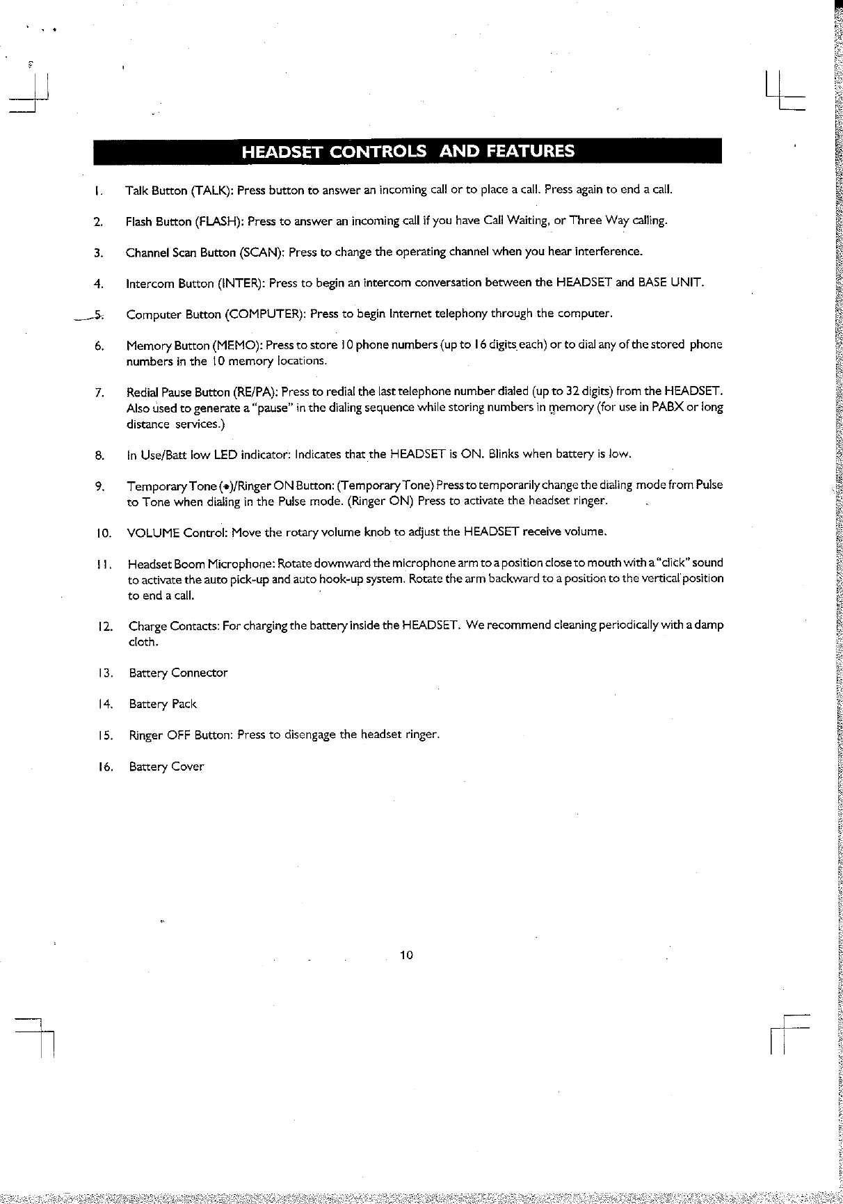
Venture Target IBM-3330H 900MHz Analog Phone Headset User Manual
Venture Target Limited 900MHz Analog Phone Headset
UserManual.wiki
>
Venture Target
>
IBM-3330H User Manual
>
User Manual
Contents
1.
FCC Information
2.
User Manual
User Manual
Navigation menu
Upload a User Manual
Namespaces
Wiki Guide
HTML
PDF
Info
Views
User Manual
Discussion / Help
Navigation