Trango Systems P5010M Wireless Ethernet Transceiver User Manual P5010M Manual Draft modified
Trango Systems Inc Wireless Ethernet Transceiver P5010M Manual Draft modified
Contents
- 1. Manual
- 2. Users Manual
- 3. User Manual
Manual

ATLAS5010
Point-to-Point
Wireless OFDM Ethernet Bridge
USER MANUAL
February 18, 2005
Revision xx
for Firmware 0. 9pa2

Table of Contents Trango
Trango Broadband Wireless — TrangoLINK User Manual Rev. D for Firmware Ver. 1.1 page ii
Table of Contents
Preface...................................................................................................................................................................iv
FCC Information .......................................................................................................iv
Warranty Information ...............................................................................................iv
Chapter 1 Overview................................................................................................................................................1
Range vs. Throughput .............................................................................................. 2
System Contents ...................................................................................................... 3
Location of Serial Number & MAC Address.................................................................. 3
Location of RJ-45/LED Port........................................................................................ 4
Chapter 2 Getting Started .......................................................................................................................................5
Connections and Power............................................................................................. 5
Configuration Tools................................................................................................... 5
Troubleshooting Ethernet Connections ....................................................................... 6
System Information (sysinfo) Page ............................................................................ 6
Chapter 3 Configuration .........................................................................................................................................9
Key Concepts ........................................................................................................... 9
Essentials to Establish a Wireless Link ........................................................................ 9
Master Unit Configuration.......................................................................................... 9
Remote Unit Configuration ...................................................................................... 10
Establishing a Wireless Link..................................................................................... 10
Changing IP Address............................................................................................... 11
LEDs ...................................................................................................................... 11
RF Link Loopback Test (linktest command)............................................................... 12
Link Speed & Power Settings ................................................................................... 12
Command Reference Listing .................................................................................... 13
Chapter 4 Deployment & Installation...................................................................................................................16
Site Selection ......................................................................................................... 16
Site survey ............................................................................................................. 16
Channel Planning.................................................................................................... 16
RSSI Command and Antenna Alignment................................................................... 17
Mounting Hardware ................................................................................................ 18
Cabling and Weather Considerations ........................................................................ 19
Weatherizing.......................................................................................................... 19
Chapter 5 SNMP ..................................................................................................................................................20
Chapter 6 Firmware Upgrade Procedure ..............................................................................................................21
Appendix A ..................................................................................................Using the HTTP Interface
..............................................................................................................................................................................22
Appendix B ................................................................................................................. Specifications
..............................................................................................................................................................................23

Table of Figures Trango
Trango Broadband Wireless — Atlas-45 page iii

Preface
Trango Broadband Wireless — Atlas-45 page iv
Preface
This manual covers the basic configuration and installation of the ATLAS5010 Wireless Point to Point Broadband
System, and applies to the following radio part numbers:
P5010M-INT Unit with internal patch antenna
The ATLAS5010-INT consists of two P5010M-INT radios which have internal 23 dBi antennas with electronically
selectable polarization. The ATLAS5010M-INT package also contains universal power adapters and mounting hardware
for a pole. This device requires professional installation.
FCC Information
This device complies with Part 15 of the FCC Rules and Regulations. Operation is subject to the following two
conditions: (1) This device may not cause harmful interference, and (2) this device must accept any interference received,
including interference that may cause undesired operation.
This equipment has been tested and found to comply with the limits for a Class B digital device, pursuant to Part 15 of the
FCC Rules. These limits are designed to provide reasonable protection against harmful interference in a residential
installation. This equipment generates, uses, and can radiate radio-frequency energy and, if not installed and used in
accordance with these instructions, may cause harmful interference to radio communications. However, there is no
guarantee that interference will not occur in any particular installation. If this equipment does cause harmful interference
to radio or television reception, which can be determined by turning the equipment off and on, the user is encouraged to
correct the interference by one of more of the following measures:
1) Reorient the antenna.
2) Increase the separation between the affected equipment and the unit.
3) Connect the affected equipment to a power outlet on a different circuit from that which the receiver is connected to.
4) Consult the dealer and/or experienced radio/TV technician for help.
FCC ID: NCYP5010M
IMPORTANT NOTE:
Intentional or unintentional changes or modifications must not be made unless under the express consent of the party
responsible for compliance. Any such modifications could void the user’s authority to operate the equipment and will
void the manufacturer’s warranty. To comply with FCC RF exposure requirements, the following antenna installation and
device operating configurations must be satisfied. The antenna for this unit must be fixed and mounted on outdoor
permanent structures with a separation distance of at least two meters from all persons. Furthermore, it must not be co-
located or operating in conjunction with any other antenna or transmitter.
Warranty Information
Radios from Trango Broadband Wireless are warranted for one year from date of purchase. Please see
www.trangobroadband.com for a complete description of warranty coverage and limitations.

Overview
Trango Broadband Wireless — Atlas-45 page 1
Chapter 1 Overview
The ATLAS5010 is a point-to-point (PtP) wireless Ethernet transmission system provides network connectivity at speeds
up to 45 Mbps depending on the transmission distance, noise floor, and the antenna configuration. The Atlas5010 uses
OFDM technology and is designed for use in long range backhaul and wide area data networking applications. The
Atlas system is comprised of the following items:
1) P5010M-INT (Configured as Master Unit with integrated 23 dBi panel antenna)
2) P5010M-INT (configured as Remote Unit with integrated 23 dBi panel antenna)
3) Two 24 Volt power adapters for use with 100 to 240 VAC, including various plug adapters
4) Two Power over Ethernet Junction Boxes
5) Port plug cover
6) Mounting hardware
Key points about the system are it’s ability to operate in the new 5.47 to 5.725 GHz frequency band as well as the
5.25 to 5.35 and 5.725 to 5.85 GHz bands, allowing a large number of non overlapping channels to ease
installation. As of February 2005, however, the 5.47 – 5.725 GHz band is not yet approved for use in the United
States.
The Atlas5010-INT consists of two P5010M-INT units and uses a common hardware/firmware platform for each
end of the wireless link. Users are required to simply specify one unit type as master unit (MU) and one unit as
remote unit (RU). The hardware consists of a high gain dual polarization panel antenna with the radio portion
integrated into a cast aluminum case on the back of the antenna. The unit utilizes Power-over-Ethernet (PoE) and is
designed for outdoor environments. The cable entry point can accommodate both Shielded twisted pair Cat5 (STP),
Unshielded twisted pair Cat5 (UTP), with the addition of conduit for tower mounting.

Overview
Trango Broadband Wireless — Atlas-45 page 2
Range vs. Throughput
The following table shows approximate maximum ranges (at recommended fade margins) achievable with the
ATLAS5010 system using various antenna configurations. Longer ranges are achievable, but will result in lower
fade margins.
ISM (5725 MHz to 5875 MHz) Range & Throughput
Antenna 6 miles 20 miles 30 miles
Integrated 23 dBi
15” Flat Panel
45 Mbps
(10db fade margin)
11 Mbps
(20db fade margin)
6 Mbps
(19db fade margin)
Line-of-sight range
U-NII (5250 MHz to 5350 MHz) Range & Throughput
Antenna 6 miles 10 miles 15 miles
Integrated 23 dBi
15” Flat Panel
20 Mbps
(10 db fade margin)
11Mbps
(12db fade margin)
6Mbps
(9db fade margin)
Line-of-sight range

Overview
Trango Broadband Wireless — Atlas-45 page 3
System Contents
Each ATLAS5010 kit consists of two radios, two power-over-Ethernet (PoE) injectors, two AC adapters, port
covers, and mounting hardware. A dual-polarized integrated antenna is located behind the radome of the P5010M-
INT.
Location of Serial Number & MAC Address
The serial number and MAC address label can be found on the back of each radio. The serial number and MAC address
is also provided on the system information screen.
Trango Broadband Wireless
P5010M- INT Rev. A
S/N: 000001420
MAC: 00 01 DE 00 02 F2
FCC ID: NCYP5010M
Canada: XXXXXXXXXX
THIS DEVICE COMPLIES WITH PART 15 OF THE FCC RULES: OPERATION IS
SUBJECT TO THE FOLLOWING CONDITIONS: (1) THIS DEVICE MAY NOT
CAUSE HARMFUL INTERFERANCE, AND (2) THIS DEVICE MUST ACCEPT
A
NY INTERFERENCE THAT MAY CAUSE UNDESIRED OPERATION.

Overview
Trango Broadband Wireless — Atlas-45 page 4
Location of RJ-45/LED Port
The RJ-45 connector, diagnostic LEDs, and reset button are located at the bottom of the radio. Functionality of the LEDs
is described later in this text. The reset button resets all configuration settings (including IP address and password) back
to factory default. Hold the reset button down for 5 seconds (until amber lights flash) while unit is powered on.
Reset Button

Getting Started
Trango Broadband Wireless — ATLAS5010 page 5
Chapter 2 Getting Started
It is recommended that you first provision and test your the radios on the bench before deploying them in the field. This is a
particularly useful exercise for the novice user.
Connections and Power
• Connect a Cat-5 (straight through) Ethernet cable (we recommend shielded twisted pair) between the ODU (out door
unit) port of the J-box and the RJ-45 connector on the radio. Note that this cable will carry power-over-Ethernet
(PoE).
• If connecting to a COMPUTER, use a Cross-Over Ethernet cable from the NET port of the J-box to the computer’s
Ethernet port.
If connecting to a HUB, SWITCH, or ROUTER, use a Straight-Thru cable.
• Plug the AC adapter into an AC outlet.
C
A
T
-
5
S
T
RA
I
GH
T-
TH
R
U C
A
BL
E
20 VDC
POWER SUPPLY
AC POWER
ATLAS
MASTER UNIT OR REMOTE UNI
T
POWER-OVER-E
T
HERNE
T
J-BOX
I
N
D
IC
ATE
S
P
O
W
E
R
T
O
R
ADIO
I
N
D
IC
AT
E
S
P
O
W
E
R
T
O J-BOX
C
A
T
-
5
N
E
T
W
O
R
K
O
R
C
O
M
P
U
TE
R
GROUND
LUG
VOLTMETER TEST LEADS
VOLTMETER TEST LEADS
USE STRAIGHT-THRU CABLE
IF TO HUB, SWITCH, OR ROUTE
R
USE CROSS-OVER CABLE
IF TO COMPUTER
Both green LEDs on the J-box should be lit, indicating power is present at the Power-over-Ethernet box as well as at the radio.
You are now ready to configure the radio via the Ethernet port. The Radio Power LED may take several seconds before
lighting. The radio requires approximately 45 seconds to boot.
Configuration Tools
ATLAS5010 radios can be configured using either the Command Line Interface (CLI), or the Web Browser (HTTP) interface.
Although both methods are comprehensive and powerful, the CLI method provides slightly more functionality.

Getting Started
Trango Broadband Wireless — ATLAS5010 page 6
This text covers configuration through the CLI. For HTTP configuration please see Appendix A.
Telnet
Open a command prompt (DOS) session on your PC. Open a Telnet session by typing:
telnet <ip address of radio>
Example:
C:>telnet 192.168.100.100
Note: All Trango radios are pre-configured at the factory with a default IP address of 192.168.100.100.
You will be greeted with current hardware and firmware information and prompted for a password. Type in the password and
press enter. The factory default read/write password is trango.
Welcome to Trango Broadband Wireless, Atlas PtP-P5010M 0p9a2D05020401
Password:
Login as read/write.
#>
Note: Type help for a listing of all CLI commands. Type help [<command>], for the syntax of a particular
command.
Note: If you cannot access the radio management functions via the Ethernet port, check all cable connections and ensure
that your PC is set up with a properly routable subnet.
Troubleshooting Ethernet Connections
If you cannot telnet into the radio or open an HTTP browser session, check your cable connections to ensure proper use
of cross-over vs. straight-through cable, and ensure your PC’s subnet is routable to the radio’s IP address.
System Information (sysinfo) Page
To display system configuration and status information type the command sysinfo.
The sysinfo screen is divided into 7 sections (0 –7)
Section Description
0 Hardware/Firmware versions & system uptime (since reboot)
1 Mac, serial number, and IP configuration information
2 RF, speed, ARQ status, encryption, and connection status
3 RF channel table
4 Region Code information denotes which channels and power limits are available based on region
code of the radio. Region code is set by the factory and can not be altered by the user.
5 Auto-rate shift, remarks, and LED RSSI function
6 Ethernet TX/RX statistics.

Getting Started
Trango Broadband Wireless — ATLAS5010 page 7
Sysinfo Example:
#> sysinfo
********************************* 0 *********************************
[Model] P5010M
[Unit Type] MU
[Hardware Version] 0810
[Firmware Version] 0p9a2D05020401
[System Up Time] 0 day(s) 01:21:16
********************************* 1 *********************************
[MAC] 00 01 DE 1B 78 42
[S/N] 3726342210
[IP] 192.168.100.100 [Subnet Mask] 255.255.255.0 [Gateway] 0.0.0.0
********************************* 2 *********************************
[Opmode] off [Default Opmode] off
[Active Channel] 1 h [Freq] 5260 MHz
[Speed] 24 Mbps [Tx Power] 0 dBm [Power Range] -4..19 dBm
[Tx MIR] 50000 Kbps
[ARQ] on
[Encrypt] off [Key] 0011 2233 4455 6677 8899 AABB CCDD EEFF
[Peer ID] DE1B7850 [Status] disconnected [RSSI] -49 dBm
********************************* 3 *********************************
Channel Table: (MHz, n/a: not available in current area)
[Ch#01] 5260 [Ch#02] 5280 [Ch#03] 5300 [Ch#04] 5320
[Ch#05] 5340 [Ch#06] 5480 n/a [Ch#07] 5500 n/a [Ch#08] 5520 n/a
[Ch#09] 5540 n/a [Ch#10] 5560 n/a [Ch#11] 5580 n/a [Ch#12] 5600 n/a
[Ch#13] 5620 n/a [Ch#14] 5640 n/a [Ch#15] 5660 n/a [Ch#16] 5680 n/a
[Ch#17] 5700 n/a [Ch#18] 5720 n/a [Ch#19] 5735 [Ch#20] 5755
[Ch#21] 5775 [Ch#22] 5795 [Ch#23] 5815 [Ch#24] 5835
********************************* 4 *********************************
[Area Code] 0
RF Band #1 (5150..5250 MHz) Disabled
RF Band #2 (5250..5350 MHz) [Power Range] -4..7/7/7/7/7 dBm
RF Band #3 (5470..5725 MHz) Disabled
RF Band #4 (5725..5850 MHz) [Power Range] -4..20/20/20/19/18 dBm
********************************* 5 *********************************
[Auto Rate Shift] off
[RSSI LED] on
[Remarks] Remarks
********************************* 6 *********************************
[Eth In] 31,117 bytes [Eth Out] 54,391 bytes
[RF In] 39,574 bytes [RF Out] 54,391 bytes
Success.
#>

Getting Started
Trango Broadband Wireless — ATLAS5010 page 8
To view only a particular section of the sysinfo screen, type sysinfo followed by the desired section number.
Example:
#> sysinfo 2
********************************* 2 *********************************
[Opmode] off [Default Opmode] off
[Active Channel] 1 h [Freq] 5260 MHz
[Speed] 24 Mbps [Tx Power] 0 dBm [Power Range] -4..19 dBm
[Tx MIR] 50000 Kbps
[ARQ] on
[Encrypt] off [Key] 0011 2233 4455 6677 8899 AABB CCDD EEFF
[Peer ID] DE1B7850 [Status] disconnected [RSSI] -49 dBm
Success.
#>

Configuration
Trango Broadband Wireless — ATLAS5010 page 9
Chapter 3 Configuration
Key Concepts
Prior to configuring the radios it is important to understand several key concepts:
Master Unit (MU) The MU is typically considered the primary radio within the link. For management purposes
it is recommended to install the MU closest to the head-end of the network.
Remote Unit (RU) The RU is typically installed at the remote end of the link. The primary distinction between
the MU and RU is that when the radios are not associated, the MU will transmit and the RU
will listen until the wireless link is established.
Peer ID Authentication is controlled by the MAC address of each radio. The Peer ID is defined as the
MAC address of the opposite radio. In other words, the Peer ID of the MU is the RU’s MAC
address and the Peer ID of the RU is the MU’s MAC address.
Opmode Operation mode (on or off). The radio will only transmit while set to Opmode ON.
Default Opmode Opmode (on or off) which the radio enters after reboot. Note: if you telnet into a radio
within 30 seconds after reboot, the radio will remain in opmode OFF even if the default
opmode is ON.
Essentials to Establish a Wireless Link
Configuration of the Atlas system is simple and at a minimum requires the following settings:
1. Designate one radio as the Master Unit (MU) and one unit as the Remote Unit (RU).
2. Program Peer ID in each radio.
3. Set MU and RU to same channel and antenna polarization
4. Set default Opmode to “ON” so that radio will automatically enter opmode after reboot.
5. Turn radios Opmode “ON”.
If all of these parameters are met, and if the MU and RU are within range and properly aligned, the wireless link will
automatically establish itself and Ethernet traffic will begin to pass between the radios.
Master Unit Configuration
Start a telnet session with one of the radios. Follow these steps for configuration.
1. Set the Unit Type (utype) to MU in one radio. (default for all radios is RU)
#> utype mu
Success.
#>
2. Set the Peer ID with the MAC address of the RU. Only use the last 8 digits of the MAC address.
#> peerid de1B7850
Success.
#>
3. Set channel and polarization. (in this example set the channel to 23 and polarization to H).
#> freq 23 h

Configuration
Trango Broadband Wireless — ATLAS5010 page 10
Ch# 23 h (5815 MHz)
Success.
4. Set default Opmode to ON.
#> defaultopmode on
Success.
5. Turn Opmode ON.
#> opmode on
Success.
.
Remote Unit Configuration
Configure the RU in the same manner as the MU. Since the default unit type (utype) is RU, you do not need to set this
parameter.
1. Set the Peer ID with the MAC address of the MU. Only use the last 8 digits of the MAC address.
#> peerid de1B7842
Success.
#>
2. Set channel and polarization. (in this example set the channel to 23 and polarization to H).
#> freq 23 h
Ch# 23 h (5815 MHz)
Success.
3. Set default Opmode to “ON.”
#> defaultopmode on
Success.
4. Turn Opmode “ON.”
#> opmode on
Success.
Establishing a Wireless Link
If the MU and RU are properly configured and in opmode “ON”, the two radios will automatically begin the
authentication process and become connected. To determine if the two radios are connected, type the sysinfo 2
command.
Example:
#> sysinfo 2
********************************* 2 *********************************
[Opmode] off [Default Opmode] off
[Active Channel] 1 h [Freq] 5260 MHz
[Speed] 24 Mbps [Tx Power] 0 dBm [Power Range] -4..19 dBm
[Tx MIR] 50000 Kbps
[ARQ] on
[Encrypt] off [Key] 0011 2233 4455 6677 8899 AABB CCDD EEFF
[Peer ID] DE1B7850 [Status] connected [RSSI] -49 dBm
Success.
#>

Configuration
Trango Broadband Wireless — ATLAS5010 page 11
The [status] field indicates whether the MU and RU are connected or disconnected. If connected, the MU and RU will
automatically start passing Ethernet traffic over the wireless link.
Changing IP Address
Use the ipconfig command to change the radio’s ip address, subnet mask and gateway.
Syntax: ipconfig [<ip> <subnet> <gateway>]
Example:
#> ipconfig 10.8.2.140 255.255.255.240 10.8.2.129
New configuration: [ip] 10.8.2.140 [subnet mask] 255.255.255.240 [gateway]
10.8.2.129
save and activate ? (y/n) [ATTN] Telnet session will be terminated in 30
seconds.
Success.
#>
LEDs
LEDs are visible on the unit’s PCB between the reset button and the RJ-45 connector. The function of each
LED is described below:
LNK (green)
Green: On solid for an established 10BaseT or 100BaseT Ethernet Link.
SPEED
Green: Solid if 100BaseT, Blinks only if there is activity (TX or RX) on the network when a 100 MBit
connection is established. Off if a 10BaseT connection is established or if there is 10BaseT activity.
RSSI (4 LEDs)
Amber: Four LEDs
In all modes except “Survey”, the unit’s four yellow LEDs indicate the level of RF signal being
received from a VALID MU or RU as appropriate.
Yellow LED 1 : Begins blinking when RSSI is greater or equal to –90 dBm. On continuously at –85
dBm. This is the Leftmost LED
Yellow LED 2 : Begins blinking when RSSI is greater or equal to –80 dBm. On continuously at –75
dBm.
Yellow LED 3 : Begins blinking when RSSI is greater or equal to –70 dBm. On continuously at –65
dBm.
Yellow LED 4 : Begins blinking when RSSI is greater or equal to –60 dBm. On continuously at –55
dBm. This is the rightmost LED.
If no VALID MU or RU signal is detected the LEDs will not be on at all.
In addition, these 4 LEDs shall flash ON for 2 seconds, then OFF for 2 seconds to indicate the 'factory
reset' button has been activated and the reset successful.
ASSOCiation LED (green):
The ASSOC led blinks at the following rates:
- Once every second when unit is powered on but opmode is OFF.

Configuration
Trango Broadband Wireless — ATLAS5010 page 12
- Twice per second while in opmode ON and scanning for an MU or RU.
- Solid after unit is associated with the RU or MU.
RF Link Loopback Test (linktest command)
The linktest command tests the throughput and packet error rate (PER) on the current channel for each direction at all
speeds and reports results. This command also provides RSSI for both ends of the wireless link. The command can be
run from either the MU or the RU.
In running the linktest command the user must specify the modulation speed for each end of the link.
Command format: linktest <loc speed> <peer speed>
Valid modulation speeds are: 6,12,18,24,36,48, and 54 Mbps. Lower speeds will result in fewer dropped packets.
Example:
# linktest 24 24
local tx rate = 24 Mbps
peer tx rate = 24 Mbps
packet size = 1600 bytes
# of packets per period = 1000
# of Cycle = 10
0> [tx] 1000 [rx] 1000 [rssi] -37 peer: [tx] 1000 [rx] 1000 [rssi] -40 -> 22.01 Mbps
1> [tx] 1000 [rx] 1000 [rssi] -37 peer: [tx] 1000 [rx] 1000 [rssi] -40 -> 22.01 Mbps
2> [tx] 1000 [rx] 1000 [rssi] -37 peer: [tx] 1000 [rx] 1000 [rssi] -40 -> 22.01 Mbps
3> [tx] 1000 [rx] 1000 [rssi] -37 peer: [tx] 1000 [rx] 1000 [rssi] -40 -> 22.01 Mbps
4> [tx] 1000 [rx] 1000 [rssi] -37 peer: [tx] 1000 [rx] 1000 [rssi] -40 -> 22.01 Mbps
5> [tx] 1000 [rx] 1000 [rssi] -37 peer: [tx] 1000 [rx] 1000 [rssi] -40 -> 22.01 Mbps
6> [tx] 1000 [rx] 1000 [rssi] -37 peer: [tx] 1000 [rx] 1000 [rssi] -40 -> 22.01 Mbps
7> [tx] 1000 [rx] 1000 [rssi] -37 peer: [tx] 1000 [rx] 1000 [rssi] -40 -> 22.00 Mbps
8> [tx] 1000 [rx] 1000 [rssi] -36 peer: [tx] 1000 [rx] 1000 [rssi] -40 -> 22.01 Mbps
9> [tx] 1000 [rx] 1000 [rssi] -37 peer: [tx] 1000 [rx] 1000 [rssi] -40 -> 22.01 Mbps
--> [tx] 10000 [rx] 10000 [rssi] -36 peer: [tx] 10000 [rx] 10000 [rssi] -40
--> [Local PER] 0.00 % [Peer PER] 0.00 %
Success.
#>
In this example the linktest was run at 24 Mbps at each end of the link. The results indicated 10 cycles of 1000 packets
were transmitted and received from each end of the link without error. Actual achievable throughput is measured at 22
Mbps.
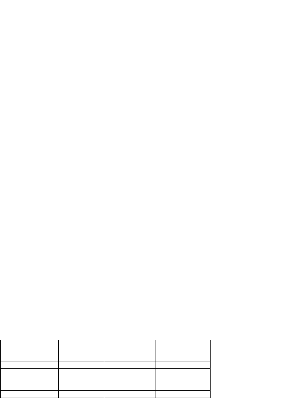
Link Speed & Power Settings
Users may change the radio’s over-the-air data rate and conducted output power using the speed and power
commands. Keep in mind that the lower data rates offer higher receiver sensitivity and higher allowable
conducted RF power in the ISM band. The following table shows the relation between speed settings, receiver
sensitivity, and allowable maximum power settings for each band. The lowest power setting for all bands in –4
dBm.
Speed Setting
(over-the-air rate)
(Mbps)
Receiver
Sensitivity
(dB)
Max Power
High (ISM) Band
(dBm)
Max Power
Low (U-NII)
(dBm)
6 -92 20 7
12 -87 20 7
18 -85 20 7
24 -84 19 7
36 -80 19 7

Configuration
Trango Broadband Wireless — ATLAS5010 page 13
48 -75 18 7
54 -73 18 7
In this example the user sets the power to 19dBm and the speed to 24 Mbps:
#> power 19
Execution in progress...
.
19 dBm (-4..19)
Success.
#> speed 24
24 Mbps
Success.
#>
Command Reference Listing
The complete command set reference is provided below. You can also view a complete listing of all CLI commands by
typing help.
antenna [h|v] Set or display antenna setting. H=Horizontal
polarity, V=vertical polarity.
arq [on|off] Enable or disable Auto Retransmit Request
(ARQ). With ARQ enabled, the Atlas system
will retransmit packets which are detected as
missing or corrupted. Default setting=ON.
autorateshift [on|off] Enable or disable automatic rate shift feature.
With autorateshift enabled, the radios will
automatically renegotiate speed setting to
maximize wireless link integrity. Default
setting=OFF.
autoscanmu [on|off] Enable or disable auto scan MU (RU only).
Default setting=OFF . When autoscanmu is
turned on, the RU will automatically scan all
channels and polarizations searching for its peer
MU. Once the RU detects the MU it will stop
scanning and lock onto the channel of the MU.
The autoscan feature is useful in cases where
the user changes the channel at the MU because
the RU will automatically search for the new
channel of the MU. Note: auto-scanning may
take as long as 5 minutes.
defaultopmode [on|off] Set or display default opmode. Radio must be
set to opmode ON to establish wireless link.
Default setting=OFF
encrypt [on|off] Enable or disable proprietary 128 bit tx
encryption.
Default setting=OFF
encrypt key <key> Change encryption key (128 bits)
<key> = xxxx xxxx xxxx xxxx
xxxx xxxx xxxx xxxx
exit Exit telnet session
freq [<ch#> <antenna>] Set or display channel and antenna selection
freq writechannel <ch#> <freq>… Modify channel table, up to 6 channels at a time
freq writechannel default Restore factory default channel table

Configuration
Trango Broadband Wireless — ATLAS5010 page 14
help [<command>] Display command usage and syntax
ipconfig [<ip> <subnet> <gateway>] Change ip configuration
<ip> = ip address
<subnet> = subnet mask
<gateway> = gateway ip address
linktest <local tx rate> <peer tx rate>
[<pkt size> [<# of pkt> [<# of
cycle>]]]
RF link loopback test
This is the primary loopback test utility for
evaluating over-the-air link quality. Provides
link reliability information and dropped packet
statistics. Standard linktest transmits 1600 byte
packets, 1000 packets per second for 10 cycles.
User can specify packet size, quantity of
packets, number of cycles
<tx rate> = 6,12,18,24,36,48,54 Mbps
mir [<kbps>] Set or display tx maximum information rate
(MIR). MU and RU can be set with
different mir for asymmetric upload and
download.
<kbps> = 100..50000
opmode [on|off] Set or display operation mode (on or off)
password <ro|rw|upgrade>
Change password
<ro> = for read-only
<rw> = for read-write
<upgrade> = for upgrading firmware
peerid [<peer device id>] Set or display peer device id
power [<dBm>] Set or display tx power
<dBm> is limited by area (ref: “sysinfo 4”)
reboot Reboot unit
remarks Enter user remarks up to 80 characters
reset Restore all factory defaults except ipconfig and
passwords.
rssi Display RF relative signal strength indication
(rssi) from peer radio
rssiled [on|off] Enable or disable rssi LED update
speed [<tx rate>] Set or display tx rate
<tx rate> = 1,2,6,9,11,12,18,24,36,48,54 Mbps
survey [<sec>] Display noise floor for current channel
<sec> = period 10..3600
default = 10
survey <sec> all Display noise floor for all available channels
survey <sec> [<ch#> [..]] Display noise floor for selected channels
sysinfo Display all system information
sysinfo [[<part #> [<part #> [..]]]] Display system information and status
<part #> = 0..6
part 0: up time and version information
part 1: MAC address and IP configuration
part 2: RF link status
part 3: channel table
part 4: region code and power limitations
part 5: switch settings and remarks
part 6: statistics
syslog Display system log

Deployment & Installation
Trango Broadband Wireless — ATLAS5010 page 15
tftpd [on|off] Enable or disable tftpd (used for firmware
upgrades)
utype [mu|ru] Set or display unit type

Deployment & Installation
Trango Broadband Wireless — ATLAS5010 page 16
Chapter 4 Deployment & Installation
Once you are familiar with the basic operation of the radios you are ready for deployment in the field. The deployment process
consists of the following steps:
• Site Selection
• Site survey at MU and RU sites
• MU installation
• RU installation and antenna alignment
• Link test
Site Selection
Proper site selection for your MU will help ensure a successful deployment. Site selection will depend on a wide variety of
factors, but from the radio’s performance standpoint, please consider the following:
• Path from MU to RU should provide unobstructed line-of-sight (LOS), thus it is advisable to place MU as high as
possible on a tall building or tower.
• Ethernet cable limit is 100 meters from Ethernet device (router, switch) to radio.
• Radios should never be deployed without proper grounding.
• Consider nearby sources of interference that could degrade the performance of the radio. Mount radios as far from
sources of interference as possible.
Site survey
The radios provide an on-board site survey tool which measure the average and peak noise levels on any given channel.
To use the survey tool, the radio must be in Opmode “OFF.” The survey can be performed for any specified amount of
time (in seconds), and for either the horizontal or vertical polarization.
Prior to performing the site survey, place the radio in the installation spot, and aim the radio in the desired direction.
After the specified period, the results of this command will provide you with a listing of each channel in the band, the
average signal received, and the maximum signal received during the survey period.
Example:
#> survey
Press any key to stop.
noise floor (peak/avg dBm) rssi by pkt (peak/avg dBm)
0> -97 / -98 n/a
1> -97 / -98 n/a
2> -97 / -98 n/a
3> -97 / -98 n/a
4> -97 / -98 n/a
5> -97 / -98 n/a
6> -97 / -98 n/a
7> -97 / -98 n/a
8> -97 / -98 n/a
Ch 1 h 5260 --> -97 / -98 n/a
Success.
Channel Planning
Based on the results of the site survey at each end of the link, choose a channel which offers the lowest noise floor. In order to
reliably operate in the higher speed modes, clean spectrum is essential.

Deployment & Installation
Trango Broadband Wireless — ATLAS5010 page 17
RSSI Command and Antenna Alignment
Once the site survey is completed, you are ready to install your radios. Typically it is best to install the MU first. To
properly align the radios, use the built-in RSSI tool to achieve maximum signal strength.
1. Ensure MU and RU are in Opmode “ON.”
2. Connect to the RU.
3. Login and type the command rssi. As you read the RSSI, move the antenna in
the horizontal and vertical planes until the maximum RSSI reading is achieved
4. If it is not possible to receive an adequate RSSI reading, it may be necessary to
reorient the MU (up/down, left/right), to increase the output power of the MU, or
to move the RU to a location with better line-of-sight conditions to the MU.
5. Once you are satisfied with the RSSI reading, tighten down the RU in the
optimum position.
Example:
#> rssi
Press any key to stop.
0> MU -75 dB RU -75 dB Connected
1> MU -75 dB RU -75 dB Connected
2> MU -73 dB RU -73 dB Connected
3> MU -72 dB RU -71 dB Connected
4> MU -70 dB RU -70 dB Connected
5> MU -70 dB RU -69 dB Connected
6> MU -69 dB RU -70 dB Connected
7> MU -70 dB RU -70 dB Connected
8> MU -70 dB RU -70 dB Connected
9> MU -67 dB RU -68 dB Connected
10> MU -67 dB RU -67 dB Connected
Success.
Users can also view the RSSI LEDs on the bottom of the radio. See the configuration section of this manual for more
information.

Deployment & Installation
Trango Broadband Wireless — ATLAS5010 page 18
Port Plug and Port Plate
Prior to deployment, insert the silicone port plug around the Cat-5 Cable and insert into the radio’s port opening. Next,
screw the port plate over the silicone plug as shown in the photographs below.
Mounting Hardware
Radios are supplied with mounting hardware for pole installations. See diagram below for proper use of the mounting
hardware.
10.00°
UPTILT
25.00°
DOWNTILT
8.50 MAX
Mounting Hardware Assembly for Integrated Antenna P5010-INT

SNMP
Trango Broadband Wireless — ATLAS5010 page 19
Grounding
Proper mounting of the radio includes consideration for grounding. Please note that if the radio is attached to a metal pole that
is earth-grounded, no other grounding is necessary. If the radio is not earth-grounded via the mounting bracket, you must
attach a grounding wire to the grounding stud on the radio as in the adjacent diagram.
Cabling and Weather Considerations
Shielded twisted pair Cat-5 cable is recommended for all installations. The shield within the Cat-5 cable does not need to be
grounded if the radio itself is grounded. It is important to consider that most Cat-5 cable will deteriorate over time if exposed
to the weather (especially direct sunlight). It is recommended that installers place all Cat-5 cables inside conduit. Plastic
conduit is sufficient. If metal conduit is used, it is not necessary to use shielded Cat-5 cable.
Weatherizing
!
!
Important! Please note that the silicon strain relief has a small gap when the cable is
installed. This is normal .
It is important to provide strain relief and drip loop for STP Cat-5 cables. Do not mount the
radio upside down as water will enter the bottom of the radio and cause permanent damage
!
Important! The Power-over-Ethernet injector is not a weatherized device and must be
located either indoors or in a weather-protected cabinet.

SNMP
Trango Broadband Wireless — ATLAS5010 page 20
Chapter 5 SNMP
TBA

SNMP
Trango Broadband Wireless — ATLAS5010 page 21
Chapter 6 Firmware Upgrade Procedure
TBA

Appendix A Command Set Reference
Trango Broadband Wireless — ATLAS5010 page 22
Appendix A Using the HTTP Interface
TBA

Appendix B Specifications
Trango Broadband Wireless — ATLAS5010 page 23
Appendix B Specifications
Data Parameters
Modulation Format Orthogonal Frequency Division Multiplexing
Certification/Compliance FCC Part 15.247, 15.407: ETSI/EN301 489-1 (7.2) (pending)
Receiver Sensibility –73 dBm (54 Mbits) to –92 dBm (6 Mbits)
User Data Throughput 45 Mbps
Format 10/100 BaseT 10/100 BaseT
Network Protocols All IEEE 802.3 / 802.3u compliant protocols
Configuration and Management Telnet, SNMP, TFTP, HTTP
Upstream/Downstream Throughput Dynamic, automatically adjusts to suit demand
Physical Interfaces
Ethernet Speed (via RJ45 shielded) 10/100 BaseT, Auto-sensing
Ethernet Packet Up to 3600 byte long packets (supports VLAN/VPN pass through)
POWER PARAMETERS
Power Method Power-over-Ethernet (PoE). DC Voltage injected at PoE J-Box
Voltage input limits into PoE J-Box 12 VDC - 24 VDC, 24 VDC Nominal
Voltage input limits into Radio 10.5 VDC - 24 VDC
Standard Power Supply (included) 120 VAC to 24 VDC
PoE Cat-5 Max Cable length 100 meters on 24 AWG STP Cat-5 Cable
Current Draw/Power 750 mA max. (12 W), using 24V standard adapter
Environmental
Radio Enclosure All-weather, powder coated, aluminum case/back with UV stabilized ABS radome
Temperature Range -40° to 60° C (-40° to 140° F)
NEMA Rating NEMA 4
Radio Dimensions 14.5 in. x 14.5 in. x 3.75 in.
Radio Weight 7 Lbs. (INT)
User Interfaces RJ45 (shielded)