Toro WS9 Weather Station WS1 User Manual

Toro Company Weather Station WS1

User Manual

10Warranty InformationThe Toro Company and its affiliate, Toro Warranty Company, pursuant to an agreement between them, jointly warrants, to the owner, against defects in material and workmanship for a period of one year from the date of purchase.Neither The Toro Company nor Toro Warranty Company is liable for failure of products not manufactured by them even though such products may be sold or used in conjunction with Toro products.During such warranty period, we will repair or replace, at our option, any part found to be defective.Return the defective part to the place of purchase.Our liability is limited solely to the replacement or repair of defective parts. There are no other express warranties.This warranty does not apply where equipment is used, or installation is performed, in any manner contrary to Toro’s specifications and instructions, nor where equipment is altered or modified.Neither The Toro Company nor Toro Warranty Company is liable for indirect, incidental or consequential damages in connection with the use of equipment, including but not limited to: vegetation loss, the cost of substitute equipment or services required during periods of malfunction or resulting non-use, property damage or personal injury resulting from installer’s negligence.Some states do not allow the exclusion or limitation of incidental or consequential damages, so the above limitation or exclusion may not apply to you.All implied warranties, including those of merchantability and fitness for use, are limited to the duration of this express warranty.Some states do not allow limitations of how long an implied warranty lasts, so the above limitation may not apply to you. This Weather Sensor Doc Rev A.indd   10 12/23/10   3:44 PMWeather Sensor: FCC ID: OF7WS9 • IC ID (Canada): 3575A-WS9                                Smart Pod: FCC ID: OF7SP9 • IC ID (Canada): 3575A-SP9 The changes or modifications not expressly approved by the party responsible for compliance could void  the user's authority to operate the equipment.This device complies with Industry Canada licence-exempt RSS standard(s). Operation is subject to the following two conditions: (1) this device may not  cause interference, and (2) this device must accept any interference, including interference that may cause undesired operation of the device. L ‘ utilisation de ce dispositif est autorisée seulement aux conditions suivantes : (1) il ne doit pas produire de brouillage et (2) l’ utilisateur du dispositif doit étre prêt à accepter tout brouillage radioélectrique reçu, même si ce brouillage est susceptible de compromettre le fonctionnement du dispositif.warranty gives you specific legal rights and you may have other rights which vary from state to state.FCC Information: This equipment generates and uses radio frequency energy and if not installed and used properly, that is, in strict accordance with the manufacturer’s instructions, may cause interference to radio and television reception. It has been type tested and found to comply with the limits for a FCCClass B computing device in accordance with the specifications in Subpart J of Part 15 of FCC Rules, which are designed to provide reasonable protection against such interference in a residential installation. However, there is no guarantee that interference will not occur in a particular installation. If this equip-ment does cause interference to radio or television reception, which can be determined by turning the equipment off and on, the user is encouraged to try to correct the interference by one or more of the following measures:• Reorient the receiving antenna• Relocate the irrigation controller with respect to the receiver• Move the irrigation controller away from the receiver• Plug the irrigation controller into a different outlet so that the irrigation controller and receiver are on different branch circuits.If necessary, the user should consult the dealer or an experienced radio/television technician for additional suggestions. The user may find the following booklet prepared by the Federal Communications Commission helpful: “How to Identify and Resolve Radio-TV Interference Problems.”This booklet is available from the U.S. Government Printing Office, Washington, DC 20402. Stock No. 004-000-00345-4 International: This is a CISPR 22 Class B product.
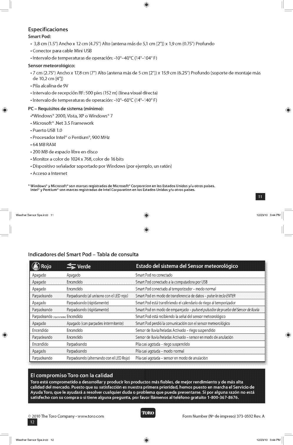
10Información sobre la garantíaThe Toro Company y su afiliado, Toro Warranty Company, bajo un acuerdo entre sí, garantizan conjuntamente este producto al propietario contra defectos de materiales o mano de obra durante un periodo de un año a partir de la fecha de la compra.Ni The Toro Company ni Toro Warranty Company son responsables de la falla de productos no fabricados por ellos, aun cuando dichos productos se vendan o utilicen conjuntamente con productos Toro.Durante el periodo de garantía, repararemos o sustituiremos a nuestra discreción cualquier pieza que resulte ser defectuosa.Devuelva la pieza defectuosa al lugar de la compra.Nuestra responsabilidad se limita exclusivamente a la sustitución o la reparación de piezas defectuosas. No existe ninguna otra garantía expresa.Esta garantía no tendrá validez en los casos en que el equipo se use, o la instalación se haya realizado, de una manera contraria a las especificaciones o instrucciones de Toro, así como tampoco si el equipo ha sido alterado o modificado.Ni The Toro Company ni Toro Warranty Company son responsables de daños indirectos, incidentales o consecuentes respecto al uso de los equipos, incluyendo pero sin limitarse a: la pérdida de masa vegetal, el costo de equipos o servicios sustitutorios necesarios durante períodos de avería o la pérdida consiguiente de uso, daños materiales o lesiones personales que son el resultado de la negligencia del instalador.Algunos estados no permiten la exclusión de daños incidentales o consecuentes, y por tanto esta exclusión puede no ser aplicable en su caso.Cualquier garantía implícita, incluyendo las de comerciabilidad y aptitud para un uso determinado, queda limitada a la vigencia de esta garantía expresa.Algunos estados no permiten limitaciones a la vigencia de una garantía implícita, y por tanto esta exclusión puede no ser aplicable en su caso. Esta garantía le otorga derechos legítimos específicos, y es posible que usted tenga otros derechos que varían de un estado a otro.Información FCC: Este equipo genera y utiliza radiofrecuencias y, si no se instala y utiliza de modo apropiado, es decir, en estricta conformidad con las instrucciones del fabricante, puede provocar interferencias en la recepción de radio y televisión. Se ha comprobado y verificado que cumple los límites de un dispositivo informático FCC Clase B de acuerdo con las especificaciones de la Subparte J de la Parte 15 de las Normas FCC, diseñadas para proporcionar una protección razonable contra dichas interferencias en una instalación residencial. No obstante, no hay garantía alguna de que no pueda haber interferencias en una instalación determinada. Si este equipo provoca alguna interferencia en la recepción de radio o televisión (lo que podrá comprobar apagando y encendiendo el equipo), se recomienda al usuario que corrija la interferencia aplicando una o varias de las siguientes medidas:• Vuelva a orientar la antena receptora• Varíe la posición del controlador de riego respecto al receptor• Aleje el controlador de riego del receptor• Enchufe el controlador de riego en una toma diferente, de modo que el controlador y el receptor se hallen en diferentes circuitos derivadosSi es necesario, el usuario debe consultar al distribuidor o a un técnico experto en radio/televisión. Al usuario puede resultarle útil el siguiente folleto preparado por  la Federal Communications Commission (Comisión Federal de Comunicaciones) de EE. UU.: "How To Identify and Resolve Radio-TV Interference Problems"  (Cómo identificar y resolver problemas de interferencia en radios/TV). Puede solicitar este folleto a la U.S. Government Printing Office, Washington, DC 20402. Artículo Nº 004-000-00345-4 Internacional: Éste es un producto CISPR 22 Clase B.Weather Sensor Spa.indd   10 12/23/10   3:44 PMSensor meteorológico: ID FCC: OF7WS9 • ID IC (Canadá): 3575A-WS9              Smart Pod: ID FCC: OF7SP9 • ID IC (Canadá): 3575A-SP9 This device complies with Industry Canada licence-exempt RSS standard(s). Operation is subject to the following two conditions: (1) this device may not  cause interference, and (2) this device must accept any interference, including interference that may cause undesired operation of the device. L ‘ utilisation de ce dispositif est autorisée seulement aux conditions suivantes : (1) il ne doit pas produire de brouillage et (2) l’ utilisateur du dispositif doit étre prêt à accepter tout brouillage radioélectrique reçu, même si ce brouillage est susceptible de compromettre le fonctionnement du dispositif.The changes or modifications not expressly approved by the party responsible for compliance could void  the user's authority to operate the equipment.

Navigation menu