezing dough for later shaping and baking is done after the dough is kneaded and before the first
rising. Divide dough into desired amounts and flatten into disks, one-inch thick. Place on cookie
••sheet and put in freezer one hour to harden. Remove from freezer; wrap with plastic wrap or alu-
minum foil. Place in plastic bag and seal. Dough can be kept in freezer up to four weeks. To thaw,
place covered dough in refrigerator overnight or for several hours. Place uncovered dough on
counter for fifteen to twenty minutes to bring dough to room temperature. Punch down dough.
Dough is now ready for shaping and second rising.
Dough can also be frozen after being formed into a desired shape and before proofing. Place
shaped dough on cookie sheet; put in freezer one hour to harden. Remove from freezer; wrap with
plastic wrap or aluminum foil, Place in plastic bag and seal. Dough can be kept in freezer up to
four weeks. Thaw the covered frozen dough slowly in your refrigerator overnight or for several
hours.
Bring dough to room temperature partially unwrapped to allow moisture to escape. Let dough rise
to double before baking. Bake according to recipe instructions.
If an unbaked product needs to be frozen longer, add one half again as much yeast as called for in
recipe. Dough may be frozen up to six months.

INDEX
÷-_÷ BREADS _'_
BASIC WHITE BREAD ................................................... ;................ ........................................
FRENCH BREAD .................................................................. ....................................................
FRENCH VARIATION BREAD ........ ...... ...._........................ ............................ ........... ..............
POTATO BREAD... ...._..............................................................................................................
EGG BREAD ............................................................................................................. _............... •
CORN BREAD ........................................................ ..................................................................
•DILL BREAD .............................................................................................................................
BEER BREAD ...........................................................................................................................
BLOODY MARY BREAD ..........................................................................................................
HONEY-GRANOLA-BREAD. ....................................................................................................
BANANA BREAD ......................................................................................................................
SPICED PUMPKIN BREAD ......................................................................................................
TRAIL MIX BREAD ...................................................................................................................
MAPLE BREAD .........................................................................................................................
HOLIDAY BREAD .....................................................................................................................
CINNAMON RAISIN BREAD ....................................................................................................
WHOLE GRAIN BREAD ...........................................................................................................
22
22
23
23
24
24
25
25
26
26
27
27
28
28
29
29
30
WHOLE WHEAT SOURDOUGH BREAD ................................................................................. 30--,31
MOM'S HEARTY NUT BREAD ................................................................................................... 32
CRUNCHY CRACKED WHEAT BREAD .................................................................................. 32
JALAPENO BREAD .................................................................................................................. 33
WHOLE WHEAT BREAD .......................................................................................................... 33
HONEY WHOLE WHEAT BREAD ............................................................................................ 34
WHOLE WHEAT CINNAMON RAISIN WALNUT BREAD ........................................................ 34
FARM STYLE WHEAT BREAD ................................................................................................ 35
_'_:,'__-" DOUGHS "_"_i,-_,
DINNER ROLLS ........................................................................................................................ 36
WHEAT DINNER ROLLS .......................................................................................................... 37
BU'I-FERMILK ROLLS ............................................................................................................... 38
100% WHOLE WHEAT HONEY ROLLS .................................................................................. 39
FRENCH BAGUETTES ............................................................................................................ 40
FRENCH TWISTS ..................................................................................................................... 41
FRENCH BREAD ...................................................................................................................... 42
BAGELS .................................................................................................................................... 43
SOURDOUGH CRACKED WHEAT HOAGIE BUNS ................................................................ 44
BANANA WHEAT BAGELS ...................................................................................................... 45
LEBONESE PITA POCKETS .................................................................................................... 46
SOFT PRETZELS ..................................................................................................................... 47
PIZZA ........................................................................................................................................ 48
WHOLE WHEAT PIZZA ............................................................................................................ 49
CHEEZY MONKEY BREAD ...................................................................................................... 50
FOCCACIA BREAD .................................................................................................................. 51
CHALLAH BRAID .......................................................................................................... ,........... 52
CINNAMON ROLLS .................................................................................................................. 53
STICKY BREAKFAST ROLLS .................................................................................................. 54
ALMOND-CHERRY COFFEE CAKE ........................................................................................ 55
- 20 -

HIGHALTITUDEADJUSTMENTTIPSANDCHART
• Become familiar with the typical results of the different settings before taking on an "experiment".
• Keep a record of what works and what doesn't in your altitude so that you learn from each result.
• It you need to make a change in addition to the changes in the chart, do so, but only one ingredient
at a time. If you change too many ingredients at once, you will not know which change was the cor-
rect one.
The following chart is for a 1 pound loaf of bread using 2 cups bread flour in an automatic bread
machine.
Sea level 2000' 4000' 6000' 7500'
1. Yeast 11/2t. 11/4t. 1t. 3/4t. 1/2t.
.................................. t.................................. I ................................... r.................................. i................................... I'._
....-...._.....2:..Suclar....,...... 2 T. 2 T. 5 t. 5 t. 4 t.
3. Salt 1 t. 1 t. 1 t. 1 t. 11/3t.
4. Gluten 0 0 0 11/2t. 11/2t.
5. Liquid 3/4c. 7/8c. 1 c. 11/3c. 11/4c.
The following chart is for a 11/2 pound loaf of bread using 3 cups bread flour in an automatic bread
machine.
Sea level 2000' 4000' 6000' 7500'
1 Yeast 21/2t. 21/4t. 2 t. 13/4t. 11/2t.
.,._....: .................................. ........................ _....... ,.......................................................................................................................................
3T.
....2. sugar.............................................................3T............................8t.............................t..............................7 ...............
3. Salt 11/2t. 11/2t. 11/2t. 11/2t. 11/4t.
4. Gluten 0 0 0 2 t. 2 t.
5. Liquid 1 c. 11/3c. 11/4c. 13/8c. 11/2c.
Additional information about each of the ingredients listed above:
1. Atmospheric pressure is less at high elevations which makes the dough rise faster. In Utah, the
dough can rise 21/2to 3 times its volume in the first rising before it is ready to punch down.
Recipes need less yeast as the altitude increases to slow the rising so that the dough has time to
develop a good flavor and texture. Shorter internal pressure on baked goods; therefore, the faster
they rise.
2. Sugar weakens the cell structure of the dough so must be reduced to have adequate rising.
3. Salt is increased to avoid overproofing.
4. The addition of gluten helps to protect the cell structure of the dough from over stretching so that it
doesn't have a coarse texture, and the product will not fall. The automatic bread machine tends to
over knead at higher altitudes making it necessary to add gluten to the recipe.
5. Liquids evaporate faster at higher altitudes. If the bread is not rising enough, it is a moisture prob-
lem and not the yeast.
More information :
Flour is very dry at high altitudes; thus, it absorbs more liquid. In many cases, less flour is necessary
to achieve the proper dough consistency.
Use yeast before expiration date. Use regular active dry yeast or quick or rapid rise yeast, not corn-
pressed yeast. If using bulk yeast, keep refrigerated or frozen. If using jarred yeast and it has been
open more than2 months, check its freshnnes with the following test.
Combine 21/4teaspoon yeast, 1 teaspoon sugar and 1/2cup of 110°-115 ° water. This mixture should
double in 10 minutes.
-21 -

BREADS
1 Pound 1ViP0unds
Water (80°F/27°C) 3/4cup+l tbsp 1 cup
Oil 1 tbsp 2 tbsp
Lemon Juice 1 tsp 1 tsp
Salt 1 tsp 11/2tsp
Sugar 11/2tbsp 2 tbsp
Dry Milk 1 tbsp 11/'2tbsp
Bread Flour 21/4cups 3 cups
Active Dry Yeast 11/4tsp 21/.2tsp J
(D) If using Timer to delay bread, reduce the water by 1 tbsp for both size loaves. Use cool
water(70°F/20°C)
NOTE :If using Bread Rapid Program, use the above ingredients, but increase the yeast to 21/4 tsp
for the 1 pound loaf and l tbsp for the 11/2 pound loaf.
Method
1. Remove the bread pan from the breadmaker. Attach the kneading blade on the shaft of the bread
pan. Place the ingredients into the bread pan, in the order listed.
2. Place the bread pan into the breadmaker; close the lid.
3. Select Breaci/Specialty Program or set Timer to delay and select light baking control. Press
START.
4. When the beeper sounds 8 times, press STOP. Remove the bread pan using oven mitts. Remove
the bread and cool on a wire rack, cover with a clean teatowel.
5. When bread is completely cool, store in a well-sealed plastic bag,
1 Pound :'. 1112Pounds
Water (80°F/27°C) 7/.8 cup
Oil 1 tbsp
Lemon Juice 1 tsp
Salt 1 tsp
Sugar 1 tbsp
Bread Flour 21/4cups
Active Dry Yeast 11/4tsp
....1 cup + 2 tbsp
11/2 tbsp
1 tsp
1 tsp
1.1/2tbsp.
31/2 cups
21/4 tsp
(D) If using Timer to delay bread, reduce the water by I tbsp for both size recipes. Use cool ....
water(70°F/20°C). . . _ ...
NOTE : If using the Bread Rapid Program, use the above ingredients, but increase the yeast tO2 tsp
for the I pound loaf and 2112tsp for the 11/2 pound loaf.

Follow instructions on page 22 for Basic White Bread.
1 Pound 11/zPounds
Water (80°F/27°C) ;'/8cup 1 cup+2 tbsp
Lemon Juice 1 tsp 1 tsp
Salt 1 tsp 1 tsp
Sugar 1 tbsp 11/2tbsp
Bread Flour 21/4 cups 31/2 cups
Active Dry Yeast 11/4tsp 21/4 tsp
(D) If using Timer to delay bread, use the same amounts of all ingredients. Use cool water
(70°F/20°C)
NOTE : If using the Bread Rapid Program, use the above ingredients, but increase the yeast to 2 tsp for
the 1 pound loaf and 2 3/4tsp for the 11/2pound loaf.
Follow instructions on page 22 for Basic White Bread.
Set the bread maker on the Bread Rapid Program for best results.
Egg(s) at room temperatur e 1 2
+enough Water (80°F/27°C) to equal 3/4cup 1 cup + 3 tbsp
Oil 2tbsp 2 tbsp + 2tsp
Salt 1 tsp 1112tsp
Sugar 4 tsp 2 tbsp
Dry Milk 2 tbsp 3 tbsp
White Pepper lh tsp 1/4tsp
Potato Buds 114cup lh cup
Green onion, chopped(tops only) 1 tbsp 11/2 tbsp
Bread Flour 2 cups + 2 tbsp 31/4 cups
Active Dry Yeast 11/2tsp 21/4 tsp
J
DO NOT use this recipe on the Delay Timer Program.

Fo_fow instructions on page 22 for Basic White Bread. :
Set the bread maker on the Bread Rapid Program for best results.
Egg(s) at room temperature i' 2
+ enough Water (80°F/27°C) 3/4cup + 1 tbsp 1 cup + 1 tbsp
to equal
Oil 1 tbsp 11/2tbsp
.Salt_ l_tsp _l_ll2_tsp
Sugar 4 tsp ...... 2 tbsp•
Dry Milk 2 tbsp 3 tbsp
Bread Flour,_ ....... . • 2 cups+ 2tbsp . 3 cups
Active Dry Yeast 1V2tsp 2!/4 tsp, J
DO NOT use this recipe on the Delay Timer Program.
Follow instructions on page 22 for Basic White Bread.
Set the bread maker on the Bread/Specialty Program for best results.
C_ l oon,1,,, oun0,-1
1(room
| egg temperature) +" '.....3/4Cup + 1 tbsp 1 cup + 2tbsp |
_... enough Water to .... |
/equal (80°F/27°C) ...... |
,|0il . 2 tbsp , " " 4 tbsp i: |--
| Lemon ,Juice 1 tsp 1 tsp .|
|Honey 2'tbsp 3 tbsp /
/Salt 1 tsp 1112tsp ,l
| Dry Milk ' . I tbsp 2 tbsp ii
i Bread Flour '2 cups .3 cups /
i Corn Meal 1i4cup 1/3cup '. /
DO NOT use this recipe on the Delay Timer Program.

Follow instructions on page 22 for Basic White Bread.
Set the bread maker on the Bread Rapid Program for best results.
Egg(s) at room temperature
+ enough Yogurt at room
temperature to equal
Oil 1 tbsp
Lemon Juice 1 tsp
Salt 1 tsp
Sugar 4 tsp
Bread Flour 2 cups
Dill Weed 11/2 tsp
Dried Minced Onion 2 tsp
Active Dry Yeast 11/2tsp
1Pound
1
3/4cup + 3 tbsp
11h Pounds
2
1 cup + 3 tbsp
11/2 tbsp
ltsp
21/4 tsp
2tbsp
3cups
1 tbsp
1tbsp
21/4 tsp J
DO NOT use this recipe on the Delay Timer Program.
Follow instructions on page 22 for Basic White Bread.
Set the bread maker on the Bread/Specialty Program for best results.
r
1 Pound
Water (80°F/27°€) V4 cup
Beer (room temperature and, Flat) 2/3cup
Oil 4tsp
Lemon Juice 1 tsp
Salt 1 tsp
Sugar 2 tbsp
•Bread Flour 2 cups
Active Dry Yeast 11/2tsp
k_
1Vz Pounds
1/3cup
1 cup
2 tbsp
1tsp
1114tsp
3 tbsp
3 cups
21/4 tsp J

Follow instructions on page 22 for Basic White Bread.
Set the bread maker on the Bread Rapid program for best results.
r
1 Pound
Water (80°F/27°C) 1/4cup
Oil '1tbsp
Lemon Juice 1 tsp
Bloody Mary Mix(room temperature) 1/2cup
Honey_ 1 tbsp_
Salt 1/2tsp
Bread Flour 2 cups
FreSh Parsley, chopped 1 tbsp
Green Onion, chopped (tops only) 1 tbsp
Active Dry Yeast 11/2tsp
11/2Pounds
!/3 CUp + 2 tbsp
11/2 tbsp
_ l tsp _
3/4cup
11!2_tbsp_
3/4tsp
3 cups .:
2tbsp
2tbsp
21/4tsp
i', ,
Follow instructions on page 22 for Basic White Bread.
Set the bread maker on the Bread/Specialty program for best results.
Water '(80°F/27°C)
oil
Lemon Juice
Honey
Salt
Dry Milk
Bread Flour
Granola Cereal
' Active Dry Yeast
7/8 cUp
2 tbsp
1 tsp
2 tbsp
i/2 tsp
2 tbsp
21/_Cups
2/3 cup
11/2tsp
1 cup +2 tbsp
4tbsp
1tsp
21/2 tbsp
1 tsp
2 tbsp
3 cups
,314cup
13/4tsp
J
(D) If using Timer to delay bread, use the same amounts of all ingredients. Use cool water
(70 ° F/20°C).

Followinstructionsonpage22for BasicWhiteBread.
Set the bread maker on the Bread Rapid program for best results.
1 Pound 11/=Pounds |
Egg(s) at room temperature 12
+ enough Water (80°F/27°C) 1/2cup 3/4cup
to equal
Oil 1 tbsp 2 tbsp
Lemon Juice 1 tsp 1 tsp
Mashed bananas 1/3cup 1/2cup
Salt 1tsp 11/2tsp
Sugar 3 tbsp 1/4cup
Dry Milk 1/4cup 1/4cup
Bread Flour 2 cups 3 cups
Ginger 1/4tsp 1/2tsp
Instant Coffee 11/2tsp 2 tsp
Active Dry Yeast 11/2tsp 21/4 tsp
DO NOT use this recipe on the Delay Timer Program.
Follow instructions on page 22 for Basic White Bread.
Set the bread maker on the Bread Rapid program for best results.
Egg(s) at room temperature 1 2
+enough Water (80°F/27°C) 114cup l/z cup
to equal
Oil 2 tbsp 3 tbsp
Lemon Juice 1 tsp 1 tsp
PumPkin 213cup 1 cup
Salt 1 tsp 11/2tsp
Brown Sugar 2 tbsp 3 tbsp
Cloves 1/4tsp 1/4tsp
Nutmeg 1/2tsp 314tsp
Ginger 112tsp 3/4tsp
Cinnamon 1112tsp 2114tsp
Bread Rour 2 cups 31/3 cups
Active Dry Yeast 11/2tsp 21/4 tsp

F:_.,i;,,w instructions on page 22 for Basic White Bread.
Set the bread maker on the Bread/Specialty program for best results,
Water (80°F/27°C)
Oil
Lemon Juice
-Honey
Salt
Bread Flour
Raisin & Nut Trail Mix
Active Dry Yeast
3/4cup+l tbsp
21/2tbsp
1 tsp
-2-tbsp
1 tsp
2 cups
112cup
13/4tsp
.,A
F_llow instructions on page 22 for Basic White Bread.
Set the bread maker on the Bread/Specialty program for best results.
r
11/2 Pounds
Water (80°F/27°C)
Oil ,
Lemon Juice
Maple Syrup
Maple Flavoring
Salt
Bread Flour
1 cup
4 tbsp
1 tsp
1/4cup
!/2 tsp
2tsp
3 cups
Oatmeal, Quick or Regular 1 cup
Walnuts _ 3/4cup
Active Dry Yeast 2 tsp
(D) If using Timer to delay bread, reduce the water by 1 tbsp. Use cool water (70°F/20°C).
J

.._._.._._5_-.,.._`_(_:_..._._,'_.._.._:'i¢._7_%z:_i,::_!°_:;_!.,_`::_!,_;.:S,_:.%:: ..:... .... • .. • :........ ....:.. ............ :'.. ,.: ...: . ,'...:: ,:_'_..... I
• •- ".. _.:"_,.._:..:_::'.:4._,'."/';,"_i7_LL_' ',_L,:_,i?'b,.{_::.:;;__:..1:._::.(;._.,ti.:7<'..:_'.;,,;)_:-_.',];'ds_.:;,;,._f;;t.,;:_,7;.{,
:...;i_;]_$.";':,7:.(i,i_;;-;:f:{_.:_._:!t;.;_-:)_.i.;.?.:,:_?t:._?.;;(:_i,;: .;. :. . • ' ........ _;_' < _ ....._............... _......._......" -<':;....
Follow instructions on page 22 for Basic White Bread.
Set the bread maker on the Bread Rapid program for best results.
1 Pound 111aPounds
Water (80°F/27°C) 2 tbsp 1/3cup
Milk (room temperature) 2/3cup 1 cup
Oil 4 tsp 2 tbsp
Lemon Juice 1 tsp 1 tsp
Salt 11/2 tsp 2 tsp
Sugar 3 tbsp 1/4cup
Bread Flour 2 cups + 2 tbsp 3 cups
Active Dry Yeast 11/2tsp 21/atsp ,
Candied Fruit 1/3cup 1/2cup
Walnuts 1/2cup 1/acup
DO NOT use this recipe on the Delay Timer Program.
!
• """ : " :" _' . . !" ". :"'"':": ',_.." ;' :_i.._L:'_;'.",".,,['"_")'i_:(?::,
. .:..(-;:.:.._... :.., : .,: ,! ..:iq"_'::.i,::;(_::.,):;:',:,:':;_!-!.,:
rit,,,,' _
1 Pound 1VaPounds
Water (80°F/27°C) _/_cup 1 cup
Oil 1 tbsp 11/atbsp
Lemon Juice 1 tsp 1 tsp
Salt 1 tsp 11/2tsp
Light Brown Sugar 1_/2 tbsp 21/2tbsp
Dry Milk 1 tbsp 11/atbsp
Bread Flour 21/, cups 3 cups
Active Dry Yeast 13/, tsp 21/_tsp
Cinnamon 1 tsp 2 tsp
Raisins 1/_cup 1/2cup
Walnuts 1/_cup 1/2cup j
NOTE : If using Bread Rapid Program, use the above ingredients, but increase the yeast to 2qa tsp for 1 pound
loaf and 2_/,tsp for lqa pound loaf. Add all the ingredients at the beginning of the cycle.
(D) If using timer to delay bread, use the same amounts of all ingredients. Add all the ingredients
when you set the timer. Use cool water(70°F/20°C).
Method
1. Remove bread pan from the breadmaker. Attach the kneading blade on the shaft of the bread pan.
Place all ingredients, in the order listed, except the raisins, nuts and cinnamon, into the bread pan.
2. Place the bread pan into the breadmaker, close the lid.
3. Select Bread/Specialty Program. Select the light baking control.
4. When the beeper sounds 4 times, open the lid and sprinkle the raisins, nuts and.cinnamon quickly
and evenly over the dough. Close the lid to continue the program.
- 29 -

' i
Follow instructions on page 22 for Basic White Bread. Set the breadmaker on Bread/Specialty for
best results .... .... r, "
,. ,, : , , , •
tr........
1 Pound Ill=Pounds
Water
Buttermilk
Oil
Lemon Juice ..
Salt
DarkMolasses
Baking Soda
Oat Bran
Corn Meal
Medium Rye Flour
Buckwheat Flour
Whole Wheat Flour
Bread Flour
Active Dry
Yeast
1/4_up 1/3cup
2/3 cup 1 cup
2tsp 1 tbsp
1 tsp 1tsp
11/2 tsp 2tsp
3-tbsp- -1/4 cup:
3/4tsp 1 tsp
3 tbsp 1/4cup
3 tbsp 1/4cup
.....3 tbsp" 1/4cup
3 tbsp 1/4cup
1/3cup 1/2cup
11/3cups 2 cups
11/2tsp 21/4tsp
Follow instructions on page 33 for Whole Wheat Bread.
1 Pound
Water
Oil
Lemon Juice
Salt
Sugar
Whole Wheat Starter *
Whole Wheat Flour
Active Dry
Yeast
2/3cup
4 tsp
1 tsp
1 tsp
4 tsp
3/4cup
2113cups
11/2tsp
J

Tip:
This makes a short dense loaf of bread with a great taste! Do not use this recipe on the Delay Timer
Program.
*Whole Wheat Sourdough Starter Recipe
Active Dry Yeast 21/4 tsp
Warm Water 2 cups
Whole Wheat Flour 3V2 cups
Sugar 1 tbsp
In a 4-quart container, (glass, pottery, plastic or stainless steel) dissolve yeast in warm water
(il 0°~115°F); let stand 5 minutes. Add whole wheat flour and sugar. Stir by hand until blended.
The mixture will be thick; any remaining lumps will dissolve during the fermentation process.
Cover loosely with plastic wrap or foil. Let stand in warm place for 5 days, stirring 2 or 3 times each
day. The starter will "rise and fall" during the fermentation period; it becomes thinner as it stands. A
temperature of 80°~85°F is best for the sour flavor to develop. An ideal place is on the counter next
to your range. When the starter is developed, it is bubbly and may have a yellow liquid layer on top;
stir into the starter before using. The starter can be used for baking or placed in the refrigerator for
later use.
To use starter, measure out desired amount as specified in the recipe. When refrigerated, let starter
come to room temperature before using; this will take about 4 hours. If you plan to bake in the morn-
ing, leave the starter out overnight.
Replenish remaining starter with 3 parts of whole wheat flour to 2 parts of water and 1 teaspoon
sugar; i.e., after using 3/4cup starter, replenish with 3/4 cup whole wheat flour, 1/2cup warm water
(110°~115°F) and I teaspoon sugar. If using 1 cup starter for Sourdough Cracked Wheat Hoagie
Buns, replenish with 1 cup whole wheat flour, 2/3cup warm water (110°~115°F) and I teaspoon
sugar. Stir until blended; some lumps may remain. Cover loosely and let stand in warm place for 10
to 12 hours or overnight. The starter will rise and become bubbly. Stir, cover loosely with plastic wrap
or foil and then place in refrigerator to store.
Stir in 1 teaspoon sugar to keep it active if the starter is not used every week. The mixture will rise a
small amount while stored in the refrigerator.

Followinstructionsonpage22for BasicWhiteBread.SetthebreadmakerontheBreadRapid
ProgramfortheI poundloafforbestresults.SetthebreadmakerontheWholeWheatProgramfor
the 11/2poundloafforbestresults.
ar
1 Pound Ill, Pounds
Water
Oil
Lemon Juice
Salt
Molasses
Oatmeal, Quick
or Regular
WhOle Wheat Flour
Bread Flour
Walnuts
Active Dry
Yeast
1 cup 1114cups
2 tsp 1tbsp
1tsp 1 tsp
1 tsp 1V_ tsp
3 tbsp 1/4 cup
1/3cup 1/:, cup
2/_cup
11/_cups
2/3cup
1VZtsp
1 cup
2 cups
_/4cup
21/4tsp
J
l
Follow instructions on page 22 for Basic White Bread. Set the breadmaker on the Bread Rapid
Program for best results.
f
1 Pound
Water * 1 cup
Cracked Wheat* V= cup
Oil 4 tsp
Lemon Juice 1 tsp
Salt 1V= tsp
Sugar 4 tsp
Bread Flour 2 cups
Active Dry 1_1=tsp
Yeast
*Pour boiling water over cracked wheat; let stand until temperature cools down to 80 °.
J

Follow instructions on page 29 for Cinnamon Raisin Bread.
1 Pound 11/2Pounds
Water (80°F/27°C) 112cup
Oil 1112tbsp
Lemon juice 1 tsp
Sugar 1 tbsp
Salt 112tsp
Bread Flour 2 cups
Corn Meal 1/3cup
Fresh Cilantro 2 tsp
Active Dry Yeast 11/2tsp
Whole Kernel Corn, well drained 112cup
Jalspeno, well drained 2 tbsp
3/4 cup
'2112tbsp
1 tsp
2 tbsp
1 tsp
3 cups
112cup
1tbsp
2 tsp
3/4cup
3 tbsp
NOTE: If using Bread Rapid Program, use the above ingredients, but increase yeast to 2 tsp for the
1 pound loaf and 1 tbsp for the 11/2 pound loaf. Add all the ingredients at the beginning of the
cycle.
DO NOT use this recipe on the Delay Timer Program.
1 Pound 11/2Pounds
Water (80°F/27°C) 1 cup 11/4cups
Oil 1 1/2tbsp:, i7 tsp
Lemon Juice 1 tsp 1 tsp
Molasses 2 tbsp 2112tbsp
Salt 1 tsp 1l/z tsp
Dry Milk 1 1/2tbsp 2 tbsp
Whole Wheat Flour 2 1/2 cups 33h cups
Gluten 1112tbsp 2_!2 tbsp
Active Dry Yeast 1V= tsp 2114tsp
.(D) .If using timer to delay bread, reduce the water by I tbsp for both size
(70°F/20°C).
Method
loaves. Use cool water
1. Remove the bread pan from the breadmaker. Attach the kneading blade on the shaft of the
bread pan. Place the ingredients into the bread pan, in the order :listed, making sure the yeast is
on top of the flour.
2. Place the bread pan into the breadmaker; close the lid.
3. Select Whole Wheat Program and select light baking control. Press START.
4. When the beeper sounds 8 times, press STOR Remove the bread pan using oven mitts.
Remove the bread and cool on awire rack, covered with a clean teatowel.
5. When bread is completely cool, store in a well-sealed plastic bag.

Followinstructionsonpage33forWholeWheatBread.• . , ,:,
' ' • -" A" I• " H'. "- ";1 .........
1 Pound 1112Pounds
Milk (room temperature) 1Iscup
Egg (s) at room temperature 1
+ Water(80°F/27°C) to equal 1/2cup+1112 tbsp
Oil 2 tsp
Lemon Juice 1tsp
Honey 2 tbsp
SaIL __111_tSp
Whole Wheat Flour 213cup
Bread Flour 1V3 cups
.__A_c!ive Dry Yeast 1!/2 tsp
DO NOT use this recipe on the Delay Timer Program.
6tbsp
....
3/4cu 2tbsp
1 tbsp
1 tsp
3 tbsp
2-tsp-
1 Cup
2cups ,
2114tsp
Follow instructions on page 33 for whole, Wheat Bread. _, ,.... _1_
1 Pound 1112Pounds
Egg White(s).at room temperature 1
+ Enough Water (80°F/27°C) to equal 3/4,cup
Oil 1V2tbsp
Lemon juice 1 tsp
Molasses 2 tbsp
Salt 1 tsp
Whole Wheat Flour 2 cups
Active Dry Yeast _2 tsp
Cinnamon 314tsp
Raisins .... 113cup
2
1 cup+2 tbsp
•2 tbsp
1 tsp
3 tbsp
11i3tsp
3 cups+3 tbsp
1 tbsp
1tsp
DO NOT use this recipe on the Delay Timer Program.
Method
1. Remove bread pan from the breadmaker. Attach the kneading blade on the shaft of the bread
pan. Place all ingredients, in the order listed, except the raisins, walnuts and cinnamon, into the
bread pan. : _ _ ....
2. Place the bread pan into the breadmaker, close the lid. _ _
3. Select Whole Wheat Bread Program. Select the light baking control. _
4. When the beeper sounds 4 times, open the lid and sprinkle the raisins, nuts and cinnamon quickly
and evenly over the dough, Close the lid to continue the program. 1
, ........ 1/_,cup.
Walnuts 1_ cup, ,, 1/3cup

Follow instructions on page 33 for Whole Wheat Bread. Set the breadmaker on Whole Wheat
Program for best results.
Water 114cup lh cup
Milk 1/2cup 314cup
Cottage Cheese 3 tbsp 1/4cup
Lemon Juice Itsp 1 tsp
Salt 1 tsp 2 tsp
Honey 4 tsp 2 tbsp
Whole Wheat Flour _/3cup 1 cup
Bread Flour 1 1/3cups 2 cups
Active Dry Yeast 1112tsp 21/4 tsp

•DOUGHS
1 egg (room temperature) 314cup 1 cup+l tbsp
plus enough water to equal
Lemon juice 1 tsp 1 tsp
Oil 2 tbsp 3 tbsp
Salt l/z tsp 1 tsp
Sugar 2 tbsp 3 tbsp
Bread Flour 2 cups 31h cups
_ctiye_D__ Yeast_ l_tsp_ l__/2_tsp_
Method
i. Remove the bread pan from the breadmaker. Attach the kneading blade on the shaft of the bread
pan. Place the dough ingredients into the bread pan, in the order listed.
2. Place the bread pan into the breadmaker; close the lid.
3. Select Dough Program. (Timer cannot be used with the Dough Program.) Press Start.
4. When the beeper sounds 8 times, press STOR Remove the dough from the bread pan. Place on
a lightly floured surface. Depending on which size recipe used, divide dough into 12 or 18 pieces.
Shape into balls.
5. Place dough balls on greased baking sheet about 1/=-inch apart. Let stand, covered, in warm,
draft-free place, 30 minutes or until doubled in size.
6. Bake in preheated 350°F oven 20 to 30 minutes, or until golden brown.

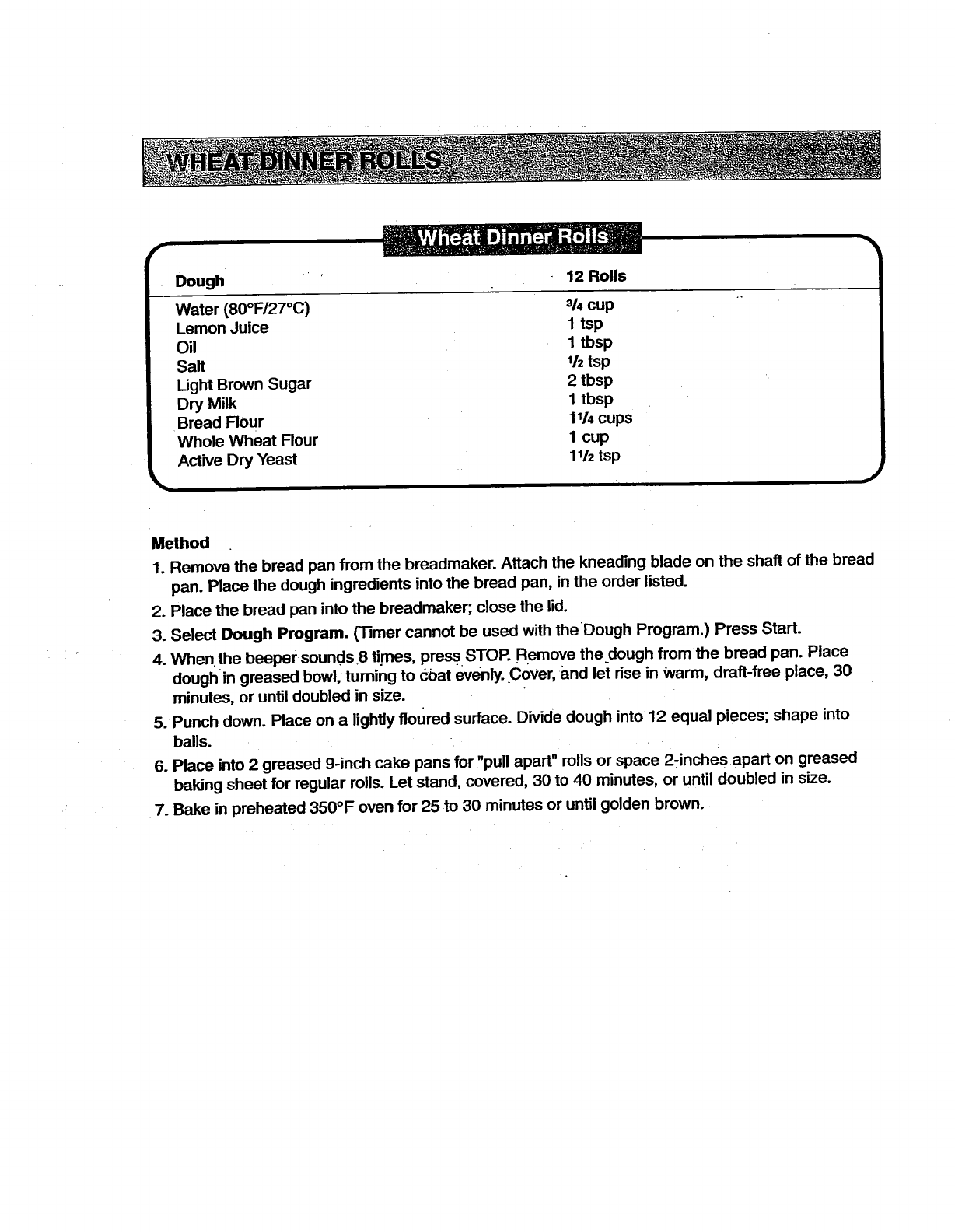
• Dough '12 Rolls
Water (80°F/27°C) 314cup
Lemon Juice 1 tsp
Oil 1 tbsp
Salt llz tsp
Light Brown Sugar 2 tbsp
Dry Milk 1 tbsp
Bread FlOur 11h cups
Whole Wheat Rour 1 cup
Active Dry Yeast 1Vz tsp
Method
1. Remove the bread pan from the breadmaker. Attach the kneading blade on the shaft of the bread
pan. Place the dough ingredients into the bread pan, in the order listed.
2. Place the bread pan into the breadmaker; close the lid.
3. Select Dough Program. (Timer cannot be used with theDough Program.) Press Start.
4. When the beeper sounds 8 times, press..STOR Remove the dough from the bread pan. Place
dough in greased bowl, turning to Coat evenly. Cover, and let rise in Warm, draft-free place, 30
minutes, or until doubled in size.
5. Punch down. Place on a lightly floured surface. Divide dough into 12 equal pieces; shape into
balls.
6. Place into 2 greased 9-inch cake pans for "pull apart" rolls or space 2-inches apart on greased
baking sheet for regular rolls. Let stand, covered, 30 to 40 minutes, or until doubled in size.
7. Bake in preheated 350°F oven for 25 to 30 minutes or until golden brown.

Dough 18Rolls 24Rolls
Buttermilk (room temperature) 1 cup 1112cups
Lemon Juice 1 tsp 1 tsp
Oil 3 tbsp 1/4 cup
Honey 11/2tbsp 2 tbsp
Salt 1 tsp 11/2tsp
Bread Flour 3/4cup 11/4 cups
Whole Wheat Flour 11/3cups 2 cups
Wheat Germ 1/3cup 1/2cup
Baking S_a 1/4tsp 1/4tsp
Active Dry Yeast 1_/4tsp 2 tsp
Brush with:
Melted Butter 2 tbsp 3 tbsp
Method r4
1. Remove the bread pan from the breadmaker. Attach the kneading blade on the shaft of the bread
pan. Place the dough ingredients into the bread pan, in the order listed.
2. Place the bread pan into the breadmaker; close the lid.
3. Select Dough Program_ (Timer cannot be used with the Dough Program.) Press Start.
4. When the beeper sounds 8 times, press STOR Remove the dough from the bread pan. Place
dough in greased bowl; turningto coat evenly. Cover, and let rise in warm, draft-free place, 40
minutes, or until doubled in size.
5. Punch dough down. Place on a lightly floured surface, divide into 18 or 24 equal pieces. Shape
pieces into balls and place 1/2-inch apart on greased baking sheets. Cover and let rise in warm,
draft-free place, 30 minutes, or until doubled in size. Brush with melted butter.
6. Bake in preheated 350°F oven 15 to 20 minutes, or until golden brown.

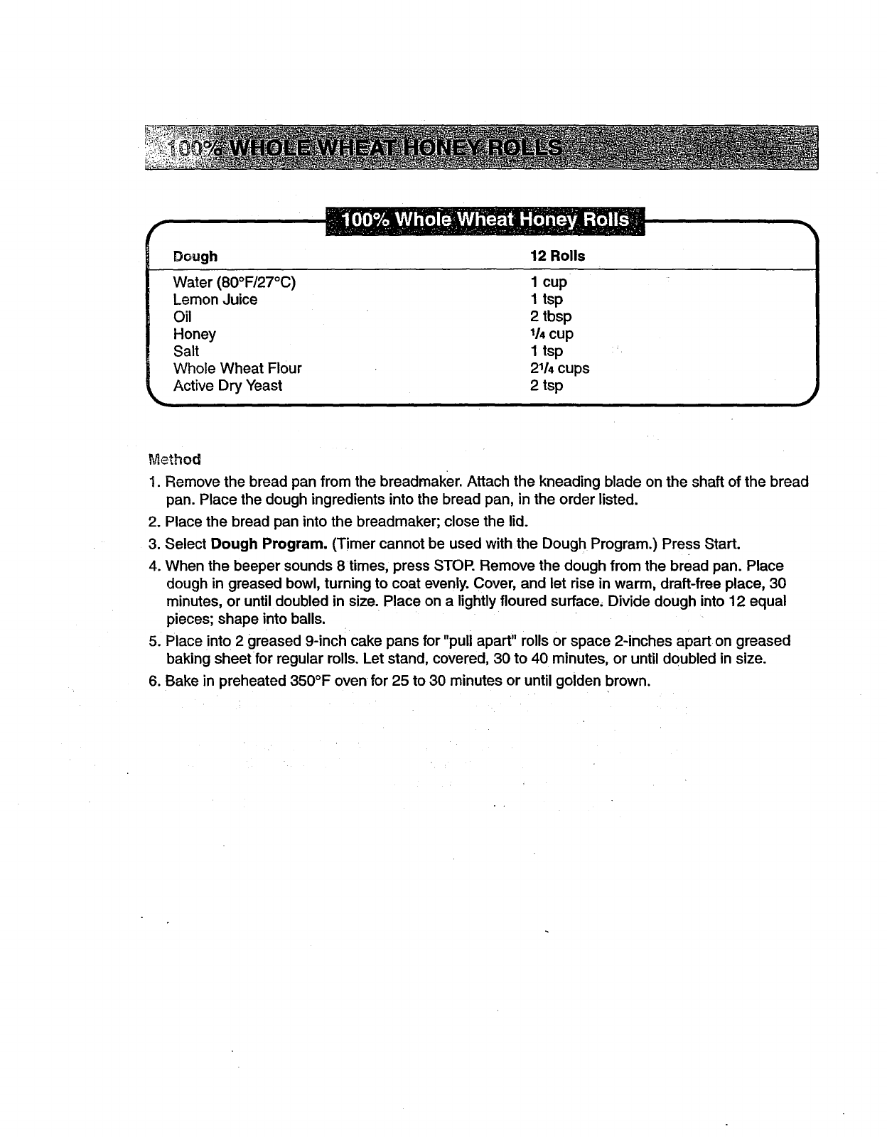
Dough 12 Rolls
Water (80°F/27°C) 1 cup
Lemon Juice 1 tsp
Oil 2 tbsp
Honey 114cup
Salt 1 tsp
Whole Wheat Flour 2114cups
Active Dry Yeast 2 tsp J
Method
1. Remove the bread pan from the breadmaker. Attach the kneading blade on the shaft of the bread
pan. Place the dough ingredients into the bread pan, in the order listed.
2. Place the bread pan into the breadmaker; close the lid.
3. Select Dough Program. (Timer cannot be used with the Dough Program.) Press Start.
4. When the beeper sounds 8 times, press STOR Remove the dough from the bread pan. Place
dough in greased bowl, turning to coat evenly. Cover, and let rise in warm, draft-free place, 30
minutes, or until doubled in size. Place on a lightly floured surface, Divide dough into 12 equal
pieces; shape into balls.
5. Place into 2 greased 9-inch cake pans for "pull apart" rolls or space 2-inches apart on greased
baking sheet for regular rolls. Let stand, covered, 30 to 40 minutes, or until doubled in size.
6. Bake in preheated 350°F oven •for 25 to 30 minutes or until golden brown.

Dough
Water (80°F/27°C)
Lemon Juice
Salt
Sugar
Bread Flour
Active Dry Yeast
12 Loaves
1 cup
1tsp
1tsp
1tbsp
21/2 cups
1112tsp
Glaze:
Egg YOlK 1
Water 1 tbsp
Method
'i, Remove the bread pan from the breadmaker. Attach the kneading blade on the shaft of the bread
pan. Place the dough ingredients into the bread pan, in the order listed .....
2 Place the bread pan into the breadmaker; close the lid.
3. Select Dough Program.(Timer Cannot be used with the Dough Program.)Press START.
4. When the beeper sounds 8 times, press STOR Remove the dough from the bread pan. Place
dough in greased bowl, turning to coat evenly. Cover and let rise in warm, draft-free place,
30 minutes or until doubled in Size.
5. Punch down. Place on a lightly floured surface. Roll dough into a12X16,inch rectangle, rolling to
remove air bubbles. Divide dough into 2, 12X8-inch pieces. Roll up tightly, jelly-roll style, starting
at the 12-inch side. Shape into 12 inch long loaves.
6. Place 3 inches apart on greased baking sheet. With a sharp knife, make 3 to 4 diagonal slashes
across each loaf top. Cover and let rise in warm, draft-free place, 30 to 40 minutes, or until dou-
bled in size. Brush Glaze over tops of loaves.
7. Bake in preheated 375°F oven for 20 to 30 minutes or until golden brown.

Dough 18 Rolls 36 rolls
Water (80°F/27°C) 3/4 cup
Lemon Juice 1 tsp
Salt 1 tsp
Sugar 1 tbsp
Bread Flour- 2 cups
Active Dry Yeast 11h tsp
11h cups
1 tsp
111=tsp
2tbsp
4 cups
2 tsp
Brush With:
Melted Butter lh cup l/z cup
Glaze :
Egg White 1 2
Water 1 tbsp 2 tbsp
Method
1. Remove the bread pan from the breadmaker. Attach the kneading blade on the shaft of the bread
pan. Place the dough ingredients into the bread pan, in the order listed.
2. Place the bread pan into the breadmaker; close the lid.
3. Select Dough Program. (Timer cannot be used with the Dough Program.) Press START.
4. When the beeper sounds 8 times, press STOR Remove the dough from the bread pan. Place
dough on a lightly floured surface; let stand, covered, in a warm, draft-free place, 30 minutes or
until doubled in size.
Punch down and divide into 18 or 36 equal pieces. On a lightly floured surface, roll dough into 14
to 16-inch ropes. Fold each rope in half and twist, starting at fold.
Place on 2 or 4 greased baking sheets and brush French twists generously with melted butter. Let
rise in warm, draft-free place until doubled in size. Brush the twists with Glaze.
Bake in preheated 400°F oven for 12 to 15 minutes or until golden brown.
.
6.
.7.

Dough
Water (80°F/27°C) 1V. cups
Sugar 1 tbsp
Salt 1 tsp
Bread Flour 3Vz cups
Active Dry Yeast 1 tbsp
Glaze :
--Water- 2-tbsp
Salt 112tsp _.J
Method
1. Remove bread pan from the breadmaker, Attach the kneading blade on the shaft of the bread pan.
Place the dough ingredients into the bread pan.
2. Place the bread pan in the breadmaker; close the lid.
3. Select Dough Program.(Timer cannot be used with the Dough Program.) Press START.
4. When the beeper sounds 8 times, press STOP, Remove the dough from the bread pan and place
in a greased bowl, turning to coat evenly. Cover with plastic wrap and let the dough rest for 25
minutes.
5. Punch the dough down. On a lightly floured surface, using a rolling pin, roll the dough into alarge
rectangle: Starting with the longest side, roll the dough up tightly, pressing the seams to seal; and
tapering each end slightly.
6. Place the loaf on agreased baking sheet. Cover loosely with plastic wrap. Let rise for 40 minutes.
Preheat the oven to 400°E
7. With a small sharp knife, cut three to four diagonal slashes across the top of the loaf. In a small
bowl, combine the glaze ingredients. Brush the loaf generously with the glaze. Bake at 400°F for
20 to 25 minutes, or until deep golden brown.
8. Cool on wire rack.
Makes 1long French,stick.
Baguettes =Follow above, but divide the dough into two equal pieces(stage 5) and roll into 2 rectan-
gles. Continue as above. Bake at 400°F for 20 to 25 minutes.
Make 2 baguettes.
.Italian Loaf • At stage 5, shape the dough into one large round ball. Continue as above.
Bake at 400°F for 20 to 25 minutes.
Make 1 loaf.
Rolls= Follow instructions for baguettes. After rolling up, cut each loaf into 6 equal pieces. Pinch the
ends of each roll and taper slightly. Bake at 400°F for 15 to 20 minutes.
Make 12 rolls.
TIP." If desired, sprinkle glazed loaves before baking with one of the following:
Sesame seeds
Poppy seeds
Caraway seeds
Crackedwheat
Rye flakes

Water (80°F/27°C) 1 cup
Sugar 1112tbsp
Salt 1 tsp
Bread Flour 3 cups
Active Dry Yeast 21/4 tsp
Glaze :
Egg, Beaten
Toppings :
Sesame Seeds, Poppy Seeds, Cracked Wheat,
Wheat Flakes or dried Onion Flakes
(optional)
Method
1. Remove the bread pan from the breadmaker. Attach the kneading blade on the shaft of the bread
pan. Place the dough ingredients into the bread pan.
2. Place the bread pan in the breadmaker; close the lid.
3. Select Dough Program. (Timer cannot be used with the DoughProgram.) Press START.
4. When the beeper sounds 8 times, press STOR Remove the dough from the bread pan; knead on
a floured surface for 5 to 10 minutes, until smooth.
5. Place the dough in a greased bowl, turning to coat evenly. Cover with plastic wrap and let the
dough rest for 20 minutes. ....
6. Punch the dough down again. Cut the dough into 6 equal pieces. Form each piece of dough into
a ball. Make a hole in the center of each ball with thumbs and stretch until smooth and hole is
about 1 inch.
.
8.
g.
10. Cool on wire rack.
Place Bagels on a greased baking sheet. Cover and let rise for 10 minutes.
Heat oven to 425°F. Bring 6 cups water to a boil in a large skillet or saucepan. Reduce heat to
medium. Cook Bagels 2 at a time for I minute. DO NOT TURN BAGELS OVER. Place Bagels
back on greased baking sheet.
Brush with beaten egg and sprinkle with choice of toppings, if desired. Bake at 425°F for 20 to 25
minutes, until deep golden brown.

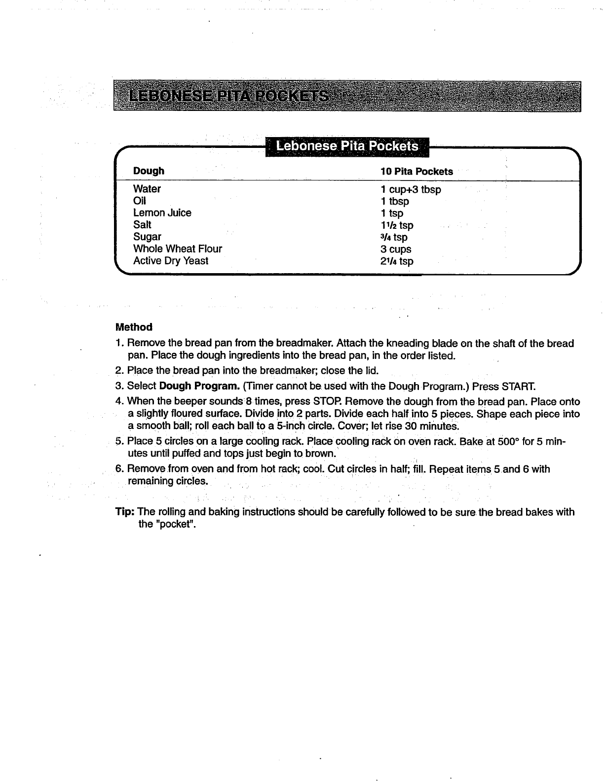
Water 314cup
Oil 1 tbsp
Lemon Juice 1 tsp
Salt 2 tsp
Sugar 1 tbsp
Whole Wheat Starter * 1 cup
Cracked Wheat 113cup
Bread Flour 3 cups
-- Active-DryYeast -2_/4-tsp -
Method
1. Remove the bread pan from the breadmaker. Attach the kneading blade on the shaft of the bread
pan. Place the dough ingredients into the bread pan, in the order listed.
2. Place the bread pan into the breadmaker; close the lid.
3. Select Dough Program. (Timer cannot be used with the Dough Program.) Press START.
4. When the beeper sounds 8 times, press STOR Remove the dough from the bread pan. Divide
dough into 8pieces. On lightly floured surface, roll or pat each piece to a 6x4-inch rectangle.
Starting with longer side, roll up tightly, pressing dough into roll with each turn. Pinch ends and
edges to seal.
5. Place on geased cookie sheet. Cover; let rise at room temperature until double, With very sharp
knife, make a lengthwise slash down the center of each roll. Spray or brush with cold water. Bake
in a preheated oven at 400°for 20 to 25 minutes, until golden brown. Spray or brush rolls with
water several times during the first 10 minutes of baking for a crispier crust. Remove from cookie
sheets; cool.
*See starter recipe along with Whole WheatSourdough Bread recipe,

Eggplus 1
enoughwaterto equal 1 cup
Oil 2 tbsp
Lemon juice 1 tsp
Salt 11/ztsp
Honey 1 tbsp
Mashed Banana 1/2cup
Whole Wheat Flour 21/2 cup
Bread Flour 1 cup
Active Dry Yeast 21/4tsp
Method
1. Remove the bread pan from the breadmaker. Attach the kneading blade on the shaft of the bread
pan. Place the dough ingredients into the bread pan, in the order listed.
2. Place the bread pan into the breadmaker; close the lid.
3. Select Dough Program; (Timer cannot be used with.the Dough Program.) Press START.
4. When the beeper sounds 8 times, press STOP. Remove the dough from the bread pan. Divide
dough into 4 parts. Divide each fourth into 3 pieces. Shape each piece into a smooth ball. Punch
a hole in the center with a finger and gently pull dough to make a one to two-inch hole.
5. in a 3-quart saucepan, combine 2 quarts water and 2 tablespoons sugar; heat to boiling. Place a
few bagels at a time in boiling water. Simmer 3 minutes, turning once. Remove with slotted spoon.
Place on greased cookie sheet. Brush tops with 1 egg white slightly beaten; sprinkle with poppy or
sesame seeds. Bake in a preheated 375 ° oven for 20 minutes.

f
Dough _ _iI10 Pita Pockets
Water 1 cup+3 tbsp
Oil 1 tbsp
Lemon Juice 1 tsp
Salt 1112tsp •
Sugar 314tsp
Whole Wheat Flour 3 cups
Active Dry Yeast 21/4 tsp ,i
Method
1. Remove the bread pan from the breadmaker. Attach the kneading blade on the shaft of the bread
pan. Place the dough ingredients into the bread pan, in the order listed.
2. Place the bread pan into the breadmaker; close the lid.
3. Select Dough Program. (Timer cannot be used with the Dough Program.) Press START.
4. When the beeper sounds8 times, press STOR Remove the dough from the bread pan. Place onto
a slightly floured surface. Divide into 2 parts. Divide each half into 5 pieces. Shape each piece into
a smooth ball; roll each ball to a 5-inch circle. Cover; let rise 30 minutes.
5. Place 5 circles on a large cooling rack. Place cooling rack on oven rack. Bake at 500 ° for 5 min-
utes until puffed and tops just begin to brown.
6. Remove from oven and from hot rack; cool. Cut circles in half; fill. Repeat items 5 and 6 with
remaining circles.
Tip: The rolling and baking instructions should be carefully followed to be sure the bread bakes with
the "pocket".

Dough 16 Pretzels
Water (80°F/27°C) 11h cup
Oil 1tbsp
Sugar 2 tbsp
Salt ! tsp
Egg Yolk 1
White Pepper 118tsp
Bread Flour 3112cups
Active Dry Yeast 1 tbsp
Glaze
Egg White 1
Water 1 tbsp
Kosher Salt or Sesame Seeds
Method
1. Remove bread pan from the breadmaker. Attach the kneading blade on the shaft of the bread pan.
Place the dough ingredients in the bread pan.
2. Place the bread pan in the breadmaker; close the lid.
3. Select Dough Program. (Timer cannot be used with the Dough Program.) Press START.
4. When the beeper sounds 8 times, press STOR Remove the dough from the bread pan and place
in a greased bowl, turning to coat evenly. Cover with plastic wrap and let the dough rest for 25
minutes. Preheat the. oven to 375°F.
5. Punch the dough down. On a lightly floured surface, cut the dough into 16 equal pieces. Roll each
piece of dough into a rope about 16-inch long. Shape each rope into a pretzel.(Cross the ends of
the rope to make a loop; twist the crossed ends once and fold across the loop.)
6. Place the pretzels on a greased baking sheet 111=inches apart. Brush with combined egg white
and water. Sprinkle with salt or sesame seeds. Bake at 375°F for 15 to 20 minutes or until golden
brown.

r
Dough
Water (80°F/27°C)
Oil, preferably Olive Oil
Sugar
Salt
Bread Flour
Active Dry Yeast
3/4 cup
11/3tbsp
11/ztsp
3/4tsp
2 cups
2 tsp
Pizza S auc_e
Grated Mozzarella Cheese
Sliced Pepperoni
Chopped Peppers
Sliced Mushrooms
Sliced Olives
Chopped.Onions
Bacon Pieces ,J
Method
1. Remove bread pan from the breadmaker. Attach the kneading blade onthe shaft of the bread pan
Place the dough ingredients into the bread pan.
2. Place the bread pan into the breadmaker; close the lid.
3 Select Dough Program. (Timer cannot be used with the Dough Program.) Press START.
4. When the beeper sounds 8 times, press STOR Remove the dough from the bread pan.
5. Place the dough in a greased bowl, turning to coat evenly. Cover with plastic wrap and let dough
rest for 20 minutes. Preheat the oven to 425"F.
6. Press pizza dough into a 12-inch(30cm) pizza pan or a 13-inchXg-inch greased pan, raising
edges of dough.
7. Spread pizza sauce over the dough. Sprinkle with cheese and other toppings as desired.
8. Bake the pizza at 425°F for 20 to 25 minutes or until crust is golden brown around edges.
Makes I Pizza
Whole Wheat Pizza Crust : In place of 2 cups bread flouP, use I cup bread flour and I cup whole
wheat flour and 111=teaspoons gluten.
Medium Pizzas : Shape the dough into two 8 inch circles, raising the edges of the dough. Place on
greased baking sheet Spread with sauce, cheese and other desired toppings Bake at 425°F for 20 to
25 minutes. Makes 2 pizzas
Small Individual Pizzas : Shape the dough into four 5 inch circles, raising the edge of the dough
Follow directions above. Bake at 425°F for 15 to 20 minutes. Makes 4 pizzas.

f
Dough_ Twelve Inch Pizzas
Water 1 Cup
Oil 2tbsp
Lemon Juice 1 tsp
Salt 1 tsp
Whole Wheat Flour 1 cup
Bread Flour 11/2 cups
%,, Active Dry Yeast 2V4 tsp j
Method
1. Remove the bread pan from the breadmaker. Attach the kneading blade on the shaft of the bread
pan. Place the dough ingredients into the bread pan, in the order listed.
2. Place the bread pan into the breadmaker; close the lid.
3. Select Dough Program. (Timer cannot be used with the Dough Program.) Press Start.
4. When the beeper sounds 8 times, press STOR Remove the dough from the bread pan. Divide
dough in half and press each half onto a 12" round pizza pan. (Sprinkle pans with 1 tablespoon
each of cornmeal if desired.) Generously prick dough with a fork.
5. Place the pizza pans into a preheated 400°F oven for 10-12 minutes or just until edges of crust
begin to turn a light golden brown. Remove from oven and add desired toppings. (See below for
suggestions). Return pizza to oven and bake 15-20 minutes.
Suggested Toppings :
12 oz. thinly sliced Provolone cheese
2 cloves garlic, minced
1 cup thick pizza or spagehetti sauce
1 lb. bulk Italian sausage, browned and well drained
2 teaspoons dried Italian herb seasoning, crushed
2 cans (21h oz. each) sliced mushrooms, drained
=Is cup coarsely chopped green pepper
1 package (311=oz.) sliced pepperoni
10 oz. Mozzarella cheese, shredded (about 211=cups)

r
Dough Twelve Inch Pizzas
1Egg (room temperature)
plus enough water to equal 1 cup
Lemon Juice 1 tsp
Oil 2 tbsp
Sugar lh cup
Salt 1 tsp
Bread Flour 3112cups
• Active Dry Yeast 1112tsD
Topping:
Parmesan Cheese lh cup
Garlic, finely minced 2 tbsp
Butter, melted 112cup
Method
1. Remove the bread pan from the breadmaker. Attach the kneading blade on the shaft of the bread
pan. Place the dough ingredients into the bread pan, !n the order listed.
2. Place the bread pan into the breadmaker; close the lid.
3. Select Dough Program. (Timer cannot be used with the Dough Program.) Press START.
4. When the beeper sounds 8 times, press STOR Remove the dough from the bread pan. Place in
greased bowl, turning to coat evenly. Cover and let rise in warm, draft-free place for 30 minutes or
until doubled in size. Punch down and divide into 18 equal Pieces.
5. Combine cheese and garlic. Dip dough pieces in melted butter and then roll in cheese-garlic mix-
ture. Arrange in layers in well-greased 10-inch Bundt (tube) pan or in single layer in well-greased
13X9-inch baking dish. Cover and let rise in warm, draft-free place, 45 minutes or until doubled in
size.
6. Bake in preheated 350°F 0ven _35 to 40 minutes, or until golden brown,
Li

Dough 1 Loaf
Water (80°F/27°C) 1 cup
Lemon Juice 1 tsp
Oil 2 tbsp ,
Salt 1 tsp
Bread Flour 3 cups
Active Dry Yeast 11/2 tsp
Topping:
Fresh rosemary, finely chopped
Fresh chives, finely chopped
Garlic, finely minced
Olive Oil, separated
114cup
1/4cup
2 tbsp
1/2cup + 1 tbsp
Method
1. Remove the bread pan from the breadmaker. Attach the kneading blade on the shaft of the bread
pan. Place the dough ingredients into the bread pan, in the order listed.
2. Place the bread pan into the breadmaker; close the lid.
3. Select Dough Program. (Timer cannot be used with the Dough Program.) Press START.
4. When the beeper sounds 8 times, press STOR Remove the dough from the bread pan. Place in
bowl greased with 1 tablespoon olive oil. Turn dough to coat evenly. Cover and let rest 30 minutes.
5. Punch down and roll dough onto 13X18 inch baking sheet. Cover dough liberally with remaining
112cup olive oil. Sprinkle fresh herbs and garlic over the dough.
6. Bake in preheated 425"F oven for 30 to 35 minutes or until golden brown. Serve with pasta or cut
into diamonds and serve as an appetizer.

• _ ..... • .... ,., :.. .... ,._ .. ,. • .. ....... _. • ... •. . |
i "r ... 4.. ;.._..._ . ,; _ .. ,._ _,. • ._ . _..._ . . _."" _"
• ,.. "!;_'_:,--,_,.,,-1;._ ,., .,. ;_,., .:i ._,. ' '.'_,. ':'_:.. : ".. • -
Dough . Regular Large
1 Egg (room temperature)
p!us _nough water to equal
i._:_r_lonJuice
Oil
Sugar
Salt
Bread Flour
Active Dry Yeast
3/4 cup
1 tsp
2 tbsp
11/_tbsp
1 tsp
2 cups
1 tsp
1cup + 1 tbsp
1tsp
3 tbsp
2tbsp
11/2tsp
31/4 cups
11/2tsp
Glaze :
Egg Yolk, beaten
Water
1 i . 1
1 tbsp 1 tbsp
Topping : .........
Poppy Seeds 1 tsp 1 tbsp
,. J
Method
-i. Remove the bread pan from the breadmaker. Attach the kneading blade on the shaft of the bread
pan. Place the dough ingredients into the bread pan, in the order listed.
2. Place the bread pan into the breadmaker; close the lid.
3. Select Dough Program, (Timer cannot be used withthe Dough Program.) Press START.
4. When the beeper sounds 8 times, press STOR Rem0ve the dough from the bread pan. Place on a
lightly floured surface. '
5. Divide dough into thirds, making 3, (10 inch-regular), (13 inch-large) ropes with tapered ends.
Pinch ropes together at one end, braid together, pinching together at other end and secure braid.
6. Transfer braided dough to greased baking sheet; let rise until doubled in size, about 45 minutes.
7. Combine glaze ingredients and brush onto braid. Sprinkle with poppy seeds. Bake in preheated
375°F oven for 25 minutes or until golden brown.

\
Dough 16 Rolls I
1Egg at room temperature
+ enough Water to equal 1cup
Lemon Juice 1 tsp
Oil 3 tbsp
Salt 1 tsp
Sugar 1/3cup
Bread Flour 31/2 cups
Active Dry Yeast 11/2tsp
Filling :
Butter, softened 1/3cup
Sugar 1/4cup
Cinnamon 2 tbsp
Walnuts, finely chopped 1/4cup
Raisins(optional) 1/4cup
Glaze :
Powdered Sugar 1/2cup
Water or Milk 3 tbsp
k_, Vanilla 1/2tsp _.J
Methed
1. Remove the bread pan from the breadmaker. Attach the kneading blade on the shaft of the bread
pan. Place the dough ingredients into the bread pan, in the order listed.
2. Place the bread pan into the breadmaker; close the lid.
3. Select Dough Program, (Timer cannot be used with the Dough Program,) Press START
4. When the beeper sounds 8 times, press STOR Remove the dough from the bread pan. Place on
a lightly floured surface, Let stand in warm, draft-free place, 30 minutes or until doubled in size.
5. Punch down; roll into a 12X16-inch rectangle. Spread with 113cup butter. Combine remaining
•Filling ingredients and sprinkle over butter. Roll up tightly, jelly-roll style, starting at the 12-inch
side. Cut into one inch pieces.
6. Place in 2 greased 9-inch square pans about l/_inch apart. Let stand in warm, draft-free place for
•.one hour, or until doubled in size.
7. Bake in preheated 350°F oven for 25 to 30 minutes or until golden brown.
8. Mix together Glaze ingredients until smooth and drizzle over top of warm rolls.

1 Egg(roomtemperature)
+enough Water 1V4 cups
Lemon Juice 1 tsp
Oil 31/2tsps
Salt 1 tsp
Sugar 1/3cup
Bread Flour 31/2cups
Active Dry Yeast 11/2tsp
Filling :
Butter, softened 1/2cup
Sugar 113cup
Cinnamon 1 tbsp
Walnuts or Pecans, chopped 1/2cup
Topping :
Butter 3/4cup
Light Brown Sugar 3/4cup
Method
1. Remove the bread pan from the breadmaker. Attach the kneading blade on the shaft of the bread
pan..Place the dough ingredients into the bread pan, in the order listed.
2. Place the bread pan into the breadmaker; close the lidi _
3. Select Dough Program.(Timer Cannot be used _withthe Dough Program.)Press START.
4. When the beeper sounds 8 times, 'press STOP. Remove the dough from the bread pan. Place on
lightly floured sUrface; punchdown and letstand for 30 minutes or until doubled in size.
5. Roll into12x16inch rectangle. Spread with the 1/2cup butter. Mix together cinnamon, sugar and
nuts; sprinkle generously over buttered dough. Roll up tightly, jelly-roll style, starting at the 12-inch
side. Cut rollinto 12, 1-inch slices. =' .' '
6. Combine Topping ingredients in a 1-quart sauce pan;stir until mixture comes to aboil. Allow mix-
ture to boil for one minute without stirring; remove from heat and coolforfive minutes.
7. Divide slightly cooled Topping mixture into two, 9-inch baking pan s. Carefully place roll slices on
top of mixture. Let rise in warm, draft-free place, 30 minutes or until dotJbied in size.
8. Bake inpreheated 350°F oven 35 to 40 minutes or Until golden brown. Let cool 1 minute. Invert
onto heatproof serving platter ortray. Serve warm. _

--_ II •I_I" e i--" oL"
Dough
Water (80°F/27°C)
Oil
Dry Milk Powder
Salt
Sugar
Bread Flour
Active Dry Yeast
1 cup
1 tbsp
1 tbsp
314tsp
1l/z tbsp
31h cups
1112tsp
Filling :
Cream Cheese(250g), at room temperature
Sugar
Chopped Maraschino Cherries
Milk
Almond Extract
1 package
2tbsp
1/2cup
1tbsp
1/2tsp
Glaze :
Powdered Sugar 112cup
Sour Cream 1 tbsp
Milk 1~2 tbsp
Sliced Almonds, to decorate 2 tbsp
Cherries, quartered, to decorate 2 tbsp
Method
1. Remove the bread pan from the breadmaker. Attach the kneading blade on the shaft of the
bread pan. Place the dough ingredients into the bread pan.
2. Place the bread pan into the breadmaker; close the lid.
3. Select Dough Program. (Timer cannot be used with the Dough Program.) Press START.
4. Meanwhile in a small bowl, combine the filling ingredients; blend well.
5. When the beeper sounds 8 times, press STOR Remove the dough from the bread pan. Place
the dough in a greased bowl, turning to coat evenly. Cover with plastic wrap and let dough rest
for 20 minutes.
6. Punch dough down again. On a floured surface, roll the dough into a 15×10-inch rectangle.
Spread the cream cheese mixture evenly over the dough to within ll=-inch of the edges. Starting
with the longest side, roll the dough up tightly, pressing the edges to seal.
7. Place the roll, seam-side down on a greased baking sheet.Join the ends to form a ring; pinch to
• seal. With scissors or a small sharp knife, cut from the outside edge of the dn_ to within 1 inch of
the inside of the ring, making cuts 111=inches apart. Tur.n each section on its side so filling
shows.
8. Cover loosely with plastic wrap. Let rise for 40 minutes or until almost doubled in size. Preheat
the oven to 375°1:.
9. Uncover the dough. Bake at 375°F for 20 to 25 minutes or until deep golden brown. Cool slightly;
remove from pan.
10. In a small bowl, combine the first three glaze ingredients, adding only enough milk for drizzling
consistency. Drizzle over the warm coffee cake. Decorate with almonds and cherries. Serve
warm.
Makes 10 to 12 servings.

BEFORE REQUESTING SERVICE
',, , , ,, ,• :
[] Problems and Solutions
The consistency of the dough can be Checkedl while iris mixing(in the first 15 minutes): Dough
should appear pliable and elastic. If too dry, add water one tablespoon at a time. If dough is too
moist, add flour.
r
r •
PROBLEMS SOLUTIONS
Dough does not rise enough. • Liquids are too hot(above 105°F/30-40°C)
•Inactive yeast; or not enough yeast.
•Ingredients are too cold
-e-Too-much-salt.-
Bread flops over sides of pan. •Too much dough.
•Bread has over risen(reduce amount of yeast slightly)
• Not enough sugar.
Crust pale in color. •Not enough sugar.
Bread does not keep well. •Bread lasts up to 5 days if stored in the refrigerator.
Free form loaves spread out or • Dough too soft.
lose shape instead of rise.
Bread falls during bake cycle. •Bread over risen (reduce amount of yeast slightly).
Bread has coarse texture; crumbly, •Bread over risen(reduce amount of yeast slightly).
Bread has unusual aroma. • Stale ingredients used.
•Too muc h yeast.
Sticky bread which slices unevenly. • Always use a serrated bread knife
• Allow bread to cool longer before slicing.
[] Service Information
Please refer to warranty statement to determine if in-warranty service applies. This appliance should
be serviced by properly trained appliance repair technicians. Consult your local phone directory yel-
low pages under "Appliances-Household-Small-Service and Repair" for your nearest Toastmaster
Authorized Service Center.
If an Authorized Service Center is not available locally, your appliancemay be returned postage pre-
paid to our National Service Center at the address shown on the back of this book.
Products must be adequately protected to avoid shipping damage for repair or replacement at our
option.
Please include a note explaining the problem you have experienced-It helps us to properly service
your product and speed its return to you.
Product must be returned postage prepaid.
We suggest you insure your appliance.

[] Before Calling for Service, Please Check the Followings:
r
Please check the following:
Unplugged
Oven area is too hot (display H I )
Ingredients sPilled on heating element.
O_ STOP pad was pressed after starting.
,j Top lid was open during operation.
Z_ Program selection was wrong (Dough mode
Owas chosen).
Bread left in bread pan too long after baking.
Bread sliced just after baking (Steam was not
_,, allowed to escape).
OWater added after kneading flour.
Kneading blade not installed properly in pan.
Not enough
Flour Too much
Not enough
ILl
(_ Yeast Too much
_O No yeast
mNot enough
_ Water Too much
No sugar or molasses
Ingredients used other than prescribed.
Old flour used,
t_ Flour
Z Wrong type of flour used.
Yeast touched water before kneading.
Yeast Old yeast used.
Wrong type of yeast used.
Temperature of water was either too hot or too cold.
Breadmaker
does not
operate.
©
©
Smoke
emitted
from steam
vent.
Burning
smell.
©
Sides of
bread
collapse
and bottom
is damp.
©
Bread rises
too much
©
©
©
©
I
©
._'7' _

.Collapsed
after
over-rising
3
0
0
Bread
doesn'trise
enough.
Q
Unleavened or not leavened enough
Top of bread
floured.
i i
Under-
browned.
0
0
0
Browned and
floured sides,
and raw.
° l
0
0
Sides
flour coated
bottom.
0
Underbaked
"0
0
0
0
0
0
0
0
0
0
0
Slices
unevenly
andis
sticky.
0
0
J

Questions and Answers for the breadmaker
f
1
Questions
Why does the height and shape of
bread differ in each use?
_ he bread has as unusual odor,
why?
The kneading blade comes out
with the bread.
4The bread has a floured corner.
Why can the timer only be set
for not less than 4:10, nor more
than 13 hours?
Timer cannot be used for
DOUGH program. Why?
7Can ingredients be halved or
doubled?
Can fresh milk be used in place
of dry milk?
Answers
i
The height and shape of bread may differ depending
on the ingredients, room temperature and length of
the timer cycle. Also accurate measurement of ingre-
dients is essential to make delicious bread.
Stale ingredients may have been used or too much
yeast may have been used. Always use fresh ingre-
dients. Accurate measurements are essential to
make delicious bread.
This can happen as the kneading blade is detach-
able. Use a non-metal utensil to remove it.
Caution : The kneading blade will be hot.
Sometimes flour in the corner of the bread pan may
not have been completely kneaded into the dough.
Scrape it off with a knife.
The complete bread program, takes a minimum of 3
hours and 40 minutes. Longer delay times could
alter the baking results.
The breadmaker cannot shape individual rolls,
doughnuts, etc.
If there is too little in the bread pan, the kneading
blade canno_ knead well enough. If there is too
much, bread swells out of the bread pan.
Yes. Be sure to deduct the same measurement of
water to equal any liquid substitution. Fresh milk is
not recommended when using the timer, because it
may spoil while sitting in the bread pan.

_._splay Signals
When the START pad is pressed:
Display
I-H t
n; I
Reason
The oven area is too hot
(above 40°C/105°F). This
may occur during continuous
use
L;
How to reset
When the oven area has
cooled, press STOP pad
and start again.
J
During operation
r
During operation the remain-
ing time displays as follows"
REMAINING TIME
,[ n nnl
u:uUl
There has been an interruption
in the power supply (unplugging
of the power cord, or malfunc-
tioning of a household fuse or
breaker).
Remove the dough and start
again using all new ingredi-
ents.
J
SPECIFICATIONS
r
' Power
Consumption
Power supply
Heater
Kneading MOtor
Dimension (WXDXH)
Weight
Thermal Fuse
Timer
Cord
Kneading Motor Protector
.... " A:C 120V 60Hz
550W
13314"X10Va"X13"(35.0X26.0X33.0cm)
APPROX18 lbs(Approx. 8.0kg)
13 hours digital timer
APPROX 3' 11"(112M) "
378°F /192°C ,,
...... 248°F /120°C
...... Main Heater Protector
J

ONE YEAR LIMITED WARRANTY
Toastmaster Inc. warrants this product, to original purchaser, for one year from purchase date to
be free of defects in material and workmanship.
This warranty is the only written or express warranty given by Toastmaster Inc. This warranty
gives you specific legal rights. You may have other rights which vary from state to state. ANY
OTHER RIGHT WHICH YOU MAY HAVE, INCLUDING ANY IMPLIED WARRANTY OF MER-
CHANTABILITY OR FITNESS FOR A PARTICULAR PURPOSE IS LIMITED IN DURATION TO
THE DURATION OF THIS WARRANTY
Defective product may be brought or sent (freight prepaid) to an authorized service center listed
"n_the_phone_book,_or_to_Se r:viceDepar.t m ent,_Toastmaste r_lnc.,200_V_ineSt reet,_Boonville,Mo.
65233, for free repair or replacement at our option.
Your remedy does not include: cost of inconvenience, damage due to product failure, transporta-
tion damages, misuse, abuse accident or the like, or commercial use. IN NO EVENT SHALL
TOASTMASTER INC. BE LIABLE FOR INCIDENTAL OR CONSEQUENTIAL DAMAGES.
Some states do not allow limitations on how long an implied warranty lasts, or allow the exclusion
or limitation of incidental or consequential damages, so the above limitations or exclusions may
not apply to you.
For information, write Consumer Claims Manager, at the Boonville address. Send name,
address, zip, model, serial number, and purchase date.
KEEP DATEDSALES RECEIPT FOR WARRANTY SERVICE.
Keep this booklet. Record the following for reference:
Date purchased
Model number
Toastmaster Inc.
National Service Center
200 Vine Street
Boonville, Missouri 65233
Telephone:
Consumer Service 1-800-947-3744
parts 1-800-947-3745
This symbol on the product's nameplate
means it is Listed by
UNDERWRITERS LABORATORIES INC.