Teledyne T320 Users Manual
t320u to the manual 143577a8-6851-4124-b1df-dcd55bb6005b
2015-02-03
: Teledyne Teledyne-T320-Users-Manual-464432 teledyne-t320-users-manual-464432 teledyne pdf
Open the PDF directly: View PDF
.
Page Count: 426 [warning: Documents this large are best viewed by clicking the View PDF Link!]
- 1. INTRODUCTION, FEATURES AND OPTIONS
- 2. SPECIFICATIONS AND APPROVALS
- 3. GETTING STARTED
- 3.1. UNPACKING THE T300/T300M ANALYZER
- 3.2. INSTRUMENT LAYOUT
- 3.3. CONNECTIONS AND SETUP
- 3.3.1. ELECTRICAL CONNECTIONS
- 3.3.1.1. CONNECTING POWER
- 3.3.1.2. CONNECTING ANALOG INPUTS (OPTION)
- 3.3.1.3. CONNECTING ANALOG OUTPUTS
- 3.3.1.4. CURRENT LOOP ANALOG OUTPUTS (OPTION 41) SETUP
- 3.3.1.5. CONNECTING THE STATUS OUTPUTS
- 3.3.1.6. CONNECTING THE CONTROL INPUTS
- 3.3.1.7. CONNECTING THE CONCENTRATION ALARM RELAY (OPTION 61)
- 3.3.1.8. CONNECTING THE COMMUNICATION INTERFACES
- 3.3.2. PNEUMATIC CONNECTIONS
- 3.3.2.1. PNEUMATIC CONNECTIONS FOR BASIC CONFIGURATION
- 3.3.2.2. PNEUMATIC LAYOUT FOR BASIC CONFIGURATION
- 3.3.2.3. PNEUMATIC CONNECTIONS FOR AMBIENT ZERO/AMBIENT SPAN VALVE OPTION
- 3.3.2.4. PNEUMATIC LAYOUT FOR AMBIENT ZERO/AMBIENT SPAN VALVE OPTION
- 3.3.2.5. PNEUMATIC CONNECTIONS FOR AMBIENT ZERO/PRESSURIZED SPAN
- 3.3.2.6. PNEUMATIC LAYOUT FOR AMBIENT ZERO/PRESSURIZED SPAN OPTION
- 3.3.2.7. PNEUMATIC CONNECTIONS FOR ZERO SCRUBBER/PRESSURIZED SPAN OPTION
- 3.3.2.8. PNEUMATIC LAYOUT FOR ZERO SCRUBBER/PRESSURIZED SPAN OPTION
- 3.3.2.9. PNEUMATIC CONNECTIONS FOR ZERO SCRUBBER/AMBIENT SPAN OPTION
- 3.3.2.10. PNEUMATIC LAYOUT FOR ZERO SCRUBBER/ AMBIENT SPAN OPTION
- 3.3.2.11. CALIBRATION GASES
- 3.3.1. ELECTRICAL CONNECTIONS
- 3.4. STARTUP, FUNCTIONAL CHECKS, AND INITIAL CALIBRATION
- 4. OVERVIEW OF OPERATING MODES
- 5. SETUP MENU
- 5.1. SETUP ( CFG: CONFIGURATION INFORMATION
- 5.2. SETUP ( ACAL: AUTOMATIC CALIBRATION
- 5.3. SETUP (DAS: INTERNAL DATA ACQUISITION SYSTEM
- 5.4. SETUP ( RNGE: ANALOG OUTPUT REPORTING RANGE CONFIGURATION
- 5.5. SETUP ( PASS: PASSWORD PROTECTION
- 5.6. SETUP ( CLK: SETTING THE INTERNAL TIME-OF-DAY CLOCK AND ADJUSTING SPEED
- 5.7. SETUP (COMM: COMMUNICATIONS PORTS
- 5.8. SETUP (VARS: VARIABLES SETUP AND DEFINITION
- 5.9. SETUP (DIAG: DIAGNOSTICS FUNCTIONS
- 5.9.1. SIGNAL I/O
- 5.9.2. ANALOG OUTPUT
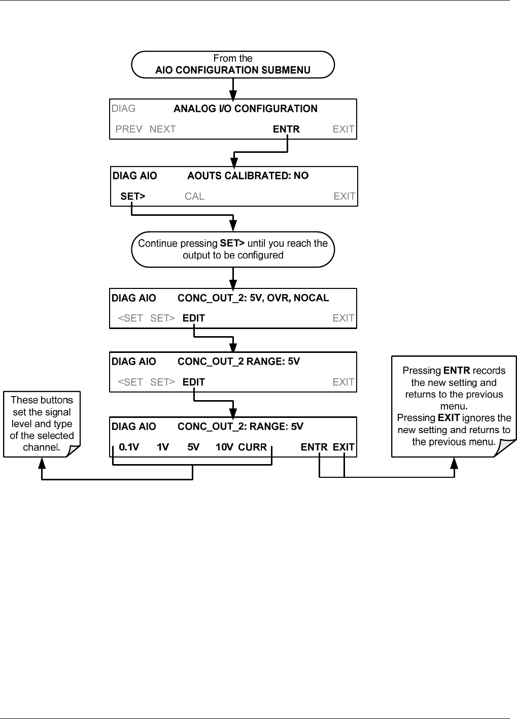
- 5.9.3. ANALOG I/O CONFIGURATION
- 5.9.3.1. ANALOG OUTPUT VOLTAGE / CURRENT RANGE SELECTION
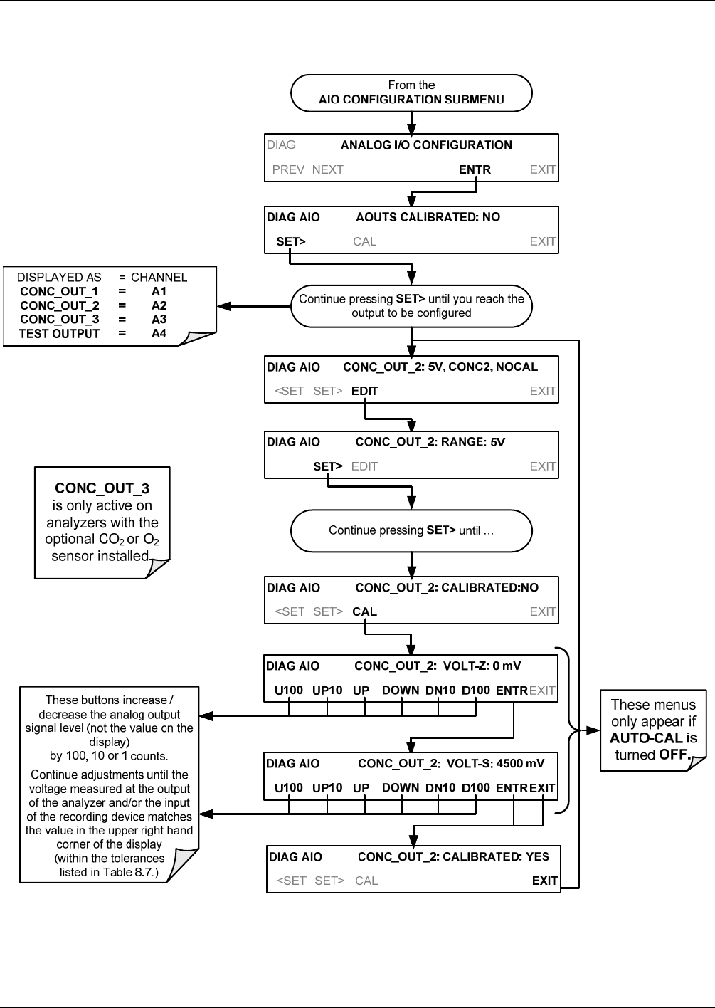
- 5.9.3.2. ANALOG OUTPUT CALIBRATION
- 5.9.3.3. ENABLING OR DISABLING THE AUTOCAL FOR AN INDIVIDUAL ANALOG OUTPUT
- 5.9.3.4. AUTOMATIC CALIBRATION OF THE ANALOG OUTPUTS
- 5.9.3.5. INDIVIDUAL CALIBRATION OF THE ANALOG OUTPUTS
- 5.9.3.6. MANUAL CALIBRATION OF THE ANALOG OUTPUTS CONFIGURED FOR VOLTAGE RANGES
- 5.9.3.7. MANUAL ADJUSTMENT OF CURRENT LOOP OUTPUT SPAN AND OFFSET
- 5.9.3.8. TURNING AN ANALOG OUTPUT OVER-RANGE FEATURE ON/OFF
- 5.9.3.9. ADDING A RECORDER OFFSET TO AN ANALOG OUTPUT
- 5.9.3.10. AIN CALIBRATION
- 5.9.3.11. ANALOG INPUTS (XIN1…XIN8) OPTION CONFIGURATION
- 5.9.4. ELECTRICAL TEST
- 5.9.5. DARK CALIBRATION
- 5.9.6. PRESSURE CALIBRATION
- 5.9.7. FLOW CALIBRATION
- 5.9.8. TEST CHAN OUTPUT
- 5.10. SETUP (MORE ( ALRM (OPTION): USING THE GAS CONCENTRATION ALARMS
- 6. COMMUNICATIONS SETUP AND OPERATION
- 7. DATA ACQUISITION SYSTEM (DAS) AND APICOM
- 7.1. DAS STRUCTURE
- 7.1.1. DAS DATA CHANNELS
- 7.1.2. DEFAULT DAS CHANNELS
- 7.1.3. VIEWING DAS CHANNELS AND INDIVIDUAL RECORDS
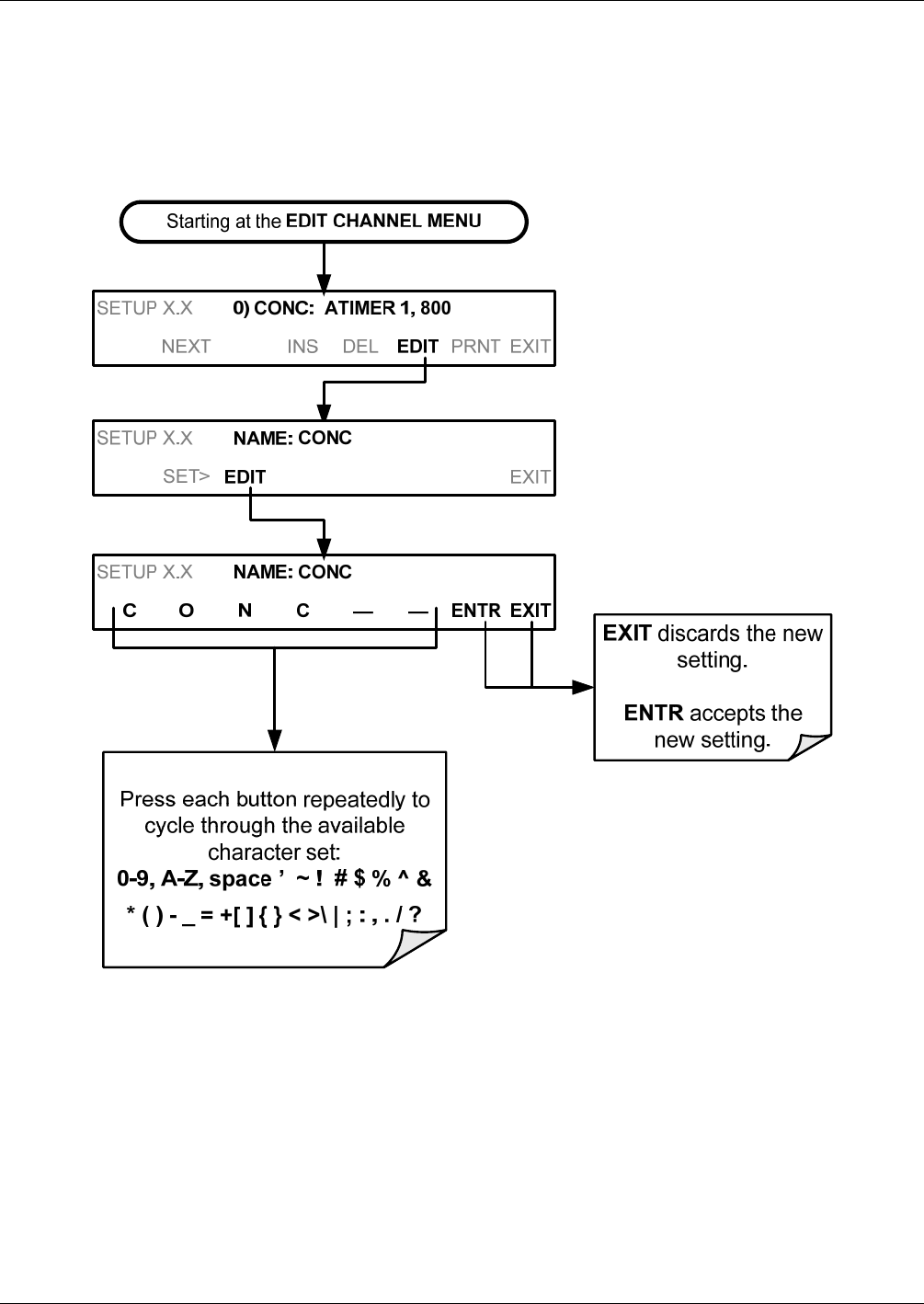
- 7.1.4. EDITING DAS CHANNELS
- 7.1.5. EDITING DAS TRIGGERING EVENTS
- 7.1.6. EDITING DAS PARAMETERS
- 7.1.7. SAMPLE PERIOD AND REPORT PERIOD
- 7.1.8. NUMBER OF RECORDS
- 7.1.9. RS-232 REPORT FUNCTION
- 7.1.10. DISABLING/ENABLING DATA CHANNELS
- 7.1.11. HOLDOFF FEATURE
- 7.2. REMOTE DAS CONFIGURATION
- 7.1. DAS STRUCTURE
- 8. REMOTE OPERATION
- 9. CALIBRATION PROCEDURES
- 9.1. CALIBRATION PREPARATIONS
- 9.2. MANUAL CALIBRATION
- 9.3. MANUAL CALIBRATION WITH ZERO/SPAN VALVES
- 9.4. AUTOMATIC ZERO/SPAN CAL/CHECK (AUTOCAL)
- 9.5. CO CALIBRATION QUALITY
- 9.6. CALIBRATION OF THE T300/T300M’S ELECTRONIC SUBSYSTEMS
- 9.7. CALIBRATION OF OPTIONAL SENSORS
- 10. EPA CALIBRATION PROTOCOL
- 10.1. CALIBRATION REQUIREMENTS
- 10.2. ZERO AND SPAN CHECKS
- 10.3. PRECISIONS CALIBRATION
- 10.4. AUDITING PROCEDURE
- 10.5. DYNAMIC MULTIPOINT CALIBRATION PROCEDURE
- 10.6. REFERENCES
- 11. MAINTENANCE SCHEDULE & PROCEDURES
- 11.1. MAINTENANCE SCHEDULE
- 11.2. PREDICTING FAILURES USING THE TEST FUNCTIONS
- 11.3. MAINTENANCE PROCEDURES
- 12. TROUBLESHOOTING AND SERVICE
- 12.1. GENERAL TROUBLESHOOTING
- 12.2. GAS FLOW PROBLEMS
- 12.3. CALIBRATION PROBLEMS
- 12.4. OTHER PERFORMANCE PROBLEMS
- 12.5. SUBSYSTEM CHECKOUT
- 12.6. REPAIR PROCEDURES
- 12.7. FREQUENTLY ASKED QUESTIONS
- 12.8. TECHNICAL ASSISTANCE
- 13. THEORY OF OPERATION
- 13.1. MEASUREMENT METHOD
- 13.2. MEASUREMENT FUNDAMENTALS
- 13.3. FLOW RATE CONTROL
- 13.4. ELECTRONIC OPERATION
- 13.5. SOFTWARE OPERATION
- 14. A PRIMER ON ELECTRO-STATIC DISCHARGE
- APPENDIX A - Version Specific Software Documentation
- APPENDIX B - Spare Parts
- APPENDIX C - Warranty/Repair Questionnaire
- APPENDIX D – Wire List and Schematics

Operation Manual
Model T300/T300M
Carbon Monoxide Analyzer
Also supports operation of:
Models T320 and T320U Analyzers
(when used in conjunction with T320/320U Addendum, PN07406)
© TELEDYNE ADVANCED POLLUTION INSTRUMENTATION (TAPI)
9480 CARROLL PARK DRIVE
SAN DIEGO, CA 92121-5201
USA
Toll-free Phone: 800-324-5190
Phone: 858-657-9800
Fax: 858-657-9816
Email: api-sales@teledyne.com
Website: http://www.teledyne-api.com/
Copyright 2010-2012 06864B DCN6314
Teledyne Advanced Pollution Instrumentation 14 February 2012

i
ABOUT TELEDYNE ADVANCED POLLUTION INSTRUMENTATION (TAPI)
Teledyne Advanced Pollution Instrumentation (TAPI), a business unit of Teledyne
Instruments, Inc., is a worldwide market leader in the design and manufacture of
precision analytical instrumentation used for air quality monitoring, continuous
emissions monitoring, and specialty process monitoring applications. Founded in San
Diego, California, in 1988, TAPI introduced a complete line of Air Quality Monitoring
(AQM) instrumentation, which comply with the United States Environmental Protection
Administration (EPA) and international requirements for the measurement of criteria
pollutants, including CO, SO2, NOX and Ozone.
Since 1988 TAPI has combined state-of-the-art technology, proven measuring
principles, stringent quality assurance systems and world class after-sales support to
deliver the best products and customer satisfaction in the business.
For further information on our company, our complete range of products, and the
applications that they serve , please visit www.teledyne-api.com or contact
sales@teledyne-api.com.
NOTICE OF COPYRIGHT
© 2010-2012 Teledyne Advanced Pollution Instrumentation, Inc. All rights reserved.
TRADEMARKS
All trademarks, registered trademarks, brand names or product names appearing in this
document are the property of their respective owners and are used herein for
identification purposes only.
06864B DCN6314

Teledyne API – Model T300/T300M CO Analyzer
ii
This page intentionally left blank.
06864B DCN6314

iii
IMPORTANT SAFETY INFORMATION
Important safety messages are provided throughout this manual. Please read these messages carefully.
A safety message alerts you to potential hazards that could hurt you or others. Each safety message is
associated with a safety alert symbol. These symbols are found in the manual and inside the instrument. The
definition of these symbols is described below:
WARNING: Electrical Shock Hazard
HAZARD: Strong oxidizer
GENERAL WARNING/CAUTION: Read the accompanying
message for specific information.
CAUTION: Hot Surface Warning
Technician Symbol: All operations marked with this symbol are to
be performed by qualified maintenance personnel only.
DO NOT TOUCH: Touching some parts of the instrument without
protection or proper tools could result in damage to the part(s)
and/or the instrument.
Electrical Ground: This symbol inside the instrument marks the
central safety grounding point for the instrument.
CAUTION - General Safety Hazard
This instrument should only be used for the purpose and in the manner
described in this manual. If you use this instrument in a manner other
than that for which it was intended, unpredictable behavior could ensue
with possible hazardous consequences.
NEVER use any gas analyzer to sample combustible gas(es).
Note Technical Assistance regarding the use and maintenance of the
T300/T300M or any other Teledyne API product can be obtained by
contacting Teledyne API’s Customer Service Department:
Phone: 800-324-5190
Email: api-customerservice@teledyne.com
or by accessing various service options on our website at
7http://www.teledyne-api.com/.
06864B DCN6314

Teledyne API – Model T300/T300M CO Analyzer
iv
CONSIGNES DE SÉCURITÉ
Des consignes de sécurité importantes sont fournies tout au long du présent manuel dans le but d’éviter des
blessures corporelles ou d’endommager les instruments. Veuillez lire attentivement ces consignes. Chaque
consigne de sécurité est représentée par un pictogramme d’alerte de sécurité; ces pictogrammes se retrouvent
dans ce manuel et à l’intérieur des instruments. Les symboles correspondent aux consignes suivantes :
AVERTISSEMENT : Risque de choc électrique
DANGER : Oxydant puissant
AVERTISSEMENT GÉNÉRAL / MISE EN GARDE : Lire la consigne
complémentaire pour des renseignements spécifiques
MISE EN GARDE : Surface chaude
Ne pas toucher : Toucher à certaines parties de l’instrument sans protection ou
sans les outils appropriés pourrait entraîner des dommages aux pièces ou à
l’instrument.
Pictogramme « technicien » : Toutes les opérations portant ce symbole doivent
être effectuées uniquement par du personnel de maintenance qualifié.
Mise à la terre : Ce symbole à l’intérieur de l’instrument détermine le point central
de la mise à la terre sécuritaire de l’instrument.
MISE EN GARDE
Cet instrument doit être utilisé aux fins décrites et de la manière décrite
dans ce manuel. Si vous utilisez cet instrument d’une autre manière que
celle pour laquelle il a été prévu, l’instrument pourrait se comporter de
façon imprévisible et entraîner des conséquences dangereuses.
NE JAMAIS utiliser un analyseur de gaz pour échantillonner des gaz
combustibles!
06864B DCN6314

v
WARRANTY
WARRANTY POLICY (02024D)
Teledyne Advanced Pollution Instrumentation (TAPI), a business unit of Teledyne
Instruments, Inc., warrants its products as follows:
Prior to shipment, TAPI equipment is thoroughly inspected and tested. Should
equipment failure occur, TAPI assures its customers that prompt service and support
will be available.
COVERAGE
After the warranty period and throughout the equipment lifetime, TAPI stands ready to
provide on-site or in-plant service at reasonable rates similar to those of other
manufacturers in the industry. All maintenance and the first level of field
troubleshooting are to be performed by the customer.
NON-TAPI MANUFACTURED EQUIPMENT
Equipment provided but not manufactured by TAPI is warranted and will be repaired to
the extent and according to the current terms and conditions of the respective equipment
manufacturer’s warranty.
GENERAL
During the warranty period, TAPI warrants each Product manufactured by TAPI to be
free from defects in material and workmanship under normal use and service.
Expendable parts are excluded.
If a Product fails to conform to its specifications within the warranty period, TAPI shall
correct such defect by, in TAPI's discretion, repairing or replacing such defective
Product or refunding the purchase price of such Product.
The warranties set forth in this section shall be of no force or effect with respect to any
Product: (i) that has been altered or subjected to misuse, negligence or accident, or (ii)
that has been used in any manner other than in accordance with the instruction provided
by TAPI, or (iii) not properly maintained.
THE WARRANTIES SET FORTH IN THIS SECTION AND THE REMEDIES
THEREFORE ARE EXCLUSIVE AND IN LIEU OF ANY IMPLIED WARRANTIES OF
MERCHANTABILITY, FITNESS FOR PARTICULAR PURPOSE OR OTHER
WARRANTY OF QUALITY, WHETHER EXPRESSED OR IMPLIED. THE REMEDIES
SET FORTH IN THIS SECTION ARE THE EXCLUSIVE REMEDIES FOR BREACH OF
ANY WARRANTY CONTAINED HEREIN. API SHALL NOT BE LIABLE FOR ANY
INCIDENTAL OR CONSEQUENTIAL DAMAGES ARISING OUT OF OR RELATED TO
THIS AGREEMENT OF TAPI'S PERFORMANCE HEREUNDER, WHETHER FOR
BREACH OF WARRANTY OR OTHERWISE.
TERMS AND CONDITIONS
All units or components returned to Teledyne API should be properly packed for
handling and returned freight prepaid to the nearest designated Service Center. After the
repair, the equipment will be returned, freight prepaid.
ATTENTION AVOID WARRANTY INVALIDATION
Failure to comply with proper anti-Electro-Static Discharge (ESD)
handling and packing instructions and Return Merchandise Authorization
(RMA) procedures when returning parts for repair or calibration may void
your warranty. For anti-ESD handling and packing instructions please
refer to “Packing Components for Return to Teledyne API’s Customer
Service” in the Primer on Electro-Static Discharge section of this manual,
and for RMA procedures please refer to our Website at http://www.teledyne-
api.com under Customer Support > Return Authorization.
06864B DCN6314

Teledyne API – Model T300/T300M CO Analyzer
vi
This page intentionally left blank.
06864B DCN6314

vii
ABOUT THIS MANUAL
Presented here is information regarding the documents that are included with this
manual (Structure), its history of release and revisions (Revision History), how the
content is organized (Organization), a description of other information related to this
manual (Related Information), and the conventions used to present the information in
this manual (Conventions Used).
STRUCTURE
This T300 manual, PN 06864, is comprised of multiple documents, assembled in PDF
format, as listed below.
Note We recommend that this manual be read in its entirety before any attempt
is made to operate the instrument.
Part No. Rev Name/Description
06864 B Operation Manual, T300 Carbon Monoxide Analyzer
04906 H Appendix A, Menu Trees and related software documentation
06849 A Spare Parts List (in Appendix B of this manual)
04301 E Recommended Spares Stocking Levels List/T300 (in Appendix B of this manual)
04834 G Recommended Spares Stocking Levels List/T300M (in Appendix B of this manual)
04305 G Appendix C, Repair Form
06912 B Interconnect Diagram (in Appendix D of this manual)
069120100 B Interconnect Table (in Appendix D of this manual)
Schematics (in Appendix Dof this manual)
03297 K PCA, 03296, IR Photodetector Preamp and Sync Demodulator
03632 A PCA, 03631, 0-20mA driver
04354 D PCA, 04003, Pressure/Flow Transducer Interface
05033 A PCA, 05032, Opto-Interrupter
04136 B PCA, 04135, Relay Board
04468 B PCA, 04467, Analog Output Isolator
05803 B SCH, PCA 05802, MOTHERBOARD, GEN-5
06698 D SCH, PCA 06670, INTRFC, LCD TCH SCRN,
06882 B SCH, LVDS TRANSMITTER BOARD
06731 B SCH, AUX-I/O BOARD
06864B DCN6314

Teledyne API – Model T300/T300M CO Analyzer
viii
ORGANIZATION
This manual is divided among three main parts and a collection of appendices at the end.
Part I contains introductory information that includes an overview of the analyzer,
descriptions of the available options, specifications, installation and connection
instructions, and the initial calibration and functional checks. The last two sections
contain Frequently Asked Questions (FAQs) followed by a glossary, and a description
of available options.
Part II comprises the operating instructions, which include basic, advanced and remote
operation, calibration, diagnostics, testing, validating and verifying, and ends with
specifics of calibrating for use in EPA monitoring.
Part III provides detailed technical information, such as theory of operation,
maintenance, and troubleshooting and repair. It also contains a section that provides
important information about electro-static discharge and avoiding its consequences.
The appendices at the end of this manual provide support information such as, version-
specific software documentation, lists of spare parts and recommended stocking levels,
and schematics.
CONVENTIONS USED
In addition to the safety symbols as presented in the Important Safety Information page,
this manual provides special notices related to the safety and effective use of the
analyzer and other pertinent information.
Special Notices appear as follows:
ATTENTION COULD DAMAGE INSTRUMENT AND VOID WARRANTY
This special notice provides information to avoid damage to your
instrument and possibly invalidate the warranty.
IMPORTANT IMPACT ON READINGS OR DATA
Could either affect accuracy of instrument readings or cause loss of data.
Note Pertinent information associated with the proper care, operation or
maintenance of the analyzer or its parts.
06864B DCN6314

ix
REVISION HISTORY
This section provides information regarding changes to this manual.
2012, February 14, T300/300M Manual, PN06864 Rev B
Document PN Rev DCN Change Summary
Top Assy Manual 06864 B 6314 Administrative changes: restructure to new T-Series format:
Consolidated Options sections and restructured into tabular
format; moved to Section 1.
Corrected Safety Compliance (was: IEC 61010-1:90 + A1:92 +
A2:95; is: IEC 61010-1:2001).
Added North American Certification statement.
Section 2.1 – added 2nd gas sensor options specs.
Replaced Fig 3-5 with correct internal layout illustration (was
short box; is long box).
Move pneumatic illustrations from Options section to
pneumatic setup section.
Gathered communications setup and operation into one group
(Section 6).
Renamed Part III from “Technical Information” to “Maintenance
and Service”.
Renamed “Troubleshooting and Repair” to “Troubleshooting
and Service”.
Renamed section “Theory of Operation” to “Principles of
Operation”.
Moved “Principles of Operation” section after “Maintenance”
and “Troubleshooting and Service” sections.
Moved FAQs to end of Troubleshooting/Service section
Moved Glossary to end of manual before Index.
Technical changes:
Status Outputs: added connection line for +5V to external
device (Fig 3-11) and corrected DC Power pin description
(Table 3-6, deleted “combined rating w/Control Output if used”).
Section 3.3.1.8: modify Multidrop connection section to clarify
insructions and add detail.
Correct COM1 default baud rate value to 115,200 (was:
19,200)
Added USB driver download instructions (Section 6.6)
Replaced Appendix D Wiring List Rev A with Rev B.
Replaced Appendix D Wiring Diagram Rev A with Rev B.
Swapped Appendix D Prss/Flow Transducer was 04003
(assembly dwg) is 04354 (elec. schematic).
Replaced Appendix D Schematic 06731 Rev A with Rev B.
2010, September 14, T300 Manual, PN06864 Rev A, DCN 5840 Initial Release
06864B DCN6314

Teledyne API – Model T300/T300M CO Analyzer
x
This page intentionally left blank.
06864B DCN6314

xi
TABLE OF CONTENTS
PART I GENERAL INFORMATION ....................................................................................... 23
1. INTRODUCTION, FEATURES AND OPTIONS .................................................................. 25
1.1. T300 Family Overview .................................................................................................................................25
1.2. Features.......................................................................................................................................................26
1.3. T300/T300M Documentation .......................................................................................................................26
1.4. Options.........................................................................................................................................................27
2. SPECIFICATIONS AND APPROVALS............................................................................... 31
2.1. Specifications...............................................................................................................................................31
2.2. EPA Equivalency Designation .....................................................................................................................33
2.3. Approvals and Certifications ........................................................................................................................34
2.3.1. Safety .....................................................................................................................................................34
2.3.2. EmC .......................................................................................................................................................34
2.3.3. Other Type Certifications .......................................................................................................................34
3. GETTING STARTED........................................................................................................... 35
3.1. Unpacking the T300/T300M Analyzer .........................................................................................................35
3.1.1. Ventilation Clearance.............................................................................................................................36
3.2. Instrument Layout ........................................................................................................................................37
3.2.1. Front Panel ............................................................................................................................................37
3.2.2. Rear panel .............................................................................................................................................41
3.2.3. T300/T300M Analyzer Layout................................................................................................................43
3.3. Connections and Setup................................................................................................................................46
3.3.1. Electrical Connections ...........................................................................................................................46
3.3.1.1. Connecting Power ..........................................................................................................................46
3.3.1.2. Connecting Analog Inputs (Option) ................................................................................................47
3.3.1.3. Connecting Analog Outputs ...........................................................................................................47
3.3.1.4. Current Loop Analog Outputs (Option 41) Setup ..........................................................................48
3.3.1.5. Connecting the Status Outputs ......................................................................................................50
3.3.1.6. Connecting the Control Inputs........................................................................................................51
3.3.1.7. Connecting the Concentration Alarm Relay (Option 61)................................................................53
3.3.1.8. Connecting the Communication Interfaces ....................................................................................54
3.3.2. Pneumatic Connections.........................................................................................................................61
3.3.2.1. Pneumatic Connections for Basic Configuration............................................................................63
3.3.2.2. Pneumatic Layout for Basic configuration......................................................................................65
3.3.2.3. Pneumatic Connections for Ambient Zero/Ambient Span Valve Option........................................65
3.3.2.4. Pneumatic Layout for Ambient Zero/Ambient Span Valve Option .................................................67
3.3.2.5. Pneumatic Connections for Ambient Zero/Pressurized Span........................................................67
3.3.2.6. Pneumatic Layout for Ambient Zero/Pressurized Span Option......................................................69
3.3.2.7. Pneumatic Connections for Zero Scrubber/Pressurized Span Option...........................................70
3.3.2.8. Pneumatic Layout for Zero Scrubber/Pressurized Span Option ....................................................71
3.3.2.9. Pneumatic Connections for Zero Scrubber/Ambient Span Option.................................................72
3.3.2.10. Pneumatic Layout for Zero scrubber/ Ambient Span OPTion......................................................74
3.3.2.11. Calibration Gases .........................................................................................................................74
3.4. Startup, Functional Checks, and Initial Calibration......................................................................................76
3.4.1. Startup....................................................................................................................................................76
3.4.2. Warning Messages ................................................................................................................................76
3.4.3. Functional Checks .................................................................................................................................78
3.4.4. Initial Calibration ....................................................................................................................................79
3.4.4.1. Interferents for CO Measurements.................................................................................................80
3.4.4.2. Initial Calibration Procedure ...........................................................................................................80
3.4.4.3. O2 Sensor Calibration Procedure ..................................................................................................85
3.4.4.4. CO2 Sensor Calibration Procedure................................................................................................85
06864B DCN6314

Table of Contents Teledyne API – Model T300/T300M CO Analyzer
xii
PART II OPERATING INSTRUCTIONS.................................................................................. 87
4. OVERVIEW OF OPERATING MODES ............................................................................... 89
4.1. Sample Mode...............................................................................................................................................90
4.1.1. Test Functions .......................................................................................................................................90
4.1.2. Warning Messages ................................................................................................................................93
4.2. Calibration Mode..........................................................................................................................................94
4.3. Setup MODE................................................................................................................................................95
4.3.1. Password Security .................................................................................................................................95
4.3.2. Primary Setup Menu ..............................................................................................................................95
4.3.3. The areas accessible under the Setup mode are shown in Table 4-4 and Secondary Setup Menu
(SETUP>MORE)..............................................................................................................................................95
4.3.4. Secondary Setup Menu (SETUP>MORE).............................................................................................96
5. SETUP MENU 97
5.1. SETUP CFG: Configuration Information .................................................................................................97
5.2. SETUP ACAL: Automatic Calibration......................................................................................................98
5.3. SETUP DAS: Internal Data Acquisition System.......................................................................................98
5.4. SETUP RNGE: Analog Output Reporting Range Configuration .............................................................98
5.4.1. Analog Output Ranges for CO Concentration .......................................................................................98
5.4.2. Physical Range vs Analog Output Reporting Ranges ........................................................................ 100
5.4.3. Reporting Range Modes: Single, Dual, Auto Ranges ........................................................................ 100
5.4.3.1. SINGLE Range Mode (SNGL) .................................................................................................... 102
5.4.3.2. DUAL Range Mode (DUAL) ........................................................................................................ 103
5.4.3.3. AUTO Range Mode (AUTO) ....................................................................................................... 105
5.4.4. Range Units ........................................................................................................................................ 107
5.4.5. Dilution Ratio (Option)......................................................................................................................... 108
5.5. SETUP PASS: Password Protection.................................................................................................... 109
5.6. SETUP CLK: Setting the Internal Time-of-Day Clock and Adjusting Speed........................................ 111
5.6.1.1. Setting the Internal Clock’s Time and Day .................................................................................. 111
5.6.1.2. Adjusting the Internal Clock’s Speed........................................................................................... 111
5.7. SETUP Comm: Communications Ports ................................................................................................ 113
5.7.1. ID (Machine Identification) .................................................................................................................. 113
5.7.2. INET (Ethernet)................................................................................................................................... 113
5.7.3. COM1 and COM2 (Mode, Baud Rate and Test Port)......................................................................... 113
5.8. SETUP VARS: Variables Setup and Definition ..................................................................................... 114
5.9. SETUP Diag: Diagnostics Functions.....................................................................................................116
5.9.1. Signal I/O ............................................................................................................................................ 118
5.9.2. Analog Output ..................................................................................................................................... 119
5.9.3. Analog I/O Configuration..................................................................................................................... 120
5.9.3.1. Analog Output Voltage / Current Range Selection...................................................................... 122
5.9.3.2. Analog Output Calibration ........................................................................................................... 124
5.9.3.3. Enabling or Disabling the AutoCal for an Individual Analog Output............................................ 124
5.9.3.4. Automatic Calibration of the Analog Outputs .............................................................................. 126
5.9.3.5. Individual Calibration of the Analog Outputs ............................................................................... 127
5.9.3.6. Manual Calibration of the Analog Outputs Configured for Voltage Ranges................................ 128
5.9.3.7. Manual Adjustment of Current Loop Output Span and Offset .................................................... 130
5.9.3.8. Turning an Analog Output Over-Range Feature ON/OFF .......................................................... 133
5.9.3.9. Adding a Recorder Offset to an Analog Output...........................................................................134
5.9.3.10. AIN Calibration .......................................................................................................................... 135
5.9.3.11. Analog Inputs (XIN1…XIN8) Option Configuration ................................................................... 136
5.9.4. Electrical Test ..................................................................................................................................... 137
5.9.5. Dark Calibration .................................................................................................................................. 137
5.9.6. Pressure Calibration ........................................................................................................................... 137
5.9.7. Flow Calibration .................................................................................................................................. 138
5.9.8. Test Chan Output................................................................................................................................ 138
5.9.8.1. Selecting a Test Channel Function for Output A4....................................................................... 138
06864B DCN6314

Teledyne API – Model T300/T300M CO Analyzer Table of Contents
xiii
5.10. SETUP MORE ALRM (Option): Using the Gas Concentration Alarms.......................................... 140
5.10.1. Setting the T300 Concentration Alarm Limits ................................................................................... 141
6. COMMUNICATIONS SETUP AND OPERATION ............................................................. 143
6.1. Data Terminal/Communication Equipment (DTE DCE)............................................................................ 143
6.2. Communication Modes, Baud Rate and Port Testing .................................................................................. 143
6.2.1. Communication Modes ....................................................................................................................... 144
6.2.2. COM Port Baud Rate .......................................................................................................................... 146
6.2.3. Com Port Testing ................................................................................................................................ 147
6.3. RS-232...................................................................................................................................................... 147
6.4. RS-485 (Option)........................................................................................................................................ 148
6.5. Ethernet..................................................................................................................................................... 148
6.5.1. Configuring Ethernet Communication Manually (Static IP Address) .................................................. 149
6.5.2. Configuring Ethernet Communication Using Dynamic Host Configuration Protocol (DHCP) ............ 151
6.5.3. Changing the Analyzer’s HOSTNAME ............................................................................................... 152
6.6. USB Port (Option) for Remote Access ..................................................................................................... 153
6.7. Communications Protocols ....................................................................................................................... 155
6.7.1. MODBUS ............................................................................................................................................ 155
6.7.2. Hessen................................................................................................................................................ 156
6.7.2.1. Hessen COMM Port Configuration.............................................................................................. 157
6.7.2.2. Activating Hessen Protocol ......................................................................................................... 159
6.7.2.3. Selecting a Hessen Protocol Type .............................................................................................. 160
6.7.2.4. Setting The Hessen Protocol Response Mode ........................................................................... 161
6.7.3. Hessen Protocol Gas List Entries ....................................................................................................... 162
6.7.3.1. Hessen Protocol Gas ID.............................................................................................................. 162
6.7.3.2. Editing or Adding HESSEN Gas List Entries............................................................................... 163
6.7.3.3. Deleting HESSEN Gas List Entries ............................................................................................. 164
6.7.3.4. Setting Hessen Protocol Status Flags......................................................................................... 165
6.7.3.5. Instrument ID ............................................................................................................................... 166
7. DATA ACQUISITION SYSTEM (DAS) AND APICOM...................................................... 167
7.1. DAS Structure ........................................................................................................................................... 168
7.1.1. DAS Data Channels............................................................................................................................ 169
7.1.2. Default DAS Channels ........................................................................................................................ 169
7.1.3. Viewing DAS Channels and Individual Records................................................................................. 172
7.1.4. Editing DAS Channels ........................................................................................................................ 173
7.1.4.1. Editing DAS Data Channel Names.............................................................................................. 174
7.1.5. Editing DAS Triggering Events ........................................................................................................... 175
7.1.6. Editing DAS Parameters..................................................................................................................... 176
7.1.7. Sample Period and Report Period ...................................................................................................... 178
7.1.8. Number of Records............................................................................................................................. 181
7.1.9. RS-232 Report Function ..................................................................................................................... 183
7.1.9.1. The Compact Report Feature...................................................................................................... 183
7.1.9.2. The Starting Date Feature........................................................................................................... 184
7.1.10. Disabling/Enabling Data Channels ................................................................................................... 184
7.1.11. HOLDOFF Feature ........................................................................................................................... 185
7.2. Remote DAS Configuration....................................................................................................................... 186
7.2.1. DAS Configuration via APICOM ......................................................................................................... 186
7.2.2. DAS Configuration Using Terminal Emulation Programs ................................................................... 188
8. REMOTE OPERATION ..................................................................................................... 189
8.1. Computer Mode ........................................................................................................................................ 189
8.1.1. Remote Control via APICOM.............................................................................................................. 189
8.2. Interactive Mode ....................................................................................................................................... 190
8.2.1. Remote Control via a Terminal Emulation Program ........................................................................... 190
8.2.1.1. Help Commands in Interactive Mode .......................................................................................... 190
8.2.1.2. Command Syntax ........................................................................................................................ 190
8.2.1.3. Data Types .................................................................................................................................. 191
06864B DCN6314

Table of Contents Teledyne API – Model T300/T300M CO Analyzer
xiv
8.2.1.4. Status Reporting.......................................................................................................................... 192
8.2.1.5. General Message Format............................................................................................................ 192
8.3. Remote Access by Modem....................................................................................................................... 192
8.4. Password Security for Serial Remote Communications ........................................................................... 195
9. CALIBRATION PROCEDURES........................................................................................ 197
9.1. Calibration Preparations ........................................................................................................................... 197
9.1.1. Required Equipment, Supplies, and Expendables ............................................................................. 197
9.1.1.1. Zero Air........................................................................................................................................ 198
9.1.1.2. Span Gas..................................................................................................................................... 198
9.1.1.3. Calibration Gas Standards and Traceability................................................................................ 198
9.1.2. Data Recording Devices ..................................................................................................................... 199
9.2. Manual Calibration .................................................................................................................................... 199
9.2.1. Setup for Basic Calibration Checks and Calibration........................................................................... 200
9.2.2. Performing a Basic Manual Calibration Check ................................................................................... 201
9.2.3. Performing a Basic Manual Calibration .............................................................................................. 202
9.2.3.1. Setting the Expected Span Gas Concentration........................................................................... 202
9.2.3.2. Zero/Span Point Calibration Procedure....................................................................................... 204
9.3. Manual Calibration with Zero/Span Valves............................................................................................... 205
9.3.1. Setup for Calibration Using Valve Options ......................................................................................... 205
9.3.2. Manual Calibration Checks with Valve Options Installed ...................................................................208
9.3.3. Manual Calibration Using Valve Options ............................................................................................ 209
9.3.3.1. Setting the Expected Span Gas Concentration........................................................................... 209
9.3.3.2. Zero/Span Point Calibration Procedure....................................................................................... 210
9.3.3.3. Use of Zero/Span Valve with Remote Contact Closure .............................................................. 212
9.4. Automatic Zero/Span Cal/Check (AutoCal) .............................................................................................. 212
9.4.1. SETUP ACAL: Programming and AUTO CAL Sequence.............................................................. 215
9.4.1.1. AutoCal with Auto or Dual Reporting Ranges Modes Selected .................................................. 217
9.5. CO Calibration Quality .............................................................................................................................. 218
9.6. Calibration of the T300/T300M’s Electronic Subsystems ......................................................................... 219
9.6.1. Dark Calibration Test .......................................................................................................................... 219
9.6.2. Pressure Calibration ........................................................................................................................... 220
9.6.3. Flow Calibration .................................................................................................................................. 222
9.7. Calibration of Optional Sensors ................................................................................................................ 223
9.7.1. O2 Sensor Calibration ......................................................................................................................... 223
9.7.1.1. O2 Pneumatics Connections....................................................................................................... 223
9.7.1.2. Set O2 Span Gas Concentration................................................................................................. 224
9.7.1.3. Activate O2 Sensor Stability Function ......................................................................................... 225
9.7.1.4. O2 ZERO/SPAN CALIBRATION................................................................................................. 226
9.7.2. CO2 Sensor Calibration Procedure..................................................................................................... 227
9.7.2.1. CO2 Pneumatics Connections .................................................................................................... 227
9.7.2.2. Set CO2 Span Gas Concentration: ............................................................................................. 228
9.7.2.3. Activate CO2 Sensor Stability Function ...................................................................................... 229
9.7.2.4. CO2 Zero/Span Calibration ......................................................................................................... 230
10. EPA CALIBRATION PROTOCOL .................................................................................. 231
10.1. Calibration Requirements ....................................................................................................................... 231
10.1.1. Calibration of Equipment - General Guidelines ................................................................................ 231
10.1.2. Calibration Equipment, Supplies, and Expendables......................................................................... 232
10.1.2.1. Data Recording Device.............................................................................................................. 232
10.1.2.2. Spare Parts and Expendable Supplies...................................................................................... 232
10.1.3. Recommended Standards for Establishing Traceability................................................................... 233
10.1.4. Calibration Frequency....................................................................................................................... 234
10.1.5. Level 1 Calibrations versus Level 2 Checks ..................................................................................... 234
10.2. ZERO and SPAN Checks....................................................................................................................... 235
10.2.1. Zero/Span Check Procedures .......................................................................................................... 236
10.2.2. Precision Check ................................................................................................................................ 236
06864B DCN6314

Teledyne API – Model T300/T300M CO Analyzer Table of Contents
xv
10.3. Precisions Calibration............................................................................................................................. 237
10.3.1. Precision Calibration Procedures ..................................................................................................... 237
10.4. Auditing Procedure ................................................................................................................................. 237
10.4.1. Calibration Audit................................................................................................................................ 237
10.4.2. Data Reduction Audit ........................................................................................................................ 238
10.4.3. System Audit/Validation.................................................................................................................... 238
10.5. Dynamic Multipoint Calibration Procedure ............................................................................................. 238
10.5.1. Linearity test...................................................................................................................................... 238
10.6. References ............................................................................................................................................. 240
PART III TECHNICAL INFORMATION ................................................................................ 241
11. MAINTENANCE SCHEDULE & PROCEDURES............................................................ 245
11.1. Maintenance Schedule ........................................................................................................................... 245
11.2. Predicting Failures Using the Test Functions......................................................................................... 249
11.3. Maintenance Procedures........................................................................................................................ 250
11.3.1. Replacing the Sample Particulate Filter............................................................................................ 250
11.3.2. Rebuilding the Sample Pump ........................................................................................................... 251
11.3.3. Performing Leak Checks................................................................................................................... 251
11.3.3.1. Vacuum Leak Check and Pump Check..................................................................................... 251
11.3.3.2. Pressure Leak Check ................................................................................................................ 251
11.3.4. Performing a Sample Flow Check .................................................................................................... 252
11.3.5. Cleaning the Optical Bench .............................................................................................................. 252
11.3.6. Cleaning Exterior Surfaces of the T300/T300M................................................................................ 252
12. TROUBLESHOOTING AND SERVICE........................................................................... 253
12.1. General Troubleshooting ........................................................................................................................ 253
12.1.1. Fault Diagnosis with WARNING Messages...................................................................................... 254
12.1.2. Fault Diagnosis with TEST Functions............................................................................................... 258
12.1.3. the Diagnostic Signal I/O Function ................................................................................................... 261
12.1.4. Status LEDs ...................................................................................................................................... 263
12.1.4.1. Motherboard Status Indicator (Watchdog) ................................................................................ 263
12.1.4.2. Sync Demodulator Status LEDs................................................................................................ 264
12.1.4.3. Relay Board Status LEDs.......................................................................................................... 265
12.2. Gas Flow Problems ................................................................................................................................ 267
12.2.1. T300/T300M Internal Gas Flow Diagrams........................................................................................ 268
12.2.2. Typical Sample Gas Flow Problems................................................................................................. 271
12.2.2.1. Flow is Zero ............................................................................................................................... 271
12.2.2.2. Low Flow ................................................................................................................................... 272
12.2.2.3. High Flow................................................................................................................................... 272
12.2.2.4. Displayed Flow = “Warnings” .................................................................................................... 273
12.2.2.5. Actual Flow Does Not Match Displayed Flow ........................................................................... 273
12.2.2.6. Sample Pump ............................................................................................................................ 273
12.3. Calibration Problems .............................................................................................................................. 273
12.3.1. Miscalibrated..................................................................................................................................... 273
12.3.2. Non-Repeatable Zero and Span....................................................................................................... 274
12.3.3. Inability to Span – No SPAN Button (CALS)..................................................................................... 274
12.3.4. Inability to Zero – No ZERO Button (CALZ)...................................................................................... 274
12.4. Other Performance Problems................................................................................................................. 275
12.4.1. Temperature Problems ..................................................................................................................... 275
12.4.1.1. Box or Sample Temperature ..................................................................................................... 275
12.4.1.2. Bench Temperature................................................................................................................... 275
12.4.1.3. GFC Wheel Temperature .......................................................................................................... 276
12.4.1.4. IR Photo-Detector TEC Temperature........................................................................................ 277
12.4.2. Excessive Noise................................................................................................................................ 277
12.5. Subsystem Checkout.............................................................................................................................. 278
12.5.1. AC Mains Configuration.................................................................................................................... 278
12.5.2. DC Power Supply.............................................................................................................................. 279
06864B DCN6314

Table of Contents Teledyne API – Model T300/T300M CO Analyzer
xvi
12.5.3. I2C Bus .............................................................................................................................................. 279
12.5.4. Touchscreen Interface ...................................................................................................................... 280
12.5.5. LCD Display Module ......................................................................................................................... 280
12.5.6. Relay Board ...................................................................................................................................... 280
12.5.7. Sensor Assembly .............................................................................................................................. 281
12.5.7.1. Sync/Demodulator Assembly .................................................................................................... 281
12.5.7.2. Electrical Test ............................................................................................................................ 281
12.5.7.3. Opto Pickup Assembly .............................................................................................................. 282
12.5.7.4. GFC Wheel Drive ...................................................................................................................... 282
12.5.7.5. IR Source................................................................................................................................... 282
12.5.7.6. Pressure/Flow Sensor Assembly .............................................................................................. 283
12.5.8. Motherboard...................................................................................................................................... 284
12.5.8.1. A/D Functions ............................................................................................................................ 284
12.5.8.2. Test Channel / Analog Outputs Voltage.................................................................................... 284
12.5.8.3. Analog Outputs: Current Loop................................................................................................... 285
12.5.8.4. Status Outputs........................................................................................................................... 286
12.5.8.5. Control Inputs – Remote Zero, Span......................................................................................... 286
12.5.9. CPU................................................................................................................................................... 287
12.5.10. RS-232 Communications................................................................................................................ 287
12.5.10.1. General RS-232 Troubleshooting............................................................................................ 287
12.5.10.2. Troubleshooting Analyzer/Modem or Terminal Operation ...................................................... 288
12.5.11. The Optional CO2 Sensor ............................................................................................................... 288
12.6. Repair Procedures.................................................................................................................................. 289
12.6.1. Repairing Sample Flow Control Assembly ....................................................................................... 289
12.6.2. Removing/Replacing the GFC Wheel............................................................................................... 290
12.6.3. Checking and Adjusting the Sync/Demodulator, Circuit Gain (CO MEAS) ..................................... 292
12.6.3.1. Checking the Sync/Demodulator Circuit Gain........................................................................... 292
12.6.3.2. Adjusting the Sync/Demodulator, Circuit Gain ..........................................................................293
12.6.4. Disk-On-Module Replacement.......................................................................................................... 294
12.7. Frequently Asked Questions .................................................................................................................. 295
12.8. Technical Assistance.............................................................................................................................. 296
13. THEORY OF OPERATION.............................................................................................. 297
13.1. Measurement Method............................................................................................................................. 297
13.1.1. Beer’s Law ........................................................................................................................................ 297
13.2. Measurement Fundamentals.................................................................................................................. 298
13.2.1. Gas Filter Correlation........................................................................................................................ 299
13.2.1.1. The GFC Wheel......................................................................................................................... 299
13.2.1.2. The Measure Reference Ratio .................................................................................................. 300
13.2.1.3. Summary Interference Rejection............................................................................................... 303
13.3. Flow Rate Control................................................................................................................................... 304
13.3.1.1. Critical Flow Orifice.................................................................................................................... 305
13.3.2. Particulate Filter ................................................................................................................................ 306
13.3.3. Pneumatic Sensors........................................................................................................................... 306
13.3.3.1. Sample Pressure Sensor .......................................................................................................... 306
13.3.3.2. Sample Flow Sensor ................................................................................................................. 306
13.4. Electronic Operation ............................................................................................................................... 306
13.4.1. CPU................................................................................................................................................... 309
13.4.1.1. Disk-On-Module (DOM)............................................................................................................. 309
13.4.1.2. Flash Chip ................................................................................................................................. 309
13.4.2. Optical Bench & GFC Wheel ............................................................................................................ 310
13.4.2.1. Temperature Control ................................................................................................................. 310
13.4.2.2. IR Source................................................................................................................................... 310
13.4.2.3. GFC Wheel................................................................................................................................ 310
13.4.2.4. IR Photo-Detector...................................................................................................................... 312
13.4.3. Synchronous Demodulator (Sync/Demod) Assembly ...................................................................... 312
13.4.3.1. Signal Synchronization and Demodulation ...............................................................................313
06864B DCN6314

Teledyne API – Model T300/T300M CO Analyzer Table of Contents
xvii
13.4.3.2. Sync/Demod Status LEDs......................................................................................................... 314
13.4.3.3. Photo-Detector Temperature Control ........................................................................................ 315
13.4.3.4. Dark Calibration Switch ............................................................................................................. 315
13.4.3.5. Electric Test Switch ................................................................................................................... 315
13.4.4. Relay Board ...................................................................................................................................... 315
13.4.4.1. Heater Control ........................................................................................................................... 315
13.4.4.2. GFC Wheel Motor Control......................................................................................................... 315
13.4.4.3. Zero/Span Valve Options .......................................................................................................... 316
13.4.4.4. IR Source................................................................................................................................... 316
13.4.4.5. Status LEDs............................................................................................................................... 317
13.4.4.6. I2C Watch Dog Circuitry............................................................................................................ 317
13.4.5. MotherBoard ..................................................................................................................................... 318
13.4.5.1. A to D Conversion ..................................................................................................................... 318
13.4.5.2. Sensor Inputs ............................................................................................................................ 318
13.4.5.3. Thermistor Interface .................................................................................................................. 319
13.4.5.4. Analog Outputs.......................................................................................................................... 319
13.4.5.5. Internal Digital I/O...................................................................................................................... 319
13.4.5.6. External Digital I/O..................................................................................................................... 319
13.4.6. I2C Data Bus ..................................................................................................................................... 320
13.4.7. Power Supply/ Circuit Breaker.......................................................................................................... 320
13.4.8. Front Panel Touchscreen/Display Interface...................................................................................... 322
13.4.8.1. LVDS Transmitter Board ........................................................................................................... 322
13.4.8.2. Front Panel Touchscreen/Display Interface PCA...................................................................... 322
13.5. Software Operation................................................................................................................................. 323
13.5.1. Adaptive Filter ................................................................................................................................... 323
13.5.2. Calibration - Slope and Offset........................................................................................................... 324
13.5.3. Measurement Algorithm.................................................................................................................... 324
13.5.4. Temperature and Pressure Compensation....................................................................................... 324
13.5.5. Internal Data Acquisition System (DAS) ........................................................................................... 324
14. A PRIMER ON ELECTRO-STATIC DISCHARGE .......................................................... 325
14.1. How Static Charges are Created............................................................................................................ 325
14.2. How Electro-Static Charges Cause Damage ......................................................................................... 326
14.3. Common Myths About ESD Damage..................................................................................................... 327
14.4. Basic Principles of Static Control............................................................................................................ 328
14.4.1. General Rules ................................................................................................................................... 328
14.4.2. Basic anti-ESD Procedures for Analyzer Repair and Maintenance ................................................. 329
14.4.2.1. Working at the Instrument Rack ................................................................................................ 329
14.4.2.2. Working at an Anti-ESD Work Bench........................................................................................ 330
14.4.2.3. Transferring Components from Rack to Bench and Back......................................................... 330
14.4.2.4. Opening Shipments from Teledyne API’ Customer Service ..................................................... 331
14.4.2.5. Packing Components for Return to Teledyne API’s Customer Service .................................... 331
LIST OF APPENDICES
APPENDIX A - VERSION SPECIFIC SOFTWARE DOCUMENTATION
APPENDIX B - T300/T300M SPARE PARTS LIST
APPENDIX C - REPAIR QUESTIONNAIRE - T300
APPENDIX D - SCHEMATICS
06864B DCN6314

Table of Contents Teledyne API – Model T300/T300M CO Analyzer
xviii
LIST OF FIGURES
Figure 3-1: Front Panel Layout.......................................................................................................................37
Figure 3-2: Display Screen and Touch Control ..............................................................................................38
Figure 3-3: Display/Touch Control Screen Mapped to Menu Charts .............................................................40
Figure 3-4: Rear Panel Layout .......................................................................................................................41
Figure 3-5: Internal Layout – T300.................................................................................................................43
Figure 3-6: Internal Layout – T300M..............................................................................................................44
Figure 3-7: Optical Bench Layout (shorter bench, T300M, shown) ...............................................................45
Figure 3-8: Analog In Connector ....................................................................................................................47
Figure 3-9: Analog Output Connector ............................................................................................................48
Figure 3-10: Current Loop Option Installed on Motherboard ...........................................................................49
Figure 3-11: Status Output Connector .............................................................................................................50
Figure 3-12: Control Input Connector...............................................................................................................52
Figure 3-13: Concentration Alarm Relay..........................................................................................................53
Figure 3-14: Rear Panel Connector Pin-Outs for RS-232 Mode......................................................................56
Figure 3-15: Default Pin Assignments for CPU COM Port connector (RS-232) ..............................................57
Figure 3-16: Multidrop/LVDS PCA Seated on CPU .........................................................................................59
Figure 3-17: RS-232-Multidrop PCA Host/Analyzer Interconnect Diagram .....................................................60
Figure 3-18: Pneumatic Connections–Basic Configuration–Using Bottled Span Gas.....................................63
Figure 3-19: Pneumatic Connections–Basic Configuration–Using Gas Dilution Calibrator.............................63
Figure 3-20: T300/T300M Internal Gas Flow (Basic Configuration) ................................................................65
Figure 3-21: Pneumatic Connections – Option 50A: Zero/Span Calibration Valves........................................66
Figure 3-22: Internal Pneumatic Flow OPT 50A – Zero/Span Valves..............................................................67
Figure 3-23: Pneumatic Connections – Option 50B: Ambient Zero/Pressurized Span Calibration Valves .....68
Figure 3-24: Internal Pneumatic Flow OPT 50B – Zero/Span/Shutoff Valves .................................................69
Figure 3-25: Pneumatic Connections – Zero Scrubber/Pressurized Span Calibration Valves (Opt 50E) .......70
Figure 3-26: Internal Pneumatic Flow OPT 50E – Zero Scrubber/Pressurized Span......................................71
Figure 3-27: Pneumatic Connections – Option 50H: Zero/Span Calibration Valves .......................................72
Figure 3-28: Internal Pneumatic Flow OPT 50H – Zero Scrubber/Ambient Span ...........................................74
Figure 3-29: Zero/Span Calibration Procedure ................................................................................................84
Figure 4-1: Front Panel Display......................................................................................................................89
Figure 4-2: Viewing T300/T300M Test Functions ..........................................................................................91
Figure 4-3: Viewing and Clearing T300/T300M WARNING Messages .........................................................94
Figure 5-1: Analog Output Connector Pin Out ...............................................................................................99
Figure 5-2: COMM– Machine ID ................................................................................................................. 113
Figure 5-3: Accessing the Analog I/O Configuration Submenus................................................................. 121
Figure 5-4: Setup for Checking / Calibrating DCV Analog Output Signal Levels........................................ 128
Figure 5-5: Setup for Checking / Calibration Current Output Signal Levels Using an Ammeter................. 130
Figure 5-6: Alternative Setup Using 250Ω Resistor for Checking Current Output Signal Levels ............... 132
Figure 5-7. DIAG – Analog Inputs (Option) Configuration Menu ................................................................ 136
Figure 6-1: COM1[2] – Communication Modes Setup ................................................................................ 145
Figure 6-2: COMM Port Baud Rate.............................................................................................................146
Figure 6-3: COMM – COM1 Test Port......................................................................................................... 147
Figure 6-4: COMM – LAN / Internet Manual Configuration......................................................................... 150
Figure 6-5 : COMM – LAN / Internet Automatic Configuration (DHCP) ....................................................... 151
Figure 7-1: Default DAS Channel Setup ..................................................................................................... 171
Figure 7-2: APICOM Remote Control Program Interface............................................................................ 186
Figure 7-3: APICOM User Interface for Configuring the DAS..................................................................... 187
Figure 7-4: DAS Configuration Through a Terminal Emulation Program.................................................... 188
Figure 9-1: Pneumatic Connections – Basic Configuration – Using Bottled Span Gas.............................. 200
Figure 9-2: Pneumatic Connections – Basic Configuration – Using Gas Dilution Calibrator...................... 200
Figure 9-3: Pneumatic Connections – Option 50A: Ambient Zero/Ambient Span Calibration Valves ........ 205
Figure 9-4: Pneumatic Connections – Option 50B: Ambient Zero/Pressurized Span Calibration Valves .. 206
Figure 9-5: Pneumatic Connections – Option 50H: Zero/Span Calibration Valves .................................... 206
06864B DCN6314

Teledyne API – Model T300/T300M CO Analyzer Table of Contents
xix
Figure 9-6: Pneumatic Connections – Option 50E: Zero/Span Calibration Valves..................................... 207
Figure 9-7: O2 Sensor Calibration Set Up ................................................................................................... 223
Figure 9-8: CO2 Sensor Calibration Set Up................................................................................................. 227
Figure 11-1: Sample Particulate Filter Assembly .......................................................................................... 250
Figure 12-1: Viewing and Clearing Warning Messages................................................................................ 256
Figure 12-2: Example of Signal I/O Function ................................................................................................ 262
Figure 12-3: CPU Status Indicator ................................................................................................................ 263
Figure 12-4: Sync/Demod Board Status LED Locations ............................................................................... 264
Figure 12-5: Relay Board Status LEDs .........................................................................................................265
Figure 12-6: T300/T300M – Basic Internal Gas Flow ................................................................................... 268
Figure 12-7: Internal Pneumatic Flow OPT 50A – Zero/Span Valves (OPT 50A & 50B) ............................. 268
Figure 12-8: Internal Pneumatic Flow OPT 50B – Zero/Span/Shutoff Valves .............................................. 269
Figure 12-9: Internal Pneumatic Flow OPT 50H – Zero/Span Valves with Internal Zero Air Scrubber ........ 269
Figure 12-10: Internal Pneumatic Flow OPT 50E – Zero/Span/Shutoff w/ Internal Zero Air Scrubber........... 270
Figure 12-11: T300/T300M – Internal Pneumatics with O2 Sensor Option 65A ............................................. 270
Figure 12-12: T300/T300M – Internal Pneumatics with CO2 Sensor Option 67A........................................... 271
Figure 12-13: Location of Diagnostic LEDs onCO2 Sensor PCA .................................................................... 288
Figure 12-14: Critical Flow Restrictor Assembly/Disassembly........................................................................ 289
Figure 12-15: Opening the GFC Wheel Housing ............................................................................................ 290
Figure 12-16: Removing the Opto-Pickup Assembly ...................................................................................... 291
Figure 12-17: Removing the GFC Wheel Housing.......................................................................................... 291
Figure 12-18: Removing the GFC Wheel........................................................................................................ 292
Figure 12-19: Location of Sync/Demod Housing Mounting Screws................................................................ 293
Figure 12-20: Location of Sync/Demod Gain Potentiometer........................................................................... 293
Figure 13-1: Measurement Fundamentals .................................................................................................... 299
Figure 13-2: GFC Wheel ............................................................................................................................... 299
Figure 13-3: Measurement Fundamentals with GFC Wheel......................................................................... 300
Figure 13-4: Affect of CO in the Sample on CO MEAS & CO REF .............................................................. 301
Figure 13-5: Effects of Interfering Gas on CO MEAS & CO REF ................................................................. 302
Figure 13-6: Chopped IR Signal.................................................................................................................... 302
Figure 13-7: Internal Pneumatic Flow – Basic Configuration........................................................................ 304
Figure 13-8: Flow Control Assembly & Critical Flow Orifice.......................................................................... 305
Figure 13-9: Electronic Block Diagram.......................................................................................................... 308
Figure 13-10. CPU Board................................................................................................................................ 309
Figure 13-11: GFC Light Mask ........................................................................................................................ 311
Figure 13-12: Segment Sensor and M/R Sensor Output ................................................................................ 312
Figure 13-13: T300/T300M Sync/Demod Block Diagram ............................................................................... 313
Figure 13-14: Sample & Hold Timing .............................................................................................................. 314
Figure 13-15: Location of relay board Status LEDs ........................................................................................ 317
Figure 13-16: Power Distribution Block Diagram ............................................................................................ 321
Figure 13-17: Front Panel and Display Interface Block Diagram.................................................................... 322
Figure 13-18: Basic Software Operation ......................................................................................................... 323
Figure 14-1: Triboelectric Charging............................................................................................................... 325
Figure 14-2: Basic anti-ESD Workbench....................................................................................................... 328
06864B DCN6314

Table of Contents Teledyne API – Model T300/T300M CO Analyzer
xx
LIST OF TABLES
Table 1-1: Analyzer Options..........................................................................................................................27
Table 2-1: T300/T300M Basic Unit Specifications........................................................................................31
Table 2-2: O2 Sensor Option Specifications..................................................................................................32
Table 2-3: CO2 Sensor Option Specifications...............................................................................................33
Table 3-1: Ventilation Clearance...................................................................................................................36
Table 3-2: Display Screen and Touch Control Description...........................................................................39
Table 3-3: Rear Panel Description................................................................................................................42
Table 3-4: Analog Input Pin Assignments.....................................................................................................47
Table 3-5: Analog Output Pin-Outs...............................................................................................................48
Table 3-6: Status Output Signals ..................................................................................................................51
Table 3-7: Control Input Signals....................................................................................................................52
Table 3-8: Zero/Span Valve Operating States for Option 50A......................................................................67
Table 3-9: Zero/Span Valve Operating States for Option 50B......................................................................69
Table 3-10: Zero/Span Valve Operating States for Option 51E......................................................................71
Table 3-11: Zero/Span Valve Operating States for Option 50H .....................................................................74
Table 3-12: NIST-SRM's Available for Traceability of CO Calibration Gases..................................................75
Table 3-13: Possible Warning Messages at Start-Up.....................................................................................77
Table 3-14: Possible Startup Warning Messages – T300 Analyzers with Options.........................................78
Table 4-1: Analyzer Operating Modes ..........................................................................................................90
Table 4-2: Test Functions Defined................................................................................................................92
Table 4-3: List of Warning Messages............................................................................................................93
Table 4-4: Primary Setup Mode Features and Functions .............................................................................95
Table 4-5: Secondary Setup Mode (SETUP>MORE) Features and Functions............................................96
Table 5-1: T300 Family Physical Range by Model .................................................................................... 100
Table 5-2: Password Levels....................................................................................................................... 109
Table 5-3: Variable Names (VARS) ...........................................................................................................114
Table 5-4: Diagnostic Mode (DIAG) Functions .......................................................................................... 116
Table 5-5: DIAG - Analog I/O Functions .................................................................................................... 120
Table 5-6: Analog Output Voltage Ranges ................................................................................................ 122
Table 5-7: Voltage Tolerances for the TEST CHANNEL Calibration......................................................... 128
Table 5-8: Current Loop Output Check...................................................................................................... 132
Table 5-9: Test Channels Functions available on the T300/T300M’s Analog Output ............................... 138
Table 5-10: CO Concentration Alarm Default Settings ................................................................................ 140
Table 6-1: COMM Port Communication Modes ......................................................................................... 144
Table 6-2: Ethernet Status Indicators......................................................................................................... 148
Table 6-3: LAN/Internet Default Configuration Properties ......................................................................... 149
Table 6-4: RS-232 Communication Parameters for Hessen Protocol ....................................................... 157
Table 6-5: Teledyne API’s Hessen Protocol Response Modes ................................................................. 161
Table 6-6: Default Hessen Status Flag Assignments ................................................................................ 165
Table 7-1: Front Panel LED Status Indicators for DAS.............................................................................. 167
Table 7-2: DAS Data Channel Properties .................................................................................................. 169
Table 7-3: DAS Data Parameter Functions ............................................................................................... 176
Table 8-1: Interactive Mode Software Commands..................................................................................... 190
Table 8-2: Teledyne API’s Serial I/O Command Types ............................................................................. 191
Table 9-1: NIST-SRMs Available for Traceability of CO Calibration Gases ............................................... 198
Table 9-2: AUTOCAL Modes ..................................................................................................................... 212
Table 9-3: AutoCal Attribute Setup Parameters......................................................................................... 213
Table 9-4: Example AutoCal Sequence..................................................................................................... 214
Table 9-5: Calibration Data Quality Evaluation .......................................................................................... 218
Table 10-1: Matrix for Calibration Equipment & Supplies ............................................................................ 233
Table 10-2: Activity Matrix for Quality Assurance Checks ........................................................................... 234
Table 10-3: Definition of Level 1 and Level 2 Zero and Span Checks......................................................... 235
Table 11-1: T300/T300M Maintenance Schedule........................................................................................ 247
Table 11-2: T300/T300M Test Function Record .......................................................................................... 248
06864B DCN6314

Teledyne API – Model T300/T300M CO Analyzer Table of Contents
xxi
Table 11-3: Predictive uses for Test Functions............................................................................................ 249
Table 12-1: Warning Messages - Indicated Failures ................................................................................... 257
Table 12-2: Test Functions - Indicated Failures........................................................................................... 259
Table 12-3: Sync/Demod Board Status Failure Indications ......................................................................... 264
Table 12-4: I2C Status LED Failure Indications............................................................................................ 265
Table 12-5: Relay Board Status LED Failure Indications............................................................................. 266
Table 12-6: DC Power Test Point and Wiring Color Codes......................................................................... 279
Table 12-7: DC Power Supply Acceptable Levels ....................................................................................... 279
Table 12-8: Relay Board Control Devices.................................................................................................... 280
Table 12-9: Opto Pickup Board Nominal Output Frequencies..................................................................... 282
Table 12-10: Analog Output Test Function - Nominal Values Voltage Outputs ............................................ 284
Table 12-11: Analog Output Test Function - Nominal Values Voltage Outputs ............................................ 285
Table 12-12: Status Outputs Check............................................................................................................... 286
Table 13-1: Absorption Path Lengths for T300 and T300M......................................................................... 298
Table 13-2: Sync DEMOD Sample and Hold Circuits.................................................................................. 314
Table 13-3: Sync/Demod Status LED Activity.............................................................................................. 314
Table 13-4: Relay Board Status LEDs .........................................................................................................317
Table 14-1: Static Generation Voltages for Typical Activities ...................................................................... 326
Table 14-2: Sensitivity of Electronic Devices to Damage by ESD ............................................................... 326
06864B DCN6314

Table of Contents Teledyne API – Model T300/T300M CO Analyzer
xxii
This page intentionally left blank.
06864B DCN6314

23
PART I
GENERAL INFORMATION
06864B DCN6314

24
06864B DCN6314

25
1. INTRODUCTION, FEATURES AND OPTIONS
This section provides an overview of the Model T300 or T300M Analyzer, its features
and its options, followed by a description of how this user manual is arranged.
1.1. T300 FAMILY OVERVIEW
The family includes the T300 and the T300M Gas Filter Correlation Carbon Monoxide
Analyzer. The T300 family of analyzers is a microprocessor-controlled analyzer that
determines the concentration of carbon monoxide (CO) in a sample gas drawn through
the instrument. It uses a method based on the Beer-Lambert law, an empirical
relationship that relates the absorption of light to the properties of the material through
which the light is traveling over a defined distance. In this case the light is infrared
radiation (IR) traveling through a sample chamber filled with gas bearing a varying
concentration of CO.
The T300/T300M uses Gas Filter Correlation (GFC) to overcome the interfering effects
of various other gases (such as water vapor) that also absorb IR. The analyzer passes the
IR beam through a spinning wheel made up of two separate chambers: one containing a
high concentration of CO known as the reference, and the other containing a neutral gas
known as the measure. The concentration of CO in the sample chamber is computed by
taking the ratio of the instantaneous measure and reference values and then
compensating the ratio for sample temperature and pressure.
The T300/T300M Analyzer’s multi-tasking software gives the ability to track and report
a large number of operational parameters in real time. These readings are compared to
diagnostic limits kept in the analyzers memory and should any fall outside of those
limits the analyzer issues automatic warnings.
Built-in data acquisition capability, using the analyzer's internal memory, allows the
logging of multiple parameters including averaged or instantaneous concentration
values, calibration data, and operating parameters such as pressure and flow rate. Stored
data are easily retrieved through the serial port or Ethernet port via our APICOM
software or from the front panel, allowing operators to perform predictive diagnostics
and enhanced data analysis by tracking parameter trends. Multiple averaging periods of
one minute to 365 days are available for over a period of one year.
06864B DCN6314

Introduction, Features and Options Teledyne API – Model T300/T300M CO Analyzer
26
1.2. FEATURES
Some of the common features of your T300 family of analyzers include:
LCD color graphics with touch screen interface
Microprocessor controlled for versatility
Multi-tasking software allows viewing of test variables during operation
Continuous self checking with alarms
Bi-directional USB, RS-232, and 10/100Base-T Ethernet ports for remote operation
(optional RS-485)
Front panel USB ports for peripheral devices and software downloads
Digital status outputs indicate instrument operating condition
Adaptive signal filtering optimizes response time
Gas Filter Correlation (GFC) Wheel for CO specific measurement
GFC Wheel guaranteed against leaks for 5 years
Temperature and pressure compensation
Comprehensive internal data logging with programmable averaging periods
Remote operation when used with Teledyne API’s APICOM software
T300 FEATURES:
Ranges, 0-1 ppm to 0-1000 ppm, user selectable
14 meter path length for sensitivity
T300M FEATURES:
Ranges, 0-1 ppm; Max: 0-5000 ppm, user selectable
2.5 meter path length for dynamic range
1.3. T300/T300M DOCUMENTATION
In addition to this operation manual (part number 06807), two other manuals are
available for download from Teledyne API’s website at http://www.teledyne-
api.com/manuals/, to support the operation of this instrument:.
APICOM software manual, part number 03945
DAS Manual, part number 02837
06864B DCN6314

Teledyne API – Model T300/T300M CO Analyzer Introduction, Features and Options
27
1.4. OPTIONS
The options available for your analyzer are presented in Table 1-1 with name, option
number, a description and/or comments, and if applicable, cross-references to technical
details in this manual, such as setup and calibration. To order these options or to learn
more about them, please contact the Sales department of Teledyne - Advanced Pollution
Instruments at:
TOLL-FREE: 800-324-5190
TEL: +1 858-657-9800
FAX: +1 858-657-9816
E-MAIL: apisales@teledyne.com
WEB SITE: http://www.teledyne-api.com/
Table 1-1: Analyzer Options
Option Option
Number Description/Notes Reference
Pumps Pumps meet all typical AC power supply standards while exhibiting same pneumatic
performance.
10A External Pump 100V - 120V @ 60 Hz N/A
10B External Pump 220V - 240V @ 50 Hz N/A
10C External Pump 220V - 240V @ 60 Hz N/A
10D External Pump 100V – 12V @ 50 Hz N/A
10E External Pump 100V @ 60 Hz N/A
11 Pumpless, internal or external Pump Pack N/A
13 High Voltage Internal Pump 240V @ 50Hz N/A
Rack Mount
Kits Options for mounting the analyzer in standard 19” racks
20A Rack mount brackets with 26 in. chassis slides N/A
20B Rack mount brackets with 24 in. chassis slides N/A
21 Rack mount brackets only (compatible with carrying strap, Option 29) N/A
23 Rack mount for external pump pack (no slides) N/A
Carrying Strap/Handle Side-mounted strap for hand-carrying analyzer
29
Extends from “flat” position to accommodate hand for carrying.
Recesses to 9mm (3/8”) dimension for storage.
Can be used with rack mount brackets, Option 21.
Cannot be used with rack mount slides.
N/A
CAUTION - GENERAL SAFETY HAZARD
A fully loaded T300 with valve options weighs about 18 kg
or 40 lbs. (T300M weighs 22.7 kg or 50 lbs).
To avoid personal injury we recommend that two persons
lift and carry the analyzer. Disconnect all cables and
tubing from the analyzer before moving it.
Analog Inputs Used for connecting external voltage signals from other instrumentation (such as
meteorological instruments).
64
Also can be used for logging these signals in the analyzer’s internal
DAS
Sections 3.3.1.2,
5.9.3.11, and 7
06864B DCN6314

Introduction, Features and Options Teledyne API – Model T300/T300M CO Analyzer
28
Option Option
Number Description/Notes Reference
Current Loop Analog
Outputs
Adds isolated, voltage-to-current conversion circuitry to the analyzer’s analog
outputs.
41
Can be configured for any output range between 0 and 20 mA.
May be ordered separately for any of the analog outputs.
Can be installed at the factory or retrofitted in the field.
Sections 3.3.1.3,
3.3.1.4, 5.9.1,
5.9.2 and 5.9.3.7
Parts Kits Spare parts and expendables
42A
Expendables Kit includes a recommended set of expendables for
one year of operation of this instrument including replacement sample
particulate filters.
Appendix B
45 Spare Parts Kit includes spares parts for one unit. Appendix B
Calibration Valves Used to control the flow of calibration gases generated from external sources, rather
than manually switching the rear panel pneumatic connections.
50A Ambient Zero and Ambient Span. Sections 3.3.2.3
and 3.3.2.4
50B Ambient Zero and Pressurized Span Sections 3.3.2.5
and 3.3.2.6
50E Zero Scrubber and Pressurized Span Sections 3.3.2.7
and 3.3.2.8
50H Zero Scrubber and Ambient Span Sections 3.3.2.9
and 3.3.2.10
Communication Cables For remote serial, network and Internet communication with the analyzer.
Type Description
60A RS-232
Shielded, straight-through DB-9F to DB-25M cable, about
1.8 m long. Used to interface with older computers or
code activated switches with DB-25 serial connectors.
Section 3.3.1.8
and 6.3
60B RS-232
Shielded, straight-through DB-9F to DB-9F cable of about
1.8 m length.
Sections 3.3.1.8,
and 6.3
60C Ethernet
Patch cable, 2 meters long, used for Internet and LAN
communications.
Sections 3.3.1.8
and 6.5
60D USB
Cable for direct connection between instrument (rear
panel USB port) and personal computer.
Sections 3.3.1.8
and 6.6
Concentration Alarm Relay Issues warning when gas concentration exceeds limits set by user.
61
Four (4) “dry contact” relays on the rear panel of the instrument. This
relay option is different from and in addition to the “Contact Closures”
that come standard on all TAPI instruments.
Section 3.3.1.7
RS-232 Multidrop Enables communications between host computer and up to eight analyzers.
62
Multidrop card seated on the analyzer’s CPU card.
Each instrument in the multidrop network requires this card and a
communications cable (Option 60B).
Sections 3.3.1.8
and 5.7.1
Second Gas Sensors Choice of one additional gas sensor.
65A Oxygen (O2) Sensor • Sections 3.3.1.3
and 9.7.1
67A Carbon Dioxide (CO2) Sensor • Sections 3.3.1.3
and 9.7.2
06864B DCN6314

Teledyne API – Model T300/T300M CO Analyzer Introduction, Features and Options
29
Option Option
Number Description/Notes Reference
Special Features Built in features, software activated
N/A
Maintenance Mode Switch, located inside the instrument, places the
analyzer in maintenance mode where it can continue sampling, yet
ignore calibration, diagnostic, and reset instrument commands. This
feature is of particular use for instruments connected to Multidrop or
Hessen protocol networks.
Call Customer Service for activation.
N/A
N/A
Second Language Switch activates an alternate set of display
messages in a language other than the instrument’s default language.
Call Customer Service for a specially programmed Disk on Module containing
the second language.
N/A
N/A
Dilution Ratio Option allows the user to compensate for diluted
sample gas, such as in continuous emission monitoring (CEM) where
the quality of gas in a smoke stack is being tested and the sampling
method used to remove the gas from the stack dilutes the gas.
Call Customer Service for activation.
Sections 3.4.4.2
and 5.4.5
06864B DCN6314

Introduction, Features and Options Teledyne API – Model T300/T300M CO Analyzer
30
This page intentionally left blank.
06864B DCN6314

31
2. SPECIFICATIONS AND APPROVALS
This section presents specifications for the T300/T300M analyzer and for its second gas
sensor options, EPA equivalency designation, and compliance statements.
2.1. SPECIFICATIONS
Table 2-1: T300/T300M Basic Unit Specifications
Parameter Specification
Ranges Min: 0-1 ppm Full scale
Max: 0-1,000 ppm Full scale (selectable, dual ranges and auto ranging supported)
Measurement Units T300: ppb, ppm, µg/m3, mg/m3 (user selectable)
T300M: ppm, mg/m3 (user selectable)
Zero Noise1 T300: < 0.02 ppm RMS
T300M: ≤ 0.1 ppm RMS
Span Noise1 T300:<0.5% of rdg RMS over 5ppm 3
T300M:>0.5% of rdg RMS over 20ppm
Lower Detectable Limit1 T300: < 0.04 ppm
T300M: 0.2 ppm
Zero Drift (24 hours) 2 T300: < 0.1 ppm
T300M: <0.5 ppm
Span Drift (24 hours) 2 T300: < 0.5% of reading
T300M: 0.5ppm
Lag Time1 10 seconds
Rise/Fall Time 1 <60 seconds to 95%
Linearity T300: 1% of full scale5;
T300M: 0 - 3000 ppm: 1% full scale; 3000 - 5000 ppm: 2% full scale
Precision T300: The greater of 0.5% of reading or 0.2ppm;
T300M: The greater of 1.0% of reading or 1ppm
Sample Flow Rate 800 cm3/min. ±10%
(O2 Sensor option adds 120 cm³/min to total flow when installed)
AC Power 100V-120V, 220V-240V, 50/60 Hz
Analog Output Ranges All Outputs: 10V, 5V, 1V, 0.1V (selectable)
Three outputs convertible to 4-20 mA isolated current loop.
All Ranges with 5% under/over-range
Analog Output Resolution 1 part in 4096 of selected full-scale voltage
Recorder Offset ±10%
Standard I/O 1 Ethernet: 10/100Base-T
2 RS-232 (300 – 115,200 baud)
2 USB device ports
8 opto-isolated digital status outputs
6 opto-isolated digital control inputs (2 defined, 4 spare)
4 user configurable analog outputs
06864B DCN6314

Specifications and Approvals Teledyne API – Model T300/T300M CO Analyzer
32
Parameter Specification
Optional I/O 1 USB com port
1 RS485
8 analog inputs (0-10V, 12-bit)
4 digital alarm outputs (2 opto-isolated and 2 dry contact)
Multidrop RS232
3 4-20mA current outputs
Temperature Range 5 - 40C operating, 10 - 40C EPA Equivalency (T300 only)
Humidity Range 0-95% RH, Non-Condensing
Temp Coefficient < 0.05 % per C (minimum 50 ppb/C)
Voltage Coefficient < 0.05 % per V
Dimensions (HxWxD) 7" x 17" x 23.5" (178 mm x 432 mm x 597 mm)
Weight T300: 40 lbs (18.1 kg); T300M: 38.4 lbs (17.2)
Environmental Conditions Installation Category (Over voltage Category) II Pollution Degree 2
1 As defined by the USEPA 2 At constant temperature and pressure
Table 2-2: O2 Sensor Option Specifications
Parameter Description
Ranges 0-1% to 0-100% user selectable. Dual ranges and auto-ranging supported.
Zero Noise1 <0.02% O2
Lower Detectable Limit2 <0.04% O2
Zero Drift (24 hours) 3 <± 0.02% O2
Zero Drift (7 days) <±- 0.05% O2
Span Noise1 <± 0.05% O2
Span Drift (7 days) <± 0.1% O2
Accuracy (intrinsic error) <± 0.1% O2
Linearity <± 0.1 % O2
Temp Coefficient <± 0.05% O2 /°C,
Rise and Fall Time <60 seconds to 95%
1 As defined by the USEPA
2 Defined as twice the zero noise level by the USEPA
3 Note: zero drift is typically <± 0.1% O2 during the first 24 hrs of operation
06864B DCN6314

Teledyne API – Model T300/T300M CO Analyzer Specifications and Approvals
33
Table 2-3: CO2 Sensor Option Specifications
2.2. EPA EQUIVALENCY DESIGNATION
Note T300M: EPA equivalency does not apply to this model.
Teledyne API’s Model T300, Carbon Monoxide Analyzer, is designated as Reference
Method Number RFCA-1093-093 as defined in 40 CFR Part 53, when operated under
the following conditions:
Range: Any range from 10 ppm to 50 ppm
Ambient temperature range of 10 to 40C
Sample filter: Equipped with 5-micron PTFE filter element in the internal filter
assembly
Software settings:
Dilution factor 1.0
AutoCal ON or OFF
Dynamic Zero ON or OFF
Dynamic Span OFF
Dual Range ON or OFF
Auto Range ON or OFF
Temp/Pres Compensation ON
Parameter Description
Ranges 0-1% to 0-20% user selectable. Dual ranges and auto-ranging supported.
Zero Noise1 <0.02% CO2
Lower Detectable Limit2 <0.04% CO2
Zero Drift (24 hours) <± 0.02% CO2
Zero Drift (7 days) <± 0.05% CO2
Span Noise1 <± 0.1% CO2
Span Drift (7 days) <± 0.1% CO2
Accuracy <± (0.02% CO2 + 2% of reading)
Linearity <± 0.1% CO2
Temperature Coefficient <± 0.01% CO2 /°C
Rise and Fall Time <60 seconds to 95%
1 As defined by the USEPA
2 Defined as twice the zero noise level by the USEPA
06864B DCN6314

Specifications and Approvals Teledyne API – Model T300/T300M CO Analyzer
34
Under the designation, the analyzer may be operated with or without the following
options:
Rack mount with slides
Rack mount without slides, ears only
Zero/span valve options
Option 50A – Sample/Cal valves, or
Option 50B – Sample/Cal valves with span shutoff & flow control
Internal zero/span (IZS) option with either:
Option 51A – Sample/Cal valves, or
Option 51C – Sample/Cal valves with span shutoff & flow control
4-20mA, isolated output
2.3. APPROVALS AND CERTIFICATIONS
The Teledyne API Model T300/T300M analyzer was tested and certified for Safety and
Electromagnetic Compatibility (EMC). This section presents the compliance statements
for those requirements and directives.
2.3.1. SAFETY
IEC 61010-1:2001, Safety requirements for electrical equipment for measurement,
control, and laboratory use.
CE: 2006/95/EC, Low-Voltage Directive
North American:
cNEMKO (Canada): CAN/CSA-C22.2 No. 61010-1-04
NEMKO-CCL (US): UL No. 61010-1 (2nd Edition)
2.3.2. EMC
EN 61326-1 (IEC 61326-1), Class A Emissions/Industrial Immunity
EN 55011 (CISPR 11), Group 1, Class A Emissions
FCC 47 CFR Part 15B, Class A Emissions
CE: 2004/108/EC, Electromagnetic Compatibility Directive
2.3.3. OTHER TYPE CERTIFICATIONS
MCERTS: Sira MC 050069/04
For additional certifications, please contact Customer Service.
06864B DCN6314

35
3. GETTING STARTED
This section first introduces you to the instrument, then presents the procedures for
getting started, i.e., unpacking and inspection, making electrical and pneumatic
connections, and conducting an initial calibration check.
3.1. UNPACKING THE T300/T300M ANALYZER
CAUTION
GENERAL SAFETY HAZARD
To avoid personal injury, always use two persons to lift and carry the T300/T300M.
ATTENTION COULD DAMAGE INSTRUMENT AND VOID WARRANTY
Printed Circuit Assemblies (PCAs) are sensitive to electro-static
discharges too small to be felt by the human nervous system. Failure to
use ESD protection when working with electronic assemblies will void
the instrument warranty. See A Primer on Electro-Static Discharge in
this manual for more information on preventing ESD damage.
CAUTION!
Do not operate this instrument until you’ve removed dust plugs from SAMPLE and
EXHAUST ports on the rear panel!
Note Teledyne API recommends that you store shipping containers/materials
for future use if/when the instrument should be returned to the factory for
repair and/or calibration service. See Warranty section in this manual and
shipping procedures on our Website at http://www.teledyne-api.com
under Customer Support > Return Authorization.
Verify that there is no apparent external shipping damage. If damage has occurred,
please advise the shipper first, then Teledyne API.
06864B DCN6314

Getting Started Teledyne API – Model T300/T300M CO Analyzer
36
Included with your analyzer is a printed record (Final Test and Validation Data Sheet:
PN 04307; PN 04311) of the final performance characterization performed on your
instrument at the factory. This record is an important quality assurance and calibration
record for this instrument. It should be placed in the quality records file for this
instrument.
With no power to the unit, craefully remove the top cover of the analyzer and check for
internal shipping damage by carrying out the following steps:
1. Carefully remove the top cover of the analyzer and check for internal shipping
damage by:
Removing the setscrew located in the top, center of the Front panel;
Removing the two flat head, Phillips screws on the sides of the instrument (one
per side towards the rear);
Sliding the cover backwards until it clears the analyzer’s front bezel, and;
Lifting the cover straight up.
2. Inspect the interior of the instrument to make sure all circuit boards and other
components are in good shape and properly seated.
3. Check the connectors of the various internal wiring harnesses and pneumatic hoses
to make sure they are firmly and properly seated.
4. Verify that all of the optional hardware ordered with the unit has been installed.
These are listed on the paperwork accompanying the analyzer.
WARNING - ELECTRICAL SHOCK HAZARD
Never disconnect PCAs, wiring harnesses or electronic subassemblies
while instrument is under power.
3.1.1. VENTILATION CLEARANCE
Whether the analyzer is set up on a bench or installed into an instrument rack, be sure to
leave sufficient ventilation clearance.
Table 3-1: Ventilation Clearance
AREA MINIMUM REQUIRED CLEARANCE
Back of the instrument 4 in.
Sides of the instrument 1 in.
Above and below the instrument 1 in.
Various rack mount kits are available for this analyzer. See Table 1-1 of this manual for
more information.
06864B DCN6314

Teledyne API – Model T300/T300M CO Analyzer Getting Started
37
3.2. INSTRUMENT LAYOUT
Instrument layout includes front panel and display, rear panel connectors, and internal
chassis layout.
3.2.1. FRONT PANEL
Figure 3-1 shows the analyzer’s front panel layout, followed by a close-up of the display
screen in Figure 3-2, which is described in Table 3-2. The two USB ports on the front
panel are provided for the connection of peripheral devices:
plug-in mouse (not included) to be used as an alternative to the thouchscreen
interface
thumb drive (not included) to download updates to instruction software (contact
TAPI Customer Service for information).
Figure 3-1: Front Panel Layout
06864B DCN6314

Getting Started Teledyne API – Model T300/T300M CO Analyzer
38
Figure 3-2: Display Screen and Touch Control
The front panel liquid crystal display screen includes touch control. Upon analyzer start-
up, the screen shows a splash screen and other initialization indicators before the main
display appears, similar to Figure 3-2 above (may or may not display a Fault alarm). The
LEDs on the display screen indicate the Sample, Calibration and Fault states; also on the
screen is the gas concentration field (Conc), which displays real-time readouts for the
primary gas and for the secondary gas if installed. The display screen also shows what
mode the analyzer is currently in, as well as messages and data (Param). Along the
bottom of the screen is a row of touch control buttons; only those that are currently
applicable will have a label. Table 3-2 provides detailed information for each component
of the screen.
ATTENTION COULD DAMAGE INSTRUMENT AND VOID WARRANTY
Do not use hard-surfaced instruments such as pens to touch the control
buttons.
06864B DCN6314

Teledyne API – Model T300/T300M CO Analyzer Getting Started
39
Table 3-2: Display Screen and Touch Control Description
Field Description/Function
LEDs indicating the states of Sample, Calibration and Fault, as follows:
Name Color State Definition
SAMPLE Green
Off
On
Blinking
Unit is not operating in Sample Mode, DAS is disabled.
Sample Mode active; Front Panel Display being updated; DAS data
being stored.
Unit is operating in Sample Mode, front panel display being updated,
DAS hold-off mode is ON, DAS disabled
CAL Yellow
Off
On
Blinking
Auto Cal disabled
Auto Cal enabled
Unit is in calibration mode
Status
FAULT Red Off
Blinking
No warnings exist
Warnings exist
Conc Displays the actual concentration of the sample gas currently being measured by the analyzer in the
currently selected units of measure
Mode Displays the name of the analyzer’s current operating mode
Param Displays a variety of informational messages such as warning messages, operational data, test function
values and response messages during interactive tasks.
Control Buttons Displays dynamic, context sensitive labels on each button, which is blank when inactive until applicable.
Figure 3-3 shows how the front panel display is mapped to the menu charts that are
illustrated throughout this manual. The Mode, Param (parameters), and Conc (gas
concentration) fields in the display screen are represented across the top row of each
menu chart. The eight touch control buttons along the bottom of the display screen are
represented in the bottom row of each menu chart.
06864B DCN6314

Getting Started Teledyne API – Model T300/T300M CO Analyzer
40
Figure 3-3: Display/Touch Control Screen Mapped to Menu Charts
Note The menu charts in this manual contain condensed representations of the
analyzer’s display during the various operations being described. These
menu charts are not intended to be exact visual representations of the
actual display.
06864B DCN6314

Getting Started Teledyne API – Model T300/T300M CO Analyzer
42
Table 3-3: Rear Panel Description
Component Function
cooling fan Pulls ambient air into chassis through side vents and exhausts through rear.
AC power
connector
Connector for three-prong cord to apply AC power to the analyzer.
CAUTION! The cord’s power specifications (specs) MUST comply with the power
specs on the analyzer’s rear panel Model number label
Model/specs label Identifies the analyzer model number and provides voltage and frequency specs
SAMPLE
Connect a gas line from the source of sample gas here.
Calibration gases are also inlet here on units without zero/span/shutoff valve options
installed.
EXHAUST Connect an exhaust gas line of not more than 10 meters long here that leads outside
the shelter or immediate area surrounding the instrument.
SPAN 1 On units with zero/span/shutoff valve options installed, connect a gas line to the source
of calibrated span gas here.
SPAN2/VENT Used as a second cal gas input line when instrument is configured with zero/span
valves and a dual gas option, or as a cal gas vent line when instrument is configured
with a pressurized span option (Call factory for details).
ZERO AIR Internal Zero Air: On units with zero/span/shutoff valve options installed but no internal
zero air scrubber attach a gas line to the source of zero air here.
RX TX LEDs indicate receive (RX) and transmit (TX) activity on the when blinking.
COM 2 Serial communications port for RS-232 or RS-485. (Sections 3.3.1.8, 5.7.3, 6).
RS-232 Serial communications port for RS-232 only. (Sections 3.3.1.8, 5.7, 6.3, 6.7.2.1)
DCE DTE Switch to select either data terminal equipment or data communication equipment
during RS-232 communication. (Section 6.1).
STATUS For ouputs to devices such as Programmable Logic Controllers (PLCs). (Section
3.3.1.5).
ANALOG OUT For voltage or current loop outputs to a strip chart recorder and/or a data logger.
(Sections 3.3.1.3 and 3.3.1.4).
CONTROL IN For remotely activating the zero and span calibration modes. (Section 3.3.1.6).
ALARM Option for concentration alarms and system warnings. (Section 3.3.1.7).
ETHERNET Connector for network or Internet remote communication, using Ethernet cable
(Section 3.3.1.8).
ANALOG IN Option for external voltage signals from other instrumentation and for logging these
signals (Section 3.3.1.2)
USB Connector for direct connection to laptop computer, using USB cable. (Section 3.3.1.8).
06864B DCN6314

Teledyne API – Model T300/T300M CO Analyzer Getting Started
45
GFC Temperature
Sensor
Shock Absorbing
Mounting Bracket
Purge Gas
Inlet
IR Source
GFC Wheel
Heat Sync
GFC Wheel Motor
Purge Gas
Pressure Regulator
Bench
Temperature
Thermistor
Sample Chamber
Pressure Sensor(s)
Sample Gas Outlet
fitting
Sample Gas Flow
Sensor
Sync/Demod PCA
Housing
Opto-Pickup
PCA
GFC Heater
Figure 3-7: Optical Bench Layout (shorter bench, T300M, shown)
06864B DCN6314

Getting Started Teledyne API – Model T300/T300M CO Analyzer
46
3.3. CONNECTIONS AND SETUP
This section presents the electrical (Section 3.3.1) and pneumatic (Section 3.3.2)
connections for setup and preparing for instrument operation
3.3.1. ELECTRICAL CONNECTIONS
Note To maintain compliance with EMC standards, it is required that the cable
length be no greater than 3 meters for all I/O connections, which include
Analog In, Analog Out, Status Out, Control In, Ethernet/LAN, USB, RS-232,
and RS-485.
3.3.1.1. CONNECTING POWER
Attach the power cord to the analyzer and plug it into a power outlet capable of carrying
at least 10 A current at your AC voltage and that it is equipped with a functioning earth
ground.
WARNING
ELECTRICAL SHOCK HAZARD
High Voltages are present inside the analyzer’s case.
Power connection must have functioning ground connection.
Do not defeat the ground wire on power plug.
Turn off analyzer power before disconnecting or
connecting electrical subassemblies.
Do not operate with cover off.
CAUTION
GENERAL SAFETY HAZARD
The T300/T300M Analyzer can be configured for both
100-130 V and 210-240 V at either 47 Hz or 63 Hz.
To avoid damage to your analyzer, make sure that the AC power voltage matches
the voltage indicated on the analyzer’s model/specs label (See Figure 3-4) before
plugging the T300/T300M into line power.
06864B DCN6314

Teledyne API – Model T300/T300M CO Analyzer Getting Started
47
3.3.1.2. CONNECTING ANALOG INPUTS (OPTION)
The Analog In connector is used for connecting external voltage signals from other
instrumentation (such as meteorological instruments) and for logging these signals in the
analyzer’s internal DAS. The input voltage range for each analog input is 0-10 VDC.
Figure 3-8: Analog In Connector
Pin assignments for the Analog In connector are presented in Table 3-4.
Table 3-4: Analog Input Pin Assignments
PIN DESCRIPTION DAS
PARAMETER1
1 Analog input # 1 AIN 1
2 Analog input # 2 AIN 2
3 Analog input # 3 AIN 3
4 Analog input # 4 AIN 4
5 Analog input # 5 AIN 5
6 Analog input # 6 AIN 6
7 Analog input # 7 AIN 7
8 Analog input # 8 AIN 8
GND Analog input Ground N/A
1 See Section 7 for details on setting up the DAS.
3.3.1.3. CONNECTING ANALOG OUTPUTS
The T300 is equipped with several analog output channels accessible through a
connector on the back panel of the instrument. The standard configuration for these
outputs is mVDC. An optional current loop output is available for each.
When the instrument is in its default configuration, channels A1 and A2 output a signal
that is proportional to the CO concentration of the sample gas. Either can be used for
connecting the analog output signal to a chart recorder or for interfacing with a
datalogger.
Output A3 is only used on the T300/T300M if the optional CO2 or O2 sensor is installed.
Channel A4 is special. It can be set by the user (see Section 5.9.8.1) to output any one
of the parameters accessible through the <TST TST> buttons of the units sample
display.
To access these signals attach a strip chart recorder and/or data-logger to the appropriate
analog output connections on the rear panel of the analyzer.
06864B DCN6314

Getting Started Teledyne API – Model T300/T300M CO Analyzer
48
A
NALOG OUT
A1
A
2 A3 A4
+ - + - + - + -
Figure 3-9: Analog Output Connector
Table 3-5: Analog Output Pin-Outs
PIN ANALOG OUTPUT VOLTAGE SIGNAL CURRENT SIGNAL
1 V Out I Out +
2 A1 Ground I Out -
3 V Out I Out +
4 A2 Ground I Out -
5 V Out I Out +
6
A3
(Only used if CO2 or
O2 Sensor is
installed) Ground I Out -
7 V Out I Out +
8 A4 Ground I Out -
3.3.1.4. CURRENT LOOP ANALOG OUTPUTS (OPTION 41) SETUP
If your analyzer had this option installed at the factory, there are no further connections
to be made. Otherwise, it can be installed as a retrofit for each of the analog outputs of
the analyzer . This option converts the DC voltage analog output to a current signal with
0-20 mA output current. The outputs can be scaled to any set of limits within that 0-20
mA range. However, most current loop applications call for either 2-20 mA or 4-20 mA
range.
Figure 3-10 provides installation instructions and illustrates a sample combination of
one current output and two voltage outputs configuration. Following Figure 3-10 are
instructions for converting current loop analog outputs to standard 0-to-5 VDC outputs.
Information on calibrating or adjusting these outputs can be found in Section 5.9.3.7
CAUTION – AVOID INVALIDATING WARRANTY
Servicing or handling of circuit components requires electrostatic
discharge protection, i.e. ESD grounding straps, mats and containers.
Failure to use ESD protection when working with electronic assemblies will
void the instrument warranty. Refer to Section 14 for more information on
preventing ESD damage.
06864B DCN6314

Teledyne API – Model T300/T300M CO Analyzer Getting Started
49
Figure 3-10: Current Loop Option Installed on Motherboard
CONVERTING CURRENT LOOP ANALOG OUTPUTS TO STANDARD VOLTAGE
OUTPUTS
To convert an output configured for current loop operation to the standard 0 to 5 VDC
output operation:
1. Turn off power to the analyzer.
2. If a recording device was connected to the output being modified, disconnect it.
3. Remove the top cover.
Remove the screw located in the top, center of the front panel.
Remove the screws fastening the top cover to the unit (both sides).
Slide the cover back and lift straight up.
4. Remove the screw holding the current loop option to the motherboard.
5. Disconnect the current loop option PCA from the appropriate connector on the
motherboard (see Figure 3-10).
6. Each connector, J19 and J23, requires two shunts. Place one shunt on the two left-
most pins and the second shunt on the two pins next to it (see Figure 3-10).
7. Reattach the top case to the analyzer.
The analyzer is now ready to have a voltage-sensing, recording device attached
to that output.
8. Calibrate the analog output as described in Section 5.9.3.2.
06864B DCN6314

Getting Started Teledyne API – Model T300/T300M CO Analyzer
50
3.3.1.5. CONNECTING THE STATUS OUTPUTS
The status outputs report analyzer conditions via optically isolated NPN transistors,
which sink up to 50 mA of DC current. These outputs can be used interface with
devices that accept logic-level digital inputs, such as Programmable Logic Controllers
(PLCs). Each status bit is an open collector output that can withstand up to 40 VDC.
All of the emitters of these transistors are tied together and available at D.
ATTENTION COULD DAMAGE INSTRUMENT AND VOID WARRANTY
Most PLC’s have internal provisions for limiting the current that the input
will draw from an external device. When connecting to a unit that does
not have this feature, an external dropping resistor must be used to limit
the current through the transistor output to less than 50 mA. At 50 mA, the
transistor will drop approximately 1.2V from its collector to emitter.
The status outputs are accessed via a 12-pin connector on the analyzer’s rear panel
labeled STATUS (see Figure 3-4). Pin-outs for this connector are:
STATUS
1 2 3 4 5 6 7 8 D
+
SYSTEM OK
HIGH RANGE
CONC VALID
ZERO CAL
SPAN CAL
DIAG MODE
Optional O
2
CAL
+5V to external device
Figure 3-11: Status Output Connector
06864B DCN6314

Teledyne API – Model T300/T300M CO Analyzer Getting Started
51
Table 3-6: Status Output Signals
REAR PANEL
LABEL
STATUS
DEFINITION CONDITION
1 SYSTEM OK ON if no faults are present.
2 CONC VALID
OFF any time the HOLD OFF feature is active, such as during calibration or when
other faults exist possibly invalidating the current concentration measurement
(example: sample flow rate is outside of acceptable limits).
ON if concentration measurement is valid.
3 HIGH RANGE
ON if unit is in high range of either the DUAL or AUTO range modes.
4 ZERO CAL
ON whenever the instrument’s ZERO point is being calibrated.
5 SPAN CAL
ON whenever the instrument’s SPAN point is being calibrated.
6 DIAG MODE
ON whenever the instrument is in DIAGNOSTIC mode.
7 CO2 CAL
If this analyzer is equipped with an optional CO2 sensor, this Output is ON when that
sensor is in calibration mode.
Otherwise this output is unused.
8 O2 CAL
If this analyzer is equipped with an optional O2 sensor, this Output is ON when that
sensor is in calibration mode.
Otherwise this output is unused.
D EMITTER BUS The emitters of the transistors on pins 1-8 are bussed together.
SPARE
+ DC POWER + 5 VDC, 300 mA source maximum.
Digital Ground The ground level from the analyzer’s internal DC power supplies.
3.3.1.6. CONNECTING THE CONTROL INPUTS
To remotely activate the zero and span calibration modes, several digital control inputs
are provided through a 10-pin connector labeled CONTROL IN on the analyzer’s rear
panel.
There are two methods for energizing the control inputs. The internal +5V available
from the pin labeled “+” is the most convenient method. However, if full isolation is
required, an external 5 VDC power supply should be used.
06864B DCN6314

Getting Started Teledyne API – Model T300/T300M CO Analyzer
52
CONTROL IN
A B C D E F U
+
LOW SPAN
ZERO
CONTROL IN
A B C D E F U
+
LOW SPAN
ZERO
-
+
5 VDC Power
Supply
Local Power Connections External Power Connections
HIGH SPAN
HIGH SPAN
Figure 3-12: Control Input Connector
Table 3-7: Control Input Signals
INPUT # STATUS DEFINITION ON CONDITION
A REMOTE ZERO CAL The analyzer is placed in Zero Calibration mode. The mode field of the
display will read ZERO CAL R.
B REMOTE SPAN CAL
The analyzer is placed in span calibration mode as part of performing a low
span (midpoint) calibration. The mode field of the display will read LO CAL
R.
C REMOTE CAL HIGH RANGE
The analyzer is forced into high range for zero or span calibrations. This
only applies when the range mode is either DUAL or AUTO. The mode field
of the display will read HI CAL R.
D, E
& F SPARE
Digital Ground The ground level from the analyzer’s internal DC power supplies (same as
chassis ground).
U External Power input Input pin for +5 VDC required to activate pins A – F.
+ 5 VDC output
Internally generated 5V DC power. To activate inputs A – F, place a jumper
between this pin and the “U” pin. The maximum amperage through this port
is 300 mA (combined with the analog output supply, if used).
06864B DCN6314

Teledyne API – Model T300/T300M CO Analyzer Getting Started
53
3.3.1.7. CONNECTING THE CONCENTRATION ALARM RELAY (OPTION 61)
The concentration alarm option is comprised of four (4) “dry contact” relays on the rear
panel of the instrument. This relay option is different from and in addition to the
“Contact Closures” that come standard on all Teledyne API instruments. Each relay has
3 pins: Normally Open (NO), Common (C), and Normally Closed (NC).
Figure 3-13: Concentration Alarm Relay
Alarm 1 “System OK 2”
Alarm 2 “Conc 1”
Alarm 3 “Conc 2”
Alarm 4 “Range Bit”
“ALARM 1” RELAY
Alarm 1 which is “System OK 2” (system OK 1, is the status bit) is in the energized
state when the instrument is “OK” & there are no warnings. If there is a warning active
or if the instrument is put into the “DIAG” mode, Alarm 1 will change states. This
alarm has “reverse logic” meaning that if you put a meter across the Common &
Normally Closed pins on the connector you will find that it is OPEN when the
instrument is OK. This is so that if the instrument should turn off or lose power, it will
change states and you can record this with a data logger or other recording device.
“ALARM 2” RELAY & “ALARM 3” RELAY
Alarm 2 relay is associated with the “Concentration Alarm 1” set point in the software;
Alarm 3 Relay is associated with the “Concentration Alarm 2” set point in the software.
Alarm 2 Relay CO Alarm 1 = xxx PPM
Alarm 3 Relay CO2 Alarm 2 = xxx PPM
Alarm 2 Relay CO Alarm 1 = xxx PPM
Alarm 3 Relay CO2 Alarm 2 = xxx PPM
The Alarm 2 Relay will be turned on any time the concentration set-point is exceeded &
will return to its normal state when the concentration value goes back below the
concentration set-point.
Even though the relay on the rear panel is a NON-Latching alarm & resets when the
concentration goes back below the alarm set point, the warning on the front panel of the
06864B DCN6314

Getting Started Teledyne API – Model T300/T300M CO Analyzer
54
instrument will remain latched until it is cleared. You can clear the warning on the front
panel by either pushing the CLR button on the front panel or through the serial port.
In instruments that sample more than one gas type, there could be more than one gas
type triggering the Concentration 1 Alarm (“Alarm 2” Relay). For example, the T300M
instrument can monitor both CO & CO2 gas. The software is flexible enough to allow
you to configure the alarms so that you can have 2 alarm levels for each gas.
CO Alarm 1 = 20 PPM
CO Alarm 2 = 100 PPM
CO2 Alarm 1 = 20 PPM
CO2 Alarm 2 = 100 PPM
In this example, CO Alarm 1 & CO2 Alarm 1 will both be associated with the “Alarm 2”
relay on the rear panel. This allows you do have multiple alarm levels for individual
gasses.
A more likely configuration for this would be to put one gas on the “Alarm 1” relay &
the other gas on the “Alarm 2” relay.
CO Alarm 1 = 20 PPM
CO Alarm 2 = Disabled
CO2 Alarm 1 = Disabled
CO2 Alarm 2 = 100 PPM
“ALARM 4” RELAY
This relay is connected to the “range bit”. If the instrument is configured for “Auto
Range” and the instrument goes up into the high range, it will turn this relay on.
3.3.1.8. CONNECTING THE COMMUNICATION INTERFACES
The T-Series analyzers are equipped with connectors for remote communications
interfaces: Ethernet, USB, RS-232, optional RS-232 Multidrop, and optional RS-485.
In addition to using the appropriate cables, each type of communication method must be
configured using the SETUP>COMM menu, Section 6. Although Ethernet is DHCP-
enabled by default, it can also be configured manually (Section 6.5.1) to set up a static
IP address, which is the recommended setting when operating the instrument via
Ethernet.
ETHERNET CONNECTION
For network or Internet communication with the analyzer, connect an Ethernet cable
from the analyzer’s rear panel Ethernet interface connector to an Ethernet access port.
Please see Section 6.5 for description and setup instructions.
For manual configuration, see Section 6.5.1.
For automatic configuration (default), see Section 6.5.2.
06864B DCN6314

Teledyne API – Model T300/T300M CO Analyzer Getting Started
55
USB CONNECTION
For direct communication between the analyzer and a PC, connect a USB cable between
the analyzer and desktop or laptop USB ports. The baud rate for the analyzer and the
computer must match; you may elect to change one or the other: to view and/or change
the analyzer’s baud rate, see Section 6.2.2.
Note If this option is installed, the COM2 port cannot be used for anything
other than Multidrop communication.
For configuration, see 6.6.
RS-232 CONNECTION
For RS-232 communications with data terminal equipment (DTE) or with data
communication equipment (DCE) connect either a DB9-female-to-DB9-female cable
(Teledyne API part number WR000077) or a DB9-female-to-DB25-male cable (Option
60A, Section 1.4), as applicable, from the analyzer’s rear panel RS-232 port to the
device. Adjust the DCE-DTE switch (Figure 3-4) to select DTE or DCE as appropriate.
Configuration: Sections 5.7 and 6.3.
IMPORTANT IMPACT ON READINGS OR DATA
Cables that appear to be compatible because of matching connectors
may incorporate internal wiring that makes the link inoperable. Check
cables acquired from sources other than Teledyne API for pin
assignments (Figure 3-14) before using.
06864B DCN6314

Getting Started Teledyne API – Model T300/T300M CO Analyzer
56
RS-232 COM PORT CONNECTOR PIN-OUTS
Electronically, the difference between the DCE and DTE is the pin assignment of the
Data Receive and Data Transmit functions.
DTE devices receive data on pin 2 and transmit data on pin 3.
DCE devices receive data on pin 3 and transmit data on pin 2.
Figure 3-14: Rear Panel Connector Pin-Outs for RS-232 Mode
The signals from these two connectors are routed from the motherboard via a wiring
harness to two 10-pin connectors on the CPU card, J11 (COM1) and J12 (COM2)
(Figure 3-15).
06864B DCN6314

Teledyne API – Model T300/T300M CO Analyzer Getting Started
57
Figure 3-15: Default Pin Assignments for CPU COM Port connector (RS-232)
RS-232 COM PORT DEFAULT SETTINGS
Received from the factory, the analyzer is set up to emulate a DCE or modem, with Pin
3 of the DB-9 connector designated for receiving data and Pin 2 designated for sending
data.
RS-232 (COM1): RS-232 (fixed) DB-9 male connector.
Baud rate: 115200 bits per second (baud)
Data Bits: 8 data bits with 1 stop bit
Parity: None
COM2: RS-232 (configurable to RS-485), DB-9 female connector.
Baud rate: 19200 bits per second (baud)
Data Bits: 8 data bits with 1 stop bit
Parity: None
06864B DCN6314

Getting Started Teledyne API – Model T300/T300M CO Analyzer
58
RS-232 MULTIDROP OPTION CONNECTION
When the RS-232 Multidrop option is installed, connection adjustments and
configuration through the menu system are required. This section provides instructions
for the internal connection adjustments, then for external connections, and ends with
instructions for menu-driven configuration.
Note Because the RS-232 Multidrop option uses both the RS232 and COM2
DB9 connectors on the analyzer’s rear panel to connect the chain of
instruments, COM2 port is no longer available for separate RS-232 or
RS-485 operation.
ATTENTION COULD DAMAGE INSTRUMENT AND VOID WARRANTY
Printed Circuit Assemblies (PCAs) are sensitive to electro-static
discharges too small to be felt by the human nervous system. Failure to
use ESD protection when working with electronic assemblies will void
the instrument warranty. Refer to Section 14 for more information on
preventing ESD damage.
In each instrument with the Multidrop option there is a shunt jumpering two pins on the
serial Multidrop and LVDS printed circuit assembly (PCA), as shown in Figure 3-16.
This shunt must be removed from all instruments except that designated as last in the
multidrop chain, which must remain terminated. This requires powering off and opening
each instrument and making the following adjustments:
1. With NO power to the instrument, remove its top cover and lay the rear panel open
for access to the Multidrop/LVDS PCA, which is seated on the CPU.
2. On the Multidrop/LVDS PCA’s JP2 connector, remove the shunt that jumpers Pins
21 22 as indicated in. (Do this for all but the last instrument in the chain where
the shunt should remain at Pins 21 22).
3. Check that the following cable connections are made in all instruments (again refer
to Figure 3-16):
J3 on the Multidrop/LVDS PCA to the CPU’s COM1 connector
(Note that the CPU’s COM2 connector is not used in Multidrop)
J4 on the Multidrop/LVDS PCA to J12 on the motherboard
J1 on the Multidrop/LVDS PCS to the front panel LCD
06864B DCN6314

Teledyne API – Model T300/T300M CO Analyzer Getting Started
59
Figure 3-16: Jumper and Cables for Multidrop Mode
Note: If you are adding an instrument to the end of a previously configured chain,
remove the shunt between Pins 21 22 of JP2 on the Multidrop/LVDS PCA in the
instrument that was previously the last instrument in the chain.
4. Close the instrument.
5. Referring to Figure 3-17 use straight-through DB9 male DB9 female cables to
interconnect the host RS232 port to the first analyzer’s RS232 port; then from the
first analyzer’s COM2 port to the second analyzer’s RS232 port; from the second
analyzer’s COM2 port to the third analyzer’s RS232 port, etc., connecting in this
fashion up to eight analyzers, subject to the distance limitations of the RS-232
standard.
6. On the rear panel of each analyzer, adjust the DCE DTE switch so that the green
and the red LEDs (RX and TX) of the COM1 connector (labeled RS232) are both lit.
(Ensure you are using the correct RS-232 cables internally wired specifically for RS-
232 communication; see Table 1-1: Analyzer Options, “Communication Cables” and
Section 3.3.1.8: Connecting the Communications Inerfaces, “RS-232 Connection”).
06864B DCN6314

Getting Started Teledyne API – Model T300/T300M CO Analyzer
60
Analyzer Analyzer Analyzer Last Analyzer
Female DB9
Male DB9
RS-232
COM2
RS-232
COM2
RS-232
COM2
RS-232
COM2
Host
RS-232 port
Ensure jumper is
installed between
JP2 pins 21 22 in
last instrument of
multidrop chain.
Figure 3-17: RS-232-Multidrop PCA Host/Analyzer Interconnect Diagram
7. BEFORE communicating from the host, power on the instruments and check that
the Machine ID code is unique for each (Section 5.7.1).
a. In the SETUP Mode menu go to SETUP>MORE>COMM>ID. The default ID is
typically the model number or “0”.
b. to change the identification number, press the button below the digit to be
changed.
c. Press/select ENTER to accept the new ID for that instrument.
8. Next, in the SETUP>MORE>COMM>COM1 menu (do not use the COM2 menu for
multidrop), edit the COM1 MODE parameter as follows: press/select EDIT and set
only QUIET MODE, COMPUTER MODE, and MULTIDROP MODE to ON. Do not
change any other settings.
9. Press/select ENTER to accept the changed settings, and ensure that COM1 MODE
now shows 35.
10. Press/select SET> to go to the COM1 BAUD RATE menu and ensure it reads the
same for all instruments (edit as needed so that all instruments are set at the same
baud rate).
Note The Instrument ID’s should not be duplicated.
The (communication) Host instrument can only address one instrument at a time.
Note Teledyne API recommends setting up the first link, between the Host and
the first analyzer, and testing it before setting up the rest of the chain.
06864B DCN6314

Teledyne API – Model T300/T300M CO Analyzer Getting Started
61
RS-485 CONNECTION
As delivered from the factory, COM2 is configured for RS-232 communications. This
port can be reconfigured for operation as a non-isolated, half-duplex RS-485 port. Using
COM2 for RS-485 communication disables the USB port. To configure the instrument
for RS-485 communication, please contact the factory.
3.3.2. PNEUMATIC CONNECTIONS
This section provides not only pneumatic connection information, but also important
information about the gases required for accurate calibration; it also illustrates the
pneumatic layouts for the analyzer in its basic configuration and with options.
Before making the pneumatic connections, carefully note the following cautionary and
special messages:
CAUTION
GENERAL SAFETY HAZARD
CARBON MONOXIDE (CO) IS A TOXIC GAS.
Do not vent calibration gas and sample gas into enclosed areas. Obtain
a Material Safety Data Sheet (MSDS) for this material. Read and
rigorously follow the safety guidelines described there.
CAUTION
GENERAL SAFETY HAZARD
Sample and calibration gases should only come into contact with PTFE
(Teflon), FEP, glass, stainless steel or brass.
The exhaust from the analyzer’s internal pump MUST be vented outside
the immediate area or shelter surrounding the instrument.
It is important to conform to all safety requirements regarding exposure
to CO.
06864B DCN6314

Getting Started Teledyne API – Model T300/T300M CO Analyzer
62
ATTENTION COULD DAMAGE INSTRUMENT AND VOID WARRANTY
Maximum Pressure:
Ideally the maximum pressure of any gas at the sample inlet should
equal ambient atmospheric pressure and should NEVER exceed
1.5 in-hg above ambient pressure.
Venting Pressurized Gas:
In applications where any gas (span gas, zero air supply, sample gas
is) received from a pressurized manifold, a vent must be provided to
equalize the gas with ambient atmospheric pressure before it enters
the analyzer to ensure that the gases input do not exceed the
maximum inlet pressure of the analyzer, as well as to prevent back
diffusion and pressure effects. These vents should be:
• at least 0.2m long
• no more than 2m long
• vented outside the shelter or immediate area surrounding the
instrument.
Dust Plugs:
Remove dust plugs from rear panel exhaust and supply line fittings
before powering on/operating instrument. These plugs should be kept
for reuse in the event of future storage or shipping to prevent debris
from entering the pneumatics.
IMPORTANT Leak Check
Run a leak check once the appropriate pneumatic connections have been
made; check all pneumatic fittings for leaks using the procedures
defined in Section 11.3.3.
See Figure 3-4 and Table 3-3 for the location and descriptions of the various pneumatic
inlets/outlets referenced in this section.
06864B DCN6314

Teledyne API – Model T300/T300M CO Analyzer Getting Started
63
3.3.2.1. PNEUMATIC CONNECTIONS FOR BASIC CONFIGURATION
Figure 3-18: Pneumatic Connections–Basic Configuration–Using Bottled Span Gas
Figure 3-19: Pneumatic Connections–Basic Configuration–Using Gas Dilution Calibrator
06864B DCN6314

Getting Started Teledyne API – Model T300/T300M CO Analyzer
64
SAMPLE GAS SOURCE
Attach a sample inlet line to the SAMPLE inlet port. The sample input line should not
be more than 2 meters long.
Maximum pressure of any gas at the sample inlet should not exceed 1.5 in-hg above
ambient pressure and ideally should equal ambient atmospheric pressure.
In applications where the sample gas is received from a pressurized manifold, a
vent must be placed on the sample gas before it enters the analyzer.
CALIBRATION GAS SOURCES
The source of calibration gas is also attached to the SAMPLE inlet, but only when a
calibration operation is actually being performed.
Note Zero air and span gas inlets should supply their respective gases in
excess of the 800 cc3/min demand of the analyzer.
INPUT GAS VENTING
The span gas, zero air supply and sample gas line MUST be vented in order to ensure
that the gases input do not exceed the maximum inlet pressure of the analyzer as well as
to prevent back diffusion and pressure effects. These vents should be:
At least 0.2m long;
No more than 2m long and;
Vented outside the shelter or immediate area surrounding the instrument.
EXHAUST OUTLET
Attach an exhaust line to the analyzer’s EXHAUST outlet fitting. The exhaust line
should be:
PTEF tubing; minimum O.D ¼”;
A maximum of 10 meters long;
Vented outside the T300/T300M Analyzer’s enclosure.
06864B DCN6314

Teledyne API – Model T300/T300M CO Analyzer Getting Started
65
3.3.2.2. PNEUMATIC LAYOUT FOR BASIC CONFIGURATION
Figure 3-20: T300/T300M Internal Gas Flow (Basic Configuration)
3.3.2.3. PNEUMATIC CONNECTIONS FOR AMBIENT ZERO/AMBIENT SPAN VALVE OPTION
This valve option is intended for applications where:
Zero air is supplied by a zero air generator like the Teledyne API’s T701 and;
Span gas is supplied by Gas Dilution Calibrator like the Teledyne API’s T700.
Internal zero/span and sample/cal valves control the flow of gas through the instrument,
but because the generator and calibrator limit the flow of zero air and span gas, no
shutoff valves are required.
See Figure 3-4 for the location of gas inlets.
06864B DCN6314

Getting Started Teledyne API – Model T300/T300M CO Analyzer
66
Figure 3-21: Pneumatic Connections – Option 50A: Zero/Span Calibration Valves
SAMPLE GAS SOURCE
Attach a sample inlet line to the sample inlet port. The SAMPLE input line should not
be more than 2 meters long.
Maximum pressure of any gas at the sample inlet should not exceed 1.5 in-hg above
ambient pressure and ideally should equal ambient atmospheric pressure.
In applications where the sample gas is received from a pressurized manifold, a
vent must be placed on the sample gas before it enters the analyzer.
CALIBRATION GAS SOURCES
A vent may or may not be required when a T700-series is used with this option,
depending on how the T700-series model output manifold is configured.
SPAN GAS:
Attach a gas line from the source of calibration gas (e.g. a Teledyne API’s T700
Dynamic Dilution Calibrator) to the SPAN inlet at 30 psig.
ZERO AIR:
Zero air is supplied via a zero air generator such as a Teledyne API’s T701.
An adjustable valve is installed in the zero air supply line to regulate the gas flow.
INPUT GAS VENTING
The zero air supply and sample gas line MUST be vented in order to ensure that the
gases input do not exceed the maximum inlet pressure of the analyzer as well as to
prevent back diffusion and pressure effects. These vents should be:
At least 0.2m long;
No more than 2m long and;
Vented outside the shelter or immediate area surrounding the instrument.
06864B DCN6314

Teledyne API – Model T300/T300M CO Analyzer Getting Started
67
EXHAUST OUTLET
Attach an exhaust line to the analyzer’s EXHAUST outlet fitting. The exhaust line
should be:
PTEF tubing; minimum O.D ¼”;
A maximum of 10 meters long;
Vented outside the analyzer’s enclosure.
3.3.2.4. PNEUMATIC LAYOUT FOR AMBIENT ZERO/AMBIENT SPAN VALVE OPTION
Figure 3-22: Internal Pneumatic Flow OPT 50A – Zero/Span Valves
Table 3-8: Zero/Span Valve Operating States for Option 50A
MODE VALVE CONDITION
Sample/Cal Open to SAMPLE inlet
SAMPLE
(Normal
State) Zero/Span Open to IZS inlet
Sample/Cal Open to ZERO/SPAN valve
ZERO CAL Zero/Span Open to IZS inlet
Sample/Cal Open to ZERO/SPAN valve
SPAN CAL Zero/Span Open to PRESSURE SPAN inlet
3.3.2.5. PNEUMATIC CONNECTIONS FOR AMBIENT ZERO/PRESSURIZED SPAN
This option requires that both zero air and span gas be supplied from external sources.
06864B DCN6314

Getting Started Teledyne API – Model T300/T300M CO Analyzer
68
Span gas will be supplied from a pressurized bottle of calibrated CO gas.
A critical flow control orifice, internal to the instrument ensures that the proper
flow rate is maintained.
An internal vent line ensures that the gas pressure of the span gas is reduced to
ambient atmospheric pressure.
A SHUTOFF valve preserves the span gas source when it is not in use.
Zero gas is supplied by either an external scrubber or a zero air generator such as
the Teledyne API’s T701.
Figure 3-23: Pneumatic Connections – Option 50B: Ambient Zero/Pressurized Span Calibration Valves
SAMPLE GAS SOURCE
Attach a sample inlet line to the sample inlet port. The SAMPLE input line should not
be more than 2 meters long.
Maximum pressure of any gas at the sample inlet should not exceed 1.5 in-hg above
ambient pressure and ideally should equal ambient atmospheric pressure.
In applications where the sample gas is received from a pressurized manifold, a
vent must be placed on the sample gas before it enters the analyzer.
CALIBRATION GAS SOURCES
SPAN GAS
Attach a gas line from the pressurized source of calibration gas (e.g. a bottle of nist-
srm gas) to the SPAN inlet at 30 psig.
ZERO AIR
Zero air is supplied via a zero air generator such as a Teledyne API’s T701.
An adjustable valve is installed in the zero air supply line to regulate the gas flow.
INPUT GAS VENTING
The zero air supply and sample gas line MUST be vented in order to ensure that the
gases input do not exceed the maximum inlet pressure of the analyzer as well as to
prevent back diffusion and pressure effects. These vents should be:
06864B DCN6314

Teledyne API – Model T300/T300M CO Analyzer Getting Started
69
At least 0.2m long;
No more than 2m long and;
Vented outside the shelter or immediate area surrounding the instrument.
A similar vent line should be connected to the VENT SPAN outlet on the back of the
analyzer.
EXHAUST OUTLET
Attach an exhaust line to the analyzer’s EXHAUST outlet fitting. The exhaust line
should be:
PTEF tubing; minimum O.D ¼”;
A maximum of 10 meters long;
Vented outside the analyzer’s enclosure.
3.3.2.6. PNEUMATIC LAYOUT FOR AMBIENT ZERO/PRESSURIZED SPAN OPTION
Figure 3-24: Internal Pneumatic Flow OPT 50B – Zero/Span/Shutoff Valves
Table 3-9: Zero/Span Valve Operating States for Option 50B
MODE VALVE CONDITION
Sample/Cal Open to SAMPLE inlet
Zero/Span Open to IZS inlet
SAMPLE
(Normal
State) Shutoff Valve Closed
Sample/Cal Open to ZERO/SPAN valve
Zero/Span Open to IZS inlet
ZERO CAL
Shutoff Valve Closed
Sample/Cal Open to ZERO/SPAN valve
Zero/Span Open to SHUTOFF valve
SPAN CAL
Shutoff Valve Open to PRESSURE SPAN Inlet
06864B DCN6314

Getting Started Teledyne API – Model T300/T300M CO Analyzer
70
3.3.2.7. PNEUMATIC CONNECTIONS FOR ZERO SCRUBBER/PRESSURIZED SPAN OPTION
Figure 3-25: Pneumatic Connections – Zero Scrubber/Pressurized Span Calibration Valves (Opt 50E)
SAMPLE GAS SOURCE
Attach a sample inlet line to the sample inlet port. The SAMPLE input line should not
be more than 2 meters long.
Maximum pressure of any gas at the sample inlet should not exceed 1.5 in-hg above
ambient pressure and ideally should equal ambient atmospheric pressure.
In applications where the sample gas is received from a pressurized manifold, a
vent must be placed on the sample gas before it enters the analyzer.
CALIBRATION GAS SOURCES
SPAN GAS:
Attach a gas line from the pressurized source of calibration gas (e.g. a bottle of
NIST-SRM gas) to the span inlet.
Span gas can by generated by a T700 Dynamic Dilution Calibrator.
ZERO AIR:
Zero air is supplied internally via a zero air scrubber that draws ambient air through
the ZERO AIR inlet.
INPUT GAS VENTING
The zero air supply and sample gas line MUST be vented in order to ensure that the
gases input do not exceed the maximum inlet pressure of the analyzer as well as to
prevent back diffusion and pressure effects. These vents should be:
At least 0.2m long;
No more than 2m long and;
Vented outside the shelter or immediate area surrounding the instrument.
A similar vent line should be connected to the VENT SPAN outlet on the back of the
analyzer.
06864B DCN6314

Teledyne API – Model T300/T300M CO Analyzer Getting Started
71
EXHAUST OUTLET
Attach an exhaust line to the analyzer’s EXHAUST outlet fitting. The exhaust line
should be:
PTEF tubing; minimum O.D ¼”;
A maximum of 10 meters long;
Vented outside the analyzer’s enclosure.
3.3.2.8. PNEUMATIC LAYOUT FOR ZERO SCRUBBER/PRESSURIZED SPAN OPTION
Figure 3-26: Internal Pneumatic Flow OPT 50E – Zero Scrubber/Pressurized Span
Table 3-10: Zero/Span Valve Operating States for Option 51E
Mode Valve Condition
Sample/Cal Open to SAMPLE inlet
Zero/Span Open to internal ZERO AIR
scrubber
SAMPLE
(Normal State)
Shutoff Valve Closed
Sample/Cal Open to zero/span valve
Zero/Span Open to internal ZERO AIR
scrubber
ZERO CAL
Shutoff Valve Closed
Sample/Cal Open to ZERO/SPAN valve
Zero/Span Open to SHUTOFF valve
SPAN CAL
Shutoff Valve Open to PRESSURE SPAN
inlet
06864B DCN6314

Getting Started Teledyne API – Model T300/T300M CO Analyzer
72
3.3.2.9. PNEUMATIC CONNECTIONS FOR ZERO SCRUBBER/AMBIENT SPAN OPTION
Option 50H is operationally and pneumatically similar to Option 50A described earlier,
except that the zero air is generated by an internal zero air scrubber. This means that the
IZS inlet can simply be left open to ambient air.
Internal zero/span and sample/cal valves control the flow of gas through the instrument,
but because the generator and calibrator limit the flow of zero air and span gas no
shutoff valves are required.
See Figure 3-4 for the location of gas inlets and outlets and span gas no shutoff valves
are required.
Figure 3-27: Pneumatic Connections – Option 50H: Zero/Span Calibration Valves
SAMPLE GAS SOURCE
Attach a sample inlet line to the sample inlet port. The SAMPLE input line should not
be more than 2 meters long.
Maximum pressure of any gas at the sample inlet should not exceed 1.5 in-Hg
above ambient pressure and ideally should equal ambient atmospheric pressure.
In applications where the sample gas is received from a pressurized manifold, a
vent must be placed on the sample gas before it enters the analyzer.
06864B DCN6314

Teledyne API – Model T300/T300M CO Analyzer Getting Started
73
CALIBRATION GAS SOURCES
SPAN GAS
Attach a gas line from the source of calibration gas (e.g. a Teledyne API’s T700E
Dynamic Dilution Calibrator) to the SPAN inlet.
ZERO AIR
Zero air is supplied internally via a zero air scrubber that draws ambient air through
the IZS inlet.
INPUT GAS VENTING
The zero air supply and sample gas line MUST be vented in order to ensure that the
gases input do not exceed the maximum inlet pressure of the analyzer as well as to
prevent back diffusion and pressure effects. These vents should be:
At least 0.2m long;
No more than 2m long and;
Vented outside the shelter or immediate area surrounding the instrument.
EXHAUST OUTLET
Attach an exhaust line to the analyzer’s EXHAUST outlet fitting. The exhaust line
should be:
PTEF tubing; minimum O.D ¼”;
A maximum of 10 meters long;
Vented outside the analyzer’s enclosure.
06864B DCN6314

Getting Started Teledyne API – Model T300/T300M CO Analyzer
74
3.3.2.10. PNEUMATIC LAYOUT FOR ZERO SCRUBBER/ AMBIENT SPAN OPTION
Figure 3-28: Internal Pneumatic Flow OPT 50H – Zero Scrubber/Ambient Span
Table 3-11: Zero/Span Valve Operating States for Option 50H
MODE VALVE CONDITION
Sample/Cal Open to SAMPLE inlet
SAMPLE
(Normal
State) Zero/Span Open to ZERO AIR scrubber
Sample/Cal Open to ZERO/SPAN valve
ZERO CAL Zero/Span Open to ZERO AIR scrubber
Sample/Cal Open to ZERO/SPAN valve
SPAN CAL Zero/Span Open to PRESSURE SPAN inlet
3.3.2.11. CALIBRATION GASES
Zero air and span gas are required for accurate calibration.
ZERO AIR
Zero air is a gas that is similar in chemical composition to the earth’s atmosphere but
scrubbed of all components that might affect the analyzer’s readings, in this case CO
and water vapor. If your analyzer is equipped with an Internal Zero Span (IZS) or an
external zero air scrubber option, it is capable of creating zero air.
06864B DCN6314

Teledyne API – Model T300/T300M CO Analyzer Getting Started
75
If the analyzer is NOT equipped with the optional CO2 sensor, zero air should be
scrubbed of CO2 as well, as this gas can also have an interfering effect on CO
measurements.
For analyzers without an IZS or external zero air scrubber option, a zero air generator
such as the Teledyne API Model T701 can be used.
SPAN GAS
Span gas is a gas specifically mixed to match the chemical composition of the type of
gas being measured at near full scale of the desired measurement range. In the case of
CO measurements made with the T300 or T300M Analyzer, it is recommended that you
use a span gas with a CO concentration equal to 80-90% of the measurement range for
your application.
EXAMPLE: If the application is to measure between 0 ppm and 500 ppb, an appropriate
span gas concentration would be 400-450 ppb CO in N2.
Cylinders of calibrated CO gas traceable to NIST-Standard Reference Material
specifications (also referred to as SRMs or EPA protocol calibration gases) are
commercially available. Table 3-12 lists specific NIST-SRM reference numbers for
various concentrations of CO.
Table 3-12: NIST-SRM's Available for Traceability of CO Calibration Gases
NIST-SRM TYPE NOMINAL CONCENTRATION
1680b CO in N2 500 ppm
1681b CO in N2 1000 ppm
2613a CO in Zero Air 20 ppm
2614a CO in Zero Air 45 ppm
2659a1 O2 in N2 21% by weight
2626a CO2 in N2 4% by weight
2745* CO2 in N2 16% by weight
1 Used to calibrate optional O2 sensor.
2 Used to calibrate optional CO2 sensor.
SPAN GAS FOR MULTIPOINT CALIBRATION
Some applications, such as EPA monitoring, require a multipoint calibration procedure
where span gases of different concentrations are needed. We recommend using a bottle
of calibrated CO gas of higher concentration in conjunction with a gas dilution calibrator
such as a Teledyne API’s T700. This type of calibrator precisely mixes a high
concentration gas with zero air (both supplied externally) to accurately produce span gas
of the correct concentration. Linearity profiles can be automated with this model and
run unattended over night.
06864B DCN6314

Getting Started Teledyne API – Model T300/T300M CO Analyzer
76
3.4. STARTUP, FUNCTIONAL CHECKS, AND INITIAL
CALIBRATION
IMPORTANT IMPACT ON READINGS OR DATA
The analyzer’s cover must be installed to ensure that the temperatures of
the GFC Wheel and absorption cell assemblies are properly controlled.
If you are unfamiliar with the T300/T300M theory of operation, we recommend that you
read Section 13. For information on navigating the analyzer’s software menus, see the
menu trees described in Appendix A.
3.4.1. STARTUP
After the electrical and pneumatic connections are made, an initial functional check is in
order. Turn on the instrument. The pump and exhaust fan should start immediately. The
display will briefly show a momentary splash screen of the Teledyne API logo and other
information during the initialization process while the CPU loads the operating system,
the firmware and the configuration data at the start of initialization.
The analyzer should automatically switch to Sample Mode after completing the boot-up
sequence and start monitoring CO gas. However, there is an approximately one hour
warm-up period before reliable gas measurements can be taken. During the warm-up
period, the front panel display may show messages in the Parameters field.
3.4.2. WARNING MESSAGES
Because internal temperatures and other conditions may be outside the specified limits
during the analyzer’s warm-up period, the software will suppress most warning
conditions for 30 minutes after power up. If warning messages persist after the 60
minutes warm-up period is over, investigate their cause using the troubleshooting
guidelines in Section 12.
To view and clear warning messages, press:
06864B DCN6314

Teledyne API – Model T300/T300M CO Analyzer Getting Started
77
Table 3-13 lists brief descriptions of the warning messages that may occur during start
up.
Table 3-13: Possible Warning Messages at Start-Up
Message MEANING
ANALOG CAL WARNING The instrument's A/D circuitry or one of its analog outputs is not calibrated.
BENCH TEMP WARNING Optical bench temperature is outside the specified limits.
BOX TEMP WARNING The temperature inside the T300/T300M chassis is outside the specified limits.
CANNOT DYN SPAN2 Remote span calibration failed while the dynamic span feature was set to
turned on.
CANNOT DYN ZERO3 Remote zero calibration failed while the dynamic zero feature was set to turned
on.
CONFIG INITIALIZED Configuration was reset to factory defaults or was erased.
DATA INITIALIZED DAS data storage was erased.
PHOTO TEMP WARNING Photometer temperature outside of warning limits specified by
PHOTO_TEMP_SET variable.
REAR BOARD NOT DET Motherboard was not detected during power up.
RELAY BOARD WARN CPU is unable to communicate with the relay PCA.
SAMPLE FLOW WARN The flow rate of the sample gas is outside the specified limits.
SAMPLE PRESS WARN Sample pressure outside of operational parameters.
SAMPLE TEMP WARN The temperature of the sample gas is outside the specified limits.
SOURCE WARNING The IR source may be faulty.
SYSTEM RESET1 The computer was rebooted.
WHEEL TEMP WARNING The Gas Filter Correlation Wheel temperature is outside the specified limits.
1 Typically clears 45 minutes after power up.
2 Clears the next time successful zero calibration is performed.
3 Clears the next time successful span calibration is performed.
Table 3-14 lists brief descriptions of the warning messages that may occur during start
up for T300 analyzers with optional second gas options or alarms installed.
06864B DCN6314

Getting Started Teledyne API – Model T300/T300M CO Analyzer
78
Table 3-14: Possible Startup Warning Messages – T300 Analyzers with Options
Message Meaning
O2 CELL TEMP WARN1 O2 sensor cell temperature outside of warning limits specified by
O2_CELL_SET variable.
IZS TEMP WARNING2 On units with IZS options installed: The permeation tube temperature is outside
of specified limits.
O2 ALARM 1 WARN1, 4 O2 Alarm limit #1 has been triggered.4
O2 ALARM 2 WARN1, 4 O2 Alarm limit #2 has been triggered.4
CO2 ALARM 1 WARN3, 4 CO2 Alarm limit #1 has been triggered.4
CO2 ALARM 2 WARN3, 4` CO2 Alarm limit #2 has been triggered.4
SO2 ALARM1 WARN4 SO2 Alarm limit #1 has been triggered.4
SO2 ALARM2 WARN4 SO2 Alarm limit #2 has been triggered.4
1 Only appears when the optional O2 sensor is installed.
2 Only appears when the optional internal zero span (IZS) option is installed.
3 Only appears when the optional CO2 sensor is installed.
4 Only Appears when the optional gas concentration alarms are installed
3.4.3. FUNCTIONAL CHECKS
After the analyzer’s components have warmed up for at least 60 minutes, verify that the
software properly supports any hardware options that were installed: navigate through
the analyzer’s software menus, see the menu trees described in Appendix A.
Then check to make sure that the analyzer is functioning within allowable operating
parameters:
Appendix C includes a list of test functions viewable from the analyzer’s front panel
as well as their expected values.
These functions are also useful tools for diagnosing performance problems with your
analyzer (see Section 12.1.2).
The enclosed Final Test and Validation Data Sheet (P/N 04271) lists these values
as they were before the instrument left the factory.
To view the current values of these parameters press the following control button
sequence on the analyzer’s front panel. Remember that until the unit has completed its
warm-up these parameters may not have stabilized.
06864B DCN6314

Teledyne API – Model T300/T300M CO Analyzer Getting Started
79
3.4.4. INITIAL CALIBRATION
To perform the following calibration you must have sources for zero air and span gas
available for input into the sample port on the back of the analyzer. See Section 3.3.2
for instructions for connecting these gas sources.
The initial calibration should be carried out using the same reporting range set up as
used during the analyzer’s factory calibration. This will allow you to compare your
calibration results to the factory calibration as listed on the Final Test and Validation
Data Sheet.
If both available DAS parameters for a specific gas type are being reported via the
instruments analog outputs e.g. CONC1 and CONC2 when the DUAL range mode is
activated, separate calibrations should be carried out for each parameter.
Use the LOW button when calibrating for CONC1 (equivalent to RANGE1).
Use the HIGH button when calibrating for CONC2 (equivalent to RANGE2).
NOTE The following procedure assumes that the instrument does not have any
of the available Valve Options installed. See Section 9.3 for instructions
for calibrating instruments that have valve options.
06864B DCN6314

Getting Started Teledyne API – Model T300/T300M CO Analyzer
80
3.4.4.1. INTERFERENTS FOR CO MEASUREMENTS
It should be noted that the gas filter correlation method for detecting CO is subject to
interference from a number of other gases that absorb IR in a similar fashion to CO.
Most notable of these are water vapor, CO2, N2O (nitrous oxide) and CH4 (methane).
The T300/T300M has been successfully tested for its ability to reject interference from
of these sources, however high concentrations of these gases can interfere with the
instrument’s ability to make low-level CO measurements.
For a more detailed discussion of this topic, see Section 13.2.1.3.
3.4.4.2. INITIAL CALIBRATION PROCEDURE
The following procedure assumes that:
The instrument DOES NOT have any of the available calibration valve or gas inlet
options installed;
Cal gas will be supplied through the SAMPLE gas inlet on the back of the analyzer
(see Figure 3-4)
The pneumatic setup matches that described in Section 3.3.2.1.
VERIFYING THE T300/T300M REPORTING RANGE SETTINGS
While it is possible to perform the following procedure with any range setting we
recommend that you perform this initial checkout using following reporting range
settings:
Unit of Measure: PPM
Analog Output Reporting Range: 50 ppm
Mode Setting: SNGL
06864B DCN6314

Teledyne API – Model T300/T300M CO Analyzer Getting Started
81
While these are the default setting for the T300/T300M Analyzer, it is recommended
that you verify them before proceeding with the calibration procedure, by pressing:
SETUP X.X RANGE MODE:SINGL
SNGL DUAL AUTO ENTR EXIT
SAMPLE RANGE=50.0 PPM CO= XX.XX
<TST TST> CAL SETUP
SETUP X.X PRIMARY SETUP MENU
CFG DAS RNGE PASS CLK MORE EXIT
SETUP X.X RANGE CONTROL MENU
MODE SET UNIT DIL EXIT
SETUP X.X RANGE: 50.0 Conc
00050.0ENTREXIT
SETUP X.X CONC UNITS:PPM
PPB PPM UGM MGM ENTR EXIT
SETUP X.X RANGE CONTROL MENU
MODE SET UNIT DIL EXIT
SETUP X.X RANGE CONTROL MENU
MODE SET UNIT DIL EXIT
Verify that the MODE
is set for SNGL.
If it is not, press
SINGL ENTR.
Press EXIT as
needed to
return to
SAMPLE
mode.
Verify that the RANGE is
set for 50.0
If it is not, toggle each
numeric button until the
proper range is set, then
press ENTR.
Verify that the UNIT
is set for PPM
If it is not, press
PPM ENTR.
06864B DCN6314

Getting Started Teledyne API – Model T300/T300M CO Analyzer
82
DILUTION RATIO SET UP
If the dilution ratio option is enabled on your T300/T300M Analyzer and your
application involves diluting the sample gas before it enters the analyzer, set the dilution
ratio as follows:
06864B DCN6314

Teledyne API – Model T300/T300M CO Analyzer Getting Started
83
SET CO SPAN GAS CONCENTRATION
Set the expected CO pan gas concentration. This should be 80-90% of range of
concentration range for which the analyzer’s analog output range is set.
06864B DCN6314

Getting Started Teledyne API – Model T300/T300M CO Analyzer
84
ZERO/SPAN CALIBRATION
To perform the zero/span calibration procedure, press:
Figure 3-29: Zero/Span Calibration Procedure
06864B DCN6314

Teledyne API – Model T300/T300M CO Analyzer Getting Started
85
3.4.4.3. O2 SENSOR CALIBRATION PROCEDURE
If your T300/T300M is equipped with the optional O2 sensor, this sensor should be
calibrated during installation of the instrument. See Section 9.7.1 for instructions.
3.4.4.4. CO2 SENSOR CALIBRATION PROCEDURE
If your T300/T300M is equipped with the optional CO2 sensor, this sensor should be
calibrated during installation of the instrument. See Section 9.7.2 for instructions.
Note Once you have completed the above set-up procedures, please fill out
the Quality Questionnaire that was shipped with your unit and return it
to Teledyne API. This information is vital to our efforts in continuously
improving our service and our products. THANK YOU.
06864B DCN6314

Getting Started Teledyne API – Model T300/T300M CO Analyzer
86
This page intentionally left blank.
06864B DCN6314

87
PART II
OPERATING INSTRUCTIONS
06864B DCN6314

Getting Started Teledyne API – Model T300/T300M CO Analyzer
88
06864B DCN6314

89
4. OVERVIEW OF OPERATING MODES
To assist in navigating the analyzer’s software, a series of menu trees can be found in
Appendix A of this manual.
Note Some control buttons on the touch screen do not appear if they are not
applicable to the menu that you’re in, the task that you are performing, the
command you are attempting to send, or to incorrect settings input by the
user. For example, the ENTR button may disappear if you input a setting
that is invalid or out of the allowable range for that parameter, such as
trying to set the 24-hour clock to 25:00:00. Once you adjust the setting to
an allowable value, the ENTR button will re-appear.
The T300/T300M software has a variety of operating modes. Most commonly, the
analyzer will be operating in Sample Mode. In this mode a continuous read-out of the
CO concentration can be viewed on the front panel and output as an analog voltage from
rear panel terminals, calibrations can be performed and TEST functions and WARNING
messages can be examined. If the analyzer is configured to measure a second gas (e.g.
CO along with O2 or CO2) the display will show a readout of both concentrations.
The second most important operating mode is SETUP mode. This mode is used for
performing certain configuration operations, such as for the DAS system, the reporting
ranges, or the serial (RS 232 / RS 485 / Ethernet) communication channels. The SETUP
mode is also used for performing various diagnostic tests during troubleshooting.
Figure 4-1: Front Panel Display
06864B DCN6314

Overview of Operating Modes Teledyne API – Model T300/T300M CO Analyzer
90
The mode field of the front panel display indicates to the user which operating mode the
unit is currently running.
Besides SAMPLE and SETUP, other modes the analyzer can be operated in are:
Table 4-1: Analyzer Operating Modes
MODE EXPLANATION
DIAG One of the analyzer’s diagnostic modes is active (refer to Section 5.9).
LO CAL A Unit is performing LOW SPAN (midpoint) calibration initiated automatically by the analyzer’s
AUTOCAL feature
LO CAL R Unit is performing LOW SPAN (midpoint) calibration initiated remotely through the COM ports or
digital control inputs.
M-P CAL This is the basic calibration mode of the instrument and is activated by pressing the CAL button.
SAMPLE Sampling normally, flashing text indicates adaptive filter is on.
SAMPLE A Indicates that unit is in SAMPLE mode and AUTOCAL feature is activated.
SETUP X.#2 SETUP mode is being used to configure the analyzer. The gas measurement will continue during
this process.
SPAN CAL A1 Unit is performing SPAN calibration initiated automatically by the analyzer’s AUTOCAL feature
SPAN CAL M1 Unit is performing SPAN calibration initiated manually by the user.
SPAN CAL R1 Unit is performing SPAN calibration initiated remotely through the COM ports or digital control
inputs.
ZERO CAL A1 Unit is performing ZERO calibration procedure initiated automatically by the AUTOCAL feature
ZERO CAL M1 Unit is performing ZERO calibration procedure initiated manually by the user.
ZERO CAL R1 Unit is performing ZERO calibration procedure initiated remotely through the COM ports or digital
control inputs.
1 Only Appears on units with Z/S valve or IZS options.
2 The revision of the analyzer firmware is displayed following the word SETUP, e.g., SETUP G.3.
4.1. SAMPLE MODE
This is the analyzer’s standard operating mode. In this mode the instrument is analyzing
the gas in the sample chamber, calculating CO concentration and reporting this
information to the user via the front panel display, the analog outputs and, if set up
properly, the RS-232/RS-485/Ethernet/USB ports.
4.1.1. TEST FUNCTIONS
A series of TEST functions is available for viewing at the front panel whenever the
analyzer is at the SAMPLE mode. These parameters provide information about the
present operating status of the instrument and are useful during troubleshooting (refer to
Section 12.1.2). They can also be recorded in one of the DAS channels (refer to Section
7.2) for data analysis. To view the test functions, press one of the <TST TST> buttons
repeatedly in either direction.
06864B DCN6314

Teledyne API – Model T300/T300M CO Analyzer Overview of Operating Modes
91
Figure 4-2: Viewing T300/T300M Test Functions
IMPORTANT IMPACT ON READING OR DATA
A value of “XXXX” displayed for any of the TEST functions indicates an
out-of-range reading or the analyzer’s inability to calculate it. All
pressure measurements are represented in terms of absolute pressure.
Absolute, atmospheric pressure is 29.92 in-Hg-A at sea level. It
decreases about 1 in-Hg per 300 m gain in altitude. A variety of factors
such as air conditioning and passing storms can cause changes in the
absolute atmospheric pressure.
06864B DCN6314

Overview of Operating Modes Teledyne API – Model T300/T300M CO Analyzer
92
Table 4-2: Test Functions Defined
PARAMETER DISPLAY TITLE UNITS MEANING
Stability STABIL PPB3, PPM
UGM3, MGM
Standard deviation of CO concentration readings. Data points are
recorded every ten seconds using the last 25 data points. This
function can be reset to show O2 or CO2 stability in instruments with
those sensor options installed.
Range
RANGE
RANGE11
RANGE21
PPB, PPM,
UGM, MGM
The full scale limit at which the reporting range of the analyzer is
currently set. THIS IS NOT the Physical Range of the instrument.
See Section 5.4.1 for more information.
O2 Range 1 O2 RANGE % The range setting for the optional O2 Sensor.
CO2 Range2 CO2 RANGE % The range setting for the optional CO2 Sensor.
CO Measure CO MEAS MV The demodulated, peak IR detector output during the measure
portion of the GFC Wheel cycle.
CO Reference CO REF MV The demodulated, peak IR detector output during the reference
portion of the GFC Wheel cycle.
Measurement /
Reference Ratio MR Ratio -
The result of CO MEAS divided by CO REF. This ratio is the
primary value used to compute CO concentration. The value
displayed is not linearized.
Sample Pressure PRES In-Hg-A The absolute pressure of the Sample gas as measured by a
pressure sensor located inside the sample chamber.
Sample Flow SAMPLE FL cm3/min Sample mass flow rate as measured by the flow rate sensor in the
sample gas stream.
Sample
Temperature SAMP TEMP C The temperature of the gas inside the sample chamber.
Bench
Temperature BENCH TEMP C Optical bench temperature.
Wheel
Temperature WHEEL TEMP C GFC Wheel temperature.
Box Temperature BOX TEMP C The temperature inside the analyzer chassis.
O2 Cell
Temperature1 O2 CELL TEMP3 C The current temperature of the O2 sensor measurement cell.
Photo-detector
Temp. Control
Voltage
PHT DRIVE mV The drive voltage being supplied to the thermoelectric coolers of the
IR photo-detector by the sync/demod Board.
Slope SLOPE - The sensitivity of the instrument as calculated during the last
calibration activity.
Offset OFFSET - The overall offset of the instrument as calculated during the last
calibration activity.
O2 Sensor
Slope 1 O2 SLOPE - O2 slope, computed during zero/span calibration.
O2 Sensor Offset
1 O2 OFFSET - O2 offset, computed during zero/span calibration.
CO2 Sensor
Slope2 CO2 SLOPE - CO2 slope, computed during zero/span calibration.
CO2 Sensor
Offset 2 CO2 OFFSET - CO2 offset, computed during zero/span calibration.
Current Time TIME - The current time. This is used to create a time stamp on DAS
readings, and by the AUTOCAL feature to trigger calibration events.
1 Only appears when the optional O2 sensor is installed.
2 Only appears when the optional CO2 sensor is installed.
3 Only available on the T300.
06864B DCN6314

Teledyne API – Model T300/T300M CO Analyzer Overview of Operating Modes
93
4.1.2. WARNING MESSAGES
The most common instrument failures will be reported as a warning on the analyzer’s
front panel and through the COMM ports. Section 12.1.1 explains how to use these
messages to troubleshoot problems. Section 4.1.2 shows how to view and clear warning
messages.
Table 4-3: List of Warning Messages
MESSAGE MEANING
ANALOG CAL WARNING The instrument’s A/D circuitry or one of its analog outputs is not calibrated.
BENCH TEMP WARNING The temperature of the optical bench is outside the specified limits.
BOX TEMP WARNING The temperature inside the chassis is outside the specified limits.
CANNOT DYN SPAN2 Remote span calibration failed while the dynamic span feature was set to turned on.
CANNOT DYN ZERO3 Remote zero calibration failed while the dynamic zero feature was set to turned on.
CONC ALRM1 WARNING1 Concentration alarm 1 is enabled and the measured CO level is ≥ the set point.
CONC ALRM2 WARNING1 Concentration alarm 2 is enabled and the measured CO level is ≥ the set point.
CONFIG INITIALIZED Configuration storage was reset to factory configuration or erased.
DATA INITIALIZED DAS data storage was erased.
O2 CELL TEMP WARN2 O2 sensor cell temperature outside of warning limits.
PHOTO TEMP WARNING The temperature of the IR photo detector is outside the specified limits.
REAR BOARD NOT DET The CPU is unable to communicate with the motherboard.
RELAY BOARD WARN The firmware is unable to communicate with the relay board.
SAMPLE FLOW WARN The flow rate of the sample gas is outside the specified limits.
SAMPLE PRESS WARN Sample gas pressure outside of operational parameters.
SAMPLE TEMP WARN The temperature of the sample gas is outside the specified limits.
SOURCE WARNING The IR source may be faulty.
SYSTEM RESET1 The computer was rebooted.
WHEEL TEMP WARNING The Gas Filter Correlation Wheel temperature is outside the specified limits.
1 Alarm warnings only present when 0ptional alarm package is activated.
2 Only enabled when the optional O2 Sensor is installed.
06864B DCN6314

Overview of Operating Modes Teledyne API – Model T300/T300M CO Analyzer
94
To view and clear warning messages:
Figure 4-3: Viewing and Clearing T300/T300M WARNING Messages
4.2. CALIBRATION MODE
Pressing the CAL button switches the T300/T300M into calibration mode. In this mode
the user can calibrate the instrument with the use of calibrated zero or span gases. This
mode is also used to check the current calibration status of the instrument.
For more information about setting up and performing standard calibration
operations or checks, see Section 9.
For more information about setting up and performing EPA equivalent calibrations,
see Section 10.
If the instrument includes one of the available zero/span valve options, the SAMPLE
mode display will also include CALZ and CALS buttons. Pressing either of these
buttons also puts the instrument into calibration mode.
The CALZ button is used to initiate a calibration of the analyzer’s zero point using
internally generated zero air.
The CALS button is used to calibrate the span point of the analyzer’s current
reporting range using span gas.
For more information concerning calibration valve options, see Table 1-1.
For information on using the automatic calibration feature (ACAL) in conjunction with
the one of the calibration valve options, see Section 9.4.
IMPORTANT IMPACT ON READINGS OR DATA
It is recommended that this span calibration be performed at 80-90% of
full scale of the analyzer’s currently selected reporting range.
EXAMPLES: If the reporting range is set for 0 to 50 ppm, an appropriate
span point would be 40-45 ppm. If the of the reporting range is set for 0
to 1000 ppb, an appropriate span point would be 800-900 ppb.
06864B DCN6314

Teledyne API – Model T300/T300M CO Analyzer Overview of Operating Modes
95
4.3. SETUP MODE
The SETUP mode contains a variety of choices that are used to configure the analyzer’s
hardware and software features, perform diagnostic procedures, gather information on
the instrument’s performance, and configure or access data from the internal data
acquisition system (DAS). For a visual representation of the software menu trees, refer
to Appendix A.
Setup Mode is divided between Primary and Secondary Setup menus and can be
protected through password security.
4.3.1. PASSWORD SECURITY
Setup Mode can be protected by password security through the SETUP>PASS menu
(Section 5.5) to prevent unauthorized or inadvertent configuration adjustments.
4.3.2. PRIMARY SETUP MENU
4.3.3. THE AREAS ACCESSIBLE UNDER THE Setup MODE ARE SHOWN IN
TABLE 4-4 AND SECONDARY SETUP MENU (SETUP>MORE)
Table 4-5.
Table 4-4: Primary Setup Mode Features and Functions
MODE OR FEATURE CONTROL
BUTTON DESCRIPTION MANUAL
SECTION
Analyzer Configuration CFG Lists button hardware and software configuration information 5
Auto Cal Feature ACAL Used to set up and operate the AutoCal feature.
Only appears if the analyzer has one of the internal valve
options installed.
5.2
and
9.4
Internal Data Acquisition
(DAS) DAS Used to set up the DAS system and view recorded data 7
Analog Output Reporting
Range Configuration RNGE Used to configure the output signals generated by the
instruments Analog outputs. 5.7
Calibration Password Security PASS Turns the calibration password feature ON/OFF. 5.3
Internal Clock Configuration CLK Used to Set or adjust the instrument’s internal clock. 5.6
Advanced SETUP features MORE This button accesses the instruments secondary setup menu. See
Table 6-5
06864B DCN6314

Overview of Operating Modes Teledyne API – Model T300/T300M CO Analyzer
96
4.3.4. SECONDARY SETUP MENU (SETUP>MORE)
Table 4-5: Secondary Setup Mode (SETUP>MORE) Features and Functions
MODE OR FEATURE CONTROL
BUTTON DESCRIPTION MANUAL
SECTION
External Communication
Channel Configuration COMM
Used to set up and operate the analyzer’s various serial
channels including RS-232,RS-485, modem communication,
Ethernet and/or USB.
5.7
System Status Variables VARS
Used to view various variables related to the instruments current
operational status.
Changes made to any variable are not recorded in the
instrument’s memory until the ENTR button is pressed.
Pressing the EXIT button ignores the new setting.
5.8
System Diagnostic Features
and
Analog Output Configuration
DIAG
Used to access a variety of functions that are used to configure,
test or diagnose problems with a variety of the analyzer’s basic
systems.
Most notably, the menus used to configure the output signals
generated by the instruments Analog outputs are located here.
5.9
Alarm Limit Configuration1 ALRM Used to turn the instrument’s two alarms on and off as well as
set the trigger limits for each. 5.10
1 Alarm warnings only present when optional alarm package is activated.
IMPORTANT IMPACT ON READINGS OR DATA
Any changes made to a variable during the SETUP procedures are not
acknowledged by the instrument until the ENTR button is pressed. If the
EXIT button is pressed before the ENTR button, the analyzer will beep,
alerting the user that the newly entered value has not been accepted.
06864B DCN6314

97
5. SETUP MENU
The SETUP menu is sued to set instrument parameters for performing configuration,
calibration, reporting and diagnostics operations according to user needs.
5.1. SETUP CFG: CONFIGURATION INFORMATION
Pressing the CFG button displays the instrument’s configuration information. This
display lists the analyzer model, serial number, firmware revision, software library
revision, CPU type and other information.
Special instrument or software features or installed options may also be listed here.
Use this information to identify the software and hardware installed in your
T300/T300M Analyzer when contacting customer service.
To access the configuration table, press:
SETUP PRIMARY SETUP MENU
CFG DAS RNGE PASS CLK MORE EXIT
SETUP T300 CO Analyzer
PREV NEXT EXIT
Press EXIT at
any time to
return to the
SETUP menu.
Press NEXT or PREV to move back and
forth through the following list of
Configuration information:
MODEL TYPE AND NUMBER
PART NUMBER
SERIAL NUMBER
SOFTWARE REVISION
LIBRARY REVISION
iCHIP SOFTWARE REVISION
CPU TYPE & OS REVISION
DATE FACTORY CONFIGURATION
SAVED
SAMPLE RANGE=50.00 PPM CO= XX.XX
<TST TST> CAL SETUP
06864B DCN6314

Setup Menu Teledyne API – Model T300/T300M CO Analyzer
98
5.2. SETUP ACAL: AUTOMATIC CALIBRATION
Instruments with one of the internal valve options installed can be set to automatically
run calibration procedures and calibration checks. These automatic procedures are
programmed using the submenus and functions found under the ACAL menu.
A menu tree showing the ACAL menu’s entire structure can be found in Appendix A-1
of this manual.
Instructions for using the ACAL feature are located in the Section 9.4 of this manual
along with all other information related to calibrating the T300/T300M Analyzer.
5.3. SETUP DAS: INTERNAL DATA ACQUISITION SYSTEM
Use the SETUP>DAS menu to capture and record data. Refer to Section 7 for
configuration and operation details.
5.4. SETUP RNGE: ANALOG OUTPUT REPORTING RANGE
CONFIGURATION
Use the SETUP>RNGE menu to configure output reporting ranges, including scaled
reporting ranges to handle data resolution challenges. This section also describes
configuration for Single, Dual, and Auto Range modes.
5.4.1. ANALOG OUTPUT RANGES FOR CO CONCENTRATION
The analyzer has several active analog output signals, accessible through the ANALOG
OUT connector on the rear panel.
06864B DCN6314

Teledyne API – Model T300/T300M CO Analyzer Setup Menu
99
Only active if the Optional
CO
2
or O
2
Sensor is
A
NALOG OUT
A1 A2 A3 A4
+ - + - + - + -
CO concentration
outputs
HIGH range when DUAL
mode is selected
Test Channel
LOW range when DUAL
mode is selected
Figure 5-1: Analog Output Connector Pin Out
The outputs can be configured either at the factory or by the user for full scale outputs of
0.1 VDC, 1VDC, 5VDC or 10VDC.
Additionally, A1, A2 and A3 may be equipped with optional 0-20 mADC current loop
drivers and configured for any current output within that range (e.g. 0-20, 2-20, 4-20,
etc.). The user may also adjust the signal level and scaling of the actual output voltage
or current to match the input requirements of the recorder or datalogger (See Section
5.9.3.9).
In its basic configuration, the A1 and A2 channels output a signal that is proportional to
the CO concentration of the sample gas. Several modes are available which allow them
to operate independently or be slaved together (See Section 5.4.3).
EXAMPLE:
A1 OUTPUT: Output Signal = 0-5 VDC representing 0-1000 ppm concentration values
A2 OUTPUT: Output Signal = 0 – 10 VDC representing 0-500 ppm concentration
values.
Output A3 is only active if the CO2 or O2 sensor option is installed. In this case a signal
representing the currently measured CO2 or O2 concentration is output on this channel.
The output, labeled A4 is special. It can be set by the user (See Section 5.9.8.1) to
output several of the test functions accessible through the <TST TST> buttons of the
units sample display.
06864B DCN6314

Setup Menu Teledyne API – Model T300/T300M CO Analyzer
100
5.4.2. PHYSICAL RANGE VS ANALOG OUTPUT REPORTING RANGES
Functionally, the T300 Family of CO Analyzers have one hardware PHYSICAL
RANGE that is capable of determining CO concentrations between across a very wide
array of values.
Table 5-1: T300 Family Physical Range by Model
MODEL RANGE
T300 0 – 1000 ppm
T300M 0 – 5000 ppm
This architecture improves reliability and accuracy by avoiding the need for extra,
switchable, gain-amplification circuitry. Once properly calibrated, the analyzer’s front
panel will accurately report concentrations along the entire span of its physical range.
Because many applications use only a small part of the analyzer’s full physical range,
this can create data resolution problems for most analog recording devices. For
example, in an application where an T300 is being used to measure an expected
concentration of typically less than 50 ppm CO, the full scale of expected values is only
4% of the instrument’s full 1000 ppm measurement range. Unmodified, the
corresponding output signal would also be recorded across only 2.5% of the range of the
recording device.
The T300/T300M Analyzers solve this problem by allowing the user to select a scaled
reporting range for the analog outputs that only includes that portion of the physical
range relevant to the specific application.
Only this REPORTING RANGE of the analog outputs is scaled; the physical range of
the analyzer and the readings displayed on the front panel remain unaltered.
Note Neither the DAS values stored in the CPU’s memory nor the concentration
values reported on the front panel are affected by the settings chosen for
the reporting range(s) of the instrument.
5.4.3. REPORTING RANGE MODES: SINGLE, DUAL, AUTO RANGES
The T300/T300M provides three analog output range modes to choose from.
Single range (SNGL) mode sets a single maximum range for the analog output. If
single range is selected both outputs are slaved together and will represent the
same measurement span (e.g. 0-50 ppm), however their electronic signal levels
may be configured for different ranges (e.g. 0-10 VDC vs. 0-.1 VDC).
Dual range (DUAL) allows the A1 and A2 outputs to be configured with different
measurement spans as well as separate electronic signal levels.
Auto range (AUTO) mode gives the analyzer to ability to output data via a low range
and high range. When this mode is selected the analyzer will automatically switch
between the two ranges dynamically as the concentration value fluctuates.
Range status is also output via the external digital I/O status outputs (See Section
3.3.1.4).
06864B DCN6314

Teledyne API – Model T300/T300M CO Analyzer Setup Menu
101
To select the Analog Output Range Type press:
Upper span limit setting for the individual range modes are shared. Resetting the span
limit in one mode also resets the span limit for the corresponding range in the other
modes as follows:
SNGL DUAL AUTO
Range Range1 Low Range
Range2 High Range
06864B DCN6314

Setup Menu Teledyne API – Model T300/T300M CO Analyzer
102
5.4.3.1. SINGLE RANGE MODE (SNGL)
Single Range Mode (SNGL) is the default reporting range mode for the analyzer.
When the single range mode is selected (SNGL), all analog CO concentration outputs
(A1 and A2) are slaved together and set to the same reporting range limits (e.g. 500.0
ppb). The span limit of this reporting range can be set to any value within the physical
range of the analyzer.
Although both outputs share the same concentration reporting range, the electronic
signal ranges of the analog outputs may still be configured for different values (e.g. 0-5
VDC, 0-10 VDC, etc; see Section 5.9.3.1)
To select SNGL range mode and to set the upper limit of the range, press:
06864B DCN6314

Teledyne API – Model T300/T300M CO Analyzer Setup Menu
103
5.4.3.2. DUAL RANGE MODE (DUAL)
Selecting the DUAL range mode allows the A1 and A2 outputs to be configured with
different reporting ranges. The analyzer software calls these two ranges low and high.
The LOW range setting corresponds with the analog output labeled A1 on the rear
panel of the instrument.
The HIGH range setting corresponds with the A2 output.
While the software names these two ranges low and high, they do not have to be
configured that way. For example: The low range can be set for a span of 0-1000 ppm
while the high range is set for 0-500 ppm.
In DUAL range mode the RANGE test function displayed on the front panel will be
replaced by two separate functions:
RANGE1: The range setting for the A1 output.
RANGE2: The range setting for the A2 output.
To select the DUAL range mode press following buttonstroke sequence
.
When the instrument’s range mode is set to DUAL, the concentration field in the upper
right hand corner of the display alternates between displaying the low range value and
the high range value. The concentration currently being displayed is identified as
follows: C1= LOW (or A1) and C2 = HIGH (or A2).
IMPORTANT IMPACT ON READINGS OR DATA
In DUAL range mode the LOW and HIGH ranges have separate slopes
and offsets for computing CO concentrations. The two ranges must be
independently calibrated.
06864B DCN6314

Setup Menu Teledyne API – Model T300/T300M CO Analyzer
104
To set the upper range limit for each independent reporting range, press:
.
06864B DCN6314

Teledyne API – Model T300/T300M CO Analyzer Setup Menu
105
5.4.3.3. AUTO RANGE MODE (AUTO)
In AUTO range mode, the analyzer automatically switches the reporting range between
two user-defined ranges (low and high).
The unit will switch from low range to high range when the CO2 concentration
exceeds 98% of the low range span.
The unit will return from high range back to low range once both the CO2
concentration falls below 75% of the low range span.
In AUTO Range Mode the instrument reports the same data in the same range on both
the A1 and A2 outputs and automatically switches both outputs between ranges as
described above. Also the RANGE test function displayed on the front panel will be
replaced by two separate functions:
RANGE1: The LOW range setting for all analog outputs.
RANGE2: The HIGH range setting for all analog outputs.
The high/low range status is also reported through the external, digital status bits (See
Section 3.3.1.4).
06864B DCN6314

Setup Menu Teledyne API – Model T300/T300M CO Analyzer
106
To set individual ranges press the following control button sequence.
06864B DCN6314

Teledyne API – Model T300/T300M CO Analyzer Setup Menu
107
5.4.4. RANGE UNITS
The T300/T300M can display concentrations in parts per million (106 mols per mol,
PPM) or milligrams per cubic meter (mg/m3, MG). Changing units affects all of the
display, COMM port and DAS values for all reporting ranges regardless of the
analyzer’s range mode. To change the concentration units:
IMPORTANT IMPACT ON READINGS OR DATA
In order to avoid a reference temperature bias, the analyzer must be
recalibrated after every change in reporting units.
IMPORTANT IMPACT ON READINGS OR DATA
Concentrations displayed in mg/m3 and ug/m3 use 0° C and 760 mmHg for
Standard Temperature and Pressure (STP). Consult your local regulations
for the STP used by your agency.
(Example: US EPA uses 25 oC as the reference temperature).
Once the Units of Measurement have been changed from volumetric (ppb or
ppm) to mass units (µg/m3 or mg/m3) the analyzer MUST be recalibrated, as
the “expected span values” previously in effect will no longer be valid.
Simply entering new expected span values without running the entire
calibration routine IS NOT sufficient.
This will also counteract any discrepancies between STP definitions.
06864B DCN6314

Setup Menu Teledyne API – Model T300/T300M CO Analyzer
108
5.4.5. DILUTION RATIO (OPTION)
This feature is a optional software utility that allows the user to compensate for any
dilution of the sample gas that may occur before it enters the sample inlet. Typically this
occurs in continuous emission monitoring (CEM) applications where the sampling
method used to remove the gas from the stack dilutes it.
Using the dilution ratio option is a 4-step process:
1. Select the appropriate units of measure (see Section 5.4.4).
2. Select the reporting range mode and set the reporting range upper limit (see Section
5.4.3).
Ensure that the upper span limit entered for the reporting range is the maximum
expected concentration of the UNDILUTED gas.
3. Set the dilution factor as a gain (e.g., a value of 20 means 20 parts diluent and 1
part of sample gas):
4. Calibrate the analyzer.
Make sure that the calibration span gas is either supplied through the same dilution
system as the sample gas or has an appropriately lower actual concentration.
EXAMPLE: If the reporting range limit is set for 100 ppm and the dilution ratio
of the sample gas is 20 gain, either:
a span gas with the concentration of 100 ppm can be used if the span gas passes
through the same dilution steps as the sample gas, or;
a 5 ppm span gas must be used if the span gas IS NOT routed through the dilution
system.
06864B DCN6314

Teledyne API – Model T300/T300M CO Analyzer Setup Menu
109
5.5. SETUP PASS: PASSWORD PROTECTION
The menu system provides password protection of the calibration and setup functions to
prevent unauthorized adjustments. When the passwords have been enabled in the PASS
menu item, the system will prompt the user for a password anytime a password-
protected function (e.g., SETUP) is selected. This allows normal operation of the
instrument, but requires the password (101) to access to the menus under SETUP. When
PASSWORD is disabled (SETUP>OFF), any operator can enter the Primary Setup
(SETUP) and Secondary Setup (SETUP>MORE) menus. Whether PASSWORD is
enabled or disabled, a password (default 818) is required to enter the VARS or DIAG
menus in the SETUP>MORE menu.
Table 5-2: Password Levels
PASSWORD LEVEL MENU ACCESS ALLOWED
Null (000) Operation All functions of the main menu (top level, or Primary, menu)
101 Configuration/Maintenance Access to Primary and Secondary SETUP Menus when PASSWORD is
enabled
818 Configuration/Maintenance Access to Secondary SETUP Submenus VARS and DIAG whether
PASSWORD is enabled or disabled.
To enable or disable passwords, press:
If the password feature is enabled, then when entering either Calibration or Setup Mode,
the default password displayed will be 000, and the new password must be input.
Example: If all passwords are enabled, the following control button sequence would be
required to enter the SETUP menu:
06864B DCN6314

Setup Menu Teledyne API – Model T300/T300M CO Analyzer
110
Note The instrument still prompts for a password when entering the VARS and
DIAG menus, even if passwords are disabled. It will display the default
password (818) upon entering these menus.
The user only has to press ENTR to access the password-protected
menus but does not have to enter the required number code.
06864B DCN6314

Teledyne API – Model T300/T300M CO Analyzer Setup Menu
111
5.6. SETUP CLK: SETTING THE INTERNAL TIME-OF-DAY
CLOCK AND ADJUSTING SPEED
5.6.1.1. SETTING THE INTERNAL CLOCK’S TIME AND DAY
The T300/T300M has a time of day clock that supports the DURATION step of the
automatic calibration (ACAL) sequence feature, time of day TEST function, and time
stamps on for the DAS feature and most COMM port messages.
To set the clock’s time and day, press:
5.6.1.2. ADJUSTING THE INTERNAL CLOCK’S SPEED
In order to compensate for CPU clocks which run faster or slower, you can adjust a
variable called CLOCK_ADJ to speed up or slow down the clock by a fixed amount
every day.
The CLOCK_AD variable is accessed via the VARS submenu: To change the value of
this variable, press:
06864B DCN6314

Setup Menu Teledyne API – Model T300/T300M CO Analyzer
112
06864B DCN6314

Teledyne API – Model T300/T300M CO Analyzer Setup Menu
113
5.7. SETUP COMM: COMMUNICATIONS PORTS
This section introduces the communications setup menu; Section 6 provides the setup
instructions and operation information. Press SETUP>ENTR>MORE>COMM to arrive
at the communications menu.
5.7.1. ID (MACHINE IDENTIFICATION)
Press ID to display and/or change the Machine ID, which must be changed to a unique
identifier (number) when more than one instrument of the same model is used:
in an RS-232 multidrop configuration (Sections 3.3.1.8 and 6.7.2)
on the same Ethernet LAN (Section 6.5)
when applying MODBUS protocol (Section 6.7.1)
when applying Hessen protocol (Section 6.7.2)
The default ID is the same as the model number; for the Model T100, the ID is 0100.
Press any button(s) in the MACHINE ID menu (Figure 5-2) until the Machine ID
Parameter field displays the desired identifier.
SETUP X.X COMMUNICATIONS MENU
ID INET COM1 COM2 EXIT
SETUP X. MACHINE ID: 300 ID
0 3 0 0 ENTR EXIT
Toggle to cycle
through the available
character set: 0-9
ENTR accepts the new
settings
EXIT ignores the new
settin
g
s
Figure 5-2: COMM– Machine ID
The ID can be any 4-digit number and can also be used to identify analyzers in any
number of ways (e.g. location numbers, company asset number, etc.)
5.7.2. INET (ETHERNET)
Use SETUP>COMM>INET to configure Ethernet communications, whether manually
or via DHCP. Please see Section 6.5 for configuration details.
5.7.3. COM1 AND COM2 (MODE, BAUD RATE AND TEST PORT)
Use the SETUP>COMM>COM1[COM2] menus to:
configure communication modes (Section 6.2.1
view/set the baud rate (Section 6.2.2)
test the connections of the com ports (Section 6.2.3).
Configuring COM1 or COM2 requires setting the DCE DTE switch on the rear panel.
Section 6.1 provides DCE DTE information.
06864B DCN6314

Setup Menu Teledyne API – Model T300/T300M CO Analyzer
114
5.8. SETUP VARS: VARIABLES SETUP AND DEFINITION
The T300/T300M has several user-adjustable software variables, which define certain
operational parameters. Usually, these variables are automatically set by the
instrument’s firmware, but can be manually redefined using the VARS menu.
The following table lists all variables that are available within the 818 password
protected level. See Appendix A-2 for a detailed listing of all of the T300/T300M
variables that are accessible through the remote interface.
Table 5-3: Variable Names (VARS)
NO. VARIABLE DESCRIPTION ALLOWED
VALUES
VARS
DEFAULT
VALUES
0 DAS_HOLD_OFF
Changes the Internal Data Acquisition System (DAS)
HOLDOFF timer (Section 7.1.11).
No data is stored in the DAS channels during situations
when the software considers the data to be questionable
such as during warm up of just after the instrument returns
from one of its calibration mode to SAMPLE Mode.
May be set for
intervals
between
0.5 – 20 min
15 min.
1 CONC_PRECISION
Allows the user to set the number of significant digits to the
right of the decimal point display of concentration and stability
values.
AUTO, 1, 2,
3, 4 AUTO
2 DYN_ZERO 1 Dynamic zero automatically adjusts offset and slope of the
CO response when performing a zero point calibration during
an AutoCal (see Section 9.4).
ON/OFF OFF
3 DYN_SPAN 1 Dynamic span automatically adjusts the offsets and slopes of
the CO response when performing a slope calibration during
an AutoCal (see Section 9.4).
ON/OFF OFF
4 CLOCK_ADJ Adjusts the speed of the analyzer’s clock. Choose the +
sign if the clock is too slow, choose the - sign if the clock is
too fast.
-60 to +60
s/day 0 sec
5 STABIL_GAS2 Selects which gas measurement is displayed when the STABI
L
test function is selected. CO; CO2 & O2 CO
1 Use of the DYN_ZERO and DYN_SPAN features are not allowed for applications requiring EPA equivalency.
2 This VARS only appears if either the optional O2 or CO2 sensors are installed.
IMPORTANT IMPACT ON READINGS OR DATA
There are more VARS available when using the password, 929, for
configuration. Use caution when pressing any buttons while in this setup.
Any changes made may alter the performance of the instrument or cause
the instrument to not function properly. Note that if there is an accidental
change to a setup parameter, press EXIT to discard the changes.
06864B DCN6314

Teledyne API – Model T300/T300M CO Analyzer Setup Menu
115
To access and navigate the VARS menu, use the following button sequence.
SETUP X.X 4) CLOCK_ADJUST=0 Sec/Day
PREV NEXT JUMP EDIT ENTR EXIT SETUP X.X CLOCK_ADJUST=0 Sec/Day
+0 0 ENTR EXIT
Enter sign and number of
seconds per day the clock
gains (-) or loses(+).
SETUP X.X DYN_SPAN=OFF
OFF ENTR EXIT
SETUP X.X DYN_ZERO=OFF
OFF ENTR EXIT
Toggle this button to turn
the Dynamic Zero
calibration feature ON/
OFF.
Concentration display
continuously cycles
through all gasses.
SAMPLE RANGE=500.0 PPM CO= XXXX
<TST TST> CAL SETUP
SETUP X.X 0) DAS_HOLD_OFF=15.0 Minutes
PREV NEXT JUMP EDIT PRNT EXIT
SETUP X.X PRIMARY SETUP MENU
CFG DAS RNGE PASS CLK MORE EXIT
SETUP X.X SECONDARY SETUP MENU
COMM VARS DIAG EXIT
SETUP X.X ENTER PASSWORD:818
8 1 8 ENTR EXIT
Toggle these
buttons to enter
the correct
PASSWORD.
In all cases:
EXIT discards the new
setting.
ENTR accepts the
new setting.
SETUP X.X 2) DYN_ZERO=OFF
PREV NEXT JUMP EDIT PRNT EXIT
SETUP X.X 3) DYN_SPAN=OFF
PREV NEXT JUMP EDIT PRNT EXIT
SETUP X.X DAS_HOLD_OFF=15.0 Minutes
1 5 .0 ENTR EXIT
Toggle these buttons to set
the iDAS HOLDOFF time
period in minutes
(MAX = 20 minutes).
Toggle this button to turn
the Dynamic Span
calibration feature ON/
OFF.
SETUP X.X 1) CONC_PRECISION=AUTO
PREV NEXT JUMP EDIT PRNT EXIT
SETUP X.X CONC_PRECISION=AUTO
AUTO1234 ENTREXIT
SETUP X.X 5) STABIL_GAS=CO
PREV NEXT JUMP EDIT PRNT EXIT
SETUP X.X STABIL_GAS=O2
CO CO2 O2 ENTR EXIT Use these buttons to select
which gas will be reported
by the sTABIL test
function.
(O2is only available if the
optional O2 sensor is
installed)
Use these buttons to select
the precision of the o33
concentration display.
Press NEXT for additional
VARS; press NEXT or
PREV to move back and
forth throughout the list of
VARS.
06864B DCN6314

Setup Menu Teledyne API – Model T300/T300M CO Analyzer
116
5.9. SETUP DIAG: DIAGNOSTICS FUNCTIONS
A series of diagnostic tools is grouped together under the SETUPMOREDIAG
menu, as these parameters are dependent on firmware revision (see Appendix A). These
tools can be used in a variety of troubleshooting and diagnostic procedures and are
referred to in many places of the maintenance and trouble-shooting sections of this
manual.
The various operating modes available under the DIAG menu are:
Table 5-4: Diagnostic Mode (DIAG) Functions
DIAG SUBMENU SUBMENU FUNCTION Front Panel Mode
Indicator
MANUAL
SECTION
SIGNAL I/O
Allows observation of all digital and analog signals in
the instrument. Allows certain digital signals such as
valves and heaters to be toggled ON and OFF.
DIAG SIGNAL
I/O
5.9.1,
12.1.3 and
12.5.8.1
ANALOG OUTPUT
When entered, the analyzer performs an analog
output step test. This can be used to calibrate a
chart recorder or to test the analog output accuracy.
DIAG ANALOG
OUTPUT
5.9.2 and
12.5.8.2
ANALOG I/O
CONFIGURATION
This submenu allows the user to configure the
analyzer’s analog output channels, including
choosing what parameter will be output on each
channel. Instructions that appear here allow
adjustment and calibration of the voltage signals
associated with each output as well as calibration of
the analog to digital converter circuitry on the
motherboard.
DIAG ANALOG
I/O
CONFIGURATI
ON
5.9.3
ELECTRICAL
TEST
When activated, the analyzer performs an electrical
test, which generates a voltage intended to simulate
the measure and reference outputs of the
SYNC/DEMOD board to verify the signal handling
and conditioning of these signals.
DIAG
ELECTRICAL
TEST
5.9.4 and
12.5.7.2
DARK
CALIBRATION1
Disconnects the preamp from synchronous
demodulation circuitry on the SYNC/DEMOD PCA to
establish the dark offset values for the measure and
reference channel.
DIAG DARK
CALIBRATION
5.9.5 and
9.6.1
PRESSURE
CALIBRATION1
Allows the user to calibrate the sample pressure
sensor.
DIAG
PRESSURE
CALIBRATION
5.9.6 and
9.6.2
FLOW
CALIBRATION1
This function is used to calibrate the gas flow output
signals of sample gas and ozone supply.
DIAG FLOW
CALIBRATION
5.9.7 and
9.6.3
TEST CHAN
OUTPUT
Selects one of the available test channel signals to
output over the A4 analog output channel.
DIAG TEST
CHAN OUTPUT
5.9.8 and
12.5.8.2
1 These settings are retained after exiting DIAG mode.
06864B DCN6314

Teledyne API – Model T300/T300M CO Analyzer Setup Menu
117
To access the DIAG functions press the following buttons:
06864B DCN6314

Setup Menu Teledyne API – Model T300/T300M CO Analyzer
118
5.9.1. SIGNAL I/O
The signal I/O diagnostic mode allows a user to review and change the digital and
analog input/output functions of the analyzer. Refer to Appendix A-4 for a full list of
the parameters available for review under this menu.
IMPORTANT IMPACT ON READINGS OR DATA
Any changes of signal I/O settings will remain in effect only until the
signal I/O menu is exited. Exceptions are the ozone generator override
and the flow sensor calibration, which remain as entered when exiting.
Access the SIGNAL I/O test mode from the DIAG Menu:
06864B DCN6314

Teledyne API – Model T300/T300M CO Analyzer Setup Menu
119
5.9.2. ANALOG OUTPUT
Analog Output is used as a step test to check the accuracy and proper operation of the
analog outputs. The test forces all four analog output channels to produce signals
ranging from 0% to 100% of the full scale range in 20% increments. This test is useful
to verify the operation of the data logging/recording devices attached to the analyzer.
(See also Section 12.5.8.2).
Access the Analog Output Step Test from the DIAG Menu as follows:
06864B DCN6314

Setup Menu Teledyne API – Model T300/T300M CO Analyzer
120
5.9.3. ANALOG I/O CONFIGURATION
The T300/T300M Analyzer comes equipped with four analog outputs.
The first two outputs (A1 & A2) carry analog signals that represent the currently
measured concentration of CO (see Section 5.4.1).
The third output (A3) is only active if the analyzer is equipped with one of the
optional 2nd gas sensors (e.g. O2 or CO2).
The fourth output (A4) outputs a signal that can be set to represent the current value
of one of several test functions (see Table 5-9).
Table 5-5 lists the analog I/O functions that are available in the T300/T300M Analyzer.
Table 5-5: DIAG - Analog I/O Functions
SUB MENU OUTPUT
CHANNEL FUNCTION
AOUT
CALIBRATED ALL
Initiates a calibration of the A1, A2, A3 and A4 analog output channels that
determines the slope and offset inherent in the circuitry of each output.
These values are stored and applied to the output signals by the CPU
automatically.
CONC_OUT_1 A1
Sets the basic electronic configuration of the A1 output (CO Concentration).
There are four options:
RANGE1: Selects the signal type (voltage or current loop) and level of the
output.
REC OFS1: Allows them input of a DC offset to let the user manually adjust
the output level.
AUTO CAL: Enables / Disables the AOUT CALIBRATED feature.
CALIBRATED: Performs the same calibration as AOUT CALIBRATED,
but on this one channel only.
CONC_OUT_2 A2 Same as for CONC_OUT_1 but for analog channel A2.
CONC_OUT_3 A3 Same as for CONC_OUT_1 but for analog channel A3 but only if either the
optional O2 or CO2 sensors are installed.
TEST OUTPUT A4 Same as for CONC_OUT_1 but for analog channel A4 (TEST CHANNEL).
AIN
CALIBRATED N/A Initiates a calibration of the A-to-D Converter circuit located on the
Motherboard.
XIN1
.
.
.
XIN8
For each of 8 external analog input channels, shows the gain, offset,
engineering units, and whether the channel is to show up as a Test function.
1 Any changes made to RANGE or REC_OFS require recalibration of this output.
06864B DCN6314

Teledyne API – Model T300/T300M CO Analyzer Setup Menu
121
To access the ANALOG I/O CONFIGURATION submenu, press:
Figure 5-3: Accessing the Analog I/O Configuration Submenus
06864B DCN6314

Setup Menu Teledyne API – Model T300/T300M CO Analyzer
122
5.9.3.1. ANALOG OUTPUT VOLTAGE / CURRENT RANGE SELECTION
In its standard configuration, each of the analog outputs is set to output a 0–5 VDC
signals. Several other output ranges are available. Each range has is usable from -5% to
+ 5% of the rated span.
Table 5-6: Analog Output Voltage Ranges
RANGE NAME RANGE SPAN MINIMUM OUTPUT MAXIMUM OUTPUT
0.1V 0-100 mVDC -5 mVDC 105 mVDC
1V 0-1 VDC -0.05 VDC 1.05 VDC
5V 0-5 VDC -0.25 VDC 5.25 VDC
10V 0-10 VDC -0.5 VDC 10.5 VDC
The default offset for all VDC ranges is 0-5 VDC.
CURR 0-20 mA 0 mA 20 mA
While these are the physical limits of the current loop modules, typical applications use 2-20 or 4-20 mA for the lower and upper
limits. Please specify desired range when ordering this option.
The default offset for all current ranges is 0 mA.
Current outputs are available only on A1-A3.
06864B DCN6314

Setup Menu Teledyne API – Model T300/T300M CO Analyzer
124
5.9.3.2. ANALOG OUTPUT CALIBRATION
Analog output calibration should to be carried out on first startup of the analyzer
(performed in the factory as part of the configuration process) or whenever recalibration
is required. The analog outputs can be calibrated automatically, either as a group or
individually, or adjusted manually.
In its default mode, the instrument is configured for automatic calibration of all
channels, which is useful for clearing any analog calibration warnings associated with
channels that will not be used or connected to any input or recording device, e.g.,
datalogger.
Manual calibration should be used for the 0.1V range or in cases where the outputs must
be closely matched to the characteristics of the recording device. Manual calibration
requires the AUTOCAL feature to be disabled.
Automatic calibration can be performed via the CAL button located inside The AOUTS
CALIBRATION submenu. By default, the analyzer is configured so that calibration of
analog outputs can be initiated as a group with the AOUT CALIBRATION command.
The outputs can also be calibrated individually, but this requires the AUTOCAL feature
be disabled.
5.9.3.3. ENABLING OR DISABLING THE AUTOCAL FOR AN INDIVIDUAL ANALOG OUTPUT
To enable or disable the AutoCal feature for an individual analog output, elect the
ANALOG I/O CONFIGURATION submenu (see Figure 5-3) then press:
06864B DCN6314

Teledyne API – Model T300/T300M CO Analyzer Setup Menu
125
06864B DCN6314

Setup Menu Teledyne API – Model T300/T300M CO Analyzer
126
5.9.3.4. AUTOMATIC CALIBRATION OF THE ANALOG OUTPUTS
To calibrate the outputs as a group with the AOUTS CALIBRATION command, select
the ANALOG I/O CONFIGURATION submenu (see Figure 5-3) then press:
IMPORTANT IMPACT ON READINGS OR DATA
Before performing this procedure, make sure that the AUTO CAL for each
analog output is enabled. (See Section 5.9.3.3).
IMPORTANT IMPACT ON READINGS OR DATA
Manual calibration should be used for any analog output set for a 0.1V
output range or in cases where the outputs must be closely matched to
the characteristics of the recording device.
06864B DCN6314

Setup Menu Teledyne API – Model T300/T300M CO Analyzer
128
5.9.3.6. MANUAL CALIBRATION OF THE ANALOG OUTPUTS CONFIGURED FOR VOLTAGE
RANGES
For highest accuracy, the voltages of the analog outputs can be manually calibrated.
Note The menu for manually adjusting the analog output signal level will only
appear if the AUTO-CAL feature is turned off for the channel being
adjusted (see Section 5.9.3.3).
Calibration is performed with a voltmeter connected across the output terminals and by
changing the actual output signal level using the front panel buttons in 100, 10 or 1
count increments. See Figure 3-9 for pin assignments and diagram of the analog output
connector.
V
+DC Gnd
Figure 5-4: Setup for Checking / Calibrating DCV Analog Output Signal Levels
Table 5-7: Voltage Tolerances for the TEST CHANNEL Calibration
FULL SCALE ZERO TOLERANCE SPAN VOLTAGE SPAN
TOLERANCE
MINIMUM ADJUSTMENT
(1 count)
0.1 VDC ±0.0005V 90 mV ±0.001V 0.02 mV
1 VDC ±0.001V 900 mV ±0.001V 0.24 mV
5 VDC ±0.002V 4500 mV ±0.003V 1.22 mV
10 VDC ±0.004V 4500 mV ±0.006V 2.44 mV
06864B DCN6314

Setup Menu Teledyne API – Model T300/T300M CO Analyzer
130
5.9.3.7. MANUAL ADJUSTMENT OF CURRENT LOOP OUTPUT SPAN AND OFFSET
A current loop option may be purchased for the A1, A2 and A3 analog outputs of the
analyzer. This option places circuitry in series with the output of the D-to-A converter
on the motherboard that changes the normal DC voltage output to a 0-20 milliamp signal
(see Section 3.3.1.4).
The outputs can be ordered scaled to any set of limits within that 0-20 mA range,
however most current loop applications call for either 0-20 mA or 4-20 mA range
spans.
All current loop outputs have a +5% over range. Ranges whose lower limit is set
above 1 mA also have a –5% under range.
To switch an analog output from voltage to current loop, follow the instructions in
Section 5.9.3.1 (select CURR from the list of options on the “Output Range” menu).
Adjusting the signal zero and span levels of the current loop output is done by raising or
lowering the voltage output of the D-to-A converter circuitry on the analyzer’s
motherboard. This raises or lowers the signal level produced by the current loop option
circuitry.
The software allows this adjustment to be made in 100, 10 or 1 count increments. Since
the exact amount by which the current signal is changed per D-to-A count varies from
output-to-output and instrument-to-instrument, you will need to measure the change in
the signal levels with a separate, current meter placed in series with the output circuit.
See Figure 3-9 for pin assignments and diagram of the analog output connector.
Figure 5-5: Setup for Checking / Calibration Current Output Signal Levels Using an Ammeter
CAUTION
GENERAL SAFETY HAZARD
Do not exceed 60 V peak voltage between current loop outputs and instrument ground.
06864B DCN6314

Setup Menu Teledyne API – Model T300/T300M CO Analyzer
132
An alternative method for measuring the output of the Current Loop converter is to
connect a 250 ohm 1% resistor across the current loop output in lieu of the current
meter (see Figure 3-9 for pin assignments and diagram of the analog output connector).
This allows the use of a voltmeter connected across the resistor to measure converter
output as VDC or mVDC.
V
+DC Gnd
Figure 5-6: Alternative Setup Using 250Ω Resistor for Checking Current Output Signal Levels
In this case, follow the procedure above but adjust the output for the following values:
Table 5-8: Current Loop Output Check
% FS Voltage across Resistor for
2-20 mA
Voltage across
Resistor for 4-20 mA
0 500 mVDC 1000 mVDC
100 5000 mVDC 5000 mVDC
06864B DCN6314

Teledyne API – Model T300/T300M CO Analyzer Setup Menu
133
5.9.3.8. TURNING AN ANALOG OUTPUT OVER-RANGE FEATURE ON/OFF
In its default configuration, a ± 5% over-range is available on each of the T300/T300M
Analyzer’s analog outputs. This over-range can be disabled if your recording device is
sensitive to excess voltage or current.
To turn the over-range feature on or off, select the ANALOG I/O CONFIGURATION
submenu (see Figure 5-3) then press:
06864B DCN6314

Setup Menu Teledyne API – Model T300/T300M CO Analyzer
134
5.9.3.9. ADDING A RECORDER OFFSET TO AN ANALOG OUTPUT
Some analog signal recorders require that the zero signal is significantly different from
the baseline of the recorder in order to record slightly negative readings from noise
around the zero point. This can be achieved in the T300/T300M by defining a zero
offset, a small voltage (e.g., 10% of span).
To add a zero offset to a specific analog output channel, select the ANALOG I/O
CONFIGURATION submenu (see Figure 5-3) then press:
06864B DCN6314

Teledyne API – Model T300/T300M CO Analyzer Setup Menu
135
5.9.3.10. AIN CALIBRATION
This is the submenu to conduct a calibration of the T300/T300M Analyzer’s analog
inputs. This calibration should only be necessary after major repair such as a
replacement of CPU, motherboard or power supplies.
To perform an analog input calibration, select the ANALOG I/O CONFIGURATION
submenu (see Figure 5-3) then press:
06864B DCN6314

Setup Menu Teledyne API – Model T300/T300M CO Analyzer
136
5.9.3.11. ANALOG INPUTS (XIN1…XIN8) OPTION CONFIGURATION
To configure the analyzer’s external analog inputs option, define for each channel:
gain (number of units represented by 1 volt)
offset (volts)
engineering units to be represented in volts (each press of the touchscreen
button scrolls the list of alphanumeric characters from A-Z and 0-9)
whether to display the channel in the Test functions
To access and adjust settings for the external Analog Inputs option channels press:
DIAG AIO XIN1 GAIN:1.00V/V
SET> EDIT EXIT
DIAG ANALOG I / O CONFIGURATION
PREV NEXT ENTR EXIT
DIAG AIO AOUTS CALIBRATED: NO
< SET SET> CAL EXIT
DIAG AIO XIN1 GAIN:1.00V/V
+ 0 0 1 .0 0 ENTR EXIT
Press to change
Gain value
DIAG AIO XIN1:1.00,0.00,V,OFF
< SET SET> EDIT EXIT
Press SET> to scroll to the first
channel. Continue pressing SET>
to view each of 8 channels.
Pressing ENTR records the new setting
and returns to the previous menu.
Pressing EXIT ignores the new setting and
returns to the previous menu.
Press EDIT at any channel
to to change Gain, Offset,
Units and whether to display
the channel in the Test
functions (OFF/ON).
DIAG AIO XIN1 OFFSET:0.00V
< SET SET> EDIT EXIT
DIAG AIO XIN1 UNITS:V
< SET SET> EDIT EXIT
DIAG AIO XIN1 DISPLAY:OFF
< SET EDIT EXIT
Figure 5-7. DIAG – Analog Inputs (Option) Configuration Menu
06864B DCN6314

Teledyne API – Model T300/T300M CO Analyzer Setup Menu
137
5.9.4. ELECTRICAL TEST
The electrical test function creates a current, which substitutes the PMT signal, and
feeds it into the preamplifier board. This signal is generated by circuitry on the pre-
amplifier board itself and tests the filtering and amplification functions of that assembly
along with the A/D converter on the motherboard. It does not test the PMT itself. (See
also Section 12.5.7.2).
5.9.5. DARK CALIBRATION
The dark calibration test interrupts the signal path between the IR photo-detector and the
remainder of the sync/demod board circuitry. This allows the instrument to compensate
for any voltage levels inherent in the sync/demod circuitry that might affect the
calculation of CO concentration. For details see Section 9.6.1.
5.9.6. PRESSURE CALIBRATION
A sensor at the exit of the sample chamber continuously measures the pressure of the
sample gas. The data are used to compensate the final CO concentration calculation for
changes in atmospheric pressure and are stored in the CPU’s memory as the test function
PRES (also viewable via the front panel). For details see Section 9.6.2.
06864B DCN6314

Setup Menu Teledyne API – Model T300/T300M CO Analyzer
138
5.9.7. FLOW CALIBRATION
The flow calibration allows the user to adjust the values of the sample flow rates as they
are displayed on the front panel and reported through COMM ports to match the actual
flow rate measured at the sample inlet. This does not change the hardware measurement
of the flow sensors, only the software-calculated values. For details see Section 9.6.3.
5.9.8. TEST CHAN OUTPUT
When activated, output channel A4 can be used in the standard configuration to report
one of the test functions viewable from the SAMPLE mode display. (See also Section
12.5.8.2).
5.9.8.1. SELECTING A TEST CHANNEL FUNCTION FOR OUTPUT A4
The test functions available to be reported are listed in Table 5-9:
Table 5-9: Test Channels Functions available on the T300/T300M’s Analog Output
TEST CHANNEL DESCRIPTION ZERO FULL SCALE *
NONE TEST CHANNEL IS TURNED OFF.
CO MEASURE
The demodulated, peak IR detector output
during the measure portion of the GFC Wheel
cycle.
0 mV 5000 mV
CO REFERENCE
The demodulated, peak IR detector output
during the reference portion of the GFC
Wheel cycle.
0 mV 5000 mV
SAMPLE PRESSURE
The absolute pressure of the Sample gas as
measured by a pressure sensor located inside
the sample chamber.
0 "Hg 40 "Hg
SAMPLE FLOW Sample mass flow rate as measured by the
flow rate sensor in the sample gas stream. 0 cm3/m 1000 cm
3/m
SAMPLE TEMP The temperature of the gas inside the sample
chamber. 0C 70C
BENCH TEMP Optical bench temperature. 0C 70C
WHEEL TEMP GFC Wheel temperature. 0C 70C
O2 CELL TEMP1 The current temperature of the O2 sensor
measurement cell. n 70C
CHASSIS TEMP The temperature inside the analyzer chassis. 0C 70C
PHT DRIVE
The drive voltage being supplied to the
thermoelectric coolers of the IR photo-
detector by the Sync/Demod Board.
0 mV 5000 mV
* Maximum test signal value at full scale of test channel output.
1 When option installed.
Once a function is selected, the instrument not only begins to output a signal on the
analog output, but also adds TEST to the list of test functions viewable via the front
panel display.
06864B DCN6314

Teledyne API – Model T300/T300M CO Analyzer Setup Menu
139
To activate the TEST Channel and select the CO MEASURE function, press:
SAMPLE RANGE=50.0 PPM CO= XX.XX
<TST TST> CAL SETUP
DIAG TEST CHAN:NONE
PREV NEXT ENTR EXIT
DIAG SIGNAL I/O
PREV NEXT ENTR EXIT
DIAG TEST CHAN OUTPUT
PREV NEXT ENTR EXIT
Continue pressing NEXT until ...
Toggle to scroll and
select a mass flow
controller TEST
channel parameter. DIAG TEST CHANNEL:CO MEASURE
PREV NEXT ENTR EXIT EXIT discards the new
setting.
ENTR accepts the
new setting.
SETUP X.X PRIMARY SETUP MENU
CFG DAS RNGE PASS CLK MORE EXIT
SETUP X.X SECONDARY SETUP MENU
COMM VARS DIAG EXIT
SETUP X.X ENTER PASSWORD:818
8 1 8 ENTR EXIT
Toggle these
buttons to enter
the correct
PASSWORD.
06864B DCN6314

Setup Menu Teledyne API – Model T300/T300M CO Analyzer
140
5.10. SETUP MORE ALRM (OPTION): USING THE GAS
CONCENTRATION ALARMS
The T300/T300M includes two CO concentration alarms if OPT 61 is installed on your
instrument. Each alarm has a user settable limit, and is associated with a Single Pole
Double Throw relay output accessible via the alarm output connector on the
instrument’s back panel (See Section 3.3.1.4). If the CO concentration measured by the
instrument rises above that limit, the alarm‘s status output relay is closed.
The default settings for ALM1 and ALM2 are:
Table 5-10: CO Concentration Alarm Default Settings
ALARM STATUS LIMIT SET POINT1
alm1 Disabled 100 ppm
alm2 Disabled 300 ppm
1Set points listed are for PPM. Should the reporting range units of measure be changed (See
Section 5.4.3) the analyzer will automatically scale the set points to match the new range unit
setting.
Note To prevent the concentration alarms from activating during span
calibration operations ensure that the CAL or CALS button is pressed
prior to introducing span gas into the analyzer.
06864B DCN6314

Teledyne API – Model T300/T300M CO Analyzer Setup Menu
141
5.10.1. SETTING THE T300 CONCENTRATION ALARM LIMITS
To enable either of the CO concentration alarms and set the limit points, press:
SETUP X.X CO ALRM 2: OFF
ON ENTR EXIT
SETUP X.X PRIMARY SETUP MENU
CFG DAS RNGE PASS CLK MORE EXIT
SETUP X.X SECONDARY SETUP MENU
COMM VARS DIAG ALRM EXIT
DIAG FCAL CO ALARM 2=300.00 PPM
3 0 0.00 ENTREXIT
Toggle these
buttons to Set
the alarm point
EXIT discards the new
setting
ENTR accepts the
new setting
SAMPLE RANGE=50.0 PPM CO= XX.XX
<TST TST> CAL SETUP
SETUP X.X CO ALRM 2, DISALBED
NEXT EDIT PRNT EXIT
Toggle this button to
enable/disable
the alarm
Continue pressing NEXT until the desired
Alarm is selected
06864B DCN6314

Setup Menu Teledyne API – Model T300/T300M CO Analyzer
142
This page intentionally left blank.
06864B DCN6314

143
6. COMMUNICATIONS SETUP AND OPERATION
This instrument rear panel connections include an Ethernet port, a USB port (option) and
two serial communications ports (labeled RS232, which is the COM1 port, and COM2)
located on the rear panel (refer to Figure 3-4). These ports give the user the ability to
communicate with, issue commands to, and receive data from the analyzer through an
external computer system or terminal.
This section provides pertinent information regarding communication equipment,
describes the instrument’s communications modes, presents configuration instructions
for the communications ports, and provides instructions for their use, including
communications protocol. Data acquisition is presented in Section 7.
6.1. DATA TERMINAL/COMMUNICATION EQUIPMENT (DTE DCE)
RS-232 was developed for allowing communications between data terminal equipment
(DTE) and data communication equipment (DCE). Basic terminals always fall into the
DTE category whereas modems are always considered DCE devices. The difference
between the two is the pin assignment of the Data Receive and Data Transmit functions.
• DTE devices receive data on pin 2 and transmit data on pin 3.
• DCE devices receive data on pin 3 and transmit data on pin 2.
To allow the analyzer to be used with terminals (DTE), modems (DCE) and computers
(which can be either), a switch mounted below the serial ports on the rear panel allows
the user to set the RS-232 configuration for one of these two data devices. This switch
exchanges the Receive and Transmit lines on RS-232 emulating a cross-over or null-
modem cable. The switch has no effect on COM2.
6.2. COMMUNICATION MODES, BAUD RATE AND PORT TESTING
Use the SETUP>MORE>COMM menu to configure COM1 (labeled RS232 on
instrument rear panel) and/or COM2 (labeled COM2 on instrument rear panel) for
communication modes, baud rate and/or port testing for correct connection. If using a
USB option communication connection, setup requires configuring the COM2 baud rate
(Section 6.2.2).
06864B DCN6314

Communications Setup and Operation Teledyne API – Model T300/T300M CO Analyzer
144
6.2.1. COMMUNICATION MODES
Either of the analyzer’s serial ports (RS232 or COM2 on rear panel) can be configured
to operate in a number of different modes, which are described in Table 6-1. As modes
are selected, the analyzer sums the mode ID numbers and displays this combined
number on the front panel display. For example, if quiet mode (01), computer mode
(02) and Multidrop-Enabled mode (32) are selected, the analyzer would display a
combined MODE ID of 35.
Table 6-1: COMM Port Communication Modes
MODE1 ID DESCRIPTION
QUIET 1
Quiet mode suppresses any feedback from the analyzer (such as warning messages) to
the remote device and is typically used when the port is communicating with a computer
program where such intermittent messages might cause communication problems.
Such feedback is still available but a command must be issued to receive them.
COMPUTER 2 Computer mode inhibits echoing of typed characters and is used when the port is
communicating with a computer operated control program.
HESSEN
PROTOCOL 16 The Hessen communications protocol is used in some European countries. TAPI P/N
02252 contains more information on this protocol.
E, 8, 1 8192 When turned on this mode switches the COMM port settings from
● NO PARITY; 8 data bits; 1 stop bit to EVEN PARITY; 8 data bits; 1 stop bit.
E, 7, 1 2048 When turned on this mode switches the COM port settings from
● NO PARITY; 8 DATA BITS; 1 stop bit to EVEN PARITY; 7 DATA BITS; 1 stop bit.
RS-485 1024 Configures the COM2 Port for RS-485 communication. RS-485 mode has precedence
over multidrop mode if both are enabled.
SECURITY 4 When enabled, the serial port requires a password before it will respond (see Section
5.5). If not logged on, the only active command is the '?' request for the help screen.
MULTIDROP
PROTOCOL 32 Multidrop protocol allows a multi-instrument configuration on a single communications
channel. Multidrop requires the use of instrument IDs.
ENABLE
MODEM 64 Enables to send a modem initialization string at power-up. Asserts certain lines in the
RS-232 port to enable the modem to communicate.
ERROR
CHECKING2 128 Fixes certain types of parity errors at certain Hessen protocol installations.
XON/XOFF
HANDSHAKE2 256 Disables XON/XOFF data flow control also known as software handshaking.
HARDWARE
HANDSHAKE 8 Enables CTS/RTS style hardwired transmission handshaking. This style of data
transmission handshaking is commonly used with modems or terminal emulation
protocols as well as by Teledyne Instrument’s APICOM software.
HARDWARE
FIFO2 512 Disables the HARDWARE FIFO (First In – First Out). When FIFO is enabled it improves
data transfer rate for that COM port.
COMMAND
PROMPT 4096 Enables a command prompt when in terminal mode.
1 Modes are listed in the order in which they appear in the
SETUP MORE COMM COM[1 OR 2] MODE menu
2 The default setting for this feature is ON. Do not disable unless instructed to by Teledyne API’s Customer Service
personnel.
06864B DCN6314

Teledyne API – Model T300/T300M CO Analyzer Communications Setup and Operation
145
Communication Modes for each COM port must be configured independently. To turn
on or off the communication modes for either COM1 or COM2, access the
SETUP>MORE>[COM1 or COM2] menu and at the COM1[2] Mode menu press EDIT.
Continue pressing NEXT to scroll through the
available Modes and press the ON or OFF button
to enable or disable each mode.
SETUP X.X COMMUNICATIONS MENU
ID INET COM1 COM2 EXIT
SETUP X.X COM1 MODE: 32
SET> EDIT EXIT
SETUP X.X COM1 QUIET MODE: OFF
NEXT OFF ENTR EXIT
Select which COM
port to configure
The sum of the mode
IDs of the selected
modes is displayed
here
Figure 6-1: COM1[2] – Communication Modes Setup
06864B DCN6314

Communications Setup and Operation Teledyne API – Model T300/T300M CO Analyzer
146
6.2.2. COM PORT BAUD RATE
To select the baud rate of either COM Port, go to SETUP>MORE>COMM and select
either COM1 or COM2 as follows (use COM2 to view/match your personal computer
baud rate when using the USB port, Section 6.6):
Figure 6-2: COMM Port Baud Rate
06864B DCN6314

Teledyne API – Model T300/T300M CO Analyzer Communications Setup and Operation
147
6.2.3. COM PORT TESTING
The serial ports can be tested for correct connection and output in the COMM menu.
This test sends a string of 256 ‘w’ characters to the selected COM port. While the test is
running, the red LED labeled TX for that COM port on the instrument’s rear panel
analyzer should flicker.
To initiate the test, access the COMMUNICATIONS Menu (SETUP>MORE>COMM),
then press:
Select which
COMM port to
test.
SETUP X.X COMMUNICATIONS MENU
ID INET COM1 COM2 EXIT
SETUP X.X COM1 : TEST PORT
<SET TEST EXIT
SETUP X.X TRANSMITTING TO COM1
<SET TEST EXIT
SETUP X.X COM1 MODE:0
SET> EDIT EXIT
SETUP X.X COM1 BAUD RATE:19200
<SET SET> EDIT EXIT
EXIT returns to
COMM menu
Test runs
automatically
Figure 6-3: COMM – COM1 Test Port
6.3. RS-232
The RS232 and COM2 communications (COMM) ports operate on the RS-232 protocol
(default configuration). Possible configurations for these two COMM ports are
summarized as follows:
RS232 port can also be configured to operate in single or RS-232 Multidrop mode
(Option 62); refer to Sections 3.3.1.8 and 5.7.1.
COM2 port can be left in its default configuration for standard RS-232 operation
including multidrop, or it can be reconfigured for half-duplex RS-485 operation
(please contact the factory for this configuration).
Note that when the rear panel COM2 port is in use, except for multidrop
communication, the rear panel USB port cannot be used. (Alternatively, when the USB
port is enabled, COM2 port cannot be used except for multidrop).
06864B DCN6314

Communications Setup and Operation Teledyne API – Model T300/T300M CO Analyzer
148
A Code-Activated Switch (CAS), can also be used on either port to connect typically
between 2 and 16 send/receive instruments (host computer(s) printers, data loggers,
analyzers, monitors, calibrators, etc.) into one communications hub. Contact Teledyne
API Sales for more information on CAS systems.
To assist in properly connecting the serial ports to either a computer or a modem, there
are activity indicators just above the RS-232 port. Once a cable is connected between
the analyzer and a computer or modem, both the red and green LEDs should be on.
If the lights are not lit, use small switch on the rear panel to switch it between DTE
and DCE modes.
If both LEDs are still not illuminated, make sure the cable properly constructed.
To configure the analyzer’s communication ports, use the SETUP>MORE>COMM
menu. Refer to Section 5.7.3 for initial setup.
6.4. RS-485 (OPTION)
The COM2 port of the instrument’s rear panel is set up for RS-232 communication but
can be reconfigured for RS-485 communication. Contact Customer Service. If this
option was elected at the time of purchase, the rear panel was preconfigured at the
factory. Choosing this option disallows use of the USB port.
6.5. ETHERNET
When using the Ethernet interface, the analyzer can be connected to any standard
10BaseT or 100BaseT Ethernet network via low-cost network hubs, switches or routers.
The interface operates as a standard TCP/IP device on port 3000. This allows a remote
computer to connect through the network to the analyzer using APICOM, terminal
emulators or other programs.
The Ethernet cable connector on the rear panel has two LEDs indicating the Ethernet’s
current operating status.
Table 6-2: Ethernet Status Indicators
LED FUNCTION
amber (link) On when connection to the LAN is valid.
green (activity Flickers during any activity on the LAN.
The analyzer is shipped with DHCP enabled by default. This allows the instrument to be
connected to a network or router with a DHCP server. The instrument will automatically
be assigned an IP address by the DHCP server (Section 6.5.2). This configuration is
useful for quickly getting an instrument up and running on a network. However, for
permanent Ethernet connections, a static IP address should be used. Section 6.5.1 below
details how to configure the instrument with a static IP address.
06864B DCN6314

Teledyne API – Model T300/T300M CO Analyzer Communications Setup and Operation
149
6.5.1. CONFIGURING ETHERNET COMMUNICATION MANUALLY (STATIC
IP ADDRESS)
To configure Ethernet communication manually:
1. Connect a cable from the analyzer’s Ethernet port to a Local Area Network (LAN) or
Internet port.
2. From the analyzer’s front panel touchscreen, access the Communications Menu
(SETUP>MORE>COMM).
3. Enter the Ethernet menu (INET), follow the setup sequence as shown in Figure 6-4,
and edit the Instrument and Gateway IP addresses and Subnet Mask to the desired
settings.
Alternatively, from the computer, enter the same information through an application
such as HyperTerminal.
Table 6-3 shows the default Ethernet configuration settings.
Table 6-3: LAN/Internet Default Configuration Properties
PROPERTY DEFAULT STATE DESCRIPTION
DHCP ON
This displays whether the DHCP is turned ON or OFF. Press
EDIT and toggle ON for automatic configuration after first
consulting network administrator.
INSTRUMENT IP
ADDRESS This string of four packets of 1 to 3 numbers each (e.g.
192.168.76.55.) is the address of the analyzer itself.
GATEWAY IP
ADDRESS
0.0.0.0
Can only be edited when DHCP is set to OFF.
A string of numbers very similar to the Instrument IP address
(e.g. 192.168.76.1.) that is the address of the computer used
by your LAN to access the Internet.
SUBNET MASK 0.0.0.0
Can only be edited when DHCP is set to OFF.
Also a string of four packets of 1 to 3 numbers each (e.g.
255.255.252.0) that identifies the LAN to which the device is
connected.
All addressable devices and computers on a LAN must have
the same subnet mask. Any transmissions sent to devices
with different subnets are assumed to be outside of the LAN
and are routed through the gateway computer onto the
Internet.
TCP PORT1 3000
This number defines the terminal control port by which the
instrument is addressed by terminal emulation software, such
as Internet or Teledyne API’s APICOM.
HOST NAME [initially blank]
The name by which your analyzer will appear when
addressed from other computers on the LAN or via the
Internet. To change, see Section 6.5.3.
1 Do not change the setting for this property unless instructed to by Teledyne API’s Customer Service
personnel.
06864B DCN6314

Communications Setup and Operation Teledyne API – Model T300/T300M CO Analyzer
150
Internet Configuration Button Functions
BUTTON FUNCTION
[0] Location of cursor. Press to cycle through the range of
numerals and available characters (“0 – 9” & “ . ”)
<CH CH> Moves the cursor one character left or right.
DEL Deletes a character at the cursor location.
ENTR Accepts the new setting and returns to the previous
menu.
EXIT Ignores the new setting and returns to the previous
menu.
Some buttons appear only when relevant.
SETUP X.X DHCP: OFF
SET> EDIT EXIT
SETUP X.X INST IP: 000.000.000.000
<SET SET> EDIT EXIT
SETUP X.X GATEWAY IP: 000.000.000.000
<SET SET> EDIT EXIT
SETUP X.X INST IP: [0] 00.000.000
<CH CH> DEL [0] ENTR EXIT
SETUP X.X SUBNET MASK:255.255.255.0
<SET SET> EDIT EXIT
SETUP X.X SUBNET MASK:[2]55.255.255.0
<CH CH> DEL [?] ENTR EXIT
SETUP X.X TCP PORT 3000
<SET EDIT EXIT
The PORT number must remain at 3000.
Do not change this setting unless instructed to by
Teledyne Instruments Customer Service personnel.
SETUP X.X GATEWAY IP: [0] 00.000.000
<CH CH> DEL [?] ENTR EXIT
Cursor
location is
indicated by
brackets
SETUP X.X INITIALIZING INET 0%
…
INITIALIZING INET 100%
SETUP X.X INITIALIZATI0N SUCCEEDED
SETUP X.X INITIALIZATION FAILED
SETUP X.X
COMMUNICATIONS MENU
ID INET COM1 COM2 EXIT
Pressing EXI
T
from
any of the above
display menus
causes the Ethernet
option to reinitialize
its internal interface
firmware
Contact your IT
Network Administrator
SAMPLE ENTER SETUP PASS : 818
8 1 8 ENTR EXIT
SETUP X.X COMMUNICATIONS MENU
ID INET COM1 COM2 EXIT
DHCP: ON is
default setting.
Skip this step
if it has been
set to OFF.
SETUP X.X DHCP: ON
SET> EDIT EXIT
Figure 6-4: COMM – LAN / Internet Manual Configuration
06864B DCN6314

Teledyne API – Model T300/T300M CO Analyzer Communications Setup and Operation
151
6.5.2. CONFIGURING ETHERNET COMMUNICATION USING DYNAMIC
HOST CONFIGURATION PROTOCOL (DHCP)
The default Ethernet setting is DHCP.
1. See your network administrator to affirm that your network server is running DHCP.
2. Access the Communications Menu (SETUP>MORE>COMM) and follow the setup
sequence as shown in Figure 6-5.
Figure 6-5 : COMM – LAN / Internet Automatic Configuration (DHCP)
06864B DCN6314

Communications Setup and Operation Teledyne API – Model T300/T300M CO Analyzer
152
6.5.3. CHANGING THE ANALYZER’S HOSTNAME
The HOSTNAME is the name by which the analyzer appears on your network. The
default name for all Teledyne API’s T300 analyzers is T300. To change this name
(particularly if you have more than one T300/T300M Analyzer on your network), press:
BUTTON FUNCTION
<CH Moves the cursor one character to the left.
CH> Moves the cursor one character to the right.
INS Inserts a character before the cursor location.
DEL Deletes a character at the cursor location.
[?]
Press this key to cycle through the range of
numerals and characters available for
insertion. 0-9, A-Z, space ’ ~ ! # $ % ^ & * (
) - _ = +[ ] { } < >\ | ; : , . / ?
ENTR Accepts the new setting and returns to the
previous menu.
EXIT Ignores the new setting and returns to the
previous menu.
Some keys only appear as needed.
06864B DCN6314

Teledyne API – Model T300/T300M CO Analyzer Communications Setup and Operation
153
6.6. USB PORT (OPTION) FOR REMOTE ACCESS
The analyzer can be operated through a personal computer by downloading the TAPI
USB driver and directly connecting their respective USB ports.
1. Install the Teledyne T-Series USB driver on your computer, downloadable from the
Teledyne API website under Help Center>Software Downloads (www.teledyne-
api.com/software).
2. Run the installer file: “TAPIVCPInstaller.exe”
3. Connect the USB cable between the USB ports on your personal computer and your
analyzer. The USB cable should be a Type A – Type B cable, commonly used as a
USB printer cable.
4. Determine the Windows XP Com Port number that was automatically assigned to
the USB connection. (Start → Control Panel → System → Hardware → Device
Manager). This is the com port that should be set in the communications software,
such as APIcom or Hyperterminal.
Refer to the Quick Start (Direct Cable Connection) section of the Teledyne APIcom
Manual, PN 07463.
06864B DCN6314

Communications Setup and Operation Teledyne API – Model T300/T300M CO Analyzer
154
5. In the instrument’s SETUP>MORE>COMM>COM2 menu, make the following settings:
Baud Rate: 115200
COM2 Mode Settings:
Quiet Mode ON
Computer Mode ON
MODBUS RTU OFF
MODBUS ASCII OFF
E,8,1 MODE OFF
E,7,1 MODE OFF
RS-485 MODE OFF
SECURITY MODE OFF
MULTIDROP MODE OFF
ENABLE MODEM OFF
ERROR CHECKING ON
XON/XOFF HANDSHAKE OFF
HARDWARE HANDSHAKE OFF
HARDWARE FIFO ON
COMMAND PROMPT OFF
6. Next, configure your communications software, such as APIcom. Use the COM port
determined in Step 4 and the baud rate set in Step 5. The figures below show how
these parameters would be configured in the Instrument Properties window in
APIcom when configuring a new instrument. See the APIcom manual (PN 07463)
for more details.
Note USB configuration requires that the baud rates of the instrument and
the PC match; check the PC baud rate and change if needed.
Using the USB port disallows use of the rear panel COM2 port except
for multidrop communication.
06864B DCN6314

Teledyne API – Model T300/T300M CO Analyzer Communications Setup and Operation
155
6.7. COMMUNICATIONS PROTOCOLS
Two communications protocols available with the analyzer are MODBUS and Hessen.
MODBUS setup instructions are provided here (Section 6.7.1) and registers are provided
in Appendix A. Hessen setup and operation instructions are provided in Section 6.7.2.
6.7.1. MODBUS
The following set of instructions assumes that the user is familiar with MODBUS
communications, and provides minimal information to get started. For additional
instruction, please refer to the Teledyne API MODBUS manual, PN 06276. Also refer to
www.modbus.org for MODBUS communication protocols.
Minimum Requirements
Instrument firmware with MODBUS capabilities installed.
MODBUS-compatible software (TAPI uses MODBUS Poll for testing; see
www.modbustools.com)
Personal computer
Communications cable (Ethernet or USB or RS232)
Possibly a null modem adapter or cable
MODBUS Setup:
Set Com Mode parameters
Comm
Slave ID
Ethernet: Using the front panel menu, go to SETUP – MORE – COMM – INET; scroll through the INET
submenu until you reach TCP PORT 2 (the standard setting is 502), then continue to TCP
PORT 2 MODBUS TCP/IP; press EDIT and toggle the menu button to change the setting
to ON, then press ENTR. (Change Machine ID if needed: see “Slave ID”).
USB/RS232: Using the front panel menu, go to SETUP – MORE – COMM – COM2 – EDIT; scroll through
the COM2 EDIT submenu until the display shows COM2 MODBUS RTU: OFF (press
OFF to change the setting to ON. Scroll NEXT to COM2 MODBUS ASCII and ensure it is
set to OFF. Press ENTR to keep the new settings. (If RTU is not available with your
communications equipment, set the COM2 MODBUS ASCII setting to ON and ensure that
COM2 MODBUS RTU is set to OFF. Press ENTR to keep the new settings).
A MODBUS slave ID must be set for each instrument. Valid slave ID’s are in the range of 1 to 247. If
your analyzer is connected to a serial network (i.e., RS-485), a unique Slave ID must be assigned to each
instrument. To set the slave ID for the instrument, go to SETUP – MORE – COMM – ID. The default
MACHINE ID is the same as the model number. Toggle the menu buttons to change the ID.
Reboot analyzer For the settings to take effect, power down the analyzer, wait 5 seconds, and power up the analyzer.
Make appropriate cable
connections
Connect your analyzer either:
via its Ethernet or USB port to a PC (this may require a USB-to-RS232 adapter for your PC; if so, also
install the software driver from the CD supplied with the adapter, and reboot the computer if required), or
via its COM2 port to a null modem (this may require a null modem adapter or cable).
Specify MODBUS software
settings
(examples used here are for
MODBUS Poll software)
1. Click Setup / [Read / Write Definition] /.
a. In the Read/Write Definition window (see example that follows) select a Function (what you wish
to read from the analyzer).
b. Input Quantity (based on your firmware’s register map).
c. In the View section of the Read/Write Definition window select a Display (typically Float Inverse).
d. Click OK.
2. Next, click Connection/Connect.
a. In the Connection Setup window (see example that follows), select the options based on your
computer.
b. Press OK.
Read the Modbus Poll Register Use the Register Map to find the test parameter names for the values displayed (see example that
follows). If desired, assign an alias for each.
Example Read/Write Definition window:
06864B DCN6314

Communications Setup and Operation Teledyne API – Model T300/T300M CO Analyzer
156
Example Connection Setup window:
Example MODBUS Poll window:
6.7.2. HESSEN
The Hessen protocol is a multidrop protocol, in which several remote instruments are
connected via a common communications channel to a host computer. The remote
06864B DCN6314

Teledyne API – Model T300/T300M CO Analyzer Communications Setup and Operation
157
instruments are regarded as slaves of the host computer. The remote instruments are
unaware that they are connected to a multidrop bus and never initiate Hessen protocol
messages. They only respond to commands from the host computer and only when they
receive a command containing their own unique ID number.
The Hessen protocol is designed to accomplish two things: to obtain the status of remote
instruments, including the concentrations of all the gases measured; and to place remote
instruments into zero or span calibration or measure mode. API’s implementation
supports both of these principal features.
The Hessen protocol is not well defined, therefore while API’s application is completely
compatible with the protocol itself, it may be different from implementations by other
companies.
Note The following sections describe the basics for setting up your instrument
to operate over a Hessen Protocol network.
For more detailed information as well as a list of host computer
commands and examples of command and response message syntax,
download the Manual Addendum for Hessen Protocol from the Teledyne
API web site: http://www.teledyne-api.com/manuals/.
6.7.2.1. HESSEN COMM PORT CONFIGURATION
Hessen protocol requires the communication parameters of the T300/T300M Analyzer’s
COMM ports to be set differently than the standard configuration as shown in Table 6-4.
Table 6-4: RS-232 Communication Parameters for Hessen Protocol
PARAMETER STANDARD HESSEN
Baud Rate 300 – 19200 1200
Data Bits 8 7
Stop Bits 1 2
Parity
None Even
Duplex Full Half
To change the baud rate of the T300/T300M’s COMM ports, see Section 6.2.2.
To change the rest of the COMM port parameters listed in Table 6-4, see Section 6.2 and
Table 6-1.
IMPORTANT IMPACT ON READINGS OR DATA
Ensure that the communication parameters of the host computer are also
properly set.
Note The instrument software has a 200 ms latency before it responds to
commands issued by the host computer. This latency should present no
06864B DCN6314

Communications Setup and Operation Teledyne API – Model T300/T300M CO Analyzer
158
problems, but you should be aware of it and not issue commands to the
instrument too quickly.
06864B DCN6314

Teledyne API – Model T300/T300M CO Analyzer Communications Setup and Operation
159
6.7.2.2. ACTIVATING HESSEN PROTOCOL
Once the COMM port has been properly configured, the next step in configuring the
T300/T300M to operate over a Hessen protocol network is to activate the Hessen mode
for COMM ports and configure the communication parameters for the port(s)
appropriately.
To activate the Hessen Protocol, press:
06864B DCN6314

Communications Setup and Operation Teledyne API – Model T300/T300M CO Analyzer
160
6.7.2.3. SELECTING A HESSEN PROTOCOL TYPE
Currently there are two versions of Hessen Protocol in use. The original
implementation, referred to as TYPE 1, and a more recently released version, TYPE 2
that has more flexibility when operating with instruments that can measure more than
one type of gas.
For more specific information about the difference between TYPE 1 and TYPE 2
download the Manual Addendum for Hessen Protocol from the Teledyne API web site:
http://www.teledyne-api.com/manuals/.
To select a Hessen Protocol Type press:
Note While Hessen Protocol Mode can be activated independently for RS-232
and COM2, the TYPE selection affects both Ports.
06864B DCN6314

Teledyne API – Model T300/T300M CO Analyzer Communications Setup and Operation
161
6.7.2.4. SETTING THE HESSEN PROTOCOL RESPONSE MODE
The Teledyne API’s implementation of Hessen Protocol allows the user to choose one of
several different modes of response for the analyzer.
Table 6-5: Teledyne API’s Hessen Protocol Response Modes
MODE ID MODE DESCRIPTION
CMD This is the Default Setting. Reponses from the instrument are encoded as the traditional
command format. Style and format of responses depend on exact coding of the initiating
command.
BCC Responses from the instrument are always delimited with <STX> (at the beginning of the
response, <ETX> (at the end of the response followed by a 2 digit Block Check Code
(checksum), regardless of the command encoding.
TEXT Responses from the instrument are always delimited with <CR> at the beginning and the
end of the string, regardless of the command encoding.
To select a Hessen response mode, press:
06864B DCN6314

Communications Setup and Operation Teledyne API – Model T300/T300M CO Analyzer
162
6.7.3. HESSEN PROTOCOL GAS LIST ENTRIES
6.7.3.1. HESSEN PROTOCOL GAS ID
The T300/T300M Analyzer keeps a list of available gas types. Each entry in this list
takes the following format:
[GAS TYPE],[RANGE],[GAS ID],[REPORTED]
WHERE:
GAS TYPE = The type of gas to be reported (e.g. CO, CO2, O2, etc.).
RANGE = The concentration range for this entry in the gas list. This
feature permits the user to select which concentration range
will be used for this gas list entry. The T300/T300M Analyzer
has two ranges: RANGE1 or LOW & RANGE2 or HIGH (See
Section 5.4.1).
0 - The HESSEN protocol to use whatever range is currently
active.
1 - The HESSEN protocol will always use RANGE1 for this
gas list entry.
2 - The HESSEN protocol will always use RANGE2 for this
gas list entry.
3 - Not applicable to the T300/T300M Analyzer.
GAS ID = An identification number assigned to a specific gas. In the
case of the T300/T300M Analyzer in its base configuration,
there is only one gas CO, and its default GAS ID is 310. This
ID number should not be modified.
REPORT = States whether this list entry is to be reported or not reported
when ever this gas type or instrument is polled by the
HESSEN network. If the list entry is not to be reported this
field will be blank.
While the T300/T300M Analyzer is a single gas instrument that measures CO, it can
have additional, optional sensors for CO2 or O2 installed. The default gas list entries for
these three gases are:
CO, 0, 310, REPORTED
CO2, 0, 311, REPORTED
O2, 0, 312, REPORTED
These default settings cause the instrument to report the concentration value of the
currently active range. If you wish to have just concentration value stored for a specific
range, this list entry should be edited or additional entries should be added to the list.
EXAMPLE: Changing the above CO gas list entry to read:
CO, 2, 310, REPORTED
would cause only the last CO reading while RANGE2 (HIGH) range was active to be
recorded.
06864B DCN6314

Teledyne API – Model T300/T300M CO Analyzer Communications Setup and Operation
163
6.7.3.2. EDITING OR ADDING HESSEN GAS LIST ENTRIES
To add or edit an entry to the Hessen Gas List, press:
06864B DCN6314

Communications Setup and Operation Teledyne API – Model T300/T300M CO Analyzer
164
6.7.3.3. DELETING HESSEN GAS LIST ENTRIES
To delete an entry from the Hessen Gas list, press:
06864B DCN6314

Teledyne API – Model T300/T300M CO Analyzer Communications Setup and Operation
165
6.7.3.4. SETTING HESSEN PROTOCOL STATUS FLAGS
Teledyne API’s implementation of Hessen protocols includes a set of status bits that the
instrument includes in responses to inform the host computer of its condition. Each bit
can be assigned to one operational and warning message flag. The default settings for
these bit/flags are:
Table 6-6: Default Hessen Status Flag Assignments
STATUS FLAG NAME DEFAULT BIT ASSIGNMENT
WARNING FLAGS
SAMPLE FLOW WARNING 0001
BENCH TEMP WARNING 0002
SOURCE WARNING 0004
BOX TEMP WARNING 0008
WHEEL TEMP WARNING 0010
SAMPLE TEMP WARN 0020
SAMPLE PRESS WARN 0040
INVALID CONC
(The Instrument’s Front Panel Display Will Show The
Concentration As “Warnings”)
0080
OPERATIONAL FLAGS1
Instrument OFF 0100
In MANUAL Calibration Mode 0200
In ZERO Calibration Mode4 0400
In O2 Calibration Mode (if O2 sensor installed )2,4 0400
In CO2 Calibration Mode (if CO2 sensor installed )2,4 0400
In SPAN Calibration Mode 0800
UNITS OF MEASURE FLAGS
UGM 0000
MGM 2000
PPB 4000
PPM 6000
SPARE/UNUSED BITS 1000, 8000
UNASSIGNED FLAGS (0000)
AZERO WARN2 DCPS WARNING
CANNOT DYN SPAN2 REAR BOARD NOT DET
CANNOT DYN ZERO3 SYNC WARNING1
CONC ALARM 13 SYSTEM RESET1
CONC ALARM 23
1 These status flags are standard for all instruments and should probably not be modified.
2 Only applicable if the optional internal span gas generator is installed.
3 Only applicable if the analyzer is equipped with an alarm options.
3 It is possible to assign more than one flag to the same Hessen status bit. This allows the grouping of
similar flags, such as all temperature warnings, under the same status bit.
Be careful not to assign conflicting flags to the same bit as each status bit will be triggered if any of the
assigned flags is active.
06864B DCN6314

Communications Setup and Operation Teledyne API – Model T300/T300M CO Analyzer
166
To assign or reset the status flag bit assignments, press:
6.7.3.5. INSTRUMENT ID
Each instrument on a Hessen Protocol network must have a unique identifier (ID
number). If more than one T300/T300M analyzer is on the Hessen network, refer to
Section 5.7.1 for information and to customize the ID of each.
06864B DCN6314

167
7. DATA ACQUISITION SYSTEM (DAS) AND APICOM
The T300/T300M Analyzer contains a flexible and powerful, Internal Data Acquisition
System (DAS) that enables the analyzer to store concentration and calibration data as
well as a host of diagnostic parameters. The DAS of the T300/T300M can store up to
about one million data points, which can, depending on individual configurations, cover
days, weeks or months of valuable measurements. The data is stored in non-volatile
memory and is retained even when the instrument is powered off. Data is stored in plain
text format for easy retrieval and use in common data analysis programs (such as
spreadsheet-type programs).
The DAS is designed to be flexible, users have full control over the type, length and
reporting time of the data. The DAS permits users to access stored data through the
instrument’s front panel or its communication ports.
The principal use of the DAS is logging data for trend analysis and predictive
diagnostics, which can assist in identifying possible problems before they affect the
functionality of the analyzer. The secondary use is for data analysis, documentation and
archival in electronic format.
To support the DAS functionality, Teledyne API offers APICOM, a program that
provides a visual interface for remote or local setup, configuration and data retrieval of
the DAS. The APICOM manual, which is included with the program, contains a more
detailed description of the DAS structure and configuration, which is briefly described
in this manual.
The T300/T300M is configured with a basic DAS configuration, which is enabled by
default. New data channels are also enabled by default at their creation, but all channels
may be turned off for later or occasional use.
The green SAMPLE LED on the instrument front panel, which indicates the analyzer
status, also indicates certain aspects of the DAS status:
Table 7-1: Front Panel LED Status Indicators for DAS
LED STATE DAS STATUS
Off
System is in calibration mode. Data logging can be enabled or disabled for this mode. Calibration
data are typically stored at the end of calibration periods, concentration data are typically not
sampled, diagnostic data should be collected.
Blinking
Instrument is in hold-off mode, a short period after the system exits calibrations. DAS channels can
be enabled or disabled for this period. Concentration data are typically disabled whereas
diagnostic should be collected.
On Sampling normally.
06864B DCN6314

Data Acquisition System (DAS) and APICOM Teledyne API – Model T300/T300M CO Analyzer
168
Note DAS operation is suspended whenever its configuration is edited using
the analyzer’s front panel and therefore data may be lost. To prevent
such data loss, it is recommended to use the APICOM graphical user
interface for DAS changes (Sections .
Please be aware that all stored data will be erased if the analyzer’s disk-
on-module or CPU board is replaced or if the configuration data stored
there is reset.
Note The DAS can be disabled only by disabling or deleting its individual data
channels.
7.1. DAS STRUCTURE
The DAS is designed around the feature of a “record”. A record is a single data point.
The type of data recorded in a record is defined by two properties:
PARAMETER type that defines the kind of data to be stored (e.g. the average of gas
concentrations measured with three digits of precision). See Section 7.1.6.
A TRIGGER event that defines when the record is made (e.g. timer; every time a
calibration is performed, etc.). See Section 7.1.5.
The specific PARAMETERS and TRIGGER events that describe an individual record
are defined in a construct called a DATA CHANNEL (see Section 7.1.1). Each data
channel is related one or more parameters with a specific trigger event and various other
operational characteristics related to the records being made (e.g. the channels name,
number or records to be made, time period between records, whether or not the record is
exported via the analyzer’s RS-232 port, etc.).
06864B DCN6314

Teledyne API – Model T300/T300M CO Analyzer Data Acquisition System (DAS) and APICOM
169
7.1.1. DAS DATA CHANNELS
The key to the flexibility of the DAS is its ability to store a large number of
combinations of triggering events and data parameters in the form of data channels.
Users may create up to 50 data channels and each channel can contain one or more
parameters. For each channel, the following are selected:
One triggering event is selected.
Up to 50 data parameters, which can be the shared between channels.
Several other properties that define the structure of the channel and allow the user
to make operational decisions regarding the channel.
Table 7-2: DAS Data Channel Properties
PROPERTY DESCRIPTION
DEFAULT
SETTING SETTING RANGE
NAME The name of the data channel. “NONE” Up to 6 letters or digits 1.
TRIGGERING
EVENT
The event that triggers the data channel to measure
and store the datum. ATIMER Any available event
(see Appendix A-5).
NUMBER AND
LIST OF
PARAMETERS
A User-configurable list of data types to be
recorded in any given channel.
1
(COMEAS)
Any available parameter
(see Appendix A-5).
REPORT PERIOD The amount of time between each channel data
point.
000:01:00
(1 hour)
000:00:01 to
366:23:59
(Days:Hours:Minutes)
NUMBER OF
RECORDS
The number of reports that will be stored in the data
file. Once the limit is exceeded, the oldest data is
over-written.
100 1 to 1 million, limited by
available storage space.
RS-232 REPORT Enables the analyzer to automatically report
channel values to the RS-232 ports. OFF OFF or ON
CHANNEL
ENABLED
Enables or disables the channel. Allows a channel
to be temporarily turned off without deleting it. ON OFF or ON
CAL HOLD OFF Disables sampling of data parameters while
instrument is in calibration mode 2. OFF OFF or ON
1 More with APICOM, but only the first six are displayed on the front panel.
2 When enabled records are not recorded until the DAS HOLD OFF period is passed after calibration mode. DAS HOLD OFF SET in
the VARS menu (see Section 7.1.11).
7.1.2. DEFAULT DAS CHANNELS
A set of default Data Channels has been included in the analyzer’s software for logging
CO concentration and certain predictive diagnostic data. These default channels include
but are not limited to:
CONC: Samples CO concentration at one minute intervals and stores an average
every hour with a time and date stamp. Readings during calibration and calibration
hold off are not included in the data.
By default, the last 800 hourly averages are stored.
PNUMTC: Collects sample flow and sample pressure data at five-minute intervals
and stores an average once a day with a time and date stamp. This data is useful
for monitoring the condition of the pump and critical flow orifice (sample flow) and
the sample filter (clogging indicated by a drop in sample pressure) over time to
predict when maintenance will be required.
The last 360 daily averages (about 1 year) are stored.
06864B DCN6314

Data Acquisition System (DAS) and APICOM Teledyne API – Model T300/T300M CO Analyzer
170
CALDAT: Logs new slope and offset of CO measurements every time a zero or
span calibration is performed and the result changes the value of the slope
(triggering event: SLPCHG). The CO stability data to evaluate if the calibration
value was stable are also stored.
This data channel will store data from the last 200 calibrations and can be used
to document analyzer calibration and is useful in the detection of the in slope
and offset (instrument response) when performing predictive diagnostics as part
of a regular maintenance schedule.
The CALDAT channel collects data based on events (e.g. a calibration
operation) rather than a timed interval and therefore does not represent any
specific length of time. As with all data channels, a date and time stamp is
recorded for every logged data point.
These default Data Channels can be used as they are, or they can be customized from the
front panel to fit a specific application. They can also be deleted to make room for
custom user-programmed Data Channels.
Appendix A-5 lists the firmware-specific DAS configuration in plain-text format. This
text file can either be loaded into APICOM and then modified and uploaded to the
instrument or can be copied and pasted into a terminal program to be sent to the
analyzer.
IMPORTANT IMPACT ON READINGS OR DATA
Sending a DAS configuration to the analyzer through its COM ports will
replace the existing configuration and will delete all stored data. Back up
any existing data and the DAS configuration before uploading new
settings.
06864B DCN6314

Teledyne API – Model T300/T300M CO Analyzer Data Acquisition System (DAS) and APICOM
171
Triggering Events and Data Parameters/Functions for these default channels are:
Name: STBSPN
Event: EXITSP
Report Period: N/A
No. of Records: 200
RS-232 Report: OFF
Channel Enabled: ON
Cal Hold OFF: OFF
Parameters: 2DETMES INST 1OFF
RATIO INST 3OFF
Name: CALDAT
Event: SLPCHG
Report Period: N/A
No. of Records: 200
RS-232 Report: OFF
Channel Enabled: ON
Cal Hold OFF: OFF
Parameters: 3
SLOPE1 INST 3OFF
ZSCNC1 INST 1OFF
OFFSET1 I NST 1OFF
Name: PNUMTC
Event: ATIMER
Report Period: 000:01:00
No. of Records: 360
RS-232 Report: OFF
Channel Enabled: ON
Cal Hold OFF: OFF
Parameters: 2SMPLFLW AVG 1OFF
SMPLPRS AVG 1OFF
Name: STBZERO
Event: EXITZR
Report Period: N/A
No. of Records: 200
RS-232 Report: OFF
Channel Enabled: ON
Cal Hold OFF: OFF
Parameters: 3
RATIO INST 3OFF
STABIL INST 2OFF
DETMES INST 1OFF
Name: CONC
Event: ATIMER
Report Period: 000:01:00
No. of Records: 800
RS-232 Report: OFF
Channel Enabled: ON
Cal Hold OFF: ON
Parameters: 1CONC1 AVG 1OFF
PARAMETER MODE PRECISION STORE NUM
SAMPLES
List of ParametersList of Channels
Name: TEMP
Event: EXITSP
Report Period: 000:06:00
No. of Records: 400
RS-232 Report: OFF
Channel Enabled: ON
Cal Hold OFF: OFF
Parameters: 3
PHTDRV AVG 1OFF
BNTEMP AVG 1OFF
BOXTEMP AVG 1OFF
Figure 7-1: Default DAS Channel Setup
06864B DCN6314

Data Acquisition System (DAS) and APICOM Teledyne API – Model T300/T300M CO Analyzer
172
7.1.3. VIEWING DAS CHANNELS AND INDIVIDUAL RECORDS
DAS data and settings can be viewed on the front panel through the following
buttonstroke sequence.
Continue pressing NEXT to view remaining
DAS channels
SAMPLE RANGE=500.0 PPB NOX= XXXX
<TST TST> CAL SETUP
<PRM
PRM>
PREV
PV10
NEXT
NX10
Button
Selects the previous parameter on the list
Selects the next parameter on the list
Moves the VIEW backward 1 records or channel
Moves the VIEW backward 10 record
Moves the VIEW forward 1 record or channel
Moves the VIEW forward 10 records
FUNCTION
Buttons only appear when applicable
DAS VIEW – Control Button Functions
SETUP X.X PRIMARY SETUP MENU
CFG DAS RNGE PASS CLK MORE EXIT
SETUP X.X DATA ACQUISITION
VIEW EDIT EXIT
SETUP X.X CONC: DATA AVAILABLE
NEXT VIEW EXIT
SETUP X.X 101:21:00 CONC1=39.0 PPM
PV10 PREV NEXT NX10 <PRM PRM> EXIT
SETUP X.X 101:22:00 CONC1=39.1 PPM
PV10 PREV EXIT
SETUP X.X CALDAT: DATA AVAILABLE
PREV NEXT VIEW EXIT
SETUP X.X 101:19:45 SLOPE1=0.997
PV10 PREV NEXT PRM> EXIT
SETUP X.X 102:04:55 SLOPE1=1.002
PV10 PREV NX10 NEXT <PRM PRM> EXIT
SETUP X.X 101:19:45 OFFSET=1.3
PV10 PREV <PRM PRM> EXIT
SAMPLE RANGE=50.0 PPB CO=XX.XX
<TST TST> CAL SETUP
SETUP X.X 101:21:00 CONC1=39.0 PPM
PV10 PREV EXIT
SETUP X.X PNUMTC: DATA AVAILABLE
PREV NEXT VIEW EXIT
06864B DCN6314

Teledyne API – Model T300/T300M CO Analyzer Data Acquisition System (DAS) and APICOM
173
7.1.4. EDITING DAS CHANNELS
DAS configuration is most conveniently done through the APICOM remote control
program. The following list of button strokes shows how to edit the DAS using the front
panel.
When editing the data channels, the top line of the display indicates some of the
configuration parameters.
For example, the display line:
0) CONC: ATIMER, 1, 800
Translates to the following configuration:
Channel No.: 0
NAME: CONC
TRIGGER EVENT: ATIMER
PARAMETERS: One parameter is included in this channel
EVENT: This channel is set up to store 800 records.
06864B DCN6314

Teledyne API – Model T300/T300M CO Analyzer Data Acquisition System (DAS) and APICOM
175
7.1.5. EDITING DAS TRIGGERING EVENTS
Triggering events define when and how the DAS records a measurement of any given
data channel. Triggering events are firmware-specific and are listed in Appendix A-5.
The most commonly used triggering events are:
ATIMER: Sampling at regular intervals specified by an automatic timer. Most
trending information is usually stored at such regular intervals, which can be
instantaneous or averaged.
EXITZR, EXITSP, and SLPCHG (exit zero, exit span, slope change): Sampling at
the end of (irregularly occurring) calibrations or when the response slope changes.
These triggering events create instantaneous data points, e.g., for the new slope
and offset (concentration response) values at the end of a calibration. Zero and
slope values are valuable to monitor response drift and to document when the
instrument was calibrated.
WARNINGS: Some data may be useful when stored if one of several warning
messages appears such as WTEMPW (GFC Wheel temperature warning). This is
helpful for troubleshooting by monitoring when a particular warning occurrs.
To edit the list of data parameters associated with a specific data channel, follow the
instruction shown in Section 7.1.4 then press:
06864B DCN6314

Data Acquisition System (DAS) and APICOM Teledyne API – Model T300/T300M CO Analyzer
176
7.1.6. EDITING DAS PARAMETERS
Data parameters are types of data that may be measured and stored by the DAS. For
each analyzer model, the list of available data parameters is different, fully defined and
not customizable. Appendix A-5 lists firmware specific data parameters for the
T300/T300M. DAS parameters include things like CO concentration measurements,
temperatures of the various heaters placed around the analyzer, pressures and flows of
the pneumatic subsystem and other diagnostic measurements as well as calibration data
such as stability, slope and offset.
Most data parameters have associated measurement units, such as mV, ppb, cm³/min,
etc., although some parameters have no units (e.g. SLOPE). With the exception of
concentration readings, none of these units of measure can be changed. To change the
units of measure for concentration readings, see Section 5.4.4.
Note DAS does not keep track of the unit (e.g., PPM, PPB, etc.) of each
concentration value and DAS data files may contain concentrations in
more than one type of unit if the unit was changed during data
acquisition.
Each data parameter has user-configurable functions that define how the data are
recorded (refer to Table 7-3).
Table 7-3: DAS Data Parameter Functions
FUNCTION EFFECT
PARAMETER Instrument-specific parameter name.
SAMPLE MODE INST: Records instantaneous reading.
AVG: Records average reading during reporting interval.
SDEV: Records the standard deviation of the data points recorded during the reporting interval.
MIN: Records minimum (instantaneous) reading during reporting interval.
MAX: Records maximum (instantaneous) reading during reporting interval.
PRECISION 0 to 4: Sets the number of digits to the right decimal point for each record.
Example: Setting 4; “399.9865 PPB”
Setting 0; “400 PPB”
STORE NUM SAMPLES OFF: Stores only the average (default).
ON: Stores the average and the number of samples in used to compute the value of the
parameter. This property is only useful when the AVG sample mode is used. Note that the
number of samples is the same for all parameters in one channel and needs to be specified only
for one of the parameters in that channel.
Users can specify up to 50 parameters per data channel (the T300/T300M provides
about 40 parameters). However, the number of parameters and channels is ultimately
limited by available memory.
Data channels can be edited individually from the front panel without affecting other
data channels. However, when editing a data channel, such as during adding, deleting or
editing parameters, all data for that particular channel will be lost, because the DAS can
store only data of one format (number of parameter columns, etc.) for any given
channel. In addition, a DAS configuration can only be uploaded remotely as an entire
set of channels. Hence, remote update of the DAS will always delete all current
channels and stored data.
06864B DCN6314

Teledyne API – Model T300/T300M CO Analyzer Data Acquisition System (DAS) and APICOM
177
To modify, add or delete a parameter, follow the instruction shown in Section 7.1.4 then
press:
Note When the STORE NUM SAMPLES feature is turned on, the instrument will
store how many measurements were used to compute the AVG, SDEV,
MIN or MAX value but not the actual measurements themselves.
06864B DCN6314

Data Acquisition System (DAS) and APICOM Teledyne API – Model T300/T300M CO Analyzer
178
7.1.7. SAMPLE PERIOD AND REPORT PERIOD
The DAS defines two principal time periods by which sample readings are taken and
permanently recorded: Sample and Report periods.
SAMPLE PERIOD: Determines how often DAS temporarily records a sample
reading of the parameter in volatile memory. SAMPLE PERIOD is only used when
the DAS parameter’s sample mode is set for AVG, SDEV, MIN or MAX.
The SAMPLE PERIOD is set to one minute by default and generally cannot be
accessed from the standard DAS front panel menu, but is available via the
instrument’s communication ports by using APICOM or the analyzer’s standard
serial data protocol.
REPORT PERIOD: Sets how often the sample readings stored in volatile memory
are processed, (e.g. average, minimum or maximum are calculated) and the results
stored permanently in the instrument’s Disk-on-Module as well as transmitted via the
analyzer’s communication ports. The Report Period may be set from the front
panel. If the INST sample mode is selected the instrument stores and reports an
instantaneous reading of the selected parameter at the end of the chosen report
period.
06864B DCN6314

Teledyne API – Model T300/T300M CO Analyzer Data Acquisition System (DAS) and APICOM
179
To define the REPORT PERIOD, follow the instruction shown in Section 7.1.4 then
press:
The SAMPLE PERIOD and REPORT PERIOD intervals are synchronized to the
beginning and end of the appropriate interval of the instruments internal clock.
If SAMPLE PERIOD were set for one minute the first reading would occur at the
beginning of the next full minute according to the instrument’s internal clock.
If the REPORT PERIOD were set for of one hour, the first report activity would occur
at the beginning of the next full hour according to the instrument’s internal clock.
EXAMPLE:
Given the above settings, if the DAS were activated at 7:57:35 the first sample would
occur at 7:58 and the first report would be calculated at 8:00 consisting of data points for
7:58, 7:59 and 8:00.
During the next hour (from 8:01 to 9:00), the instrument will take a sample reading
every minute and include 60 sample readings.
06864B DCN6314

Data Acquisition System (DAS) and APICOM Teledyne API – Model T300/T300M CO Analyzer
180
Note In AVG, SDEV, MIN or MAX sample modes (see Section 6.1.5.3), the
settings for the Sample Period and the Report Period determine the
number of data points used each time the parameter is calculated, stored
and reported to the COMM ports.
The actual sample readings are not stored past the end of the chosen
report period.
When the STORE NUM SAMPLES feature is turned on, the instrument will
store the number of measurements used to compute the AVG, SDEV, MIN
or MAX Value, but not the actual measurements themselves.
REPORT PERIODS IN PROGRESS WHEN INSTRUMENT IS POWERED OFF
If the instrument is powered off in the middle of a REPORT PERIOD, the samples
accumulated so far during that period are lost. Once the instrument is turned back on,
the DAS restarts taking samples and temporarily stores them in volatile memory as part
of the REPORT PERIOD currently active at the time of restart. At the end of this
REPORT PERIOD PERIOD, only the sample readings taken since the instrument was
turned back on will be included in any AVG, SDEV, MIN or MAX calculation.
Also, the STORE NUM SAMPLES feature will report the number of sample readings
taken since the instrument was restarted.
06864B DCN6314

Teledyne API – Model T300/T300M CO Analyzer Data Acquisition System (DAS) and APICOM
181
7.1.8. NUMBER OF RECORDS
The number of data records in the DAS is limited to about a cumulative one million data
points in all channels (one megabyte of space on the Disk-on-Module). However, the
actual number of records is also limited by the total number of parameters and channels
and other settings in the DAS configuration. Every additional data channel, parameter,
number of samples setting, etc., will reduce the maximum amount of data points. In
general, however, the maximum data capacity is divided amongst all channels (max: 20)
and parameters (max: 50 per channel).
The DAS will check the amount of available data space and prevent the user from
specifying too many records at any given point. If, for example, the DAS memory space
can accommodate 375 more data records, the ENTR button will disappear when trying
to specify more than that number of records. This check for memory space may also
cause the upload of a DAS configuration with APICOM or a terminal program to fail, if
the combined number of records would be exceeded. In this case, it is suggested to
either try to determine what the maximum number of records available is using the front
panel interface or use trial-and-error in designing the DAS script or calculate the number
of records using the DAS or APICOM manuals.
To set the NUMBER OF RECORDS, follow the instruction shown in Section 7.1.4
then press:
.
06864B DCN6314

Data Acquisition System (DAS) and APICOM Teledyne API – Model T300/T300M CO Analyzer
182
06864B DCN6314

Teledyne API – Model T300/T300M CO Analyzer Data Acquisition System (DAS) and APICOM
183
7.1.9. RS-232 REPORT FUNCTION
The DAS can automatically report data to the communications ports, where they can be
captured with a terminal emulation program or simply viewed by the user using the
APICOM software.
To enable automatic COMM port reporting, follow the instruction shown in Section
7.1.4 then press:
7.1.9.1. THE COMPACT REPORT FEATURE
When enabled, this option avoids unnecessary line breaks on all RS-232 reports. Instead
of reporting each parameter in one channel on a separate line, up to five parameters are
reported in one line.
The COMPACT DATA REPORT generally cannot be accessed from the standard
DAS front panel menu, but is available via the instrument’s communication ports by
using APICOM or the analyzer’s standard serial data protocol.
06864B DCN6314

Data Acquisition System (DAS) and APICOM Teledyne API – Model T300/T300M CO Analyzer
184
7.1.9.2. THE STARTING DATE FEATURE
This option allows the user to specify a starting date for any given channel in case the
user wants to start data acquisition only after a certain time and date. If the STARTING
DATE is in the past (the default condition), the DAS ignores this setting and begins
recording data as defined by the REPORT PERIOD setting.
The STARTING DATE generally cannot be accessed from the standard DAS front
panel menu, but is available via the instrument’s communication ports by using
APICOM or the analyzer’s standard serial data protocol.
7.1.10. DISABLING/ENABLING DATA CHANNELS
Data channels can be temporarily disabled, which can reduce the read/write wear on the
Disk-on-Module.
To disable a data channel, follow the instruction shown in Section 7.1.4 then press:
06864B DCN6314

Teledyne API – Model T300/T300M CO Analyzer Data Acquisition System (DAS) and APICOM
185
7.1.11. HOLDOFF FEATURE
The DAS HOLDOFF feature prevents data collection during calibration operations and
at certain times when the quality of the analyzer’s CO measurements may not be certain
(e.g. while the instrument is warming up). In this case, the length of time that the
HOLDOFF feature is active is determined by the value of the internal variable (VARS),
DAS_HOLDOFF.
To set the length of the DAS_HOLDOFF period, go to the SETUP>MORE>VARS
menu (Section 5.8) and EDIT the “0) DAS_HOLD_OFF…” parameter.
To enable or disable the HOLDOFF feature for an individual channel, follow the
instruction shown in Section 7.1.4 then press:
06864B DCN6314

Data Acquisition System (DAS) and APICOM Teledyne API – Model T300/T300M CO Analyzer
186
7.2. REMOTE DAS CONFIGURATION
The DAS can be configured and operated remotely via either the APICOM interface or a
terminal emulation program. Once a DAS configuration is edited (which can be done
offline and without interrupting DAS data collection), it is conveniently uploaded to the
instrument and can be stored on a computer for later review, alteration or documentation
and archival.
7.2.1. DAS CONFIGURATION VIA APICOM
Figure 7-2 shows examples of APICOM’s main interface, which emulates the look and
functionality of the instrument’s actual front panel. Figure 7-3 shows an example of
APICOM being used to remotely configure the DAS feature.
The APICOM user manual (Teledyne API’s P/N 039450000) is included in the
APICOM installation file, which can be downloaded at http://www.teledyne-
api.com/software/apicom/.
Figure 7-2: APICOM Remote Control Program Interface
06864B DCN6314

Teledyne API – Model T300/T300M CO Analyzer Data Acquisition System (DAS) and APICOM
187
Figure 7-3: APICOM User Interface for Configuring the DAS
Once a DAS configuration is edited (which can be done offline and without interrupting
DAS data collection), it is conveniently uploaded to the instrument and can be stored on
a computer for later review, alteration or documentation and archival. Refer to the
APICOM manual for details on these procedures. The APICOM user manual (Teledyne
API’s P/N 039450000) is included in the APICOM installation file, which can be
downloaded at http://www.teledyne-api.com/manuals/.
06864B DCN6314

Data Acquisition System (DAS) and APICOM Teledyne API – Model T300/T300M CO Analyzer
188
7.2.2. DAS CONFIGURATION USING TERMINAL EMULATION PROGRAMS
Although Teledyne API recommends the use of APICOM, the DAS can also be
accessed and configured through a terminal emulation program such as HyperTerminal
(see example in Figure 7-4).
To do this:
All configuration commands must be created and edited off line (e.g. cut & pasted in
from a text file or word processor) following a strict syntax (see below for example).
The script is then uploaded via the instrument’s RS-232 port(s).
Figure 7-4: DAS Configuration Through a Terminal Emulation Program
Both of the above steps are best started by:
1. Downloading the default DAS configuration.
2. Getting familiar with its command structure and syntax conventions.
3. Altering a copy of the original file offline.
4. Uploading the new configuration into the analyzer.
IMPORTANT IMPACT ON READINGS OR DATA
Whereas the editing, adding and deleting of DAS channels and
parameters of one channel through the front-panel control buttons can
be done without affecting the other channels, uploading a DAS
configuration script to the analyzer through its communication ports will
erase all data, parameters and channels by replacing them with the new
DAS configuration. Backup of data and the original DAS configuration is
advised before attempting any DAS changes.
Refer to Section 8.2.1 for details on remote access to and from the T300/T300M
Analyzer via the instrument’s COMM ports.
06864B DCN6314

189
8. REMOTE OPERATION
This section provides information needed when using external digital and serial I/O for
remote operation. It assumes that the electrical connections have been made as described
in Section3.3.1.
The T300 can be remotely configured, calibrated or queried for stored data through the
rear panel serial ports, via either Computer mode (using a personal computer) or
Interactive mode (using a terminal emulation program).
8.1. COMPUTER MODE
Computer mode is used when the analyzer is connected to a computer with a dedicated
interface program such as APICOM.
8.1.1. REMOTE CONTROL VIA APICOM
APICOM is an easy-to-use, yet powerful interface program that allows a user to access
and control any of Teledyne API’s main line of ambient and stack-gas instruments from
a remote connection through direct cable, modem or Ethernet. Running APICOM, a user
can:
Establish a link from a remote location to the T300 through direct cable
connection via RS-232 modem or Ethernet.
View the instrument’s front panel and remotely access all functions that could be
accessed manually on the instrument.
Remotely edit system parameters and set points.
Download, view, graph and save data for predictive diagnostics or data analysis.
Retrieve, view, edit, save and upload DAS configurations (Section 7.2.1).
Check on system parameters for trouble-shooting and quality control.
APICOM is very helpful for initial setup, data analysis, maintenance and
troubleshooting. Refer to the APICOM manual available for download from
http://www.teledyne-api.com/software/apicom/.
06864B DCN6314

Remote Operation Teledyne API – Model T300/T300M CO Analyzer
190
8.2. INTERACTIVE MODE
Interactive mode is used with a terminal emulation programs or a “dumb” computer
terminal.
8.2.1. REMOTE CONTROL VIA A TERMINAL EMULATION PROGRAM
Start a terminal emulation program such as HyperTerminal. All configuration
commands must be created following a strict syntax or be pasted in from an existing text
file, which was edited offline and then uploaded through a specific transfer procedure.
The commands that are used to operate the analyzer in this mode are listed in Table 8-1
and in Appendix A.
8.2.1.1. HELP COMMANDS IN INTERACTIVE MODE
Table 8-1: Interactive Mode Software Commands
COMMAND Function
Control-T Switches the analyzer to terminal mode (echo, edit). If mode flags 1 & 2 are OFF, the
interface can be used in interactive mode with a terminal emulation program.
Control-C Switches the analyzer to computer mode (no echo, no edit).
CR(carriage return)
A carriage return is required after each command line is typed into the terminal/computer.
The command will not be sent to the analyzer to be executed until this is done. On
personal computers, this is achieved by pressing the ENTER button.
BS (backspace) Erases one character to the left of the cursor location.
ESC(escape) Erases the entire command line.
?[ID] CR
This command prints a complete list of available commands along with the definitions of
their functionality to the display device of the terminal or computer being used. The ID
number of the analyzer is only necessary if multiple analyzers are on the same
communications line, such as the multi-drop setup.
8.2.1.2. COMMAND SYNTAX
Commands are not case-sensitive and all arguments within one command (i.e. ID
numbers, key words, data values, etc.) must be separated with a space character.
All Commands follow the syntax:
X [ID] COMMAND <CR>
Where
X is the command type (one letter) that defines the type of command.
Allowed designators are listed in Appendix A-6.
[ID] is the machine identification number (Section 5.7.1). Example: the
Command “? 700” followed by a carriage return would print the list of
available commands for the revision of software currently installed in the
instrument assigned ID Number 700.
COMMAND is the command designator: This string is the name of the command being
issued (LIST, ABORT, NAME, EXIT, etc.). Some commands may have
additional arguments that define how the command is to be executed.
Press ? <CR> or refer to Appendix A-6 for a list of available command
designators.
<CR> is a carriage return. All commands must be terminated by a carriage
return (usually achieved by pressing the ENTER button on a computer).
06864B DCN6314

Teledyne API – Model T300/T300M CO Analyzer Remote Operation
191
Table 8-2: Teledyne API’s Serial I/O Command Types
COMMAND COMMAND TYPE
C Calibration
D Diagnostic
L Logon
T Test measurement
V Variable
W Warning
8.2.1.3. DATA TYPES
Data types consist of integers, hexadecimal integers, floating-point numbers, Boolean
expressions and text strings.
Integer data: Used to indicate integral quantities such as a number of records, a filter
length, etc.
They consist of an optional plus or minus sign, followed by one or more digits.
For example, +1, -12, 123 are all valid integers.
Hexadecimal integer data: Used for the same purposes as integers.
They consist of the two characters “0x,” followed by one or more hexadecimal digits
(0-9, A-F, a-f), which is the ‘C’ programming language convention.
No plus or minus sign is permitted.
For example, 0x1, 0x12, 0x1234abcd are all valid hexadecimal integers.
Floating-point number: Used to specify continuously variable values such as
temperature set points, time intervals, warning limits, voltages, etc.
They consist of an optional plus or minus sign, followed by zero or more digits, an
optional decimal point and zero or more digits.
At least one digit must appear before or after the decimal point.
Scientific notation is not permitted.
For example, +1.0, 1234.5678, -0.1, 1 are all valid floating-point numbers.
Boolean expressions: Used to specify the value of variables or I/O signals that may
assume only two values.
They are denoted by the key words ON and OFF.
Text strings: Used to represent data that cannot be easily represented by other data
types, such as data channel names, which may contain letters and numbers.
They consist of a quotation mark, followed by one or more printable characters,
including spaces, letters, numbers, and symbols, and a final quotation mark.
For example, “a”, “1”, “123abc”, and “()[]<>” are all valid text strings.
It is not possible to include a quotation mark character within a text string.
Some commands allow you to access variables, messages, and other items. When using
these commands,
you must type the entire name of the item
you cannot abbreviate any names.
06864B DCN6314

Remote Operation Teledyne API – Model T300/T300M CO Analyzer
192
8.2.1.4. STATUS REPORTING
Reporting of status messages as an audit trail is one of the three principal uses for the
RS-232 interface (the other two being the command line interface for controlling the
instrument and the download of data in electronic format). You can effectively disable
the reporting feature by setting the interface to quiet mode (see Section 6.2.1, Table 6-1).
Status reports include warning messages, calibration and diagnostic status messages.
Refer to Appendix A-3 for a list of the possible messages, and this for information on
controlling the instrument through the RS-232 interface.
8.2.1.5. GENERAL MESSAGE FORMAT
All messages from the instrument (including those in response to a command line
request) are in the format:
X DDD:HH:MM [Id] MESSAGE<CRLF>
Where:
X is a command type designator, a single character indicating the
message type, as shown in the Table 8-2.
DDD:HH:MM is the time stamp, the date and time when the message was issued. It
consists of the Day-of-year (DDD) as a number from 1 to 366, the hour
of the day (HH) as a number from 00 to 23, and the minute (MM) as a
number from 00 to 59.
[ID] is the analyzer ID, a number with 1 to 4 digits.
MESSAGE is the message content that may contain warning messages, test
measurements, variable values, etc.
<CRLF> is a carriage return / line feed pair, which terminates the message.
The uniform nature of the output messages makes it easy for a host computer to parse
them into an easy structure. Keep in mind that the front panel display does not give any
information on the time a message was issued, hence it is useful to log such messages
for trouble-shooting and reference purposes. Terminal emulation programs such as
HyperTerminal can capture these messages to text files for later review.
8.3. REMOTE ACCESS BY MODEM
The T300/T300M can be connected to a modem for remote access. This requires a cable
between the analyzer’s COMM port and the modem, typically a DB-9F to DB-25M
cable (available from Teledyne API with P/N WR0000024).
Once the cable has been connected, check to make sure:
The DTE-DCE is in the DCE position.
The T300/T300M COMM port is set for a baud rate that is compatible with the
modem,
The modem is designed to operate with an 8-bit word length with one stop bit.
The MODEM ENABLE communication mode is turned on (Mode 64, see Table 6-1).
06864B DCN6314

Teledyne API – Model T300/T300M CO Analyzer Remote Operation
193
Once this is completed, the appropriate setup command line for your modem can be
entered into the analyzer. The default setting for this feature is:
AT Y0 &D0 &H0 &I0 S0=2 &B0 &N6 &M0 E0 Q1 &W0
This string can be altered to match your modem’s initialization and can be up to 100
characters long.
To change this setting press:
06864B DCN6314

Remote Operation Teledyne API – Model T300/T300M CO Analyzer
194
To initialize the modem press:
06864B DCN6314

Teledyne API – Model T300/T300M CO Analyzer Remote Operation
195
8.4. PASSWORD SECURITY FOR SERIAL REMOTE
COMMUNICATIONS
In order to provide security for remote access of the T300/T300M, a LOGON feature
can be enabled to require a password before the instrument will accept commands. This
is done by turning on the SECURITY MODE (Mode 4, Table 6-1). Once the
SECURITY MODE is enabled, the following items apply.
A password is required before the port will respond or pass on commands.
If the port is inactive for one hour, it will automatically logoff, which can also be
achieved with the LOGOFF command.
Three unsuccessful attempts to log on with an incorrect password will cause
subsequent logins to be disabled for 1 hour, even if the correct password is used.
If not logged on, the only active command is the '?' request for the help screen.
The following messages will be returned at logon:
LOGON SUCCESSFUL - Correct password given
LOGON FAILED - Password not given or incorrect
LOGOFF SUCCESSFUL - Connection terminated successfully
To log on to the T300/T300M Analyzer with SECURITY MODE feature enabled,
type:
LOGON 940331
940331 is the default password. To change the default password, use the variable RS-
232_PASS issued as follows:
V RS-232_PASS=NNNNNN
Where N is any numeral between 0 and 9.
06864B DCN6314

Remote Operation Teledyne API – Model T300/T300M CO Analyzer
196
This page intentionally left blank.
06864B DCN6314

197
9. CALIBRATION PROCEDURES
This section describes the calibration procedures for the T300/T300M. All of the
methods described in this section can be initiated and controlled through the COM ports.
IMPORTANT IMPACT ON READINGS OR DATA
If you are using the T300/T300M for US-EPA controlled monitoring, refer
to Section 10 for information on the EPA calibration protocol.
Note Throughout this section are various diagrams showing pneumatic
connections between the T300/T300M and various other pieces of
equipment such as calibrators and zero air sources.
These diagrams are only intended to be schematic representations of
these connections and do not reflect actual physical locations of
equipment and fitting location or orientation.
Contact your regional EPA or other appropriate governing agency for
more detailed recommendations.
9.1. CALIBRATION PREPARATIONS
The calibration procedures in this section assume that the range mode, analog range and
units of measure have already been selected for the analyzer. If this has not been done,
please do so before continuing (see Section 5.7 for instructions).
9.1.1. REQUIRED EQUIPMENT, SUPPLIES, AND EXPENDABLES
Calibration of the T300/T300M Analyzer requires specific equipment and supplies.
These include, but are not limited to, the following:
Zero-air source
Span gas source
Gas lines - All Gas lines should be PTFE (Teflon), FEP, glass, stainless steel or
brass
A recording device such as a strip-chart recorder and/or data logger (optional) (For
electronic documentation, the internal data acquisition system DAS can be used).
Traceability Standards
06864B DCN6314

Calibration Procedures Teledyne API – Model T300/T300M CO Analyzer
198
9.1.1.1. ZERO AIR
Zero air or zero calibration gas is defined as a gas that is similar in chemical
composition to the measured medium but without the gas to be measured by the
analyzer.
For the T300/T300M zero air should contain less than 25 ppb of CO and other major
interfering gases such as CO and Water Vapor. It should have a dew point of -5C or
less.
If your application is not a measurement in ambient air, the zero calibration gas should
be matched to the composition of the gas being measured.
Pure nitrogen (N2) can be used as a zero gas for applications where CO is
measured in nitrogen.
If your analyzer is equipped with an external zero air scrubber option, it is capable of
creating zero air from ambient air.
For analyzers without the zero air scrubber, a zero air generator such as the Teledyne
API’s T701 can be used. Please visit the company website for more information.
9.1.1.2. SPAN GAS
Span Gas is a gas specifically mixed to match the chemical composition of the type of
gas being measured at near full scale of the desired measurement range. It is
recommended that the span gas used have a concentration equal to 80-90% of the full
measurement range.
If Span Gas is sourced directly from a calibrated, pressurized tank, the gas mixture
should be CO mixed with Zero Air or N2 at the required ratio.
For oxygen measurements using the optional O2 sensor, we recommend a reference gas
of 21% O2 in N2.
For quick checks, ambient air can be used at an assumed concentration of 20.8%.
Generally, O2 concentration in dry, ambient air varies by less than 1%.
9.1.1.3. CALIBRATION GAS STANDARDS AND TRACEABILITY
All equipment used to produce calibration gases should be verified against standards of
the National Institute for Standards and Technology (NIST). To ensure NIST
traceability, we recommend to acquire cylinders of working gas that are certified to be
traceable to NIST Standard Reference Materials (SRM). These are available from a
variety of commercial sources.
Table 9-1: NIST-SRMs Available for Traceability of CO Calibration Gases
NIST-SRM Type Nominal Concentration
680b CO in N2 500 ppm
1681b CO in N2 1000 ppm
2613a CO in Zero Air 20 ppm
2614a CO in Zero Air 45 ppm
2659a1 O2 in N2 21% by weight
2626a CO2 in N2 4% by weight
27452 CO2 in N2 16% by weight
1 Used to calibrate optional O2 sensor. 2 Used to calibrate optional CO2 sensor.
Note It is generally a good idea to use 80% of the reporting range for that channel for
the span point calibration.
For instance, if the reporting range of the instrument is set for 50.0 PPM, the
proper span gas would be 40.0 PPM.
06864B DCN6314

Teledyne API – Model T300/T300M CO Analyzer Calibration Procedures
199
9.1.2. DATA RECORDING DEVICES
A strip chart recorder, data acquisition system or digital data acquisition system should
be used to record data from the serial or analog outputs of the T300/T300M.
If analog readings are used, the response of the recording system should be
checked against a NIST traceable voltage source or meter.
Data recording devices should be capable of bi-polar operation so that negative
readings can be recorded.
For electronic data recording, the T300/T300M provides an internal data acquisition
system (DAS), which is described in detail in Section 7.
APICOM, a remote control program, is also provided as a convenient and powerful tool
for data handling, download, storage, quick check and plotting (see Section 7.2.1).
9.2. MANUAL CALIBRATION
IMPORTANT IMPACT ON READINGS OR DATA
ZERO/SPAN CALIBRATION CHECKS VS. ZERO/SPAN CALIBRATION
Pressing the ENTR button during the following procedure resets the stored
values for OFFSET and SLOPE and alters the instrument’s Calibration.
This should ONLY BE DONE during an actual calibration of the T300/T300M.
NEVER press the ENTR button if you are only checking calibration. If you wish to
perform a calibration CHECK, do not press ENTR and refer to Section 9.2.2.
06864B DCN6314

Calibration Procedures Teledyne API – Model T300/T300M CO Analyzer
200
9.2.1. SETUP FOR BASIC CALIBRATION CHECKS AND CALIBRATION
STEP ONE: Connect the Sources of Zero Air and Span Gas as shown below.
Figure 9-1: Pneumatic Connections – Basic Configuration – Using Bottled Span Gas
Figure 9-2: Pneumatic Connections – Basic Configuration – Using Gas Dilution Calibrator
06864B DCN6314

Teledyne API – Model T300/T300M CO Analyzer Calibration Procedures
201
9.2.2. PERFORMING A BASIC MANUAL CALIBRATION CHECK
06864B DCN6314

Calibration Procedures Teledyne API – Model T300/T300M CO Analyzer
202
9.2.3. PERFORMING A BASIC MANUAL CALIBRATION
The following section describes the basic method for manually calibrating the
T300/T300M.
If the analyzer’s reporting range is set for the AUTO range mode, a step will appear for
selecting which range is to be calibrated (LOW or HIGH). Each of these two ranges
MUST be calibrated separately.
IMPORTANT IMPACT ON READINGS OR DATA
If the ZERO or SPAN buttons are not displayed during zero or span
calibration, the measured concentration value during this time is out of
the range allowed for a reliable calibration. Refer to Section 11 for
troubleshooting tips.
9.2.3.1. SETTING THE EXPECTED SPAN GAS CONCENTRATION
Note When setting expected concentration values, consider impurities in your
span gas.
The expected CO span gas concentration should be 80% of the reporting range of the
instrument (see Section 5.4.1).
The default factory setting is 40 ppm. To set the span gas concentration, press:
06864B DCN6314

Teledyne API – Model T300/T300M CO Analyzer Calibration Procedures
203
IMPORTANT IMPACT ON READINGS OR DATA
For this Initial Calibration it is important to independently verify the
PRECISE CO Concentration Value of the SPAN gas.
If the source of the Span Gas is from a Calibrated Bottle, use the exact
concentration value printed on the bottle.
06864B DCN6314

Calibration Procedures Teledyne API – Model T300/T300M CO Analyzer
204
9.2.3.2. ZERO/SPAN POINT CALIBRATION PROCEDURE
06864B DCN6314

Teledyne API – Model T300/T300M CO Analyzer Calibration Procedures
205
9.3. MANUAL CALIBRATION WITH ZERO/SPAN VALVES
There are a variety of valve options available on the T300/T300M for handling
calibration gases (see Table 1-1 for descriptions of each).
Generally performing calibration checks and zero/span point calibrations on analyzers
with these options installed is similar to the methods discussed in the previous sections
of this section. The primary differences are:
On instruments with Z/S valve options, zero air and span gas is supplied to the
analyzer through other gas inlets besides the sample gas inlet.
The zero and span calibration operations are initiated directly and independently
with dedicated buttons (CALZ & CALS).
9.3.1. SETUP FOR CALIBRATION USING VALVE OPTIONS
Each of the various calibration valve options requires a different pneumatic setup that is
dependent on the exact nature and number of valves present.
Source of
SAMPLE GAS
Removed during
calibration
MODEL 701
Zero Gas
Generator
Calibrated
CO Gas
at span gas
concentration
VENT here if input
is pressurized
PRESSURE SPAN
ZERO AIR
SAMPLE
EXHAUST
VENT SPAN
Model 700 gas
Dilution
Calibrator
VENT
VENT
Instrument
Chassis
Figure 9-3: Pneumatic Connections – Option 50A: Ambient Zero/Ambient Span Calibration Valves
06864B DCN6314

Calibration Procedures Teledyne API – Model T300/T300M CO Analyzer
206
Figure 9-4: Pneumatic Connections – Option 50B: Ambient Zero/Pressurized Span Calibration Valves
Figure 9-5: Pneumatic Connections – Option 50H: Zero/Span Calibration Valves
06864B DCN6314

Teledyne API – Model T300/T300M CO Analyzer Calibration Procedures
207
Figure 9-6: Pneumatic Connections – Option 50E: Zero/Span Calibration Valves
06864B DCN6314

Calibration Procedures Teledyne API – Model T300/T300M CO Analyzer
208
9.3.2. MANUAL CALIBRATION CHECKS WITH VALVE OPTIONS
INSTALLED
06864B DCN6314

Teledyne API – Model T300/T300M CO Analyzer Calibration Procedures
209
9.3.3. MANUAL CALIBRATION USING VALVE OPTIONS
The following section describes the basic method for manually calibrating the
T300/T300M Analyzer.
If the analyzer’s reporting range is set for the DUAL or AUTO range modes, a step will
appear for selecting which range is to be calibrated (LOW or HIGH).
IMPORTANT IMPACT ON READINGS OR DATA
Each of these two ranges MUST be calibrated separately.
9.3.3.1. SETTING THE EXPECTED SPAN GAS CONCENTRATION
Note When setting expected concentration values, consider impurities in your
span gas.
The expected CO span gas concentration should be 80% of the reporting range of the
instrument (see Section 5.4.1). The default factory setting is 40 ppm.
To set the span gas concentration, press:
06864B DCN6314

Calibration Procedures Teledyne API – Model T300/T300M CO Analyzer
210
IMPORTANT IMPACT ON READINGS OR DATA
For this Initial Calibration it is important to independently verify the
PRECISE CO Concentration Value of the SPAN gas.
If the source of the Span Gas is from a Calibrated Bottle, use the exact
concentration value printed on the bottle.
9.3.3.2. ZERO/SPAN POINT CALIBRATION PROCEDURE
The zero and cal operations are initiated directly and independently with dedicated
buttons (CALZ & CALS).
06864B DCN6314

Teledyne API – Model T300/T300M CO Analyzer Calibration Procedures
211
06864B DCN6314

Calibration Procedures Teledyne API – Model T300/T300M CO Analyzer
212
9.3.3.3. USE OF ZERO/SPAN VALVE WITH REMOTE CONTACT CLOSURE
Contact closures for controlling calibration and calibration checks are located on the rear
panel CONTROL IN connector. Instructions for setup and use of these contacts can be
found in Section 3.3.1.6.
When the appropriate contacts are closed for at least 5 seconds, the instrument switches
into zero, or span calibration mode and any internal zero/span valves installed will be
automatically switched to the appropriate configuration.
The remote calibration contact closures may be activated in any order.
It is recommended that contact closures remain closed for at least 10 minutes to
establish a reliable reading.
The instrument will stay in the selected mode for as long as the contacts remain
closed.
If contact closures are being used in conjunction with the analyzer’s AutoCal (see
Section 9.4) feature and the AutoCal attribute “CALIBRATE” is enabled, the
T300/T300M will not recalibrate the analyzer until the contact is opened. At this point,
the new calibration values will be recorded before the instrument returns to Sample
Mode.
If the AutoCal attribute “CALIBRATE” is disabled, the instrument will return to
Sample Mode, leaving the instrument’s internal calibration variables unchanged.
9.4. AUTOMATIC ZERO/SPAN CAL/CHECK (AUTOCAL)
The AutoCal system allows unattended periodic operation of the ZERO/SPAN valve
options by using the T300/T300M Analyzer’s internal time of day clock. AutoCal
operates by executing SEQUENCES programmed by the user to initiate the various
calibration modes of the analyzer and open and close valves appropriately. It is possible
to program and run up to three separate sequences (SEQ1, SEQ2 and SEQ3). Each
sequence can operate in one of three modes, or be disabled.
Table 9-2: AUTOCAL Modes
MODE NAME ACTION
DISABLED Disables the Sequence.
ZERO Causes the Sequence to perform a Zero calibration/check.
ZERO-SPAN Causes the Sequence to perform a Zero point calibration/check followed by a
Span point calibration/check.
SPAN Causes the Sequence to perform a Span concentration calibration/check only.
06864B DCN6314

Teledyne API – Model T300/T300M CO Analyzer Calibration Procedures
213
For each mode, there are seven parameters that control operational details of the
SEQUENCE (see Table 9-3).
Table 9-3: AutoCal Attribute Setup Parameters
ATTRIBUTE ACTION
TIMER ENABLED Turns on the Sequence timer.
STARTING DATE Sequence will operate after Starting Date.
STARTING TIME Time of day sequence will run.
DELTA DAYS
Number of days to skip between each Sequence execution.
If set to 7, for example, the AutoCal feature will be enabled once every week on the
same day.
DELTA TIME
Number of hours later each “Delta Days” Seq is to be run.
If set to 0, the sequence will start at the same time each day. Delta Time is added to
Delta Days for the total time between cycles.
This parameter prevents the analyzer from being calibrated at the same daytime of
each calibration day and prevents a lack of data for one particular daytime on the days
of calibration.
DURATION
Number of minutes the sequence operates.
This parameter needs to be set such that there is enough time for the concentration
signal to stabilize.
The STB parameter shows if the analyzer response is stable at the end of the
calibration.
This parameter is logged with calibration values in the DAS.
CALIBRATE
Enable to do a calibration – Disable to do a cal check only.
This setting must be OFF for analyzers used in US EPA applications and with internal
span gas generators installed and functioning.
RANGE TO CAL
LOW calibrates the low range, HIGH calibrates the high range. Applies only to auto and
remote range modes; this property is not available in single and independent range
modes.
Note The CALIBRATE attribute (formerly called “dynamic calibration”) must
always be set to OFF for analyzers used in US EPA controlled
applications that have internal span gas generators option installed.
Calibration of instruments used in US EPA related applications should
only be performed using external sources of zero air and span gas with an
accuracy traceable to EPA or NIST standards and supplied through the
analyzer’s sample port..
06864B DCN6314

Calibration Procedures Teledyne API – Model T300/T300M CO Analyzer
214
The following example sets sequence #2 to do a zero-span calibration every other day
starting at 2:15 PM on September 4, 2008, lasting 15 minutes, without calibration. This
will start ½ hour later each iteration.
Table 9-4: Example AutoCal Sequence
MODE AND
ATTRIBUTE VALUE COMMENT
SEQUENCE 2 Define Sequence #2
MODE ZERO-SPAN Select Zero and
Span Mode
TIMER ENABLE ON Enable the timer
STARTING DATE Sept. 4, 2008 Start after
Sept 4, 2008
STARTING TIME 14:15 First Span starts at
2:15 PM
DELTA DAYS 2 Do Sequence #2
every other day
DELTA TIME 00:30 Do Sequence #2 ½
hr later each day
DURATION 30.0 Operate Span valve
for 15 min
CALIBRATE ON Calibrate at end of
Sequence
IMPORTANT IMPACT ON READINGS OR DATA
The programmed STARTING_TIME must be a minimum of 5 minutes later
than the real time clock for setting real time clock (See Section 5.6.4).
Avoid setting two or more sequences at the same time of the day. Any
new sequence that is initiated whether from a timer, the COM ports or the
contact closure inputs will override any sequence that is in progress.
IMPORTANT IMPACT ON READINGS OR DATA
With CALIBRATE turned ON, the state of the internal setup variables
DYN_SPAN and DYN_ZERO is set to ON and the instrument will reset the
slope and offset values for the CO response each time the AutoCal
program runs.
This continuous readjustment of calibration parameters can often mask
subtle fault conditions in the analyzer. It is recommended that, if
CALIBRATE is enabled, the analyzer’s test functions, slope and offset
values be checked frequently to assure high quality and accurate data
from the instrument.
06864B DCN6314

Teledyne API – Model T300/T300M CO Analyzer Calibration Procedures
215
9.4.1. SETUP ACAL: PROGRAMMING AND AUTO CAL SEQUENCE
Note If at any time an illegal entry is selected, (for example: Delta Days > 366)
the ENTR label will disappear from the control button.
To program the example sequence shown in Table 9-4, press:
CONTINUE NEXT PAGE
With STARTING TIME
SAMPLE RANGE = 50.0 PPM CO=XX.XX
< TST TST > CAL CALZ CZLS SETUP
SETUP X.X
CFG ACAL DAS RNGE PASS CLK MORE EXIT
SETUP X.X SEQ 1) DISABLED
NEXT MODE EXIT
SETUP X.X SEQ 2) DISABLED
PREV NEXT MODE EXIT
SETUP X.X MODE: DISABLED
NEXT ENTR EXIT
SETUP X.X MODE: ZERO
PREV NEXT ENTR EXIT
SETUP X.X SEQ 2) ZERO
–
SPAN, 1:00:00
PREV NEXT MODE SET EXIT
SETUP X.X TIMER ENABLE: ON
SET> EDIT EXIT
SETUP X.X STARTING DATE: 01
–
JAN
–
07
<SET SET> EDIT EXIT
SETUP X.X STARTING DATE: 01–JAN–02
0 4 SEP 0 8 ENTR EXIT
Toggle buttons to set
Day, Month & Year:
Format : DD-MON-YY
SETUP X.X MODE: ZERO
–
SPAN
PREV NEXT ENTR EXIT
06864B DCN6314

Calibration Procedures Teledyne API – Model T300/T300M CO Analyzer
216
SETUP X.X STARTING DATE: 04
–
SEP
–
08
<SET SET> EDIT EXIT
SETUP X.X STARTING TIME:00:00
<SET SET> EDIT EXIT
SETUP X.X STARTING TIME:00:00
1 4 : 1 5 ENTR EXIT
Toggle buttons to set
time:
Format : HH:MM
This is a 24 hr clock . PM
hours are 13 – 24.
Example 2:15 PM = 14:15
CONTINUED FROM PREVIOUS PAGE -
STARTING DATE
CONTINUE NEXT PAGE
With DURATION TIME
SETUP X.X STARTING TIME:14:15
<SET SET> EDIT EXIT
SETUP X.X DELTA DAYS: 1
<SET SET> EDIT EXIT
SETUP X.X DELTA DAYS: 1
0 0 2 ENTR EXIT
Toggle buttons to set
number of days between
procedures (1-365).
SETUP X.X DELTA DAYS:2
<SET SET> EDIT EXIT
SETUP X.X DELTA TIME00:00
<SET SET> EDIT EXIT
SETUP X.X DELTA TIME: 00:00
0 0 :3 0 ENTR EXIT
SETUP X.X DELTA TIME:00:30
<SET SET> EDIT EXIT
Toggle buttons to set
delay time for each
iteration of the sequence:
HH:MM
(0 – 24:00)
06864B DCN6314

Teledyne API – Model T300/T300M CO Analyzer Calibration Procedures
217
EXIT returns
to the SETUP
Menu.
SETUP X.X DURATION:15.0 MINUTES
<SET SET> EDIT EXIT
SETUP X.X DURATION 15.0MINUTES
3 0 .0 ENTR EXIT
SETUP X.X DURATION:30.0 MINUTES
<SET SET> EDIT EXIT
Toggle buttons to set
duration for each iteration
of the sequence:
Set in Decimal minutes
from 0.1 – 60.0.
SETUP X.X CALIBRATE: OFF
<SET SET> EDIT EXIT
SETUP X.X CALIBRATE: OFF
ON ENTR EXIT
SETUP X.X CALIBRATE: ON
<SET SET> EDIT EXIT
Toggle button between
Off and ON.
SETUP X.X SEQ 2) ZERO
–
SPAN, 2:00:30
PREV NEXT MODE SET EXIT
Display show:
SEQ 2) ZERO–SPAN, 2:00:30
Sequence Delta Time
MODE Delta Days
CONTINUED FROM PREVIOUS PAGE
DELTA TIME
9.4.1.1. AUTOCAL WITH AUTO OR DUAL REPORTING RANGES MODES SELECTED
If the T300/T300M Analyzer is set for either the Dual or Auto reporting range modes,
the following three steps will appear at the beginning of the AutoCal setup routine:
SETUP X.X RANGE TO CAL: HIGH
<SET EDIT EXIT
EXIT returns to the
PRIMARY SETUP
Menu.
SETUP X.X SEQ 2) ZERO
–
SPAN, 2:00:30
PREV NEXT MODE SET EXIT
SETUP X.X RANGE TO CAL: LOW
LOW HIGH ENTR SETUP
SETUP X.X RANGE TO CAL: LOW
<SET EDIT EXIT
Note In order to automatically calibrate both the HIGH and LOW ranges, you
must set up a separate sequence for each.
06864B DCN6314

Calibration Procedures Teledyne API – Model T300/T300M CO Analyzer
218
9.5. CO CALIBRATION QUALITY
After completing one of the calibration procedures described above, it is important to
evaluate the analyzer’s calibration SLOPE and OFFSET parameters. These values
describe the linear response curve of the analyzer. The values for these terms, both
individually and relative to each other, indicate the quality of the calibration.
To perform this quality evaluation, you will need to record the values of both test
functions (see Section 3.4.3 or Appendix A-3), all of which are automatically stored in
the DAS channel CALDAT for data analysis, documentation and archival.
Make sure that these parameters are within the limits listed below and frequently
compare them to those values on the Final Test and Validation Data Sheet that came
attached to your manual, which should not be significantly different. If they are, refer to
the troubleshooting Section 11.
Table 9-5: Calibration Data Quality Evaluation
FUNCTION MINIMUM VALUE OPTIMUM VALUE MAXIMUM VALUE
SLOPE 0.700 1.000 1.300
OFFS -0.500 0.000 0.500
These values should not be significantly different from the values recorded on the Teledyne API’s Final Test
and Validation Data Sheet that was shipped with your instrument.
If they are, refer to the troubleshooting Section 11.
The default DAS configuration records all calibration values in channel CALDAT as
well as all calibration check (zero and span) values in its internal memory.
Up to 200 data points are stored for up to 4 years of data (on weekly calibration
checks) and a lifetime history of monthly calibrations.
Review these data to see if the zero and span responses change over time.
These channels also store the STABIL value (standard deviation of CO
concentration) to evaluate if the analyzer response has properly leveled off during
the calibration procedure.
Finally, the CALDAT channel also stores the converter efficiency for review and
documentation.
If your instrument has either an O2 or CO2 sensor option installed these should be
calibrated as well.
06864B DCN6314

Teledyne API – Model T300/T300M CO Analyzer Calibration Procedures
219
9.6. CALIBRATION OF THE T300/T300M’S ELECTRONIC
SUBSYSTEMS
9.6.1. DARK CALIBRATION TEST
The dark calibration test interrupts the signal path between the IR photo-detector and the
remainder of the sync/demod board circuitry. This allows the instrument to compensate
for any voltage levels inherent in the sync/demod circuitry that might effect the
calculation of CO concentration.
Performing this calibration returns two offset voltages, one for CO MEAS and one for
CO REF that are automatically added to the CPU’s calculation routine. The two offset
voltages from the last calibration procedure may be reviewed by the user via the front
panel display. (See also Section 5.9.5).
To activate the dark calibration procedure or review the results of a previous calibration,
press:
06864B DCN6314

Calibration Procedures Teledyne API – Model T300/T300M CO Analyzer
220
Offset for CO REF signal
SAMPLE RANGE=50.0 PPM CO= XX.XX
<TST TST> CAL SETUP
SETUP X.X SECONDARY SETUP MENU
COMM VARS DIAG EXIT
SETUP X.X PRIMARY SETUP MENU
CFG DAS RNGE PASS CLK MORE EXIT
DIAG SIGNAL I/O
PREV NEXT ENTR EXIT
SETUP X.X ENTER PASSWORD
818 ENTREXIT
Continue pressing NEXT until ...
DIAG OPTIC DARK CALIBRATION
PREV NEXT ENTR EXIT
DIAG DARK CO DARK CALIBRATION
VIEW CAL EXIT
DIAG DARK REF DARK OFFSET: 0.0mV
EXIT
Offset for CO MEAS signal
DIAG DARK MEAS DARK OFFSET: 0.0mV
EXIT
DIAG DARK DARK CAL 1% COMPLETE
EXIT
DIAG DARK DARK CALIBRATION ABORTED
EXIT
Calibration runs automatically
9.6.2. PRESSURE CALIBRATION
A sensor at the sample chamber outlet continuously measures the pressure of the sample
gas. These data are used to compensate the final CO concentration calculation for
changes in atmospheric pressure and is stored in the CPU’s memory as the test function
PRES (also viewable via the front panel). See also Section 5.9.6.
IMPORTANT IMPACT ON READINGS OR DATA
This calibration must be performed when the pressure of the sample gas
is equal to ambient atmospheric pressure. Before performing the
following pressure calibration procedure, disconnect the sample gas
pump and sample gas-line vent from the rear panel sample gas inlet.
06864B DCN6314

Teledyne API – Model T300/T300M CO Analyzer Calibration Procedures
221
To cause the analyzer to measure and record a value for PRES, press.
06864B DCN6314

Calibration Procedures Teledyne API – Model T300/T300M CO Analyzer
222
9.6.3. FLOW CALIBRATION
The flow calibration allows the user to adjust the values of the sample flow rates as they
are displayed on the front panel and reported through COMM ports to match the actual
flow rate measured at the sample inlet. This does not change the hardware measurement
of the flow sensors, only the software-calculated values.
To carry out this adjustment, connect an external, sufficiently accurate flow meter to the
sample inlet (see Section 11.3.4 for more details). Once the flow meter is attached and
is measuring actual gas flow, press:
See also Section 5.9.7.
06864B DCN6314

Teledyne API – Model T300/T300M CO Analyzer Calibration Procedures
223
9.7. CALIBRATION OF OPTIONAL SENSORS
This section provides the calibration setup and procedures for the O2 Sensor and the CO2
Sensor options.
9.7.1. O2 SENSOR CALIBRATION
Presented here are first the setup and then the calibration steps for the O2 Sensor.
9.7.1.1. O2 PNEUMATICS CONNECTIONS
The pneumatic connections for calibrating are as follows:
Source of
SAMPLE GAS
Removed during
calibration
SAMPLE
EXHAUST
PUMP
3-way
Valve
Manual
Control Valve
VENT here if input
is pressurized
Instrument
Chassis
Figure 9-7: O2 Sensor Calibration Set Up
O2 SENSOR ZERO GAS: Teledyne API recommends using pure N2 when calibration
the zero point of your O2 sensor option.
O2 SENSOR SPAN GAS: Teledyne API recommends using 20.8% O2 in N2 when
calibration the span point of your O2 sensor option (See Table 3-12).
06864B DCN6314

Calibration Procedures Teledyne API – Model T300/T300M CO Analyzer
224
9.7.1.2. SET O2 SPAN GAS CONCENTRATION
Set the expected O2 span gas concentration.
This should be equal to the percent concentration of the O2 span gas of the selected
reporting range (default factory setting = 20.8%; the approximate O2 content of ambient
air).
06864B DCN6314

Teledyne API – Model T300/T300M CO Analyzer Calibration Procedures
225
9.7.1.3. ACTIVATE O2 SENSOR STABILITY FUNCTION
To change the stability test function from CO concentration to the O2 sensor output,
press:
Note Use the same procedure to reset the STB test function to CO when the O2
calibration procedure is complete.
06864B DCN6314

Calibration Procedures Teledyne API – Model T300/T300M CO Analyzer
226
9.7.1.4. O2 ZERO/SPAN CALIBRATION
To perform the zero/span calibration procedure:
06864B DCN6314

Teledyne API – Model T300/T300M CO Analyzer Calibration Procedures
227
9.7.2. CO2 SENSOR CALIBRATION PROCEDURE
Presented here are first the setup and then the calibration steps for the CO2 Sensor.
9.7.2.1. CO2 PNEUMATICS CONNECTIONS
The pneumatic connections for calibrating are as follows
Figure 9-8: CO2 Sensor Calibration Set Up
CO2 SENSOR ZERO GAS: Teledyne API recommends using pure N2 when calibration
the zero point of your CO2 sensor option.
CO2 SENSOR SPAN GAS: Teledyne API recommends using 16% CO2 in N2 when
calibration the span point of your CO2 sensor option (Table 3-12) is 20%.
06864B DCN6314

Calibration Procedures Teledyne API – Model T300/T300M CO Analyzer
228
9.7.2.2. SET CO2 SPAN GAS CONCENTRATION:
Set the expected CO2 span gas concentration.
This should be equal to the percent concentration of the CO2 span gas of the selected
reporting range (default factory setting = 12%).
06864B DCN6314

Teledyne API – Model T300/T300M CO Analyzer Calibration Procedures
229
9.7.2.3. ACTIVATE CO2 SENSOR STABILITY FUNCTION
To change the stability test function from CO concentration to the CO2 sensor output,
press:
Note Use the same procedure to reset the STB test function to CO when the
CO2 calibration procedure is complete.
06864B DCN6314

Calibration Procedures Teledyne API – Model T300/T300M CO Analyzer
230
9.7.2.4. CO2 ZERO/SPAN CALIBRATION
To perform the zero/span calibration procedure:
06864B DCN6314

231
10. EPA CALIBRATION PROTOCOL
10.1. CALIBRATION REQUIREMENTS
If the T300 is to be used for EPA SLAMS monitoring, it must be calibrated in
accordance with the instructions in this section.
The USEPA strongly recommends that you obtain a copy of the publication Quality
Assurance Handbook for Air Pollution Measurement Systems Volume 2: Part 1, Ambient
(abbreviated, Q.A. Handbook Volume II). This manual can be purchased from:
USEPA Order Number: EPA454R98004; or NTIS Order Number: PB99 129876.
National Technical Information Service (phone 800-553-6847) or Center for
Environmental Research Information or the U.S. Government Printing Office at
http://www.gpo.gov. The Handbook can also be located on line by searching for the
title at http://www.epa.gov.
Special attention should be paid to Section 2.6 of that which covers CO analyzers of
this type. Specific regulations regarding the use and operation of ambient CO
analyzers can be found in Reference 1 at the end of this Section.
A bibliography and references relating to CO monitoring are listed in Section 10.6.
10.1.1. CALIBRATION OF EQUIPMENT - GENERAL GUIDELINES
In general, calibration is the process of adjusting the gain and offset of the T300 against
some recognized standard. In this section the term dynamic calibration is used to
express a multipoint check against known standards and involves introducing gas
samples of known concentration into the instrument in order to adjust the instrument to a
predetermined sensitivity and to produce a calibration relationship.
This relationship is derived from the instrumental response to successive samples of
different known concentrations. As a minimum, three reference points and a zero point
are recommended to define this relationship.
All monitoring instrument systems are subject to some drift and variation in internal
parameters and cannot be expected to maintain accurate calibration over long periods of
time. Therefore, it is necessary to dynamically check the calibration relationship on a
predetermined schedule. Zero and span checks must be used to document that the data
remains within control limits. These checks are also used in data reduction and
validation.
Calibration can be done by either diluting high concentration CO standards with zero air
or using individual tanks of known concentration. Details of documentation, forms and
procedures should be maintained with each analyzer and also in a central backup file as
described in Section 2.6.2 of the Quality Assurance Handbook.
06864B DCN6314

EPA Calibration Protocol Teledyne API – Model T300/T300M CO Analyzer
232
The reliability and usefulness of all data derived from any analyzer depends primarily
upon its state of calibration. To ensure accurate measurements of the CO levels:
1. The analyzer must be calibrated at the time of installation and recalibrated as
necessary.
2. In order to insure that high quality, accurate measurement information is obtained at
all times, the analyzer must be calibrated prior to use.
3. Calibrations should be carried out at the field-monitoring site.
4. The analyzer should be in operation for at least several hours (preferably overnight)
before calibration so that it is fully warmed up and its operation has stabilized.
5. If the instrument will be used on more than one range, it should be calibrated
separately on each applicable range.
6. Calibration documentation should be maintained with each analyzer and also in a
central backup file.
7. The true values of the calibration gases used must be traceable to NIST-SRMs See
Table 3-12.
10.1.2. CALIBRATION EQUIPMENT, SUPPLIES, AND EXPENDABLES
The measurement of CO in ambient air requires a certain amount of basic sampling
equipment and supplemental supplies. The Quality Assurance Handbook Section 2.6
contains information about setting up the appropriate systems.
10.1.2.1. DATA RECORDING DEVICE
Either a strip chart recorder, data acquisition system, digital data acquisition system
should be used to record the data from the Mode; T300 RS-232 port or analog outputs.
If analog readings are being used, the response of that system should be checked against
a NIST referenced voltage source or meter. Data recording device should be capable of
bi-polar operation so that negative readings can be recorded.
10.1.2.2. SPARE PARTS AND EXPENDABLE SUPPLIES
In addition to the basic equipment described in the Q.A. Handbook, it is necessary to
maintain an inventory of spare parts and expendable supplies. Section 11 describes the
parts that require periodic replacement and the frequency of replacement. Appendix B
of this Technical Manual contains a list of spare parts and kits of expendables supplies.
06864B DCN6314

Teledyne API – Model T300/T300M CO Analyzer EPA Calibration Protocol
233
Table 10-1: Matrix for Calibration Equipment & Supplies
EQUIPMENT &
SUPPLIES SPECIFICATION REFERENCE
ACTION IF
REQUIREMENTS ARE NOT
MET
Recorder
Compatible with output
signal of analyzer; min.
chart width of 150 mm (6 in)
is recommended
Return equipment to supplier
Sample line and
manifold
Constructed of PTFE or
glass Check upon receipt Return equipment to supplier
Calibration equipment Q.A. Handbook1 Vol II Part 1 , App 15,
Sec. 4.4 & 5.4
Return equipment/ supplies
to supplier or take corrective
action
Detection limit
Noise = 0.5 ppm
Lower detectable
limit=1.0 ppm 40 CFR, Pt 53.20 & 232
Instruments designated as
reference or equivalent have
been determined to meet
these acceptance criteria.
Working standard CO
cylinder gas Traceable to NIST-SRM
Analyzed against NIST-SRM;
40 CFR, Pt 50, App C; para.
3.13
Obtain new working
standard and check for
traceability
Zero air
Clean dry ambient air, free
of contaminants that cause
detectable response with
the CO analyzer.
40 CFR, Pt 50, App C; para.
3.23 Obtain air from another
source or regenerate.
Record form Q.A. Handbook1 Vol II Part 1 , App 15,
Table A-5 & A-6 Revise forms as appropriate
Audit equipment Must not be the same as
used for calibration
Q.A. Handbook1Vol II Part 1 ,
App 15,
Sec. 4.4 & 5.4
Locate problem and correct
or return to supplier
10.1.3. RECOMMENDED STANDARDS FOR ESTABLISHING TRACEABILITY
To assure data of desired quality, two considerations are essential:
The measurement process must be in statistical control at the time of the
measurement.
The systematic errors, when combined with the random variation in the
measurement process, must result in a suitably small uncertainty.
Evidence of good quality data includes documentation of the quality control checks and
the independent audits of the measurement process by recording data on specific forms
or on a quality control chart and by using materials, instruments, and measurement
procedures that can be traced to appropriate standards of reference.
To establish traceability, data must be obtained routinely by repeat measurements of
standard reference samples (primary, secondary and/or working standards). More
specifically, working calibration standards must be traceable to standards of higher
accuracy, such as those listed in Table 3-12.
Cylinders of working gas traceable to NIST-SRMs (called EPA Protocol Calibration
Gas) are also commercially available (from sources such as Scott Specialty Gases, etc.).
See Table 3-12 for a list of appropriate SRMs.
06864B DCN6314

EPA Calibration Protocol Teledyne API – Model T300/T300M CO Analyzer
234
10.1.4. CALIBRATION FREQUENCY
To ensure accurate measurements of the CO concentrations, calibrate the analyzer at the
time of installation, and recalibrate it:
No later than three months after the most recent calibration or performance audit
which indicate the analyzer’s calibration to be acceptable.
When there is an interruption of more than a few days in analyzer operation.
When any repairs have taken place which might affect its calibration.
After a physical relocation of the analyzer.
When any other indication (including excessive zero or span drift) of possible
significant inaccuracy of the analyzer exists.
Following any of the activities listed above, the zero and span should be checked to
determine if a calibration is necessary.
Table 10-2: Activity Matrix for Quality Assurance Checks
Characteristic Acceptance limits Frequency and method of
measurement Action if requirements are not met
Shelter temperature
Mean temperature between
22oC and 28oC (72o and 82oF),
daily fluctuations not greater
than ±2oC
Check thermograph chart
weekly for variations greater
than ±2oC (4oF)
Mark strip chart for the affected time
period
Repair or adjust temperature control
Sample introduction
system
No moisture, foreign material,
leaks, obstructions; sample line
connected to manifold
Weekly visual inspection Clean, repair, or replace as needed
Recorder
Adequate ink & paper
Legible ink traces
Correct chart speed and range
Correct time
Weekly visual inspection
Replenish ink and paper supply
Adjust time to agree with clock; note on
chart
Analyzer operational
settings
TEST measurements at
nominal values
2. T300 in Sample Mode
Weekly visual inspection Adjust or repair as needed
Analyzer operational
check
Zero and span within tolerance
limits as described in
Subsection 9.1.3 of Sec. 2.0.9
(Q.A. Handbook Vol II4)
Level 1 zero/span every 2
weeks; Level 2 between Level
1 checks at frequency desired
analyzer by user
Find source of error and repair
After corrective action, re-calibrate
analyzer
Precision check
Assess precision as described
in Sec. 2.0.8 and Subsection
3.4.3 (Ibid.)
Every 2 weeks, Subsection
3.4.3 (Ibid.) Calc, report precision, Sec. 2.0.8 (Ibid.)
.
10.1.5. LEVEL 1 CALIBRATIONS VERSUS LEVEL 2 CHECKS
Essential to quality assurance are scheduled checks for verifying the operational status
of the monitoring system. The operator should visit the site at least once each week. It
is recommended Level 1 zero and span check conducted on the analyzer every two
weeks. Level 2 zero and span checks should be conducted at a frequency desired by the
user. Definitions of these terms are given in Table 10-3.
To provide for documentation and accountability of activities, a checklist should be
compiled and then filled out by the field operator as each activity is completed.
06864B DCN6314

Teledyne API – Model T300/T300M CO Analyzer EPA Calibration Protocol
235
Table 10-3: Definition of Level 1 and Level 2 Zero and Span Checks
(Q.A. Handbook1 Vol II, Part1, Section 12.3 & 12.4)
LEVEL 1 ZERO AND SPAN CALIBRATION
A Level 1 zero and span calibration is a simplified, two-
point analyzer calibration used when analyzer linearity
does not need to be checked or verified. (Sometimes
when no adjustments are made to the analyzer, the
Level 1 calibration may be called a zero/span check, in
which case it must not be confused with a Level 2
zero/span check.) Since most analyzers have a reliably
linear or near-linear output response with concentration,
they can be adequately calibrated with only two
concentration standards (two-point concentration).
Furthermore, one of the standards may be zero
concentration, which is relatively easily obtained and
need not be certified. Hence, only one certified
concentration standard is needed for the two-point (Level
1) zero and span calibration. Although lacking the
advantages of the multipoint calibration, the two-point
zero and span calibration--because of its simplicity--can
be (and should be) carried out much more frequently.
Also, two-point calibrations are easily automated.
Frequency checks or updating of the calibration
relationship with a two-point zero and span calibration
improves the quality of the monitoring data by helping to
keep the calibration relationship more closely matched to
any changes (drifts) in the analyzer response.
LEVEL 2 ZERO AND SPAN CHECK
A Level 2 zero and span check is an "unofficial" check of
an analyzer's response. It may include dynamic checks
made with uncertified test concentrations, artificial
stimulation of the analyzer's detector, electronic or other
types of checks of a portion of the analyzer, etc.
Level 2 zero and span checks are not to be used as a
basis for analyzer zero or span adjustments, calibration
updates, or adjustment of ambient data. They are
intended as quick, convenient checks to be used
between zero and span calibrations to check for possible
analyzer malfunction or calibration drift. Whenever a
Level 2 zero or span check indicates a possible
calibration problem, a Level 1 zero and span (or
multipoint) calibration should be carried out before any
corrective action is taken.
If a Level 2 zero and span check is to be used in the
quality control program, a "reference response" for the
check should be obtained immediately following a zero
and span (or multipoint) calibration while the analyzer's
calibration is accurately known. Subsequent Level 2
check responses should then be compared to the most
recent reference response to determine if a change in
response has occurred. For automatic Level 2 zero and
span checks, the first scheduled check following the
calibration should be used for the reference response. It
should be kept in mind that any Level 2 check that
involves only part of the analyzer's system cannot
provide information about the portions of the system not
checked and therefore cannot be used as a verification
of the overall analyzer calibration.
10.2. ZERO AND SPAN CHECKS
A system of Level 1 and Level 2 zero span checks is recommended. These checks must
be conducted in accordance with the specific guidance given in Section 12 of the QA
Handbook Vol II Part 11. It is recommended that Level 1 zero and span checks be
conducted every two weeks. Level 2 checks should be conducted in between the Level
1 checks at a frequency desired by the user. Span concentrations for both levels should
be between 70 and 90% of the measurement range.
Zero and span data are to be used to:
1. Provide data to allow analyzer adjustment for zero and span drift;
2. Provide a decision point on when to calibrate the analyzer;
3. Provide a decision point on invalidation of monitoring data.
Items 1 and 2 are described in detail in Subsection 9.1.3 of Section 2.0.9 (Q.A.
Handbook Vol II4). Item 3 is described in Subsection 9.1.4 of the same section.
Refer to the Troubleshooting and Repair (see Section 13) of this manual if the
instrument is not within the allowed variations.
06864B DCN6314

EPA Calibration Protocol Teledyne API – Model T300/T300M CO Analyzer
236
10.2.1. ZERO/SPAN CHECK PROCEDURES
The Zero and Span calibration can be checked in a variety of different ways. They
include:
Manual Zero/Span Check - Zero and Span can be checked from the front panel
touchscreen. The procedure is in Section 9.3 of this manual.
Automatic Zero/Span Checks - After the appropriate setup, Z/S checks can be
performed automatically every night. See Section 9.3 of this manual for setup and
operation procedures.
If using the AutoCal feature to perform a calibration check, set the CALIBRATE
parameter to NO.
Zero/Span checks via remote contact closure = Zero/Span checks can be initiated
via remote contact closures on the rear panel. See Section 9.3.3.3 of this manual.
Zero/Span via RS-232 port - Z/S checks can be controlled via the RS-232 port. See
Section 9.3.3.3 and Appendix A-6 of this manual for more details.
10.2.2. PRECISION CHECK
A periodic check is used to assess the data for precision. A one-point precision check
must be carried out at least once every 2 weeks on each analyzer at a CO concentration
between 8.0 ppm and 10.0 ppm.
The analyzer must be operated in its normal sampling mode, and the precision test gas
must pass through all filters, scrubbers, conditioners, and other components used during
normal ambient sampling.
The standards from which precision check test concentrations are obtained must be
traceable to NIST-SRM. Those standards used for calibration or auditing may be used.
To perform a precision check during the instrument set up, the sources of zero air and
sample gas and procedures should conform to those described in Section 9.2 for
analyzers with no valve options or with an IZS valve option installed and Section 9.3.1
for analyzers with Z/S options installed with the following exception:
Connect the analyzer to a precision gas that has a CO concentration between 8.0
ppm and 10.0 ppm. If a precision check is made in conjunction with a zero/span
check, it must be made prior to any zero or span adjustments.
Record this value.
Information from the check procedure is used to assess the precision of the monitoring
data; see CFR 40 CFR 585 for procedures for calculating and reporting precision.
06864B DCN6314

Teledyne API – Model T300/T300M CO Analyzer EPA Calibration Protocol
237
10.3. PRECISIONS CALIBRATION
Calibration must be performed with a calibrator that meets all conditions specified in
QA Handbook1 Vol II Part 1, App 15, Sec. 4.4 & 5.4. The user should be sure that all
flow meters are calibrated under the conditions of use against a reliable standard. All
volumetric flow rates should be corrected to 25oC (77oF) and 760 mm-Hg (29.92in–Hg).
Make sure the calibration system can supply the range of the concentration at a
sufficient flow over the whole range of concentration that will be encountered during
calibration.
All operational adjustments to the T300 should be completed prior to the calibration.
The following software features must be set into the desired state before calibration.
If the instrument will be used for more than one range, it should be calibrated
separately on each applicable range.
Automatic temperature/pressure compensation should be enabled. See Section
5.7.
Alternate units, make sure ppm units are selected for EPA monitoring. See Section
5.4.4.
The analyzer should be calibrated on the same range used for monitoring.
10.3.1. PRECISION CALIBRATION PROCEDURES
To perform a precision calibration during the instrument set up, the input sources of zero
air and sample gas and procedures should conform to those described in Section 9.2 for
analyzers with no valve options or with an IZS valve option installed and Section 9.3 for
analyzers with Z/S options installed.
10.4. AUDITING PROCEDURE
An audit is an independent assessment of the accuracy of data. Independence is
achieved by having the audit made by an operator other than the one conducting the
routine field measurements and by using audit standards and equipment different from
those routinely used in monitoring. The audit should be a true assessment of the
measurement process under normal operations without any special preparation or
adjustment of the system. Routine quality control checks conducted by the operator are
necessary for obtaining and reporting good quality data, but they are not considered part
of the auditing procedure. Audits are recommended once per quarter, but frequency
may be determined by applicable regulations and end use of the data.
Refer to The Q.A. Handbook1 Volume II, Part 1 Section 16 (for a more detailed
description).
10.4.1. CALIBRATION AUDIT
A calibration audit consists of challenging the T300/T300M with known concentrations
of CO. The difference between the known concentration and the analyzer response is
obtained, and an estimate of the analyzer's accuracy is determined.
The recommended audit schedule depends on the purpose for which the monitoring data
are being collected. For example, Appendix A, 40 CFR 585 requires that each analyzer
in State and Local Air Monitoring Network Plan (SLAMS) be audited at least once a
06864B DCN6314

EPA Calibration Protocol Teledyne API – Model T300/T300M CO Analyzer
238
year. Each agency must audit 25% of the reference or equivalent analyzers each quarter.
If an agency operates less than four reference or equivalent analyzers, it must randomly
select analyzers for reauditing so that one analyzer will be audited each calendar quarter
and each analyzer will be audited at least once a year.
Appendix B, 40 CFR 585 requires that each Prevention of Significant Deterioration
(PSD) reference or equivalent analyzer be audited at least once a sampling quarter.
Results of these audits are used to estimate the accuracy of ambient air data.
10.4.2. DATA REDUCTION AUDIT
A data reduction audit involves transcribing analyzer data and determining if the
collected data is within the control limits, generally 2 ppm between the analyzer
response and the audit value. The resulting values are recorded on the SAROAD form.
If data exceeds 2 ppm, check all of the remaining data in the 2-week period.
10.4.3. SYSTEM AUDIT/VALIDATION
A system audit is an on-site inspection and review of the quality assurance activities
used for the total measurement system (sample collection, sample analysis, data
processing, etc.); it is an appraisal of system quality.
Conduct a system audit at the startup of a new monitoring system and periodically (as
appropriate) as significant changes in system operations occur.
10.5. DYNAMIC MULTIPOINT CALIBRATION PROCEDURE
10.5.1. LINEARITY TEST
In order to record the instrument’s performance at a predetermined sensitivity and to
derive a calibration relationship, a minimum of three reference points and one zero point
uniformly spaced covering 0 to 90 percent of the operating range are recommended to
define this relationship.
The analyzer's recorded response is compared with the known concentration to derive
the calibration relationship.
To perform a precision check during the instrument set up, the sources of zero air and
sample gas should conform to those described in Section 9.1.1.3.
Follow the procedures described in Section 9.3 for calibrating the zero points.
06864B DCN6314

Teledyne API – Model T300/T300M CO Analyzer EPA Calibration Protocol
239
For each mid point:
SPAN CAL M A1:CONC1=50 PPM CO = XXXX
< TST TST > ZERO SPAN CONC EXIT
Wait until
STABIL falls
below 0.2 PPM
(for M300E).
This may take
several minutes.
SAMPLE COSTB=XXXX PPB CO=XXXX
< TST TST > CAL CALZ CALS SETUP
Record the CO
reading as
displayed on the
instrument’s front
panel.
Press EXIT to
Return to the
Main SAMPLE
Display.
ACTION:
Allow Calibration Gas diluted to
proper concentration for
Midpoint N+1 to enter the sample
port.
A
CTION:
Allow calibration gas diluted to proper concentration for
Midpoint N to enter the sample port
SAMPLE A1:CONC1=50 PPM CO = XXXX
< TST TST > CAL SETUP
SAMPLE CO STB=XXXX PPB CO=XXX
X
< TST TST > CAL SETUP
Set the Display to show the
COSTB test function.
This function calculates the
stability of the CO
measurement.
Plot the analyzer responses versus the corresponding calculated concentrations to obtain
a calibration relationship. Determine the best-fit straight line (y = mx + b) determined
by the method of least squares.
After the best-fit line has been drawn, determine whether the analyzer response is linear.
To be considered linear, no calibration point should differ from the best-fit line by more
than 2% of full scale.
If carried out carefully, the checks described in this section will provide reasonable
confidence that the T300 is operating properly. Checks should be carried out at least
every 3 months as the possibility of malfunction is always present.
06864B DCN6314

EPA Calibration Protocol Teledyne API – Model T300/T300M CO Analyzer
240
If the linearity error is excessive and cannot be attributed to outside causes, check the
T300 system for:
Sample pressure higher than ambient – pressurized sample gas
Leaks
Correct flow
Miscalibrated span gas tanks or bad zero gas
Miscalibrated sample pressure transducer
Failed IR detector, GFC Wheel or Sync/Demod Board
Contaminated optical bench or sample lines
10.6. REFERENCES
1 Quality Assurance Handbook for Air Pollution Measurement Systems Volume II: Part
1 - Ambient Air Quality Monitoring Program Quality System Development - EPA-
454/R-98-004 - August 1998. United States Environmental Protection Agency -
Office of Air Quality Planning and Standards
2 CFR Title 40: Protection of Environment - PART 53—AMBIENT AIR MONITORING
REFERENCE AND EQUIVALENT METHODS:
- 53.20 General provisions.
- 53.23 Test procedures.
3 CFR Title 40: Protection of Environment - PART 50—NATIONAL PRIMARY AND
SECONDARY AMBIENT AIR QUALITY STANDARDS: Appendix C to Part 50—
Measurement Principle and Calibration Procedure for the Measurement of Carbon
Monoxide in the Atmosphere (Non-Dispersive Infrared Photometry)
4 Quality Assurance Handbook for Air Pollution Measurement Systems - Volume II,
Ambient Air Specific Methods, EPA-600/4-77-027a, 1977.
5 CFR Title 40: Protection of Environment - AMBIENT AIR QUALITY SURVEILLANCE
06864B DCN6314

241
PART III
TECHNICAL INFORMATION
06864B DCN6314
06864B DCN6314

243
06864B DCN6314
06864B DCN6314

245
11. MAINTENANCE SCHEDULE & PROCEDURES
Predictive diagnostic functions, including data acquisition records, failure warnings and
test functions built into the analyzer, allow the user to determine when repairs are
necessary without performing painstaking preventative maintenance procedures. There
are, however, a minimal number of simple procedures that when performed regularly will
ensure that the analyzer continues to operate accurately and reliably over its lifetime.
Repairs and troubleshooting are covered in Section 12 of this manual.
11.1. MAINTENANCE SCHEDULE
Table 11-1 shows a typical maintenance schedule for the analyzer. Please note that in
certain environments (i.e. dusty, very high ambient pollutant levels) some maintenance
procedures may need to be performed more often than shown.
Note A Span and Zero Calibration Check (see CAL CHECK REQ’D Column of
Table 10 1) must be performed following certain of the maintenance
procedure listed below.
See Sections 8.3 and 8.4 for instructions on performing checks.
CAUTION
GENERAL SAFETY HAZARD
Risk of electrical shock. Disconnect power before performing any of the following
operations that require entry into the interior of the analyzer.
CAUTION
QUALIFIED PERSONNEL
The operations outlined in this section are to be performed by qualified maintenance
personnel only.
06864B DCN6314

Maintenance Schedule & Procedures Teledyne API – Technical Manual - Model T300 Family CO Analyzers
246
This page intentionally left blank.
06864B DCN6314

247
Table 11-1: T300/T300M Maintenance Schedule
DATE PERFORMED
ITEM ACTION FREQ CAL
CHECK
REQ’D
MANUAL
Particulate
Filter Replace Weekly or As
Needed No
Verify Test
Functions
Record and
Analyze
Weekly or after
any
Maintenance or
Repair
No
Pump
Diaphragm Replace Annually Yes
Perform Flow
Check Check Flow Annually No
Perform
Leak Check
Verify Leak
Tight
Annually or
after any
Maintenance or
Repair
No
Pneumatic
lines
Examine and
Clean As Needed Yes if
cleaned
Cleaning Clean As Needed
Only if
cover
removed
06864B DCN6314

Maintenance Schedule & Procedures Teledyne API – Model T300/T300M CO Analyzer
248
Table 11-2: T300/T300M Test Function Record
DATE RECORDED
FUNCTION OPERATING
MODE*
STABILITY ZERO CAL
CO MEAS ZERO CAL
ZERO CAL
MR RATIO
SPAN CAL
PRES SAMPLE
PHT DRIVE SAMPLE
AFTER WARM-
UP
SLOPE SPAN CAL
OFFSET ZERO CAL
06864B DCN6314

249
11.2. PREDICTING FAILURES USING THE TEST FUNCTIONS
The Test Functions can be used to predict failures by looking at how their values change
over time. Initially it may be useful to compare the state of these Test Functions to the
values recorded on the printed record of the final calibration performed on your
instrument at the factory, P/N 04307. Table 11-3 can be used as a basis for taking action
as these values change with time. The internal data acquisition system (DAS) is a
convenient way to record and track these changes. Use APICOM to download and
review this data from a remote location.
Table 11-3: Predictive uses for Test Functions
FUNCTION CONDITION BEHAVIOR INTERPRETATION
STABILITY Zero Cal Increasing Pneumatic Leaks – instrument & sample system
Detector deteriorating
CO MEAS Zero Cal Decreasing
Source Aging
Detector deteriorating
Optics getting dirty or contaminated
Increasing
Source Aging
Detector deteriorating
Contaminated zero gas (H2O)
Zero Cal
Decreasing
Source Aging
Detector deteriorating
GFC Wheel Leaking
Pneumatic Leaks
Contaminated zero gas (CO)
Increasing
Source Aging
Pneumatic Leaks – instrument & sample system
Calibration system deteriorating
GFC Wheel Leaking
MR RATIO
Span Cal
Decreasing Source Aging
Calibration system deteriorating
Increasing > 1” Pneumatic Leak between sample inlet and Sample Cell
Change in sampling manifold
PRES Sample
Decreasing > 1”
Dirty particulate filter
Pneumatic obstruction between sample inlet and
Sample Cell
Obstruction in sampling manifold
PHT DRIVE
Any, but with
Bench Temp at
48°C
Increasing
Mechanical Connection between IR-Detector and
Sample Cell deteriorating
IR-Photodetector deteriorating
Increasing See MR Ratio - Zero Cal Decreasing above
OFFSET Zero Cal
Decreasing See MR Ratio - Zero Cal Increasing above
Increasing See MR Ratio - Span Cal Decreasing above
SLOPE Span Cal
Decreasing See MR Ratio – Span Cal Increasing above
06864B DCN6314

Maintenance Schedule & Procedures Teledyne API – Model T300/T300M CO Analyzer
250
11.3. MAINTENANCE PROCEDURES
The following procedures are to be performed periodically as part of the standard
maintenance of the T300.
11.3.1. REPLACING THE SAMPLE PARTICULATE FILTER
The particulate filter should be inspected often for signs of plugging or contamination.
We recommend that the filter and the wetted surfaces of the filter housing are handled as
little as possible when you change the filter. Do not touch any part of the housing, filter
element, PTFE retaining ring, glass cover and the o-ring.
To change the filter:
1. Turn OFF the analyzer to prevent drawing debris into the instrument.
2. Open the T300 Analyzer’s hinged front panel and unscrew the knurled retaining ring
on the filter assembly.
Figure 11-1: Sample Particulate Filter Assembly
3. Carefully remove the retaining ring, PTFE o-ring, glass filter cover and filter element.
4. Replace the filter, being careful that the element is fully seated and centered in the
bottom of the holder.
5. Re-install the PTFE o-ring (with the notches up), the glass cover, then screw on the
retaining ring and hand tighten. Inspect the seal between the edge of filter and the
o-ring to assure a proper seal.
6. Re-start the Analyzer.
06864B DCN6314

Teledyne API – Model T300/T300M CO Analyzer Maintenance Schedule & Procedures
251
11.3.2. REBUILDING THE SAMPLE PUMP
The diaphragm in the sample pump periodically wears out and must be replaced. A
sample rebuild kit is available – see label on the pump itself for the part number of the
pump rebuild kit. Instructions and diagrams are included with the kit.
Always perform a Flow and Leak Check after rebuilding the Sample Pump.
11.3.3. PERFORMING LEAK CHECKS
Leaks are the most common cause of analyzer malfunction; Section 11.3.3.1 presents a
simple leak check procedure. Section 11.3.3.2 details a more thorough procedure.
11.3.3.1. VACUUM LEAK CHECK AND PUMP CHECK
This method is easy and fast. It detects, but does not locate most leaks. It also verifies
that the sample pump is in good condition.
1. Turn the analyzer ON, and allow enough time for flows to stabilize.
2. Cap the sample inlet port.
3. After several minutes, when the pressure has stabilized, scroll through the
TEST menu, note the SAMPLE PRESSURE reading.
4. If the reading is < 10 in-Hg, the pump is in good condition and there are no large
leaks.
5. Check the sample gas flow. If the flow is <10 cm3/min and stable, there are no large
leaks in the instrument’s pneumatics.
11.3.3.2. PRESSURE LEAK CHECK
If you can’t locate the leak by the above procedure, use the following procedure. Obtain
a leak checker similar to the Teledyne API P/N 01960, which contains a small pump,
shut-off valve and pressure gauge. Alternatively, a convenient source of low-pressure
gas is a tank of span gas, with the two-stage regulator adjusted to less than 15 psi with a
shutoff valve and pressure gauge.
CAUTION
GENERAL SAFETY HAZARD
Do not use bubble solution with vacuum applied to the analyzer. The solution may
contaminate the instrument. Do not exceed 15 PSIG pressure.
1. Turn OFF power to the instrument.
2. Install a leak checker or tank of gas as described above on the sample inlet at the
rear panel.
3. Remove the instrument cover and locate the inlet side of the sample pump.
Remove the flow assembly from the pump and plug it with the appropriate gas-tight
fitting.
4. Pressurize the instrument with the leak checker, allowing enough time to fully
pressurize the instrument through the critical flow orifice. Check each fitting with
soap bubble solution, looking for bubbles. Once the fittings have been wetted with
soap solution, do not re-apply vacuum, as it will suck soap solution into the
instrument and contaminate it. Do not exceed 15 psi pressure.
06864B DCN6314

Maintenance Schedule & Procedures Teledyne API – Model T300/T300M CO Analyzer
252
5. If the instrument has one of the zero and span valve options, the normally closed
ports on each valve should also be separately checked. Connect the leak checker
to the normally closed ports and check with soap bubble solution.
6. Once the leak has been located and repaired, the leak-down rate should be < 1 in-
Hg (0.4 psi) in 5 minutes after the pressure is shut off.
11.3.4. PERFORMING A SAMPLE FLOW CHECK
CAUTION
GENERAL SAFETY HAZARD
Always use a separate calibrated flow meter capable of measuring flows in the 0 – 1000
cm3/min range to measure the gas flow rate though the analyzer.
DO NOT use the built in flow measurement viewable from the Front Panel of the
instrument. This measurement is only for detecting major flow interruptions such as
clogged or plugged gas lines.
See Figure 3-4 for SAMPLE port location.
1. Attach the Flow Meter to the sample inlet port on the rear panel. Ensure that the
inlet to the Flow Meter is at atmospheric pressure.
2. Sample flow should be 800 cm3/min 10%.
3. Once an accurate measurement has been recorded by the method described
above, adjust the analyzer’s internal flow sensors (See Section 9.6.3).
Low flows indicate blockage somewhere in the pneumatic pathway, typically a plugged
sintered filter or critical flow orifice in one of the analyzer’s flow control assemblies.
High flows indicate leaks downstream of the Flow Control Assembly.
11.3.5. CLEANING THE OPTICAL BENCH
The T300/T300M sensor assembly and optical bench are complex and delicate.
Disassembly and cleaning is not recommended. Please check with the factory before
disassembling the optical bench.
11.3.6. CLEANING EXTERIOR SURFACES OF THE T300/T300M
If necessary, the exterior surfaces of the T300/T300M can be cleaned with a clean damp
cloth. Do NOT submerge any part of the instrument and do NOT use any cleaning
solution.
06864B DCN6314

253
12. TROUBLESHOOTING AND SERVICE
This contains a variety of methods for identifying the source of performance problems
with the analyzer. Also included in this are procedures that are used in repairing the
instrument.
NOTE
QUALIFIED PERSONNEL
The operations outlined in this section must be performed by qualified maintenance
personnel only.
CAUTION
GENERAL SAFETY HAZARD
Risk of electrical shock. Some operations need to be carried out with the
instrument open and running.
Exercise caution to avoid electrical shocks and electrostatic or mechanical
damage to the analyzer.
Do not drop tools into the analyzer or leave those after your procedures.
Do not shorten or touch electric connections with metallic tools while operating
inside the analyzer.
Use common sense when operating inside a running analyzer.
12.1. GENERAL TROUBLESHOOTING
The T300/T300M Carbon Monoxide Analyzer has been designed so that problems can
be rapidly detected, evaluated and repaired. During operation, it continuously performs
diagnostic tests and provides the ability to evaluate its key operating parameters without
disturbing monitoring operations.
A systematic approach to troubleshooting will generally consist of the following five
steps:
1. Note any WARNING MESSAGES and take corrective action as necessary.
2. Examine the values of all TEST functions and compare them to factory values. Note
any major deviations from the factory values and take corrective action.
3. Use the internal electronic status LEDs to determine whether the electronic
communication channels are operating properly.
Verify that the DC power supplies are operating properly by checking the
voltage test points on the relay PCA.
Note that the analyzer’s DC power wiring is color-coded and these colors match
the color of the corresponding test points on the relay PCA.
06864B DCN6314

Troubleshooting and Service Teledyne API – Model T300/T300M CO Analyzer
254
4. SUSPECT A LEAK FIRST!
Customer service data indicate that the majority of all problems are eventually
traced to leaks in the internal pneumatics of the analyzer or the diluent gas and
source gases delivery systems.
Check for gas flow problems such as clogged or blocked internal/external gas
lines, damaged seals, punctured gas lines, a damaged / malfunctioning pumps,
etc.
5. Follow the procedures defined in Section 12.5 to confirm that the analyzer’s vital
functions are working (power supplies, CPU, relay PCA, touchscreen, PMT cooler,
etc.).
See Figure 3-6 for the general layout of components and sub-assemblies in the
analyzer.
See the wiring interconnect diagram and interconnect list in Appendix D.
12.1.1. FAULT DIAGNOSIS WITH WARNING MESSAGES
The most common and/or serious instrument failures will result in a warning message
being displayed on the front panel. Table 12-1 lists warning messages, along with their
meaning and recommended corrective action.
It should be noted that if more than two or three warning messages occur at the same
time, it is often an indication that some fundamental analyzer sub-system (power supply,
relay board, motherboard) has failed rather than an indication of the specific failures
referenced by the warnings. In this case, a combined-error analysis needs to be
performed.
The analyzer will alert the user that a Warning message is active by flashing the FAULT
LED, displaying the the Warning message in the Param field along with the CLR button
(press to clear Warning message). The MSG button displays if there is more than one
warning in queue or if you are in the TEST menu and have not yet cleared the message.
The following display/touchscreen examples provide an illustration of each:
06864B DCN6314

Teledyne API – Model T300/T300M CO Analyzer Troubleshooting and Service
255
The analyzer will also alert the user via the Serial I/O COM port(s).
To view or clear the various warning messages press:
06864B DCN6314

Troubleshooting and Service Teledyne API – Model T300/T300M CO Analyzer
256
Figure 12-1: Viewing and Clearing Warning Messages
06864B DCN6314

Teledyne API – Model T300/T300M CO Analyzer Troubleshooting and Service
257
Table 12-1: Warning Messages - Indicated Failures
WARNING
MESSAGE FAULT CONDITION POSSIBLE CAUSES
BENCH TEMP
WARNING
The optical bench temp is
controlled at 48 2 °C.
Bad bench heater
Bad bench temperature sensor
Bad relay controlling the bench heater
Entire relay board is malfunctioning
I2C bus malfunction
BOX TEMP
WARNING
Box Temp is
< 5 °C or > 48 °C.
NOTE: Box temperature typically runs ~7oC warmer than ambient
temperature.
Poor/blocked ventilation to the analyzer.
Stopped exhaust-fan
Ambient temperature outside of specified range
CANNOT DYN
SPAN Dynamic Span operation failed Measured concentration value is too high or low.
Concentration slope value to high or too low
CANNOT DYN
ZERO Dynamic Zero operation failed Measured concentration value is too high.
Concentration offset value to high.
CONFIG
INITIALIZED
Configuration and Calibration data
reset to original Factory state.
Failed disk on module
User erased data
DATA INITIALIZED Data Storage in DAS was erased Failed disk on module
User cleared data
PHOTO TEMP
WARNING
PHT DRIVE is
>4800 mVDC
Failed IR photo-detector
Failed sync/demod board
IR photo-detector improperly attached to the sample chamber
Bench temp too high.
REAR BOARD NOT
DET
Motherboard not detected on power
up.
Warning only appears on serial I/O com port(s)
Front panel display will be frozen, blank or will not respond.
Massive failure of motherboard
RELAY BOARD
WARN
The CPU cannot communicate with
the Relay Board.
I2C bus failure
Failed relay board
Loose connectors/wiring
SAMPLE FLOW
WARN
Sample flow rate is < 500 cm3/min
or > 1000 cm3/min.
Failed sample pump
Blocked sample inlet/gas line
Dirty particulate filter
Leak downstream of critical flow orifice
Failed flow sensor/circuitry
SAMPLE PRES
WARN
Sample Pressure is <10 in-Hg or
> 35 in-Hg
Normally 29.92 in-Hg at sea level
decreasing at 1 in-Hg per 1000 ft of
altitude (with no flow – pump
disconnected).
If sample pressure is < 10 in-hg:
Blocked particulate filter
Blocked sample inlet/gas line
Failed pressure sensor/circuitry
If sample pressure is > 35 in-hg:
Pressurized sample gas. Install vent
Blocked vent line on pressurized sample/zero/span gas supply
Bad pressure sensor/circuitry
06864B DCN6314

Troubleshooting and Service Teledyne API – Model T300/T300M CO Analyzer
258
Table 13-1: Warning Messages – Indicated Failures (cont.)
WARNING
MESSAGE FAULT CONDITION POSSIBLE CAUSES
SAMPLE TEMP
WARN
Sample temperature is < 10oC or >
100oC.
Ambient temperature outside of specified range
Failed bench heater
Failed bench temperature sensor
Relay controlling the bench heater
Failed relay board
I2C bus
SOURCE WARNING
Occurs when CO Ref is <1250
mVDC or >4950 mVDC.
Either of these conditions will result
in an invalid M/R ratio.
GFC Wheel stopped
Failed sync/demod board
If status LEDs on the sync/demod board ARE flashing the cause is
most likely a failed:
IR source
Relay board
I2C bus
IR photo-detector
SYSTEM RESET The computer has rebooted.
This message occurs at power on. If you have not cycled the power
on your instrument:
Failed +5 VDC power,
Fatal error caused software to restart
Loose connector/wiring
WHEEL TEMP
WARNING
The filter wheel temperature is
controlled at 68 2 °C
Blocked cooling vents below GFC Assembly. Make sure that
adequate clear space beneath the analyzer.
Analyzer’s top cover removed
Wheel heater
Wheel temperature sensor
Relay controlling the wheel heater
Entire relay board
I2C bus
12.1.2. FAULT DIAGNOSIS WITH TEST FUNCTIONS
Besides being useful as predictive diagnostic tools, the test functions viewable from the
front panel can be used to isolate and identify many operational problems when
combined with a thorough understanding of the analyzer’s Theory of Operation (see
Section 13).
The acceptable ranges for these test functions are listed in the “Nominal Range” column
of the analyzer Final Test and Validation Data Sheet (T300, P/N 04307 and T300M,
P/N 04311) shipped with the instrument. Values outside these acceptable ranges
indicate a failure of one or more of the analyzer’s subsystems. Functions whose values
are still within the acceptable range but have significantly changed from the
measurement recorded on the factory data sheet may also indicate a failure.
Note A worksheet has been provided in Appendix C to assist in recording the
value of these test functions. This worksheet also includes expected
values for the various test functions.
06864B DCN6314

Teledyne API – Model T300/T300M CO Analyzer Troubleshooting and Service
259
The following table contains some of the more common causes for these values to be out
of range.
Table 12-2: Test Functions - Indicated Failures
TEST
FUNCTIONS
(As Displayed) INDICATED FAILURE(S)
TIME
Time of day clock is too fast or slow.
To adjust, see Section 5.6.
Battery in clock chip on CPU board may be dead.
RANGE
Incorrectly configured measurement range(s) could cause response problems with a Data logger or chart
recorder attached to one of the analog output.
If the Range selected is too small, the recording device will over range.
If the Range is too big, the device will show minimal or no apparent change in readings.
STABIL Indicates noise level of instrument or CO concentration of sample gas (see Section 12.4.2 for causes).
CO MEAS
&
CO REF
If the value displayed is too high the IR Source has become brighter. Adjust the variable gain potentiometer on
the sync/demod board (see Section 12.5.7.1).
If the value displayed is too low or constantly changing and the CO REF is OK:
Failed multiplexer on the motherboard
Failed sync/demod board
Loose connector or wiring on sync/demod board
If the value displayed is too low or constantly changing and the CO REF is bad:
GFC Wheel stopped or rotation is too slow
Failed sync/demod board IR source
Failed IR source
Failed relay board
Failed I2C bus
Failed IR photo-detector
MR Ratio
When the analyzer is sampling zero air and the ratio is too low:
The reference cell of the GFC Wheel is contaminated or leaking.
The alignment between the GFC Wheel and the segment sensor, the M/R sensor or both is incorrect.
Failed sync/demod board
When the analyzer is sampling zero air and the ratio is too high:
Zero air is contaminated
Failed IR photo-detector
PRES See Table 12-1 for SAMPLE PRES WARN.
SAMPLE FL Check for gas flow problems (see Section 12.2).
SAMP TEMP SAMPLE TEMP should be close to BENCH TEMP. Temperatures outside of the specified range or oscillating
temperatures are cause for concern.
BENCH
TEMP
Bench temp control improves instrument noise, stability and drift. Temperatures outside of the specified range
or oscillating temperatures are cause for concern. Table 12-1 for BENCH TEMP WARNING.
WHEEL
TEMP
Wheel temp control improves instrument noise, stability and drift. Outside of set point or oscillating
temperatures are causes for concern. See Table 12-1 for WHEEL TEMP WARNING.
BOX TEMP If the box temperature is out of range, check fan in the power supply module. Areas to the side and rear of
instrument should allow adequate ventilation. See Table 12-1 for BOX TEMP WARNING.
PHT DRIVE
If this drive voltage is out of range it may indicate one of several problems:
A poor mechanical connection between the photodetector, its associated mounting hardware and the
absorption cell housing;
An electronic failure of the IR Photo-Detector’s built-in cooling circuitry, or;
A temperature problem inside the analyzer chassis. In this case other temperature warnings would also be
active such as BENCH TEMP WARNING or BOX TEMP WARNING.
06864B DCN6314

Troubleshooting and Service Teledyne API – Model T300/T300M CO Analyzer
260
TEST
FUNCTIONS
(As Displayed) INDICATED FAILURE(S)
SLOPE
Values outside range indicate
Contamination of the zero air or span gas supply
Instrument is Miscalibrated
Blocked gas flow
Contaminated or leaking GFC Wheel (either chamber)
Faulty IR photo-detector
Faulty sample faulty IR photo-detector pressure sensor (P1) or circuitry
Invalid M/R ratio (see above)
Bad/incorrect span gas concentration due.
OFFSET
Values outside range indicate
Contamination of the zero air supply
Contaminated or leaking GFC Wheel (either chamber)
Faulty IR photo-detector
06864B DCN6314

Teledyne API – Model T300/T300M CO Analyzer Troubleshooting and Service
261
12.1.3. THE DIAGNOSTIC SIGNAL I/O FUNCTION
The signal I/O diagnostic mode allows access to the digital and analog I/O in the
analyzer. Some of the digital signals can be controlled through the touchscreen. These
signals, combined with a thorough understanding of the instruments Theory of
Operation (found in Section 13), are useful for troubleshooting in three ways:
The technician can view the raw, unprocessed signal level of the analyzer’s critical
inputs and outputs.
Many of the components and functions that are normally under algorithmic control of
the CPU can be manually exercised.
The technician can directly control the signal level Analog and Digital Output signals.
This allows the technician to observe systematically the effect of directly controlling
these signals on the operation of the analyzer. The following flowchart shows an
example of how to use the Signal I/O menu to view the raw voltage of an input signal or
to control the state of an output voltage or control signal. (See also Sections 5.9.1 and
12.5.8.1).
06864B DCN6314

Troubleshooting and Service Teledyne API – Model T300/T300M CO Analyzer
262
Figure 12-2: Example of Signal I/O Function
Note Any I/O signals changed while in the signal I/O menu will remain in effect
ONLY until signal I/O menu is exited. The Analyzer regains control of
these signals upon exit. See Appendix A-4 for a complete list of the
parameters available for review under this menu.
06864B DCN6314

Teledyne API – Model T300/T300M CO Analyzer Troubleshooting and Service
263
12.1.4. STATUS LEDS
Several color-coded light-emitting diodes (LEDs) are located inside the instrument to
assist in determining if the analyzer’s CPU, I2C bus and relay board, GFC Wheel and the
sync/demodulator board are functioning properly.
12.1.4.1. MOTHERBOARD STATUS INDICATOR (WATCHDOG)
DS5, a red LED, that is located on upper portion of the motherboard, just to the right of
the CPU board, flashes when the CPU is running the main program loop. After power-
up, approximately 30 to 60 seconds, DS5 should flash on and off. If characters are
written to the front panel display but DS5 does not flash then the program files have
become corrupted. If after 30 – 60 seconds neither the DS5 is flashing or no characters
have been written to the front panel display then the CPU is bad and must be replaced.
Motherboard
CPU Status LED
Figure 12-3: CPU Status Indicator
06864B DCN6314

Troubleshooting and Service Teledyne API – Model T300/T300M CO Analyzer
264
12.1.4.2. SYNC DEMODULATOR STATUS LEDS
Two LEDs located on the Sync/Demod Board and are there to make it obvious that the
GFC Wheel is spinning and the synchronization signals are present:
Table 12-3: Sync/Demod Board Status Failure Indications
LED FUNCTION FAULT STATUS INDICATED FAILURE(S)
D1
M/R Sensor Status
(Flashes slowly)
LED is stuck
ON or OFF
GFC Wheel is not turning
M/R Sensor on Opto-Pickup Board failed
Sync/Demod Board failed
JP 4 Connector/Wiring faulty
Failed/Faulty +5 VDC Power Supply (PS1)
D2
Segment Sensor
Status
(Flashes quickly)
LED is stuck
ON or OFF
GFC Wheel is not turning
Segment Sensor on Opto-Pickup Board failed
Sync/Demod Board failed
JP 4 Connector/Wiring faulty
Failed/Faulty +5 VDC Power Supply (PS1)
D1 – M/R Sensor Status
D2 – Segment Sensor Status
JP4 Connector to Opto-Pickup
Board
Figure 12-4: Sync/Demod Board Status LED Locations
06864B DCN6314

Teledyne API – Model T300/T300M CO Analyzer Troubleshooting and Service
265
12.1.4.3. RELAY BOARD STATUS LEDS
There are eight LEDs located on the Relay Board. The most important of which is D1,
which indicates the health of the I2C bus. If D1 is blinking the other faults following
LEDs can be used in conjunction with DIAG menu signal I/O to identify hardware
failures of the relays and switches on the relay (see Section 12.1.3 and Appendix D).
Table 12-4: I2C Status LED Failure Indications
LED FUNCTION FAULT STATUS INDICATED FAILURE(S)
D1
(Red)
I2C bus Health
(Watch Dog
Circuit)
Continuously ON
or
Continuously OFF
Failed/Halted CPU
Faulty Motherboard, Touchscreen or Relay Board
Faulty Connectors/Wiring between Motherboard,
Touchscreen or Relay Board
Failed/Faulty +5 VDC Power Supply (PS1)
STATUS LED’s DC VOLTAGE TEST
POINTS
RELAY PCA
PN 04135
Figure 12-5: Relay Board Status LEDs
06864B DCN6314

Troubleshooting and Service Teledyne API – Model T300/T300M CO Analyzer
266
Table 12-5: Relay Board Status LED Failure Indications
SIGNAL I/O PARAMETER
LED FUNCTION
ACTIVATED BY VIEW RESULT DIAGNOSTIC TECHNIQUE
D2
Yellow Wheel Heater WHEEL_HEATER WHEEL_TEMP
Voltage displayed should change. If not:
Failed Heater
Faulty Temperature Sensor
Failed AC Relay
Faulty Connectors/Wiring
D3
Yellow Bench Heater BENCH_HEATER BENCH_TEMP
Voltage displayed should change. If not:
Failed Heater
Faulty Temperature Sensor
Failed AC Relay
Faulty Connectors/Wiring
D4
Yellow Spare N/A N/A N/A
D5
Green
Sample/Cal Gas
Valve Option CAL_VALVE N/A
Sample/Cal Valve should audibly change states. If
not:
Failed Valve
Failed Relay Drive IC on Relay Board
Failed Relay Board
Faulty +12 VDC Supply (PS2)
Faulty Connectors/Wiring
D6
Green
Zero/Span Gas
Valve Option SPAN_VALVE N/A
Zero/Span Valve should audibly change states. If
not:
Failed Valve
Failed Relay Drive IC on Relay Board
Failed Relay Board
Faulty +12 VDC Supply (PS2)
Faulty Connectors/Wiring
D7
Green
Shutoff Valve
Option SHUTOFF_VALVE N/A
Shutoff Valve should audibly change states. If not:
Failed Valve
Failed Relay Drive IC on Relay Board
Failed Relay Board
Faulty +12 VDC Supply (PS2)
Faulty Connectors/Wiring
D8
Green IR SOURCE IR_SOURCE CO_MEASURE
Voltage displayed should change. If not:
Failed IR Source
Faulty +12 VDC Supply (PS2)
Failed Relay Board
Failed IR Photo-Detector
Failed Sync/Demod Board
Faulty Connectors/Wiring
06864B DCN6314

Teledyne API – Model T300/T300M CO Analyzer Troubleshooting and Service
267
12.2. GAS FLOW PROBLEMS
When troubleshooting flow problems, it is a good idea to first confirm that the actual
flow and not the analyzer’s flow sensor and software are in error, or the flow meter is in
error. Use an independent flow meter to perform a flow check as described in Section
11.3.4. If this test shows the flow to be correct, check the pressure sensors as described
in Section 12.5.7.6.
The T300/T300M has one main gas flow path. With the IZS or zero/span valve option
installed, there are several subsidiary paths but none of those are displayed on the front
panel or stored by the DAS.
With the O2 sensor option installed, third gas flow controlled with a critical flow orifice
is added, but this flow is not measured or reported.
In general, flow problems can be divided into three categories:
1. Flow is too high
2. Flow is greater than zero, but is too low, and/or unstable
3. Flow is zero (no flow)
When troubleshooting flow problems, it is crucial to confirm the actual flow rate without
relying on the analyzer’s flow display. The use of an independent, external flow meter
to perform a flow check as described in Section 11.3.4 is essential.
The flow diagrams found in a variety of locations within this manual depicting the
T300/T300M in its standard configuration and with options installed can help in trouble-
shooting flow problems. For your convenience they are collected here.
06864B DCN6314

Troubleshooting and Service Teledyne API – Model T300/T300M CO Analyzer
268
12.2.1. T300/T300M INTERNAL GAS FLOW DIAGRAMS
Figure 12-6: T300/T300M – Basic Internal Gas Flow
Figure 12-7: Internal Pneumatic Flow OPT 50A – Zero/Span Valves (OPT 50A & 50B)
06864B DCN6314

Teledyne API – Model T300/T300M CO Analyzer Troubleshooting and Service
269
Figure 12-8: Internal Pneumatic Flow OPT 50B – Zero/Span/Shutoff Valves
Figure 12-9: Internal Pneumatic Flow OPT 50H – Zero/Span Valves with Internal Zero Air Scrubber
06864B DCN6314

Troubleshooting and Service Teledyne API – Model T300/T300M CO Analyzer
270
Figure 12-10: Internal Pneumatic Flow OPT 50E – Zero/Span/Shutoff w/ Internal Zero Air Scrubber
Figure 12-11: T300/T300M – Internal Pneumatics with O2 Sensor Option 65A
06864B DCN6314

Teledyne API – Model T300/T300M CO Analyzer Troubleshooting and Service
271
Figure 12-12: T300/T300M – Internal Pneumatics with CO2 Sensor Option 67A
12.2.2. TYPICAL SAMPLE GAS FLOW PROBLEMS
12.2.2.1. FLOW IS ZERO
The unit displays a SAMPLE FLOW warning message on the front panel display or the
SAMPLE FLOW test function reports a zero or very low flow rate.
Confirm that the sample pump is operating (turning). If not, use an AC voltmeter to
make sure that power is being supplied to the pump if no power is present at the
electrical leads of the pump.
1. If AC power is being supplied to the pump, but it is not turning, replace the pump.
2. If the pump is operating but the unit reports no gas flow, perform a flow check as
described in Section 11.3.4.
3. If no independent flow meter is available:
Disconnect the gas lines from both the sample inlet and the exhaust outlet on
the rear panel of the instrument.
Make sure that the unit is in basic SAMPLE Mode.
Place a finger over an Exhaust outlet on the rear panel of the instrument.
If gas is flowing through the analyzer, you will feel pulses of air being expelled
from the Exhaust outlet.
06864B DCN6314

Troubleshooting and Service Teledyne API – Model T300/T300M CO Analyzer
272
4. If gas flows through the instrument when it is disconnected from its sources of zero
air, span gas or sample gas, the flow problem is most likely not internal to the
analyzer. Check to make sure that:
All calibrators/generators are turned on and working correctly.
Gas bottles are not empty or low.
Valves, regulators and gas lines are not clogged or dirty.
12.2.2.2. LOW FLOW
1. Check if the pump diaphragm is in good condition. If not, rebuild the pump (see
Section 11.3.2). Check the Spare Parts List for information on pump rebuild kits.
2. Check for leaks as described in Section 11.3.3. Repair the leaking fitting, line or
valve and re-check.
3. Check for the sample filter and the orifice filter for dirt. Replace filters (see 11.3.1).
4. Check for partially plugged pneumatic lines, or valves. Clean or replace them.
5. Check for plugged or dirty critical flow orifices. Replace them.
6. If an IZS option is installed in the instrument, press CALZ and CALS. If the flow
increases then suspect a bad sample/cal valve.
12.2.2.3. HIGH FLOW
The most common cause of high flow is a leak in the sample flow control assembly or
between there and the pump. If no leaks or loose connections are found in the fittings or
the gas line between the orifice and the pump, replace the critical flow orifice(s) inside
the sample flow control assembly.
06864B DCN6314

Teledyne API – Model T300/T300M CO Analyzer Troubleshooting and Service
273
12.2.2.4. DISPLAYED FLOW = “WARNINGS”
This warning means that there is inadequate gas flow. There are four conditions that
might cause this:
1. A leak upstream or downstream of the flow sensor
2. A flow obstruction upstream or downstream of the flow sensor
3. Bad Flow Sensor Board
4. Bad pump
To determine which case is causing the flow problem, view the sample pressure and
sample flow functions on the front panel. If the sample pressure is reading abnormally
low, then the cause is likely a flow obstruction upstream of the flow sensor. First, check
the sample filter and make sure it is not plugged and then systematically check all the
other components upstream of the orifice to ensure that they are not obstructed.
If the sample pressure is reading normal but the sample flow is reading low then it is
likely that the pump diaphragm is worn or there is an obstruction downstream of the
flow sensor.
12.2.2.5. ACTUAL FLOW DOES NOT MATCH DISPLAYED FLOW
If the actual flow measured does not match the displayed flow, but is within the limits of
720-880 cm3/min, adjust the calibration of the flow measurement as described in Section
11.3.4.
12.2.2.6. SAMPLE PUMP
The sample pump should start immediately after the front panel power switch is turned
ON. With the Sample Inlet plugged, the test function PRES should read about 10 in-Hg
for a pump that is in good condition. The pump needs rebuilding if the reading is above
10 in-Hg. If the test function SAMP FL is greater than 10 cm3/min there is a leak in the
pneumatic lines.
12.3. CALIBRATION PROBLEMS
12.3.1. MISCALIBRATED
There are several symptoms that can be caused by the analyzer being miscalibrated.
This condition is indicated by out of range Slopes and Offsets as displayed through the
test functions and is frequently caused by the following:
1. Bad span gas. This can cause a large error in the slope and a small error in the
offset. Delivered from the factory, the T300 Analyzer’s slope is within ±15% of
nominal. Bad span gas will cause the analyzer to be calibrated to the wrong value.
If in doubt have the span gas checked by an independent lab.
2. Contaminated zero gas. Excess H2O can cause a positive or negative offset and
will indirectly affect the slope.
3. Dilution calibrator not set up correctly or is malfunctioning. This will also cause the
slope, but not the zero, to be incorrect. Again the analyzer is being calibrated to the
wrong value.
06864B DCN6314

Troubleshooting and Service Teledyne API – Model T300/T300M CO Analyzer
274
4. Too many analyzers on the manifold. This can cause either a slope or offset error
because ambient gas with its pollutants will dilute the zero or span gas.
12.3.2. NON-REPEATABLE ZERO AND SPAN
As stated earlier, leaks both in the T300/T300M and in the external system are a
common source of unstable and non-repeatable readings.
1. Check for leaks in the pneumatic systems as described in Section 11.3.3. Don’t
forget to consider pneumatic components in the gas delivery system outside the
T300/T300M such as:
A change in zero air source such as ambient air leaking into zero air line, or;
A change in the span gas concentration due to zero air or ambient air leaking
into the span gas line.
2. Once the instrument passes a leak check, perform a flow check (see Section 11.3.4)
to make sure adequate sample is being delivered to the sensor assembly.
3. A failing IR photo-detector may be at fault. Check the CO MEAS and CO REF test
functions via the front panel display to make sure the signal levels are in the normal
range (See Appendix A) and are quiet.
4. Confirm the sample pressure, wheel temperature, bench temperature, and sample
flow readings are correct and have steady readings.
5. Disconnect the exhaust line from the optical bench near the rear of the instrument
and plug this line into the SAMPLE inlet creating a pneumatic loop. The CO
concentration (either zero or span) now must be constant. If readings become quiet,
the problem is in the external pneumatics supplies for sample gas, span gas or zero
air.
6. If pressurized span gas is being used with a zero/span valve option, make sure that
the venting is adequate.
12.3.3. INABILITY TO SPAN – NO SPAN BUTTON (CALS)
1. Confirm that the carbon monoxide span gas source is accurate; this can be done by
switching between two span-gas tanks. If the CO concentration is different, there is
a problem with one of the tanks.
2. Check for leaks in the pneumatic systems as described in Section 11.3.3.
3. Make sure that the expected span gas concentration entered into the instrument
during calibration is the correct span gas concentration and not too different from
expected span value. This can be viewed via the CONC submenu of the Sample
Displays.
4. Check to make sure that there is no ambient air or zero air leaking into span gas
line.
12.3.4. INABILITY TO ZERO – NO ZERO BUTTON (CALZ)
1. Confirm that there is a good source of zero air. Dilute a tank of span gas with the
same amount of zero air from two different sources. If the CO Concentration of the
two measurements is different, there is a problem with one of the sources of zero
air.
2. Check for leaks in the pneumatic systems as described in 11.3.3.
3. If the analyzer has had zero/span valve options, the CO scrubber may need
maintenance.
4. Check to make sure that there is no ambient air leaking into zero air line.
06864B DCN6314

Teledyne API – Model T300/T300M CO Analyzer Troubleshooting and Service
275
12.4. OTHER PERFORMANCE PROBLEMS
Dynamic problems (i.e. problems which only manifest themselves when the analyzer is
monitoring sample gas) can be the most difficult and time consuming to isolate and
resolve. The following provides an itemized list of the most common dynamic problems
with recommended troubleshooting checks and corrective actions.
12.4.1. TEMPERATURE PROBLEMS
Individual control loops are used to maintain the set point of the absorption bench, filter
wheel and IR photo-detector temperatures. If any of these temperatures are out of range
or are poorly controlled, the T300/T300M will perform poorly.
12.4.1.1. BOX OR SAMPLE TEMPERATURE
BOX TEMPERATURE
The box temperature sensor is mounted to the motherboard and cannot be disconnected
to check its resistance. Rather check the BOX TEMP signal using the SIGNAL I/O
function under the DIAG Menu (See Section 5.9.1). This parameter will vary with
ambient temperature, but at ~30oC (6-7° above room temperature) the signal should be
~1450 mV.
SAMPLE TEMPERATURE
The Sample Temperature should closely track the bench temperature. If it does not,
locate the sensor, which is located at the midpoint of the optical bench in a brass fitting.
Unplug the connector labeled “Sample”, and measure the resistance of the thermistor; at
room temperature (25°C) it should be ~30K Ohms, at operating temperature, 48°C, it
should be ~ 12K Ohms
12.4.1.2. BENCH TEMPERATURE
There are three possible failures that could cause the Bench temperature to be incorrect.
1. The heater mounted to the bottom of the Absorption bench is electrically shorted or
open.
Check the resistance of the two heater elements by measuring between pin 2 and
4 (~76 Ohms), and pin 3 and 4 (~330 Ohms), of the white five-pin connector just
below the sample temperature sensor on the Bench (pin 1 is the pointed end).
2. Assuming that the I2C bus is working and that there is no other failure with the relay
board, the solid-state relay (K2) on the relay board may have failed.
Using the BENCH_HEATER parameter under the signal I/O function, as
described above, turn on and off K2 (D3 on the relay board should illuminate as
the heater is turned on).
Check the AC voltage present between pin 2 and 4, for a 100 or 115 VAC
model, and pins 3 and 4, for a 220-240 VAC model.
WARNING - ELECTRICAL SHOCK HAZARD
Hazardous Voltages are present during this test.
06864B DCN6314

Troubleshooting and Service Teledyne API – Model T300/T300M CO Analyzer
276
3. If the relay has failed there should be no change in the voltage across pins 2 and 4
or 3 and 4. Note: K2 is in a socket for easy replacement.
4. If K2 checks out OK, the thermistor temperature sensor located on the optical bench
near the front of the instrument could be at fault.
Unplug the connector labeled “Bench”, and measure the resistance of the
thermistor.
At room temperature it should have approximately 30K Ohms resistance; near
the 48oC set point it should have ~12K ohms.
12.4.1.3. GFC WHEEL TEMPERATURE
Like the bench heater above there are three possible causes for the GFC Wheel
temperature to have failed.
1. The wheel heater has failed.
Check the resistance between pins 1 and 4 on the white five-pin connector just
below the sample temperature sensor on the bench (pin 1 is the pointed end).
It should be approximately 275 ohms.
2. Assuming that the I2C bus is working and that there is no other failure with the relay
board; the solid-state relay (K1) on the relay board may have failed.
Using the WHEEL_HEATER parameter under the signal I/O function, as
described above, turn on and off K1 (D2 on the relay board should illuminate as
the heater is turned on).
Check the AC voltage present between pin 1 and 4.
WARNING - ELECTRICAL SHOCK HAZARD
Hazardous Voltages are present during this test.
3. If the relay has failed there should be no change in the voltage across pins 1 and 4.
K1 is socketed for easy replacement.
4. If K1 checks out OK, the thermistor temperature sensor located at the front of the
filter wheel assembly may have failed.
5. Unplug the connector labeled “Wheel”, and measure the resistance of the
thermistor. The resistance near the 68°C set point is ~5.7k ohms.
06864B DCN6314

Teledyne API – Model T300/T300M CO Analyzer Troubleshooting and Service
277
12.4.1.4. IR PHOTO-DETECTOR TEC TEMPERATURE
If the PHT DRIVE test parameter described in Table 11-3 is out of range there are four
possible causes of failure.
1. The screws retaining the IR photo detector to the absorption bench have become
loose.
Carefully tighten the screws, hand-tight and note whether, after the analyzer has
come up to operating temperature, whether the PHT DRIVE voltage has
returned to an acceptable level.
2. The two large transistor-type devices mounted to the side of the Absorption Bench
have come loose from the bench.
Tighten the retaining screws and note whether there is an improvement in the
PHT DRIVE voltage.
3. The photo-detector has failed. Contact the factory for instructions.
4. The sync demodulator circuit board has failed. Contact the factor for instructions.
12.4.2. EXCESSIVE NOISE
Noise is continuously monitored in the TEST functions as the STABIL reading and
only becomes meaningful after sampling a constant gas concentration for at least 10
minutes. Compare the current STABIL reading with that recorded at the time of
manufacture (included in the T300/T300M Final Test and Validation Data Sheet,P/N
04271 shipped with the unit from Teledyne API).
1. The most common cause of excessive noise is leaks. Leak check and flow check
the instrument described in Section 11.3.3 and 11.3.4.
2. Detector failure – caused by failure of the hermetic seal or over-temperature due to
poor heat sinking of the detector can to the optical bench.
In addition to increased noise due to poor signal-to-noise ratio, another indicator
of detector failure is a drop in the signal levels of the CO MEASURE signal and
CO REFERENCE signal.
3. Sync/Demod Board failure. There are many delicate, high impedance parts on this
board. Check the CO MEAS and CO REF Test Functions via the Front Panel
Display.
4. The detector cooler control circuit can fail for reasons similar to the detector itself
failing. Symptoms would be a change in MR RATIO Test Function when zero air is
being sampled.
5. Also check the SIGNAL I/O parameter PHT DRIVE.
After warm-up, and at 25oC ambient, if PHT DRIVE < 4800 mV, the cooler is
working properly.
If PHT DRIVE is > 4800 mV there is a malfunction.
6. The +5 and 15 VDC voltages in the T300/T300M are provided by switching power
supplies.
06864B DCN6314

Troubleshooting and Service Teledyne API – Model T300/T300M CO Analyzer
278
Switch mode supplies create DC outputs by switching the input AC waveform at
high frequencies.
As the components in the switcher age and degrade, the main problem
observed is increased noise on the DC outputs.
If a noisy switcher power supply is suspected, attach an oscilloscope to the DC
output test points located on the top right hand edge of the Relay board.
Look for short period spikes > 100 mV p-p on the DC output
12.5. SUBSYSTEM CHECKOUT
The preceding subsections discussed a variety of methods for identifying possible
sources of failures or performance problems within the analyzer. In most cases this
included a list of possible causes. If the problem is not resolved at this point, the next
step is to check the subsystems. This subsection describes how to determine whether an
individual component or subsystem is the cause of the problem being investigated.
12.5.1. AC MAINS CONFIGURATION
The analyzer is correctly configured for the AC mains voltage in use if:
The Sample Pump is running.
The GFC Wheel motor is spinning. LEDs D1 & D2 (located on the sync/demod
PCA) should be flashing.
If incorrect power is suspected, check that the correct voltage and frequency is
present at the line input on the rear panel.
Note • If the unit is set for 230 VAC and is plugged into 115VAC, or 100VAC the
sample pump will not start, and the heaters will not come up to
temperature.
• If the unit is set for 115 or 100 VAC and is plugged into a 230 VAC circuit,
the circuit breaker built into the ON/OFF Switch on the Front Panel will
trip to the OFF position immediately after power is switched on.
06864B DCN6314

Teledyne API – Model T300/T300M CO Analyzer Troubleshooting and Service
279
12.5.2. DC POWER SUPPLY
If you have determined that the analyzer’s AC mains power is working, but the unit is
still not operating properly, there may be a problem with one of the instrument’s
switching power supplies. The supplies can have two faults, namely no DC output, and
noisy output.
To assist tracing DC Power Supply problems, the wiring used to connect the various
printed circuit assemblies and DC Powered components and the associated test points on
the relay board follow a standard color-coding scheme as defined in the following table.
Table 12-6: DC Power Test Point and Wiring Color Codes
NAME TEST POINT# TP AND WIRE COLOR
Dgnd 1 Black
+5V 2 Red
Agnd 3 Green
+15V 4 Blue
-15V 5 Yellow
+12R 6 Purple
+12V 7 Orange
A voltmeter should be used to verify that the DC voltages are correct per the values in
the table below, and an oscilloscope, in AC mode, with band limiting turned on, can be
used to evaluate if the supplies are producing excessive noise (> 100 mV p-p).
Table 12-7: DC Power Supply Acceptable Levels
CHECK RELAY BOARD TEST POINTS
FROM TEST POINT TO TEST POINT
POWER
SUPPLY
ASSY
VOLTAGE
NAME # NAME #
MIN V MAX V
PS1 +5 Dgnd 1 +5 2 4.8 5.25
PS1 +15 Agnd 3 +15 4 13.5 16V
PS1 -15 Agnd 3 -15V 5 -14V -16V
PS1 Agnd Agnd 3 Dgnd 1 -0.05 0.05
PS1 Chassis Dgnd 1 Chassis N/A -0.05 0.05
PS2 +12 +12V Ret 6 +12V 7 11.75 12.5
PS2 Dgnd +12V Ret 6 Dgnd 1 -0.05 0.05
12.5.3. I2C BUS
Operation of the I2C bus can be verified by observing the behavior of D1 on the relay
PCA. Assuming that the DC power supplies are operating properly, the I2C bus is
operating properly if D1 on the relay PCA is flashing.
06864B DCN6314

Troubleshooting and Service Teledyne API – Model T300/T300M CO Analyzer
280
12.5.4. TOUCHSCREEN INTERFACE
Verify the functioning of the touchscreen by observing the display when pressing a
touchscreen control button. Assuming that there are no wiring problems and that the DC
power supplies are operating properly, if pressing a control button on the display does
not change the display, any of the following may be the problem:
The touchscreen controller may be malfunctioning.
The internal USB bus may be malfunctioning.
You can verify this failure by logging on to the instrument using APICOM or a terminal
program to any of the communications ports. If the analyzer responds to remote
commands and the display changes accordingly, the touchscreen interface may be faulty.
12.5.5. LCD DISPLAY MODULE
Verify the functioning of the front panel display by observing it when power is applied
to the instrument. Assuming that there are no wiring problems and that the DC power
supplies are operating properly, the display screen should light and show the splash
screen with logo and other indications of its state as the CPU goes through its
initialization process.
12.5.6. RELAY BOARD
The relay board PCA (P/N 04135) can be most easily checked by observing the
condition of the its status LEDs on the relay board, as described in Section 12.1.4.3, and
the associated output when toggled on and off through signal I/O function in the
diagnostic menu, see Section 12.1.3.
1. If the front panel display responds to button presses and D1 on the relay board is
NOT flashing then either the wiring between the touchscreen and the relay board is
bad, or the relay board is bad.
2. If D1 on the relay board is flashing and the status indicator for the output in question
(heater power, valve drive, etc.) toggles properly using the signal I/O function, then
the associated control device on the relay board is bad.
Several of the control devices are in sockets and can be easily replaced.
The table below lists the control device associated with a particular function:
Table 12-8: Relay Board Control Devices
FUNCTION CONTROL
DEVICE IN SOCKET
Wheel Heater K1 Yes
Bench Heater K2 Yes
Spare AC Control K3 Yes
IZS Valves U4 Yes
IR Source Drive U5 No
The IR source drive output can be verified by measuring the voltage at J16 with the IR
source disconnected. It should be 11.5± 0.5 VDC.
06864B DCN6314

Teledyne API – Model T300/T300M CO Analyzer Troubleshooting and Service
281
12.5.7. SENSOR ASSEMBLY
12.5.7.1. SYNC/DEMODULATOR ASSEMBLY
To verify that the Sync/Demodulator Assembly is working, follow the procedure below:
1. Verify that D1 and D2 are flashing.
If not, check the opto pickup assembly, Section 12.5.7.3 and the GFC Wheel
drive, Section 12.5.7.4.
If the wheel drive and opto pickup are working properly then verify that there is
2.4 ±0.1 VAC and 2.5 ±0.15 VDC between digital ground and TP 5 on the
sync/demod board. If not then check the wiring between the sync/demod and
opto pickup assembly (see interconnect drawing, P/N 04216). If good then the
sync/demod board is bad.
2. Verify that the IR source is operating, Section 12.5.7.5.
3. With the analyzer connected to zero air, measure between TP11 (measure) and
analog ground, and TP12 (reference) and analog ground.
If they are similar to values recorded on the factory data sheet then there is likely
a problem with the wiring or the A/D converter.
If they are not then either the sync demodulator board or the IR-photodetector are
bad. See Section 12.4.1.4 for problems with the IR-photodetector TEC drive.
12.5.7.2. ELECTRICAL TEST
The electric test function substitutes simulated signals for CO MEAS and CO REF,
generated by circuitry on the sync/demod board, for the output of the IR photo-detector.
While in this mode the user can also view the same test functions viewable from the
main SAMPLE display. When the test is running, the concentration reported on the
front panel display should be 40.0 ppm. Also see Section 5.9.4.
06864B DCN6314

Troubleshooting and Service Teledyne API – Model T300/T300M CO Analyzer
282
12.5.7.3. OPTO PICKUP ASSEMBLY
Operation of the opto pickup PCA (P/N 04088) can be verified with a voltmeter.
Measure the AC and DC voltage between digital ground on the relay board, or
touchscreen and TP2 and TP4 on the sync pickup PCA. For a working board, with the
GFC motor spinning, they should read 2.4 ±0.1 VAC and 2.5 ±0.15 VDC.
Further confirmation that the pickups and motor are operating properly can be obtained
by measuring the frequency at TP2 and TP4 using a frequency counter, a digital
voltmeter with a frequency counter, or an oscilloscope, per Table 12-9.
Table 12-9: Opto Pickup Board Nominal Output Frequencies
Nominal Measured Frequency
AC Mains Freq. TP2 TP4
50 Hz 25 300
60 Hz 30 360
12.5.7.4. GFC WHEEL DRIVE
If the D1 and D2 on the sync demodulator board are not flashing then:
1. Check for power to the motor by measuring between pins 1 and 3 on the connector
feeding the motor.
For instruments configured for 120 or 220-240VAC there should be
approximately 88 VAC for instruments configured for 100VAC, it should be the
voltage of the AC mains, approximately 100VAC.
2. Verify that the frequency select jumper, JP4, is properly set on the relay board.
For 50 Hz operation it should be installed.
For 60 Hz operation may either be missing or installed in a vertical orientation.
3. If there is power to the motor and the frequency select jumper is properly set then
the motor is likely bad.
See Section 12.6.2 for instructions on removing and replacing the GFC
assembly that the motor is bolted to.
12.5.7.5. IR SOURCE
The IR source can be checked using the following procedure:
1. Disconnect the source and check its resistance when cold.
When new, the source should have a cold resistance of more than 1.5 Ohms
but less than 3.5 Ohms.
If not, then the source is bad.
2. With the source disconnected, energize the analyzer and wait for it to start
operating.
Measure the drive Voltage between pins 1 and 2 on the jack that the source is
normally connected to; it should be 11.5 ± 0.25 VDC.
If not, then the problem is with the wiring, the relay board, or the +12V power
supply.
3. If the drive voltage is correct in step 2, then remove the source from the heat sink
assembly (2 screws on top) and connect to its mating connector.
Observe the light being emitted from the source.
It should be centered at the bottom of the U-shaped element.
If there is either no emission or a badly centered emission, then the source is
bad.
06864B DCN6314

Teledyne API – Model T300/T300M CO Analyzer Troubleshooting and Service
283
12.5.7.6. PRESSURE/FLOW SENSOR ASSEMBLY
The pressure/flow sensor PCA, located on the top of the absorption bench, can be
checked with a voltmeter using the following procedure which, assumes that the wiring
is intact, and that the motherboard and the power supplies are operating properly:
1. For Pressure related problems:
Measure the voltage across C1 - it should be 5 ± 0.25 VDC.
If not, then the board is bad.
Measure the voltage across TP4 and TP1.
With the sample pump disabled it should be 4500 mV ±250 mV.
With the pump energized it should be approximately 200 mV less.
If the voltage is incorrect, then S1, the pressure transducer is bad, the board is bad, or
there is a pneumatic failure preventing the pressure transducer from sensing the
absorption cell pressure properly.
2. For flow related problems:
Measure the voltage across TP2 and TP1 - it should be 10 ±0.25 VDC.
If not, then the board is bad.
Measure the voltage across TP3 and TP1:
With proper flow (800 sccm at the sample inlet) this should be approximately
4.5V (this voltage will vary with altitude).
With flow stopped (sample inlet blocked) the voltage should be approximately
1V.
If the voltage is incorrect, the flow sensor is bad, the board is bad, or there is a leak
upstream of the sensor.
06864B DCN6314

Troubleshooting and Service Teledyne API – Model T300/T300M CO Analyzer
284
12.5.8. MOTHERBOARD
12.5.8.1. A/D FUNCTIONS
The simplest method to check the operation of the A-to-D converter on the motherboard
is to use the Signal I/O function under the DIAG menu to check the two A/D reference
voltages and input signals that can be easily measured with a voltmeter.
1. Use the Signal I/O function (see Section 12.1.3 and Appendix A) to view the value of
REF_4096_MV and REF_GND.
If both are within 3 mV of nominal (4096 and 0), and are stable, ±0.5 mV then
the basic A/D is functioning properly. If not then the motherboard is bad.
2. Choose a parameter in the Signal I/O function such as SAMPLE_PRESSURE,
SAMPLE_FLOW, CO_MEASURE or CO_REFERENCE.
Compare these voltages at their origin (see interconnect drawing, P/N 04215
and interconnect list, P/N 04216) with the voltage displayed through the signal
I/O function.
If the wiring is intact but there is a large difference between the measured and
displayed voltage (±10 mV) then the motherboard is bad.
See also Sections 5.9.1 and 12.1.3.
12.5.8.2. TEST CHANNEL / ANALOG OUTPUTS VOLTAGE
The ANALOG OUTPUT submenu, located under the SETUP MORE DIAG
menu is used to verify that the T300/T300M Analyzer’s analog outputs are working
properly. The test generates a signal on functioning outputs simultaneously as shown in
the following table. (See also Section 5.9.2).
Table 12-10: Analog Output Test Function - Nominal Values Voltage Outputs
FULL SCALE OUTPUT OF VOLTAGE RANGE
(see Section 5.9.3.1)
100MV 1V 5V 10V
STEP % NOMINAL OUTPUT VOLTAGE
1 0 0 0 0 0
2 20 20 mV 0.2 1 2
3 40 40 mV 0.4 2 4
4 60 60 mV 0.6 3 6
5 80 80 mV 0.8 4 8
6 100 100 mV 1.0 5 10
For each of the steps the output should be within 1% of the nominal value listed in the
table below except for the 0% step, which should be within 0mV ±2 mV. Make sure
you take into account any offset that may have been programmed into channel (see
Section 5.9.3.9).
If one or more of the steps fails to be within these ranges, it is likely that there has been
a failure of either or both of the DACs and their associated circuitry on the motherboard.
To perform the test connect a voltmeter to the output in question and perform an analog
output step test as follows:
06864B DCN6314

Teledyne API – Model T300/T300M CO Analyzer Troubleshooting and Service
285
12.5.8.3. ANALOG OUTPUTS: CURRENT LOOP
To verify that the analog outputs with the optional current mode output are working
properly, connect a 250 ohm resistor across the outputs and use a voltmeter to measure
the output as described in Section 5.9.3.6 and then perform an analog output step test as
described in Section 12.5.8.2.
For each step the output should be within 1% of the nominal value listed in the table
below.
Table 12-11: Analog Output Test Function - Nominal Values Voltage Outputs
OUTPUT RANGE
2 -20 4 -20
NOMINAL OUTPUT VALUES
STEP % CURRENT V(250 OHMS) CURRENT V(250 OHMS)
1 0 2 mA 0.5V 4 1
2 20 5.6 1.4 7.2 1.8
3 40 9.2 2.3 10.4 2.6
4 60 12.8 3.2 13.6 3.4
5 80 16.4 4.1 16.8 4.2
6 100 20 5 20 5
06864B DCN6314

Troubleshooting and Service Teledyne API – Model T300/T300M CO Analyzer
286
12.5.8.4. STATUS OUTPUTS
The procedure below can be used to test the Status outputs:
1. Connect a jumper between the “D“ pin and the “” pin on the status output
connector.
2. Connect a 1000 ohm resistor between the “+” pin and the pin for the status output
that is being tested.
3. Connect a voltmeter between the “” pin and the pin of the output being tested (see
table below).
Under the DIAG SIGNAL I/O menu (see Section 12.1.3), scroll through the inputs
and outputs until you get to the output in question. Alternately turn on and off the
output noting the voltage on the voltmeter, it should vary between 0 volts for ON and 5
volts for OFF.
Table 12-12: Status Outputs Check
PIN (LEFT TO RIGHT) STATUS
1 SYSTEM OK
2 CONC VALID
3 HIGH RANGE
4 ZERO CAL
5 SPAN CAL
6 DIAG MODE
7 SPARE
8 SPARE
12.5.8.5. CONTROL INPUTS – REMOTE ZERO, SPAN
The control input bits can be tested by the following procedure:
1. Jumper the +5 pin on the Status connector to the U on the Control In connector.
2. Connect a second jumper from the _ pin on the Status connector to the A pin on the
Control In connector. The instrument should switch from Sample Mode to ZERO
CAL R mode.
3. Connect a second jumper from the _ pin on the Status connector to the B pin on the
Control In connector. The instrument should switch from Sample Mode to SPAN
CAL R mode.
4. In each case, the T300/T300M should return to Sample Mode when the jumper is
removed.
06864B DCN6314

Teledyne API – Model T300/T300M CO Analyzer Troubleshooting and Service
287
12.5.9. CPU
There are two major types of CPU board failures, a complete failure and a failure
associated with the Disk On Module (DOM). If either of these failures occurs, contact
the factory.
For complete failures, assuming that the power supplies are operating properly and the
wiring is intact, the CPU is faulty if on power-on, the watchdog LED on the
motherboard is not flashing.
In some rare circumstances, this failure may be caused by a bad IC on the motherboard,
specifically U57, the large, 44 pin device on the lower right hand side of the board. If
this is true, removing U57 from its socket will allow the instrument to start up but the
measurements will be invalid.
If the analyzer stops during initialization (the front panel display shows a fault or
warning message), it is likely that the DOM, the firmware or the configuration and data
files have been corrupted.
12.5.10. RS-232 COMMUNICATIONS
12.5.10.1. GENERAL RS-232 TROUBLESHOOTING
Teledyne API analyzers use the RS-232 communications protocol to allow the
instrument to be connected to a variety of computer-based equipment. RS-232 has been
used for many years and as equipment has become more advanced, connections between
various types of hardware have become increasingly difficult. Generally, every
manufacturer observes the signal and timing requirements of the protocol very carefully.
Problems with RS-232 connections usually center around the following general areas:
1. Incorrect cabling and connectors. See Section 3.3 for connector and pin-out
information.
2. The BAUD rate and protocol are incorrectly configured. See Section 6.2.2.
3. If a modem is being used, additional configuration and wiring rules must be
observed. See Section 8.3
4. Incorrect setting of the DTE-DCE Switch. Ensure that switch is set correctly. See
Section 6.1.
5. Verify that cable (P/N 03596) that connects the serial COM ports of the CPU to J12
of the motherboard is properly seated.
06864B DCN6314

Troubleshooting and Service Teledyne API – Model T300/T300M CO Analyzer
288
12.5.10.2. TROUBLESHOOTING ANALYZER/MODEM OR TERMINAL OPERATION
These are the general steps for troubleshooting problems with a modem connected to a
Teledyne API analyzer.
1. Check cables for proper connection to the modem, terminal or computer.
2. Check to make sure the DTE-DCE is in the correct position as described in Section
6.1.
3. Check to make sure the set up command is correct. See Section 8.3.
4. Verify that the Ready to Send (RTS) signal is at logic high. The T300/T300M sets
pin 7 (RTS) to greater than 3 volts to enable modem transmission.
5. Make sure the BAUD rate, word length, and stop bit settings between modem and
analyzer match. See Section 8.3.
6. Use the RS-232 test function to send “w” characters to the modem, terminal or
computer. See Section 8.3.
7. Get your terminal, modem or computer to transmit data to the analyzer (holding
down the space bar is one way); the green LED should flicker as the instrument is
receiving data.
8. Make sure that the communications software or terminal emulation software is
functioning properly.
Further help with serial communications is available in a separate manual “RS-232
Programming Notes” Teledyne API P/N 013500000.
12.5.11. THE OPTIONAL CO2 SENSOR
There are Two LEDs located on the CO2 sensor PCA.
Figure 12-13: Location of Diagnostic LEDs onCO2 Sensor PCA
Normal Operation: V8 is not lit – V9 is Blinking
Error State: Both LEDs are blinking.
Check to make sure that the cable to the CO2 probe is properly connected.
06864B DCN6314

Teledyne API – Model T300/T300M CO Analyzer Troubleshooting and Service
289
12.6. REPAIR PROCEDURES
This contains procedures that might need to be performed on rare occasions when a
major component of the analyzer requires repair or replacement.
12.6.1. REPAIRING SAMPLE FLOW CONTROL ASSEMBLY
The critical flow orifice is housed in the flow control assembly (Teledyne API P/N
001760400) located on the top of the optical bench. A sintered filter protects the jewel
orifice so it is unusual for the orifice to need replacing, but if it does, or the filter needs
replacement please use the following procedure (see the Spare Parts list in Appendix B
for part numbers and kits):
1. Turn off power to the analyzer.
2. Locate the assembly attached to the sample pump. See Figure 3-6.
3. Disconnect the pneumatic connection from the flow assembly and the assembly
from the pump.
4. Remove the fitting and the components as shown in the exploded view below.
5. Replace the o-rings (P/N OR0000001) and the sintered filter (P/N FL0000001).
6. If replacing the critical flow orifice itself (P/N 000941000), make sure that the side
with the colored window (usually red) is facing upstream to the flow gas flow.
7. Apply new Teflon® tape to the male connector threads.
8. Re-assemble in reverse order.
9. After reconnecting the power and pneumatic lines, flow check the instrument as
described in Section 11.3.4.
Pneumatic Connector, Male 1/8”
(
P/N FT
_
70
Spring
(
P/N HW
_
20
)
Sintered Filter
(
P/N FL
_
01
)
Critical Flow Orifice
(P/N 00094100)
Make sure it is placed with the
jewel down)
O-Ring
(
P/N OR
_
01
)
Purge Housing
(
P/N 000850000
)
Figure 12-14: Critical Flow Restrictor Assembly/Disassembly
06864B DCN6314

Troubleshooting and Service Teledyne API – Model T300/T300M CO Analyzer
290
12.6.2. REMOVING/REPLACING THE GFC WHEEL
When removing or replacing the GFC Wheel it is important to perform the disassembly
in the following order to avoid damaging the components:
1. Turn off the analyzer.
2. Remove the top cover.
3. Open the instrument’s hinged front panel.
4. Locate the GFC Wheel/motor assembly. See Figure 3-6.
5. Unplug the following electronic components:
The GFC Wheel housing temperature sensor
GFC Wheel heater
GFC Wheel motor power supply
SAFETY SHIELD
SYNCHRONOUS MOTOR
SOURCE ASSEMBLY
THERMISTOR
HEATER
Figure 12-15: Opening the GFC Wheel Housing
6. Remove the two (2) screws holding the opto-pickup printed circuit assembly to the
GFC Wheel housing.
06864B DCN6314

Teledyne API – Model T300/T300M CO Analyzer Troubleshooting and Service
291
7. Carefully remove the opto-pickup printed circuit assembly.
Opto-Pickup
Figure 12-16: Removing the Opto-Pickup Assembly
8. Remove the three (3) screws holding the GFC Wheel motor/heat sink assembly to
the GFC Wheel housing.
9. Carefully remove the GFC Wheel motor/heat sink assembly from the GFC Wheel
housing.
GFC WHEEL HOUSING
Figure 12-17: Removing the GFC Wheel Housing
06864B DCN6314

Troubleshooting and Service Teledyne API – Model T300/T300M CO Analyzer
292
10. Remove the one (1) screw fastening the GFC Wheel/mask assembly to the GFC
motor hub.
11
12
Figure 12-18: Removing the GFC Wheel
11. Remove the GFC Wheel/mask assembly.
12. Follow the previous steps in reverse order to put the GFC Wheel/motor assembly
back together.
12.6.3. CHECKING AND ADJUSTING THE SYNC/DEMODULATOR, CIRCUIT
GAIN (CO MEAS)
12.6.3.1. CHECKING THE SYNC/DEMODULATOR CIRCUIT GAIN
The T300/T300M Analyzers will operate accurately as long as the sync/demodulator
circuit gain is properly adjusted. To determine if this gain factor is correct:
1. Make sure that the analyzer is turned on and warmed up.
2. Set the analyzer display to show the STABIL or CO STB test function.
3. Apply Zero Air to Sample Inlet of the analyzer.
4. Wait until the stability reading falls below 1.0 ppm.
5. Change the analyzer display to show the CO MEAS
The value of CO MEAS must be > 2800 mV and < 4800 mV for the instrument
to operate correctly.
Optimal value for CO MEAS is 4500 mV ± 300 mV. If it is not, adjust the value.
06864B DCN6314

Teledyne API – Model T300/T300M CO Analyzer Troubleshooting and Service
293
12.6.3.2. ADJUSTING THE SYNC/DEMODULATOR, CIRCUIT GAIN
To adjust the sync/demodulator circuit gain:
1. Make sure that the analyzer is turned on and warmed up.
2. Set the analyzer display to show the STABIL or CO STB test function.
3. Apply Zero Air to Sample Inlet of the analyzer.
4. Wait until the stability reading falls below 1.0 ppm.
5. Change the analyzer display to show the CO MEAS.
6. Remove the Sync/Demod Housing
Remove the two mounting screws.
Carefully lift the housing to reveal the sync/demod PCA.
Sync/Demod
PCA Housing
Housing Mounting
Screws
Optical Bench
Figure 12-19: Location of Sync/Demod Housing Mounting Screws
7. Adjust potentiometer VR1 until CO MEAS reads 4500 mV ± 300 mV
V
R1
Adjustment Made Here
Figure 12-20: Location of Sync/Demod Gain Potentiometer
06864B DCN6314

Troubleshooting and Service Teledyne API – Model T300/T300M CO Analyzer
294
12.6.4. DISK-ON-MODULE REPLACEMENT
ATTENTION COULD DAMAGE INSTRUMENT AND VOID WARRANTY
Servicing of circuit components requires electrostatic discharge
protection, i.e. ESD grounding straps, mats and containers. Failure to use
ESD protection when working with electronic assemblies will void the
instrument warranty. Refer to Section 13 for more information on
preventing ESD damage.
Replacing the Disk-on-Module (DOM) will cause loss of all DAS data; it may also
cause loss of some instrument configuration parameters unless the replacement DOM
carries the exact same firmware version. Whenever changing the version of installed
software, the memory must be reset. Failure to ensure that memory is reset can cause the
analyzer to malfunction, and invalidate measurements. After the memory is reset, the
A/D converter must be re-calibrated, and all information collected in Step 1 below must
be re-entered before the instrument will function correctly. Also, zero and span
calibration should be performed.
1. Document all analyzer parameters that may have been changed, such as range,
auto-cal, analog output, serial port and other settings before replacing the DOM
2. Turn off power to the instrument, fold down the rear panel by loosening the
mounting screws.
3. When looking at the electronic circuits from the back of the analyzer, locate the
Disk-on-Module in the right-most socket of the CPU board.
4. The DOM should carry a label with firmware revision, date and initials of the
programmer.
5. Remove the nylon standoff clip that mounts the DOM over the CPU board, and lift
the DOM off the CPU. Do not bend the connector pins.
6. Install the new Disk-on-Module, making sure the notch at the end of the chip
matches the notch in the socket.
7. It may be necessary to straighten the pins somewhat to fit them into the socket.
Press the chip all the way in.
8. Close the rear panel and turn on power to the machine.
9. If the replacement DOM carries a firmware revision, re-enter all of the setup
information.
06864B DCN6314

Teledyne API – Model T300/T300M CO Analyzer Troubleshooting and Service
295
12.7. FREQUENTLY ASKED QUESTIONS
The following is a list from the Teledyne API’s Customer Service Department of the
most commonly asked questions relating to the T300/T300M CO Analyzer.
QUESTION ANSWER
Why does the ENTR button
sometimes disappear on the Front
Panel Display?
During certain types of adjustments or configuration operations, the
ENTR button will disappear if you select a setting that is out of the
allowable range for that parameter (such as trying to set the 24-hour
clock to 25:00:00, or selecting a DAS hold off period of more than 20
minutes).
Once you adjust the setting in question to an allowable value, the ENTR
button will re-appear.
Why is the ZERO or SPAN button
not displayed during calibration?
The T300/T300M disables these buttons when the expected span or
zero value entered by the users is too different from the gas
concentration actually measured value at the time. This is to prevent
the accidental recalibration of the analyzer to an out-of-range response
curve.
EXAMPLE: The span set point is 40 ppm but gas concentration being
measured is only 5 ppm.
For more information, see Sections 12.3.3 and 12.3.4.
How do I enter or change the value
of my Span Gas?
Press the CONC button found under the CAL or CALS buttons of the
main SAMPLE display menus to enter the expected CO span
concentration.
See Section 0 for more information.
Why does the analyzer not
respond to span gas?
There could be something wrong with a span gas tank, or a span gas
concentration was entered incorrectly, or there could be a pneumatic
leak. Section 12.3.3 addresses these issues.
Is there an optional midpoint
calibration?
There is an optional mid-point linearity adjustment; however, midpoint
adjustment is applicable only to applications where CO measurements
are expected above 100 ppm.
Call Teledyne API’s Customer Service Department for more information
on this topic.
What do I do if the concentration
on the instrument's front panel
display does not match the value
recorded or displayed on my data
logger even if both instruments are
properly calibrated?
This most commonly occurs for one of the following reasons:
a difference in circuit ground between the analyzer and the data
logger or a wiring problem
a scale problem with the input to the data logger
(The analog outputs of the T300/T300M can be manually adjusted
to compensate for either or both of these effects, see Section
5.9.3.9).
the analog outputs are not calibrated, which can happen after a
firmware upgrade
(Both the electronic scale and offset of the analog outputs can be
adjusted; see Section 5.9.3.2. Alternately, use the data logger itself
as the metering device during calibration procedures.
06864B DCN6314

Troubleshooting and Service Teledyne API – Model T300/T300M CO Analyzer
296
QUESTION ANSWER
How do I perform a leak check? Section 11.3.3 provides leak check instructions.
How do I measure the sample
flow?
Sample flow is measured by attaching a calibrated rotameter, wet test
meter, or other flow-measuring device to the sample inlet port when the
instrument is operating. The sample flow should be 800 cm3/min 10%.
See Section 11.3.4.
How long does the IR source last? Typical lifetime is about 2-3 years.
Can I automate the calibration of
my analyzer?
Any analyzer with zero/span valve or IZS option can be automatically
calibrated using the instrument’s AutoCal feature. The setup of this
option is located in Section 9.4.
Can I use the IZS option to
calibrate the analyzer?
Yes. However, whereas this may be acceptable for basic calibration
checks, the IZS option is not permitted as a calibration source in
applications following US EPA protocols.
To achieve highest accuracy, it is recommended to use cylinders of
calibrated span gases in combination with a zero air source.
Q: What is the averaging time for
an T300/T300M?
A: The default averaging time, optimized for ambient pollution
monitoring, is 150 seconds for stable concentrations and 10 seconds for
rapidly changing concentrations (see Section 13.5.1 for more
information).
However, it is adjustable over a range of 0.5 second to 200 seconds
(please contact Customer Service for more information).
12.8. TECHNICAL ASSISTANCE
If this manual and its troubleshooting / repair sections do not solve your problems,
technical assistance may be obtained from:
Teledyne API, Customer Service,
9480 Carroll Park Drive
San Diego, California 92121-5201USA
Toll-free Phone: 800-324-5190
Phone: 858-657-9800
Fax: 858-657-9816
Email: api-customerservice@teledyne.com
Website: http://www.teledyne-api.com/
Before you contact Teledyne API Customer service, fill out the problem report form in
Appendix C, which is also available online for electronic submission at
http://www.teledyne-api.com/forms/.
06864B DCN6314

297
13. THEORY OF OPERATION
The T300/T300M Gas Filter Correlation Carbon monoxide Analyzer is a
microprocessor-controlled analyzer that determines the concentration of carbon
monoxide (CO) in a sample gas drawn through the instrument. It requires that the
sample and calibration gases be supplied at ambient atmospheric pressure in order to
establish a stable gas flow through the sample chamber where the gases ability to absorb
infrared radiation is measured.
Calibration of the instrument is performed in software and does not require physical
adjustments to the instrument. During calibration, the microprocessor measures the
current state of the IR Sensor output and various other physical parameters of the
instrument and stores them in memory.
The microprocessor uses these calibration values, the IR absorption measurements made
on the sample gas along with data regarding the current temperature and pressure of the
gas to calculate a final CO concentration.
This concentration value and the original information from which it was calculated are
stored in one of the unit’s internal data acquisition system (DAS - See Sections 7) as
well as reported to the user via front panel display display or a variety of digital and
analog signal outputs.
13.1. MEASUREMENT METHOD
This section presents measurement principles and fundamentals for this instrument.
13.1.1. BEER’S LAW
The basic principle by which the analyzer works is called the Beer-Lambert Law or
Beer’s Law. It defines how light of a specific wavelength is absorbed by a particular gas
molecule over a certain distance. The mathematical relationship between these three
parameters is:
I = Io e-αLc
Equation 13-1
Where:
Io is the intensity of the light if there was no absorption.
06864B DCN6314

Theory of Operation Teledyne API – Model T300/T300M CO Analyzer
298
I is the intensity with absorption.
L is the absorption path, or the distance the light travels as it is being absorbed.
C is the concentration of the absorbing gas; in the case of the T300/T300M, Carbon
Monoxide (CO).
α is the absorption coefficient that tells how well CO absorbs light at the specific
wavelength of interest.
13.2. MEASUREMENT FUNDAMENTALS
In the most basic terms, the T300/T300M uses a high-energy heated element to generate
a beam of broad-band IR light with a known intensity (measured during instrument
calibration). This beam is directed through multi-pass cell filled with sample gas. The
sample cell uses mirrors at each end to reflect the IR beam back and forth through the
sample gas a number of times (see Figure 13-1).
The total length that the reflected light travels is directly related to the intended
sensitivity of the instrument. The lower the concentrations the instrument is designed to
detect, the longer the light path must be in order to create detectable levels of
attenuation.
Lengthening the absorption path is accomplished partly by making the physical
dimension of the reaction cell longer, but primarily by adding extra passes back and
forth along the length of the chamber.
Table 13-1: Absorption Path Lengths for T300 and T300M
MODEL TOTAL NUMBER OF
REFLECTIVE PASSES DISTANCE BETWEEN MIRRORS
TOTAL
ABSORPTION LIGHT
PATH
T300 32 437.5 mm 14 Meters
T300M 8 312.5 mm 2.5 Meters
06864B DCN6314

Teledyne API – Model T300/T300M CO Analyzer Theory of Operation
299
IR
Source
IR Beam
Sample Chamber
Band-Pass Filter
Photo-Detector
Figure 13-1: Measurement Fundamentals
Upon exiting the sample cell, the beam shines through a band-pass filter that allows only
light at a wavelength of 4.7 µm to pass. Finally, the beam strikes a solid-state photo-
detector that converts the light signal into a modulated voltage signal representing the
attenuated intensity of the beam.
13.2.1. GAS FILTER CORRELATION
Unfortunately, water vapor absorbs light at 4.7 µm too. To overcome the interfering
effects of water vapor the T300/T300M adds another component to the IR light path
called a Gas Filter Correlation (GFC) Wheel.
Measurement Cell
(Pure N2)
Reference Cell
(N2 with CO)
Figure 13-2: GFC Wheel
13.2.1.1. THE GFC WHEEL
A GFC Wheel is a metallic wheel into which two chambers are carved. The chambers
are sealed on both sides with material transparent to 4.7 µm IR radiation creating two
airtight cavities. Each cavity is mainly filled with composed gases. One cell is filled
with pure N2 (the measurement cell). The other is filled with a combination of N2 and a
high concentration of CO (the reference cell).
06864B DCN6314

Theory of Operation Teledyne API – Model T300/T300M CO Analyzer
300
IR
Source Photo-Detector
M
R
GFC Wheel
IR unaffected by N
2
in Measurement Cell
IR is affected by CO in Reference Cell
Δ H
Figure 13-3: Measurement Fundamentals with GFC Wheel
As the GFC Wheel spins, the IR light alternately passes through the two cavities. When
the beam is exposed to the reference cell, the CO in the gas filter wheel strips the beam
of most of the IR at 4.7μm. When the light beam is exposed to the measurement cell,
the N2 in the filter wheel does not absorb IR light. This causes a fluctuation in the
intensity of the IR light striking the photo-detector which results in the output of the
detector resembling a square wave.
13.2.1.2. THE MEASURE REFERENCE RATIO
The T300/T300M determines the amount of CO in the sample chamber by computing
the ratio between the peak of the measurement pulse (CO MEAS) and the peak of the
reference pulse (CO REF).
If no gases exist in the sample chamber that absorb light at 4.7μm, the high
concentration of CO in the gas mixture of the reference cell will attenuate the intensity
of the IR beam by 60% giving a M/R ratio of approximately 2.4:1.
Adding CO to the sample chamber causes the peaks corresponding to both cells to be
attenuated by a further percentage. Since the intensity of the light passing through the
measurement cell is greater, the effect of this additional attenuation is greater. This
causes CO MEAS to be more sensitive to the presence of CO in the sample chamber
than CO REF and the ratio between them (M/R) to move closer to 1:1 as the
concentration of CO in the sample chamber increases.
06864B DCN6314

Teledyne API – Model T300/T300M CO Analyzer Theory of Operation
301
IR unaffected by N2 in Measurement Cell of
the GDC Wheel and no additional CO in the
Sample Chamber
IR affected by CO in Reference Cell
with no interfering gas in the
Sample Chamber
IR shinning through Measurement Cell of
the GDC Wheel is reduced by additional CO
in the Sample Chamber
IR shining through Reference Cell is
also reduced by additional CO in the
Sample Chamber, but to a lesser extent
M/R
is reduced
CO REF
CO MEAS
Figure 13-4: Affect of CO in the Sample on CO MEAS & CO REF
Once the T300/T300M has computed this ratio, a look-up table is used, with
interpolation, to linearize the response of the instrument. This linearized concentration
value is combined with calibration SLOPE and OFFSET values to produce the CO
concentration which is then normalized for changes in sample pressure.
06864B DCN6314

Theory of Operation Teledyne API – Model T300/T300M CO Analyzer
302
INTERFERENCE AND SIGNAL TO NOISE REJECTION
If an interfering gas, such as H2O vapor is introduced into the sample chamber, the
spectrum of the IR beam is changed in a way that is identical for both the reference and
the measurement cells, but without changing the ratio between the peak heights of CO
MEAS and CO REF. In effect, the difference between the peak heights remains the
same.
IR shining through both cells is
affected equally by interfering
gas in the Sample Chamber
M/R
is Shifted
Figure 13-5: Effects of Interfering Gas on CO MEAS & CO REF
Thus, the difference in the peak heights and the resulting M/R ratio is only due to CO
and not to interfering gases. In this case, GFC rejects the effects of interfering gases and
so that the analyzer responds only to the presence of CO.
To improve the signal-to-noise performance of the IR photo-detector, the GFC Wheel
also incorporates an optical mask that chops the IR beam into alternating pulses of light
and dark at six times the frequency of the measure/reference signal. This limits the
detection bandwidth helping to reject interfering signals from outside this bandwidth
improving the signal to noise ratio.
The IR Signal as the Photo-
Detector sees it after being
chopped by the GFC Wheel
S
CO REF
CO MEAS
Figure 13-6: Chopped IR Signal
06864B DCN6314

Teledyne API – Model T300/T300M CO Analyzer Theory of Operation
303
13.2.1.3. SUMMARY INTERFERENCE REJECTION
The basic design of the T300/T300M rejects most of this interference at a 300:1 ratio.
The two primary methods used to accomplish this are:
The 4.7μm band pass filter just before the IR sensor which allows the instrument to
only react to IR absorption in the wavelength affected by CO.
Comparison of the measure and reference signals and extraction of the ratio
between them.
Pneumatic Operation
CAUTION – GENERAL SAFETY HAZARD
It is important that the sample airflow system is both leak tight and not pressurized
over ambient pressure.
Regular leak checks should be performed on the analyzer as described in the
maintenance schedule, Table 11-1.
Procedures for correctly performing leak checks can be found in Section 11.3.3.
An internal pump evacuates the sample chamber creating a small vacuum that draws
sample gas into the analyzer. Normally the analyzer is operated with its inlet near
ambient pressure either because the sample is directly drawn at the inlet or a small vent
is installed at the inlet. There are several advantages to this “pull through”
configuration.
06864B DCN6314

Theory of Operation Teledyne API – Model T300/T300M CO Analyzer
304
By placing the pump down stream from the sample chamber several problems are
avoided.
First the pumping process heats and compresses the sample air complicating the
measurement process.
Additionally, certain physical parts of the pump itself are made of materials that
might chemically react with the sample gas.
Finally, in certain applications where the concentration of the target gas might be
high enough to be hazardous, maintaining a negative gas pressure relative to
ambient means that should a minor leak occur, no sample gas will be pumped into
the atmosphere surrounding analyzer.
Figure 13-7: Internal Pneumatic Flow – Basic Configuration
13.3. FLOW RATE CONTROL
To maintain a constant flow rate of the sample gas through the instrument, the
T300/T300M uses a special flow control assembly located in the exhaust gas line just
before the pump. In instruments with the O2 sensor installed, a second flow control
assembly is located between the O2 sensor assembly and the pump. These assemblies
consist of:
A critical flow orifice.
Two o-rings: Located just before and after the critical flow orifice, the o-rings seal the
gap between the walls of assembly housing and the critical flow orifice.
A spring: Applies mechanical force needed to form the seal between the o-rings, the
critical flow orifice and the assembly housing.
06864B DCN6314

Teledyne API – Model T300/T300M CO Analyzer Theory of Operation
305
13.3.1.1. CRITICAL FLOW ORIFICE
The most important component of this flow control assembly is the critical flow orifice.
Critical flow orifices are a remarkably simple way to regulate stable gas flow rates.
They operate without moving parts by taking advantage of the laws of fluid dynamics.
By restricting the flow of gas though the orifice, a pressure differential is created. This
pressure differential combined with the action of the analyzer’s pump draws the gas
through the orifice.
As the pressure on the downstream side of the orifice (the pump side) continues to drop,
the speed that the gas flows through the orifice continues to rise. Once the ratio of
upstream pressure to downstream pressure is greater than 2:1, the velocity of the gas
through the orifice reaches the speed of sound. As long as that ratio stays at least 2:1,
the gas flow rate is unaffected by any fluctuations, surges, or changes in downstream
pressure because such variations only travel at the speed of sound themselves and are
therefore cancelled out by the sonic shockwave at the downstream exit of the critical
flow orifice.
SPRING O-RINGS
FILTER
CRITICAL
FLOW
ORIFICE
A
REA OF
LOW
PRESSURE
AREA OF
HIGH
PRESSURE
Sonic
Shockwave
Figure 13-8: Flow Control Assembly & Critical Flow Orifice
The actual flow rate of gas through the orifice (volume of gas per unit of time), depends
on the size and shape of the aperture in the orifice. The larger the hole, the more the gas
molecules move at the speed of sound and pass through the orifice. Because the flow
rate of gas through the orifice is only related to the minimum 2:1 pressure differential
and not absolute pressure, the flow rate of the gas is also unaffected by degradations in
pump efficiency due to age.
The critical flow orifice used in the T300/T300M is designed to provide a flow rate of
800 cc/min.
06864B DCN6314

Theory of Operation Teledyne API – Model T300/T300M CO Analyzer
306
13.3.2. PARTICULATE FILTER
The T300/T300M Analyzer comes equipped with a 47 mm diameter, Teflon, particulate
filter with a 5 micron pore size. The filter is accessible through the front panel, which
folds down to allow access, and should be changed according to the suggested
maintenance schedule described in Table 11-1.
13.3.3. PNEUMATIC SENSORS
There are two pneumatic sensors: one each to measure sample pressure and flow.
13.3.3.1. SAMPLE PRESSURE SENSOR
An absolute value pressure transducer plumbed to the outlet of the sample chamber is
used to measure sample pressure. The output of the sensor is used to compensate the
concentration measurement for changes in air pressure. This sensor is mounted to a
printed circuit board with the Sample Flow Sensor on the sample chamber (see Section
13.3.3.2 and Figure 3-4).
13.3.3.2. SAMPLE FLOW SENSOR
A thermal-mass flow sensor is used to measure the sample flow through the analyzer.
The sensor is calibrated at the factory with ambient air or N2, but can be calibrated to
operate with samples consisting of other gases such as CO. This sensor is mounted to a
printed circuit board with the Sample Pressure Sensor on the sample chamber (see
Section 13.3.3.1 and Figure 3-4).
13.4. ELECTRONIC OPERATION
Figure 13-9 shows a block diagram of the major electronic components of the analyzer.
The core of the analyzer is a microcomputer/central processing unit (CPU) that controls
various internal processes, interprets data, makes calculations, and reports results using
specialized firmware developed by Teledyne API. It communicates with the user as
well as receives data from and issues commands to a variety of peripheral devices via a
separate printed circuit assembly called the motherboard.
The motherboard is directly mounted to the inside rear panel and collects data, performs
signal conditioning duties and routes incoming and outgoing signals between the CPU
and the analyzer’s other major components.
Data are generated by a gas-filter-correlation optical bench which outputs an analog
signal corresponding to the concentration of CO in the sample gas. This analog signal is
transformed into two, pre-amplified, DC voltages (CO MEAS and CO REF) by a
synchronous demodulator printed circuit assembly. CO MEAS and CO REF are
converted into digital data by a unipolar, analog-to-digital converter, located on the
motherboard.
A variety of sensors report the physical and operational status of the analyzer’s major
components, again through the signal processing capabilities of the motherboard. These
status reports are used as data for the CO concentration calculation and as trigger events
for certain control commands issued by the CPU. This information is stored in memory
by the CPU and in most cases can be viewed but the user via the front panel display.
06864B DCN6314

Teledyne API – Model T300/T300M CO Analyzer Theory of Operation
307
The CPU issues commands via a series of relays and switches (also over the I2C bus)
located on a separate printed circuit assembly to control the function of key
electromechanical devices such as heaters, motors and valves.
The CPU communicates with the user and the outside world in several ways:
Through the analyzer’s front panel LCD touch-screen interface
RS-232 and RS-485 serial I/O channels
Various analog voltage and current outputs
Several digital I/O channels
Ethernet
06864B DCN6314

Theory of Operation Teledyne API – Model T300/T300M CO Analyzer
308
Analog Outputs
Sample Flow
& Pressure
Sensors
Status Outputs:
1 – 6
Control Inputs:
1 – 8
Power- Up
Circuit
Internal
Digital I/O
I2C
Bus
Sensor Inputs
Box
Temp
Thermistor
Interface
SAMPLE
TEMP
BENCH
TEMP
WHEEL
TEMP
A1
A2
A3
Optional
4- 20 mA
MOTHER
BOARD
A/D
Converter(
V/F)
PC 104 Bus
External
Digital I/O)
Analog
Outputs
(D/A)
TEC Control
PHT
Drive
Detector
Output
Segment Sensor
M / R Sensor
GFC
Wheel
GFC
Motor
Zero/Span
Valve
Options
Wheel
Heater
Bench Heater
Optical
Bench
RELAY
BOARD
IR
Source
Photo -
detector
SYNC
DEMOD
C
O
M
E
A
S
C
O
R
E
F
CPU Status
LED
Schmidt
Trigger
PUMP
A4
Optional
O2 Sensor
Optional
CO
2
Sensor
O2 SENSOR
TEMP
(optional)
COM2
Female
RS232
Male
ANALOG
IN Ethernet
USB COM
port
Touchscreen
PC 104
CPU Card
Disk On
Module
Flash Chip
Display
(
I
2
C Bus
)
LVDS
transmitter
board
Figure 13-9: Electronic Block Diagram
06864B DCN6314

Teledyne API – Model T300/T300M CO Analyzer Theory of Operation
309
13.4.1. CPU
The unit’s CPU card is installed on the motherboard located inside the rear panel. It is a
low power (5 VDC, 720mA max), high performance, Vortex 86SX-based
microcomputer running Windows CE. Its operation and assembly conform to the
PC/104 specification.
Figure 13-10. CPU Board
The CPU includes two types of non-volatile data storage: a Disk-On-Module (DOM)
and an embedded flash chip.
13.4.1.1. DISK-ON-MODULE (DOM)
The DOM is a 44-pin IDE flash drive with a storage capacity up to 128 MB. It is used to
store the computer’s operating system, the Teledyne API firmware, and most of the
operational data generated by the analyzer’s internal data acquisition system (DAS).
13.4.1.2. FLASH CHIP
This non-volatile, embedded flash chip includes 2MB of storage for calibration data as
well as a backup of the analyzer configuration. Storing these key data on a less heavily
accessed chip significantly decreases the chance of data corruption.
06864B DCN6314

Theory of Operation Teledyne API – Model T300/T300M CO Analyzer
310
In the unlikely event that the flash chip should fail, the analyzer will continue to operate
with just the DOM. However, all configuration information will be lost, requiring that
the unit be recalibrated.
13.4.2. OPTICAL BENCH & GFC WHEEL
Electronically, in the case of the optical bench for the T300 Analyzer, GFC Wheel and
associated components do more than simply measure the amount of CO present in the
sample chamber. A variety of other critical functions are performed here as well.
13.4.2.1. TEMPERATURE CONTROL
Because the temperature of a gas affects its density resulting in the amount of light
absorbed by that gas, it is important to reduce the effect of fluctuations in ambient
temperature on the T300’s measurement of CO for the T300 Analyzer. To accomplish
this both the temperature of the sample chamber and the GFC Wheel are maintained at
constant temperatures above their normal operating ranges.
BENCH TEMPERATURE
To minimize the effects of ambient temperature variations on the sample measurement,
the sample chamber is heated to 48C (8 degrees above the maximum suggested ambient
operating temperature for the analyzer). A strip heater attached to the underside of the
chamber housing is the heat source. The temperature of the sample chamber is sensed
by a thermistor, also attached to the sample chamber housing.
WHEEL TEMPERATURE
To minimize the effects of temperature variations caused by the near proximity of the IR
Source to the GFC Wheel on the gases contained in the wheel, it is also raised to a high
temperature level. Because the IR Source itself is very hot, the set point for this heat
circuit is 68C. A cartridge heater implanted into the heat sync on the motor is the heat
source. The temperature of the wheel/motor assembly is sensed by a thermistor also
inserted into the heat sync.
Both heaters operate off of the AC line voltage supplied to the instrument.
13.4.2.2. IR SOURCE
The light used to detect CO in the sample chamber is generated by an element heated to
approximately 1100oC producing infrared radiation across a broad band. This radiation
is optically filtered after it has passed through the GFC Wheel and the sample chamber
and just before it reaches the photo-detector to eliminate all black body radiation and
other extraneous IR emitted by the various components of those components.
13.4.2.3. GFC WHEEL
A synchronous AC motor turns the GFC Wheel motor. For analyzers operating on 60Hz
line power this motor turns at 1800 rpm. For those operating on 50Hz line power the
spin rate is 1500 rpm. The actual spin rate is unimportant within a large range since a
phase lock loop circuit is used to generate timing pulses for signal processing.
In order to accurately interpret the fluctuations of the IR beam after it has passed
through the sample gas, the GFC Wheel several other timing signals are produced by
06864B DCN6314

Teledyne API – Model T300/T300M CO Analyzer Theory of Operation
311
other photo emitters/detectors. These devices consist of a combination LED and
detector mounted so that the light emitted by the LED shines through the same mask on
the GFC Wheel that chops the IR beam.
IR Detection Ring
Segment Sensor Ring
M/R Sensor Ring
KEY:
Detection Beam shining
through MEASUREMENT
side of GFC Wheel
Detection Beam shining
through REFERENCE side
of GFC Wheel
Figure 13-11: GFC Light Mask
M/R SENSOR
This emitter/detector assembly produces a signal that shines through a portion of the
mask that allows light to pass for half of a full revolution of the wheel. The resulting
light signal tells the analyzer whether the IR beam is shining through the measurement
or the reference side of the GFC Wheel.
SEGMENT SENSOR
Light from this emitter/detector pair shines through a portion of the mask that is divided
into the same number of segments as the IR detector ring. It is used by the
synchronous/demodulation circuitry of the analyzer to latch onto the most stable part of
each measurement and reference IR pulse.
06864B DCN6314

Theory of Operation Teledyne API – Model T300/T300M CO Analyzer
312
Reference
Pulses
Measurement
Pulses
IR Beam
Pulses
Segment Sensor
Pulses
MR Sensor
Pulses
Figure 13-12: Segment Sensor and M/R Sensor Output
SCHMIDT TRIGGERS
To ensure that the waveforms produced by the Segment Sensor and the M/R Sensor are
properly shaped and clean, these signals are passed through a set of Schmidt Triggers
circuits.
13.4.2.4. IR PHOTO-DETECTOR
The IR beam is converted into an electrical signal by a cooled solid-state
photo-conductive detector. The detector is composed of a narrow-band optical filter, a
piece of lead-salt crystal whose electrical resistance changes with temperature, and a
two-stage thermo-electric cooler.
When the analyzer is on, a constant electrical current is directed through the detector.
The IR beam is focused onto the detector surface, raising its temperature and lowering
its electrical resistance that results in a change in the voltage drop across the detector.
During those times that the IR beam is bright, the temperature of the detector is high; the
resistance of the detector is correspondingly low and its output voltage output is low.
During those times when the IR beam intensity is low or completely blocked by the
GFC Wheel mask, the temperature of the detector is lowered by the two-stage thermo-
electric cooler, increasing the detector’s resistance and raising the output voltage.
13.4.3. SYNCHRONOUS DEMODULATOR (SYNC/DEMOD) ASSEMBLY
While the photo-detector converts fluctuations of the IR beam into electronic signals, the
Sync/Demod Board amplifies these signals and converts them into usable information.
Initially the output by the photo-detector is a complex and continuously changing
waveform made up of Measure and Reference pulses. The sync/demod board
demodulates this waveform and outputs two analog DC voltage signals, corresponding
to the peak values of these pulses. CO MEAS and CO REF are converted into digital
signals by circuitry on the motherboard then used by the CPU to calculate the CO
concentration of the sample gas.
Additionally the synch/demod board contains circuitry that controls the photo-detector’s
thermoelectric cooler as well as circuitry for performing certain diagnostic tests on the
analyzer.
06864B DCN6314

Teledyne API – Model T300/T300M CO Analyzer Theory of Operation
313
Thermo-Electric
Cooler
Control Circuit
Sample &
Hold
Circuits
(x4) Amplifiers
Dark
Switch
Photo-
detector
Pre Amp
Phase
Lock
Loop
E-Test
Generator
Compact
Programmable
Logic Device
M/R Sensor
Segment
Sensor
E Test Control
Dark Switch
Control
X10 Clock
Phase Lock
E Test A Gate
Dark Test Gate
X1 Reference
Segment
Status LED
Phase Lock Warning
M/R
Status LED
Segment Clock
E Test B Gate
Measure Gate
Measure Dark Gate
Reference Gate
Reference Dark Gate
CO MEAS
CO Reference
56V
Bias
Variable
Gain Amp
From GFC
Wheel
From CPU
via Mother
Board
Signal
Conditioner
Signal
Conditioner
10
x10
TEC Control
PHT DRIVE
Figure 13-13: T300/T300M Sync/Demod Block Diagram
13.4.3.1. SIGNAL SYNCHRONIZATION AND DEMODULATION
The signal emitted by the IR photo-detector goes through several stages of amplification
before it can be accurately demodulated. The first is a pre-amplification stage that raises
the signal to levels readable by the rest of the sync/demod board circuitry. The second is
a variable amplification stage that is adjusted at the factory to compensate for
performance variations of mirrors, detectors, and other components of the optical bench
from instrument to instrument.
The workhorses of the sync/demod board are the four sample-and-hold circuits that
capture various voltage levels found in the amplified detector signal needed to determine
the value of CO MEAS and CO REF. They are activated by logic signals under the
control of a compact Programmable Logic Device (PLD), which in turn responds to the
output of the Segment Sensor and M/R Sensor as shown in Figure 13-9.
06864B DCN6314

Theory of Operation Teledyne API – Model T300/T300M CO Analyzer
314
The four sample and hold circuits are designated as follows:
Table 13-2: Sync DEMOD Sample and Hold Circuits
Active When:
Designation IR BEAM PASSING THROUGH Segment Sensor Pulse is:
Measure Gate MEASUREMENT cell of GFC Wheel HIGH
Measure Dark Gate MEASUREMENT Cell of GFC Wheel LOW
Reference Gate REFERENCE cell of GFC Wheel HIGH
Reference Dark Gate REFERENCE cell of GFC Wheel LOW
Timing for activating the Sample and Hold Circuits is provided by a Phase Lock Loop
(PLL) circuit. Using the segment sensor output as a reference signal the PLL generates
clock signal at ten times that frequency. This faster clock signal is used by the PLD to
make the Sample and Hold Circuits capture the signal during the center portions of the
detected waveform, ignore the rising and falling edges of the detector signal.
Sample & Hold
Active
Detector
Output
Sample & Hold
Inactive
Figure 13-14: Sample & Hold Timing
13.4.3.2. SYNC/DEMOD STATUS LEDS
The following two status LEDs located on the sync/demod board provide additional
diagnostic tools for checking the GFC Wheel rotation.
Table 13-3: Sync/Demod Status LED Activity
LED Function Status OK Fault Status
D1 M/R Sensor Status LED flashes approximately
2/second
LED is stuck
ON or OFF
D2 Segment Sensor Status LED flashes approximately
6/second
LED is stuck
ON or OFF
See Section 12.1.4.2 for more information.
06864B DCN6314

Teledyne API – Model T300/T300M CO Analyzer Theory of Operation
315
13.4.3.3. PHOTO-DETECTOR TEMPERATURE CONTROL
The sync/demod board also contains circuitry that controls the IR photo-detector’s
Thermal Electric Coolers (TEC). A drive voltage, PHT DRIVE, is supplied to the
coolers by the sync/demod board which is adjusted by the sync/demod board based on a
return signal called TEC control which alerts the sync/demod board of the detector’s
temperature. The warmer the detector, the harder the coolers are driven.
PHT DRIVE is one of the Test Functions viewable by the user via the form panel.
Press <TST or TST> until it appears on the display.
13.4.3.4. DARK CALIBRATION SWITCH
This switch initiates the Dark Calibration procedure. When initiated by the user (See
Section 9.6.1 for more details), the dark calibration process opens this switch,
interrupting the signal from the IR photo-detector. This allows the analyzer to measure
any offset caused by the sync/demod board circuitry.
13.4.3.5. ELECTRIC TEST SWITCH
When active, this circuit generates a specific waveform intended to simulate the function
of the IR photo-detector but with a known set of value which is substituted for the
detector’s actual signal via the dark switch. It may also be initiated by the user (See
Section 5.4 for more details).
13.4.4. RELAY BOARD
By actuating various switches and relays located on this board, the CPU controls the
status of other key components. The relay board receives instructions in the form of
digital signals over the I2C bus, interprets these digital instructions and activates its
various switches and relays appropriately.
13.4.4.1. HEATER CONTROL
The two heaters attached to the sample chamber housing and the GFC Wheel motor are
controlled by solid state relays located on the relay board.
The GFC Wheel heater is simply turned on or off, however control of the bench heater
also includes circuitry that selects which one of its two separate heating elements is
activated depending on whether the instrument is running on 100 VAC, 115 VAC or 230
VAC line power.
13.4.4.2. GFC WHEEL MOTOR CONTROL
The GFC Wheel operates from a AC voltage supplied by a multi-input transformer
located on the relay board. The step-down ratio of this transformer is controlled by
factory-installed jumpers to adjust for 100 VAC, 115 VAC or 230 VAC line power.
Other circuitry slightly alters the phase of the AC power supplied to the motor during
start up based on whether line power is 50Hz or 60 Hz.
Normally, the GFC Wheel Motor is always turning while the analyzer is on. A physical
switch located on the relay board can be used to turn the motor off for certain diagnostic
procedures.
06864B DCN6314

Theory of Operation Teledyne API – Model T300/T300M CO Analyzer
316
13.4.4.3. ZERO/SPAN VALVE OPTIONS
Any zero/span/shutoff valve options installed in the analyzer are controlled by a set of
electronic switches located on the relay board. These switches, under CPU control,
supply the +12VDC needed to activate each valve’s solenoid.
13.4.4.4. IR SOURCE
The relay board supplies a constant 11.5VDC to the IR Source. Under normal operation
the IR source is always on.
06864B DCN6314

Teledyne API – Model T300/T300M CO Analyzer Theory of Operation
317
13.4.4.5. STATUS LEDS
Eight LEDs are located on the analyzer’s relay board to show the current status on the
various control functions performed by the relay board. They are listed on Table 13-4.
Table 13-4: Relay Board Status LEDs
LED COLOR FUNCTION STATUS WHEN LIT STATUS WHEN UNLIT
D1 RED Watch Dog Circuit Cycles On/Off every 3 seconds under direct control of the analyzer’s
CPU.
D2 YELLOW Wheel Heater HEATING NOT HEATING
D3 YELLOW Bench Heater HEATING NOT HEATING
D4 YELLOW Spare N/A N/A
D5 GREEN Sample/Cal Gas Valve
Option Valve Open to CAL GAS FLOW Valve Open to SAMPLE Gas Flow
D6 GREEN Zero/Span Gas Valve Option Valve Open to SPAN GAS FLOW Valve Open to ZERO GAS FLOW
D7 GREEN Shutoff Valve Option Valve Open to CAL GAS FLOW Valve CLOSED to CAL GAS
FLOW
D8 GREEN IR SOURCE Source ON Source OFF
STATUS LED’s DC VOLTAGE TEST
POINTS
RELAY PCA
PN 04135
Figure 13-15: Location of relay board Status LEDs
13.4.4.6. I2C WATCH DOG CIRCUITRY
Special circuitry on the relay board monitors the activity on the I2C bus and drives LED
D1. Should this LED ever stay ON or OFF for 30 seconds, the watch dog circuit will
automatically shut off all valves as well as turn off the IR Source and all heaters. The
GFC Wheel motor will still be running as will the Sample Pump, which is not controlled
by the relay board.
06864B DCN6314

Theory of Operation Teledyne API – Model T300/T300M CO Analyzer
318
13.4.5. MOTHERBOARD
This printed circuit assembly provides a multitude of functions including, A/D
conversion, digital input/output, PC-104 to I2C translation, temperature sensor signal
processing and is a pass through for the RS-232 and RS-485 signals.
13.4.5.1. A TO D CONVERSION
Analog signals, such as the voltages received from the analyzer’s various sensors, are
converted into digital signals that the CPU can understand and manipulate by the analog
to digital converter (A/D). Under the control of the CPU, this functional block selects a
particular signal input (e.g. BOX TEMP, CO MEAS, CO REF, etc.) and then coverts
the selected voltage into a digital word.
The A/D consists of a Voltage-to-Frequency (V-F) converter, a Programmable Logic
Device (PLD), three multiplexers, several amplifiers and some other associated devices.
The V-F converter produces a frequency proportional to its input voltage. The PLD
counts the output of the V-F during a specified time period, and sends the result of that
count, in the form of a binary number, to the CPU.
The A/D can be configured for several different input modes and ranges but in the
T300/T300M is used in uni-polar mode with a +5 V full scale. The converter includes a
1% over and under-range. This allows signals from –0.05 V to +5.05 V to be fully
converted.
For calibration purposes, two reference voltages are supplied to the A/D converter:
Reference Ground and +4.096 VDC. During calibration, the device measures these two
voltages, outputs their digital equivalent to the CPU. The CPU uses these values to
compute the converter’s offset and slope and uses these factors for subsequent
conversions.
See Section 5.9.3.2 for instructions on performing this calibration.
13.4.5.2. SENSOR INPUTS
The key analog sensor signals are coupled to the A/D through the master multiplexer
from two connectors on the motherboard. 100K terminating resistors on each of the
inputs prevent cross talk from appearing on the sensor signals.
CO MEASURE AND REFERENCE
These are the primary signals that are used in the computation of the CO
concentration. They are the demodulated IR-sensor signals from the sync
demodulator board.
SAMPLE PRESSURE AND FLOW
These are analog signals from two sensors that measure the pressure and flow rate of the
gas stream at the outlet of the sample chamber. This information is used in two ways.
First, the sample pressure is used by the CPU to calculate CO concentration. Second,
the pressure and flow rate are monitored as a test function to assist the user in predicting
and troubleshooting failures.
06864B DCN6314

Teledyne API – Model T300/T300M CO Analyzer Theory of Operation
319
13.4.5.3. THERMISTOR INTERFACE
This circuit provides excitation, termination and signal selection for several negative-
coefficient, thermistor temperature sensors located inside the analyzer. They are as
follows:
SAMPLE TEMPERATURE SENSOR
The source of this signal is a thermistor located inside the sample chamber of the Optical
Bench. It measures the temperature of the sample gas in the chamber. This data is used
to during the calculation of the CO concentration value.
BENCH TEMPERATURE SENSOR
This thermistor is attached to the sample chamber housing. It reports the current
temperature of the chamber housing to the CPU as part of the bench heater control loop.
WHEEL TEMPERATURE SENSOR
This thermistor is attached to the heatsink on the GFC Wheel motor assembly. It reports
the current temperature of the wheel/motor assembly to the CPU as part of the Wheel
Heater control loop.
BOX TEMPERATURE SENSOR
A thermistor is attached to the motherboard. It measures the analyzer’s internal
temperature. This information is stored by the CPU and can be viewed by the user for
troubleshooting purposes via the front panel display (see Section 12.1.2).
13.4.5.4. ANALOG OUTPUTS
The analyzer comes equipped with four analog outputs: A1, A2, A3 and A4. The type
of data and electronic performance of these outputs are configurable by the user (see
Section 5.4).
OUTPUT LOOP-BACK
All four analog outputs are connected back to the A/D converter through a loop-back
circuit. This permits the voltage outputs to be calibrated by the CPU without need for
any additional tools or fixtures.
13.4.5.5. INTERNAL DIGITAL I/O
This channel is used to communicate digital status and control signals about the
operation of key components of the Optical Bench. The CPU sends signals to the
sync/demod board that initiate the ELECTRICAL TEST and DARK CALIBRATION
procedures.
13.4.5.6. EXTERNAL DIGITAL I/O
This External Digital I/O performs two functions: status outputs and control inputs.
STATUS OUTPUTS
Logic-Level voltages are output through an optically isolated 8-pin connector located on
the rear panel of the analyzer. These outputs convey good/bad and on/off information
06864B DCN6314

Theory of Operation Teledyne API – Model T300/T300M CO Analyzer
320
about certain analyzer conditions. They can be used to interface with certain types of
programmable devices (See Section 3.3.1.4).
CONTROL INPUTS
By applying +5VDC power supplied from an external source such as a PLC or Data
logger (See Section 3.3.1.6), Zero and Span calibrations can be initiated by contact
closures on the rear panel.
POWER UP CIRCUIT
This circuit monitors the +5V power supply during start-up and sets the analog outputs,
external digital I/O ports, and I2C circuitry to specific values until the CPU boots and the
instrument software can establish control.
13.4.6. I2C DATA BUS
I2C is a two-wire, clocked, bi-directional, digital serial I/O bus that is used widely in
commercial and consumer electronic systems. A transceiver on the motherboard
converts data and control signals from the PC-104 bus to I2C. The data is then fed to the
relay board, optional analog input board and valve driver board circuitry.
13.4.7. POWER SUPPLY/ CIRCUIT BREAKER
The analyzer operates on 100 VAC, 115 VAC or 230 VAC power at either 50Hz or
60Hz. Individual units are set up at the factory to accept any combination of these five
attributes. As illustrated in Figure 13-14, power enters the analyzer through a standard
IEC 320 power receptacle located on the rear panel of the instrument. From there it is
routed through the ON/OFF Switch located in the lower right corner of the Front Panel.
A 6.75 Amp circuit breaker is built into the ON/OFF Switch.
AC power is distributed directly to the sample gas pump. The bench and GFC Wheel
heaters as well as the GFC Wheel receive AC power via the relay board.
AC Line power is converted stepped down and converted to DC power by two DC
power supplies. One supplies +12 VDC, for valves and the IR source, while a second
supply provides +5 VDC and ±15 VDC for logic and analog circuitry. All DC voltages
are distributed via the relay board.
CAUTION
GENERAL SAFETY HAZARD
Should the AC power circuit breaker trip, investigate and correct the condition causing
this situation before turning the analyzer back on.
06864B DCN6314

Teledyne API – Model T300/T300M CO Analyzer Theory of Operation
321
Figure 13-16: Power Distribution Block Diagram
06864B DCN6314

Theory of Operation Teledyne API – Model T300/T300M CO Analyzer
322
13.4.8. FRONT PANEL TOUCHSCREEN/DISPLAY INTERFACE
Users can input data and receive information directly through the front panel
touchscreen display. The LCD display is controlled directly by the CPU board. The
touchscreen is interfaced to the CPU by means of a touchscreen controller that connects
to the CPU via the internal USB bus and emulates a computer mouse.
Figure 13-17: Front Panel and Display Interface Block Diagram
13.4.8.1. LVDS TRANSMITTER BOARD
The LVDS (low voltage differential signaling) transmitter board converts the parallel
display bus to a serialized, low voltage, differential signal bus in order to transmit the
video signal to the LCD interface PCA.
13.4.8.2. FRONT PANEL TOUCHSCREEN/DISPLAY INTERFACE PCA
The front panel touchscreen/display interface PCA controls the various functions of the
display and touchscreen. For driving the display it provides connection between the
CPU video controller and the LCD display module. This PCA also contains:
power supply circuitry for the LCD display module
a USB hub that is used for communications with the touchscreen controller and
the two front panel USB device ports
the circuitry for powering the display backlight
06864B DCN6314

Teledyne API – Model T300/T300M CO Analyzer Theory of Operation
323
13.5. SOFTWARE OPERATION
The T300/T300M Gas Filter Correlation Carbon Monoxide Analyzer has a high
performance, VortexX86-based microcomputer running Windows CE. Inside Windows
CE, special software developed by Teledyne API interprets user commands via the
various interfaces, performs procedures and tasks, stores data in the CPU’s various
memory devices and calculates the concentration of the sample gas.
Windows CE
API FIRMWARE
Analyzer Operations
Calibration Procedures
Configuration Procedures
Autonomic Systems
Diagnostic Routines
Memory Handling
DAS Records
Calibration Data
System Status Data
Interface Handling
Sensor input Data
Touchscreen/Display
Analog Output Data
RS232 & RS485
External Digital I/O
Measurement
Algorithm
ANALYZER
HARDWARE
PC/104 BUS
PC/104 BUS
Linearization Table
Figure 13-18: Basic Software Operation
13.5.1. ADAPTIVE FILTER
The T300/T300M software processes the CO MEAS and CO REF signals, after they
are digitized by the motherboard, through an adaptive filter built into the software.
Unlike other analyzers that average the output signal over a fixed time period, the
T300/T300M averages over a set number of samples, where each sample is 0.2 seconds.
This technique is known as boxcar averaging. During operation, the software
automatically switches between two different length filters based on the conditions at
hand. Once triggered, the short filter remains engaged for a fixed time period to prevent
chattering.
During conditions of constant or nearly constant concentration the software, by default,
computes an average of the last 750 samples, or approximately 150 seconds. This
provides the calculation portion of the software with smooth stable readings. If a rapid
change in concentration is detected the filter includes, by default, the last 48 samples,
approximately 10 seconds of data, to allow the analyzer to more quickly respond. If
necessary, these boxcar lengths can be changed between 1 and 1000 samples but with
corresponding tradeoffs in rise time and signal-to-noise ratio (contact customer service
for more information).
Two conditions must be simultaneously met to switch to the short filter. First the
instantaneous concentration must exceed the average in the long filter by a fixed
amount. Second the instantaneous concentration must exceed the average in the long
filter by a portion, or percentage, of the average in the long filter.
06864B DCN6314

Theory of Operation Teledyne API – Model T300/T300M CO Analyzer
324
13.5.2. CALIBRATION - SLOPE AND OFFSET
Calibration of the analyzer is performed exclusively in software.
During instrument calibration (see Section 9) the user enters expected values for zero
and span via the front panel control buttonand commands the instrument to make
readings of calibrated sample gases for both levels. The readings taken are adjusted,
linearized, and compared to the expected values. With this information the software
computes values for instrument slope and offset and stores these values in memory for
use in calculating the CO concentration of the sample gas.
The instrument slope and offset values recorded during the last calibration are available
for viewing from the from the front panel (see Section 3.4.3).
13.5.3. MEASUREMENT ALGORITHM
Once the IR photo-detector signal is demodulated into CO MEAS and CO REF by the
sync/demod board and converted to digital data by the motherboard, the T300/T300M
analytical software calculates the ratio between CO MEAS and CO REF. This value is
compared to a look-up table that is used, with interpolation, to linearize the response of
the instrument. The linearized concentration value is combined with calibration slope
and offset values, then normalized for changes in sample gas pressure to produce the
final CO concentration. This is the value that is displayed on the instrument front panel
display and is stored in memory by the analyzer’s DAS system.
13.5.4. TEMPERATURE AND PRESSURE COMPENSATION
Changes in pressure can have a noticeable, effect on the CO concentration calculation.
To account for this, the T300/T300M software includes a feature which allows the
instrument to compensate for the CO calculations based on changes in ambient pressure.
The TPC feature multiplies the analyzer’s CO concentration by a factor which is based
on the difference between the ambient pressure of the sample gas normalized to standard
atmospheric pressure. As ambient pressure increases, the compensated CO
concentration is decreased.
13.5.5. INTERNAL DATA ACQUISITION SYSTEM (DAS)
The DAS is designed to implement predictive diagnostics that stores trending data for
users to anticipate when an instrument will require service. Large amounts of data can
be stored in non-volatile memory and retrieved in plain text format for further
processing with common data analysis programs. The DAS has a consistent user
interface in all Teledyne API analyzers. New data parameters and triggering events can
be added to the instrument as needed.
Depending on the sampling frequency and the number of data parameters the DAS can
store several months of data, which are retained even when the instrument is powered
off or a new firmware is installed. The DAS permits users to access the data through the
instrument’s front panel or the remote interface. The latter can automatically download
stored data for further processing. For information on using the DAS, refer to Section 7.
06864B DCN6314

325
14. A PRIMER ON ELECTRO-STATIC DISCHARGE
Teledyne API considers the prevention of damage caused by the discharge of static
electricity to be extremely important part of making sure that your analyzer continues to
provide reliable service for a long time. This section describes how static electricity
occurs, why it is so dangerous to electronic components and assemblies as well as how
to prevent that damage from occurring.
14.1. HOW STATIC CHARGES ARE CREATED
Modern electronic devices such as the types used in the various electronic assemblies of
your analyzer, are very small, require very little power and operate very quickly.
Unfortunately, the same characteristics that allow them to do these things also make
them very susceptible to damage from the discharge of static electricity. Controlling
electrostatic discharge begins with understanding how electro-static charges occur in the
first place.
Static electricity is the result of something called triboelectric charging which happens
whenever the atoms of the surface layers of two materials rub against each other. As the
atoms of the two surfaces move together and separate, some electrons from one surface
are retained by the other.
+
+
Materials
Makes
Contact
PROTONS = 3
ELECTRONS = 3
NET CHARGE = 0
PROTONS = 3
ELECTRONS = 3
NET CHARGE = 0
Materials
Separate
+
PROTONS = 3
ELECTRONS = 2
NET CHARGE = -1
+
PROTONS = 3
ELECTRONS = 4
NET CHARGE = +1
Figure 14-1: Triboelectric Charging
If one of the surfaces is a poor conductor or even a good conductor that is not grounded,
the resulting positive or negative charge cannot bleed off and becomes trapped in place,
06864B DCN6314

A Primer on Electro-Static Discharge Teledyne API – Model T300/T300M CO Analyzer
326
or static. The most common example of triboelectric charging happens when someone
wearing leather or rubber soled shoes walks across a nylon carpet or linoleum tiled floor.
With each step, electrons change places and the resulting electro-static charge builds up,
quickly reaching significant levels. Pushing an epoxy printed circuit board across a
workbench, using a plastic handled screwdriver or even the constant jostling of
StyrofoamTM pellets during shipment can also build hefty static charges.
Table 14-1: Static Generation Voltages for Typical Activities
MEANS OF GENERATION 65-90% RH 10-25% RH
Walking across nylon carpet 1,500V 35,000V
Walking across vinyl tile 250V 12,000V
Worker at bench 100V 6,000V
Poly bag picked up from bench 1,200V 20,000V
Moving around in a chair padded
with urethane foam 1,500V 18,000V
14.2. HOW ELECTRO-STATIC CHARGES CAUSE DAMAGE
Damage to components occurs when these static charges come into contact with an
electronic device. Current flows as the charge moves along the conductive circuitry of
the device and the typically very high voltage levels of the charge overheat the delicate
traces of the integrated circuits, melting them or even vaporizing parts of them. When
examined by microscope the damage caused by electro-static discharge looks a lot like
tiny bomb craters littered across the landscape of the component’s circuitry.
A quick comparison of the values in Table 14-1 with the those shown in the Table 14-2,
listing device susceptibility levels, shows why Semiconductor Reliability News estimates
that approximately 60% of device failures are the result of damage due to electro-static
discharge.
Table 14-2: Sensitivity of Electronic Devices to Damage by ESD
DAMAGE SUSCEPTIBILITY VOLTAGE
RANGE
DEVICE DAMAGE BEGINS
OCCURRING AT
CATASTROPHIC
DAMAGE AT
MOSFET 10 100
VMOS 30 1800
NMOS 60 100
GaAsFET 60 2000
EPROM 100 100
JFET 140 7000
SAW 150 500
Op-AMP 190 2500
CMOS 200 3000
Schottky Diodes 300 2500
Film Resistors 300 3000
This Film Resistors 300 7000
ECL 500 500
SCR 500 1000
Schottky TTL 500 2500
06864B DCN6314

Teledyne API – Model T300/T300M CO Analyzer A Primer on Electro-Static Discharge
327
Potentially damaging electro-static discharges can occur:
Any time a charged surface (including the human body) discharges to a device.
Even simple contact of a finger to the leads of a sensitive device or assembly can
allow enough discharge to cause damage. A similar discharge can occur from a
charged conductive object, such as a metallic tool or fixture.
When static charges accumulated on a sensitive device discharges from the device
to another surface such as packaging materials, work surfaces, machine surfaces or
other device. In some cases, charged device discharges can be the most
destructive.
A typical example of this is the simple act of installing an electronic assembly into
the connector or wiring harness of the equipment in which it is to function. If the
assembly is carrying a static charge, as it is connected to ground a discharge will
occur.
Whenever a sensitive device is moved into the field of an existing electro-static field,
a charge may be induced on the device in effect discharging the field onto the
device. If the device is then momentarily grounded while within the electrostatic field
or removed from the region of the electrostatic field and grounded somewhere else,
a second discharge will occur as the charge is transferred from the device to
ground.
14.3. COMMON MYTHS ABOUT ESD DAMAGE
I didn’t feel a shock so there was no electro-static discharge: The human
nervous system isn’t able to feel a static discharge of less than 3500 volts. Most
devices are damaged by discharge levels much lower than that.
I didn’t touch it so there was no electro-static discharge: Electro Static charges
are fields whose lines of force can extend several inches or sometimes even feet
away from the surface bearing the charge.
It still works so there was no damage: Sometimes the damaged caused by
electro-static discharge can completely sever a circuit trace causing the device to
fail immediately. More likely, the trace will be only partially occluded by the damage
causing degraded performance of the device or worse, weakening the trace. This
weakened circuit may seem to function fine for a short time, but even the very low
voltage and current levels of the device’s normal operating levels will eat away at
the defect over time causing the device to fail well before its designed lifetime is
reached.
These latent failures are often the most costly since the failure of the equipment in
which the damaged device is installed causes down time, lost data, lost productivity,
as well as possible failure and damage to other pieces of equipment or property.
Static Charges can’t build up on a conductive surface: There are two errors in this
statement.
Conductive devices can build static charges if they are not grounded. The charge
will be equalized across the entire device, but without access to earth ground, they
are still trapped and can still build to high enough levels to cause damage when they
are discharged.
A charge can be induced onto the conductive surface and/or discharge triggered in
the presence of a charged field such as a large static charge clinging to the surface
of a nylon jacket of someone walking up to a workbench.
As long as my analyzer is properly installed, it is safe from damage caused by
static discharges: It is true that when properly installed the chassis ground of your
analyzer is tied to earth ground and its electronic components are prevented from
building static electric charges themselves. This does not prevent discharges from
06864B DCN6314

A Primer on Electro-Static Discharge Teledyne API – Model T300/T300M CO Analyzer
328
static fields built up on other things, like you and your clothing, from discharging
through the instrument and damaging it.
14.4. BASIC PRINCIPLES OF STATIC CONTROL
It is impossible to stop the creation of instantaneous static electric charges. It is not,
however difficult to prevent those charges from building to dangerous levels or prevent
damage due to electro-static discharge from occurring.
14.4.1. GENERAL RULES
Only handle or work on all electronic assemblies at a properly set up ESD station.
Setting up an ESD safe workstation need not be complicated. A protective mat properly
tied to ground and a wrist strap are all that is needed to create a basic anti-ESD
workstation.
Wrist Str
a
Protective Mat
Ground Point
Figure 14-2: Basic anti-ESD Workbench
For technicians that work in the field, special lightweight and portable anti-ESD kits are
available from most suppliers of ESD protection gear. These include everything needed
to create a temporary anti-ESD work area anywhere.
Always wear an Anti-ESD wrist strap when working on the electronic
assemblies of your analyzer. An anti-ESD wrist strap keeps the person wearing it
at or near the same potential as other grounded objects in the work area and allows
static charges to dissipate before they can build to dangerous levels. Anti-ESD wrist
straps terminated with alligator clips are available for use in work areas where there
is no available grounded plug.
Also, anti-ESD wrist straps include a current limiting resistor (usually around one
meg-ohm) that protects you should you accidentally short yourself to the
instrument’s power supply.
06864B DCN6314

Teledyne API – Model T300/T300M CO Analyzer A Primer on Electro-Static Discharge
329
Simply touching a grounded piece of metal is insufficient. While this may
temporarily bleed off static charges present at the time, once you stop touching the
grounded metal new static charges will immediately begin to re-build. In some
conditions, a charge large enough to damage a component can rebuild in just a few
seconds.
Always store sensitive components and assemblies in anti-ESD storage bags
or bins: Even when you are not working on them, store all devices and assemblies
in a closed anti-Static bag or bin. This will prevent induced charges from building up
on the device or assembly and nearby static fields from discharging through it.
Use metallic anti-ESD bags for storing and shipping ESD sensitive
components and assemblies rather than pink-poly bags. The famous, pink-poly
bags are made of a plastic that is impregnated with a liquid (similar to liquid laundry
detergent) which very slowly sweats onto the surface of the plastic creating a slightly
conductive layer over the surface of the bag.
While this layer may equalizes any charges that occur across the whole bag, it does
not prevent the build up of static charges. If laying on a conductive, grounded
surface, these bags will allow charges to bleed away but the very charges that build
up on the surface of the bag itself can be transferred through the bag by induction
onto the circuits of your ESD sensitive device. Also, the liquid impregnating the
plastic is eventually used up after which the bag is as useless for preventing
damage from ESD as any ordinary plastic bag.
Anti-Static bags made of plastic impregnated with metal (usually silvery in color)
provide all of the charge equalizing abilities of the pink-poly bags but also, when
properly sealed, create a Faraday cage that completely isolates the contents from
discharges and the inductive transfer of static charges.
Storage bins made of plastic impregnated with carbon (usually black in color) are
also excellent at dissipating static charges and isolating their contents from field
effects and discharges.
Never use ordinary plastic adhesive tape near an ESD sensitive device or to
close an anti-ESD bag. The act of pulling a piece of standard plastic adhesive
tape, such as Scotch® tape, from its roll will generate a static charge of several
thousand or even tens of thousands of volts on the tape itself and an associated
field effect that can discharge through or be induced upon items up to a foot away.
14.4.2. BASIC ANTI-ESD PROCEDURES FOR ANALYZER REPAIR AND
MAINTENANCE
14.4.2.1. WORKING AT THE INSTRUMENT RACK
When working on the analyzer while it is in the instrument rack and plugged into a
properly grounded power supply:
1. Attach you anti-ESD wrist strap to ground before doing anything else.
Use a wrist strap terminated with an alligator clip and attach it to a bare metal
portion of the instrument chassis.
This will safely connect you to the same ground level to which the instrument
and all of its components are connected.
2. Pause for a second or two to allow any static charges to bleed away.
3. Open the casing of the analyzer and begin work. Up to this point, the closed metal
casing of your analyzer has isolated the components and assemblies inside from
any conducted or induced static charges.
06864B DCN6314

A Primer on Electro-Static Discharge Teledyne API – Model T300/T300M CO Analyzer
330
4. If you must remove a component from the instrument, do not lay it down on a non-
ESD preventative surface where static charges may lie in wait.
5. Only disconnect your wrist strap after you have finished work and closed the case of
the analyzer.
14.4.2.2. WORKING AT AN ANTI-ESD WORK BENCH
When working on an instrument of an electronic assembly while it is resting on a anti-
ESD workbench:
1. Plug you anti-ESD wrist strap into the grounded receptacle of the work station
before touching any items on the work station and while standing at least a foot or
so away. This will allow any charges you are carrying to bleed away through the
ground connection of the workstation and prevent discharges due to field effects and
induction from occurring.
2. Pause for a second or two to allow any static charges to bleed away.
3. Only open any anti-ESD storage bins or bags containing sensitive devices or
assemblies after you have plugged your wrist strap into the workstation.
Lay the bag or bin on the workbench surface.
Before opening the container, wait several seconds for any static charges on the
outside surface of the container to be bled away by the workstation’s grounded
protective mat.
4. Do not pick up tools that may be carrying static charges while also touching or
holding an ESD sensitive device.
Only lay tools or ESD-sensitive devices and assemblies on the conductive
surface of your workstation. Never lay them down on any non-ESD
preventative surface.
5. Place any static sensitive devices or assemblies in anti-static storage bags or bins
and close the bag or bin before unplugging your wrist strap.
6. Disconnecting your wrist strap is always the last action taken before leaving the
workbench.
14.4.2.3. TRANSFERRING COMPONENTS FROM RACK TO BENCH AND BACK
When transferring a sensitive device from an installed Teledyne API analyzer to an anti-
ESD workbench or back:
1. Follow the instructions listed above for working at the instrument rack and
workstation.
2. Never carry the component or assembly without placing it in an anti-ESD bag or bin.
3. Before using the bag or container allow any surface charges on it to dissipate:
If you are at the instrument rack, hold the bag in one hand while your wrist strap
is connected to a ground point.
If you are at an anti-ESD workbench, lay the container down on the conductive
work surface.
In either case wait several seconds.
4. Place the item in the container.
5. Seal the container. If using a bag, fold the end over and fastening it with anti-ESD
tape.
06864B DCN6314

Teledyne API – Model T300/T300M CO Analyzer A Primer on Electro-Static Discharge
331
Folding the open end over isolates the component(s) inside from the effects of
static fields.
Leaving the bag open or simply stapling it shut without folding it closed
prevents the bag from forming a complete protective envelope around the
device.
6. Once you have arrived at your destination, allow any surface charges that may have
built up on the bag or bin during travel to dissipate:
Connect your wrist strap to ground.
If you are at the instrument rack, hold the bag in one hand while your wrist strap
is connected to a ground point.
If you are at a anti-ESD workbench, lay the container down on the conductive
work surface
In either case wait several seconds
7. Open the container.
14.4.2.4. OPENING SHIPMENTS FROM TELEDYNE API’ CUSTOMER SERVICE
Packing materials such as bubble pack and Styrofoam pellets are extremely efficient
generators of static electric charges. To prevent damage from ESD, Teledyne API ships
all electronic components and assemblies in properly sealed anti-ESD containers.
Static charges will build up on the outer surface of the anti-ESD container during
shipping as the packing materials vibrate and rub against each other. To prevent these
static charges from damaging the components or assemblies being shipped make sure
that you:
Always unpack shipments from Teledyne API Customer Service by:
1. Opening the outer shipping box away from the anti-ESD work area.
2. Carry the still sealed anti-ESD bag, tube or bin to the anti-ESD work area.
3. Follow steps 6 and 7 of Section 14.4.2.3 above when opening the anti-ESD
container at the work station.
4. Reserve the anti-ESD container or bag to use when packing electronic components
or assemblies to be returned to Teledyne API.
14.4.2.5. PACKING COMPONENTS FOR RETURN TO TELEDYNE API’S CUSTOMER SERVICE
Always pack electronic components and assemblies to be sent to Teledyne API’s
Customer Service in anti-ESD bins, tubes or bags.
CAUTION
ESD Hazard
DO NOT use pink-poly bags.
NEVER allow any standard plastic packaging materials to touch the
electronic component/assembly directly.
This includes, but is not limited to, plastic bubble-pack, Styrofoam
peanuts, open cell foam, closed cell foam, and adhesive tape.
DO NOT use standard adhesive tape as a sealer. Use ONLY anti-ESD tape.
06864B DCN6314

A Primer on Electro-Static Discharge Teledyne API – Model T300/T300M CO Analyzer
332
Never carry the component or assembly without placing it in an anti-ESD bag or bin.
1. Before using the bag or container allow any surface charges on it to dissipate:
If you are at the instrument rack, hold the bag in one hand while your wrist strap
is connected to a ground point.
If you are at an anti-ESD workbench, lay the container down on the conductive
work surface.
In either case wait several seconds.
2. Place the item in the container.
3. Seal the container. If using a bag, fold the end over and fastening it with anti-ESD
tape.
Folding the open end over isolates the component(s) inside from the effects of
static fields.
Leaving the bag open or simply stapling it shut without folding it closed
prevents the bag from forming a complete protective envelope around the
device.
Note If you do not already have an adequate supply of anti-ESD bags or
containers available, Teledyne API’s Customer Service department will
supply them (see Section 11.8 for contact information).
Follow the instructions listed above for working at the instrument rack
and workstation.
06864B DCN6314

Teledyne API – Model T300/T300M CO Analyzer A Primer on Electro-Static Discharge
333
GLOSSARY
Note: Some terms in this glossary may not occur elsewhere in this manual.
Term Description/Definition
10Base-T an Ethernet standard that uses twisted (“T”) pairs of copper wires to transmit at
10 megabits per second (Mbps)
100Base-T same as 10BaseT except ten times faster (100 Mbps)
APICOM name of a remote control program offered by Teledyne-API to its customers
ASSY Assembly
CAS Code-Activated Switch
CD Corona Discharge, a frequently luminous discharge, at the surface of a conductor
or between two conductors of the same transmission line, accompanied by
ionization of the surrounding atmosphere and often by a power loss
CE Converter Efficiency, the percentage of light energy that is actually converted into
electricity
CEM Continuous Emission Monitoring
Chemical formulas that may be included in this document:
CO2 carbon dioxide
C3H8 propane
CH4 methane
H2O water vapor
HC general abbreviation for hydrocarbon
HNO3 nitric acid
H2S hydrogen sulfide
NO nitric oxide
NO2 nitrogen dioxide
NOX nitrogen oxides, here defined as the sum of NO and NO2
NOy nitrogen oxides, often called odd nitrogen: the sum of NOX plus other compounds
such as HNO3 (definitions vary widely and may include nitrate (NO3), PAN, N2O
and other compounds as well)
NH3 ammonia
O2 molecular oxygen
O3 ozone
SO2 sulfur dioxide
cm3 metric abbreviation for cubic centimeter (replaces the obsolete abbreviation “cc”)
CPU Central Processing Unit
DAC Digital-to-Analog Converter
06864B DCN6314

A Primer on Electro-Static Discharge Teledyne API – Model T300/T300M CO Analyzer
334
DAS Data Acquisition System
DCE Data Communication Equipment
DFU Dry Filter Unit
DHCP Dynamic Host Configuration Protocol. A protocol used by LAN or Internet
servers to automatically set up the interface protocols between themselves and
any other addressable device connected to the network
DIAG Diagnostics, the diagnostic settings of the analyzer.
DOM Disk On Module, a 44-pin IDE flash drive with up to 128MB storage capacity for
instrument’s firmware, configuration settings and data
DOS Disk Operating System
DRAM Dynamic Random Access Memory
DR-DOS Digital Research DOS
DTE Data Terminal Equipment
EEPROM Electrically Erasable Programmable Read-Only Memory also referred to as a
FLASH chip or drive
ESD Electro-Static Discharge
ETEST Electrical Test
Ethernet a standardized (IEEE 802.3) computer networking technology for local area
networks (LANs), facilitating communication and sharing resources
FEP Fluorinated Ethylene Propylene polymer, one of the polymers that Du Pont
markets as Teflon®
Flash non-volatile, solid-state memory
FPI Fabry-Perot Interface: a special light filter typically made of a transparent plate
with two reflecting surfaces or two parallel, highly reflective mirrors
GFC Gas Filter Correlation
I2C bus a clocked, bi-directional, serial bus for communication between individual
analyzer components
IC Integrated Circuit, a modern, semi-conductor circuit that can contain many basic
components such as resistors, transistors, capacitors etc in a miniaturized
package used in electronic assemblies
IP Internet Protocol
IZS Internal Zero Span
LAN Local Area Network
06864B DCN6314

Teledyne API – Model T300/T300M CO Analyzer A Primer on Electro-Static Discharge
335
LCD Liquid Crystal Display
LED Light Emitting Diode
LPM Liters Per Minute
MFC Mass Flow Controller
M/R Measure/Reference
MOLAR MASS the mass, expressed in grams, of 1 mole of a specific substance. Conversely,
one mole is the amount of the substance needed for the molar mass to be the
same number in grams as the atomic mass of that substance.
EXAMPLE: The atomic weight of Carbon is 12 therefore the molar mass of
Carbon is 12 grams. Conversely, one mole of carbon equals the amount of
carbon atoms that weighs 12 grams.
Atomic weights can be found on any Periodic Table of Elements.
NDIR Non-Dispersive Infrared
NIST-SRM National Institute of Standards and Technology - Standard Reference Material
PC Personal Computer
PCA Printed Circuit Assembly, the PCB with electronic components, ready to use
PC/AT Personal Computer / Advanced Technology
PCB Printed Circuit Board, the bare board without electronic component
PFA Perfluoroalkoxy, an inert polymer; one of the polymers that Du Pont markets as
Teflon®
PLC Programmable Logic Controller, a device that is used to control instruments
based on a logic level signal coming from the analyzer
PLD Programmable Logic Device
PLL Phase Lock Loop
PMT Photo Multiplier Tube, a vacuum tube of electrodes that multiply electrons
collected and charged to create a detectable current signal
P/N (or PN) Part Number
PSD Prevention of Significant Deterioration
PTFE Polytetrafluoroethylene, a very inert polymer material used to handle gases that
may react on other surfaces; one of the polymers that Du Pont markets as
Teflon®
PVC Poly Vinyl Chloride, a polymer used for downstream tubing
Rdg Reading
RS-232 specification and standard describing a serial communication method between
DTE (Data Terminal Equipment) and DCE (Data Circuit-terminating Equipment)
devices, using a maximum cable-length of 50 feet
06864B DCN6314

A Primer on Electro-Static Discharge Teledyne API – Model T300/T300M CO Analyzer
336
.
RS-485 specification and standard describing a binary serial communication method
among multiple devices at a data rate faster than RS-232 with a much longer
distance between the host and the furthest device
SAROAD Storage and Retrieval of Aerometric Data
SLAMS State and Local Air Monitoring Network Plan
SLPM Standard Liters Per Minute of a gas at standard temperature and pressure
STP Standard Temperature and Pressure
TCP/IP Transfer Control Protocol / Internet Protocol, the standard communications
protocol for Ethernet devices
TEC Thermal Electric Cooler
TPC Temperature/Pressure Compensation
USB Universal Serial Bus: a standard connection method to establish communication
between peripheral devices and a host controller, such as a mouse and/or
keyboard and a personal computer or laptop
VARS Variables, the variable settings of the instrument
V-F Voltage-to-Frequency
Z/S Zero / Span
06864B DCN6314

337
INDEX
6
60 Hz, 37
A
Absorption Path Lengths, 224
AC Power 60 Hz, 37
AIN, 142
ALRM, 87, 143
ANALOG CAL WARNING, 47, 85
Analog Inputs, 142
Analog Outputs, 37, 60, 61, 87, 93, 94, 123,
125–42, 286, 287
AIN CALIBRATION, 142
CONC1, 49
CONC2, 49
Configuration & Calibration, 87, 126, 128, 129, 130,
131, 133, 135, 137, 139, 142
Automatic, 28, 87, 131
Manual-Current Loop, 134, 136
Manual-Voltage, 132
Electrical Connections, 37
Electronic Range Selection, 96, 127
Output Loop Back, 242
Over-Range Feature, 137
Pin Assignments, 38
Recorder Offset, 139
Reporting Range, 49, 87
Test Channel, 140
BENCH TEMP, 140
CHASSIS TEMP, 140
CO MEASURE, 140
CO REFERFENCE, 140
NONE, 140
O2 CELL TEMP, 140
PHT DRIVE, 140
SAMPLE FLOW, 140
SAMPLE PRESS, 140
SAMPLE TEMP, 140
WHEEL TEMP, 140
AOUT Calibration Feature, 129
APICOM, 23, 56, 103, 105, 115, 119, 149, 177,
182, 253
and DAS System, 104, 108, 113, 115, 116, 118, 119
and Ethernet, 162
Interface Example, 177
Software Download, 119, 177
ATIMER, 104, 108, 110
AutoCal, 56, 62, 84, 87, 129, 179, 192, 193,
194, 216
AZERO, 175
B
Baud Rate, 168
Beer-Lambert law, 23
BENCH TEMP, 84, 262
BENCH TEMP WARNING, 47, 85, 175, 260
Bench Temperature
Control, 234
BENCH_HEATER, 268
BOX TEMP, 47, 84, 175, 262, 276
BOX TEMP WARNING, 47, 85, 175, 260
brass, 43, 180, 276
C
CAL Button, 55, 86
CALDAT, 105
Calibration
AIN, 142
Analog Ouputs, 28, 87, 131
Analog Outputs
Current Loop, 134, 136
Voltage, 132
Initial Calibration
Basic Configuration, 49
Calibration Checks, 182, 189
Calibration Gases, 180
Span Gas, 23, 44, 55, 64, 66, 68, 70, 185, 190
Dilution Feature, 101
Standard Reference Materials (SRM’s)
CO Span Gas, 42
Zero Air, 23, 31, 44, 62, 64, 66, 68, 70, 180
CALS Button, 55, 86, 187
CALZ Button, 86, 187
CANNOT DYN SPAN, 47, 85, 175, 260
CANNOT DYN ZERO, 47, 85, 175, 260
Carbon Monoxide, 23, 62, 220
Carrying Strap/Handle, 60
CLOCK_ADJ, 92, 121
CO Concentration Alarms, 143
CO MEAS, 84, 200, 226, 227, 231, 236, 237,
241, 246, 247, 252, 253, 262, 275, 278, 282,
294, 295
CO REF, 82, 84, 200, 226, 227, 231, 236, 237,
241, 246, 247, 262, 275, 278, 282
CO2, 39, 41, 42, 49, 54, 56, 73, 74, 75, 76, 81,
84, 99, 121, 125, 172, 175, 179, 181, 199,
207, 208, 209, 216, 290
CO2 OFFSET, 84
CO2 Sensor, 39, 41, 42, 54, 73, 74, 75, 84,
175, 181, 207, 208
06864B DCN6314

INDEX Teledyne API – Model T300/T300M CO Analyzer
338
Calibration
Procedure, 209
Setup, 207
Span Gas Concentration, 207
Troubleshoting, 290
CO2 Sensor Option
Pneumatic Set Up for Calibration, 207
CO2 SLOPE, 84
COMM Ports, 40, 146, 149, 156, 168
and DAS System, 116
Baud Rate, 148
COM1, 145, 159, 170
COM2, 145, 149, 159, 162, 170
Communication Modes, 149
DCE & DTE, 145
Machine ID, 152
Parity, 149, 168
RS-485, 150
testing, 151
COMM PORTS
Default Settings, 146, 147
CONC, 105, 108
CONC ALRM1 WARNING, 85, 175
CONC ALRM2 WARNING, 85, 175
CONC Button, 55, 121
CONC VALID, 39, 288
CONC_PRECISION, 121
CONC1, 49
CONC2, 49
Concentration Field, 28, 46
CONFIG INITIALIZED, 47, 85, 260
Contact, 304
Continuous Emission Monitoring (CEM), 101
Control Buttons Definition Field, 28
Control Inputs, 39, 242, 289
Pin Assignments, 40
Electrical Connections, 39
CPU, 47, 73, 75, 85, 88, 92, 93, 103, 125, 142,
147, 159, 162, 200, 201, 231, 233, 236, 239,
240, 241, 242, 257, 260, 262, 264, 265, 267,
289
Analog to Digital Converter, 47, 85, 125
Critical Flow Orifice, 72, 105, 229, 230, 255,
256, 260, 269, 273, 291
Current Loop Outputs, 60, 61, 134, 136
Manual Calibration, 134
D
Dark Calibration, 179, 200, 238, 242
DAS Parameters
editing, 111
DAS System, 28, 46, 47, 49, 57, 84, 85, 87, 93,
100, 120, 121, 181, 193, 199, 223, 247, 253,
260, 269
and APICOM, 119, 120
and RS-232, 120
and Terminal Emulation Programs, 120
Channel Names, 109
Channels, 104, 106, 120
CALDAT, 105
CONC, 105
PNUNTC, 105
Compact Data Report, 118
HOLD OFF, 46, 104, 117, 121
Holdoff Period, 55
Number of Records, 104, 115
Parameters, 104, 120
CONC, 108
NXCNC1, 108
PMTDET, 104
Precision, 111
Report Period, 104, 114, 118
Sample Mode
AVG, 111, 112, 113, 114
INST, 111, 112, 113, 114
MAX, 111
MIN, 111, 112, 113, 114
SDEV, 111, 112, 113, 114
Sample Period, 114
Starting Date, 118
Store Number of Samples, 111, 112, 114
Triggering Events, 104, 110
ATIMER, 104, 108, 110
EXITZR, 110
SLPCHG, 105, 110
WTEMPW, 110
DAS_HOLD_OFF, 121
data acquisition. See DAS System
DATA INITIALIZED, 47, 85, 260
DB-25M, 71, 157
DB-9F, 71, 157
DC Power, 40
DCPS, 175
Default Settings
COMM Ports, 146, 147
DAS System, 104
Ethernet, 163
Hessen Protocol, 171, 175
VARS, 121
DHCP, 48, 163
DIAG AIO, 123
DIAG AOUT, 123
DIAG ELEC, 123
DIAG FCAL, 123
DIAG I/O, 123
DIAG OPTIC, 123
DIAG TEST CHAN, 123
Diagnostic Menu (DIAG), 87, 89, 90, 286
Ain Calibrated, 125, 142
Analog I/O
Aout Calibration Configuration, 125
AOUT Calibration Configuration, 130
AOUTCalibrated Configuration, 129
Conc_Out_1, 125
Conc_Out_2, 125
Conc_Out_3, 125
Analog I/O Configuration, 123, 126, 128, 129, 130, 131,
133, 135, 137, 139, 142
06864B DCN6314

Teledyne API – Model T300/T300M CO Analyzer INDEX
339
ANALOG OUTPUT (Step Test), 286
Analog Output Step Test, 123
Dark Calikbration, 123
Electrical Test, 123
Flow Calibration, 123
Pressure Calibration, 123
SIGNAL I/O, 123, 264
Test Chan Ouptut, 123
Test Output, 125
Dilution Ratio, 77, 101
Set Up, 51
Display Precision, 121
DUAL, 95, 97, 98, 179
DYN_SPAN, 121
DYN_ZERO, 121
Dynamic Span, 121
Dynamic Zero, 121
E
Electric Test, 282
Electric Test Switch, 239
Electrical Connections, 36–41
AC Power, 36, 59
Analog Outputs, 37, 94
Current Loop, 134
Voltage Ranges, 132
Control InputS, 39
Ethernet, 41, 48, 162
Ethernet, 23
Modem, 157
Multidrop, 41
Serial/COMM Ports, 40, 146, 147
Status Outputs, 38
Electrical Test, 123
Electro-Static Discharge, 303
ENTR Button, 87, 90, 115, 182
Environmental Protection Agency(EPA), 42, 56
Calibration, 86
Ethernet, 23, 62, 152, 162, 163
Configuration, 162–67
Property Defaults, 163
using DHCP, 163
DHCP, 48, 163
Gateway IP Address, 166
HOSTNAME, 167
Instrument IP Address, 166
Subnet Mask, 166
Exhaust Gas, 31, 229
Exhaust Gas Outlet, 31, 45, 64, 66, 68, 70
EXIT Button, 87
EXITZR, 110
External Pump, 59
F
FEP, 43, 58, 180
Final Test and Validation Data Sheet, 48, 199,
278
Flash Chip, 233
Front Panel, 27
Concentration Field, 28, 46
Display, 46, 123, 140
Message Field, 28
Mode Field, 28, 46
Status LEDs, 28, 46
Touch screen Definition Field, 28
G
Gas Filter Correlation, 23, 26, 57, 59, 223, 224,
225, 234, 239, 243, 246, 261, 293, 294
GFC Wheel, 45, 225, 234, 235, 237, 238, 239, 253,
261, 262, 263, 265, 266, 282, 283, 284, 292, 293,
294
Heater, 239, 243
Light Mask, 227, 235, 236
Motor, 239, 240, 242, 279, 283, 292, 293
Temperature, 47, 84, 85, 140, 277
GFC Wheel Troubleshooting, 292
Schmidt Triggers, 235
Temperature Control, 234
Gas Inlets
Sample, 31
Span, 31
ZERO AIR, 31
Gas Outlets
Exhaust, 31, 45, 64, 66, 68, 70
Gateway IP Address, 166
GFC Wheel, 23
H
H2O, 56
Hessen Flags
Internal Span Gas Generator, 175
Hessen Protocol, 149, 168, 170, 171, 175
Activation, 169
and Reporting Ranges, 172
Default Settings, 171
Download Manual, 168
Gas List, 173, 174
GAS LIST, 172
ID Code, 176
Latency Period, 168
response Mode, 171
Setup Parameters, 168
Status Flag
Default Settings, 175
Modes, 175
Unassigned Flags, 175
Unused Bits, 175
Warnings, 175
Status Flags, 175
types, 170
HIGH RANGE
REMOTE, 40
HNO3, 56
Hold Off Period, 55
Hostname, 167
06864B DCN6314

INDEX Teledyne API – Model T300/T300M CO Analyzer
340
I
I2C bus, 57, 231, 239, 240, 260, 261, 262, 265,
267, 276, 277, 280
Power Up Circuit, 242
Infrared Radiation (IR), 23, 47, 49, 56, 74, 84,
85, 140, 200, 219, 223, 224, 225, 226, 227,
234, 235, 236, 237, 238, 239, 240, 241, 243,
247, 253, 260, 261, 262, 263, 268, 275, 277,
281, 282, 284
Instrument IP Address, 166
Interferents, 49
Internal Pneumatics
Basic 269
Basic with CO2 Sensor Option, 75
Basic Configuration, 34
OPTIONAL CO2 SENSOR, 272
OPTIONAL O2 SENSOR, 272
Zero/Span Valves, 63, 270
Zero/Span Valves with Internal Scrubber, 67, 271
Zero/Span/Shutoff and Internal Scrubber Option, 271
Zero/Span/Shutoff Valves, 65, 270
Zero/Span/Shutoff valves and Internal Scrubber Option,
69
Internal Pump, 43, 105, 201, 228, 229, 230,
243, 254, 255, 260, 273, 274, 279, 285, 291
Internal Span Gas Generator
AutoCal, 193
Warning Messages, 47
Internal Zero Air (IZS), 31, 41, 63, 65, 67, 69,
216, 217, 273, 281
Gas Flow Problems, 269
L
Local Area Network (LAN), 41, 48, 152, 163
M
Machine ID, 152
Maintenance Schedule, 105
Measure Reference Ratio, 226
Menu Buttons
CAL, 55, 86
CALS, 55, 86, 187
CALZ, 86, 187
CONC, 55, 121
ENTR, 87, 90, 115, 182
EXIT, 87
MENUS
AUTO, 95, 99, 179
DUAL, 95, 97, 98, 179
SNGL, 49, 95, 96
Message Field, 28
Mode Field, 28, 46
Modem, 71, 157
Troubleshooting, 290
Motherboard, 47, 125, 134
MR Ratio, 84, 252, 253, 262, 278
Multidrop, 41, 149, 152, 159, 160, 168
N
National Institute of Standards and Technology
(NIST)
Standard Reference Materials (SRM), 42
CO, 42
NH3, 56
nitric acid, 56
NXCNC1, 108
O
O2, 25, 38, 39, 42, 54, 56, 71, 72, 73, 81, 84,
85, 94, 121, 125, 140, 172, 175, 179, 181,
199, 203, 204, 205, 229, 269
O2 CELL TEMP, 84
O2 CELL TEMP WARNING, 85
O2 OFFSET, 84
O2 sensor, 38, 39, 42, 54, 72, 84, 85, 94, 140,
175, 181, 203, 205, 229, 269
O2 SENSOR, 205
CALIBRATION
Procedure, 206
SETUP, 203
Span Gas Concentration, 204
O2 Sensor Option
Pneumatic Set Up for Calibration, 203
O2 SLOPE, 84
OFFSET, 84, 134, 139, 182, 252, 253, 263
Operating Modes, 123
Calibration Mode, 175
Diagnostic Mode (DIAG), 123
Sample Mode, 28, 121, 192
Secondaru Setup, 87
Optic Test, 123
Optical Bench, 234, 242, 256
Layout, 34
Optional Sensors
CO2
INTERNAL PNEUMATICS, 272
O2
INTERNAL PNEUMATICS, 272
P
Particulate Filter, 75, 230, 253, 254, 260
PHOTO TEMP WARNING, 47, 85, 260
PHT DRIVE, 84, 252, 253, 263
Pneumatic Set Up, 41
Basic Model
Bottled Gas, 43, 182
Gas Dilution Calibrator, 44, 183
Calibration
CO2 Sensor, 207
06864B DCN6314

Teledyne API – Model T300/T300M CO Analyzer INDEX
341
O2 Sensor, 203
Calibration Gasses, 41
Zero/Span Valves, 64, 187
Zero/Span Valves with Internal Scrubber, 68, 188
Zero/Span/Shutoff and Internal Scrubber Option, 70,
188
Zero/Span/Shutoff Valves, 66, 187
PNUMTC, 105
Predictive Diagnostics, 177
Using DAS System, 105
PRES, 84, 252, 253, 255, 262
PRESSURE SPAN inlet, 63
PTEF, 45, 64, 66, 68, 70
PTFE, 43, 58, 180, 213, 254
Pump
Sample, 59
R
Rack Mount, 59
RANGE, 84, 125, 172, 262
RANGE1, 84, 172
AUTO, 99
RANGE2, 84, 172
AUTO, 99
REAR BOARD NOT DET, 47, 85, 175, 260
Recorder Offset, 139
Relay Board
Status LEDs, 267
Troubleshooting, 281
RELAY BOARD WARN, 47, 85, 260
relay PCA, 47
Reporting Range, 49, 86, 87, 93, 96, 97, 99
Configuration, 87, 93
Dilution Feature, 101
Modes, 101
AUTO, 99
DUAL, 97
SNGL, 96
Upper Span Limit, 96, 98, 101
RJ45, 71
RS-232, 23, 25, 41, 58, 62, 71, 82, 104, 116,
118, 120, 145, 146, 147, 149, 152, 155, 156,
159, 160, 161, 168, 177, 212, 216, 231, 241,
289, 290
Activity Indicators, 147
DCE & DTE, 145
RS-485, 23, 25, 58, 62, 145, 149, 150, 152,
161, 231, 241
S
Safety Messages
Electric Shock, 35, 36, 276, 277
General, 35, 37, 41, 43, 60, 134, 257
Qualiified Personnel, 257
SAMPLE FL, 84, 262
Sample Flow Sensor, 230
SAMPLE FLOW WARN, 47, 85, 175, 260
Sample Gas Line, 44, 64, 66, 68, 70
Sample Inlet, 31
Sample Mode, 28, 81, 121, 192, 214, 289
SAMPLE PRESS WARN, 47, 85, 175, 260
Sample Pressure Sensor, 230
SAMPLE TEMP, 84, 85, 175, 262, 276
SAMPLE TEMP WARN, 47, 85, 175
Schmidt Triggers, 235
Scubber
Zero Air, 180
Sensor Inputs, 241, 285
Bench Temperature, 242
Box Temperature, 242
CO Measure And Reference, 241
Sample Pressure And Flow, 241
Sample Temperature, 242
Thermistor Interface, 241
Wheel Temperature, 242
SERIAL I/O
BENCH_HEATER, 276
CO_MEASURE, 278
CO_REFERENCE, 278
PHT_DRIVE, 277, 278
WHEEL_HEATER, 277
Serial I/O Ports
Modem, 157
Multidrop, 41, 149, 152, 159, 160
RS-232, 41, 87, 104, 116, 118, 159, 177
RS-485, 149
Shutoff Valve
Span Gas, 65
SLOPE, 84, 182, 252, 253, 263
SLPCHG, 105, 110
SNGL, 49, 95, 96
SO2, 57
SOURCE WARNING, 47, 85, 175
SPAN CAL, 39, 63, 65, 67, 69, 179, 252, 288,
289
Remote, 40
Span Gas, 23, 31, 42, 44, 48, 55, 62, 64, 65,
66, 67, 68, 70, 86, 101, 143, 175, 179, 181,
185, 187, 190, 193, 204, 207, 219, 255, 260,
263, 273, 274, 275
Dilution Feature, 101
Standard Reference Materials (SRM’s) )
CO Span Gas, 42
Span Inlet, 31
Specifications, 25
STABIL, 84, 252, 253, 262, 278, 294, 295
STABIL_GAS, 121
stainless steel, 43, 180
Standard Temperature and Pressure, 100
Status LEDs, 240
CO2 Sensor, 290
CPU, 265
Relay Board, 267
Sync/Demod Board, 266, 279
06864B DCN6314

INDEX Teledyne API – Model T300/T300M CO Analyzer
342
Status Outputs, 99, 242
Electrical Connections, 38
Pin Assignments, 39
Subnet Mask, 166
SYNC, 175
Sync/Demod Board, 200, 236, 237, 238, 242,
247, 260, 261, 262, 282
Photo-Detector Temperature Control, 238
Status LEDs, 266, 279
Troubleshooting, 282, 294, 295
System
Default Settings, 104
SYSTEM OK, 39, 288
SYSTEM RESET, 47, 85, 175
T
Teledyne Contact Information
Email Address, 59, 296
Fax, 59, 296
Phone, 59, 296
Technical Assistance, 296
Website, 59, 296
Hessen Protocol Manual, 168
Software Downloads, 119
Terminal Mode, 153
Command Syntax, 154
Computer mode, 149, 153
INTERACTIVE MODE, 153
Test Channel, 123, 125, 140
BENCH TEMP, 140
CHASSIS TEMP, 140
CO MEASURE, 140
CO REFERENCE, 140
NONE, 140
O2 CELL TEMP, 140
PHT DRIVE, 140
SAMPLE FLOW, 140
SAMPLE PRESS, 140
SAMPLE TEMP, 140
WHEEL TEMP, 140
Test Function
RANGE, 125, 172
Test Functions, 83, 125, 140, 286, 287
BENCH TEMP, 84, 262
BOX TEMP, 47, 84, 175, 262, 276
CO MEAS, 84, 252, 253, 294, 295
CO REF, 84
CO2 OFFSET, 84
CO2 SLOPE, 84
Defined, 84
MR Ratio, 84, 252, 253, 262, 278
O2 CELL TEMP, 84
O2 OFFSET, 84
O2 SLOPE, 84
OFFSET, 84, 182, 252, 253, 263
PHT DRIVE, 84, 252, 253, 263
PRES, 84, 252, 253, 255, 262
RANGE, 84, 172, 262
RANGE1, 84, 172
AUTO, 99
RANGE2, 84, 172
AUTO, 99
SAMPLE FL, 84, 262
SAMPLE TEMP, 84, 85, 175, 262, 276
SLOPE, 84, 182, 252, 253, 263
STABIL, 84, 252, 253, 262, 278, 294, 295
TIME, 84, 194, 262
WHEEL TEMP, 84, 262
TIME, 84, 194, 262
Touch screen Interface Electronics
Troubleshooting, 280
U
Units of Measurement, 49, 100, 101
Volumetric Units vs Mass Units, 100
USB, 62
V
Valve Options, 31, 189, 239
Calibration Using, 187, 190
Internal Span Gas Generator
AutoCal, 193
Hessen Flags, 175
Warning Messages, 47
Shutoff Valve
Span Gas, 65
Zero/Span, 275
Zero/Span Valve w/ Internal Scrubber, 275
Zero/Span Valves
Internal Pneumatics, 63, 270
Pneumatic Set Up, 64, 187
Zero/Span Valves with Internal Scrubber
Internal Pneumatics, 67, 271
Pneumatic Set Up, 68, 188
Zero/Span with Remote Contact Closure, 192
Zero/Span/Shutoff Valves
Internal Pneumatics, 65, 270
Pneumatic Set Up, 66, 187
Zero/Span/Shutoff Valves with Internal Scrubber
Internal Pneumatics, 69, 271
Pneumatic Set Up, 70, 188
VARS Menu, 87, 89, 90, 92, 104, 117, 121
Variable Default Values, 121
Variable Names
CLOCK_ADJ, 121
CONC_PRECISION, 121
DAS_HOLD_OFF, 121
DYN_SPAN, 121
DYN_ZERO, 121
STABIL_GAS, 121
Ventilation Clearance, 36
Venting, 44, 64, 66, 68, 70
Exhaust Line, 45, 65, 66, 68, 70
Sample Gas, 44, 64, 66, 68, 70
Span Gas, 44, 64, 66, 68
Zero Air, 44, 64, 66, 68
W
Warm-up Period, 46
Warnings, 46
06864B DCN6314

Teledyne API – Model T300/T300M CO Analyzer INDEX
343
ANALOG CAL WARNING, 47, 85
AZERO, 175
BENCH TEMP WARNING, 175
BENCH TEMP WARNING, 47, 85, 260
BOX TEMP WARNING, 47, 85, 175, 260
CANNOT DYN SPAN, 47, 85, 175, 260
CANNOT DYN ZERO, 47, 85, 175, 260
CONC ALRM1 WARNING, 85, 175
CONC ALRM2 WARNING, 85, 175
CONFIG INITIALIZED, 47, 85, 260
DATA INITIALIZED, 47, 85, 260
DCPS, 175
O2 CELL TEMP WARNING, 85
PHOTO TEMP WARNING, 47, 85, 260
REAR BOARD NOT DET, 47, 85, 175, 260
RELAY BOARD WARN, 47, 85, 260
SAMPLE FLOW WARN, 47, 85, 175, 260
SAMPLE PRESS WARN, 47, 85, 175, 260
SAMPLE TEMP WARN, 47, 85, 175
SOURCE WARNING, 47, 85, 175
SYNC, 175
SYSTEM RESET, 47, 85, 175
Wheel temp WARNING, 47
WHEEL TEMP WARNING, 85, 175
Watch Dog Circuit, 240
WHEEL TEMP, 84, 262
WHEEL TEMP WARNING, 47, 85, 175
WTEMPW, 110
Z
Zero Air, 23, 31, 41, 42, 44, 48, 56, 62, 64, 65,
66, 67, 68, 69, 70, 86, 179, 180, 187, 193,
211, 216, 217, 218, 219, 253, 262, 263, 273,
274, 275, 278, 282
ZERO AIR Inlet, 31
ZERO CAL, 39, 40, 63, 65, 67, 69, 252, 288,
289
Remote, 40
Zero/Span Valves, 192
Internal Pneumatics, 63, 270
Pneumatic Set Up, 64, 187
Zero/Span Valves with Internal Scrubber
Internal Pneumatics, 67, 271
Pneumatic Set Up, 68, 188
Zero/Span/Shutoff Valves
Internal Pneumatics, 65, 270
Pneumatic Set Up, 66, 187
Zero/Span/Shutoff Valves with Internal
Scrubber
Internal Pneumatics, 69, 271
Pneumatic Set Up, 70, 188
06864B DCN6314

INDEX Teledyne API – Model T300/T300M CO Analyzer
344
This page intentionally left blank.
06864B DCN6314

Teledyne API - T300/T300M and M300E/EM PN 04906H (DCN5840) APPENDIX A - Version Specific Software Documentation
A-1
APPENDIX A - Version Specific Software Documentation
APPENDIX A-1: SOFTWARE MENU TREES, REVISION L.8 ................................................................................. 2
APPENDIX A-2: SETUP VARIABLES FOR SERIAL I/O .......................................................................................... 8
APPENDIX A-3: WARNINGS AND TEST FUNCTIONS ......................................................................................... 21
APPENDIX A-4: SIGNAL I/O DEFINITIONS.......................................................................................................... 26
APPENDIX A-5: DAS TRIGGERS AND PARAMETERS ........................................................................................ 31
APPENDIX A-6: TERMINAL COMMAND DESIGNATORS .................................................................................... 34
APPENDIX A-7: MODBUS REGISTER MAP.......................................................................................................... 35
06864B DCN6314

APPENDIX A-1: Software Menu Trees, Revision L.8 Teledyne API - T300/T300M and M300E/EM PN 04906H (DCN5840)
A-2
APPENDIX A-1: Software Menu Trees, Revision L.8
PRIMARY SETUP
MENU
SAMPLE
MSG1
CALZ4CALS4CLR1SETUP
A1: User Selectable Range2
A2: User Selectable Range2
A3: User Selectable Range2
A4: User Selectable Range2
STABIL
CO MEAS
CO REF
MR RATIO
PRES
SAMPLE FL
SAMP TEMP
BENCH TEMP
WHEEL TEMP
BOX TEMP
O2 CELL TEMP2
PHT DRIVE
CO SLOPE
CO OFFSET
CO SLOPE
CO OFFSET
C2O SLOPE3
CO2 OFFSET3
O2 SLOPE3
O2 OFFSET3
TIME
O23
LOW
<TST TST>
CALTEST1
CO
HIGH
CONCZERO SPAN
O2CO CO2
DASCFG ACAL4CLKRANGE PASS MORE
1 Only appears when warning messages are active.
2Range displays vary depending on user selections (see Section 6.13.5)
3Only appears if analyzer is equipped with O2 or CO2 sensor option.
4 Only appears if analyzer is equipped with Zero/Span or IZS valve options.
5Only appears on T300 and M300EM units with alarm option enabled.
SECONDARY
SETUP MENU
Press to
cycle
through the
active
warning
messages.
Press to
clear an
active
warning
messages.
O23
CO
LOW HIGH
CONCSPAN
CO23
O23
LOW HIGH
CO23
CO CO23
DIAGCOMM VARS ALAR5
Figure A-1: Basic Sample Display Menu
06864B DCN6314

Teledyne API - T300/T300M and M300E/EM PN 04906H (DCN5840) APPENDIX A-1: Software Menu Trees, Revision L.8
A-3
SETUP
PASS
DAS RNGE CLK MORE
ACAL1
CFG
<TST TST>
MODEL TYPE AND NUMBER
PART NUMBER
SERIAL NUMBER
SOFTWARE REVISION
LIBRARY REVISION
iCHIP SOFTWARE REVISION
HESSEN PROTOCOL
REVISION2
CPU TYPE & OS REVISION
DATE FACTORY
CONFIGURATION SAVED
Go to iDAS
Menu Tree
TIME DATE
ON
OFF
UNIT DIL3
PPM MGM
PREV MODENEXT
SEQ 1)
SEQ 2)
SEQ 3)
PREV NEXT
DISABLED
ZERO
ZERO-SPAN
SPAN
CO2 ZERO4
CO2 ZR-SP4
CO2 SPAN4
O2 ZERO4
O2 ZERO-SP4
O2 SPAN4
SET
<SET SET>
LOW5HIGH5
RANGE TO CAL5
DURATION
CALIBRATE
STARTING DATE
STARTING TIME
DELTA DAYS
DELTA TIME
TIMER ENABLE
SAMPLE
OFF
ON
1 ACAL menu and its submenus only appear
if analyzer is equipped with
Zero/Span or IZS valve options.
2Only appears if Dilution option is active
3Only appears if Hessen protocol is active.
4CO2 and O2 modes only appear if analyzer
is equipped with the related sensor option.
5DOES NOT appear if one of the three CO2
O2 modes is selected
Go to
SECONDARY SETUP
Menu Tree
Figure A-2: Primary Setup Menu (Except DAS)
06864B DCN6314

APPENDIX A-1: Software Menu Trees, Revision L.8 Teledyne API - T300/T300M and M300E/EM PN 04906H (DCN5840)
A-4
SETUP
PASS
DAS RNGE CLK MOREACAL1
CFG
SAMPLE
1 ACAL menu only appear if analyzer is equipped with
Zero/Span or IZS valve options.
2Editing an existing DAS channel will erase any
data stored on the channel options.
3Changing the event for an existing DAS channel
DOES NOT erase the data stored on the
channel.
EDITVIEW
PREV NEXT
CONC
CALDAT
PNUMTC
STBSPN
STBZRO
Selects the data point to be viewed
Cycles through
parameters assigned
to this iDAS channel
<PRM PRM>NX10NEXTPREVPV10
EDIT2PRNTDELINSNEXTPREV
ENTER PASSWORD: 818
NO
NX10NEXTSET><SET
YES
NAME
EVENT
PARAMETERS
NUMBER OF RECORDS
REPORT PERIOD
RS-232 REPORT
CAL MODE
CHANNEL ENABLE
ON
OFF NO
YES2
Sets the maximum number of
records recorded by this channel
Sets the time lapse between each
report
Create/edit the name of the channel
PREV NEXT
Cycles through list
of available trigger
events3
NOYES2
EDIT2PRNTDELINSNEXTPREV
NO
PRNTEDITSET><SET
YES
Cycles through list of
currently active
parameters for this
channel
MAXMINAVGINST
PRECISIONSAMPLE MODEPARAMETER
Cycles through list of available &
currently active parameters for this
channel
NEXTPREV
TEMP
VIEW
CONC
CALDAT
PNUMTC
STBSPN
STBZRO
TEMP
Figure A-3: Primary Setup Menu DAS Submenu
06864B DCN6314

Teledyne API - T300/T300M and M300E/EM PN 04906H (DCN5840) APPENDIX A-1: Software Menu Trees, Revision L.8
A-5
Figure A-4: Secondary Setup Menu COMM and VARS Submenus
06864B DCN6314

APPENDIX A-1: Software Menu Trees, Revision L.8 Teledyne API - T300/T300M and M300E/EM PN 04906H (DCN5840)
A-6
SETUP
PASSDAS RNGE CLK MORE
ACAL
CFG
SAMPLE
COMM VARS DIAG
Go to DIAG Menu Tree
HESN2
INET1
ID ENTER PASSWORD: 818
ENTER PASSWORD: 818ENTER PASSWORD: 818
1E-series: Only appears if Ethernet Option is installed.
2Only appears if HESSEN PROTOCOL mode is ON.
Go to COMM / VARS Menu
Tree
Go to COMM / VARS Menu
Tree
COM1 COM2
EDITSET><SET
GAS LISTRESPONSE MODEVARIATION STATUS FLAGS
TYPE2TYPE1 CMDTEXTBCC
EDIT PRNTDELINSNEXTPREV
NOYES GAS TYPE
GAS ID
REPORTED
ON
OFF
Set/create unique gas ID number
CO
CO2
O2
SET><SET
CO, 310, REPORTED
CO2, 311, REPORTED
O2, 312 REPORTED
Figure A-5: Secondary Setup Menu Hessen Protocol Submenu
06864B DCN6314

Teledyne API - T300/T300M and M300E/EM PN 04906H (DCN5840) APPENDIX A-1: Software Menu Trees, Revision L.8
A-7
DISPLAY
SEQUENCE
CONFIGURATION
ANALOG
OUTPUT
SETUP
PASSDAS RNGE CLK MORE
ACAL
CFG
SAMPLE
COMM VARS
DIAG
NEXTPREV
SIGNAL I/
O
ANALOG
CONFIGURATION
DARK
CALIBRATION
ELECTRICAL
TEST
FLOW
CALIBRATION
Press ENTR
to start test
Press ENTR
to start test
Press ENTR
to start test
ENTER PASSWORD: 818
EDIT PRNTDELINSNEXTPREV
NOYES
Cycles through list of
already programmed
display sequences
NEXTPREV
CO
CO24
O24
DISPLAY DATA
DISPLAY DURATION
ENTR
NEXTPREV EXT ZERO CAL
EXT SPAN CAL
REMOTE RANGE HI
SYNC OK
MAINT MODE
LANG2 SELECT
SAMPLE LED
CAL LED
FAULT LED
AUDIBLE BEEPER
ELEC TEST
DARK CAL
ST SYSTEM OK
ST CONC VALID
ST HIGH RANGE
ST ZERO CAL
ST SPAN CAL
ST DIAG MODE
ST CONC ALARM 15
ST CONC ALARM 25
SET AUTO REF5
SET CO2 CAL4
SET O2 CAL4
ST SYSTEM OK2
RELAY WATCHDOG
WHEEL HTR
SENCH HTR
O2 CELL HEATER4
CAL VALVE
SPAN VALVE
ZERO SCRUB VALVE
IR SOURCE ON
30 INTERNAL ANALOG
to VOLTAGE SIGNALS
55 (see Appendix A)
ON
OFF CAL
EDITSET><SET
AOUTS CALIBRATED
DATA OUT 11
DATA OUT 21
DATA OUT 31
DATA OUT 41
AIN CALIBRATED
10V CURR5V1V0.1V
ON
OFF
ON
OFF
CAL2
Auto Cal
Sets time lapse
between data updates
on selected output
Sets the scale
width of the
reporting range.
RANGE OVER
RANGE
CALIBRATED OUTPUT DATA SCALE UPDATE
Cycles through
the list of iDAS
data types.
RANGE
OFFSET2AUTO2
CAL
Sets the
degree of
offset
ON
OFF
U100 UP10 UP DOWN DN10 D100
Manual Cal3
1Correspond to analog Output A1 – A4 on back of
analyzer
2Only appears if one of the voltage ranges is selected.
3Manual adjustment menu only appears if either the
Auto Cal feature is OFF or the range is set for
CURRent.
4Only appears if the related sensor option is installed.
5Only appears in T300M and M300EM
PRESSURE
CALIBRATION
Press ENTR
to start test
Figure A-6: DIAG Menu
06864B DCN6314

APPENDIX A-2: Setup Variables For Serial I/O Teledyne API - T300/T300M and M300E/EM PN 04906H (DCN5840)
A-8
APPENDIX A-2: Setup Variables For Serial I/O
Table A-1: T300/T300M and M300E/EM Setup Variables, Revision L.8
Setup Variable Numeric
Units
Default
Value
Value
Range
Description
Low Access Level Setup Variables (818 password)
DAS_HOLD_OFF Minutes 15 0.5–20 Duration of DAS hold off period.
CONC_PRECISION — 3 AUTO,
0,
1,
2,
3,
4
Number of digits to display to the
right of the decimal point for
concentrations on the display.
REM_CAL_DURATION 17 Minutes 20 1–120 Duration of automatic calibration
initiated from TAI protocol.
STABIL_GAS — CO
0 CO,
CO2 10,
O2 14
Selects gas for stability
measurement.
DYN_ZERO — OFF ON, OFF
ON enables remote dynamic
zero calibration; OFF disables it.
DYN_SPAN — OFF ON, OFF
ON enables remote dynamic
span calibration; OFF disables it.
CLOCK_ADJ Sec./Day 0 -60–60
Time-of-day clock speed
adjustment.
Medium Access Level Setup Variables (929 password)
LANGUAGE_SELECT — ENGL
0 ENGL,
SECD,
EXTN
Selects the language to use for
the user interface.
MAINT_TIMEOUT Hours 2 0.1–100
Time until automatically
switching out of software-
controlled maintenance mode.
CONV_TIME — 33 MS
0 33 MS,
66 MS,
133 MS,
266 MS,
533 MS,
1 SEC,
2 SEC
Conversion time for
measure/reference detector
channel.
CO_DWELL Seconds 0.2 0.1–30
Dwell time before taking
measure or reference sample.
CO_SAMPLE Samples 1 1–30
Number of samples to take in
measure or reference mode.
PRE_FILT_SIZE 5, 19 Samples 16 1–50 Moving average pre-filter size.
FILT_SIZE Samples 750,
720 9, 12
200 3, 8
1000 19, 23
1–1000 Moving average filter size.
06864B DCN6314

Teledyne API - T300/T300M and M300E/EM PN 04906H (DCN5840) APPENDIX A-2: Setup Variables For Serial I/O
A-9
Setup Variable Numeric
Units
Default
Value
Value
Range
Description
FILT_ASIZE Samples 48,
20 3, 8,
40 20, 22
1–1000 Moving average filter size in
adaptive mode.
FILT_DELTA PPM 4,
0.7 5
15 3, 8
0.15 9, 12
0.4 19, 23
0.2 20, 22
1–1000 Absolute change to trigger
adaptive filter.
FILT_PCT % 10
5 20, 22, 23
1–100 Percent change to trigger
adaptive filter.
FILT_DELAY Seconds 90,
72 20, 22
0–180 Delay before leaving adaptive
filter mode.
FILT_ADAPT — ON ON, OFF
ON enables adaptive filter; OFF
disables it.
CO2_DWELL 10 Seconds 0.1 0.1–30
Dwell time before taking each
sample.
CO2_FILT_ADAPT 10 — ON ON, OFF
ON enables CO2 adaptive filter;
OFF disables it.
CO2_FILT_SIZE 10 Samples 48 1–300 CO2 moving average filter size.
CO2_FILT_ASIZE 10 Samples 12 1–300
CO2 moving average filter size in
adaptive mode.
CO2_FILT_DELTA 10 % 2 0.01–10
Absolute CO2 conc. change to
trigger adaptive filter.
CO2_FILT_PCT 10 % 10 0.1–100
Percent CO2 conc. change to
trigger adaptive filter.
CO2_FILT_DELAY 10 Seconds 90 0–300
Delay before leaving CO2
adaptive filter mode.
CO2_DIL_FACTOR 10 — 1 0.1–1000
Dilution factor for CO2. Used only
if is dilution enabled with
FACTORY_OPT variable.
O2_DWELL 14 Seconds 1 0.1–30
Dwell time before taking each
sample.
O2_FILT_ADAPT 14 — ON ON, OFF
ON enables O2 adaptive filter;
OFF disables it.
O2_FILT_SIZE 14 Samples 60 1–500
O2 moving average filter size in
normal mode.
O2_FILT_ASIZE 14 Samples 10 1–500
O2 moving average filter size in
adaptive mode.
O2_FILT_DELTA 14 % 2 0.1–100
Absolute change in O2
concentration to shorten filter.
O2_FILT_PCT 14 % 2 0.1–100
Relative change in O2
concentration to shorten filter.
O2_FILT_DELAY 14 Seconds 20 0–300
Delay before leaving O2 adaptive
filter mode.
O2_DIL_FACTOR 14 — 1 0.1–1000
Dilution factor for O2. Used only if
is dilution enabled with
FACTORY_OPT variable.
06864B DCN6314

APPENDIX A-2: Setup Variables For Serial I/O Teledyne API - T300/T300M and M300E/EM PN 04906H (DCN5840)
A-10
Setup Variable Numeric
Units
Default
Value
Value
Range
Description
PPB,
PPM,
UGM,
MGM
% 4, 5, 9, 18
USER_UNITS — PPM
0
PPM 3, 8
MGM 3, 8
Concentration units for user
interface.
NEG_CONC_SUPPRESS — OFF,
ON 17
OFF, ON ON pegs negative concentrations
at zero; OFF permits negative
concentrations
DIL_FACTOR — 1 0.1–1000
Dilution factor. Used only if is
dilution enabled with
FACTORY_OPT variable.
DARK_CAL_DURATION Seconds 180,
60 4
10–600 Duration of dark cal. First two-
thirds is stabilization period; final
third is measure period.
DARK_MEAS_MV mV 0 -1000–1000 Dark offset for measure reading.
DARK_REF_MV mV 0 -1000–1000 Dark offset for reference reading.
CO2_COMP_ENABLE — OFF ON, OFF
ON enables CO2 compensation;
OFF disables it.
CO2_COMP_CONC % 0 0–20
CO2 concentration to
compensate for.
SOURCE_DRIFT_ENAB 21 — OFF ON, OFF ON enables source drift
compensation; OFF disables it.
SOURCE_DRIFT 21 PPB/Day 0 -500–500
Source drift compensation rate of
change.
CO_CONST1 — 8000,
50015,20,22,23
78.8 9,12
3020 18
500 4,9,12
39600 8
40000 3
100–50000 CO calculation constant.
CO_CONST2 — 0.2110
0.356 20,22,23
0.367 15
1.458 9,12
1.4625 18
1.448 4
0.192 8
0.187 3
0.1196 24
0–10 CO calculation constant.
ET_MEAS_GAIN — 1 0.0001–9.9999 Electrical test gain factor for
measure reading.
ET_REF_GAIN — 1 0.0001–9.9999
Electrical test gain factor for
reference reading.
06864B DCN6314

Teledyne API - T300/T300M and M300E/EM PN 04906H (DCN5840) APPENDIX A-2: Setup Variables For Serial I/O
A-11
Setup Variable Numeric
Units
Default
Value
Value
Range
Description
ET_TARGET_DET mV 4375 0–5000
Target detector reading during
electrical test.
ET_TARGET_CONC PPM 40,
400 3, 8
1–9999.99 Target concentration during
electrical test.
ET_CONC_RANGE Conc. 50,
5000 3, 8
0.1–50000 D/A concentration range during
electrical test.
STD_TEMP ºK 321 1–500
Standard temperature for
temperature compensation.
STD_PRESS "Hg 28.5,
28.7 8,
28.8 12, 18,
28.1 4
1–50 Standard pressure for pressure
compensation.
48 BENCH_SET ºC
Warnings:
43–53
0–100 Optical bench temperature set
point and warning limits.
68,
62 19,23
WHEEL_SET ºC
Warnings:
63–73,
57–67 19,23
0–100 Wheel temperature set point and
warning limits.
50 O2_CELL_SET 14 ºC
Warnings:
45–55
30–70 O2 sensor cell temperature set
point and warning limits.
STD_O2_CELL_TEMP 14 ºK 323 1–500 Standard O2 cell temperature for
temperature compensation.
ZERO_APPLY_IN_CAL 5 — ON OFF, ON
ON applies auto-reference offset
and dilution factor during
zero/span calibration;
OFF disables both.
(Only applicable if
ZERO_ENABLE is ON.)
ZERO_DWELL 3, 5, 8 Seconds,
Minutes 5
7,
3 5
1–60,
1–30 5
Dwell time after closing or
opening zero scrubber valve.
ZERO_SAMPLES 3, 5, 8 Samples 15,
750 5,
1000 19
1–1000 Number of zero samples to
average.
ZERO_FILT_SIZE 3, 5, 8 Samples 5,
1 5
1–100 Auto-zero offset moving average
filter size.
ZERO_LIMIT 3, 5, 8 Ratio 1.2,
1.15 3, 8,
1 5
0–5 Minimum auto-zero ratio allowed;
must be greater than this value
to be valid.
ZERO_CAL 3, 5, 8 Ratio 1.18 0.5–5 Calibrated auto-zero ratio.
06864B DCN6314

APPENDIX A-2: Setup Variables For Serial I/O Teledyne API - T300/T300M and M300E/EM PN 04906H (DCN5840)
A-12
Setup Variable Numeric
Units
Default
Value
Value
Range
Description
CO_TARG_ZERO1 Conc. 0 -100.00–
999.99
Target CO concentration during
zero offset calibration of range 1.
CO_TARG_MID1_1 Conc. 50
5,
300
0.01–9999.99 Target CO concentration during
mid-point #1 calibration of range
1.
CO_TARG_MID2_1 Conc. 50
5,
300
0.01–9999.99 Target CO concentration during
mid-point #2 calibration of range
1.
CO_SPAN1 Conc. 40,
400 3, 8
0.01–9999.99 Target CO concentration during
internal span calibration of range
1.
CO_SLOPE1 — 1 0.001–999.999 CO slope for range 1.
CO_OFFSET1 — 0 -10–10 CO offset for range 1.
CAL_BOX_TEMP1 ºC 30 0–100
Calibrated box temperature for
range 1.
CO_TARG_ZERO2 Conc. 0 -100.00–
999.99
Target CO concentration during
zero offset calibration of range 2.
CO_TARG_MID1_2 Conc. 50
5,
300
0.01–9999.99 Target CO concentration during
mid-point #1 calibration of range
2.
CO_TARG_MID2_2 Conc. 50
5,
300
0.01–9999.99 Target CO concentration during
mid-point #2 calibration of range
2.
CO_SPAN2 Conc. 40,
400 3, 8
0.01–9999.99 Target CO concentration during
internal span calibration of range
2.
CO_SLOPE2 — 1 0.001–999.999 CO slope for range 2.
CO_OFFSET2 — 0 -10–10 CO offset for range 2.
CAL_BOX_TEMP2 ºC 30 0–100
Calibrated box temperature for
range 2.
CO2_TARG_MID1_CONC
10
% 6,
800 16
0.1–1000,
0.1–2000 16
Target CO2 concentration during
mid-point #1 calibration.
CO2_TARG_MID2_CONC
10
% 6,
800 16
0.1–1000,
0.1–2000 16
Target CO2 concentration during
mid-point #2 calibration.
CO2_TARG_SPAN_CON
C 10
% 12 0.1–1000,
0.1–2000 16
Target CO2 concentration during
span calibration.
CO2_SLOPE 10 — 1 0.5–5 CO2 slope.
CO2_OFFSET 10 % 0 -10–10,
-100–100 16
CO2 offset.
O2_TARG_SPAN_CONC 14 % 20.95 0.1–100 Target O2 concentration during
span calibration.
O2_SLOPE 14 — 1 0.5–2 O2 slope.
O2_OFFSET 14 % 0 -10–10 O2 offset.
06864B DCN6314

Teledyne API - T300/T300M and M300E/EM PN 04906H (DCN5840) APPENDIX A-2: Setup Variables For Serial I/O
A-13
Setup Variable Numeric
Units
Default
Value
Value
Range
Description
RANGE_MODE — SNGL
0 SNGL,
DUAL,
AUTO
Range control mode.
CONC_RANGE1 Conc. 50,
200 6,
500 3, 8
0.1–50000 D/A concentration range 1.
CONC_RANGE2 1 Conc. 50,
200 6,
500 3, 8
0.1–50000 D/A concentration range 2.
CO2_RANGE 10 % 15 0.1–500,
0.1–2000 16
CO2 concentration range.
O2_RANGE 14 % 100 0.1–500 O2 concentration range.
RS232_MODE BitFlag 0 0–65535
RS-232 COM1 mode flags. Add
values to combine flags.
1 = quiet mode
2 = computer mode
4 = enable security
8 = enable hardware
handshaking
16 = enable Hessen protocol 11
32 = enable multi-drop
64 = enable modem
128 = ignore RS-232 line errors
256 = disable XON / XOFF
support
512 = disable hardware FIFOs
1024 = enable RS-485 mode
2048 = even parity, 7 data bits, 1
stop bit
4096 = enable command prompt
8192 = even parity, 8 data bits, 1
stop bit
16384 = enable dedicated
MODBUS ASCII protocol
32678 = enable dedicated
MODBUS RTU or TCP protocol
16384 = enable TAI protocol 17
BAUD_RATE — 115200
0 300,
1200,
2400,
4800,
9600,
19200,
38400,
57600,
115200
RS-232 COM1 baud rate.
06864B DCN6314

APPENDIX A-2: Setup Variables For Serial I/O Teledyne API - T300/T300M and M300E/EM PN 04906H (DCN5840)
A-14
Setup Variable Numeric
Units
Default
Value
Value
Range
Description
MODEM_INIT —
“AT Y0 &D0
&H0 &I0 S0=2
&B0 &N6 &M0
E0 Q1 &W0” 0
Any character
in the allowed
character set.
Up to 100
characters
long.
RS-232 COM1 modem
initialization string. Sent verbatim
plus carriage return to modem on
power up or manually.
RS232_MODE2 BitFlag 0 0–65535 RS-232 COM2 mode flags.
(Same settings as
RS232_MODE.)
BAUD_RATE2 — 19200
0 300,
1200,
2400,
4800,
9600,
19200,
38400,
57600,
115200
RS-232 COM2 baud rate.
MODEM_INIT2 —
“AT Y0 &D0
&H0 &I0 S0=2
&B0 &N6 &M0
E0 Q1 &W0” 0
Any character
in the allowed
character set.
Up to 100
characters
long.
RS-232 COM2 modem
initialization string. Sent verbatim
plus carriage return to modem on
power up or manually.
RS232_PASS Password 940331 0–999999 RS-232 log on password.
MACHINE_ID ID 300,
320 4
0–9999 Unique ID number for instrument.
COMMAND_PROMPT — “Cmd> ”
0 Any character
in the allowed
character set.
Up to 100
characters
long.
RS-232 interface command
prompt. Displayed only if enabled
with RS232_MODE variable.
06864B DCN6314

Teledyne API - T300/T300M and M300E/EM PN 04906H (DCN5840) APPENDIX A-2: Setup Variables For Serial I/O
A-15
Setup Variable Numeric
Units
Default
Value
Value
Range
Description
TEST_CHAN_ID — NONE
0 NONE,
CO
MEASURE,
CO
REFERENC
E,
VACUUM
PRESSURE,
SAMPLE
PRESSURE,
SAMPLE
FLOW,
SAMPLE
TEMP,
BENCH
TEMP,
WHEEL
TEMP,
O2 CELL
TEMP 14,
CHASSIS
TEMP,
PHT DRIVE,
TEMP4 5
Diagnostic analog output ID.
REMOTE_CAL_MODE — LOW
0 LOW,
HIGH,
CO2 10,
O2 14
CO range or other gas to
calibrate during contact closure
or Hessen calibration.
PASS_ENABLE — OFF ON, OFF
ON enables passwords; OFF
disables them.
STABIL_FREQ Seconds 10
120 19, 23
1–300 Stability measurement sampling
frequency.
STABIL_SAMPLES Samples 25 2–40
Number of samples in
concentration stability reading.
2500 PHOTO_TEMP_SET mV
Warnings:
250–4750
0–5000 Photometer temperature warning
limits. Set point is not used.
29.92 SAMP_PRESS_SET In-Hg
Warnings:
15–32
0–100 Sample pressure warning limits.
Set point is not used.
06864B DCN6314

APPENDIX A-2: Setup Variables For Serial I/O Teledyne API - T300/T300M and M300E/EM PN 04906H (DCN5840)
A-16
Setup Variable Numeric
Units
Default
Value
Value
Range
Description
800,
2000 13
1800 5,19
SAMP_FLOW_SET cc/m
Warnings:
640–960,
1400–2200
5,19
1500–2500 13
0–5000 Sample flow warning limits. Set
point is not used.
SAMP_FLOW_SLOPE — 1
4.5 5,19
0.001–100 Slope term to correct sample
flow rate.
VAC_SAMP_RATIO — 0.53,
0.61 13
0.1–2 Maximum vacuum pressure /
sample pressure ratio for valid
sample flow calculation.
7.5 PURGE_PRESS_SET PSIG
Warnings:
2.5–12.5
0–100 Purge pressure warning limits.
Set point is not used.
30 SAMP_TEMP_SET ºC
Warnings:
10.1–100
0–100 Sample temperature warning
limits. Set point is not used.
30 BOX_SET ºC
Warnings:
5–48
0–100 Internal box temperature warning
limits. Set point is not used.
30
46 19,23
BOX2_SET 5,
OVEN_SET 19,23
ºC
Warnings:
25–35
41–51 19,23
0–100 Internal box temperature #2 /
oven set point and warning limits.
BOX2_CYCLE 5,
OVEN_CYCLE 19,23
Seconds 10 0.5–30 Internal box temperature #2/oven
control cycle period.
BOX2_PROP 5,
OVEN_PROP 19,23
1/ºC 1
0.5 19,23
0–100 Internal box temperature #2/oven
PID proportional coefficient.
Proportional band is the
reciprocal of this setting.
BOX2_INTEG 5,
OVEN_INTEG 19,23
— 0.1
0.02 19,23
0–100 Internal box temperature #2/oven
PID integral coefficient.
BOX2_DERIV 5,
OVEN_DERIV 19,23
— 0 0–100
Internal box temperature #2/oven
PID derivative coefficient.
BENCH_CYCLE Seconds 2
15 19,23
0.5–30 Optical bench temperature
control cycle period.
BENCH_PROP 1/ºC 5
1.5 19,23
0–100 100V optical bench temperature
PID proportional coefficient.
Proportional band is the
reciprocal of this setting.
BENCH_INTEG — 0.5
1.5 19,23
0–100 100V optical bench temperature
PID integral coefficient.
06864B DCN6314

Teledyne API - T300/T300M and M300E/EM PN 04906H (DCN5840) APPENDIX A-2: Setup Variables For Serial I/O
A-17
Setup Variable Numeric
Units
Default
Value
Value
Range
Description
BENCH_DERIV — 2
0 19,23
0–100 100V optical bench temperature
PID derivative coefficient.
BENCH_PROP2 1/ºC 5
0.75 19,23
0–100 200V optical bench temperature
PID proportional coefficient.
Proportional band is the
reciprocal of this setting.
BENCH_INTEG2 — 0.5
0.75 19,23
0–100 200V optical bench temperature
PID integral coefficient.
BENCH_DERIV2 — 2
0 19,23
0–100 200V optical bench temperature
PID derivative coefficient.
WHEEL_CYCLE Seconds 4
2 4,9,12,18
8 19,23
0.5–30 Wheel temperature control cycle
period.
WHEEL_PROP 1/ºC 1
0.3 19,23
0–100 100V wheel temperature PID
proportional coefficient.
Proportional band is the
reciprocal of this setting.
WHEEL_INTEG — 0.135
0.035 4,9,12,18
0.06 19,23
0–100 100V wheel temperature PID
integral coefficient.
WHEEL_DERIV — 2
0 19,23
0–100 100V wheel temperature PID
derivative coefficient.
WHEEL_PROP2 1/ºC 1
0.1 19,23
0–100 200V wheel temperature PID
proportional coefficient.
Proportional band is the
reciprocal of this setting.
WHEEL_INTEG2 — 0.135
0.035 4,9,12,18
0.01 19,23
0–100 200V wheel temperature PID
integral coefficient.
WHEEL_DERIV2 — 2
0 19,23
0–100 200V wheel temperature PID
derivative coefficient.
O2_CELL_CYCLE 14 Seconds 10 0.5–30
O2 cell temperature control cycle
period.
O2_CELL_PROP 14 — 1 0–10
O2 cell PID temperature control
proportional coefficient.
O2_CELL_INTEG 14 — 0.1 0–10
O2 cell PID temperature control
integral coefficient.
O2_CELL_DERIV 14 — 0 (disabled) 0–10
O2 cell PID temperature control
derivative coefficient.
BOX_TEMP_GAIN PPB/DegC 0,
5 9
0–100 Gain factor for box temperature
compensation of concentration.
TPC_ENABLE — ON OFF, ON
ON enables temperature/
pressure compensation; OFF
disables it.
CONC_LIN_ENABLE — ON OFF, ON
ON enables concentration
linearization; OFF disables it.
STAT_REP_PERIOD 17 Seconds 1 0.5–120
TAI protocol status message
report period.
06864B DCN6314

APPENDIX A-2: Setup Variables For Serial I/O Teledyne API - T300/T300M and M300E/EM PN 04906H (DCN5840)
A-18
Setup Variable Numeric
Units
Default
Value
Value
Range
Description
SERIAL_NUMBER —
“00000000 ”
0
Any character
in the allowed
character set.
Up to 100
characters
long.
Unique serial number for
instrument.
DISP_INTENSITY — HIGH
0 HIGH,
MED,
LOW,
DIM
Front panel display intensity.
I2C_RESET_ENABLE — ON OFF, ON
ON enables automatic reset of
the I2C bus in the event of
communication failures; OFF
disables automatic reset.
CLOCK_FORMAT —
“TIME=%H:%
M:%S”
Any character
in the allowed
character set.
Up to 100
characters
long.
Time-of-day clock format flags.
Enclose value in double quotes
(") when setting from the RS-232
interface.
“%a” = Abbreviated weekday
name.
“%b” = Abbreviated month name.
“%d” = Day of month as decimal
number (01 – 31).
“%H” = Hour in 24-hour format
(00 – 23).
“%I” = Hour in 12-hour format (01
– 12).
“%j” = Day of year as decimal
number (001 – 366).
“%m” = Month as decimal
number (01 – 12).
“%M” = Minute as decimal
number (00 – 59).
“%p” = A.M./P.M. indicator for
12-hour clock.
“%S” = Second as decimal
number (00 – 59).
“%w” = Weekday as decimal
number (0 – 6; Sunday is 0).
“%y” = Year without century, as
decimal number (00 – 99).
“%Y” = Year with century, as
decimal number.
“%%” = Percent sign.
ALARM_TRIGGER 3,4 Cycles 10 1–100
Concentration alarm trigger
sensitivity adjustment.
REF_SDEV_LIMIT mV 50 0.1–500
Reference detector standard
deviation must be below this limit
to switch out of startup mode.
06864B DCN6314

Teledyne API - T300/T300M and M300E/EM PN 04906H (DCN5840) APPENDIX A-2: Setup Variables For Serial I/O
A-19
Setup Variable Numeric
Units
Default
Value
Value
Range
Description
3000 (not
used)
REF_SOURCE_LIMIT mV
Warnings:
1100–4800,
25–4800 3, 4, 15
1–5000 Reference source warning limits.
Set point is not used.
FACTORY_OPT BitFlag 512,
768 5
0–65535 Factory option flags. Add values
to combine flags.
1 = enable dilution factor
2 = zero/span valves installed
4 = enable conc. alarms
8 = enable linearity adjustment
factor
16 = display units in
concentration field
32 = enable software-controlled
maintenance mode
64 3, 5 = span valve installed
128 = enable switch-controlled
maintenance mode
256 = compute only offset during
zero calibration
512 = 220 V A/C power
1024 = non-zero offset
calibration (linearity adjustment
must also be enabled)
2048 = enable Internet option 7
4096 = use “old” style numeric
data entry menus when editing
conc. table
8192 = locate high range and
zero cal. status outputs on relays
06864B DCN6314

APPENDIX A-2: Setup Variables For Serial I/O Teledyne API - T300/T300M and M300E/EM PN 04906H (DCN5840)
A-20
Setup Variable Numeric
Units
Default
Value
Value
Range
Description
0 Enclose value in double quotes (") when setting from the RS-232 interface
1 Multi-range modes
2 Hessen protocol
3 T300H, M300EH
4 T360, M360E
5 T300U, M300EU
6 Fixed range special
7 iChip option (E-Series)
8 T300M, M300EM
9 GFC7000E
10 CO2 option
11 Must power-cycle instrument for these options to take effect
12 T360U, M360EU
13 Riken Keiki special
14 O
2 option
15 T320, M320E
16 CO2 PPM sensor
17 TAI protocol
18 T360M, M360EM
19 T300U2, M300EU2
20 T320U, M320EU
21 Source drift compensation option
22 GFC7002EU
23 T320U2, M320EU2
24 N
2O compensation option
06864B DCN6314

Teledyne API - T300/T300M and M300E/EM PN 04906H (DCN5840) APPENDIX A-3: Warnings and Test Functions
A-21
APPENDIX A-3: Warnings and Test Functions
Table A-2: T300/T300M and M300E/EM Warning Messages, Revision L.8
Name 1 Message Text Description
Warnings
WSYSRES SYSTEM RESET Instrument was power-cycled or the CPU
was reset.
WDATAINIT DATA INITIALIZED Data storage was erased.
WCONFIGINIT CONFIG INITIALIZED Configuration storage was reset to factory
configuration or erased.
WCONCALARM1 CONC ALARM 1 WARN Concentration limit 1 exceeded.
WCONCALARM2 CONC ALARM 2 WARN Concentration limit 2 exceeded.
WSOURCE SOURCE WARNING
Reference reading minus dark offset
outside of warning limits specified by
REF_SOURCE_LIMIT variable.
WAUTOZERO 4, 5 AZERO WARN 1.001 Auto-reference ratio below limit specified
by ZERO_LIMIT variable.
WBENCHTEMP BENCH TEMP WARNING Bench temperature outside of warning
limits specified by BENCH_SET variable.
WWHEELTEMP WHEEL TEMP WARNING Wheel temperature outside of warning
limits specified by WHEEL_SET variable.
WO2CELLTEMP 10 O2 CELL TEMP WARN O2 sensor cell temperature outside of
warning limits specified by O2_CELL_SET
variable.
WSAMPFLOW 6 SAMPLE FLOW WARN Sample flow outside of warning limits
specified by SAMP_FLOW_SET variable.
WSAMPPRESS SAMPLE PRESS WARN Sample pressure outside of warning limits
specified by SAMP_PRESS_SET
variable.
WSAMPTEMP SAMPLE TEMP WARN Sample temperature outside of warning
limits specified by SAMP_TEMP_SET
variable.
WPURGEPRESS 9 PURGE PRESS WARN Purge pressure outside of warning limits
specified by PURGE_PRESS_SET
variable.
WBOXTEMP BOX TEMP WARNING
Internal box temperature outside of
warning limits specified by BOX_SET
variable.
WBOXTEMP2 4 BOX TEMP2 WARNING Internal box temperature #2 outside of
warning limits specified by BOX2_SET
variable.
WOVENTEMP 11 OVEN TEMP WARNING Oven temperature outside of warning
limits specified by OVEN_SET variable.
WPHOTOTEMP PHOTO TEMP WARNING
Photometer temperature outside of
warning limits specified by
PHOTO_TEMP_SET variable.
WDYNZERO CANNOT DYN ZERO Contact closure zero calibration failed
while DYN_ZERO was set to ON.
WDYNSPAN CANNOT DYN SPAN Contact closure span calibration failed
while DYN_SPAN was set to ON.
WREARBOARD REAR BOARD NOT DET Rear board was not detected during
power up.
06864B DCN6314

APPENDIX A-3: Warnings and Test Functions Teledyne API - T300/T300M and M300E/EM PN 04906H (DCN5840)
A-22
Name 1 Message Text Description
WRELAYBOARD RELAY BOARD WARN Firmware is unable to communicate with
the relay board.
WFRONTPANEL12 FRONT PANEL WARN Firmware is unable to communicate with
the front panel.
WANALOGCAL ANALOG CAL WARNING The A/D or at least one D/A channel has
not been calibrated.
1 The name is used to request a message via the RS-232 interface, as in “T BOXTEMP”
2 Engineering software
3 Current instrument units
4 T300U, M300EU
5 T300H, M300EH
6 Except T360U, M360EU (APR version)
7 T360, M360E
8 Sample pressure or differential pressure flow measurement option
9 GFC7000E
10 O
2 option
11 T300U2, T320U2, M300EU2, M320EU2
12 Applies to E-Series only
06864B DCN6314

Teledyne API - T300/T300M and M300E/EM PN 04906H (DCN5840) APPENDIX A-3: Warnings and Test Functions
A-23
Table A-3: T300/T300M and M300E/EM Test Functions, Revision L.8
TEST FUNCTION NAME MESSAGE TEXT DESCRIPTION
RANGE RANGE=50.0 PPM 3
CO RANGE=50.0 PPM 3, 7
D/A range in single or auto-range modes.
RANGE1 RANGE1=50.0 PPM 3
CO RANGE1=50.0 PPM 3, 7
D/A #1 range in dual range mode.
RANGE2 RANGE2=50.0 PPM 3
CO RANGE2=50.0 PPM 3, 7
D/A #2 range in dual range mode.
CO2RANGE CO2 RANGE=20 % 7 CO2 range.
O2RANGE O2 RANGE=100 % 10 O
2 range.
STABILITY STABIL=0.0 PPM 3
CO STB=0.0 PPM 3, 7, 10
CO2 STB=0.0 % 7
O2 STB=0.0 % 10
Concentration stability (standard deviation
based on setting of STABIL_FREQ and
STABIL_SAMPLES).
RESPONSE 2 RSP=0.20(0.00) SEC Instrument response. Length of each
signal processing loop. Time in
parenthesis is standard deviation.
COMEAS CO MEAS=4125.0 MV Detector measure reading.
COREF CO REF=3750.0 MV Detector reference reading.
MRRATIO MR RATIO=1.100 Measure/reference ratio.
AUTOZERO 4, 5 AZERO RATIO=1.234 Measure/reference ratio during auto-
reference.
SAMPPRESS PRES=29.9 IN-HG-A Sample pressure.
PURGEPRESS 9 PURGE=7.5 PSIG Purge pressure
VACUUM 8 VAC=6.8 IN-HG-A Vacuum pressure.
SAMPFLOW 6 SAMP FL=751 CC/M Sample flow rate.
SAMPTEMP SAMPLE TEMP=26.8 C Sample temperature.
BENCHTEMP BENCH TEMP=48.1 C Bench temperature.
WHEELTEMP WHEEL TEMP=68.1 C Wheel temperature.
O2CELLTEMP 10 O2 CELL TEMP=50.2 C O2 sensor cell temperature.
BOXTEMP BOX TEMP=26.8 C Internal box temperature.
BOXTEMP2 4 BOX TEMP2=29.6 C Internal box temperature #2.
OVENTEMP 11 OVEN TEMP=30.1 C Oven temperature
PHOTOTEMP PHT DRIVE=2500.0 MV Photometer temperature.
COSLOPE SLOPE=1.000
CO SLOPE=1.000 7
CO slope for current range, computed
during zero/span calibration.
COSLOPE1 SLOPE1=1.000
CO SLOPE1=1.000 7
CO slope for range #1 in dual range
mode, computed during zero/span
calibration.
COSLOPE2 SLOPE2=1.000
CO SLOPE2=1.000 7
CO slope for range #2 in dual range
mode, computed during zero/span
calibration.
COOFFSET OFFSET=0.000
CO OFFSET=0.000 7
CO offset for current range, computed
during zero/span calibration.
COOFFSET1 OFFSET1=0.000
CO OFFSET1=0.000 7
CO offset for range #1 in dual range
mode, computed during zero/span
calibration.
06864B DCN6314

APPENDIX A-3: Warnings and Test Functions Teledyne API - T300/T300M and M300E/EM PN 04906H (DCN5840)
A-24
TEST FUNCTION NAME MESSAGE TEXT DESCRIPTION
COOFFSET2 OFFSET2=0.000
CO OFFSET2=0.000 7
CO offset for range #2 in dual range
mode, computed during zero/span
calibration.
CO2SLOPE 7 CO2 SLOPE=1.000 CO2 slope, computed during zero/span
calibration.
CO2OFFSET 7 CO2 OFFSET=0.000 CO2 offset, computed during zero/span
calibration.
O2SLOPE 10 O2 SLOPE=0.980 O2 slope, computed during zero/span
calibration.
O2OFFSET 10 O2 OFFSET=1.79 % O2 offset, computed during zero/span
calibration.
CO CO=17.7 PPM 3 CO concentration for current range.
CO2 7 CO2=15.0 % CO2 concentration.
O2 10 O2=0.00 % O2 concentration.
TESTCHAN TEST=1751.4 MV Value output to TEST_OUTPUT analog
output, selected with TEST_CHAN_ID
variable.
CLOCKTIME TIME=09:52:20 Current instrument time of day clock.
RANGE(s) User Configurable
CO2RANGE CO2 RANGE=20 % 1 CO2 range.
O2RANGE O2 RANGE=100 % 2 O
2 range.
STABILITY STABIL=0.0 PPM
CO STB=0.0 PPM 1, 2
CO2 STB=0.0 % 1
O2 STB=0.0 % 2
Concentration stability (standard deviation
based on setting of STABIL_FREQ and
STABIL_SAMPLES).
COMEAS CO MEAS=4125.0 MV Detector measure reading.
COREF CO REF=3750.0 MV Detector reference reading.
MRRATIO MR RATIO=1.100 Measure/reference ratio.
SAMPPRESS PRES=29.9 IN-HG-A Sample pressure.
SAMPFLOW SAMP FL=751 CC/M Sample flow rate.
SAMPTEMP SAMPLE TEMP=26.8 C Sample temperature.
BENCHTEMP BENCH TEMP=48.1 C Bench temperature.
WHEELTEMP WHEEL TEMP=68.1 C Wheel temperature.
O2CELLTEMP 2 O2 CELL TEMP=50.2 C O2 sensor cell temperature.
BOXTEMP BOX TEMP=26.8 C Internal chassis temperature.
PHOTOTEMP PHT DRIVE=2500.0 MV Photometer temperature.
COSLOPE SLOPE=1.000
CO SLOPE=1.000 1
CO slope for current range, computed
during zero/span calibration.
COSLOPE1 SLOPE1=1.000
CO SLOPE1=1.000 1
CO slope for range #1 in dual range
mode, computed during zero/span
calibration.
COSLOPE2 SLOPE2=1.000
CO SLOPE2=1.000 1
CO slope for range #2 in dual range
mode, computed during zero/span
calibration.
COOFFSET OFFSET=0.000
CO OFFSET=0.000 1
CO offset for current range, computed
during zero/span calibration.
COOFFSET1 OFFSET1=0.000
CO OFFSET1=0.000 1
CO offset for range #1 in dual range
mode, computed during zero/span
calibration.
COOFFSET2 OFFSET2=0.000
CO OFFSET2=0.000 1
CO offset for range #2 in dual range
mode, computed during zero/span
calibration.
CO2SLOPE 1 CO2 SLOPE=1.000 CO2 slope, computed during zero/span
calibration.
CO2OFFSET 1 CO2 OFFSET=0.000 CO2 offset, computed during zero/span
calibration.
06864B DCN6314

Teledyne API - T300/T300M and M300E/EM PN 04906H (DCN5840) APPENDIX A-3: Warnings and Test Functions
A-25
TEST FUNCTION NAME MESSAGE TEXT DESCRIPTION
O2SLOPE 2 O2 SLOPE=0.980 O2 slope, computed during zero/span
calibration.
O2OFFSET 2 O2 OFFSET=1.79 % O2 offset, computed during zero/span
calibration.
CO CO=17.7 PPM CO concentration for current range.
CO2 1 CO2=15.0 % CO2 concentration.
O2 2 O2=0.00 WT% O2 concentration.
TESTCHAN TEST=1751.4 MV Value output to TEST_OUTPUT analog
output, selected with TEST_CHAN_ID
variable.
CLOCKTIME TIME=09:52:20 Current instrument time of day clock.
1 The name is used to request a message via the RS-232 interface, as in “T BOXTEMP”
2 Engineering software
3 Current instrument units
4 T300U, M300EU
5 T300H, M300EH
6 Except T360U, M360EU (APR version)
7 T360, M360E
8 Sample pressure or differential pressure flow measurement option
9 GFC7000E
10 O
2 option
11 T300U2, T320U2, M300EU2, M320EU2
06864B DCN6314

APPENDIX A-4: Signal I/O Definitions Teledyne API - T300/T300M and M300E/EM PN 04906H (DCN5840)
A-26
APPENDIX A-4: Signal I/O Definitions
Table A-4: Signal I/O Definitions for T300/T300M and M300E/EM Series Analyzers, Revision L.8
Signal Name Bit or Channel
Number
Description
Internal inputs, U7, J108, pins 9–16 = bits 0–7, default I/O address 322 hex
SYNC_OK 0 1 = sync. OK
0 = sync. error
1–7 Spare
Internal outputs, U8, J108, pins 1–8 = bits 0–7, default I/O address 322 hex
ELEC_TEST 0 1 = electrical test on
0 = off
DARK_CAL 1 1 = dark calibration on
0 = off
2–5 Spare
I2C_RESET 6 1 = reset I2C peripherals
0 = normal
I2C_DRV_RST 7 0 = hardware reset 8584 chip
1 = normal
Control inputs, U11, J1004, pins 1–6 = bits 0–5, default I/O address 321 hex
EXT_ZERO_CAL 0 0 = go into zero calibration
1 = exit zero calibration
EXT_SPAN_CAL 1 0 = go into span calibration
1 = exit span calibration
REMOTE_RANGE_HI 2 0 = select high range during contact closure calibration
1 = select low range
3–5 Spare
6–7 Always 1
Control inputs, U14, J1006, pins 1–6 = bits 0–5, default I/O address 325 hex
0–5 Spare
6–7 Always 1
Control outputs, U17, J1008, pins 1–8 = bits 0–7, default I/O address 321 hex
0–7 Spare
Control outputs, U21, J1008, pins 9–12 = bits 0–3, default I/O address 325 hex
0–3 Spare
06864B DCN6314

Teledyne API - T300/T300M and M300E/EM PN 04906H (DCN5840) APPENDIX A-4: Signal I/O Definitions
A-27
Signal Name Bit or Channel
Number
Description
Alarm outputs, U21, J1009, pins 1–12 = bits 4–7, default I/O address 325 hex
ST_SYSTEM_OK2 4 1 = system OK
0 = any alarm condition or in diagnostics mode
ST_CONC_ALARM_1 8 5 1 = conc. limit 1 exceeded
0 = conc. OK
ST_HIGH_RANGE 10 + 13 5 1 = high auto-range in use
0 = low auto-range
ST_CONC_ALARM_2 8 6 1 = conc. limit 2 exceeded
0 = conc. OK
ST_ZERO_CAL 10 + 13 6 1 = in zero calibration
0 = not in zero
ST_HIGH_RANGE2 16 7 1 = high auto-range in use (mirrors ST_HIGH_RANGE
status output)
0 = low auto-range
A status outputs, U24, J1017, pins 1–8 = bits 0–7, default I/O address 323 hex
ST_SYSTEM_OK 0 0 = system OK
1 = any alarm condition
ST_CONC_VALID 1 0 = conc. valid
1 = hold off or other conditions
ST_HIGH_RANGE 2 0 = high auto-range in use
1 = low auto-range
ST_ZERO_CAL 3 0 = in zero calibration
1 = not in zero
ST_SPAN_CAL 4 0 = in span calibration
1 = not in span
ST_DIAG_MODE 5 0 = in diagnostic mode
1 = not in diagnostic mode
ST_AUTO_REF 3 6 0 = in auto-reference mode
1 = not in auto-reference mode
7 Spare
B status outputs, U27, J1018, pins 1–8 = bits 0–7, default I/O address 324 hex
ST_AUTO_REF 2 0 0 = in auto-reference mode
1 = not in auto-reference mode
1–5 Spare
ST_CO2_CAL 7 6 0 = in CO2 calibration
1 = not in CO2 calibration
ST_O2_CAL 5 7 0 = in O2 calibration
1 = not in O2 calibration
06864B DCN6314

APPENDIX A-4: Signal I/O Definitions Teledyne API - T300/T300M and M300E/EM PN 04906H (DCN5840)
A-28
Signal Name Bit or Channel
Number
Description
Front panel I2C keyboard, default I2C address 4E hex
MAINT_MODE 5 (input) 0 = maintenance mode
1 = normal mode
LANG2_SELECT 6 (input) 0 = select second language
1 = select first language (English)
SAMPLE_LED 8 (output) 0 = sample LED on
1 = off
CAL_LED 9 (output) 0 = cal. LED on
1 = off
FAULT_LED 10 (output) 0 = fault LED on
1 = off
AUDIBLE_BEEPER 14 (output) 0 = beeper on (for diagnostic testing only)
1 = off
Relay board digital output (PCF8574), default I2C address 44 hex
RELAY_WATCHDOG 0 Alternate between 0 and 1 at least every 5 seconds to keep
relay board active
WHEEL_HTR 1 0 = wheel heater on
1 = off
BENCH_HTR 2 0 = optical bench heater on
1 = off
O2_CELL_HEATER 5 3 0 = O2 sensor cell heater on
1 = off
BOX2_HEATER 3,
OVEN_HEATER 15
3 0 = internal box temperature #2/oven heater on
1 = off
CAL_VALVE 4 0 = let cal. gas in
1 = let sample gas in
SPAN_VALVE 5 0 = let span gas in
1 = let zero gas in
ZERO_SCRUB_VALVE 2,3 6 0 = open zero scrubber valve
1 = close
SHUTOFF_VALVE 6
7 3,15
0 = energize shutoff valve
1 = de-energize
IR_SOURCE_ON 7
n/a 3,15
0 = IR source on
1 = off
06864B DCN6314

Teledyne API - T300/T300M and M300E/EM PN 04906H (DCN5840) APPENDIX A-4: Signal I/O Definitions
A-29
Signal Name Bit or Channel
Number
Description
Rear board primary MUX analog inputs
SAMPLE_PRESSURE 0 Sample pressure
VACUUM_PRESSURE 6 1 Vacuum pressure
PURGE_PRESSURE 9, 10 1 Purge pressure
CO_MEASURE 2 Detector measure reading
CO_REFERENCE 3 Detector reference reading
4 Temperature MUX
SAMPLE_FLOW 5 Sample flow
PHOTO_TEMP 6 Photometer detector temperature
TEST_INPUT_7 7 Diagnostic test input
TEST_INPUT_8 8 Diagnostic test input
REF_4096_MV 9 4.096V reference from MAX6241
O2_SENSOR 5 10 O2 concentration sensor
11 Spare
CO2_SENSOR 7 12 CO2 concentration sensor
13 Spare
14 DAC loopback MUX
REF_GND 15 Ground reference
Rear board temperature MUX analog inputs
BOX_TEMP 0 Internal box temperature
SAMPLE_TEMP 1 Sample temperature
BENCH_TEMP 2 Optical bench temperature
WHEEL_TEMP 3 Wheel temperature
TEMP_INPUT_4 4 Diagnostic temperature input
TEMP_INPUT_5 5 Diagnostic temperature input
O2_CELL_TEMP 5 6 O2 sensor cell temperature
BOX2_TEMP 3
OVEN_TEMP 19,23
6 Internal box temperature #2 / oven temperature
7 Spare
Rear board DAC MUX analog inputs
DAC_CHAN_1 0 DAC channel 0 loopback
DAC_CHAN_2 1 DAC channel 1 loopback
DAC_CHAN_3 2 DAC channel 2 loopback
DAC_CHAN_4 3 DAC channel 3 loopback
06864B DCN6314

APPENDIX A-4: Signal I/O Definitions Teledyne API - T300/T300M and M300E/EM PN 04906H (DCN5840)
A-30
Signal Name Bit or Channel
Number
Description
Rear board analog outputs
CONC_OUT_1,
DATA_OUT_1
0 Concentration output #1 (CO, range #1),
Data output #1
CONC_OUT_2,
DATA_OUT_2
1 Concentration output #2 (CO, range #2),
Data output #2
CONC_OUT_3, 7, 5
DATA_OUT_3
2 Concentration output #3 (CO2 or O2),
Data output #3
TEST_OUTPUT,
DATA_OUT_4
3 Test measurement output,
Data output #4
1 Hessen protocol
2 T300H, M300EH
3 T300U, M300EU
4 T320, M320E
5 O
2 option
6 Sample pressure or differential pressure flow measurement option
7 CO2 option
8 Concentration alarms option
9 T360, M360E
10 GFC7000E
11 T300M, M300EM
13 Air Products special #1
14 Air Products special #2
15 T300U2, M300EU2
16 High auto range relay option
06864B DCN6314

Teledyne API - T300/T300M and M300E/EM PN 04906H (DCN5840) APPENDIX A-5: DAS Triggers and Parameters
A-31
APPENDIX A-5: DAS Triggers and Parameters
Table A-5: T300/T300M and M300E/EM DAS Trigger Events, Revision L.8
Name Description
ATIMER Automatic timer expired
EXITZR Exit zero calibration mode
EXITSP Exit span calibration mode
EXITMP Exit multi-point calibration mode
EXITC2 5 Exit CO2 calibration mode
SLPCHG Slope and offset recalculated
CO2SLC 5 CO2 slope and offset recalculated
O2SLPC 7 O
2 slope and offset recalculated
EXITDG Exit diagnostic mode
SOURCW Source warning
AZEROW 1, 2 Auto-zero warning
CONCW1 1, 3, 4 Concentration limit 1 exceeded
CONCW2 1, 3, 4 Concentration limit 2 exceeded
SYNCW Sync warning
BNTMPW Bench temperature warning
WTEMPW Wheel temperature warning
O2TMPW 7 O
2 sensor cell temperature warning
STEMPW Sample temperature warning
SFLOWW 6 Sample flow warning
SPRESW Sample pressure warning
PPRESW 4 Purge pressure warning
BTEMPW Internal box temperature warning
BTMP2W 2,
OVTMPW 8
Internal box temperature #2/oven warning
PTEMPW Photometer detector temperature warning
1 T300H, M300EH
2 T300U, M300EU
3 T320, M320E
4 GFC7000E
5 T360, M360E
6 Except M360EU (APR version)
7 O
2 option
8 T300U2, T320U2, M300EU2, M320EU2
06864B DCN6314

APPENDIX A-5: DAS Triggers and Parameters Teledyne API - T300/T300M and M300E/EM PN 04906H (DCN5840)
A-32
Table A-6: T300/T300M and M300E/EM DAS Parameters, Revision L.8
Name Description Units
DETMES Detector measure reading mV
DETREF Detector reference reading mV
RATIO M/R ratio. none
SLOPE1 Slope for range #1 none
SLOPE2 Slope for range #2 none
OFSET1 Offset for range #1 none
OFSET2 Offset for range #2 none
CO2SLP 5 CO2 slope none
CO2OFS 5 CO2 offset %
O2SLPE 8 O
2 slope none
O2OFST 8 O
2 offset %
AZERO 1,2 Auto-zero reading M/R
ZSCNC1 Concentration for range #1 during zero/span calibration, just before
computing new slope and offset
PPM
ZSCNC2 Concentration for range #2 during zero/span calibration, just before
computing new slope and offset
PPM
CO2ZSC 5 CO2 concentration during zero/span calibration, just before
computing new slope and offset
%
O2ZSCN 8 O2 concentration during zero/span calibration, just before computing
new slope and offset
%
CONC1 Concentration for range #1 PPM
CONC2 Concentration for range #2 PPM
CO2CNC 5 CO2 concentration %
O2CONC 8 O
2 concentration %
STABIL Concentration stability PPM
BNTEMP Bench temperature C
BNCDTY Bench temperature control duty cycle Fraction
(0.0 = off,
1.0 = on full)
WTEMP Wheel temperature C
WHLDTY Wheel temperature control duty cycle Fraction
(0.0 = off,
1.0 = on full)
O2TEMP 8 O
2 sensor cell temperature C
SMPTMP Sample temperature C
SMPFLW 6 Sample flow cc/m
SMPPRS Sample pressure "Hg
VACUUM 1, 3, 6 Vacuum pressure "Hg
PRGPRS 4 Purge pressure PSIG
BOXTMP Internal box temperature C
BX2TMP 2,
OVNTMP 9
Internal box temperature #2/oven C
06864B DCN6314

Teledyne API - T300/T300M and M300E/EM PN 04906H (DCN5840) APPENDIX A-5: DAS Triggers and Parameters
A-33
Name Description Units
BX2DTY 2,
OVNDTY 9
Internal box temperature #2/oven control duty cycle Fraction
(0.0 = off,
1.0 = on full)
PHTDRV Photometer detector temperature drive mV
TEST7 Diagnostic test input (TEST_INPUT_7) mV
TEST8 Diagnostic test input (TEST_INPUT_8) mV
TEMP4 Diagnostic temperature input (TEMP_INPUT_4) C
TEMP5 Diagnostic temperature input (TEMP_INPUT_5) C
REFGND Ground reference (REF_GND) mV
RF4096 4096 mV reference (REF_4096_MV) mV
XIN1 4 Channel 1 Analog In
XIN1SLPE 4 Channel 1 Analog In Slope
XIN1OFST 4 Channel 1 Analog In Offset
XIN2 4 Channel 2 Analog In
XIN2SLPE 4 Channel 2 Analog In Slope
XIN2OFST 4 Channel 2 Analog In Offset
XIN3 4 Channel 3 Analog In
XIN3SLPE 4 Channel 3 Analog In Slope
XIN3OFST 4 Channel 3 Analog In Offset
XIN4 4 Channel 4 Analog In
XIN4SLPE 4 Channel 4 Analog In Slope
XIN4OFST 4 Channel 4 Analog In Offset
XIN5 4 Channel 5 Analog In
XIN5SLPE 4 Channel 5 Analog In Slope
XIN5OFST 4 Channel 5 Analog In Offset
XIN6 4 Channel 6 Analog In
XIN6SLPE 4 Channel 6 Analog In Slope
XIN6OFST 4 Channel 6 Analog In Offset
XIN7 4 Channel 7 Analog In
XIN7SLPE 4 Channel 7 Analog In Slope
XIN7OFST 4 Channel 7 Analog In Offset
XIN8 4 Channel 8 Analog In
XIN8SLPE 4 Channel 8 Analog In Slope
XIN8OFST 4 Channel 8 Analog In Offset
1 T300H, M300EH
2 T300U, M300EU
3 T320, M320E
4 GFC7000E
5 T360, M360E
6 Except T360U, M360EU (APR version)
7 The units, including the concentration units, are always fixed, regardless of the current instrument units
8 O
2 option
9 T300U2, T320U2, M300EU2, M320EU2
06864B DCN6314

APPENDIX A-6: Terminal Command Designators Teledyne API - T300/T300M and M300E/EM PN 04906H (DCN5840)
A-34
APPENDIX A-6: Terminal Command Designators
Table A-7: Terminal Command Designators
COMMAND ADDITIONAL COMMAND SYNTAX DESCRIPTION
? [ID] Display help screen and commands list
LOGON [ID] password Establish connection to instrument
LOGOFF [ID] Terminate connection to instrument
SET ALL|name|hexmask Display test(s)
LIST [ALL|name|hexmask] [NAMES|HEX] Print test(s) to screen
name Print single test
T [ID]
CLEAR ALL|name|hexmask Disable test(s)
SET ALL|name|hexmask Display warning(s)
LIST [ALL|name|hexmask] [NAMES|HEX] Print warning(s)
name Clear single warning
W [ID]
CLEAR ALL|name|hexmask Clear warning(s)
ZERO|LOWSPAN|SPAN [1|2] Enter calibration mode
ASEQ number Execute automatic sequence
COMPUTE ZERO|SPAN Compute new slope/offset
EXIT Exit calibration mode
C [ID]
ABORT Abort calibration sequence
LIST Print all I/O signals
name[=value] Examine or set I/O signal
LIST NAMES Print names of all diagnostic tests
ENTER name Execute diagnostic test
EXIT Exit diagnostic test
RESET [DATA] [CONFIG] [exitcode] Reset instrument
PRINT ["name"] [SCRIPT] Print DAS configuration
RECORDS ["name"] Print number of DAS records
REPORT ["name"] [RECORDS=number] [FROM=<start
date>][TO=<end date>][VERBOSE|COMPACT|HEX]
(Print DAS records)(date format: MM/DD/YYYY(or YY)
[HH:MM:SS]
Print DAS records
D [ID]
CANCEL Halt printing DAS records
LIST Print setup variables
name[=value [warn_low [warn_high]]] Modify variable
name="value" Modify enumerated variable
CONFIG Print instrument configuration
MAINT ON|OFF Enter/exit maintenance mode
V [ID]
MODE Print current instrument mode
DASBEGIN [<data channel definitions>] DASEND Upload DAS configuration
CHANNELBEGIN propertylist CHANNELEND Upload single DAS channel
CHANNELDELETE ["name"] Delete DAS channels
The command syntax follows the command type, separated by a space character. Strings in [brackets] are optional
designators. The following key assignments also apply.
06864B DCN6314

Teledyne API - T300/T300M and M300E/EM PN 04906H (DCN5840) APPENDIX A-7: MODBUS Register Map
A-35
Table A-8: Terminal Key Assignments
TERMINAL KEY ASSIGNMENTS
ESC Abort line
CR (ENTER) Execute command
Ctrl-C Switch to computer mode
COMPUTER MODE KEY ASSIGNMENTS
LF (line feed) Execute command
Ctrl-T Switch to terminal mode
APPENDIX A-7: MODBUS Register Map
Table A-9: MODBUS Register Map
MODBUS
Register Address
(dec., 0-based)
Description Units
MODBUS Floating Point Input Registers
(32-bit IEEE 754 format; read in high-word, low-word order; read-only)
0 Detector measure reading mV
2 Detector reference reading mV
4 M/R ratio. none
6 Slope for range #1 none
8 Slope for range #2 none
10 Offset for range #1 none
12 Offset for range #2 none
14 Concentration for range #1 during zero/span calibration, just before
computing new slope and offset
PPM
16 Concentration for range #2 during zero/span calibration, just before
computing new slope and offset
PPM
18 Concentration for range #1 PPM
20 Concentration for range #2 PPM
22 Concentration stability PPM
24 Bench temperature C
26 Bench temperature control duty cycle Fraction
(0.0 = off,
1.0 = on full)
28 Wheel temperature C
30 Wheel temperature control duty cycle Fraction
(0.0 = off,
1.0 = on full)
32 Sample temperature C
34 Sample pressure “Hg
36 Internal box temperature C
38 Photometer detector temperature drive mV
06864B DCN6314

APPENDIX A-7: MODBUS Register Map Teledyne API - T300/T300M and M300E/EM PN 04906H (DCN5840)
A-36
MODBUS
Register Address
(dec., 0-based)
Description Units
40 Diagnostic test input (TEST_INPUT_7) mV
42 Diagnostic test input (TEST_INPUT_8) mV
44 Diagnostic temperature input (TEMP_INPUT_4) C
46 Diagnostic temperature input (TEMP_INPUT_5) C
48 Ground reference (REF_GND) mV
50 4096 mV reference (REF_4096_MV) mV
52 1 Purge pressure PSIG
54 1 Sample flow cc/m
56 1 Vacuum pressure "Hg
58 1 Internal box temperature #2/oven C
60 1 Internal box temperature #2/oven control duty cycle Fraction
(0.0 = off,
1.0 = on full)
62 1 Auto-zero reading M/R
100 2 O
2 concentration %
102 2 O2 concentration during zero/span calibration, just before computing
new slope and offset
%
104 2 O
2 slope —
106 2 O
2 offset %
108 2 O
2 sensor cell temperature C
200 3 CO2 concentration %
202 3 CO2 concentration during zero/span calibration, just before
computing new slope and offset
%
204 3 CO2 slope —
206 3 CO2 offset %
MODBUS Floating Point Holding Registers
(32-bit IEEE 754 format; read/write in high-word, low-word order; read/write)
0 Maps to CO_SPAN1 variable; target conc. for range #1 Conc. units
2 Maps to CO_SPAN2 variable; target conc. for range #2 Conc. units
100 2 Maps to O2_TARG_SPAN_CONC variable %
200 3 Maps to CO2_TARG_SPAN_CONC variable %
06864B DCN6314

Teledyne API - T300/T300M and M300E/EM PN 04906H (DCN5840) APPENDIX A-7: MODBUS Register Map
A-37
MODBUS
Register Address
(dec., 0-based)
Description Units
MODBUS Discrete Input Registers
(single-bit; read-only)
0 Source warning
1 Box temperature warning
2 Bench temperature warning
3 Wheel temperature warning
4 Sample temperature warning
5 Sample pressure warning
6 Photometer detector temperature warning
7 System reset warning
8 Rear board communication warning
9 Relay board communication warning
10 Front panel communication warning
11 Analog calibration warning
12 Dynamic zero warning
13 Dynamic span warning
14 Invalid concentration
15 In zero calibration mode
16 In span calibration mode
17 In multi-point calibration mode
18 System is OK (same meaning as SYSTEM_OK I/O signal)
19 1 Purge pressure warning
20 1 Sample flow warning
21 1 Internal box temperature #2/oven warning
22 1 Concentration limit 1 exceeded
23 1 Concentration limit 2 exceeded
24 1 Auto-zero warning
25 1 Sync warning
26 1 In Hessen manual mode
100 2 In O2 calibration mode
101 2 O
2 cell temperature warning
102 1,2 O
2 concentration limit 1 exceeded
103 1,2 O
2 concentration limit 2 exceeded
200 3 In CO2 calibration mode
201 1,3 CO2 concentration limit 1 exceeded
202 1,3 CO2 concentration limit 2 exceeded
06864B DCN6314

APPENDIX A-7: MODBUS Register Map Teledyne API - T300/T300M and M300E/EM PN 04906H (DCN5840)
A-38
MODBUS
Register Address
(dec., 0-based)
Description Units
MODBUS Coil Registers
(single-bit; read/write)
0 Maps to relay output signal 36 (MB_RELAY_36 in signal I/O list)
1 Maps to relay output signal 37 (MB_RELAY_37 in signal I/O list)
2 Maps to relay output signal 38 (MB_RELAY_38 in signal I/O list)
3 Maps to relay output signal 39 (MB_RELAY_39 in signal I/O list)
20 4 Triggers zero calibration of range #1 (on enters cal.; off exits cal.)
21 4 Triggers span calibration of range #1 (on enters cal.; off exits cal.)
22 4 Triggers zero calibration of range #2 (on enters cal.; off exits cal.)
23 4 Triggers span calibration of range #2 (on enters cal.; off exits cal.)
1 Optional
2 O
2 option
3 CO2 option
4 Set DYN_ZERO or DYN_SPAN variables to ON to enable calculating new slope or offset. Otherwise a calibration check
is performed.
06864B DCN6314

APPENDIX B - Spare Parts
Note
Use of replacement parts other than those supplied by T-API may result in non
compliance with European standard EN 61010-1.
Note
Due to the dynamic nature of part numbers, please refer to the Website or call
Customer Service for more recent updates to part numbers.
06864B DCN6314
B-1
This page intentionally left blank.
B-2
06864B DCN6314

T300 Spare Parts List
PN 06849A DCN5809 08/18/2010
1 of 2 page(s)
Part Numbe
r
Description
000940600 ORIFICE, 10 MIL, SPAN GAS FLOW CONTROL
000940700 ORIFICE, 5 MIL, FLOW CONTROL, 02 OPTION
000941000 ORIFICE, 13 MIL (SAMPLE FLOW)
001760400 ASSY, FLOW CTL, 800CC, 1/4" CONN-B
001761300 ASSY, SPAN GAS FLOW CONTROL
001763000 ASSY, FLOW CTL, 110CC, 1/8" -B
003291500 ASSY, THERMISTOR, BENCH/WHEEL
006110200 ASSY, MOTOR WHEEL HEATER
009450300 ASSY, ZERO/SPAN VALVES, CO
009550500 ASSY, SOURCE
009560301 FILTER WHEEL, CO
009600400 AKIT, EXPENDABLES, CO
009690000 AKIT, TFE FLTR ELEM (FL6 100=1) 47mm
009690100 AKIT, TFE FLTR ELEM (FL6, 30=1) 47mm
009840300 ASSY, SHUT-OFF VALVE W/FLOW CONTROL
010790000 INPUT MIRROR, REPLICATED(KB)
010800000 OUTPUT MIRROR, REPLICATED(KB)
016290000 WINDOW, SAMPLE FILTER, 47MM (KB)
016300600 ASSY, SAMPLE FILTER, 47MM, ANG BKT, 5UM
016910000 AKIT, EXP KIT, CO CATALYST
019340200 ASSY, SAMPLE THERMISTOR, BRASS
033520000 MIRROR, OBJECT, 32 PASS, (KB)
033560000 MIRROR, FIELD, 32 PASS, (KB)
036020100 ASSY, SENSOR, CO, (KB)
037250000 ASSY, HEATER, OPTICAL BENCH
037860000 ORING, TFE RETAINER, SAMPLE FILTER
039260101 DETECTOR, CO, w/BANDPASS FILTER *
040010000 ASSY, FAN REAR PANEL
040030100 PCA, FLOW/PRESSURE
040370000 ASSY, CO SCRUBBER, (KB)
041350000 PCA, RELAY BOARD, CO
042410100 ASSY, PUMP W/FLOW CONTROL
042410200 ASSY, PUMP, INT, SOX/O3/IR *
042580000 PCA, KEYBOARD, W/V-DETECT
042680000 ASSY, VALVE, FOR SAMPLE/CAL VALVE ASSY
042690000 ASSY, VALVE, SHUT-OFF
043250100 CONFIGURATION PLUGS, 115V/60Hz
043250300 CONFIGURATION PLUGS, 220-240V/50Hz
043250400 CONFIGURATION PLUGS, 220-240V/60Hz
043420000 ASSY, HEATER/THERMISTOR, O2 OPTION
050320000 PCA, PHOTO-INTERRUPTER
052830200 ASSY, MOTOR HUB, MR7
055010000 ASSY, MTR WHL HEATER w/THERM, 200W
055100200 ASSY, OPTION, PUMP, 240V *
06864B DCN6314
B-3

T300 Spare Parts List
PN 06849A DCN5809 08/18/2010
2 of 2 page(s)
Part Numbe
r
Description
058021100 PCA, E-SERIES MOTHERBD, GEN 5-ICOP (ACCEPTS ACROSSER OR ICOP CPU)
062420200 PCA, SER INTRFACE, ICOP CPU, E- (OPTION) (USE WITH ICOP CPU 062870000)
066970000 PCA, INTRF. LCD TOUCH SCRN, F/P
067240000 CPU, PC-104, VSX-6154E, ICOP *
067300000 PCA, AUX-I/O BD, ETHERNET, ANALOG & USB
067300100 PCA, AUX-I/O BOARD, ETHERNET
067300200 PCA, AUX-I/O BOARD, ETHERNET & USB
067900000 LCD MODULE, W/TOUCHSCREEN
068260100 DOM, w/SOFTWARE, T300 *
068640000 MANUAL, T300, OPERATORS
068810000 PCA, LVDS TRANSMITTER BOARD
069500000 PCA, SERIAL & VIDEO INTERFACE BOARD
072150000 ASSY. TOUCHSCREEN CONTROL MODULE
CN0000458 CONNECTOR, REAR PANEL, 12 PIN
CN0000520 CONNECTOR, REAR PANEL, 10 PIN
FL0000001 FILTER, SS
FM0000004 FLOWMETER (KB)
HW0000005 FOOT, CHASSIS
HW0000020 SPRING
HW0000036 TFE TAPE, 1/4" (48 FT/ROLL)
HW0000101 ISOLATOR
HW0000453 SUPPORT, CIRCUIT BD, 3/16" ICOP
KIT000032 REPLACEMENT, CO FILTER WHEEL ASSY
KIT000178 RETROFIT, SYNC DMOD w/DETECTOR
KIT000219 PCA, 4-20MA OUTPUT, E-OPTION
OP0000009 WINDOW, IR SOURCE/BENCH
OR0000001 ORING, FLOW CONTROL
OR0000034 ORING, INPUT & OUTPUT MIRRORS
OR0000039 ORING, IR SOURCE/BENCH
OR0000041 ORING, OBJECT & FIELD MIRRORS
OR0000088 ORING, DETECTOR
OR0000094 ORING, SAMPLE FILTER
PS0000011 PWR SUPPLY, SW, +5V, +/-15V, 40W (KB)
PS0000024 COVER ENCLOSURE KIT,LPX 40/60 (KB)
PS0000025 PWR SUPPLY, SW, 12V, 40W (KB)
PU0000022 REBUILD KIT, FOR PU20 & 04241 (KB)
RL0000015 RELAY, DPDT, (KB)
SW0000051 SWITCH, POWER CIRC BREAK VDE/CE, w/RG(KB
SW0000059 PRESSURE SENSOR, 0-15 PSIA, ALL SEN
WR0000008 POWER CORD, 10A(KB)
B-4
06864B DCN6314

T300 Recommended Spare Parts Stocking Levels
(Reference 06563A DCN6306)
1 2-5 6-10 11-20 21-30
003290500 Wheel Thermistor Assembly (885-071600) 1 1122
006110200 Assembly, Motor Wheel Heater, 50W 120V 1 2 2
009550400 Source Assembly (with Adapter) < SN 65 1 1223
009550500 Source Assembly > SN 65 1 1223
009560301 Gas Filter Wheel 11
037250100 Bench Band Heater 1122
040010000 Assembly, Fan 1 1223
040030100 PCA, PRESS SENSORS (1X), w/FM4, E SERIES 1 2 3
042410200 *Pump, 115V 50/60 Hz 2 2
050320000 PCA, Wheel Position Sensor 1122
052830100 ASSY, MOTOR HUB, MR7, "A", 115V 1 1 2
055010000 ASSY, MTR WHL HEATER w/THERM, 200W 1 2 2
058021100 PCA, E-SERIES MOTHERBOARD, GEN 5-I 1 2
067240000 CPU, PC-104, VSX-6154E, ICOP *(KB) 1 1 1
KIT000159 REPLACEMENT, RELAY BD, M300E 1122
KIT000178 RETROFIT, SYNC DMOD w/DETECTOR, M300E 1 2 2
KIT000253 KIT, SPARE PS37 1112
KIT000254 KIT, SPARE PS38 1112
RL0000015 Relay 1 1222
067900000 LCD MODULE, W/TOUCHSCREEN(KB) 1 2
066970000 PCA, INTRF. LCD TOUCH SCRN, F/P 1 2
068810000 PCA, LVDS TRANSMITTER BOARD 1 2
072150000 TOUCHSCREEN CONTROL MODULE 1 2 3
1 2-5 6-10 11-20 21-30
055100200 OPTION, PUMP ASSY, 240V 1 2 2
1 2-5 6-10 11-20 21-30
OP0000030 OXYGEN TRANSDUCER, PARAMAGNETIC 1 1
1 2-5 6-10 11-20 21-30
042690000 Valve Assy, 2-Way, On/Off 1 1 2
042680000 Valve Assy, 3-Way 1 1 2
Units
Recommended Spare Parts Stocking Level: Standard
Part Number Description
* Recommended Spare Parts Stocking Level: For Pump Assembly, 240V Option Installed
Part Number Description Units
Recommended Spare Parts Stocking Level: For O2 Option Installed
Part Number Description Units
Recommended Spare Parts Stocking Level: For IZS Option Installed
Part Number Description Units
06864B DCN6314
B-5
T300M Spare Parts List
(Reference: 074660000, 01/17/2012/ 13:05)
PARTNUMBER DESCRIPTION
037250100 ASSY, STRIP HEATER W/TC
037860000 ORING, TEFLON, RETAINING RING, 47MM (KB)
039260101 DETECTOR, CO, w/BANDPASS FILTER *
040010000 ASSY, FAN REAR PANEL (B/F)
040030100 PCA, PRESS SENSORS (1X), w/FM4
040360100 AKIT, SPARE PARTS, M300E/M
040370000 ASSY, CO SCRUBBER
041350000 PCA, RELAY BOARD, CO(KB)
042410100 ASSY, PUMP, INT, (CO) W/ 800CC FLOW
042410200 ASSY, PUMP, INT, SOX/O3/IR *
042680000 ASSY, VALVE (SS)
042690000 ASSY, VALVE , 2-WAY, 12V
042990100 ASSY, SENSOR, M300EM
043250100 ASSY, PWR CONF, 100-120V/60HZ, IR
043250300 OPTION, PWR CONF, 220-240V/50HZ, IR
043250400 OPTION, PWR CONF, 220-240V/60HZ, IR
050320000 PCA, OPTO-INTERRUPTER
052830200 ASSY, MOTOR HUB, MR7
055010000 ASSY, MTR WHL HEATER w/THERM, 200W
055100200 ASSY, OPTION, PUMP, 240V *
058021100 PCA, MOTHERBD, GEN 5-ICOP
066970000 PCA, INTRF. LCD TOUCH SCRN, F/P
067240000 CPU, PC-104, VSX-6154E, ICOP *(KB)
067300000 PCA, AUX-I/O BD, ETHERNET, ANALOG & USB
067300100 PCA, AUX-I/O BOARD, ETHERNET
067300200 PCA, AUX-I/O BOARD, ETHERNET & USB
067900000 LCD MODULE, W/TOUCHSCREEN(KB)
068640000 MANUAL, T300/T300M, OPERATORS
068810000 PCA, LVDS TRANSMITTER BOARD
069500000 PCA, SERIAL & VIDEO INTERFACE BOARD
072150000 ASSY. TOUCHSCREEN CONTROL MODULE
074650100 DOM, w/SOFTWARE, STD, T300M
CN0000073 POWER ENTRY, 120/60 (KB)
036100000 OPTION, IZS, CO (KB)
036090000 OPTION, Z/S, CO (KB)
036080000 OPTION, Z/S & SO VALVE, CO (KB)
036070000 OPTION, IZS & SO VALVE, CO (KB)
026070000 MIRROR, FIELD, 8 PASS
026060000 MIRROR, OBJECTIVE, 8 PASS
019340200 ASSY, SAMPLE THERMISTOR, BRASS
016300600 ASSY, SAMPLE FILTER, 47MM, ANG BKT, 5UM
016290000 WINDOW, SAMPLE FILTER, 47MM (KB)
010800000 OUTPUT MIRROR, REPLICATED(KB)
010790000 INPUT MIRROR, REPLICATED(KB)
009840300 ASSY, SHUT-OFF VALVE, (KB)
009690100 AKIT, TFE FLTR ELEM (FL6, 30=1) 47mm
009690000 AKIT, TFE FLTR ELEM (FL6 100=1) 47mm
009600400 AKIT, EXPENDABLES, CO
009560301 GF WHEEL, CO, (KB) *
B-6
06864B DCN6314
T300M Spare Parts List
(Reference: 074660000, 01/17/2012/ 13:05)
PARTNUMBER DESCRIPTION
009550500 ASSY, SOURCE
009450300 ASSY, ZERO/SPAN VALVES, CO
009390000 APERTURE (KB)
003291500 ASSY, THERMISTOR, BENCH/WHEEL
001761300 ASSY, FLOW CTRL, .010, 1/8", SS
001760400 ASSY, FLOW CTL, 800CC, 1/4" CONN-B
000941000 CD, ORIFICE, .013 BLUE/GREEN
000940600 CD, ORIFICE, .010 BROWN
CN0000458 PLUG, 12, MC 1.5/12-ST-3.81 (KB)
CN0000520 PLUG, 10, MC 1.5/10-ST-3.81 (KB)
FL0000001 FILTER, SS (KB)
FM0000004 FLOWMETER (KB)
HW0000005 FOOT
HW0000020 SPRING
HW0000036 TFE TAPE, 1/4" (48 FT/ROLL)
HW0000101 ISOLATOR
HW0000453 SUPPORT, CIRCUIT BD, 3/16" ICOP
HW0000685 LATCH, MAGNETIC, FRONT PANEL
KIT000178 RETROFIT, SYNC DMOD w/DETECTOR*
KIT000219 AKIT, 4-20MA CURRENT OUTPUT
OP0000009 WINDOW (KB)
OR0000001 ORING, 2-006VT *(KB)
OR0000034 ORING, 2-011V FT10
OR0000039 ORING, 2-012V
OR0000041 ORING, 2-136V
OR0000088 ORING, 2-011S, 40 DURO
OR0000094 ORING, 2-228V, 50 DURO VITON(KB)
PS0000011 PWR SUPPLY, SW, +5V, +/-15V, 40W (KB)
PS0000024 COVER ENCLOSURE KIT,LPX 40/60 (KB)
PS0000025 PWR SUPPLY, SW, 12V, 40W (KB)
PU0000022 REBUILD KIT, FOR PU20 & 04241 (KB)
RL0000015 RELAY, DPDT, (KB)
SW0000025 SWITCH, POWER, CIRC BREAK, VDE/CE *(KB)
SW0000059 PRESSURE SENSOR, 0-15 PSIA, ALL SEN
WR0000008 POWER CORD, 10A(KB)
06864B DCN6314
B-7

T300M Recommended Spare Parts Stocking Levels
(Reference 2011-12-01)
1 2-5 6-10 11-20 21-30
003290500 Wheel Thermistor Bench/Wheel 1 1122
009550500 Source Assembly 1 1223
009560301 Gas Filter Wheel 11
037250100 Bench Band Heater 1122
040010000 Assembly, Fan 1 1223
040030100 PCA, PRESS SENSORS (1X), w/FM4, E SERIES 1 2 3
042410200 *Pump, 115V 50/60 Hz 2 2
050320000 PCA, Opto-Interrupter 1122
052830100 ASSY, MOTOR HUB, MR7, "A", 115V 1 1 2
055010000 ASSY, MTR WHL HEATER w/THERM, 200W 1 2 2
058021100 PCA, E-SERIES MOTHERBOARD, GEN 5-I 1 2
067240000 CPU, PC-104, VSX-6154E, ICOP *(KB) 1 1 1
KIT000159 REPLACEMENT, RELAY BD, M300E 1122
KIT000179 RETROFIT, SYNC DMOD UPDATE, M300EM 1 2 2
KIT000253 KIT, SPARE PS37 1112
KIT000254 KIT, SPARE PS38 1112
RL0000015 Relay 1 1222
067900000 LCD MODULE, W/TOUCHSCREEN(KB) 1 2
066970000 PCA, INTRF. LCD TOUCH SCRN, F/P 1 2
068810000 PCA, LVDS TRANSMITTER BOARD 1 2
072150000 TOUCHSCREEN CONTROL MODULE 1 2 3
1 2-5 6-10 11-20 21-30
055100200 OPTION, PUMP ASSY, 240V 1 2 2
1 2-5 6-10 11-20 21-30
OP0000030 OXYGEN TRANSDUCER, PARAMAGNETIC 1 1
1 2-5 6-10 11-20 21-30
042690000 Valve Assy, 2-Way, On/Off 1 1 2
042680000 Valve Assy, 3-Way 1 1 2
Units
Recommended Spare Parts Stocking Level: Standard
Part Number Description
* For 240V Operation, use 055100200
Part Number Description Units
Recommended Spare Parts Stocking Level: For O2 Option Installed
Part Number Description Units
Recommended Spare Parts Stocking Level: For IZS/ZS Option Installed
Part Number Description Units
B-8
06864B DCN6314

APPENDIX C
Warranty/Repair Questionnaire
T300/T300M and M300E/EM
(04305G DCN5798)
TELEDYNE API CUSTOMER SERVICE
Email: api-customerservice@teledyne.com
PHONE: (858) 657-9800 TOLL FREE: (800) 324-5190 FAX: (858) 657-9816
C-1
CUSTOMER: ____________________________________ PHONE: ______________________________________
CONTACT NAME: ________________________________ FAX NO: ______________________________________
SITE ADDRESS: __________________________________________________________________________________
SERIAL NO.: ____________________________________ FIRMWARE REVISION: __________________________
1. Are there any failure messages? ____________________________________________________________________
________________________________________________________________________________________________
________________________________________________________________________________________________
________________________________________________________________________________________________
________________________________________________________________________________________________
Please complete the following table:
PARAMETER DISPLAYED AS OBSERVED
VALUE UNITS NOMINAL RANGE
Range Range PPM, MGM1,2
PPB, UGM1
1 – 1000 PPM1
5 – 5000 PPM2
Stability STABIL PPM <1.0 PPM
with Zero Ai
r
CO Measure CO MEAS mV 2500 – 4800 MV
CO Reference CO REF mV 2500 – 4800MV
Measure/Reference Ratio MR RATIO – 1.1 – 1.3 W/ Zero Air
Pressure PRES In-Hg-A -2”Ambient Absolute
Sample Flow SAMP FL cm3/min 800 ± 10%
Sample Temp SAMPLE TEMP °C 48 ± 4
Bench Temp BENCH TEMP °C 48 ± 2
Wheel Temp WHEEL TEMP °C 68 ± 2
Box Temp BOX TEMP °C Ambient + 7 ± 10
Photo Drive PHT DRIVE mV 250 mV – 4750 mV
Slope of CO Measurement CO SLOPE – 1.0 ± .3
Offset of CO Measurement CO OFFSET PPM 0 ± 0.3
Dark Cal Reference signal REF DARK OFFSET mV 125 ± 50 mV
Dark Cal Measurement Signal MEAS DARK OFFSET mV 125 ± 50 mV
Electric Test PPM 40 ± 2 PPM
1 T300, M300E 2 T300M, M300EM
06864B DCN6314

APPENDIX C
Warranty/Repair Questionnaire
T300/T300M and M300E/EM
(04305G DCN5798)
TELEDYNE API CUSTOMER SERVICE
Email: api-customerservice@teledyne.com
PHONE: (858) 657-9800 TOLL FREE: (800) 324-5190 FAX: (858) 657-9816
C-2
2. Have you performed a leak check and flow check? ______________________________________________________
3. What are the failure symptoms? ____________________________________________________________________
________________________________________________________________________________________________
________________________________________________________________________________________________
________________________________________________________________________________________________
4. What test have you done trying to solve the problem? ___________________________________________________
________________________________________________________________________________________________
________________________________________________________________________________________________
________________________________________________________________________________________________
________________________________________________________________________________________________
5. Please check these signals and verify the correctness. Look for the signals annotated on the diagram. What are the
peak-to-peak voltages?
2v/DIV 10 mS 2v/DIV .5 mS
5. If possible, please include a portion of a strip chart pertaining to the problem. Circle pertinent data.
Thank you for providing this information. Your assistance enables Teledyne API to respond faster to the problem that you
are encountering.
OTHER INFORMATION: ____________________________________________________________________________
________________________________________________________________________________________________
________________________________________________________________________________________________
________________________________________________________________________________________________
________________________________________________________________________________________________
________________________________________________________________________________________________
________________________________________________________________________________________________
________________________________________________________________________________________________
________________________________________________________________________________________________
TP 5
TP 2
TP 10
06864B DCN6314
APPENDIX D – Wire List and Electronic Schematics
06864B DCN6314
D-1
This page intentionally left blank.
D-2
06864B DCN6314

Interconnect List, T300/M T360/M
(Reference: 0691201B, DCN5947)
Revision Dat
e
DCN
A 9/3/10 5833
B 12/30/10 5947
Cable PN Signal Assembl
y
PN J/P Pin
A
ssembl
y
PN J/P Pin
0399
5
CBL, MOTOR TO RELAY PC
A
GFC Drive - A Relay PCA 041350000 J6 1 GFC Motor 052380200 P1 1
GFC Drive - B Relay PCA 041350000 J6 2 GFC Motor 052380200 P1 2
Motor Return Relay PCA 041350000 J6 3 GFC Motor 052380200 P1 3
Chassis Gnd Relay PCA 041350000 J6 4 GFC Motor 052380200 P1 4
0410
3
CBL, MOTHERBOARD TO THERMISTORS
+5V Ref Motherboard 058021100 J27 6 Bench Temp Snsr 003291500 P1 1
Bench Temp Motherboard 058021100 J27 13 Bench Temp Snsr 003291500 P1 2
+5V Ref Motherboard 058021100 J27 5 Wheel Temp Snsr 003291500 P1 1
Wheel Temp Motherboard 058021100 J27 12 Wheel Temp Snsr 003291500 P1 2
+5V ref Motherboard 058021100 J27 1 Shield
+5V Ref Motherboard 058021100 J27 7 Sample Temp Snsr 019340200, -06 P1 1
Sample Temp Motherboard 058021100 J27 14 Sample Temp Snsr 019340200, -06 P1 2
Motherboard 058021100 J27 2 O2 Sensor Therm/Htr 043420000 P1 3
Motherboard 058021100 J27 9 O2 Sensor Therm/Htr 043420000 P1 1
Relay PCA 041350000 J4 1 O2 Sensor Therm/Htr 043420000 P1 4
Relay PCA 041350000 J4 2 O2 Sensor Therm/Htr 043420000 P1 2
Relay PCA 041350000 J4 3 Shield
0410
5
CBL, LCD INTERFACE PCA TO MOTHERBOAR
D
Kbd Interupt LCD Interface PCA 066970000 J1 7 Motherboard 058021100 J106 1
DGND LCD Interface PCA 066970000 J1 2 Motherboard 058021100 J106 8
SDA LCD Interface PCA 066970000 J1 5 Motherboard 058021100 J106 2
SCL LCD Interface PCA 066970000 J1 6 Motherboard 058021100 J106 6
Shld LCD Interface PCA 066970000 J1 10 Motherboard 058021100 J106 5
0414
6
CBL, SYNC DEMO
D
DGND Opto Pickup 05032 or 05256 J2 1 Sync Demod 032960000 JP4 6
Segmentg Gate Opto Pickup 05032 or 05256 J2 2 Sync Demod 032960000 JP4 5
No Connection Opto Pickup 05032 or 05256 J2 3 Sync Demod 032960000 JP4 4
DGND Opto Pickup 05032 or 05256 J2 4 Sync Demod 032960000 JP4 3
M/R Gate Opto Pickup 05032 or 05256 J2 5 Sync Demod 032960000 JP4 2
+5V Opto Pickup 05032 or 05256 J2 6 Sync Demod 032960000 JP4 1
0423
7
CBL ASSY, 12V VALVE CBLS
+12 Relay PCA 041350000 J7 6 Zero/Span Vlv 042680000 P1 1
Zero/Span Drv Relay PCA 041350000 J7 8 Zero/Span Vlv 042680000 P1 2
+12 Relay PCA 041350000 J7 2 Samp/Cal Vlv 042680000 P1 1
Samp/Cal Drv Relay PCA 041350000 J7 4 Samp/Cal Vlv 042680000 P1 2
+12 Relay PCA 041350000 J7 5 Shutoff Valve 042690000 P1 1
Shutoff Vlv Relay PCA 041350000 J7 7 Shutoff Valve 042690000 P1 2
04671 CBL, MOTHERBOARD TO XMITTER BD (MULTIDROP OPTION)
GND Motherboard 058021100 P12 2 Xmitter bd w/Multidrop 069500000 J4 2
RX0 Motherboard 058021100 P12 14 Xmitter bd w/Multidrop 069500000 J4 14
RTS0 Motherboard 058021100 P12 13 Xmitter bd w/Multidrop 069500000 J4 13
TX0 Motherboard 058021100 P12 12 Xmitter bd w/Multidrop 069500000 J4 12
CTS0 Motherboard 058021100 P12 11 Xmitter bd w/Multidrop 069500000 J4 11
RS-GND0 Motherboard 058021100 P12 10 Xmitter bd w/Multidrop 069500000 J4 10
RTS1 Motherboard 058021100 P12 8 Xmitter bd w/Multidrop 069500000 J4 8
CTS1/485- Motherboard 058021100 P12 6 Xmitter bd w/Multidrop 069500000 J4 6
RX1 Motherboard 058021100 P12 9 Xmitter bd w/Multidrop 069500000 J4 9
TX1/485+ Motherboard 058021100 P12 7 Xmitter bd w/Multidrop 069500000 J4 7
RS-GND1 Motherboard 058021100 P12 5 Xmitter bd w/Multidrop 069500000 J4 5
RX1 Motherboard 058021100 P12 9 Xmitter bd w/Multidrop 069500000 J4 9
TX1/485+ Motherboard 058021100 P12 7 Xmitter bd w/Multidrop 069500000 J4 7
RS-GND1 Motherboard 058021100 P12 5 Xmitter bd w/Multidrop 069500000 J4 5
0673
7
CBL, I2C TO AUX I/O PCA (ANALOG IN OPTION)
ATX- Motherboard 058021100 J106 1 AUX I/O PCA 067300000 J2 1
ATX+ Motherboard 058021100 J106 2 AUX I/O PCA 067300000 J2 2
LED0 Motherboard 058021100 J106 3 AUX I/O PCA 067300000 J2 3
ARX+ Motherboard 058021100 J106 4 AUX I/O PCA 067300000 J2 4
ARX- Motherboard 058021100 J106 5 AUX I/O PCA 067300000 J2 5
LED0+ Motherboard 058021100 J106 6 AUX I/O PCA 067300000 J2 6
LED1+ Motherboard 058021100 J106 8 AUX I/O PCA 067300000 J2 8
0673
8
CBL, CPU COM to AUX I/O
(
USB OPTION
)
RXD1 CPU PCA 067240000 COM1 1 AUX I/O PCA 0673000 or -02 J3 1
DCD1 CPU PCA 067240000 COM1 2 AUX I/O PCA 0673000 or -02 J3 2
DTR1 CPU PCA 067240000 COM1 3 AUX I/O PCA 0673000 or -02 J3 3
TXD1 CPU PCA 067240000 COM1 4 AUX I/O PCA 0673000 or -02 J3 4
DSR1 CPU PCA 067240000 COM1 5 AUX I/O PCA 0673000 or -02 J3 5
GND CPU PCA 067240000 COM1 6 AUX I/O PCA 0673000 or -02 J3 6
CTS1 CPU PCA 067240000 COM1 7 AUX I/O PCA 0673000 or -02 J3 7
RTS1 CPU PCA 067240000 COM1 8 AUX I/O PCA 0673000 or -02 J3 8
RI1 CPU PCA 067240000 COM1 10 AUX I/O PCA 0673000 or -02 J3 10
FROM TO
Description
Added T360 & T360M
Initial Release
06864B DCN6314
D-3

Interconnect List, T300/M T360/M
(Reference: 0691201B, DCN5947)
Cable PN Signal Assembl
y
PN J/P Pin
A
ssembl
y
PN J/P Pin
FROM TO
0673
8
CBL, CPU COM to AUX I/O
(
MULTIDROP OPTION
)
RXD CPU PCA 067240000 COM1 1 Xmitter bd w/Multidrop 069500000 J3 1
DCD CPU PCA 067240000 COM1 2 Xmitter bd w/Multidrop 069500000 J3 2
DTR CPU PCA 067240000 COM1 3 Xmitter bd w/Multidrop 069500000 J3 3
TXD CPU PCA 067240000 COM1 4 Xmitter bd w/Multidrop 069500000 J3 4
DSR CPU PCA 067240000 COM1 5 Xmitter bd w/Multidrop 069500000 J3 5
GND CPU PCA 067240000 COM1 6 Xmitter bd w/Multidrop 069500000 J3 6
CTS CPU PCA 067240000 COM1 7 Xmitter bd w/Multidrop 069500000 J3 7
RTS CPU PCA 067240000 COM1 8 Xmitter bd w/Multidrop 069500000 J3 8
RI CPU PCA 067240000 COM1 10 Xmitter bd w/Multidrop 069500000 J3 10
0673
9
CBL, CPU ETHERNET TO AUX I/O PC
A
ATX- CPU PCA 067240000 LAN 1 AUX I/O PCA 067300100 J2 1
ATX+ CPU PCA 067240000 LAN 2 AUX I/O PCA 067300100 J2 2
LED0 CPU PCA 067240000 LAN 3 AUX I/O PCA 067300100 J2 3
ARX+ CPU PCA 067240000 LAN 4 AUX I/O PCA 067300100 J2 4
ARX- CPU PCA 067240000 LAN 5 AUX I/O PCA 067300100 J2 5
LED0+ CPU PCA 067240000 LAN 6 AUX I/O PCA 067300100 J2 6
LED1 CPU PCA 067240000 LAN 7 AUX I/O PCA 067300100 J2 7
LED1+ CPU PCA 067240000 LAN 8 AUX I/O PCA 067300100 J2 8
06741 CBL, CPU USB TO LCD INTERFACE PC
A
GND CPU PCA 067240000 USB 8 LCD Interface PCA 066970000 JP9
LUSBD3+ CPU PCA 067240000 USB 6 LCD Interface PCA 066970000 JP9
LUSBD3- CPU PCA 067240000 USB 4 LCD Interface PCA 066970000 JP9
VCC CPU PCA 067240000 USB 2 LCD Interface PCA 066970000 JP9
0674
6
CBL, MB TO 06154 CPU
GND Motherboard 058021100 P12 2 Shield
RX0 Motherboard 058021100 P12 14 CPU PCA 067240000 COM1 1
RTS0 Motherboard 058021100 P12 13 CPU PCA 067240000 COM1 8
TX0 Motherboard 058021100 P12 12 CPU PCA 067240000 COM1 4
CTS0 Motherboard 058021100 P12 11 CPU PCA 067240000 COM1 7
RS-GND0 Motherboard 058021100 P12 10 CPU PCA 067240000 COM1 6
RTS1 Motherboard 058021100 P12 8 CPU PCA 067240000 COM2 8
CTS1/485- Motherboard 058021100 P12 6 CPU PCA 067240000 COM2 7
RX1 Motherboard 058021100 P12 9 CPU PCA 067240000 COM2 1
TX1/485+ Motherboard 058021100 P12 7 CPU PCA 067240000 COM2 4
RS-GND1 Motherboard 058021100 P12 5 CPU PCA 067240000 COM2 6
RX1 Motherboard 058021100 P12 9 CPU PCA 067240000 485 1
TX1/485+ Motherboard 058021100 P12 7 CPU PCA 067240000 485 2
RS-GND1 Motherboard 058021100 P12 5 CPU PCA 067240000 485 3
0680
9
CBL ASSY, DC POWER TO MOTHERBOAR
D
DGND Relay PCA 041350000 J14 1 Motherboard 058021100 J15 1
+5V Relay PCA 041350000 J14 2 Motherboard 058021100 J15 2
AGND Relay PCA 041350000 J14 3 Motherboard 058021100 J15 3
+15V Relay PCA 041350000 J14 4 Motherboard 058021100 J15 4
AGND Relay PCA 041350000 J14 5 Motherboard 058021100 J15 5
-15V Relay PCA 041350000 J14 6 Motherboard 058021100 J15 6
+12V RET Relay PCA 041350000 J14 7 Motherboard 058021100 J15 7
+12V Relay PCA 041350000 J14 8 Motherboard 058021100 J15 8
Chassis Gnd Relay PCA 041350000 J14 10 Motherboard 058021100 J15 9
06811 CBL ASSY, BENCH HEATE
R
Wheel Heater Relay PCA 041350000 P3 1 Wheel Heater 055010000 P1 1
AC Return Relay PCA 041350000 P3 4 Wheel Heater 055010000 P1 2
Bench Htr, 115V Relay PCA 041350000 P3 2 Bench Htr 037250000 P1 1
Bench Htr, 230V Relay PCA 041350000 P3 3 Bench Htr 037250000 P1 2
AC Return Relay PCA 041350000 P3 4 Bench Htr 037250000 P1 3
Chassis Gnd Relay PCA 041350000 P3 5
0681
5
CBL ASSY, AC POWE
R
AC Line Power Entry CN0000073 L Power Switch SW0000025 L
AC Neutral Power Entry CN0000073 N Power Switch SW0000025 N
Power Grnd Power Entry CN0000073 Shield
Power Grnd Power Entry CN0000073 Chassis
AC Line Switched Power Switch SW0000025 L PS2 (+12) 068020000 SK2 1
AC Neu Switched Power Switch SW0000025 N PS2 (+12) 068020000 SK2 3
Power Grnd Power Entry CN0000073 PS2 (+12) 068020000 SK2 2
AC Line Switched Power Switch SW0000025 L PS1 (+5, ±15) 068010000 SK2 1
AC Neu Switched Power Switch SW0000025 N PS1 (+5, ±15) 068010000 SK2 3
Power Grnd Power Entry CN0000073 PS1 (+5, ±15) 068010000 SK2 2
AC Line Switched Power Switch SW0000025 L Relay 041350000 J1 1
AC Neu Switched Power Switch SW0000025 N Relay 041350000 J1 3
Power Grnd Power Entry CN0000073 Relay 041350000 J1 2
D-4
06864B DCN6314

Interconnect List, T300/M T360/M
(Reference: 0691201B, DCN5947)
Cable PN Signal Assembl
y
PN J/P Pin
A
ssembl
y
PN J/P Pin
FROM TO
0681
6
CBL ASSY, DC POWE
R
+15 PS1 068010000 SK1 6 Relay PCA 041350000 J13 4
+5 PS1 068010000 SK1 1 Relay PCA 041350000 J13 3
DGND PS1 068010000 SK1 3 Relay PCA 041350000 J13 1
AGND PS1 068010000 SK1 4 Relay PCA 041350000 J13 5
-15 PS1 068010000 SK1 5 Relay PCA 041350000 J13 6
+12 PS2 068020000 SK1 1 Relay PCA 041350000 J13 8
+12 RET PS2 068020000 SK1 3 Relay PCA 041350000 J13 7
0681
7
CBL, RELAY BD TO SOURC
E
IR Source Drv Relay PCA 041350000 J16 1 IR Source 009550500 P1 1
IR Source Drv Relay PCA 041350000 J16 2 IR Source 009550500 P1 2
0691
7
CBL, DC POWER & SIGNAL DISTRIBUTION
+5V LCD Interface PCA 066970000 J14 1 Relay PCA 041350000 J12 2
DGND LCD Interface PCA 066970000 J14 2 Relay PCA 041350000 J11 1
+5V LCD Interface PCA 066970000 J14 3 Relay PCA 041350000 J11 2
SDA LCD Interface PCA 066970000 J14 5 Relay PCA 041350000 J5 2
SCL LCD Interface PCA 066970000 J14 6 Relay PCA 041350000 J5 1
DGND LCD Interface PCA 066970000 J14 8 Relay PCA 041350000 J12 1
Shield LCD Interface PCA 066970000 J14 10 Relay PCA 041350000 J5 5
+12V Ret Fan 040010000 P1 1 Relay PCA 041350000 J11 7
+12V Fan 040010000 P1 2 Relay PCA 041350000 J11 8
AGND Flow Module 040030100 J1 3 Relay PCA 041350000 J11 3
+15V Flow Module 040030100 J1 6 Relay PCA 041350000 J11 4
Cell Pressure Flow Module 040030100 J1 4 Motherboard 058021100 J109 5
Pump Vaccum Flow Module 040030100 J1 2 Motherboard 058021100 J109 6
Sample Flow Flow Module 040030100 J1 5 Motherboard 058021100 J109 2
Shield Motherboard 058021100 J109 9
Measure Sync Demod 032960000 J3 1 Motherboard 058021100 J109 4
PD Temp Sync Demod 032960000 J3 2 Motherboard 058021100 J109 1
Reference Sync Demod 032960000 J3 5 Motherboard 058021100 J109 3
AGND Sync Demod 032960000 J3 6 Shield
Dark Switch Sync Demod 032960000 J3 4 Motherboard 058021100 J108 16
Sync Error Sync Demod 032960000 J3 7 Motherboard 058021100 J108 4
Etest Sync Demod 032960000 J3 8 Motherboard 058021100 J108 8
0692
5
CBL ASSY, SYNC DEMOD , DC POWE
R
DGND Relay PCA 041350000 J15 1 Sync Demod 032960000 J2 1
+5V Relay PCA 041350000 J15 2 Sync Demod 032960000 J2 2
AGND Relay PCA 041350000 J15 3 Sync Demod 032960000 J2 3
+15V Relay PCA 041350000 J15 4 Sync Demod 032960000 J2 4
AGND Relay PCA 041350000 J15 5 Sync Demod 032960000 J2 5
-15V Relay PCA 041350000 J15 6 Sync Demod 032960000 J2 6
DGND Relay PCA 041350000 J15 1 O2 Sensor 049210000 P1 5
+5V Relay PCA 041350000 J15 2 O2 Sensor 049210000 P1 6
+12V ret Relay PCA 041350000 J15 7 CO2 Sensor GND
+12V Relay PCA 041350000 J15 8 CO2 Sensor +L
O2- O2 Sensor P1 9 Motherboard 058021100 P110 10
O2+ O2 Sensor P1 10 Motherboard 058021100 P110 4
Shield Motherboard 058021100 P110 7
CO2- CO2 Sensor 0 Motherboard 058021100 P110 8
CO2+ CO2 Sensor V Motherboard 058021100 P110 2
0674
6
CBL, MOTHERBOAD TO CPU
RXD(0) CPU PCA 067240000 COM1 1 Motherboard 058021100 J12 14
RTS(0) CPU PCA 067240000 COM1 8 Motherboard 058021100 J12 13
TXD(0) CPU PCA 067240000 COM1 4 Motherboard 058021100 J12 12
CTS(0) CPU PCA 067240000 COM1 7 Motherboard 058021100 J12 11
GND(0) CPU PCA 067240000 COM1 6 Motherboard 058021100 J12 10
RXD(1) CPU PCA 067240000 COM2 1 Motherboard 058021100 J12 9
RTS(1) CPU PCA 067240000 COM2 8 Motherboard 058021100 J12 8
TXD(1) CPU PCA 067240000 COM2 4 Motherboard 058021100 J12 7
CTS(1) CPU PCA 067240000 COM2 7 Motherboard 058021100 J12 6
GND(1) CPU PCA 067240000 COM2 6 Motherboard 058021100 J12 5
485+ CPU PCA 067240000 CN5 1 Motherboard 058021100 J12 9
485- CPU PCA 067240000 CN5 2 Motherboard 058021100 J12 7
GND CPU PCA 067240000 CN5 3 Motherboard 058021100 J12 5
Shield Motherboard 058021100 J12 2
WR25
6
CBL, TRANSMITTER TO LCD INTERFACE PCA
LCD Interface PCA 066970000 J15 Transmitter PCA 068810000 J1
06864B DCN6314
D-5
This page intentionally left blank.
D-6
06864B DCN6314

06864B DCN6314
D-7

1 2 3 4 5 6
A
B
C
D
6
54321
D
C
B
A
APPROVALS
DRAWN
CHECKED
APPROVED
DATE
SIZE DRAWING NO. REV I S I ON
SHEET
Schematics for PCA 03296, Sync Demod
K
13
17-Sep-2008
LAST MOD.
B
of
03297
The information herin is the
property of TAPI and is
submitted in strictest
confidence for reference only.
Unauthorized use by anyone
for any other purpose is
prohibited. This document or
any informatin contained in it
may not be duplicated without
proper authorization,.
C6
0.01, 100V, CERAMIC
C9
10/100V, Elect
R5
1M
C10
0.1/100V, Film
3
2
1
84
U2A
LF353
R6
10M
R7
See Below
R16
4.99K
R17
10K
R18 10K
5
6
7
U2B
LF353
C11 100pf
R30
51K
R34
7.5K
R31
51K
R19
10.0K
R35 2.2M
R50
2.2K R51
2.55k
3
2
6
1
8
7 4
U3
OPA340UA
C120.047, Ceram, 1206 Chip
C13
0.022, Ceram
+5VREF
C7
10/35V, tantalum
C8
10/35V, tantalum
VCC
-15V_A
+15V_A
+5 V RETURN
PREA MP OUT
1
2
3
4
5
6
7
8
9
10
JP1
DETECTOR
R54
2 OHM 35W
PREAMP
TEC CONTROL
V= 50-55 VOLTS
Mounted on Bench
Mounted on Bench
+5VREF
PDETTEMP
R61
100
1
2
3
4
5
6
7
8
9
10
JP2
Power, Minifit, 10 Pin
+15V
-15V
VCC
+5 V RETURN
COMEAS TO A/D
COREF TO A / D
DA RKS WIT CH
ETES T
SY NC ERROR
PDETTEMP
M/ R_DET
SEGMENT_DET
1
2
3
4
5
6
7
8
JP3
MICROFIT, 8 pin
DIGITAL GND
Analog GND
TP3TP
TP4TP
NC
4
GND
2
IN
8
NC 5
GND
6GND
3
OUT 1
GND
7
U15
LM78L05ACM(8)
+15V_A
+5VREF
C14
0.68uf/25V, Ceram
C15
0.68uf/25V, Ceram
R4
499K
VIN
3VOUT 2
ADJ
1
U14 LT1084CT
C1
100UF/25V
C2
100UF/25V
C3
100UF/25V
DGND
TP
AGND
TP
VCC TP
1
2
3
4
5
6
JP6
BM06B-SRSS-TB (mfg: JST)
TDIN
TCK
TMS
TDOUT
VCC
+15V_A
C18
10/35V, tantalum
L1
4.7UH
+15V
C17
10/35V, tantalum
VBIAS
1
2
3
4
5
6
JP4
MICROFIT, 6 Pin
+15V_A
TP
-15V_A
C19
10/35V, tantalum
L2
4.7UH
-15V
-15V_A
TP
+15V_B
C27
10/35V, tantalum
L3
4.7UH
+15V
+15V_B
TP
-15V_B
C28
10/35V, tantalum
L4
4.7UH
-15V
-15V_B
TP
C33
0.1, Ceram
R27
100
VBIAS
TP
+5V RETURN IS A SEPARATE GROUND
RETURN, IT MUST BE RUN DIRECTLY
BACK TO JP2-1. (30 MIL TRACE WIDTH)
R55
100
C68
0.1, Ceram
DETECTOR+
Detector is in a TO-37 package
(10 pin circular) with only pins
1,2,6,7,8 & 9 present.
Signal
Opto
R28
10K
R73
10K
VCC
VCC
R25
10K
VCC
R26
10K
VCC
MT1
MOUT I NG HOLE
R74
0 ohm
R71
0 ohm
See Page 3 for Bias supply
Note: 1. This schematics is for PCA 03296.
2. Use PCB 03295.
JP1
1
2
TEC Return
6
7
Function
8
9
Thermistor
Thermistor Return
Detector
Detector Return
TEC Return
GFC Wheel Position Interface
Programming
THERMISTOR+
VERS I ON
00
01
R7 VALUE
100K
24.9K
SEGMENT_DET
Revision History
Rev.K - DCN5067
-03 option, R7 value = 75K
Rev J - DCN 4242 - RJ
DCR 6270
Change C14 & C15 from 1206 to 1210,
From CA0000144 to CA0000201.
Clear out solder mask from Detector (JP1).
Add test points TP16 & TP17, 0.50 pad.
Printed documents are Uncontrolled.
03 75K
D-8
06864B DCN6314

1 2 3 4 5 6
A
B
C
D
6
54321
D
C
B
A
APPROVALS
DRAWN
CHECKED
APPROVED
DATE
SIZE DRAWING NO. REV I S I ON
SHEET
Schematics for PCA 03296, Sync Demod
K
23
17-Sep-2008
LAST MOD.
B
of
03297
The information herin is the
property of TAPI and is
submitted in strictest
confidence for reference only.
Unauthorized use by anyone
for any other purpose is
prohibited. This document or
any informatin contained in it
may not be duplicated without
proper authorization,.
2
3
1
411
U5A
LF444
5
6
7
U5B
LF444
R56
619K
R20
10K
R57
324
R8
100K
R9 100k
R21
10K
R36
1M
R37
1M
R38
1M
R39
1M
R40 1M
R10
100K
R41
1M
R11 100K
R58
200
R42
1M
C20
1.0, Poly
C26
1000PF/50V, 0805
C29
0.22, Poly
C30
0.22, Poly
C31
0.22, Poly
C32
0.22, Poly
C21
1.0, Poly
C22 1.0, Poly
14
13
12
U5D
LF444
9
10
8
U5C
LF444
+15V_A
-15V_A
3
2
1
cw
VR1
5K
AIN
14
BIN
3
VCIN
9
INH
5
CA
6
CB
7
R1
11
R2
12
PCP 1
PC1 2
PC2 13
VCOUT 4
SF 10
ZEN 15
VCC 16
GND
8
U7
CD4046 PLL
R23
10K
R43
1M
R44
1M
R45
1M
R46
1M
R47
1M
R12
100K
R48
1M
R64
4.99K
R13
100K
R59
200
R49
1M
C34
0.22, Poly
C35
0.22, Poly
C36
0.22, Poly
C37
0.22, Poly
C23
1.0, Poly
C24 1.0, Poly
5
6
7
U4B
LF444
9
10
8
U4C
LF444
-15V_A
COREF TO A / D
COMEAS TO A/D
SY NC ERROR
R65 16.9K
R66
75K
R67
80.6K
C39
0.1, Poly
C25
1.0, Poly
2
3
1
411
U4A
LF444
R60
200
+15V_A
D1 2
S1
3
IN1
1
4
13
12
5
U10A
DG444
D2 15
S2
14
IN2
16
U10B
DG444
D3 10
S3
11
IN3
9
U10C
DG444
D4 7
S4
6
IN4
8
U10D
DG444
D3 10
S3
11
IN3
9
U8C
DG444
D4 7
S4
6
IN4
8
U8D
DG444
IO/GCK3
1
IO
2
IO
3
GND
4
IO
5
IO
6
IO
7
IO
8
TD IN
9
TMS
10
TCK
11
IO
12
IO
13
IO
14
VCC INT 15
IO
16
GND
17
IO
18
IO 19
IO 20
IO 21
IO 22
IO 23
TD OUT 24
GND
25 VCC IO 26
IO 27
IO 28
IO 29
IO 30
IO 31
IO 32
IO/GSR 33
IO/GTS2 34
VCC INT 35
IO/GTS1 36
IO 37
IO 38
IO 39
IO
40
IO
41
IO
42
IO/GCK1
43
IO/GCK2
44
U12
XC9536-15VQ44I(44)
ETES T
PREA MP OUT
DA RKS WIT CH
C61
0.01 Ceramic
M/ R_DET
-15V_A
R29
10K
TP2
TP1
TP
SEGMENT_DET
C63
0.1, Ceram
TP5
TP6
TP
TP7TP
TP9TP
TP10TP
TP11
TP12TP
VCC
+15V_A
-15V_A
VCC
VCC
TDIN
TMS
TCK
TDOUT
R53 1M
D1 D2
R1 681
R2 681
PC1
PC1
PCP
D1
2S1 3
IN1 1
4
13
12
5
U8A
DG444
D2
15 S2 14
IN2
16
U8B
DG444
+15V_A
VCC
-15V_A
R22
100k
R62
50K
R14
110K
TV1
TV1
TV2
R15
39.2k
+5VREF
R32 51K
R24
5.1K
C67
0.1, Ceram
2 1
3
D5
LM385
TP8
TP14
TP15
PREAMP_ENAB'
M/R Status
Segment Status
SYNC_10
MEAS_2
MEAS_1
REF_1
REF_2
MEAS_1
MEAS_2
REF_1
REF_2
SYNC_10
TV_ENAB'
PREAMP_ENAB'
TV2
PCP
TV_ENAB'
+5VREF
D6
1N4148
-VREF
SEGMENT_DET
TP16
TP17
06864B DCN6314
D-9

1 2 3 4 5 6
A
B
C
D
6
54321
D
C
B
A
APPROVALS
DRAWN
CHECKED
APPROVED
DATE
SIZE DRAWING NO. REV I S I ON
SHEET
Schematics for PCA 03296, Sync Demod
K
33
17-Sep-2008
LAST MOD.
B
of
03297
The information herin is the
property of TAPI and is
submitted in strictest
confidence for reference only.
Unauthorized use by anyone
for any other purpose is
prohibited. This document or
any informatin contained in it
may not be duplicated without
proper authorization,.
C41
0.1, Ceram
C42
0.1, Ceram
C43
0.1, Ceram
C44
0.1, Ceram
C46
0.1, Ceram
C48
0.1, Ceram
C49
0.1, Ceram
C52
0.1, Ceram
C53
0.1, Ceram
C54
0.1, Ceram
C55
0.1, Ceram
C57
0.1, Ceram
C59
0.1, Ceram
C60
0.1, Ceram
+15V_A
-15V_A
VCC
U2 U4
U4U2
U5
U5
U7 U8
U8
U8
U10
U10
U10 U12
14
13
12
U4D LF444
C5
10/35V, tantalum
3
2
6
1
5
74
U9
LF351
R3 39.2k
R33
20K
R52
100K
C65
330PF, Ceram, 0603 Chip
+15V_B
-15V_B
C66
0.01, 100V, CERAMIC
C38
0.01, 100V, CERAMIC
C51
100/100V, ELECTROLYTIC
+15V_B
F= 19-27 Khz
V= 27 +/- 2 VOLTS
BIAS SUPPLY
V= 65 +/- 1 VOLTS
C50
0.01, 100V, CERAMIC
C40
0.01, 100V, CERAMIC
NC
4
GND
2
IN
8
NC 5
GND
6GND
3
OUT 1
GND
7
U1
LM78L12ACM(8)
VBIAS
C4
0.1, Ceram
C62
0.1, Ceram
C64
0.1, Ceram
MT2
MOUN T IN G HOLE
MT3
MOUN T IN G HOLE
MT4
MOUN T IN G HOLE
MT5
MOUN T IN G HOLE
MF1 MF2 MF3 MF4 MF5MF6
D3
1N4148
D4
1N4148
D7
1N4148
D8
1N4148
D-10
06864B DCN6314

1 2 3 4 56
A
B
C
D
6
54321
D
C
B
A
APPROVALS
DRAWN
CHECKED
APPROVED
DATE
SIZE DRAWING NO. REVISION
SHEET
Error : LOGO.BMP file not found.
The information herein is the
property of API and is
submitted in strictest con-
Unauthorized use by anyone
fidence for reference only.
for any other purposes is
prohibited. This document or
any information contained
in it may not be duplicated
without proper authorization.
PCA 03631, Isolated 0-20ma, E Series
03632 A
1119-Jul-2002
LAST MOD.
B
of
1 2
3 4
5 6
7 8
J1
HEADER 4X2
+15V
+15V
IOUT-
IOUT+
VIN-
VIN+
15 7
9
12
16
10
8
+VS1
-VS1 GND1 -VS2GND2
+VS2
VIN VOUT
U4
ISO124
VIN- JP1
JUMPER2
+12V -12V
+12V
-12V
VS
1
0V
2
0V
5
+VOUT
6
-VOUT
7SOUT 8
SIN 14
U1
DCP010515
C1
0.47
C2
0.47
C3
0.47
ISO_+15V
ISO_GND
ISO_-15V
ISO_-15V ISO_+15V
R1
4.75K
R2
9.76K
3
2
6
1
8
7 4
U2
OPA277
C4
1000PF
C5
220PF
D1
1N914
ISO_+15V ISO_-15V
VREF
15
SENSE
12
VRADJ
11
VIN(10)
4
VREFIN
3
VIN(5V)
5
GND
216MA 9
4MA 10
SPAN 8
OFFADJ 7
GATEDRV 14
SSENSE 13
SR 1
+V 16
OFFADJ 6
U3
XTR110
ISO_+15V
IOUT+
C6
0.1
C7
0.1
Q1
MOSFETP
IOUT-
TP1
TESTPOINT
Date Rev. Change Description Engineer
8/9/00 A INITIAL RELEASE (FROM 03039) KL
TP3
ISO+15
TP2
TESTPOINT
TP4
ISO-15
TP5
ISO_GND
TP6
GND
06864B DCN6314
D-11

1 2 34
A
B
C
D
4
321
D
C
B
A
APPROVALS
DRAWN
CHECKED
APPROVED
DATE
SIZE DRAWING NO.REVISION
SHEET
The information herein is the
property of API and is
submitted in strictest con-
Unauthorized use by anyone
fidence for reference only.
for any other purposes is
prohibited. This document or
any information contained
in it may not be duplicated
without proper authorization.
SCH, PCA 04003, PRESS/FLOW, 'E' SERIES
04354D
113-Dec-2007
LAST MOD.
B
of
R2
1.1K
+15V
1
2
3
4
5
6
S1
ASCX PRESSURE SENSOR
1
2
3
4
5
6
S2
ASCX PRESSURE SENSOR
1
2
3
S3
FLOW SENSOR
+15V
+15V
TP5
S2_OUT
TP4
S1/S4_OUT
TP2
10V_REF
TP1
GND
TP3
S3_OUT
2
3
1
VR2
LM4040CIZ
2
3
1
VR1
LM4040CIZ
R1
499
1
2
3
4
5
6
J1
MINIFIT6
C1
1.0UF
C2
1.0UF
1
2
3
4
S4
CON4
+15V
C3
1.0
CN_647 X 3
FM_4
D-12
06864B DCN6314

1 2 3 4 5 6
A
B
C
D
6
54321
D
C
B
A
APPROVALS
DRAWN
CHECKED
APPROVED
DATE
SIZE DRAWING NO. REVISION
SHEET
The information herein is the
property of API and is
submitted in strictest con-
Unauthorized use by anyone
fidence for reference only.
for any other purposes is
prohibited. This document or
any information contained
in it may not be duplicated
without proper authorization.
Schematics for PWB 05031
A
1 1
8-Jun-2004
LAST MOD.
B
of
RJ
5/17/04
05033
1
2
3
4
5
6
J1
R1
180
R10
2K
R2
2K C2
1.0uF
+5V
TP4
R11
180
R4
220K
R8
100K
R5
100K
R3
10K
+5V
+5V
A
1
K
2
C3
E4
O2
OPB804
A
1
K
2
C3
E4
O1
OPB804
R6
10K
C1
1.0uF
and PCA 05032
OPTO-INTERRUPTER
TP2 TP1
C3
0.1uF
+5V
R9
162K
R7
100K
30Hz
360Hz
5
6
7
8 4
B
U1B
SN10502D
2
3
1
8 4
A
U1A
SN10502D
C4
1.0uF
MT2MT1
Mounting Holes
TP3
TP5
1
2
3VR1 2K
1
2
3VR2 2K
30HzRaw
30Hz
360HzRaw
360Hz
+30
+360
-30
-360
06864B DCN6314
D-13

1 2 3 4 56
A
B
C
D
6
54321
D
C
B
A
Title
Number RevisionSize
B
Date: 17-Jul-2002 Sheet of
File: N:\PCBMGR\RELEASED\04135dn\Source\04135.ddbDrawn By:
T1
SPW-3108
AO
1
A1
2
A2
3
SCL
14
SDA
15
INT 13
P0 4
P1 5
P2 6
P3 7
P4 9
P5 10
P6 11
P7 12
Vdd 16
Vss
8
U1
PCF8574
9 8
U2D
SN74HC04
3 4
U2B
5 6
U2C
1 2
U2A
13 12
VCC 14
GND
7
U2F
OUT4 1
K2
OUT 3 3
GND
4GND
5
OUT 2 6
K7
OUT 1 8
IN 1
9IN 2
10
VCC 11
GND
12 GND
13
ENABLE
14 IN 3
15 IN 4
16
U4
UDN2540B(16)
I2C_Vcc
1
2
3
4
5
J5
CON5
VBATT
1
VOUT
2
VCC
3
GND
4
BATT_ON
5
LOW LINE'
6
OSC IN
7
OSC SEL
8
RESET 16
RESET' 15
WDO' 14
CD IN' 13
CD OUT' 12
WDI 11
PFO' 10
PFI 9
U3
MAX693
C4
0.001
+5V
R1
1M
C5
1.0
D9
RLS4148
+5V
D1
RED
2
1
3
4
5
6
7
8
9
10
RN1
330
I2C_Vcc
D2
YEL
D3
YEL
D4
YEL
D5
GRN
D6
GRN
D7
GRN
D8
GRN
1
2
3
J4
C2
1.3/250
C3
0.3/250
1
2
3
4
J6
11 10
U2E
+5V
1
2
J16
CON2
1
2
3
JP7
HEADER 3
SAMPLE
SPAN/ZERO
SHUTOFF
SPARE
SOURCE
+
C7
2200/25
+12V
1
2
3
4
5
6
7
8
9
10
J11
CON10
11
2
3
4
5
6
7
8
9
10
J12
CON10THROUGH
11
2
3
4
5
6
7
8
9
10
J13
CON10THROUGH
11
2
3
4
5
6
7
8
9
10
J14
CON10THROUGH
DGND
+5V
AGND
+15V
AGND
-15V
+12RET
+12V
EGND
CHS_GND
AC_Line
AC_Neutral
I2C_Vcc
1 2
JP5
HEADER 1X2
DC PWR IN KEYBRD MTHR BRD SYNC DEMOD SPARE
+5V
+5V
1 2
+
3-4
K1
SLD-RLY
1 2
+
3-4
K2
SLD-RLY
1 2
+
3-4
K3
SLD-RLY
I2C_Vcc
1
2
3
JP8
WTCDG OVR
+
C8
10/16
+C6
10/16
C1
0.1
R2
20K
BENCH HTR
SPARE
GFC MOTOR
1
2
3
4
J1
CON4 1
2
3
4
5
J3
WHEEL HTR
11
2
3
4
5
6
7
8
9
10
J15
CON10THROUGH
1
TP1
DGND
1
TP2
+5V
1
TP3
AGND
1
TP4
+15V
1
TP5
-15V
1
TP6
+12RT
1
TP7
+12V
TeTe
Schematic, PCA 04135 Revision A, M300E Relay PCA
04136 B
Q1
IRF7205
WHEEL BENCH SPARE
1 2
3 4
5 6
7 8
JP6
HEADER 4X2
R3
2.2K
R4
2.2K
+5V
R6
10K
R5
10K
R7
10K
18
29
310
411
512
613
714
JP1
MLX 7X2 HDR
ENBL
1
IN
2
GND
3
OUT
4
ADJ
5
CASE
U5
MIC29502
R9
1.0K
R8
8.25K
+C10
10/16
+12V
+C9
10/16
1
5
2
6
3
7
4
8
J7
MOLEX8
F1
FUSE2
1
2
3
4
J2
1 6
2 7
3 8
4 9
510
JP4
MINI-FIT 10
JP4 Configuration
Standard Pumps
60 Hz: 3-8
50 Hz: 2-7, 5-10
PUMP
VALVES
World Pumps
60Hz/100-115V: 3-8, 4-9, 2-7
50Hz/100-115V: 3-8, 4-9, 2-7, 5-10
60Hz/220-240V: 3-8, 1-6
50Hz/220-240V: 3-8, 1-6, 5-10
JP1 Configurations
Spare Powered: 7-14
100V: 1-8, 5-12, 3-10, 4-11
115V: 6-13, 2-9, 3-10
230V: 6-2, 11-4
N
OTE: 1. Use PWB 04134
WATCHDOG TIMER
D-14
06864B DCN6314

1
1
2
2
3
3
4
4
D D
C C
B B
A A
Ti tle
Number Revis ionSize
A
Date: 6/28/2004 Sheet of
File: N:\PCBMGR\..\04468B.sch Drawn By:
1
2
3
4
5
6
7
8
JP1
No t U sed
R1
22
R2
SCH, E-Series Analog Output Isolator, PCA 04467
04468 B
06864B DCN6314
D-15

$
%
&
'
'
&
%
$
7LWOH
1XPEHU 5HYLVLRQ6L]H
2UFDG%
'DWH 0D\ 6KHHWRI
)LOH 1?3&%0*5?5-(VHULHV0RWKHUERDUG*HQHUDWLRQ?6RXUFH?EGGE'UDZQ%\
6FKHPDWLFIRU(6HULHV*0RWKHUERDUG3&$31
%
'>@
,2:
,25
6+'$&
',*,2
',*,2
7(03
'$&9
:5'$&
9)352*
&+*$,1
9)5($'
6+'1
',*,2
',*,2
7&
6+'1
,&B5(6(7
,&B'59B567
,&B5(6(7
,&B'59B567
3&,)
E3VFK
'>@ '>@
,2:
,25
6+'$&
',*,2
',*,2
7(03
'$&9
:5'$&
9)352*
&+*$,1
9)5($'
6+'1
',*,2
',*,2
7&
6+'1
,&B5(6(7
,&B'59B567
,&B5(6(7
,&B'59B567
VKHHW
E3VFK
,2:
'>@
'$&9
&6'$&$
&6'$&%
'$&
'$&
'$&
'$&
6+'$&
'$&9
'$&9
'$&9
'$&9
:5'$&
95()
7&
$1$287
E3VFK
,2:
'>@ '>@
'$&9
&6'$&$
&6'$&%
'$&
'$&
'$&
'$&
6+'$&
'$&9
'$&9
'$&9
'$&9
:5'$&
95()
7&
,25
9)5($'
'>@
9)352*
'$&08;
&+*$,1
7(0308;
,2:
6+'1
95()
7&
7&
7&
$1$,1
E3VFK
,25
9)5($'
'>@ '>@
9)352*
'$&08;
&+*$,1
7(0308;
,2:
6+'1
95()
7&
7&
7&
7(0308;
'$&08;
7(03
,2:
'$&
'$&
'$&
'>@
'$&9
'$&
'$&9
'$&9
'$&9
6+'1
6(1625,1
E3VFK
7(0308;
'$&08;
7(03
,2:
'$&
'$&
'$&
'>@
'>@
'$&9
'$&
'$&9
'$&9
'$&9
6+'1
'>@
',*,2
,25
',*,2
',*,1
E3VFK
'>@ '>@
',*,2
,25
',*,2
6+'1
'>@
,2:
',*,2
',*,2
',*287
E3VFK
6+'1
'>@ '>@ ,2:
',*,2
',*,2
6+'1
',*,2
'>@
,2:
',*,2
',*287
E3VFK
6+'1
',*,2
'>@
'>@
,2:
',*,2
D-16
06864B DCN6314

$
%
&
'
'
&
%
$
7LWOH
1XPEHU 5HYLVLRQ6L]H
2UFDG%
'DWH 0D\ 6KHHWRI
)LOH 1?3&%0*5?5-(VHULHV0RWKHUERDUG*HQHUDWLRQ?6RXUFH?EGGE'UDZQ%\
6FKHPDWLFIRU(6HULHV*0RWKHUERDUG3&$31
%
$
$
$
'
'
,2:
$
$
'
,25
6<6&/.
'
'
'
'
'
$
$
$
$
$
$
,17
;(
;'
,2(1
$(1
$
$
$
$
$
$
(1$%
,17
'
'
'
'
'
'
,2:
'
'
,2:
'
'
'
'
'
'
'
'
'
'
,25
'
'
'
,25
'
'
'
',*,2
,54 .%,17
73
$
$
$
$
$
$
$
$
*
*
<
<
<
<
<
<
<
<
8
+&
-
0,&52),7
&
51 .[
'
&/.
4
4
35(
&/5
8%
+&
*1'
$
,2&+(&.
'
'
'
'
'
'
'
'
,2&+5'<
$(1
$
$
$
$
$
$
$
$
$
$
$
$
$
$
$
$
$
$
$
-$
3&
*1'
5(6(7'59
9
,54
9
'54
9
(1';)5
9
.(<
60(0:
60(05
,2:
,25
'$&.
'54
'$&.
'54
5()5(6+
6<6&/.
,54
,54
,54
,54
,54
'$&.
7&
%$/(
9
26&
*1'
*1'
-%
3&
5
N
5
.
$
$
$
$
$
$
$
$
%
%
%
%
%
%
%
%
(1
3 4
9&&
*1'
8 +&
'
'
'
'
'
'
'
'
&/.
2&
4
4
4
4
4
4
4
4
8+&
&
X)FHUDPLF
73
$
%
&
'
*
*
<
<
<
<
<
<
<
<
<
<
<
<
<
<
<
<
8 +&
-3
,'&+($'(5
&
X)FHUDPLF
8$
+&
'
&/.
4
4
35(
&/5
8$ +&
-
3&&'
-3
,'&+($'(5
5
N
8%
+&
,$&.
,17
9&&
$
6'$
966
5'
&6
:5
5(6(7
'%
'%
'%
'%
'%
'%
'%
'%
6&/
&/.
8 3&)
-3 ,'&+($'(5
73
5
.
-
,1/,1(
8'
+&
5
.
9&&
9&&
*1'
*1'
:',
5(6(7
*1'
8
/7&&6
;
-,72'&)2+0
&
X)9
'>@
,2:
,25
6+'$&
',*,2
',*,2
7(03
'$&9
:5'$&
9)352*
&+*$,1
9)5($'
6+'1
',*,2
',*,2
7&
6+'1
,&B5(6(7
,&B5(6(7
,&B'59B567
9&&
9&&
9
9&&
9&&
9&&
9&&
9&&
$''5 ['()$8/7
5
N
5
127,167$//('
'2
'2
'2
'2
'2
'2
'2
',
',
',
',
',
',
',
',
'2
'2
'2
'2
'2
'2
'2
'2
',
',
',
',
',
',
',
',
6&/
6'$
'*1'
-
0,&52),7
.%,17
'
' '
&/.
4
4
35(
&/5
8% +&
'
&/.
4
4
35(
&/5
8$
+&
9&&
'2
,54
5
.
'6
/('5('VPW
8
$+&*8
-3
,'&+($'(5
$''5 [-3,167$//('
$(1
,2(1
,2:
-3
+($'(5'()$8/7('
VKRUWHGVOGUVLGH
-3
VKRUWHGVOGUVLGH
-3
6'$
6&/
'*1'
9&&
1RWHV
7KLVVFKHPDWLFLVIRU3&$
7KLVVFKHPDWLFLVIRU3&%
3LQVVKRUWHGRQ3&%
;&
;)
$
$
$
$
$
$
$
$
$
$
$
$
$
$
$
$
9&&
8&
+&
'6
'6
6&/ 6'$
5
5
9&&
9&&
9&&
''
''
56
,&
,&
%/8( %/8(
6'$
6&/
8'
+&
8&
+&
8'
+&
8$
+&
8$
+&
73
73
73
73
73
73
,&
8%
+&
8&
+&
8'
+&
06864B DCN6314
D-17

$
%
&
'
'
&
%
$
7LWOH
1XPEHU 5HYLVLRQ6L]H
2UFDG%
'DWH 0D\ 6KHHWRI
)LOH 1?3&%0*5?5-(VHULHV0RWKHUERDUG*HQHUDWLRQ?6RXUFH?EGGE'UDZQ%\
6FKHPDWLFIRU(6HULHV*0RWKHUERDUG3&$31
%
07
02817,1*+2/(
73
9
5(7
'*1'
9
9
$*1'
9
$*1'
(*1'
&+$6*1'
-
02/(;
6:
6:6/,'(3'7
79$55$<
79
60'$/&&
79$55$<
79
60'$/&&
-
,1/,1(
5
.
1&
5;'
7;'
1&
*1'
1&
576
&76
1&
-
'%0
$.
'6
/('*51VPW
5
127,167$//('
$ .
'6
/('5(' 5
N
73
73
5
.
73
5
127,167$//('
5
127,167$//('
73
73
9 99&& 95(79
9
-
'%)(0$/(
7;
&76
56*1'
5;
7;
576
&76
56*1'
5;
576
9&&
07
02817,1*+2/(
07
02817,1*+2/(
07
02817,1*+2/(
07
02817,1*+2/(
07
02817,1*+2/(
07
02817,1*+2/(
07
02817,1*+2/(
07
02817,1*+2/(
'
&
(
V
L
GH
R
I
VZ
L
WF
KL
V
V
L
GH
WRZD
U
GV
S
LQ
7;IRU&RP
5;IRU&RP
9&&
5;
7;
576
&76
56*1'
'7(
&
X)97$17$/80
9&&
&
X)97$17$/80
'
0%56&7
'
0%56&7
5
127,167$//('
''5PXVWEH
ZLWKLQRI-
''B
=
02817,1*+2/(
=
02817,1*+2/(
=
02817,1*+2/(
'6
/('5('
'6
/('*51
5
.
5
.
7;IRU&RP 5;IRU&RP
D-18
06864B DCN6314

$
%
&
'
'
&
%
$
7LWOH
1XPEHU 5HYLVLRQ6L]H
2UFDG%
'DWH 0D\ 6KHHWRI
)LOH 1?3&%0*5?5-(VHULHV0RWKHUERDUG*HQHUDWLRQ?6RXUFH?EGGE'UDZQ%\
6FKHPDWLFIRU(6HULHV*0RWKHUERDUG3&$31
%
'
&/.
'
&/.
&6'$&$
&
X)FHUDPLF
&/.
',1
92$
*1'
&6
92%
'287
9&&
8 '$&%,7
73
8&
23$8$
:
$*1'
:
$*1'
%
$*1'
$
'*1'
:
$
$
56
$*1'
:
$
%
9&&
%
&/.
6'2
6+'1
&6
%
6',
8 327',*,7$/
73
&
X)FHUDPLF
&
X)FHUDPLF
5
N
5
.
73
5
N
8$
23$8$
&
X)FHUDPLF
8'
23$8$
8%
23$8$
5
.
6+'$&
'$&9
'$&9
9&&
9&&
9
9
'$&
'8$/'$&$
5
5
'
0%56&7
'
0%56&7
'DQG'
0XVWEHORFDWHG
ZLWKLQRI8
'
&/.
6+'$&
'
&/.
&6'$&%
&
X)FHUDPLF
8%
23$8$
8'
23$8$
73
:
$*1'
:
$*1'
%
$*1'
$
'*1'
:
$
$
56
$*1'
:
$
%
9&&
%
&/.
6'2
6+'1
&6
%
6',
8 327',*,7$/
&/.
',1
92$
*1'
&6
92%
'287
9&&
8 '$&%,7
5
N
5
.
&
X)FHUDPLF
8$
23$8$
8&
23$8$
&
X)FHUDPLF
73
&
X)FHUDPLF
5
.
5
N
73
'$&9
'$&9
9
9&&
9&&
9
'$&
'$&
'8$/'$&$
5
5
'$&9
-
,'&
-
,'&
-
,'&
-
0,&52),7
*
*
*
*
-
7(50%/2&.
99
$1$/2*92/7$*(&855(172873876
,62/$7('0$237,21$/%2$5'6
/
/
/
/
)(%($'
/
/
/
)(%($'
&
S)
&
S)
&
S)
&
S)
&
S)
&
S)
&
S)
&
S)
/
'$&9
'$&9
'$&9
9&&
9&&
'$&9
'
'
'
'
'
'
,2:
'
&/.
'
&65$1*(
&65$1*(
8&
+&
8%
+&
,2:
'$&9
:5'$&
7&
'
'
'
'
'
'
'
'
&/.
2&
4
4
4
4
4
4
4
4
8 +&
'>@
'$&5$1*(2))6(7352*5$0
&6'$&$
&6'$&%
'$&
'$&
'$&
'$&
&6'$&%
&6'$&$
&
X)FHUDPLF
&
X)FHUDPLF
&
X)FHUDPLF
5
N
5 .
73
95()
9
9
''B
56
73
8$
23$
8%
23$
62&.(78
62&.(78
-
+($'(5,'&
79$55$<
79
60'$/&&
79$55$<
79
60'$/&&
5
5
,QVWDOO-IRU
P$RQWK
FKDQQHO
,QVWDOO5
5LIP$
RQWKFKDQQHO
QRWXVHG
56
06864B DCN6314
D-19

$
%
&
'
'
&
%
$
7LWOH
1XPEHU 5HYLVLRQ6L]H
2UFDG%
'DWH 0D\ 6KHHWRI
)LOH 1?3&%0*5?5-(VHULHV0RWKHUERDUG*HQHUDWLRQ?6RXUFH?EGGE'UDZQ%\
,2:
&+
&+
&+
&+
&+
&+
&+
&+
&+
6%
0,'
6$
6&
06%
'
'
'
'
/6%
67$57
'
6(/
'
6(/
&+
&+
'
'
'
'
'
'
'
'
'
'
'
'
'
'
'
'
'
'
73
;
-,72'&$$(0+=
&
X)97$17$/80
73
-
0,&52),7
&
X)FHUDPLF
& X)FHUDPLF
5
.
&
X)9FHUDPLF
73
,1
,1
,1
,1
,1
,1
,1
,1
,1
1&
966
1&
,1
,1
,1
,1
(1%
$
$
$
$
95()
,1
*1'
,1
966
287
,1
8
$108;
&
X)97$17$/80
73
73
5
1&
9,1
75,0
9287
15
1&
*1'
1&
8
92/7$*(5()
&
X)FHUDPLF
73
&
X)FHUDPLF
&
X)FHUDPLF
&
X)FHUDPLF
&
X)9
'
'
'
'
'
'
'
'
&/.
2(
4
4
4
4
4
4
4
4
8
+&
&
X)FHUDPLF
&
X)9
73
&26
2379
96
&/.
)287
9,
9,
*1'
$*1'
&203
&203
23287
1&
96
23
23
5()
9,
1&
1&
8
$'.3
'
'
'
'
'
'
'
'
&/.
2(
4
4
4
4
4
4
4
4
8
+&
73
5
5
73
-
0,&52),7
5
;
0%+0+=
&
X)97$17$/80
5
0&+,3
&
X)FHUDPLF
7,(
7,(
7,(
7,(
7,(
)5(4
7,(
7,(
*1'
'%
7,(
'%
,&/.
7,(
'%
5'0%<7(
9&&,2
6(/
67$57
7'2
7',
706
7&.
5'06%
9)&/.
'%
'%
7,(
7,(
'%
9&&,17
5'/6%
5($'
6&
6%
*1'
,25
9&&,17
'%
7,(
6$
'%
7,(
*1'
8
;LOLQ[&3/'
&
X)FHUDPLF
&
51
.[
'
6
96
*1'
6
'
,1
,1
6
,1
,1
'
6
96
9&&
'
8
'*'<
,25
9)5($'
'>@
9)352*
'$&08;
&+*$,1
7(0308;
,2:
6+'1
95()
7&
7&
7&
9
9&&
9
9&&
9
9&&
9
9
9
9&&
9
9&&
9&&
9
9&&
9
&
51 .[
&
51 .[
&+
&+
&+
&+
&+
&+
&+
&+
&+
&+
&+
&+
&+
73
95()
73
$*1'
5
3/$&(
2+0
5(6,6725$6
&/26($6
3266,%/(72
;$1';
5LQGXFHVDQ
RIIVHWLQDQDORJ
VLJQDOWRJLYHD
OLYHIRUVHQVRUV
ZLWKRUVOLJKWO\
QHJDWLYHRXWSXW
5DQG5UHGXFHWKHJDLQ
IRUDQDORJLQSXWVE\VR
WKDWZHFDQUHDGVOLJKWO\
DERYHIXOOVFDOHWRSUHYHQW
RYHUIORZRI$'&UHDGLQJ
9&&
6FKHPDWLFIRU(6HULHV*0RWKHUERDUG3&$31
%
,&
23$8$
&
X)
&
X)
9
9
,&
8%
/)
8$
/)
5
.
5
.
5
.
5
.
5
.
5
.
9
'
%$6
9
''
' %$6
' %$6
56
56
5 . $'&95()
95()&/,3
&$B
56
''
56
8$
23$
8%
23$
8$
+&
8%
+&
D-20
06864B DCN6314

$
%
&
'
'
&
%
$
7LWOH
1XPEHU 5HYLVLRQ6L]H
2UFDG%
'DWH 0D\ 6KHHWRI
)LOH 1?3&%0*5?5-(VHULHV0RWKHUERDUG*HQHUDWLRQ?6RXUFH?EGGE'UDZQ%\
6FKHPDWLFIRU(6HULHV*0RWKHUERDUG3&$31
%
'$&9
'$&9
'$&9
'$&9
'
'
'
& X)FHUDPLF
& X)FHUDPLF
51 .[
$
(1%
9
,1
,1
,1
,1
287
,1
:5
$
*1'
966
,1
,1
,1
$
56
8
0$;&:1
'
6
96
*1'
6
'
,1
,1
6
,1
,1
'
6
96
9&&
'
8
'*'<
-
0,&52),7
;7
7+(50,67(5
7(0308;
'$&08;
7(03
,2:
'$&
'$&
'$&
'>@
'$&9
'$&
'$&9
'$&9
'$&9
6+'1
99
9$1$
9&&
9&& 9
9$1$9
51 .[
5 .
7+(50,67(5
7+(50,67(5
7+(50,67(5
7+(50,67(5
7+(50,67(5
7+(50,67(5
7+(50,67(5
7+(50,67(5
,1
212))
287
1&
*1'
8
/3,0
&
X)
%<3$66&$36
0867%(:,7+,1
2)7+(
5(*8/$725
,1387287387
3,16
&
X)97$17$/80
5
.
56 5
.
5
.
5
.
5
.
5
.
5
.
5
.
7+(50,67(5
7+(50,67(5
7+(50,67(5
7+(50,67(5
7+(50,67(5
7+(50,67(5
7+(50,67(5
7+(50,67(5
8'
+&
;7
7+(50,67(5
,QVWDOO;7WKURXJKKROH
25;760'
EXWQRWERWK
06864B DCN6314
D-21

$
%
&
'
'
&
%
$
7LWOH
1XPEHU 5HYLVLRQ6L]H
2UFDG%
'DWH 0D\ 6KHHWRI
)LOH 1?3&%0*5?5-(VHULHV0RWKHUERDUG*HQHUDWLRQ?6RXUFH?EGGE'UDZQ%\
6FKHPDWLFIRU(6HULHV*0RWKHUERDUG3&$31
%
'
'
'
'
'
'
'
'
'>@
,25
'
'
'
'
'
'
'
'
$
$
$
$
$
$
$
$
*
*
<
<
<
<
<
<
<
<
8
+&
-
7(50%/2&.
73
-
7(50%/2&.
51
[
8
36
$
$
$
$
$
$
$
$
*
*
<
<
<
<
<
<
<
<
8
+&
8
36
8
36
'>@
',*,2
,25
',*,2
9&&
9&&
(;7(51$/
&21752/
,1
$
(;7(51$/
&21752/
,1
%
(;7B9B287
(;7B9B287
/
/
/ )(%($'
/
/
/
/)(%($'
/
/
/
/
)(%($'
/
&
S)
&
&
&
S)
&
S)
&
&
&
S)
&
S)
&
&
&
S)
&
51
[
&
51
.[
&
51
.[
&
S)9
&
&
&
S)9
&
S)9
&
&
&
S)9
5
5
5
5
5
5
5
5
'
'
'
'
'
'
'
'
3ODFHWKHVHWHUPLQDWLRQUHVLVWRUVDWWKHHQGRIHDFKGDWD
OLQH(DFKGDWDOLQH
VKRXOGEHODLGRXWDVDGDLV\FKDLQWKHVLJQDOSDVVLQJ
IURPRQH,&WRWKHQH[W
&
&
/
/
&
&
/
/
D-22
06864B DCN6314

$
%
&
'
'
&
%
$
7LWOH
1XPEHU 5HYLVLRQ6L]H
2UFDG%
'DWH 0D\ 6KHHWRI
)LOH 1?3&%0*5?5-(VHULHV0RWKHUERDUG*HQHUDWLRQ?6RXUFH?EGGE'UDZQ%\
6FKHPDWLFIRU(6HULHV*0RWKHUERDUG3&$31
%
'
'
'
,2:
'
6+'1
'
'
'
'
73
8 36
'
'
'
'
'
'
'
'
&/.
2(
4
4
4
4
4
4
4
4
8
+&
8 36
-
7(50%/2&.
6+'1
'>@
',*,2
9&&
9&&
'
',2'(6&+277.<
)
5(6(77$%/()86($9
/
/
/ )(%($'
/
/
/
/ )(%($'
/
&
S)
&
&
&
S)
&
S)
&
&
&
S)
(;7B9B287
&
51
[
/
)(%($'
/
)(%($'
&
&
8%
+&
06864B DCN6314
D-23

$
%
&
'
'
&
%
$
7LWOH
1XPEHU 5HYLVLRQ6L]H
2UFDG%
'DWH 0D\ 6KHHWRI
)LOH 1?3&%0*5?5-(VHULHV0RWKHUERDUG*HQHUDWLRQ?6RXUFH?EGGE'UDZQ%\
6FKHPDWLFIRU(6HULHV*0RWKHUERDUG3&$31
%
,2:
6+'1
'
'
'
'
'
'
'
'
'
6+'1
'
'
'
'
'
'
'
4
62
5
.
.
5(/$<63'7
5
.
. 5(/$<63'7
-
7(50%/2&.
4
62
5
.
.
5(/$<63'7
'
'
'
'
'
'
'
'
&/.
2(
4
4
4
4
4
4
4
4
8
+&
4
62
8 36
5 .
.
5(/$<63'7
4
62
8 36
'
'
'
'
'
'
'
'
&/.
2(
4
4
4
4
4
4
4
4
8
+&
-
7(50%/2&.
8 36
6+'1
',*,2
'>@
,2:
',*,2
9&&
9&&
9
9
9
9
95(7
(;7(51$/
5($53$1(/
$/$502873876
'
',2'(6&+277.<
'
',2'(6&+277.<
'
',2'(6&+277.<
'
',2'(6&+277.<
/
/
/ )(%($'
/
/
/
/ )(%($'
/
/
/
/ )(%($'
/
&
S)
&
&
&
S)
&
S)
&
&
&
S)
&
S)
&
&
&
S)
&
51
[
&
51
[
/ )(%($'
&
S)
&2B(;7B5(7
8&
+&
8$
+&
D-24
06864B DCN6314

1
1
2
2
3
3
4
4
5
5
6
6
D D
C C
B B
A A
Title
Number RevisionSize
B
Date: 6/24/2010 Sheet of
File: N:\PCBMGR\..\06696.P1.R3.schdoc Drawn By:
GUI Interface
06698 D
14
2
3
4
5
6
7
8
1
51
52
9
10
11
12
13
14
15
16
17
18
19
20
21
22
23
24
25
26
27
28
29
30
31
32
33
34
35
36
37
38
39
40
41
42
43
44
45
46
47
48
49
50
GM800480X-70-TTX2NLW
J2
CL586-0529-2
Mode
aVsync
aHSync
3.3V
100K
R7
L/R
U/D
aReset
DithB
L/RU/DDithB
10K
R1
22uF/6.3V
C1
JMK316BJ226KL 0.0022
CA_112
C2
Mode
aVsync
aHSync
i BackLightDrive
aB7aB6
aB5aB4
aB3aB2
aG7aG6
aG5aG4
aG3aG2
aR6
aR5aR4
aR3aR2
aR7
aDCLK
3.3V
1.0
C7
GMK107BJ105KA
B5B4
B3B2
B1B0
G5G4
G3G2
G1G0
R4
R3R2
R1R0
R5
DEN
2
3
4
5
6
7
8
1
41
42
9
10
11
12
13
14
15
16
17
18
19
20
21
22
23
24
25
26
27
28
29
30
31
32
33
34
35
36
37
38
39
40
NI
J3
CL586-0527-7
B4
B2
B0
G4
G2
G0
R4
R2
R0
B5
B3
B1
G5
G3
G1
R3
R1
R5
DEN
DCLK
L/R
U/D
Mode
3.3V +5V
+5V
5V-GND
1
32
4
65
7
98
10
12 11
JP3
4X3 Jumper
1
32
4
65
7
98
10
12 11
13
15 14
16
18 17
JP2
6X3 Jumper
Bklght+
Bklght-
Vcom
Vgh
AVdd
Vcom
aG1
aG0
aR1
aR0
aB1
aB0
CHASSIS CHASSIS CHASSIS CHASSIS
MT1
TP1
1
2
38
5
7
4
6
10
9
J1
0039300100
1 2
3 4
5 6
7 8
9 10
11 12
13 14
15 16
17 18
19 20
21 22
23 24
25 26
27 28
29 30
B30B-PHDSS (LF)(SN)
J7
1 2
3 4
5 6
7 8
9 10
11 12
13 14
15 16
17 18
19 20
21 22
23 24
25 26
27 28
29 30
B30B-PHDSS (LF)(SN)
NI
J8
FBMH3216HM501NT
FB1
CHASSIS CHASSIS CHASSIS CHASSIS CHASSIS
Vgl
Make Model JP
2
JP
3
FEM A
G
M
800
4
80
W
1
-
2
,4-5,7-
8
,
10
-
11
,
13
-
1
4,
16
-
1
7
1
-
2
,4-5,7-
8
,
10
-
11
Dat a Image F
G0
7
00
A
0
D
S
WB
G01 3
-
2
,
6
-5,
9
-
8
,
12
-
11
,
1
5-
1
4,
18
-
1
7
2
-
3
,5-
6
,
8
-
9
,
11
-
12
United Radiant Tech. UM
S
H-
81
7
3
MD-
1
T
2
-
3
,4
/
5
/6
N
C
,7
/8/9
N
C
,
10
-
11
,
13
-
1
4,
16/ 1
7
/18
N
C2
-
3
,5-
6
,
8
-
9
,
11
-
12
Internal Dithering
0 = Enable
1 = Disable
Scan Direction
U/D L/R Scan Dir.
0 1 UD, LR
1 0 DU, RL
0 0 UD, RL
1 1 DU, LR
(1 = H, 0 = L)
22uF/6.3V
C3
JMK316BJ226KL
22uF/6.3V
C5
JMK316BJ226KL
10K
R2
10K
R3
10K
R4
10K
R5
10K
R6
FBMH3216HM501NT
FB2
FBMH3216HM501NT
FB3
FBMH3216HM501NT
FB4
0.0022
CA_112
C4
0.0022
CA_112
C6
TP3 TP4
R280
MT2 MT3 MT4 MT5 MT6 MT7 MT8 MT9
5V-GND
5V-GND
TP2
BACKL
A
B
R21
jumper
bDCLK
CLK
NI
R48
R47
0
NI
R46
aB6
aB5
aB4
aB3
aB2
aG7
aG6
aG5
aG4
aG3
aG2
aR7
aR6
aR5
aR4
aR3
SCL
SDA
aB7
aR2
aData Enable
aData Enable
aB7
aB6
aB5
aB4
aB3
aB2
aG7
aG6
aG5
aG4
aG3
aG2
aR7
aR6
aR5
aR4
aR3
aR2
aData Enable
Default:R21B
+5V
5V-GND
1
2
38
5
7
4
6
10
9
J14
0039300100
FBMH3216HM501NT
FB16
FBMH3216HM501NT
FB17
SCL
SDA
RT
06864B DCN6314
D-25

1
1
2
2
3
3
4
4
5
5
6
6
D D
C C
B B
A A
Title
Number RevisionSize
B
Date: 6/24/2010 Sheet of
File: N:\PCBMGR\..\06696.P2.R3.schdoc Drawn By:
06698 D
24
22uH
L1
Vin
5
SHDN
4
SW 1
GND
2
FB 3
U1
CAT4139TD-GT3
4.7uF/16V
C9
1K
R12
2.0
R14
5V-GND
+5V
9.76
R13
3.9uH
L2
487K
R9
309K
R8
80.6K
R18
66.5K
R19
464K
R16
806K
R11
A
2K1
D2
MBRM120LT1G
0.001C8
24pf
C13
0.33
C16
0.220
C20
470pf
C21
22uf/25V
C12
TMK325BJ226MM
0.1
C26
3.3V
33K
R23
43pf
C23
D3
BAT54S
3.3V
Bklght+
Bklght-
Vcom
Vgh
AVdd
3.3V
D3
G
1
S
2
Q1
FDV305N
5V-GND
+5V
Default: NI
R22 jumper
AVdd: +10.4V
TP5
AO
1
A1
2
A2
3
SCL
14
SDA
15
INT 13
P0 4
P1 5
P2 6
P3 7
P4 9
P5 10
P6 11
P7 12
Vdd 16
Vss
8
U3
PCF8574
S2
SW_46
Maint_SW
Lang_Select
5V-GND
5V-GND
+5V
FDLY
24
PGND
8
DRVP 17
PGND
7
DRVN
18
VCOM 10
SUP 9
COMP
22
IN 11
VGH 15
REF
20
GND
19
SW 6
DLY2
3
SW 5
FB 1
DLY1
2
FBP 12
FBN
21
ADJ
14
GD 23
CTRL
13
CPI 16
VIN 4
TPS65150PWP
?
HTSNK 25
U2
D1
CD214A-B140LF
S1
SW_46
Opt. Lang. Sw.
Opt. Main Sw
Vgl
22uF/6.3V
C11
JMK316BJ226KL
1.0
C14
GMK107BJ105KA
1.0
C15
GMK107BJ105KA
1.0
C27
GMK107BJ105KA
24pf
C22
43pf
C24
43pf
C25
10K
R10
10K
R24
10K
R25
10K
R26
100K
R15
806K
R17
0.33
C17
0.33
C18
0.33
C19
D4
BAT54S
4.7uF/16V
C10
Vgh: +16V
TP9
Vcom: +4V
TP10
Vgl: -7V
TP7
TP6
TP8
GUI Interface
C35
0.1
5V-GND AB
R31
10K
3.3V
A
B
R27
jumper
BACKL
SCL
SDA
Default:R27B
Default:R31B
Backlight Brightness Control
Control Mode R22 R27 R31
Remote – Video Port NO A NO
Remote – I2C YES B NO
Fixed Bright (default) NO B B
RT
D-26
06864B DCN6314

1
1
2
2
3
3
4
4
5
5
6
6
D D
C C
B B
A A
Title
Number RevisionSize
B
Date: 6/24/2010 Sheet of
File: N:\PCBMGR\..\06696.P3.R3.schdoc Drawn By:
06698 D
43
1
2
3
4
5
To old TScreen
70553-004
NI
J11
LL
RL
SD
RT
LT
+5V
CHASSIS
1
2
NI
J12
BUS +5
1
2
3
4
5
To new TScreen
70553-004
J10
LT 1
RT 2
SHLD 3
RL 4
LL 5
GND
6
GND
7
D+
8
D-
9
+5
10
CHS A
CHS B
A1
TSHARC-12C
RT
RL
SD
LL
LT
VBUS
1
D-
2
D+
3
ID
4
GND
5
6
J9
USB-B-MINI
VBUS
CHASSIS
CHASSIS
5V-GND
USB3.3V
SDA
SCL
USB3.3V
USB3.3V
USB3.3V
USB3.3V
USB3.3V
R36
12K
E1
+V
4
-V 2
OUT
3
U5
24MHZ
DS2
GRN
DS1
YEL
SCL
SDA
R37
100K
5V-GND
5V-GND
5V-GND 5V-GND
5V-GND
5V-GND
5V-GND
5V-GND
5V-GND
5V-GND
5V-GND
+5V
5V-GND
C28
1uF
USB3.3V
IN
8
SHTDN
6
GND
2
OUT 1
BP 4
U4
3.3V-REG
R38
1K
F3
0.5A/6V
D1-
1
D1+
2
D2-
3
D2+
4
+3.3V
5
D3-
6
D3+
7
D4-
8
D4+
9
+3.3V 10
TEST 11
PWR1 12
OCS1 13
+1.8V 14
3.3VCR 15
PWR2 16
OCS2 17
PWR3 18
OCS3 19
PWR4 20
OCS4 21
SDA/R1 22
+3.3V 23
SCL/S0 24
HS-IND/S1 25
RESET 26
VBUS-DET 27
SUS/R0
28
+3.3V
29
USB-
30
USB+
31
XTL2
32
CLK-IN
33
1.8VPLL
34
RBIAS
35
+3.3PLL
36
GND
37
U8
USB2514-AEZG
C32
1uF
C44
1uF
5V-GND
+5V
1D-
2D+
3GND
4
5
J4
USB-A_R/A
5V-GND
CHASSIS
CHASSIS
FBMH3216HM501NT
FB5
C34
0.1
C36
0.1uF
C33
0.1uF
C31
0.1uF
R30
100K
R29
1K
F2
0.5A/6V
F1
0.5A/6V
1
2
3
4
5
D+
D-
GND
+5V J5
USB-A_VERT
C29
470pf
C30
1uF
C37 0.01uF
JP4
3.3V
GND
FB7
R20
49.9
FB8
FB9
FB10
FB11
FB12
FB13
GUI Interface
1 8
72
3
4
6
5
U7
1 8
72
3
4
6
5
U9
1 8
72
3
4
6
5
U11
C40
0.1uF
C42
0.1uF
C45
0.1uF
C390.1
C43
0.1uF
C41
0.1
R33
100K
AB
R45
AB
R32
R34
100K
R35
100K
C38
1uF
R39
100K
JP5
C60
0.1uF
C59
0.1
1
2
3
4
5
D+
D-
GND
+5V J6
USB-A_VERT
+5V
D1_N
D1_P D4_P
D4_N
D3_P
D3_N
D2_P
D2_N
D_P
D_N
Configuration Select
Mode R32 R45
Default A A
MBUS B B
Install 100K for A, 0 Ohm for B
+5V
+5V
+5V
5V-GND
5V-GND
5V-GND
5V-GND
5V-GND
5V-GND
5V-GND
5V-GND
5V-GND
RT
06864B DCN6314
D-27

1
1
2
2
3
3
4
4
5
5
6
6
D D
C C
B B
A A
Title
Number RevisionSize
B
Date: 6/24/2010 Sheet of
File: N:\PCBMGR\..\06696.P4.R3.schdoc Drawn By:
06698 D
44
TOUCH SCREEN INTERFACE CIRCUITRY ( TBD)
GUI Interface
R40
10K
Option
CLKOUT_P
CLKOUT_N
3.3V
C49
0.1
R41
100
FB6
FB14
Vcc PIN 28
C47
0.01
22uF/6.3V
C46
JMK316BJ226KL
C50
0.1
C51
0.1
C52
0.1 C55
0.1
C57
0.1
bDCLK
BACKL
NOTE:
To receive backlight control (BACKL) from CPU board
when using ICOP_0096 LVDS Transmitter.
The connection from pin 42 on the TTL video connector
(VSYNC) to U1-23 must be broken and connected to
pin 43.
aB6
aB5
aB4
aB3
aB2
aG7
aG6
aG5
aG4
aG3
aG2
aR7
aR6
aR5
aR4
aR3
aB7
aR2
aData Enable
R42
100
R43
100
R44
100
Vcc PIN 36
C48
0.01
Vcc PIN 42
C53
0.01
Vcc PIN 48
C54
0.01 C56
0.01
C58
0.01
FBMH3216HM501NT
FB15 C61
0.1
1
2
3
4
5
6
7
8
9
10
11
12
13
14
1
2
3
4
5
6
7
8
9
10
11
12
13
14
J13
HEADER-7X2
Y0M
8Y0P
9
Y1M
10 Y1P
11
Y2M
14
Y2P
15
CLKOUT
23
CLKINM
16
CLKINP
17
SHTDN
22
NC
6
VCC
48
VCC
28
VCC
36
VCC
42
LVDS/VCC
12
PLLVCC
20
LVDSGND
7
LVDSGND
13
LVDSGND
18
PLLGND
19
PLLGND
21
D0 24
D1 26
D2 27
D3 29
D4 30
D5 31
D6 33
D7 34
D8 35
D9 37
D10 39
D11 40
D12 41
D13 43
D14 45
D15 46
D16 47
D17 1
D18 2
D19 4
D20 5
GND 3
GND 25
GND 32
GND 38
GND 44
U6
SN75LVDS86A
3.3V
Y0_P
Y0_N
Y1_P
Y1_N
Y2_N
Y2_P
MH3
MH4
2
9
4
5
6
3
8
7MH1
MH2
1
12
11
10
13
14
15
16
17
18
19
J15
G3168-05000202-00
CHASSIS
R490
R500
R510
R520
R530
R540
R550
R560
FBMH3216HM501NT
FB18
C62
0.1
3.3V
Y0_P1
Y0_N1
Y1_P1
Y1_N1
Y2_N1
Y2_P1
CLKOUT_N1
CLKOUT_P1
RT
D-28
06864B DCN6314

1
1
2
2
3
3
4
4
D D
C C
B B
A A
Title
Number RevisionSize
A
Date: 5/7/2010 Sheet of
File: N:\PCBMGR\..\06882-P1-R0.SchDoc Drawn By:
LVDS, Transmitter Board
B
11
RT
06882
VAD6
VAD7
VAD8
VAD9
VAD10
VAD11
VBD10
VBD11
VAD0
VAD1
VAD2
VAD3
VBD2
VBD3
VBD4
VBD5
VBD6
VBD7
VBDE
Y0_N
Y0_P
Y1_N
Y1_P
Y2_N
Y2_P
CLKOUT_N
CLKOUT_P
R2
22.1
From ICOP CPU To LCD Display
D0
44
D1
45
D2
47
D3
48
D4
1
D5
3
D6
4
D7
6
D8
7
D9
9
D10
10
D11
12
D12
13
D13
15
D14
16
D15
18
D16
19
D17
20
D18
22
D19
23
D20
25
GND
5
GND
11
GND
17
GND
24
GND
46
Y2P 34
Y2M 35
Y1P 38
Y1M 39
Y0P 40
Y0M 41
CLKOUTP 32
CLKOUTM 33
CLKIN 26
SHTDN 27
NC 14
NC 43
VCC 2
VCC 8
VCC 21
LVDSVCC 37
PLLVCC 29
VLDSGND 42
VLDSGND 36
VLDSGND 31
PLLGND 30
PLLGND 28
U1
SN75LVDS84A
CHASSIS-0 CHASSIS
1 2
3 4
5 6
7 8
910
11 12
13 14
15 16
17 18
19 20
21 22
23 24
25 26
27 28
29 30
31 32
33 34
35 36
37 38
39 40
41 42
43 44
J2 Header 22X2
MH3
MH4
2
3
4
5
6
7
8
1MH1
MH2
9
10
11
12
13
14
15
16
17
18
19
J1
G3168-05000101-00
CHASSIS
+3.3V
+3.3V
VAD0 VAD1
VAD2 VAD3
VAD6 VAD7
VAD8 VAD9
VAD10 VAD11
VBD2 VBD3
VBD4 VBD5
VBD6 VBD7
VBD10 VBD11
VBDE
VBGCLK
+3.3V
CLKIN
Y0_N
Y0_P
Y1_N
Y1_P
Y2_N
Y2_P
CLKOUT_N
CLKOUT_P
10K
R1
BACKL
BACKL
C2
0.1
C3
0.01
22uF/6.3V
C1
JMK316BJ226KL
C4
0.1
C6
0.1
C5
0.01
C7
0.01
+3.3V
C8
0.1
C9
0.01
C10
0.1
C11
0.01
1 2
3 4
5 6
7 8
910
11 12
13 14
J3
Header 7X2
+3.3V
Y0_P Y0_N
Y1_P Y1_N
CLKOUT_P
Y2_N
CLKOUT_N
Y2_P
MT1 MT2
06864B DCN6314
D-29

1
1
2
2
3
3
4
4
D D
C C
B B
A A
Title
Number RevisionSize
A
Date: 5/6/2011 Sheet of
File: N:\PCBMGR\..\06731-1_ETHERNET.SchDocDrawn By:
Auxiliary I/O Board (PWR-ETHERNET)
B
31
RT
06731
STRAIGHT THROUGH ETHERNET
GND
+5V
SCL
SDA +5V-ISO
+C17
100uF
GND
DS3
GRN
1
2
3
4
5
6
7
8
P2
Header 8
1
2
3 4
5
6
U6
SP3050
R10
2.2k
L1
47uH
TP1
TP3
TP2
8
2
3
5
7
4
6
1
J2
DF11-8DP-2DS(24)
SDA
SCL
10 9
12 11
1
2
3
4
5
6
7
8
15
16
14
13
J1
CONN_RJ45_LED
+5V-OUT
ISO-GND
C28
4.7uF
R16
1k
ATX+
ATX-
ARX+
ARX-
LED0-
LED0+
LED1+
LED1-
VDD2 5
GND2 7
VDD1
4
GND1
1
12
11
14
13
U8
LME0505
1
2
3
4
5
6
7
8
P3
Header 8
R19
75
C18
.01/2KV R13
0
R20
75
CHASSIS
CHASSIS
PRINTED DOCUMENTS ARE UNCONTROLLED
DCN:6092
D-30
06864B DCN6314

1
1
2
2
3
3
4
4
D D
C C
B B
A A
Title
Number RevisionSize
A
Date: 5/6/2011 Sheet of
File: N:\PCBMGR\..\06731-2_USB.SchDoc Drawn By:
Auxiliary I/O Board (USB)
B
32
RT
06731
TXD-A
RTS-A
DTR-A
RXD-A
CTS-A
DSR-A
DCD-A
RI-A
V-BUS
VBUS 1
D- 2
D+ 3
GND 4
J4
USB
GND
GND
V-BUS
CHASSIS
GND
GND
C1+
28
C1-
24
C2+
1
C2-
2
TI1
14
TI2
13
TI3
12
RI3 6
RI2 5
RI1 4
TO3 11
TO2 10
TO1 9
RO2 20
V- 3
V+ 27
VCC 26
STAT
21
SHTDN
22
RI4 7
RI5 8
ONLINE 23
GND 25
RO1
19
RO2
18
RO3
17
RO4
16
RO5
15
U9
SP3243EU
GND
R12
4.75k
GND
1
2
nc
3nc 4
5
6
U11
NUP2202W1
TXD-B
RXD-B
CTS-B
RTS-B
DSR-B
DTR-B
RI-B
DCD-B
MT1
MT-HOLE
C24
4.7uF
C26
1uF
C25
0.1uF
C22
0.1uF
C23
0.1uF
C19
0.1uF
C20
0.1uF
C21
0.1uF
DS4
GRN
R11
2.2k
CHASSIS
MT2
MT-HOLE
R14
0
R15
0
DCD
2
RXD
1
TXD
4
DTR
3
GND
6
DSR
5
RTS
8
CTS
7
RI
10
N/C
9
J3
DF11-10DP-2DS(24)
V-BUS
22
21
19
18
DCD 1
RI 2
DTR 28
DSR 27
TXD 26
RXD 25
RTS 24
CTS 23
GND 3
16
15
13
10
14 20
17
VBUS
8VREG-I
7D-
5
RST
9
SUSPEND
11
SUSPEND
12
VDD
6
D+
4U10
CP2102
3.3V
D+
D-
CHASSIS
PRINTED DOCUMENTS ARE UNCONTROLLED
DCN:6092
06864B DCN6314
D-31

1
1
2
2
3
3
4
4
D D
C C
B B
A A
Title
Number RevisionSize
A
Date: 5/6/2011 Sheet of
File: N:\PCBMGR\..\06731-3_ADC.SchDoc Drawn By:
Auxiliary I/O Board (ADC)
B
33
RT
06731
1
2
3
4
5
6
7
8
9
P1
ANALOG INPUT
+5V-ISO
CH0
15
CH1
16
CH2
17
CH3
18
CH4
19
CH5
20
CH6
21
CH7
23
NC
4
NC
7
SHTDN 13
VDD 2
VDD 1
SDA 9
SCL 5
A2 10
A1 12
A0 6
REF 27
NC
8
AGND
14
REF-AJ 26
DGND 3
NC
22
NC
24 NC 28
NC 25
NC
11
U1
MAX1270BCAI+
+5V
GND
GND
+5V-ISO
SCL
SDA
AGND
ISO-GND
ISO-GND
+5V-ISO
1 6
52
U4A
NC7WZ17P6X
ISO-GND
+5V-ISO
ISO-GND
1
3
2
4
5
6
U2
SMS12
C13
0.1uF
C14
0.1uF
C12
0.1uF
C11
0.01uF
BLU
DS1
SDA
C8
0.1uF C9
0.1uF
C2
0.1uF
C3
0.1uF
C4
0.1uF
C5
0.1uF
C6
0.1uF
C7
0.1uF
C10
4.7uF
AN-CH0
AN-CH1
AN-CH2
AN-CH3
AN-CH4
AN-CH5
AN-CH6
AN-CH7
R9
4.99
C27
4.7uF
+5V-ADC
ISO-GND
ISO-GND
R3
1K
R5
2.2k
R6
2.2k
1
3
2
4
5
6
U3
SMS12
3 4
U4B
NC7WZ17P6X
R4
1K
BLU
DS2
SCL
C15
.01/2KV
GND1 1
NC 2
VDD1 3
NC 4
SDA1 5
SCL1 6
GND1 7
NC 8
GND2
9
NC
15 VDD2
14
NC
13 SDA2
12
SCL2
11
GND2
16
NC
10
U5
ADuM2250
R17
49.9
ISO-GND
TP7
TP8
TP5
TP6
C29
1nF
R18
49.9
C30
1nF
AGND
AGND
C1
0.1uF
TP4 AGND
ISO-GND
CHASSIS
PRINTED DOCUMENTS ARE UNCONTROLLED
DCN:6092
D-32
06864B DCN6314







