Telit Cinterion Deutschland EHS6T Gemalto EHS6 Terminal User Manual hid

Gemalto M2M GmbH Gemalto EHS6 Terminal hid

Contents

User Manual

 M2M.GEMALTO.COMCinterion® Java TerminalsHardware Interface DescriptionVersion: 02DocId: EHSxT_BGS5T_HID_v02
GENERAL NOTE THE USE OF THE PRODUCT INCLUDING THE SOFTWARE AND DOCUMENTATION (THE "PROD-UCT") IS SUBJECT TO THE RELEASE NOTE PROVIDED TOGETHER WITH PRODUCT. IN ANYEVENT THE PROVISIONS OF THE RELEASE NOTE SHALL PREVAIL. THIS DOCUMENT CONTAINSINFORMATION ON GEMALTO M2M PRODUCTS. THE SPECIFICATIONS IN THIS DOCUMENT ARESUBJECT TO CHANGE AT GEMALTO M2M'S DISCRETION. GEMALTO M2M GMBH GRANTS A NON-EXCLUSIVE RIGHT TO USE THE PRODUCT. THE RECIPIENT SHALL NOT TRANSFER, COPY,MODIFY, TRANSLATE, REVERSE ENGINEER, CREATE DERIVATIVE WORKS; DISASSEMBLE ORDECOMPILE THE PRODUCT OR OTHERWISE USE THE PRODUCT EXCEPT AS SPECIFICALLYAUTHORIZED. THE PRODUCT AND THIS DOCUMENT ARE PROVIDED ON AN "AS IS" BASIS ONLYAND MAY CONTAIN DEFICIENCIES OR INADEQUACIES. TO THE MAXIMUM EXTENT PERMITTEDBY APPLICABLE LAW, GEMALTO M2M GMBH DISCLAIMS ALL WARRANTIES AND LIABILITIES.THE RECIPIENT UNDERTAKES FOR AN UNLIMITED PERIOD OF TIME TO OBSERVE SECRECYREGARDING ANY INFORMATION AND DATA PROVIDED TO HIM IN THE CONTEXT OF THE DELIV-ERY OF THE PRODUCT. THIS GENERAL NOTE SHALL BE GOVERNED AND CONSTRUEDACCORDING TO GERMAN LAW.CopyrightTransmittal, reproduction, dissemination and/or editing of this document as well as utilization of its con-tents and communication thereof to others without express authorization are prohibited. Offenders will beheld liable for payment of damages. All rights created by patent grant or registration of a utility model ordesign patent are reserved. Copyright © 2014, Gemalto M2M GmbH, a Gemalto CompanyTrademark NoticeGemalto, the Gemalto logo, are trademarks and service marks of Gemalto and are registered in certaincountries. Microsoft and Windows are either registered trademarks or trademarks of Microsoft Corpora-tion in the United States and/or other countries. All other registered trademarks or trademarks mentionedin this document are property of their respective owners.EHSxT_BGS5T_HID_v02 2014-08-05Confidential / PreliminaryCinterion® Java Terminals Hardware Interface Description2Page 2 of 70Document Name: Cinterion® Java Terminals Hardware Interface Description Version: 02Date: 2014-08-05DocId: EHSxT_BGS5T_HID_v02Status Confidential / Preliminary
Cinterion® Java Terminals Hardware Interface Description Contents115EHSxT_BGS5T_HID_v02 2014-08-05Confidential / PreliminaryPage 3 of 70Contents0 Document History ......................................................................................................  71 Introduction ................................................................................................................. 81.1 Related Documents ........................................................................................... 91.2 Terms and Abbreviations................................................................................... 91.3 Regulatory and Type Approval Information ..................................................... 111.3.1 Directives and Standards.................................................................... 111.3.2 Safety Precautions.............................................................................. 141.4 Product Label................................................................................................... 162 Product Concept ....................................................................................................... 172.1 Key Features at a Glance ................................................................................ 173 Interface Description ................................................................................................ 203.1 Overview.......................................................................................................... 203.2 Block Diagram.................................................................................................. 213.3 Terminal Circuit................................................................................................ 223.4 Operating Modes ............................................................................................. 233.5 RS-232 Interface.............................................................................................. 243.5.1 9-Pole D-sub Connector ..................................................................... 243.6 USB Interface................................................................................................... 253.7 Weidmueller GPIO Interface............................................................................ 253.8 Power Supply................................................................................................... 293.8.1 Turn Java Terminals on ...................................................................... 303.8.2 Reset Java Terminals ......................................................................... 303.8.3 Turn Java Terminals off ...................................................................... 303.8.4 Disconnecting power supply ............................................................... 313.9 Automatic thermal shutdown............................................................................ 323.10 Hardware Watchdog ........................................................................................ 323.11 RTC.................................................................................................................. 323.12 SIM Interface.................................................................................................... 333.13 Status LEDs..................................................................................................... 343.14 RF Antenna Interface....................................................................................... 354 Electrical and Environmental Characteristics........................................................ 364.1 Absolute Maximum Ratings ............................................................................. 364.2 Operating Temperatures.................................................................................. 374.3 Storage Conditions .......................................................................................... 384.4 Electrical Specifications of the Application Interface........................................ 394.4.1 On/Off Control..................................................................................... 394.4.2 RS-232 Interface................................................................................. 394.4.3 USB Interface...................................................................................... 394.4.4 Weidmueller GPIO Interface............................................................... 404.5 Power Supply Ratings...................................................................................... 414.6 Antenna Interface............................................................................................. 43
Cinterion® Java Terminals Hardware Interface Description Contents115EHSxT_BGS5T_HID_v02 2014-08-05Confidential / PreliminaryPage 4 of 705 Mechanics, Mounting and Packaging ..................................................................... 455.1 Mechanical Dimensions................................................................................... 455.2 Mounting the Java Terminals........................................................................... 475.3 Packaging ........................................................................................................ 486 Full Type Approval.................................................................................................... 496.1 Gemalto M2M Reference Setup ...................................................................... 496.2 Restrictions ...................................................................................................... 506.3 CE Conformity.................................................................................................. 506.4 EMC................................................................................................................. 506.5 Compliance with FCC and IC Rules and Regulations ..................................... 517 List of Parts and Accessories.................................................................................. 538 Appendix A: (Hardware) Watchdog......................................................................... 548.1 Reset Conditions.............................................................................................. 548.1.1 Reset stages....................................................................................... 558.1.2 Reset Delay ........................................................................................ 558.2 Restart Conditions ........................................................................................... 558.3 Configuration via ASC0 Interface..................................................................... 568.3.1 Command Specification...................................................................... 568.4 Configuration via I2C Interface ......................................................................... 658.4.1 Command Specification...................................................................... 65
Cinterion® Java Terminals Hardware Interface Description Figures5EHSxT_BGS5T_HID_v02 2014-08-05Confidential / PreliminaryPage 5 of 70FiguresFigure 1: Sample Java Terminal label (BGS5T USB) .................................................... 16Figure 2: Java Terminals 3D view.................................................................................. 20Figure 3: Block diagram ................................................................................................. 21Figure 4: Java Terminals circuit block diagram.............................................................. 22Figure 5: Pin assignment RS-232 (D-sub 9-pole female)............................................... 24Figure 6: EHS5T RS485: Weidmueller connectors (8-pin and 12-pin)........................... 25Figure 7: EHS6T USB: Weidmueller connectors (8-pin and 12-pin) .............................. 26Figure 8: BGS5T USB: Weidmueller connectors (8-pin and 12-pin).............................. 26Figure 9: 6-pole Western jack for power supply, ignition, reset, typical connection....... 29Figure 10: SIM interface................................................................................................... 33Figure 11: Status LED...................................................................................................... 34Figure 12: Antenna connector.......................................................................................... 35Figure 13: Java Terminals 3D overview........................................................................... 45Figure 14: Java Terminals mechanical dimensions ......................................................... 46Figure 15: Mounting the Java Terminals.......................................................................... 47Figure 16: Reference equipment for approval.................................................................. 49Figure 17: Hardware watchdog ........................................................................................ 54Figure 18: Write data to address register......................................................................... 68Figure 19: Read data from address register..................................................................... 69
Cinterion® Java Terminals Hardware Interface Description Tables6EHSxT_BGS5T_HID_v02 2014-08-05Confidential / PreliminaryPage 6 of 70TablesTable 1: Cinterion® Java Terminals overview ................................................................. 8Table 2: Terms and abbreviations................................................................................... 9Table 3: Directives ........................................................................................................ 11Table 4: Standards of North American type approval ................................................... 11Table 5: Standards of European type approval............................................................. 11Table 6: Requirements of quality .................................................................................. 12Table 7: Standards of the Ministry of Information Industry of the People’s Republic of China............................................................................. 13Table 8: Toxic or hazardous substances or elements with defined concentration limits................................................................................................................ 13Table 9: Java Terminals label information .................................................................... 16Table 10: Overview of operating modes ......................................................................... 23Table 11: 9-pole D-sub (female) RS-232 ........................................................................ 24Table 12: Weidmueller pin availability............................................................................. 27Table 13: Female 6-pole Western plug for power supply, ignition, power down............. 29Table 14: Allowed maximum antenna gain (including cable loss)................................... 35Table 15: Absolute maximum ratings.............................................................................. 36Table 16: Operating supply voltage for Java Terminals.................................................. 36Table 17: Board temperature of Java module................................................................. 37Table 18: Storage conditions .......................................................................................... 38Table 19: On/Off control line specifications..................................................................... 39Table 20: RS-232 interface specifications....................................................................... 39Table 21: Weidmueller GPIO interface specifications (requirements) ............................ 40Table 22: Power supply specifications............................................................................ 41Table 23: RF Antenna interface GSM / UMTS................................................................ 43Table 24: List of parts and accessories........................................................................... 53Table 25: Address register for I2C commands ................................................................ 66Table 26: I2C status result codes .................................................................................... 67
Cinterion® Java Terminals Hardware Interface Description0 Document History7EHSxT_BGS5T_HID_v02 2014-08-05Confidential / PreliminaryPage 7 of 700 Document HistoryPreceding document: "Cinterion® Java Terminals Hardware Interface Description" Version 01New document: "Cinterion® Java Terminals Hardware Interface Description" Version 02New document: "Cinterion® Java Terminals Hardware Interface Description" Version 01Chapter What is new1.4 Revised product label shown in Figure 1.3.7 Revised section with regard to the Weidmueller pin availability.4.1 Completed Table 15 giving absolute maximum ratings.4.2 Added remarks on board temperature.4.5 Revised and completed section listing power supply ratings.6.3 Added CE conformity mark.6.5 Revised section to include notes for IC (also in the Frensh language).8Revised and updated Appendix A: (Hardware) Watchdog.Chapter What is new--- Initial document setup.
Cinterion® Java Terminals Hardware Interface Description1 Introduction16EHSxT_BGS5T_HID_v02 2014-08-05Confidential / PreliminaryPage 8 of 701 IntroductionThis document1 describes the hardware of the Cinterion® Java Terminals. The Java Terminals come in three variants depending on the included Cinterion® module and the available interfac-es:•EHS5T RS485 contains a Cinterion® EHS5-E module and implements a USB 2.0 interfacewith a USB-B connector as well as a 6-pole Western jack as plug-in power supply connec-tor. Via a Weidmüller GPIO connectors it also implements a RS-485 interface includingpower supply and ignition line.•EHS6T USB contains a Cinterion® EHS6 module and implements a USB 2.0 interface witha USB-B connector and also a V.24 / V.28 RS-232 interface with a D-sub 9-pole femalesocket as well as a 6-pole Western jack as plug-in power supply connector.•BGS5T USB contains a Cinterion® BGS5 module and implements a USB 2.0 interface witha USB-B connector and also a V.24 / V.28 RS-232 interface with a D-sub 9-pole femalesocket as well as a 6-pole Western jack as plug-in power supply connector. Wherever necessary and appropriate this document distinguishes between these three vari-ants.Table 1 gives a short overview of the available interfaces for the different Java Terminals.The scope of this document includes interface specifications, electrical as well as mechanical characteristics of the Java Terminals. It specifies standards pertaining to wireless applications and outlines requirements that must be adhered to for successful product design. The Java Terminals are compact GSM/UMTS modems for the transfer of data in GSM/UMTS networks. Industrial standard interfaces and an integrated SIM card reader allow using the Java Termi-nals easily as GSM/GPRS/UMTS terminals. 1.  The document is effective only if listed in the appropriate Release Notes as part of the technicaldocumentation delivered with your Gemalto M2M product.Table 1:  Cinterion® Java Terminals overviewModule/Interface EHS5T RS485 EHS6T USB BGS5T USBCinterion® module EHS5-E EHS6 BGS5RS-232 (Sub-D) - USB (USB-B)  Weidmüller connector (GPIOs, SPI, I2C, RS-485) (no RS-485)  (no RS-485, no SPI)Power supply (RJ-11)  RF antenna  
Cinterion® Java Terminals Hardware Interface Description1.1 Related Documents16EHSxT_BGS5T_HID_v02 2014-08-05Confidential / PreliminaryPage 9 of 701.1 Related Documents[1] AT Command Set for your Java Terminal product[2] Release Notes for your Java Terminal productTo visit the Gemalto M2M GmbH Website please use the following link:http://m2m.gemalto.com1.2 Terms and AbbreviationsTable 2:  Terms and abbreviationsAbbreviation DescriptionARP Antenna Reference PointATC AT CommandBTS Base Transceiver StationCB Cell BroadcastCODEC Coder-DecoderDCE Data Circuit terminating EquipmentDSR Data Set ReadyDTR Data Terminal ReadyEFR Enhanced Full RateEGSM Enhanced GSMEMC Electromagnetic CompatibilityESD Electrostatic DischargeETS European Telecommunication StandardFDMA Frequency Division Multiple AccessG.C.F. GSM Conformity ForumGSM Global Standard for Mobile CommunicationHW HardwareIC Integrated CircuitIF Intermediate Frequency IMEI International Mobile Equipment IdentifierI/O Input/ OutputIGT IgnitionISO International Standards OrganizationITU International Telecommunications Unionkbps kbits per secondLVD Low voltage Directive
Cinterion® Java Terminals Hardware Interface Description1.2 Terms and Abbreviations16EHSxT_BGS5T_HID_v02 2014-08-05Confidential / PreliminaryPage 10 of 70Mbps Mbits per secondMMI Machine Machine InterfaceMO Mobile OriginatedMS Mobile StationMT Mobile TerminatedNC Not Connected NTC Negative Temperature CoefficientPA Power AmplifierPCB Printed Circuit BoardPCM Pulse Code ModulationPCS Personal Communication SystemPD Power DownPDU Protocol Data UnitR&TTE Radio and Telecommunication Terminal EquipmentRF Radio frequencyRI Ring IndicationRX Receive directionSIM Subscriber Identification ModuleSMS Short Message ServiceSW SoftwareTDD Time Division DuplexTDMA Time Division Multiple AccessTX Transmit directionUART Universal Asynchronous Receiver and TransmitterTable 2:  Terms and abbreviationsAbbreviation Description
Cinterion® Java Terminals Hardware Interface Description1.3 Regulatory and Type Approval Information16EHSxT_BGS5T_HID_v02 2014-08-05Confidential / PreliminaryPage 11 of 701.3 Regulatory and Type Approval Information1.3.1 Directives and StandardsJava Terminals have been designed to comply with the directives and standards listed below1. 1.  Standards of North American type approval do not apply to EHS5T RS485, 3G/WCDMA relatedstandards do not apply to BGS5T USB.Table 3:  Directives99/05/EC Directive of the European Parliament and of the council of 9 March 1999 on radio equipment and telecommunications terminal equipment and the mutual recognition of their conformity (in short referred to as R&TTE Direc-tive 1999/5/EC).The product is labeled with the CE conformity mark  2002/95/EC (RoHS 1)2011/65/EC (RoHS 2) Directive of the European Parliament and of the Council of 27 January 2003 (and revised on 8 June 2011) on the restriction of the use of certain hazardous substances in electrical and electronic equipment (RoHS)2002/96/EC Directive of the European Parliament and of the Council on waste electri-cal and electronic equipment (WEEE)2003/108/EC Directive of the European Parliament and of the Council of 8 December 2003 amending directive 2002/96/ec on waste electrical and electronic equipment (WEEE)Table 4:  Standards of North American type approvalCFR Title 47 “Code of Federal Regulations, Part 15 B, Part 22 and Part 24 (Telecom-munications, PCS)”; US Equipment Authorization FCCOET Bulletin 65(Edition 97-01) Evaluating Compliance with FCC Guidelines for Human Exposure to Radiofrequency Electromagnetic FieldsUL 60 950-1 Product Safety Certification (Safety requirements)NAPRD.03 V5.15 “Overview of PCS Type certification review board Mobile Equipment Type Certification and IMEI control”PCS Type Certification Review board (PTCRB)RSS102 (Issue 4)RSS132 (Issue 3)RSS133 (Issue 6)Canadian StandardIEEE Std. C95.1-1999 IEEE Standard for Safety Levels with Respect to Human Exposure to Radio Frequency Electromagnetic Fields, 3 kHz to 300 GHzTable 5:  Standards of European type approval3GPP TS 51.010-1 “Digital cellular telecommunications system (Phase 2); Mobile Station (MS) conformance specification” ETSI EN 301 511 V9.0.2 Candidate Harmonized European Standard (Telecommunications series) Global System for Mobile communications (GSM); Harmonized standard for mobile stations in the GSM 900 and DCS 1800 bands covering essen-tial requirements under article 3.2 of the R&TTE directive (1999/5/EC) (GSM 13.11 version 7.0.1 Release 1998)GCF-CC V3.49 Global Certification Forum - Certification Criteria
Cinterion® Java Terminals Hardware Interface Description1.3 Regulatory and Type Approval Information16EHSxT_BGS5T_HID_v02 2014-08-05Confidential / PreliminaryPage 12 of 70ETSI EN 301 489-1 V1.9.2 Candidate Harmonized European Standard (Telecommunications series) Electro Magnetic Compatibility and Radio spectrum Matters (ERM); Elec-tro Magnetic Compatibility (EMC) standard for radio equipment and ser-vices; Part 1: Common Technical RequirementsETSI EN 301 489-7 V1.3.1 Candidate Harmonized European Standard (Telecommunications series) Electro Magnetic Compatibility and Radio spectrum Matters (ERM); Elec-tro Magnetic Compatibility (EMC) standard for radio equipment and ser-vices; Part 7: Specific conditions for mobile and portable radio and ancillary equipment of digital cellular radio telecommunications systems (GSM and DCS)ETSI EN 301 489-24V1.5.1 Electromagnetic Compatibility and Radio spectrum Matters (ERM); Elec-tromagnetic Compatibility (EMC) standard for radio equipment and ser-vices; Part 24: Specific conditions for IMT-2000 CDMA Direct Spread (UTRA) for Mobile and portable (UE) radio and ancillary equipmentETSI EN 301 908-01V5.2.1 Electromagnetic compatibility and Radio spectrum Matters (ERM); Base Stations (BS) and User Equipment (UE) for IMT-2000 Third Generation cellular networks; Part 1: Harmonized EN for IMT-2000, introduction and common requirements of article 3.2 of the R&TTE DirectiveETSI EN 301 908-02V5.2.1 Electromagnetic compatibility and Radio spectrum Matters (ERM); Base Stations (BS) and User Equipment (UE) for IMT-2000 Third Generation cellular networks; Part 2: Harmonized EN for IMT-2000, CDMA Direct Spread (UTRA FDD) (UE) covering essential requirements of article 3.2 of the R&TTE DirectiveEN 62311-2008 Assessment of electronic and electrical equipment related to human expo-sure restrictions for electromagnetic fields (0 Hz - 300 GHz)EN 60950-1 (2006)+ A11:2009+A1:2010+AC:2011+A12:2011Safety of information technology equipmentTable 6:  Requirements of qualityIEC 60068 Environmental testingDIN EN 60529 IP codesTable 5:  Standards of European type approval
Cinterion® Java Terminals Hardware Interface Description1.3 Regulatory and Type Approval Information16EHSxT_BGS5T_HID_v02 2014-08-05Confidential / PreliminaryPage 13 of 70Table 8:  Toxic or hazardous substances or elements with defined concentration limitsTable 7:  Standards of the Ministry of Information Industry of the People’s Republic of ChinaSJ/T 11363-2006  “Requirements for Concentration Limits for Certain Hazardous Sub-stances in Electronic Information Products” (2006-06).SJ/T 11364-2006 “Marking for Control of Pollution Caused by Electronic Information Products” (2006-06).According to the “Chinese Administration on the Control of Pollution caused by Electronic Information Products” (ACPEIP) the EPUP, i.e., Environmental Protection Use Period, of this product is 20 years as per the symbol shown here, unless otherwise marked. The EPUP is valid only as long as the product is operated within the operating limits described in the Hard-ware Interface Description.Please see Table 1.3.2 for an overview of toxic or hazardous substances or elements that might be contained in product parts in concentrations above the limits defined by SJ/T 11363-2006.
Cinterion® Java Terminals Hardware Interface Description1.3 Regulatory and Type Approval Information16EHSxT_BGS5T_HID_v02 2014-08-05Confidential / PreliminaryPage 14 of 701.3.2 Safety PrecautionsThe following safety precautions must be observed during all phases of the operation, usage, service or repair of any cellular terminal or mobile incorporating Java Terminals. Manufacturers of the cellular terminal are advised to convey the following safety information to users and op-erating personnel and incorporate these guidelines into all manuals supplied with the product. Failure to comply with these precautions violates safety standards of design, manufacture and intended use of the product. Gemalto M2M GmbH assumes no liability for customer’s failure to comply with these precautions.When in hospitals or other health care facilities, observe the restrictions on the useof mobiles. Switch off the cellular terminal or mobile if to be instructed to do so bythe guidelines posted in sensitive areas. Medical equipment may be sensitive to RFenergy. The operation of cardiac pacemakers, other implanted medical equipment andhearing aids can be affected by interference from cellular terminals or mobilesplaced close to the device. If in doubt about potential danger, contact the physicianor the manufacturer of the device to verify that the equipment is properly shielded.Pacemaker patients are advised to keep their hand-held mobile away from thepacemaker, while it is on. This personal subgroup always should check the distanceto the mobile.Switch off the cellular terminal or mobile before boarding an aircraft. Make sure itcannot be switched on inadvertently. The operation of wireless appliances in an air-craft is forbidden to prevent interference with communications systems. Failure toobserve these instructions may lead to the suspension or denial of cellular servicesto the offender, legal action, or both. Check the local and actual laws about these themes.Do not operate the cellular terminal or mobile in the presence of flammable gasesor fumes. Switch off the cellular terminal when you are near petrol stations, fueldepots, chemical plants or where blasting operations are in progress. Operation ofany electrical equipment in potentially explosive atmospheres can constitute asafety hazard.Your cellular terminal or mobile receives and transmits radio frequency energy whileswitched on. Remember that interference can occur if it is used close to TV sets,radios, computers or inadequately shielded equipment. Follow any special regula-tions and always switch off the cellular terminal or mobile wherever forbidden, orwhen you suspect that it may cause interference or danger.Road safety comes first! Do not use a hand-held cellular terminal or mobile whiledriving a vehicle unless it is securely mounted in a holder for speakerphone opera-tion. Before making a call with a hand-held terminal or mobile park the vehicle. Speakerphones must be installed by qualified personnel. Faulty installation or oper-ation can constitute a safety hazard.Check the actual and local laws about these themes.
Cinterion® Java Terminals Hardware Interface Description1.3 Regulatory and Type Approval Information16EHSxT_BGS5T_HID_v02 2014-08-05Confidential / PreliminaryPage 15 of 70IMPORTANT!Cellular terminals or mobiles operate using radio signals and cellular networks. Inthat case connections cannot be guaranteed at all times under all conditions. There-fore, you should never rely solely upon any wireless device for essential communi-cations, for example emergency calls. Remember, in order to make calls or receive calls the cellular terminal or mobilemust be switched on in a service area with adequate cellular signal strength. Some networks do not allow for emergency calls if certain network services orphone features are in use (e.g. lock functions, fixed dialing etc.). You may need todeactivate those features before you can make an emergency call.Some networks require a valid SIM card to be properly inserted in the cellular ter-minal or mobile.If a power supply unit is used to supply the device it must meet the demands placedon SELV circuits in accordance with EN60950. The maximum permissible connec-tion length between the device and the supply source should not exceed 3m.According to the guidelines for human exposure to radio frequency energy, anantenna connected to the FME jack of the device should be placed at least 20cmaway from human bodies.
Cinterion® Java Terminals Hardware Interface Description1.4 Product Label16EHSxT_BGS5T_HID_v02 2014-08-05Confidential / PreliminaryPage 16 of 701.4 Product LabelThe label fixed to the bottom of a Java Terminal comprises the following information.Figure 1:  Sample Java Terminal label (BGS5T USB)Table 9:  Java Terminals label informationNo. Information1 Cinterion logo2 Product name3 Product variant4 Marking "Made in Germany"5 Product ordering number6 Barcode (Code128)7 Product IMEI8 Date code9 WEEE symbol (see Table 3)10 Chinese RoHS symbol (see Table 7)11 CE logo with fixed notified body number (may be replaced for samples with "Not for sale")12 FCC ID13 IC ID14 Manufacturer code15 Power supply unit ratings16 Manufacturer code (2D)1234567891012131415 1611
Cinterion® Java Terminals Hardware Interface Description2 Product Concept19EHSxT_BGS5T_HID_v02 2014-08-05Confidential / PreliminaryPage 17 of 702 Product Concept2.1 Key Features at a GlanceFeature ImplementationGeneralIncorporates Cinterion® Java module The Java module handles all signal and data processing within the JavaTerminals. Internal software runs the application interface and the completeGSM/UMTS protocol stack.Frequency bands EHS5T RS485 (with EHS5-E module): GSM/GPRS/EDGE: Dual band GSM 900/1800MHzUMTS/HSPA+: Dual band UMTS 900/2100MHzEHS6T USB (with EHS6 module): GSM/GPRS/EDGE: Quad band 850/900/1800/1900MHzUMTS/HSPA+: Five band 800/850/900/1900/2100MHzBGS5T USB (with BGS5 module): GSM/GPRS: Quad band 850/900/1800/1900MHzGSM class Small MSOutput power (according to Release 99, V5) depending on frequency band supported by mod-uleClass 4 (+33dBm ±2dB) for EGSM850Class 4 (+33dBm ±2dB) for EGSM900Class 1 (+30dBm ±2dB) for GSM1800Class 1 (+30dBm ±2dB) for GSM1900Class E2 (+27dBm ± 3dB) for GSM 850 8-PSKClass E2 (+27dBm ± 3dB) for GSM 900 8-PSKClass E2 (+26dBm +3 /-4dB) for GSM 1800 8-PSKClass E2 (+26dBm +3 /-4dB) for GSM 1900 8-PSKClass 3 (+24dBm +1/-3dB) for UMTS 2100, WCDMA FDD BdIClass 3 (+24dBm +1/-3dB) for UMTS 1900,WCDMA FDD BdIIClass 3 (+24dBm +1/-3dB) for UMTS 900, WCDMA FDD BdVIIIClass 3 (+24dBm +1/-3dB) for UMTS 850, WCDMA FDD BdVClass 3 (+24dBm +1/-3dB) for UMTS 800, WCDMA FDD BdVIThe values stated above are maximum limits. According to Release 99, themaximum output power in a multislot configuration may be lower. The nom-inal reduction of maximum output power varies with the number of uplinktimeslots used and amounts to 3.0dB for 2Tx. Power supply Single supply voltage 8V to 30VOperating temperature  Normal operation: -30°C to +85°CExtended operation: -40°C to -30°C and +85°C to +90°CPhysical Dimensions: 113.5mm x 75mm x 25.5mm(excluding antenna and serial interface connectors)Weight: 120g (approx.)RoHS, WEEE All hardware components are fully compliant with the EU RoHS and WEEEDirectives HSPA features3GPP Release 6,7(EHSxT only) DL 7.2Mbps, UL 5.7MbpsHSDPA Cat.8 / HSUPA Cat.6 data ratesCompressed mode (CM) supported according to 3GPP TS25.212
Cinterion® Java Terminals Hardware Interface Description2.1 Key Features at a Glance19EHSxT_BGS5T_HID_v02 2014-08-05Confidential / PreliminaryPage 18 of 70UMTS features3GPP Release 4(EHSxT only) PS data rate – 384 kbps DL / 384 kbps ULCS data rate – 64 kbps DL / 64 kbps ULGSM / GPRS / EDGE featuresData transfer GPRS:• Multislot Class 12• Full PBCCH support• Mobile Station Class B• Coding Scheme 1 – 4EGPRS (EHSxT only):• Multislot Class 12• EDGE E2 power class for 8 PSK• Downlink coding schemes – CS 1-4, MCS 1-9• Uplink coding schemes – CS 1-4, MCS 1-9• SRB loopback and test mode B• 8-bit, 11-bit RACH• PBCCH support• 1 phase/2 phase access procedures• Link adaptation and IR• NACC, extended UL TBF• Mobile Station Class BCSD:• V.110, RLP, non-transparent• 2.4, 4.8, 9.6, 14.4kbps• USSDSMS • Point-to-point MT and MO• Cell broadcast• Text and PDU mode•SoftwareAT commands Hayes 3GPP TS 27.007, TS 27.005, Gemalto M2MJava™ Open Platform Java™ Open Platform with• Java™ profile IMP-NG & CLDC 1.1 HI• Secure data transmission via HTTPS/SSL• Multi-threading programming and multi-application executionMajor benefits: seamless integration into Java applications, ease of pro-gramming, no need for application microcontroller, extremely cost-efficient hardware and software design – ideal platform for industrial GSM applica-tions.The memory space available for Java programs is around 10MB in the flash file system and around 6MB RAM. Application code and data share the space in the flash file system and in RAM.SIM Application Toolkit SAT Release 99TCP/IP stack Protocols: TCP server/client, UDP, HTTP, FTP, SMTP, POP3Access by AT commandsFirmware update Upgradeable via serial or USB interfaceFeature Implementation
Cinterion® Java Terminals Hardware Interface Description2.1 Key Features at a Glance19EHSxT_BGS5T_HID_v02 2014-08-05Confidential / PreliminaryPage 19 of 70InterfacesUSB interfaces USB 2.0 Slave interfaceRS232 RS-232 interface for AT commands and data:• Supports RTS/CTS hardware handshake• Supports software XON/XOFF flow control• Multiplex ability according to GSM 07.10 Multiplexer protocol• Baud rates from 1200bps to 230400bps• Autobauding supportedWeidmueller connector 20-pin (8-pin and 12-pin) header with GPIO interface, external power sup-ply, ADC, SPI, I²C and RS-485 option, depending on variantPower connector 6-pole Western connector (female) for power supply, ignition, power down signal SIM card reader Supported SIM cards: 3V, 1.8VAntenna Antenna connected via female SMA connectorPower on/off, ResetPower on DTR line at RS-232 interface, IGT_IN line at power connector or watchdogPower off Normal switch-off by AT^SMSO or external On/Off push buttonAutomatic switch-off in case of critical temperature conditionsReset Orderly shutdown and reset by AT commandEmergency restart via RST_IN line at power connector or via watchdogSpecial featuresReal time clock Timer functions via AT commandsPhonebook SIM card and terminal(Hardware) Watchdog Configurable watchdog to control moduleFeature Implementation
Cinterion® Java Terminals Hardware Interface Description3 Interface Description35EHSxT_BGS5T_HID_v02 2014-08-05Confidential / PreliminaryPage 20 of 703 Interface Description3.1 OverviewJava Terminals provide the following interfaces for power supply, antenna, SIM card and data transfer:• 6-pin Western connector (female) for power supply, ignition, power down signal• SMA antenna connectors (female) for RF antenna and future Rx diversity or GPS antennas• SIM card reader• 9-pin (female) D-sub connector (RS-232 interface)• 4-pin (female) USB-B connector• 12-pin and 8-pin Weidmueller GPIO connectors (including RS-485)Figure 2:  Java Terminals 3D viewGPS antenna SMA connectorD-sub socket (RS-232 interface)Western jack forUSB connector20-pin Weidmueller connectorSIM card readerSIM card reader(for future use, RJ-45 Ethernet connector(8-pin and 12-pin)RF antenna SMA connector Rx diversity antenna SMA connector(for future use; currently not available)(for future use,(not for EHS5T RS485)power supplycurrently not available)currently not available)
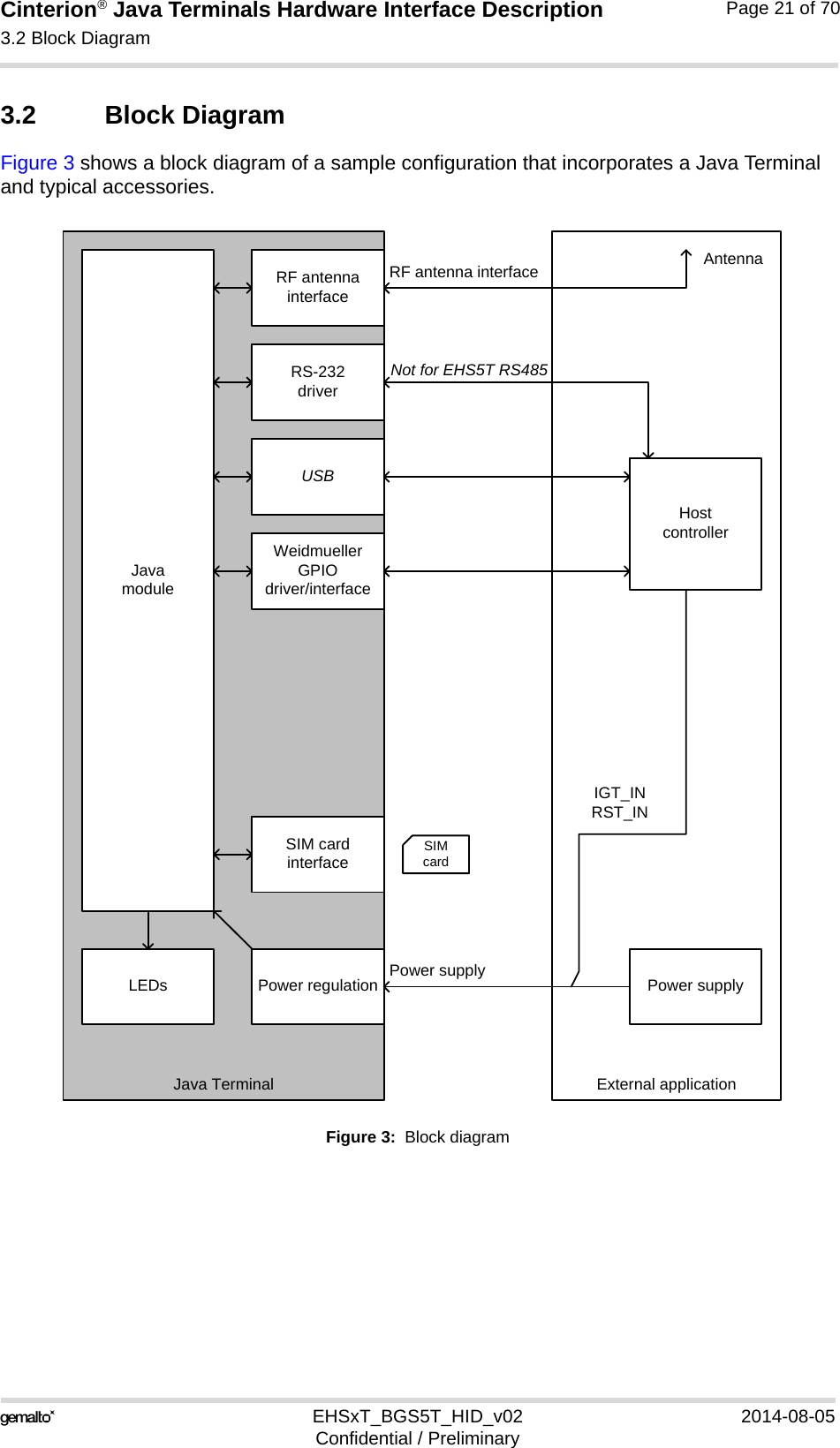
Cinterion® Java Terminals Hardware Interface Description3.2 Block Diagram35EHSxT_BGS5T_HID_v02 2014-08-05Confidential / PreliminaryPage 21 of 703.2 Block DiagramFigure 3 shows a block diagram of a sample configuration that incorporates a Java Terminal and typical accessories.Figure 3:  Block diagramJava TerminalJavamoduleRS-232driverUSBSIM cardinterfacePower regulationRF antennainterfaceLEDsRF antenna interfaceHostcontrollerPower supplyExternal applicationPower supplySIMcardAntennaIGT_INRST_INWeidmueller GPIOdriver/interfaceNot for EHS5T RS485
Cinterion® Java Terminals Hardware Interface Description3.3 Terminal Circuit35EHSxT_BGS5T_HID_v02 2014-08-05Confidential / PreliminaryPage 22 of 703.3 Terminal CircuitFigure 4 shows a general Java Terminal block diagram that includes all variants. Not every interface is available for all Terminal products.Figure 4:  Java Terminals circuit block diagram D‐Sub9‐pinLevel‐shifterRS232interfaceEMCRS232driverBatt+SIMcardholderSIMcardinterfaceCCxxxEMCBatt+LEDgreen LEDyellowLED driversLEDV180SMAfemaleAntennainterfaceRFoutWesternJack6‐pinPowersupplyEMC(on/off)EMCpowerDC/DCconverterVregLineregulatorONEMERG_RSTBatt+Batt+(Hardware)WatchdogLEDactive LEDlinkMagnetics10/100 Ethernet Phy ControllerKSZ8721USBGPIOconnector12‐pinEMCDriverbidirect.GPIOUSB‐BconnectorEMCUSBElectronicSIM(opt.)Micro controller MIIQuartzQuartzAlternativeUSBorEthernetconnectorSMAfemaleSMAfemaleRFinRfinAntennainterfacesforfutureuse(GNSS,Rxdiversity)GPIOconnector8‐pinEMCRS485DriverJavamoduleSupplyVCCrefI²CGPIO22/WD_RETRIGEthernetRJ45(forfutureuse)
Cinterion® Java Terminals Hardware Interface Description3.4 Operating Modes35EHSxT_BGS5T_HID_v02 2014-08-05Confidential / PreliminaryPage 23 of 703.4 Operating ModesThe table below briefly summarizes the various operating modes referred to in the following chapters. Table 10:  Overview of operating modesNormal operation GSM IDLE Software is active. Once registered to the GSM networkpaging with BTS is carried out. The Terminal is ready tosend and receive. Watchdog active.GSM TALKGSM DATA Connection between two subscribers is in progress.Power consumption depends on network coverage indi-vidual settings, such as DTX off/on, FR/EFR/HR, hop-ping sequences, antenna. Watchdog active.GPRS / UMTS / HSPA IDLE Terminal is ready for GPRS data transfer, but no data iscurrently sent or received. Power consumption dependson network settings and GPRS configuration (e.g. mul-tislot settings). Watchdog active.GPRS DATA GPRS data transfer in progress. Power consumptiondepends on network settings (e.g. power control level),uplink / downlink data rates, GPRS configuration (e.g.used multislot settings) and reduction of maximum out-put power. Watchdog active.EGPRS DATA(EHSxT only) EGPRS data transfer in progress. Power consumptiondepends on network settings (e.g. power control level),uplink / downlink data rates, EGPRS configuration (e.g.used multislot settings) and reduction of maximum out-put power. Watchdog active.UMTS TALKUMTS DATA(EHSxT only)UMTS data transfer in progress. Power consumptiondepends on network settings (e.g. TPC Pattern) and datatransfer rate. Watchdog active.HSPA DATA(EHSxT only) HSPA data transfer in progress. Power consumptiondepends on network settings (e.g. TPC Pattern) and datatransfer rate. Watchdog active.POWER DOWN Normal shutdown after sending the AT^SMSO command.The RTC works continuously, but the software is not active. Interfaces are notaccessible. Watchdog continues to operate, depending on its configuration.
Cinterion® Java Terminals Hardware Interface Description3.5 RS-232 Interface35EHSxT_BGS5T_HID_v02 2014-08-05Confidential / PreliminaryPage 24 of 703.5 RS-232 InterfaceThe RS-232 interface is not available for EHS5T RS485. The interface is implemented as a se-rial asynchronous transmitter and receiver conforming to ITU-T V.24 Interchange Circuits DCE. It is configured for 8 data bits, no parity and 1 stop bit, and can be operated at bit rates from 1200bps to 921kbps. Autobauding supports bit rates from 1.2kbps to 230kbps.For more information see also Section 3.5.1.3.5.1 9-Pole D-sub ConnectorVia RS-232 interface, the host controller controls the Java Terminals and transports data.Figure 5:  Pin assignment RS-232 (D-sub 9-pole female)Java Terminals are designed for use as a DCE. Based on the conventions for DCE-DTE con-nections it communicates with the customer application (DTE) using the following signals:• Port TxD @ application sends data to TXD of the Java Terminals• Port RxD @ application receives data from RXD of the Java TerminalsHardware handshake using the RTS and CTS signals and XON/XOFF software flow control are supported.Table 11:  9-pole D-sub (female) RS-232Pin no. Signal name I/O Function1 DCD O Data Carrier Detected2RXD OReceive Data3 TXD I Transmit Data4 DTR I Data Terminal Ready Attention: The ignition of Java Terminals is activated via a rising edge of high potential (+3 ... +15 V) 5 GND - Ground6 DSR O Data Set Ready7 RTS I Request To Send8 CTS O Clear To Send9 RING O Ring Indication123456789
Cinterion® Java Terminals Hardware Interface Description3.6 USB Interface35EHSxT_BGS5T_HID_v02 2014-08-05Confidential / PreliminaryPage 25 of 70In addition, the modem control signals DTR, DSR, DCD and RING are available. The modem control signal RING (Ring Indication) can be used to indicate, to the cellular device application, that a call or Unsolicited Result Code (URC) is received. There are different modes of opera-tion, which can be set with AT commands.Note: The DTR signal will only be polled once per second from the internal firmware of Java Terminals.3.6 USB InterfaceThe  Java Terminals support a USB 2.0 High Speed (480Mbit/s) device interface that is Full Speed (12Mbit/s) compliant. The USB interface can be used as command and data interface and for downloading firmware. It is only available as a slave device and not able to act as a USB host. 3.7 Weidmueller GPIO InterfaceThe Weidmueller connectors (8-pin and 12-pin) provide access to various module signals in-cluding a number of configurable GPIOs. Note that not all of the Weidmueller pins are available for every Java Terminal variant. The following figures show the available pins for the Java Ter-minal variants and the below Table 12 lists the overall availablility of the Weidmueller pins.Figure 6:  EHS5T RS485: Weidmueller connectors (8-pin and 12-pin)1234 1 2 3 4 5 6GPIO6 GPIO7 GPIO8 n/a VCCref GND TXD1/SPI_MISO RXD1/SPI_MOSI A+(RS485) B-(RS485)5678 7 8 9 10 1112n/an/an/an/a +5VoutDSR0/ADC1_IN/SPI_CLKI2CDAT I2CCLK GPIO20 GPIO21EHS5Tn/a: not applicableRS485:
Cinterion® Java Terminals Hardware Interface Description3.7 Weidmueller GPIO Interface35EHSxT_BGS5T_HID_v02 2014-08-05Confidential / PreliminaryPage 26 of 70Figure 7:  EHS6T USB: Weidmueller connectors (8-pin and 12-pin)Figure 8:  BGS5T USB: Weidmueller connectors (8-pin and 12-pin)1234 1 2 3 4 5 6GPIO6 GPIO7 GPIO8 GPIO11 VCCref GND TXD1/SPI_MISO RXD1/SPI_MOSI CTS1(RS232)/SPI_CSRTS1(RS232/5678 7 8 9 10 1112GPIO12 GPIO13 GPIO14 GPIO15 +5Vout DSR0/ADC1_IN/SPI_CLKI2CDAT I2CCLK GPIO20 GPIO21EHS6TUSB:1234 1 2 3 4 5 6GPIO6 GPIO7 GPIO8 n/a VCCref GND TXD1 RXD1 CTS1(RS232)/ RTS1(RS232/5678 7 8 9 10 1112n/an/an/an/a +5VoutDSR0/ADC1_IN I2CDAT I2CCLK GPIO20 GPIO21BGS5T n/a: not applicableUSB:
Cinterion® Java Terminals Hardware Interface Description3.7 Weidmueller GPIO Interface35EHSxT_BGS5T_HID_v02 2014-08-05Confidential / PreliminaryPage 27 of 70The following Table 12 shows the availablility of the Weidmueller pins for various Java Terminal variants. Please refer to the respective “AT Command Set“ for details on how to configure the GPIO pins.Table 12:  Weidmueller pin availabilityPINSignal Comment EHS5T RS485 EHS6T USB BGS5T USB8-pin connector1 GPIO6 Configurable via AT command, also as PWM2 signal 2 GPIO7 Configurable via AT command, also as PWM1 signal 3 GPIO8 Configurable via AT command, also as COUNTER signal 4 GPIO11 Configurable via AT command - -5 GPIO12 Configurable via AT command - -6 GPIO13 Configurable via AT command - -7 GPIO14 Configurable via AT command - -8 GPIO15 Configurable via AT command - -12-pin connector1 VCCref Input supply for level converter to specify external power level (e.g., connect +5Vout for 5V power level) 2GND  3TXD1 orSPI_MISO Configurable via AT command, also as SPI_MISO signal TXD1 orSPI_MISOTXD1 orSPI_MISO  TXD14 RXD1 orSPI_MOSI Configurable via AT command, also as SPI_MOSI signal RXD1 orSPI_MOSIRXD1 orSPI_MOSI  RXD15CTS1 orSPI_CS orA+Either CTS1 (for RS-232) or SPI_CS or A+ (for RS-485) depending on product variantA+(RS-485)CTS1 orSPI_CS CTS1 6RTS1 orB- Either RTS1 (for RS-232) or B- (for RS-485) depending on prod-uct variantB-(RS-485RTS1 RTS17 +5Vout External power supply up to 100mA, usable as VCCref input 8 DSR0 or ADC1_IN or SPI_CLKConfigurable via AT command   (no SPI)9 I2CDAT I2C interface   10 I2CCLK I2C interface  11 GPIO20 Configurable via AT command  12 GPIO21 Configurable via AT command  
Cinterion® Java Terminals Hardware Interface Description3.7 Weidmueller GPIO Interface35EHSxT_BGS5T_HID_v02 2014-08-05Confidential / PreliminaryPage 28 of 70EHS5T‘s RS-485 interface is based on the TIA/EIA-485 standard defining electrical character-istics of drivers and receivers for use in balanced multidrop communication systems. RS-485 is used in a lot of different fieldbus systems like Profibus, Interbus, Modbus and P-net.RS-485 uses a shielded twisted pair cable where the shield is used as ground return, and the inner pairs are used for balanced communication. The two conductors in each pair are called A and B. RS-485 is usually half-duplex.Data transmission speed depends on the length of the RS-485 bus cable and may be up to 115kbps.
Cinterion® Java Terminals Hardware Interface Description3.8 Power Supply35EHSxT_BGS5T_HID_v02 2014-08-05Confidential / PreliminaryPage 29 of 703.8 Power SupplyThe power supply of the Java Terminals has to be a single voltage source of VPLUS=8V…30V capable of providing a peak current (pulsed 2x577ms at T=4.615ms) of about 1.2A at 8V during an active transmission. The uplink burst causes strong ripple (drop) on the power lines. The drop voltage should not exceed 1V, but the absolute minimum voltage during drops must be >7.6V. The Java Terminals are protected from supply voltage reversal. An external fast acting fuse >0.4A with melting integral I2t (0.15 … 0.25)A2s is necessary to use the Java Terminals at a 12V or 24V unlimited power supply system.The power supply must be compliant with the EN60950 guidelines. A switching regulator reg-ulates the input voltage for the internal supply.When power fails for >1ms, Java Terminals reset or switch off. The watchdog can be configured to restart the Java Terminals. When power fails for >15s the RTC will be reset.Figure 9:  6-pole Western jack for power supply, ignition, reset, typical connectionMains adapter: If it fits into the design of your application we recommend the plug-in supply unit used with the type approved Gemalto M2M reference setup. Ordering information can be found in Chapter 7. This 12V mains adapter comes with a 6-pole Western plug and provides an inter-nal connection between IGT_IN pin and PLUS pin for auto ignition (power up).Table 13:  Female 6-pole Western plug for power supply, ignition, power downPin Signal name Use Parameters1 PLUS Power supply 8V – 30V DC, max. 33V for 1 min2 PLUS Power supply 8V – 30V DC, max. 33V for 1 min3 RST_IN Signal for module reset UIH > 8V for t>10ms resets the terminal.UIL <2V and low level for normal operation.4 IGT_IN Ignition UIH >8VIgnition >8V for more than 200ms switches the Java Terminals on. Ignition is activated only by a rising edge. The rise time is <20ms5 GND Ground 0V6 GND Ground 0VPin assignmment and typical connection:1 PLUS2 PLUS3 RST_IN4 IGT_IN5 GND6 GNDVPLUS DC6 5 4 3 2 111
Cinterion® Java Terminals Hardware Interface Description3.8 Power Supply35EHSxT_BGS5T_HID_v02 2014-08-05Confidential / PreliminaryPage 30 of 703.8.1 Turn Java Terminals onJava Terminals are turned on by plugging an appropriate power supply unit between PLUS and GND of the 6-pole Western jack. While the RST_IN pin (pin 3) is not active (voltage <2V) you can start the Java Terminals by activating the RS-232 DTR line if in POWER DOWN mode.The IGT_IN signal (pin 4) may be used to switch on Java Terminals if in POWER DOWN mode.The watchdog can also be configured to turn the Java Terminals on if in POWER DOWN mode.After startup of the Java Terminals the RS-232 lines are in an undefined state for approx. 900ms. This may cause undefined characters to be transmitted over the RS-232 lines during this period.3.8.2 Reset Java TerminalsAn easy way to reset the Java Terminals is entering the command AT+CFUN=x,1. For details on AT+CFUN please see [1].The watchdog can also be configured to reset the Java Terminals if in POWER DOWN mode.As an alternative, you can shut down the Java Terminals as described in Section 3.8.3 and then restart it as described in Section 3.8.1.3.8.3 Turn Java Terminals offNormal shutdown:• To turn off the Java Terminals use the AT^SMSO command, rather than disconnecting themains adapter. This procedure lets the Java Terminals log off from the network and allows the software toenter a secure state and save data before disconnecting the power supply. After AT^SMSOhas been entered the Java Terminals returns the following result codes: ^SMSO: MS OFFOK^SHUTDOWNThe "^SHUTDOWN" result code indicates that the Java Terminals turns off in less than1 second. After the shutdown procedure is complete the Java Terminals enters thePOWER DOWN mode. The yellow LED stops flashing (see Section 3.13 for a detailed LEDdescription). The RTC is still fed from the voltage regulator in the power supply ASIC.Please note that if there is an auto ignition connection between PLUS and IGT_IN the mod-ule will restart automatically after a normal shutdown.
Cinterion® Java Terminals Hardware Interface Description3.8 Power Supply35EHSxT_BGS5T_HID_v02 2014-08-05Confidential / PreliminaryPage 31 of 70Emergency restart: • In the event of software hang-ups etc. the Java Terminals can be restarted by applying avoltage >8V to the RST_IN pin (pin 3) for more than 10ms. The RST_IN signal restarts the Java Terminals.Caution: Use the RST_IN pin only when, due to serious problems, the software is notresponding for more than 5 seconds. Pulling the RST_IN pin causes the loss of all informa-tion stored in the volatile memory since power is cut off immediately. Therefore, this proce-dure is intended only for use in case of emergency, e.g. if Java Terminals fails to shut downproperly.Watchdog shutdown:• The watchdog can also be configured to turn the Java Terminals off.When the Java Terminals enter the POWER DOWN mode, e.g. after you have issued the AT^SMSO command or activated the RST_IN signal, all RS-232 interface lines are active for a period of 50ms to max. 3.5s. This may cause undefined characters to be transmitted on the RS-232 lines which can be ignored.3.8.4 Disconnecting power supplyBefore disconnecting the power supply from the PLUS pin, make sure that the Java Terminals are in a safe condition. The best way is to wait 1s after the "^SHUTDOWN" result code has been indicated.
Cinterion® Java Terminals Hardware Interface Description3.9 Automatic thermal shutdown35EHSxT_BGS5T_HID_v02 2014-08-05Confidential / PreliminaryPage 32 of 703.9 Automatic thermal shutdownAn on-board NTC measures the temperature of the built-in BGS2 module. If over- or undertem-perature is detected on the module the Java Terminals automatically shut down to avoid ther-mal damage to the system. Table 17 specifies the ambient temperature threshold for the Java Terminals. The automatic shutdown procedure is equivalent to the power-down initiated with the AT^SMSO command, i.e. Java Terminals log off from the network and the software enters a secure state avoiding loss of data. In IDLE mode it takes typically one minute to deregister from the network and to switch off. Alert messages transmitted before the Java Terminals switch off are implemented as Unsolic-ited Result codes (URCs). For details see the description of AT^SCTM command provided in [1]. Thermal shutdown will be deferred if a critical temperature limit is exceeded, while an emer-gency call or a call to a predefined phone number is in progress, or during a two minute guard period after power up. See [1] for details.The watchdog can be configured to restart the Java Terminals after a defined period.3.10 Hardware WatchdogThe Java Terminals feature a programmable hardware watchdog that permanently monitors the terminals‘ hardware and can be configured to react to various hardware states. The watch-dog may for example be configured to periodically restart the terminal, independant of its cur-rent operating state. Figure 4 shows how the watchdog is integrated into the Java Terminals.Please refer to Chapter 8 for details on how to control and configure the hardware watchdog.3.11 RTCThe internal Real Time Clock (RTC) of the Java Terminals retains the time and date and han-dles the alarm (reminder) function. The AT+CCLK command serves to set the time and date, and AT+CALA specifies a reminder message. See [1] for details. A dedicated voltage regulator backs up the RTC even in Power Down mode and enables Java Terminals to keep track of time and date. However, please note that the Alarm mode described in [1], Section AT+CALA, is not intended for the Java Terminals. The AT+CALA command can only be used to set a reminder message, but not to configure the mobile to wake up from POWER DOWN mode into Alarm mode. There-fore, after setting a timer with AT+CALA be sure not to shut down the Java Terminals by AT^SMSO or RST_IN signal.
Cinterion® Java Terminals Hardware Interface Description3.12 SIM Interface35EHSxT_BGS5T_HID_v02 2014-08-05Confidential / PreliminaryPage 33 of 703.12 SIM Interface The SIM interface is intended for 1.8V and 3V SIM cards in accordance with GSM 11.12 Phase 2. The card holder is a five wire interface according to GSM 11.11. A sixth pin has been added to detect whether or not a SIM card is inserted. Figure 10:  SIM interfaceThe SIM - with the circuit side facing upwards - is inserted by gently pushing it into the SIM card holder until it snaps hold. It is now protected from accidental removal. The SIM can be removed from the card holder by using a flat object such as a screwdriver to carefully press the inserted SIM until it snaps out again.All signals of the SIM interface are protected from electrostatic discharge with spark gaps to GND and clamp diodes to 1.8V resp. 2.9V and GND.Removing and inserting the SIM card during operation requires the software to be reinitialized. Therefore, after reinserting the SIM card it is necessary to restart Java Terminals. Note: No guarantee can be given, nor any liability accepted, if loss of data is encountered after removing the SIM card during operation. Also, no guarantee can be given for properly initializ-ing any SIM card that the user inserts after having removed a SIM card during operation. In this case, the application must restart the Java Terminals.SIM inserted
Cinterion® Java Terminals Hardware Interface Description3.13 Status LEDs35EHSxT_BGS5T_HID_v02 2014-08-05Confidential / PreliminaryPage 34 of 703.13 Status LEDsJava Terminals have two LEDs indicating its operating states through the semitransparent cas-ing:• A green LED indicates whether the Java Terminals are ready to operate.• A yellow LED indicates the network registration state of the Java Terminals.Figure 11:  Status LEDThe yellow LED is driven by a line of the integrated module that can be configured by using the AT^SLED command to either light permanently or to flash. For details on the AT command please refer to [1]. Green LED(Power on/off)Yellow LED(Network status)
Cinterion® Java Terminals Hardware Interface Description3.14 RF Antenna Interface35EHSxT_BGS5T_HID_v02 2014-08-05Confidential / PreliminaryPage 35 of 703.14 RF Antenna InterfaceAn external RF antenna is connected via the Java Terminals’s female SMA connector that is also the antenna reference point (ARP).Figure 12:  Antenna connectorThe system impedance is 50. In any case, for good RF performance, the return loss of the customer application’s antenna should be better than 10dB (VSWR < 2). Java Terminals with-stand a total mismatch at this connector when transmitting with power control level for maxi-mum RF power.Inside the Java module an inductor to ground provides additional ESD protection to the anten-na connector. To protect the inductor from damage no DC voltage must be applied to the an-tenna circuit.For the application it is recommended to use an antenna with an SMA (male) connector:Please note that the terminal should be installed and operated with a minimum distance of 20cm between the antenna connected to the terminal and any human bodies. Also, the trans-mitter must not be co-located or operating in conjunction with any other antenna or transmitter.The allowed maximum antenna gain (including cable loss) for stand-alone situation is given be-low in Table 14.Table 14:  Allowed maximum antenna gain (including cable loss)Module 850MHz 900MHz 1800MHz 1900MHz 2100MHzEHS6T USB 3.42dBi 4.18dBi 9.64dBi 2.51dBi 15.54dBiBGS5T USB 2.15dBi 2.15dBi 2.15dBi 2.15dBi naEHS5T RS485 na 6.10dBi 12.30dBi na 12.30dBi
Cinterion® Java Terminals Hardware Interface Description4 Electrical and Environmental Characteristics44EHSxT_BGS5T_HID_v02 2014-08-05Confidential / PreliminaryPage 36 of 704 Electrical and Environmental Characteristics4.1 Absolute Maximum RatingsTable 15:  Absolute maximum ratingsParameter Port / Description Min. Max. UnitSupply voltage PLUS -40 30 VOvervoltage PLUS / for 1min 33 VInput voltage for on/off control lines IGT_IN, RST_IN -5 30 VRS-232 input voltage TXD, DTR, RTS -25 +25 VWeidmueller pins input volt-age (incl. VCCref) 8-pin and 12-pin connectors(if pins specified/configured as input pins) -0.3 6 VWeidmueller pins output current 8-pin and 12-pin connectors(if pins specified/configured as output pins) 0 50mA drawn @each pin11. Please note that if the VCCref pin is connected to the +5Vout pin, no more than 100mA should be drawn by all pins. In this case it is no longer allowed to draw a maximum of 50mA for each pin.--USB interface All electrical characteristics according to USB Implementers' Forum, USB 2.0 Spec-ification.-- -- --Immunity against discharge of static electricity All interfaces (lines)Contact dischargeHuman body model -8-15 +8+15 kVkVTable 16:  Operating supply voltage for Java TerminalsParameter Min Typ Max UnitSupply voltage PLUS measured at (6-pole) western jack plug (1 to 6)@any time, incl. all ripple and drops5.5 12 30 V
Cinterion® Java Terminals Hardware Interface Description4.2 Operating Temperatures44EHSxT_BGS5T_HID_v02 2014-08-05Confidential / PreliminaryPage 37 of 704.2 Operating TemperaturesNote: Within the specified operating temperature ranges the board temperature may vary to a great extent depending on operating mode, used frequency band, radio output power and cur-rent supply voltage. Note also the differences and dependencies that usually exist between board (PCB) temperature of the Java module and its ambient temperature.Table 17:  Board temperature of Java moduleParameter Min Max UnitNormal operation -30 +85 °CExtended operation1 1. Extended operation allows normal mode speech calls or data transmission for limited time until automatic thermal shutdown takes effect. Within the extended temperature range (outside the normal operating temperature range) the specified electrical characteristics may be in- or decreased.-40 to -30 +85 to +90 °CAutomatic thermal shutdown22. Due to temperature measurement uncertainty, a tolerance of ±3°C on these switching thresholds may occur.<-40 >+90 °C
Cinterion® Java Terminals Hardware Interface Description4.3 Storage Conditions44EHSxT_BGS5T_HID_v02 2014-08-05Confidential / PreliminaryPage 38 of 704.3 Storage ConditionsThe conditions stated above are only valid for devices in their original packed state in weather protected, non-temperature-controlled storage locations. Normal storage time under these conditions is 12 months maximum.Table 18:  Storage conditionsType Condition Unit ReferenceAir temperature:  LowHigh -30+75 °C ETS 300 019-2-1: T1.2, IEC 60068-2-1 AbETS 300 019-2-1: T1.2, IEC 60068-2-2 BbHumidity relative:  LowHighCondens.1090 at 30°C90-100 at 30°C%---ETS 300 019-2-1: T1.2, IEC 60068-2-56 CbETS 300 019-2-1: T1.2, IEC 60068-2-30 DbAir pressure:   LowHigh 70106 kPa IEC TR 60271-3-1: 1K4IEC TR 60271-3-1: 1K4Movement of surrounding air 1.0 m/s IEC TR 60271-3-1: 1K4Water: rain, dripping, icing and frosting Not allowed --- ---Radiation: SolarHeat 1120600 W/m2ETS 300 019-2-1: T1.2, IEC 60068-2-2 BbETS 300 019-2-1: T1.2, IEC 60068-2-2 BbChemically active substances Not recommended IEC TR 60271-3-1: 1C1LMechanically active substances Not recommended IEC TR 60271-3-1: 1S1Vibration sinusoidal:DisplacementAccelerationFrequency range1.552-9   9-200mmm/s2HzIEC TR 60271-3-1: 1M2Shocks:Shock spectrumDurationAccelerationsemi-sinusoidal150 msm/s2IEC 60068-2-27 Ea
Cinterion® Java Terminals Hardware Interface Description4.4 Electrical Specifications of the Application Interface44EHSxT_BGS5T_HID_v02 2014-08-05Confidential / PreliminaryPage 39 of 704.4 Electrical Specifications of the Application Interface4.4.1 On/Off Control4.4.2 RS-232 Interface4.4.3 USB InterfaceAll electrical characteristics according to USB Implementers' Forum, USB 2.0 Specification.Table 19:  On/Off control line specifications Parameter Description Conditions Min. Typ Max. UnitVhigh Input voltageIGT_IN, RST_IN active high 4 28 VVlow 03VVhigh Input voltageDTR active high 3 +15 VVlow -15 1.2 VRIN Input resistance ofIGT_IN, RST_IN 1MRIN Input resistance ofDTR 357kTable 20:  RS-232 interface specificationsParameter Description Conditions Min. Typ Max. UnitVOUT Transmitter output voltage forRXD, CTS, DSR, DCD, RING@ 3k load ±5 ±6 ±7 VROUT Transmitter output resis-tanceRXD, CTS, DSR, DCD, RING300 RIN ResistanceTXD, RTS, DTR 357kVIn Receiver input voltage rangeTXD, RTS, DTR-25 +25 VVRIHYS Input hysteresis 0.5 VVIlow Input threshold low 0.6 1.2 VVIhigh Input threshold high 1.5 2.4 VBaudrate Autobauding 1.2 230 kbpsFixed range 1.2 230 kbpsLECable Length of RS-232 cable 1.8 2 m
Cinterion® Java Terminals Hardware Interface Description4.4 Electrical Specifications of the Application Interface44EHSxT_BGS5T_HID_v02 2014-08-05Confidential / PreliminaryPage 40 of 704.4.4 Weidmueller GPIO InterfaceTable 21:  Weidmueller GPIO interface specifications (requirements)Function Signal name IO Signal form and level Comment8-pin, 12-pin connec-tors for:GPIO, Power, I2C andASC1, SPI, RS-485GPIO 6-8GPIO 11-15GPIO 20-21IO VOLmax = 0.1V at I = 100µA VOLmax = 0.55V at I = 32mAVOHmin = VCCref - 0.1V at I = 100µAVOHmin = VCCref - 0.4V at I < 12mAVOHmin = VCCref - 0.7V at I < 32mAVILmax = 0.3 * VCCrefVIHmin = 0.7 * VCCrefIf unused keep lines open.Please note that some GPIO lines are or can be configured for functions other than GPIO: GPIO6/GPIO7: PWMGPIO8: Pulse CounterVCCref I Vimax = 5.5VVimin = 1.8VGND -- --TXD1/ SPI_MISO IVOLmax = 0.1V at I = 100µA VOLmax = 0.55V at I = 32mAVOHmin = VCCref - 0.1V at I = 100µAVOHmin = VCCref - 0.4V at I < 12mAVOHmin = VCCref - 0.7V at I < 32mAVILmax = 0.3 * VCCrefVIHmin = 0.7 * VCCrefIf unused keep lines open.SPI interface is not avail-able for BGS5.RXD1/ SPI_MOSI OCTS1/A+/ SPI_CS ORTS1/B- I+5Vout O 5V, +0.05V, -0.2VIoutmax = 100mA Regulated output for external supply. Can be connected to VCCref. If unused, keep open.DSR0/ADC1_IN(Analog-to-Digital con-verter)/ SPI_CLKIRI = 1MVImax = 0V...VCCref + 0.3VValid range 0V…5VResolution 1024 stepsTolerance 0.3%ADC1_IN can be used as input for external mea-surements.If unused keep line open.I2CDAT IO Open drain IOVOLmin = 0.3V at I = -3mAVOHmax = VCCrefRpullup = 2.2kOhmVILmax = 0.35VVIHmin = 1.3VVIHmax = 1.85VAccording to the I2C Bus Specification Version 2.1 for the fast mode a rise time of max. 300ns is per-mitted. There is also a maximum VOL=0.4V at 3mA specified.The value of the pull-up depends on the capactive load of the whole system (I2C Slave + lines). The maximum sink current of I2CDAT and I2CCLK is 4mA.If unused keep lines open.I2CCLK IO
Cinterion® Java Terminals Hardware Interface Description4.5 Power Supply Ratings44EHSxT_BGS5T_HID_v02 2014-08-05Confidential / PreliminaryPage 41 of 704.5 Power Supply RatingsTable 22:  Power supply specificationsPara-meter Description Conditions Typical UnitEHS5T RS485 EHS6T USB BGS5T USBVPLUS Allowed voltage ripple (peak-peak), drop during transmit burst peak currentPower control level for Pout max1111VIPLUS 2Average supply current(average time 3 min.) Power Down mode @8V 12.4 20.7 33.5 mA@30V 6.5 9.8 13.7Average GSM supply cur-rent(average time 3 min.)3IDLE mode(GSM/GPRS, 850/900MHz, 1800/1900MHz)@8V 27 39.6 29.5 mA@30V 10.4 15.9 12.7GPRS DATA mode(1 Tx, 4 Rx, 850/900MHz)@8V 169.3 175 160 mA@30V 47.2 50.3 46.2GPRS DATA mode(1 Tx, 4 Rx, 1800/1900MHz)@8V 63.9 136.4 117.3 mA@30V 21.2 38 36.1GPRS DATA mode(4 Tx, 1 Rx, 850/900MHz)@8V 234.6 245 286.3 mA@30V 67 100 81GPRS DATA mode(4 Tx, 1 Rx, 1800/1900MHz)@8V 109.5 186 208.8 mA@30V 34.1 56 61.8EDGE DATA mode(1 Tx, 4 Rx, 850/900MHz)@8V 170.1 175 160 mA@30V 47.4 50.2 46.2EDGE DATA mode(1 Tx, 4 Rx, 1800/1900MHz)@8V 64.4 130.7 117.4 mA@30V 21.3 39.7 36.2EDGE DATA mode(4 Tx, 1 Rx, 850/900MHz)@8V 234.4 237.6 284.9 mA@30V 67 69.6 81EDGE DATA mode(4 Tx, 1 Rx, 1800/1900MHz)@8V 109.5 186.7 208.9 mA@30V 34.2 56.4 62Peak supply current (during 577µs transmission slot every 4.6ms)Power control level for Pout max(850/900MHz)@8V 1100 1130 1200 mA@30V 260 270 260Power control level for Pout max(1800/1900MHz)@8V 815 820 630 mA@30V 195 200 160
Cinterion® Java Terminals Hardware Interface Description4.5 Power Supply Ratings44EHSxT_BGS5T_HID_v02 2014-08-05Confidential / PreliminaryPage 42 of 70IPLUS Average UMTS supply cur-rent (average time 3 min.) IDLE mode @8V 27 79 --- mA@30V 10.7 12.3 ---UMTS DATA (Band I; 23dBm) @8V 313 411 --- mA@30V 88.3 113.9 ---UMTS DATA Band II; 23dBm @8V --- 447.6 --- mA@30V --- 123.8 ---UMTS DATA Band V/VI; 23dBm @8V --- 413.9 --- mA@30V --- 115 ---UMTS DATA Band VIII; 23dBm @8V 367 410.1 --- mA@30V 103 114.2 ---HSPA DATA (Band I; 23dBm) @8V 313 411 --- mA@30V 88.3 113.9 ---HSPA DATA Band II; 23dBm @8V --- 447.6 --- mA@30V --- 123.8 ---HSPA DATA Band V/VI; 23dBm @8V --- 413.9 --- mA@30V --- 115 ---HSPA DATABand VIII; 23dBm @8V 367 410.1 --- mA@30V 103 114.2 ---1. Lowest voltage (minimum peak) incl. all ripple and drops >7.6V including voltage drop, ripple and spikes, measured at western jack (6-pole) pins.2. Typical values measured with antenna impedance = 50 Ohm (return loss >20dB).3. BGS5T USB does not support EDGE.Table 22:  Power supply specificationsPara-meter Description Conditions Typical UnitEHS5T RS485 EHS6T USB BGS5T USB
Cinterion® Java Terminals Hardware Interface Description4.6 Antenna Interface44EHSxT_BGS5T_HID_v02 2014-08-05Confidential / PreliminaryPage 43 of 704.6 Antenna InterfaceTable 23 lists RF antenna interface specifications for the Java Terminals. Please note that the specified conditions may not apply to or be supported by all terminals.Table 23:  RF Antenna interface GSM / UMTSParameter Conditions Min. Typical Max. UnitUMTS/HSPA connectivity Band I, II, V, VI, VIII (not every module variant supports all bands)Receiver Input Sensitivity @ ARP UMTS 800/850 Band VI/V -104.7/ -106.7 -110 dBmUMTS 900 Band VIII -103.7 -110 dBmUMTS 1900 Band II -104.7 -109 dBmUMTS 2100 Band I -106.7 -110 dBmRF Power @ ARP with 50Ohm LoadBoard temperature <85°CUMTS 800/850 Band VI/V +21 +24 +25 dBmUMTS 900 Band VIII +21 +24 +25 dBmUMTS 1900 Band II +21 +24 +25 dBmUMTS 2100 Band I +21 +24 +25 dBmGPRS coding schemes Class 12, CS1 to CS4EGPRS Class 12, MCS1 to MCS9GSM Class Small MSStatic Receiver input Sensi-tivity @ ARP GSM 850 / E-GSM 900 -102 -109 dBmGSM 1800 / GSM 1900 -102 -108 dBmRF Power @ ARP with 50Ohm Load GSM GSM 850 / E-GSM 900 33 dBmGSM 1800 / GSM 1900 30 dBm
Cinterion® Java Terminals Hardware Interface Description4.6 Antenna Interface44EHSxT_BGS5T_HID_v02 2014-08-05Confidential / PreliminaryPage 44 of 70RF Power @ ARPwith 50Ohm Load,(with maxi-mum reduc-tion) BGS5T USB does not support EDGE, devi-ating values are given in bracketsGPRS, 1 TX  GSM 850 / E-GSM 900 33 dBmGSM 1800 / GSM 1900 30 dBmEDGE, 1 TX GSM 850 / E-GSM 900 27 dBmGSM 1800 / GSM 1900 26 dBmGPRS, 2 TX  GSM 850 / E-GSM 900 30  dBmGSM 1800 / GSM 1900 27 (28.3) dBmEDGE, 2 TX GSM 850 / E-GSM 900 24 dBmGSM 1800 / GSM 1900 23 dBmGPRS, 3 TX  GSM 850 / E-GSM 900 28.2(27.7) dBmGSM 1800 / GSM 1900 25.2(27.4) dBmEDGE, 3 TX GSM 850 / E-GSM 900 22.2 dBmGSM 1800 / GSM 1900 21.2 dBmGPRS, 4 TX  GSM 850 / E-GSM 900 27(25.4) dBmGSM 1800 / GSM 1900 24(25.2) dBmEDGE, 4 TX GSM 850 / E-GSM 900 21 dBmGSM 1800 / GSM 1900 20 dBmTable 23:  RF Antenna interface GSM / UMTSParameter Conditions Min. Typical Max. Unit
Cinterion® Java Terminals Hardware Interface Description5 Mechanics, Mounting and Packaging48EHSxT_BGS5T_HID_v02 2014-08-05Confidential / PreliminaryPage 45 of 705 Mechanics, Mounting and Packaging5.1 Mechanical DimensionsFigure 13 shows a 3D view of the Java Terminal and provides an overview of the mechanical dimensions of the board. For further details see Figure 14. To allow for an easier mechanical implementation into an external application a set of 3D STP data for the Java Terminals is at-tached to this PDF. Please open the Attachments navigation panel to view and save these files.Figure 13:  Java Terminals 3D overviewLength: 113.5mm (including fixtures for cable straps)Width: 75mm (excluding antenna and serial interface connectors)Height: 25.5mmWeight: 120g113.5mm75mm25.5mm
Cinterion® Java Terminals Hardware Interface Description5.1 Mechanical Dimensions48EHSxT_BGS5T_HID_v02 2014-08-05Confidential / PreliminaryPage 46 of 70Figure 14:  Java Terminals mechanical dimensions
Cinterion® Java Terminals Hardware Interface Description5.2 Mounting the Java Terminals48EHSxT_BGS5T_HID_v02 2014-08-05Confidential / PreliminaryPage 47 of 705.2 Mounting the Java TerminalsThere are a number of ways to mount the Java Terminals: • Java Terminals can be attached to a rail installation or other surface using the two providedscrew holes. • Java Terminals can be fastened to a rack or holding using the two provided fixtures forcable straps.• Java Terminals can be slid onto a specific DIN rail made according to DIN EN 60715 - Csection, C30 format. A catch at the terminal’s bottom side will have to be removed to slidemultiple terminals onto a single rail.• Using a BOPLA TSH 35-2 universal DIN rail holder the Java Terminals can be fitted ontoanother special type of DIN rail made according to DIN EN 60715 - Top hat section, 35mm(e.g., Wago 210-113 steel carrier rail).The following figure shows the various possibilities provided to mount the Java Terminals.Figure 15:  Mounting the Java TerminalsThe various ways to mount the Java Terminals may be combined where appropriate. It is for example possible to slide the terminal onto a DIN rail and in addition use cable straps to fasten it to a holding.Catch to mountScrew holes for Screw holesFixtures for cable strapsDIN rail holderC-rail (C30)BOPLA TSH 35-2
Cinterion® Java Terminals Hardware Interface Description5.3 Packaging48EHSxT_BGS5T_HID_v02 2014-08-05Confidential / PreliminaryPage 48 of 705.3 PackagingJava Terminals come in terminal boxes:• Terminal box size: 191mm x 143mm x 44mm.
Cinterion® Java Terminals Hardware Interface Description6 Full Type Approval52EHSxT_BGS5T_HID_v02 2014-08-05Confidential / PreliminaryPage 49 of 706 Full Type Approval6.1 Gemalto M2M Reference SetupThe Gemalto M2M reference setup submitted to type approve Java Terminals consists of the following components:• Java Terminals with approved Java module•PC as MMI• Power SupplyFigure 16:  Reference equipment for approvalFor ordering information please refer to Chapter 7.PCPower supplySIMRS-232/USB Java TerminalAntenna or50Ohm cableto the system simulatorARP
Cinterion® Java Terminals Hardware Interface Description6.2 Restrictions52EHSxT_BGS5T_HID_v02 2014-08-05Confidential / PreliminaryPage 50 of 706.2 RestrictionsLater enhancements and modifications beyond the certified configuration require extra approv-als. Each supplementary approval process includes submittal of the technical documentation as well as testing of the changes made. • No further approvals are required for customer applications that comply with the approvedJava Terminals configuration. • Extra approval must be obtained for applications using other accessories than thoseincluded in the approved Java Terminals configuration (power supply, MMI implementationsupported by AT commands). 6.3 CE ConformityThe Java Terminals meet the requirements of the EU directives listed below:• R&TTE Directive 1999/5/EC The Java Terminals are marked with the CE conformity mark (including notified body number):6.4 EMCThe Java Terminals comply with the equipment requirements specified in EN 301489-1, -7 and -24 are covered by the R&TTE Directive.EHSxT BGS5T USB
Cinterion® Java Terminals Hardware Interface Description6.5 Compliance with FCC and IC Rules and Regulations52EHSxT_BGS5T_HID_v02 2014-08-05Confidential / PreliminaryPage 51 of 706.5 Compliance with FCC and IC Rules and RegulationsAs an integrated product, the Java Terminals EHS6T USB and BGS5T RS485 are fully com-pliant with the grant of the FCC Equipment Authorization and the Industry Canada Certificates issued for the built-in Java modules, and therefore, bear the labels “Contains FCC ID QIPEHS6” or “Contains FCC ID QIPBGS5.The Equipment Authorization Certification for the Cinterion® Java modules is listed under the following identifiers:FCC Idenitifier: QIPEHS6 or QIPBGS5Industry Canada Certification Number: 7830A-EHS6 or 7830A-BGS5Granted to Gemalto M2M GmbHNotes (FCC): Radiofrequency radiation exposure Information:This equipment complies with FCC radiation exposure limits set forth for an uncontrolled envi-ronment. This equipment should be installed and operated with minimum distance of 20 cm be-tween the radiator and your body. This transmitter must not be co-located or operating in conjunction with any other antenna or transmitter.This device complies with part 15 of the FCC Rules. Operation is subject to the following two conditions: (1) This device may not cause harmful interference, and (2) this device must accept any interference received, including interference that may cause undesired operation.This terminal equipment has been tested and found to comply with the limits for a Class B dig-ital device, pursuant to Part 15 of the FCC Rules. These limits are designed to provide reason-able protection against harmful interference in a residential installation. This equipment generates, uses and can radiate radio frequency energy and, if not installed and used in accor-dance with the instructions, may cause harmful interference to radio communications. Howev-er, there is no guarantee that interference will not occur in a particular installation. If this equipment does cause harmful interference to radio or television reception, which can be de-termined by turning the equipment off and on, the user is encouraged to try to correct the inter-ference by one or more of the following measures:• Reorient or relocate the receiving antenna.• Increase the separation between the equipment and receiver.• Connect the equipment into an outlet on a circuit different from that to which the receiver isconnected.• Consult the dealer or an experienced radio/TV technician for help.Changes or modifications made to this equipment not expressly approved by Gemalto M2M may void the FCC authorization to operate this equipment. This device contains UMTS, GSM and GPRS class functions in the 900, 1800 and 2100MHz bands that are not operational in U.S. Territories. This device is to be used only for mobile and fixed applications.Users and installers must be provided with antenna installation instructions and transmitter op-erating conditions for satisfying RF exposure compliance: For more information on the RF an-tenna interface please refer to Section 3.14 and Section 4.6.
Cinterion® Java Terminals Hardware Interface Description6.5 Compliance with FCC and IC Rules and Regulations52EHSxT_BGS5T_HID_v02 2014-08-05Confidential / PreliminaryPage 52 of 70Notes (IC): (EN) This Class B digital apparatus complies with Canadian ICES-003 and RSS-210. Opera-tion is subject to the following two conditions: (1) this devive may not cause interference, and (2) this device must accept any interference, including interference that may cause undesired operation of the device.(FR) Cet appareil numérique de classe B est conforme aux normes canadiennes ICES-003 et RSS-210. Son fonctionnement est soumis aux deux conditions suivantes: (1) cet appareil ne doit pas causer d'interférence et (2) cet appareil doit accepter toute interférence, notamment les interférences qui peuvent affecter son fonctionnement.(EN) Radio frequency (RF) Exposure InformationThe radiated output power of the Wireless Device is below the Industry Canada (IC) radio fre-quency exposure limits. The Wireless Device should be used in such a manner such that the potential for human contact during normal operation is minimized.This device has also been evaluated and shown compliant with the IC RF Exposure limits un-der mobile exposure conditions. (antennas are greater than 20cm from a person‘s body).(FR) Informations concernant l'exposltion aux fréquences radio (RF)La puissance de sortie émise par l'appareil de sans fiI est inférieure à la limite d'exposition aux fréquences radio d‘Industry Canada (IC). Utilisez l'appareil de sans fil de façon à minimiser les contacts humains lors du fonctionnement normal.Ce périphérique a également été évalué et démontré conforme aux limites d'exposition aux RF d'IC dans des conditions d'exposition à des appareils mobiles (les antennes se situent à moins de 20cm du corps d'une personne).
Cinterion® Java Terminals Hardware Interface Description7 List of Parts and Accessories53EHSxT_BGS5T_HID_v02 2014-08-05Confidential / PreliminaryPage 53 of 707 List of Parts and AccessoriesTable 24:  List of parts and accessoriesDescription Supplier Ordering informationJava Terminals  Gemalto M2M Ordering numberEHS5T RS485: L30960-N2730-A100EHS6T USB: L30960-N2740-A100BGS5T USB: L30960-N2720-A100Power supply unit  Gemalto M2M Terminal Power Supply (incl. EU adapter)Ordering number: L36880-N8490-A12UK adapter for above Terminal Power SupplyOrdering number: L36880-N8490-A13US adapter for above Terminal Power SupplyOrdering number: L36880-N8490-A14AU adapter for above Terminal Power SupplyOrdering number: L36880-N8490-A15DIN rail holder - BOPLA TSH 35-2 BOPLA Ordering number: 20035000BOPLA Gehäuse Systeme GmbHBorsigstr. 17-25D-32257 BündePhone: +49 (0)5223 / 969 - 0Fax: +49 (0)5223 / 969 - 100Email: iinfo@bopla.deWeb: http://www.bopla.deAntenna - SMARTEQ-MiniMAG Dualband, 0dBd, 2.6m RG174, SMA (m)KÖBEL Mobile Communication Ordering number: 1140.26 with crimped SMA connectorKÖBEL Mobile CommunicationSesamstrasse 12D-24632 LentföhrdenRS-232 cable with 9-pin D-sub connector (male) Tecline Ordering number: 300574Tecline GmbHBehrener Straße 8D-66117 SaarbrückenPhone: +49-681-926-78-70Fax: +49-681-926-78-555Web: http://www.tecline-edv.de/8-pin and 12-pin header connec-tor (male) for Weidmueller GPIO interfaceWeidmueller Ordering number (12-pin): 1277510000Ordering number (8-pin): 1277480000Weidmüller Interface GmbH & Co. KGKlingenbergstraße 16D-32758 DetmoldPhone: +49 5231 14-0Fax: +49 5231 14-2083 Email: iinfo@weidmueller.deWeb: http://www.weidmueller.com
Cinterion® Java Terminals Hardware Interface Description8 Appendix A: (Hardware) Watchdog69EHSxT_BGS5T_HID_v02 2014-08-05Confidential / PreliminaryPage 54 of 708 Appendix A: (Hardware) WatchdogThe watchdog is part of the Java Terminals and connected to the Java module itself (see also Figure 4). It can be used to• Safely reset the module in certain conditions• Restart the module when it has turned off• Configure GPIOs and DSR0/ADC1_IN available at the Weidmueller connectorThe complete watchdog functionality can be configured via the serial interface ASC0 (for de-tails see Section 8.3). Some configuration commands can also be specified via I2C interface (for details see Section 8.4). Figure 17 shows how the watchdog may be accessed.Figure 17:  Hardware watchdog8.1 Reset ConditionsThe watchdog implements three conditions, under which a reset of the module is automatically performed:• Repetitive: A module reset is performed frequently and repetitive. This reset condition canbe used to force the module to reconnect to the mobile network once in a while. Typical fre-quencies are 24 hours or more. This feature can be configured via the RST_REP timeout.• UART activity: The watchdog can be used to reset the module, when no activity from themodule on the UART interface is recognized for a specified amount of time. To prevent thereset, the module has to be active frequently on the UART interface. This reset conditioncan be configured via the RST_UART timeout, it is deactivated when timeout parameter = 0.• GPIO activity: The watchdog can be used to reset the module, when no activity on the des-ignated GPIO signal is recognized for a specified amount of time. To prevent the reset, themodule has to be active frequently by toggling this GPIO signal. This reset condition can beconfigured via the RST_GPIO timeout, it is deactivated when timeout parameter = 0.When the watchdog is enabled, it will observe the activities on the UART and GPIO interfaces, depending on timeout parameter setting and perform frequent resets, if it is configured to do so.Hardware watchdogResets/Restarts the Java module under certain conditions and configures GPIOsRS-232 connectorWeidmuellerconnectorJava moduleTXD0 line (ASC0 withbaud rate =  1200bps) for watchdog configurationI2C interface lines or RS-485 lines (with RS-232-to-RS-485 adapter) for watchdog configurationASC0 interface  (baud rate not equal 1200bps) for watchdog configuration via I2C  command AT^SSPI for watchdog onfigurationJava Terminal
Cinterion® Java Terminals Hardware Interface Description8.2 Restart Conditions69EHSxT_BGS5T_HID_v02 2014-08-05Confidential / PreliminaryPage 55 of 708.1.1 Reset stagesThere are up to three possible escalation stages during a module reset: • First stage (regular fast shutdown): The watchdog shuts down the module via an internalfast shutdown signal. The fast shutdown procedure will then still finish any data activities onthe Java module's flash file system, thus ensuring data integrity, but will no longer deregis-ter gracefully from the network, thus saving the time required for network deregistration.Afterwards, i.e. after an internal V180 signal has gone low, the module is regularly re-started.• Second stage (emergency restart): The watchdog resets the module via an internalEMERG_RST signal. The emergency restart procedure causes the loss of all informationstored in the Java module‘s volatile memory.• Third stage (power off): The watchdog switches the module off.After the first and second stage the watchdog waits for up to three seconds for the internal V180 signal to go LOW. If the V180 signal does not change, the watchdog escalates to the next stage, until it finally ends up switching off the module. The watchdog can be configured to au-tomatically switch on resp. power up the module after a shutdown (always-on mode).8.1.2 Reset DelayThe watchdog implements a protection mechanism to prevent too frequent module resets. When the delayed reset mechanism is enabled, the watchdog will start its activity only after the specified amount of time, MIN_START_TIME. A reasonable value for this timeout is 30 min-utes. After the watchdog startup, after a module reset and also after enabling the watchdog, no reset of the module is performed before the timeout of MIN_START_TIME.When the watchdog is enabled, resets can be prevented once for a certain amount of time. This timeout, TRG_DEL, can be configured via the I2C interface. It can be particularly useful when a software update shall be performed. Using the TRG_DEL timeout will prevent the watchdog from resetting the module during the running TRG_DEL timeout, so that the update can be per-formed safely. An upcoming reset event will be shifted and catch up after the TRG_DEL time-out.8.2 Restart ConditionsWhen the watchdog is enabled, it will observe the modules on/off state. When it is configured to keep the module "always on", it will restart the module after the specified amount of time after it has discovered that the module has turned off. This important feature is useful in rough envi-ronments with often power losses and out-of-temperature conditions where it secures a safe module operation. The timeout condition for the restart feature is called ALWAYS_ON.
Cinterion® Java Terminals Hardware Interface Description8.3 Configuration via ASC0 Interface69EHSxT_BGS5T_HID_v02 2014-08-05Confidential / PreliminaryPage 56 of 708.3 Configuration via ASC0 InterfaceThe complete hardware watchdog functionality can be configured via the serial interface ASC0 as described in this section. The watchdog listens on the module's TXD0 line exclusively at the low baudrate 1200bps, and gives no feedback. This means that if using the watchdog this low baud rate is reserved and should not be configured for the module‘s asynchronous serial interface ASC0. The TXD0 line can be accessed either via RS-232 interface or via RS-485 interface (in conjunction with an RS232-to-RS485 adapter). So, to control and configure the watchdog, a terminal program MUST be set to 1200bps, before a command (see Section 8.3.1) can be sent to the watchdog. Once completed, the terminal program should be changed to higher baud rates again to enable proper communication with the module.Please note that some configuration commands can also be configured via I2C interface (see Section 8.4 for details).8.3.1 Command SpecificationThe general watchdog command syntax is as follows:WD=<command>,<argument>,<checksum><NL>Where• <command> specifies the command name• <argument> gives the numeric argument• <checksum> is the sum of the digits of the argument. (e.g. the argument 124 produces achecksum 7, because 1+2+4=7).Whenever a non-volatile command is executed, it is saved in the watchdog's flash memory. At watchdog start, the last state is loaded from flash memory.If a config command was successfully executed by the watchdog, the green ON led flashes two times. The watchdog commands are implemented as text commands. In case a command error occours - e.g., a checksum failure - the green ON led flashes 4 times.
Cinterion® Java Terminals Hardware Interface Description8.3 Configuration via ASC0 Interface69EHSxT_BGS5T_HID_v02 2014-08-05Confidential / PreliminaryPage 57 of 70The following watchdog configuration commands are available:• Watchdog on/off - see Section 8.3.1.1• Test mode - see Section 8.3.1.2• Repetitive module reset - see Section 8.3.1.3• UART reset - see Section 8.3.1.4• GPIO reset - see Section 8.3.1.5• Restart delay - see Section 8.3.1.6• Always on - see Section 8.3.1.7• Load default values - see Section 8.3.1.8• Change the Watchdogs I2C Address - see Section 8.3.1.9• Set GPIO Direction - see Section 8.3.1.10• Configure ADC1_IN/DSR0/SPI_CLK Line - see Section 8.3.1.11Note: Changing the watchdog configuration using any of the following commands disables the watchdog: Repetitive module reset, UART reset, GPIO reset, Restart delay and Always on. With these commands the new configuration setting becomes effective only after the hardware watchdog is enabled again.8.3.1.1 Watchdog On/OffThis command is used to enable or disable the watchdog function. When disabled, all timers are stopped and the watchdog doesn't perform a module reset. When enabled, all configured timers start after a delay time of MIN_START_TIME. If MIN_START_TIME=0, all reset timers start immediately. Also, when the watchdog is enabled and ALWAYS_ON>0, the watchdog ob-serves the modules on/off state, and starts the module in case it detects that the module is off.Command ON Parameter <on|off>Type BooleanRange 0: Off (watchdog disabled)1: On (watchdog enabled)Default 0: OffNon-volatile YesExample WD=ON,0,0 // disables the watchdogWD=ON,1,1 // enables the watchdog
Cinterion® Java Terminals Hardware Interface Description8.3 Configuration via ASC0 Interface69EHSxT_BGS5T_HID_v02 2014-08-05Confidential / PreliminaryPage 58 of 708.3.1.2 Test ModeThis commands configures the watchdog‘s test mode. In test mode the watchdog operates nor-mally, but does not actually perform a module reset. Instead, it signals the (simulated) reset via the LED by flashing the green ON LED two times to visualize the watchdog trigger. Entering the test mode disables the actual watchdog functionality.8.3.1.3 Repetitive Module ResetThis command configures a repetitive module resets, if the watchdog is enabled. The param-eter sets the RST_REP timeout value. If the watchdog is enabled, an unconditional module re-set every RST_REP milliseconds is performed.Changing this configuration disables the watchdog. The feature becomes active, if the watch-dog is enabled again, and after the MIN_START_TIME has passed.For normal operation, this value should be set to a value greater than 30 minutes.Command TEST_MODE Parameter <on|off>Type BooleanRange 0: Off (Exit test mode)1: On (Enter test mode)Default 0: OffNon-volatile YesExample WD=TEST_MODE,0,0 // Exit test modeWD=TEST_MODE,1,1 // Enter test modeCommand RST_REP Parameter <timeout>Type MillisecondsRange 0 .. 232-1Default 0: Feature is disabledNon-volatile YesExample WD=RST_REP,1800000,9 // Reset every 30 minutes
Cinterion® Java Terminals Hardware Interface Description8.3 Configuration via ASC0 Interface69EHSxT_BGS5T_HID_v02 2014-08-05Confidential / PreliminaryPage 59 of 708.3.1.4 UART ResetThis command configures a module reset, if no UART activity from the module was observed for the specified amount of time - RST_UART. The module has to be active on the RXD0 signal within the specified time period; otherwise the watchdog will reset the module.Changing this configuration disables the watchdog. The feature becomes active, if the watch-dog is enabled again, and after the MIN_START_TIME has passed.For normal operation, this value should be set to a value greater than 10 minutes (600000).8.3.1.5 GPIO ResetThis command configures a module reset, if no activity from the module was observed on the internal signal WD_RETRIG for the specified amount of time. The module has to be active on the WD_RETRIG signal by toggling the GPIO22 module output within the specified time period. Otherwise the watchdog will reset the module. If enabled, each GPIO22 toggling resets the tim-er to its configured value.Changing this configuration disables the watchdog. The feature becomes active, if the watch-dog is enabled again, and after the MIN_START_TIME has passed. For normal operation, this value should be set to a value greater than 10 minutes (600000).Command RST_UART Parameter <timeout>Type MillisecondsRange 0 .. 232-1Default 0: Feature is disabledNon-volatile YesExample WD=RST_UART,600000,6 // Resets the module if there was no activity on theRXD0 line for 10 minutesCommand RST_GPIO Parameter <timeout>Type MillisecondsRange 0 .. 232-1Default 0: Feature is disabledNon-volatile YesExample WD=RST_UART,600000,6 // Resets the module if there was no activity on theinternal WD_RETRIG line for 10 minutes
Cinterion® Java Terminals Hardware Interface Description8.3 Configuration via ASC0 Interface69EHSxT_BGS5T_HID_v02 2014-08-05Confidential / PreliminaryPage 60 of 708.3.1.6 Restart DelayThis command configures the MIN_START_TIME timeout value. By setting the MIN_START_TIME, the watchdog no longer performs a module reset for the given amount of time, after module startup. Whenever the module has been reset and restarted, as well as after the watchdog has been enabled, the watchdog will wait for MIN_START_TIME before perform-ing any (further) resets. The watchdog‘s reset timer only starts after the MIN_START_TIME has expired.Changing this configuration disables the watchdog. The feature becomes active, if the watch-dog is enabled again.It is strongly recommended to set this value to a time period of more than 30 minutes for normal operation. During development it may be set to values of less than 30 minutes, but should al-ways be greater than the time the module needs for a complete start up including Java. Also, a module firmware or userware update right after startup should be taken into account which may take up to 15 min.Command MIN_START_TIME Parameter <timeout>Type MillisecondsRange 0 .. 232-1Default 18000000ms (30 minutes)Non-volatile YesExample WD=MIN_START_TIME,18000000,9 // Prevents module resets for 30 minutes aftereach module startup, and after the watchdogbecomes active
Cinterion® Java Terminals Hardware Interface Description8.3 Configuration via ASC0 Interface69EHSxT_BGS5T_HID_v02 2014-08-05Confidential / PreliminaryPage 61 of 708.3.1.7 Always OnThis command configures the on/off-state observation of the module by specifying a timeout value for ALWAYS_ON. If enabled, the watchdog observes the module‘s internal V180 signal. If the watchdog detects that the module is OFF, it will restart the module after the timeout of ALWAYS_ON milliseconds.Changing this configuration disables the watchdog. The feature becomes active, If the watch-dog is enabled. It is strongly recommended to set this value to a time period of more than 1 minute for normal operation to avoid oscillation in e.g. out-of-temperature events. In case of over/under temper-ature shut down it can be expected that the temperature does not change significantly within a minute. During development the timeout may be set to a period of less than 1 minute.8.3.1.8 Load Default ValuesThis command loads the default configuration values. This disables the watchdog. If the watch-dog is enabled, the reset timeout values, the MIN_START_TIME timeout and the ALWAYS_ON timeout become active. Other configuration values become active immediately. The loaded default values are also persistent, i.e. written to the flash memory.Command ALWAYS_ON Parameter <timeout>Type MillisecondsRange 0 .. 232-1Default 0: Feature is disabledNon-volatile YesExample WD= ALWAYS_ON,60000,6 // Observes the module and restarts it 60 secondsafter it has been turned offCommand DFT_VAL Parameter <1>Type FixedRange 1Default ---Non-volatile NoExample WD= DFT_VAL,1,1 // Loads the default values
Cinterion® Java Terminals Hardware Interface Description8.3 Configuration via ASC0 Interface69EHSxT_BGS5T_HID_v02 2014-08-05Confidential / PreliminaryPage 62 of 708.3.1.9 Change the Watchdog‘s I2C AddressThe watchdog‘s I2C slave address can be changed to any 7-bit address. This may become nec-essary to avoid address conflicts on the I2C bus, if used in an environment, where the default I2C address "0x6A" is already in use by other slave devices connected to the Java Terminal.Changing the I2C address takes effect immediately and has no impact on the watchdog‘s en-abled/disabled state. Command I2C_ADDR Parameter <address>Type NumberRange 1-127Default 106 (0x6A)Non-volatile YesExample WD= I2C_ADDR,87,15 // Changes the I2C address to 87d (0x57)
Cinterion® Java Terminals Hardware Interface Description8.3 Configuration via ASC0 Interface69EHSxT_BGS5T_HID_v02 2014-08-05Confidential / PreliminaryPage 63 of 708.3.1.10 Set GPIO DirectionThis command configures the input/output direction of level-shifters to the module‘s externally available GPIO pins. The argument is a 10-bit number, representing the 10 adjustable direc-tions of the GPIO level-shifters. A set bit (value 1) sets the respective level-shifter to the output direction. A cleared bit changes the respective level-shifter to input direction. The following ta-ble describes the connection between the 10-bit argument number, the modules GPIO pins, and the Java Terminals Weidmueller connectors 8-pin and 12-pin:Changing the directions of the level-shifters must be executed with great care. They may only be set in accordance with the modules GPIO‘s input/output configuration. Special care must be taken that no outputs are cross-connected during the switching phase. Configuring a Java terminal output, the level shifter output must be set first, followed by the module output configuration.Configuring a Java terminal input, the module input must be set first, followed by the level shift-er input.Please note that the GPIO direction can also be configured via I2C interface. It is recommended to use the I2C interface to configure the GPIO direction.Note: Not every GPIO is supported by every Java Terminal variant - see Section 3.7.Command GPIO_DIR Parameter <pin-config>Type NumberRange 0-1023Default 993 (0x3E1, 1111100001b)Non-volatile YesExample WD= GPIO_DIR,682,16 // Sets the GPIOs alternating to output and input (binary value: 1010101010b)10-Bit number GPIO 8-pin connector 12-pin connector Default0 GPIO6 1 - Output1GPIO72- Input2GPIO83- Input3 GPIO11 4 - Input4 GPIO12 5 - Input5 GPIO13 6 - Output6 GPIO14 7 - Output7 GPIO15 8 - Output8 GPIO21 - 12 Output9 GPIO20 - 11 Output
Cinterion® Java Terminals Hardware Interface Description8.3 Configuration via ASC0 Interface69EHSxT_BGS5T_HID_v02 2014-08-05Confidential / PreliminaryPage 64 of 708.3.1.11 Configure ADC1_IN/DSR0/SPI_CLK LineThis command configures the the ADC/DSR0/SPI_CLK signal on the Weidmueller connector to be either an analog input line (ADC) or a digital output line (DSR0/SPI_CLK). If configured as analog input, the signal is connected to the Java module‘s ADC1_IN line. If configured as digital output, the signal is connected to the Java module‘s DSR0/SPI_CLK line that can be configured to be either DSR0 or SPI_CLK (SPI_CLK not available for BGS5T USB).Note: If configuring the ADC1_IN/DSR0/SPI_CLK line please take great care to be in accor-dance with the Java module‘s current configuration of the ADC1_IN and DSR0/SPI_CLK sig-nals.Command ADC_DSR0 Parameter <input/output>Type BooleanRange 0: Analog input (ADC1_IN)1: Digital output (DSR0/SPI_CLK)Default 0: Analog input (ADC1_IN)Non-volatile YesExample WD= ADC_DSR0,0,0 // Configures the line to be analog inputWD= ADC_DSR0,1,1 // Configures the line to be digital output
Cinterion® Java Terminals Hardware Interface Description8.4 Configuration via I2C Interface69EHSxT_BGS5T_HID_v02 2014-08-05Confidential / PreliminaryPage 65 of 708.4 Configuration via I2C InterfaceWhile the complete watchdog functionality may be configured via ASC0 interface (for details see Section 8.3) some of the configuration commands can also be configured during runtime via I2C interface as described in this section.The I2C interface is accessible either via the external Weidmueller connector - I2CDAT and I2CCLK, or via the Java module‘s AT command interface (e.g., ASC0), or through a Java MID-let during runtime.The I2C interface implements the write and the read protocol as described in Section 8.4.1. The 7-bit device address is 0x6A (binary: 1101010). The default address can be changed by con-figuration command (see Section 8.3.1.9).8.4.1 Command Specification8.4.1.1 WRITE Command SyntaxExample setting the GPIO12 signal direction to “output” (see also section Examples):Legend:S: Start Condition, W: Write bit (=0), A: Acknowledge, P: Stop Condition.8.4.1.2 READ Command SyntaxExample reading the last status = OK (see also section Examples):Legend: S: Start Condition, R: Read bit (=1), A: Acknowledge, N: Not Acknowledge, P: Stop Condition.S Slave address (including write bit “W“) A Register address A Data byte APS0xD4 (including write bit “0“) A 0x14 A 0x01 APS Slave address (including read bit “R“) A Register address A Data length (only one byte) NPS 0xD5(including read bit “1“) A 0x00 A 0x01(only one byte) NP
Cinterion® Java Terminals Hardware Interface Description8.4 Configuration via I2C Interface69EHSxT_BGS5T_HID_v02 2014-08-05Confidential / PreliminaryPage 66 of 708.4.1.3 I2C Protocol OverviewIn write mode (i.e., slave address “0xD4“), one address byte and one data byte is sent to the Java Terminal/Watchdog. The address byte specifies a register to write the data byte to. The data byte value is only written, if it is valid, i.e., in the specified range. After a write attempt, the status code of the operation is saved and the read address register (RAR) is automatically set to the status register address (SR). A subsequent read command from the status register (SR) will then return the latest status code (see Table 26). Only when the address byte is the RAR, i.e. another register is selected to be read, the RAR is not automatically set to the SR register. See Section 8.4.1.4 for sample watchdog configurations via I2C.In read mode, one data byte can be read from the Java Terminal/Watchdog. Attempts to read more bytes will result in undefined values being returned by the device. The device will always return the value that is addressed by the RAR. To read a specific register, a write command with RAR as the address byte and the register to be read as the data byte has to be issued first. The next read will then return the value at this address. Note that there are only a few registers that can be read (see register table - Table 25). When the RAR is written with a non-read ad-dress, the RAR is set to the SR, and the status code ILLEGAL_ARGUMENT is saved. Note also that a consecutive read is not valid, as the return value will be ILLEGAL_ARGUMENT, but the caller cannot determine whether the result is the value at the faulty address or an error sta-tus code. See Section 8.4.1.4 for sample watchdog configurations via I2C.8.4.1.4 I2C CommandsThe following table lists the address register for configuration commands via I2C interface.Table 25:  Address register for I2C commandsRegister address Read/Write Description Name Non-volatile Default Value range0x00 RStatus; only address register to read directly from. SR -OK See result codes Table 260x10 WGPIO6 GPIOxR Yes 10: Input1: Output0x11 WGPIO7 Yes 10x12 WGPIO8 Yes 10x13 WGPIO11 Yes 10x14 WGPIO12 Yes 00x15 WGPIO13 Yes 00x16 WGPIO14 Yes 00x17 WGPIO15 Yes 00x18 WGPIO21 Yes 00x19 WGPIO20 Yes 10x30 RGPIO direction Low Byte:Read out 8 bits for the GPIOs [15,14,13,12,11,8,7,6]GPIOLBR -[0..0xFF]0x31 RGPIO direction High Byte:Read out 2 bits for the GPIOs20 and 21 in the representation:[0,0,0,0,0,0,<20>,<21>]GPIOHBR -[0..0xFF]
Cinterion® Java Terminals Hardware Interface Description8.4 Configuration via I2C Interface69EHSxT_BGS5T_HID_v02 2014-08-05Confidential / PreliminaryPage 67 of 70Possible result codes for status command (see Section 8.4.1.3 and above Table 25):0x50 R/W ADC1_IN/DSR0 ADCDSRR Yes 0x00 0: Analog In1: Digital Out0x80 WTrigger delay. Specifies delay time for a reset. If a trigger delay time is specified, the watchdog is prevented from resetting the module for the given time.TDR No 0x00 Set time in min-utes.1...255: Minutes0: Disable0xFD RHardware watchdog‘s firmware version VER -- [0x00..0x99][MAJ MIN]4:MSB: MAJ4:LSB: MINMAJ: Main release number (e.g., 1.x)MIN: Sub release number (e.g., x.0)as in version v1.00xFF WRead address register (RAR) RAR No 0x00 0x00..0xFFOnly valid addresses contain valid valuesTable 26:  I2C status result codesResult Code CommentOK 0x00 Last command was executed successfullyPROTOCOL_ERROR 0x01 Protocol error, i.e. wrong number of bytesILLEGAL_ADDRESS 0x02 Illegal register addressILLEGAL_ARGUMENT 0x03 Illegal argument. Argument is out of allowed range.UNDEFINED 0xFFTable 25:  Address register for I2C commandsRegister address Read/Write Description Name Non-volatile Default Value range
Cinterion® Java Terminals Hardware Interface Description8.4 Configuration via I2C Interface69EHSxT_BGS5T_HID_v02 2014-08-05Confidential / PreliminaryPage 68 of 70ExamplesThe following two samples show how the watchdog can be configured via the I2C interface, us-ing the AT^SSPI command (at RS-232/ASC0) to transfer the I2C user data. Please refer to [1] for more information on the AT command AT^SSPI and on how to configure and control the data transfer over the I2C interface. The above Table 25 specifies the address register that can be used in I2C configuration com-mands.The first example sets GPIO12 to “output“. It therefore configures a write register marked as “W“ in Table 25. Figure 18:  Write data to address registerAT^SSPI=CONNECT<aD41401>{a+}<bD50001>{b+00}#OKOpen the Java Terminals I2C data connection. Indicates that the connection is open.WRITE command enclosed by <>: “a“ is a command ID to better identify and match acknowledgments, “D4“ indicates the slave address (write mode), “14“ specifies the address register GPIO12, and “01“ sets the data byte (i.e., line is “output“). Note: The data byte value is only written if valid, i.e., if in the specified range. After a WRITE command, the status code of the operation is saved to the status register (SR) and a subsequent READ command from the status register will then return the latest status code as listed in Table 26.Acknowledgement enclosed in curly brackets of a successful data transmission.READ command enclosed by <>: “b“ is a command ID to better identify and match acknowledgements, “D5“ indicates the slave address (read mode), “00“ specifies the address register SR, and “01“ sets the data length to be read. Note: The READ command can only be called in conjunction with the SR address “00“ and the data length of one byte “01“.Acknowledgement enclosed in curly brackets of a successful data transmission, together with the response code “00“ indicating that the command was successful-ly executed.Close data connection.Connection closed.PC WatchdogWrite: Set GPIO12 to “output“ GPIO12:01SR:00Read from status register (SR)Command executed successfully
Cinterion® Java Terminals Hardware Interface Description8.4 Configuration via I2C Interface69EHSxT_BGS5T_HID_v02 2014-08-05Confidential / PreliminaryPage 69 of 70The second example listed below reads out the firmware version, it therefore uses a read reg-ister marked as “R“ in Table 25. However, except for the status address register (SR) no information can be directly retrived from an address register itself, but only indirectly by means of a so-called read-address-register (RAR). An initial WRITE command has to link the register to be read to the RAR first. Now the RAR is linked to the register to be read, and the content of this register can be read from the SR.Figure 19:  Read data from address registerAT^SSPI=CONNECT<aD4FFFD>{a+}<bD50001>{b+10}#OKOpen the Java Terminals I2C data connection. Indicates that the connection is open.WRITE command enclosed by <>: “a“ is a command ID to better identify and match acknowledgments, “D4“ indicates the slave address (write mode), “FF“ specifies the read address register RAR, and “FD“ sets the data byte to the watchdogs firm-ware version register VER (i.e., RAR and VER are linked by this command). Note: The data byte value is only written if valid, i.e., if in the specified range. After a WRITE command, the status code of the operation, in this case, i.e., where the register address is the RAR, the content of the register given as data byte is saved to the status register (SR) and a subsequent READ command from the status reg-ister will then return the register value, i.e., the firmware version.Acknowledgement enclosed in curly brackets of a successful data transmission.READ command enclosed by <>: “b“ is a command ID to better identify and match acknowledgements, “D5“ indicates the slave address (read mode), “00“ specifies the address register SR, and “01“ sets the data length to be read. Note: The READ command can only be called in conjunction with the SR address “00“ and the data length of one byte “01“.Acknowledgement enclosed in curly brackets of a successful data transmission, together with the response code “10“ indicating that the command was successful-ly executed. The resposne code gives the watchdog‘s firmware version as v1.0.Close data connection.Connection closed.PC WatchdogWrite: Set RAR to VER RAR:VERSR:01Read from status register (SR)Copy firmware version to SRVER:01
70 M2M.GEMALTO.COMAbout GemaltoGemalto (Euronext NL0000400653 GTO) is the world leader in digital security with 2011 annualrevenues of €2 billion and more than 10,000 employees operating out of 74 offices and 14 Research & Development centers, located in 43 countries.We are at the heart of the rapidly evolving digital society. Billions of people worldwide increasinglywant the freedom to communicate, travel, shop, bank, entertain and work - anytime, everywhere - in ways that are enjoyable and safe. Gemalto delivers on their expanding needs for personalmobile services, payment security, authenticated cloud access, identity and privacy protection,eHealthcare and eGovernment efficiency, convenient ticketing and dependable machine-to-machine (M2M) applications.Gemalto develops secure embedded software and secure products which we design and personalize. Our platforms and services manage these secure products, the confidential data they contain and the trusted end-user services they enable. Our inovations enable our clients to offertrusted and convenient digital services to billions of individuals.Gemalto thrives with the growing number of people using its solutions to interact with the digitaland wireless world.For more information please visitm2m.gemalto.com, www.facebook.com/gemalto, or Follow@gemaltom2m on twitter.Gemalto M2M GmbHSt.-Martin-Str. 6081541 MunichGermany© Gemalto 2014. All rights reserved. Gemalto, the Gemalto logo, are trademarks and service marks of Gemalto and are registered in certain countries. April 2013

Navigation menu