Telrad Networks COMPACT23X BreezeCompact 3000 Base Station User Manual BreezeCOMPACT System Manual
Telrad Networks Ltd BreezeCompact 3000 Base Station BreezeCOMPACT System Manual
User Manual

BreezeCOMPACT
SYSTEM
MANUAL
rRelease Version: 5.0
August 2014
DN115004
We’re on your wavelength.

BreezeCOMPACT System Manual
. . . . . . . . . . . . . . . . . . . . . . . . . . . . . . . . . . . . . . . . . . . . . . . . . . . . . . . .

Legal Rights
. . . . . . . . . . . . . . . . . . . . . . . . . . . . . . . . . . . . . . . . . . . . . . . . . . . . . . . .
BreezeCOMPACT System ManualBreezeCOMPACT System Manual 3
Legal Rights
© Copyright 2015. Telrad Networks Ltd. All rights reserved.
The material contained herein is proprietary, privileged, and confidential and owned by Telrad Networks or its third-party
licensors. No disclosure thereof shall be made to third parties without the express written permission of Telrad Networks
Ltd.
Telrad Networks Ltd. reserves the right to alter the equipment specifications and descriptions in this publication without
prior notice. No part of this publication shall be deemed to be part of any contract or warranty unless specifically
incorporated by reference into such contract or warranty.
Trade Names
4Motion® and/or other products and Telrad Networks/or services referenced herein are either registered trademarks,
trademarks or service marks of Telrad Networks Ltd.
All other names are or may be the trademarks of their respective owners.
Statement of Conditions
The information contained in this manual is subject to change without notice. Telrad Networks Ltd. shall not be liable for
errors contained herein or for incidental or consequential damages in connection with the furnishing, performance or use of
this manual or equipment supplied with it.
Warranties and Disclaimers
All Telrad Networks Ltd. (“Telrad Networks“) products purchased from Telrad Networks or through any of Telrad
Networks's authorized resellers are subject to the following warranty and product liability terms and conditions.
Exclusive Warranty
(a) Telrad Networks warrants that the Product hardware it supplies and the tangible media on which any software is
installed, under normal use and conditions, will be free from significant defects in materials and workmanship for a period
of fourteen (14) months from the date of shipment of a given Product to Purchaser (the "Warranty Period"). Telrad
Networks will, at its sole option and as Purchaser's sole remedy, repair or replace any defective Product in accordance with
Telrad Networks' standard R&R procedure.
(b) With respect to the Firmware, Telrad Networks warrants the correct functionality according to the attached
documentation, for a period of fourteen (14) months from invoice date (the "Warranty Period"). During the Warranty
Period, Telrad Networks may release to its Customers firmware updates, which include additional performance
improvements and/or bug fixes, upon availability (the "Warranty"). Bug fixes, temporary patches and/or workarounds may
be supplied as Firmware updates.
Additional hardware, if required, to install or use Firmware updates must be purchased by the Customer. Telrad will be
obligated to support solely the two (2) most recent Software major releases.
TELRAD NETWORKS SHALL NOT BE LIABLE UNDER THIS WARRANTY IF ITS TESTING AND
EXAMINATION DISCLOSE THAT THE ALLEGED DEFECT IN THE PRODUCT DOES NOT EXIST OR WAS
CAUSED BY PURCHASER'S OR ANY THIRD PERSON'S MISUSE, NEGLIGENCE, IMPROPER INSTALLATION
OR IMPROPER TESTING, UNAUTHORIZED ATTEMPTS TO REPAIR, OR ANY OTHER CAUSE BEYOND THE
RANGE OF THE INTENDED USE, OR BY ACCIDENT, FIRE, LIGHTNING OR OTHER HAZARD.

Legal Rights
. . . . . . . . . . . . . . . . . . . . . . . . . . . . . . . . . . . . . . . . . . . . . . . . . . . . . . . .
BreezeCOMPACT System ManualBreezeCOMPACT System Manual 4
Disclaimer
(a) The Software is sold on an "AS IS" basis. Telrad Networks, its affiliates or its licensors MAKE NO WARRANTIES,
WHATSOEVER, WHETHER EXPRESS OR IMPLIED, WITH RESPECT TO THE SOFTWARE AND THE
ACCOMPANYING DOCUMENTATION. TELRAD NETWORKS SPECIFICALLY DISCLAIMS ALL IMPLIED
WARRANTIES OF MERCHANTABILITY AND FITNESS FOR A PARTICULAR PURPOSE AND
NON-INFRINGEMENT WITH RESPECT TO THE SOFTWARE. UNITS OF PRODUCT (INCLUDING ALL THE
SOFTWARE) DELIVERED TO PURCHASER HEREUNDER ARE NOT FAULT-TOLERANT AND ARE NOT
DESIGNED, MANUFACTURED OR INTENDED FOR USE OR RESALE IN APPLICATIONS WHERE THE
FAILURE, MALFUNCTION OR INACCURACY OF PRODUCTS CARRIES A RISK OF DEATH OR BODILY
INJURY OR SEVERE PHYSICAL OR ENVIRONMENTAL DAMAGE ("HIGH-RISK ACTIVITIES"). HIGH-RISK
ACTIVITIES MAY INCLUDE, BUT ARE NOT LIMITED TO, USE AS PART OF ON-LINE CONTROL SYSTEMS IN
HAZARDOUS ENVIRONMENTS REQUIRING FAIL-SAFE PERFORMANCE, SUCH AS IN THE OPERATION OF
NUCLEAR FACILITIES, AIRCRAFT NAVIGATION OR COMMUNICATION SYSTEMS, AIR TRAFFIC CONTROL,
LIFE SUPPORT MACHINES, WEAPONS SYSTEMS OR OTHER APPLICATIONS REPRESENTING A SIMILAR
DEGREE OF POTENTIAL HAZARD. TELRAD NETWORKS SPECIFICALLY DISCLAIMS ANY EXPRESS OR
IMPLIED WARRANTY OF FITNESS FOR HIGH-RISK ACTIVITIES.
(b) PURCHASER'S SOLE REMEDY FOR BREACH OF THE EXPRESS WARRANTIES ABOVE SHALL BE
REPLACEMENT OR REFUND OF THE PURCHASE PRICE AS SPECIFIED ABOVE, AT TELRAD NETWORKS'S
OPTION. TO THE FULLEST EXTENT ALLOWED BY LAW, THE WARRANTIES AND REMEDIES SET FORTH IN
THIS AGREEMENT ARE EXCLUSIVE AND IN LIEU OF ALL OTHER WARRANTIES OR CONDITIONS,
EXPRESS OR IMPLIED, EITHER IN FACT OR BY OPERATION OF LAW, STATUTORY OR OTHERWISE,
INCLUDING BUT NOT LIMITED TO WARRANTIES, TERMS OR CONDITIONS OF MERCHANTABILITY,
FITNESS FOR A PARTICULAR PURPOSE, SATISFACTORY QUALITY, CORRESPONDENCE WITH
DESCRIPTION, NON-INFRINGEMENT, AND ACCURACY OF INFORMATION GENERATED, ALL OF WHICH
ARE EXPRESSLY DISCLAIMED. TELRAD NETWORKS' WARRANTIES HEREIN RUN ONLY TO PURCHASER,
AND ARE NOT EXTENDED TO ANY THIRD PARTIES. TELRAD NETWORKS NEITHER ASSUMES NOR
AUTHORIZES ANY OTHER PERSON TO ASSUME FOR IT ANY OTHER LIABILITY IN CONNECTION WITH
THE SALE, INSTALLATION, MAINTENANCE OR USE OF ITS PRODUCTS.
Limitation of Liability
(a) TELRAD NETWORKS SHALL NOT BE LIABLE TO THE PURCHASER OR TO ANY THIRD PARTY, FOR ANY
LOSS OF PROFITS, LOSS OF USE, INTERRUPTION OF BUSINESS OR FOR ANY INDIRECT, SPECIAL,
INCIDENTAL, PUNITIVE OR CONSEQUENTIAL DAMAGES OF ANY KIND, WHETHER ARISING UNDER
BREACH OF CONTRACT, TORT (INCLUDING NEGLIGENCE), STRICT LIABILITY OR OTHERWISE AND
WHETHER BASED ON THIS AGREEMENT OR OTHERWISE, EVEN IF ADVISED OF THE POSSIBILITY OF
SUCH DAMAGES.
(b) TO THE EXTENT PERMITTED BY APPLICABLE LAW, IN NO EVENT SHALL THE LIABILITY FOR
DAMAGES HEREUNDER OF TELRAD NETWORKS OR ITS EMPLOYEES OR AGENTS EXCEED THE
PURCHASE PRICE PAID FOR THE PRODUCT BY PURCHASER, NOR SHALL THE AGGREGATE LIABILITY
FOR DAMAGES TO ALL PARTIES REGARDING ANY PRODUCT EXCEED THE PURCHASE PRICE PAID FOR
THAT PRODUCT BY THAT PARTY (EXCEPT IN THE CASE OF A BREACH OF A PARTY'S CONFIDENTIALITY
OBLIGATIONS).
Radio Frequency Interference Statement
The Base Transceiver Station (BTS) equipment has been tested and found to comply with the limits for a class A digital
device, pursuant to ETSI EN 301 489-1 rules and Part 15 of the FCC Rules. These limits are designed to provide reasonable
protection against harmful interference when the equipment is operated in commercial, business and industrial
environments. This equipment generates, uses and can radiate radio frequency energy and, if not installed and used in
accordance with the instruction manual, may cause harmful interference to radio communications. Operation of this
equipment in a residential area is likely to cause harmful interference in which case the user will be required to correct the
interference at the user's own expense.
FCC and Industry Canada Radiation Hazard Warning

Legal Rights
. . . . . . . . . . . . . . . . . . . . . . . . . . . . . . . . . . . . . . . . . . . . . . . . . . . . . . . .
BreezeCOMPACT System ManualBreezeCOMPACT System Manual 5
To comply with Industry Canada exposure requirements, and FCC RF exposure requirements in Section 1.1307 and 2.1091
of the FCC Rules, the antenna used for this transmitter must be fixed-mounted on outdoor permanent structures with a
separation distance of at least 390 cm from all persons.
Pour se conformer aux exigences d’exposition d'Industrie Canada, et aux exigences FCC dans les sections 1,1307 et 2,1091
de la réglementation FCC, l'antenne utilisée pour cet émetteur doit être montée d’une manière fixe sur des structures
permanentes de plein air avec une distance de séparation d'au moins 390 cm de toutes personnes.
Industry Canada Statement
Users can obtain Canadian information on RF exposure and compliance from the Canadian Representative:
Nick Dewar
Nick.Dewar@Telrad.com
Canadian Radio Standards Specifications (RSS) Compliance Statement
This device has been designed to operate with the antennas listed in “Antennas” on page 28, and having a maximum gain of
18 dBi. Antennas not included in this list or having a gain greater than 18 dBi are strictly prohibited for High-density areas
of use with this device. Low-density areas can use a higher-gain Antenna.
To reduce potential radio interference to other users, the antenna type and its gain should be so chosen that the Equivalent
Isotropically Radiated Power (EIRP) is not more than that permitted for successful communication.
R&TTE Compliance Statement
This equipment complies with the appropriate essential requirements of Article 3 of the R&TTE Directive 1999/5/EC.
Safety Considerations – General
For the following safety considerations, “Instrument” means the BreezeCOMPACT units' components and their cables.
Grounding
The BTS chassis is required to be bonded to protective grounding using the bonding stud or screw provided with each unit.
Safety Considerations – DC-powered Equipment
CAUTION ATTENTION
Risk of electric shock and energy hazard. Risque de décharge électrique et d'electrocution.
Restricted Access Area: The DC-powered equipment
should only be installed in a Restricted Access Area.
Zone d’Accès Limité: L’alimentation en courant continue
doit être installée dans une zone a accès limité
Installation Codes: The equipment must be installed
according to the latest edition of the country’s national
electrical codes. For North America, equipment must be
installed in accordance with the US National Electrical
Code and the Canadian Electrical Code.
Normes d’installation: les équipements doivent être
installes d’après les dernières normes en vigueur. Pour
l’Amérique du nord les équipements doivent être installés
d’après les normes électriques nationales US et les normes
électriques Canadiennes.
Overcurrent Protection: A readily accessible Listed
branch circuit overcurrent protective device, rated 10A,
must be incorporated in the building wiring.
Protection de surintensité: Une protection de surintensité
de 10A doit être installée sur le circuit d’alimentation.

Legal Rights
. . . . . . . . . . . . . . . . . . . . . . . . . . . . . . . . . . . . . . . . . . . . . . . . . . . . . . . .
BreezeCOMPACT System ManualBreezeCOMPACT System Manual 6
Caution
To avoid electrical shock, do not perform any servicing unless you are qualified to do so.
Pour éviter tout choque électrique ne pas intervenir sur les circuits électriques si vous n’êtes pas qualifié pour
Line Voltage
Before connecting this instrument to the power line, make sure that the voltage of the power source matches the
requirements of the instrument.
Laser
Laser Safety Statutory Warning
All personnel involved in equipment installation, operation and maintenance must be aware that laser radiation is invisible.
Therefore, although protective devices generally prevent direct exposure to the beam, personnel must strictly observe the
applicable safety precautions, and in particular, must avoid staring into optical connectors, either directly or using optical
instruments.
Remember that observing safety precautions is not a matter of personal choice; ignoring safety puts all people within the
line-of-sight in danger.
Précautions de sécurité réglementaire pour laser
CAUTION: This equipment is designed to permit
connection between the earthed conductor of the DC supply
circuit and the grounding conductor at the equipment. See
installation instructions.
ATTENTION: Cet équipement est prévu pour permettre
une mise a la terre entre le courant continu et le reste de
l’installation. Voir les instructions d’installation.
The equipment must be connected directly to the DC
Supply System grounding electrode conductor.
All equipment in the immediate vicinity must be
grounded in the same way, and not be grounded
elsewhere.
The DC supply system is to be local, meaning within
the same premises as the equipment.
There shall be no disconnect device between the
grounded circuit conductor of the DC source (return)
and the point of connection of the grounding electrode
conductor.
L’appareil doit être connecté a la terre de
l’allimentation en courant continu.
Tout appareil dans la proximité immédiate doit être
connecté a la terre de la même manière et pas
autrement.
L’alimentation du système en courant continu doit être
local et remplir les mêmes conditions que le matériel.
Le circuit de terre doit être ininterrompu entre la source
et les différents appareils
CLASS 1 LASER PRODUCT
The system can be equipped with Class 1 laser
products, which comply with IEC 60825-1, IEC
60825-2 and a UL recognized laser or CDRH CFR
Title 21, part 1040.
The system does not emit hazardous light, and the
beam is totally enclosed during normal operation,
as long as the equipment is operated in accordance
with the applicable safety instructions.
APPAREIL A` LASER DE CLASSE 1
Classe du Laser
Le système peut être équipe d’un laser de classe 1 selon la norme
IEC 60825-1, IEC 60825-2 et reconnu comme UL laser ou CDRH
CFR titre 21, partie 1040.
Le système n’émet pas de lumière apparente et le rayon est
entièrement protégé pendant l’utilisation normal du système par
l’utilisateur tant que les appareils sont utilisés en suivant les
instructions de sécurité.

Legal Rights
. . . . . . . . . . . . . . . . . . . . . . . . . . . . . . . . . . . . . . . . . . . . . . . . . . . . . . . .
BreezeCOMPACT System ManualBreezeCOMPACT System Manual 7
Tout personnel impliqué dans l’installation, le fonctionnement et la maintenance de l’installation doivent savoir que les
radiations laser sont invisibles. Donc, bien que généralement les protections évitent tout contact direct avec les rayons émis,
le personnel doit observer strictement les précautions de sécurité et en particulier, les connecteurs optiques, aussi bien
directement ou avec des instruments d’optique.
Souvenez vous que remplir les précautions de sécurité n’est en aucun cas un choix personnel; ignorer les règles de sécurité
mets toutes les personnes en présence en danger.
Radio
The instrument transmits radio energy during normal operation. To avoid possible harmful exposure to this energy, do not
stand or work for extended periods of time in front of its antenna. The long-term characteristics or the possible
physiological effects of radio frequency electromagnetic fields have not yet been fully investigated.
Outdoor Units and Antennas Installation and Grounding
Ensure that outdoor units, antennas and supporting structures are properly installed to eliminate any physical hazard to
either people or property. Make sure that the installation of the outdoor unit, antenna and cables is performed in accordance
with all relevant national and local building and safety codes. Even where grounding is not mandatory according to
applicable regulation and national codes, it is highly recommended to ensure that the outdoor unit and the antenna mast are
grounded and suitable lightning protection devices are used so as to provide protection against voltage surges and static
charges. In any event, Telrad Networks is not liable for any injury, damage or regulation violations associated with or
caused by installation, grounding or lightning protection.
Transmitter Antenna
Under Industry Canada regulations, this radio transmitter may only operate using an antenna of a
type and maximum (or lesser) gain approved for the transmitter by Industry Canada. To reduce
potential radio interference to other users, the antenna type and its gain should be so chosen that
the equivalent isotropically radiated power (EIRP) is not more than that necessary for successful
communication.
Conformément à la réglementation d'Industrie Canada, le présent émetteur radio peut
fonctionner avec une antenne d'un type et d'un gain maximal (ou inférieur) approuvé pour
l'émetteur par Industrie Canada. Dans le but de réduire les risques de brouillage radioélectrique
à l'intention des autres utilisateurs, il faut choisir le type d'antenne et son gain de sorte que la
puissance isotrope rayonnée équivalente (p.i.r.e.) ne dépasse pas l'intensité nécessaire à
l'établissement d'une communication satisfaisante.
This radio transmitter IC:899A-COMPACT3X has been approved by Industry Canada to operate with the antenna types
listed in Section 1.4.7 below with the maximum permissible gain and required antenna impedance for each antenna type
indicated. Antenna types not included in this list, having a gain greater than the maximum gain indicated for that type, are
strictly prohibited for use with this device.
Le présent émetteur radio IC:899A-COMPACT3X a été approuvé par Industrie Canada pour fonctionner avec les types
d'antenne énumérés dans la Section 1.4.7 ci-dessous et ayant un gain admissible maximal et l'impédance requise pour
chaque type d'antenne. Les types d'antenne non inclus dans cette liste,
ou dont le gain est supérieur au gain maximal indiqué, sont strictement interdits pour
l'exploitation de l'émetteur.

Legal Rights
. . . . . . . . . . . . . . . . . . . . . . . . . . . . . . . . . . . . . . . . . . . . . . . . . . . . . . . .
BreezeCOMPACT System ManualBreezeCOMPACT System Manual 8
Disposal of Electronic and Electrical Waste
Disposal of Electronic and Electrical Waste
Pursuant to the WEEE EU Directive, electronic and electrical waste must not be disposed of with unsorted waste. Please
contact your local recycling authority for disposal of this product.

Important Notice
. . . . . . . . . . . . . . . . . . . . . . . . . . . . . . . . . . . . . . . . . . . . . . . . . . . . . . . .
BreezeCOMPACT System ManualBreezeCOMPACT System Manual 9
Important Notice
This manual is delivered subject to the following conditions and restrictions:
This manual contains proprietary information belonging to Telrad Networks Ltd. Such information is supplied solely for
the purpose of assisting properly authorized users of the respective Telrad Networks products.
No part of its contents may be used for any other purpose, disclosed to any person or firm or reproduced by any means,
electronic and mechanical, without the express prior written permission of Telrad Networks Ltd.
The text and graphics are for the purpose of illustration and reference only. The specifications on which they are based
are subject to change without notice.
The software described in this document is furnished under a license. The software may be used or copied only in
accordance with the terms of that license.
Information in this document is subject to change without notice. Corporate and individual names and data used in
examples herein are fictitious unless otherwise noted.
Telrad Networks reserves the right to alter the equipment specifications and descriptions in this publication without
prior notice. No part of this publication shall be deemed to be part of any contract or warranty unless specifically
incorporated by reference into such contract or warranty.
The information contained herein is merely descriptive in nature, and does not constitute an offer for the sale of the
product described herein.
Any changes or modifications of equipment, including opening of the equipment not expressly approved by Telrad
Networks Ltd.,will void equipment warranty and any repair thereafter shall be charged for. It may also void the user's
authority to operate the equipment.
Some of the equipment provided by Telrad Networks and specified in this manual is manufactured and warranted by third
parties. All such equipment must be installed and handled in full compliance with the instructions provided by such
manufacturers as attached to this manual or provided thereafter by Telrad Networks or the manufacturers. Non-compliance
with such instructions may result in serious damage and/or bodily harm and/or void the user's authority to operate the
equipment and/or revoke the warranty provided by such manufacturer.

10
About This Manual
. . . . . . . . . . . . . . . . . . . . . . . . . . . . . . . . . . . . . . . . . . . . . . . . . . . . . . . .
10
BreezeCOMPACT System Manual 10
About This Manual
This manual describes the BreezeCOMPACT solution, and details how to install, operate and manage the BTS equipment.
This manual is intended for technicians responsible for installing, setting and operating the BreezeCOMPACT BTS
equipment, and for system administrators responsible for managing the system.
This manual contains the following chapters:
Chapter 1: System Description, page 16, describes the BreezeCOMPACT system.
Chapter 2: Commissioning, page 34, describes how to configure basic parameters and validate units' operation.
Chapter 3: Operation and Administration, page 44, describes how to use the Monitor program for configuring
parameters, checking system status and monitoring performance.

Contents
BreezeCOMPACT System Manual 11
Contents
Chapter 1: System Description..................................................................................................................16
1.1 The BreezeCOMPACT Solution................................................................................................................17
1.1.1 The BreezeCOMPACT Family.....................................................................................................17
1.1.2 BreezeCOMPACT Models ...........................................................................................................18
1.1.3 BreezeCOMPACT Product Topologies........................................................................................18
1.1.4 Antennas........................................................................................................................................20
1.1.5 GPS ...............................................................................................................................................21
1.2 Telrad Overall Solution..............................................................................................................................22
1.2.1 TelCore..........................................................................................................................................22
1.2.2 Telrad StarSuite NMS Solution ....................................................................................................24
1.3 Specifications.............................................................................................................................................25
1.3.1 Modem and Radio.........................................................................................................................25
1.3.2 Data Communication (Ethernet Interfaces) ..................................................................................26
1.3.3 Configuration and Management....................................................................................................26
1.3.4 Standards Compliance, General....................................................................................................26
1.3.5 Environmental...............................................................................................................................27
1.3.6 Mechanical and Electrical.............................................................................................................27
1.3.7 Antennas........................................................................................................................................28
1.3.8 BMAX-4M-GPS Receiver Specifications ....................................................................................33
Chapter 2: Commissioning.........................................................................................................................34
2.1 Introduction................................................................................................................................................35
2.2 BreezeCOMPACT Installation ..................................................................................................................35
2.3 System Initial Verification.........................................................................................................................36
2.4 Configuring Parameters Required for Management Connectivity.............................................................37
2.4.1 Configuring the BTS Number.......................................................................................................37
2.4.2 Configuring the Management and IP Interfaces Connectivity Mode Parameter
.......................................................................................................................................................37
2.4.3 Configuring the L1 and L2 Parameters (If Necessary).................................................................38
2.4.4 Configuring the SNMP Authorized Manager and Traps Manager...............................................38

Contents
BreezeCOMPACT System Manual 12
2.4.5 Applying the Configuration ..........................................................................................................39
2.5 Activating the Unit.....................................................................................................................................40
2.5.1 Creating the BS .............................................................................................................................40
2.5.2 Configuring Radio Cluster Parameters .........................................................................................42
2.5.3 Configuring Antenna Associations ...............................................................................................42
2.5.4 Applying the Configuration ..........................................................................................................43
Chapter 3: Operation and Administration ..............................................................................................44
3.1 BTS System Management..........................................................................................................................45
3.2 Monitor Program........................................................................................................................................46
3.2.1 Accessing the Monitor Program ...................................................................................................46
3.2.2 Using the Monitor Program ..........................................................................................................47
3.3 IP Address Configuration...........................................................................................................................49
3.3.1 IP Address Configuration Restrictions .........................................................................................49
3.3.2 IP Subnets .....................................................................................................................................49
3.4 Main Menu.................................................................................................................................................50
3.5 BTS Menu..................................................................................................................................................51
3.5.1 General..........................................................................................................................................51
3.5.2 Connectivity..................................................................................................................................52
3.5.3 Unit Control ..................................................................................................................................59
3.5.4 Management..................................................................................................................................63
3.6 Sector Menu ...............................................................................................................................................67
3.6.1 Sector Definition...........................................................................................................................67
3.6.2 Radio Cluster.................................................................................................................................68
3.7 BS Menu.....................................................................................................................................................69
3.7.1 Add................................................................................................................................................69
3.7.2 Select.............................................................................................................................................71
3.8 Chassis Menu .............................................................................................................................................91
3.8.1 General..........................................................................................................................................91
3.8.2 Ports Control .................................................................................................................................92
3.9 GPS Menu..................................................................................................................................................93
3.9.1 General Configuration...................................................................................................................93
3.9.2 Inventory & Statuses.....................................................................................................................96

Contents
BreezeCOMPACT System Manual 13
3.10 RH Menu....................................................................................................................................................98
3.10.1 General..........................................................................................................................................98
3.10.2 Ports ..............................................................................................................................................98
3.11 Spectrum Analyzer.....................................................................................................................................99
3.11.1 Enable/Disable ..............................................................................................................................99
3.11.2 Configuration ..............................................................................................................................100
3.11.3 Show Current State .....................................................................................................................100
3.11.4 Start Scanning .............................................................................................................................100
3.11.5 Abort Scanning ...........................................................................................................................100
3.11.6 Show Results...............................................................................................................................101
3.12 Dual Carrier Load Balancing ...................................................................................................................102

Figures
BreezeCOMPACT System Manual 14
Figures
Figure 1: BreezeCOMPACT Product Topologies 18
Figure 2: Single Sector, Single Carrier 19
Figure 3: Single Sector, Dual Carrier 19
Figure 4: Two Sectors, Two Carriers 20
Figure 5: GPS 21
Figure 6: Telrad Solution 22
Figure 7: Mini-centralized ASN-GW 23
Figure 8: AAA Solution 23
Figure 9: StarSuite NMS Solution 24
Figure 10: GPS Chaining Mode Connectivity 94
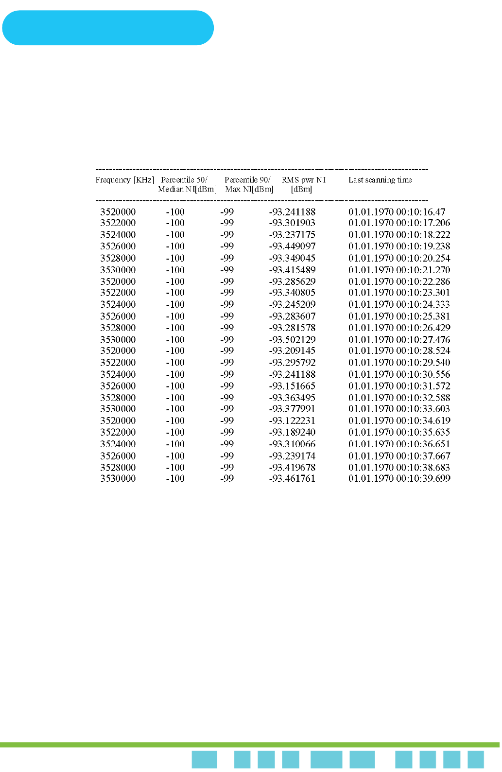
Figure 11: Spectrum Analyzer Results 101

Tables
BreezeCOMPACT System Manual 15
Tables
Table 1: BreezeCOMPACT Part Numbers, Frequencies and Tx Power 18
Table 2: General Modem and Radio Specifications 25
Table 3: Data Communication (Ethernet Interfaces) 26
Table 4: Configuration and Management 26
Table 5: Standards Compliance, General 26
Table 6: Environmental Specifications 27
Table 7: Mechanical and Electrical Specifications, BreezeCOMPACT1000 Units 27
Table 8: Mechanical and Electrical Specifications, BreezeCOMPACT2000 Units 28
Table 9: Mechanical and Electrical Specifications, BreezeCOMPACT3000 Units 28
Table 10: Attached Antenna 3.3-3.8 DDS 65º (P.N. 300726) Specifications 28
Table 11: ANT, BS, 3.3-3.8 GHz, DS, Sec.65°, 16.5dBi Minimum (P.N. 300644) Specifications 30
Table 12: ANT, BS, 3.3–3.8 GHz, DS, Sec.90°, 15.5dBi Minimum (P.N. 300645) Specifications 30
Table 13: ANT-DDP-65°-3.3-3.8 GHz (P.N. 300736) Specifications 32
Table 14: ANT-DDP-90°-3.3-3.8 GHz (P.N. 300719) Specifications 32
Table 15: BMAX-4M-GPS Receiver, Mechanical and Electrical Specifications 33
Table 16: BreezeCOMPACT LEDs 36
Table 17: First Zone Minimum Size Recommended Value Range 76
Table 18: Calculating the Upper Limit Value (Y) for Minimum and Maximum Size 77
Table 19: DL:UL Ratios 79
Table 20: Functionality of Allowed Ducting Mitigation Modes, 5/10 MHz BS Bandwidth 82
Table 21: Functionality of Allowed Ducting Mitigation Modes, 7 MHz BS Bandwidth 83

Chapter 1 - System DescriptionThe BreezeCOMPACT Solution
Chapter 1: System Description The BreezeCOMPACT Solution
. . . . . . . . . . . . . . . . . . . . . . . . . . . . . . . . . . . . . . . . . . . . . . . . . . . . . . . .
BreezeCOMPACT System ManualBreezeCOMPACT System Manual 17
1.1 The BreezeCOMPACT Solution
1.1.1 The BreezeCOMPACT Family
Telrad’s BreezeCOMPACT family of products includes the BreezeCOMPACT base stations, (models
1000, 2000 and 3000.) For more information, please visit the BreezeCOMPACT section of the Telrad
website.
1.1.1.1 BreezeCOMPACT 1000 – Small Cell, High Performance
• Band 42, 43; 3.3–3.5 GHz, 3.4–3.7 GHz, 3.6–3.8 GHz; 30dBm per port
• WiMAX/TD-LTE-Advanced SW-upgradable
• For Line-of-Sight and Near Line-of-Sight coverage areas
• Double capacity with dual-sector/carrier
• 4RX x 4TX and modem in a single, all-outdoor form factor
• Ultimate alternative to small cells in dense urban areas
• Highest capacity using Indoor and Outdoor CPEs and 4x4 fourth-order diversity
1.1.1.2 BreezeCOMPACT 2000 – Coverage and Capacity
• Band 42; 3.5 GHz; 37 dBm per port
• WiMAX/TD-LTE-Advanced SW-upgradable
• Ideal for urban environments with a mix of CPEs
• High power for areas with Non-Line-of-Sight
• All-in-one, outdoor Radio 4RX x 2TX and Modem
• High coverage and capacity for Indoor CPE
1.1.1.3 BreezeCOMPACT 3000 –
Unmatched Performance
• Band 40*, 41; 2.3, 2.5 GHz; 4 x 40dBm per port
• WiMAX/TD-LTE-Advanced SW-upgradable
• For Fixed, High-mobility and Dense environments
• Double capacity with dual-sector/carrier
• High power for areas with Non-Line-of-Sight
• All-in-one, outdoor Radio 4RX x 4TX and Modem
• Highest coverage and capacity using Indoor and Outdoor CPEs
• 4x4 4th order diversity
*Road map item

Chapter 1 - System DescriptionThe BreezeCOMPACT Solution
Chapter 1: System Description The BreezeCOMPACT Solution
. . . . . . . . . . . . . . . . . . . . . . . . . . . . . . . . . . . . . . . . . . . . . . . . . . . . . . . .
BreezeCOMPACT System ManualBreezeCOMPACT System Manual 18
1.1.2 BreezeCOMPACT Models
Table 1: BreezeCOMPACT Part Numbers, Frequencies and Tx Power
1.1.3 BreezeCOMPACT Product Topologies
BreezeCOMPACT R5.0 and above supports three deployment topologies:
Single Sector, Single Carrier
Single Sector, Single Carrier
Two Sectors, Two Carriers (One Carrier per Sector)
Figure 1: BreezeCOMPACT Product Topologies
Platform P/N Telrad Part Number (PN) LTE Band Frequencies Tx Power
per Port
Ports
Rx/Tx
Compact1000 735270 CMP.XT-BS-3.4-3.7
Band 42
(Full Support)
+
Band 43
(Low Support)
3400–3700 MHz
Band 42: 3400–3600
Band 43: 3600–3700
Band 43 3700–3800 is not
supported.
30 4x4
Compact1000 735272 CMP.XT-BS-3.3-3.5 3300–3500 MHz 30 4x4
Compact1000 735273 CMP.XT-BS-3.6-3.8 Band 43 3600–3800 MHz 30 4x4
Compact1000 750270 CMP1000-5470-5950MHz 5470–5950 MHz 20 4x4
Compact2000 735271 CMP.HP-BS-3.5 Band 42 3400–3600 MHz 37 4x2
Compact3000 725270 CMP3000-B41-2496-2690MHz Band 41 2496–2690 MHz 40 4x4
Compact3000 723270 CMP3000-B40-2300-2400MHz Band 40 2300-2400 MHz 40 4x4
Compact3000 735370 CMP3000-B42-3400-3600MHz Band 42 3400-3600 MHz 40 4x4

Chapter 1 - System DescriptionThe BreezeCOMPACT Solution
Chapter 1: System Description The BreezeCOMPACT Solution
. . . . . . . . . . . . . . . . . . . . . . . . . . . . . . . . . . . . . . . . . . . . . . . . . . . . . . . .
BreezeCOMPACT System ManualBreezeCOMPACT System Manual 19
The following sections describe each of these topologies.
1.1.3.1 Single Sector, Single Carrier
This is the basic configuration based on a single BS that supports a single sector 4 Tx/4 Rx with bandwidth of 5, 7, 10 &
20MHz (LTE). This configuration is recommended for achieving the aggregated power of 4 Tx ports as well as improved
diversity in Tx and Rx. This configuration is common for three-sector sites with a frequency reuse of 3.
Figure 2: Single Sector, Single Carrier
1.1.3.2 Single Sector, Dual Carrier
Two BSs support a single sector using two different carriers with a total bandwidth of 20 (10+10), 14 (7+7) or 10 (5+5)
MHz. The BreezeCOMPACT is connected to one 4x4 antenna. Each carrier can be configured for a different frequency.
Upon setting this mode, the load-balancing function balances according to the number of subscribers.
INFORMATIO
N
In the current release, BreezeCOMPACT1000 and 3000 support all three topologies.
Note that BreezeCOMPACT2000 supports only the first topology (Single Sector, Single Carrier).

Chapter 1 - System DescriptionThe BreezeCOMPACT Solution
Chapter 1: System Description The BreezeCOMPACT Solution
. . . . . . . . . . . . . . . . . . . . . . . . . . . . . . . . . . . . . . . . . . . . . . . . . . . . . . . .
BreezeCOMPACT System ManualBreezeCOMPACT System Manual 20
Figure 3: Single Sector, Dual Carrier
1.1.3.3 Two Sectors, Two Carriers (One Carrier per Sector)
Two BSs support two sectors, each with a bandwidth of 5, 7 or 10 MHz. Each sector is connected to a different 2x2 antenna
directed to two sectors.
This configuration is commonly used with frequency reuse 2, where the two antennas connected to the BreezeCOMPACT
are located back to back. This configuration is not applicable for BreezeCOMPACT2000.
Figure 4: Two Sectors, Two Carriers
1.1.4 Antennas
In the system architecture, the antenna is approached as an independent element. This provides the operator with the
flexibility to select the antenna’s source according to its supplier policy. To ensure the availability of antennas that
complement the solution, Telrad works closely with several antenna suppliers to ensure availability of antennas that comply
with its requirements.
In cases where the operator prefers other antenna vendors, Telrad can provide a recommended antenna specification based
on the required antenna types.
Antennas may support mechanical down-tilt (MDT) using a suitable mounting kit, or electrical down-tilt (EDT) that may be
either fixed or adjustable using a special adjustment screw.
In addition to a range of standard commercial antennas, Telrad also offers a special attached antenna designed for convenient
installation on top of the BreezeCOMPACT unit. For the BreezeCOMPACT unit, a special mounting kit allows installation
of a standard antenna on top of the unit to minimize the space required for installation.
For details about the antennas offered by Telrad, refer to “Antennas” on page 28.

Chapter 1 - System DescriptionThe BreezeCOMPACT Solution
Chapter 1: System Description The BreezeCOMPACT Solution
. . . . . . . . . . . . . . . . . . . . . . . . . . . . . . . . . . . . . . . . . . . . . . . . . . . . . . . .
BreezeCOMPACT System ManualBreezeCOMPACT System Manual 21
1.1.5 GPS
GPS is used to synchronize the air link frames of Intra-site and Inter-site located BTSs, in order to ensure that in all Base
Stations, the air frame will start at the same time, and that all Base Stations switch from transmit (downlink) to receive
(uplink) at the same time. This synchronization is necessary to prevent Intra-site and Inter-site interference and Base Station
saturation (assuming that all Base Stations are operating with the same frame size and with the same downlink/uplink ratio).
The all-outdoor GPS Receiver is a pole-mountable GPS receiver and antenna in a single environmentally protected enclosure
that is powered from the unit.
From R5.0 and up, GPS Chaining is supported, where the chaining enables use of a single GPS receiver for several
collocated units. The figure below describes the GPS chaining connectivity.
Figure 5: GPS

Chapter 1 - System DescriptionTelrad Overall Solution
Chapter 1: System Description Telrad Overall Solution
. . . . . . . . . . . . . . . . . . . . . . . . . . . . . . . . . . . . . . . . . . . . . . . . . . . . . . . .
BreezeCOMPACT System ManualBreezeCOMPACT System Manual 22
1.2 Telrad Overall Solution
Figure 6: Telrad Solution
1.2.1 TelCore
The TelCore solution is based on MC-ASN-GW for WiMAX and MC-EPC for LTE. TelCore includes a AAA solution for
WiMAX and LTE.
1.2.1.1 Mini-centralized ASN-GW
The MC-ASN-GW is a separate entity (centralized architecture) that communicates with the BTS over an R6 interface. The
MC-ASN-GW is a highly scalable solution that can be deployed as a standalone solution or as Cluster, including load
balancing and geo-redundancy that has MC-ASN-GW clusters in different locations. The unique architecture accommodates
a pay-as-you-grow solution that enables you to start with a minimal number of MC-ASN-GW units and increase them as
subscriptions grow.

Chapter 1 - System DescriptionTelrad Overall Solution
Chapter 1: System Description Telrad Overall Solution
. . . . . . . . . . . . . . . . . . . . . . . . . . . . . . . . . . . . . . . . . . . . . . . . . . . . . . . .
BreezeCOMPACT System ManualBreezeCOMPACT System Manual 23
Service components (Service Profiles and Service Flows) are configured in the external ASN-GW. MS authentication and
services provisioning are managed by a centralized AAA server, based on user credentials (user name and password).
Figure 7: Mini-centralized ASN-GW
1.2.1.2 AAA Solution
Figure 8: AAA Solution

Chapter 1 - System DescriptionTelrad Overall Solution
Chapter 1: System Description Telrad Overall Solution
. . . . . . . . . . . . . . . . . . . . . . . . . . . . . . . . . . . . . . . . . . . . . . . . . . . . . . . .
BreezeCOMPACT System ManualBreezeCOMPACT System Manual 24
1.2.2 Telrad StarSuite NMS Solution
Telrad provides a full suite of Network Management systems, which includes:
StarManager: A network management system for configuration, alarms and monitoring
StarQuality: A network performance monitoring system for Radio and Network optimization
StarACS: A CPE management solution
Figure 9: StarSuite NMS Solution

Chapter 1 - System DescriptionSpecifications
Chapter 1: System Description Specifications
. . . . . . . . . . . . . . . . . . . . . . . . . . . . . . . . . . . . . . . . . . . . . . . . . . . . . . . .
BreezeCOMPACT System ManualBreezeCOMPACT System Manual 25
1.3 Specifications
1.3.1 Modem and Radio
Table 2: General Modem and Radio Specifications
Item Description
BreezeCOMPACT Family: List of
products supported by frequency
band, maximum Tx power and ports
configuration
BreezeCOMPACT1000: 3,300–3,500 MHz, 30 dBm per port, 4Rx by 4Tx
3,400–3,700 MHz, 30 dBm per port, 4Rx by 4Tx
3,600–3,800 MHz, 30 dBm per port , 4Rx by 4Tx
BreezeCOMAPCT2000:
3,400–3,600 MHz, 37dBm per port, 4Rx by 2Tx (Tx RF
ports 1, 2)
BreezeCOMAPCT3000:
2,496–2,696 MHz, 40 dBm per port, 4Rx by 4 Tx
Central Frequency Resolution 0.125 MHz
Operation Mode TDD
Channel Bandwidth 5 MHz
7 MHz
10 MHz
20 MHz
Tx Power Control Range 10 dB, in 1dB steps
Tx Power Accuracy +/- 1 dB
Maximum Input Power @ Antenna
Port
-45 dBm before saturation; -35 dBm before damage
Noise Figure 5 dB
Modulation OFDM modulation, 1024/512 FFT points; QPSK, QAM16, QAM64
Access Method OFDMA
FEC Convolutional Turbo Coding:
1/2, 3/4 for QPSK and QAM16
1/2, 2/3, 3/4, 5/6 for QAM64

Chapter 1 - System DescriptionSpecifications
Chapter 1: System Description Specifications
. . . . . . . . . . . . . . . . . . . . . . . . . . . . . . . . . . . . . . . . . . . . . . . . . . . . . . . .
BreezeCOMPACT System ManualBreezeCOMPACT System Manual 26
1.3.2 Data Communication (Ethernet Interfaces)
1.3.3 Configuration and Management
1.3.4 Standards Compliance, General
Table 3: Data Communication (Ethernet Interfaces)
Item Description
Standard Compliance IEEE 802.3 CSMA/CD
DAT 1 (optional, if an SFP is installed) 1000 Mbps Base-X optical fiber interface, Half/Full Duplex with Auto
Negotiation
DAT 2 100/1000 Mbps Base-T twisted-pair electrical interface, Half/Full
Duplex with Auto Negotiation
DAT 3 10/100 Mbps Base-T twisted-pair electrical interface, Half/Full Duplex
with Auto Negotiation
Table 4: Configuration and Management
Item Description
Management (Out-of-Band, In-Band) SNMP
Telnet
SNMP Agents SNMP Ver. 2 client
MIB II (RFC 1213), Private MIBs
Software Upgrade Using TFTP
Configuration Upload/Download Using TFTP
Table 5: Standards Compliance, General
Type Standard
EMC ETSI EN 301 489-1/4
FCC Part 15
Safety EN60950-1 (CE)
UL 60950-1 (US/C)
Environmental ETS 300 019:
Part 2-1 T 1.2 and part 2-2 T 2.3 for indoor and outdoor
Part 2-3 T 3.2 for indoor
Part 2-4 T 4.1E for outdoor

Chapter 1 - System DescriptionSpecifications
Chapter 1: System Description Specifications
. . . . . . . . . . . . . . . . . . . . . . . . . . . . . . . . . . . . . . . . . . . . . . . . . . . . . . . .
BreezeCOMPACT System ManualBreezeCOMPACT System Manual 27
1.3.5 Environmental
1.3.6 Mechanical and Electrical
1.3.6.1 BreezeCOMPACT1000
Radio ETSI EN 302 326
FCC Part 90 Subpart Z*
IC RSS-192 issue1*
IC RSS-197 issue 3*
* In the current release, FCC and IC standards are not applicable for
BreezeCOMPACT2000 units.
Table 6: Environmental Specifications
Type Details
Operating Temperature -40°C to 55°C
Operating Humidity 5%–95%, weather protected
Table 7: Mechanical and Electrical Specifications, BreezeCOMPACT1000 Units
Item Description
Dimensions 242.7 x 343 x 166.9 mm
Weight 8.2 Kg
Power Input -40 to -60 VDC
Power Consumption 27dBm units: 105W maximum (at 70% Tx/Rx duty cycle), 125W peak
30dBm units: 118W maximum (at 70% Tx/Rx duty cycle), 142W peak
Tx Ports/Rx Ports Ports 1–4 (Tx), Ports 1-4 (Rx)
Table 5: Standards Compliance, General (Continued)
Type Standard

Chapter 1 - System DescriptionSpecifications
Chapter 1: System Description Specifications
. . . . . . . . . . . . . . . . . . . . . . . . . . . . . . . . . . . . . . . . . . . . . . . . . . . . . . . .
BreezeCOMPACT System ManualBreezeCOMPACT System Manual 28
1.3.6.2 BreezeCOMPACT2000
1.3.6.3 BreezeCOMPACT3000
1.3.7 Antennas
1.3.7.1 Attached, 3.3–3.8 GHz, 4 Ports 65º Double Dual Slant (4x4)
Applicable only for COMPACT installations.
Table 8: Mechanical and Electrical Specifications, BreezeCOMPACT2000 Units
Item Description
Dimensions 280 x 510 x 220 mm
Weight 19.5 Kg
Power Input -40 to -60 VDC
Power Consumption 186W maximum (at 70% Tx/Rx duty cycle), 225W peak
Tx Ports/Rx Ports Ports 1, 2 (Tx), Ports 1–4 (Rx)
Table 9: Mechanical and Electrical Specifications, BreezeCOMPACT3000 Units
Item Description
Dimensions 260 x 400 x 330 mm
Weight 19 Kg
Power Input -40 to -60 VDC
Power Consumption 230W maximum (at 70% Tx/Rx duty cycle), TBDW peak
Tx Ports/Rx Ports Ports 1–4 (Tx), Ports 1–4 (Rx)
Table 10: Attached Antenna 3.3-3.8 DDS 65º (P.N. 300726) Specifications
Item Description
Frequency Band (MHz) 3,300–3,800
Number of Elements 4
Polarization Linear, +/-45°
Gain (dB) 18
Azimuth Beamwidth (degrees) 65
Elevation Beamwidth (degrees) 6.5
Maximum Power (W) 150
Cross-polarization Discrimination (dB) >15
Front-to-Back Ratio (dB) >30

Chapter 1 - System DescriptionSpecifications
Chapter 1: System Description Specifications
. . . . . . . . . . . . . . . . . . . . . . . . . . . . . . . . . . . . . . . . . . . . . . . . . . . . . . . .
BreezeCOMPACT System ManualBreezeCOMPACT System Manual 29
Electrical Downtilt Range (degrees) 0
Isolation Between Ports (dB) >30
Return Loss (dB) >15
RF Interface Impedance (Ohm) 50
RF Connectors 4 x N-type jacks with RF cable tails
Dimensions (mm) 720 x 266 x 52
Weight (Kg) 4
Regulatory Compliance RoHS Compliance
Table 10: Attached Antenna 3.3-3.8 DDS 65º (P.N. 300726) Specifications (Continued)
Item Description

Chapter 1 - System DescriptionSpecifications
Chapter 1: System Description Specifications
. . . . . . . . . . . . . . . . . . . . . . . . . . . . . . . . . . . . . . . . . . . . . . . . . . . . . . . .
BreezeCOMPACT System ManualBreezeCOMPACT System Manual 30
1.3.7.2 3.3-3.8 GHz, 2 Ports 65º Dual Slant (2x2)
1.3.7.3 3.3-3.8 GHz, 2 Ports 90º Dual Slant (2x2)
Table 11: ANT, BS, 3.3-3.8 GHz, DS, Sec.65°, 16.5dBi Minimum (P.N. 300644) Specifications
Item Description
Frequency Band (MHz) 3,300–3,800
Number of Elements 2
Polarization Linear, +/-45°
Gain 16.5dBi +/- 0.5dB
VSWR 1.5:1 (max)
Azimuth Beamwidth (degrees) 65 +/-5
Elevation Beamwidth (degrees) 6 +/-1
Maximum Power (W) 50
Cross-polarization Discrimination (dB) -15
Front-to-Back Ratio (dB) >25
Isolation Between Ports (dB) >25
RF Interface Impedance (Ohm) 50
Lightning Protection DC grounded
RF Connectors 2 x N-type jacks
Mounting Fully adjustable pipe mount (1.63” to 4.5” pipe)
with 0–15° down tilt
Dimensions (mm) 711 x 171 x 90
Weight (Kg) 2.6 (excluding mounting kit)
Regulatory Compliance RoHS Compliance
Table 12: ANT, BS, 3.3–3.8 GHz, DS, Sec.90°, 15.5dBi Minimum (P.N. 300645) Specifications
Item Description
Frequency Band (MHz) 3,300–3,800
Number of Elements 2
Polarization Linear, +/-45°
Gain 15.5 dBi +/- 0.5 dB
VSWR 1.5:1 (maximum)
Azimuth Beamwidth (degrees) 85 +/-5
Elevation Beamwidth (degrees) 6 +/-1
Maximum Power (W) 50

Chapter 1 - System DescriptionSpecifications
Chapter 1: System Description Specifications
. . . . . . . . . . . . . . . . . . . . . . . . . . . . . . . . . . . . . . . . . . . . . . . . . . . . . . . .
BreezeCOMPACT System ManualBreezeCOMPACT System Manual 31
Cross-polarization Discrimination (dB) -17
Front-to-Back Ratio (dB) >25
Isolation between Ports (dB) >25
RF Interface Impedance (Ohm) 50
Lightning Protection DC grounded
RF Connectors 2 x N-type jacks
Mounting Fully adjustable pipe mount (1.63” to 4.5” pipe) with 0–15° down tilt
Dimensions (mm) 711 x 171 x 90
Weight (Kg) 2.6 (excluding mounting kit)
Regulatory Compliance RoHS Compliance
Table 12: ANT, BS, 3.3–3.8 GHz, DS, Sec.90°, 15.5dBi Minimum (P.N. 300645) Specifications (Continued)
Item Description

Chapter 1 - System DescriptionSpecifications
Chapter 1: System Description Specifications
. . . . . . . . . . . . . . . . . . . . . . . . . . . . . . . . . . . . . . . . . . . . . . . . . . . . . . . .
BreezeCOMPACT System ManualBreezeCOMPACT System Manual 32
1.3.7.4 3.3-3.8 GHz, 4 Ports 65º Double Dual Slant (4x4)
1.3.7.5 3.3-3.8 GHz, 4 Ports 90º Double Dual Slant (4x4)
Table 13: ANT-DDP-65°-3.3-3.8 GHz (P.N. 300736) Specifications
Item Description
Frequency Band (MHz) 3,300–3,800
Number of Elements 4
Polarization Linear, 2 x +/-45°
Gain 18 dBi
Azimuth Beamwidth (degrees) 65
Elevation Beamwidth (degrees) 7
Maximum Power (W) 150
Cross-polarization Discrimination (dB) >15
Front-to-Back Ratio (dB) >30
Isolation between Ports (dB) >30
Return Loss (dB) >15
Upper Sidelobe Suppression (dB) >18
RF Interface Impedance (Ohm) 50
Lightning Protection DC grounded
RF Connectors 4 x N-type jack
Electrical Downtilt 0° (fixed)
Mounting Adjustable mounting kit (optional) for 50–115mm pole, with +2° to
-10° tilt range
Dimensions (mm) 720 x 260 x 55
Weight (Kg) 7 (excluding mounting kit)
Table 14: ANT-DDP-90°-3.3-3.8 GHz (P.N. 300719) Specifications
Item Description
Frequency Band (MHz) 3,300–3,800
Number of Elements 4
Polarization Linear, 2 x +/-45°
Gain 17 dBi
Azimuth Beamwidth (degrees) 90
Elevation Beamwidth (degrees) 7
Maximum Power (W) 150

Chapter 1 - System DescriptionSpecifications
Chapter 1: System Description Specifications
. . . . . . . . . . . . . . . . . . . . . . . . . . . . . . . . . . . . . . . . . . . . . . . . . . . . . . . .
BreezeCOMPACT System ManualBreezeCOMPACT System Manual 33
1.3.8 BMAX-4M-GPS Receiver Specifications
Table 15: BMAX-4M-GPS Receiver, Mechanical and Electrical Specifications
Cross-polarization Discrimination (dB) >15
Front-to-Back Ratio (dB) >30
Isolation between Ports (dB) >30
Return Loss (dB) >15
Upper Sidelobe Suppression (dB) >18
RF Interface Impedance (Ohm) 50
Lightning Protection DC grounded
RF Connectors 4 x N-type jack
Electrical Downtilt 4° (fixed)
Mounting Adjustable mounting kit (optional) for 50–115mm pole, with +2° to
-10° tilt range
Dimensions (mm) 720 x 260 x 55
Weight (Kg) 7 (excluding mounting kit)
Item Description
Dimensions 8.8 x 10.4 x 16 cm
Weight 0.38 Kg
Power Source 12 VDC from the BTS
Power Consumption 2W maximum
Connector RJ-45
Table 14: ANT-DDP-90°-3.3-3.8 GHz (P.N. 300719) Specifications (Continued)
Item Description

Chapter 2 - CommissioningIntroduction
Chapter 2: Commissioning Introduction
. . . . . . . . . . . . . . . . . . . . . . . . . . . . . . . . . . . . . . . . . . . . . . . . . . . . . . . .
BreezeCOMPACT System ManualBreezeCOMPACT System Manual 35
2.1 Introduction
After completing the installation process, some basic unit's parameters must be configured locally using the Monitor
program in order to enable discovery by the Element Management System and remote management of the unit.
Refer to “Monitor Program” on page 46 for information about accessing the Monitor program using Telnet and how to use it.
It is recommended to reset the unit to its factory default values before proceeding with following configuration steps:
Enter the Monitor program and select BTS > Unit Control > ShutDown Operation > Update > resettoFactoryDefault.
You will be prompted to confirm the requested action.
2.2 BreezeCOMPACT Installation
For detailed installation instructions, refer to the BreezeCompact Quick Installation Guide.

Chapter 2 - CommissioningSystem Initial Verification
Chapter 2: Commissioning System Initial Verification
. . . . . . . . . . . . . . . . . . . . . . . . . . . . . . . . . . . . . . . . . . . . . . . . . . . . . . . .
BreezeCOMPACT System ManualBreezeCOMPACT System Manual 36
2.3 System Initial Verification
After power-up, the BTS automatically starts a self-testing procedure to verify that:
The BTS has been correctly assembled and installed on site.
All BTS components are functioning properly.
The BTS is ready for commissioning.
During the self-test, the LEDs indicate the working status of the various components.
To perform testing:
1Verify that the BTS is connected to an AC power source.
2Upon completion of the internal test and boot-up (which may take up to 5 minutes), verify that the following LEDs are
lit, as follows:
Upon power-up completion, the BTS is ready for basic network definition.
Table 16: BreezeCOMPACT LEDs
Name Description Functionality
PWR Power indication Off: There is no 4*V to the internal main power supply module.
Red: Power is provided to the unit and the internal main power supply
module is OK.
Green: All the internal digital power supply rails are OK.
ALRM Alarm indication Lights at power-up.
Turns off after power-up is complete.
Lights on runtime in case of critical failure.
GPS GPS status indication Lights at power-up.
Turns off after power-up is complete.
Lights when the GPS is reporting at least four satellites or more reception.
Blinks (0.5 seconds on, 0.5 seconds off) when the number of satellites
decreases from 4 to 3 or 2 satellites or the minimum configured value.
Turns off when only one satellite is received, or the minimum configured
value for GPS is not operational or not installed.
Lights again when the unit is regaining satellites reception of 4 satellites or
more.

Chapter 2 - CommissioningConfiguring Parameters Required for Management Connectivity
Chapter 2: Commissioning Configuring Parameters Required for Management Connectivity
. . . . . . . . . . . . . . . . . . . . . . . . . . . . . . . . . . . . . . . . . . . . . . . . . . . . . . . .
BreezeCOMPACT System ManualBreezeCOMPACT System Manual 37
2.4 Configuring Parameters Required for Management
Connectivity
This section describes the minimum mandatory configuration actions required to allow remote management of the site and to
enable discovery by the Element Management System:
Configuring the BTS Number
Configuring the Management and IP Interfaces Connectivity Mode Parameter
Configuring the L1 and L2 Parameters (If Necessary)
Configuring the SNMP Authorized Manager and Traps Manager
Applying the Configuration
2.4.1 Configuring the BTS Number
In the Main menu of the Monitor program, select BTS > General > Update and configure the BTS number. The BTS
Number must be unique in the Radio Access Network. The default (0) is not a legitimate value.
2.4.2 Configuring the Management and IP Interfaces Connectivity
Mode Parameter
The default Connectivity Mode is inband. If a different Connectivity Mode is required, select
BTS > Connectivity > Management and IP Interfaces. You are prompted to configure the following parameters (for
some parameters, you can press Enter to keep the default value).
Bearer Subnet Mask. The default is 255.255.255.0.
Bearer Next Hop Gateway. Must be within the range defined by the BS Bearer IP Address and Bearer Subnet Mask. The
default is 0.0.0.0. Must be changed to a valid value if the IP addresses of core network equipment are not within the
range defined by the BS Bearer IP Address and Bearer Subnet Mask.
Bearer VLAN ID (default 11).
Default Authenticator IP. The default is 0.0.0.0. Must be changed to a valid value if the IP address of default
authenticator ASN-GW is not within the range defined by the BS Bearer IP Address and Bearer Subnet Mask.
External Management IP Address. Must be unique in the managed network. The default is 192.168.1.1. Note that in
Unified Connectivity Mode, the External Management IP Address should be within the address range defined by the BS
Bearer IP Address and Bearer Subnet Mask.
External Management Subnet Mask. The default is 255.255.255.0. In Unified Connectivity Mode, should be configured
to the value of the Bearer Subnet Mask.

Chapter 2 - CommissioningConfiguring Parameters Required for Management Connectivity
Chapter 2: Commissioning Configuring Parameters Required for Management Connectivity
. . . . . . . . . . . . . . . . . . . . . . . . . . . . . . . . . . . . . . . . . . . . . . . . . . . . . . . .
BreezeCOMPACT System ManualBreezeCOMPACT System Manual 38
External Management Next Hop Gateway. Must be within the range defined by the External Management IP Address
and External Management Subnet Mask. The default is 0.0.0.0 (must be changed to a valid value if the IP address of
external management equipment is not within the range defined by the External Management IP Address and External
Management Subnet Mask). In Unified Connectivity Mode, should be configured to the value of the Bearer Next Hop
Gateway.
External Management VLAN ID. The default is 12. In Unified Connectivity Mode, should be configured to the value of
the Bearer VLAN ID. Otherwise, it must differ from the Bearer VLAN ID.
Local Management IP Address and Local Management Subnet Mask. You may change the Local Management IP
Address (the default is 172.31.0.1) and Local Management Subnet Mask (the default is 255.255.255.0). However, it is
recommended to always maintain the default value to ensure availability of known IP parameters for local connectivity.
2.4.3 Configuring the L1 and L2 Parameters (If Necessary)
The default Port Negotiation Mode of all ports is auto. Typically Auto-negotiation mode should be used. However, if the
physical interface parameters must be set manually for Data Port 2 or Data Port 3, do the following:
Select the applicable port (BTS > Connectivity > L1 & L2 > Select > Port Number > 2/3).
Select the Update option.
Configure the Port Negotiation Mode parameter to manual.
Configure the required Port Speed (10/100/100 for Port Number 2, 10/100 for Port Number 3).
Configure the required Duplex Mode.
Note: If Data Port 1 is up, its Port Negotiation Mode is forced to Full Duplex.
2.4.4 Configuring the SNMP Authorized Manager and Traps Manager
2.4.4.1 Configuring the Authorized Manager
By default, the unit is supplied with one SNMP Traps Manager with the following parameters:
Manager Number: 1
Community Read Only: public
Community Read and Write: private
If different communities are used by the management system, you should add an SNMP Authorized Manager with the
correct communities or update the existing one.
To add an Authorized Manager:
Select BTS > Management > Authorized Managers > Add. You are prompted to configure the Manager Number, the
Community Read Only and the Community Read and Write.
To update the default Authorized Manager:
1Select BTS > Management > Authorized Managers > Select.

Chapter 2 - CommissioningActivating the Unit
Chapter 2: Commissioning Activating the Unit
. . . . . . . . . . . . . . . . . . . . . . . . . . . . . . . . . . . . . . . . . . . . . . . . . . . . . . . .
BreezeCOMPACT System ManualBreezeCOMPACT System Manual 39
2At the Manager Number prompt, enter 1 and select the Update option. You are prompted to configure the Community
Read Only and the Community Read and Write.
2.4.4.2 Configuring the SNMP Traps Manager
By default, the unit is supplied with one SNMP Traps Manager with the following parameters:
IP Address: 192.168.1.60
Port Number: 162 (This is the default port number used by the management system.)
Community: public
Enable Traps Distribution: enable
If different parameters are used by the management system, you should add an SNMP Traps Manager with the correct
parameters. The IP Address of an existing SNMP Traps Manager cannot be updated.
To add an SNMP Traps Manager:
Select BTS > Management > SNMP Traps Managers > Add. You are prompted to configure the IP Address, the Port
Number, the Community and the Enable Traps Distribution parameter.
2.4.5 Applying the Configuration
To apply the changes, reset the unit by selecting BTS > Unit Control > Shutdown operation > Update and then select the
Reset option.
After the unit reboots, it should be discoverable and manageable from remote by the EMS station.
If you do not use pre-prepared offline configuration files, the following section provides details about how to configure
additional parameters required for activating the unit using either the management system (after discovering the unit) or the
Monitor program.
2.5 Activating the Unit
To activate the unit you must:
1Create the BS.
2Define the Antenna(s).
3Configure Radio Cluster parameters.
INFORMATIO
N
Once the unit can be discovered by the management system, the best way to complete the
commissioning process is by using offline configuration files pre-prepared using the Mass
Configuration Wizard. For more details, refer to the Using the Mass Configuration Wizard section in the
Management System Infrastructure Manual and to the Using the Offline Tool Wizard section in the
Device Driver Manual.

Chapter 2 - CommissioningActivating the Unit
Chapter 2: Commissioning Activating the Unit
. . . . . . . . . . . . . . . . . . . . . . . . . . . . . . . . . . . . . . . . . . . . . . . . . . . . . . . .
BreezeCOMPACT System ManualBreezeCOMPACT System Manual 40
4Define Antenna Associations.
After properly completing the steps above, the unit will start operating using default values for all other parameters.
Additional parameters should be configured according to Radio Network Planning (RNP) guidelines and other instructions
provided by the System Administrator.
This section includes the following sub-sections:
Creating the BS
Configuring Radio Cluster Parameters
Configuring Antenna Associations
Applying the Configuration
2.5.1 Creating the BS
2.5.1.1 Using the Monitor Program
Select BS > Add. You are prompted to configure the following mandatory parameters:
BS Number (must be 1)
BS ID LSB (must be unique in the Radio Access Network)
Operator ID
Cell ID
Segment Number
Total Uplink Duration
Basic Map Repetition
DL Data Permutation Base
UL Feedback zone Permutation base
UL Data Permutation Base
Bearer IP Address
Paging Group ID (if other than 0, should be unique in the Radio Access Network)
Refer to “Add” on page 69 for details about these parameters.
2.5.1.2 Using the Management System
1Right-click the BS node in the navigation tree and select Create to open the New BS window. In the current release, only
the BS Number 1 option is available for BS Number. Configure the following parameters:
BS ID LSB: Must be unique in the Radio Access Network.
Operator ID: The default is 255.243.41. The same Operator ID should be used for all BSs in the Radio Access
Network.

Chapter 2 - CommissioningActivating the Unit
Chapter 2: Commissioning Activating the Unit
. . . . . . . . . . . . . . . . . . . . . . . . . . . . . . . . . . . . . . . . . . . . . . . . . . . . . . . .
BreezeCOMPACT System ManualBreezeCOMPACT System Manual 41
The new BS is added to the list of BSs available in the BS node.
2Select the BS and configure the following parameters. For some parameters, you may use the default value/option:
In Radio > Basic > General:
Idle Mode Enable: Mark the checkbox to enable Idle Mode. By default, Idle Mode is disabled (not checked).£
Paging Group ID: Applicable only if Idle Mode is enabled. The default is 0, which must be changed. The
Paging Group ID should be unique in the Radio Access Network.
Click Apply.
In Radio > Basic > Air Frame Structure General:
Cell ID: The default is 0.
Segment Number: The default is 0.
Total Uplink Duration: The default is 3.
Click Apply.
In Radio > Basic > Air Frame Structure Zones:
First Zone-Basic Map: The default is 6.
Downlink Data Zone-Permutation Base: The default is 0.
Uplink Feedback Zone-Permutation Base: The default is 0.
Uplink Data Zone-Permutation Base: The default is 0.
Click Apply.
In Radio > R6/R8 Bearer Interface > Bearer & Authentication:
Bearer Interface-IP Address.
Click Apply.
2.5.2 Configuring Radio Cluster Parameters
Using the Monitor Program
Select Sector > Radio Cluster Update and configure the following mandatory parameters:
Bandwidth
Center Frequency
TX Power
Using the Management System
1Select Sector 1.
2In the Radio Cluster section, configure the Bandwidth, Center Frequency and TX Power parameters of Radio Cluster 1.
3Click Apply.

Chapter 2 - CommissioningActivating the Unit
Chapter 2: Commissioning Activating the Unit
. . . . . . . . . . . . . . . . . . . . . . . . . . . . . . . . . . . . . . . . . . . . . . . . . . . . . . . .
BreezeCOMPACT System ManualBreezeCOMPACT System Manual 42
2.5.3 Configuring Antenna Associations
Using the Monitor Program
1Select Sector > Antenna Association > Add. You are prompted to configure the following parameters:
RF Port Number: Enter 1.
Antenna Number: Enter the relevant Antenna Number as configured in the Antenna menu.
Antenna Port Number: Enter the relevant Antenna Port Number.
2Repeat the Antenna Association configuration for RF Port Numbers 2 to 4.
Using the Management System
1In the Association section of the Sector 1 screen, click Add Association and enter the relevant Antenna Number and
Antenna Port Number for RF Port 1.
2Repeat the process for RF Port Numbers 2 to 4.
3Click Apply.
2.5.4 Applying the Configuration
To apply the changes, reset the unit as follows:
In the Monitor program, select BTS > Unit Control > ShutDown Operation > Update and then select the Reset
option for the Shutdown Operation parameter.
In the management system, select the Equipment > Chassis screen. In the Shut Down Operation section, select the
Reset option for the Shut Down Type parameter and click Apply.

Chapter 3: Operation and
Administration
In This Chapter:
“BTS System Management” on page 45
“Monitor Program” on page 46
“IP Address Configuration” on page 49
“Main Menu” on page 50
“BTS Menu” on page 51
“Sector Menu” on page 66
“BS Menu” on page 68
“Chassis Menu” on page 88
“GPS Menu” on page 90
“RH Menu” on page 95
“Spectrum Analyzer” on page 96
“Dual Carrier Load Balancing” on page 99

Chapter 3 - Operation and AdministrationBTS System Management
Chapter 3: Operation and Administration BTS System Management
. . . . . . . . . . . . . . . . . . . . . . . . . . . . . . . . . . . . . . . . . . . . . . . . . . . . . . . .
BreezeCOMPACT System ManualBreezeCOMPACT System Manual 45
3.1 BTS System Management
The BTS can be managed using any of the following options:
SNMP-based management using StarManager (or another network management system customized to support
management of the system).
Using Telnet to access the embedded Monitor application.
This chapter describes how to manage the system using the Monitor application. For information on managing the system
using StarManager, refer to the applicable documentation.
INFORMATIO
N
Even if supported by network routing, remote management from a station behind a management system
(via the wireless link) should be avoided.
INFORMATIO
N
Generally, it is recommended to use the Monitor program only for initial configuration to enable remote
management, and to perform additional configuration and maintenance using StarManager.

Chapter 3 - Operation and AdministrationMonitor Program
Chapter 3: Operation and Administration Monitor Program
. . . . . . . . . . . . . . . . . . . . . . . . . . . . . . . . . . . . . . . . . . . . . . . . . . . . . . . .
BreezeCOMPACT System ManualBreezeCOMPACT System Manual 46
3.2 Monitor Program
3.2.1 Accessing the Monitor Program
To access the Monitor program using Telnet:
1Via the Local Management interface:
Direct local management using the Monitor program can be performed via the Local Management interface. The
default local management IP address is 172.31.0.1, and the default Subnet Mask for this address is 255.255.255.0.
The PC used for accessing the Monitor program should be set to IP address 172.31.0.4 or any other address in the
range 172.31.0.4–172.31.0.254.
Connect the PC to the Ethernet port used for Local Management. In the current release, the Local Management
interface is always on the DAT3 port.
Run the Telnet program connecting to IP address 172.31.0.1.
The Enter the password message is displayed. Enter the password and press the Enter key to get to the Main menu.
The default password is installer.
2Via the External Management interface:
Management using either SNMP or the Monitor program can also be performed via the External Management
interface. For details about the connectivity parameters of this interface, refer to “IP Interfaces” on page 53.
See “L1 & L2” on page 56 for details about the Ethernet port used for the External Management interface.
Connection of the applicable Ethernet port to the remote management device should typically be performed via a
network device configured to support the External Management interface VLAN ID (the default is 12).
If the PC is connected to the Ethernet port of the unit via a switching device, the IP address of the PC should be set
to an address in the subnet of the External Management interface. The default is IP address 192.168.1.1 and Subnet
Mask 255.255.255.0.
If access is via a routing device, configure the Next Hop Gateway parameter of the External Management interface
(the default is 0.0.0.0, meaning none) to a valid value (in the subnet of the External Management interface). Set the
IP address of the routing device’s port connected to the unit to the address of the Next Hop Gateway. Set the IP
address of the PC according to the IP configuration of the relevant routing device’s port.
To manage the BreezeCOMPACT from an external network, configure the SNMP trap manager to enable
auto-routing to the remote PC.
Run the Telnet program connecting to the IP address of the External Management interface.
The Enter the password message is displayed. Enter the password and press the Enter key to get to the Main menu.
The default password is installer.

Chapter 3 - Operation and AdministrationMonitor Program
Chapter 3: Operation and Administration Monitor Program
. . . . . . . . . . . . . . . . . . . . . . . . . . . . . . . . . . . . . . . . . . . . . . . . . . . . . . . .
BreezeCOMPACT System ManualBreezeCOMPACT System Manual 47
3.2.2 Using the Monitor Program
This section describes the Monitor program structure and navigation rules:
The header of each menu or submenu specifies the unit type, the management IP address, the running software version
and the name of the menu/submenu, including the path from the Main menu.
Each menu or submenu displays a list of numbered options. To access an option, enter the number of the required option
at the > prompt.
At any point in the program, you can use the Esc key to return to the previous menu (one level up) without applying any
change.
Common action options in menus associated with a single entity object (or a group of parameters associated with a
single entity object) are:
Show option, which enables you to view the current configuration of the applicable parameters. For some objects,
some additional status information is displayed.
Update option, which enables you to update the configuration of one or more parameters:
Single parameter configuration: Displays a list of numbered parameters. To configure a parameter, enter the
number of the required parameter at the > prompt. The availability and/or value range of certain parameters
may change according to the value selected for a previous parameter belonging to the same or another group.
The current value is displayed for each parameter. To keep the current value, press Enter. To change it, enter a
new value and press Enter.
Transaction mode configuration: You are prompted to configure all parameters one by one. The current value
is displayed for each parameter. To keep the current value, press Enter. To change it, enter a new value and
press Enter. The new configuration takes effect only after completing the entire configuration process for the
relevant entity/group of parameters.
Common action options in menus associated with multiple entities objects are:
Show All option, which enables you to view the main details of all existing entities.
Add option, which enables you to add a new entity. You are prompted to configure all mandatory parameters one
by one. The new configuration takes effect only after completing the entire configuration process for the relevant
entity.
Select option, which enables you to select a specific entity (typically by its number). Common action options for a
selected entity (or for a logic parameters group of a selected entity) are:
Show option, which enables you to view the current configuration of the applicable parameters. For some
objects, some additional status information is displayed.
Update option, which enables you to update one or more parameters of the entity/group of parameters. You
are prompted to configure all parameters one by one (transaction mode configuration). The current value is
displayed for each parameter. To keep the current value, press Enter. To change it, enter a new value and press
Enter. The new configuration takes effect only after completing the entire configuration process for the
relevant entity/group of parameters.
Delete option, which enables you to delete the specific entity from the database.
Press the Tab key for context-sensitive help text, where applicable.

Chapter 3 - Operation and AdministrationMonitor Program
Chapter 3: Operation and Administration Monitor Program
. . . . . . . . . . . . . . . . . . . . . . . . . . . . . . . . . . . . . . . . . . . . . . . . . . . . . . . .
BreezeCOMPACT System ManualBreezeCOMPACT System Manual 48
If an erroneous value was entered, the reason of the error or help text is displayed and the parameter entry text is
displayed again.
If the Monitor program is not used for the period of time defined by the Monitor Inactivity Time-out (see “Monitor
Inactivity Timeout” on page 59), the session is terminated automatically.
Select the Exit option in the Main menu to exit the program and terminate the session.

Chapter 3 - Operation and AdministrationIP Address Configuration
Chapter 3: Operation and Administration IP Address Configuration
. . . . . . . . . . . . . . . . . . . . . . . . . . . . . . . . . . . . . . . . . . . . . . . . . . . . . . . .
BreezeCOMPACT System ManualBreezeCOMPACT System Manual 49
3.3 IP Address Configuration
3.3.1 IP Address Configuration Restrictions
The following IP addresses should not be used and will be rejected:
0.0.0.0
224.0.0.0 – 255.255.255.255 (Multicasts, RFC 3171 D, RFC 1700 E)
3.3.2 IP Subnets
In a binary representation (32 bits), a Subnet Mask string must comprise a series of contiguous binary 1s starting from the
MSB, followed by a series of contiguous binary 0s.
Subnet Masks 0.0.0.0 (all zeros, meaning nothing) and 255.255.255.255 (all ones, meaning this address only) are illegal and
will be rejected.

Chapter 3 - Operation and AdministrationMain Menu
Chapter 3: Operation and Administration Main Menu
. . . . . . . . . . . . . . . . . . . . . . . . . . . . . . . . . . . . . . . . . . . . . . . . . . . . . . . .
BreezeCOMPACT System ManualBreezeCOMPACT System Manual 50
3.4 Main Menu
The Main menu of the Monitor program includes the following options:
1 – BTS (see “BTS Menu” on page 51)
2 – Sector (see “Sector Menu” on page 66)
3 – BS (see “BS Menu” on page 68)
4 – Chassis (see “Chassis Menu” on page 88)
5 – GPS (see “GPS Menu” on page 90)
6 – RH (see “RH Menu” on page 95)
7 – Spectrum Analyzer and Load-balancing in Dual Carrier (see “Spectrum Analyzer” on page 96)
X – Exit (exits the Monitor program and terminates the Telnet session)

Chapter 3 - Operation and AdministrationBTS Menu
Chapter 3: Operation and Administration BTS Menu
. . . . . . . . . . . . . . . . . . . . . . . . . . . . . . . . . . . . . . . . . . . . . . . . . . . . . . . .
BreezeCOMPACT System ManualBreezeCOMPACT System Manual 51
3.5 BTS Menu
The BTS menu includes the following options:
General
Connectivity
Unit Control
Management
3.5.1 General
The BTS General submenu enables you to view the current values and update the general BTS parameters. The BTS
General parameters are:
BTS Number
BTS Name
BTS Address
Contact Person
Legacy ASN-GW Mode
3.5.1.1 BTS Number
A BTS identifier for management purposes. Must be unique in the entire Radio Access Network.
The range is from 1 to 999999.
The default is 0. A different number (unique in the Radio Access Network) must be configured to support proper
management by the management system.
A change in BTS Number takes effect after the next reset.
3.5.1.2 BTS Name
An optional descriptive parameter. A string of up to 32 printable characters.
The default is null (an empty string).
3.5.1.3 BTS Address
An optional descriptive parameter. A string of up to 70 printable characters.
The default is null (an empty string).

Chapter 3 - Operation and AdministrationBTS Menu
Chapter 3: Operation and Administration BTS Menu
. . . . . . . . . . . . . . . . . . . . . . . . . . . . . . . . . . . . . . . . . . . . . . . . . . . . . . . .
BreezeCOMPACT System ManualBreezeCOMPACT System Manual 52
3.5.1.4 Contact Person
An optional descriptive parameter. A string of up to 32 printable characters.
The default is null (an empty string).
3.5.1.5 Legacy ASN-GW Mode
The Legacy ASN-GW Mode defines functionality supported by the external ASN-GW.
Select enable if using a Cisco ASN GW (supports only IP CS services). The BS should support only an IPv4 CS type. This
means that the BS should verify whether this type is received from the CPE within the registration request and if so, include
it in the attachment request towards the ASN-GW. All other CS types supported by the CPE and received in the registration
request are ignored and not forwarded to the ASN-GW.
Select disable if using any other approved ASN GW. The BS should support the following CS types: IPv4, Ethernet, VLAN,
IPv4-over-Ethernet and Pv4-over-VLAN. This means that it should verify whether these types are received from the CPE
within the registration request and if so, include them in the attachment request towards the ASN-GW. All other CS types
supported by the CPE and received in the registration request are ignored and not forwarded to the ASN-GW.
The default is disable.
A change in Legacy ASN-GW Mode takes effect after the next reset.
3.5.2 Connectivity
The Connectivity submenu includes the following options:
IP Interfaces
L1 & L2
ASN-GW Load Balancing Pools
QoS Marking Rules
3.5.2.1 Management and IP Interfaces
The system uses different IP domains for the following traffic types:
Bearer IP domain for subscriber data and ASN/CSN control traffic
External Management domain for remote management traffic
Local Management domain for local (direct) management traffic

Chapter 3 - Operation and AdministrationBTS Menu
Chapter 3: Operation and Administration BTS Menu
. . . . . . . . . . . . . . . . . . . . . . . . . . . . . . . . . . . . . . . . . . . . . . . . . . . . . . . .
BreezeCOMPACT System ManualBreezeCOMPACT System Manual 53
The unit supports the following IP connectivity modes:
Out of Band: In the Out-of-Band connectivity mode, different Ethernet ports are used for bearer traffic and external
management traffic.
In Band: In the In Band connectivity mode, the sane Ethernet port is used for both bearer traffic and external
management traffic. VLANs are used to differentiate between the two traffic types. The bearer VLAN ID is used for the
bearer traffic and the external management VLAN ID is used for the external management traffic.
Unified: In the Unified connectivity mode, the bearer traffic and external management traffic are unified. The same
Ethernet port is used for both traffic types that share the same VLAN ID.
Refer to “L1 & L2” on page 56 for details about the ports used for each traffic type according to the current Connectivity
Mode.
The Management Interface submenu enables you to view the current values and update the following parameters:
Connectivity Mode
Actual Connectivity Mode
3.5.2.1.1 Connectivity Mode
The Connectivity Mode to be used by the system (see description above).
The available options are In Band, Out of Band and Unified.
The default is Inband.
A change in Connectivity Mode takes effect after the next reset.
3.5.2.1.2 Actual Connectivity Mode
The Actual Connectivity Mode applies only for the Show menu. It indicates the current connectivity mode. The Actual
Connectivity Mode affects configuration rules for Bearer and External Management parameters.
3.5.2.2 IP Interfaces
The IP Interfaces submenu enables you to view the current values and update the IP Interfaces’ parameters. The IP
Interfaces parameters are:
Bearer Subnet Mask
Bearer Next Hop Gateway
Bearer VLAN ID
Sector 1 – Default Authenticator IP
Sector 2 – Default Authenticator IP
External Management IP Address
External Management Subnet Mask
External Management Next Hop Gateway
External Management VLAN ID

Chapter 3 - Operation and AdministrationBTS Menu
Chapter 3: Operation and Administration BTS Menu
. . . . . . . . . . . . . . . . . . . . . . . . . . . . . . . . . . . . . . . . . . . . . . . . . . . . . . . .
BreezeCOMPACT System ManualBreezeCOMPACT System Manual 54
Local Management IP Address
Local Management Subnet Mask
Note that the permitted value range for certain parameters may depend on the value configured (or to be configured) for the
BS Bearer IP Address (see “IP Address” on page 82).
Changes in IP Interfaces parameters take effect after the next reset.
3.5.2.2.1 Bearer Subnet Mask
The subnet mask used with the BS Bearer IP Address.
The default is 255.255.255.0.
A change in Bearer Subnet Mask takes effect after the next reset.
3.5.2.2.2 Bearer Next Hop Gateway
The IP address of the Default Gateway for bearer traffic.
The Bearer Next Hop Gateway must be within the range defined by the BS Bearer IP Address and Bearer Subnet Mask.
The default is 0.0.0.0 (must be changed to a valid value if the IP addresses of core network equipment are not within the
range defined by BS Bearer IP Address and Bearer Subnet Mask).
A change in the Bearer Next Hop Gateway takes effect after the next reset.
3.5.2.2.3 Bearer VLAN ID
The VLAN ID to be used with bearer traffic.
Valid values are 11–100 and 110–4094.
The default is 11.
A change in the Bearer VLAN ID takes effect after the next reset.
3.5.2.2.4 Sector 1 – Default Authenticator IP
The IP address of the default authenticator ASN-GW for Sector 1.
The default is 0.0.0.0 (must be changed to a valid value).
A change in the Default Authenticator takes effect after the next reset.

Chapter 3 - Operation and AdministrationBTS Menu
Chapter 3: Operation and Administration BTS Menu
. . . . . . . . . . . . . . . . . . . . . . . . . . . . . . . . . . . . . . . . . . . . . . . . . . . . . . . .
BreezeCOMPACT System ManualBreezeCOMPACT System Manual 55
3.5.2.2.5 Sector 2 – Default Authenticator IP
The IP address of the default authenticator ASN-GW for Sector 2.
The default is 0.0.0.0 (must be changed to a valid value).
A change in the Default Authenticator takes effect after the next reset.
3.5.2.2.6 External Management IP Address
The IP address of the External Management interface. The value must be unique in the managed network.
The default is 192.168.1.1.
In Unified Connectivity Mode, the External Management IP Address should be within the address range defined by BS
Bearer IP Address and Bearer Subnet Mask.
A change in the External Management IP Address takes effect after the next reset.
3.5.2.2.7 External Management Subnet Mask
The subnet mask of the External Management interface.
The default is 255.255.255.0.
In Unified Connectivity Mode, the External Management Subnet Mask should be configured to the same value as the Bearer
Subnet Mask.
A change in the External Management IP Address takes effect after the next reset.
3.5.2.2.8 External Management Next Hop Gateway
The IP address of the Default Gateway for external management traffic.
The External Management Next Hop Gateway must be within the range defined by External Management IP Address and
External Management Subnet Mask.
The default is 192.168.1.1 (an IP address 0.0.0.0 is a valid value if the IP address of external management equipment is
within the range defined by External Management IP Address and External Management Subnet Mask).
In Unified Connectivity Mode, the External Management Next Hop Gateway should be configured to the same value as the
Bearer Next Hop Gateway.
A change in the External Management Next Hop Gateway takes effect after the next reset.
3.5.2.2.9 External Management VLAN ID
The VLAN ID to be used with external management traffic.
Valid values are 11–100, and 110–4094.
The default is 12.

Chapter 3 - Operation and AdministrationBTS Menu
Chapter 3: Operation and Administration BTS Menu
. . . . . . . . . . . . . . . . . . . . . . . . . . . . . . . . . . . . . . . . . . . . . . . . . . . . . . . .
BreezeCOMPACT System ManualBreezeCOMPACT System Manual 56
In Unified Connectivity Mode, the External Management VLAN ID should be configured to the same value as the Bearer
VLAN ID. Otherwise, it must differ from the Bearer VLAN ID.
A change in the External Management VLAN ID takes effect after the next reset.
3.5.2.2.10 Local Management IP Address
The IP address of the Local Management interface.
The default is 172.31.0.1.
It is recommended to refrain from changing the Local Management IP Address so that it can always be used as the known
default address for local management.
A change in the Local Management IP Address takes effect after the next reset.
3.5.2.2.11 Local Management Subnet Mask
The subnet mask of the Local Management interface.
The default is 255.255.255.0.
It is recommended to refrain from changing the Local Management Subnet Mask.
A change in the Local Management Subnet Mask takes effect after the next reset.
3.5.2.3 L1 & L2
The L1 & L2 option enables you to view or update the parameters of the following Ethernet ports:
DAT1 (Data Port 1): An optional 1000 Base-X optical fiber interface. Applicable only if a suitable Small Form-factor
Pluggable (SFP) optical interface is installed.
DAT2 (Data Port 2): A 10/100/1000 Base-T twisted-pair electrical interface.
DAT3 (Data Port 3): A 10/100 Base-T twisted-pair electrical interface.
The functionality of these ports depends on the Connectivity Mode (see “IP Interfaces” on page 53):
Out of Band Connectivity Mode: Data Port 1 or Data Port 2 is used for tagged bearer traffic (see “Port Negotiation
Mode” on page 57 for details about selecting the active port when both ports are applicable). Data Port 3 is used for
tagged external management traffic and for untagged local management traffic.
In Band Connectivity Mode: Data Port 1 or Data Port 2 is used for both bearer and external management traffic. VLANs
are used to separate the two traffic types. Data Port 3 is used for untagged local management traffic.
Unified Connectivity Mode: Data Port 1 or Data Port 2 is used for both bearer and external management traffic. Both
traffic types share the same VLAN. Data Port 3 is used for untagged local management traffic.
If an SFP is installed in DAT1, the selection between Data Port 1 and Data Port 2 is based on automatic Ethernet activity
detection (only one of these ports can be active).

Chapter 3 - Operation and AdministrationBTS Menu
Chapter 3: Operation and Administration BTS Menu
. . . . . . . . . . . . . . . . . . . . . . . . . . . . . . . . . . . . . . . . . . . . . . . . . . . . . . . .
BreezeCOMPACT System ManualBreezeCOMPACT System Manual 57
The L1 & L2 option enables you to select any of the applicable ports in order to view or update the following parameters:
Operational State
Port Negotiation Mode
Port Speed
Duplex Mode
Actual Duplex Mode: Read-only. The actual duplex mode of the port (none if the port is down)
Actual Speed: Read-only. The actual speed of the port (0 if the port is down)
3.5.2.3.1 Operational State
The Operational State parameter applies only for the Show menu. It indicates the current operational status of the port (Up or
Down).
3.5.2.3.2 Port Negotiation Mode
The mode for negotiating the port speed and the duplex mode with the link partner (Auto or Manual).
The Port Speed and Duplex Mode parameters are configurable only if the Port Negotiation Mode is Manual.
The default for all ports is Auto.
For Data Port 1, if the Operational State is Up, the Negotiation Mode is forced to Auto.
3.5.2.3.3 Port Speed
The port speed to be used for the physical interface.
Applies only if the Port Negotiation Mode is set to Manual.
For Data Port 1 (if applicable), only 1,000 Mbps (1 Gigabit) is supported.
For Data Port 2, the valid values are 10, 100 or 1000 Mbps and the default is 1,000 Mbps (1 Gigabit).
For Data Port 3, the valid values are 10 or 100 Mbps and the default is 10 Mbps.
3.5.2.3.4 Duplex Mode
The duplex mode for the interface (Full Duplex or Half Duplex).
Applies only if the Port Negotiation Mode is set to Manual.
The default for all ports is Full-Duplex.
CAUTION
If you want to switch from Data Port 1 to Data Port 2 (or vice versa), the unit must be reset (or powered
down and then powered up) after physically connecting to the new port.

Chapter 3 - Operation and AdministrationBTS Menu
Chapter 3: Operation and Administration BTS Menu
. . . . . . . . . . . . . . . . . . . . . . . . . . . . . . . . . . . . . . . . . . . . . . . . . . . . . . . .
BreezeCOMPACT System ManualBreezeCOMPACT System Manual 58
For Data Port 1, if the Operational State is Up, the Duplex Mode is forced to Full Duplex.
3.5.2.4 ASN-GW Load Balancing Pools
The Load Balancing feature provides a WiMAX operator with the capability to build a resilient ASN infrastructure using
ASN-GW redundancy. Every BS is provisioned with two lists of redundant ASN-GWs (pools). The BS applies a
round-robin mechanism in order to pick an Authenticator for each MS that performs an initial network entry (for more
details, refer to “ASN-GW Load Balancing” on page 84). This should eventually distribute the load between Anchor
ASN-GWs. Geographical site backup can be achieved by using different priorities of ASN-GW pools (Authenticator
“metric”).
At the unit (BTS) level, up to two pools (with different priorities), each with up to 10 ASN-GWs, can be defined. Each BS
inherits these pools.
The ASN-GW Load Balancing Pools submenu includes two options: Primary Pool and Secondary Pool. Select the Primary
or Secondary Pool option to view or update the pool’s content. The options available for each pool are:
Show: Select this option to view the current content of the pool.
Add: Select this option to add an ASN-GW address to the pool (up to a maximum of 10 addresses per pool). You will be
prompted to define the Index for the entry (a unique number in the range from 1 to 10) before defining the IP address.
An IP address must be unique for both pools. Broadcast and Multicast addresses are not legal. By default, both pools are
empty.
Select: Use this option to select an existing entry in the pool by its Index. You can then view the entry’s IP address,
update the IP address or delete the entry.
Note that you should not populate the Secondary Pool if the Primary Pool is empty. Also, you should not delete all entries
from the Primary Pool if the Secondary Pool is not empty.
A change in the content of the pools takes effect after the next reset.
3.5.2.5 QoS Marking Rules
The QoS Marking Rules option enables you to view or update the values of 802.1P Priority and/or DSCP marking for
outgoing external management traffic.
The QoS Marking Rules parameters are:
802.1P Priority
DSCP
3.5.2.5.1 802.1P Priority
The 802.1P (VLAN) Priority of management traffic.
The range is 0-7.
The default is 0.

Chapter 3 - Operation and AdministrationBTS Menu
Chapter 3: Operation and Administration BTS Menu
. . . . . . . . . . . . . . . . . . . . . . . . . . . . . . . . . . . . . . . . . . . . . . . . . . . . . . . .
BreezeCOMPACT System ManualBreezeCOMPACT System Manual 59
3.5.2.5.2 DSCP
The DSCP value of management traffic.
The range is 0-63.
The default is 0.
3.5.3 Unit Control
The Unit Control menu enables various general control functions, such as resetting the BTS, managing the software
versions of the BTS and uploading/downloading configuration backup files.
The Unit Control menu includes the following options:
Monitor Inactivity Timeout
SW Version Control
ShutDown Operation
Configuration Files Control
TFTP Server
3.5.3.1 Monitor Inactivity Timeout
The Monitor Inactivity Timeout (in minutes) parameter determines the amount of inactive time following which the unit
automatically exits the Monitor program.
The timeout duration can range from 0 to 60 minutes. 0 means no inactivity timeout.
The default value is 10 minutes.
3.5.3.2 SW Version Control
The BTS can contain two software versions:
Operational: Each time the BTS resets it reboots using the version defined as Operational.
Shadow: Normally the Shadow version is the backup version. Each time a new software file is downloaded to the BTS,
it is stored as a Shadow version, replacing the previous Shadow Version.
The typical process of upgrading to a new software version includes the following steps:
1Download the new software file to the BTS. It is stored as the Shadow version.
2Reset and run the BTS from its Shadow version. Note that at this stage, if a reset occurs, the BTS returns to the previous
Operational version.
3If you want to continue using the new version, swap the Shadow and Operational versions. The new (currently running)
version is now defined as Operational, and is used each time the BTS reboots. The previous version is defined now as
Shadow.

Chapter 3 - Operation and AdministrationBTS Menu
Chapter 3: Operation and Administration BTS Menu
. . . . . . . . . . . . . . . . . . . . . . . . . . . . . . . . . . . . . . . . . . . . . . . . . . . . . . . .
BreezeCOMPACT System ManualBreezeCOMPACT System Manual 60
Each software version includes two identifiers:
SW File, which is the name of the downloaded software file. This name does not necessarily include clear identification
of the software version number.
SW Version, which provides the software version number.
The SW Version Control menu includes the following options:
Show SW Versions
Show SW Download Status
Load to Shadow
Reset and Run from Shadow
Set Running Version As Operational
Load boot and RCW
3.5.3.2.1 Show SW Versions
Select this option to view the current available versions and the running version:
Operational SW File
Shadow SW File
Running From: The source of the current software (Operational or Shadow)
3.5.3.2.2 Show SW Download Status
Select this option to view the status of the last requested download operation.
3.5.3.2.3 Load to Shadow
The Load to Shadow option enables you to initiate a process to load a new software file to the BTS. The loaded software file
is stored as the new Shadow file.
The IP address of the TFTP Server holding the software file to be loaded is defined by the TFTP Server parameter (see
“Configuration Files Control” on page 61). You are prompted to enter the File Path And File Name (up to 50 characters)
and to confirm the requested operation.
3.5.3.2.4 Reset and Run from Shadow
Select the Reset and Run from Shadow option to reset the BTS and run the Shadow version after power-up. To avoid
unintentional actions, you are prompted to confirm the request.
3.5.3.2.5 Set Running Version As Operational
When the BTS is running the Shadow version (after selecting Reset and Run from Shadow), it boots from the Operational
version after the next reset. Select the Set Running Version As Operational option if you want to swap versions so that the
running version becomes the Operational version and is the version to be used after reset. To avoid unintentional actions, you
are prompted to confirm the request.

Chapter 3 - Operation and AdministrationBTS Menu
Chapter 3: Operation and Administration BTS Menu
. . . . . . . . . . . . . . . . . . . . . . . . . . . . . . . . . . . . . . . . . . . . . . . . . . . . . . . .
BreezeCOMPACT System ManualBreezeCOMPACT System Manual 61
3.5.3.2.6 Load boot and RCW
This option is used to perform an update when the existing BreezeCOMPACT software is upgraded from R4.1 to R5.0.
3.5.3.3 ShutDown Operation
The ShutDown Operation submenu enables you to select one of the following options:
reset: Select this option to reset the BTS. To avoid unintentional reset, you are prompted to confirm the reset request.
Changes to some of the configurable parameters are applied only after reset.
resettoFactoryDefault: Select this option to restore the factory default configuration of all BTS parameters. All
parameters revert to their default values after the next reset. To avoid unintentional action, you are prompted to confirm
the request.
noAction: Select this option to exit the Shutdown Operation submenu without any action.
resettoFactoryDefaultwithConnectivity: Select this option to restore the factory default configuration without
changing any of the parameters required for maintaining management connectivity to the unit. To avoid unintentional
action, you are prompted to confirm the request.
The parameters that are maintained without any change include:
BTS Number
All IP Interfaces parameters
All L1 & L2 parameters
SNMP Traps Managers configurations
Authorized Managers configurations
3.5.3.4 Configuration Files Control
The Configuration Files Control submenu enables you to view the backup configuration files that are currently stored in
the unit’s configuration backup directory. This menu enables you to:
Create a backup file of the current BTS configuration,
Manage the optional automatic mechanism for automatically creating backup files on a daily basis.
Download a configuration file to the BTS from either the internal configuration backup directory or an external TFTP
server.
NOTE!
For more information about the Boot and RCW upgrades, refer to the software upgrade procedure.
NOTE!
A reset to the default configuration may affect the ability for remote management of the unit.

Chapter 3 - Operation and AdministrationBTS Menu
Chapter 3: Operation and Administration BTS Menu
. . . . . . . . . . . . . . . . . . . . . . . . . . . . . . . . . . . . . . . . . . . . . . . . . . . . . . . .
BreezeCOMPACT System ManualBreezeCOMPACT System Manual 62
The Files Control menu includes the following menu options:
Automatic Configuration Backup
Restore From Local File
Current Configuration Files
Create Backup Configuration File
3.5.3.4.1 Automatic Configuration Backup
A configuration backup file of the device’s configuration is created automatically every day. The Automatic Configuration
Backup submenu enables viewing and modifying the Daily Backup Time for execution of the automatic backup process.
The format of the Daily Backup Time is HH:MM, where HH is between 0 to 23 and MM is between
0 to 59.
The default is 00:00 (midnight).
3.5.3.4.2 Restore From Local File
The Restore From Local File submenu includes the following options:
Show: Select this option to view the details of the last request for restoring a configuration file from the unit's memory.
The displayed details include:
Restore From Local Backup: noAction or restoretoRAM
Local File Name
Update: Select this option to initiate a new process of restoring a local configuration file. You are prompted to define
the following parameters:
Restore From Local Backup: Select noAction or restoretoRAM. If you selected restoretoRAM, you are prompted
to select the name of the local file.
Local File Name: The name of the local backup file to be restored. A string comprising 1 to 30 characters. Must be
the name of one of the existing backup files (see Current Configuration Files).
3.5.3.4.3 Current Configuration Files
Select the Current Configuration Files option to view the Configuration File Name of each of the zipped configuration
backup files (up to 3) stored in the unit's configuration backup directory. The file's name includes its creation date and time
in the format YYYYMMDDHHMM.xml.gz.
3.5.3.4.4 Create Backup Configuration File
Select the Create Backup Configuration File option to view the process status of the last request for creating a
configuration backup file or to initiate a manual request for creation of a backup file. The BTS holds the last 3 backup files.
3.5.3.5 TFTP Server
The TFTP Server option enables you to view or update the TFTP Target IP Address, which is the IP address of the TFTP
server to be used for software download. Typically, the TFTP server is in the same station used for management, and the
TFTP Server IP address is identical to the External Management IP Address.

Chapter 3 - Operation and AdministrationBTS Menu
Chapter 3: Operation and Administration BTS Menu
. . . . . . . . . . . . . . . . . . . . . . . . . . . . . . . . . . . . . . . . . . . . . . . . . . . . . . . .
BreezeCOMPACT System ManualBreezeCOMPACT System Manual 63
The default TFTP Target IP Address is 192.168.1.1 (the same as the default for the External Management IP Address).
3.5.4 Management
The Management menu includes the following options:
SNMP Traps Managers
Authorized Managers
3.5.4.1 SNMP Traps Managers
Up to 5 SNMP Traps Managers can be defined. By default, the unit is supplied with one SNMP Traps Manager with the
following parameters:
IP Address: 192.168.1.60
Port Number: 162
Community: public
Enable Traps Distribution: enable
The SNMP Trap Managers menu includes the following options:
Add
Select
3.5.4.1.1 Add
Select this option to add a new SNMP Traps Manager. The SNMP Traps Manager parameters are:
IP Address
Port Number
Community
Enable Traps Distribution
3.5.4.1.1.1 IP Address
The IP address of the Traps Manager.
3.5.4.1.1.2 Port Number
The port number on which the Trap Manager listens for messages from the Agent. The range is from 1 to 65535. The port on
which the management system listens for traps is 162.
3.5.4.1.1.3 Community
The name of the SNMP Read Community used by the Trap Manager. Traps are sent toward those Managers for which this
parameter is configured. The community name is a case-sensitive string of up to 10 printable characters. The default used by
the management system is public.

Chapter 3 - Operation and AdministrationBTS Menu
Chapter 3: Operation and Administration BTS Menu
. . . . . . . . . . . . . . . . . . . . . . . . . . . . . . . . . . . . . . . . . . . . . . . . . . . . . . . .
BreezeCOMPACT System ManualBreezeCOMPACT System Manual 64
3.5.4.1.1.4 Enable Traps Distribution
Indicates whether the sending of traps to the management station is enabled or disabled.
3.5.4.1.2 Select
Use this option to select one of the existing SNMP Traps Managers by its IP address. You can then view the details of the
selected Manager, update its parameters (excluding the IP address) or delete it.
The Selected Manager submenu includes the following options:
Show: For viewing the details of the selected Manager.
Update: For updating the properties of the selected Manager (for details, see “Add” on page 63 above).
Delete: For deleting the selected Manager from the database.
3.5.4.1.3 Show Summary
Select this option to view the details of the currently defined SNMP Traps Managers.
3.5.4.2 Authorized Managers
An SNMP Manager comprises a pair of SNMP Communities (Community Read Only and Community Read and Write). A
management station is permitted to manage the BTS using SNMP only if it uses one of the configured SNMP Communities
(or a pair of SNMP Communities). A maximum of 5 SNMP Managers can be configured. The Authorized Managers
submenu enables you to define the properties of management stations that are allowed to manage the BTS using SNMP.
By default, the unit is supplied with one authorized manager with the following parameters:
Manager Number: 1
Community Read Only: public
Community Read and Write: private
The Authorized Manager submenu includes the following options:
Add
Select
3.5.4.2.1 Add
Select this option to add a new Authorized Manager. Up to 5 Authorized Managers can be defined. The following parameters
can be configured:
Manager Number
Community Read Only
Community Read and Write
3.5.4.2.1.1 Manager Number
A unique number from 1 to 5.

Chapter 3 - Operation and AdministrationBTS Menu
Chapter 3: Operation and Administration BTS Menu
. . . . . . . . . . . . . . . . . . . . . . . . . . . . . . . . . . . . . . . . . . . . . . . . . . . . . . . .
BreezeCOMPACT System ManualBreezeCOMPACT System Manual 65
3.5.4.2.1.2 Community Read Only
The SNMP Read Community to be used by the Authorized Manager. A null Community Read Only means that the read (get)
operation can only be performed using the Community Read and Write.
Valid Community strings: Up to 10 printable characters, case sensitive.
The default is public.
3.5.4.2.1.3 Community Read and Write
The SNMP Read/Write Community to be used by the Authorized Manager. A null Read/Write Community means that the
Authorized Manager has read-only access rights.
Valid Community strings: Up to 10 printable characters, case sensitive.
The default is private.
3.5.4.2.2 Select
This option enables you to select an existing Authorized Manager for viewing or updating its properties or for deleting it
from the database. The selection is based on the Authorized Manager's number.
The Selected Manager submenu includes the following options:
Show: For viewing the details of the selected Manager.
Update: For updating the properties of the selected Manager (for details, see Add above).
Delete: For deleting the selected Manager from the database.
3.5.4.2.3 Show Summary
Select this option to view the details of all currently defined Authorized Managers.
INFORMATIO
N
To enable management by AlvariSTAR/AlvariCRAFT, the Read and Write Communities are mandatory
and both must be defined (other than null).
Duplication of Communities pairs is not allowed (each Read/Write Community pair must be unique).

Chapter 3 - Operation and AdministrationSector Menu
Chapter 3: Operation and Administration Sector Menu
. . . . . . . . . . . . . . . . . . . . . . . . . . . . . . . . . . . . . . . . . . . . . . . . . . . . . . . .
BreezeCOMPACT System ManualBreezeCOMPACT System Manual 66
3.6 Sector Menu
In the current release, the unit supports a single sector.
The Sector menu includes the following options:
Sector Definition
Radio Cluster
Antenna Association
3.6.1 Sector Definition
The Sector Definition menu enables you to view or modify the informational parameters described below.
3.6.1.1 Name
The sector name. An optional descriptive string of up to 32 printable characters.
The default is null (an empty string).
3.6.1.2 Heading
The sector heading (the center angle of the sector), in degrees.
An optional descriptive value in the range from 0 to 359.
The default is 0.
3.6.1.3 Width
The planned sector coverage, in degrees.
A value in the range from 0 to 359.
The default is 0.
3.6.2 Radio Cluster
Radio Cluster is a virtual object enabling definition of the bandwidth, frequency and transmit power parameters. The values
configured for these parameter determine the bandwidth and frequency of relevant BS(s) and the Tx power of all relevant
Radio Head Tx ports. The Radio Cluster concept simplifies configuration of these parameters, especially in installations
using dual-carrier operation (One Sector, Dual Carrier topology, which is not supported in the current release).
The Radio Cluster menu enables you to view or modify the parameters described below.

Chapter 3 - Operation and AdministrationSector Menu
Chapter 3: Operation and Administration Sector Menu
. . . . . . . . . . . . . . . . . . . . . . . . . . . . . . . . . . . . . . . . . . . . . . . . . . . . . . . .
BreezeCOMPACT System ManualBreezeCOMPACT System Manual 67
3.6.2.1 Bandwidth
The bandwidth of the Radio Cluster, in MHz.
Available valid options are 5 MHz (fiveMHz), 7 MHz (sevenMHz), 10 MHz (tenMHz) & 20MHz (LTE)
The default is none. A valid option must be selected.
A change in the Bandwidth takes effect after the next reset.
3.6.2.2 Center Frequency
The center downlink frequency of the Radio Cluster, in MHz. The valid values are from f1+0.5BW to f2-0.5BW, where f1 is
the lowest frequency of the band supported by the radio head (see RH Menu, “General” on page 95), f2 is the highest
frequency of the band and BW is the defined Bandwidth.
The default is 0. A valid value must be configured.
A change in the Center Frequenct takes effect after the next reset.
3.6.2.3 TX Power
The required Tx power of the Radio Cluster, in dBm.
The actual valid range depends on the installed RH Type: The upper limit is set by the Maximum Tx Power supported by the
radio head (see RH Menu, “General” on page 95). The lower limit is the Maximum Tx Power supported by the radio head,
minus 10 dBm.
The default is 0. A valid value must be configured.

Chapter 3 - Operation and AdministrationBS Menu
Chapter 3: Operation and Administration BS Menu
. . . . . . . . . . . . . . . . . . . . . . . . . . . . . . . . . . . . . . . . . . . . . . . . . . . . . . . .
BreezeCOMPACT System ManualBreezeCOMPACT System Manual 68
3.7 BS Menu
In the current release, a Single and Dual BS is supported. The BS menu enables you to create the BS, update the BS
parameters or delete the BS. The BS ID LSB of an existing BS cannot be modified. To change the BS ID LSB, you must
delete the BS and re-create it.
The BS menu includes three options:
Add: For creating a new BS.
Select: For updating the parameters of a previously created BS or deleting the BS.
Show Summary: For viewing the main BS parameters.
3.7.1 Add
Select the Add option to create the BS. If the BS does not already exist, it must be created. In the current release, a single or
dual BS can be defined.
After completing the configuration of all BS mandatory parameters, reset the unit to apply the change.
You are prompted to configure the BS parameters described below.
3.7.1.1 BS Number
In the current release, only BS Number 1 can be created.
3.7.1.2 BS ID LSB
The unique identifier of the BS in the network. Must be unique in the entire Radio Access Network. A number in the range
1–16777215. The BS ID LSB used in the system is in the format A.B.C, where A, B and C are from 0 to 255. The BS ID
used in the Monitor program is an integer that is calculated by the formula A*65536+B*256+C. For example, a BS ID of
1.2.5 is translated to 1*65536+2*256+5=66053.
3.7.1.3 Operator ID
The unique identifier of the wireless network operator. The same Operator ID must be used by all BSs in the managed
wireless network. A number in the range 1–16777215 (same definition principle as for BS ID LSB).
INFORMATIO
N
BS parameters should be configured according to the recommendations of the Radio Network Planning.

Chapter 3 - Operation and AdministrationBS Menu
Chapter 3: Operation and Administration BS Menu
. . . . . . . . . . . . . . . . . . . . . . . . . . . . . . . . . . . . . . . . . . . . . . . . . . . . . . . .
BreezeCOMPACT System ManualBreezeCOMPACT System Manual 69
3.7.1.4 Name
An optional descriptive parameter. A string of up to 32 characters. The default is null.
3.7.1.5 Cell ID
The Cell ID (IDCell) used for preamble selection. The range is from 0 to 31.
3.7.1.6 Segment Number
The segment (BS) number in a three sector BS (0–2).
3.7.1.7 Preamble Index
Read-only. The Preamble Index used by the BS (0–113).
3.7.1.8 Frame Number Offset
Controls the offset applied between the internal frame count and the reported frame number. The available options are Zero
and Random. If Random is selected, the device chooses a random number between 0 to 15. The default is zero (0).
A change in the Frame Number Offset takes effect after the next reset.
3.7.1.9 Total Uplink Duration
The total duration of the uplink in a frame, in slots (one slot equals 3 symbols).
To avoid BS-BS interference, the Total Uplink Duration must be identical in all BSs in the same geographical region.
The range is 4–7 for a BS bandwidth of 5 or 10 MHz and 3–5 for a BS bandwidth of 7 MHz.
3.7.1.10 Paging Group ID
The Paging Group ID of the BS.
The range is from 0 to 65535. 0 means that Idle Mode is not enabled. If Idle Mode is enabled (Paging Group ID is not 0), the
value should be unique in the Radio Access Network (different Paging Group ID for each BS). Idle Mode should be either
enabled in all units in the network (Paging Group ID other than 0) or disabled in all units (Paging Group ID = 0). A
combination in the same Radio Access Network of units with Paging Group ID of 0 (Idle Mode disabled) and units with
Paging Group ID other than 0 (Idle Mode enabled) should be avoided.

Chapter 3 - Operation and AdministrationBS Menu
Chapter 3: Operation and Administration BS Menu
. . . . . . . . . . . . . . . . . . . . . . . . . . . . . . . . . . . . . . . . . . . . . . . . . . . . . . . .
BreezeCOMPACT System ManualBreezeCOMPACT System Manual 70
3.7.2 Select
Select the BS to view or update its parameters or to delete it. A BS is selected by its BS Number.
The selected BS menu includes the following options:
General
Air Frame Structure
Mobility
Power Control
Feedback
Connectivity
Management Thresholds
Scheduler
3.7.2.1 General
The selected BS General parameters menu includes the following options:
Show: Select to view the current values of the BS General parameters.
Update: Select to update the configured values of the BS General parameters.
Delete: Select to delete the BS (the BS ID LSB of an existing BS cannot be modified. To change it, you must delete the
BS and re-define it).
The BS General parameters are:
BS ID LSB
Operator ID
Name
Calculated Center Frequency
Calculated Bandwidth
Paging Group ID
3.7.2.1.1 BS ID LSB
Available only in the Show menu (the BS ID LSB of an existing BS cannot be modified). The unique identifier of the BS in
the network. Can be configured only during BS creation (see “BS ID LSB” on page 68).

Chapter 3 - Operation and AdministrationBS Menu
Chapter 3: Operation and Administration BS Menu
. . . . . . . . . . . . . . . . . . . . . . . . . . . . . . . . . . . . . . . . . . . . . . . . . . . . . . . .
BreezeCOMPACT System ManualBreezeCOMPACT System Manual 71
3.7.2.1.2 Operator ID
The unique identifier of the wireless network operator. The same Operator ID must be used by all BSs in the managed
wireless network. A number in the range 1–16777215. The Operator ID used in the system is in the format A.B.C, where A,
B and C are from 0 to 255. The Operator used in the Monitor program is an integer that is calculated by the formula
A*65536+B*256+C. For example, an Operator ID of 1.1.1 is translated to 1*65536+1*256+1=65793.
A change in the Operator ID takes effect after the next reset.
3.7.2.1.3 Name
The name of the BS. An optional descriptive parameter. A string of up to 32 printable characters.
3.7.2.1.4 Calculated Center Frequency
Available only in the Show menu. The center of the frequency band in which the BS transmits, in MHz. Calculated
according to the Center Frequency configured for the Radio Cluster and the Topology Type. In the current release (supports
only One Sector, One Carrier topology), the BS Calculated Center Frequency equals the Radio Cluster’s Center Frequency.
3.7.2.1.5 Calculated Bandwidth
Available only in the Show menu. The BS channel bandwidth (5 MHz, 7 MHz or 10 MHz).
Calculated according to the Bandwidth configured for the Radio Cluster and the Topology Type. In the current release
(supports only One Sector, One Carrier topology), the BS Calculated Bandwidth equals the Radio Cluster’s Bandwidth.
3.7.2.1.6 Paging Group ID
The Paging Group ID of the BS.
The single sector Idle Mode capability provides the benefits of MS power savings and manageable total sector active and
non-active users, together with reduced overhead on the back-haul network.
The Idle Mode (IM) mechanism enables an MS to become unavailable on the air interface, thus freeing operational resources
and preserving MS power. During IM operation, an MS switches off its transmission and reception capabilities, and becomes
available for DL broadcast control messaging, such as MS Paging, in a periodic manner. Using a paging broadcast, the BS
can indicate, if necessary, for the MS to exit from IM and return into normal operation mode. The paging control message is
sent over the DL of a set of BSs simultaneously. This set is called a Paging Group (PG). In the current release, each Paging
Group includes a single BS.
During IM, the MS performs location updates when moving from one PG to another. While in the same PG, the MS does not
need to transmit in the UL and can be paged in the DL if there is traffic targeted at it.
The range is from 0 to 65535. 0 means that Idle Mode is not enabled. If Idle Mode is enabled (Paging Group ID is not 0), the
value should be unique in the Radio Access Network (different Paging Group ID for each BS). Idle Mode should be either
enabled in all units in the network (Paging Group ID other than 0) or disabled in all units (Paging Group ID = 0). A
combination in the same Radio Access Network of units with Paging Group ID of 0 (Idle Mode disabled) and units with
Paging Group ID other than 0 (Idle Mode enabled) should be avoided.
A change in the Paging Group ID takes effect after the next reset.

Chapter 3 - Operation and AdministrationBS Menu
Chapter 3: Operation and Administration BS Menu
. . . . . . . . . . . . . . . . . . . . . . . . . . . . . . . . . . . . . . . . . . . . . . . . . . . . . . . .
BreezeCOMPACT System ManualBreezeCOMPACT System Manual 72
3.7.2.2 Air Frame Structure
The Air Frame Structure menu includes the following options:
Zones
General
DL Diversity Mode
3.7.2.2.1 Zones
The Air Frame Structure - Zones menu includes the following options:
Uplink Data Zone
Downlink Data Zone
First Zone
Uplink Feedback Zone
3.7.2.2.1.1 Uplink Data Zone
The Uplink Data Zone menu enables you to view/update the values configured for the following parameters:
Uplink Basic Rate
UL Permutation Base
3.7.2.2.1.1.1 Uplink Basic Rate
The uplink basic rate:
ctcQpskOneOverTwoTimesSix (QPSK 1/2 Repetition 6)
ctcQpskOneOverTwoTimesFour (QPSK 1/2 Repetition 4)
ctcQpskOneOverTwoTimesTwo (QPSK 1/2 Repetition 2)
ctcQpskOneOverTwo (QPSK 1/2)
ctcQpskThreeOverFour (QPSK 3/4)
ctcQamSixteenOneOverTwo 16-QAM 1/2
ctcQamSixteenThreeOverFour (16-QAM 3/4)
ctcQamSixtyFourOneOverTwo (64-QAM 1/2)
ctcQamSixtyFourTwoOverThree (64-QAM 2/3)
ctcQamSixtyFourThreeOverFour (64-QAM 3/4)
ctcQamSixtyFourFiveOverSix 64-QAM 5/6
The default is ctcQpskOneOverTwo (QPSK 1/2).
A change in the Uplink Basic Rate takes effect after the next reset.
3.7.2.2.1.1.2 UL Permutation Base
The permutation base used in the uplink data zone.

Chapter 3 - Operation and AdministrationBS Menu
Chapter 3: Operation and Administration BS Menu
. . . . . . . . . . . . . . . . . . . . . . . . . . . . . . . . . . . . . . . . . . . . . . . . . . . . . . . .
BreezeCOMPACT System ManualBreezeCOMPACT System Manual 73
The valid range is from 0 to 69.
A change in the UL Permutation Base takes effect after the next reset.
3.7.2.2.1.2 Downlink Data Zone
The Downlink Data Zone menu enables you to view/update the values configured for the following parameters:
Basic Rate for Management
Basic Rate for Data
DL Data Permutation Base
3.7.2.2.1.2.1 Basic Rate for Management
The downlink basic rate for unicast and broadcast management traffic (non-HARQ traffic in reuse 1 region):
ctcQpskOneOverTwoTimesSix (QPSK 1/2 Repetition 6)
ctcQpskOneOverTwoTimesFour (QPSK 1/2 Repetition 4)
ctcQpskOneOverTwoTimesTwo (QPSK 1/2 Repetition 2)
ctcQpskOneOverTwo (QPSK 1/2)
ctcQpskThreeOverFour (QPSK 3/4)
ctcQamSixteenOneOverTwo 16-QAM 1/2
ctcQamSixteenThreeOverFour (16-QAM 3/4)
ctcQamSixtyFourOneOverTwo (64-QAM 1/2)
ctcQamSixtyFourTwoOverThree (64-QAM 2/3)
ctcQamSixtyFourThreeOverFour (64-QAM 3/4)
ctcQamSixtyFourFiveOverSix 64-QAM 5/6
The default is ctcQpskOneOverTwo (QPSK 1/2).
A change in the Basic Rate for Management takes effect after the next reset.
3.7.2.2.1.2.2 Basic Rate for Data
The downlink basic rate for HARQ data traffic in reuse 1 region:
ctcQpskOneOverTwoTimesSix (QPSK 1/2 Repetition 6)
ctcQpskOneOverTwoTimesFour (QPSK 1/2 Repetition 4)
ctcQpskOneOverTwoTimesTwo (QPSK 1/2 Repetition 2)
ctcQpskOneOverTwo (QPSK 1/2)
ctcQpskThreeOverFour (QPSK 3/4)
ctcQamSixteenOneOverTwo 16-QAM 1/2
ctcQamSixteenThreeOverFour (16-QAM 3/4)
ctcQamSixtyFourOneOverTwo (64-QAM 1/2)

Chapter 3 - Operation and AdministrationBS Menu
Chapter 3: Operation and Administration BS Menu
. . . . . . . . . . . . . . . . . . . . . . . . . . . . . . . . . . . . . . . . . . . . . . . . . . . . . . . .
BreezeCOMPACT System ManualBreezeCOMPACT System Manual 74
ctcQamSixtyFourTwoOverThree (64-QAM 2/3)
ctcQamSixtyFourThreeOverFour (64-QAM 3/4)
ctcQamSixtyFourFiveOverSix 64-QAM 5/6
The default is ctcQpskOneOverTwo (QPSK 1/2).
A change in the Basic Rate for Data takes effect after the next reset.
3.7.2.2.1.2.3 DL Data Permutation Base
The permutation base used in the downlink data zone.
The valid range is from 0 to 31.
A change in the DL Data Permutation Base takes effect after the next reset.
3.7.2.2.1.3 First Zone
The First Zone menu enables you to view/update the values configured for the following parameters:
Basic Map Repetition
Minimum Size
Maximum Size
Maximum Map Size
3.7.2.2.1.3.1 Basic Map Repetition
The basic repetition used in the transmission of the maps using QPSK 1/2. The available options are 1, 2, 4 and 6. (1 means
no repetitions).
If BS BW=5MHz, only values 1, 2 and 4 should be used.
The default is 6 (rate QPSK 1/2 repetition 6).
A change in the Basic Map Repetition takes effect after the next reset.
3.7.2.2.1.3.2 Minimum Size
The initial size (in symbols) of the first zone.
The available options are 2, 4,....34 (2xN, where N=1-17) or -1 for No Limitation. The default is -1 (No Limitation), meaning
that the actual size is set dynamically according to the configuration.
See limitations in Table 17 below. Other values should be avoided.
The default (no limitation) means that the actual size is set dynamically according to the configuration.
A change in the Minimum Size takes effect after the next reset.
3.7.2.2.1.3.3 Maximum Size
Maximum size (in symbols) for the first zone. Used mainly for performance control capability within a frame.

Chapter 3 - Operation and AdministrationBS Menu
Chapter 3: Operation and Administration BS Menu
. . . . . . . . . . . . . . . . . . . . . . . . . . . . . . . . . . . . . . . . . . . . . . . . . . . . . . . .
BreezeCOMPACT System ManualBreezeCOMPACT System Manual 75
The available options are 2, 4,....34 (2xN, where N=1-17) or -1 for No Limitation. The default is -1 (No Limitation).
The Maximum Size cannot be lower than the Minimum Size.
A change in the Maximum Size takes effect after the next reset.
Table 17 describes the recommended values for the First Zone Minimum Size and Maximum Size:.
For First Zone Maximum Size, the values are as follows:
If the First Zone Minimum Size is set to No Limitations, the value range for the Maximum Size is the same as for the
Minimum Size.
Otherwise, the value range is No Limitations or the First Zone Minimum Size+2N, up to a maximum of Y, as defined
below.
The value of Y (which is actually the number of slots available for DL data) that sets the upper limit for the Minimum and
Maximum Size parameters depends on the Maximum Cell Radius and the Total Uplink Duration parameters, using the
following formula:
Y=A-3*(Total Uplink Duration)-(Extra TTG),
Table 17: First Zone Minimum Size Recommended Value Range
BS Bandwidth (MHz) Basic Map Repetition Minimum Size (Symbols) (Up to a Maximum of Y, as
Defined Below)
7/10 6 No Limitation or 8+2N
4 No Limitation or 6+2N
2 No Limitation or 4+2N
1 No Limitation or 4+2N
5 MHz 6 N/A
4 No Limitation or 8+2N
2 No Limitation or 6+2N
1 No Limitation or 4+2N

Chapter 3 - Operation and AdministrationBS Menu
Chapter 3: Operation and Administration BS Menu
. . . . . . . . . . . . . . . . . . . . . . . . . . . . . . . . . . . . . . . . . . . . . . . . . . . . . . . .
BreezeCOMPACT System ManualBreezeCOMPACT System Manual 76
Where A=46 for BW of 5 or 10 MHz, and 32 for BW of 7 MHz.
3.7.2.2.1.3.4 Maximum Map Size
Limits the maximum size of maps (in slots).
The available options are 10, 20...300 (10xN, where N=1-30) or -1 for No Limitation. The default is -1 (No Limitation).
A change in THE Maximum Map Size takeS effect after the next reset.
3.7.2.2.1.4 Uplink Feedback Zone
The Uplink Feedback Zone menu enables you to view/update the values configured for the parameter described below.
3.7.2.2.1.4.1 Permutation Base
The permutation base used in the uplink feedback zone.
The valid range is from 0 to 69.
A change in the Uplink Feedback Zone Permutation Base takes effect after the next reset.
3.7.2.2.2 General
The Air Frame Structure - General menu enables you to view/update the values configured for the following parameters:
Cell ID
Preamble Group
Segment Number
Preamble Index
Table 18: Calculating the Upper Limit Value (Y) for Minimum and Maximum Size
BS Bandwidth
(MHz) Maximum Cell Radius Total Uplink
Duration (Slots) Extra TTG
(Symbols) Upper Limit (Y)
5/10 1, 2, 4, 8 4 0 34
6028
1, 2, 4, 8, 15, 23 5 1 30
7124
15, 23, 30 4 2 32
6226
30 5 3 28
7322
7 1, 2, 4, 8, 15, 23 4 0 20
1, 2, 4, 8, 15, 23, 30 3 1 22
5116
30 4 2 18

Chapter 3 - Operation and AdministrationBS Menu
Chapter 3: Operation and Administration BS Menu
. . . . . . . . . . . . . . . . . . . . . . . . . . . . . . . . . . . . . . . . . . . . . . . . . . . . . . . .
BreezeCOMPACT System ManualBreezeCOMPACT System Manual 77
Total Uplink Duration
3.7.2.2.2.1 Cell ID
The Cell ID (IDCell) used for preamble selection. The range is from 0 to 31.
A change in the Cell ID takes effect after the next reset.
3.7.2.2.2.2 Preamble Group
The preamble group (1 or 2). A value of 2 applies only for the following combinations of Segment Number and Cell ID
values:
Segment Number=0, Cell ID=0, 3, 6, 9, 12, 15
Segment Number=1, Cell ID=1, 4, 7, 10, 13, 16
Segment Number=2, Cell ID=2, 5, 8, 11, 14, 17
The default is 1.
A change in the Preamble Group takes effect after the next reset.
3.7.2.2.2.3 Segment Number
The segment (BS) number in a three-sector BS (0–2).
A change in the Segment Number takes effect after the next reset.
3.7.2.2.2.4 Preamble Index
Read-only. The Preamble Index used by the BS (0–113).
3.7.2.2.2.5 Frame Number Offset
Controls the offset applied between the internal frame count and the reported frame number. The available options are Zero
and Random. If Random is selected, the device chooses a random number between 0 to 15. The default is zero (0).
A change in the Frame Number Offset takes effect after the next reset.
3.7.2.2.2.6 Total Uplink Duration
The total duration of the uplink in a frame, in slots (one slot equals 3 symbols).
To avoid BS-BS interference, the Total Uplink Duration must be identical in all BSs in a geographical region.
The range is 4–7 for a BS bandwidth of 5 or 10 MHz and 3-5 for a BS bandwidth of 7 MHz.
A change in the Total Uplink Duration takes effect after the next reset.

Chapter 3 - Operation and AdministrationBS Menu
Chapter 3: Operation and Administration BS Menu
. . . . . . . . . . . . . . . . . . . . . . . . . . . . . . . . . . . . . . . . . . . . . . . . . . . . . . . .
BreezeCOMPACT System ManualBreezeCOMPACT System Manual 78
The table below describes the DL:UL ratio as a function of BS Bandwidth and Total Uplink Duration.
* DL:UL Ratio 35:12: Not tested as part of R5.0.
3.7.2.2.3 DL Diversity Mode
The DL Diversity Mode option includes the DL Diversity Mode parameter. In the current release, only Matrix A or B is
supported.
In MIMO Matrix A or B mode, the system can use either MIMO Matrix A or MIMO Matrix B. The selection between
Matrix A and Matrix B is performed automatically for each MS according to link conditions and supported MS capabilities,
as follows:
MIMO Matrix A for Coverage Gain: In a configuration with multiple transmit/receive antennas, a single data stream is
transmitted in parallel over multiple paths. A mathematical algorithm known as Space Time Codes (STC) is used to
encode the data streams to make them orthogonal to each other. This improves the signal-to-noise ratio at the receiver
side, resulting in increased range and better throughput for subscribers that are difficult to reach (for example, deep
indoors).
MIMO Matrix B for Increased Capacity: This flavor of MIMO, also known as Spatial Multiplexing MIMO
(SM-MIMO), sends an independent data stream over each antenna. Thus, when signal conditions are good, the data rate
is increased and in excellent conditions may be doubled.
3.7.2.3 Mobility
The Mobility menu enables you to view/update the value configured for the parameter described below.
3.7.2.3.1 Deployment
The type of deployment in the area served by the BS: Fix or Mobile. To support proper handover, this value should be set to
Fix only if mobile MSs are not expected. The default is Fix.
A change in the Deployment parameter takes effect after the next reset.
3.7.2.4 Power Control
The Power Control menu enables you to view/update the values configured for the following parameters:
Target Ni
Allowed Interference Level
Table 19: DL:UL Ratios
BS Bandwidth (MHz) Total Uplink Duration (Slots) DL:UL Ratio
5/10 4 35:12*
5 32:15
6 29:18
7 MHz 3 24:9
4 21:12

Chapter 3 - Operation and AdministrationBS Menu
Chapter 3: Operation and Administration BS Menu
. . . . . . . . . . . . . . . . . . . . . . . . . . . . . . . . . . . . . . . . . . . . . . . . . . . . . . . .
BreezeCOMPACT System ManualBreezeCOMPACT System Manual 79
3.7.2.4.1 Target Ni
The target noise and interference level for the PUSC zone, in dBm.
The range is from -130 to -110 in steps of 1 (dBm). The default is -127.
3.7.2.4.2 Required C/N Levels
Available only in the Show manu. Specifies the required CINR value for different MCSs and feedback zone massages.
3.7.2.4.3 Allowed Interference Level
This parameter defines the correction of maximum allowed UL SINR based on measured DL SINR.
The options are Very High, High, Medium and Low.
The default is High.
A change in the Allowed Interference Level takes effect after the next reset.
3.7.2.5 Feedback
The Feedback menu enables you to view/update the values configured for the following parameters:
IR CDMA Allocations Period
Start of Ranging Codes Used
Maximum Cell Radius
Ducting Mitigation Mode
3.7.2.5.1 IR CDMA Allocations Period
The period of IR CDMA allocations (Initial Ranging Interval), in frames.
The available options are 1, 2, 4, 6, 8 and 10. The default is 2.
A change in the IR CDMA Allocations Period takes effect after the next reset.
3.7.2.5.2 Start of Ranging Codes Used
The starting number of the group of codes used for the uplink.
The available options are 0, 64, 128 and 192. The default is 0.
A change in the Start of Ranging Codes Used takes effect after the next reset.
3.7.2.5.3 Maximum Cell Radius
The maximum cell radius, in km.
The available values are 1, 2, 4, 8, 15, 23 and 30. The default is 2.
A change in the Maximum Cell Radius takes effect after the next reset.

Chapter 3 - Operation and AdministrationBS Menu
Chapter 3: Operation and Administration BS Menu
. . . . . . . . . . . . . . . . . . . . . . . . . . . . . . . . . . . . . . . . . . . . . . . . . . . . . . . .
BreezeCOMPACT System ManualBreezeCOMPACT System Manual 80
3.7.2.5.4 Ducting Mitigation Mode
Sudden changes in the atmosphere's moisture and temperature profiles can on random occasions make radio signals
propagate hundreds of kilometers and even more, far beyond the normal radio horizon. When a BS suffers from such
tropospheric ducting phenomena, which causes reception of a relatively strong signal transmitted by a very far BTS, the
Ducting Mitigation feature enables increasing the time period between DL and UL transmissions to reduce potential
interference effects. This is achieved by adding DL Silenced Symbols and, if necessary, changing the number of Extra TTG
slots (see below). This results in reducing the actual UL Duration by 1 slot (Medium Ducting Mitigation Mode) or 2 slots
(High Ducting Mitigation Mode) without affecting the number of DL symbols (for the same combination of Configured
Total Uplink Duration and Maximum Cell Radius).
Note that for certain values of configured Total Uplink Duration, the High and/or Medium options are not available since the
minimum uplink duration is 4 slots for a BS bandwidth of 5/10 MHz or 3 slots for a BS bandwidth of 7 MHz.
The options are None, Medium or High.
The default is None.
Table 20: Functionality of Allowed Ducting Mitigation Modes, 5/10 MHz BS Bandwidth
Configured
Total Uplink
Duration
(Slots)
Mitigation
Mode Maximum Cell
Radius (Km) Extra TTG
(Symbols) Added DL
Silenced
Symbols
Actual
Uplink
Duration
(Slots)
DL
Symbols
4 None 1, 2, 4, 8 0 0 5 34
15, 23, 30 2 0 4 32
Medium N/A
High N/A
5 None 1, 2, 4, 8, 15, 23 1 0 5 30
30 3 0 5 28
Medium 1, 2, 4, 8 0 4 4 30
15, 23 2 2 4 30
30 2 4 4 28
High N/A
6 None 1, 2, 4, 8 0 0 6 28
15, 23, 30 2 0 6 26
Medium 1, 2, 4, 8 1 2 5 28
15, 23 1 4 5 26
30 3 2 5 26
High 1, 2, 4, 8 0 6 4 28
15, 23, 30 2 6 4 26

Chapter 3 - Operation and AdministrationBS Menu
Chapter 3: Operation and Administration BS Menu
. . . . . . . . . . . . . . . . . . . . . . . . . . . . . . . . . . . . . . . . . . . . . . . . . . . . . . . .
BreezeCOMPACT System ManualBreezeCOMPACT System Manual 81
3.7.2.6 Connectivity
The Connectivity menu includes the following options:
Bearer Interface
Authentication
QOS Marking Rules
7 None 1, 2, 4, 8, 15, 23 1 0 7 24
30 3 0 7 22
Medium 1, 2, 4, 8 0 4 6 24
15, 23 2 2 6 24
30 2 4 6 22
High 1, 2, 4, 8, 15, 23 1 6 5 24
30 3 9 5 22
Table 21: Functionality of Allowed Ducting Mitigation Modes, 7 MHz BS Bandwidth
Configured
Total Uplink
Duration
(slots)
Mitigation
Mode Maximum Cell Radius
(Km) Extra TTG
(symbols) Added DL
Silenced
Symbols
Actual
Uplink
Duration
(slots)
DL
Symbols
3 None 1, 2, 4, 8, 15, 23, 30 1 0 3 22
Medium N/A
High N/A
4 None 1, 2, 4, 8, 15, 23 0 0 4 20
30 2 0 4 18
Medium 1, 2, 4, 8, 15, 23 1 2 3 20
30 1 4 3 18
High N/A
5 None 1, 2, 4, 8, 15, 23, 30 1 0 5 16
Medium 1, 2, 4, 8, 15, 23 0 4 4 16
30 2 2 4 16
Long 1, 2, 4, 8, 15, 23, 30 1 6 3 16
Table 20: Functionality of Allowed Ducting Mitigation Modes, 5/10 MHz BS Bandwidth (Continued)
Configured
Total Uplink
Duration
(Slots)
Mitigation
Mode Maximum Cell
Radius (Km) Extra TTG
(Symbols) Added DL
Silenced
Symbols
Actual
Uplink
Duration
(Slots)
DL
Symbols

Chapter 3 - Operation and AdministrationBS Menu
Chapter 3: Operation and Administration BS Menu
. . . . . . . . . . . . . . . . . . . . . . . . . . . . . . . . . . . . . . . . . . . . . . . . . . . . . . . .
BreezeCOMPACT System ManualBreezeCOMPACT System Manual 82
ASN-GW Load Balancing
3.7.2.6.1 Bearer Interface
The Bearer Interface menu enables you to view/update the values configured for the following parameters:
IP Address
Default Gateway Connectivity Status
3.7.2.6.1.1 IP Address
The IP address of the bearer interface of the BS. Must be unique in the network.
A change in the Bearer IP Address takes effect after the next reset.
3.7.2.6.1.2 Default Gateway Connectivity Status
Read-only. The status of connectivity with the default authenticator: unknown, up or down. The keep-alive mechanism starts
only after first registration at the ASN-GW. Until then, this mechanism is disabled and the connectivity status is unknown.
3.7.2.6.2 Authentication
The Authentication menu enables you to view/update the values configured for the parameter described below.
3.7.2.6.2.1 Threshold - Active MSs
The threshold for the number of MSs in active operation state (not Idle) served by the BS. Exceeding this threshold sets the
alarm Excessive MS number.
The range is 0–512. When set to 0, the alarm is disabled. The default is 512.
3.7.2.6.3 QOS Marking Rules
The QoS Marking Rules menu includes the following options:
Internal ASN Traffic QOS Rules
Internal Management Traffic QOS Rules
QOS Rules
3.7.2.6.3.1 Internal ASN Traffic QOS Rules
The Internal ASN Traffic QOS Rules menu enables you to view/update the values configured for the following
parameters:
Intra ASN DSCP
802.1p Priority
3.7.2.6.3.1.1 Intra ASN DSCP
DSCP priority value to be used for marking of intra-ASN (R8/R6) traffic. The range is 0–63. The default is 0.
A change in the Diffserve Code Point takes effect after the next reset.
3.7.2.6.3.1.2 802.1p Priority
802.1p priority value to be used for marking of intra-ASN (R8/R6) traffic. The range is 0–7. The default is 0.

Chapter 3 - Operation and AdministrationBS Menu
Chapter 3: Operation and Administration BS Menu
. . . . . . . . . . . . . . . . . . . . . . . . . . . . . . . . . . . . . . . . . . . . . . . . . . . . . . . .
BreezeCOMPACT System ManualBreezeCOMPACT System Manual 83
A change in the 802.1p Priority takes effect after the next reset.
3.7.2.6.3.2 Internal Management Traffic QOS Rules
The Internal Management Traffic QOS Rules menu enables you to view/update the values configured for the following
parameters:
Diffserv Code Point
802.1p Priority
3.7.2.6.3.2.1 Diffserv Code Point
DSCP priority value to be used for marking of internal management traffic. The range is 0–63. The default is 0.
A change in the Diffserve Code Point takes effect after the next reset.
3.7.2.6.3.2.2 802.1p Priority
802.1p priority value to be used for marking of internal management traffic. The range is 0–7. The default is 0.
A change in the 802.1p Priority takes effect after the next reset.
3.7.2.6.3.3 QOS Rules
The QOS Rules menu includes the following options:
Show: Use the Show option to view the main parameters (Rule Status, Marking Rule Name, Service Flow Data
Delivery Type and Service Flow Traffic Priority) of each existing QoS rule.
Add: Use the Add option to add a new QoS rule. The change takes effect after the next reset.
Select: Use the Select option to select a specific QoS rule by its Rule Number. You can then select one of the following:
Use the Show option to view all parameters of the selected rule.
Use the Update option to update one or several parameters of the selected rule. A rule is selected by the Rule
Number. Changes in a QoS rule take effect after the next reset.
Use the Delete option to remove the selected rule from the database. The change takes effect after the next reset.
QOS Rule parameters are described below.
3.7.2.6.3.3.1 Rule Number
The index number of the rule, which is a number in the range 1–16,383. The Rule Number of an existing rule cannot be
modified.
3.7.2.6.3.3.2 Rule Status
The status of the rule (Enabled or Disabled).
3.7.2.6.3.3.3 Marking Rule Name
The name of the QoS Marking Rule. This value is an optional string of up to 32 characters.
A change in Marking Rule Name takes effect after the next reset.

Chapter 3 - Operation and AdministrationBS Menu
Chapter 3: Operation and Administration BS Menu
. . . . . . . . . . . . . . . . . . . . . . . . . . . . . . . . . . . . . . . . . . . . . . . . . . . . . . . .
BreezeCOMPACT System ManualBreezeCOMPACT System Manual 84
3.7.2.6.3.3.4 Service Flow Data Delivery Type
The Service Flow Type for data delivery services: ugs, rtvr, nrtvr, be, ertvr or any.
A change in the Service Flow Data Delivery Type takes effect after the next reset.
3.7.2.6.3.3.5 Service Flow Traffic Priority
The priority of Service Flow traffic. The value can be 0–7 or ANY (255).
A change in the Service Flow Traffic Priority takes effect after the next reset.
3.7.2.6.3.3.6 Service Flow Media Flow Type
The Service Flow Media Flow Type, as defined in the ASN-GW or AAA server. This is an optional parameter (depending on
the value configured for Enable Service Flow Media Flow Type below). Its value can be up to 32 characters.
A change in the Service Flow Media Flow Type takes effect after the next reset.
3.7.2.6.3.3.7 Enable Service Flow Media Flow Type
Indicates whether the condition for the Service Flow Media Flow Type is enabled or disabled. If true, the Service Flow
Media Flow Type is considered when looking for a match.
A change in the Enable Service Flow Media Flow Type takes effect after the next reset.
3.7.2.6.3.3.8 Outer DSCP Marking
The DSCP value to be used for marking the outer IP header (IP/GRE). The range is 0–63.
A change in the Outer DSCP Marking takes effect after the next reset.
3.7.2.6.3.3.9 802.1p Priority Marking
The 802.1p priority to be used for marking traffic. The range is 0–7.
A change in the 802.1p Priority Marking takes effect after the next reset.
3.7.2.6.4 ASN-GW Load Balancing
At the BTS level, up to two pools (with different priorities), each with up to 10 ASN-GWs, can be defined (see “ASN-GW
Load Balancing Pools” on page 58). The BS inherits these pools. It should be noted that the ASN-GW defined in the BS as
the Default Authenticator is automatically added to the Primary Pool that is the higher priority pool (even though it is not
shown as belonging to the pool).
At the BS level, you can enable/disable the use of each of the two pools. The Secondary Pool can be enabled only if the
Primary Pool is enabled and includes at least one entry. Note that if both pools are disabled, or if the enabled pool(s) is/are
empty, the ASN-GW load-balancing feature is disabled and only the Default Authenticator is used.
The ASN-GW Load Balancing menu includes the following options:
Pools Availability
Primary Pool
Secondary Pool

Chapter 3 - Operation and AdministrationBS Menu
Chapter 3: Operation and Administration BS Menu
. . . . . . . . . . . . . . . . . . . . . . . . . . . . . . . . . . . . . . . . . . . . . . . . . . . . . . . .
BreezeCOMPACT System ManualBreezeCOMPACT System Manual 85
3.7.2.6.4.1 Pools Availability
The Pools Availability option enables you to view/update the status (Enabled/Disabled) of each of the pools. The Secondary
Pool can be enabled only if the Primary Pool is enabled.
A change in the Pool Availability takes effect after the next reset.
3.7.2.6.4.2 Primary Pool
The Primary Pool option enables you to view the IP address and current Connectivity Status for each of the ASN-GWs in
the pool, based on the selection of the ASN-GW Index.
3.7.2.6.4.3 Secondary Pool
The Secondary Pool option enables you to view the IP address and current Connectivity Status for each of the ASN-GWs in
the pool, based on the selection of the ASN-GW Index.
3.7.2.7 Management Thresholds
The Management Thresholds menu includes the following option:
Noise and Interference Level Thresholds
3.7.2.7.1 Noise and Interference Level Thresholds
The Noise and Interference Level Thresholds menu enables you to view/update the values configured for the following
parameters:
Uplink Median Noise
Throughput Active Second Threshold
3.7.2.7.1.1 Uplink Median Noise
The uplink median noise level represents the median value of the noise floor histogram. If the uplink median noise level
exceeds this value, an excessive uplink median noise alarm is generated.
The value is in dBm/tone. The default value of -124 is set to 3 dB above the default value of the Target NI parameter.
The range is from -135 to -100 (dBm).
3.7.2.7.1.2 Throughput Active Second Threshold
The BS Traffic Performance Parameters counters collected by the file collection mechanism include throughput counters
(bsDlMimoABfActualThroughput, bsDlMimoBActualThroughput and bsUlActualThroughput). These counters collect the
number of bytes transmitted/received during each 15-minute collection interval using different modulation techniques, and
the relevant numbers of active seconds. Active seconds are defined as seconds during which the relevant throughput was not
below the threshold defined by the Throughput Active Second Threshold.
The range is from 0 to 2,147,483,647 bytes per second.
The default is 0.

Chapter 3 - Operation and AdministrationBS Menu
Chapter 3: Operation and Administration BS Menu
. . . . . . . . . . . . . . . . . . . . . . . . . . . . . . . . . . . . . . . . . . . . . . . . . . . . . . . .
BreezeCOMPACT System ManualBreezeCOMPACT System Manual 86
3.7.2.8 Scheduler
Scheduling uncommitted (above the maximum reserved rate) traffic can be done using one of the following options:
Equal Time (ET) scheduling mode, in which air resources are scheduled in a fair manner that is proportional to the users'
excess traffic (maximum sustained rate - maximum reserved rate) SLAs.
Equal Rate (ER) scheduling mode, in which air resources are allocated to users aiming at ensuring data rate fairness
between users proportional to their excess traffic SLAs.
Assuming a sector with diversity (different channels conditions) of active users, an ET scheme enables higher aggregate
sector throughput at the expense of data-rate fairness among users, while an ER scheduling scheme ensures maximum
data-rate fairness among users at the expense of lower aggregate sector throughput.
Using an ER scheduling scheme exposes the system to excessive allocation of air resources to highly active users having
relatively poorer channel conditions. To ensure data-rate fairness, more resources must be allocated to these users compared
to users with relatively good channel conditions. The effect of a small number of such users within the sector is reflected by
reduced aggregate sector throughput as well as degradation of achievable rates for all users.
To protect against abusing users, an instantaneous rate threshold can be defined within the scheduling scheme in which the
amount of air resources for users with continuous instantaneous rate below the threshold is being limited. The more the
abusing users' instantaneous rate is below the threshold, the more resource allocation limitations are applied.
Three levels of dynamic protection are available:
No protection.
Low protection level: Protection against users with very poor channel conditions. Should be used where the abusing
users’ instantaneous rates are far below the average instantaneous rate within the sector.
Medium protection: Protection against users with relatively poor or very poor channel conditions. Should be used where
the abusing users’ instantaneous rates are below or far below the average instantaneous rate within the sector.
A dynamic protection mechanism is implemented, in which the mechanism of limiting resource allocations is automatically
and dynamically activated when needed.
The Scheduler menu enables you to view/update the values configured for the following parameters:
Scheduler Mode
Scheduler DL Abuse Protection Level
Scheduler UL Abuse Protection Level
3.7.2.8.1 Scheduler Mode
The basis for allocating excess bandwidth among relevant users is as follows:
Equal Rate: Throughput Fairness
Equal Time: Resource Fairness
The selected mode applies for both uplink and downlink schedulers.
The default is Equal Rate.

Chapter 3 - Operation and AdministrationBS Menu
Chapter 3: Operation and Administration BS Menu
. . . . . . . . . . . . . . . . . . . . . . . . . . . . . . . . . . . . . . . . . . . . . . . . . . . . . . . .
BreezeCOMPACT System ManualBreezeCOMPACT System Manual 87
A change in the Scheduler Mode takes effect after the next reset.
3.7.2.8.2 Scheduler DL Abuse Protection Level
Applicable only if the selected Scheduler Mode is Equal Rate:
None: No Protection
Low: Limits the DL resources allocated to MSs with a very low DL transmission rate
Medium: Limits the DL resources allocated to MSs with a low and very low DL transmission rate
The default is None.
A change in the Scheduler DL Abuse Protection Level takes effect after the next reset.
3.7.2.8.3 Scheduler UL Abuse Protection Level
Applicable only if the selected Scheduler Mode is Equal Rate:
None: No Protection
Low: Limits the UL resources allocated to MSs with a very low UL transmission rate
Medium: Limits the UL resources allocated to MSs with a low and very low UL transmission rate
The default is None.
A change in the Scheduler UL Abuse Protection Level takes effect after the next reset.

Chapter 3 - Operation and AdministrationChassis Menu
Chapter 3: Operation and Administration Chassis Menu
. . . . . . . . . . . . . . . . . . . . . . . . . . . . . . . . . . . . . . . . . . . . . . . . . . . . . . . .
BreezeCOMPACT System ManualBreezeCOMPACT System Manual 88
3.8 Chassis Menu
The Chassis menu includes the following options:
General
Ports Control
3.8.1 General
The Chassis General menu enables you to view the following read-only general chassis properties and status:
HW Version.
Serial Number.
Temperature (°C).
Operational SW Version.
Shadow SW Version.
Running SW Version: The source of the current running software version (operational/Shadow).
Boot SW Version.
Active Data Port MAC Address: The MAC address of the active data port.
Data Three MAC Address: The MAC address of Data Port 3.
Topology Type: The Topology Type used by the unit. In the current release, only One Sector, One Carrier topology (see
“BreezeCOMPACT Product Topologies” on page 18) is supported.
Maximal Frame Size (see details below).
SFP Product Type: The installed SFP type (if any) in DAT1 port. The available options include approved SFP types,
none (SFP not installed) and not Verified (a non-approved SFP).
RCW Version.
3.8.1.1 Topology Type
You can update the topology type of the BTS on the Update menu (single area, single carrier; dual carrier, dual area; dual
carrier on area)

Chapter 3 - Operation and AdministrationChassis Menu
Chapter 3: Operation and Administration Chassis Menu
. . . . . . . . . . . . . . . . . . . . . . . . . . . . . . . . . . . . . . . . . . . . . . . . . . . . . . . .
BreezeCOMPACT System ManualBreezeCOMPACT System Manual 89
3.8.1.2 Maximal Frame Size
The maximal size (excluding the preamble) of frames on the Ethernet port.
The range is from 1,400 to 1,600 Bytes.
The default is 1,578 Bytes.
A change in the Maximal Frame Size takes effect after the next reset.
3.8.2 Ports Control
The Chassis Ports Control menu enables you to control the operation mode of each RF port.
For each of the four ports, the following options for the Shutdown Power Port # (1-4) parameter are available:
shutDown: Select to shut down power to the port.
noShutDown: Normal operation.
rxOnly: Disables transmission on the port (enables only receive functionality).
The default status for all ports is normal operation (noShutDown).
A change in the Shutdown Power Port # parameter takes effect after the next reset.
In the current release, the following configuration options apply:
14Rx by 4Tx: All 4 ports should be configured for Tx/Rx operation (noShutDown).
24Rx by 2Tx (4x2) configuration: 2 ports should be configured for Tx/Rx operation (noShutDown), and the 2 other ports
should be configured for Rx-only operation (rxOnly). Different antenna polarities should be connected to the 2 Tx/Rx
ports. For BreezeCOMPACT2000, there are two Tx ports in ports 1 and 2.
32Rx by 2Tx (2x2) configuration: 2 ports should be configured for Tx/Rx operation (noShutDown), and the 2 other ports
should be disabled (shutDown). Different antenna polarities should be connected to the 2 Tx/Rx ports. For
BreezeCOMPACT2000, there two Tx ports in ports 1 and 2.
Refer to the Installed RH Type (see “RH Menu” on page 95) for details about the ports configuration supported by each
Radio Head.
NOTE!
Relevant when the Legacy ASN is enabled.

Chapter 3 - Operation and AdministrationGPS Menu
Chapter 3: Operation and Administration GPS Menu
. . . . . . . . . . . . . . . . . . . . . . . . . . . . . . . . . . . . . . . . . . . . . . . . . . . . . . . .
BreezeCOMPACT System ManualBreezeCOMPACT System Manual 90
3.9 GPS Menu
The GPS menu includes the following options:
General Configuration
Inventory & Statuses
3.9.1 General Configuration
The GPS General Configuration menu enables you to view/update the parameters described below.
3.9.1.1 GPS Type
The type of time synchronization source to be used. The currently available options are None and TrimbleLassen.
The default is TrimbleLassen.
A change in the GPS Type takes effect after the next reset.
3.9.1.2 Longitude
The longitude of the site. The format is lll.mmm,a, where lll.is the longitude, in degrees (between 000 to 179), mmm is
minutes (between 000 and 999) and a is E (east) or W (west). The default is 000.000,E.
This parameter is only configurable if the GPS Type is set to None. Otherwise, it is read-only, and displays the value
calculated by the GPS receiver.
3.9.1.3 Latitude
The latitude of the site. The format is ll.mmm,a, where ll.is the latitude, in degrees (between 00 to 89), mmm is minutes
(between 000 and 999) and a - is N (north) or S (south). The default is 00.000,N.
This parameter is only configurable if the GPS Type is set to None. Otherwise, it is read-only, and displays the value
calculated by the GPS receiver.
3.9.1.4 Altitude
The altitude, in meters, of the site in meters. Values are from -300.0 to 9000.0. The default is 0.
This parameter is only configurable if the GPS Type is set to None. Otherwise, it is read-only, and displays the value
calculated by the GPS receiver.

Chapter 3 - Operation and AdministrationGPS Menu
Chapter 3: Operation and Administration GPS Menu
. . . . . . . . . . . . . . . . . . . . . . . . . . . . . . . . . . . . . . . . . . . . . . . . . . . . . . . .
BreezeCOMPACT System ManualBreezeCOMPACT System Manual 91
3.9.1.5 UTC Time and Date
The UTC (Coordinated Universal Time) date and time. This parameter is only configurable if the GPS Type is set to None.
Otherwise, it is the read-only data received from the GPS receiver.
The format is hh: mm: ss,dd/mm/yyyy, where hh is hours (between 0 and 23), mm is minutes (between 0 and 59), ss is
seconds (between 0 and 59), dd/mm is day/month, per usual date and month rules and yyyy is the year.
3.9.1.6 Clock Mode (GPS Chaining)
This parameter is related to the GPS Chaining functionality introduced in R5.0.
For a cluster of Compacts on the same site, GPS chaining enables you to connect one Compact to the GPS receiver (Master
unit). All other Compacts obtain clock feeds from the Master (Slave units).
The Master should be configured for the BreezeCOMPACT unit that is directly connected to GPS (either Standalone or
Chaining mode).
During installation, the operator must know which Compact is connected to the GPS in order to configure it as a Master. For
Slave units, the GPS In cable is connected from the previous Compact in the chain, and is configured as a Slave.
The maximum of 3 chain units is supported.
The following figure describes the connectivity for GPS Chaining mode.
Figure 10: GPS Chaining Mode Connectivity
3.9.1.7 Hold Over Passed Timeout
This parameter applies only when the External 1PPS is enabled. This parameter defines the period, in minutes, for which the
device provides holdover using its internal 1PPS clock after the loss of the external 1PPS signal. This parameter is not
relevant if the Stop TX After Hold Over Timeout (see below) is disabled.
The range is from 0 to 120 minutes. The default is 120 minutes.

Chapter 3 - Operation and AdministrationGPS Menu
Chapter 3: Operation and Administration GPS Menu
. . . . . . . . . . . . . . . . . . . . . . . . . . . . . . . . . . . . . . . . . . . . . . . . . . . . . . . .
BreezeCOMPACT System ManualBreezeCOMPACT System Manual 92
3.9.1.8 Stop TX After Hold Over Timeout
This parameter applies only when the External 1 PPS is enabled. It indicates whether the BTS should stop data transmission
if the unit does not receive an external 1 PPS signal and the holdover passed timeout has occurred. When enabled, the BTS
stops transmitting after being in a holdover state for more than the Hold Over Passed Timeout.
The default is Enable.
3.9.1.9 Time Zone Offset From UTC
The offset of the local time from the UTC.
The range is -12:00 to +13:00, in 30 minutes resolution. The default is +00.00.
3.9.1.10 Local Time and Date
A read-only display of the local date and time (using a 24-hour clock), as calculated using the UTC Time and Date and
taking into account the Time Zone Offset From UTC and Daylight Saving Time parameters. The format is: hh:mm:ss;
dd/mm/yyyy.
3.9.1.11 Daylight Saving Mode
The Daylight Saving Mode parameter is used to enable or disable the daylight-savings feature using the following
parameters: Start Date, Stop Date and Advance Hour Factor. The default is Disable.
A change in the Daylight Saving Mode takes effect after the next reset.
3.9.1.12 Advance Hour Factor
When Daylight Saving is enabled, this parameter defines the amount of time by which the clock should be advanced during
the daylight-saving period.
The available values are 0 (daylight saving disabled), 1 and 2 (hours). The default is 0.
3.9.1.13 Start Date
When Daylight Saving is enabled, this parameter defines the date for starting the daylight-savings feature. At the beginning
of this date (midnight of this day), the clock is advanced by the number of hours specified by the Advance Hour Factor
parameter.
Use the format dd.mm to define the date and month at which to start activating the daylight-savings feature.
A change in the Start Date takes effect after the next reset.

Chapter 3 - Operation and AdministrationGPS Menu
Chapter 3: Operation and Administration GPS Menu
. . . . . . . . . . . . . . . . . . . . . . . . . . . . . . . . . . . . . . . . . . . . . . . . . . . . . . . .
BreezeCOMPACT System ManualBreezeCOMPACT System Manual 93
3.9.1.14 Stop Date
When Daylight Saving is enabled, this parameter defines the date for ending the daylight-savings feature (Advance Hour
Factor hours after midnight at the end of this day).
Use the format dd.mm to define the date and month at which to end activating the daylight-savings feature.
A change in the Stop Date takes effect after the next reset.
3.9.2 Inventory & Statuses
The Inventory & Statuses menu, enables you to view the read-only properties and status parameters describes below.
3.9.2.1 Signal Processor SW Version
The software version of the signal processor of the GPS receiver (if GPS is used and is operating properly).
3.9.2.2 Number Of Satellites
The number of satellites currently acquired by the GPS receiver (if GPS is used and is operating properly).
3.9.2.3 External 1PPS failure
The status of the External 1PPS clock received from the GPS receiver, when synchronized if a GPS receiver is used.
3.9.2.4 4 Satellites and More
This parameter indicates whether 4 (the minimum required for initial synchronization) or more satellites are received by the
GPS receiver (if GPS is used and is operating properly).
3.9.2.5 2 Satellites and More
This parameter indicates whether 2 (the minimum number required for maintaining synchronization after establishing initial
synchronization) or more satellites are received by the GPS receiver (if GPS is used and is operating properly).
3.9.2.6 GPS Communication Failure
This parameter indicates the status of communication with the GPS receiver (if GPS is used and is operating properly).
3.9.2.7 Hold Over Entered
This parameter indicates whether the device has entered into Hold Over state.

Chapter 3 - Operation and AdministrationGPS Menu
Chapter 3: Operation and Administration GPS Menu
. . . . . . . . . . . . . . . . . . . . . . . . . . . . . . . . . . . . . . . . . . . . . . . . . . . . . . . .
BreezeCOMPACT System ManualBreezeCOMPACT System Manual 94
3.9.2.8 Hold Over timeout passed
This parameter indicates whether the Hold Over Timeout has passed (applies only after entering Hold Over state).
3.9.2.9 BS Stopped to Transmit
This parameter indicates whether the BSs stopped transmitting due to being in Hold Over state for a period longer than the
Hold Over Timeout.
3.9.2.10 Internal 1PPS Failure
This parameter specifies the status of the Internal 1PPS clock.

Chapter 3 - Operation and AdministrationRH Menu
Chapter 3: Operation and Administration RH Menu
. . . . . . . . . . . . . . . . . . . . . . . . . . . . . . . . . . . . . . . . . . . . . . . . . . . . . . . .
BreezeCOMPACT System ManualBreezeCOMPACT System Manual 95
3.10 RH Menu
The RH (Radio Head) menu includes the following options:
General
Ports
3.10.1 General
The RH General menu enables you to view the following read-only general RH properties:
Serial Number
RH Minimum Frequency: Indicates the lower frequency supported by the BreezeCOMPACT
RH Maximum Frequency: Indicates the upper frequency supported by the BreezeCOMPACT
RH Maximum Tx Power: Indicates the maximum output power supported by the BreezeCOMPACT
RH Port Configuration: Indicates the number of Rx/Tx ports
3.10.2 Ports
The RH Ports menu enables you to view the general port status parameters for all ports or for selected radio ports:
3.10.2.1 Calculated TX Power
The required Tx power at the radio port, in dBm. This value is calculated according to the Tx Power configured for the Radio
Cluster and the Topology Type. In the current release (supports only One Sector, One Carrier topology), the RH Port
INFORMATIO
N
In the current release, the following RH types are supported:
COMPACT1000:
3,400–3,675 MHz, 27 dBm, 4Rx by 4Tx
3,400–3,600 MHz, 30 dBm, 4Rx by 4Tx
3,300–3,800 MHz, 30 dBm, 4Rx by 4Tx
3,400–3,700 MHz, 30 dBm, 4Rx by 4Tx
3,300–3,500 MHz, 30 dBm, 4Rx by 4Tx
3,600–3,800 MHz, 30 dBm, 4Rx by 4Tx
5,470–5,950 MHz, 20 dBm, 4Rx by 4Tx
COMPACT 2000 (High Power):
(3,400–3,600 MHz, 37 dBm, 4Rx by 2Tx
COMPACT 3000 (High Power):
2,496–2,696 MHz, 40 dBm, 4Rx by 4Tx

Chapter 3 - Operation and AdministrationSpectrum Analyzer
Chapter 3: Operation and Administration Spectrum Analyzer
. . . . . . . . . . . . . . . . . . . . . . . . . . . . . . . . . . . . . . . . . . . . . . . . . . . . . . . .
BreezeCOMPACT System ManualBreezeCOMPACT System Manual 96
Calculated Tx Power equals the Radio Cluster’s Tx Power.
3.10.2.2 RH Status Mask
This parameter is read-only. This parameter is a decimal number representing the value of a 32-bit mask (bits 0–31)
indicating possible failures. This parameter applies only for an installed and associated RH. For a No Failure status, the value
is 0. If the value is other than 0, contact Customer Support.
3.11 Spectrum Analyzer
Spectrum Analyzer functionality was built for the installer and the radio planner to decide for each sector, once deployed, the
best RF channel to define for the BreezeCOMPACT. This function is critical in unlicensed spectra, such as in 3.65 GHz – 3.7
GHz in the US and Canada, where other transmitting devices may interfere with the BreezeCOMPACT.
The Spectrum Analysis feature enables you to determine the noise characteristics per channel. This enables the construction
of a relatively noise-free working environment. When the Spectrum Analyzer feature is activated, the unit enters a passive
scanning mode for a period of time during which information is gathered. The scanned channels are the channels comprising
a selected subset.
Upon activating the spectrum analysis, the unit automatically shuts down the RF ports. During the information-gathering
period, the unit does not receive nor transmit data. It also cannot synchronize/associate, meaning that it cannot be managed
via the wireless link. At the end of the period, the user should configure the system for normal operation.
3.11.1 Enable/Disable
By entering the BS number (Sector 1 or Sector 2), the user can disable or enable Spectrum Analyzer functionality. Upon
enabling the function, the Tx ports stop transmitting.
3.11.2 Configuration
The Spectrum Analyzer Configuration menu includes the following options:
1 – Show Scan Configuration: Displays the current Spectrum Analyzer configuration
2 – Set Active BS Number
3 – Set Start Scanning Frequency
4 – Set Stop Scanning Frequency
5 – Set Scanning Step
6 – Set Scanning Duration Per Step
7 – Repeat

Chapter 3 - Operation and AdministrationSpectrum Analyzer
Chapter 3: Operation and Administration Spectrum Analyzer
. . . . . . . . . . . . . . . . . . . . . . . . . . . . . . . . . . . . . . . . . . . . . . . . . . . . . . . .
BreezeCOMPACT System ManualBreezeCOMPACT System Manual 97
8 – Set Default Configuration
3.11.3 Show Current State
This parameter displays the Spectrum Analyzer state per BS/Sector. It indicates the enabled/disabled state and scanning
state.
3.11.4 Start Scanning
This parameter starts the scanning process.
3.11.5 Abort Scanning
This parameter aborts the scanning state. Results are shown up to the last scanned frequency.

Chapter 3 - Operation and AdministrationSpectrum Analyzer
Chapter 3: Operation and Administration Spectrum Analyzer
. . . . . . . . . . . . . . . . . . . . . . . . . . . . . . . . . . . . . . . . . . . . . . . . . . . . . . . .
BreezeCOMPACT System ManualBreezeCOMPACT System Manual 98
3.11.6 Show Results
This parameter shows the sort method to be used for displaying results. Select 0 for by Freq or 1 for by NI level.
The following figure shows a results example for the Spectrum Analyzer.
Figure 11: Spectrum Analyzer Results

Chapter 3 - Operation and AdministrationDual Carrier Load Balancing
Chapter 3: Operation and Administration Dual Carrier Load Balancing
. . . . . . . . . . . . . . . . . . . . . . . . . . . . . . . . . . . . . . . . . . . . . . . . . . . . . . . .
BreezeCOMPACT System ManualBreezeCOMPACT System Manual 99
3.12 Dual Carrier Load Balancing
BreezeCOMPACT’s Dual Carrier topology in a Single Sector enables load balancing between two
carriers. The load is distributed between the two carriers using a load balancing algorithm in each
carrier.
Two configurable parameters are used in this algorithm:
Num of MSs per Carrier: Defines the minimum number of MSs to be connected to a carrier before
the load balancing mechanism is activated. The default value is 10.
Num of MSs Difference Between Carriers: Defines the maximum difference between the number of
MSs connected to each carrier. The default value is 5.
The following load balancing information is displayed in Telnet:
LB allow MS init: Displays the minimum number of MSs to be connected to a carrier before the
load balancing mechanism is activated
LB allow diff between carriers: Displays the maximum difference between the number of MSs
connected to each carrier.
Carrier 1 MS Count: Displays the number of MSs connected to Carrier 1.
Carrier 1 LB: Indicates whether load balancing is OFF or ON for Carrier 1.
Carrier 2 MS Count: Displays the number of MSs connected to Carrier 2.
Carrier 2 LB: Indicates whether load balancing is OFF or ON for Carrier 2.

BreezeCOMPACT System Manual
. . . . . . . . . . . . . . . . . . . . . . . . . . . . . . . . . . . . . . . . . . . . . . . . . . . . . . . .
We’re on your wavelength.

