Topcon Gts 821A 822A 823A 825A Users Manual 820Eng 01
GTS-821A, GTS-822A, GTS-823A, GTS-825A to the manual 2e60eb10-37ef-426b-9f12-fcef07caeae1
2015-02-02
: Topcon Topcon-Gts-821A-Gts-822A-Gts-823A-Gts-825A-Users-Manual-486848 topcon-gts-821a-gts-822a-gts-823a-gts-825a-users-manual-486848 topcon pdf
Open the PDF directly: View PDF .
Page Count: 144 [warning: Documents this large are best viewed by clicking the View PDF Link!]
- Top
- FOREWORD
- 1 NOMENCLATURE AND FUNCTIONS
- 2 PREPARATION FOR MEASUREMENT
- 2.1 Power Connection
- 2.2 Setting Instrument Up For Measurement
- 2.3 Power Switch Key ON
- 2.4 Battery Level Indicator
- 2.5 Main Menu Icons
- 2.6 Vertical and Horizontal Angle Tilt Correction
- 2.7 Compensation of Systematic Error of Instrument
- 2.8 Resume Mode ON/OFF
- 2.9 How to Enter Numerals and Alphabet Letters
- 2.10 Memory Card
- 2.11 Inclination of Prism and Measuring Error
- 3 AUTOMATIC TRACKING / AUTOMATIC COLLIMATION
- 4 STANDARD MEASUREMENT MODE
- 5 PROGRAM MODES
- 6 MEMORY MANAGE MODES
- 7 COMMUNICATION MODES
- 8 PARAMETERS SETTING MODE
- 9 CHECK AND ADJUSTMENT
- 9.1 Checking and Adjusting of Instrument Constant
- 9.2 Checking the Optical Axis
- 9.3 Checking/Adjusting the Theodolite Functions
- 9.4 Adjustment of Compensation Systematic Error of Instrument
- 9.5 Showing Constant List and Switch ON/OFF Compensation Systematic Error of Instrument
- 9.6 How to adjust the date and time
- 9.7 How to Set the Instrument Constant Value
- 9.8 Reference Frequency Checking Mode
- 9.9 Inspection and Adjustment of Optic Axis for Auto -Tracking
- 10 SETTING THE PRISM CONSTANT VALUE
- 11 SETTING ATMOSPHERIC CORRECTION
- 12 CORRECTION FOR REFRACTION AND EARTH CURVATURE
- 13 POWER SOURCE AND CHARGING
- 14 DETACH/ATTACH OF TRIBRACH
- 15 BATTERY SYSTEM
- 16 PRISM SYSTEM
- 17 PRECAUTIONS
- 18 ERROR DISPLAYS
- 19 SPECIAL ACCESSORIES
- 20 SPECIFICATIONS
- Back

INSTRUCTION MANUAL
AUTO TRACKING TOTAL STATION
GTS-820A
SERIES
GTS-821A
GTS-822A
GTS-823A
GTS-825A

1
FOREWORD
FOREWORD
Thank you for purchasing the TOPCON Auto Tracking Total Station, GTS-820A
series. For the best performance of the instruments, please carefully read these
instructions and keep them in a convenient location for future reference.
General Handling Precautions
Before starting work or operation, be sure to check that the instrument is functioning
correctly with normal performance.
Do not submerge the instrument into water.
The instrument can not be submerged underwater.
The instrument is designed based on the International Standard IP54, therefore it is protected from
the normal rainfall.
Setting the instrument on a tripod
When mounting the instrument on a tripod, use a wooden tripod when possible. The vibrations that
may occur when using a metallic tripod can effect the measuring precision.
Installing the tribrach
If the tribrach is installed incorrectly, the measuring precision could be effected. Occasionally check the
adjusting screws on the tribrach. Make sure the base fixing lever is locked and the base fixing screws
are tightened.
TR-5 or TR-5P tribrach should be used for prism side when the traverse surveys is performed.
Guarding the instrument against shocks
When transporting the instrument, provide some protection to minimize risk of shocks. Heavy shocks
may cause the measurement to be faulty.
Carrying the instrument
Always carry the instrument by its handgrip.
Exposing the instrument to extreme heat.
Do not leave the instrument in extreme heat for longer than necessary. It could adversely affect its
performance.
Sudden changes of temperature
Any sudden change of temperature to the instrument or prism may result in a reduction of measuring
distance range, i.e when taking the instrument out from a heated vehicle. Let instrument acclimate
itself to ambient temperature.
Battery level check
Confirm battery level remaining before operating.
Memory back up
The instrument has a built in battery for memory back up. If the battery power is low, “Back up battery
empty” will display. It is still possible to measure the distance and the angle, but the measured data
and the parameter setting can be lost. Contact your dealer, to replace the battery.
Taking the battery out
It is recommended not to take the battery out during the power is on. All the data stored is possible
gone at that time. So please do your assembling or taking the battery out after the power is off.
No responsibility
TOPCON Corporation has no responsibility for loss of data stored in the memory in case unexpected
accidents.

2
FOREWORD
Rotating the instrument and telescope
Rotation of the instrument or telescope is driven electronically in normal operation.
Do not disturb the rotation.
Storage in the case
Keep the telescope horizontally and turn the instrument to align its mark with the lower base mark
(Storage mark). Keep its objective lens side downward. Storing it in the case in any other way may
cause damage. Hold the hand grips and base with both hands, when taking the instrument out of the
case, or putting the equipment in the case.
Maintenance for driving parts.
Every 4,000~5,000 hours operation in total, change grease of driving parts.
Contact your dealer or TOPCON Head Office for the maintenance.

3
FOREWORD
Display for Safe Use
In order to encourage the safe use of products and prevent any danger to the operator and others or
damage to properties, important warnings are put on the products and inserted in the instruction
manuals.
We suggest that everyone understand the meaning of the following displays and icons before reading
the “Safety Cautions” and text
•Injury refers to hurt, burn, electric shock, etc.
•Physical damage refers to extensive damage to buildings or equipment and furniture.
Safety Cautions
Display Meaning
Ignoring or disregard of this display may lead to the danger of death or
serious injury.
Ignoring or disregard of this display may lead to personal injury or phys-
ical damage.
WARNING
•There is a risk of fire, electric shock or physical harm if you attempt to disassemble or
repair the instrument yourself.
This is only to be carried out by TOPCON or an authorized dealer, only!
•Cause eye injury or blindness.
Do not look at the sun through a telescope.
•Laser beams can be dangerous, and can cause eye injury's if used incorrectly.
Never attempt to repair the instrument yourself.
•Cause eye injury or blindness.
Do not stare into beam.
•High temperature may cause fire.
Do not cover the charger while it is charging.
•High temperature may cause fire.
Do not connect the battery to an instrument while it is charging.
•Risk of fire or electric shock.
Do not use damaged power cable, plug and socket.
•Risk of fire or electric shock.
Do not use a wet battery or charger.
•May ignite explosively.
Never use an instrument near flammable gas, liquid matter, and do not use in a coal mine.
•Battery can cause explosion or injury.
Do not dispose in fire or heat.
•Risk of fire or electric shock.
Do not use any power voltage except the one given on manufacturers instructions.
•Battery can cause outbreak of fire.
Do not use any other type of charger other than the one specified.
•Risk of fire.
Do not use any other power cable other than the one specified.
•Battery can cause outbreak of fire.
Do not block up the vent of the battery.
•The short circuit of a battery can cause a fire.
Do not short circuit battery when storing it.
WARNIN
G
CAUTION

4
FOREWORD
User
1)This product is for professional use only!
The user is required to be a qualified surveyor or have a good knowledge of surveying, in order to
understand the user and safety instructions, before operating, inspecting or adjusting.
2)Wear the required protectors (safety shoes, helmet, etc.) when operating.
Exceptions from Responsibility
1)The user of this product is expected to follow all operating instructions and make periodic checks of the
product’s performance.
2)The manufacturer, or its representatives, assumes no responsibility for results of a faulty or intentional
usage or misuse including any direct, indirect, consequential damage, and loss of profits.
3)The manufacturer, or its representatives, assumes no responsibility for consequential damage, and
loss of profits by any disaster, (an earthquake, storms, floods etc.).
A fire, accident, or an act of a third party and/or a usage any other usual conditions.
4)The manufacturer, or its representatives, assumes no responsibility for any damage, and loss of profits
due to a change of data, loss of data, an interruption of business etc., caused by using the product or
an unusable product.
5)The manufacturer, or its representatives, assumes no responsibility for any damage, and loss of profits
caused by usage except for explained in the user manual.
6)The manufacturer, or its representatives, assumes no responsibility for damage caused by wrong
movement, or action due to connecting with other products.
CAUTION
Use of controls or adjustment or performance of procedures other than those specified herein
may result in hazardous radiation exposure.
Let the laser beam reach the aimed object or the target without anybody else in the laser beam
path. In case you operate laser beam open, avoid radiating laser beam to the height of man's
head. It is quite possible for the beam to enter into one's eyes, and it is possible to lose visual
sight temporarily, and lose one's caution and awareness of other dangers - avoid glaring beam.
Do not connect or disconnect equipment with wet hands, you are at risk of electric shocks if you
do!
Risk of injury by overturn the carrying case.
Do not stand or sit on the carrying cases.
Please note that the tips of tripod can be hazardous, be aware of this when setting up or carrying
the tripod.
Risk of injury by falling down the instrument or case.
Do not use a carrying case with a damaged which belts, grips or latches.
Do not allow skin or clothing to come into contact with acid from the batteries, if this does occur
then wash off with copious amounts of water and seek medical advice.
A plumb bob can cause an injury to a person if used incorrectly.
It could be dangerous if the instrument falls over, please ensure you attach a handle battery to
the instrument securely.
Ensure that you mount the Tribrach correctly, failing to do so may result in injury if the tribrach
were to fall over.
It could be dangerous if the instrument falls over, please check that you fix the instrument to the
tripod correctly.
Risk of injury by falling down a tripod and an instrument.
Always check that the screws of tripod are tightened.

5
FOREWORD
Laser Safety
GTS-820A series uses the visible laser beam for auto tracking, optical communication. The
GTS-820A series products are manufactured and sold in accordance with “Radiation Safety of Laser
Products, Equipment Classification, Requirements and User‘s Guide” (IEC Publication 60825-1) or
“Performance Standards for Light-Emitting Products” (FDA/BRH 21 CFR 1040) provided on the safety
standards for laser beam.
As per the said standards, GTS-820A series is classified as “Class 2 (CLASS II) Laser Products”.
The laser beam belongs not very dangerous type but we request you to keep and understand “Safety
standard for users” as mentioned in the manual instruction.
In case of any failure, do not disassemble the instrument. Contact TOPCON or your TOPCON dealer.
Laser class of each mode is as follows.
Labels
Find the labels which describes the caution and safety about the laser beam as follows in GTS-820A
series.
We request you to replace it one anytime the caution labels are damaged or lost and paste a new one
at the same place. You can get the labels from Topcon or your dealer.
Symbol marks while the laser is emitting.
The following symbol marks of instrument status will indicate that the laser is emitting.
Mode Laser class
Autotracking Class 1 (CLASS II)
Optical communication Class 2 (CLASS II)
Beam aperture
Warning Label
GTS-820A series
Explanatory Label
Beam aperture
CLASS II LASER PRODUCT
WAVE LENGTH 660, 690nm
1mW MAXIMUM OUTPUT
LASER RADIATION-DO NOT
STARE INTO BEAM
CAUTION
DIODE LASER
Each label is differed by the market.
V : 87°55'45"
HR: 180°44'12"
SD HD NEZ 0SET HOLD P1↓
The symbol mark
Marks Status of
instrument
Auto-collimating
Auto-tracking
Waiting
Searching
6
FOREWORD
Contents
FOREWORD . . . . . . . . . . . . . . . . . . . . . . . . . . . . . . . . . . . . . . . . . . . . . . . . . . 1
General Handling Precautions . . . . . . . . . . . . . . . . . . . . . . . . . . . . . . . . . . . . . . . . . . . . . . . . 1
Display for Safe Use . . . . . . . . . . . . . . . . . . . . . . . . . . . . . . . . . . . . . . . . . . . . . . . . . . . . . . . 3
Safety Cautions . . . . . . . . . . . . . . . . . . . . . . . . . . . . . . . . . . . . . . . . . . . . . . . . . . . . . . . . . . . 3
User . . . . . . . . . . . . . . . . . . . . . . . . . . . . . . . . . . . . . . . . . . . . . . . . . . . . . . . . . . . . . . . . . . . . 4
Exceptions from Responsibility . . . . . . . . . . . . . . . . . . . . . . . . . . . . . . . . . . . . . . . . . . . . . . . 4
Laser Safety. . . . . . . . . . . . . . . . . . . . . . . . . . . . . . . . . . . . . . . . . . . . . . . . . . . . . . . . . . . . . . 5
Contents. . . . . . . . . . . . . . . . . . . . . . . . . . . . . . . . . . . . . . . . . . . . . . . . . . . . . . . . . . . . . . . . . 6
Standard Set Composition. . . . . . . . . . . . . . . . . . . . . . . . . . . . . . . . . . . . . . . . . . . . . . . . . . . 9
1 NOMENCLATURE AND FUNCTIONS . . . . . . . . . . . . . . . . . . . . . . . . . . 1-1
1.1 Nomenclature . . . . . . . . . . . . . . . . . . . . . . . . . . . . . . . . . . . . . . . . . . . . . . . . . . . . . . . .1-1
1.2 Display . . . . . . . . . . . . . . . . . . . . . . . . . . . . . . . . . . . . . . . . . . . . . . . . . . . . . . . . . . . . . 1-3
1.3 Operating Key. . . . . . . . . . . . . . . . . . . . . . . . . . . . . . . . . . . . . . . . . . . . . . . . . . . . . . . .1-4
1.4 Function Key (Soft Key) . . . . . . . . . . . . . . . . . . . . . . . . . . . . . . . . . . . . . . . . . . . . . . . . 1-5
1.5 Star key (*key) mode . . . . . . . . . . . . . . . . . . . . . . . . . . . . . . . . . . . . . . . . . . . . . . . . . . 1-7
1.6 Auto Power Off . . . . . . . . . . . . . . . . . . . . . . . . . . . . . . . . . . . . . . . . . . . . . . . . . . . . . . 1-11
1.7 Data Output. . . . . . . . . . . . . . . . . . . . . . . . . . . . . . . . . . . . . . . . . . . . . . . . . . . . . . . . .1-11
1.8 Rotating Method . . . . . . . . . . . . . . . . . . . . . . . . . . . . . . . . . . . . . . . . . . . . . . . . . . . . . 1-11
1.8.1 Rotating by H/V Shuttle and H/V Jog. . . . . . . . . . . . . . . . . . . . . . . . . . . . . . . . . 1-11
1.8.2 Auto Inversion . . . . . . . . . . . . . . . . . . . . . . . . . . . . . . . . . . . . . . . . . . . . . . . . . . 1-11
1.8.3 Rotating automatically to a required Horizontal and Vertical angle . . . . . . . . . . 1-11
1.9 Using together with RC-2II Remote Control System. . . . . . . . . . . . . . . . . . . . . . . . . . 1-12
1.10 Using connecting with Personal Computer (PC). . . . . . . . . . . . . . . . . . . . . . . . . . . . 1-13
2 PREPARATION FOR MEASUREMENT . . . . . . . . . . . . . . . . . . . . . . . . . 2-1
2.1 Power Connection. . . . . . . . . . . . . . . . . . . . . . . . . . . . . . . . . . . . . . . . . . . . . . . . . . . . . 2-1
2.2 Setting Instrument Up For Measurement . . . . . . . . . . . . . . . . . . . . . . . . . . . . . . . . . . . 2-2
2.3 Power Switch Key ON. . . . . . . . . . . . . . . . . . . . . . . . . . . . . . . . . . . . . . . . . . . . . . . . . . 2-3
2.4 Battery Level Indicator . . . . . . . . . . . . . . . . . . . . . . . . . . . . . . . . . . . . . . . . . . . . . . . . . 2-4
2.5 Main Menu Icons. . . . . . . . . . . . . . . . . . . . . . . . . . . . . . . . . . . . . . . . . . . . . . . . . . . . . . 2-5
2.6 Vertical and Horizontal Angle Tilt Correction . . . . . . . . . . . . . . . . . . . . . . . . . . . . . . . . 2-6
2.7 Compensation of Systematic Error of Instrument . . . . . . . . . . . . . . . . . . . . . . . . . . . . . 2-7
2.8 Resume Mode ON/OFF . . . . . . . . . . . . . . . . . . . . . . . . . . . . . . . . . . . . . . . . . . . . . . . . 2-8
2.9 How to Enter Numerals and Alphabet Letters. . . . . . . . . . . . . . . . . . . . . . . . . . . . . . . . 2-8
2.10 Memory Card . . . . . . . . . . . . . . . . . . . . . . . . . . . . . . . . . . . . . . . . . . . . . . . . . . . . . . . 2-9
2.11 Inclination of Prism and Measuring Error . . . . . . . . . . . . . . . . . . . . . . . . . . . . . . . . . 2-10
3 AUTOMATIC TRACKING / AUTOMATIC COLLIMATION . . . . . . . . . . 3-1
3.1 Automatic Tracking . . . . . . . . . . . . . . . . . . . . . . . . . . . . . . . . . . . . . . . . . . . . . . . . . . . . 3-1
3.2 Automatic Collimation . . . . . . . . . . . . . . . . . . . . . . . . . . . . . . . . . . . . . . . . . . . . . . . . . . 3-3
3.3 Range of Laser for Auto-tracking and Auto-collimating . . . . . . . . . . . . . . . . . . . . . . . . 3-4
3.4 Setting Parameters for Auto-Tracking. . . . . . . . . . . . . . . . . . . . . . . . . . . . . . . . . . . . . . 3-5
3.4.1 Setting Items . . . . . . . . . . . . . . . . . . . . . . . . . . . . . . . . . . . . . . . . . . . . . . . . . . . . 3-5
3.4.2 How to set the parameters. . . . . . . . . . . . . . . . . . . . . . . . . . . . . . . . . . . . . . . . . . 3-7
4 STANDARD MEASUREMENT MODE . . . . . . . . . . . . . . . . . . . . . . . . . . 4-1
4.1 Angle Measurement . . . . . . . . . . . . . . . . . . . . . . . . . . . . . . . . . . . . . . . . . . . . . . . . . . . 4-1
4.1.1 Measuring Horizontal Angle Right and Vertical Angle . . . . . . . . . . . . . . . . . . . . . 4-1
4.1.2 Switching Horizontal Angle Right/Left . . . . . . . . . . . . . . . . . . . . . . . . . . . . . . . . . 4-2
4.1.3 Measuring from the Required Horizontal Angle . . . . . . . . . . . . . . . . . . . . . . . . . . 4-2
4.1.4 Vertical Angle Percent Grade(%) Mode . . . . . . . . . . . . . . . . . . . . . . . . . . . . . . . . 4-3
4.1.5 Automatic Rotation to a Required Horizontal and Vertical Absolute Angle . . . . . 4-4
4.2 Distance Measurement. . . . . . . . . . . . . . . . . . . . . . . . . . . . . . . . . . . . . . . . . . . . . . . . . 4-5
4.2.1 Setting of the Atmospheric Correction . . . . . . . . . . . . . . . . . . . . . . . . . . . . . . . . . 4-5
4.2.2 Setting of the Correction for Prism Constant . . . . . . . . . . . . . . . . . . . . . . . . . . . . 4-5
4.2.3 Distance Measurement (Continuous Measurement) . . . . . . . . . . . . . . . . . . . . . . 4-5
4.2.4 Distance Measurement (Single/N-times Measurement) . . . . . . . . . . . . . . . . . . . . 4-6
4.2.5 Fine / Coarse Measuring Mode . . . . . . . . . . . . . . . . . . . . . . . . . . . . . . . . . . . . . . 4-8
4.2.6 Stake Out (S-O) . . . . . . . . . . . . . . . . . . . . . . . . . . . . . . . . . . . . . . . . . . . . . . . . . . 4-9
4.3 COORDINATE MEASUREMENT . . . . . . . . . . . . . . . . . . . . . . . . . . . . . . . . . . . . . . . . 4-10
4.3.1 Setting Coordinate Values of Occupied Point . . . . . . . . . . . . . . . . . . . . . . . . . . 4-10
4.3.2 Setting of the Instrument Height / Prism Height . . . . . . . . . . . . . . . . . . . . . . . . . 4-12
4.3.3 Execution of Coordinate Measuring. . . . . . . . . . . . . . . . . . . . . . . . . . . . . . . . . . 4-13
7
FOREWORD
4.4 DATA OUTPUT . . . . . . . . . . . . . . . . . . . . . . . . . . . . . . . . . . . . . . . . . . . . . . . . . . . . . 4-15
5 PROGRAM MODES . . . . . . . . . . . . . . . . . . . . . . . . . . . . . . . . . . . . . . . . 5-1
5.1 Setting a Direction Angle for Backsight Orientation . . . . . . . . . . . . . . . . . . . . . . . . . . . 5-2
5.2 Retaining a Coordinate (STORE- NEZ) . . . . . . . . . . . . . . . . . . . . . . . . . . . . . . . . . . . . 5-3
5.3 Remote Elevation measurement (REM). . . . . . . . . . . . . . . . . . . . . . . . . . . . . . . . . . . . 5-5
5.4 Missing Line Measurement (MLM) . . . . . . . . . . . . . . . . . . . . . . . . . . . . . . . . . . . . . . . . 5-8
5.5 Line Measurement (LINE). . . . . . . . . . . . . . . . . . . . . . . . . . . . . . . . . . . . . . . . . . . . . . 5-11
5.6 Offset measurement (OFFSET) . . . . . . . . . . . . . . . . . . . . . . . . . . . . . . . . . . . . . . . . . 5-14
5.6.1 Angle Offset . . . . . . . . . . . . . . . . . . . . . . . . . . . . . . . . . . . . . . . . . . . . . . . . . . . . 5-15
5.6.2 Distance Offset Measurement . . . . . . . . . . . . . . . . . . . . . . . . . . . . . . . . . . . . . . 5-17
5.6.3 Plane Offset Measurement . . . . . . . . . . . . . . . . . . . . . . . . . . . . . . . . . . . . . . . . 5-19
5.6.4 Column Offset Measurement . . . . . . . . . . . . . . . . . . . . . . . . . . . . . . . . . . . . . . . 5-21
5.7 External Link. . . . . . . . . . . . . . . . . . . . . . . . . . . . . . . . . . . . . . . . . . . . . . . . . . . . . . . . 5-23
5.7.1 Starting compatible communication program of AP-L1A . . . . . . . . . . . . . . . . . . 5-23
5.7.2 Setting for the communication . . . . . . . . . . . . . . . . . . . . . . . . . . . . . . . . . . . . . . 5-23
5.7.3 Carrying out Communication . . . . . . . . . . . . . . . . . . . . . . . . . . . . . . . . . . . . . . . 5-27
6 MEMORY MANAGE MODES . . . . . . . . . . . . . . . . . . . . . . . . . . . . . . . . . 6-1
6.1 View Internal Memory and Card Memory Status . . . . . . . . . . . . . . . . . . . . . . . . . . . . . 6-1
6.2 Protect a File. . . . . . . . . . . . . . . . . . . . . . . . . . . . . . . . . . . . . . . . . . . . . . . . . . . . . . . . . 6-2
6.3 Rename a File . . . . . . . . . . . . . . . . . . . . . . . . . . . . . . . . . . . . . . . . . . . . . . . . . . . . . . . 6-2
6.4 Deleting a File. . . . . . . . . . . . . . . . . . . . . . . . . . . . . . . . . . . . . . . . . . . . . . . . . . . . . . . . 6-3
6.5 Copy a File . . . . . . . . . . . . . . . . . . . . . . . . . . . . . . . . . . . . . . . . . . . . . . . . . . . . . . . . . . 6-3
6.6 Initializing Memory . . . . . . . . . . . . . . . . . . . . . . . . . . . . . . . . . . . . . . . . . . . . . . . . . . . . 6-4
7 COMMUNICATION MODES . . . . . . . . . . . . . . . . . . . . . . . . . . . . . . . . . . 7-1
7.1 Setting of PROTOCOL . . . . . . . . . . . . . . . . . . . . . . . . . . . . . . . . . . . . . . . . . . . . . . . . . 7-1
7.2 Data File In . . . . . . . . . . . . . . . . . . . . . . . . . . . . . . . . . . . . . . . . . . . . . . . . . . . . . . . . . . 7-2
7.3 Data File Out. . . . . . . . . . . . . . . . . . . . . . . . . . . . . . . . . . . . . . . . . . . . . . . . . . . . . . . . . 7-2
8 PARAMETERS SETTING MODE . . . . . . . . . . . . . . . . . . . . . . . . . . . . . . 8-1
8.1 Parameter Setting Options . . . . . . . . . . . . . . . . . . . . . . . . . . . . . . . . . . . . . . . . . . . . . . 8-1
8.1.1 Parameters for Measurement and Display . . . . . . . . . . . . . . . . . . . . . . . . . . . . . 8-1
8.1.2 Parameters for communication . . . . . . . . . . . . . . . . . . . . . . . . . . . . . . . . . . . . . . 8-3
8.2 Setting Parameters. . . . . . . . . . . . . . . . . . . . . . . . . . . . . . . . . . . . . . . . . . . . . . . . . . . . 8-5
8.2.1 Parameters for Measurement and Display . . . . . . . . . . . . . . . . . . . . . . . . . . . . . 8-5
8.2.2 Parameters for Communication . . . . . . . . . . . . . . . . . . . . . . . . . . . . . . . . . . . . . . 8-6
8.2.3 Password Option . . . . . . . . . . . . . . . . . . . . . . . . . . . . . . . . . . . . . . . . . . . . . . . . . 8-6
9 CHECK AND ADJUSTMENT . . . . . . . . . . . . . . . . . . . . . . . . . . . . . . . . . 9-1
9.1 Checking and Adjusting of Instrument Constant. . . . . . . . . . . . . . . . . . . . . . . . . . . . . . 9-1
9.2 Checking the Optical Axis. . . . . . . . . . . . . . . . . . . . . . . . . . . . . . . . . . . . . . . . . . . . . . . 9-2
9.3 Checking/Adjusting the Theodolite Functions. . . . . . . . . . . . . . . . . . . . . . . . . . . . . . . . 9-4
9.3.1 Checking /Adjusting the Plate Level . . . . . . . . . . . . . . . . . . . . . . . . . . . . . . . . . . 9-5
9.3.2 Checking /Adjusting the Circular Level . . . . . . . . . . . . . . . . . . . . . . . . . . . . . . . . 9-5
9.3.3 Adjustment of the Vertical Cross-hair . . . . . . . . . . . . . . . . . . . . . . . . . . . . . . . . . 9-6
9.3.4 Collimation of the Instrument . . . . . . . . . . . . . . . . . . . . . . . . . . . . . . . . . . . . . . . . 9-7
9.3.5 Checking / Adjusting the Optical Plummet Telescope . . . . . . . . . . . . . . . . . . . . . 9-8
9.4 Adjustment of Compensation Systematic Error of Instrument . . . . . . . . . . . . . . . . . . . 9-9
9.5 Showing Constant List and Switch ON/OFF
Compensation Systematic Error of Instrument. . . . . . . . . . . . . . . . . . . . . . . . . . . . . 9-11
9.6 How to adjust the date and time. . . . . . . . . . . . . . . . . . . . . . . . . . . . . . . . . . . . . . . . . 9-12
9.7 How to Set the Instrument Constant Value. . . . . . . . . . . . . . . . . . . . . . . . . . . . . . . . . 9-13
9.8 Reference Frequency Checking Mode. . . . . . . . . . . . . . . . . . . . . . . . . . . . . . . . . . . . 9-14
9.9 Inspection and Adjustment of Optic Axis for Auto -Tracking. . . . . . . . . . . . . . . . . . . . 9-15
10 SETTING THE PRISM CONSTANT VALUE. . . . . . . . . . . . . . . . . . . . 10-1
11 SETTING ATMOSPHERIC CORRECTION . . . . . . . . . . . . . . . . . . . . 11-1
11.1 Calculation of Atmospheric Correction. . . . . . . . . . . . . . . . . . . . . . . . . . . . . . . . . . . 11-1
11.2 Setting of Atmospheric Correction Value . . . . . . . . . . . . . . . . . . . . . . . . . . . . . . . . . 11-1
12 CORRECTION FOR REFRACTION AND EARTH CURVATURE . . . 12-1
12.1 Distance Calculation Formula. . . . . . . . . . . . . . . . . . . . . . . . . . . . . . . . . . . . . . . . . . 12-1
13 POWER SOURCE AND CHARGING . . . . . . . . . . . . . . . . . . . . . . . . . 13-1
13.1 Rechargeable Battery BT-56Q . . . . . . . . . . . . . . . . . . . . . . . . . . . . . . . . . . . . . . . . . 13-1
8
FOREWORD
14 DETACH/ATTACH OF TRIBRACH. . . . . . . . . . . . . . . . . . . . . . . . . . . 14-1
15 BATTERY SYSTEM. . . . . . . . . . . . . . . . . . . . . . . . . . . . . . . . . . . . . . . 15-1
16 PRISM SYSTEM . . . . . . . . . . . . . . . . . . . . . . . . . . . . . . . . . . . . . . . . . 16-1
17 PRECAUTIONS . . . . . . . . . . . . . . . . . . . . . . . . . . . . . . . . . . . . . . . . . . 17-1
18 ERROR DISPLAYS . . . . . . . . . . . . . . . . . . . . . . . . . . . . . . . . . . . . . . . 18-1
19 SPECIAL ACCESSORIES. . . . . . . . . . . . . . . . . . . . . . . . . . . . . . . . . . 19-1
20 SPECIFICATIONS . . . . . . . . . . . . . . . . . . . . . . . . . . . . . . . . . . . . . . . . 20-1
APPENDIX . . . . . . . . . . . . . . . . . . . . . . . . . . . . . . . . . . . . . . . . . APPENDIX-1
Dual Axis Compensation..................................................................................... APPENDIX-1
Precaution when Charging or Storing Batteries.................................................. APPENDIX-3

9
FOREWORD
Standard Set Composition
The numerical value in parentheses shows the quantity.
(Make sure that all of the above items are with the instrument when purchased.)
GTS-820A series (with lens cap) (1) Plastic carrying case (1)
Battery BT-56Q (2) Battery charger BC-27BR or BC-27CR (1)
Sun shade (1) Plastic rain cover (1)
Plumb bob set (1) Tool kit with case [ rod pins, Plumb bob hook, screw-
driver, cleaning brush ] (1)
Instruction manual (1)
Plumb bob hook is included
in the tool kit case.
Remarks:
1) Battery charger BC-27CR is for AC 230V use and BC-27BR is for AC 120V use.
2) Plumb bob set and plumb bob hook are supplied for certain markets.

1-1
1 NOMENCLATURE AND FUNCTIONS
1 NOMENCLATURE AND FUNCTIONS
1.1 Nomenclature
Power supply
connector
Base fixing screw
Optical plummet
telescope
Handle
O
bjective lens
L
aser aperture
(
for auto-tracking)
Base (Model TR-5)
Instrument center
mark
Leveling screw
Serial Signal
Connector-1(6pin)
Sighting collimator
Handle fixing knob
Display window
Operation keys
Battery BT-56Q
Card cover lever
Instrument height
mark
T
racking indicator
L
aser aperture
(
for optical
c
ommunication)
The caution labels are pasted up GTS-820A series which describe the warning of laser beam.
Refer to "Laser Safety" about label positions and their shapes.
(
Only for GTS-821A)
(Only for GTS-821A)

1-2
1 NOMENCLATURE AND FUNCTIONS
Telescope
focusing knob
Plate level
Telescope grip
Telescope eyepiece
Instrument center
mark
Handle fixing knob
Vertical shuttle
Vertical jog
Horizontal shuttle
Horizontal jog
Adjusting screws for
circular level
Instrument height
mark
Centronics
connector
Tribrach fixing lever
Circular level
Power switch

1-3
1 NOMENCLATURE AND FUNCTIONS
1.2 Display
•Display
In general upper four lines display the measuring data, and the
bottom line displays the soft key function which is changed by the measuring mode.
•Contrast
The contrast and illumination of display window are adjusted by star (H) key.
•Heater (Automatic)
The built-in heater keeps the display functional when the temperature goes below 0°C (32 °F). To
switch the heater ON or OFF, refer to Chapter 8 “PARAMETERS SETTING MODE”.
When the heater is ON and the temperature goes below 0°C.(32 °F), the heater automatically
adjust the temperature to the display to keep it operating.
•Example
•Display marks
Angle measurement mode
V-angle : 87°55’20”
H-angle : 180°44’12”
Distance measurement mode
Horizontal-angle : 87°55’40”
Horizontal distance : 180°44’12”
Relative elevation :12.345m
Display Contents Display Content
V V-angle * EDM working
V% Percent grade (m) Meter unit
HR H-angle right (f) Feet unit
HL H-angle left F Fine mode
HD Horizontal distance C Coarse mode (1mm)
VD Relative elevation T Tracking mode (10mm)
SD Slope distance R Repeat measurement
N N coordinate S Single measurement
E E coordinate N N-times measurement
Z Z coordinate ppm Atmospheric correction value
psm Prism constant value
Battery Level Indicator
Refer to Section 2.4 “Battery Level
Indicator” for further information.
Rotation Indicator
Refer to Section 1.8 “Rotating
Method” for further information.
V : 87°55'45"
HR: 180°44'12"
SD HD NEZ 0SET HOLD P1
↓
V : 87°55'40"
HR: 180°44'12" PSM 0.0
SD: 12.345 PPM 0.0
(m) *F.R
MEAS MODE VH HD NEZ P1
↓

1-4
1 NOMENCLATURE AND FUNCTIONS
lThe symbol marks for Auto-tracking and Auto-collimating
1.3 Operating Key
Auto-collimating
(Laser is emitting)
GTS-820A series is in auto-
collimating status.
Auto-tracking
(Laser is emitting)
GTS-820A series is in auto-
tracking status.
Waiting (Laser is emitting)
GTS-820A series is in waiting
status.
Searching (Laser is emitting)
GTS-820A series is searching a
prism.
Failure in auto-collimating.
(Laser is off)
GTS-820A series could not find
the target prism during auto-
collimating.
KEY NAME FUNCTION
F1~F6 Soft key Functions are according to the displayed message.
0~9 . - Numeric key Numeric Character Entry for Preset Data
A ~/ Alpha key Alpha Character Entry
ESC Escape key Escape to Previous Display or Menu
*Star key Optional instrument functions
ENT Enter key End operation of data input and accepts data
POWER Power key ON/OFF of power source.
(Power key is located on the side of the instrument.)

1-5
1 NOMENCLATURE AND FUNCTIONS
1.4 Function Key (Soft Key)
The Soft Key Functions are labeled on the bottom of display. Soft Key functions are different for each
measurement.
Page Display Soft
key Function
Angle
measuring
SD F1 Slope distance measuring mode.
HD F2 Horizontal distance measuring mode.
NEZ F3 Coordinate distance measuring mode.
0SET F4 Set horizontal angle to 0°00'00".
HOLD F5 Horizontal angle hold.
TURN F1 Turns the instrument to required angle automatically.
HSET F2 Preset a horizontal angle.
R/L F3 Changes horizontal angle right or left.
V/% F4 Changes the display to vertical angle or percent of grade.
TILT F5 Sets the tilt function, ON/OFF.
If ON, the display shows tilt correction value.
Horizontal distance measuring Coordinate measuring
Angle measuring Slope distance measuring
TURN HT MEAN P2
↓
REC SO MEAN P2
↓
TURN SO MEAN m/ft P2
↓
TURN HSET R/L V/% TILT P2
↓
Soft keys
V : 87°55'45"5
HR: 180°44'12"5
SD HD NEZ 0SET HOLD P1
↓
[F1] [F2] [F3] [F4] [F5] [F6]
V : 87°55'45"5
HR: 180°44'12"5
SD HD NEZ 0SET HOLD P1
↓
V : 90 10'20"5
HR: 120 30'40"5 PSM 0.0
HD: PPM 0.0
VD: (m) F.R
MEAS MODE VH SD NEZ P1
↓
V : 90°10'20"5
HR: 120°30'40"5 PSM 0.0
SD: PPM 0.0
(m) F.R
MEAS MODE VH HD NEZ P1
↓
N : 12345.6789
E : -12345.6789 PSM 0.0
Z : 10.1234 PPM 0.0
(m) F.R
MEAS MODE VH SD HD P1
↓

1-6
1 NOMENCLATURE AND FUNCTIONS
Page Display Soft
key Function
Slope
distance
measuring
MEAS F1 Starts slope distance measurement mode.
Changes Continuous/ N-times (single) measurement mode.
MODE F2 Changes Fine / Coarse(1mm) /Coarse(10mm) mode.
VH F3 Angle measurement mode.
HD F4 Horizontal distance measurement mode. Displays the horizontal distance
data after N-times or single measurement.
NEZ F5 Coordinate measurement mode.
Displays the coordinate after N-times or single measurement.
TURN F1 Turns the instrument to required angle automatically.
SO F2 Stake out measurement mode.
MEAN F3 Sets the number of N-time measurement.
m/ft F4 Changes distance measurement unit to meter or feet.
Horizontal
distance
measuring
MEAS F1 Starts horizontal distance measurement mode.
Changes continuous/ N-times (single) measurement mode.
MODE F2 Changes Fine / Coarse(1mm) /Coarse(10mm) mode.
VH F3 Angle measurement mode.
SD F4 Slope distance measuring mode.
Display the slope distance after N-times or single measurement.
NEZ F5 Coordinate measurement mode.
Displays the coordinate after N-times or single measurement.
TURN F1 Turns the instrument to required angle automatically.
SO F2 Stake out measurement mode.
MEAN F3 Sets the number of N-time measurement.
m/ft F4 Switches meter or feet unit.
Coordinate
measuring
MEAS F1 Starts coordinate measurement mode.
Changes continuous/ N-times (single) measurement mode.
MODE F2 Changes Fine / Coarse(1mm) /Coarse(10mm) mode.
VH F3 Angle measurement mode.
SD F4 Slope distance measuring mode.
Display the slope distance after N-times or single measurement.
HD F5 Horizontal distance measurement mode. Displays the horizontal distance
data after N-times or single measurement.
TURN F1 Turns the instrument to required angle automatically.
HT F2 Input Instrument / prism height values.
MEAN F3 Sets the number of N-time measurement.
m/ft F4 Switches meter or feet unit.
SET F5 Pre-set instrument coordinate values.

1-7
1 NOMENCLATURE AND FUNCTIONS
1.5 Star key (*key) mode
Press the (H) key to view the instrument options. Since there are three screens of options, press
[F6](1
↓
) soft key to view the next screen.
The following instrument options can be selected from the (H):
•Screen One
1) View Date & Time
2) Auto-tracking [F1]
3) Auto-collimating [F2]
4) Set the parameters for Auto-tracking.[F3]
5) Auto- inversion [F4]
6) Electric circular graphic display[F5]
•Screen Two
7) Adjustment the contrast of the display [F1 & F2]
8) Turn the back light of the display ON/OFF [F3]
9) Reticle illumination---Off / Low / Medium / High [F4]
10) View free memory for internal and card memory [F5]
•Screen Three
11) The light acceptance quantity level (signal level) is displayed.[F1]
12) Set the Temperature, Pressure, Atmospheric Correction Value (ppm), and Prism Constant
Value (PSM) [F2]
13) Turn the Tracking Indicator option ON/OFF [F3]
2003-10-10 14:30:40
1
↓
2003-10-10 14:30:40
2
↓
Back Light of Display
Electric circular graphic display
Auto- inversion
Date & Time
Set parameter for Auto-tracking
Auto-collimating
Auto-tracking
2003-10-10 14:30:40
3
↓
Contrast adjustment
Tracking indicator
Set the Temperature, Pressure, Atmospheric Correction
Value (PPM), and Prism Constant Value (PSM)
Displaying
Signal Level
Screen 1
Screen 2
Screen 3
View free memory for Card/Internal Memory
Reticle illumination

1-8
1 NOMENCLATURE AND FUNCTIONS
1) View Date & Time
The date and time can be viewed on both screens. To change the displayed order of the date, (Date/
Month/Year), (Month / Date / Year) or (Year/Month/Date), see Chapter 8 “PARAMETERS SETTING
MODE” .
To set the date and time, see Chapter 9 “CHECK AND ADJUSTMENT”.
2) Turn the auto-tracking ON/OFF
Press the [F1] key to start auto-tracking. See Section 3.1 “Automatic Tracking” .
3) Turn the auto-collimating ON/OFF
Press the [F2] key to start auto-collimating. See Section 3.2 “Automatic Collimation” .
4) Set the parameters for the auto-tracking
A proper setting for each parameter such as tracking pattern, tracking range, waiting time, tracking
speed and tracking sensitivity. See Section 3.4 “Setting Parameters for Auto-Tracking” .
5) Auto Inversion
Pressing the [F4] key causes the instrument to reverse and turn the telescope and instrument
automatically.
lTo stop auto rotating in case of emergency, press any keys except POWER key.
lDuring auto rotation, do not disturb the instrument.(Stopping the rotation with a touch of the hand).
Such action may cause trouble or harm to instrument or operator.
6) Electric circular level graphic display
Electric circular level can be displayed by graphic. This function is good for level the instrument when
the circular level is difficult to see directly.
Press the [F5] key to display the graphic.
In the displays of reverse side, the graphic bubble moves in reverse.
7) Adjustment the contrast of the display
This enable you to adjust the contrast of the display.
Press the [F6] key to get to Screen 2 on the display.
Press the [F1] or [F2] key to brighten or dim the display.
8) Turn the display back light ON/OFF
When the back light is OFF, the light bulb icon is dark.
Press the [F6] key to get to Screen 2 on the display.
To turn the back light ON, press the [F3] key. Press [F3] again to turn the back light OFF.
Rotate the leveling screws while observing the display.
After leveling, press [F1]. The display changes to the previous mode.
X:+0°00'00"
Y:+0°00'00"
X:-------------
Y:-------------
OFF ON

1-9
1 NOMENCLATURE AND FUNCTIONS
9) Reticle illumination (OFF/Low/Middle/High)
Press the [F6] key to get to Screen 2 on the display. Press the [F4] key to turn the reticle illumination
ON. Continuing to press [F4] will change the intensity options.
10) View free memory
The amount of free memory for the card or internal memory can be displayed.
Press the [F6] key to get to Screen 2 on the display.
Press the [F5] key to view free memory.
The card memory icon (top left side of the display) shows the size of the card and the amount of free
memory. The second icon shows the amount of free internal memory.
See Chapter 6 “MEMORY MANAGE MODES”, for further options and instructions.
11) Set audio mode
The light acceptance quantity level (Signal level) is displayed in this mode.
When reflected light from the prism is received, a buzzer sounds. This function is good for easy
collimation when the target is difficult to find.
Press the [F1] key on screen 3.
The received return signal level is displayed with bar graph as follows.
(1) To stop the buzzer, see Chapter 8 “PARAMETERS SETTING MODE”.
(2) Also, it is possible to display the signal level in Distance Measuring Mode.
12) Setting Temperature, Pressure, Atmospheric correction value (ppm), Prism constant value
(PSM)
The temperature, pressure, PPM, and PSM can be viewed by pressing the [F2] key on screen 3 .
The received return signal level is displayed with bar graph as follows.
Refer to Chapter 10 “SETTING THE PRISM CONSTANT VALUE” and Chapter 11 “SETTING
ATMOSPHERIC CORRECTION”, for further instructions.
Low
OFF Middle High
Internal Memory 1882KByte
Card Memory 315KByte
512KB
No light acceptance Minimum quantity level Maximum quantity level

1-10
1 NOMENCLATURE AND FUNCTIONS
13) Tracking Indicator
A man who is staying on line with the direction of GTS-820A series or automatic tracking status by
emitted LED light (orange color) from GTS-820A series.
•Operation
Pressing [F3] key on screen three functions Tracking Indicator. The tracking indicator status will be
changed according to the type of auto tracking mode and its conditions. A man from the prism side can
recognize the status of instrument.
When angle measuring value turns stable during tracking still object, the tracking indicator changes
from quick continuous flashing to quick intermittent flashing. So you can decide from the sign of flashing
for recording data timing at one person surveying.
Meaning of Tracking Indicator ON or Flashing
lThe function of the Tracking Indicator will be used as a guide to know the status of GTS-820A
series from the prism side. This is not a function to determine precise collimating for measuring.
lThe quality of its results will depend on the weather conditions and the use's eyesight.
lSometimes happens difficulty of seeing the tracking indicator because too much bright of the beam
for tracking.
lUsing Tracking Indicator mode will result shorter in reduced time out of the battery.
Tracking Indicator Tracking status of instrument
Continuous ON Wait status
Slow flashing Manual mode
Quick continuous flashing In case angle measuring value is instable during auto tracking
mode.
Quick intermittent flashing In case angle measuring value is stable during auto tracking
mode.
OFF ON

1-11
1 NOMENCLATURE AND FUNCTIONS
1.6 Auto Power Off
The Auto Power OFF feature can be set from 1 to 99 minutes. If no keys are pressed within the set
time, the Auto Power OFF will automatically turn the instrument OFF in order to save the battery time.
See Chapter 8 “PARAMETERS SETTING MODE”, for further instructions.
1.7 Data Output
When GTS-820A series receives data output command from an external connected
device, the measured data will be output by GTS-820A series. Select from the following
2 ways for the output. (For setting, see Chapter 8 “PARAMETERS SETTING MODE” .)
REC-A : The measurement is started and new data is output.
REC-B : The data being displayed is output.
1.8 Rotating Method
1.8.1 Rotating by H/V Shuttle and H/V Jog
H/V shuttle or H/V jog can be used to rotate the instrument manually. The shuttle movement or
displacement is proportional in speed and size of angle desired. A small, slow turn of the shuttle will
result in a slow small angle displaced. Likewise, a larger abrupt turn of the shuttle will result in a coarse
angle displacement. H/V jog can be used for accurate collimating of the target much like a standard
tangent screw.
1.8.2 Auto Inversion
Pressing the [F4] key in Star Key mode causes the instrument to reverse and turn the telescope and
instrument automatically.
lTo stop auto rotating by auto inversion key in case of emergency, press any keys except POWER
key.
lDuring auto rotation, don't disturb the instrument.(Stopping the rotation with a touch of the hand).
Such action may cause trouble or harm to instrument or operator.
See Section 1.5 “Star key (*key) mode” for further instructions.
1.8.3 Rotating automatically to a required Horizontal and Vertical angle
In Standard Measurement Modes, the instrument can be rotated automatically by input a required
horizontal and/or vertical angle.
For further instructions, see Section 4.1.5 “Automatic Rotation to a Required Horizontal and Vertical
Absolute Angle” .
This mark will appear while the
instrument is rotating automatically.
V : 87°55'45"5
HR: 180°44'12"5
SD HD NEZ 0SET HOLD P1
↓

1-12
1 NOMENCLATURE AND FUNCTIONS
1.9 Using together with RC-2II Remote Control System
Using together with RC-2II Remote Control System makes it possible to optical communicate between
the instrument and remote controller RC-2RII, the prism side. This gives easy operation by one man
surveying in applying programs.
Also connecting data collector to remote controller, you can manage communication reciprocally
between the instrument and direct to data collector.
Turn-round function
You can turn the GTS-820A series round to the remote controller RC-2RII side easily by [Turn-round]
key of the remote controller RC-2RII. This function helps to increase one man surveying efficiency.
See to Section 5.7 “External Link” and Chapter 8 “PARAMETERS SETTING MODE” for further
information.
lSet the transmit path to " RC".
lSet the transmit channel same as RC-2RII side.
lTo execute transmission, set the remote in Programs mode to [Remote].
RC-2RII

1-13
1 NOMENCLATURE AND FUNCTIONS
1.10 Using connecting with Personal Computer (PC)
The auto-tracking function or auto collimating function makes easy remote control of the instrument
from PC. The followings are the main communication commands and explanations. How to
communicate or more informations of communication command, you can see the interface manual
which provided optionally.
Commands Action of GTS-820A series
Transmit
command
Transmit command for measured data Each measured data will be out put
according to the command type.
Transmit command for tracking mode The status of Automatic Tracking mode
will be out put.
Transmit command for battery level The battery level will be out put.
Transmit command for coordinate of
instrument point Setting coordinate of instrument point will
be out put.
Transmit command for tracking
parameter
Each setting tracking parameter of
instrument will be out put according to the
command type.
Mode setting
Setting of angle measurement Each selecting mode in horizontal angle
or angle measurement can be decided
according to the purpose of command.
Setting of distance measurement Setting the measurement mode for
distance measurement.
Setting coordinate of instrument point Setting the coordinate of instrument point.
Setting the tracking parameter Setting each tracking parameter
according to the command.
T.I. ON / OFF ON / OFF of Tracking indicator.
Action
Rotating command Rotating of setting angle.
Inversion Inversion movement.
Setting tracking mode Setting from automatic tracking mode to
each command mode.

2-1
2 PREPARATION FOR MEASUREMENT
2 PREPARATION FOR MEASUREMENT
2.1 Power Connection
(unnecessary if on-board Ni-MH battery BT-56Q is used)
See below for connecting the external battery pack.
lBattery pack BT-3Q
Power cord , PC-5 is used.
lLarge capacity battery pack BT-3L
Power cord PC-6 is used.
lWhen using a external battery, the rechargeable battery BT-56Q should be attached
(The instrument will lack in balance if the internal battery BT-56Q is removed.)
The external battery and the internal battery can be used at the same time. The GTS-820A series
will select a battery due to the battery remaining automatically.
Connector ends
PC-5
PC-6
PC-5
PC-6
BT-3Q
BT-3L
PC-5 or PC-6
AC-6 External 12V Battery

2-2
2 PREPARATION FOR MEASUREMENT
2.2 Setting Instrument Up For Measurement
Mount the instrument to the tripod. Level and center the instrument precisely to insure the best
performance. Use tripods with a tripod screw of 5/8 in. diameter and 11 threads per inch, such as the
Type E TOPCON wide- frame wooden tripod.
1. Setting up the Tripod
First, extend the extension legs to suitable lengths
and tighten the screws on their midsections.
2. Attaching the Instrument on the Tripod
Head
Place the instrument carefully on the tripod head
and slide the instrument by loosening the tripod
screw. If the plumb bob is positioned right over the
center of the point, slightly tighten the tripod
screw.
3.
Roughly Leveling the Instrument by Using the Circular
Level
1Turn the leveling screws A and B to move the
bubble in the circular level. The bubble is now
located on a line perpendicular to a line
running through the centers of the two leveling
screws being adjusted.
2Turn the leveling screw C to bring the bubble
to the center of the circular level.
4. Centering by Using the Plate Level
1Rotate the instrument horizontally by using
the Horizontal motion/clamp screw and place
the plate level parallel with the line connecting
leveling screws A and B, and then bring the
bubble to the center of the plate level by
turning leveling screws A and B.
2Rotate the instrument 90° (100g) around its
vertical axis and turn the remaining leveling
screw or C to center the bubble once more.
3Repeat the procedures 1 and 2 for each 90°
(100g) rotation of the instrument and check
whether the bubble is correctly centered for all
four points.
5. Centering by Using the Optical Plummet
Telescope
Adjust the eyepiece of the optical plummet
telescope to your eyesight.
Slide the instrument by loosening the tripod
screw, place the point on the center mark, and
then tighten the tripod screw. Sliding the
instrument carefully not to rotate that allows you
to get the least dislocation of the bubble.
6. Completely Leveling the Instrument
Leveling the instrument precisely in a similar way
to 4. Rotate the instrument and check to see that
the bubble is in the center of the plate level
regardless of telescope direction, then tighten the
tripod screw hard.
Leveling
screw A
Leveling screw C
Leveling screw B
Leveling
screw A Leveling
screw B
9
0
Leveling screw C
Point
Center mark
Reference: Leveling and Centering the Instrument

2-3
2 PREPARATION FOR MEASUREMENT
2.3 Power Switch Key ON
lSelf checking option
The self checking function is to check internal communication and tilt sensor offset value.
When ambient temperature is changed or the instrument is not balanced by its internal battery is
attached or detached, the self checking is recommended.
lPassword option
Setting a password (Maximum 10 digits number) and activating ON of password option can be helpful
to avoid miss operation by unauthorized operator.
Setting password option is necessary to use this function.
To set password option, see Chapter 8 “PARAMETERS SETTING MODE” .
lChoosing the first mode when turning on the instrument
You can choose the first mode from the following modes when turning on the instrument.
1. Main Menu 2. Standard Measurement Mode 3. External Link
See Chapter 8 “PARAMETERS SETTING MODE” .
lON/OFF of a self check function can also be chosen.
See Chapter 8 “PARAMETERS SETTING MODE” .
lConfirm the battery power remaining on the display. Replace with charged battery or charge when
battery level is low. Refer to Section 2.4 “Battery Level Indicator” .
1) Confirm the instrument is leveled.
2) Turn the power switch ON.
3) Type your password.
Self checking mode will display.
To skip the self checking, press [F1](ESC
)
key.
Level the instrument by turning the levelin
g
screws.
When the leveling is within ±30" and
stable, the self checking will start.
The instrument will turn automatically and
the tilt sensor offset value will be measure
d
and memorized.
After checking, the main menu icons will b
e
shown.
Power ON
Battery Power Remaining Display
2003-10-10 14:30
Main menu icons
X:+0°00'00"
Y:+0°00'00"
Self check mode
ESC
Self checking ...
[ 1/6 ]
[ 6/6 ]
Input a password
[ ]
Self checking ...
Prog Std Mem Comm Adj Para

2-4
2 PREPARATION FOR MEASUREMENT
2.4 Battery Level Indicator
The battery power indicator shows the level of battery strength.
Indicates Battery Power Remaining
Measurement is possible.
The power is poor. The battery should be
recharged or replace the battery.
(Angle measurent can only be possible,
the auto-collimating, auto-tracking and
distance maesurenat can not be
possible.)
Measurement is impossible. Need to
recharge or replace the battery.
Prog Std Mem Comm Adj Para
2003-10-10 15:30:40
Blinking
* Battery power remaining display is omitted in this manual.
Note:
1) The battery operating time will vary depending on the environmental conditions, such as
ambient temperature, charging time, and the number of times charging and discharging the
battery.
2) In low temperature (especially while the heater of display is working), the battery operating
time will shorten to one-half of normal temperature use.
3) The indicator for battery power remaining shows the power level during each measurement
mode. The condition indicated for the battery power remaining in the angle measurement
mode may not be adequate to measure a distance. Changing from angle mode to distance
mode during a poor battery condition may cause the EDM not to measure a distance.
We recommend that you check the battery condition before going into the field.
4) Also note, when changing from one measurement mode to another, the battery indicator may
not show a decrease or an increase immediately. The battery indicator system was designed
to show the general condition for the battery strength. It does not respond instantly.
5) For more information on battery usage, refer to Chapter 13 “POWER SOURCE AND
CHARGING” .

2-5
2 PREPARATION FOR MEASUREMENT
2.5 Main Menu Icons
The main menu icons are as follows.
Select the menu by pressing soft keys ([F1]~[F6]).
STANDARD MEASUREMENT MODES
lAngle measurement
lDistance measurement
lCoordinate measurement
(See Chapter 4 “STANDARD MEASUREMENT MODE” .)
PROGRAM MODES ( APPLICATION MEASUREMENT)
lSet a direction angle for horizontal orientation
lRetain Coordinate (STORE-NEZ)
lRemote elevation measurement
lMissing line measurement
lLine measurement
lExternal link
lOff set measurement
(See Chapter 5 “PROGRAM MODES” .)
COMMUNICATION MODES
lSet communication with external instrument
lInput/Output a data file
lLoad application program.
(See Chapter 7 “COMMUNICATION MODES”.)
ADJUSTMENT MODES
Used for checking and adjustment.
lSystematic errors adjustment for compensation.
lShow compensation values of systematic errors of
instrument
lSet Date & Time
lSet instrument constant value
lReference frequency of EDM
lOptic Axis for Auto-tracking
(See Chapter 9 “CHECK AND ADJUSTMENT”.)
Prog Std Mem Comm Adj Para
2003-07-10 15:30:40
PARAMETERS SETTING MODES
The PARAMETERS SETTING MODES are
stored in memory once the instrument is OFF.
(See Chapter 8 “PARAMETERS SETTING
MODE”.)
MEMORY MANAGE MODES
lDisplay memory status
lProtect/Eras/Rename/Copy Files,
lInitialize a card or internal memory.
(See Chapter 6 “MEMORY MANAGE MODES” .)

2-6
2 PREPARATION FOR MEASUREMENT
2.6 Vertical and Horizontal Angle Tilt Correction
When the tilt sensors are activated, automatic correction of vertical and horizontal angle for
mislevelment is displayed.
To ensure a precise angle measurement, tilt sensors must be turned on. The display can also be used
to fine level the instrument. If the (TILT OVER) display appears the instrument is out of automatic
compensation range and must be leveled manually.
lGTS-820A series compensates both the vertical angle and the horizontal angle readings due to
inclination of the standing axis in the X and Y directions.
lFor more information about dual axis compensation, see Chapter “APPENDIX” “Dual Axis
Compensation”.
lThe display of Vertical or Horizontal angle is unstable when instrument is on an unstable stage or a
windy day. You can turn off the auto tilt correction function of V/H angle in this case. To set TILT
correction mode ON/OFF, refer to next page or Chapter 8 “PARAMETERS SETTING MODE”.
V
V
W
W
X
X
S
S
P
P
O
O
T
T
Q
Q
D
D
U
U
R
R
|
|
Standing axis
Zenith
Inclination of the standing
axis in the X direction
Standing axis
Zenith
Inclination of the standing
axis in the Y direction
Trunnion axis
Horizontal
When the instrument tilted over correction
range.
Rotate the leveling screws and level the
instrument.
After leveling (when each axis is within ±1'30"),
the display returns to the previous mode
automatically.
X,Y tilt correction range : within ±4'
X:
Y:
X:+0°00'00"
Y:+0°00'00"

2-7
2 PREPARATION FOR MEASUREMENT
lSetting Tilt Correction by Soft Key
Enable you to select tilt ON/OFF function on page 2.
The setting performed here will be memorized after powering OFF.
[Example] Setting X,Y Tilt ON
2.7 Compensation of Systematic Error of Instrument
1) Error of vertical axis (X,Y tilt sensor offset)
2) Collimation error
3) Error of vertical angle 0 datum
4) Error of horizontal axis
The above mentioned errors can be compensated by software, which calculated internally
according to each compensation value.
Also these errors can be compensated by software collimating one side of the telescope that is
carried out to delete the error by turning in normal and reverse both sides of telescope so far.
lTo adjust or reset the above compensation value, see Chapter 9 “CHECK AND ADJUSTMENT” .
lEnable you to stop this function, see Chapter 8 “PARAMETERS SETTING MODE” or Chapter 9
“CHECK AND ADJUSTMENT” .
Operating procedure Option Display
1Press [F6] key to get the function page 2.
[F6]
2Press [F5](TILT) key.
Current setting is displayed. *1 [F5]
3Press [F2](ON-2) key.
The display shows tilt correction value. [F2]
4Press [F1] key.
The display returns previous mode. [F1]
*1) Pressing [F6](ESC) key, the display returns previous mode.
lThe tilt sensor setting will be stored in memory when the instrument is turned OFF.
The tilt sensor option can also be changed in the Parameter Setting Modes. When you change the tilt
sensor option in the angle measurement mode, it will change in the Parameter Setting Modes and visa
verse.
V : 87°55'45"
HR: 180°44'12"
SD HD NEZ 0SET HOLD P1
↓
REC HSET R/L V/% TILT P2
↓
TILT ON (V)
ON-1 ON-2 OFF ESC
X:+0°00'00"
Y:+0°00'00"

2-8
2 PREPARATION FOR MEASUREMENT
2.8 Resume Mode ON/OFF
The Resume mode will memorize the last display or mode when the power is turned OFF.
When the power is turned back ON, the last display or mode will be shown.
The Resume mode option only appears when the power is OFF.
2.9 How to Enter Numerals and Alphabet Letters
Alpha and numeric character key entry is simple and quick from the key board.
[Example] Renaming a file in the Memory Manager Modes.
Operating procedure Option Display
1Press [F1](Alpha) key to be entering alphabet
letter mode. [F1]
2Enter Alphabets. *1)
Type “H”
Move cursor
Type “I”
Type “L”
Type “ ”
[9][9]
[F4]
[9][9][9]
[4][4][4]
[3][3][3]
3Press [F1](Num) key to be entering numeric
mode. Input “104”
[F1]
[1][0][4]
4Press [ENT] when complete. [ENT]
*1) When the same alpha key is to be typed two or more times consecutively, press [F4]( →) key between
characters. This moves the cursor to the right.
*2) Extensions can not be changed.
Pressing [F1](OFF) key or [F2](ON) key, select the resume mode.
[F1] [F2]
Power off
Resume mode
OFF ON ESC
Power switch key OFF
Rename
Old name [TOPCON .DAT]
New name [ ]
Alpha SPC ← →
Rename
Old name [TOPCON .DAT]
New name [HIL ]
Num SPC ← →
Rename
Old name [TOPCON .DAT]
New name [HIL 104 ]
Alpha SPC ← →

2-9
2 PREPARATION FOR MEASUREMENT
2.10 Memory Card
How to insert a memory card
How to extract a memory card
1) Pull the card cover lever to open the
card cover.
2) Insert a memory card until the card
guide is up.
3) Close the card cover.
Memory card
Card cover lever
Card guide
1) Pull the card cover lever to open the card
cover.
2) Pull down the card guide.
3) Extract the memory card.
Card guide

2-10
2 PREPARATION FOR MEASUREMENT
2.11 Inclination of Prism and Measuring Error
For the best results, aim or point prisms in the direction of the GTS-820A series so that maximum signal
can be returned to the instrument. Sighting prism obliquely because of inclined settings, may result in
measuring errors. These errors will be proportional to the misalignment as showing in following graphs.
The more misalignment of the prism, the more error in measurement.
Measured data can be different according to the prism constant value. This can occur when a prism is
moving. Pin-pole prism set L1 (for one-person surveying) and pin-pole prism holder L1 (for fixed point
observation) are designed to minimize measuring error in such case. Make the best use of them. In
case you are forced to use the normal prism in inclined state because there is no other way possible,
we recommend to use switching holder, prism constant value (0 or 30mm), and set to 30mm
(Compensation value of -30mm).
Prism constant value : 0mm
Prism constant value : 30mm
Measuring
point
Inclined angle
Prism
Instrument
point
Inclined angle

2-11
2 PREPARATION FOR MEASUREMENT
lPrism type-2 (Normal prism)
lPrism type - 3 or 5 (Prism unit A2/A3)
(Example)
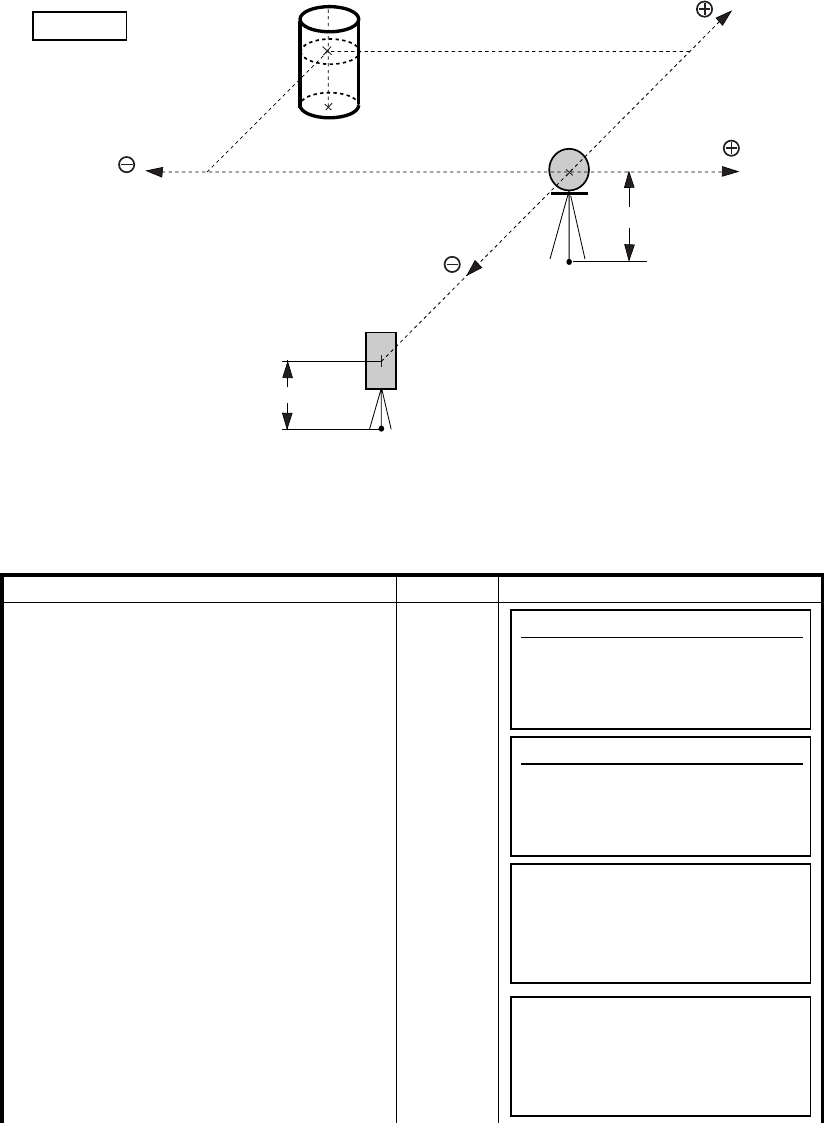
In case Prism constant value (C) = 0mm, Prism inclination = 20°, Measuring distance = 100m by Prism
type-2 :
lDistance error is :
From the graph prism type-2, the distance error shows in increasing range quantity 2.5mm along
curved line of C=0 when prism inclination is 20°.
lAngle error is :
From the graph prism type-2, along curved line of C=0 with prism inclination of 20°, find angle error
quantity (14.2mm) and calculate angle error by the following formula.
C=40
C=30
0
30
20
10
22
14
6
-2 0
C=0
( mm )
5
4
2
0
( mm ) C=0
C=30
C=40
6
3
1
-1 30
20
10
0
Distance Measuring error Angle measuring error
Inclined angle (degree) Inclined angle (degree)
Increasing
distance
range
Angle error
range
2
18
4
C=30
C=20
C=0
C=20
C=30
10 20 30
-1
0
1
2
3
4
0
C=0
-4
0
8
12
010 20 30
( mm
Increasing
distance
range
Angle error
range
Distance Measuring error Angle measuring error
Inclined angle (degree) Inclined angle (degree)
( mm)
Angle error =
Angleerror range
Measuring dis cetan
------------------------------------------------------
-1
tan
=14.2
100x103
--------------------
-1
tan
=29″

3-1
3 AUTOMATIC TRACKING / AUTOMATIC COLLIMATION
3 AUTOMATIC TRACKING / AUTOMATIC
COLLIMATION
3.1 Automatic Tracking
Measuring the moving target in automatic tracking mode.
lThe Coarse (10mm) mode is used for the moving target.
lUse a keyboard on the eyepiece side. When the keyboard on the opposition side is used an error
will be displayed to protect a worker from the radiation of the laser.
WARNING
lCause eye injury or blindness.
Do not stare into beam.
CAUTION
lLet the laser beam reach the aimed object or the target without anybody else in the laser beam path. In
case you operate laser beam open, avoid radiating laser beam to the height of man's head. It is quite
possible for the beam to enter into one's eyes, and it is possible to lose visual sight temporarily, and
lose one's caution and awareness of other dangers - avoid glaring beam.
Operating procedure Option Display
1Manually collimate the target prism using V/H
jog/shuttle.
2Press the star [*] key to show the star key
options. [*]
3Press the [F1] key. The mode will be
automatic tracking mode.
The instrument searches the prism and tracks
automatically.
[F1]
V : 87°55'45"
HR: 180°44'12"
SD HD NEZ 0SET HOLD P1↓
2003-10-10 14:30:40
1↓
V : 87°55'45"
HR: 180°44'12"
SD HD NEZ 0SET HOLD P1↓

3-2
3 AUTOMATIC TRACKING / AUTOMATIC COLLIMATION
4Choose measuring modes by pressing the
soft keys.
Measuring starts.
Sample: Horizontal distance measuring
[F2]
lIf the target prism is lost during auto tracking status, the instrument will automatically change to Waiting
status and symbol mark will be switched. If the target is found during Waiting status, tracking resumes,
and if not, status changes to Searching status. When the target prism is found, tracking will resume.
lThe following symbol marks are indicated at the right side of the display.
In all these status, laser beam is emitting.
lAuto tracking status sometimes can be unstable for a few seconds after the optical path is disturbed.
lIf the center of reticle and the center of the prism is not coincided, you should adjust optical axis for
auto-tracking, refer to chapter 9"Check and adjustment".
lIn the not suitable operating condition in such the atmospheric condition is not good by the heat
shimmer, or other bad weather condition, in the long distance of the auto-tracking limit, can be
happened not certain tracking or not tracking at the center of the prism.
V : 90°10'20"
HR: 120°30'40" PSM 0.0
HD: < PPM 0.0
VD: (m) *c.R
MEAS MODE VH SD NEZ P1↓
Star key
mode Tracking
status
Waiting status
The target prism is lost
The target prism is not found
for some time
Searching status
Automatic tracking
Normal
mode
F1
The target prism
is found
Tracking status
Waiting status
Searching status

3-3
3 AUTOMATIC TRACKING / AUTOMATIC COLLIMATION
3.2 Automatic Collimation
The function enables to collimate automatically so that the instrument searches for the center of the
prism when the telescopic is aimed a prism roughly.
Use this mode for the object which is stable.
lYou can select Fine or Course mode for the distance measurement in auto-collimation.
Operating procedure Option Display
1Manually collimate the target prism roughly
using V/H jog/shuttle.
2Press the star [*] key. [*]
3Press the [F2] key.
The instrument begins to collimate When it
searches the prism.
[F2]
4Choose measuring modes by pressing the
soft keys.
Measuring starts.
Sample: Horizontal distance measuring
[F2]
lIn case the instrument could not find the prism during auto-collimating, the auto-collimating mode
returns to normal mode after displaying the mark as follows.
lIf any key is pressed during auto-collimating, the auto-collimating mode returns to normal mode.
lAfter auto-collimating is finished, the instrument does not track the prism even if the prism is moved.
lThe auto-tracking can be done correctly in the time of shaking prism, or in bad weather condition is not
good by the heat shimmer. The above caution mark will be displayed after 10 seconds and the auto-
tracking will be finished.
V : 87°55'45"
HR: 180°44'12"
SD HD NEZ 0SET HOLD P1↓
2003-10-10 14:30:40
1↓
V : 87°55'45"
HR: 180°44'12"
SD HD NEZ 0SET HOLD P1↓
V : 90°10'20"
HR: 120°30'40" PSM 0.0
HD: < PPM 0.0
VD: (m) *c.R
MEAS MODE VH SD NEZ P1↓

3-4
3 AUTOMATIC TRACKING / AUTOMATIC COLLIMATION
3.3 Range of Laser for Auto-tracking and Auto-collimating
The range of laser at the long distance is within ±30' as shown in following. So you had better collimate
the prism so that the prism may be located within this range of laser in the first step. As for it, rapid
automatic collimating and automatic tracking becomes possible. If the target prism is out of this range,
time for searching mode will be necessary.
The range of the laser beam for auto-tracking in a short distance is same as a telescopic filed of view.
Therefore, quick starting of auto-tracking and auto-collimating are possible if the prism is contained in
the telescopic field of view.
Field of view
about ±30'
about ±30'
Range of laser

3-5
3 AUTOMATIC TRACKING / AUTOMATIC COLLIMATION
3.4 Setting Parameters for Auto-Tracking
A proper setting for each parameter are necessary for custom use.
The setting of the parameters can be done in the star key mode.
3.4.1 Setting Items
1) Search Patterns
The search pattern is the rotating method of telescope and instrument to find the target prism in search
mode. Search pattern includes the following 2 ways that can be selected.
1) Things like heat haze might interfere with the tracking system in the long distance, near limit of auto
tracking range, in search mode.
2) Reaction by rotating of instrument in search mode is serious. Be sure of each connection part of the
tribrach or tripod are firmly.
2) Search Range
The search range is the area to searched for the prism by rotating the telescope and body in Searching.
The Search range is decided from the point where the prism lost, and the values will be set to plus and
minus directions in horizontal and vertical.
Select search pattern first, and set the search range to the selected search pattern. Also it is enable to
set each search pattern separately.
Items Selecting item Contents
SEARCH
PATTERN PATTERN 1 The search range is the area to searched for the prism by rotating
the telescope and body in searching.
PATTERN 2
SEARCH
RANGE V:0° to 90°
H:0° to180° The search range is the area to searched for the prism by rotating
the telescope and body in searching. The SEARCH range is
decided from the point where the prism lost, and the values will be
set to plus and minus directions in horizontal and vertical. Also it is
enable to set each search pattern separately.
WAIT TIME 0:00 to1:00:00
(1sec. step) The time the prism is lost before GTS-820A series starts the
searching. If the mode is set to [HOLD], mode will not change to
searching.
HOLD
TRACKING
SPEED SURVEY Select your purpose.
MACHINE
CONTROL
REFLECTOR
TYPE PRISM The type of the reflector can be selected.
REFLECTOR
TAPE
PREDICTION
CTRL TIME 0.5sec./ 1sec. /
2sec. /3sec. / 4sec
/ 5sec.
After the instrument loses a prism, the time (prediction operation
time) for the instrument to continue moving operation can be set up.
PATTERN 1
This pattern can be selected to search the prism at the point where the prism is lost.
Instrument searches in up down direction gradually from the point where the prism is lost.
The searching is arranged to 2 times until the prism is found.
The auto tracking mode changes to manual mode when the reflector could not found out
within 2 times searching, and returns to the point where the reflector is lost.
PATTERN 2
This pattern can be selected to search for the prism. The search pattern tries to locate the
prism in a very short time.
The searching is arranged to 2 times until the reflector is found.
The auto tracking mode changes to manual mode when the reflector could not found out
within 2 times searching, and returns to the point where the reflector is lost.

3-6
3 AUTOMATIC TRACKING / AUTOMATIC COLLIMATION
[Example] SEARCH RANGE : 10° in horizontal, 5° in vertical
Setting Search range requires consideration. The items to think about: optical path interrupted by other
objects; collimated point from GTS-820A series to prism is shifted after Turning and Searching
Command; possible other prisms, targets, or other objects to interfere with tracking the desired prism;
and many other examples all play a role in determining the search range.
Note: This search range is only for auto-tracking function. The search range of auto-collimating is fixed
as ±5° in both directions horizontal and vertical.
3) Wait Time
The time the prism is lost before GTS-820A series starts the searching. Setting time is 1second step
maximum 60 minutes.
If the mode is set to [HOLD], mode will not change to searching.
4) Tracking Speed
Choose the mode of “Survey” or “Machine Control” according to the purpose of measurement.
5) Reflector type
You can choose a reflector type according to reflective objects such as Prism-2 or reflector tape.
This setting will reduce incorrect tracking.
6) Prediction operating time
After the instrument loses a prism, the time (prediction operation time) for the instrument to continue
moving operation can be set up.
During auto tracking operation, when auto tracking axis between the instrument and a prism is
intercepted by a tree etc., the moving is continued supposing a motion (prediction) of the prism till then.
It is effective in auto tracking operation after the prism is intercepted with the obstacle by this function.
When an obstacle is large, the prediction operation time should be set up long.
Moreover, when you want to terminate auto tracking operation immediately at the point which missed
the prism, and to be changed into a search state. Prediction operation time should be set up short.
SURVEY
lIn case requiring auto aiming in high accuracy to the prism which is still.
lSuitable for fixed point observation, management of landslides, surveying
displacement of dam.
lWhen beginning auto-tracking, the instrument needs to collimate stable prism.
MACHINE
CONTROL
lSuitable for controlling of construction machinery or real time surveying of variety
traveling objects.
lWhen beginning auto-tracking, the instrument can track a prism, even if the prism is
moving.
Note: If the Machine Control mode is chosen, the GTS-820A may incorrect-track the headlight of a car
etc. temporarily.
-10° +10°
-5°
+5°
20°
10°
Search range
Point where prism lost

3-7
3 AUTOMATIC TRACKING / AUTOMATIC COLLIMATION
3.4.2 How to set the parameters
Sample setting: Set TRACKING SPEED to [MACHINE CONTROL]
Operating procedure Option Display
1Press the star [*] key to be in star key mode. [*]
2Press the [F3] key to select the setting
parameters for auto-tracking. [F3]
3Press the [F6](P↓) key to get the menu on
page 2. [F6]
4Press the [F1](TRK SPEED) key. [F1]
5Press the [F6](↓) key to select [MACHINE
CONTROL].
6Press the [ENT] key to decide.
[F6]
[ENT]
2003-10-10 14:30:40
1↓
F1:SEARCH PATTERN
F2:SEARCH RANGE
F3:WAIT TIME
P↓
F1:TRK SPEED
F2:REFLECTOR TYPE
F3:PREDICTION CTRL TIME
P↓
TRACKING SPEED
SURVEY
↑ ↓
TRACKING SPEED
MACHINE CONTROL
↑ ↓

4-1
4 STANDARD MEASUREMENT MODE
4 STANDARD MEASUREMENT MODE
4.1 Angle Measurement
4.1.1 Measuring Horizontal Angle Right and Vertical Angle
Make sure the mode is in Angle measurement.
Operating procedure Operation Display
1Collimate the 1st target (A). Collimate
A
2Set horizontal angle of target A at 0° 00' 00".
Press [F4](0 set) key and [F6](SET) key. [F4]
[F6]
3Collimate the 2nd target (B).
The required H/V angle to target B will be
displayed.
Collimate
B
Reference : How to Collimate
1Point the telescope toward the light. Turn the diopter ring and adjust the diopter so that the cross
hairs are clearly observed.
(Turn the diopter ring toward you first and then backward to focus.)
2Aim the target at the peak of the triangle mark of the sighting collimator. Allow a certain space
between the sighting collimator and yourself for collimating.
3Focus the target with the focusing knob.
*If parallax is created between the cross
hairs and the target when viewing
vertically or horizontally while looking
into the telescope, focusing is incorrect
or diopter adjustment is poor.
This adversely affects precision in
measurement or survey. Eliminate the
parallax by carefully focusing and using
diopter adjustment.
Prog Std Mem Comm Adj Para
2003-10-10 15:30:40
STANDARD MEASUREMENT MODE
Angle measurement, Distance measurement,
Coordinate measurement .
[Press [F2] key.]
V : 87°55'45"
HR: 180°44'12"
SD HD NEZ 0SET HOLD P1
↓
H-0SET
HR: 00°00'00"
ESC SET
V : 87°55'45"
HR: 00°00'00"
SD HD NEZ 0SET HOLD P1
↓
V : 87°55'45"
HR: 123°45'50"
SD HD NEZ 0SET HOLD P1
↓
Focusing knob
Telescope eyepiece (Diopter ring
)
Åá
Åá
Åá
Åá

4-2
4 STANDARD MEASUREMENT MODE
4.1.2 Switching Horizontal Angle Right/Left
Make sure the mode is Angle measurement.
4.1.3 Measuring from the Required Horizontal Angle
1) Setting by Holding the Angle
Make sure the mode is angle measurement.
Operating procedure Operation Display
1Press [F6](
↓
)key to get the function as on
page 2.
[F6]
2Press [F3](R/L) key.
The mode Horizontal angle Right (HR)
switches to (HL) mode.
[F3]
3Measure as HR mode.
lEvery time pressing [F2](R/L) key is pressed, HR/HL mode switches.
lHR/HL switching can be turned OFF. Refer to Chapter 8 “PARAMETERS SETTING MODE” .
Operating procedure Operation Display
1Set the required horizontal angle, using
Horizontal jog/shuttle. Display
angle
2Press [F5](HOLD) key. [F5]
3Collimate the target.*1) Collimate
4Press [F6](REL) key to finish holding the
horizontal angle.
The display turns back to normal angle
measurement mode.
[F6]
*1)To return to the previous mode, press [F1](ESC) key.
V : 87°55'45"
HR: 120°30'40"
SD HD NEZ 0SET HOLD P1
↓
TURN HSET R/L V/% TILT P2
↓
V : 87°55'45"
HL: 239°29'15" PSM 0.0
PPM 0.0
(m) *F.R
TURN HSET R/L V/% TILT P2
↓
V : 90°10'20"
HR: 70°20'30"
SD HD NEZ 0SET HOLD P1
↓
Holding
HR: 70°20'30"
ESC REL
V : 90°10'20"
HR: 70°20'30"
SD HD NEZ 0SET HOLD P1
↓

4-3
4 STANDARD MEASUREMENT MODE
2) Setting a Horizontal Angle from the Keys
Make sure the mode is Angle measurement.
4.1.4 Vertical Angle Percent Grade(%) Mode
Make sure the mode is Angle measurement.
Operating procedure Operation Display
1Collimate the target. Collimate
2Press [F6](
↓
) key to get the function as on
page 2, and press [F2](HSET) key.
3Input the required horizontal angle.
*1)
For example:70°20'30"
[F6]
[F2]
Input
value
4Press [ENT] key. *2)
When completed, normal measuring from the
required Horizontal angle is possible.
[ENT]
*1)To revise wrong value, move cursor with [F6](BS) key, or input from the beginning by [F1](EXIT) key to
correct value.
*2)With wrong input value (for example 70'), setting will not be completed. Input again from step 3.
Operating procedure Operation Display
1Press [F6](
↓
) key to get the function as on
page 2.
[F6]
2Press [F4](V/%) key. *1) [F4]
*1) Every time pressing the [F4](V/%) key, the display mode switches.
V : 90°10'20"
HR: 120°30'40"
SD HD NEZ 0SET HOLD P1
↓
TURN HSET R/L V/% TILT P2
↓
H-SET
HR:
H-SET
HR:70.203
EXIT BS
V : 90°10'20"
HR: 70°20'30"
SD HD NEZ 0SET HOLD P1
↓
V : 90°10'20"
HR: 120°30'40"
SD HD NEZ 0SET HOLD P1
↓
TURN HSET R/L V/% TILT P2
↓
V%: -0.30 %
HR: 120°30'40"
TURN HSET R/L V/% TILT P2
↓

4-4
4 STANDARD MEASUREMENT MODE
4.1.5 Automatic Rotation to a Required Horizontal and Vertical Absolute Angle
The GTS-820A series can be rotated to a required horizontal and vertical absolute angle by direct key
input.
Example: Both vertical and horizontal angle
Operating procedure Operation Display
1Press the [F6](
↓
) key to display the second
soft key page.
[F6]
2Press the [F1](TURN) key. [F1]
3Press the [F3] key. [F3]
4Input the vertical angle to be rotated and
press [ENT] key. *1)
For example : 93°10'40"
V angle
[ENT]
H angle
[ENT]
5Input the horizontal angle to be rotated, and
press [ENT] key.
For example : 160°20'10"
The instrument will start to rotate. *2)
When the instrument has finished rotating *3),
the instrument will return to the previous
mode.
*1) Setting range for rotation is ;
0°00' 00"≤ HR ≤+359°59' 59"
0°00' 00"≤ V ≤ +359°59' 59"
*2) Press any key except power key to stop rotating in emergency during operation.
*3) You can select a accuracy of the actual stopping angular positions. Refer to Chapter 8
“PARAMETERS SETTING MODE” .
V : 87°55'45"
HR: 120°30'40"
SD HD NEZ 0SET HOLD P1
↓
TURN HSET R/L V/% TILT P2
↓
TURN(Absolute)
F1. V angle
F2. H angle
F3. V/H angle
TURN(Absolute)
V :
HR:
EXIT BS
TURN(Absolute)
V : 93°10'10"
HR: 160°20'10"
<Rotating...>

4-5
4 STANDARD MEASUREMENT MODE
4.2 Distance Measurement
4.2.1 Setting of the Atmospheric Correction
When setting the atmospheric correction, obtain the correction value by measuring the temperature
and pressure.
Setting the atmospheric correction is in the STAR key (H) mode, see Chapter 11 “SETTING
ATMOSPHERIC CORRECTION” .
4.2.2 Setting of the Correction for Prism Constant
Topcon's prism constant value is 0. Set correction for prism at 0. If the prism is of another manufacture,
the appropriate constant shall be set beforehand.
Setting the prism constant value is in the STAR key (H) mode, see Chapter 10 “SETTING THE PRISM
CONSTANT VALUE” .
4.2.3 Distance Measurement (Continuous Measurement)
Make sure the mode displays angle measurement.
Operating procedure Operation Display
1Collimate the center of prism.
2Press [F1](SD) key or [F2]( HD )key.
*1), 2)
[Example] Horizontal distance mode
[F2]
The result are shown *3) ~ *6)
*1) The following characters will be shown on the 4th line right hand corner of the display to
represent measurement mode.
F: Fine meas. mode, C: Coarse (1mm) meas. mode, c: Coarse (10mm) meas. mode.
R: Continuous (Repeat) meas. mode , S: Single meas. mode, N: N time meas. mode
*2) When EDM is working, the "* " mark appears in the display.
*3) The result is shown with buzzer sound.
*4) Measurement may repeat automatically if the result is affected by shimmer etc..
*5) To change single measuring, press [F1](MEAS) key.
*6) To return to the angle measurement mode, press [F3](VH) key.
V : 90°10'20"
HR: 120°30'40"
SD HD NEZ 0SET HOLD P1
↓
V : 90°10'20"
HR: 120°30'40" PSM 0.0
HD: < PPM 0.0
VD: (m) *F.R
MEAS MODE VH SD NEZ P1
↓
V : 90°10'20"
HR: 120°30'40" PSM 0.0
HD: 716.661 PPM 0.0
VD: 4.001 (m) *F.R
MEAS MODE VH SD NEZ P1
↓

4-6
4 STANDARD MEASUREMENT MODE
4.2.4 Distance Measurement (Single/N-times Measurement)
When presetting the number of times, the instrument measures the distance as the setting times and
the average distance will be displayed.
When presetting the number of times as 1, it does not display the average distance, because of single
measurement. It has been set at single measurement at factory.
1)Setting the number of times
Confirm the angle measurement mode.
2)Measuring Method
Confirm the angle measurement mode.
Operating procedure Operation Display
1Press [F1](SD) or [F2](HD) key.
2Press [F6](
↓
) key to get the function page as
2.
[F2]
[F6]
3Press [F3](MEAN) key. [F3]
4Input the setting the number of times, and
press [ENT] key. *1)
[Example] 4 times
N-times measurement starts.
[F4][ENT]
Operating procedure Operation Display
1Collimate the center of the prism. Collimate
2Select the measurement mode by pressing
[F1](SD) or [F2](HD) key.
Example: Horizontal distance
N-times measurement starts.
[F2]
V : 90°10'20"
HR: 120°30'40"
SD HD NEZ 0SET HOLD P1
↓
V : 90°10'20"
HR: 120°30'40" PSM 0.0
HD: PPM 0.0
VD: (m) F.R
MEAS MODE VH SD NEZ P1
↓
REC SO MEAN m/ft P2
↓
Average times
N:0
EXIT BS
V : 90°10'20"
HR: 120°30'40" PSM 0.0
HD: < PPM 0.0
VD: (m) *F.N
REC SO MEAN m/ft P2
↓
V : 90°10'20"
HR: 120°30'40"
SD HD NEZ 0SET HOLD P1
↓
V : 90°10'20"
HR: 120°30'40" PSM 0.0
HD: PPM 0.0
VD: (m) F.N
MEAS MODE VH SD NEZ P1
↓

4-7
4 STANDARD MEASUREMENT MODE
The average value is displayed following with
buzzer sound and “ * ” mark disappears.
lPress [F1](MEAS) key for re-measuring after the measurement in held.
lTo return to the continuous measuring , press [F1](MEAS) key twice.
lTo return to the angle measuring mode , press [F3](VH) key.
V : 90°10'20"
HR: 120°30'40" PSM 0.0
HD: 54.321 PPM 0.0
VD: 1.234 (m) *F.N
MEAS MODE VH SD NEZ P1
↓
V : 90°10'20"
HR: 120°30'40" PSM 0.0
HD: 54.321 PPM 0.0
VD: 1.234 (m) F.N
MEAS MODE VH SD NEZ P1
↓

4-8
4 STANDARD MEASUREMENT MODE
4.2.5 Fine / Coarse Measuring Mode
•Fine mode : This is a normal distance measuring mode.
Measurement time 0.2mm mode: approx.2.8 seconds
1 mm mode : approx.1.2 seconds
The unit to be displayed is 0.2mm or 1mm. (0.001ft or 0.005ft)
•Coarse mode : This mode measures in shorter time than in fine mode.
(1mm) Use this mode for the objects which may be slightly unstable.
Measurement time : approx. 0.7 seconds
The unit to be displayed is 1mm. (0.005ft)
•Coarse mode : This mode measures in shorter time than in coarse(1mm) mode.
(10mm) Use this mode for stake out measurement. It is very useful when tailing the
moving object or carrying out stake-out work.
Measurement time : approx. 0.4 seconds
The unit to be displayed is 10mm. (0.02ft)
Operating procedure Operation Display
1Collimate the center of prism. Collimate
2Select the measurement mode by pressing
[F1](SD) or [F2](HD) key.
Example: Horizontal distance
Measuring starts.
[F2]
3Press [F2](MODE) key, the mode changes to
Coarse mode.
Press [F2](MODE) key again, the mode
changes to Tracking mode. *1)
[F2]
[F2]
*1) Every time the [F2](MODE) key is pressed, the mode will change as demonstrated.
The mode is indicated in the alphabet (F, C, c) on the bottom right of the screen.
F: Fine mode, C: Coarse 1mm mode, c: coarse 10mm mode
V: 90°10'20"
HR: 120°30'40"
SD HD NEZ 0SET HOLD P1
↓
V : 90°10'20"
HR: 120°30'40" PSM 0.0
HD: < PPM 0.0
VD: (m) *F.R
MEAS MODE VH SD NEZ P1
↓
V : 90°10'20"
HR: 120°30'40" PSM 0.0
HD: PPM 0.0
VD: (m) c.R
MEAS MODE VH SD NEZ P1
↓

4-9
4 STANDARD MEASUREMENT MODE
4.2.6 Stake Out (S-O)
The stake out distance is the difference between the measured distance and the preset distance.
Display value = Measured distance -Standard (Preset) distance
The value on the display is the distance in which the rod person must move toward or away from the
instrument. A minus (-) sign appearing before the stake out distance indicates that the rod person
would move away from the instrument to reach the stake out distance. If the stake out distance is
displayed with no sign, indicating positive (+), the rod person toward the instrument to reach the stake
out distance.
lStake out operation can be accomplished in any distance measuring mode, horizontal distance
(HD), relative elevation (VD), or slope distance (SD).
[Example: Relative elevation]
Operating procedure Operation Display
1Press [F6](P1) key in the distance measuring
mode to get the function as in page 2.
[F6]
2Press [F2](S-O) key and press [ENT] key.
3Enter the relative elevation for stake out, and
press [ENT] key.
The measuring starts.
[F2]
[ENT]
Enter
value
[ENT]
4Collimate the target (Prism).
The difference between the measured
distance and the standard distance is
displayed.
lTo return to normal distance measurement mode, reset the standard distance to “ 0 ” or turn the power
switch off (Resume mode: OFF) once.
V : 90°10'20"
HR: 120°30'40" PSM 0.0
HD: PPM 0.0
VD: (m) F.R
MEAS MODE VH SD NEZ P1
↓
TURN SO MEAN m/ft P2
↓
SO
HD : 0.000
VD :
EXIT BS
V : 90°10'20"
HR : 120°30'40" PSM 0.0
HD : < PPM 0.0
dVD : (m) *F.R
TURN SO MEAN m/ft P2
↓
V : 90°10'20"
HR: 120°30'40" PSM 0.0
HD: 12.345 PPM 0.0
dVD: 0.09 (m) *F.R
TURN SO MEAN m/ft P2
↓

4-10
4 STANDARD MEASUREMENT MODE
4.3 COORDINATE MEASUREMENT
4.3.1 Setting Coordinate Values of Occupied Point
The occupied point coordinates (NEZ) can be preset in the GTS-820A Series to calculate the unknown
point coordinates. It is possible to retain the occupied coordinates in memory once the power is turned
OFF if the (NEZ mem) is ON in the Parameter Setting Modes. IF (NEZ mem) is OFF in the Parameter
Setting Modes, the occupied coordinates will be retained only if you choose (Resume ON) when
shutting the power OFF.
For instructions on how to select NEZ memory ON/OFF, refer to Chapter 8 “PARAMETERS SETTING
MODE” .
Confirm the angle measurement mode.
Operating procedure Operation Display
1Press [F3](NEZ) key.
2press [F6](
↓
) key to get the function as on
page 2.
[F3]
[F6]
3Press [F5](SET) key.
The previous data will be shown. [F5]
N
E
z
n
e
Prism (n,e,z)
Inst.PointC
Origin(0,0,0)
V : 90°10'20"
HR: 120°30'40"
SD HD NEZ 0SET HOLD P1
↓
N : <
E : PSM 0.0
Z : PPM 0.0
(m) *F.R
MEAS MODE VH SD HD P1
↓
TURN HT MEAN m/ft SET P2
↓
Setting occ. point
N : 12345.6700
E : 12.3400
Z : 10.2300
EXIT BS

4-11
4 STANDARD MEASUREMENT MODE
4Input new data and press [ENT] key. *1)
Measuring starts.
N coord.
[ENT]
E coord.
[ENT]
Z coord.
[ENT]
*1)To cancel the setting, press [F1](EXIT) key.
Setting occ. point
N : 0.0000
E : 0.0000
Z : 0.0000
EXIT BS
Complete
N : <
E : PSM 0.0
Z : PPM 0.0
(m) *F.R
TURN HT MEAN m/ft SET P2
↓

4-12
4 STANDARD MEASUREMENT MODE
4.3.2 Setting of the Instrument Height / Prism Height
The instrument height and prism height are used to compute the ground elevation of the unknown
point. If the option to store NEZ is (on), the instrument and prism heights will be stored in memory when
power is turned off.
Confirm the angle measurement mode.
Operating procedure Operation Display
1Press [F3](NEZ) key.
2Press [F6](
↓
) key from the coordinate
measurement mode to get the function as in
page 2.
[F3]
[F6]
3Press [F2](HT) key to type in the instrument
and prism height.
Previous data will be shown.
[F2]
4Input instrument height, and press [ENT]
key.*1) Inst. HT
[ENT]
5Input prism height, and press [ENT] key.
The display returns to coordinate measuring
mode.
Prism HT
[ENT]
*1)To cancel the setting, press [F1](EXIT) key.
V : 90°10'20"
HR: 120°30'40"
SD HD NEZ 0SET HOLD P1
↓
N :
E : PSM 0.0
Z : PPM 0.0
(m) *F.R
MEAS MODE VH SD HD P1
↓
TURN HT MEAN m/ft SET P2
↓
Inst. Ht : 1.230 m
R. Ht : 1.340 m
EXIT BS
N :
E : PSM 0.0
Z : PPM 0.0
(m) *F.R
TURN HT MEAN m/ft SET P2
↓

4-13
4 STANDARD MEASUREMENT MODE
4.3.3 Execution of Coordinate Measuring
Measure the coordinates by entering the instrument height and prism height, coordinates of unknown
point will be measured directly.
lWhen setting coordinate values of occupied point, see Section 4.3.1“Setting Coordinate Values of
Occupied Point” .
lWhen setting the instrument height and prism height, see Section 4.3.2“Setting of the Instrument
Height / Prism Height” .
lThe coordinates of the unknown point are calculated as shown below and displayed:
Coordinates of occupied point : (N0, E0, Z0)
Instrument height : Inst.h
Prism height : R.h
Vertical distance (Relative elevation) : z
Coordinates of the center of the prism,
originated from the center point of the instrument : (n,e,z)
Coordinates of unknown point : (N1, E1, Z1)
N1 = N0 + n
E1 = E0 + e
Z1 = Z0 + Inst.h + z - P.h
Confirm the angle measurement mode.
Operating procedure Operation Display
1Set coordinates values of occupied point and
instrument/prism height. *1)
2Set the direction angle of known point A. *2) Set
direction
angle
3Collimate target B. Collimate
4Press [F3](NEZ) key.*3)
Measuring starts. [F3]
Origin (o, o, o)
Occupied point (No, Eo, Zo)
Center point of the instrument
(No, Eo, Zo + Inst.h)
Coordinates of the center of the prism, originated from the center point of the instrument (n,e,z)
Unknown point
(N1, E1, Z1)
V : 90°10'20"
HR: 120°30'40"
SD HD NEZ 0SET HOLD P1
↓
N : <
E : PSM 0.0
Z : PPM 0.0
(m) *F.R
MEAS MODE VH SD HD P1
↓

4-14
4 STANDARD MEASUREMENT MODE
The result will be shown.
*1) In case the coordinate of instrument point is not entered, (0,0,0) will be used as the default for the
instrument point.
The instrument height will be calculated as 0 when the instrument height is not entered.
*2) The prism height will be calculated as 0 when the prism height is not set.
*3) Refer to Section 4.1.3“Measuring from the Required Horizontal Angle”or Section 4.1.3“Measuring from
the Required Horizontal Angle”
*4) Pressing [F1](MEAS) key, the measurement mode (Continuous measuring/ N-time measuring)
changes.
Pressing [F2](MODE) key, the measurement mode (FINE/ COARSE(1mm)/ COARSE(10mm))
changes.
lTo return to the normal angle or distance measuring mode, press [F6](P2
↓
) key to return to the function
as on page 1 and press [F3](VH),[F4](SD) or [F5](HD) key.
N : 12345.6789
E : -12345.6789 PSM 0.0
Z : 10.1234 PPM 0.0
(m) *F.R
MEAS MODE VH SD HD P1
↓

4-15
4 STANDARD MEASUREMENT MODE
4.4 DATA OUTPUT
Result of measurement is transferred to Data Collector (FC series) from GTS-820A series.
[Example: Distance measurement mode]
Confirm the distance measurement mode.
The following data will be output at each mode.
lThe display and the output at the coarse (1mm) mode are the same as the contents above.
lOutput at the coarse (10mm) mode is displayed as distance data only (HD, VD or SD).
The information of GTS-820A series regarding tracking auto-tracking are added to the protocol of
Topcon Total Station system so far.
Also you can add utility information such as battery remaining, EDM mode, auto-tracking mode, normal/
reversed face information, Tilt information if you like. For selecting, refer to Chapter 8 “PARAMETERS
SETTING MODE” .
During an utility function selection, measurement will be continued whenever tilt over. The tilt over will
not be compensated here.
In case tilt over, the tilt information will be displayed on the upper right screen as the following marks
during the utility function is selected.
Operating procedure Display
1Operate the data collector to measure the distance.
Measurement will be started.
2The result will be shown and transferred to the Data
Collector.
3The mode will automatically return to the distance
measurement mode.
Mode Output
Angle mode (V,HR or HL) (V in percent) V, HR (or HL)
Horizontal distance mode (V, HR, HD, VD) V, HR, HD, VD
Slope distance mode (V, HR,SD) V, HR, SD,HD
Coordinate mode N, E, Z, HR
V : 90°10'20"
HR: 120°30'40" PSM 0.0
HD: < PPM 0.0
VD: (m) *F.R
MEAS MODE VH SD NEZ P1
↓
V : 90°10'20"
HR: 120°30'40" PSM 0.0
HD: 10.1234 PPM 0.0
VD: 1.234 (m) *F.R
REC > > >
V : 90°10'20"
HR: 120°30'40" PSM 0.0
HD: 10.1234 PPM 0.0
VD: 1.234 (m) *F.R
MEAS MODE VH SD NEZ P1
↓
Marks Status of tilt
[t] Under tilt compensation
[?] Tilt Over
[*]Tilt OFF
V : 90° 10'20" [t]
HR: 120° 30'40" PSM 0.0
HD: < PPM 0.0
VD: (m) *c.R
MEAS MODE VH SD NEZ P1
↓
Tilt information

5-1
5 PROGRAM MODES
5 PROGRAM MODES
lThe loaded measuring programs are added on this menu.
Prog Std Mem Comm Adj Para
2003-10-10 15:30:40
PROGRAM MODE (APPLICATION MEASUREMENT)
1.Setting a Horizontal Angle
2.Retaining a Coordinate (STORE-NEZ)
3.Remote Elevation Measurement (REM)
4.Missing Line Measurement (MLM)
5.Line Measurement (LINE)
6.Offset Measurements (OFF SET)
6.External Link
[Press [F1] key.]
Programs
F1 BS p 4/7
F2 STORE p
F3 REM p
F4 MLM p MORE
[F6](MORE) key Programs
F1 LINE p 7/7
F2 OFFSET p
F3 EXT.LINK p
MORE

5-2
5 PROGRAM MODES
5.1 Setting a Direction Angle for Backsight Orientation
(Entering the instrument and backsight coordinate values)
From the coordinate value of backsight point (bearing point) and instrument point, the direction angle
from the instrument point to the backsight point can be set.
Example: Backsight point A : N coordinate 54.321m, E coordinate 12.345m
Operating procedure Operation Display
1Press [F1](BS) key.
Current data will be displayed. *1) [F1]
2Press [F6](OK) key.
3Input N and E coordinate of backsight point A.
Example : N coordinate;54.321m
: E coordinate;12.345m
[F6]
N data
[ENT]
E data
[ENT]
4Sight backsight point A.
5Press [F5](YES) key.
The display returns to main menu.
[F5]
*1)If you need to change the occupied point data, press [F1](INP) key and input new data.
N
Direction angle
Backsight point A
E
Instrument point C
Programs
F1 BS p 4/7
F2 STORE p
F3 REM p
F4 MLM p MORE
Setting Direction Angle
BS:M-POINT
N : 1234.567 m
E : 2345. 678 m
INP OK
Setting Direction Angle
BS:T-POINT
N : 54.321 m
E : 12.34 5 m
EXIT BS
Setting Direction Angle
BS
HR : 320°10'20"
> Set OK?
EXIT YES NO
Complete

5-3
5 PROGRAM MODES
5.2 Retaining a Coordinate (STORE- NEZ)
Suppose the instrument P0 moves to P1, P2, P3, etc. and the coordinate at P1, P2, P3 etc., last point
will be retained in the memory, after moving, as from the origin point.
lSet the coordinate value of instrument point P
0 and set the direction angle from instrument point P0
toward known point A .
Operating procedure Operation Display
1Press [F2](STORE) key. [F2]
2Press [F1](Store NEZ) key. *1) [F1]
3Collimate target P1 prism which the
instrument moves. Collimate
P1
4Press [F1](MEAS) key.
Measuring will start. [F1]
Horizontal distance and horizontal angle are
shown.
Origin (0,0,0)
P3
P2
P1
N
Direction angle
Known point A
E
Inst. point P0
Programs
F1 BS p 4/7
F2 STORE p
F3 REM p
F4 MLM p MORE
Retaining Coordinate
1.Store NEZ
2.Recall NEZ
Store NEZ
HR : 120°30'40"
HD : m
MEAS HT SET
Store NEZ
HR : 100°10'20"
HD * < m
MEAS SET
Store NEZ
HR : 100°10'20"
HD * 123.456 m
MEAS SET

5-4
5 PROGRAM MODES
5Press [F6](SET) key.
Coordinate of P1 will be displayed. [F6]
6Press [F5](YES) key.
Coordinate of P1 will be decided. [F5]
The display return to main menu.
Turn power off and move instrument to P1
( Prism P1 move to P0).
Power off
Move to
P1
7After the instrument is set up at P1, turn
power on and be measurement possible. Power on
Select
program
8Press [F2](STORE) key. [F2]
9Press [F2](Recall NEZ) key.
10 Collimate P0, the former instrument point.
[F2]
Collimate
P0
11 Press [F5](YES) key. [F5]
The coordinates at P1 and direction angle
toward P0 are set.
The display return to main menu.
12 Repeat the procedure
1 ~11 as much as you
wish.
*1)To reset the instrument height or prism height, press [F5](HT) key.
Store NEZ
N : 123.456 m
E : 12.345 m
Z : 1.234 m
> SET OK? YES NO
Complete
Programs
F1 B S p 4/7
F2 STORE p
F3 REM p
F4 MLM p MORE
Retaining a Coordinate
1.Store NEZ
2.Recall NEZ
Recall NEZ
HR: 300°10'20"
> Set OK?
YES NO
Complete

5-5
5 PROGRAM MODES
5.3 Remote Elevation measurement (REM)
To obtain elevation of the point at which setting the target prism is not possible, place the prism at any
point on the vertical line from the target then carry out REM procedure as follows.
1) With prism height (h) input (Example :h=1.5m)
Operating procedure Operation Display
1Press [F3](REM) key. [F3]
2Press [F1](YES) key. [F1]
3Enter prism height, press [ENT] key. Enter
P.HT
[ENT]
4Collimate prism . Collimate
P
5Press [F1](MEAS) key.
Measuring starts. [F1]
Target K
Prism P
Prism height
G
Instrument
VD
Programs
F1 BS p 4/7
F2 STORE p
F3 REM p
F4 MLM p MORE
REM
Prism height
1.YES
2.NO
REM
(1)Prism Height
P.h : m
EXIT BS
REM
(2)Horizontal Distance
HD : m
MEAS SET
REM
(2)Horizontal Distance
HD * < m
MEAS SET

5-6
5 PROGRAM MODES
2)Without prism height input.
Horizontal distance (HD) between the
instrument and prism will be shown.
6Press [F6](SET) key.
The prism position will be decided. *1) [F6]
7Collimate target K.
Vertical distance (VD) will be shown. *2) Collimate
K
*1)To return to procedure 3, press [F2](P.h) key.
To return to procedure 4, press [F3](HD) key.
*2)To return to main menu, press [F1](EXIT) key.
Operating procedure Operation Display
1Press [F3](REM) key. [F3]
2Press [F2](NO) key. [F2]
3Collimate prism.
4Press [F1](MEAS) key.
Measuring starts.
Collimate
P
[F1]
Horizontal distance (HD) between the
instrument and prism will be shown.
REM
(2)Horizontal Distance
HD : 123.456 m
MEAS SET
REM
VD : 0.234 m
EXIT P.h HD SET
REM
VD : 1.456 m
EXIT P.h HD
Programs
F1 BS p 4/7
F2 STORE p
F3 REM p
F4 MLM p MORE
REM
Prism height
1.YES
2.NO
REM
(1)Horizontal Distance
HD : m
MEAS
REM
(1)Horizontal Distance
HD* < m
MEAS SET
REM
(1)Horizontal Distance
HD : 123.456 m
MEAS SET

5-7
5 PROGRAM MODES
5Press [F6](SET) key.
The prism position will be decided. [F6]
6Collimate ground point G. Collimate
G
7Press [F6](SET) key.
The position of point G will be decided. *1) [F6]
8Collimate target K.
Vertical distance (VD) will be shown. *2) Collimate
K
*1)To return to procedure 3 , press [F2](HD) key.
To return to procedure 6 , press [F3](V) key.
*2)To return to main menu, press [F1](EXIT) AND [F5](YES) key.
REM
(2)Vertical Angle
V : 120°30'40"
SET
REM
(2)Vertical Angle
V : 95°30'40"
SET
REM
VD : 0.000 m
EXIT HD V
REM
VD : 9.876 m
EXIT HD V

5-8
5 PROGRAM MODES
5.4 Missing Line Measurement (MLM)
Measurement for horizontal distance (dHD), slope distance (dSD) and elevation (dVD) between two
target prisms.
MLM mode has two mods.
1.(A-B, A-C):Measurement is A-B, A-C, A-D,.............
2.(A-B, B-C):Measurement is A-B, B-C, C-D,.............
[Example] 1. (A-B, A-C)
lProcedure of 2. (A-B, B-C) mode is completely same as MLM-1 mode.
Operating procedure Operation Display
1Press [F4](MLM) key. [F4]
2Press [F1](A-B, A-C) key. [F1]
Prism A
Prism B
Prism C
Instrument
Programs
F1 BS p 4/7
F2 STORE p
F3 REM p
F4 MLM p MORE
Missing Line Measurement
1.(A-B, A-C)
2.(A-B, B-C)
MLM 1
Horizontal Distance 1
HD : m
MEAS SET

5-9
5 PROGRAM MODES
3Collimate prism A, and press [F1](MEAS) key.
Horizontal distance (HD) between the
instrument and prism A will be shown.
Collimate
A
[F1]
4Press [F6](SET) key. [F6]
5Collimate prism B and press [F1](MEAS) key.
Horizontal distance (HD) between the
instrument and prism B will be shown.
Collimate
B
[F1]
6Press [F6](SET) key.
The horizontal distance (dHD) relative
elevation (dVD) and slope distance between
prism A and B.
[F6]
7To measure the distance between points A
and C, press [F2](HD) key. *1) [F2]
8Collimate point C (Prism C) and press
[F1](MEAS) key.
Horizontal distance (HD) between the
instrument and prism C will be shown.
Collimate
C
[F1]
MLM 1
Horizontal Distance 1
HD * < m
MEAS SET
MLM 1
Horizontal Distance 1
HD : 123.456 m
MEAS SET
MLM 1
Horizontal Distance 2
HD : m
MEAS SET
MLM 1
Horizontal Distance 2
HD * < m
MEAS SET
MLM 1
Horizontal Distance 2
HD * 246.912 m
MEAS SET
MLM 1
dHD : 123.456 m
dVD : 12.345 m
dSD : 12.456 m
EXIT HD
MLM 1
Horizontal Distance 2
HD : m
MEAS SET
MLM 1
Horizontal Distance 2
HD : < m
MEAS SET

5-10
5 PROGRAM MODES
9Press [F6]( SET) key.
The horizontal distance (dHD) relative
elevation (dVD) and slope distance between
prism A and C.
[F6]
10 To measure the distance between points A
and D, repeat procedure 7 to 9. *1)
*1)To return to main menu, press[F1](EXIT) and [F5](YES) key.
MLM 1
Horizontal Distance 2
HD * 246.912 m
MEAS SET
MLM 1
dHD : 123.456 m
dVD : 12.345 m
dSD : 12.456 m
EXIT HD

5-11
5 PROGRAM MODES
5.5 Line Measurement (LINE)
This mode is useful to obtain the line height.
[Example:Input of prism height]
Operating procedure Operation Display
1Press [F6](MORE) key from programs menu
to get the next page of programs. [F6]
2Press [F1](LINE) key. [F1]
3Press [F1](YES) key. [F1]
4Input the prism height and press [ENT] key. Input P.h
[ENT]
HD
VD
P.h
Prism A
Off
G
L
Prism B
Instrument
LH
Programs
F1 BS p 4/7
F2 STORE p
F3 REM p
F4 MLM p MORE
Programs
F1 LINE p 7/7
F2 OFFSET p
F3 EXT.LINK p
MORE
LINE
Prism height
1 YES
2 NO
LINE
Prism height
P.h: m
EXIT BS
LINE
<STEP-1>PT A
HD: m
MEAS SET

5-12
5 PROGRAM MODES
5Collimate prism A and press [F1](MEAS) key.
The distance measurement will start.
Horizontal distance is displayed.
Collimate
A
[F1]
6Press [F6] (SET) key, and horizontal distance
will be recorded. [F6]
7Collimate prism B and press [F1](MEAS) key.
The distance measurement will start.
Horizontal distance is displayed.
Collimate
B
[F1]
8Press [F6] (SET) key, and horizontal distance
will be recorded. [F6]
9Sight line point L .
Measured data to the line point L is displayed.
VD:Vertical distance.
HD:Horizontal distance from the instrument to
L.
Off :Horizontal distance from A to L.
Sight L
10 Press [F2](LH) key.
This function is used when measuring the line
height from the ground. The procedure is as
follows :
lSight the point on the line before pressing this
key.
lDon‘t move the horizontal tangent screw by
setting ground point G.
[F2]
LINE
<STEP-1>P
T A
HD* < m
MEAS SET
LINE
<STEP-1>PT A
HD* 50.234 m
MEAS SET
LINE
<STEP-1>PT B
HD: m
MEAS SET
LINE
<STEP-1>PT B
HD* < m
MEAS SET
LINE
<STEP-1>PT B
HD* 67.543 m
MEAS SET
LINE
VD: 20.123 m
HD: 38.987 m
Off: 74.123 m
EXIT LH
LINE
G-POINT
V : 30°20'10"
EXIT SET

5-13
5 PROGRAM MODES
11 Rotate the vertical tangent screw, and sight
ground point G. Sight G
12 Press [F6] (SET) key, line height (LH) and
horizontal distance (Off) are displayed. [F6]
lTo finish the measurement, press the [F1](EXIT) or [ESC] key.
lTo return to operation procedure 9 , press the [F2](VD) key.
lTo return to operation procedure 11 , press the [F6](NEXT) key.
The NEXT key is used when the ground point G is not clear and you would like to check another
ground point G on the same vertical line.
LINE
G-POINT
V : 90°40'20"
EXIT SET
LINE
LH: 33.765 m
Off: 27.521 m
EXIT VD NEXT

5-14
5 PROGRAM MODES
5.6 Offset measurement (OFFSET)
There are four offset measurement modes in the Offset Measurement.
lAngle offset
lDistance offset
lPlane offset
lColumn offset
lOutputting the Measurement Data
The results of offset measurement can be output to external device.
In offset measurement mode, the [F4] soft key which assigned (REC) will appear in measured result
display.
lDistance measurement mode of the offset measurement
Offset measurement will be done by N-time fine measurement mode.
[F2](OFFSET)
Offset Measurement Menu
Programs
F1 LINE p 7/7
F2 OFFSET p
F3 EXT.LINK p
MOR E
OFFSET MEASUREMENT
1.ANGLE OFFSET
2.DIST. OFFSET
3.PLANE OFFSET
4.COLUMN OFFSET
ANGLE OFFSET
HR: 87°55'45"
HD: 20.000 m
VD: 5.000 m
NEXT SD NEZ REC
[F4](REC)
ANGLE OFFSET
HR: 87°55'45"
HD: 20.000 m
VD: 5.000 m
> REC ? YES NO
[F5](YES)
ANGLE OFFSET
HR: 87°55'45"
HD: 20.000 m
VD: 5.000 m
<REC>

5-15
5 PROGRAM MODES
5.6.1 Angle Offset
This mode is useful when it is difficult to set up the prism directly, for example at the center of a tree.
Place the prism at the same horizontal distance from the instrument as that of point A0 to measure.
To measure the coordinates of the center position, operate the offset measurement after setting the
instrument height/prism height.
Operating procedure Operation Display
1Press [F6](MORE) key from programs menu
to get to the next page of programs. [F6]
2Press [F2](OFFSET) key. [F2]
3Press [F1](ANGLE OFFSET) key. [F1]
Prism P
Prism height
Instrument height
Occ. Point
When measuring coordinates of ground point A1
:Set the instrument height/prism height.
When measuring coordinates of point A0 : Set
the instrument height only. (Set the prism height
to 0 ).
When sighting to A0, you can select one of two
ways. [HOLD] is to fix vertical angle to the prism
position even updown the telescope position, and
[FREE] is to gear vertical angle to the updown of
telescope movement. In case following the
vertical angle to the movement of telescope,
SD(Slope Distance) and VD(Vertical Distance)
will be changed according to the movement of
telescope.
Programs
F1 B S p 4/7
F2 STORE p
F3 REM p
F4 MLM p MORE
Programs
F1 LINE p 7/7
F2 OFFSET p
F3 EXT.LINK p
MORE
OFFSET MEASUREMENT
1.ANGLE OFFSET
2.DIST. OFFSET
3.PLANE OFFSET
4.COLUMN OFFSET
ANGLE OFFSET
1.FREE V-ANGLE
2.HOLD V-ANGLE

5-16
5 PROGRAM MODES
4Select the vertical angle [FREE] or [HOLD].
*1) [F1]or [F2]
5Collimate prism P, and press the [F1](MEAS)
key. *1)
The horizontal distance from the instrument
to the prism will be measured.
Collimate
P
[F1]
6Collimate point A0 using the horizontal motion
clamp and horizontal tangent screw. Collimate
A0
7To show the slope distance of point A0, press
the [F2](SD) key. [F2]
8To show the coordinates, press the [F3](NEZ)
key. *2) [F3]
*1) To set the prism height or instrument height, press the [F5](HT) key.
*2) To repeat angle offset measurement, press the [F1](NEXT) key. The display will return to step 5.
ANGLE OFFSET
HD: m
MEAS HT
ANGLE OFFSET
HD* < m
MEAS HT
ANGLE OFFSET
HR: 20°30'40"
HD: 20.000 m
VD: 0.000 m
NEXT SD NEZ REC
ANGLE OFFSET
HR: 30°00'00"
HD: 20.000 m
VD: 0.000 m
NEXT SD NEZ REC
ANGLE OFFSET
V : 90°00'00"
HR: 30°00'00"
SD: 20.000 m
NEXT HD NEZ REC
ANGLE OFFSET
N : 17.321 m
E : 10.000 m
Z : 0.000 m
NEXT SD HD REC

5-17
5 PROGRAM MODES
5.6.2 Distance Offset Measurement
The measurement of a place apart from a prism is possible by inputting offset horizontal distance of
front and back / right and left.
When measuring coordinates of ground point A1: Set the instrument height / prism height.
When measuring coordinates of point A0: Set the instrument height only.
(Set the prism height to 0 ).
Operating procedure Operation Display
1Press [F6](MORE) key from programs menu
to get to the next page of programs. [F6]
2Press [F2](OFFSET) key. [F2]
3Press [F2](DIST. OFFSET) key.
Previous offset value screen will appear.
dFR: Forward/Rear offset value
dRL: Right/Left offset value
[F2]
A
1
A
0
oHD sign
Forward HD
RorL HD
Prism height
Prism P
Occ.Point
Instrument height
Programs
F1 B S p 4/7
F2 STORE p
F3 REM p
F4 MLM p MORE
Programs
F1 LINE p 7/7
F2 OFFSET p
F3 EXT.LINK p
MORE
OFFSET MEASUREMENT
1.ANGLE OFFSET
2.DIST. OFFSET
3.PLANE OFFSET
4.COLUMN OFFSET
DIST. OFFSET
dFR : 0.000 m
dRL : 0.000 m
OK INP

5-18
5 PROGRAM MODES
4If you reset the offset value, press the
[F6](INP) key and input the value. *1) [F6]
5Collimate prism using the horizontal motion
clamp and horizontal tangent screw.
Press the [F1](MEAS) key. *2)
The offset measurement data will be shown.
Collimate
P
[F1]
6To show the slope distance of point A0, press
the [F2](SD) key. [F2]
7To show the coordinates, press the [F3](NEZ)
key. *3) [F3]
*1) To skip the input, press the [F1](OK) key.
*2) To set the prism height or instrument height, press the [F5](HT) key.
*3) To repeat the offset measurement, press the [F1](NEXT) key. The display will return to step 5.
DIST. OFFSET
dFR : 0.000 m
dRL : 0.000 m
EXIT BS
DIST. OFFSET
HD: m
MEAS HT
DIST. OFFSET
HR: 30°00'00"
HD: 20.000 m
VD: 0.000 m
NEXT SD NEZ REC
DIST. OFFSET
V : 90°00'00"
HR: 30°00'00"
SD: 20.000 m
NEXT HD NEZ REC
DIST. OFFSET
N : 17.321 m
E : 10.000 m
Z : 0.000 m
NEXT SD HD REC

5-19
5 PROGRAM MODES
5.6.3 Plane Offset Measurement
Measuring will be taken for the place where direct measuring can not be done, for example distance or
coordinate measuring for a edge of a plane.
Three random target points (P1, P2, P3) on a plane will be measured at first in the plane offset
measurement to determine the measured plane. Collimate the measuring target point (P0) then the
instrument calculates and displays coordinate and distance value of cross point between collimation
axis and of the plane.
Operating procedure Operation Display
1Press [F6](MORE) key from programs menu
to get to the next page of programs. [F6]
2Press [F2](OFFSET) key. [F2]
3Press [F3](PLANE OFFSET) key.
Measurement screen of three points on a
plane will be shown.
[F3]
P
P
P2
3
P
Target heights of P1 to P3 is set to zero automatically.
Edge (Prism)
(Prism)
(Prism)
(Point without prism)
Programs
F1 B S p 4/7
F2 STORE p
F3 REM p
F4 MLM p MORE
Programs
F1 LINE p 7/7
F2 OFFSET p
F3 EXT.LINK p
MORE
OFFSET MEASUREMENT
1.ANGLE OFFSET
2.DIST. OFFSET
3.PLANE OFFSET
4.COLUMN OFFSET
PLANE OFFSET
N001#
SD : m
MEAS HT

5-20
5 PROGRAM MODES
4Collimate prism P1, and press the
[F1](MEAS) key.
Measuring will start.
After measuring, the second point
measurement screen will be shown.
Collimate
P1
[F1]
5Measure the second and third prism in the
same way. *1)
The instrument calculates and displays
coordinate and distance value of cross point
between collimation axis and of the plane. *2)
Collimate
P2
[F1]
Collimate
P3
[F1]
6Collimate point P0 on the plane using the
horizontal motion clamp and horizontal
tangent screw.
P0 data will be shown.
Collimate
P0
7To show the slope distance of point P0, press
the [F2](SD) key. [F2]
8To show the coordinates, press the [F3](NEZ)
key. *3),4) [F3]
*1) In case the calculation of plane was not successful by the measured three points, error displays. Start
measuring over again from the first point.
*2) Error will be displayed when collimated to the direction which does not cross with the determined
plane.
*3) The reflector height of the target point P0 is set to zero automatically.
*4) To repeat the offset measurement, press the [F1](NEXT) key. The display will return to step 4.
PLANE OFFSET
N002#
SD : m
MEAS HT
PLANE OFFSET
N003#
SD : m
MEAS HT
PLANE OFFSET
HR: 85°30'40"
HD: 54.321 m
VD: 10.000 m
NEXT SD NEZ REC
PLANE OFFSET
HR: 75°30'40"
HD: 54.600 m
VD: -0.487 m
NEXT SD NEZ REC
PLANE OFFSET
V : 90°30'30"
HR: 75°30'40"
SD: 54.602 m
NEXT HD NEZ REC
PLANE OFFSET
N : 17.321 m
E : 10.000 m
Z : 20.000 m
NEXT SD HD REC

5-21
5 PROGRAM MODES
5.6.4 Column Offset Measurement
If it is possible to measure circumscription point (P1) of column directly, the distance to the center of the
column (P0), coordinate and direction angle can be calculated by measured circumscription points (P2)
and (P3).
The direction angle of the center of the column is 1/2 of total direction angle of circumscription points
(P2) and (P3).
Operating procedure Operation Display
1Press [F6](MORE) key from programs menu
to get to the next page of programs. [F6]
2Press [F2](OFFSET) key. [F2]
3Press [F4](COLUMN OFFSET) key.
Measurement screen of the center of a
column will be shown.
[F4]
4Collimate the center of the column (P1) and
press the [F1](MEAS) key.
Measuring will start.
After the measurement, angle measuring
display of the left side (P2) will be shown.
Collimate
P1
[F1]
P
P
P
2
3
P
Prism
Programs
F1 B S p 4/7
F2 STORE p
F3 REM p
F4 MLM p MORE
Programs
F1 LINE p 7/7
F2 OFFSET p
F3 EXT.LINK p
MORE
OFFSET MEASUREMENT
1.ANGLE OFFSET
2.DIST. OFFSET
3.PLANE OFFSET
4.COLUMN OFFSET
COLUMN OFFSET
Center
HD : m
MEAS HT
COLUMN OFFSET
Left
HR : 90°30'40"
SET

5-22
5 PROGRAM MODES
5Collimate the left side of the column (P2) and
press the [F6](SET) key.
After the measurement, angle measuring
display of the right side (P3) will be shown.
Collimate
P2
[F6]
6Collimate the right side of the column (P3)
and press the [F6](SET) key.
After the measurement, the distance between
the instrument and center of the column (P0)
will be calculated and displayed.
Collimate
P3
[F6]
7To show the slope distance of point P0, press
the [F2](SD) key. [F2]
8To show the coordinates, press the [F3](NEZ)
key. *1) [F3]
*1) To repeat the offset measurement, press the [F1](NEXT) key. The display will return to step 4.
COLUMN OFFSET
Right
HR : 95°30'40"
SET
COLUMN OFFSET
HR: 90°30'40"
HD: 10.321 m
VD: 0.886 m
NEXT SD NEZ REC
COLUMN OFFSET
V : 85°30'30"
HR: 90°30'40"
SD: 10.999 m
NEXT HD NEZ REC
COLUMN OFFSET
N : 17.321 m
E : 10.962 m
Z : 0.886 m
NEXT SD HD REC

5-23
5 PROGRAM MODES
5.7 External Link
You can use compatible communication command of AP-L1A for GTS-820A series. In this process
carry out setting for remote control system RC-2II using together.
5.7.1 Starting compatible communication program of AP-L1A
5.7.2 Setting for the communication
Decide transmit course and parameters before executing communication.
(1)Setting communication course
Select a communication course according to the using optional device.
1) Cable : In case connecting personal computer or other than Topcon's designated wireless
modem to the RS-232C connector.
2) RADIO MODEM : In case connecting Topcon's designated wireless modem.
3) RC :In case carrying out optical communication using with the remote controller system
RC-2II.
Operating procedure Operation Display
1Press the [F6](MORE) key to get the next
page. [F6]
2Press the [F3](EXT.LINK) key.
The compatible program EXTERNAL LINK
will start.
[F3]
Operating procedure Operation Display
Execute Section 5.7.1“Starting compatible
communication program of AP-L1A” to start
[EXT.LINK] of compatible communication
program of AP-L1.
1Press the [F2](Setting) key. [F2]
2Press the [F1] key to select [CABLE/RADIO
MODEM/RC] [F1]
Programs
F1 BS p 4/7
F2 STORE p
F3 REM p
F4 MLM p MORE
Programs
F1 LINE P 7/7
F2 OFF SET P
F3 EXT.LINK P
MORE
EXTERNAL LINK
1 Execute
2 Setting
EXTERNAL LINK
1 Execute
2 Setting
Setting
1 CABLE/RADIO MODEM/RC
2 PARAMETER(CABLE)
3 PARAMETER(RC)
4 PARAMETER(RADIO MODEM)
CABLE/RADIO MODEM/RC
CABLE
SET ↑ ↓ EXIT

5-24
5 PROGRAM MODES
(2)Setting Parameters of Cable (RS-232C)
In case connecting Topcon's designated wireless modem, simply select communication course as
"RADIO MODEM" it is enough to do setting of parameter automatically.
In case connecting personal computer or other than Topcon's designated wireless modem, it is required
to do parameters setting for RS-232C before using.
Parameters
1) SPEED (Baud rate)
Sets communication speed
Set items: 1200, 2400, 4800, 9600bps
2) BIT FORMAT
Select the communication format.
Set items:
Bit length : 7 : D7, 8 : D8
Stop bit : 1 : S1, 2 : S2
Parity bit : NONE, ODD, EVEN
3) DELIMITER (Terminate)
Selecting CR (Carriage return), or LF (Line feed) will be added at the end of data.
Set items:
ETX, ETX+CR, ETX+CRLF
4) RTS (Control of signal line)
Select default output of signal line
Set items:
Hi : High level (Normal)
Low : Low level (It becomes High level only when data are transmitted.)
5) REC TYPE
Select the option to record the data for the distance measurement.
REC-A : Measure the distance again and record the updated distance.
REC-B : Record the data for the last distance measurement on the display.
3Select communication course by pressing the
[F3](↑) or [F4](↓) key.
(Sample setting :RC)
[F3]
or
[F4]
4Press the [F1](SET) key to decide. [F4]
lTo cancel the setting, press the [F6](EXIT)key or the [ESC] key.
Operating procedure Operation Display
Execute Section 5.7.1“Starting compatible
communication program of AP-L1A” to start
[EXT.LINK] of compatible communication
program of AP-L1.
1Press the [F2](Setting) key. [F2]
CABLE/RADIO MODEM/RC
RC
SET ↑ ↓ EXIT
Setting
1 CABLE/RADIO MODEM/RC
2 PARAMETER(CABLE)
3 PARAMETER(RC)
4 PARAMETER(RADIO MODEM)
EXTERNAL LINK
1 Execute
2 Setting
Setting
1 CABLE/RADIO MODEM/RC
2 PARAMETER(CABLE)
3 PARAMETER(RC)
4 PARAMETER(RADIO MODEM)

5-25
5 PROGRAM MODES
(3)Setting Parameters of RC
Set the paameters forcommunication with remote controller system.
Parameters
1) Channel
Sets communication channel
The same channel must be set for GTS-820A series and RC-2RII.
Set channels : 1, 2, 3
2) DELIMITER (Terminate)
Selecting CR (Carriage return), or LF (Line feed) will be added at the end of data.
Set items:
ETX, ETX+CR, ETX+CRLF
3) Retry
This is a method to retry setting for sending data during communication with remote controller RC-
2RII.
Set items:
Standard, Divided
Standard: Gives good for fast communication.
This is offered in normal condition.
Divided: Using in bad condition such in long distance, bad condition of sight, strong
2Press the [F2] key to select [2PARAMETER
(CABLE)].
Speed setting screen will appear.
[F2]
3Press the [F3](↑) or [F4](↓) key to select baud
rate then press the [F1](SET) key to decide. [F3]
or
[F4]
[F1]
4Set bit format in the same way. [F3]
or
[F4]
[F1]
5Set DELIMITER (Terminate) in the same way. [F3]
or
[F4]
[F1]
6Set RTS in the same way.
7Set REC TYPE in the same way. [F3]
or
[F4]
[F1]
lTo cancel the setting, press the [F6](EXIT)key or the [ESC] key.
SPEED
9600
SET ↑ ↓ EXIT
BIT FORMAT
D8 S1 NONE
SET ↑ ↓ EXIT
TERMINATE
ETX
SET ↑ ↓ EXIT
RTS
Hi
SET ↑ ↓ EXIT
REC TYPE
REC-A
SET ↑ ↓ EXIT
Setting
1 CABLE/RADIO MODEM/RC
2 PARAMETER(CABLE)
3 PARAMETER(RC)
4 PARAMETER(RADIO MODEM)

5-26
5 PROGRAM MODES
heat simmer, or happens cut off the optical path, in such cases it takes long
time for communication or results failure. You are offered to set [Divided] item.
4) REC TYPE
Select the option to record the data for the distance measurement.
REC-A : Measure the distance again and record the updated distance.
REC-B : Record the data for the last distance measurement on the display.
(4)Setting Parameters for Radio Modem
Set the parameters for Radio Modem.
Parameters
1) Channel (Only for certain market)
Sets communication channel
The same channel must be set for GTS-820A series and Radio Modem.
Operating procedure Operation Display
Execute Section 5.7.1“Starting compatible
communication program of AP-L1A” to start
[EXT.LINK] of compatible communication
program of AP-L1.
1Press the [F2](Setting) key. [F2]
2Press the [F3] key to select [3 PARAMETER
(RC)]. [F3]
3Select a channel by pressing the [F3](↑) or
[F4](↓) key then press the [F1](SET) key. [F3]
or
[F4]
[F1]
4Select Terminate by pressing the [F3](↑) or
[F4](↓) key then press the [F1](SET) key. [F3]
or
[F4]
[F1]
5Select Retry by pressing the [F3](↑) or [F4](↓)
key then press the [F1](SET) key [F3]
or
[F4]
[F1]
6Set REC TYPE in the same way. [F3]
or
[F4]
[F1]
lTo cancel the setting, press the [F6](EXIT)key or the [ESC] key.
EXTERNAL LINK
1 Execute
2 Setting
Setting
1 CABLE/RADIO MODEM/RC
2 PARAMETER(CABLE)
3 PARAMETER(RC)
4 PARAMETER(RADIO MODEM)
CHANNEL
1
SET ↑ ↓ EXIT
TERMINATE
ETX
SET ↑ ↓ EXIT
RETRY
Standard
SET ↑ ↓ EXIT
REC TYPE
REC-A
SET ↑ ↓ EXIT
Setting
1 CABLE/RADIO MODEM/RC
2 PARAMETER(CABLE)
3 PARAMETER(RC)
4 PARAMETER(RADIO MODEM)

5-27
5 PROGRAM MODES
Set channels : A, B, C......
2) REC TYPE
Select the option to record the data for the distance measurement.
REC-A : Measure the distance again and record the updated distance.
REC-B : Record the data for the last distance measurement on the display.
5.7.3 Carrying out Communication
Operating procedure Operation Display
Execute Section 5.7.1“Starting compatible
communication program of AP-L1A” to start
[EXT.LINK] of compatible communication
program of AP-L1.
1Press the [F2](Setting) key. [F2]
2Press the [F4] key to select PARAMETER
(RADIO MODEM).
(The channel setting display is provided
only for certain market)
[F3]
or
[F4]
[F1]
[F3]
or
[F4]
[F1]
3Set REC TYPE in the same way.
Operating procedure Operation Display
Execute Section 5.7.1“Starting compatible
communication program of AP-L1A” to start
[EXT.LINK] of compatible communication
program of AP-L1.
1Press the [F1](Execute) key.
The display as showing right says the
compatible communication program of AP-
L1A is executed and communication
command can be accepted.
[F1]
lTo stop the communication, press the [F6](EXIT) or [ESC] key.
EXTERNAL LINK
1 Execute
2 Setting
Setting
1 CABLE/RADIO MODEM/RC
2 PARAMETER(CABLE)
3 PARAMETER(RC)
4 PARAMETER(RADIO MODEM)
CHANNEL
A
SET ↑ ↓ EXIT
REC TYPE
REC-A
SET ↑ ↓ EXIT
Setting
1 CABLE/RADIO MODEM/RC
2 PARAMETER(CABLE)
3 PARAMETER(RC)
4 PARAMETER(RADIO MODEM)
EXTERNAL LINK
1 Execute
2 Setting
EXTERNAL LINK (RC)
Remote control is being done
from the controller.
EXIT

6-1
6 MEMORY MANAGE MODES
6 MEMORY MANAGE MODES
6.1 View Internal Memory and Card Memory Status
When selecting the internal memory or card memory, the GTS-820 will display the memory size, the
amount of free memory and the expiration date for the internal lithium battery.
The display information format is the same for the card memory except that the card name appears at
the top of the display. The card name can be eleven characters in length, alpha or numeric.
Operating procedure Operation Display
1Select Internal memory or Card memory by
pressing [F1] or [F2] key.
The memory capacity and the remaining
memory capacity are shown.
Example: Internal Memory
2Press [F6](File) key.
Each File status (File name, File name
extension, Used memory capacity, Date) are
shown.
Press the [ESC] key to return to the main
menu icons.
[F6]
Prog Std Mem Comm Adj Para
2003-10-10 15:30:40
MEMORY MANAGE MODES
The following items are available in this mode.
1. Display the memory size and memory free.
2. Protecting files
3. Delete files
4. Rename files
5. Copy files
6. Initialize memory.
[Press [F3] key.]
Memory manage
F1 Internal memory
F2 Card memory
Memo ry manage
F1 Internal memory
F2 Card memory
Memory size 1967KByte
Memory free 1951KByte
Battery expire 2004/01
Init. File
JIS .DAT 1597 12-25
TOPCON .DAT 1089 10-05
FC7 .TXT 2450 09-11
HILL .DAT 31777 08-19
Pro Ren Del Copy ↑ ↓

6-2
6 MEMORY MANAGE MODES
6.2 Protect a File
Protecting one or more files can be accomplished with the file protection mode. When a file is
protected, an asterisk appears after the file name extension. If a file is protected, you can not delete the
file unless you remove the file protection.
lNote:All the files stored will be erased by initializing the memory, even if the files are protected.
6.3 Rename a File
Files can be renamed on the card or in internal memory. When renaming a file, the old file name
appears above the input line for the new file name. When typing in the new name, you do not have to
input the file extension.
Operating procedure Operation Display
1Proceed Chapter 6.1.
2Select a file using [F5](↑) key or [F6](↓) key.
3Press [F1](Pro) key.
Select a
file
[F1]
4Press [F5](ON) key. *1)
The file is protected and display will return to
file name.
[F5]
*1) When you cancel the protection, repeat the procedure above mentioned and select [F6](OFF) key.
Operating procedure Operation Display
1Proceed Chapter 6.1.
2Select a file using [F5](↑) key or [F6](↓) key. Select a
file
3Press [F2](Ren) key. [F2]
4Enter a new file name within 8 characters.
Press [ENT] key. *1) Enter
name
[ENT]
*1) Refer to Chapter 2.9 “How to Enter Numerals and Alphabet Letters” .
JIS .DAT 1597 12-25
TOPCON .DAT 1089 10-05
FC7 .TXT 2450 09-11
HILL .DAT 31777 08-19
Pro Ren Del Copy ↑ ↓
Protect
[TOPCON .DAT]
ON OFF
JIS .DAT 1597 12-25
TOPCON .DAT 1089 10-05
FC7 .TXT 2450 09-11
HILL .DAT 31777 08-19
Pro Ren Del Copy ↑ ↓
Rename
Old name [TOPCON .DAT]
New name [ ]
Alpha SPC ← →

6-3
6 MEMORY MANAGE MODES
6.4 Deleting a File
The delete mode erases a file from internal memory or the card memory. If a file is protected, the file
can not be erased. File protection must be removed before you can delete a file. Only one file can be
erased at a time.
6.5 Copy a File
A file can be copied from internal memory to the card memory and vice verse. The copy mode only
copies files to the root directory. Files can not be copied into other directories.
Example : Copying a file in internal memory to card memory.
Operating procedure Operation Display
1Proceed Chapter 6.1.
2Select a file using [F5](↑) key or [F6](↓) key. Select a
file
3Press [F3](Del) key.
[F3]
4Confirm the file name, and press [F5](YES)
key. [F5]
lIf the file is protected, the file can not be erased. Erase the file after canceling the protection.
Operating procedure Operation Display
1Press [F1] key to choose Internal memory.
2Select a file using [F5](↑) key or [F6](↓) key.
[F1]
Select a
file
3Press [F4](Copy) key. [F4]
4Confirm the file name, and press [F5](YES)
key. [F5]
JIS .DAT 1597 12-25
TOPCON .DAT 1089 10-05
FC7 .TXT 2450 09-11
HILL .DAT 31777 08-19
Pro Ren Del Copy ↑ ↓
Delete
[TOPCON .DAT]
YES NO
MEMORY manage
F1 Internal memory
F2 Card memory
JIS .DAT 1597 12-25
TOPCON .DAT 1089 10-05
FC7 .TXT 2450 09-11
HILL .DAT 31777 08-19
Pro Ren Del Copy ↑ ↓
File Copy
[HILL .DAT]
YES NO

6-4
6 MEMORY MANAGE MODES
6.6 Initializing Memory
The initialize memory option will erase ALL FILES in either the internal memory or card memory and
files cannot be retrieved.
Example: Initializing card memory
Operating procedure Operation Display
1Press [F2] key to select card memory. [F2]
2Press [F1](Init) key. [F1]
3Confirm the display, and press [F5](YES) key.
Initializing will be executed. [F5]
4Input card name and press [ENT] key.
Card memory expire will be shown.
Card
name
[ENT]
5Confirm the display, and press [F5](YES) key.
*1)
The display returns to main menu.
[F5]
*1) To reset the card memory expire, press [F6] (NO) key and input new data.
MEMORY manage
F1 Internal memory
F2 Card memory
Card name [TOPCON ]
Memory size 1967KByte
Memory free 1951KByte
Card battery expire 11/99
Init File
RAM card memory format
YES NO
Card name
[ ]
Alpha SPC ← →
Card memory expire
Today 2003-11
Validity +4.0 year
Until 2007-11
YES NO

7-1
7 COMMUNICATION MODES
7 COMMUNICATION MODES
The communication modes are used for setting the Baud rate (Protocol), receiving a file (Data file in)
and sending a file (Data file out). A data transfer program on your PC that supports (YMODEM) will be
necessary to send or receive data files.
7.1 Setting of PROTOCOL
To transfer data files to and from the GTS-820A Series and PC, the Baud rates must be the same. The
Baud rate selections are 600, 1200, 2400, 4800, 9600, and 19200.
Operating procedure Operation Display
1Press the [F1](Protocol) key for protocol. [F1]
2To select the Baud rate, use the arrow key`s
[F3-F6] to highlight your choice. When the
correct Baud rate is highlighted, press the
[ENT] key.
[F3] to[F6]
[ENT]
Prog Std Mem Comm Adj Para
2003-10-10 15:30:40
COMMUNICATION MODES
[Press [F4] key.]
Com munication
F1 Protocol
F2 Data file in
F3 Data file out
To set the protocol for measured data transferring, refer to Chapter 8 “PARAMETERS SETTING
MODE” ..
Comm unication
F1 Protocol
F2 Data file in
F3 Data file out
Comm unication
Speed 600 1200 2400
4800 9600 19200
← → ↑ ↓
Comm unication
F1 Protocol
F2 Data file in
F3 Data file out

7-2
7 COMMUNICATION MODES
7.2 Data File In
When transferring data files from a PC to the GTS-820A Series, the file received into the main directory.
Data files CANNOT be received into a subdirectory. Data files CANNOT be transferred to the card
memory. Files can only be transferred to the internal memory and then copied onto the card.
7.3 Data File Out
Transferring a file from the GTS-820A internal memory or card memory to the PC is also possible.
Operating procedure Operation Display
Make sure the instrument is ready and
waiting for the data file before you command
the PC to send the file.
1Press [F2](Data file in) key.
2Command the PC to send the file at this time.
File name, amount of received data (Byte) /
Capacity of the file (Byte) and percentage of
proceeding will be displayed.
When the transfer is complete, the display will
return to the main menu icons.
[F2]
Operating procedure Operation Display
Make sure the PC is ready and waiting before
the GTS-820 sends the file.
1Press [F3](Data file out) key. [F3]
2Press [F1](Internal memory) or [F2](Card
memory) key and press [ENT] key.
Example: Internal memory
[F1] to[F2]
[ENT]
3Select a file by pressing [F5](↑) or [F6](↓) key
and press [ENT] key.
File name, amount of sent data(Byte) /
Capacity of the file (Byte) and percentage of
proceeding will be displayed.
When the transfer is complete, the display will
returns to the file menu.
Select
a file
[ENT]
Comm unication
F1 Protocol
F2 Data file in
F3 Data file out
Data file in
[TOPCON .DAT]
0/ 8676 (0%)
Comm unication
F1 Protocol
F2 Data file in
F3 Data file out
Data file out
F1 Internal memory
F2 Card memory
JIS .DAT 1597 12-25
TOPCON .DAT 1089 10-05
FC7 .TXT 2450 09-11
HILL .DAT 31777 08-19
Data file out ↑ ↓
Data file out
[TOPCON .DAT]
0/ 1089 (0%)

8-1
8 PARAMETERS SETTING MODE
8 PARAMETERS SETTING MODE
8.1 Parameter Setting Options
8.1.1 Parameters for Measurement and Display
Menu Selecting Item Contents
Ang. Unit deg / gon / mil Select degree(360°), gon(400G) or mil (6400M) for the
measuring angle unit to be shown on the display.
Min.Angle OFF / ON
Select the minimum display angle reading ON or OFF.
GTS-821A [ OFF:1" / ON:0.5" ]
GTS-822A [ OFF:1" / ON:0.5" ]
GTS-823A [ OFF:5" / ON:1" ]
GTS-825A [ OFF:5" / ON:1" ]
Tilt OFF / 1axis / 2axes Select the tilt sensor option for OFF, (1axis) vertical only or
(2axes) vertical and horizontal.
Err. corr. OFF / ON
Select the error correction ON or OFF for collimation and error
adjustment.
Note:
Perform this item after complete section 9.4.
For more information, refer to Section 9.4 “Adjustment of
Compensation Systematic Error of Instrument” and Section
9.5 “Showing Constant List and Switch ON/OFF
Compensation Systematic Error of Instrument” .
V -0 Zenith / Level Select the vertical angle reading for Zenith 0 or Horizontal 0.
HAmem OFF / MEM. ON
It is able to retain presetting angle after turning power
off.(MEMORY)
Note:
After changing this parameter, turn the power switch off once.
Turn Fine / Normal /
Coarse
Select the stopping accuracy of automatic rotation to required
angle.
Fine:3" Normal :5" Coarse:10"
Auto.Aim Fine / Normal /
Coarse Select the accuracy of automatic collimation.
Prog Std Mem Comm Adj Para
2003-10-10 15:30:40
PARAMETERS SETTING MODE
[Press [F6] key.]
In this mode, setting of parameters regard with measuring, displaying and
communications will be done.
When a parameter is changed and set, the new value is stored into memory.
Press [F6] key from the main menu icons, the following display will be shown.
The parameter modes is classified in Measurement and Communication.
Parameters
F1 Measurement
F2 Communication
F3 Password

8-2
8 PARAMETERS SETTING MODE
Dist. Unit METER /FEET Select the distance measuring unit Meter or Feet shown on
the display.
C.F. m/ft Us.f /Intl.f
Select the meter / feet conversion factor.
US SURVEY feet
1m =3.280833333333333 ft.
INTERNATIONAL feet
1m =3.280839895013123 ft.
Min. Dist. OFF / ON Select OFF or ON for the minimum distance in fine mode.
OFF:1mm :ON: 0.2mm
S/A buzz. OFF / ON Select the Audio tone OFF or ON for the Set Audio Mode.
W-corr. OFF/ 0.14 / 0.20 Select the coefficient correction for refraction and earth
curvature. Selections for the refraction coefficient are;
OFF (No correction), K=0.14 or K=0.20.
N/E/Z mem OFF / MEM.ON Select the option to store the coordinates (NEZ) for the
occupied point when power is turned off.
N/E- ord. NEZ / ENZ Select the display format in the coordinate measurement
mode for NEZ or ENZ.
Temp. Unit °C / °F Select the temperature unit for the atmospheric correction.
Pres. Unit mmHg/inHg/hPa Select the air pressure unit for the atmospheric correction .
R/L Lock OFF / ON Prohibit switching angle right or left by soft key in angle
measurement mode
OFF : Switching is possible ON : Prohibition
m/ft Lock OFF / ON Prohibit switching meter unit or feet unit.
OFF : Switching is possible ON : Prohibition
Date d / m / y
m / d / y
y /m / d
Select the date format shown on the display.
(Month / Date / Year) , (Date/Month/ Year) or (Year / Month /
Date)
A. P. OFF OFF / ON (01 to 99) The auto power off function can be turned OFF or set ON.
OFF : not use ON :1 to 99 minutes (numeric key)
Heater OFF / ON The heater option for both display units can be turned OFF or
ON.
EDM wait OFF / ON (01 to 99)
EDM cut off time after distance measurement is completed
can be changed.
OFF : EDM is cut off immediately after measuring
ON : EDM is cut off after 1 to 99 minutes.
Ini. mode Menu / Std / E.Link Select the initial mode when powering on.
Menu : Menu Std : Standard measurement
E.Link : External link
Self chk OFF / ON Select the self check function ON or OFF when powering on.

8-3
8 PARAMETERS SETTING MODE
8.1.2 Parameters for communication
Serial port.
Setting parameters for RS232C
Setting parameter for RC
Menu Selecting Item Contents
S.Port RS232C /RC Selecting serial port, RS-232C connector 1(6pins) or Remote
controll system.
Menu Selecting Item Contents
B. Rate 1200 / 2400 / 4800 /
9600 Select the baud rate.
Data. L 7 / 8 Select the data length seven digits or eight digits.
Parity none / odd / even Select the parity bit.
Stop Bit 1 / 2 Select the stop bit.
Delimit ETX / CRLF Select the option OFF or ON for carriage return and line feed
when collecting measurement data with a computer.
REC-A/B A / B Select the option to record the data.
REC-A : The measurement is started and new data is output.
REC-B : The data being displayed is output.
Protocol OFF / ON
When communicating to an external device, the protocol for
handshaking can omit the [ACK] coming from the external
device so data is not sent again.
OFF : Omit the [ACK]
ON : Standard
NEZ-REC Std / Exp Record coordinates in standard or Data with slope distance
and horizontal angle data.
Trk Stat OFF / ON
Selecting additional information of utility to measuring data
such as tracking status or not.
If such utility is selected, electric circular level graphic will not
be displayed whenever tilted over.
OFF :No additional information
ON :Additional information
Menu Selecting Item Contents
Channel 1 / 2 / 3 Sets communication channel when using with remote controll
system.
V.Search 15 / 30
Selecting the vertical range for searching a prism when using
with remote controll system.
15 : ±15°
30 : ±30°
RC S / M
Selecting the number of the RC-2RII to use one or more than
one when using with RC-2RII.
S : Single RC-2RII use
M : Multiple RC-2RII use
The following settings are effective for standard measurement modes only.
You are requested to set each time of each application such as EXTERNAL LINK (in Program
modes) or other application software.

8-4
8 PARAMETERS SETTING MODE
Retry Std. / Div.
Selecting the method of the data re-transmitting.
Std (Standard) : This is offered in normal condition.
Div.(Divided) : Using in bad condition such in long
distance, bad condition of sight, strong
heat simmer.
Delimit ETX / CRLF Select the option OFF or ON for carriage return and line feed
when collecting measurement data with a computer.
REC-A/B A / B Select the option to record the data.
REC-A :The measurement is started and new data is output.
REC-B :The data being displayed is output.
NEZ-REC Std / Exp Record coordinates in standard or Data with slope distance
and horizontal angle data.
Trk State OFF / ON
Selecting additional information of utility to measuring data
such as tracking status or not.
If such utility is selected, electric circular level graphic will not
be displayed whenever tilted over.
OFF :No additional information
ON :Additional information
B. Rate 4800 Fixed
Data. L 8 Fixed
Parity none Fixed
Stop Bit 1 Fixed

8-5
8 PARAMETERS SETTING MODE
8.2 Setting Parameters
8.2.1 Parameters for Measurement and Display
[Example setting] S/A BUZZER: OFF, Atmospheric pressure: hPa
Operating procedure Operation Display
1Press the [F6] key from the main menu icons. [F6]
2Press the [F1] (Measurement) key. [F1]
3Select the menu by pressing [F6](↓) key.
(Example: S/A buzz.)) [F6]
4Press [F3](←) key, and select OFF. [F3]
5Select the atmospheric pressure menu by
pressing [F6](↓) key. [F6]
6Press [F4](→) key twice, and select hPa. [F4]
7Press [F1](SET) key. [F1]
8Press [F5](YES) key. *1)
The display returns main menu. [F5]
*1) To cancel the setting, press [F6](NO) key.
Parameters
F1 Measurement
F2 Communication
F3 Password
Parameters (Measurement)
Ang.Unit [ deg ] gon mil
Min.Angl OFF [ ON ]
Tilt [ OFF ] 1axis 2axis
SET EXIT <- -> ↑ ↓
Parameters (Measurement)
S/A buzz. OFF [ ON ]
W-corr. OFF [ 0.14 ] 0.20
N/E/Z mem OFF [ ON ]
SET EXIT <- -> ↑ ↓
Parameters (Measurement)
S/A buzz.[ OFF ] ON
W-corr. OFF [ 0.14 ] 0.20
N/E/Z mem OFF [ ON ]
SET EXIT <- -> ↑ ↓
Parameters (Measurement)
Pres.Unit [ mmHg ] inHg hPa
R/L Lock [ OFF ] ON
m/ftLock [ OFF ] ON
SET EXIT <- -> ↑ ↓
Parameters (Measurement)
Pres.Uni mmHg inHg [hPa ]
R/L Lock [ OFF ] ON
m/ftLock [ OFF ] ON
SET EXIT <- -> ↑ ↓
Parameters (Measurement)
> Set OK?
YES NO

8-6
8 PARAMETERS SETTING MODE
8.2.2 Parameters for Communication
Sample setting: RS232C
8.2.3 Password Option
Establishing a Password
A password can be set in the GTS-820A series to secure the use of the instrument. Once a password is
established the user can disable the option or change the password. Once a password established and
the option is turned off, the password will always remain in memory. When turning on the instrument
after a password-input screen appears before the self-test mode. Type in your password and press the
[ENTER] to continue.
A maximum of 10 numeric digits can be entered for a password. All zeros (0000000000) or 9`s
(9999999999) are invalid passwords. If 10 unsuccessful attempts are made to input a password, the
instrument will shut off automatically.
Establishing a Password for the first time.
The instructions below show how to establish a password for the first time.
Operating procedure Operation Display
1Press the [F6] key from the main menu icons. [F6]
2Press the [F2] (Communication) key.
The screen in the right is indicated. [F2]
3Press the [F2](Set RS232C) key.
The next steps are same as Section 8.2.1-
Parameters Setting for communication, refer
to the section 8.2.1.
[F2]
lThe setting will reset to the default settings by pressing the [F2](I.GTS) key.
(1200baudrate, Even, Stop 1, Delimit ETX, Rec-A Protocol ON, NEZ-REC Standard) Factory default
settings are indicated with underlines in Chapter 8.1.2 “Parameters for communication” .
lIn the setting of RC, the settings of Baudrate, data length, Parity and Stop are fixed.
They will be indicated on the screen for your reference.
Though Protocol is not indicated, it is fixed to OFF.
Operating procedure Operation Display
1From the main menu icons, press [F6](Para)
to access the parameters option menu. To
access the password option, press
[F3](Password).
[F6]
[F3]
Parameters
F1 Measurement
F2 Communication
F3 Password
Parameters (Communication)
1 Serial Port RS232C/RC
2 Set RS232C
3 Set RC
Parameters (Communication)
B.Rate [1200] 2400 4800 9600
Data.L [ 7 ] 8
Parity none odd [even]
SET I.GTS <- -> ↑ ↓
Parameters
F1 Measurement
F2 Communication
F3 Password
Password
[OFF]
EXIT CHANGE ON OFF

8-7
8 PARAMETERS SETTING MODE
Turning OFF the Password
After a password is established, you can disable the password option. Once you disable the option, the
password-input screen will not appear every time you power on the instrument.
Turning OFF the Password Option
2The password option screen will appear.
When accessing the password option for the
first time, the [OFF] indicator will appear on
the upper left corner of the screen. To
establish a password you can press the
[F5](ON) key to turn on the option and
establish a password.
3The password-input screen will appear. At the
blinking cursor type in your password and
press the [ENT] key.
IMPORTANT:
DON'T FORGET YOUR PASSWORD.
WRITE THE PASSWORD DOWN ON
A PIECE OF PAPER AND PUT IN A
SAFE PLACE. ONCE A PASSWORD
IS STORED YOU CAN NOT ERASE IT
FROM MEMORY.
[F5]
Type
password
[ENT]
4The confirmation screen will appear to
confirm your password.
Type the password in once again and press
[ENT].
Type
password
[ENT]
5The password option screen will appear once
again for 2 seconds and will automatically
change to the main menu icons. Notice the
[ON] indicator is now shown on the display.
Operating procedure Operation Display
1From the main menu icons, press [F6](Para)
to access the parameters option menu.
Press [F3](Password) to access the
password option.
[F6]
[F3]
2Type in your password and press [ENT].
3The password option screen will appear. The
indicator on the upper left side of the screen
will show [ON].
Type
password
[ENT]
Password
Input a password
[ ]
EXIT BS
Password
Input again (confirmation)
[ ]
EXIT BS
Password
[ON]
EXIT CHANGE ON OFF
Parameters
F1 Measurement
F2 Communication
F3 Password
Password
Input a password
[ ]
EXIT BS
Password
[ON]
EXIT CHANGE ON OFF

8-8
8 PARAMETERS SETTING MODE
Changing a Password
Once a password is established, you can change the original password. The new password takes the
place of the original password in memory.
Changing the Password
4To turn off the password option, press
[F6](OFF). The [ON] indication changes to
[OFF] and the screen automatically changes
back to the main menu icons.
[F6]
Operating procedure Operation Display
1From the main menu icons, press [F6](Para)
to access the parameters option menu.
Press [F3](Password) to access the
password option.
[F6]
[F3]
2Type in your password at the blinking cursor
and press [ENT].
3The password option screen will appear.
Press the [F2](Change) to change the current
password.
Type
password
[ENT]
[F2]
4The password-input screen will appear. At the
blinking cursor type in the new password and
press the [ENT] key.
IMPORTANT:
DON'T FORGET YOUR PASSWORD.
Type
password
[ENT]
5The confirmation screen will appear to
confirm your new password.
Type in the new password once again and
press [ENT].
Type
password
[ENT]
6The password option screen will appear once
again.
Press the [F1](EXIT) to return back to the
main menu icons.
[F1]
Password
[OFF]
EXIT CHANGE ON OFF
Parameters
F1 Measurement
F2 Communication
F3 Password
Password
Input a password
[ ]
EXIT BS
Password
[ON]
EXIT CHANGE ON OFF
Password
Input a password
[ ]
EXIT BS
Password
Input again (confirmation)
[ ]
EXIT BS
Password
[ON]
EXIT CHANGE ON OFF

9-1
9 CHECK AND ADJUSTMENT
9 CHECK AND ADJUSTMENT
9.1 Checking and Adjusting of Instrument Constant
Normally, the instrument constant does not have discrepancy. It is recommended you measure and
compare with an accurately measured distance at a location where the precision is specifically
monitored on a consistent basis. If such a location is not available, establish your own base line over
20m (when purchasing the instrument) and compare with the data measured with newly purchased
instrument.
In both cases note that the setup displacement of the instrument position over the point, the prism,
baseline precision, poor collimation, atmospheric correction, and correction for refraction and earth
curvature determine the inspection precision. Please keep in mind these points.
Also, when providing a base line in a building, please note that the difference in temperature greatly
changes the length measured in the building.
If a difference of 5mm or over is the result from the comparative measurement, the following procedure
as shown below could be used to change the instrument constant.
1) Provide point C on a straight line, connecting straight line AB which is almost horizontal and about
100m long, and measure straight lines AB, AC and BC.
2) Obtain the instrument constant by repeating 1) above several times.
Instrument constant=AC+BC-AB
3) When there is error between written instrument constant value and calculated value, review the
Section 9.7 “How to Set the Instrument Constant Value” procedure.
4) Once again, measure at a calibrated baseline and compare with the instrument base line the
length.
5) If using above procedure and no difference is found from the instrument constant at the factory or a
difference of over 5mm is found, contact TOPCON or your TOPCON dealer.
ACB

9-2
9 CHECK AND ADJUSTMENT
9.2 Checking the Optical Axis
To check if the optical axis of EDM and theodolite are matched, follow the procedure below. It is
especially important to check after adjustment of the eyepiece reticle is carried out.
1) Position a prism about 30 to 50m apart from GTS-820A series.
2) After the power switch ON of GTS-820A series, collimate the center of the prism.
3) Press the soft key (Set audio) in the star key mode.
Buzzer sounds continuously.
H direction confirmation (Do not move V direction).
4) Turn the horizontal jog counterclockwise slowly, move the collimating point to the left side of prism
gradually until buzzer sound stops.
5) Turn the horizontal jog clockwise slowly, and move the collimating point to the prism center
gradually until at the position buzzer starts.
Confirm the level of the signal (light quantity level) in display to adjust at the level of one to two as
shown in below by turning the horizontal jog.
6) Press the [ESC] key and measure the horizontal angle, and note the horizontal angle displayed. Or
you can do 0-set of horizontal angle.
7) Return to the Set Audio in star key again.
8) Turn the horizontal jog clockwise, move the collimating point to the right side of prism gradually until
buzzer sound stops.
9) Move the collimating point to the center of prism gradually until buzzer sound starts.
Turning the horizontal jog to be one to two level of SIG value to adjust the collimating point same as
5) procedure.
10) Note horizontal angle same as 6) procedure.
11) Calculate the average value of 6) and 10).
[Example]
6) •••••••••••• 0° 00’ 00”
10) •••••••••••• 0° 08’ 20”
___________________________
Average value 0° 04’ 10”
12) Climate to the center of prism. Compare the reading horizontal angle value and calculated value in
11). If the difference is within 1’30”, no problem for use.
Quantity level one
Quantity level two

9-3
9 CHECK AND ADJUSTMENT
Vertical direction confirmation (Do not move Horizontal direction).
13) Carry out as Horizontal direction confirmation.
Compare the reading Vertical angle value and calculated value.
If the difference is within 1’ 30”, no problem for use. If the difference is more than mentioned value,
contact with your Topcon dealer or Topcon.
[Example] 90°12’ 30” 90° 04’ 30”
Average 90°08’ 30”
Reading to
prism center 90°08’ 50”
Difference 20”

9-4
9 CHECK AND ADJUSTMENT
9.3 Checking/Adjusting the Theodolite Functions
lPointers on the Adjustment
1) Adjust the eyepiece of the telescope properly prior to any checking operation which involves
sighting through the telescope.
Remember to focus properly, with parallax completely eliminated.
2) Carry out the adjustments in the order of item numbers, as the adjustments are dependent one
upon another. Adjustments carried out in the wrong sequence may even nullify previous
adjustment.
3) Always conclude adjustments by tightening the adjustment screws securely (but do not tighten
them more than necessary, as you may strip the threads, twist off the screw or place undue stress
on the parts).
Furthermore, always tighten by revolving in the direction of tightening tension.
4) The attachment screws must also be tightened sufficiently, upon completion of adjustments.
5) Always repeat checking operations after adjustments are made, in order to confirm results.
lNotes on the Tribrach
Note that the angle measuring precision may be effected directly if the tribrach has not been installed
firmly.
1) If there is any slack between the leveling screws and the base, loosen the set screw of the holding
ring and tighten the holding ring with adjusting pin, until it is properly adjusted. Re-tighten the set
screw on completing the adjustment.
Leveling screw Holding ring Set screw

9-5
9 CHECK AND ADJUSTMENT
9.3.1 Checking /Adjusting the Plate Level
Adjustment is required if the axis of the plate level is not perpendicular to the vertical axis.
lCheck
1) Place the plate level parallel to a line running through the centers of two leveling screws, say, A and
B. Use these two leveling screws only and place the bubble in the center of the plate level.
2) Rotate the instrument 180° or 200g around the vertical axis and check bubble movement of the
plate level. If the bubble has been displaced, then proceed with the following adjustment.
lAdjustment
1) Adjust the level adjustment capstan screw, with the accessory adjusting pin and return the bubble
towards the center of the plate level. Correct only one-half of the displacement by this method.
2) Correct the remaining amount of the bubble displacement with the leveling screws.
3) Rotate the instrument 180° or 200g around the vertical axis once more and check bubble
movement. If the bubble is still displaced, then repeat the adjustment.
9.3.2 Checking /Adjusting the Circular Level
Adjustment is required if the axis of the circular level is also not perpendicular to the vertical axis.
lCheck
1) Carefully level the instrument with the plate level only. If the bubble of the circular level is centered
properly, adjustment is not required. Otherwise, proceed with the following adjustment.
lAdjustment
1) Shift the bubble to the center of the circular level, by adjusting three capstan adjustment screws on
the bottom surface of the circular level, with the accessory adjusting pin.
Leveling screw A
Plate level
Leveling screw B
Level adjustment
capstan screw Half amount of displacement
Capstan adjustment
screws
Bottom of the base

9-6
9 CHECK AND ADJUSTMENT
9.3.3 Adjustment of the Vertical Cross-hair
Adjustment is required if the vertical cross-hair is not in a place perpendicular to the horizontal axis of
the telescope (since it must be possible to use any point on the hair for measuring horizontal angles or
vertically running lines).
lCheck
1) Set the instrument on the tripod and carefully level it.
2) Sight the cross-hairs on a well defined Point A at a distance of, at least, 50 meters (160ft.).
3) Next swing the telescope vertically using the jog/shuttle, and check whether the point travels along
the length of the vertical cross-hair.
4) If the point appears to move continuously on the hair, the vertical cross-hair lies in a plane
perpendicular to the horizontal axis (and adjustment is not required).
5) However, if the point appears to be displaced from the vertical cross-hair, as the telescope is swung
vertically, adjustment is required in the reticle plate.
lAdjustment
1) Unscrew the cross-hair adjustment section cover, by revolving it in the counterclockwise direction,
and take it off. This will expose four eyepiece section attachment screws.
2) Loosen all four attachment screws slightly with the accessory screw-drive (while taking note of the
number of revolutions).
Then revolve the eyepiece section so that the vertical cross-hair coincides to Point A’.
Finally, re-tighten the four screws by the amount that they were loosened.
3) Check once more and if the point travels the entire length of the vertical cross-hair, further
adjustment is not required.
Note: Perform following adjustment after completing the above adjustment.
Section 9.3.4 “Collimation of the Instrument” , Section 9.4 “Adjustment of Compensation
Systematic Error of Instrument” and Section 9.9 “Inspection and Adjustment of Optic Axis for
Auto -Tracking” .
Eyepiece section
attachment screws
Eyepiece section
attachment screws
Eyepiece

9-7
9 CHECK AND ADJUSTMENT
9.3.4 Collimation of the Instrument
Collimation is required to make the line of sight of the telescope perpendicular to the horizontal axis of
the instrument, otherwise, it will not be possible to extend a straight line by direct means.
lCheck
1) Set the instrument up with clear
sights of about 50 to 60meters
(160 to 200 ft.) on both sides of the
instrument.
2) Level the instrument properly with the
plate level.
3) Sight Point A at approximately 50
meters (160 ft.) distance.
4) Rotate the telescope 180° or 200g
around the horizontal axis, so that the
telescope is pointed in the opposite
direction.
5) Sight Point B, at equal distance as
Point A.
6) Rotate the instrument 180° or 200g
around the vertical axis. Fix a sight
on Point A once more.
7) Rotate the telescope 180°
or 200g around the horizontal axis
once more and fix a sight on Point C,
which should coincide with previous
Point B.
8) If Points B and C do not coincide,
adjust in the following manner.
lAdjustment
1) Unscrew the cross-hair adjustment section cover.
2) Find Point D at a point between Points C and B, which should
be equal to 1/4th the distance between Points B and C and
measured from Point C. This is because the apparent error
between Points B and C is four times the actual error since
the telescope has been reversed twice during the checking
operation.
3) Shift the vertical cross-hair line and coincide it with
Point D, by revolving the left and right capstan
adjustment screws with the adjusting pin.Upon
completing the adjustment, repeat the checking
operation once more.
If Points B and C coincide, further adjustment is not
required. Otherwise, repeat the adjustment.
Eyepiece
Telescope
Capstan
adjustment
screws
Eyepiece
Capstan
adjustment
screws

9-8
9 CHECK AND ADJUSTMENT
9.3.5 Checking / Adjusting the Optical Plummet Telescope
Adjustment is required to make the line of sight of the optical plummet telescope coincide with the
vertical axis (otherwise the vertical axis will not be in the true vertical above the reference point when
the instrument is optically plumbed).
lCheck
1) Coincide the center mark and the point. (See Chapter 2 “PREPARATION FOR MEASUREMENT”.)
2) Rotate the instrument 180° or 200g around the vertical axis and check the center mark.
If the point is properly centered in the center mark, adjustment is not required. Otherwise, adjust in
the following manner.
lAdjustment
1) Take off the adjustment section cover of the optical plummet telescope eyepiece. This will expose
four capstan adjustment screws which should be adjusted with the accessory adjusting pin to shift
the center mark to the point. However, correct only one-half of the displacement in this manner.
2) Use the leveling screws and coincide the point and center mark.
3) Rotate the instrument 180° or 200g around the vertical axis once more and check the center mark.
If it is coincided to the point, then further adjustment is not required. Otherwise, repeat the
adjustment.
Note: 1 First, loosen the capstan adjustment screw on the side to which the vertical cross-hair
line must be moved. Then tighten the adjustment screw on the opposite side by an equal
amount which will leave the tension of the adjustment screws unchanged.
Revolve in the counterclockwise direction to loosen and in the clockwise direction to
tighten, but revolve as little as possible.
2 Perform following adjustment after complete above adjustment. Section 9.4 “Adjustment
of Compensation Systematic Error of Instrument” , Section 9.2 “Checking the Optical
Axis” and Section 9.9 “Inspection and Adjustment of Optic Axis for Auto -Tracking” .
Note: First, loosen the capstan adjustment screw on the side to which the center mark must be
moved. Then tighten the adjustment screw on the opposite side by an equal amount which
will leave the tension of the adjustment screws unchanged.
Revolve in the counterclockwise direction to loosen and in the clockwise direction to tighten,
but revolve as little as possible.
Capstan
adjustment
screws
Eyepiece
Capstan
adjustment
screws
Plummet telescope
1/2 of displacement

9-9
9 CHECK AND ADJUSTMENT
9.4 Adjustment of Compensation Systematic Error of Instrument
1) Error of vertical axis (X,Y tilt sensor offset) 2) Collimation error
3) Error of vertical angle 0 datum 4) Error of horizontal axis
The above mentioned errors will be compensated by software, which calculated internally according to
each compensation value.
Also these errors can be compensated by software collimating one side of the telescope that is carried
out to delete the error by turning in normal and reverse both sides of telescope so far.
Operating procedure Operation Display
1Level the instrument properly with the plate
level.
2Press [F5] key from the main menu. [F5]
3Press [F1] key . [F1]
4Collimate target A (around 0° in horizontal
within ±3°) in normal telescope setting
(FACE(1)).
Collimate
A
(Normal)
5Press [F6](SET)key. *1)
The sample display shows that the
measurement is made 5 times in FACE 1.
[F6]
6Turn the telescope in reverse telescope
setting (FACE(2)). Turn
telescope
Adjustment
F1 V0/Axis (Measurement)
F2 V0/Axis (Constant list)
F3 Date Time
F4 Instrument constant ↓
[V0/Axis Adjustments]
ERROR CORRECTION
(A) Tilt,V0 init,Collimation
(B) H Axis
(A)COLLIMATION
FACE 1
V: 88°40'20"
SKIP SET
LEVEL±0 /0
FACE 1
V: 89°55'50"
SKIP SET
LEVEL±0 /5
FACE 2
V:270°04'20"
SKIP SET
LEVEL±0 0/5

9-10
9 CHECK AND ADJUSTMENT
7Collimate target A. Collimate
A
(Reverse)
8Press [F6](SET)key.
Repeat the procedures in step 7 and 8 so
that the count of measured times matches to
the one in FACE(1).
* 2),3),4)
The title display will be shown automatically.
[F6]
9Collimate target B (more than ±10° from the
level ) in reverse telescope setting
(FACE(2)). *5)
Collimate
B
(Reverse)
10 Press [F6](SET)key. *1) [F6]
11 Turn the telescope in normal telescope
setting(FACE(1)). Turn
telescope
12 Collimate target B. Collimate
B
(Normal)
13 Press [F6](SET) key. Repeat the procedures
in step 12 and 13 so that the count of
measured times matches to the one in
FACE(2).
Then the display returns to main menu.
[F6]
*1) It is able to get the average value from 1 to 10 measurements. To get the average, repeat the
procedures in steps 4, 5 or 9, 10. The measured times is counted in the second line of display.
*2) The compensation values of 1) Error of vertical axis (X,Y tilt sensor offset),
2) Collimation error, and 3) Error of vertical angle 0 datum will be set and memorized internally.
*3) The operating procedure steps to set compensation value of 4) Error of horizontal axis.
*4) Pressing [F1](SKIP) key enables to set next step without changing the last compensated value.
*5) Pressing [F1](SKIP) key makes end of setting without changing compensation value.
FACE 2
V:270°04'20"
SKIP SET
LEVEL±0 5/5
(B)HORIZONTAL Axis
FACE 2
V:270°04'20"
SKIP SET
LEVEL±10° /0
FACE 2
V:270°04'20"
SKIP SET
LEVEL±10° /5
FACE 1
V: 69°58'30"
SKIP SET
LEVEL±10° 5/5
Complete

9-11
9 CHECK AND ADJUSTMENT
9.5 Showing Constant List and Switch ON/OFF
Compensation Systematic Error of Instrument
[Example setting: Switch OFF the compensation]
Operating procedure Operation Display
1Press [F5] key from the main menu. [F5]
2Press [F2] key .
Correction values are displayed. [F2]
3Press [F6](OFF) key. [F6]
4Press [F1](EXIT) key.
The display returns to main menu. [F1]
Adjustment
F1 V0/Axis (Measurement)
F2 V0/Axis (Constant list)
F3 Date Time
F4 Instrument constant ↓
Vco: -1°57'12"
Hco: -0°00'20"
HAx: -0°00'20"
EXIT ON OFF
Vco: -1°57'12"
Hco:
HAx:
EXIT ON OFF

9-12
9 CHECK AND ADJUSTMENT
9.6 How to adjust the date and time
Operating procedure Operation Display
1Press [F5] key from the main menu. [F5]
2Press [F3] key.
Current date will be on the display. [F3]
3Press [F5] (YES) key.
The cursor will blink on the first digit to type in
a numeric value.
[F5]
4Input new date and press [ENT] key.
[Example:07-29-02] [0][7]
[2][9]
[0][2]
[ENT]
5Press [F5] (YES) key. [F5]
6Input new time and press [ENT] key.
[Example:13:20:50]
The display returns to main menu.
[1][3]
[2][0]
[5][0]
[ENT]
lThe [F6](BS) key is for moving the cursor to the left one digit at a time for editing.(If you do not want to
change the date, press the [F1](EXIT) key or [ESC] key to get to the time display.
lEnables you to change the order of date, see Chapter 8 “PARAMETERS SETTING MODE” .
Adjustment
F1 V0/Axis (Measurement)
F2 V0/Axis (Constant list)
F3 Date Time
F4 Instrument constant ↓
Current date is 01-25-02
Enter new date (mm-dd-yy)
Modify
YES NO
Current date is 01-25-02
Enter new date (mm-dd-yy)
EXIT BS
Current time is 14:55:28
Enter new time (hh-mm-ss)
Modify
YES NO
Current time is 14:55:28
Enter new time (hh-mm-ss)
EXIT BS

9-13
9 CHECK AND ADJUSTMENT
9.7 How to Set the Instrument Constant Value
To set the Instrument constant which is obtained in section 9.1 “Checking and Adjusting of Instrument
Constant”, follow as below.
Operating procedure Operation Display
1Press the [F5] key from the main menu. [F5]
2Press [F4] (Instrument constant) key. [F4]
3Press [F5] (YES) key . [F5]
4Input value and press [ENT] key. Input
value
[ENT]
5Press [F5](OK) key.
The display returns to main menu.
[F5]
Adjustment
F1 V0/Axis (Measurement)
F2 V0/Axis (Constant list)
F3 Date Time
F4 Instrument constant ↓
Instrument Constant
EDM OFSET (mm)
0.0
Modify
YES NO
Instrument Constant
EDM OFFSET (mm)
0.0
EXIT BS
Instrument Constant
EDM OFFSET (mm)
1.2
OK CANCEL
Complete

9-14
9 CHECK AND ADJUSTMENT
9.8 Reference Frequency Checking Mode
The beam modulated by the reference frequency of EDM is emitted continuously.
This mode is used for frequency test mainly.
Operating procedure Operation Display
1Press the [F5] key from the main menu icons. [F5]
2Press the [F6](↓) key to get to next page on
the display. [F6]
3Press the [F1] key.
The beam will be emitted. [F1]
4To return to the main menu icons, press the
[F1] (EXIT) key. [F1]
Adjustment
F1 V0/Axis (Measurement)
F2 V0/Axis (Constant list)
F3 Date Time
F4 Instrument constant ↓
Adjustment
F1 FRQ check
F2 Adj Tracking Axis
↑
FRQ Check
During the signal output••
EXIT

9-15
9 CHECK AND ADJUSTMENT
9.9 Inspection and Adjustment of Optic Axis for Auto -Tracking
Activates auto tracking to the prism.
Confirm if the center of telescope reticle and the center of the prism is coincided.
Any error between them requires adjustment according to the following procedure.
lPosition a prism around 0 in horizontal and more than100m (328ft) apart from the GTS-820A
series.
lTake care not to be interrupted the optical path during measurement.
Operating procedure Operation Display
1Level the instrument properly with the plate
level and press the [F5] key from main menu. [F5]
2Press the [F6] key to get the next page. [F6]
3Press the [F2] key to select the adjustment of
tracking axis. [F2]
4Operate H / V jog shuttle to collimate the
center of prism Collimate
5Press the [F6](MEAS) key.
The measurement starts. [F6]
6After the measurement, press the [F1](TURN)
key.
The instrument and telescope will turn
automatically.
[F1]
7Operate H / V jog shuttle to collimate the
center of prism Collimate
Prism center
Telescope reticle center
Centers of prism
and telescope is shifted
Normal position
Prism center
Telescope reticle center
Adjustment
F1 V0/Axis (Measurement)
F2 V0/Axis (Constant list)
F3 Date Time
F4 Instrument constant ↓
Adjustment
F1 FRQ check
F2 Adj Tracking Axis
↑
Adj Tracking Axis
[1/2]
>Sight the prism !!
TURN MEAS
Adj Tracking Axis
Wait
Adj Tracking Axis
[2/2]
>Sight the prism !!
TURN MEAS

9-16
9 CHECK AND ADJUSTMENT
8Press the [F6](MEAS) key.
The measurement starts. [F6]
The shifted quantity between H angle and V
angle measured from the measuring will be
calculated internally.
9Confirm the coincident of cross hair line and
the senter of prism, press the [F5](YES) key.
The compensation value will be set and
memorized to GTS-820A series.
The display will return to the main menu.
[F5]
lThe display shows “Compensation Range Overcoat” when the calculated compensation value is
exceeded than limited value.
lIf the distance between the instrument and the prism is not enough to adjust, the display shows “The
distance is too short”. The distance between the instrument and prism should be more than 35m.
lIf the difference of the measured data between in normal position and in inverted position is exceeded
than limited value, the display shows “Tolerance Limit Over”.
lIf the measuring is unstable when the atmospheric condition is bad or the optical path is interrupted,
the display shows “Standard Deviation Over”.
lTo cancel the compensation, press the [F6](NO) key.
Adj Tracking Axis
Wait
Adj Tracking Axis
>Set OK?
YES NO
Complete

10-1
10 SETTING THE PRISM CONSTANT VALUE
10 SETTING THE PRISM CONSTANT VALUE
The prism constant value of Topcon is set to zero. When using prism other than Topcon's, it is
necessary to set the prism constant correction value of that specific prism.
Once you set the correction value for prism constant, it is retained after power is OFF.
lSetting the prism constant value is in the STAR key mode.
lSetting example : The prism constant value : -14mm
Operating procedure Operation Display
1Press STAR (H) key.
Press the [F6] key twice to get the page three. [H]
[F6] twice
2Press the [F2] key.
Current setting value is displayed. [F2]
3Move the cursor (>) to psm setting by
pressing [F5]((→, ←) key or [F6](↓,↑) key. Move
cursor
4Input the Prism constant correction value and
press the [ENT] key.
*1)
Enter
value
[ENT]
The display returns STAR key menu.
*1) Input range : -99.9mm to +99.9mm, 0.1mm step
2003-10-10 14:30:40
3
↓
20.0 °C -5.1ppm
-2.0 mm
1012.0hPa
prism setting
20.0 °C 5.1ppm
+14.0 mm
1012.0hPa

11-1
11 SETTING ATMOSPHERIC CORRECTION
11 SETTING ATMOSPHERIC CORRECTION
The velocity of light through air is not constant and depends on the atmospheric temperature and
pressure. The atmospheric correction system of this instrument corrects automatically when the
correction value is set. 15°C/59°F, and 1013.25hPa / 760mmHg / 29.9 inHg is as a standard value for
0ppm in this instrument. The values are kept in the memory even after power is OFF.
lSetting the atmospheric correction value is in the STAR key ( H) mode.
11.1 Calculation of Atmospheric Correction
The followings are the correction formulas.
Unit; meter
The distance L (m) after atmospheric correction is obtained as follow.
L = l (1+Ka) l :Measured distance when atmospheric
correction is not set.
Example : In case Temperature +20°C, Air pressure 847hPa, l =1000 m
+ 50×10-6 (50 ppm)
L = 1000 (1+50×10-6) = 1000.050 m
11.2 Setting of Atmospheric Correction Value
lHow to Set Temperature and Pressure Value Directly
Measure the temperature and air pressure surrounding the instrument beforehand.
Example : Temperature: +26°C, Pressure:1020 hPa
Operating procedure Operation Display
1Press STAR (H) key.
Press the [F6] key twice to get the page three. [H]
[F6] twice
2Press the [F2] key.
Current setting value is displayed. [F2]
3Input Temp.value and press [ENT] key.
[Example] Temp. : +26°C
The cursor moves to Pressure setting
automatically
Enter
value
[ENT]
4Input Pressure value, and press [ENT].
[Example] Pres. :1020.0hPa.
The display returns previous mode.
*1) *2)
Enter
value
[ENT]
Ka: Atmospheric correction value
P : Ambient atmospheric pressure (hPa)
t : Ambient Atmospheric temperature (°C)
Ka 279.67 79.535 P
×
273.15 t
+
--------------------------
–
10 6–
×=
Ka 279.67 79.535 847×
273.15 20+
-------------------------------
–
10 6–
×=
2003-10-10 14:30:40
3
↓
20.0 °C 5.1ppm
-2.0 mm
1012.0hPa
Temperature setting
26.0 °C 5.1ppm
-2.0 mm
1012.0hPa
Pressure setting
26.0 °C 5.1ppm
-2.0 mm
1020.0hPa

11-2
11 SETTING ATMOSPHERIC CORRECTION
lHow to Set the Atmospheric Correction Value Directly
Measure the temperature and air pressure to find atmospheric correction value (ppm) from the chart or
correction formula.
[Example] Atmospheric correction value
The display returns STAR key menu.
*1) Range : Temp. -30.0 °C to +60.0 °C (0.1 °C step)
Pres. 560.0 to1066.0hPa (0.1hPa step) , 420.0 to 800.0mmHg (0.1mmHg step)
16.5 to 31.5inHg (0.1inHg step)
*2) When the atmospheric correction value, which is calculated from the input temperature and pressure
values, exceeds the range ± 999.9ppm, the operating procedure returns to step 3 automatically. Input
values again.
Operating procedure Operation Display
1Press STAR (H) key.
Press the [F6] key twice to get the page three. [H]
[F6] twice
2Press the [F2] key.
Current setting value is displayed. [F2]
3Move the cursor (>) to ppm setting by
pressing [F5](→) key. Move
cursor
4Enter atmospheric correction value and press
[ENT] key. *1) Enter ppm
[ENT]
The display returns previous mode.
*1) Input range : -999.9mm ~ +999.9mm, 0.1mm step
2003-10-10 14:30:40
3
↓
20.0 °C 5.1ppm
-2.0 mm
1012.0hPa
5.1ppm
-2.0 mm

11-3
11 SETTING ATMOSPHERIC CORRECTION
Atmospheric Correction Chart (For your reference)
The atmospheric correction value is obtained easily with the atmospheric correction chart. Find the
measured temperature in horizontal, and pressure in vertical on the chart.
Read the value from the diagonal line, which represents the required atmospheric correction value.
Example:
The measured temperature is +26°C
The measured pressure is 1013 hPa
Therefore,
The correction value is +10ppm

11-4
11 SETTING ATMOSPHERIC CORRECTION

11-5
11 SETTING ATMOSPHERIC CORRECTION

12-1
12 CORRECTION FOR REFRACTION AND EARTH CURVATURE
12 CORRECTION FOR REFRACTION AND EARTH
CURVATURE
The instrument measures distance, taking into account correction for refraction and earth curvature.
12.1 Distance Calculation Formula
Distance Calculation Formula; with correction for refraction and earth curvature taken into account.
Follow the Formula below for converting horizontal and vertical distances.
Horizontal distance D = AC(α) or BE(β)
Vertical distance Z =BC(α) or EA(β)
D = L{cosα–(2θ – γ ) sinα}
Z = L{sinα+(θ – γ ) cosα}
θ = L.cosα/2R........... Earth curvature
correcting item
γ =K•Lcosα/2R....... Atmospheric
refraction
correcting item
K =0.14 or 0.2.......... Coefficient of
refraction
R =6372km.............. Radius of earth
α ( or β)................... Altitude angle
L .............................. Slope distance
lThe conversion formula for horizontal and vertical distances is as follows when correction for
refraction and earth curvature is not applied.
D=L•cosα
Z=L•sinα
Note: The coefficient of the instrument has been set at 0.14 before shipment (K=0.14).
if the "K" value is to be changed, refer to 8 “PARAMETERS SETTING MODE”.
Note: If the telescope is positioned within ±9° from the nadir or zenith, no measurement will result
even if the correction function for refraction and earth curvature works.
The display shows “W/C OVER”.

13-1
13 POWER SOURCE AND CHARGING
13 POWER SOURCE AND CHARGING
13.1 Rechargeable Battery BT-56Q
lTo remove
Remove the battery while pulling both battery fixing levers.
lTo charge
1Plug the charger into the outlet.
2Connect the charger connector to the battery, then charging will start.
Preparatory charging will start.* (The red lamp of the charger will blink.)
When the preparatory charging is completed, the charging status will be switched to quick charging
automatically. (The red lamp of the charger will light.)
3Charging will take approximately 2.5 hours. (The green lamp will illuminate.)
4After charging, remove the battery from the charger.
Remove the charger from the outlet.
lTo refresh
Press the refresh switch after starting charging above steps (1, 2 ), then discharging will start. Confirm
the yellow lamp illuminates.
After discharging is finished , charging will start automatically.
Time discharging battery charged fully is approximately 12 hours.
lFor refreshing
Rechargeable battery can be used repeatedly by charging. If charging is repeated by the state that
capacity of the battery still left, operating time of the battery may shorten. In this case, the voltage of the
battery will be recovered by refreshing and operating time can be improved.
*About Preparatory charging
Before quick charging, the battery is charged using small amount current to measure its temperature
and voltage.
When the temperature and voltage is within a range, the charging status will change to quick charging.
The lamp of charger
Red blinking : Preparatory charging
Red ON : Charging
Red lamp will illuminate during charging.
Green ON : Charging completed
Green lamp will illuminate after completely charging.
Yellow ON : Discharging
Yellow lamp will illuminate and discharging will start by pressing the refresh
(discharge) switch.
Red quick flashing : Abnormal outbreaks
Red lamp will flash when the battery life is over or the battery is broken down.
Replace the battery to new one.
lTo install
1Place the battery to the instrument.
2Gentry push the battery and clicks into position.
BT-56Q BC-27BR/CR
Battery fixing
lever
AC-outlet

13-2
13 POWER SOURCE AND CHARGING
lDo not charge or discharge continuously, otherwise the battery and the charger may be
deteriorated. If charging or discharging is necessary, use the charger after stopping charge for
approximately 30 minutes.
lDo not charge the battery or discharge the battery in right after the battery is charged, it causes
deterioration of the battery in rare cases.
lThe charger may develop heat while charging, there is no problem of it.
Note: 1 Recharging should take place in a room with an ambient temperature range of 10°C to
40°C (50°F to 104°F).
2 If charging is done at high temperature, charging time of the battery may take longer.
3 Exceeding the specified charging time may shorten the life of the battery and should be
avoided if possible.
4 The battery source will discharge when stored and should be checked before using with
instrument .
5 Be sure to charge as stored battery source every 3 or 4 months and store in a place at
30°C and below when it will not used for a long period.
If you allow the battery to be completely discharged, it will have an effect on the overall
performance for proper charging in the future.
Keep batteries charged at all times.
6 For further information, see APPENDIX 2 “Precaution when Charging or Storing Batteries
”.

14-1
14 DETACH/ATTACH OF TRIBRACH
14 DETACH/ATTACH OF TRIBRACH
The instrument is easily detached or attached to the tribrach.
lDetachment
1) Loosen the tribrach fixing screw.
2) Loosen the tribrach fixing lever by turning counterclockwise.
3) Lift the instrument straight upwards and off.
lAttachment
1) Coincide the white alignment piece on the lower part of the instrument with the tribrach alignment
groove.
2) Tighten the tribrach fixing lever firmly by turning clockwise.
3) Tighten the tribrach fixing screw.
lLocking the Tribrach Fixing lever
The tribrach fixing lever can be locked from being moved accidentally. This is useful if the upper
instrument section is not being detached very often. Simply tighten the securing screw on the fixing
lever with the accessory screw driver.
Alignment piece
Securing screw
Tribrach fixing lever
Tribrach alignment groove
Tribrach fixing screw
Tribrach alignment groove

15-1
15 BATTERY SYSTEM
15 BATTERY SYSTEM
In case of Rechargeable Battery BT-56Q In case of External battery Pack
BT-3Q
BT-3L
BT-56Q
BT-3Q
BC-10B
BC-10C
Approx.15h
BC-5
BC-9
BT-3L
BC-6
Normal
BC-10B for AC 120V use
BC-10C for AC 230V use
Normal
for AC 100V / 120V / 220V
/ 240V use
Quick
for DC 13.8 to 16V use
Quick
for AC 100V / 120V / 220V
/ 240V use
Approx.1h
Approx.15h
Approx.2h
Charging
BT-56Q
Charging time
BC-27BR/CR Quick
BC-27BR for AC 120V use
BC-27CR for AC 230V use
Approx. 2.5h
PC-5
PC-6
PC-5 or PC-6
AC-6
External 12V battery

16-1
16 PRISM SYSTEM
16 PRISM SYSTEM
Arrangement according to your needs is possible.
lUse the above prisms after setting them at the same height as the instruments. To adjust the height
of prism set, change the position of fixing screws.
Plug 3 is necessary for the tribrach adaptor-2, tribrach adaptor-S2 and pole adaptor-F2 to coincide
with the height of GTS-820A series.
lTR-5 or TR-5P tribrach should be used for prism side when the traverse surveys is performed.
Target pole-2
(not used with 9 prisms)
Prism-2
Tilting prism
holder-2
with target
plate-2
Pole adaptor- A Plug3
Tilting prism
holder-3
Single prism
holder-2 Triple prism
holder-2 Tilting triple
prism holder-1
9 prism
holder-2
Pole adaptor- F2
Tribrach
adaptor-S2
Optical plummet tribrach
Tribrach
adaptor-2
Tribrach
Tilt single prism unit
Fixed 3 prisms unit
Fixed 9 prisms unit
Tripod
It is possible to change the combination
according purpose.
Prism unit A3/A3S
17-1
17 PRECAUTIONS
17 PRECAUTIONS
1) For transportation, hold by the handle or yoke of the instrument. Never hold by the lens barrel as it
can affect the fixing bracket inside and reduce the accuracy of the instrument.
2) Never expose the instrument without a filter to direct sunlight. It may damage the components
inside the instrument.
3) Never leave the instrument unprotected in high temperature. The temperature inside instrument
may easily reach up to 70°C or above and will reduce the service life.
4) When a high degree of precision is required for measurement, provide shade against direct sunlight
for the instrument and tripod.
5) Any sudden change of temperature to the instrument or prism may result in a reduction of
measuring distance range, i.e. when taking the instrument out from a heated vehicle.
6) When opening the carrying case and taking out the instrument, place the case horizontally, then
open the case.
7) When returning the instrument to its case, be sure to match the white positioning marks provided
with the case and place the instrument with the eyepiece upward.
8) For transportation, provide dampening or a cushion appropriately to avoid sudden shock or
vibration.
9) For cleaning the instrument after use, remove dust using a cleaning brush, then wipe off with a
cloth.
10) For cleaning the lens surface, use a cleaning brush to remove the dust, then use a clean lintless
cotton cloth. Moisten it with alcohol (or mixture with ether) to wipe gently in a rotational motion from
the center out.
11) Even if any abnormality occurs, never attempt to disassemble or lubricate the instrument yourself.
Always consult with TOPCON or your dealer.
12) To remove the dust on the case, never use thinner or benzine. Use a clean cloth moistened with
neutral detergent.
13) Check each part of the tripod after extended use. Parts (screws or clamps) may work themselves
free.

18-1
18 ERROR DISPLAYS
18 ERROR DISPLAYS
lIf error still persist after attempting to clear them, contact your local Topcon dealer or Topcon head
office.
Error code Description Countermeasures
Backup
battery
empty
Displayed when built in battery for memory
back up is empty. Contact your dealer or Topcon.
W/C OVER
Displayed when measurement carried out
within ±9° from zenith or nadir at the Earth
curvature and refraction correction mode is
ON.
Set correction for refraction and earth
curvature mode OFF or measure out of ±9°
from the zenith or Nadir.
H angle
measuring
error
Displayed when the instrument rotated too
fast or any abnormality occurs in angle
measuring system .
The instrument will return to previous mode
automatically.
V angle
measuring
error
Displayed when the telescope rotated too fast
or any abnormality occurs in angle measuring
system.
The instrument will return to previous mode
automatically.
E31 Displayed when the unit of the angle at the
recall mode is different from the unit stored in
setting mode. Make the unit in same unit system.
E35 Displayed when REM measurement carried
out to the range from zenith or nadir ± 6° . Operate in the range out of ± 6° from the
zenith or nadir.
E36 Displayed when the N.E coordinates are set
same as the instrument coordinate in setting
direction angle or lay out mode. Set except the instrument coordinate value.
E60’s Any abnormality occurs with EDM (distance
measuring system). Repair is required.
E71 Displayed when Vertical angle 0 position is
set with incorrect procedure. Confirm the procedure and readjust.
E72 Displayed when Vertical angle -position is
adjusted in wrong position. Confirm the procedure and readjust
E73 The instrument was not leveled when Vertical
angle 0-position is adjusted. Level the instrument then carry the
adjustment work.
E81
E82 Mainly at the time data transmission between
GTS-820 series and external instrument. Press [F1](EXIT) key, and confirm the
connection cables are correct.
Other
E80‘s Data transmission error between internal
P.C.B .‘s. Restart and confirm the operation procedure
is correct.
E90‘s Abnormality in internal memory system. Repair is required.
E300‘s Abnormality in tracking system. Repair is required.
E600‘s Abnormality in angle measuring system. If this error code continues to display, repair is
required.
E700‘s Abnormality in angle measuring system. If this error code continues to display, repair is
required.
E800‘s In the self checking mode, vibration is too big. Get rid of the Vibration

19-1
19 SPECIAL ACCESSORIES
19 SPECIAL ACCESSORIES
Remote Control System RC-2II
Using together with RC-2II makes it possible to optical
communication between the GTS-820A series and
RC-2II. This gives easy operation for one man
surveying.
Optical plummet tribrach TR-5P
This is detachable tribrach having built-in optical
plummet telescope.
(Compatible with Wild)
Trough compass, Model 6
Shock proof construction. No clamp is necessary
when carrying the instrument.
Tribrach TR-5
This is detachable tribrach having tribrach fixing
screw.
Diagonal eyepiece, Model 10
Observation in an easy posture will be provided up to
the zenith position
Solar filter, Model 6
A filter designed exclusively for direct collimation of
the sun.
Solar filter of flap-up type.
Solar reticle, Model 6
A reticle designed for collimation of the sun.
Can be used together with Solar Filter.

19-2
19 SPECIAL ACCESSORIES
Prism unit case, Model 6
Fixed 9 prisms unit or tilting 3 prisms unit can be
stored in this case. Especially, this is a very easy case
to carry. Soft material is used.
lExternal dimensions:
250(L)×120(W)×400(H) mm
lWeight:0.5kg
Prism unit case, Model 5
1 prisms unit or fixed 3 prisms unit can be stored in
this case. Especially, this is a very easy case to carry.
Soft material is used.
lExternal dimensions:
200(L)×200(W)×350(H) mm
lWeight:0.5kg
Prism unit case, Model 3
This is the plastic case to store and carry various
sets of prisms.
The case covers one of the following prism sets:
lTilt single prism set
lTilt single prism set with a target plate
lFixed triple prism unit
lFixed triple prism unit with a target plate
lExternal dimensions:
427(L)×254(W)×242(H) mm
lWeight:3.1kg
Gadget case, Model 1
A case to store and carry accessories.
lExternal dimensions:
300(L)×145(W)×220(H) mm
lWeight:1.4kg
Back pack, Model 2
Convenient for use in mountainous terrain.
Cigarette battery charger BC-9 (for BT-3Q)
lInput voltage:13.8V to 16V
lPower consumption: 40VA approx.
lCharging time:
approx. 2 hour (+20°C) to charge BT-3Q
lOperation temperature range:
+10°C to +40°C (+50 to +104°F)
lExternal dimensions:
116(L)×60(W)×50(H) mm
lWeight:0.3kg
Battery charger BC-6 (for BT-3L)
lInput voltage:100, 120, 220, 240V
AC: ±10% 50/60 Hz
lPower consumption: 15VA approx.
lCharging time:
approx. 15 hour (+20°C) to charge BT-3L
lOperation temperature range:
+10°C to +40°C (+50 to +104°F)
lExternal dimensions:
142(L) × 96(W) × 64(H) mm
lWeight:1.0kg

19-3
19 SPECIAL ACCESSORIES
Data card
Power cord PC-6 (For BT-3L, AC-6)
lL-shape plug provided
lCord length: 2m approx.
Power cord PC-5
(For BT-3Q, AC-6 and TOPCON FC series Data
collector)
lL-shape plug provided
lCord length: 2m approx.
Large capacity battery pack BT-3L
lOutput voltage : DC 8.4V
lCapacity: 6AH
lExternal dimensions:
190(L) × 106(W) × 74(H) mm
lWeight:2.8kg
Auto Converter AC-6
lInput voltage : DC12V
lOutput voltage : DC 8.4V±5%
lCurrent rating : 3A
lConnection cable length : Approx. 3m
lExternal dimensions :
100(L) x 50(W) x 52(H) mm
lWeight : Approx. 300g
Aluminum extension leg tripod, Type E
lFlat head 5/8" × 11 threads with adjustable legs. Wide-frame extension leg tripod, Type E (Wood)
lFlat head 5/8" × 11 threads with adjustable
legs.
Prism sets
See the description on Chapter 16 "PRISM SYSTEM"
Capacity The number of Measurement Points
128 K bytes Approx. 2,000 points
256 K bytes Approx. 4,000 points
512 K bytes Approx. 8,000 points

20-1
20 SPECIFICATIONS
20 SPECIFICATIONS
Telescope
Length : 166mm
Objective lens : 50mm (EDM 50mm)
Magnification : 30×
Image : Erect
Field of view : 1°30'
Resolving power : 3"
Minimum focus : 1.3m
Focusing knob : 1 speed way
Automatic Tracking / Collimating
Maximum Automatic Tracking speed : 12° /sec
Automatic Collimating area : ±5°
Automatic Tracking range *1:
Automatic Collimation / Tracking accuracy : 3” Standard deviation *2
Search pattern : Pattern 1 / Pattern 2
Search range : Any value can be set, able to set (1° step)
Safety standard for Laser Beam : Class 1 (IEC Publication 825)
Class ll (FDA/BRH 21 CFR 1040)
*1 Condition : Normal (Visibility about 20km), except high humidity time.
Automatic Tracking range of Reflector tape will differ depending on the kind of reflector tape.
*2 The air condition is stable and prism is staying.
Automatic Collimation / Tracking accuracy is available only for prism use except for reflector
tape.
Manual Driving
Maximum rotating speed * : 50° /sec
Coarse movement : Shuttle driving (in 7 steps)
Fine movement : Jog driving (minimum step about 1 second)
*By reverse, rotating instruction
Prism type 2, with 1 prism 8 to 800 m (26 to 2,625ft)
Prism Unit Type A2/A3/A3S 10 to 500 m (33 to 1,640ft)
Reflector tape (5cm× 5cm) 10 to 50 m (33 to 164 ft)

20-2
20 SPECIFICATIONS
Distance measurement
Measurement range
Condition 1: Sight haze with visibility about 20km (12.5miles) moderate sunlight with light heat
shimmer.
Condition 2: No haze with visibility about 40km(25 miles), overcast with no heat shimmer.
Measurement accuracy
Fine measurement mode : ±(2mm + 2ppm × D) m.s.e.
Coarse measurement mode : ±(10mm + 2ppm × D) m.s.e.
D : Measuring distance (mm)
Least Count in Measurement
Fine measurement mode : 1mm (0.005ft.) / 0.2mm (0.001ft)
Coarse (1mm) measurement mode : 1mm (0.005ft.)
Coarse (10mm) measurement mode : 10mm (0.02ft.)
Measurement Display : 10digit : max. display ±999999.9999m
Measurement Time
Fine measurement mode : 1mm : 1.2 sec. (Initial 4 sec.)
: 0.2mm: 2.8 sec. (Initial 5 sec.)
Coarse (1mm) measurement mode : 0.7sec. (Initial 3sec.)
Coarse (10mm) measurement mode : 0.4sec. (Initial 3sec.)
(The initial time will be different by a condition.)
Atmospheric Correction Range : –999.9ppm to +999.9ppm , in 0.1ppm increments
Prism Constant Correction Range : –99.9 mm to +99.9 mm , in 0.1 mm increments
Coefficient Factor : Meter / Feet
International feet 1meter = 3.2808398501 ft.
US SURVEY feet 1meter = 3.2808333333 ft.
Ambient Temperature Range : –20°C to +50°C (–4°F to +122°F)
Electronic Angle Measurement
Method : Absolute reading
Detecting system : Horizontal : 2 sides
Vertical : 2 sides
Minimum reading GTS-821A : 1"/0.5" (0.5mgon/0.1mgon, 5mmil/2mmil) reading
GTS-822A : 1"/0.5" (0.5mgon/0.1mgon, 5mmil/2mmil) reading
GTS-823A : 5"/1" (1mgon/0.2mgon, 20mmil/5mmil) reading
GTS-825A : 5"/1" (1mgon/0.2mgon, 20mmil/5mmil) reading
Accuracy(Standard deviation based on DIN 18723 )
GTS-821A : 1" (0.3mgon )
GTS-822A : 2" (0.6mgon )
GTS-823A : 3" (1mgon )
GTS-825A : 5" (1.5mgon )
Diameter of circle : 71mm
Prism
Atmospheric conditions
Condition 1 Condition 2
Mini prism 800m ( 2,600ft) ----
1 prism 2,200m (7,200ft) 2,500m (8,200ft)
3 prisms 2,800m (9,200ft) 3,200m (10,500ft)
9 prisms 3,600m (11,800ft) 4,200m (13,800ft)
20-3
20 SPECIFICATIONS
Tilt Correction
Method : Automatic vertical and Horizontal index
: Liquid type
Compensating Range : ±4'
Correction unit : 1"(0.1mgon)
Others
Instrument height : 196mm (7.7 in) Base unit detachable
(Height from the tribrach dish to the center of telescope)
Level sensitivity
Circular level : 10'/2mm
Plate level : 30"/2 mm
Optical Plummet Telescope
Magnification : 3 ×
Focusing range : 0.5m to infinity
Image : Erect
Field of view : 4°
Optical communication
Laser class : Class 2 (Class ll) laser product
Dimension : 325 (H) × 229 (W) × 211 (L) mm
(12.8 (H) × 8.9 (W) × 8.3 (L) in)
Weight GTS-820series : 7.5kg ( 16.6 lbs)
Plastic carrying case : 5.4kg ( 11.9 lbs)
Durability
Protection against water and dust : IP54 (with BT-56Q)
(Based on the standard IEC60529)
Computer unit
OS : MS-DOS Ver.3.22
Internal Memory
System memory : FEEPROM 512KB
Main memory : RAM 640 KB
Data memory : FEEPROM 2 MB
Program memory : FEEPROM 1 MB
Application program memory : FEEPROM 2 MB
PC Card Slot : Based on PC Card Standard 95
(Memory card or ATA card, Type l/ll)
Max. 32MB
Display and keyboard GTS-821A : Both sides
GTS-822A : One side
GTS-823A : One side
GTS-825A : One side

20-4
20 SPECIFICATIONS
Rechargeable Battery BT-56Q (This battery does not contain mercury)
Out put voltage : 7.2 V
Capacity : 4.0 Ah
Maximum operating time( when fully recharged) at +20°C (+68°F)
Weight : 0.4kg (0.9 lbs)
Battery Charger BC-27BR / BC-27CR
Input voltage : AC 120V(BC-27BR), AC 230V(BC-27CR)
Frequency : 50/60Hz
Recharging time (at +20°C /+68°F)
Rechargeable battery BT-56Q : Approx. 2.5 hours
Discharging time (at +20°C /+68°F)
Rechargeable battery BT-56Q : 12 hours (in case of full charge)
Operating temperature : +10°C to +40°C ( +50°F to 104°F)
Charging signal : Red lamp illumination
Refreshing signal : Yellow lamp illumination
Finishing signal : Green lamp illumination
Weight : 0.4kg (0.9 lbs)
lBattery using time will vary depending on environmental conditions and operations done with GTS-
820A series.
Normal use about 3.5 hours
Distance and Angle measurement about 6 hours

APPENDIX
APPENDIX-1
APPENDIX
1 Dual Axis Compensation
Inclination of the vertical axis with respect to true vertical will result in incorrectly measured horizontal
angles. The extent of the error in horizontal angle measurement due to axis tilt depends on three
factors :
lthe amount of the tilt of axis
lthe elevation of the target
lthe horizontal angle between the direction of tilt of the vertical axis and the target.
These factors are related by the following formula :
Hzerr = V•sin
α
• tanh
where v = tilt of axis in arcseconds
α
= azimuth angle between vert. axis direction and target
h = elevation of target
Hzerr = error in horizontal angle
Example: When the vertical axis is tilted by 30 arcseconds, the target is 10° above the horizon and
rotated 90° in azimuth from the direction of the vertical axis error.
Hzerr = 30" • sin
α
• tan10°
Hzerr = 30" • 1 • 0 .176326=5.29"
From the above example it can be seen that horizontal angle errors will increase with steeper vertical
sights (tangent will increase as vertical angle increases) and will be at a maximum when the target is at
right angles (sin 90° =1) to the direction of the vertical axis error. Errors will be at a minimum when the
sights are nearly horizontal (h=0, tan0=0) and in the same direction as the vertical axis error (
α
=0,
sin0=0). Please refer to the table below to see the relationship between axis tilt (v) and elevation (h)
and the error in horizontal angles which results from these factors.
0° 1° 5° 10° 30° 45°
0" 0" 0" 0" 0" 0" 0"
5" 0" 0.09" 0.44" 0.88" 2.89" 5"
10" 0" 0.17" 0.87" 1.76" 5.77" 10"
15" 0" 0.26" 1.31" 2.64" 8.66" 15"
30" 0" 0.52" 2.62" 5.29" 17.32" 30"
1' 0" 1.05" 5.25" 10.58" 34.64" 1'
h
V
APPENDIX
APPENDIX-2
It is clear from the table that dual axis compensation has the most benefit when the elevation
of the target is greater then 30° and the axis is tilted more than 10". The entries indicated in
bold in the table show, in fact, that for many common surveying applications i.e. target
elevation <30° and axis error <10", virtually no correction would be required. Dual axis
compensation is especially suited then for applications where the sights are very steep.
Even though the compensators can correct horizontal angles for vertical axis errors,
it is still important to use care in setting up the instrument.
Centering error, for instance, cannot be corrected by the compensators. If the vertical axis is
tilted by 1’ with the instrument 1.4meters above the ground, a centering error of approx. 0.4mm
will result. The maximum effect of this error at 10m is about 8" of horizontal angle error.
In order to maintain the increased accuracy possible through dual axis compensation, it is
necessary to keep the compensators in proper adjustment.The compensators must agree with
the actual level condition of the instrument. Through various environmental stresses, the
agreement between the level condition sensed by the compensators and the true level condition
of the instrument may be disturbed. In order to reestablish the correct relationship between the
compensator and the true level condition of the instrument, it is necessary to carry out the
vertical indexing procedure listed on Section 9.4“Adjustment of Compensation Systematic Error of
Instrument” . This adjustment will both reset the vertical index (cause a direct + indirect zenith
reading to the same elevation to equal 360°) and zero the level reference for the horizontal
compensator. While correct vertical angles can be obtained by averaging direct and indirect
reading even when the index is improperly adjusted, the same is not true for horizontal angles.
Since the vertical axis error is fixed for a given setup, its effect cannot be removed by
averaging two readings.
For this reason, it is extremely important to maintain the vertical indexing adjustment to
insure proper correction of the horizontal angles.

APPENDIX
APPENDIX-3
2 Precaution when Charging or Storing Batteries
The capacity of battery will be affected and its service life shortened in any of the following cases while
it is recharged, discharged or stored.
1) Recharging
Fig. 1 shows how ambient temperature at recharging is related to charging efficiency or as affecting
discharge capacity. As seen from the figure, charging at normal temperature is best, and the
efficiency decreases as the temperature rises. It is best, therefore, to always recharge the battery at
normal temperature to obtain full use of battery capacity and enjoy maximum operation per charge.
And the service life of your battery will be shortened if it is frequently overcharged or recharged at
high temperature.
2) Discharge
Fig. 2 shows discharge temperature characteristics. Discharge characteristics at high temperature
are the same as those at normal temperatures. The battery is likely to have reduced discharge
capacity as well as lower discharged voltage when discharged at low temperature. And the service
life of your battery will be shortened if it is greatly overcharged.
3) Storage
See Fig. 3 for how storing period at different temperature levels is related to the remaining capacity.
The battery will lose its capacity as storage temperature rises and the storage period increases.
This does not mean, however , that the battery performance is damaged when the battery is stored.
The battery, reduced in capacity, will be restored once it is recharged. Always recharge your battery
before use. And recharge and discharge the battery 3 or 4 times to restore its capacity if it has been
stored for a long period or at high temperature. Storing at high temperature can adversely affect the
service life of your battery.
Your battery has been fully charged before leaving the factory, but its capacity may be affected
considerably when it takes several months to reach you, if it is stored at high temperature area or
passes through a high-temperature region. Then, the battery must be recharged and discharged
3~4 times to fully restore its capacity.
And the battery should always be stored at normal temperature or lower if it will not be used for any
long period. This helps your battery have a longer service life.
Note: 0.1C charge means that the battery is recharged with 0.1 -time current as against its
capacity.
Note: 1C discharge means one with 1 -time current over battery capacity.

APPENDIX
APPENDIX-4
010
20 30 40 50 6
0
20
40
60
80
100
120
0
Ambient temperature when charging i
j
Charging efficiency (discharge capaci
ty
0.1C charge
Fig.1 Recharging
Discharge : 0.2, E.V.
=
Temperature at
discharge : 20
020 40
20
40
60
80
100
120
0
Ambient temperature i j
Discharge capacity i j
0.2C discharge
Fig. 2 Discharge
1C discharge
6
0
-20
Charging : 0.1C ~16hours
Charging temperature : 20
123
20
40
60
80
100
0
0
60 45
0
20
Remaining capacity ratio i j
Storing period (month)
Fig. 3 Storage
Charging : 0.1C ~16hours
Discharge : 0.2 C, E.V.=1.0V

END USER LICENSE AGREEMENT
IMPORTANT-- READ CAREFULLY BEFORE USING THE EMBEDDED SYSTEM WHICH CONTAINS MI-
CROSOFT SOFTWARE. By using the embedded system containing software, you indicate your acceptance of
the following Software License Agreement.
SOFTWARE LICENSE AGREEMENT
(Embedded Products)
This software license agreement, including the Warranty and Special Provisions set forth in the appendix or sep-
arate booklet included in this package, is a legal agreement between you (either an individual or an entity, here-
inafter "End User") and the manufacturer ("Embedded System Manufacturer") of the embedded system containing
software product. By using the embedded system on which software program(s) have been pre installed ("SOFT-
WARE"), you are agreeing to be bound by the terms of this agreement.
1.GRANT OF LICENSE. This License Agreement permits you to use the Microsoft SOFTWARE as preinstalled
on the embedded system.
2. INTELLECTUAL PROPERTY. GTS-820A SERIES contains intellectual property, i.e., software programs, that
is licensed for the end user customer's use (hereinafter "End User"). This is not a sale of such intellectual property.
The End User shall not copy, disassemble, reverse engineer, or decompile the software program.
3.COPYRIGHT. The SOFTWARE is owned by Microsoft Corporation or its suppliers and is protected by United
States copyright laws and international treaty provisions and all other applicable national laws. Therefore, you
must treat the SOFTWARE like any other copyrighted material.
4.U.S. GOVERNMENT RESTRICTED RIGHTS. The SOFTWARE and documentation are provided with RE-
STRICTED RIGHTS. Use, duplication, or disclosure by the United States Government is subject to restrictions as
set forth in subparagraph (c)(1)(ii) of The Rights in Technical Data and Computer Software clause at DFARS
252.227-7013 or subparagraphs (c)(1) and (2) of the Commercial Computer Software -- Restricted Rights at 48
CFR 52.227-19, as applicable. Manufacturer is Microsoft Corporation/One Microsoft Way/Redmond, WA 98052-
6399.
Please see the Warranty and Special Provisions for information concerning governing law.
Product support for the SOFTWARE is not provided by Microsoft Corporation or its subsidiaries. For product sup-
port, please refer to Embedded System Manufacturer's support number provided in the documentation for the em-
bedded system. Should you have any questions concerning this Agreement, or if you desire to contact Embedded
System Manufacturer for any other reason, please refer to the address provided in the documentation for your
embedded system.
FOR THE LIMITED WARRANTY AND SPECIAL PROVISIONS PERTAINING TO YOUR COUNTRY, PLEASE
REFER TO EMBEDDED SYSTEM DOCUMENTATION OR THE WARRANTY AND SPECIAL PROVISIONS
BOOKLET INCLUDED IN THIS PACKAGE.
APPENDIX
WARRANTY AND SPECIAL PROVISIONS
LIMITED WARRANTY
LIMITED WARRANTY. Embedded System Manufacturer warrants that (a) the SOFTWARE will perform substan-
tially in accordance with the accompanying written materials for a period of ninety (90) days from the date of re-
ceipt. Any implied warranties on the SOFTWARE are limited to ninety (90) days. Some states/jurisdictions do not
allow limitations on duration of an implied warranty, so the above limitation may not apply to you.
CUSTOMER REMEDIES. Embedded System Manufacturer's and its suppliers' entire liability and your exclusive
remedy shall be, at Embedded System Manufacturer's option, either (a) return of the price paid, or (b) repair or
replacement of the SOFTWARE that does not meet the above Limited Warranty and which is returned to Embed-
ded System Manufacturer with a copy of your receipt. This Limited Warranty is void if failure of the SOFTWARE
has resulted from accident, abuse, or misapplication. Any replacement SOFTWARE will be warranted for the re-
mainder of the original warranty period or thirty (30) days, whichever is longer.
NO OTHER WARRANTIES. THE MICROSOFT SOFTWARE PROGRAMS ARE PROVIDED TO THE END
USER "AS IS" WITHOUT WARRANTY OF ANY KIND, EITHER EXPRESSED OR IMPLIED, INCLUDING, BUT
NOT LIMITED TO, WARRANTIES OF MERCHANTABILITY AND FITNESS FOR A PARTICULAR PURPOSE.
THE ENTIRE RISK OF THE QUALITY AND PERFORMANCE OF THE SOFTWARE PROGRAM IS WITH YOU.
NO LIABILITY FOR CONSEQUENTIAL DAMAGES. EMBEDDED SYSTEM MANUFACTURER'S AND ITS SUP-
PLIERS' SHALL NOT BE HELD TO ANY LIABILITY FOR ANY DAMAGES SUFFERED OR INCURRED BY THE
END USER (INCLUDING, BUT NOT LIMITED TO, GENERAL, SPECIAL, CONSEQUENTIAL OR INCIDENTAL
DAMAGES INCLUDING DAMAGES FOR LOSS OF BUSINESS PROFITS, BUSINESS INTERRUPTION, LOSS
OF BUSINESS INFORMATION AND THE LIKE), ARISING FROM OR IN CONNECTION WITH THE DELIVERY,
USE OR PERFORMANCE OF THE SOFTWARE PROGRAM.
SPECIAL PROVISIONS
This Software License Agreement and Warranty are governed by the laws of the State of Washington, U.S.A.

EMC NOTICE
In industrial locations or in proximity to
industrial power installations, this instrument
might be affected by electromagnetic noise.
Under such conditions, please test the
instrument performance befor use.
This is a CLASS A product. Ina domestic
environment this product may cause radio
interference in which case the user may be
required to take adequate measures.

TOPCON CORPORATION
75-1 Hasunuma-cho, Itabashi-ku, Tokyo 174-8580, Japan
Phone: 3-3558-2520 Fax: 3-3960-4214 www.topcon.co.jp
TOPCON POSITIONING SYSTEMS, INC.
5758 West Las Positas Blvd., Pleasanton, CA 94588, U.S.A.
Phone: 925-460-1300 Fax: 925-460-1315 www.topcon.com
TOPCON CALIFORNIA
3380 Industrial Blvd, Suite 105, West Sacramento, CA 95691,
U.S.A.
Phone: 916-374-8575 Fax: 916-374-8329
TOPCON EUROPE B.V.
Essebaan 11, 2908 LJ Capelle a/d IJssel, The Netherlands.
Phone: 010-4585077 Fax: 010-4585045 www.topconeurope.com
TOPCON DEUTSCHLAND G.m.b.H.
Giesserallee 31, 47877 Willich, GERMANY
Phone: 02154-885-100 Fax: 02154-885-111 info@topcon.de
www.topcon.de
TOPCON S.A.R.L.
89, Rue de Paris, 92585 Clichy, Cedex, France.
Phone: 33-1-41069490 Fax: 33-1-47390251 topcon@topcon.fr
TOPCON ESPA
Ñ
A S.A.
Frederic Mompou 5, ED. Euro 3, 08960, Sant Just Desvern, Barcelona, Spain.
Phone: 93-473-4057 Fax: 93-473-3932 www.topconesp.com
TOPCON SCANDINAVIA A. B.
ö
lndal, SWEDEN
Phone: 031-7109200 Fax: 031-7109249
TOPCON (GREAT
BRITAIN) LTD.
Topcon House Kennet Side, Bone Lane, Newbury, Berkshire RG14 5PX U.K.
Phone: 44-1635-551120 Fax: 44-1635-551170
survey.sales@topcon.co.uk laser.sales@topcon.co.uk
TOPCON SOUTH ASIA PTE. LTD.
Blk 192 Pandan Loop, #07-01 Pantech Industrial Complex, Singapore 128381
Phone: 62780222 Fax: 62733540 www.topcon.com.sg
TOPCON AUSTRALIA PTY. LTD.
408 Victoria Road, Gladesville, NSW 2111, Australia
Phone: 02-9817-4666 Fax: 02-9817-4654 www.topcon.com.au
TOPCON INSTRUMENTS (THAILAND) CO., LTD.
77/162 Sinn Sathorn Tower, 37th Fl.,
Krungdhonburi Rd., Klongtonsai, Klongsarn, Bangkok 10600 Thailand.
Phone: 02-440-1152~7 Fax: 02-440-1158
TOPCON INSTRUMENTS (MALAYSIA) SDN. BHD.
Excella Business Park Block C, Ground & 1st Floor, Jalan Ampang Putra,
Taman Ampang Hilir, 55100 Kuala Lumpur, MALAYSIA
Phone: 03-42701068 Fax: 03-42704508
TOPCON KOREA CORPORATION
2F Yooseoung Bldg., 1595-3, Seocho-Dong, Seocho-gu, Seoul, 137-876, Korea.
Phone: 82-2-2055-0321 Fax: 82-2-2055-0319 www.topcon.co.kr
TOPCON OPTICAL (H.K.) LIMITED
2/F., Meeco Industrial Bldg., No. 53-55 Au Pui Wan Street, Fo Tan Road,
Shatin, N.T., Hong Kong
Phone: 2690-1328 Fax: 2690-2221 www.topcon.com.hk
TOPCON CORPORATION BEIJING OFFICE
Room 8A Poly Plaza Building, 14 Dongzhimen Nandajie,
Dongcheng District, Beijing, 100027, China
Phone: 10-6501-4191~2 Fax: 10-6501-4190
TOPCON CORPORATION BEIRUT OFFICE
P. O. BOX 70-1002 Antelias, BEIRUT-LEBANON.
Phone: 961-4-523525/961-4-523526 Fax: 961-4-521119
TOPCON CORPORATION DUBAI OFFICE
C/O Atlas Medical FZCO., P. O. Box 54304, C-25, Dubai Airport Free Zone,UAE
Phone: 971-4-2995900 Fax: 971-4-2995901
IRELAND OFFICE
Unit 69 Western Parkway Business Center
Phone: 01460-0021 Fax: 01460-0129
Lower Ballymount Road, Dublin 12, Lreland
AUTO TRACKING TOTAL STATIO
N
GTS-820A series
64545 90020 GTS-820A Series A 0311 (1A)