Ultima Electronics UECVSAM12 User Manual 74620
Ultima Electronics Corp 74620
UserManual.wiki
>
Ultima Electronics
>
UECVSAM12 User Manual HTML Version
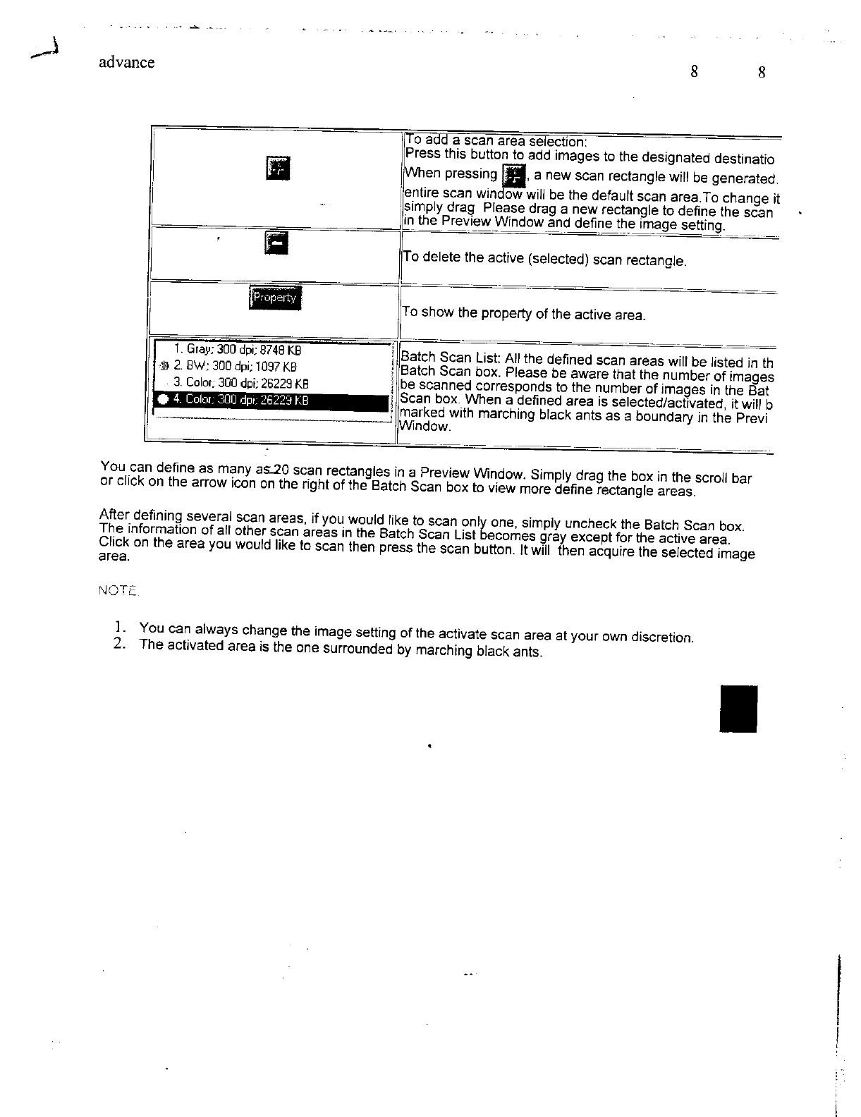
8
Navigation menu
Upload a User Manual
Namespaces
Wiki Guide
HTML
PDF
Info
Views
User Manual
Discussion / Help
Navigation