Trane Rt Ds 10 Users Manual Packaged Rooftop Air Conditioners Voyager Commercial, 23 To 42 Ton, PDF Product Catalog (RT 10)
RT-DS-10 rtds10
RT-DS-10 to the manual 83977174-0008-43f4-b392-c7ab7b8a4dfa
2015-01-21
: Trane Trane-Rt-Ds-10-Users-Manual-236120 trane-rt-ds-10-users-manual-236120 trane pdf
Open the PDF directly: View PDF
.
Page Count: 44

RT-DS-10
April 1999
Packaged
Rooftop
Air Conditioners
23 to 42 Ton (81-148 kW)
Voyager
Commercial 50 HZ

2
©American Standard Inc. 1999
Features
and
Benefits
Over the years the Voyager product
line has developed into the most
complete line of commercial packaged
units available. We were first with the
Micro when we developed micro-
electronic unit controls and we move
ahead again with Voyager Commercial
products.
Five new sizes from 23-42 tons (81-148
kW) meet the needs of the changing
commercial rooftop marketplace.
Our customers demand units that will
have exceptional reliability, meet
stringent performance requirements,
and be competitively priced. These
same requirements drove the design of
the original light commercial Voyager
and have been carried forward into
Voyager Commercial.
Voyager Commercials features and
benefits are comprised of cutting edge
technologies like the reliable 3-D
Scroll compressor, Trane engineered
microprocessor controls, computer-
aided run testing, and Integrated
Comfort systems. So, whether youre
the contractor, the engineer, or the
owner you can be certain that when
youve chosen Voyager Commercial,
youve chosenSimply the best value!

3
ContentsContents
Optional Features
Electric heat
Natural gas heat
LP gas heat (kit only)
Power exhaust
Barometric relief
High efficiency 2 (51 mm) throwaway
filters
High efficiency 4 (102 mm) throwaway
filters
High efficiency supply fan motors
Manual fresh air damper
Economizer with dry bulb control
Economizer with reference enthalpy
control
Economizer with differential
(comparative) enthalpy control
Inlet guide vanes on VAV units
Service valves
Through-the-base electrical provision
Factory mounted disconnect with
external handle (non-fused)
Integrated Comfort system control
option
Ventilation override
Hinged service access
Factory installed condenser
coil guards
Standard Features
Factory installed and commissioned
microelectronic controls
Trane 3-D Scroll compressors
Dedicated downflow or horizontal
configuration
CV or VAV control
FROSTAT coil frost protection on all
units
Supply air overpressurization
protection on VAV units
Supply airflow proving
Emergency stop input
Compressor lead-lag
Occupied-unoccupied switching
Timed override activation
FC supply fans
Two-inch (51 mm) standard efficiency
filters
Finish exceeds salt spray requirements
of ASTM B117
Features and Benefits 2
Model Number Description 9
General Data 10
Application Considerations 13
Selection Procedure 15
Performance Adjustment Factors
17
Performance Data 18
Electrical Data 30
Controls 32
Dimensional Data 35
Weights 38
Field Installed Sensors 39
Mechanical Specifications 42

4
One of two matched scroll plates the
distinguishing feature of the scroll
compressor.
Chart illustrates low torque variation of
3-D Scroll compressors reciprocating
compressor.
Trane 3-D® Scroll Compressor
Simple Design with 70% Fewer Parts
Fewer parts than an equal capacity
reciprocating compressor means
significant reliability and efficiency
benefits. The single orbiting scroll
eliminates the need for pistons,
connecting rods, wrist pins and valves.
Fewer parts lead to increased reliability.
Fewer moving parts, less rotating mass
and less internal friction means greater
efficiency than reciprocating
compressors.
Patented 3-D Scroll Compliance
Trane 3-D Scroll compliance provides
important reliability and efficiency
benefits. 3-D compliance allows the
orbiting scrolls to touch in all three
dimensions, forming a completely
enclosed compression chamber which
leads to increased efficiency. In
addition, 3-D compliance means the
orbiting scrolls only touch with enough
force to create a seal so there is no
wear between the scroll plates. The
fixed and orbiting scrolls are made of
high strength cast iron which results in
less thermal distortion, less leakage,
and higher efficiencies. The most
outstanding feature of the scroll
compressor 3-D compliance is that the
slugging will not cause failure. In a
reciprocating compressor, however, the
liquid or dirt can cause serious
damage.
Low Torque Variation
The 3-D Scroll compressor has a very
smooth compression cycle with torque
variations that are only 30 percent of
that produced by a reciprocating
compressor. This means the scroll
compressor imposes very little stress
on the motor for greater reliability. Low
torque variation means reduced noise
and vibration.
Suction Gas Cooled Motor
Compressor motor efficiency and
reliability is further optimized with this
design. Cool suction gas keeps the
motor cooler for longer life and better
efficiency.
Proven Design Through Testing and
Research
With over twenty years of development
and testing, Trane 3-D Scroll
compressors have undergone more
than 400,000 hours of laboratory
testing and field operation. This work
combined with over 25 patents makes
Trane the worldwide leader in air
conditioning scroll compressor
technology.
Features
and
Benefits

5
Features
and
Benefits
Micro Controls
For over 10 years Trane has been
working with microprocessor controls
in the applied equipment markets.
These designs have provided the
technology that has been applied to the
Voyager units.
The Micro provides unit control for
heating, cooling and ventilating
utilizing input from sensors that
measure outdoor and indoor
temperature.
The Micro improves quality and
reliability through the use of time-
tested microprocessor controls and
logic. The Micro:
prevents the unit from short cycling,
considerably improving compressor
life.
ensures that the compressor will run
for a specific amount of time which
allows oil to return for better
lubrication, enhancing the reliability of
the commercial compressor.
The Voyager with the Micro reduces
the number of components required to
operate the unit, thereby reducing
possibilities for component failure.
Quality and Reliability
Drum and Tube Heat Exchanger
The drum and tube heat exchanger is
designed for increased efficiency and
reliability and has utilized improved
technology incorporated in the large
roof top commercial units for almost
20 years.
The heat exchanger is manufactured
using aluminized steel with stainless
steel components for maximum
durability. The requirement for cycle
testing of heat exchangers is 10,000
cycles by ANSI Z21.47. This is the
standard required by both UL* and
AGA* for cycle test requirements.
Trane requires the design to be tested
to 21/2 times this current standard. The
drum and tube design has been tested
and passed over 150,000 cycles which
is over 15 times the current ANSI
cycling requirements.
*Apply to 60 HZ testing standards only.
The negative pressure gas valve will
not allow gas flow unless the
combustion blower is operating. This is
one of our unique safety features.
The forced combustion blower supplies
premixed fuel through a single
stainless steel burner screen into a
sealed drum where ignition takes place.
It is more reliable to operate and
maintain than a multiple burner
system.
The hot surface ignitor is a gas ignition
device which doubles as a safety
device utilizing a continuous test to
prove the flame. The design is cycle
tested at the factory for quality and
reliability.
Forced Combustion Blower
Negative Pressure Gas Valve
Hot Surface Ignitor
Drum and Tube Heat Exchanger

6
Features
and
Benefits
Excellent Part-Load Efficiency
The Scroll compressors unique design
allows it to be applied in a passive
parallel manifolded piping scheme,
something that a recip just doesnt
do very well.
When the unit begins stage back at part
load it still has the full area and circuitry
of its evaporator and condenser coils
available to transfer heat. In simple
terms this means superior part-load
efficiencies (IPLV) and lower unit
operating costs.
FC Fans with Inlet Guide Vanes
Tranes forward-curved fans with inlet
guide vanes pre-rotate the air in the
direction of the fan wheel, decreasing
static pressure and horsepower,
essentially unloading the fan wheel.
The unloading characteristics of a
Trane FC fan with inlet guide vanes
result in superior part load
performance.
Rigorous Testing
All of Voyagers designs were
rigorously rain tested at the factory to
ensure water integrity.
Actual shipping tests are performed to
determine packaging requirements.
Units are test shipped around the
country. Factory shake and drop tested
as part of the package design process
to help assure that the unit will arrive at
your job site in top condition.
Rigging tests include lifting a unit into
the air and letting it drop one foot,
assuring that the lifting lugs and rails
hold up under stress.
We perform a 100% coil leak test at the
factory. The evaporator and condenser
coils are leak tested at 200 psig and
pressure tested to 450 psig.
All parts are inspected at the point of
final assembly. Sub-standard parts are
identified and rejected immediately.
Every unit receives a 100% unit run test
before leaving the production line to
make sure it lives up to rigorous Trane
requirements.
Ease of Installation
Contractors look for lower installation
(jobsite) costs. Voyagers
conversionless units provide many
time and money saving features.
Conversionless Units
The dedicated design units (either
downflow or horizontal) require no
panel removal or alteration time to
convert in the field a major cost
savings during installation.
Improved Airflow
U-shaped airflow allows for improved
static capabilities. The need for high
static motor conversion is minimized
and time isnt spent changing to high
static oversized motors.
Single Point Power
A single electrical connection powers
the unit.
Micro
The function of the Micro replaces the
need for field installed anti-short-cycle
timer and time delay relays. The Micro
ensures that these controls are integral
to the unit. The contractor no longer
has to purchase these controls as
options and pay to install them.
The wiring of the low voltage
connections to the unit and the zone
sensors is as easy as 1-1, 2-2, and 3-3.
This simplified system makes it easier
for the installer to wire.

7
Features
and
Benefits
Serviceability
Todays owners are more conscious of
the cost of service and maintenance.
Voyager was designed with input from
service contractors. Their information
helped us design a unit that would get
the serviceman off the job quicker and
save the owner money. Here is why
Voyager can save money in service.
Voyagers Simpler Design
The Voyager design uses fewer parts
than previous units. Since it is simpler
in design, it is easier to diagnose.
Micro
The Micro requires no special tools to
run the Voyager unit through its paces.
Simply place a jumper between Test 1
and Test 2 terminals on the Low
Voltage Terminal Board and the unit
will walk through its operational steps
automatically.
The unit automatically returns control
to the zone sensor after stepping
through the test mode a single time,
even if the jumper is left on the unit.
As long as the unit has power and the
system on LED is lit, the Micro is
operational. The light indicates that the
Micro is functioning properly.
The Micro features expanded
diagnostic capabilities when utilized
with Tranes Integrated Comfort
Systems.
Some zone sensor options have central
control panel lights which indicate the
mode the unit is in and possible
diagnostic information (dirty filters for
example).
Easy Access Low Voltage
Terminal Board
Voyagers Low Voltage Terminal Board
is external to the electrical control
cabinet. It is extremely easy to locate
and attach the thermostat wire. This is
another cost and timesaving
installation feature.
Value
Low Ambient Cooling
All Voyager Commercial units have
cooling capabilities down to 0°F
(-17.8°C) as standard.
Power Exhaust Option
Provides exhaust of the return air when
using an economizer to maintain
proper building pressurization. Great
for relieving most building
overpressurization problems.
Micro Benefits
The Micro in the Voyager units has
built-in anti-short-cycle timer, time
delay relay and minimum on time
controls. These controls are functions
of the Micro and are factory tested to
assure proper operation.
The Micro softens electrical spikes by
staging on fans, compressors and
heaters.
The Intelligent Fallback or Adaptive
Control is a benefit to the building
occupant. If a component goes astray,
the unit will continue to operate at
predetermined temperature setpoint.
Intelligent Anticipation is a standard
feature of the Micro. It functions
constantly as the Micro and zone
sensor work together in harmony to
provide tighter comfort control than
conventional electromechanical
thermostats.

8
VariTrac
Tranes changeover VAV System for
light commercial applications is also
available. Coupled with Voyager
Commercial, it provides the latest in
technological advances for comfort
management systems and can allow
thermostat control in every zone served
by VariTrac.
Downflow and Horizontal Economizers
The economizers come with three
options of controls (dry bulb, enthalpy
and differential enthalpy).
Trane Communication Interface or TCI
is available factory or field installed.
This module when applied with the
Micro easily interfaces with Tranes
Integrated Comfort system.
Trane factory built roof curbs are
available for all units.
One of Our Finest Assets:
Trane Commercial Sales Engineers are
a Support group that can assist you
with:
Product
Application
Service
Training
Special Applications
Specifications
Computer Programs and more
Features
and
Benefits
VariTrac
CCP

9
Model
Number
Description
TC D 400 A C 0 A 1 A 4 F D 1 A
1,2 3 4,5,6 7 8 9 10 11 12 13 14 15 16 17
Note:
1. All voltages are across-the-line starting only.
2. Option includes Liquid, Discharge, Suction Valves.
3. Supply air fan drives A thru G are used with 22.9-29.2 ton (82-105 kW) units only and
drives H thru N are used with 33.3 and 41.7 ton (120-148 kW) units only.
4. Electric Heat kW ratings are based upon voltage ratings of 380/415 V. Heaters A, B, C, D
are used with 22.9-29.2 ton (82-105 kW) units only and heaters B, C, D, E are used with
33.3-41.7 ton (120-148 kW) units only.
Digits 1, 2 Unit Function
TC = DX Cooling, No Heat
TE = DX Cooling, Electric Heat
YC = DX Cooling, Natural Gas Heat
Digit 3 Unit Airflow Design
D = Downflow Configuration
H = Horizontal Configuration
Digits 4, 5, 6 Nominal Cooling Capacity
275 = 22.9 Tons (82 kW)
305 = 25.4 Tons (89 kW)
350 = 29.2 Tons (105 kW)
400 = 33.3 Tons (120 kW)
500 = 41.7 Tons (148 kW)
Digit 7 Major Development Sequence
A = First
B = Second, Etc.
Digit 8 Power Supply (See Note 1)
C = 380/50/3
D = 415/50/3
Digit 9 Heating Capacity (See Note 4)
0 = No Heat (TC only)
L = Low Heat (YC only)
H = High Heat (YC only)
Note: When second digit is E for Electric
Heat, the following values apply in the
ninth digit.
380V / 415V
A = 23 27 kW
B = 34 40 kW
C = 45 54 kW
D = 56 67 kW
E = 68 81 kW
Digit 10 Design Sequence
A = First
Digit 11 Exhaust
0 = None
1 = Barometric Relief
(Available w/Economizer only)
2 = Power Exhaust Fan
(Available w/Economizer only)
Digit 12 Filter
A = Standard 2 (51 mm) Throwaway Filters
B = High Efficiency 2 (51 mm) Throwaway
Filters
C = High Efficiency 4 (102 mm) Throwaway
Filters
Digit 13 Supply Fan Motor, HP
1 = 7.5 Hp Std. Eff. (5.6 kW)
2 = 10 Hp Std. Eff. (7.5 kW)
3 = 15 Hp Std. Eff. (11.2 kW)
4 = 20 Hp Std. Eff. (14.9 kW)
Digit 14 Supply Air Fan Drive Selections
(See Note 3)
A = 458 H = 417
B = 500 J = 437
C = 541 K = 479
D = 583 L = 521
E = 625 M = 562
F = 658 N = 604
G = 664
Digit 15 Fresh Air Selection
A = No Fresh Air
B = 0-25% Manual Damper
C = 0-100% Economizer, Dry Bulb Control
D = 0-100% Economizer, Reference
Enthalpy Control
E = 0-100% Economizer, Differential
Enthalpy Control
F = C Option and Low Leak Fresh
Air Damper
G = D Option and Low Leak Fresh
Air Damper
H = E Option and Low Leak Fresh
Air Damper
Digit 16 System Control
1 = Constant Volume
2 = VAV Supply Air Temperature Control
w/o Inlet Guide Vanes
3 = VAV Supply Air Temperature Control
w/Inlet Guide Vanes
Note: Zone sensors are not included with
option and must be ordered as a separate
accessory.
Digit 17+ Miscellaneous
A = Service Valves (See Note 2)
B = Through the Base Electrical Provision
C = Non-Fused Disconnect Switch with
External Handle
D = Factory-Powered 15A GFI
Convenience Outlet and Non-Fused
Disconnect Switch with
External Handle
E = Field-Powered 15A GFI
Convenience Outlet
F = ICS Control Option Trane
Communication Interface, Supply Air
Sensing and Clogged Filter Switch
G = Ventilation Override
H = Hinged Service Access
J = Condenser Coil Guards

10
Table 10-1 General Data 23-25 Tons
TC*275 (23 Tons) TC*305 (25 Tons)
Cooling Performance1
Nominal Gross Capacity(Btuh) 279,000 (81.8 kW) 304,000 (89.1 kW)
System Power kW 26.1 30.2 kW
Compressor
Number/Type 2/Scroll 2/Scroll
Nominal Motor HP (ea) 8.4/12.5 11.7
Motor RPM 2875 2875
Natural Gas Heat2Low High Low High
Heating Input(Btuh) 290,000 (85.0 kW) 500,000 (147 kW) 290,000 (85.0 kW) 500,000 (147 kW)
First Stage 250,000 (73.3 kW) 425,000 (125 kW) 250,000 (73.3 kW) 425,000 (125 kW)
Heating Output(Btuh) 243,000 (69.0 kW) 405,000 (119 kW) 243,000 (69.0 kW) 405,000 (119 kW)
First Stage 202,500 (59.4 kW) 344,250 (101 kW) 202,500 (59.4 kW) 344,250 (101 kW)
Steady State Efficiency(%) 381 81
No. Burners/No. Stages 1/2 1/2
Gas Connect Pipe Size (in) 0.75 (19 mm) 0.75 (19 mm)
Outdoor Coil - Type LANCED LANCED
Tube Size OD (in) 0.375 (10 mm) 0.375 (10 mm)
Face Area (sq ft) 51.3 (4.8 sq m) 51.3 (4.8 sq m)
Rows/Fins Per Inch (25mm) 2/16 2/16
Indoor Coil - Type HI-PERFORM HI-PERFORM
Tube Size OD (in) 0.500 (13 mm) 0.500(13 mm)
Face Area (sq ft) 31.7 (2.9 sq m) 31.7 (2.9 sq m)
Rows/Fins Per Inch (25mm) 2/14 2/14
Refrigerant Control TXV TXV
PVC Drain Connect No./Size (in) 1/1.25 (1/32 mm) 1/1.25 (1/32 mm)
Outdoor Fan Type PROP FAN PROP FAN
No. Used 3 3
Diameter (in.) 28.0 (711 mm) 28.0 (711 mm)
Drive Type/No. Speeds DIRECT/1 DIRECT/1
Cfm 20,450 (9650 L/s) 20,450 (9650 L/s)
No. Motors (RPM) 3 (940) 3 (940)
Motor HP 0.75 (0.56 kW) 0.75 (0.56 kW)
Indoor Fan Type/No. Used FC/1 FC/1
Diameter (in) 22.4 (568 mm) 22.4 (568 mm)
Width (in) 22.0 (559 mm) 22.0 (559 mm)
Drive Type BELT BELT
No. Speeds/No. Motors 1/1 1/1
Motor HP 7.5 (5.6 kW) 7.5 (5.6 kW)
Motor RPM/Frame Size 1460/213T 1460/213T
Filters - Type THROWAWAY THROWAWAY
Furnished/No. Yes/16 Yes/16
Recommended Size (in) 16X 20 X2 (406X 508 X51mm) 16x20x2 (406X 508x51mm)
Refrigerant Type R-22 R-22
Factory Charge (lbs) 446 (21 kg) 46 (21 kg)
Notes:
1. Cooling Performance is rated at 95°F (35°C) ambient, 80°F (27°C) entering dry bulb, 67°F (19°C) entering wet bulb. Gross capacity does not include the effect of
fan motor heat.
2. Heating Performance Limit settings and ratings data were established and approved under laboratory test conditions using American National Standards.
3. Steady State Efficiency is rated in accordance with DOE test procedures.
4. Refrigerant charge is an approximate value. For a more precise value, see unit nameplate and service instructions.
General
Data

11
Table 11-1 General Data 29-33 Tons
TC*350 (29 Tons) TC*400 (33 Tons)
Cooling Performance1
Nominal Gross Capacity(Btuh) 375,000 (105 kW) 409,000 (120 kW)
System Power kW 34.0 42.5
Compressor
Number/Type 2/Scroll 3/Scroll
Nominal Motor HP (ea) 12.5 2@11.7/8.4
Motor RPM 2875 2875
Natural Gas Heat2Low High Low High
Heating Input (Btuh) 290,000 (85.0 kW) 500,000 (147 kW) 335,000 (98.2 kW) 670,000 (196 kW)
First Stage 250,000 (73.3 kW) 425,000 (125 kW) 300,000 (87.9 kW) 600,000 (176 kW)
Heating Output(Btuh) 243,000 (69.0 kW) 405,000 (119 kW) 271,350 (80.0 kW) 542,700 (159 kW)
First Stage 202,500 (59.4 kW) 344,250 (101 kW) 243,500 (71.4 kW) 486,000 (166 kW)
Steady State Efficiency(%)381 81
No. Burners/No. Stages 1/2 1/2
Gas Connect Pipe Size (in) 0.75 (19 mm) 0.75 (19 mm)
Outdoor Coil - Type LANCED LANCED
Tube Size OD (in) 0.375 (10 mm) 0.375 (10 mm)
Face Area (sq ft) 51.3 (4.8 sq m) 69.8 (6.5 sq m)
Rows/Fins Per Inch (25mm) 2/16 2/16
Indoor Coil - Type HI-PERFORM HI-PERFORM
Tube Size (in) OD 0.500 (13 mm) 0.500 (13 mm)
Face Area (sq ft) 31.7 (2.9 sq m) 37.5 (3.5 sq m)
Rows/Fins Per Inch (25mm) 2/15 2/14
Refrigerant Control TXV TXV
PVC Drain Connect No./Size (in) 1/1.25 (1/32 mm) 1/1.25 (1/32 mm)
Outdoor Fan Type PROP FAN PROP FAN
No. Used 3 4
Diameter (in.) 28.0 (711 mm) 28.0 (711 mm)
Drive Type/No. Speeds DIRECT/1 DIRECT/1
Cfm 20,400 (9650 L/s) 26,200 (12,400 L/s)
No. Motors (RPM) 3 (940) 4 (940)
Motor HP 0.75 (0.56 kW) 0.75 (0.56 kW)
Indoor Fan Type/No. Used FC/1 FC/1
Diameter (in) 22.4 (568 mm) 25.0 (635 mm)
Width (in) 22.0 (559 mm) 25.0 (635 mm)
Drive Type BELT BELT
No. Speeds/No. Motors 1/1 1/1
Motor HP 7.5 (5.6 kW) 10.0 (7.5 kW)
Motor RPM/Frame Size 1460/213T 1460/215T
Filters - Type THROWAWAY THROWAWAY
Furnished/No. Yes/16 Yes/17
Recommended Size (in) 16x20x2 (406x508x51mm) 16X 20 X2 (406X 508 X51mm)
Refrigerant Type R-22 R-22
Factory Charge Ciruit #1 (lbs) 452 (24 kg) 24.5 (11.1 kg)
Factory Charge Circuit # 2 (lbs) 42.5 (19.3 kg)
Notes:
1. Cooling Performance is rated at 95°F (35°C) ambient, 80°F (27°C) entering dry bulb, 67°F (19°C) entering wet bulb. Gross capacity does not include the effect of
fan motor heat.
2. Heating Performance Limit settings and ratings data were established and approved under laboratory test conditions using American National Standards.
3. Steady State Efficiency is rated in accordance with DOE test procedures.
4. Refrigerant charge is an approximate value. For a more precise value, see unit nameplate and service instructions.
General
Data

12
General
Data
Table 12-1 General Data 43 Tons
TC*500 (42Tons)
Cooling Performance 1
Nominal Gross Capacity(Btuh) 505,000 (148 kW)
System Power kW 52.9
Compressor
Number/Type 3/Scroll
Nominal Motor HP (ea) 12.5
Motor RPM 2875
Natural Gas Heat2Low High
Heating Input(Btuh) 335,000 (98.2 kW) 670,000 (196 kW)
First Stage 300,000 (87.9 kW) 600,000 (176 kW)
Heating Output(Btuh) 271,350 (79.5 kW) 542,700 (159 kW)
First Stage 243,500 (71.4 kW) 486,000 (166 kW)
Steady State Efficiency(%)381
No. Burners/No. Stages 1/2
Gas Connect Pipe Size (in) 0.75 (19 mm)
Outdoor Coil - Type LANCED
Tube Size OD (in) 0.375 (10 mm)
Face Area(sq ft) 69.8 (6.5 sq m)
Rows/Fins Per Inch (25mm) 2/16
Indoor Coil - Type HI-PERFORM
Tube Size OD (in) 0.500 (13 mm)
Face Area (sq ft) 37.5 (3.5 sq m)
Rows/Fins Per Inch (25mm) 3/13
Refrigerant Control TXV
PVC Drain Connect No./Size (in) 1/1.25 (1/32 mm)
Outdoor Fan Type PROP FAN
No. Used 4
Diameter (in.) 28.0 (711 mm)
Drive Type/No. Speeds DIRECT/1
Cfm 26,200 (12,400 L/s)
No. Motors (RPM) 4 (940)
Motor HP 0.75 (0.56 kW)
Indoor Fan Type/No. Used FC/1
Diameter (in) 25.0 (635 mm)
Width (in) 25.0 (635 mm)
Drive Type BELT
No. Speeds/No. Motors 1/1
Motor HP 10.0 (7.5 kW)
Motor RPM/Frame Size 1460/215T
Filters - Type THROWAWAY
Furnished/No. Yes/17
Recommended Size (in) 16x20x2 (406x508x51mm)
Refrigerant Type R-22
Factory Charge Circuit #1 (lbs) 423.9 (10.8 kg)
Factory Charge Circuit #1 49.4 (22.5 kg )
Notes:
1. Cooling Performance is rated at 95°F (35°C) ambient, 80°F (27°C) entering dry bulb, 67°F (19°C) entering
wet bulb. Gross capacity does not include the effect of fan motor heat.
2. Heating Performance Limit settings and ratings data were established and approved under laboratory
test conditions using American National Standards.
3. Steady State Efficiency is rated in accordance with DOE test procedures.
4. Refrigerant charge is an approximate value. For a more precise value, see unit nameplate and service
instructions.
Table 12-2 Economizer Outdoor Air Damper Leakage (Of Rated Airflow)
∆P Across Dampers (In. WC) (Pa)
0.5 In. (124.5 Pa) 1.0 In. (249 Pa)
Standard 1.5% 2.5%
Optional Low Leak 0.5% 1.0%
Note: Above data based on tests completed in accordance with AMCA Standard 575.

13
Application
Considerations
Exhaust Air Options
When is it necessary to provide
building exhaust?
Whenever an outdoor air economizer is
used, a building generally requires an
exhaust system. The purpose of the
exhaust system is to exhaust the
proper amount of air to prevent over or
under-pressurization of the building.
A building may have all or part of its
exhaust system in the rooftop unit.
Often, a building provides exhaust
external to the air conditioning
equipment. This external exhaust must
be considered when selecting the
rooftop exhaust system.
Voyager Commercial rooftop units
offer two types of exhaust systems:
1
Power exhaust fan.
2
Barometric relief dampers.
Application Recommendations
Power Exhaust Fan
The exhaust fan option is a dual, non-
modulating exhaust fan with
approximately half the air-moving
capabilities of the supply fan system.
The experience of The Trane Company
that a non-modulating exhaust fan
selected for 40 to 50 percent of nominal
supply cfm can be applied successfully.
The power exhaust fan generally
should not be selected for more than
40 to 50 percent of design supply
airflow. Since it is an on/off non-
modulating fan, it does not vary
exhaust cfm with the amount of
outside air entering the building.
Therefore, if selected for more than
40 to 50 percent of supply airflow, the
building may become under-
pressurized when economizer
operation is allowing lesser amounts of
outdoor air into the building. If,
however, building pressure is not of a
critical nature, the non-modulating
exhaust fan may be sized for more than
50 percent of design supply airflow.
Barometric Relief Dampers
Barometric relief dampers consist of
gravity dampers which open with
increased building pressure. As the
building pressure increases, the
pressure in the unit return section also
increases, opening the dampers and
relieving air. Barometric relief may be
used to provide relief for single story
buildings with no return ductwork and
exhaust requirements less than
25 percent.
Altitude Corrections
The rooftop performance tables and
curves of this catalog are based on
standard air (.075 lbs/ft) (.034 kg/cm). If
the rooftop airflow requirements are at
other than standard conditions (sea
level), an air density correction is
needed to project accurate unit
performance.
Figure 17-1 shows the air density ratio
at various temperatures and elevations.
Trane rooftops are designed to operate
between 40 and 90°F (4.4 and 32.2°C)
leaving air temperature.
The procedure to use when selecting a
supply or exhaust fan on a rooftop for
elevations and temperatures other than
standard is as follows:
1
First, determine the air density ratio
using Figure 17-1.
2
Divide the static pressure at the
nonstandard condition by the air
density ratio to obtain the corrected
static pressure.
3
Use the actual cfm and the corrected
static pressure to determine the fan
rpm and bhp from the rooftop
performance tables or curves.
4
The fan rpm is correct as selected.
5
Bhp must be multiplied by the air
density ratio to obtain the actual
operating bhp.
In order to better illustrate this
procedure, the following example is
used:
Consider a 29-ton (105 kW) rooftop unit
that is to deliver 9,160 actual cfm (4323
l/s) at 1.50 inches total static pressure
(tsp) (38 mm, 373 Pa), 55°F (12.8°C)
leaving air temperature, at an elevation
of 5,000 ft. (1524 m).
1
From Figure 17-1, the air density ratio
is 0.86.
2
Tsp = 1.50 inches/0.86 = 1.74 inches tsp.
374/.86 = 434 Pa.
3
From the performance tables: a 29-ton
(105 kW) rooftop will deliver 9,160 cfm
at 1.74 inches tsp 4323 l/s at 434 Pa) at
651 rpm and 5.51 bhp (4.11 kW).
4
The rpm is correct as selected
651 rpm.
5
Bhp = 5.51 x 0.86 = 4.74 bhpactual.
kW = 4.11 x 0.86 = 3.5 kW
Compressor MBh, SHR, and kW should
be calculated at standard and then
converted to actual using the correction
factors in Table 17-2. Apply these
factors to the capacities selected at
standard cfm so as to correct for the
reduced mass flow rate across the
condenser.
Heat selections other than gas heat will
not be affected by altitude. Nominal
gas capacity (output) should be
multiplied by the factors given in
Table 17-3 before calculating the
heating supply air temperature.

14
Application
Considerations
Acoustical Considerations
Proper placement of rooftops is critical
to reducing transmitted sound levels to
the building. The ideal time to make
provisions to reduce sound
transmissions is during the design
phase. And the most economical
means of avoiding an acoustical
problem is to place the rooftop(s) away
from acoustically critical areas. If
possible, rooftops should not be
located directly above areas such as:
offices, conference rooms, executive
office areas and classrooms. Instead,
ideal locations might be over corridors,
utility rooms, toilets or other areas
where higher sound levels directly
below the unit(s) are acceptable.
Several basic guidelines for unit
placement should be followed to
minimize sound transmission through
the building structure:
1
Never cantilever the compressor end of
the unit. A structural cross member
must support this end of the unit.
2
Locate the units center of gravity
close to or over column or main
support beam.
3
If the roof structure is very light,
roof joists must be replaced by a
structural shape in the critical areas
described above.
4
If several units are to be placed on one
span, they should be staggered to
reduce deflection over that span.
It is impossible to totally quantify the
effect of building structure on sound
transmission, since this depends on the
response of the roof and building
members to the sound and vibration of
the unit components. However, the
guidelines listed above are experience-
proven guidelines which will help
reduce sound transmissions.
Clearance Requirements
The recommended clearances
identified with unit dimensions should
be maintained to assure adequate
serviceability, maximum capacity and
peak operating efficiency. A reduction
in unit clearance could result in
condenser coil starvation or warm
condenser air recirculation. If the
clearances shown are not possible on a
particular job, consider the following:
Do the clearances available allow for
major service work such as changing
compressors or coils?
Do the clearances available allow for
proper outside air intake, exhaust air
removal and condenser airflow?
If screening around the unit is being
used, is there a possibility of air
recirculation from the exhaust to the
outside air intake or from condenser
exhaust to condenser intake?
Actual clearances which appear
inadequate should be reviewed with a
local Trane sales engineer.
When two or more units are to be
placed side by side, the distance
between the units should be increased
to 150 percent of the recommended
single unit clearance. The units should
also be staggered as shown for two
reasons:
1
To reduce span deflection if more than
one unit is placed on a single span.
Reducing deflection discourages sound
transmission.
2
To assure proper diffusion of exhaust
air before contact with the outside air
intake of adjacent unit.
Duct Design
It is important to note that the rated
capacities of the rooftop can be met
only if the rooftop is properly installed
in the field. A well designed duct
system is essential in meeting these
capacities.
The satisfactory distribution of air
throughout the system requires that
there be an unrestricted and uniform
airflow from the rooftop discharge
duct. This discharge section should be
straight for at least several duct
diameters to allow the conversion of
fan energy from velocity pressure to
static pressure.
However, when job conditions dictate
elbows be installed near the rooftop
outlet, the loss of capacity and static
pressure may be reduced through the
use of guide vanes and proper
direction of the bend in the elbow. The
high velocity side of the rooftop outlet
should be directed at the outside radius
of the elbow rather than the inside.

15
Selection
Procedure
Selection of Trane commercial air
conditioners is divided into five basic
areas:
1
Cooling capacity
2
Heating capacity
3
Air delivery
4
Unit electrical requirements
5
Unit designation
Factors Used In Unit Cooling Selection:
1
Summer design conditions 95 DB/
76 WB (35/24.4°C), 95°F (35°C) entering
air to condenser.
2
Summer room design conditions
76 DB/66 WB (24.4/18.9°C).
3
Total peak cooling load 270 MBh
(79 kW) (22.5 tons).
4
Total peak supply cfm 10,000 cfm
(4720 l/s).
5
External static pressure 1.0 inches wc
(249 Pa).
6
Return air temperatures 80 DB/66°F
WB (26.7/18.9°C).
7
Return air cfm 3540 cfm (1671 l/s).
8
Outside air ventilation cfm and load
1000 cfm and 15.19 MBh (1.27 tons or
4.45 kW) 472 l/s.
9
Unit accessories include:
a
Aluminized heat exchanger high heat
module.
b
2 Hi-efficiency throwaway filters.
c
Exhaust fan.
d
Economizer cycle.
Step 1 A summation of the peak
cooling load and the outside air
ventilation load shows: 22.5 tons + 1.27
tons = 23.77 (79 kW + 4.45 kW = 83.45)
required unit capacity. From Table 19-1,
25 ton (89 kW) unit capacity at 80 DB/67
WB (27/19°C), 95°F entering the
condenser and 10,000 total peak supply
cfm (4720 l/s), is YC/TC/TE*305.
Step 2 Having selected the correct
unit, the supply fan and exhaust fan
motor bhp must be determined.
Supply Air Fan:
Determine unit static pressure at
design supply cfm:
External static pressure 1.25 inches
(310 Pa)
Heat exchanger
(Table 28-1) .12 inches
(30 Pa)
High efficiency filter 2 (25 mm)
(Table 28-1) .07 inches
(17 Pa)
Economizer
(Table 28-1) .07 inches
(17 Pa)
Unit total static pressure 1.50 inches
(374 Pa)
Using total cfm of 10,000 (4720 l/s) and
total static pressure of 1.50 inches
(38 mm), enter Table 24-1. Table 24-1
shows 5.35 bhp (4 kW) with 616 rpm.
Step 3 Determine evaporator coil
entering air conditions. Mixed air dry
bulb temperature determination.
Using the minimum percent of OA
(1,000 cfm ÷ 10,000 cfm = 10 percent),
determine the mixture dry bulb to the
evaporator. RADB + % OA
(OADB - RADB) = 80 + (0.10) (95 - 80) =
80 + 1.5 = 81.5°F [26.7 + 1.5 = 28°C).
Approximate wet bulb mixture
temperature:
RAWB + OA (OAWB - RAWB) =
66 + (0.10) (76-66) = 68 + 1 = 67°F.
A psychrometric chart can be used to
more accurately determine the mixture
temperature to the evaporator coil.
Step 4 Determine total required unit
cooling capacity:
Required capacity = total peak load +
O.A. load + supply air fan motor heat.
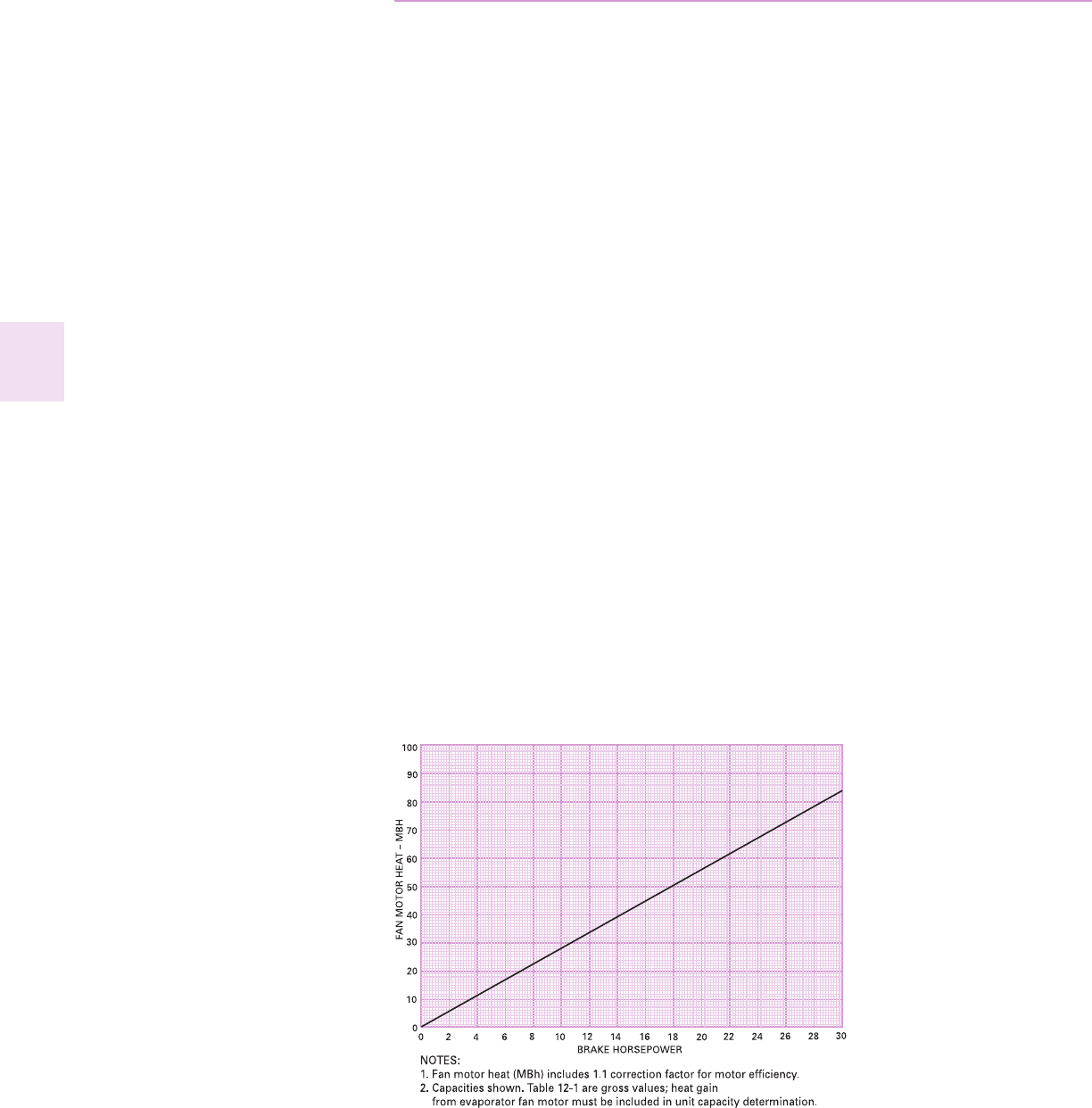
From Figure 16-1, the supply air fan
motor heat for 5.85 bhp = 15 MBh.
Capacity = 270 + 15 + 15 =
300 MBh (89 kW)
Step 5 Determine unit capacity:
From Table 19-2 unit capacity at 81.5
DB/67 WB entering the evaporator,
10,000 supply air cfm, 95°F (35°C)
entering the condenser about 305.6
MBh (89.5 kW) with 241 MBh (70.6 kW)
sensible.
Step 6 Determine leaving air
temperature:
Unit sensible heat capacity, corrected
for supply air fan motor heat 241 - 15 =
226 MBh (66.2 kW).
Supply air dry bulb temperature
difference = 226 MBh ÷ (1.085 x
10,000 cfm) = 20.8°F (-6.2°C)
Supply air dry bulb: 81.5-20.8 = 60.7
(15.9°C)
Unit enthalpy difference = 305.6 ÷
(4.5 x 10,000) = 6.79
Btu/lb leaving enthalpy = h (ent WB)
= 31.62
Leaving enthalpy = 31.62 Btu/lb -
6.79 Btu/lb = 24.83 Btu/lb.
From Table 17-1, the leaving air wet
bulb temperature corresponding to an
enthalpy of 24.8 Btu/lb = 57.5.
Leaving air temperatures = 61.7 DB/
57.5 WB (15.9/13.9°C).

16
Selection
Procedure
1
Winter outdoor design conditions
0°F (17.7°C).
2
Total return air temperature 72°F
(22.2°C).
3
Winter outside air minimum ventilation
load and cfm 1,000 cfm and
87.2 MBh.
4
Peak heating load 150 MBh.
Utilizing unit selection in the cooling
capacity procedure.
Mixed air temperature = RADB +
% O.A. (OADB - RADB) = 72
+ (0.10) (0-72) = 64.8°F.
Supply air fan motor heat temperature
rise = 20,600 Btu ÷ (1.085 x 10,000) cfm
= 1.38°F.
Mixed air temperature entering heat
module = 64.8 + 1.58 = 65.38°F.
Total winter heating load = peak
heating + ventilation load - total fan
motor heat = 150 + 87.2 - 15 =
222.2 MBh.
Electric Heating System
Unit operating on 415 power supply.
From Table 23-1, kW may be selected
for TC*305 unit to satisfy the winter
heating load. The 67 kW module will do
the job.
Table 23-1 also shows an air
temperature rise of 21.2°F for 10,000
cfm through the 90 kW heat module.
Unit supply temperature at design
heating conditions = mixed air
temperature + air temperature rise =
65.38 + 21.2 = 86.58°F.
Natural Gas Heating System
Assume natural gas supply 1000
Btu/ft3. From Table 23-4, select the low
heat module (243 MBh output) to
satisfy 222 at unit cfm.
Table 23-4 also shows air temperature
rise of 37.3°F for 10,000 cfm through
heating module.
Unit supply temperature design
heating conditions = mixed air
temperature + air temperature rise =
65.38 + 33.5 = 98.89°F.
Air Delivery Procedure
Supply air fan bhp and rpm selection.
Unit supply air fan performance shown
in Table 23-1 includes pressure drops
for dampers and casing losses. Static
pressure drops of accessory
components such as heating systems,
and filters if used, must be added to
external unit static pressure for total
static pressure determination.
The supply air fan motor selected in the
previous cooling capacity
determination example was 5.35 bhp
with 656 rpm. Thus, the supply fan
motor selected is .5 hp.
Chart 16-1 Fan Motor Heat
To select the drive, enter Table 29-1 for
a 305 unit. Select the appropriate drive
for the applicable rpm range. Drive
selection letter E with a range of 625
rpm, is required for 616 rpm. Where
altitude is significantly above sea level,
use Table 17-2 and 17-3, and Figure
17-1 for applicable correction factors.
Unit Electrical Requirements
Selection procedures for electrical
requirements for wire sizing amps,
maximum fuse sizing and dual element
fuses are given in the electrical service
selection of this catalog.
Unit Designation
After determining specific unit
characteristics utilizing the selection
procedure and additional job
information, the complete unit model
number can be developed. Use the
model number nomenclature on
page 9.

17
Performance
Adjustment
Factors
Table 17-2 Cooling Capacity Altitude Correction Factors
Altitude ft. (m)
Sea Level 1000 (304.8) 2000 (609.6) 3000 (914.4) 4000 (1219.2) 5000 (1524.0) 6000 (1828.8) 7000 (2133.6)
Cooling Capacity
Multiplier 1.00 0.99 0.99 0.98 0.97 0.96 0.95 0.94
KW Correction
Multiplier
(Compressors) 1.00 1.01 1.02 1.03 1.04 1.05 1.06 1.07
SHR Correction
Multiplier 1.00 .98 .95 .93 .91 .89 .87 .85
Maximum
Condenser
Ambient 115°F (46.1°C) 114°F (45.6°C) 113°F (45.0°C) 112°F (44.4°C) 111°F (43.9°C) 110°F (43.3°C) 109°F (42.8°C) 108°F (42.2°C)
Note:
SHR = Sensible Heat Ratio
Table 17-3 Gas Heating Capacity Altitude Correction Factors
Altitude ft. (m)
Sea Level To 2000 200 To 2500 2501 To 3500 3501 To 4500 4501 To 5500 5501 To 6500 6501 To 7500
(Sea Level To 609.6) (609.9 To 762.0) (762.3 To 1066.8) (1067.1 To 1674.4) (1371.9 To 1675.4) (1676.7 To 1981.2) (1981.5 To 2286.0)
Capacity Multiplier 1.00 .92 .88 .84 .80 .76 .72
Note:
Correction factors are per AGA Std 221.30 1964, Part VI, 6.12. Local codes may supersede.
Figure 17-1 Air Density RatiosTable 17-1 Enthalpy of Saturated Air
Wet Bulb Temperature
°F °C Btu Per Lb.
40 4.4 15.23
41 5.0 15.70
42 5.5 16.17
43 6.1 16.66
44 6.7 17.15
45 7.2 17.65
46 7.8 18.16
47 8.3 18.68
48 8.9 19.21
49 9.4 19.75
50 10.0 20.30
51 10.6 20.86
52 11.1 21.44
53 11.7 22.02
54 12.2 22.62
55 12.8 23.22
56 13.3 23.84
57 13.9 24.48
58 14.4 25.12
59 15.0 25.78
60 15.6 26.46
61 16.1 27.15
62 16.7 27.85
63 17.2 28.57
64 17.8 29.31
65 18.3 30.06
66 18.9 30.83
67 19.4 31.62
68 20.0 32.42
69 20.6 33.25
70 21.1 34.09
71 21.7 34.95
72 22.2 35.83
73 22.8 36.74
74 23.3 37.66
75 23.9 38.61

18
Performance
Data
Table 18-1 23 Ton Gross Cooling Capacities (MBh) English
Ambient Temperature Deg F
85 95 105 115
Ent Entering Wet Bulb Temperature Deg F
DB 61 67 73 61 67 73 61 67 73 61 67 73
CFM (F) TGC SHC TGC SHC TGC SHC TGC SHC TGC SHC TGC SHC TGC SHC TGC SHC TGC SHC TGC SHC TGC SHC TGC SHC
75 249 197 277 160 307 111 238 191 264 154 294 105 226 184 251 148 280 99 213 177 238 141 265 93
6900 80 251 232 278 190 308 147 240 226 265 183 295 141 229 219 252 177 280 135 216 212 239 170 266 128
85 258 258 279 224 309 182 249 249 267 217 295 176 238 238 254 211 281 169 228 228 240 204 267 162
90 273 273 281 259 310 215 263 263 269 252 297 209 252 252 257 246 283 202 241 241 244 239 268 196
75 253 205 281 166 312 113 242 199 268 160 298 107 229 192 255 154 283 101 216 185 241 147 268 94
7500 80 256 243 282 197 313 151 245 237 270 191 299 145 233 230 256 184 284 139 220 220 242 177 269 132
85 266 266 283 234 313 188 256 256 271 227 300 182 245 245 258 220 285 175 234 234 244 214 270 169
90 281 281 287 271 315 225 270 270 275 265 301 218 259 259 262 258 287 211 248 248 248 248 272 205
75 256 212 284 170 315 114 244 205 271 164 301 108 232 198 257 157 286 102 219 191 243 150 271 96
8000 80 260 252 285 203 316 155 248 245 273 196 302 149 236 236 259 190 287 142 224 224 245 182 272 136
85 271 271 287 242 317 194 261 261 274 235 303 187 250 250 261 228 288 181 239 239 247 221 273 174
90 287 287 291 282 318 232 276 276 279 275 304 225 265 265 265 265 290 219 253 253 253 253 275 212
75 262 224 290 172 321 117 250 217 276 166 306 111 237 210 262 158 291 105 224 203 248 151 275 98
9000 80 266 266 291 214 322 162 255 255 278 208 307 155 244 244 264 201 292 149 232 232 249 194 277 142
85 282 282 293 257 323 204 271 271 280 251 309 197 259 259 267 244 294 193 247 247 252 237 278 184
90 298 298 297 297 324 246 286 286 286 286 310 240 275 275 275 275 295 233 262 262 262 262 280 226
75 266 236 294 180 326 120 254 229 281 173 311 113 241 222 266 167 295 107 228 215 251 158 279 100
10000 80 274 274 296 225 327 168 263 263 282 218 312 162 251 251 268 211 296 155 239 239 253 204 280 148
85 290 290 299 272 328 214 279 279 285 266 313 207 267 267 272 259 298 200 255 255 257 252 282 193
90 307 307 307 307 330 260 295 295 295 295 315 253 283 283 283 283 300 247 270 270 270 270 284 240
Notes:
1. All capacities shown are gross and have not considered indoor fan heat. To obtain net cooling, subtract indoor fan heat.
2. TGC= Total gross capacity.
3. SHC= Sensible heat capacity.
Table 18-2 82 kW (23 Tons) Gross Cooling Capacity (kW) Metric
Ambient Temperature Deg C
29.4 35.0 40.6 46.1
Ent Entering Wet Bulb Temperature Deg C
DB 16.1 19.4 22.8 16.1 19.4 22.8 16.1 19.4 22.8 16.1 19.4 22.8
L/s (C) TGC SHC TGC SHC TGC SHC TGC SHC TGC SHC TGC SHC TGC SHC TGC SHC TGC SHC TGC SHC TGC SHC TGC SHC
23.9 73.0 57.7 81.2 46.9 90.0 32.5 69.8 56.0 77.4 45.1 86.2 30.8 66.2 53.9 73.6 43.4 82.1 29.0 62.4 51.9 69.8 41.3 77.7 27.2
3260 26.7 73.6 68.0 81.5 55.7 90.3 43.1 70.3 66.2 77.7 53.6 86.5 41.3 67.1 64.2 73.9 51.9 82.1 39.6 63.3 62.1 70.1 49.8 78.0 37.5
29.4 75.6 75.6 81.8 65.7 90.6 53.3 73.0 73.0 78.3 63.6 86.5 51.6 69.8 69.8 74.4 61.8 82.4 49.5 66.8 66.8 70.3 59.8 78.3 47.5
32.2 80.0 80.0 82.4 75.9 90.9 63.0 77.1 77.1 78.8 73.9 87.1 61.3 73.9 73.9 75.3 72.1 82.9 59.2 70.6 70.6 71.5 70.1 78.6 57.4
23.9 74.2 60.1 82.4 48.7 91.4 33.1 70.9 58.3 78.6 46.9 87.3 31.4 67.1 56.3 74.7 45.1 82.9 29.6 63.3 54.2 70.6 43.1 78.6 27.7
3540 26.7 75.0 71.2 82.7 57.7 91.7 44.3 71.8 69.5 79.1 56.0 87.6 42.5 68.3 67.4 75.0 53.9 83.2 40.7 64.5 64.5 70.9 51.9 78.8 38.7
29.4 78.0 78.0 82.9 68.6 91.7 55.1 75.0 75.0 79.4 66.5 87.9 53.3 71.8 71.8 75.6 64.5 83.5 51.3 68.6 68.6 71.5 62.7 79.1 49.5
32.2 82.4 82.4 84.1 79.4 92.3 65.9 79.1 79.1 80.6 77.7 88.2 63.9 75.9 75.9 76.8 75.6 84.1 61.8 72.7 72.7 72.7 72.7 79.7 60.1
23.9 75.0 62.1 83.2 49.8 92.3 33.4 71.5 60.1 79.4 48.1 88.2 31.7 68.0 58.0 75.3 46.0 83.8 29.9 64.2 56.0 71.2 44.0 79.4 28.1
3780 26.7 76.2 73.9 83.5 59.5 92.6 45.4 72.7 71.8 80.0 57.4 88.5 43.7 69.2 69.2 75.9 55.7 84.1 41.6 65.7 65.7 71.8 53.3 79.7 39.9
29.4 79.4 79.4 84.1 70.9 92.9 56.9 76.5 76.5 80.3 68.9 88.8 54.8 73.3 73.3 76.5 66.8 84.4 53.1 70.1 70.1 72.4 64.8 80.0 51.0
32.2 84.1 84.1 85.3 82.7 93.2 68.0 80.9 80.9 81.8 80.6 89.1 65.9 77.7 77.7 77.7 77.7 85.0 64.2 74.2 74.2 74.2 74.2 80.6 62.1
23.9 76.8 65.7 85.0 50.4 94.1 34.3 73.3 63.6 80.9 48.7 89.7 32.5 69.5 61.6 76.8 46.3 85.3 30.8 65.7 59.5 72.7 44.3 80.6 28.8
4250 26.7 78.0 78.0 85.3 62.7 94.4 47.5 74.7 74.7 81.5 61.0 90.0 45.4 71.5 71.5 77.4 58.9 85.6 43.7 68.0 68.0 73.0 56.9 81.2 41.6
29.4 82.7 82.7 85.9 75.3 94.7 59.8 79.4 79.4 82.1 73.6 90.6 57.7 75.9 75.9 78.3 71.5 86.2 56.6 72.4 72.4 73.9 69.5 81.5 53.9
32.2 87.3 87.3 87.1 87.1 95.0 72.1 83.8 83.8 83.8 83.8 90.9 70.3 80.6 80.6 80.6 80.6 86.5 68.3 76.8 76.8 76.8 76.8 82.1 66.2
23.9 78.0 69.2 86.2 52.8 95.6 35.2 74.4 67.1 82.4 50.7 91.2 33.1 70.6 65.1 78.0 48.9 86.5 31.4 66.8 63.0 73.6 46.3 81.8 29.3
4720 26.7 80.3 80.3 86.8 65.9 95.8 49.2 77.1 77.1 82.7 63.9 91.4 47.5 73.6 73.6 78.6 61.8 86.8 45.4 70.1 70.1 74.2 59.8 82.1 43.4
29.4 85.0 85.0 87.6 79.7 96.1 62.7 81.8 81.8 83.5 78.0 91.7 60.7 78.3 78.3 79.7 75.9 87.3 58.6 74.7 74.7 75.3 73.9 82.7 56.6
32.2 90.0 90.0 90.0 90.0 96.7 76.2 86.5 86.5 86.5 86.5 92.3 74.2 82.9 82.9 82.9 82.9 87.9 72.4 79.1 79.1 79.1 79.1 83.2 70.3
Notes:
1. All capacities shown are gross and have not considered indoor fan heat. To obtain net cooling, subtract indoor fan heat.
2. TGC= Total gross capacity.
3. SHC= Sensible heat capacity.

19
Performance
Data
Table 19-1 25 Ton Gross Cooling Capacities (MBh) English
Ambient Temperature Deg F
85 95 105 115
Ent Entering Wet Bulb Temperature Deg F
DB 61 67 73 61 67 73 61 67 73 61 67 73
CFM (F) TGC SHC TGC SHC TGC SHC TGC SHC TGC SHC TGC SHC TGC SHC TGC SHC TGC SHC TGC SHC TGC SHC TGC SHC
75 273 215 303 175 336 122 260 208 289 168 321 115 247 200 275 161 305 108 233 193 260 155 289 102
7500 80 275 252 304 207 337 160 263 245 290 200 322 154 250 238 276 192 306 147 237 231 261 185 290 140
85 282 282 305 243 338 198 271 271 291 236 323 191 260 260 277 229 307 184 248 248 263 221 291 177
90 297 297 308 281 339 234 286 286 294 273 324 227 275 275 280 266 308 220 263 263 266 259 293 212
75 276 221 307 174 340 123 263 214 293 167 325 117 250 207 278 160 309 110 236 199 263 153 292 103
8000 80 279 261 308 213 341 164 266 254 294 205 325 157 254 247 279 198 310 150 241 239 264 191 293 143
85 288 288 309 251 341 203 277 277 295 244 326 196 266 266 281 237 310 189 254 254 266 229 294 182
90 304 304 312 291 343 242 293 293 298 284 328 234 281 281 285 277 312 227 269 269 271 269 296 220
75 282 234 313 182 347 126 269 227 298 175 331 119 256 219 283 167 314 113 242 211 268 160 297 106
9000 80 286 278 314 224 348 171 274 271 300 217 332 164 260 260 285 209 315 157 248 248 269 202 299 150
85 299 299 316 267 349 214 288 288 301 260 333 208 276 276 287 252 317 201 263 263 272 245 300 194
90 316 316 320 311 350 256 304 304 306 304 334 249 292 292 291 291 318 241 279 279 279 279 301 234
75 288 246 318 189 352 129 274 239 303 182 336 122 260 231 288 175 319 115 246 223 272 166 301 108
10000 80 292 292 320 235 353 177 280 280 305 228 337 170 268 268 289 220 320 163 255 255 274 212 303 156
85 309 309 322 282 354 224 297 297 307 275 338 216 284 284 292 267 321 211 271 271 277 260 304 202
90 326 326 326 326 356 270 314 314 314 314 340 263 301 301 301 301 323 255 288 288 287 287 306 248
75 292 258 323 196 357 131 279 250 307 189 340 124 264 242 292 182 323 117 250 235 276 175 305 110
11000 80 300 300 324 246 358 184 287 287 309 238 341 177 275 275 293 230 324 169 262 262 277 223 307 162
85 317 317 327 297 359 233 305 305 312 289 343 226 292 292 297 282 326 219 278 278 282 274 308 211
90 336 336 336 336 361 283 323 323 323 323 344 276 309 309 309 309 328 268 295 295 295 295 310 261
Notes:
1. All capacities shown are gross and have not considered indoor fan heat. To obtain net cooling, subtract indoor fan heat.
2. TGC = Total gross capacity.
3. SHC = Sensible heat capacity.
Table 19-2 89 kW (25 Tons) Gross Cooling Capacity (kW) Metric
Ambient Temperature Deg C
29.4 35.0 40.6 46.1
Ent Entering Wet Bulb Temperature Deg C
DB 16.1 19.4 22.8 16.1 19.4 22.8 16.1 19.4 22.8 16.1 19.4 22.8
L/s (C) TGC SHC TGC SHC TGC SHC TGC SHC TGC SHC TGC SHC TGC SHC TGC SHC TGC SHC TGC SHC TGC SHC TGC SHC
23.9 80.0 63.0 88.8 51.3 98.5 35.8 76.2 61.0 84.7 49.2 94.1 33.7 72.4 58.6 80.6 47.2 89.4 31.7 68.3 56.6 76.2 45.4 84.7 29.9
3540 26.7 80.6 73.9 89.1 60.7 98.8 46.9 77.1 71.8 85.0 58.6 94.4 45.1 73.3 69.8 80.9 56.3 89.7 43.1 69.5 67.7 76.5 54.2 85.0 41.0
29.4 82.7 82.7 89.4 71.2 99.1 58.0 79.4 79.4 85.3 69.2 94.7 56.0 76.2 76.2 81.2 67.1 90.0 53.9 72.7 72.7 77.1 64.8 85.3 51.9
32.2 87.1 87.1 90.3 82.4 99.4 68.6 83.8 83.8 86.2 80.0 95.0 66.5 80.6 80.6 82.1 78.0 90.3 64.5 77.1 77.1 78.0 75.9 85.9 62.1
23.9 80.9 64.8 90.0 51.0 99.7 36.1 77.1 62.7 85.9 48.9 95.3 34.3 73.3 60.7 81.5 46.9 90.6 32.2 69.2 58.3 77.1 44.8 85.6 30.2
3780 26.7 81.8 76.5 90.3 62.4 99.9 48.1 78.0 74.4 86.2 60.1 95.3 46.0 74.4 72.4 81.8 58.0 90.9 44.0 70.6 70.1 77.4 56.0 85.9 41.9
29.4 84.4 84.4 90.6 73.6 99.9 59.5 81.2 81.2 86.5 71.5 95.6 57.4 78.0 78.0 82.4 69.5 90.9 55.4 74.4 74.4 78.0 67.1 86.2 53.3
32.2 89.1 89.1 91.4 85.3 100.5 70.9 85.9 85.9 87.3 83.2 96.1 68.6 82.4 82.4 83.5 81.2 91.4 66.5 78.8 78.8 79.4 78.8 86.8 64.5
23.9 82.7 68.6 91.7 53.3 101.7 36.9 78.8 66.5 87.3 51.3 97.0 34.9 75.0 64.2 82.9 48.9 92.0 33.1 70.9 61.8 78.6 46.9 87.1 31.1
4250 26.7 83.8 81.5 92.0 65.7 102.0 50.1 80.3 79.4 87.9 63.6 97.3 48.1 76.2 76.2 83.5 61.3 92.3 46.0 72.7 72.7 78.8 59.2 87.6 44.0
29.4 87.6 87.6 92.6 78.3 102.3 62.7 84.4 84.4 88.2 76.2 97.6 61.0 80.9 80.9 84.1 73.9 92.9 58.9 77.1 77.1 79.7 71.8 87.9 56.9
32.2 92.6 92.6 93.8 91.2 102.6 75.0 89.1 89.1 89.7 89.1 97.9 73.0 85.6 85.6 85.3 85.3 93.2 70.6 81.8 81.8 81.8 81.8 88.2 68.6
23.9 84.4 72.1 93.2 55.4 103.2 37.8 80.3 70.1 88.8 53.3 98.5 35.8 76.2 67.7 84.4 51.3 93.5 33.7 72.1 65.4 79.7 48.7 88.2 31.7
4720 26.7 85.6 85.6 93.8 68.9 103.5 51.9 82.1 82.1 89.4 66.8 98.8 49.8 78.6 78.6 84.7 64.5 93.8 47.8 74.7 74.7 80.3 62.1 88.8 45.7
29.4 90.6 90.6 94.4 82.7 103.8 65.7 87.1 87.1 90.0 80.6 99.1 63.3 83.2 83.2 85.6 78.3 94.1 61.8 79.4 79.4 81.2 76.2 89.1 59.2
32.2 95.6 95.6 95.6 95.6 104.3 79.1 92.0 92.0 92.0 92.0 99.7 77.1 88.2 88.2 88.2 88.2 94.7 74.7 84.4 84.4 84.1 84.1 89.7 72.7
23.9 85.6 75.6 94.7 57.4 104.6 38.4 81.8 73.3 90.0 55.4 99.7 36.3 77.4 70.9 85.6 53.3 94.7 34.3 73.3 68.9 80.9 51.3 89.4 32.2
5190 26.7 87.9 87.9 95.0 72.1 104.9 53.9 84.1 84.1 90.6 69.8 99.9 51.9 80.6 80.6 85.9 67.4 95.0 49.5 76.8 76.8 81.2 65.4 90.0 47.5
29.4 92.9 92.9 95.8 87.1 105.2 68.3 89.4 89.4 91.4 84.7 100.5 66.2 85.6 85.6 87.1 82.7 95.6 64.2 81.5 81.5 82.7 80.3 90.3 61.8
32.2 98.5 98.5 98.5 98.5 105.8 82.9 94.7 94.7 94.7 94.7 100.8 80.9 90.6 90.6 90.6 90.6 96.1 78.6 86.5 86.5 86.5 86.5 90.9 76.5
Notes:
1. All capacities shown are gross and have not considered indoor fan heat. To obtain net cooling, subtract indoor fan heat.
2. TGC = Total gross capacity.
3. SHC = Sensible heat capacity.

20
Performance
Data
Table 20-1 29 Ton Gross Cooling Capacities (MBh) English
Ambient Temperature Deg F
85 95 105 115
Ent Entering Wet Bulb Temperature Deg F
DB 61 67 73 61 67 73 61 67 73 61 67 73
CFM (F) TGC SHC TGC SHC TGC SHC TGC SHC TGC SHC TGC SHC TGC SHC TGC SHC TGC SHC TGC SHC TGC SHC TGC SHC
75 322 264 356 207 394 143 307 256 340 200 376 135 292 248 324 192 358 128 276 239 306 184 339 120
8750 81 327 324 357 262 395 202 313 313 341 255 378 195 299 299 325 246 359 187 285 285 308 238 341 179
87 347 347 360 320 396 260 334 334 345 312 379 252 321 321 329 304 360 244 306 306 312 296 342 236
93 369 369 369 369 398 317 356 356 356 356 381 309 342 342 342 342 363 301 327 327 327 327 345 292
75 323 268 358 207 396 143 309 260 342 200 378 136 294 252 325 192 360 128 277 243 307 187 341 121
9000 81 330 330 359 266 397 204 315 315 343 258 379 197 302 302 326 250 361 189 288 288 309 242 342 181
87 350 350 362 325 398 263 337 337 347 318 380 255 324 324 331 310 362 247 309 309 314 301 343 239
93 373 373 373 373 400 322 359 359 359 359 383 314 345 345 345 345 365 306 330 330 330 330 346 297
75 330 283 364 216 402 146 315 275 347 208 384 139 299 266 330 201 365 131 283 258 312 192 345 123
10000 81 339 339 365 280 403 213 326 326 349 272 385 205 312 312 332 264 366 198 297 297 314 256 347 190
87 362 362 370 346 405 277 348 348 354 338 387 269 334 334 338 330 368 261 319 319 319 319 349 253
93 386 386 386 386 408 342 372 372 372 372 390 334 357 357 357 357 371 325 341 341 341 341 352 317
75 335 297 369 225 407 149 320 289 352 217 388 141 304 281 335 209 369 134 287 272 316 201 349 126
11000 81 348 348 371 294 409 222 335 335 354 286 390 214 320 320 337 278 371 206 305 305 319 269 351 198
87 372 372 377 366 410 291 358 358 361 358 392 283 344 344 343 343 373 275 328 328 328 328 353 266
93 398 398 397 397 414 361 383 383 383 383 396 353 367 367 367 367 377 345 351 351 351 351 358 336
75 340 311 373 233 411 151 325 303 356 225 392 144 309 295 338 217 373 136 292 286 320 209 353 129
12000 81 357 357 376 308 413 230 343 343 359 300 395 222 328 328 341 291 375 214 312 312 323 283 355 206
87 382 382 382 382 415 304 367 367 367 367 397 296 352 352 352 352 377 288 336 336 336 336 357 279
93 408 408 408 408 420 380 393 393 393 393 402 372 376 376 376 376 383 364 360 360 360 360 363 356
Notes:
1. All capacities shown are gross and have not considered indoor fan heat. To obtain net cooling, subtract indoor fan heat.
2. TGC = Total gross capacity.
3. SHC = Sensible heat capacity.
Table 20-2 105 kW (29 Ton) Gross Cooling Capacity (kW) Metric
Ambient Temperature Deg C
29.4 35.0 40.6 46.1
Ent Entering Wet Bulb Temperature Deg C
DB 16.1 19.4 22.8 16.1 19.4 22.8 16.1 19.4 22.8 16.1 19.4 22.8
L/s (C) TGC SHC TGC SHC TGC SHC TGC SHC TGC SHC TGC SHC TGC SHC TGC SHC TGC SHC TGC SHC TGC SHC TGC SHC
23.9 94.4 77.4 104.3 60.7 115.5 41.9 90.0 75.0 99.7 58.6 110.2 39.6 85.6 72.7 95.0 56.3 104.9 37.5 80.9 70.1 89.7 53.9 99.4 35.2
4130 27.2 95.8 95.0 104.6 76.8 115.8 59.2 91.7 91.7 99.9 74.7 110.8 57.2 87.6 87.6 95.3 72.1 105.2 54.8 83.5 83.5 90.3 69.8 99.9 52.5
30.6 101.7 101.7 105.5 93.8 116.1 76.2 97.9 97.9 101.1 91.4 111.1 73.9 94.1 94.1 96.4 89.1 105.5 71.5 89.7 89.7 91.4 86.8 100.2 69.2
33.9 108.2 108.2 108.2 108.2 116.7 92.9 104.3 104.3 104.3 104.3 111.7 90.6 100.2 100.2 100.2 100.2 106.4 88.2 95.8 95.8 95.8 95.8 101.1 85.6
23.9 94.7 78.6 104.9 60.7 116.1 41.9 90.6 76.2 100.2 58.6 110.8 39.9 86.2 73.9 95.3 56.3 105.5 37.5 81.2 71.2 90.0 54.8 99.9 35.5
4250 27.2 96.7 96.7 105.2 78.0 116.4 59.8 92.3 92.3 100.5 75.6 111.1 57.7 88.5 88.5 95.6 73.3 105.8 55.4 84.4 84.4 90.6 70.9 100.2 53.1
30.6 102.6 102.6 106.1 95.3 116.7 77.1 98.8 98.8 101.7 93.2 111.4 74.7 95.0 95.0 97.0 90.9 106.1 72.4 90.6 90.6 92.0 88.2 100.5 70.1
33.9 109.3 109.3 109.3 109.3 117.2 94.4 105.2 105.2 105.2 105.2 112.3 92.0 101.1 101.1 101.1 101.1 107.0 89.7 96.7 96.7 96.7 96.7 101.4 87.1
23.9 96.7 82.9 106.7 63.3 117.8 42.8 92.3 80.6 101.7 61.0 112.6 40.7 87.6 78.0 96.7 58.9 107.0 38.4 82.9 75.6 91.4 56.3 101.1 36.1
4720 27.2 99.4 99.4 107.0 82.1 118.1 62.4 95.6 95.6 102.3 79.7 112.8 60.1 91.4 91.4 97.3 77.4 107.3 58.0 87.1 87.1 92.0 75.0 101.7 55.7
30.6 106.1 106.1 108.4 101.4 118.7 81.2 102.0 102.0 103.8 99.1 113.4 78.8 97.9 97.9 99.1 96.7 107.9 76.5 93.5 93.5 93.5 93.5 102.3 74.2
33.9 113.1 113.1 113.1 113.1 119.6 100.2 109.0 109.0 109.0 109.0 114.3 97.9 104.6 104.6 104.6 104.6 108.7 95.3 99.9 99.9 99.9 99.9 103.2 92.9
23.9 98.2 87.1 108.2 65.9 119.3 43.7 93.8 84.7 103.2 63.6 113.7 41.3 89.1 82.4 98.2 61.3 108.2 39.3 84.1 79.7 92.6 58.9 102.3 36.9
5190 27.2 102.0 102.0 108.7 86.2 119.9 65.1 98.2 98.2 103.8 83.8 114.3 62.7 93.8 93.8 98.8 81.5 108.7 60.4 89.4 89.4 93.5 78.8 102.9 58.0
30.6 109.0 109.0 110.5 107.3 120.2 85.3 104.9 104.9 105.8 104.9 114.9 82.9 100.8 100.8 100.5 100.5 109.3 80.6 96.1 96.1 96.1 96.1 103.5 78.0
33.9 116.7 116.7 116.4 116.4 121.3 105.8 112.3 112.3 112.3 112.3 116.1 103.5 107.6 107.6 107.6 107.6 110.5 101.1 102.9 102.9 102.9 102.9 104.9 98.5
23.9 99.7 91.2 109.3 68.3 120.5 44.3 95.3 88.8 104.3 65.9 114.9 42.2 90.6 86.5 99.1 63.6 109.3 39.9 85.6 83.8 93.8 61.3 103.5 37.8
5660 27.2 104.6 104.6 110.2 90.3 121.1 67.4 100.5 100.5 105.2 87.9 115.8 65.1 96.1 96.1 99.9 85.3 109.9 62.7 91.4 91.4 94.7 82.9 104.1 60.4
30.6 112.0 112.0 112.0 112.0 121.6 89.1 107.6 107.6 107.6 107.6 116.4 86.8 103.2 103.2 103.2 103.2 110.5 84.4 98.5 98.5 98.5 98.5 104.6 81.8
33.9 119.6 119.6 119.6 119.6 123.1 111.4 115.2 115.2 115.2 115.2 117.8 109.0 110.2 110.2 110.2 110.2 112.3 106.7 105.5 105.5 105.5 105.5 106.4 104.3
Notes:
1. All capacities shown are gross and have not considered indoor fan heat. To obtain net cooling, subtract indoor fan heat.
2. TGC = Total gross capacity.
3. SHC = Sensible heat capacity.

21
Performance
Data
Table 21-1 33 Ton Gross Cooling Capacities (MBh) English
Ambient Temperature Deg F
85 95 105 115
Ent Entering Wet Bulb Temperature Deg F
DB 61 67 73 61 67 73 61 67 73 61 67 73
CFM (F) TGC SHC TGC SHC TGC SHC TGC SHC TGC SHC TGC SHC TGC SHC TGC SHC TGC SHC TGC SHC TGC SHC TGC SHC
75 365 283 407 231 453 161 347 273 387 221 431 151 328 261 367 211 409 141 309 250 346 200 386 131
10000 80 368 333 408 274 454 213 350 322 389 263 432 203 332 311 368 252 410 192 313 300 348 241 388 181
85 377 377 410 322 455 263 360 360 390 311 433 252 344 344 370 300 411 241 328 328 350 289 389 230
90 397 397 413 371 457 311 381 381 394 361 435 300 365 365 375 350 414 289 347 347 355 338 391 278
75 372 296 414 233 461 164 354 285 394 222 439 154 334 274 373 211 416 144 315 263 351 200 392 134
11000 80 376 351 416 286 462 220 358 340 396 275 440 210 334 334 375 263 417 199 318 318 354 252 394 188
85 388 388 418 338 463 274 372 372 398 327 441 263 356 356 377 316 418 252 338 338 356 304 395 240
90 411 411 422 392 465 326 394 394 403 381 443 315 377 377 377 377 421 303 359 359 359 359 398 292
75 378 309 421 241 467 167 359 298 399 230 445 157 340 286 378 218 421 147 320 275 356 207 397 136
12000 80 384 367 423 297 468 227 361 361 402 286 446 216 344 344 381 274 423 205 328 326 359 263 399 194
85 400 400 425 354 470 284 383 383 405 342 448 273 366 366 384 331 425 262 348 348 362 320 401 250
90 423 423 431 412 472 340 406 406 405 405 450 329 388 388 388 388 427 317 370 370 371 368 403 306
75 384 321 426 248 473 170 365 310 405 237 450 160 345 298 383 225 426 149 325 286 361 214 402 138
13000 80 386 386 429 308 474 233 370 370 408 297 452 223 354 352 386 285 428 212 335 335 364 273 404 201
85 410 410 431 368 476 294 393 393 411 357 453 283 375 375 389 346 430 271 357 357 368 334 406 260
90 434 434 433 433 478 354 416 416 416 416 456 342 398 398 399 398 432 331 379 379 379 379 408 319
75 392 339 434 275 481 175 372 328 412 264 457 164 352 316 390 253 433 153 331 304 367 241 408 144
14600 80 402 400 437 325 482 243 382 382 415 313 459 232 364 364 393 302 435 221 346 346 370 290 409 210
85 424 424 440 392 484 309 406 406 419 380 461 298 388 388 398 369 437 286 369 369 375 357 412 275
90 449 449 451 450 487 375 431 431 431 431 463 363 412 412 411 411 440 352 392 392 392 392 415 340
Notes:
1. All capacities shown are gross and have not considered indoor fan heat. To obtain net cooling, subtract indoor fan heat.
2. TGC = Total gross capacity.
3. SHC = Sensible heat capacity.
Table 21-2 120 kW (33 Ton) Gross Cooling Capacity (kW) Metric
Ambient Temperature Deg C
29.4 35.0 40.6 46.1
Ent Entering Wet Bulb Temperature Deg C
DB 16.1 19.4 22.8 16.1 19.4 22.8 16.1 19.4 22.8 16.1 19.4 22.8
L/s (C) TGC SHC TGC SHC TGC SHC TGC SHC TGC SHC TGC SHC TGC SHC TGC SHC TGC SHC TGC SHC TGC SHC TGC SHC
23.9 107.0 82.9 119.3 67.7 132.8 47.2 101.7 80.0 113.4 64.8 126.3 44.3 96.1 76.5 107.6 61.8 119.9 41.3 90.6 73.3 101.4 58.6 113.1 38.4
4720 26.7 107.9 97.6 119.6 80.3 133.1 62.4 102.6 94.4 114.0 77.1 126.6 59.5 97.3 91.2 107.9 73.9 120.2 56.3 91.7 87.9 102.0 70.6 113.7 53.1
29.4 110.5 110.5 120.2 94.4 133.4 77.1 105.5 105.5 114.3 91.2 126.9 73.9 100.8 100.8 108.4 87.9 120.5 70.6 96.1 96.1 102.6 84.7 114.0 67.4
32.2 116.4 116.4 121.1 108.7 133.9 91.2 111.7 111.7 115.5 105.8 127.5 87.9 107.0 107.0 109.9 102.6 121.3 84.7 101.7 101.7 104.1 99.1 114.6 81.5
23.9 109.0 86.8 121.3 68.3 135.1 48.1 103.8 83.5 115.5 65.1 128.7 45.1 97.9 80.3 109.3 61.8 121.9 42.2 92.3 77.1 102.9 58.6 114.9 39.3
5190 26.7 110.2 102.9 121.9 83.8 135.4 64.5 104.9 99.7 116.1 80.6 129.0 61.6 97.9 97.9 109.9 77.1 122.2 58.3 93.2 93.2 103.8 73.9 115.5 55.1
29.4 113.7 113.7 122.5 99.1 135.7 80.3 109.0 109.0 116.7 95.8 129.3 77.1 104.3 104.3 110.5 92.6 122.5 73.9 99.1 99.1 104.3 89.1 115.8 70.3
32.2 120.5 120.5 123.7 114.9 136.3 95.6 115.5 115.5 118.1 111.7 129.8 92.3 110.5 110.5 110.5 110.5 123.4 88.8 105.2 105.2 105.2 105.2 116.7 85.6
23.9 110.8 90.6 123.4 70.6 136.9 48.9 105.2 87.3 116.9 67.4 130.4 46.0 99.7 83.8 110.8 63.9 123.4 43.1 93.8 80.6 104.3 60.7 116.4 39.9
5660 26.7 112.6 107.6 124.0 87.1 137.2 66.5 105.8 105.8 117.8 83.8 130.7 63.3 100.8 100.8 111.7 80.3 124.0 60.1 96.1 95.6 105.2 77.1 116.9 56.9
29.4 117.2 117.2 124.6 103.8 137.8 83.2 112.3 112.3 118.7 100.2 131.3 80.0 107.3 107.3 112.6 97.0 124.6 76.8 102.0 102.0 106.1 93.8 117.5 73.3
32.2 124.0 124.0 126.3 120.8 138.3 99.7 119.0 119.0 118.7 118.7 131.9 96.4 113.7 113.7 113.7 113.7 125.2 92.9 108.4 108.4 108.7 107.9 118.1 89.7
23.9 112.6 94.1 124.9 72.7 138.6 49.8 107.0 90.9 118.7 69.5 131.9 46.9 101.1 87.3 112.3 65.9 124.9 43.7 95.3 83.8 105.8 62.7 117.8 40.4
6140 26.7 113.1 113.1 125.7 90.3 138.9 68.3 108.4 108.4 119.6 87.1 132.5 65.4 103.8 103.2 113.1 83.5 125.4 62.1 98.2 98.2 106.7 80.0 118.4 58.9
29.4 120.2 120.2 126.3 107.9 139.5 86.2 115.2 115.2 120.5 104.6 132.8 82.9 109.9 109.9 114.0 101.4 126.0 79.4 104.6 104.6 107.9 97.9 119.0 76.2
32.2 127.2 127.2 126.9 126.9 140.1 103.8 121.9 121.9 121.9 121.9 133.7 100.2 116.7 116.7 116.9 116.7 126.6 97.0 111.1 111.1 111.1 111.1 119.6 93.5
23.9 114.9 99.4 127.2 80.6 141.0 51.3 109.0 96.1 120.8 77.4 133.9 48.1 103.2 92.6 114.3 74.2 126.9 44.8 97.0 89.1 107.6 70.6 119.6 42.2
6890 26.7 117.8 117.2 128.1 95.3 141.3 71.2 112.0 112.0 121.6 91.7 134.5 68.0 106.7 106.7 115.2 88.5 127.5 64.8 101.4 101.4 108.4 85.0 119.9 61.6
29.4 124.3 124.3 129.0 114.9 141.9 90.6 119.0 119.0 122.8 111.4 135.1 87.3 113.7 113.7 116.7 108.2 128.1 83.8 108.2 108.2 109.9 104.6 120.8 80.6
32.2 131.6 131.6 132.2 131.9 142.7 109.9 126.3 126.3 126.3 126.3 135.7 106.4 120.8 120.8 120.5 120.5 129.0 103.2 114.9 114.9 114.9 114.9 121.6 99.7
Notes:
1. All capacities shown are gross and have not considered indoor fan heat. To obtain net cooling, subtract indoor fan heat.
2. TGC = Total gross capacity.
3. SHC = Sensible heat capacity.

22
Table 22-1 42 Ton Gross Cooling Capacities (MBh) English
Ambient Temperature Deg F
85 95 105 115
Ent Entering Wet Bulb Temperature Deg F
DB 61 67 73 61 67 73 61 67 73 61 67 73
CFM (F) TGC SHC TGC SHC TGC SHC TGC SHC TGC SHC TGC SHC TGC SHC TGC SHC TGC SHC TGC SHC TGC SHC TGC SHC
75 455 365 505 292 559 200 433 353 481 277 533 188 411 340 456 260 505 176 387 326 430 247 477 164
12500 80 461 433 506 351 560 268 440 420 482 338 534 256 418 407 458 325 507 243 394 394 432 312 479 231
85 476 476 509 416 561 334 457 457 486 403 536 322 437 437 461 390 508 309 416 416 435 377 480 296
90 502 502 515 482 563 398 483 483 492 470 537 386 462 462 468 457 510 373 440 440 440 440 482 360
75 462 379 512 293 566 203 440 367 487 281 539 191 417 353 462 268 511 179 392 340 435 255 482 167
13500 80 469 451 513 363 567 275 448 439 489 350 540 263 422 422 464 337 513 250 401 401 437 324 484 238
85 488 488 516 433 569 346 469 469 493 420 542 333 448 448 468 407 514 321 426 426 442 394 486 308
90 515 515 524 504 570 414 495 495 501 492 544 402 474 474 473 473 516 389 451 451 451 451 488 375
75 468 393 517 301 572 205 446 380 493 289 545 194 422 367 467 276 516 182 398 353 440 263 487 169
14500 80 477 470 519 375 573 282 452 452 494 362 546 270 431 431 469 349 518 257 410 410 442 336 489 244
85 499 499 523 450 575 357 479 479 499 437 548 345 458 458 474 424 519 331 435 435 447 410 490 318
90 527 527 532 526 577 430 506 506 506 506 550 417 484 484 484 484 522 404 461 461 461 461 493 390
75 474 406 523 309 577 208 451 393 498 297 550 196 427 380 471 284 521 184 402 366 444 271 491 171
15500 80 481 481 524 387 579 289 461 461 499 374 551 276 440 440 473 361 522 264 417 417 446 347 493 251
85 509 509 529 466 580 368 488 488 505 453 552 355 467 467 479 440 524 342 444 444 453 426 494 328
90 537 537 537 537 583 445 516 516 516 516 556 432 494 494 493 493 527 419 470 470 470 470 498 405
75 479 419 527 317 582 211 456 406 502 304 554 199 432 393 475 292 525 186 407 379 447 277 494 174
16500 80 489 489 529 399 583 295 469 469 504 386 556 283 447 447 478 373 527 270 425 425 450 359 496 258
85 518 518 535 482 585 378 497 497 510 469 557 365 475 475 485 456 528 352 451 451 458 442 498 339
90 547 547 547 547 588 460 525 525 525 525 561 447 502 502 502 502 532 434 478 478 478 478 503 420
Notes:
1. All capacities shown are gross and have not considered indoor fan heat. To obtain net cooling, subtract indoor fan heat.
2. TGC = Total gross capacity.
3. SHC = Sensible heat capacity.
Table 22-2 148 kW (42 Ton) Gross Cooling Capacity (kW) Metric
Ambient Temperature Deg C
29.4 35.0 40.6 46.1
Ent Entering Wet Bulb Temperature Deg C
DB 16.1 19.4 22.8 16.1 19.4 22.8 16.1 19.4 22.8 16.1 19.4 22.8
L/s (C) TGC SHC TGC SHC TGC SHC TGC SHC TGC SHC TGC SHC TGC SHC TGC SHC TGC SHC TGC SHC TGC SHC TGC SHC
23.9 133.4 107.0 148.0 85.6 163.8 58.6 126.9 103.5 141.0 81.2 156.2 55.1 120.5 99.7 133.7 76.2 148.0 51.6 113.4 95.6 126.0 72.4 139.8 48.1
5900 26.7 135.1 126.9 148.3 102.9 164.1 78.6 129.0 123.1 141.3 99.1 156.5 75.0 122.5 119.3 134.2 95.3 148.6 71.2 115.5 115.5 126.6 91.4 140.4 67.7
29.4 139.5 139.5 149.2 121.9 164.4 97.9 133.9 133.9 142.4 118.1 157.1 94.4 128.1 128.1 135.1 114.3 148.9 90.6 121.9 121.9 127.5 110.5 140.7 86.8
32.2 147.1 147.1 150.9 141.3 165.0 116.7 141.6 141.6 144.2 137.8 157.4 113.1 135.4 135.4 137.2 133.9 149.5 109.3 129.0 129.0 129.0 129.0 141.3 105.5
23.9 135.4 111.1 150.1 85.9 165.9 59.5 129.0 107.6 142.7 82.4 158.0 56.0 122.2 103.5 135.4 78.6 149.8 52.5 114.9 99.7 127.5 74.7 141.3 48.9
6370 26.7 137.5 132.2 150.4 106.4 166.2 80.6 131.3 128.7 143.3 102.6 158.3 77.1 123.7 123.7 136.0 98.8 150.4 73.3 117.5 117.5 128.1 95.0 141.9 69.8
29.4 143.0 143.0 151.2 126.9 166.8 101.4 137.5 137.5 144.5 123.1 158.9 97.6 131.3 131.3 137.2 119.3 150.7 94.1 124.9 124.9 129.6 115.5 142.4 90.3
32.2 150.9 150.9 153.6 147.7 167.1 121.3 145.1 145.1 146.8 144.2 159.4 117.8 138.9 138.9 138.6 138.6 151.2 114.0 132.2 132.2 132.2 132.2 143.0 109.9
23.9 137.2 115.2 151.5 88.2 167.7 60.1 130.7 111.4 144.5 84.7 159.7 56.9 123.7 107.6 136.9 80.9 151.2 53.3 116.7 103.5 129.0 77.1 142.7 49.5
6840 26.7 139.8 137.8 152.1 109.9 167.9 82.7 132.5 132.5 144.8 106.1 160.0 79.1 126.3 126.3 137.5 102.3 151.8 75.3 120.2 120.2 129.6 98.5 143.3 71.5
29.4 146.3 146.3 153.3 131.9 168.5 104.6 140.4 140.4 146.3 128.1 160.6 101.1 134.2 134.2 138.9 124.3 152.1 97.0 127.5 127.5 131.0 120.2 143.6 93.2
32.2 154.5 154.5 155.9 154.2 169.1 126.0 148.3 148.3 148.3 148.3 161.2 122.2 141.9 141.9 141.9 141.9 153.0 118.4 135.1 135.1 135.1 135.1 144.5 114.3
23.9 138.9 119.0 153.3 90.6 169.1 61.0 132.2 115.2 146.0 87.1 161.2 57.4 125.2 111.4 138.1 83.2 152.7 53.9 117.8 107.3 130.1 79.4 143.9 50.1
7320 26.7 141.0 141.0 153.6 113.4 169.7 84.7 135.1 135.1 146.3 109.6 161.5 80.9 129.0 129.0 138.6 105.8 153.0 77.4 122.2 122.2 130.7 101.7 144.5 73.6
29.4 149.2 149.2 155.0 136.6 170.0 107.9 143.0 143.0 148.0 132.8 161.8 104.1 136.9 136.9 140.4 129.0 153.6 100.2 130.1 130.1 132.8 124.9 144.8 96.1
32.2 157.4 157.4 157.4 157.4 170.9 130.4 151.2 151.2 151.2 151.2 163.0 126.6 144.8 144.8 144.5 144.5 154.5 122.8 137.8 137.8 137.8 137.8 146.0 118.7
23.9 140.4 122.8 154.5 92.9 170.6 61.8 133.7 119.0 147.1 89.1 162.4 58.3 126.6 115.2 139.2 85.6 153.9 54.5 119.3 111.1 131.0 81.2 144.8 51.0
7790 26.7 143.3 143.3 155.0 116.9 170.9 86.5 137.5 137.5 147.7 113.1 163.0 82.9 131.0 131.0 140.1 109.3 154.5 79.1 124.6 124.6 131.9 105.2 145.4 75.6
29.4 151.8 151.8 156.8 141.3 171.5 110.8 145.7 145.7 149.5 137.5 163.3 107.0 139.2 139.2 142.2 133.7 154.8 103.2 132.2 132.2 134.2 129.6 146.0 99.4
32.2 160.3 160.3 160.3 160.3 172.3 134.8 153.9 153.9 153.9 153.9 164.4 131.0 147.1 147.1 147.1 147.1 155.9 127.2 140.1 140.1 140.1 140.1 147.4 123.1
Notes:
1. All capacities shown are gross and have not considered indoor fan heat. To obtain net cooling, subtract indoor fan heat.
2. TGC = Total gross capacity.
3. SHC = Sensible heat capacity.
Performance
Data

23
Performance
Data
Table 23-1 Electric Heat Air Temperature Rise (Degrees F) English
Heater Total CFM
Input (kW) MBh 7000 8000 9000 10000 11000 12000 13000 14000 15000 16000 17000
26.9 92 12.1 10.6 9.4 8.5 7.7 7.1
40.4 138 18.2 15.9 14.1 12.7 11.6 10.6 9.8 9.1 8.5 7.9 7.5
53.8 184 24.2 21.2 18.8 16.9 15.4 14.1 13.0 12.1 11.3 10.6 10.0
67.3 230 30.2 26.5 23.5 21.2 19.2 17.6 16.3 15.1 14.1 13.2 12.5
80.7 276 25.4 23.1 21.2 19.5 18.1 16.9 15.9 14.9
Notes:
1. Air temperature rise = (kW x 3413)/(scfm x 1.085).
2. All heaters on constant volume units provide 2 increments of capacity.
3. Air temperature rise in this table are based on heater operating at 415 volts.
Table 23-2 Electric Heat Air Temperature Rise (Degrees Celsius) Metric
Heater L/s
Input (kW) 3300 3780 4250 4720 5190 5660 6140 6610 7080 7550 8020
26.9 6.8 5.9 5.3 4.7 4.3 4.0
40.4 10.2 8.9 7.9 7.1 6.5 5.9 5.5 5.1 4.8 4.5 4.2
53.8 13.6 11.9 10.5 9.5 8.6 7.9 7.3 6.8 6.3 5.9 5.6
67.3 17.0 14.8 13.2 11.9 10.8 9.9 9.1 8.5 7.9 7.4 7.0
80.7 14.2 13.0 11.9 11.0 10.2 9.5 8.9 8.4
Notes:
1. Air temperature rise in this table are based on heater operating at 415 volts.
2. All heaters on constant volume units provide 2 increments of capacity.
Table 23-4 Natural Gas Heating Capacities
Heat Input MBh (KW) Heating Output MBh (KW) Air Temp. Rise,
Tons Unit Model No. (See Note 1) (See Note 1) F (C)
YCD/YCH275**L
22.9-29.2 YCD/YCH300**L 290,000 (85) 243,000 (69) 10-40 (-12.2 , 4.4)
YCD/YCH350**L
YCD/YCH275**H
22.9-29.2 YCD/YCH300**H 500,000 (147) 405,000 (119) 25-55 (-3.9 , 12.8)
YCD/YCH350**H
YCD/YCH400**L
33.3-42.7 YCD/YCH500**L 335,000 (98) 271,350 (80) 5-35 (-15 , 1.6)
YCD/YCH400**H
33.3-42.7 YCD/YCH500**H 670,000 (196) 542,700 (159) 20-50 (-6.7 , 10)
Note:
1. Total heating capacity.
Table 23-3 Available Electric Heat KW
Ranges
Nominal Nominal Voltage (v)
Unit Size
Tons 380 415
22.9 23-56 27-67
25.0 23-56 27-67
29.2 23-56 27-67
33.3 34-68 40-81
42.7 34-68 40-81
Notes:
1. KW ranges in this table are based on heater
operating at nominal voltages 380 or 415.

24
Table 24-1 Supply Fan Performance 23-29 Ton English
Static Pressure (in. wg)
0.25 0.50 0.75 1.00 1.25 1.50 1.75 2.00 2.25
SCFM RPM BHP RPM BHP RPM BHP RPM BHP RPM BHP RPM BHP RPM BHP RPM BHP RPM BHP
6670. 307. 0.92 371. 1.30 431. 1.75 490. 2.29 544. 2.86 593. 3.46 639. 4.08 681. 4.71 720. 5.36
7085. 317. 1.05 380. 1.46 436. 1.90 493. 2.44 546. 3.03 595. 3.65 640. 4.30 683. 4.96 722. 5.63
7500. 328. 1.20 390. 1.63 442. 2.07 496. 2.61 548. 3.21 597. 3.85 642. 4.52 684. 5.21 724. 5.91
7915. 339. 1.36 399. 1.81 449. 2.26 500. 2.80 551. 3.41 599. 4.06 644. 4.75 686. 5.46 726. 6.18
8330. 350. 1.53 408. 2.00 458. 2.48 505. 3.00 554. 3.62 601. 4.29 646. 4.99 687. 5.72 727. 6.47
8745. 361. 1.72 417. 2.21 467. 2.72 511. 3.23 558. 3.85 604. 4.53 648. 5.24 689. 5.99 729. 6.76
9160. 372. 1.92 427. 2.44 477. 2.98 519. 3.49 563. 4.10 608. 4.78 651. 5.51 691. 6.27 731. 7.06
9575. 384. 2.14 437. 2.68 486. 3.24 528. 3.79 569. 4.37 611. 5.05 654. 5.80 694. 6.57 733. 7.37
9990. 395. 2.38 448. 2.95 495. 3.52 537. 4.11 575. 4.68 616. 5.35 657. 6.10 697. 6.89 735. 7.70
10405. 407. 2.65 459. 3.24 504. 3.82 547. 4.45 583. 5.02 622. 5.68 661. 6.42 700. 7.22 738. 8.05
10820. 419. 2.94 470. 3.54 514. 4.14 556. 4.79 593. 5.40 628. 6.04 666. 6.77 704. 7.57 741. 8.42
11235. 432. 3.25 481. 3.87 524. 4.49 565. 5.15 602. 5.81 636. 6.43 671. 7.15 708. 7.95 744. 8.80
11650. 444. 3.59 492. 4.21 534. 4.86 574. 5.53 612. 6.23 645. 6.87 678. 7.57 713. 8.36 748. 9.21
12065. 457. 3.94 503. 4.57 544. 5.26 583. 5.93 621. 6.67 654. 7.35 685. 8.02 719. 8.80 753. 9.64
Notes:
1. Fan performance table includes internal resistances of cabinet, wet coil and 2 (50 mm) standard filters. For other components refer to component pressure
drop table.
2. The pressure drops from the supply fan to the space should not exceed 2.25 positive.
3. Maximum air flow for 23 ton unit is 10080 CFM, 25 ton is 11000 CFM, 29 ton is 12000 CFM.
4. Maximum motor HP 23 ton unit is 10 HP, 25 ton is 10 HP, 29 ton unit is 15 HP.
Table 24-2 Supply Fan Performance 82-105 KW Metric
Static Pressure (Pascals)
62.9 124.1 186.2 248.3 310.4 372.5 434.6 496.7 558.8
(L/s) RPM (kW) RPM (kW) RPM (kW) RPM (kW) RPM (kW) RPM (kW) RPM (kW) RPM (kW) RPM (kW)
3148. 307. 0.68 371. 0.97 431. 1.31 490. 1.70 544. 2.13 593. 2.58 639. 3.04 681. 3.51 720. 4.00
3344. 317. 0.78 380. 1.09 436. 1.42 493. 1.82 546. 2.26 595. 2.72 640. 3.20 683. 3.70 722. 4.20
3539. 328. 0.89 390. 1.22 442. 1.54 496. 1.95 548. 2.40 597. 2.87 642. 3.37 684. 3.88 724. 4.40
3735. 339. 1.01 399. 1.35 449. 1.68 500. 2.09 551. 2.54 599. 3.03 644. 3.54 686. 4.07 726. 4.61
3931. 350. 1.14 408. 1.49 458. 1.85 505. 2.24 554. 2.70 601. 3.20 646. 3.72 687. 4.26 727. 4.82
4127. 361. 1.28 417. 1.64 467. 2.03 511. 2.41 558. 2.87 604. 3.38 648. 3.91 689. 4.46 729. 5.04
4323. 372. 1.43 427. 1.82 477. 2.22 519. 2.60 563. 3.06 608. 3.57 651. 4.11 691. 4.68 731. 5.26
4519. 384. 1.59 437. 2.00 486. 2.42 528. 2.82 569. 3.26 611. 3.77 654. 4.32 694. 4.90 733. 5.50
4715. 395. 1.77 448. 2.20 495. 2.63 537. 3.06 575. 3.49 616. 3.99 657. 4.55 697. 5.13 735. 5.74
4910. 407. 1.97 459. 2.41 504. 2.85 547. 3.32 583. 3.74 622. 4.23 661. 4.79 700. 5.39 738. 6.00
5106. 419. 2.19 470. 2.64 514. 3.09 556. 3.58 593. 4.03 628. 4.50 666. 5.05 704. 5.65 741. 6.28
5302. 432. 2.42 481. 2.88 524. 3.35 565. 3.84 602. 4.33 636. 4.79 671. 5.33 708. 5.93 744. 6.56
5498. 444. 2.67 492. 3.14 534. 3.62 574. 4.12 612. 4.65 645. 5.13 678. 5.64 713. 6.23 748. 6.87
5694. 457. 2.94 503. 3.41 544. 3.92 583. 4.42 621. 4.97 654. 5.48 685. 5.98 719. 6.56 753. 7.19
Notes:
1. Fan performance table includes internal resistances of cabinet, wet coil and 2 (50 mm) standard filters. For other components refer to component pressure
drop table.
2. The pressure drops from the supply fan to the space should not exceed 2.25 (558.8 Pa) positive.
3. Maximum air flow 23 ton (80 kW) is 4756 L/s, 25 ton is 5190 l/s, 29 ton is 5663 L/s
4. Maximum motor kW for 23 ton unit is 7.5 (10 hp), 25 ton is 7.5 kW (10 HP), 29 ton is 11.2 kW (15 hp).
Performance
Data

25
Figure 25-1
Performance
Data

26
Table 26-1 Supply Fan Performance 33 and 42 Ton English
Static Pressure (in. wg)
0.25 0.50 0.75 1.00 1.25 1.50 1.75 2.00 2.25 2.50
SCFM RPM BHP RPM BHP RPM BHP RPM BHP RPM BHP RPM BHP RPM BHP RPM BHP RPM BHP RPM BHP
9996. 309. 1.80 360. 2.34 404. 2.88 447. 3.48 487. 4.10 525. 4.75 562. 5.41 597. 6.07 630. 6.75 662. 7.47
10829. 326. 2.19 374. 2.76 416. 3.35 458. 3.97 496. 4.62 532. 5.30 567. 6.01 602. 6.72 634. 7.44 666. 8.16
11662. 344. 2.64 388. 3.24 430. 3.88 468. 4.53 506. 5.21 541. 5.92 574. 6.65 607. 7.41 639. 8.18 670. 8.95
12495. 362. 3.15 403. 3.79 445. 4.48 480. 5.15 517. 5.86 551. 6.60 583. 7.37 614. 8.16 645. 8.97 675. 9.78
13328. 381. 3.72 420. 4.41 459. 5.12 494. 5.85 527. 6.58 562. 7.35 593. 8.15 623. 8.97 652. 9.81 681. 10.68
14161. 399. 4.37 437. 5.11 473. 5.84 509. 6.63 539. 7.39 572. 8.18 604. 9.01 633. 9.86 661. 10.73 688. 11.62
14994. 418. 5.09 454. 5.87 488. 6.64 524. 7.47 554. 8.28 583. 9.10 614. 9.95 643. 10.83 671. 11.73 698. 12.65
15827. 437. 5.89 472. 6.72 504. 7.53 537. 8.37 569. 9.26 596. 10.11 625. 10.98 654. 11.88 681. 12.81 708. 13.77
16660. 457. 6.79 490. 7.65 521. 8.51 551. 9.36 584. 10.31 611. 11.21 637. 12.11 664. 13.04 692. 13.99 718. 14.97
Notes:
1. Fan performance table includes internal resistances of cabinet, wet coil and 2 (50 mm) standard filters. For other components refer to component static
pressure drop table to arrive at available external static pressure.
2. The pressure drops from the supply fan to the space should not exceed 2.5 Wg (620.9 Pa) positive.
3. Max CFM for 33 ton unit - 14660, 42 ton - 16660.
4. Max motor HP for 33 ton unit-(15 HP), 42 ton (20 HP).
Table 26-2 Supply Fan Performance 105-148 KW Metric
Static Pressure (Pascals)
62.1 124,2 186.3 248.1 310.4 372.5 434.6 496.7 558.8 620.9
(L/s) RPM (kW) RPM (kW) RPM (kW) RPM (kW) RPM (kW) RPM (kW) RPM (kW) RPM (kW) RPM (kW) RPM (kW)
4717. 309. 1.34 360. 1.74 404. 2.15 447. 2.59 487. 3.06 525. 3.54 562. 4.03 597. 4.53 630. 5.03 662. 5.57
5111. 326. 1.63 374. 2.06 416. 2.50 458. 2.96 496. 3.45 532. 3.96 567. 4.48 602. 5.01 634. 5.54 666. 6.09
5504. 344. 1.97 388. 2.41 430. 2.90 468. 3.37 506. 3.88 541. 4.41 574. 4.96 607. 5.53 639. 6.10 670. 6.67
5897. 362. 2.35 403. 2.82 445. 3.34 480. 3.84 517. 4.37 551. 4.92 583. 5.49 614. 6.08 645. 6.69 675. 7.30
6290. 381. 2.77 420. 3.29 459. 3.82 494. 4.37 527. 4.91 562. 5.48 593. 6.08 623. 6.69 652. 7.32 681. 7.96
6683. 399. 3.26 437. 3.81 473. 4.35 509. 4.95 539. 5.51 572. 6.10 604. 6.72 633. 7.35 661. 8.00 688. 8.67
7076. 418. 3.80 454. 4.38 488. 4.95 524. 5.57 554. 6.18 583. 6.79 614. 7.42 643. 8.07 671. 8.75 698. 9.44
7469. 437. 4.40 472. 5.01 504. 5.62 537. 6.24 569. 6.91 596. 7.54 625. 8.19 654. 8.86 681. 9.55 708. 10.27
7862. 457. 5.06 490. 5.71 521. 6.35 551. 6.98 584. 7.68 611. 8.36 637. 9.03 664. 9.72 692. 10.43 718. 11.17
Notes:
1. Fan performance table includes internal resistances of cabinet, wet coil and 2 (50 mm) standard filters. For other components refer to component static
pressure drop table to arrive at available external static pressure.
2. The pressure drops from the supply fan to the space should not exceed 2.5 Wg (620.9 Pa) positive.
3. Max CFM for 33 ton unit 6825 L/s, 42 ton -7860 L/s
4. Max motor HP for 33 ton unit-11.2 kW (15 HP), 42 ton 14.9 kW (20 HP)
Performance
Data

27
Figure 27-1
Performance
Data

28
Performance
Data
Table 28-1 Component Static Pressure Drops (in wg) 50 Hz English
Heating System Filters
Nominal CFM Gas Heat Electric Heat ID Coil High Eff. Filters Inlet Guide
Std.Tons (kW) Std Air Low High 1 Element 2 Element Adder 2 4 Vanes Economizer
6670 0.07 0.05 0.04 0.05 0 0.03 0.02 0.04 0.331
7500 0.08 0.07 0.06 0.06 0 0.04 0.03 0.06 0.040
23 (80) 8330 0.10 0.08 0.07 0.08 0 0.05 0.04 0.07 0.049
9170 0.13 0.10 0.08 0.09 0 0.06 0.05 0.08 0.059
10000 0.15 0.12 0.10 0.11 0 0.07 0.05 0.10 0.070
7500 0.08 0.07 0.06 0.06 0 0.04 0.03 0.06 0.040
8330 0.10 0.08 0.07 0.08 0 0.05 0.04 0.07 0.049
25 (88) 9170 0.13 0.10 0.08 0.09 0 0.06 0.05 0.08 0.059
10000 0.15 0.12 0.10 0.11 0 0.07 0.06 0.12 0.070
8750 0.11 0.09 0.08 0.08 0.09 0.06 0.04 0.08 0.054
29 (103) 9580 0.14 0.11 0.09 0.10 0.10 0.07 0.06 0.11 0.065
11200 0.19 0.15 0.13 0.14 0.13 0.09 0.07 0.13 0.077
12100 0.22 0.17 0.15 0.16 0.15 0.11 0.08 0.15 0.091
10000 0.01 0.03 0.07 0.11 0 0.07 0.05 0.03 0070
10800 0.01 0.03 0.08 0.13 0 0.09 0.06 0.04 0.076
11700 0.01 0.04 0.10 0.15 0 0.10 0.07 0.04 0.085
33 (118) 12500 0.01 0.04 0.11 0.17 0 0.12 0.09 0.05 0.096
13300 0.02 0.05 0.12 0.19 0 0.13 0.10 0.06 0.107
14200 0.02 0.06 0.14 0.22 0 0.15 0.11 0.07 0.120
12500 0.01 0.04 0.11 0.17 0.08 0.12 0.09 0.05 0.095
13300 0.02 0.05 0.12 0.19 0.08 0.13 0.10 0.06 0.108
42 (146) 14200 0.02 0.06 0.16 0.24 0.10 0.17 0.12 0.07 0.120
15800 0.02 0.07 0.18 0.27 0.11 0.19 0.14 0.08 0.136
16700 0.03 0.08 0.20 0.30 0.12 0.21 0.15 0.09 0.155
Please note: Standard fan performance table includes pressure drops of wet coil and std. filters.
Table 28-2 Component Static Pressure Drops (Pa) 50 Hz Metric
Heating System Filters
Nominal L/s Gas Heat Electric Heat ID Coil High Eff. Filters Inlet Guide
Std.kW (Tons) Std Air Low High 1 Element 2 Element Adder 50 mm 100 mm Vanes Economizer
3150 17 13 11 12 0 8 6 11 0.05
3540 21 16 14 15 0 11 8 14 0.07
80 (23) 3930 26 20 17 19 0 13 9 17 0.08
4320 31 24 21 23 0 16 11 21 0.10
4720 37 29 25 27 0 19 14 25 0.12
3540 21 16 14 15 0 11 8 14 0.07
3930 26 20 17 19 0 13 9 17 0.08
88 (25) 4320 31 24 21 23 0 16 11 25 0.12
5120 44 34 29 32 0 22 16 29 0.14
4130 29 22 19 21 22 14 10 19 0.09
4520 34 27 23 25 26 17 12 23 0.11
103 (29) 4920 41 32 27 29 29 20 15 27 0.13
5310 47 37 32 34 33 24 17 32 0.15
4720 2 7 18 27 0 19 14 8 0.12
5120 3 8 21 32 0 22 16 10 0.14
5510 3 10 24 37 0 25 18 11 0.16
118 (33) 5900 4 11 27 42 0 29 21 13 0.18
6290 4 12 31 48 0 33 24 15 0.21
6680 5 14 35 54 0 38 27 16 0.24
5900 4 11 27 42 19 29 21 13 0.18
6290 4 12 31 48 21 33 24 15 0.21
146 (42) 6680 5 14 35 54 23 38 27 16 0.24
7070 5 16 39 60 25 42 31 18 0.27
7470 6 18 44 67 27 47 34 21 0.30
Please note: Standard fan performance table includes pressure drops of wet coil and std. filters.

29
Performance
Data
Table 29-2 Power Exhaust Fan
Performance - 50 Hz English
External Static Pressure
Inches of Water
Exhaust High Med Low
Airflow Speed Speed Speed
(Cfm) ESP ESP ESP
1000 0.800
1500 0.780
2000 0.750 0.400
2500 0.720 0.380
3000 0.680 0.370
3500 0.650 0.420 0.360
4000 0.610 0.380 0.340
4500 0.560 0.360 0.320
5000 0.520 0.330 0.300
5500 0.460 0.310 0.280
6000 0.420 0.290 0.250
6500 0.360 0.270 0.230
7000 0.310 0.240 0.190
7500 0.250 0.200 0.150
8000 0.200 0.160 0.120
8500 0.150 0.120 0.070
9000 0.100 0.060 0.000
9500 0.040 0.000
10000 0.000
Table 29-1 Supply Air Fan Drive Selections
5 HP 7.5 HP 10 HP 15 HP
Nominal Drive Drive Drive Drive
Tons (kW) RPM No RPM No RPM No RPM No
458 A
500 B
23 (80) 541 C
583 583 D
625 625* E
458 A
500 B
25 (88) 541 C
583 583 D
625 625 E
500 B
541 541 C
29 (103) 583 583 D
658 658** F
664 664* G
417 417 H
437 437 J
479 479 K
33 (118) 521 521 L
562 562 M
604 604 N
437 437 J
479 479 K
42 (146) 521 521 L
562 562 M
604 604 N
Note:
*For YC gas/electrics only.
**For TC and TE Cooling only and with electric Heat units only.
Notes:
1. Performance in table is with both motors operating.
2. High speed = both motors on high speed. Medium speed is one motor on high speed and one on low
speed. Low speed is both motors on low speed.
3. Power Exhaust option is not to be applied on systems that have more return air static pressure drop
than the maximum shown in the table for each motor speed tap.
Table 29-3 Power Exhaust Fan
Performance - 50 Hz Metric
External Static Pressure
Pa
Exhaust High Med Low
Airflow Speed Speed Speed
(L/s) ESP ESP ESP
470 199.3
710 194.3
940 186.8 99.6
1180 179.4 94.7
1420 169.4 92.2
1650 161.9 104.6 89.7
1890 152.0 94.7 84.7
2120 139.5 89.7 79.7
2360 129.5 82.2 74.7
2600 114.6 77.2 69.7
2830 104.6 72.2 62.3
3070 89.7 67.3 57.3
3300 77.2 59.8 47.3
3540 62.3 49.8 37.4
3780 49.8 39.9 29.9
4010 37.4 29.9 17.4
4250 24.9 14.9 0.0
4480 10.0 0.0
4720 0.0

30
Electrical
Data
Electrical Service Sizing
To correctly size electrical service
wiring for your unit, find the
appropriate calculations listed below.
Each type of unit has its own set of
calculations for MCA (Minimum Circuit
Ampacity), MOP (Maximum
Overcurrent Protection), and RDE
(Recommended Dual Element fuse
size). Read the load definitions that
follow and then find the appropriate set
of calculations based on your unit type.
Set 1 is for cooling only and cooling
with gas heat units, and set 2 is for
cooling with electric heat units.
Load Definitions
LOAD1 = CURRENT OF THE LARGEST
MOTOR (COMPRESSOR OR FAN
MOTOR)
LOAD2 = SUM OF THE CURRENTS OF
ALL REMAINING MOTORS
LOAD3 = CURRENT OF ELECTRIC
HEATERS
LOAD4 = ANY OTHER LOAD RATED AT
1 AMP OR MORE
Set 1. Cooling Only Rooftop Units and
Cooling with Gas Heat Rooftop Units
MCA = (1.25 x LOAD1) + LOAD2 +
LOAD4
MOP = (2.25 x LOAD1) + LOAD2 +
LOAD4
Select a fuse rating equal to the MOP
value. If the MOP value does not equal
a standard fuse size as listed in NEC
240-6, select the next lower standard
fuse rating. NOTE: If selected MOP is
less than the MCA, then reselect the
lowest standard maximum fuse size
which is equal to or larger than the
MCA, provided the reselected fuse size
does not exceed 800 amps.
RDE = (1.5 x LOAD1) + LOAD2 +
LOAD4
Select a fuse rating equal to the RDE
value. If the RDE value does not equal a
standard fuse size as listed in NEC 240-
6, select the next higher standard fuse
rating. NOTE: If the selected RDE is
greater than the selected MOP value,
then reselect the RDE value to equal
the MOP value.
DSS = 1.15 x (LOAD1 + LOAD2 +
LOAD4)
Select a disconnect switch size equal to
or larger than the DSS value calculated.
Set 2. Rooftop units with Electric Heat
To arrive at the correct MCA, MOP, and
RDE values for these units, you must
perform two sets of calculations. First
calculate the MCA, MOP, and RDE
values as if the unit was in cooling
mode (use the equations given in Set
1). Then calculate the MCA, MOP, and
RDE values as if the unit were in the
heating mode as follows.
(Keep in mind when determining
LOADS that the compressors and
condenser fans dont run while the unit
is in the heating mode).
For units using heaters less than 50 kW.
MCA = 1.25 x (LOAD1 + LOAD2 +
LOAD4) + (1.25 x LOAD3)
For units using heaters equal to or
greater than 50 kW.
MCA = 1.25 x (LOAD1 + LOAD2 +
LOAD4) + LOAD3
The nameplate MCA value will be the
larger of the cooling mode MCA value
or the heating mode MCA value
calculated above.
MOP = (2.25 x LOAD1) + LOAD2 +
LOAD3 + LOAD4
The selection MOP value will be the
larger of the cooling mode MOP value
or the heating mode MOP value
calculated above.
Select a fuse rating equal to the MOP
value. If the MOP value does not equal
a standard fuse size as listed in NEC
240-6, select the next lower standard
fuse rating. NOTE: If selected MOP is
less than the MCA, then reselect the
lowest standard maximum fuse size
which is equal to or larger than the
MCA, provided the reselected fuse size
does not exceed 800 amps.
RDE = (1.5 x LOAD1) + LOAD2 +
LOAD3 + LOAD4
The selection RDE value will be the
larger of the cooling mode RDE value
or the heating mode RDE value
calculated above.
Select a fuse rating equal to the RDE
value. If the RDE value does not equal a
standard fuse size as listed in NEC 240-
6, select the next higher standard fuse
rating. NOTE: If the selected RDE is
greater than the selected MOP value,
then reselect the RDE value to equal
the MOP value.
DSS = 1.15 x (LOAD1 + LOAD2 +
LOAD3 + LOAD4)
NOTE: Keep in mind when determining
LOADS that the compressors and
condenser fans dont run while the unit
is in the heating mode.
The selection DSS value will be the
larger of the cooling mode DSS or the
heating mode DSS calculated above.
Select a disconnect switch size equal to
or larger than the DSS value calculated.

31
Electrical
Data
Table 31-1 Electrical Service Sizing Data
Fan Motors
Compressor Supply Condenser
Electrical2Qty./ RLA LRA FLA Max.
Model Characteristics Nominal HP (Ea.) Ea.) HP FLA No. HP (Ea.) MCA* Fuse Size
TC/TE/YC*275 380-415/50/3 2/10,15 18.1/27.3 110/174 5 13.1 3 .75 4.4 79 100
TC/TE/YC*305 380-415/50/3 2/15,15 27.3 174 5 13.1 3 .75 4.4 93 110
TC/TE/YC*350 380-415/50/3 2/15,15 27.3 174 5 13.1 3 .75 4.4 93 110
TC/TE/YC*400 380-415/50/3 2/15,15 27.3 174 7.5 16.6 4 .75 4.4 119 125
1/10 18.1 110
TC/TE/YC*500 380-415/50/3 3/15 27.3 174 7.5 16.6 4 .75 4.4 128 150
Notes:
1. All customer wiring and devices must be installed in accordance with local and national electrical codes.
2. Allowable voltage range for the 380V unit is 342-418V, allowable voltage range for the 415V unit is 373-456.
* Minimum Circuit Ampacity.
Table 31-2 Electrical Service Sizing Data Electric Heat Module
(Electric Heat Units Only)
Models: TED/TEH 275 thru 500
Electric Heat FLA
Nominal Nominal
Unit Size Unit KW Heater (380/415V)
(Tons) Voltage 23/27 34/40 45/54 56/67 68/81
23-29 380 34.5 51.1 68.9 85.5
415 37.6 55.6
33, 43 380 51.1 68.9 85.5 103.4
415 55.6 75.1 93.2 112.7
Notes:
1. All FLA in this table are based on heater operating at 380 or 415 volts as shown above.

32
Controls VAV Units Only
Sequence of Operation
1
Supply Air Pressure Control
Inlet Guide Vane Control
Inlet guide vanes are driven by a
modulating 2-10 vdc signal from the
VAV Module. A pressure transducer
measures duct static pressure, and the
inlet guide vanes are modulated to
maintain the supply air static pressure
within an adjustable user-defined
range. The range is determined by the
supply air pressure setpoint and supply
air pressure deadband, which are set
through a unit mounted potentiometer.
Inlet guide vane assemblies installed
on the supply fan inlets regulate fan
capacity and limit horsepower at lower
system air requirements. When in any
position other than full open, the vanes
pre-spin intake air in the same direction
as supply fan rotation. As the vanes
approach the full-closed position, the
amount of spin induced by the vanes
increases at the same time that intake
airflow and fan horsepower diminish.
The inlet guide vanes will close when
the supply fan is shut down.
Supply Air Static Pressure Limit
The opening of the inlet guide vanes
and VAV boxes are coordinated during
unit start up and transition to/from
Occupied/Unoccupied modes to
prevent overpressurization of the
supply air ductwork. However, if for any
reason the supply air pressure exceeds
the fixed supply air static pressure limit
of 3.5 (89 mm) W.C., the supply fan is
shut down and the inlet guide vanes
are closed. The unit is then allowed to
restart four times. If the
overpressurization condition occurs on
the fifth time, the unit is shut down and
a manual reset diagnostic is set and
displayed at any of the remote panels
with LED status lights or
communicated to the Integrated
Comfort system.
2
Supply Air Temperature Controls
Cooling/Economizer
During occupied cooling mode of
operation, the economizer (if available)
and primary cooling are used to control
the supply air temperature. The supply
air temperature setpoint is user-defined
at the unit mounted VAV Setpoint Panel
or at the remote panel. If the enthalpy
of the outside air is appropriate to use
free cooling, the economizer will be
used first to attempt to satisfy the
supply setpoint.
On units with economizer, a call for
cooling will modulate the fresh air
dampers open. The rate of economizer
modulation is based on deviation of the
discharge temperature from setpoint,
i.e., the further away from setpoint, the
faster the fresh air damper will open.
Note that the economizer is only
allowed to function freely if ambient
conditions are below the enthalpy
control setting or below the return air
enthalpy if unit has comparative
enthalpy installed. If outside air is not
suitable for economizing, the fresh
air dampers drive to the minimum
open position. A field adjustable
potentiometer on the Unitary
Economizer Module, Tracer®, or a
remote potentiometer can provide the
input to establish the minimum
damper position.
At outdoor air conditions above the
enthalpy control setting, primary
cooling only is used and the fresh air
dampers remain at minimum position.
If the unit does not include an
economizer, primary cooling only is
used to satisfy cooling requirements.
Supply Air Setpoint Reset
Supply air reset can be used to adjust
the supply air temperature setpoint on
the basis of a zone temperature, return
air temperature, or on outdoor air
temperature. Supply air reset
adjustment is available on the unit
mounted VAV Setpoint Panel for supply
air cooling control.
a
reset based on outdoor air
temperature
Outdoor air cooling reset is sometimes
used in applications where the outdoor
temperature has a large effect on
building load. When the outside air
temperature is low and the building
cooling load is low, the supply air
setpoint can be raised, thereby
preventing subcooling of critical zones.
This reset can lower usage of primary
cooling and result in a reduction in
primary cooling energy usage.
There are two user-defined parameters
that are adjustable through the VAV
Setpoint Panel: reset temperature
setpoint and reset amount. The
amount of reset applied is dependent
upon how far the outdoor air
temperature is below the supply air
reset setpoint. The amount is zero
where they are equal and increases
linearly toward the value set at the
reset amount input. The maximum
value is 20°F (-6.7°C). If the outdoor air
temperature is more than 20°F (-6.7°C)
below the reset temperature setpoint
the amount of rest is equal to the reset
amount setpoint.
b
reset based on zone or return
temperature
Zone or return reset is applied to the
zone(s) in a building that tend to
overcool or overheat. The supply air
temperature setpoint is adjusted based
on the temperature of the critical
zone(s) or the return air temperature.
This can have the effect of improving
comfort and/or lowering energy usage.
The user-defined parameters are the
same as for outdoor air reset.
Logic for zone or return reset control is
the same except that the origins of the
temperature inputs are the zone sensor
or return sensor respectively. The
amount of reset applied is dependent
upon how far the zone or return air
temperature is below the supply air
reset setpoint. The amount is zero
where they are equal and increases
linearly toward the value set at the
reset amount potentiometer on the
VAV Setpoint panel. The maximum
value is 3°F (-16.1°C). If the return or
zone temperature is more than
3°F (-16.1°C) below the reset
temperature setpoint the amount of
reset is equal to the reset amount
setpoint.
3
Zone Temperature Control
Unoccupied Zone Heating and Cooling
During Unoccupied mode, the unit is
operated as a CV unit. Inlet guide vanes
and VAV boxes are driven full open.
The unit controls zone temperature to
the Unoccupied zone cooling and
heating (heating units only) setpoints.
Daytime Warm-Up
During occupied mode, if the zone
temperature falls to a temperature
three degrees below the Morning
Warm-up setpoint, Daytime Warm-up
is initiated. The system changes to CV
heating (full unit airflow), the VAV
boxes are fully opened and the CV
heating algorithm is in control until the
Morning Warm-up setpoint is reached.
The unit is then returned to VAV
cooling mode. The Morning Warm-up
setpoint is set at the unit mounted VAV
Setpoint panel or at a remote panel.

33
Controls CV Units Only
VAV Units Only
Morning Warm-up (MWU)
Morning warm-up control (MWU) is
activated whenever the unit switches
from unoccupied to occupied and the
zone temperature is at least 1.5°F
below the MWU setpoint. When MWU
is activated the VAV box output will be
energized for at least 6 minutes to drive
all boxes open, the inlet guide vanes
are driven full open, and all stages of
heat (gas or electric) are energized.
When MWU is activated the
economizer damper is driven fully
closed. When the zone temperature
meets or exceeds the MWU setpoint
minus 1.5°F, the heat will be staged
down. When the zone temperature
meets or exceeds the MWU setpoint
then MWU will be terminated and the
unit will switch over to VAV cooling.
CV Units Only
Sequence of Operation
1
Occupied Zone Temperature Control
Cooling/Economizer
During occupied cooling mode, the
economizer (if provided) and primary
cooling are used to control zone
temperature. If the enthalpy of outside
air is appropriate to use free cooling,
the economizer will be used first to
attempt to satisfy the cooling zone
temperature setpoint; then primary
cooling will be staged up as necessary.
On units with economizer, a call for
cooling will modulate the fresh air
dampers open. The rate of economizer
modulation is based on deviation of the
zone temperature from setpoint, i.e.,
the further away from setpoint, the
faster the fresh air damper will open.
First stage of cooling will be allowed to
start after the economizer reaches full
open.
Note that the economizer is allowed to
function freely only if ambient
conditions are below the enthalpy
control setting or below the return air
enthalpy if unit has comparative
enthalpy. If outside air is not suitable
for economizing, the fresh air
dampers drive to the minimum open
position. A field adjustable
potentiometer on the Unitary
Economizer Module (UEM), Tracer or a
remote potentiometer can provide the
input to establish the minimum
damper position.
At outdoor air temperatures above the
enthalpy control setting, primary
cooling only is used and the outdoor
air dampers remain at minimum
position.
If the unit does not include an
economizer, primary cooling only is
used to satisfy cooling requirements.
Heating
Gas Heating
When heating is required the UCP
initiates the heating cycle by energizing
the K5 relay, heating relay(s), and the
ignition control module(s). The K5 relay
brings on the combustion fan motor.
The ignition control module(s) begin
the ignition process by preheating the
hot surface ignitor(s). After the hot
surface ignitor is preheated the gas
valve is opened to ignite first stage. If
ignition does not take place the ignition
control module(s) will attempt to ignite
2 more times before locking out. When
ignition does occur the hot surface
ignitor is de-energized and then
functions as a flame sensor. The UCP
will energize the supply fan contactor
45 seconds after the initiation of the
heat cycle. If more capacity is needed
to satisfy the heating setpoint, the UCP
will call for the second stage of heat by
driving the combustion blower motor
to high speed.
When the space temperature rises
above the heating setpoint, the UCP de-
energizes the K5 relay, the heating
relays, and the ignition control module,
terminating the heat cycle.
Electric Heating
When heat is required, the UCP
initiates first stage heating by
energizing the first stage electric heat
contactor. The first stage electric heater
bank(s) will be energized if the
appropriate limits are closed. The UCP
will cycle first stage heat on and off as
required to maintain zone temperature.
If first stage cannot satisfy the
requirement, the UCP will energize the
second stage electric heat contactor(s)
if the appropriate limits are closed. The
UCP will cycle second stage on and off
as required while keeping stage one
energized.
The supply fan is energized
approximately 1 second before the
electric heat contactors. When the
space temperature rises above the
heating setpoint, the UCP de-energizes
the supply fan and all electric heat
contactors.
Supply Air Tempering
This feature is available only with
TRACER or with systems using
programmable zone sensors (CV only
with economizer). For gas and electric
heat units in the Heat mode but not
actively heating, if the supply air
temperature drops to 10°F (-12.2°C)
below the occupied zone heating
temperature setpoint, one stage of heat
will be brought on to maintain a
minimum supply air temperature. The
heat stage is dropped if the supply air
temperature rises to 10°F (-12.2°C)
above the occupied zone heating
temperature setpoint.
Auto Changeover
When the System Mode is Auto, the
mode will change to cooling or heating
as necessary to satisfy the zone cooling
and heating setpoints. The zone
cooling and heating setpoints can be as
close as 2°F (-16.7°C) apart.
Unoccupied Zone Temperature Control
Cooling and Heating
Both cooling or heating modes can be
selected to maintain Unoccupied zone
temperature setpoints. For Unoccupied
periods, heating or primary cooling
operation can be selectively locked out
at the remote panels or TRACER.

34
Controls Both VAV and
CV Units
Control Sequences of Operation That are Common to Both VAV and CV Units
Ventilation Override (VOM)
Ventilation override allows an external
system to assume control of the unit
for the purpose of exhaust or
pressurization. There are two inputs
associated with ventilation override,
the initiate input and the select input.
When the UCP senses a continuous
closed condition on the initiate input at
the low voltage terminal board the unit
will begin ventilation override
depending on the condition of the
select input. The default condition of
the select input is exhaust (input open).
A closed select input will yield
pressurization. The component state
matrix for ventilation override is as
follows:
System
Component Exhaust Pressurization
Heat/Cool off off
IGV closed open
Supply Fan off on
Exhaust Fan on off
Outside Air Damper closed open
Return Air Damper open closed
VAV Boxes n/a open
Coil Freeze Protection FROSTAT
The FROSTAT system eliminates the
need for hot gas bypass and adds a
suction line surface temperature sensor
to determine if the coil is in a condition
of impending frost. If impending frost is
detected primary cooling capacity is
shed as necessary to prevent icing. All
compressors are turned off after they
have met their minimum three minute
on times. The supply fan is forced on
until the FROSTAT device no longer
senses a frosting condition or for 60
seconds after the last compressor is
shut off, which ever is longer.
Occupied/Unoccupied Switching
There are three ways to switch
Occupied/Unoccupied:
1
NSB Panel
2
Field-supplied contact closure
3
TRACER
Night Setback Sensors
Tranes night setback sensors are
programmable with a time clock
function that provides communication
to the rooftop unit through a two-wire
communications link. The desired
transition times are programmed at the
night setback sensor and
communicated to the unit.
Night setback (unoccupied mode) is
operated through the time clock
provided in the sensors with night
setback. When the time clock switches
to night setback operation, the outdoor
air dampers close and heating/cooling
can be enabled or disabled. As the
building load changes, the night
setback sensor communicates the need
for the rooftop heating/cooling (if
enabled) function and the evaporator
fan. The rooftop unit will cycle through
the evening as heating/cooling (if
enabled) is required in the space. When
the time clock switches from night
setback to occupied mode, all heating/
cooling functions begin normal
operation.
When using the night setback options
with a VAV heating/cooling rooftop,
airflow must be maintained through
the rooftop unit. This can be
accomplished by electrically tying the
VAV boxes to the VAV heat relay
contacts on the Low voltage terminal
board or by using changeover
thermostats. Either of these methods
will assure adequate airflow through
the unit and satisfactory temperature
control of the building.
Timed Override Activation ICS
When this function is initiated by
pushing the override button on the ICS
sensor, TRACER will switch the unit to
the occupied mode. Unit operation
(occupied mode) during timed override
is terminated by a signal from TRACER.
Timed Override Activation Non-lCS
When this function is initiated by the
push of an override button on the
programmable zone sensor, the unit
will switch to the occupied mode.
Automatic Cancellation of the Timed
override Mode occurs after three hours
of operation.
Comparative Enthalpy Control
of Economizer
The Unitary Economizer Module (UEM)
receives inputs from optional return air
humidity and temperature sensors and
determines whether or not it is feasible
to economize. If the outdoor air
enthalpy is greater than the return air
enthalpy then it is not feasible to
economize and the economizer
damper will not open past its minimum
position.
Emergency Stop Input
A binary input is provided on the UCP
for installation of field provided switch
or contacts for immediate shutdown of
all unit functions. The binary input is
brought out to Low Voltage Terminal
Board One (LTB1).
Conventional Thermostat Interface
(CV ONLY)
An interface is required to use a
conventional thermostat instead of a
zone sensor module with the UCP. The
Conventional Thermostat Interface
(CTI) is connected between
conventional thermostat and the UCP
and will allow only two steps of heating
or cooling. The CTI provides zone
temperature control only and is
mutually exclusive of the Trane
Communications Interface.

35
Dimensional
Data
Figure 35-1 23-29 Tons (TC, TE, YC Low Heat)
Note:
Dimensions in ( ) are mm
1 = 25.4 mm

36
Figure 36-1 23-29 Tons (YC High Heat)
Dimensional
Data
Note:
Dimensions in ( ) are mm
1 = 25.4 mm

37
Figure 37-1 33-42 Tons (TC, TE, YC Low & High Heat)
Dimensional
Data
Note:
Dimensions in ( ) are mm
1 = 25.4 mm

38
Table 38-2 Approximate Operating Weights Kgs.
Basic Unit Weights1Weight of Optional Components
Non- Fact.
Hi-Stat/ 0-25% Inlet Thru-the Fused GFI with
Unit YC YC TC TE Baro. Power Hi Eff. Sup Man Guide Serv base Discon. Discon.
Model Low Heat High Heat Relief Exhaust Fan Motor2Damper Econ. Vanes Valves Elec. Switch Switch
**D275 1643 1805 1584 1599 50 74 54 23 117 25 5 3 14 38
**H275 1643 1835 1604 1619 65 90 54 23 128 25 5 3 14 38
**D305 1679 1841 1620 1635 50 74 54 23 117 25 5 3 14 38
**H305 1679 1864 1620 1635 65 90 54 23 128 25 5 3 14 38
**D350 1717 1880 1658 1673 50 74 54 23 117 25 5 3 14 38
**H350 1717 1902 1658 1673 65 90 54 23 128 25 5 3 14 38
**D400 2099 2153 1998 2014 50 74 56 23 131 32 8 3 14 38
**H400 2111 2167 1998 2014 65 90 56 23 135 32 8 3 14 38
**D500 2176 2230 2075 2090 50 74 56 23 131 32 8 3 14 38
**H500 2187 2243 2075 2090 65 90 56 23 135 32 8 3 14 38
Notes:
1. Basic unit weight includes minimum HP Supply Fan Motor.
2. Optional high static and high efficiency motor weights are in addition to the standard motor weight included in the basic unit weight.
Table 38-1 Approximate Operating Weights Lbs.
Basic Unit Weights1Weight of Optional Components
Non- Fact.
Hi-Stat/ 0-25% Inlet Thru-the Fused GFI with
Unit YC YC TC TE Baro. Power Hi Eff. Sup Man Guide Serv base Discon. Discon.
Model Low Heat High Heat Relief Exhaust Fan Motor2Damper Econ. Vanes Valves Elec. Switch Switch
**D275 3650 4012 3520 3553 110 165 120 50 260 55 11 6 30 85
**H275 3650 4077 3565 3598 145 200 120 50 285 55 11 6 30 85
**D305 3730 4092 3600 3633 110 165 120 50 260 55 11 6 30 85
**H305 3730 4142 3600 3633 145 200 120 50 285 55 11 6 30 85
**D350 3815 4177 3685 3718 110 165 120 50 260 55 11 6 30 85
**H350 3815 4227 3685 3718 145 200 120 50 285 55 11 6 30 85
**D400 4665 4785 4440 4475 110 165 125 50 290 70 18 6 30 85
**H400 4690 4815 4440 4475 145 200 125 50 300 70 18 6 30 85
**D500 4835 4955 4610 4645 110 165 125 50 290 70 18 6 30 85
**H500 4860 4985 4610 4645 145 200 125 50 300 70 18 6 30 85
Notes:
1. Basic unit weight includes minimum HP Supply Fan Motor.
2. Optional high static and high efficiency motor weights are in addition to the standard motor weight included in the basic unit weight.
Weights
Table 38-3 Point Loading Percentage of Total Unit Weight1
POINT LOADING - % OF TOTAL UNIT WEIGHT
ABCDE F
21 23 12 16 17 12
1. Point Loading is identified with corner A being the corner with the compressors. As you
move clockwise around the unit as viewed from the top, mid-point B, corner C, corner D,
mid-point E and corner F.
Table 38-4 Minimum Operating Clearances for Unit Installation
Condenser Coil2Service Side
Econo / Exhaust End End / Side Access
Single Unit16 Feet (1.82 M) 8 Feet / 4 Feet (2.43/1.21 M) 4 Feet (1.21 M)
Multiple Unit1,3 12 Feet (3.65 M) 16 Feet / 8 Feet (4.87/2.43 M) 8 Feet (2.43 M)
Notes:
1. Horizontal and Downflow Units, all sizes.
2. Condenser coil is located at the end and side of the unit.
3. Clearances on multiple unit installations are distances between units.
DE F
CB A
TOP VIEW
OF UNIT
COMPRS

39
Field
Installed
Sensors
Variable Air
Volume
SINGLE SETPOINT SENSOR WITH
SYSTEM FUNCTION LIGHTS (BAYSENS021*)
NOTE:
Remote sensors are available for use with all zone sensors to provide
remote sensing capabilities.
PROGRAMMABLE NIGHT-SETBACK
SENSOR (BAYSENS020*)
Note:
Dimensions in ( ) are mm
1 = 25.4 mm

40
Field
Installed
Sensors
Constant
Volume
DUAL SETPOINT, MANUAL/AUTOMATIC CHANGEOVER SENSOR WITH SYSTEM
FUNCTION LIGHTS (BAYSENS010*)
WITHOUT LED STATUS INDICATORS (BAYSENS008*)
SINGLE SETPOINT WITHOUT LED STATUS INDICATORS
(BAYSENS006*)
PROGRAMMABLE NIGHT-SETBACK
SENSOR (BAYSENS019*)
Note:
Dimensions in ( ) are mm
1 = 25.4 mm

41
Field
Installed
Sensors
Constant and
Variable
Air Volume
NOTE: Remote sensors are available for use with all zone sensors to provide remote sensing capabilities.
Integrated Comfort System Sensors
ZONE TEMPERATURE SENSOR W/TIMED OVERRIDE BUTTON
AND LOCAL SETPOINT ADJUSTMENT (BAYSENS014*)
ZONE TEMPERATURE SENSOR
W/TIMED OVERRIDE BUTTON (BAYSENS013*)
ALSO AVAILABLE SENSOR ONLY (BAYSENS017*)
Color: Cool Pantone Gray
TEMPERATURE SENSOR (BAYSENS016*)
REMOTE MINIMUM POSITION
POTENTIOMETER CONTROL (BAYSTAT023)
Note:
Dimensions in ( ) are mm
1 = 25.4 mm

42
Mechanical
Specifications
General
The units shall be dedicated downflow
or horizontal airflow. The operating
range shall be between 115°F and 0°F
(46.1°C and -17.8°C) in cooling as
standard from the factory for all units.
60 HZ cooling performance shall be
rated in accordance with ARI testing
procedures. All units shall be factory
assembled, internally wired, fully
charged with HCFC-22 and
100 percent run tested to check cooling
operation, fan and blower rotation and
control sequence before leaving the
factory. Wiring internal to the unit
shall be numbered for simplified
identification.
Casing
Unit casing shall be constructed of zinc
coated, heavy-gauge, galvanized steel.
All components shall be mounted in a
weather resistant steel cabinet with a
painted exterior. Where top cover
seams exist, they shall be double
hemmed and gasket sealed to prevent
water leakage. Cabinet construction
shall allow for all maintenance on one
side of the unit. Service panels shall
have handles and shall be removable
while providing a water and air tight
seal. Control box access shall be
hinged. The indoor air section shall be
completely insulated with fire resistant,
permanent, odorless glass fiber
material. The base of the unit shall
have provisions for crane lifting.
Filters
Two-inch (51 mm), throwaway filters
shall be standard on all size units.
Two-inch (51 mm) high efficiency,
and four-inch (102 mm) high
efficiency filters shall be optional.
Compressors
All units shall have direct-drive,
hermetic, scroll type compressors with
centrifugal type oil pump providing
positive lubrication to moving parts.
Motor shall be suction gas-cooled and
shall have a voltage utilization range of
plus or minus 10 percent of unit
nameplate voltage. Internal
temperature and current sensitive
motor overloads shall be included for
maximum protection. Shall have
internal sound muffling to minimize
vibration transmission and noise.
External discharge temperature limit,
winding temperature limit and
compressor overload shall be
provided.
Refrigerant Circuits
Each refrigerant circuit shall have
independent thermostatic expansion
devices, service pressure ports and
refrigerant line filter driers factory-
installed as standard. An area shall be
provided for replacement suction line
driers.
Evaporator and Condenser Coils
Condenser coils shall have 3/8 (10 mm)
copper tubes mechanically bonded to
lanced aluminum plate fins. Evaporator
coils shall be 1/2 (13 mm) internally
finned copper tubes mechanically
bonded to high performance
aluminum plate fins. All coils shall be
leak tested at the factory to ensure
pressure integrity. All coils shall be leak
tested to 200 psig and pressure tested
to 450 psig. All evaporator coils shall
be of intermingled configuration.
Outdoor Fans
The outdoor fan shall be direct-drive,
statically and dynamically balanced,
draw through in the vertical discharge
position. The fan motor(s) shall be
permanently lubricated and have built-
in thermal overload protection.
Indoor Fan
Units shall have belt driven, FC,
centrifugal fans with fixed motor
sheaves. All motors shall be circuit
breaker protected.
Electric Heaters
Electric heat shall be available for
factory installation within basic unit.
Electric heater elements shall be
constructed of heavy-duty nickel
chromium elements wye connected for
380 and 415 volt. Staging shall be
achieved through the unitary control
processor (UCP). Each heater package
shall have automatically reset high limit
control operating through heating
element contactors. All heaters shall be
individually fused from factory, where
required, and meet all NEC and CEC
requirements. Power assemblies shall
provide single-point connection.
Gas Heating Section
The heating section shall have a drum
and tube heat exchanger(s) design
using corrosion resistant steel
components. A forced combustion
blower shall supply premixed fuel to a
single burner ignited by a pilotless hot
surface ignition system. In order to
provide reliable operation, a negative
pressure gas valve shall be used that
requires blower operation to initiate
gas flow. On an initial call for heat, the
combustion blower shall purge the
heat exchanger(s) 45 seconds before
ignition. After three unsuccessful
ignition attempts, the entire heating
system shall be locked out until
manually reset at the thermostat. Units
shall be suitable for use with natural
gas or propane (field installed kit). All
units shall have two stage heating.
Controls
Unit shall be completely factory wired
with necessary controls and terminal
block for power wiring. Units shall
provide an external location for
mounting fused disconnect device.
Microprocessor controls shall be
provided for all 24 volt control
functions. The resident control
algorithms shall make all heating,
cooling and/or ventilating decisions in
response to electronic signals from
sensors measuring indoor and outdoor
temperatures. The control algorithm
maintains accurate temperature
control, minimizes drift from set point
and provides better building comfort.
A centralized microprocessor shall
provide anti-short cycle timing and
time delay between compressors to
provide a higher level of machine
protection.
Control Options
Inlet Guide Vanes shall be installed on
each fan inlet to regulate capacity and
limit horsepower at lower system
requirements. When in any position
other than full open they shall pre-spin
intake air in the same direction as fan
rotation. The inlet guide vanes shall
close when supply fan is off, except in
night setback.
The inlet guide vane actuator motor
shall be driven by a modulating dc
signal from the unit microprocessor. A
pressure transducer shall measure duct
static pressure and modulate the inlet
guide vanes to maintain the required
supply air static pressure within a
predetermined range.

43
Mechanical
Specifications
Variable Frequency Drives (VFDs) shall
be factory installed and tested to
provide supply fan motor speed
modulation. The VFD shall receive a
2-10 VDC signal from the unit
microprocessor based upon supply
static pressure and shall cause the
drive to accelerate or decelerate as
required to maintain the supply static
pressure setpoint. When subjected to
high ambient return conditions
(>100°F) (>37.3°C) the VFD shall be
limited to a maximum output of 48
hertz until the temperature drops below
100°F (37.3°C). Bypass control to
provide full nominal air flow in the
event of drive failure shall be optional.
Ventilation Override shall allow a
binary input from the fire/life safety
panel to cause the unit to override
standard operation and assume one of
two factory preset ventilation
sequences, exhaust or pressurization.
The two sequences shall be selectable
based open a binary select input.
Outside Air
Manual Outside Air
A manually controllable outside air
damper shall be adjustable for up to
25 percent outside air. Manual damper
is set at desired position at unit
start up.
Economizer shall be factory installed.
The assembly includes: fully
modulating 0-100 percent motor and
dampers, minimum position setting,
preset linkage, wiring harness, and
fixed dry bulb control. Solid-state
enthalpy and differential enthalpy
control shall be as a factory or field
installed option.
Exhaust Air
Barometric Relief
The barometric relief damper shall be
optional with the economizer. Option
shall provide a pressure operated
damper for the purpose of space
pressure equalization and be gravity
closing to prohibit entrance of outside
air during the equipment off cycle.
Power Exhaust Fan
Power exhaust shall be available on all
units and shall be factory installed. It
shall assist the barometric relief
damper in maintaining building
pressurization.
Unit Options
Service Valves
Service valves shall be provided factory
installed and include suction, liquid,
and discharge three-way shutoff
valves.
Through-The-Base Electrical Provision
An electrical service entrance shall be
provided which allows access to route
all high and low voltage electrical
wiring inside the curb, through the
bottom of the outdoor section of the
unit and into the control box area.
Non-Fused Disconnect Switch
A factory installed non-fused
disconnect switch with external handle
shall be provided and shall satisfy NEC
requirements for a service disconnect.
The non-fused disconnect shall be
mounted inside the unit control box.
GFI Convenience Outlet
(Factory Powered)
A 15A, 115V Ground Fault Interrupter
convenience outlet shall be factory
installed. It shall be wired and powered
from a factory mounted transformer or
field powered through a separate 115V
circuit. Unit mounted non-fused
disconnect with external handle shall
be furnished with factory powered
outlet.
GFI Convenience Outlet
(Field Powered)
A 15A, 115V Ground Fault Interrupter
convenience outlet shall be factory
installed and shall be powered by
customer provided 115V circuit.
Hinged Service Access
Filter access panel and supply fan
access panel shall be hinged for ease of
unit service.
Condenser Coil Guards
Factory installed condenser vinyl
coated wire mesh coil guards shall be
available to provide full area protection
against debris and vandalism.
Accessories
Roof Curb
The roof curb shall be designed to
mate with the unit and provide support
and a water tight installation when
installed properly. The roof curb design
shall allow field-fabricated rectangular
supply/return ductwork to be
connected directly to the curb when
used with downflow units. Curb design
shall comply with NRCA requirements.
Curb shall ship knocked down for field
assembly and include wood nailer
strips.
Trane Communication Interface (TCI)
Shall be provided to interface with the
Trane Integrated Comfort system and
shall be available factory installed. The
TCI shall allow control and monitoring
of the rooftop unit via a two-wire
communication link.
The following alarm and diagnostic
information shall be available:
UCP Originated Data
Unit operating mode
Unit failure status
Cooling failure
Heating failure
Emergency service stop indication
Supply fan proving
Timed override activation
High temperature thermostat status
Zone temperature
Supply air temperature
Cooling status (all stages)
Stage activated or not
Stage locked out by UCP
HCP status for that stage
Compressor disable inputs
Heating status
Number of stages activated
High temperature limit status
Economizer status
Enthalpy favorability status
Requested minimum position
Damper position
Dry bulb/enthalpy input status
Outside air temperature
Outside relative humidity
Sensor Failure
Humidity sensor
OAT sensor
SAT sensor
RAT sensor
Zone temperature sensor
Mode input
Cooling/heating setpoints from sensors
Static pressure transducer
Unit mounted potentiometer
SAT from potentiometer
Air reset setpoint from potentiometer
Unit configuration data
Gas or electric heat
Economizer present
High temp input status
Local setpoint
Local mode setting
Inlet guide vane position

Library Product Literature
Product Section Unitary
Product Rooftop
Model 000
Literature Type Data Sales Catalog
Sequence 10
Date April 1999
File No. PL-UN-RT-000-DS-10-499
Supersedes RT-DS-10 12/94
Ordering No. RT-DS-10
The Trane Company
International Unitary Systems Group
3600 Pammel Creek Road
La Crosse, WI 54601-7599
www.trane.com
An American Standard Company
Since The Trane Company has a policy of continuous
product improvement, it reserves the right to change
design and specification without notice.
Tracer® Originated Data
Command operating mode
Host controllable functions:
Supply fan
Economizer
Cooling stages enabled
Heating stages enabled
Emergency shutdown
Minimum damper position
Heating setpoint
Cooling setpoint
Supply air tempering enable/disable
Slave mode (CV only)
Tracer/local operation
SAT setpoint
Reset setpoint
Reset amount
MWU setpoint
MWU enable/disable
SAT reset type select
Static pressure setpoint
Static pressure deadband
Daytime warm-up enable/disable
Power exhaust setpoint
Zone Sensors
Shall be provided to interface with the
Micro unit controls and shall be
available in either manual, automatic
programmable with night setback, with
system malfunction lights or remote
sensor options.
Conventional Thermostat Interface
(CTI)
This field installed circuit board shall
provide interface with
electromechanical thermostats or
automation systems. Not available with
VAV system control.
Differential Pressure Switches
This field installed option allows
individual fan failure and dirty filter
indication. The fan failure switch will
disable all unit functions and flash
the Service LED on the zone sensor.
The dirty filter switch will light the
Service LED on the zone sensor and
will allow continued unit operation.
Electronic Time Clock
This field installed accessory kit will
allow the unit to operate in the
unoccupied mode or perform night set
up/set back functions utilizing a
standard individual scheduling.
Remote Potentiometer
A remote potentiometer shall be
available to remotely adjust the unit
economizer minimum position.
High Temperature Thermostats
Field installed, manually resettable high
temperature thermostats shall provide
input to the unit controls to shut down
the system if the temperature sensed at
the return is 135°F (57°C) or at the
discharge 240°F (115°C).
Reference Enthalpy Kit
Field installed enthalpy kit shall provide
inputs for economizer control based
upon comparison of the outside air
stream to a definable enthalpy
reference point. May also be factory
installed.
Comparative Enthalpy Kit
Field installed enthalpy kit shall provide
inputs for economizer control based
upon comparison of the enthalpies of
the return and outdoor air streams.
Also available factory installed.
LP Conversion Kit
Field installed conversion kit shall
provide orifice(s) for simplified
conversion to liquefied propane gas.
No change of gas valve shall be
required.
BAYSENS006* Zone sensor has one
temperature setpoint lever, heat, off or
cool system switch, fan auto or fan on
switch. Manual changeover. These
sensors are for CV units only.
BAYSENS008* Zone sensor has two
temperature setpoint levers, heat, auto,
off, or cool system switch, fan auto or
fan on switch. Auto changeover. These
sensors are used with CV units.
BAYSENS010* Zone sensor has two
temperature set point levers, heat,
auto, off, or cool system switch, fan
auto or fan on switch. Status indication
LED lights, System on, Heat, Cool, and
Service are provided. These sensors
are used with CV units.
BAYSENS013* Zone temperature
sensor with timed override buttons
used with Tracer® Integrated Comfort
system.
BAYSENS014* Zone temperature
sensor with local temperature
adjustment control and timed override
buttons used with Tracer Integrated
Comfort system. May also be used for
Morning Warm-up setpoint and sensor.
BAYSENS016* Temperature sensor is
a bullet or pencil type sensor that could
be used for temperature input such as
return air duct temperature.
BAYSENS017* Remote sensor can be
used for remote zone temperature
sensing capabilities when zone sensors
are used as remote panels or as a
morning warm-up sensor for use with
VAV units or as a zone sensor with
Tracer Integrated Comfort system.
BAYSENS019* and BAYSENS020*
Electronic programmable sensors with
auto or manual changeover with seven
day programming. Keyboard selection
of heat, cool, auto fan or on. All
programmable sensors have System
on, Heat, Cool, Service LED/LCD
indicators as standard. Night setback
sensors have two occupied, and two
unoccupied programs per day. Sensors
are available for CV zone temperature
control and VAV zone temperature
control.
BAYSENS021* Zone sensor with
supply air single temperature setpoint
and AUTO/OFF system switch. Status
indication LED lights, System ON, Heat,
Cool, and Service are provided.
Sensors are available to be used with
VAV units.
BAYSENS022* Sensor is an
electronic digital zone sensor that can
be used as a Heat Auto/Cool
thermostat. The sensor has a large,
easily read continuous digital display of
the space temperature with setpoint
temperature displayed at the touch of a
button.
BAYSTAT023* Remote Minimum
Position Potentiometer is used to
remotely specify the minimum
economizer position.