EUT User Manual for FCC ID NVRCSI110 03 and confirmation number is EA96772

Note: This report may not be duplicated without prior written consent of Bay Area Compliance
Laboratory Corporation. This report must not be used by the client to claim product
endorsement by NVLAP or any agency of the U.S. Government.
FCC PART 22 TYPE APPROVAL
EUT USER MANUAL
FOR
CELLULAR SPECIALTIES, INC.
670 N. Commercial St.
Manchester NH 03101
FCC ID: NVRCSI110-03
February 4, 2000
This Report Concerns:
Original Report
Equipment Type:
Amplifier
Test Engineer: John Chan
Test Date: January 26, 2000
Reviewed By:
John Y. Chan – Engineering Manager
Prepared By: Bay Area Compliance Laboratory Corporation
230 Commercial Street, Suite 2
Sunnyvale, CA 94086
(408) 732-9162

Cellular Specialties, Inc. FCC ID: NVRCSI110-03
Report # EUT User manual.doc FCC Part 22 Type Approval report
Page 2 of 25
TABLE OF CONTENTS
1 - GENERAL INFORMATION................................................................................................................................. 3
1.1 PRODUCT DESCRIPTION FOR EQUIPMENT UNDER TEST (EUT).............................................................................. 3
1.2 OBJECTIVE ............................................................................................................................................................ 3
1.3 RELATED SUBMITTAL(S)/GRANT(S)...................................................................................................................... 3
1.4 TEST METHODOLOGY............................................................................................................................................ 3
1.5 TEST FACILITY ...................................................................................................................................................... 4
1.6 TEST EQUIPMENT LIST .......................................................................................................................................... 4
1.7 EQUIPMENT UNDER TEST (EUT)........................................................................................................................... 5
1.8 SUPPORT EQUIPMENT............................................................................................................................................ 5
1.9 EUT CONFIGURATION DETAILS AND LIST ............................................................................................................ 5
1.10 EXTERNAL I/O CABLING..................................................................................................................................... 5
2 - SYSTEM TEST CONFIGURATION.................................................................................................................... 6
2.1 JUSTIFICATION ...................................................................................................................................................... 6
2.2 BLOCK DIAGRAM.................................................................................................................................................. 6
2.3 TEST SETUP BLOCK DIAGRAM .............................................................................................................................. 7
2.4 EQUIPMENT MODIFICATIONS ................................................................................................................................ 8
APPENDIX A – AGENCY AUTHORIZATION LETTER..................................................................................... 9
APPENDIX B – EUT SCHEMATICS AND BLOCKDIAGRAM ......................................................................... 11

Cellular Specialties, Inc. FCC ID: NVRCSI110-03
Report # EUT User manual.doc FCC Part 22 Type Approval report
Page 3 of 25
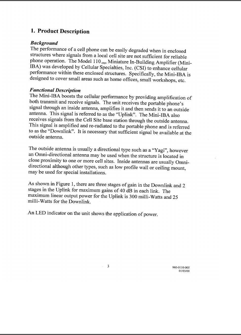
1 - GENERAL INFORMATION
1.1 Product Description for Equipment Under Test (EUT)
The Cellular Specialties, Inc., FCC ID NVRCSI110-03 (AMPLIFIER) or the "EUT" as referred to in this
report is a device using in enclosed structures where sufficient signal from local cell sites to operate cell
phones was unavailable within the building. The device is connected to an external antenna, usually on the
roof, and to one or more internal antennas placed strategically throughout the area where phone service is
desired. The EUT measures 10” L x 12” W x 3.5” H.
1.2 Objective
This type approval report is prepared on behalf of Cellular Specialties, Inc. in accordance with Part 2,
Subpart J, Part 15, Subparts A and B, and Part 22 Subpart H, of the Federal Communication Commissions
rules.
The objective of the manufacturer is to demonstrate compliance with FCC rules for output power, 20 dB
bandwidth, occupied bandwidth, spurious emission at antenna terminal, two-tone test, conducted and
radiated margin.
1.3 Related Submittal(s)/Grant(s)
No Related Submittals
1.4 Test Methodology
All measurements contained in this report were conducted with ANSI C63.4 –1992, American National
Standard for Methods of Measurement of Radio-Noise Emissions from Low-Voltage Electrical and
Electronic Equipment in the range of 9 kHz to 40 GHz. All radiated and conducted emissions
measurement was performed at Bay Area Compliance Laboratory, Corp. The radiated testing was
performed at an antenna-to-EUT distance of 3 meters.

Cellular Specialties, Inc. FCC ID: NVRCSI110-03
Report # EUT User manual.doc FCC Part 22 Type Approval report
Page 4 of 25
1.5 Test Facility
The Open Area Test site used by Bay Area Compliance Laboratory Corporation to collect radiated and
conducted emission measurement data is located in the back parking lot of the building at 230 Commercial
Street, Suite 2, Sunnyvale, California, USA.
Test sites at Bay Area Compliance Laboratory Corporation has been fully described in reports submitted to
the Federal Communication Commission (FCC) and Voluntary Control Council for Interference (VCCI).
The details of these reports has been found to be in compliance with the requirements of Section 2.948 of
the FCC Rules on February 11 and December 10, 1997 and Article 8 of the VCCI regulations on
December 25, 1997. The facility also complies with the radiated and AC line conducted test site criteria
set forth in ANSI C63.4-1992.
The Federal Communications Commission and Voluntary Control Council for Interference has the reports
on file and is listed under FCC file 31040/SIT 1300F2 and VCCI Registration No.: C-674 and R-657. The
test sites has been approved by the FCC and VCCI for public use and is listed in the FCC Public Access
Link (PAL) database.
Additionally, Bay Area Compliance Laboratory Corporation is a National Institute of Standards and
Technology (NIST) accredited laboratory, under the National Voluntary Laboratory Accredited Program
(NVLAP). The scope of the accreditation covers the FCC Method - 47 CFR Part 15 - Digital Devices,
IEC/CISPR 22: 1993, and AS/NZS 3548: Electromagnetic Interference - Limits and Methods of
Measurement of Information Technology Equipment test methods under NVLAP Lab Code 200167.
1.6 Test Equipment List
Manufacturer Description Model Serial
Number Cal. Due
Data
HP Spectrum
Analyzer 8566B 2610A02165 12/6/00
HP Spectrum
Analyzer 8593B 2919A00242 12/20/00
HP Amplifier 8349B 2644A02662 12/20/00
HP Quasi-Peak
Adapter 85650A 917059 12/6/00
HP Amplifier 8447E 1937A01046 12/6/00
A.H. System Horn Antenna SAS0200/571 261 12/27/00
Com-Power Log Periodic
Antenna AL-100 16005 11/2/00
Com-Power Biconical
Antenna AB-100 14012 11/2/00
Solar Electronics LISN 8012-50-R-24-BNC 968447 12/28/00
Com-Power LISN LI-200 12208 12/20/00
Com-Power LISN LI-200 12005 12/20/00
BACL Data Entry
Software DES1 0001 12/20/00
Rohde & Schwarz Signal Generator SMIQ03B 1125.5555.03 7/10/2002
Rohde & Schwarz I/Q Modulation
Generator AMIQ 1110.2003.02 8/10/2002

Cellular Specialties, Inc. FCC ID: NVRCSI110-03
Report # EUT User manual.doc FCC Part 22 Type Approval report
Page 5 of 25
1.7 Equipment Under Test (EUT)
Manufacturer Description Model Serial
Number FCC ID
Cellular Specialties, Inc. Amplifier NVRCSI110-03 None NVRCSI110-03
1.8 Support Equipment
Manufacturer Description Model Serial
Number FCC ID
Rohde & Schwarz Signal Generator SMIQ03B 1125.5555.03 Doc
Rohde & Schwarz I/Q Modulation Generator AMIQ 1110.2003.02 Doc
1.9 EUT Configuration Details and List
NOT APPLICABLE
1.10 External I/O Cabling
Cable Description Length (M) Port/From To
Shielded BNC Cable 2.0 Rohde & Schwarz EUT

Cellular Specialties, Inc. FCC ID: NVRCSI110-03
Report # EUT User manual.doc FCC Part 22 Type Approval report
Page 6 of 25
2 - SYSTEM TEST CONFIGURATION
2.1 Justification
The EUT was configured for testing in a typical fashion (as normally used in a typical application).
The final qualification test was performed with the EUT operating at normal mode.
2.2 Block Diagram
Appendix A contains a copy of the EUT’s block diagram as reference.

Cellular Specialties, Inc. FCC ID: NVRCSI110-03
Report # EUT User manual.doc FCC Part 22 Type Approval report
Page 7 of 25
2.3 Test Setup Block Diagram
1.5 Meters
Non-Conducting Table
80 cm Above Ground Plane
1 Meters
EUT
FCC ID:
NVRCSI110-03
Rohde
& Schwarz

Cellular Specialties, Inc. FCC ID: NVRCSI110-03
Report # EUT User manual.doc FCC Part 22 Type Approval report
Page 8 of 25
2.4 Equipment Modifications
No modifications were necessary for the EUT to comply.

Cellular Specialties, Inc. FCC ID: NVRCSI110-03
Report # EUT User manual.doc FCC Part 22 Type Approval report
Page 9 of 25
Appendix A – AGENCY AUTHORIZATION LETTER

Cellular Specialties, Inc. FCC ID: NVRCSI110-03
Report # EUT User manual.doc FCC Part 22 Type Approval report
Page 10 of 25

Cellular Specialties, Inc. FCC ID: NVRCSI110-03
Report # EUT User manual.doc FCC Part 22 Type Approval report
Page 11 of 25
Appendix B – EUT USER MANUAL

Cellular Specialties, Inc. FCC ID: NVRCSI110-03
Report # EUT User manual.doc FCC Part 22 Type Approval report
Page 12 of 25

Cellular Specialties, Inc. FCC ID: NVRCSI110-03
Report # EUT User manual.doc FCC Part 22 Type Approval report
Page 13 of 25

Cellular Specialties, Inc. FCC ID: NVRCSI110-03
Report # EUT User manual.doc FCC Part 22 Type Approval report
Page 14 of 25

Cellular Specialties, Inc. FCC ID: NVRCSI110-03
Report # EUT User manual.doc FCC Part 22 Type Approval report
Page 15 of 25

Cellular Specialties, Inc. FCC ID: NVRCSI110-03
Report # EUT User manual.doc FCC Part 22 Type Approval report
Page 16 of 25

Cellular Specialties, Inc. FCC ID: NVRCSI110-03
Report # EUT User manual.doc FCC Part 22 Type Approval report
Page 17 of 25

Cellular Specialties, Inc. FCC ID: NVRCSI110-03
Report # EUT User manual.doc FCC Part 22 Type Approval report
Page 18 of 25

Cellular Specialties, Inc. FCC ID: NVRCSI110-03
Report # EUT User manual.doc FCC Part 22 Type Approval report
Page 19 of 25

Cellular Specialties, Inc. FCC ID: NVRCSI110-03
Report # EUT User manual.doc FCC Part 22 Type Approval report
Page 20 of 25

Cellular Specialties, Inc. FCC ID: NVRCSI110-03
Report # EUT User manual.doc FCC Part 22 Type Approval report
Page 21 of 25

Cellular Specialties, Inc. FCC ID: NVRCSI110-03
Report # EUT User manual.doc FCC Part 22 Type Approval report
Page 22 of 25

Cellular Specialties, Inc. FCC ID: NVRCSI110-03
Report # EUT User manual.doc FCC Part 22 Type Approval report
Page 23 of 25

Cellular Specialties, Inc. FCC ID: NVRCSI110-03
Report # EUT User manual.doc FCC Part 22 Type Approval report
Page 24 of 25

Cellular Specialties, Inc. FCC ID: NVRCSI110-03
Report # EUT User manual.doc FCC Part 22 Type Approval report
Page 25 of 25