Wireless WNIP2458R wavenet ip remote User Manual Unknown
Wireless Inc wavenet ip remote Unknown
UserManual.wiki
>
Wireless
>
WNIP2458R User Manual
>
manual pt 4 HTML Version
Contents
1.
manual pt 1
2.
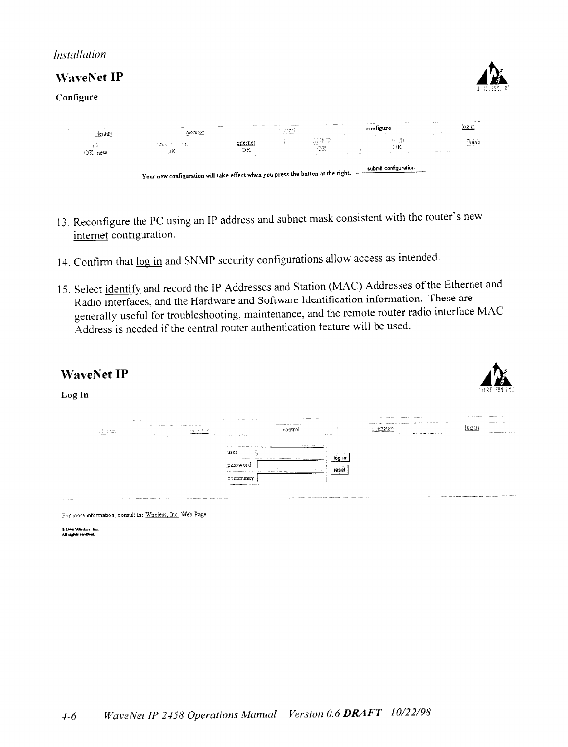
manual pt 2
3.
manual pt 3
4.
manual pt 4
5.
manual pt 5
manual pt 4
Navigation menu
Upload a User Manual
Namespaces
Wiki Guide
HTML
PDF
Info
Views
User Manual
Discussion / Help
Navigation