Williams Sound T1-216 User Manual 8
Williams Sound, LLC 8
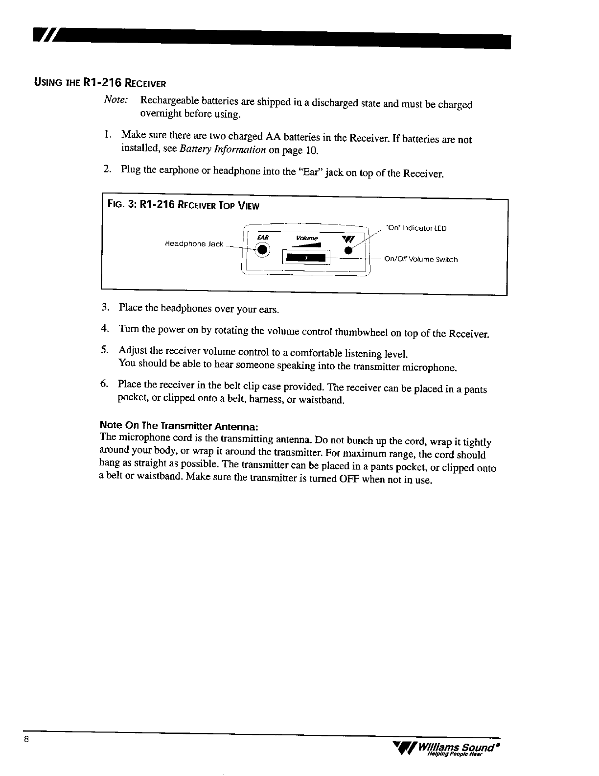
UserManual.wiki
>
Williams Sound
>
T1 216 User Manual HTML Version
8
Navigation menu
Upload a User Manual
Namespaces
Wiki Guide
HTML
PDF
Info
Views
User Manual
Discussion / Help
Navigation