TOSHIBA TV/VCR Or DVD Combo Manual L0503307
User Manual: TOSHIBA TOSHIBA TV/VCR or DVD Combo Manual TOSHIBA TV/VCR or DVD Combo Owner's Manual, TOSHIBA TV/VCR or DVD Combo installation guides
Open the PDF directly: View PDF
.
Page Count: 48

÷
TOSHIBA
VIDEO DIGIT_.LAUDIC} D I O I T A L
COMBiNATiON
TElEViSiON
VIDEO P
COLOR
D DVD
introduction
Basic setup l
TV operation
÷
FP3
OWNER'S/V'IAI"4UAL
Basic playback
Advanced playback
Functionsetup
Others
@2004 Toshiba Corporation
Before operating the unit, please read this manual thoroughly.
5K70201A [E] (Cover) 1
20/4/04 15:57

iMPORTANT SAFEGUARDS
cAuz,o.
CAUTION: TO REDUCE THE RISK OF ELECTRIC
SHOCK.DO NOT REMOVE DOVER
(OR BACK) NO USER-SERVICFABLE
PARTSINSIDEREFER SERVICINGTO
QUALIFIEDSERVICEPERSONNEL
The lightning flash with arrowhead symbol, within an equilateral
triangle is intended to alert the user to the presence of
uninsulated dangerous voltage within the product's
enclosure that may be of sufficient magnitude to constitute a risk
of electric shock.
The exclamation point within an equilateral triangle is intended
to ate_t the user to the presence of important operating and
maintenance (servicing) instructions in the literature accompa-
nying the appliance.
WARNING: TO PREVENT FIRE OR SHOCK HAZARD, DO NOT EXPOSE THIS APPLIANCE TO RAIN
OR MOISTURE
WARNING: This equipment has been tested and found to comply with the limits for a Class B digital device,
pursuant to Part 15 of the FCC Rules. These limits are designed to provide reasonable protection
against harmful interference in a residential installation. This equipment generates, uses and can
radiate radio frequency energy and, if not installed and used in accordance with the instructions,
may cause harmful interference to radio communications.
However, there is no guarantee that interference will not occur in a particular installation. If this
equipment does cause harmful interference to radio or television reception, which can be
determined by turning the equipment off and on, the user is encouraged to try to correct the
interference by one or more of the following measures:
CAUTION:
COPYRIGHT:
- Reorient or relocate the receiving antenna.
- Increase the distance between the equipment and receiver.
- Connect the equipment into an outlet on a circuit different from that to which the receiver is
connected.
- Consult the dealer or an experienced radio/TV technician for help.
Changes or modifications not expressly approved by the party responsible for compliance with
the FCC (Federal Communications Commission) Rules could void the user's authority to operate
this equipment.
It is permissible to record television programs, films, video tapes and other material only in the
event that third party copyrights and other rights are not violated.
CAUT!ON:
THIS DIGITAL VIDEO PLAYER EMPLOYS A LASER SYSTEM,
TO ENSURE PROPER USE OF THIS PRODUCT, PLEASE
READ THIS OWNER'S MANUAL CAREFULLY AND RETAIN
FOR FUTURE REFERENCE. SHOULD THE UNIT REQUIRE
MAINTENANCE, CONTACT AN AUTHORIZED SERVICE LO-
CATION-SEE SERVICE PROCEDURE
USE OF CONTROLS, ADJUSTMENTS OR THE PERFORM-
ANCE OF PROCEDURES OTHER THAN THOSE SPECIFIED
HEREIN MAY RESULT IN HAZARDOUS RADIATION EXPO-
SURE.
TO PREVENT DIRECT EXPOSURE TO LASER BEAM, DO NOT
TRY TO OPEN THE ENCLOSURE VISIBLE LASER RADIA=
TION MAY BE PRESENT WHEN THE ENCLOSURE IS OPENED.
DO NOT STARE INTO BEAM.
Location of the required Marking
The rating sheet and the safety caution
are on the rear of the unit.
CERTIFICATION: COMPLIES WITH
FDA RADIATION PERFORMANCE
STANDARDS, 21 CFR SUBCHAPTER J.
2
5Kt0201A [E] (P02-05) 20/4/04.15:57

1. READ INSTRUCTIONS
Al! the safety and operating instructions should be read before the unit is operated.
2. RETAIN _NSTRUCT_ONS
The safety and operating instructions should be retained for future reference.
3. HEED WARNINGS
Al! warnings on the unit and in the operating instructions should be adhered to.
4. FOLLOW _NSTRUCT_ONS
Al! operating and use instructions should be followed.
5. CLEANING
Unplug this unit from the wall outlet before cleaning. Do not use liquid cleaners or aerosol cleaners.
Use a damp cloth for cleaning the exterior cabinet only.
6. ATTACHMENTS
The manufacturer of this unit does not make any recommendations for attachments, as they may cause
hazards.
7. WATER AND MOISTURE
Do not use this unit near water. For example, near a bathtub, washbowl, kitchen sink, laundry tub, in a wet
basement, or near a swimming pool. PORTABLECART WARNING
8. ACCESSORIES (symbol provided by RETAC)
Do not place this unit on an unstable cart, stand, tripod, bracket, or table.
The unit may fal!, causing serious injury, and serious damage to the unit.
8A. An appliance and cart combination should be moved with care. Quick stops,
excessive force, and uneven surfaces may cause the appliance and cart
combination to overturn.
9. VENTiLATiON
Slots and openings in the cabinet back or bottom are provided for ventilation, S312¢A
and to ensure reliable operation of the unit, and to protect it from overheating.
These openings must not be blocked or covered. The openings should never be blocked by placing the unit
on a bed, sofa, rug, or other similar surface. This unit should never be placed near or over a radiator or heat
source. This unit should not be placed in a built-in installation such as a bookcase or rack unless proper
ventilation is provided or the manufacturer's instructions have been adhered to.
10. POWER SOURCE
This unit should be operated only from the type of power source indicated on the rating plate. If you are not
sure of the type of power supply to your home, consult your appliance dealer or !ocal power company. For
units intended to operate from battery power, or other sources, refer to the respective pages on this Own-
er's Manual for their operating instructions.
11. GROUNDING OR POLARiZATiON
This unit is equipped with a polarized alternating-current line plug (a plug having one blade wider than the
other). This plug will fit into the power outlet only one way. This is a safety feature. If you are unable to insert
the plug fully into the outlet, try reversing the plug. If the plug should still fail to fit, contact your electrician to
replace your obsolete outlet. Instead of the polarized alternating-current line plug, your unit may be
equipped with a 3-wire grounding-type plug (a plug having a third (grounding) pin). This plug will only fit into
a grounding-type power outlet. This too, is a safety feature. If you are unable to insert the plug into the
outlet, contact your electrician to replace your obsolete outlet.
Do not defeat the safety purpose of the grounding-type plug.
12. POWER-CORD PROTECTION
Power-supply cords should be routed so that they are not likely to be walked on or pinched by items placed
upon or against them, paying particular attention to cords at plugs, convenience receptacles, and the point
where they exit from the appliance.
=_
o
:3
5K70201A [E] (P02-05) 3 20/4/04, 15:57

MPORTANT SAFEGUARDS <coot o ¢
13. L_GHTNING
To protect your unit from alightning storm, or when it is left unattended and unused for long periods of time,
unplug it from the wall outlet and disconnect the antenna or cable system, This will prevent damage to the
unit due to lightning and power line surges.
14. POWER L_NES
An outside antenna system should not be located in the vicinity of overhead power lines or other electric
light or power circuits, or where it can fall onto or against such power lines or circuits. When installing an
outside antenna system, extreme care should be taken to keep from touching such power lines or circuits,
as contact with them might be fatal.
15. OVERLOADING
Do not overload wall outlets and extension cords, as this can result in a risk of fire or electric shock.
16. OBJECT AND L_QU_D ENTRY
Do not push objects through any openings in this unit, as they may touch dangerous voltage points or short
out parts that could result in fire or electric shock. Never spill or spray any type of liquid into the unit.
17. OUTDOOR ANTENNA GROUNDING
If an outside antenna or cable system is connected to the unit, be sure the antenna or cable system is
grounded to provide some protection against voltage surges and built-up static charges, Section 810 of the
National Electrical Code (NEC), ANSI/NFPA 70, provides information with respect to proper grounding of
the mast and supporting structure, grounding of the lead-in wire to an antenna discharge unit, size of
grounding conductors, location of antenna discharge unit, connection to grounding electrodes, and require°
merits for the grounding electrode.
18. SERWC_NG
Do not attempt to service this unit yourself as opening or removing covers may expose you to dangerous
voltage or other hazards. Refer all servicing to qualified service personnel.
For example:
a. When the power-supply cord or plug is damaged.
b. If liquid has been spilled, or objects have fallen into the unit.
c. If the unit has been exposed to rain or water.
d. If the unit does not operate normally by following the operating instructions. Adjust only those
controls that are covered by the operating instructions, as an improper adjustment of other controls
may result in damage and will often require extensive work by a qualified technician to restore the
unit to its normal operation.
e. If the unit has been dropped or the cabinet has been damaged.
f. When the unit exhibits a distinct change in performance, this indicates a need for service.
19. REPLACEMENT PARTS
When replacement parts are required, be sure the service technician uses replacement parts specified by
the manufacturer or those that have the same characteristics as the original part.
Unauthorized substitutions may result in fire, electric shock or other hazards.
20. SAFETY CHECK
Upon completion of any service or repairs to this unit, ask the service technician to perform safety checks to
determine that the unit is in proper operating condition.
21. HEAT
The product should be situated away from heat sources such as radiators, heat registers, stoves, or other
products (including amplifiers) that produce heat.
22. D_SC TRAY
Keep your fingers well clear of the disc tray as it is closing. It may cause serious personal injury.
23. CONNECTING
When you connect the product to other equipment, turn off the power and unplug all of the equipment from
the wall outlet. Failure to do so may cause an electric shock and serious personal injury. Read the owner's
manual of the other equipment carefully and follow the instructions when making any connections.
24. SOUND VOLUME
Reduce the volume to the minimum level before you turn on the product. Otherwise, sudden high volume
sound may cause hearing or speaker damage.
25. SOUND D_STORT_ON
Do not allow the product output distorted sound for a !ongtime. it may cause speaker overheating and fire.
26. HEADPHONES
When you use the headphones, keep the volume at a moderate level. If you use the headphones continu-
ously with high volume sound, it may cause hearing damage.
4
5Kt0201A [E] (P02-05) 4 20/4/04.15:57

27. LASER BEAM
Do not look into the opening of the disc tray or ventilation opening of the product to see the source of the
laser beam. It may cause sight damage.
28. D_SC
Do not use a cracked, deformed, or repaired disc. These discs are easily broken and may cause serious
personal injury and product malfunction.
29. NOTE TO CABLE TV SYSTEM INSTALLER
This reminder is provided to call the Cable TV system installer's attention to Article 820-40 of the NEC that
provides guidelines for proper grounding and, in particular, specifies that the cable ground shall be con-
nected to the grounding system of the building, as close to the point of cable entry as practical.
EXAMPLE OF ANTENNA GROUNDING AS PER THE
NATIONAL ELECTRICAL CODE
=_
&
o
ANTENNA LEAD
IN WIRE
GROUND
NECoNATIONAL ELECTRICAL CODE "
$2898A
ANTENNA
DISCHARGE UNIT
(NEC SECTION 810o20)
GROUNDING CONDUCTORS
(NEC SECTION 810-21)
GROUND CLAMPS
POWER SERVICE GROUNDING
ELECTRODE SYSTEM
(NEC ART 250, PART H)
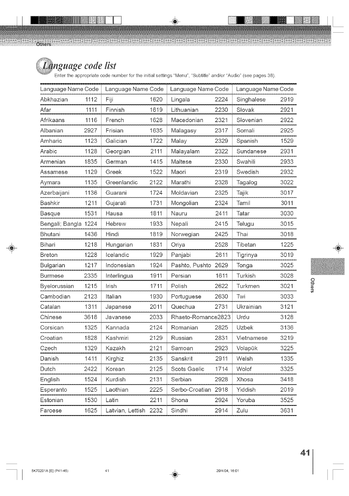
iMPORTANT RECYCUNG INFORMATION
This product uses both Cathode Ray Tube (CRT) and other components that contain lead. In
your community there might be regulations that require you to dispose these materials
properly under environmenta_ considerations. Please contact your Ioca_ authorities, or the
Electronic _ndustr{es AHiance (http:flwv_v.eiae.org) for disposa_ or recycling information.
AC Outlet
Wider Hole ___...
and Blade _
Polarized AC Cord Ptug
(One blade is wider than the other.)
TO USE AC POWER SOURCE
Use the AC polarized line cord provided for operation on AC. tnsert the AC cord ptug
into a standard 120V 60Hz polarized AC outlet.
Notes:
• Never connect the AC line cord plug to other than the specified voltage (120V
60Hz). Use the attached power cord only.
• If the polarized AC cord does not fit into a non-polarized AC outlet, do not attempt to
file or cut the btade. It is the useCs responsibility to have an electrician replace the
obsolete outlet.
• If you cause a static discharge when touching the unit and the unit fails to function,
simply unplug the unit from the AC outIet and plug it back in. The unit should return
to normal operation.
• If the AC cord plug is pIugged in for the first time, wait for approx. 5 seconds before
pressing the POWER button.
5
5K70201A [E] (P02-05) 5 20/4/04, 15:57

B When shipping the unit, the original shipping carton
and packing materials come in handy. For maximum
protection, repack the unit as it was originally packed
at the factory.
I Do not use volatile liquids, such as insect spray, near
the unit. Do not leave rubber or plastic products to
contact the unit for prolonged period. They will leave
marks on the finish.
m The top and rear panels of the unit may become
warm after a long period of use. This is not a
malfunction.
I When the unit is not in use, be sure to remove the
disc and turn off the power.
B If you do not use the unit for a long period, the unit
may not function properly in the future. Turn on and
use the unit occasionally.
m Place the unit on a level surface. Do not use it on a
shaky or unstable surface such as a wobbling table or
inclined stand. The loaded disc may become dis-
aligned and damage the unit.
m When you place this unit near a TV, radio, or VCR,
the playback picture may become poor and the sound
may be distorted. In this case, place the unit away
from the TV, radio, or VCR.
Moisture condensation damages the unit. Please
read the following carefully.
Moisture condensation occurs, for example, when you
pour a cold drink into a glass on a warm day. Drops of
water form on the outside of the glass. In the same way,
moisture may condense on the optical pick-up lens
inside this unit, one of the most crucial internal parts of
the unit.
B
@
O
O
O
Moisture condensation occurs during the
following cases.
When you bring the unit directly from a cold place to
a warm place.
When you use the unit in a room where you just
turned on the heater, or a place where the cold wind
from the air conditioner directly hits the unit.
In summer, when you use the unit in a hot and humid
place just after you move the unit from an air
conditioned room.
When you use the unit in a humid place.
Use a soft, dry cloth for cleaning.
@ For stubborn dirt, soak the cloth in a weak detergent
solution, wring well and wipe. Use a dry cloth to wipe
it dry.
Do not use any type of solvent, such as thinner and
benzine, as they may damage the surface of the unit.
@ If you use a chemical saturated cloth to clean the unit,
follow that product's instructions.
The unit is a high technology, precision device. If the
optical pickoup lens and disc drive parts are dirty or worn
down, the picture quality will deteriorate. To obtain a
clear picture, we recommend regular inspection and
maintenance (cleaning or parts replacement) every
1,00O hours of use depending on the operating
environment. For details, contact your nearest dealer.
m Do not use the unit when moisture condensation
may occur.
If you use the unit in such a situation, it may damage
discs and internal parts. Remove the disc, connect
the power cord of the unit to the wal! outlet, turn on
the unit, and leave it for two or three hours. After two
or three hours, the unit will have warmed up and
evaporated any moisture. Keep the unit connected to
the wall outlet and moisture condensation will seldom
OCCUr.
Wall outlet
6
5Kt0201A [E] (P06-07) 20/4/04.15:58

on discs
@ Do not touch the playback side of the disc.
O
Playback side
@ Do not attach paper or tape to discs.
@ Fingerprints and dust on the disc cause picture and
sound deterioration. Wipe the disc from the center
outwards with a soft cloth. Always keep the disc
clean.
o<
@ If you cannot wipe off the dust with a soft cJoth, wipe
the disc lightly with a slightly moistened soft cloth and
finish with a dry cloth.
@ Do not use any type of solvent such as thinner,
benzine, commercially available cleaners or antistatic
spray for vinyl LPs. It may damage the disc.
@ Do not store discs in a place subject to direct sunlight
or near heat sources.
@ Do not store discs in places subject to moisture and
dust such as a bathroom or near a humidifier.
@ Store discs vertically in a case. Stacking or placing
objects on discs outside of their case may cause
warping.
Normally, DVD video discs are divided into titles, and
the titles are sub-divided into chapters. Video CDs and
Audio CDs are divided into tracks.
DVD video disc
DVD video disc '1
--Titte 1 ' I ' Title 2
I
I
Chapter 1 Chapter 2 Chapter 1 Chapter 2
I I I I I
Video CD/Audio CD
, Video CD/Audio CD Track 5 '
Track 1 Track 2 Track 3 Track 4
/ / /
/ /
Each title, chapter or track is assigned a number, which
is called "title number", "chapter number" or "track
number" respectively.
There may be discs that do not have these numbers.
It is forbidden by law to copy, broadcast, show,
broadcast on cable, play in public, and rent copyrighted
material without permission.
DVD video discs are copy protected, and any recordings
made from these discs will be distorted.
This product incorporates copyright protection
technology that is protected by method claims of certain
U.S. patents and other intellectual property rights owned
by Macrovision Corporation and other rights owners.
Use of this copyright protection technology must be
authorized by Macrovision Corporation, and is intended
for home and other limited viewing uses only unless
otherwise authorized by Macrovision Corporation.
Reverse engineering or disassembly is prohibited.
=Z
o
7
5K70201A [E] (P06-07) 20/4/04, 15:58

on discs (Continued)
This owner's manual explains the basic instructions of
this unit. Some DVD video discs are produced in a
manner that allows specific or limited operation during
playback. As such, the unit may not respond to all
operating commands. This is not a defect in the unit.
Refer to instruction notes of discs.
"_" may appear on the TV screen during operation.
A ",_" means that the operation is not permitted by the
unit or the disc.
For example, sometimes it is unable to stop the
playback of copyright message of the disc when the
STOP (N) button is pressed. Alternatively, the "'_'" may
also indicate that the feature is not available for the disc.
The region number of this unit is 1. If region numbers,
which stand for their playable area, are printed on your
DVD video disc and you do not find _ or [_, disc
playback will not be allowed by the player. (In this case,
the unit will display a message on-screen.)
This DVD supports Video CDs equipped with the PBC
(Version 2.0) function. (PBC is the abbreviation of
Playback Control.) You can enjoy two playback
variations depending on types of discs.
*Video CD not equipped with PBC function
(Version 1.1)
Sound and movie can be played on this DVD in the
same way as an audio CD.
,Video CD equipped with PBC function
(Version 2.0)
In addition to operation of a Video CD not equipped
with the PBC function, you can enjoy playback of
interactive software with search function by using the
menu displayed on the TV screen (Menu PJayback).
Some of the functions described in this owner's
manual may not work with some discs.
This unit can play the foJlowing discs.
Disc Maximum
Disc Mark Contents Size playback time
12 cm
Approx 4 hours
(single sided disc)
Audio Approx.8 hours
+(doublesideddisc
DMD VIDE0 Video
video (moving
discs _ pictures) Approx 80minute_
(singlesideddisc)
8 cm
Approx 160 minute._
(double sided disc
CDe IDIGITALVIDE0J (moving
pictures)
12 cm Approx 74 minutes
8 cm Approx. 20 minutes
12 cm Approx 74minute_
oo,o
CDe Audio 8 cm
DIGITAL _,U DIO
(CD Approx 20 minute. _
single)
The following discs are also available.
@CD-R/CD-RW discs of CD-DA or Video CD format.
Some of these discs may be incompatible.
o "{ou cannot play discs other than those listed above.
• "{ou cannot play discs of DVD-RAM, DVD-ROM,
Photo CD, etc., or non standardized discs even if they
may be labeled as above.
• Some CD-R/RWs can not be played back depending
on the recording conditions.
o This unit uses the NTSC color system, and cannot
play DVD video discs recorded in any other color
system (PAL, SECAM, etc.).
8
5Kt0201A [E] (P08-12) 8 20/4/04.15:58

Connections
Antenna connections ....................................... 13
CabJe TV connections ..................................... 14
Connecting to optionaJ equipment ................... 15
TV operation
TV operation .................................................... 20
CJosed captions ............................................... 22
To memorize channels .................................... 23
Setting the V-Chip ........................................... 24
Picture controJ adjustment ............................... 26
Adjusting the picture preference ..................... 26
Sound controJ adjustment ............................... 27
Stereo and Second Audio Program (SAP) ...... 27
Basic p_ayback
Playing a disc .................................................. 28
Function setup
Customizing the function settings .................. 37
Temporary disabJing of rating level
by DVD disc ................................................... 40
Others
=2
o
9
5K70201A [E] (P08-12) 9 20/4/04, 15:58

of congrols
See the page in [_ for details.
POWER indicator [_
POWER button [_
J
iiiiiiiiiiiii
Disc tray [_
AUDIO (L/R)/VIDEO IN
jacks (LINE IN 2)
STOP( [] ) button
'_O_'_E_*"E: _.... K'_ i_'__ ........
Remote sensor [_
OPEN/CLOSE (_) button _ CHANNEL (A/V) buttons [_
VOLUME (A/V) buttons [_
AUDIO (L/R)/VIDEO IN jacks (LINE IN 1) [_
AC power cord
COAXIAL DIGITAL AUDIO OUT jack [_
RF IN jack [_
10
3r10201A [E] (P08-12) 10 20/4/04.15:58

The instructions in this manual describe the function on the remote control. See the page in [_ for detaits.
RECALL button _)
TV/DVD button [_
Direct channel selection
buttons (0-9) [_
Numbered buttons (0-9) _}
SLEEP button [_
TOP MENU button [_ --
SUBTITLE button [_
SETUP button [__
MENU button [_
*DVD MENU button [_
Direction buttons [_
(ilVl_ll,,-)
CH +/- button [_
VOL +/- button [_
RETURN button
PLAY button
REV button [_
SKIP buttons
PAUSE button [_
SLOW buttons [_
RECALL TV/DVD POWER
o? C,
®®®/®
_E AUDIO
f jc [ \\
ssl
....... &ds/
POWER button [_
INPUT SELECT button [_
GAME button
OPEN/CLOSE button [_
-- MUTE button
-- CLOSED CAPTION button [_
ANGLE button [_
ZOOM button [_
I
CH RTN button[_
AUDIO button [_
CANCEL button [_
ENTER button [_
FWD button [_
PLAY MODE button [_
JUMP button [_
-- STOP button [_
-- REPEATA-B button
*DVD MENU button
Use the DVD MENU button to
display the menu included on
many DVD video discs.
To operate a menu, follow the
instructions in <DVD menu."
=Z
&
o
11
5K70201A [E] (P08-12) 11 20/4/04, 15:58 u

Slide the battery compartment
cover in the direction of the
arrow.
Install two "AAA" batteries
(supplied), paying attention to
the polarity diagram in the
battery compartment.
J
Replace the compartment
cover.
• Aim the remote control at the remote sensor and press control buttons to operate.
• Operate the remote control within 30 ° angle on either side of the remote sensor, up to a distance of approx. 5
meters.
/
/// I \\
// I \\
/30 ° _ 30" \\,
]I /\
/I
Approx. 5 meters
The precautions below should be followed when using batteries in this device:
1. Use only the size and type of batteries specified.
2. Be sure to follow the correct polarity when installing the batteries as indicated in the battery compartment.
Reversed batteries may cause damage to the device.
3. Do not mix different types of batteries together (e.g. Alkaline and Carbon-zinc) or old batteries with fresh ones.
4. If the device is not to be used for a long period of time, remove the batteries to prevent damage or injury from
possible battery leakage.
5. Do not try to recharge batteries not intended to be recharged; they can overheat and rupture (follow battery
manufacturer's directions).
12
5K}0201A [E] (P08-12) 20/4/04.15:58

connections
If you are using an indoor or outdoor antenna, follow the instructions below that correspond to your antenna system, if
you are using a cabte TV service (CABLE), see page 14 for CabIe TV connections.
Antenna Antenna
jack jack
75 ohm coaxial cabte
(not supplied)
300-75 ohm matching
transformer (supplied)
Connect the 75 ohm cable from the combination
VHF/UHF antenna to the antenna iack,
If your combination VHF/UHF antenna has a 300
ohm twin-lead wire, the use of the 300-75 ohm
matching transformer may be necessary.
o
o
¢#
o
¢#
Combination VHF/UHF antenna (Separate VHF and UHF 300 ohm twin4ead wires
Antenna
jack 300-75 ohm matching
transformer (supplied)
t%3e 0O V F-,3e0a0 2
(not supplied) (not supplied)
Connect the UHF 300 ohm twin-lead wire to the
combiner (not supplied). Connect the VHF 300
ohm twin-lead wire to the 300°75 ohm matching
transformer. Attach the transformer to the combiner,
then attach the combiner to the antenna jack.
Antenna
iack
twin-lead wire
(not supplied)
Connect the VHF 75 ohm cable and UHF 300 ohm
twin°lead wire to the combiner (not supplied).
Attach the combiner to the antenna jack.
13
5K70201A [E] (P13-23) 13 20/4/04, 15:58

ie TV eonnedions
This TV/DVD has an extended tuning range and can tune most cable channels without using a Cable TV converter box.
Some cable companies offer "premium pay channels" in which the signal is scrambled. Descrambling these signals for
normal viewing requires the use of a descrambler device which is generally provided by the cable company.
Antenna
jack
75 ohm
coaxial cable
For basic cable service not requiring a converter/descrambler
box, connect the Cable TV 75 ohm coaxial cable directly to the
Antenna jack on the back of the TV/DVD.
If you subscribe to a cable TV service which requires the use of a converter/descrambler box, connect the
incoming 75 ohm coaxial cable to the converter/descrambler box. Using another 75 ohm coaxial cable, connect
the output jack of the converter/descrambler box to the antenna jack on the TV/DVD. Follow the connections
shown below. Set the TV/DVD to the output channel of the converter/descrambler box (usually channel 3 or 4)
and use the converter!descrambler box to select channels.
Incoming Antenna
75 ohm 75 ohm cable to jack
Cable TV _ Converter/ i TV/DVDdescrambler
If you subscribe to a cable TV service in which basic channels are unscrambled and premium channels require the
use of a converter/descrambler box, you may wish to use a signal splitter and an A/B Switch box (available from the
cable company or an electronics supply store). Follow the connections shown below. With the switch in the "B"
position, you can directly tune any nonscrambled channels on your TV/DVD. With the switch in the "A" position, tune
your TV/DVD to the output of the converter/descrambler box (usually channel 3 or 4) and use the converter/
descrambler box to tune scrambled channels.
f
Converter/
Incoming descrambler Antenna
75 ohm 75 ohm cable jack
Cable TV to TV/DVD
A/B switch
14
5Kt0201A [E] (P13-23) 14 20/4/04.15:58

Qnnee#ng to optional equipment
You can enjoy' VCR, camcorder or TV game with connection to external
input. To select the external input, press INPUT SELECT and setect
"LINE1" or "LtNE2" mode.
c_---_ INPUT SELECT
[ c_--:_ GAME
Press INPUT SELECT repeatedly to select the desired mode.
"LINE1", "LINE2" or TV channel will display on the screen for 4 seconds.
{Baek_ (Vront_
Note: In the DVD mode this key will not operate.
o
o
1#
&
o
¢#
÷
Press the INPUT SELECT to select the desired mode to use the TV as a monitor,
Operate your VCR as usual VCR
4: Signal flow
tttToAudioMdeoOUT
Rear of TV/DVD
Audio/Video cable
(not supplied)
IN (L)
_ AUDIO IN (R)
÷
To playback from the camcorder, connect the camcorder to the TV/DVD as shown.
Signalflow comoorder :ot, o:°Tv, ID
___ _ TO Audio/Video OUT VtDEO IN_!uDIO IN
d)_ _'AUDtO IN
_\, Audio/Video cable (not supplied)
(R)
(L)
You can enjoy playing a TV game on the screen by adjusting to suitable brightness for your eyes.
1. Connect a TV Game to the TV/DVD.
2. Press GAME. The GAME mode screen appears.
• This TV/DVD has the GAME mode function (see page 21). Front of TV/DVD
i VIDEO IN _,........ %_°'°_ .....
: Signal flow TVGAME _l
Audio/Video cable (not supplied)l_l _1 "-AUDIO iN (L)
i
Notes:
• You can also change the TV screen to LINE2 by pressing CH +/- buttons.
. The TV/DVD can also be used as a display device for many video games. However, due to the wide variety of different types
of signal generated by these devices and subsequent hook-up variations required, they have not all been included in the
suggested connection diagrams. You'll need to consult each component's Owner's Manual for additional information. 16
5K70201A [E] (P13-23) 15 _ 20/4/04, 15:58

nee#rig to op#onal equipment (Con#nued)
You can enjoy high quality dynamic sounds by connecting the TV/DVD to optional audio equipment.
[] : Front speaker il : Center speaker '
[] : Rear speaker _ : Signal flow
IF] : Sub woofer
Dolby Digital
Dolby Digital is the surround sound technology used in theaters showing the latest movies, and is now available to repro-
duce this realistic effect in the home. You can enjoy motion picture and live concert DVD video discs with this dynamic
realistic sound by connecting the TV/DVD to a 6 channet amplifier equipped with a Dolby Digital decoder or Dolby Digital
processor. If you have a Dotby Surround Pro Logic decoder, you will obtain the full benefit of Pro Logic from the same DVD
movies that provide full 5.f-channel Dotby Digital soundtracks, as well as from titles with the Dolby Surround mark.
Amplifier equipped with a]
Dolby Digital decoder ]
ToCOAX_ALL_ i
type digital
audio input 75 _ coaxial cabIe (not supplied)
"Manufactured under license /
from Dolby Laboratories.|
"Dolby", "Pro Logic", and the /
double-D symbol are trade-|
marks of Dolby Laboratories.J
÷DoJby Surround Pro Logic
You can enjoy the dynamic reaJistic sound of Dolby Surround Pro Logic by connecting an amplifier and speaker system (right
and left front speakers, a center speaker, and one or two rear speakers).
B With an amplifier equipped with Dolby Digital
Connect the equipment the same way as described in 'Connecting to an amplifier equipped with a Dolby Digital decoder."
Refer to that amplifier's owner's manual and set the amplifier so you can enjoy Dotby Surround Pro Logic sound.
m With an amplifier not equipped with Dolby Digital
Connect the equipment as follows.
*El Amplifier equipped with-']
Dolby Surround Pro Logic I
ToCOAXIALL
type digital
audio input l * Connect one or two rear
speakers. The output sound from
the rear speakers will be mort-
75 £-_coaxial cable (not supplied) aural even if you connect two
rear speakers.
Connecting to an amplifier equipped with a DTS decoder
Digita_ Theater Systems (DTS)
DTS is a high quality surround technology used in theaters and new available for home use, on DVD video discs or audio CDs.
If you have a DTS decoder or processor, you can obtain the full benefit of 5.1 channel DTS encoded sound tracks on DVD
video discs or audio CDs.
-q
Amplifier equipped with a I
DTS decoder ]
To COAXIALL__ i
type digital
audio input 75 £2coaxial cable (not supplied)
"DTS" and "DTS Digital Sur- /
round" are trademarks of Dig-]
ital Theater Systems, Inc. J
16
5K 0201A [E] (P13-23) ÷20/4/04.15:58
÷

MPEG2 sound
You can enjoy motion picture and tive concert DVD video discs with dynamic realistic sound by connecting an amplifier
equipped with an MPEG2 audio decoder or MPEG2 audio processor.
_4_ Amplifier equipped with a_nMPEG2 audio decoder I
To COAXtAt
type digital
audio input 75 £_coaxial cable (not supplied)
O
o
¢#
o
¢#
÷
2 channel digital stereo
You can enjoy the dynamic sound of 2 channel digital stereo by connecting an amplifier equipped with a digital audio input
and speaker system (right and left front speakers).
Amplifier equipped with a_
Digital audio input / I 7 I
To COAXIA_
type digital l
audio input _,,_::: 75 _ coaxial cable (not supplied)
Notes:
• DO NOT connect the COAXIAL DIGITAL AUDIO OUT jack of the TV/DVD to the AC-3 RF input of a Dolby Digital Receiver.
This input on your A/V Receiver is reserved for Laserdisc use onty and is incompatible with the COAXIAL DIGITAL AUDtO
OUT jack of the TV/DVD.
• Connect the COAXIAL DIGITAL AUDIO OUT jack of the TV/DVD to the "COAXIAL" input of a Receiver or Processor.
• Refer to the owner's manual of the connected equipment as well.
• When you connect the TV/DVD to other equipment, be sure to turn off the power and unplug all of the equipment from the
wall outlet before making any connections.
• The output sound of the TV/DVD has a wide dynamic range. Be sure to adjust the receiver's volume to a moderate
listening level. Otherwise, the speakers may be damaged by a sudden high volume sound.
• Turn off the amplifier before you connect or disconnect the TV/DVD*s power cord. tf you leave the amplifier power on, the
speakers may be damaged.
÷
17
5K70201A [E] (P13-23) 17 _ 20/4/04, 15:58

÷
r#ng setup
The STARTING SETUP function makes installing your TV/DVD easily. It leads
you the Language selection, TV/CABLE selection and auto channel memory
automatically.
iMPORTANT: Make sure that the antenna or cable TV system connection
is made!
.... <c.e-_ POWER
i
i
ii
CANCEL
•Iv
ENTER
3
Press POWER.
The starting setup function begins and the
Language setup menu appears on the screen.
Press • or •to select your desired
language, then press ENTER.
POWER ENTER
ii_x i ii ii i x
LAN GUAG E/IDIO MAJLANG U E
ESPA_:JOL
FRANCAIS
Press • or • to select "TV" or "CABLE", then
press ENTER.
ENTER
i__i__i_i__iii__iii__i_::ii _
Press • or • to select "START", then press
ENTER.
tf you select "CANCEL" and press ENTER, the
STARTING SETUP stops and changes to the TV
screen.
ENTER
Now the "AUTO CH MEMORY" starts.
After the starting setup is completed, the TV
channel appears on the screen.
Note:
If you press the CANCEL button in the process of
"AUTO CH MEMORY" you can do starting set up
function again.
AUTO CH MEMORY
Note:
The starting setup function will work only when you press the
POWER button for the first time.
÷
18
5K 0201A [E]
(P13-23) 18 _ 20/4/04.15:58

ng the language
This TV/DVD can display the on screen language in English, Spanish or French.
Setect the language you prefer first, then proceed with the other menu
options.
<-'->--_ POWER
ii
ii
ii
}
M E N U
ENTER
i il
÷
Press [vlENU, then press •or • to select
option.
SETUP/MENU
0[ !
LANGUAG E/_DIOMAJLANGUE
ENGLpH
ESPANOL
Press • or • to setect the desired language:
English (ENGUSH), Spanish (ESPANOL) or
French (FRANCAIS), then press ENTER.
A/Y/ENTERJMENU
Press MENU repeatedly until the menu screenis cleared.
SETUP/MENU
0
¢')
6#
÷
Notes:
• If the unit does not operate properly, or No key operation
(by the unit andlor the remote control): Static electricity,
etc., may affect the ptayer's operation. Disconnect the AC
power cord once, then connect it again.
• The TV section has its own menu and also DVD section has
its own menu (see page 37).
19
5K70201A [E] (P13-23) 19 _ 20/4/04, 15:58

c_.e-,_ POWER
0-9
..................... VOL +/-
i.............. i ii
÷
To turn on the TV/DVD, press POWER.
The Power indicator will light.
POWER
-'r%
/1"
Adjust the volume leveJ by pressing VOL + or -.
The volume level wH_ be indicated on the
screen by green bars. As the vo{ume level
increases, so do the number of bars. ff the
volume decreases, the number of green bars
also decreases.
ii i x_i i
VOLUME 32
•@
Set the TViCABLE selection to the appropriate
position. (See page 23.)
TV oVHFiUHF channels
CABLE oCable TV channels
20
5K 0201A [E] (P13-23)
Press direct channel selection (0-9) to selectthe channel
TV mode direct channel selection
When the TV/CABLE selection is in the TV
position, all channels can be instantly selected by
using two buttons. (for example, to select channel
2, press"0' then"2" '
you press onb "2".
channel selection Wl
be dela_ ed for a fe_8
seconds.) For channels
10 and aK)ove _)ress
the 2 dig ts m oroer CH !2 I
CABLE mode direct channel selection
When the TV/CABLE selection is - the CABLE
position, channels can De selected as follows:
TO SELECT Cable TV CHANNELS:
1-9: Press "0" twice znen 1-9 as needed
Exar¢ o_e. to select channel 2. oress
'002"
10-12: Press "0", then the remaining 2 digits.
Example, to select channel 12, press
"012".
13o99: Press the 2 digits in order. Example, to
select channel 36, press "36".
100-125: Press the 3 digits in order. Example, to
select channel 120, press "120".
NOTE FOR CHANNELS 1o12:
If only 1 or 2 buttons are pressed, the corresponding
channel will be selected in 2 seconds.
TV CATV
VHF VHF
2-13 2-13
UHF STD/HRC/IRC
14-69 14-36
(A) (W)
37-59
(AA) (WW)
60-85
(AAA) (ZZZ)
86-94
(86) (94)
95-99
(A-5) (A-l)
100-125
(100) (125)
01
(5A)
Notes:
If a channel with no broadcast is selected, the sound wilt auto-
matically be muted.
If a station being viewed stops broadcasting, the TV will auto-
maticatly shut itself off after 15 minutes.
÷20/4/04.15:58
÷

6 ..... RECALL
il GAME
!
SLEEP
MUTE
_ CH RTN
CH +/=
VOL +/=
i l iil
÷
"m CHANNEL UP/DOWN
Press and release CH + or =. The channel automati-
cally stops at the next channel set into memory.
For proper operation, before selecting channels, they
should be set into the memory. See page 23 "To
memorize channels".
@
[] RECALL
Press RECALL to display the current informations on the
screen. Press RECALL again to clear the display.
, Channel number or external input mode
, Stereo or SAP (Second Audio Program) audio status
• Audio output status [ 1
Ok!ii!iiiii j
[] CH RETURN
This button allows you to go back to the last channel
selected by pressing CH RTN. Press CH RTN again to
return to the last channel you were watching.
ZOOM/CH RTN
0
[] MUTE
Press MUTE to switch off the sound. The TV/DVD's
sound will be silenced and "MUTE" will briefly appear on
the screen. The sound can be switched back on by
pressing this button again or one of VOL +/-.
MUTE
o [ }
[] SLEEP
To set the TV/DVD to turn off after a preset amount of
time, press SLEEP on the remote control. The dock
will count down 10 minutes for each press of SLEEP
(120, 110, ...!0, O). After the sleep time is programme&
the display will appear briefly every ten minutes to
remind you that the sleep timer is operating. To confirm
the sleep timer setting, press SLEEP and the remain-
ing time will be displayed for a few seconds. To cancel
the sleep timer, press SLEEP repeatedly until the
display turns to 0.
SLEEP
(D
[] GAME MODE
i_i_i_i_iii_i_il__i_ii__i_ii__i_ii__i_ii_
1
After connecting a TV Game to the unit, press GAME.
The TV screen changes to the Game mode.
• The Game mode screen is adiusted to the suitable
brightness for your eyes.
• Game timer function: After one hour the Game timer
display will appear every 30 minutes for approx. 5
seconds showing how long the time has passed up
to 4 hours.
• If GAME is pressed during standby mode, the unit
turns on automatically and the Game mode screen
appears on the screen.
GAME
C)
[] HEADPHONES
i/_i__iii__i_ii___i_ii___i_ii___i_ii___i_ii__i
/
Insert a stereo headphones (not supplied) with a 1/8"
mini plug into the PHONES jack on the front panel, if
you connect headphones, the sound from TV speakers
is muted.
21
o
o
÷
5K70201A [E] (P13-23) 21 _ 20/4/04, 15:58

eap#ons
WHAT IS CLOSED CAPTIONING?
This television has the capability to decode and disptay ctosed captioned
television programs. Closed captioning will display text on the screen for
hearing impaired viewers or it will translate and disptay text in another
language.
_ :ii' ,_ii:, _ii _ CLOSED
........... CAPTION
÷
Captions: This closed caption mode will display text on the screen in English or another language (depending
on the setting of the closed captions CH 1/2).
Generally, closed captions in English are transmitted on captions channe! 1 and closed captions in other lan-
guages are transmitted on captions channel 2.
Text: The text closed caption mode wil! usually fill the screen with a programming schedule or other information.
After selecting a closed caption mode, it will stay in effect until it is changed, even if the channel is changed.
If the captions signal is lost due to a commercial or a break in the signal, the captions will reappear when the
signal is received again. If the channels are changed, the captions will be delayed approximately 10 seconds.
The captions will appear in places on the screen where they wil! least interfere with the picture, usually on the
bottom of the screen. News programs will usually show three-line closed captions which scroll onto the screen.
Most other shows provide two or three lined captions placed near the character who is speaking so the viewer
can follow the dialogue. Words in italics or underlined describe titles, words in foreign languages or words
requiring emphasis. Words that are sung usually appear enclosed by musical notes.
For television programs broadcasting with closed captions, look in your TV guide for the closed captions symbol
(CC).
TO VIEW CLOSED CAPTIONS
Press CLOSED CAPTmON to switch between normal TV and the two closed
caption modes (captions and full screen text). C!osed captioning will display text
on the screen for hearing impaired viewers.
CLOSED
CAPTION
0CAPTIONCH1
Notes:
• When selecting ctosed captions, the captioning wilt be delayed approximately 10 seconds.
• If no caption signal is received, no captions witt appear, but the television will remain in the caption mode.
• Misspellings or unusual characters may occasionally appear during closed captioning. This is normal with closed captioning,
especially with live programs. This is because during tive programs, captions are also entered live. These transmissions do not
attow time for editing.
• When captions are being displayed, on-screen displays, such as volume and mute may not be seen or may interfere with closed
captions.
• Some cable systems and copy protection systems may interfere with the closed captioned signal.
• If using an indoor antenna or if TV reception is very poor, the closed caption decoder may not appear or may appear with
strange characters or misspelled words, tn this case, adjust the antenna for better reception or use an outdoor antenna.
÷
22
5K 0201A [E]
(P13-23) 22 _ 20/4/04.15:59

÷
memorize channels
This TV/DVD is equipped with a channel memory feature which allows
channels to skip up or down to the next channei set into memory, skipping over
unwanted channels. Before selecting channels, they must be programmed into
the TV/DVD*s memory. In addition to normal VHF and UHF channels, this TV/
DVD can receive up to 113 Cabte TV channels. To use this TV/DVD with an
antenna, set the TV/CABLE selection to the TV position. When shipped from
the factory, this selection is in the CABLE position.
0-9
MENU
¢;D
i i
i
i i
Press MENU in the TV mode, then press •or
• to select [] option.
SETUP/MENU
O
TV/CABLE _, CABLE
&/V/4/I_/MENU
Press • or • to select "TV/CABLE'.
IikVl_Q'_.q -"11 _IH'_.I=II
AUTO OH MEMORY _"
ADD/DELETE I_
A!Y/4}I_/MENU
Press • or • to select "TV" or "CABLE".
AUTO ON MEMORY I_
&/V/4/I_/MENU
Press MENU repeatedly until the menu screen iscleared.
SETUP/MENU
O
Cab{e TV chart
The chart below is typical of many cable system channel
aflocations.
Number on ths TV
c ......... _r,g Cable TV .......... I 1A4 ;5 1_ 17 18 19 _ _ 212
DDBBAA CC
£_ F}- GG , KK LL MM NN OO QQ RR SS UU VV
59 A_A0A B6_ 62 63 64 65 66 67 68 69 KTK0K 2L 72 78 74 75 76
ww MMMNNN OOO PPP QQQCOC ODD EEE FFF GGG HHH JJJ
UUU VVV WWW XXX YYY 86 87 89 90 I 92 93 94
95 96 97 98 _ !00 101 102 103 104 105 I06 107 108 109 110 111 112
A-5 A-4 A-3 100 101 102 103 104 105 106 107 108 109 110 111 112
113 114 115 116 117 118 119 120 121 122 123 124 125 01
113 114 115 116 11/ 118 119 120 121 122 123 124 125 5A
Press • or • to select the "AUTO CH MEMORY",
then press k.
The TV will begin memorizing all the channels
available in your area.
TV/OABLE _CABLE
ak/V/l_/MENU
To ADD/DELETE channels
Press • or • to select "ADD/DELETE", then
press •.
@
AUTO OH MEMORY
Select the desired channe_ to be added or
deleted using Direct channel selection (0=9) or
CN +!-.
(Z) (Z) C) @
(D G) (D
@(!)@ @
(2)
Press • or • to select "ADD" or "DELETE",
whichever function you want to perform.
0-9/&/V/4/_'/MENU
o
o
23
÷
5K70201A [E] (P13-23) 23 _ 20/4/04, 15:59

÷
the V-Chip
An age limitation can be set to forbid children to watch programs according to
"TV RATING" and "MOVIE RATING" tevel set. To use the V-Chip function,
you must register a password.
Notes:
• tf you forget the password, you cannot set the V-Chip.
• To avoid forgetting the password, write it down and keep in
the safe place.
ES .....................................
il ..............
0-9
_L- MENU
L_) CANCEL
: _ ENTER
i !i
Press MENU, then press •or • to select
option.
SETUPYMENU
0
Press • or •to select "PASSWORD".
Enter the password (4 digits) using Numbered
buttons (0-9}, then press ENTER.
, if you put a wrong number, press CANCEL.
(D (Z) (D
(D (D G:)
(Z) C) (D
(D
ENTER CANCEL
00-9/ENTER/CANCEL/MENU
'_" appears instead of the number.
Enter the same password again for the safety,
then press ENTER.
Now the password was registered and V-Chip
setting menu will appear on the display.
ENTER
iiii il !iiili:iii! (iiiiii )i i:iii
CONF_RM
PAssw0_D ;_
0-9/ENTER/CANCEUMENU
}n the V-CHIP menu, press • or •to select
"CHANGE PASSWORD", then press •.
A/_'_MENU .
Enter the new password using Numbered
buttons (0-9), then press ENTER.
(:D G:) (D
(D (D (D
(D
CHANGR PASSWORD
0-9/ENTER/CANCEL/MEN U
Enter the same password again usingNumbered buttons (0-9) for safety, then press
ENTER,
(D G::)G::) _
CONFIRM
Press MENU repeatedly until the menu screen
is cleared.
SETUP/MENU
0
÷
24
5K 0201A [E]
(P24-27) 24 . 20/4/04.15:59

RECALL
.......... _i_ MENU
ii !ii A/V!<!•
ENTER
÷
mnthe V-CHLP menu, press • or • to select
"VoCHP SET", then press •.
Press • or • to select "TV RATLNG", then
press• or • to display the desired setting.
After setting, press ENTER.
OFF : TV RATING is not set
TVoY : All children
TV-Y/ : 7 years old and above
TV-G : General audience
TVoPG: Parentat guidance
TV-t4 : 14 years old and above
TVoMA: 17 years old and above
When Y°U select T\i° [ _F_o.= F
Y7, TV-PG. TV-14 or
TV-MA, press
RECALL to show the / _
contained rating. [
Press •/• or •/•
to select the desired ,j, ,i_. ENiER,_ENR
item you want.
__ ENTER RECALL
0
@
Press • or • to setect "MOVmE RATmNG".
TV RATING _ TV-Y
,o -, , ®
A/YI_II_IENTER/MENU
Press • or • to se{ect desired rating.
After setting, press ENTER.
A/Y/</I_/ENTER/MENU )
OFF : MOVIE RATING is not set
G : All ages
PG : Parental guidance
PG-13 : Parental guidance
tess than 13 years old
R : Under 17 years old
Parental guidance suggested
NC-17 : 17 years old and above
X : Adult oniy
5Press • or • to select "V-CHIP'.
Press • or • to display "ON".
Now your settings were set into the memory.
Press MENU repeatedly until the menu screen is
cleared.
8ETUPIMENU
0
To use after the TV is protected
When the program applied to the V-Chip setting is received.
enter the password, then press ENTER. Protection can be
canceled.
Note:
The V-Chip function is activated only on programs that have
the rating signal.
<:
o
o
26
÷
5K70201A [E] (P24-27) 25 _ 20/4/04, 15:59

eont ol.dj.stment/
Adjus#ng the pieture preferenee
Picture controls are factory preset but you can adjust them individually as follows:
And also you can select four picture modes--Standard, Sports, Movie, and
Memory--as described in the following table:
C : : : C ¸¸:
5¸¸_ C_
iii
MENU
CANCEL
--A/v/,/•
--ENTER
÷
Press MENU, then press • or • to select []
option.
SETUP,ME.Uo {,_.% /
Puc-ruRE •
AUDIO •
_ _ / P,O-FURE F'REFERENCE I_ /
Press • or • to select "PBCTURE", then press
AUDIO •
PICTURE F'REf;ERENCE •
.;*;•lME"u
Press • or • to select the item you want to
adjust, then press _ or • to adjust the setting.
BRIGHTNESS darker lighter
CONTRAST lower higher
COLOR paler deeper
TINT reddish greenish
SHARPNESS softer sharper
Note:
The CONTRAST default setting is set to maximum
(+32) at the factory.
After your desired setting press MENU
repeatedly until the menu screen is cleared.
SETUPJMENU
O
Press MENU, then press • or • to select []
option.
SETUPYMENU
O
Press • or • to select "PICTURE
PREFERENCE", then press •.
! ¸¸¸¸¸¸¸¸1
t
Press • or • to select the desired picture
mode, then press ENTER.
SPORTS
STANDARD Standard picture quality (factory-set)
SPORTS Bright and dynamic picture (factory-set)
MOVBE Movie-like picture setting (factory-set)
MEMORY Your personal preferences (set by you;
see "Picture control adjustment" as left)
After your desired setting press MENU
repeatedly until the menu screen is cleared.
SETUP]MENU
O
÷
[] To return aH adjustments to the factory preset levels Note:
Press CANCEL while making picture adjustments. You can not setect "PICTURE PREFERENCE" in the Game
mode.
5K 0201A [E] 26(P24-27) ,_. 20/4/94.15:59

÷
nd control adjustment/
Stereo and Seeond Audio Program (SAP)
Sound controls are factory preset but you can adjust them individually as follows:
The TV/DVD is equipped with a feature known as multi-channel TV sound or
MTS. MTS broadcasts greatly enhance TV viewing by bringing you programs
with high fidelity stereo sound.
MTS also provides an extra channel calted the Second Audio Program or SAP
which broadcasters can use to transmit a second language for bilingual transmis-
sion or for other purposes.
Sound::::::::eontroJ:::: adjustment:::::
.... iil
[
AUDIO
MENU
.......... CANCEL
C_ C2>_ A!v!4!•
C)_ ENTER
iii
i/
Press MENU, then press • or • to select []
option. [ 1
o
PICTURE
AUDIO I1_
_ _ / P'CTURE PREFERENCE I_ /
Press • or • to select "AUDIO', then press
CTURE PRE ERENCE _ /
• When the TV is turned on or a channel selection is
made, make certain the "STEREO" appears on the
screen. This means that Stereo broadcasting is avail-
able. You can enjoy stereo sound from the left and
right speakers.
, When mono broadcasting is received, no indication is
displayed.
, if the broadcast signal is not strong enough or clear
stereo sound is not available, press AUDmO to change
to mono sound. The noise should be eliminated. Press
it again to return to the stereo sound.
oo,o [i ERi Hiil]
3Press • or • to select the item you want to
adjust, then press • or • to adjust the setting.
BASS:
C 0 I
/
Press • or • to adjust the bass sound.
TREBLE:
Press • or • to adjust the treble sound.
BALANCE:
Press • or • to obtain an equal sound level from
both speakers.
SURROUND:
Press • or • to select "ON" or "OFF".
ON: The dynamic presence and sound created of-
fers a thoroughly enjoyable listening experience
OFF: Normal sound.
STABLE SOUND :
Press • or • to select "ON" or"OFF".
ON: The Stable Sound feature limits the highest
volume level to prevent extreme changes in
volume when the signal source is changed.
OFF: Normal sound.
After your desired setting press MENU
repeatedly until the menu screen is cteared.
SETUP/MENU
O
mTo return BASS/TREBLE/BALANCE control adjust
ments to the factory preset levems
Press CANCEL while making sound adjustments,
When the TV is turned on or a channel selection is"
made, make certain the SAP appears on the screen.
This means that the Second Audio Program
broadcasting is available.
[!iiii
Press AUDIO to select the desired sound.
AUDIO
(2>
MONO + SAP BROADCASTING
I 1 1(MAIN) _ SAP SOUND
STEREO+SAP BROADCASTING
[ STEREO SOUND ] -I(MA_N) _ SAP SOUND
L MONO SOUND _j
(MAIN)
o
¢#
o
27
÷
5K70201A [E] (P24-27) 27 _ 20/4/04, 15:59

a disc
This section shows you the basics on how to ptay a disc.
CAUTBON
Keep your fingers well clear of the disc tray as it is closing.
Neglecting to do so may cause serious personal injury. 13.556
÷
28
5K 0201A [E]
Preparations:
•Insert the AC cord plug into a standard 120V 6OHz polarized AC outlet. If the AC cord ptug is ptugged in for the first time.
you need to set "Starting setup" (see page 18).
•When connecting to other equipment, turn power off.
Press POWER on the unit or on the remote control
to turn on the unit.
The Power indicator wilt light.
• Every time you press POWER, the TV/DVD starts from
TV mode.
• When using an amplifier, switch on the amplifier.
POWER
/i %
Press TVIDVD to select DVD mode.
The DVD startup screen wilt appear on the screen.
"Reading" display will change to "No Disc". (If DVD
disc has already loaded, playback wilt start automati-
cally.)
Reading
Press OPEN/CLOSE.The disc tray opens.
OPEN CLOSE
±A
I:!
P_ace the disc on the disc tray.
_With the playback
............... side down
• There are two different disc sizes. Place the disc in
the correct guide on the disc tray. tf the disc is out of
the guide, it may damage the disc and cause the unit
to malfunction.
•Do not place a disc which is unplayable on the disc tray.
Press OPEN/CLOSE or PLAY.
The disc tray closes automatically.
o_. 0_0s_ P_ On the TV-screen, "_" changes to
D [7 "Reading" and then playback
OR commences.
Reading
•A menu screen will appear on the TV screen, if
the disc has a menu feature.
Press A/T or _/b,- to select title, then press ENTER
Title is selected and play commences.
Press STOP to end p_ayback.
s_P BResuming facility
• The unit records the stopped point,
l depending on the disc. !w"
appears on the screen. Press
PLAY to resume playback (from
the scene point).
•If you press STOP again or unload
the disc ("U' appears on the
screen.), the unit will ctear the
stopped point.
m To start playback in the stop mode
Press PLAY.
PLAY
D
Note:
If the unit does not operate properly:
Static electricity, etc., may affect the player's operation.
Disconnect the AC power cord once, then connect it again.
÷
(P28-32) 28 _ 20/4/04.16:00

[] To obtain a higher quality picture
Occasionally, some picture noise not usually visible during a normal broadcast
may appear on the TV screen while playing aDVD video disc because the high
resolution pictures on these discs include a lot of information. While the amount of
noise depends on the TV you use with this unit, you should generally reduce the
sharpness adjustment on your TV when viewing DVD video discs.
[] About @,Tp._Gvc_G__
The _t_WcD_ icons on the heading bar show the playable discs for the
function described under that heading.
_EE,D_ : YOU can use this function with DVD video discs.
_-_ : You can use this function with Video CDs.
_c-b_ : You can use this function with Audio CDs and CD-R/RW CDs.
TV/DVD
POWER
OPEN/CLOSE
-- PLAY
-- STOP
-- PAUSE
÷
[] To pause playback (still mode)
Press PAUSE during playback.
PAUSE To resume normal playback, press
C][D PLAY,
* The sound is muted during still
mode.
[] To stop playback
Press STOP.
STOP
[] To remove the disc
Press OPEN/CLOSE.
OPEN/CLOSE
G) Remove the disc after the disc tray
opens completely.
Be sure to press OPEN/CLOSE to close the disc tray
after you remove the disc.
Notes:
•tf a non-compatible disc is toaded, incorrect Disc", 'Region Code Error" or 'Parental Error" witt appear on the TV screen
according to the type of loaded disc. tn this case, check your disc again (see pages 8 and 39).
•Some discs may take a minute or so to start playback.
•When you set a single-faced disc label downwards (ie. the wrong way up) and press the OPEN/CLOSE button or the PLAY
button on the unit, "Reading" witt appear on the display for 30 seconds and then "incorrect Disc" will continue to be displayed.
•Some discs may not work the resuming facility.
•Resuming cannot function when you play a PBC4eatured Video CD white the PBC is on. To turn off the PBC, see page 36.
•Some playback operations of DVDs may be intentionally fixed by software producers. Since this unit plays DVDs according
to the disc contents the software producers designed, some playback features may not be available. Also refer to the
instructions supplied with the DVDs.
•Do not move the unit during playback. Doing so may damage the disc.
•Use the OPEN/CLOSE button to open and close the disc tray. Do not push the disc tray while it is moving. Doing so may
cause the unit to malfunction.
•Do not push up on the disc tray or put any objects other than discs on the disc tray. Doing so may cause the unit to
malfunction.
•tn many instances, a menu screen wilt appear after playback of a movie is completed. Prolonged display of an on-screen
menu may damage your television set, permanently etching that image onto its screen. To avoid this, be sure to press the
POWER button on your remote control once the movie is completed.
•There may be a stight delay between you pressing the button and the function activating.
og
6¢
÷
29
5K70201A [E] (P28-32) 29 _ 20/4/04, 16:00

a disc (continued)
iii _ REV
ii : ii
i _ PLAY
iii _ FWD
SKIP _ /I'M
i_ PAUSE
i, SLOW II /II_
Press REV or FWD during playback.
REV FWD REV: Fast reverse playback
_ FWD: Fast forward playback
Each time you press REW or FWD
button, the playback speed changes.
[] To resume normal playback
Press PLAY.
PLAY
Notes:
• The TV/DVD mutes sound and subtitles during reverse
and forward scan of DVD video discs. However, the TV/
DVD plays sound during fast forward or fast reverse play
of audio CDs.
• The ptayback speed may differ depending on the disc.
÷Press PAUSE during still playback.
PAUSE Each time you press PAUSE, the
picture advances one frame.
[] To resume normal playback
Press PLAY.
PLAY
(SE:)
Note:
The sound is muted during frame by frame playback.
÷
Press SLOW 41 (REVERSE} or Ii_ (FORWARD)
during playback,
SLOW SLOW Each time you press the button, the
_ sLow-motion speed changes,
[] To resume normal playback
Press PLAY.
PLAY
(SE
Notes:
• The sound is muted during slow-motion playback•
• The Video CD can not play Reverse Slow.
Press SKIP 1_141or I,_-i repeatedly to display the chapter or track number you want.
Playback starts from the selected chapter or track.
SKiP TO locate succeeding chapters or
tracks•
SKIP Playback starts from the beginning of
the current chapter or track•
When you press twice in quick successions,
playback starts from the beginning of
the preceding chapter or track.
Notes:
• A "Prohibition" symbol _ may appear at the upper left of the screen. This symbol means either the feature you tried is not
available on the disc, or the TV/DVD can not access the feature at this time. This does not indicate a problem with the TV/DVD.
• The unit is capable of holding a stilt video image or On screen display image on your television screen indefinitely. If you leave
the still video image or On screen display image displayed on your TV for an extended period of time, you risk permanent
damage to your television screen. Projection televisions are very susceptible.
30
5K 0201A [E]
(P28-32) 30 _ 20/4/04.16:00

•_*/_ _!_
mmg/Loea#ng desired scene +RECALL
0-9
CANCEL
C_D ZOOM
CTP ,ENTER
............. JUMP
÷
This unit will allow you to zoom in on the frame image. You can then make selections by switching the position of the
frame.
r
Press ZOOM during playback. Press •/v/4 /• to view a different part of the
frame.
The centre part of the image will be
zoomed in.
Each press of ZOOM will change the
ZOOM O,1 (x 1.3), 0,2 (x 1.5) and 0,3
(x 2.o).
ZOOMICH RTN
0
@_(_ You may move the frame from the
center position to UP, DOWN, LEFT or
RIGHT direction.
_n the zoom mode press ZOOM repeatedly to
return to a 1:1 view (0, Off).
ZOOMICH RTN
(Z>
Notes:
• You can setect the Pause, Slow or Search playback in the zoom mode.
• Some discs may not respond to zoom feature.
desired scene
Use the title, chapter and time recorded on the disc to locate the desired point to play back.
To check the title, chapter and time, press RECALL.
Press JUMP during playback or stop mode.
JUMP
O
Press • or • to select the "Time", "Title" or
"Chapter".
(bQQ
(Z> (23 (Z)
Q
Press Numbered buttons (0=g) to change thenumber.
Title : -T-
Chapter ::2:::::::::::::
• T Enter0-9CanceJump
° If yOU input a wrong number, press
CANCEL.
• Refer to the package supplied with
the disc to check the numbers.
4Press ENTER. Playback starts.
ENTER
0• When you change the title,
playback starts from Chapter 1
of the selected title.
, Some discs may not work in the
above operation.
Note:
tn case of the Video-CD playback with PBC, the JUMP does not work. To turn off PBC, see page _.
31
,<
O
@
O
÷
5K70201A [E] (P28-32) 31 _ 20/4/04, 16:00

÷
eat plqvback/A-g gepeat playback
_:_"_C PLAY
P LAY M ODE
REPEATA=B
ii
Press PLAY MODE during playback or stop
mode.
PLAY MODE
CD
[DVD]
Press 4/_ or ENTER once or twice to select
"Chapter" or "Title".
_ The unit automatically starts repeat
playback after finishing the current title
or chapter.
ENT£R
O
[Audio CD, Video CD]
Press T to select "Repeat".
Press 4;_ or ENTER once or twice to select
"Track" or "All'.
ENTER
0
The unit automatically starts repeat
playback after finishing the current
track.
*If you set the repeat mode during stop mode,
press PLAY to start Repeat playback.
Press PLAY MODE again to make the screen
disappear.
[] To resume normal playback
Select Repeat : "Off" in step 2.
Notes:
• Some discs may not work with the repeat operation.
• In case of Video CD with PBC, repeat functions are prohib-
ited during playback.
A-B repeat playback allows you to repeat material between
two selected points.
/
Press REPEAT A-B during playback.
REPEATA-B The start point is selected.
CC>
Press REPEAT A-B again.
REPSATA-B
CD
The end point is selected. Playback
starts at the point that you selected.
Playback stops at the end point, re=
turns to Point A automatically, then
starts again.
\
[] To resume normal playback
Press REPEAT A-B again.
REPEAT A-B
O "_ Off" appears on the screen.
Notes:
• tn A-B Repeat mode, subtitles near the A or B locations may
not be displayed.
You can not set the A-B Repeat for the scenes that include
multiple angles.
• A-B Repeat playback does not work when Repeat playback is
activated.
• You may not be able to set A-B Repeat, during certain scenes
of the DVD.
• A-B Repeat does not work with an interactive DVD.
• A-B Repeat is prohibited when PBC is on.
÷
32
5K 0201A [E]
(P28-32) 32 _ 20/4/04.16:00

You can arrange the playback order of tracks or files on the disc. And also
the unit selects tracks or files at random and ptayback them. These feature
works for Audio CD and Video CD.
C:}_ ENTER
_' _--_ PLAY MODE
SKIP_
PLAY
÷
r1
2
Press PLAY MODE in the stop mode.
PLAY MODE Play Mode
Repeat : Off
_11,-Av/Entee9ayMode
Press • or •to select P_ay Mode, then press
•/• or ENTER to select "Program".
ENTER Play Mode : Program I
I Repeat : Off I
2 5e-- 8_-- n;--
3--- 6 '-- 9--- i2---
IPr0gramPlaybackI
_11,-AT/Enter/0-9 Cancel/Pay Mode
Press •/• or •/• to select the programming
position. Use Numbered buttons (0=9) to input
the Track or file numbers.
(DO(Z)
(D (D (D
(D (D (D
(D
•To program others, repeat step 3.
If you input a wrong number, press
CANCEL.
Play Mode : Program
Repeat i Off
23.- 5'-- 8--- 1I----
I 41t_.:_lEnteriO-9/Cance]lPlayMode I
Press •/•;• /• to select "Program Playback"and press ENTER.
The programs you selected will start to playback in
the order.
• To resume normal playback, select Play Mode:
"Off" in step 2.
Play Mode : Program ]
Repeat : Off /
311 _ 6 I-- 9--- t2---
I To change the program
1. in the program mode, press A/V/_/_ to select the track
number.
2. Press Number buttons (0-9) to select the track number to
be replaced.
Sl To dear the program one by one
in the program mode, press A/T/',_/_- to select the track
number. Then press CANCEL.
m To dear aHthe programs
in the program mode, press A/T/',_/_- to select "Clear". Then
press ENTER.
Notes:
, tn playing back the Video CD with PBC, you can not set
Program playback.
o The program is cancelled when you open the disc tray or
turn the power off.
Q.
<:
÷
Press PLAY MODE during playback or stop
mode.
PLAY MODE
CD
Press A/_' to select P_ay Mode, then press
41/_ or ENTER to select Random .
Press PLAY.
PLAY
The Random Playback witl start.
• If you set "Random" during playback mode,
Random playback will begin after the track that is
currently being played has ended.
• To resume normal playback, select Play Mode:
"Off" in step 2.
Note:
In playing back the Video CD with PBC, you can not set Random
playback.
33
5K70201A rE] (P33-40) 33 _ 20/4/04, 16:00

angles/Title seledion/DVD menu _- ToPMENU
ANGLE
J- DVD MENU
ENTER
ii
PLAY
ii
When playing back a disc recorded with multi-angle facility, you can change the angle that you are viewing the scene from.
Press ANGLE during playback.
ANGLE The current angle will appear.
O
Note:
Press ANGLE repeatedly until the desired angle
is selected.
ANGLE
0
Depending on the DVD, you may not be able to change the
angles even if multi-angles are recorded on the DVD.
÷Two or more titles are recorded on some discs. If the title menu is recorded on the disc, you can select the desired title.
Press TOP MENU during pmayback.
TOPMENU Title menu appears on the screen.
O
Press A!v/, /It, to select the desired title.
Press ENTER or PLAY.
ENTER The playback of the selected title will
(_ start.
PLAY
QK)
\
Note:
Depending on the DVD, you may not be able to select the title
Depending on the DVD, a "title menu may simply be called a
"menu or "title" in the instructions supplied with the disc
÷
Some DVDs allow you to select the disc contents using the menu.
When you play back these DVDs, you can select the subtitle language and sound-track language, etc. using the menu.
Press DVD _,IENU during p_ayback.
The DVD menu appears on the screen.
DVDMENU
O•Press DVD MENU again to resume
playback at the scene when you
pressed DVD MENU.
Press AIr/, / I_ to select the desired item.
Press ENTER.
another
The menu continues to
ENTER screen. Repeat steps 2 and 3 to set
(_ the item completely.
Note:
Depending on the DVD, you may not be able to resume playback
from the scene point when you pressed the DVD MENU button.
34
5K 0201A [E]
(P33-40) 34 _ 20/4/04.16:00

÷
_angmg souMu"aek language/
Subfides
......:!:ii ¸..........
_iiii_,_i__&__, i i_i
i:............. iii
ft.
L....................c,o°0,°0.ooo0,.oo.,.°0°o0o...........................................s,b,!,,,.
You can select the language when you play a multilingual When playing back a disc recorded with subtitles, you can
disc. select the subtitle language or turn the subtitle off.
r1Press AUDIO during playback.
AUDIO The current soundtrack language will
O appear.
2!8 FraDolbyDigital
Press AUDmO repeatedly until the desired [ano
guage is selected.
AUDIO
0118Eng Dolby Digita!
• The on screen display will disappear after a few
seconds.
[] mncase of Video CD pmayback
Audio type changes as follows each time you press AUDIO.
Notes:
If the desired language is not heard after pressing the
button several times, the language is not recorded on
the disc.
• Changing soundtrack language is cancelled when you
open the disc tray. The initial default language or available
language will be heard if the disc is played back again.
• If you select DTS in playing DTS-encoded disc, no sound
will be heard from the TV/DVD's speakers.
Press SUBTITLE repeatedly during playback until
your desired language appears.
SUBTITLE [ [_ i;8 Eng
o
To turn off the subtitle, press SUBTITLE until
"Off" appears.
SUBTITLE
O [_Off =<
O
1#
• The on screen display will disappear after a "_
few seconds. '<
Notes: o
, Depending on the DVD, you may not be able to change
subtitles, or to turn subtitles on or off.
, While playing a DVD, the subtitle may change when
you open or close the disc tray.
, in some cases, a selected subtitle language may not
be changed immediately.
\
÷
35
5K70201A [E] (P33-40) 35 _ 20/4/04, 16:00

ke p/ayb "status/
.....rao ack/Dtsc
To turn off€he PBC
<_ .............................................RECALL
1
AuD,o
:j .,/•
ENTER
÷
You can turn the voca! on or off recorded on the DVD
KARAOKE,
r
t uring DVD KARAOKE disc playback, pressAUDIO.
The KARAOKE symbol (_) appears.
AUDIO
O
°If you play nomKaraoke disc, the KARAOKE sym-
bol (.j_P) does not appear.
. Some Karaoke discs may not have the vocal on/
off function. In this case, the KARAOKE symbol
(,d_) does not appear.
Press 41 or _ to select "On" or "Off".
On
On : The primary vocal is output when it is
recorded on the disc.
Off : The primary vocal is not output.
•The on screen display will disappear after a
few seconds.
\
Notes:
• The vocal output feature is used during playback of Dolby
Digital (multi-channel) recorded DVD KARAOKE discs. This
feature allows you to turn off vocal audio tracks, or restore
them for background accompaniment.
•When playing Karaoke, connect appropriate audio equipment
such as an amptifier to the TV/DVD.
With each press of RECALL, the status of the disc
wi[[ appear on the screen and change as follows.
RECALL
O
DVD
_t!e 1/99 Chapter1/999_ !/9 I
1/8EngD01byDigital
TO make status display disappear, press RECALL
again.
Video CD
043! 0!!!!_!!
To make status display' disappear, press RECALL
again.
Audio CD
ll" 34:56 71:33
Track11/99
When you playback the CD disc, the status display
will appear on the screen and continue displaying.
t
Press number button 1 in the stop mode, then
press ENTER,
1 ENTER
C) CZ)
÷
36
5K 0201A [E]
(P33-40) 36 _ 20/4/04.16:01

the funedon settings
You can change the default settings to custornize perforrnance to your
preference.
iii], _IE <ii__': 3
.....................SETUP
_@_ ENTER
......................... RETURN
ii
÷
f
Press SETUP during stop mode.
SETUPIMENU The following on=screen display
O appears.
Press _ or _ to select the desired section, then
press _" or ENTER,
ENTER
3
4
Press A or vf to select the desired option.
Change the selection using A/_'/-,q/_ or ENTER,
by referring to the corresponding pages 38 and
39.
_3 _ • Repeat step 3 and 4 to change
other settings.
• Press ,& to select another
ENTER
{_ operation, go back to step 2.
To make SETUP screen disappear, pressSETUP or RETURN.
SETUPIMENU
RETURN
Section Option Details Page
Menu To select the language of 'Menu", "Subtitle" and 'Audio" if
Language Subtitle their languages are recorded onto the disc more than one 38
Audio language.
Tv Screen To select a picture size according to the aspect ratio of your TV. 38
Picture Display To turn on or de-activate the operational status display on the 38
screen.
Sound DRC To select On or Off for DRC (Dynamic Range Control). 39
Parental Password Input 4-digit password to set the parental level. 39
Parental To select a preferred parental level for the parental setting.
Other 39
OSD language To select a preferred language for on screen display.
)
37
5K70201A [E] (P33-40) 37 _ 20/4/04, 16:01

÷
Setting details
ilil ilil ilil ilil ilil ilil ilil ilil ilil ilil ilil ilil ilil ilil ilil ilil ilil ilil ilil ilil ilil ilil ilil ilil ilil ilil ilil ilil ilil ilil ilil il
Language @:_ Pic_ur_So!nd £a[eota! Qther
Audio English EspanOlOther
411_,I_TEn erse upRe um
[] Menu, Subtitle, Audio
You can select the language of "Menu", "Subtitle" and
"Audio" if more than one languages are recorded onto
the disc.
English, Francais, Espanol:
The selected language will be heard or seen.
Other:
Other language can be selected (see the "Language
cede list" on page 41 ).
Original: (Audio)
The unit will select the first priority language of each
disc.
Automatic: (Subtitle)
The unit will automatically select the same
language in the AUDIO setting.
When the unit selects the same language as
the AUDIO, the subtitles will not appear during
playback.
When you do not use the same language as
[] Tv Screen
You have the following screen sizes to choose from:
4:3 _ Letter box:
Select this mode when connecting to a conventional TV.
When playing back a wide screen-DVD disc, it displays
the wide picture with black bands at the top and bottom
of screen.
4:3 ril Pan scan:
tt displays the wide picture on the whole screen with left
and right edges automatically cut off.
16:9 I--'1 Wide:
Select this mode when connecting to a wide-screen TV.
A wide screen picture is displayed full size.
Note:
If the DVD disc is not formatted in the pan & scan style, it
displays 4:3 style.
[] Display
On screen display can be switched on or off when you
the AUDIO, the subtitles will appear during
playback.
Off: (Subtitle)
Subtitles do not appear.
Note:
press the buttons.
On: On screen displays appear when you press the
buttons (factory setting).
Off: On screen displays do not appear when you
press any buttons.
tf the setected language is not recorded on the disc, the
first-priority language is selected.
÷
38
5K 0201A [E]
(P33-40) 38 _ 20/4/04.16:01

the netion Settings (eonfinued)
÷
Setting details
Sound
[] DRC
DRC (Dynamic Range Control) enables you to control
the dynamic range so as to achieve a suitable sound for
your equipment.
On: Loud sound such as explosion or similar is toned
down slightly when played back. This makes it
suitable for when it is connected to a stereo.
Off: It plays back at the recording level on the disc.
Notes:
• This function works only during playback of Dolby Digital
recorded discs.
•The level of Dynamic Range Reduction may differ
depending on DVD video disc.
Parenta_
Parental control setting
Some discs are specified not suitable for children.
Such discs can be limited not to play back with the unit.
!) Press ,& or _' to select "Parental", then press
or _- until the level you require appears.
•Level Off: The parental control setting does not
function.
•Level 8: All DVD software can be played back.
oLevel 1: DVD software for adults cannot be
played back.
Select from the level 1 to level 8. The limitation will
be more severe as the level number is lower.
2) Press ,& or _' to select "Password".
Press Number buttons (0-9) to input a 4-digit
password. Be sure to remember this number!
o[f you input a wrong number, press CANCEL.
3) Press ENTER to store the password.
Note: Now the rating is locked and the setting can
not be changed unless you enter the correct pass
word.
Notes:
* Depending on the discs, the unit cannot timit playback.
,Some discs may not be encoded with specific rating
level information though its disc jacket says "adulh" For
those discs, the age restriction will not work.
To change the parental level
1) Press ,A or _' to select "Password".
2) Press Number buttons (0-9) to enter the password
you have stored.
3) Press ENTER.
oThe rating is now unlocked.
4) Press ,& or _' to select "Parental", then press
or _ to change the parental level.
5) Press ,& or _' to select "Password", then press
Number buttons (0=9) to enter the password.
Note: You can change the password if you want.
6) Press ENTER.
Now the parental level is changed and locked.
If you forget the password...
1. Press OPEN/CLOSE to open the disc tray.
2. Remove the disc.
3. Press OPEN/CLOSE again to close the disc tray.
"No Disc" appears on the screen.
4. While holding STOP down on the front panel, press 7
on the remote control. "PASSWORD CLEAR" appears
on the screen.
5. Enter a new password again.
Notes:
• Depending on the discs, the unit may not be able to limit
playback.
• Some discs may not be encoded with specific rating level
information though its disc jacket says "adult."
For those discs, the parental controt feature will not work.
Other !anguag_Pic!u:eS0_n!_[enta__ 1
OSDLanguage I
Espan01
_11_*T/Enter/SetuP/Return
[] OSD Language
The setup language can be selected.
EngJish: To display OSD language is English.
Francais: To display OSD language is Francais.
Espanol: To display OSD language is Espanol.
Note:
If each setup (pages 38 and 39) has been completed, the unit
can a_ways be worked under the same conditions (espe-
cially with DVD discs}.
Each setup will be retained in the memory even if you turn
the power off.
39
5K70201A [E] (P33-40) 39 _ 20/4/04, 16:01

÷
orary disabling of ra#ng level by DVD disc
Depending on the DVD disc, the disc may try to temporarily cancel the rating
level that you have set.
it is up to you to decide whether to cancel the rating level or not.
Q Q @ <11
<x _ , <,
........C_
i ¸ _T_
--0=9
--OPEN/CLOSE
--A/V
-- ENTER
RETURN
-- PLAY
r
t oad aDVD disc and press PLAY or OPEN/
CLOSE on the unit (see page 28).
3
PLAY
OPEN/CLOSE
Q
ffthe DVD disc has been designed to temporarily
cancel the Rating level, the screen which follows
the "Reading" screen will change, depending on
which disc is played. If you select "YES" with the
ENTER key, "Your disc exceeds the parental
contro_ _eve[#/' screen will then appear.
Reading Yourdisc exceeds
the parentalcon!rol!eve!#:
CancelPicture
,0,v EnerReum
If you wish to ¢anset the set rating level temporarily,
select "Parental Control Level" with • or 'V', then
press ENTER. mfthe 4-digit password at step 2 on
page 39 has been set, the password entering
screen wi[[ appear as shown in step 4.
Alternatively, if the password has not been set,
playback wiII commence, mfyou don't know (or have
forgotten) the password, select "Cancel Picture".
The setting screen will disappear. Press OPEN/
CLOSE to remove the disc.
ENTER
CD
OPENiCLOSE
(D
Enter the password with number buttons (0=9).
Then press ENTER,
d:) <:b Q
(:_QQ
ENTER
RETURN
CD
If you interrupt the entering, press
RETURN.
l P,00se 0ter,heI
4:@tp_Ss',ord I
1
5 tayback will commence if the entered
password was correct.
Note:
This temporary cancellation of rating level wilt be kept until the
disc is ejected.
When the disc is ejected, the original rating level will be set again
automatically.
÷
40
5K 0201A [E]
(P33-40) 40 _ 20/4/04.16:01

÷
L nguage code #st
Enter the appropriate code number for the imttal settings "Menu", 'Subtitle" and/or "Audio" (see pages 38).
sanguage NameCode Language Name Code Language NameCode Language Name Code
a,bkhazian 1112 Fiji 1620 Lingala 2224 Singhalese 2919
Afar 1111 Finnish 1619 Lithuanian 2230 Slovak 2921
Afrikaans 1116 French 1628 Macedonian 2321 Slovenian 2922
Albanian 2927 Frisian 1635 Malagasy 2317 Somali 2925
Amharic 1123 Galician 1722 Malay 2329 Spanish 1529
Arabic 1128 Georgian 2111 Malayalam 2322 Sundanese 2931
Armenian 1835 German 1415 Maltese 2330 Swahili 2933
Assamese 1129 Greek 1522 Maod 2319 Swedish 2932
Aymara 1135 Greenlandic 2122 Marathi 2328 Tagalog 3022
Azerbaijani 1136 Guarani 1724 Moldavian 2325 Tajik 3017
Bashkir 1211 Gujarati 1731 Mongolian 2324 Tamil 3011
Basque 1531 Hausa 1811 Nauru 2411 Tatar 3030
Bengali; Bangla 1224 Hebrew 1933 Nepali 2415 Telugu 3015
Bhutani 1436 Hindi 1819 Norwegian 2425 Thai 3018
Bihari 1218 Hungarian 1831 Oriya 2528 Tibetan 1225
Breton 1228 Icelandic 1929 Panjabi 2611 Tigdnya 3019
Bulgarian 1217 Indonesian 1924 Pashto, Pushto 2629 Tonga 3025
Burmese 2335 Interlingua 1911 Persian 1611 Turkish 3028
Byelorussian 1215 Irish 1711 Polish 2622 Turkmen 3021
3ambodian 2123 Italian 1930 Portuguese 2630 Twi 3033
3atalan 1311 Japanese 2011 Quechua 2731 Ukrainian 3121
3hinese 3618 Javanese 2033 Rhaeto-Romance2823 Urdu 3128
3orsican 1325 Kannada 2124 Romanian 2825 Uzbek 3136
3roatian 1828 Kashmid 2129 Russian 2831 Vietnamese 3219
3zech 1329 Kazakh 2121 Samoan 2923 VolapQk 3225
Danish 1411 Kirghiz 2135 Sanskrit 2911 Welsh 1335
Dutch 2422 Korean 2125 Scots Gaelic 1714 Wolof 3325
English 1524 Kurdish 2131 Serbian 2928 Xhosa 3418
Esperanto 1525 Laothian 2225 Serbo-Croatian 2918 Yiddish 2019
Estonian 1530 Latin 2211 Shona 2924 Yoruba 3525
Faroese 1625 Latvian, Lettish 2232 Sindhi 2914 Zulu 3631
o
÷
41
5K70201A [E] (P41-45) 41 _ 20/4/04, 16:01

blems and troHbleshoeting
÷
Use the fo!lowing check !ist for troub!eshooting when you have problems with your unit. Consult your !oca! dealer
or service out!et if problems persist.
Be sure a!l connections are propedy made when using with other units.
I - I "
_' SYMPTOMS POSSIBLE SOLUTIONS PAGE
POWER
• Make sure the power cord is p!ugged in.
TV/DVD does not operate. • Try another AC outlet, 5
• Power is off, check fuse or circuit breaker.
• Unplug unit, then plug it back in.
TV BROADCAST RECEPTION
Poor sound or No sound.
Poor picture or No picture.
Poor reception on some channe!s.
Poor color or no colon
Picture wobbles or drifts.
No CATV reception.
Horizontal or diagonal bars on
screen.
No reception above channe! 13,
TV shuts off.
Closed - Caption is not activated.
• Station or Cable TV experiencing prob!ems, tune to another station 14
• Check Vo!ume adjustments. 20
• Check for sources of possible interference. 44
• Station or Cable TV experiencing problems, tune to another station. 14
• Check antenna or Cable TV connections, reorient antenna. 14
• Check for sources of possible interference. 44
• Check picture control adjustments. 26
• Station or Cable TV experiencing problems, tune to another station, 14
• Station signal is weak, reorient antenna to receive weaker station 13,14
• Check for sources of possib!e interference. 44
• Station or Cable TV experiencing problems, tune to another station. 14
• Make sure channels are set into memory. 23
• Check picture control adjustments. 26
• Check antenna or Cable TV connections, reorient antenna. 14
• Check for sources of possib!e interference. 44
• Station or Cable TV experiencing prob!ems, tune to another station. 14
• Make sure channels are set into memory. 23
• CaNe TV company is scrambling signal.
• Check antenna orientation. 13
• Check a!l CaNe TV connections. 14
• Set TV/CABLE se!ection to the CABLE position. 23
• Station or Cable TV system prob!ems, try another station. 20
• Check antenna connections, reorient antenna. 13,14
• Check for sources of possib!e interference. 44
• Make sure TV/CABLE se!ection is in the appropriate position. 23
• If using antenna, check UHF antenna connections. 13
• No broadcast on station tuned. 23
• Sleep Timer is set. 21
• Power interrupted.
•TV station experiencing prob!ems or program tuned is not c!osed 20
captioned. Try another channel.
•Check Cable TV connection or VHF/UHF antenna, reposition or 13,14
rotate antenna.
•Press CLOSED CAPT!ON button to turn on the c!osed caption 22
decoder.
Display is not shown in your
i
!anguage. • Se!ect proper !anguage in the menu options. 19
÷
42
5K 0201A [E] (P41-45)
42 _ 20/4/04.16:01

÷
r SYMPTOMS POSSIBLE SOLUTIONS
DVD
• No disc is inserted. 28
Playback doesn't start. • The disc may be dirty. Clean up the disc. 7
• The unit cannot play CD-ROMs, etc. 8
No picture. • TV/DVD selector is not set correctly. 28
• Check the input selector of the amplifier is set properly.
No sound. • The unit is in the special playback mode. 30
• Select the correct Audio Output position on AV amplifier. 15
Picture is distorted during fast • The picture will be distorted occasionally.
reverse/forward playback.
Stopping playback, search, slow- • Some discs may not do some of the functions.
motion play, repeat play, or
program play, etc. cannot be
performed.
No 4:3 (16:9) picture. • Select appropriate screen size. 38
No on-screen display. • Select Display On. 38
No surround sound. • The setup does not match your stereo system. 15
The unit or remote operation key • Turn off the unit and unplug the AC power cord for several min-
is not functioning, utes, then replug it.
Playback does not start when the • Check the RATING LEVEL setup. 39
title is selected.
Audio soundtrack and/or subtitle • Multilingual language is not recorded on the DVD disc.
language is not changed when 35
you play back a DVD.
• Some discs have no subtitles,
No subtitle. 35
• Subtitles are cleared. Press the SUBTITLE button.
Angle cannot be changed. • Multi-angles are not recorded on the DVD disc. 34
" '_' " appears on the screen. • The function is prohibited with the unit or the disc. 30
REMOTE CONTROL
The remote control does not • Aim at the remote control at the remote sensor,
function. • Operate within approx. 5 meters or reduce the light in the room.
• Clear the path of the beam. 12
• The batteries are weak, Replace the batteries.
o Check the batteries are inserted correctly.
9
÷
43
5K70201A [E] (P41-45) 43 _ 20/4/04, 16:01

eUion disturbances
Most types of temevision interference can be remedied by adjusting the height and position of the VHF/UHF
antenna. Outdoor antennas are recommended for best resumts. The most common types of television
interference are shown below. If one of these symptoms appear when the TV/DVD is connected to a Cable
TV system, the disturbance may be caused by the local Cable TV company broadcast.
GN _T_ON
Black spots or horizontal streaks may appear, the picture may flutter or
drift. Usually caused by interference from automobile ignition systems,
neon lamps or AC powered tools and appliances such as drills or hair
dryers.
GHOSTS
Ghosts are caused by the television signal following two paths. One is
the direct path and the other is reflected by tall buildings, hills or other
large objects. Changing the direction or position of the antenna may
improve the reception.
÷SNOW
If the TV/DVD is located far from the TV station, in a fringe reception
area where the signal is weak, small dots may appear in the picture.
If the signal is extremely weak, the installation of a larger external
antenna may be necessary.
÷
RADIO FREQUENCY iNTERFERENCE (RF0
Caused by two-way radios, this type of interference produces moving
ripples or diagonal streaks in the picture. Some cases may cause a
loss of contrast in the picture. Changing the direction and position of
the antenna or installing an RFI filter may improve the picture.
P_CTURE S_ZE VARiATiON
A slight picture size variation is normal when you adjust the CONTRAST
or BRIGHTNESS settings.
J
CARE AND MAmNTENANCE
To prevent fire or shock hazard, disconnect the TV/DVD from the power source before cleaning.
The finish on the cabinet may be cleaned with mild soap and a soft, damp cloth and cared for as other furniture.
Use caution when cleaning or wiping the plastic parts.
1°
5K 0201A [E] 44(P41-45) _.. 20/4/04.16:01

÷
Genera[
Power supply
Power consumption
Picture tube
Speaker
Audio output power
Weight
Dimensions
AC 120 V60 Hz
Operation: 1!5 W, Stand by: 4 W
Type 20 (508 mm diagona!)
1-13/16 x 3-7/8 inches (46 x 99 ram), 8 ohm x 2
5W+5W
55.1 Ibs (25.0 kg)
Width: 22-5/8 inches (574 mm)
Height: 20-1/4 inches (514.5 mm)
Depth: 18-15/16 inches (481.5 ram)
Tuner 181 channel freq. synthesized
VHF 2-13
UHF 14-69
CATV 125 Channels
Antenna input UHF/VHF: 75 _zcoaxial
Applicable disc DVD (!2 cm, 8 cm), CD (12 cm, 8 cm)
Frequency range DVD: 4 Hz-22 kHz, CD: 4 Hz-20 kHz
Operating conditions Temperature: 5°C-40 C (41 _F-104°F), Operating status: Horizontal
Input/Output
Video input 1.0 V (p-p), 75 _z, negative sync., pin jack x 2
Audio input -8 dBm, 50 k_z, negative sync., pin jack (L/R) x 2
Audio output (DIGITAL COAXIAL) 0.5 V (p-p), 75 _z, pin jack x 1
Supplied accessories
Remote control (DC-FN20S) ................................ 1
Batteries (AAA) ..................................................... 2
300-75 _ matching transformer ............................ 1
• Designs and specifications are subject to change without notice.
o
÷
45
5K70201A [E] (P41-45) 45 _ 20/4/04, 16:01

÷
÷
\ Lg ttea warranty
Toshiba America Consumer Products, LLC. ("TACP") makes the following limited warranties. These limited
warranties extend to the origina! consumer purchaser or any person receiving this set as a gift from the
original consumer purchaser and to no other purchaser or transferee.
Limited Ninety (90) Day Warranty
TACP warrants this product and its parts against defects in materials or workmanship for a period of ninety
(90) days after the date of original retail purchase. During this period, TACP will repair a defective product or
part, without charge to you. You must deliver the entire set to an Authorized TACP Service Station. You pay for
all transportation and insurance charges for the set to and from the Service Station.
Limited One (1) Year Warranty
TACP further warrants the parts in this product against defects in materials or workmanship for a period of one
year after the date of original retail purchase. During this period TACP will replace a defective part without
charge to you, except that if a defective part is replaced after ninety (90) days from the date of original retail
purchase you pay labor charges involved in the replacement. You must also deliver the entire product to a
TACP Authorized Service Station. You are responsible for al! transportation for the set to and from the Service
Station.
Limited Two (2) Year Warranty of Picture Tube
TACP further warrants the picture tube in this product against defects in materials or workmanship for a period
of two (2) years after the date of original retail purchase. During this period, TACP will replace a defective
picture tube without charge to you except that if a defective picture tube is replaced after ninety (90) days from
the date of the original retail purchase, you pay labor charges involved in the replacement. You are respon=
sible for all charges involved in the replacement. You are responsible for all transportation and insurance
charges for the set to and from the Service Station.
Rentat Units
The warranty for rental units begins with the first rental or thirty (30) days from the date of shipment to the
rental firm, whichever comes first,
Commercial Units
Products sold and used for commercial use have a limited ninety (90) day warranty for all parts, labor and picture
tube.
Owner's Manual and Demographic Card
You should read this owner's manual thoroughly before operating this product. You should complete and mail
the enclosed Demographic card within ten days after you, or the person who has given you this product as a
gift, purchased this product. This is one way to enable TACP to provide you with better customer service and
improved products. Failure to return the Demographic card will not affect your rights under this warranty.
Your Responsibility
The above warranties are subject to the following conditions:
( 1 ) You must retain your bill of sale or provide other proof of purchase.
( 2 ) All warranty servicing of this product must be made by an Authorized TACP Service Station.
( 3 ) These warranties are effective only if the product is purchased and operated in the U.S.A. or Puerto
Rico_
( 4 ) Labor service charges for set installation, set up, adjustment of customer controls and installation or
repair of antenna systems are not covered by this warranty. Reception problems caused by inadequate
antenna systems are your responsibility.
( 5 ) Warranties extend only to defects in materials or workmanship as limited above and do not extend to any
product or parts which have been lost or discarded by you or to damage to products or parts caused by
misuse, accident, damage caused by Acts of God, such as lightning or fluctuations in electric power,
improper installation, improper maintenance or use in violation of instructions furnished by us; or to units
which have been altered or modified without authorization of TACP.
÷
46
5K 0201A [E]
(P46-Back) 46 _ 20/4/04.16:01

÷
How to Obtain Warranty Service
If after following all of the operating instructions in this manual and checking the section "Problems and
troubleshooting" and you still find that service is needed;
( 1 ) Call the TACP toll free number 1o800o631o3811 after you find a defective product or part to find
the nearest Toshiba Authorized Service Station.
( 2 ) Please present your bill of sale or other proof to the Authorized Service Station.
'TACP Authorized Service Station personnel will come to your home when warranty service is
require& Depending on the type of repair required, the service will either be performed in your
home or the set will be taken to the TACPAuthorized Service Station for repair and returned to your
home at no cost to you".
mnthe Continental United States contact:
Toll Free
1-800-631-3811
÷All warranties implied by state law, including the implied warranties of merchantability and fitness for a particular
purpose, are expressly limited to the duration of the limited warranties set forth above. With the exception of
any warranties implied by state law as hereby limited, the foregoing warranty is exclusive and in lieu of ai! other
warranties, guarantees, agreements and similar obligations of manufacturer or seller with respect to the repair
or replacement of any parts. In no event shall TACP be liable for consequential or incidental damages.
No person, agent, distributor, dealer or company is authorized to change, modify or extend the terms of these
warranties in any manner whatsoever. The time within which action must be commenced to enforce any
obligation of TACP arising under this warranty or under any statute, or law of the United States or any state
thereof, is here by limited to 90 days from the date you discover or should have discovered, the defect. This
limitation does not apply to implied warranties arising under state law.
This warranty gives you specific legal rights and you may also have other rights which may vary from state to
state. Some states do not allow limitation on how long an implied warranty lasts, when an action may be
brought, or the exclusion or limitation of incidental or consequential damages, so the above provisions may not
apply to you.
'_'_ TTENTION CANADIAN CONSUMERS:
Canadian consumers are requested to complete the special Canadian "Warranty Registration
Form" enclosed, and forward this completed form with a copy of bill of sale to TOSHIBA OF
CANADA to "Register and Validate" their warranty.
Products purchased in the U.SA. and used in Canada are not covered by these warranties.
Products purchased in Canada and used in the U.S.A. are not covered by these warranties.
Rev. 09o01o98
o
÷
47
5K70201A [E] (P46-Back) 47 _ 20/4/04, 16:01

÷
÷ ÷
TOSHIBA
IIIIIIIIIIIIIIIIIIIIIIIIIIIIIIIIIIIIIIIIII
*J5K70201A*
04/02 []
5K70201A [E] (P46-Back) 48 _ 20/4/04.16:01