Yaesu Musen VX-3200U-3 UHF FM Mobile Transceiver User Manual C Manual VX 3200 VX 3200 p65
Yaesu Musen Co., Ltd. UHF FM Mobile Transceiver C Manual VX 3200 VX 3200 p65
users manual

VX-3200 OPERATING MANUAL
VERTEX STANDARD CO., LTD.
4-8-8 Nakameguro, Meguro-Ku, Tokyo 153-8644, Japan
VERTEX STANDARD
US Headquarters
17210 Edwards Rd., Cerritos, CA 90703, U.S.A.
International Division
8350 N.W. 52nd Terrace, Suite 201, Miami, FL 33166, U.S.A.
YAESU EUROPE B.V.
P.O. Box 75525, 1118 ZN Schiphol, The Netherlands
YAESU UK LTD.
Unit 12, Sun Valley Business Park, Winnall Close
Winchester, Hampshire, SO23 0LB, U.K.
VERTEX STANDARD HK LTD.
Unit 5, 20/F., Seaview Centre, 139-141 Hoi Bun Road,
Kwun Tong, Kowloon, Hong Kong
VX-3200
OPERATING MANUAL
FCC ID: K66VX-3200U-2/K66VX-3200U-3
Vertex Standard Co., Ltd.

VX-3200 OPERATING MANUAL
Congratulations!
You now have at your fingertips a valuable communications tool: a VERTEX STAN-
DARD two-way radio! Rugged, reliable and easy to use, your VERTEX STANDARD
radio will keep you in constant touch with your colleagues for years to come, with
negligible maintenance downtime.
Please take a few minutes to read this manual carefully. The information presented
here will allow you to derive maximum performance from your radio, in case ques-
tions arise later on.
We’re glad you joined the VERTEX STANDARD team. Call on us anytime, because
communications is our business. Let us help you get your message across.
NOTICE !
There are no owner-serviceable parts inside the transceiver. All service jobs
must be referred to an authorized VERTEX STANDARD Service Represen-
tative. Consult your Authorized VERTEX STANDARD Dealer for installa-
tion of optional accessories.
SAFETY/WARNING INFORMATION
WARNING - DO NOT operate the VX-3200 radio when any person(s) (by-
standers) outside the vehicle are within the distances shown in the chart at the
bottom of this section.
Safety Training information:
Antennas used for this transmitter must not exceed an antenna gain of 0 dBd.
The radio must be used in vehicle-mount configurations with a maximum op-
erating duty factor not exceeding 50%, in typical Push-to-Talk configurations.
This radio is restricted to occupational use, work related operations only where
the radio operator must have the knowledge to control the exposure condi-
tions of its passengers and bystanders by maintaining the minimum separa-
tion distance shown below.
Failure to observe these restrictions will result in exceeding the FCC RF ex-
posure limits.
Antenna Installation:
For rear deck trunk installation, the antenna must be located at least the fol-
lowing distance away from rear-seat passengers and bystanders in order to
comply with the FCC RF exposure requirements.
For roof top installations, the antenna must be placed in the center of the roof.
Radiated Frequency and Distance
VX-3200V VX-3200U (A)VX-3200U (D)VX-3200U (F)
3.27 Feet 2.69 Feet 2.53 Feet 2.45 Feet
(0.997 m) (0.819 m) (0.773 m) (0.748 m)
FCC ID: K66VX-3200U-2/K66VX-3200U-3
Vertex Standard Co., Ltd.

VX-3200 OPERATING MANUAL Page 1
INTRODUCTION
For North American Users Regarding 406 MHz Guard Band
The U.S. Coast Guard and National Oceanographic and Atmospheric Admin-
istration have requested the cooperation of the U.S. Federal Communications
Commission in preserving the integrity of the protected frequency range 406.0
to 406.1 MHz, which is reserved for use by distress beacons. Do not attempt
to program this apparatus, under any circumstances, for operation in the fre-
quency range 406.0 - 406.1 MHz if the apparatus is to be used in or near
North America.
The VX-3200 Series are full-featured FM transceivers designed for flexible mobile
and base station business communications in the VHF or UHF Land Mobile bands.
These transceiver are designed for reliable business communications in a wide vari-
ety of applications with a wide range of operating capability provided by their lead-
ing-edge design.
The 128-channel memories can each be programmed with an 8-character channel
name.
Important channel frequency data is stored in EEPROM and flash memory on the
CPU, and is easily programmable by dealers using a personal computer and the VER-
TEX STANDARD VPL-1 Programming Cable and CE52 Software.
The pages which follow will detail the many advanced features provided on the VX-
3200 transceiver. After reading this manual, you may wish to consult with your Net-
work Administrator regarding precise details of the configuration of this equipment
for use in your application
FCC ID: K66VX-3200U-2/K66VX-3200U-3
Vertex Standard Co., Ltd.

VX-3200 OPERATING MANUALPage 2
CONTROLS & CONNECTORS
Front Panel
Important! - All buttons located on the Front Panel are Programmable Function
(PF) Buttons, configured according to your network requirements and programmed
by your VERTEX STANDARD dealer. The instructions below a typically-config-
ured radio.
VOL/PWR Knob
Turn this control clockwise to turn the radio on and to increase the volume. Turn
it counterclockwise into the click-stop to turn the radio off.
BUSY/TX Indicator
Indicate transceiver Transmit/Receive Status
Steady Red: Transmitting in progress
Steady Green: Busy Channel
Blinking Green: Tone Squelch in defeated condition
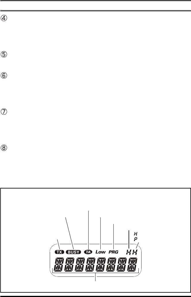
LCD (Liquid Crystal Display)
The display includes an 8-character alpha-numeric section showing Group and
Channel names, status and identity information, and error messages.
FCC ID: K66VX-3200U-2/K66VX-3200U-3
Vertex Standard Co., Ltd.

VX-3200 OPERATING MANUAL Page 3
[q]/[p] Buttons (Programmable Function Buttons)
Pressing either button changes the current channel (and displayed channel num-
ber or name). Holding a button for more than 1/2 second causes the function to
repeat.
Microphone Jack
Connect the microphone plug to this jack.
[A] Button (Programmable Function Button)
This button can be set up for special applications, such as High/Low power se-
lection, Monitor, Talk-Around, etc, as determined by your network requirements
and programmed by your VERTEX STANDARD dealer.
[s]/[r] Buttons (Programmable Function Buttons)
Pressing either button changes the current group (and displayed group number
or name). Holding a button for more than 1/2 second causes the function to
repeat.
[P1] - [P4] Buttons (Programmable Function Buttons)
These buttons can be set up for special applications, such as High/Low power
selection, Monitor, Talk-Around, etc, as determined by your network require-
ments and programmed by your VERTEX STANDARD dealer.
CONTROLS & CONNECTORS
Current Group on “Scan” List
LCD Icons & Indicators
8-Character Alpha-Numeric Display
Transmission in progress,
(follows Red BUSY/TX in-
dicator).
Busy Channel (follows
Green BUSY/TX indicator). Talk-Around Enabled
Low TX Power
Horn Function Activate
:Home System/Group
:Priority Group
FCC ID: K66VX-3200U-2/K66VX-3200U-3
Vertex Standard Co., Ltd.

VX-3200 OPERATING MANUALPage 4
Rear Panel
Antenna Socket
The 50-Ohm coaxial feedline to the antenna must be connected here, using a
type-M (PL-259) plug.
13.6V DC Cable Pigtail with Connector
The supplied DC power cable must be connected to this 2-pin connector. Use
only the supplied fused cable, extended if necessary, for power connection.
External Speaker Jack
An external loudspeaker may be connected to this 2-contact, 3.5-mm mini-phone
jack.
Caution: Do not connect either wire of this line to ground, and be certain that
the speaker has adequate capability to handle the audio output (4 W) from the
radio.
D-Sub 9-Pin Accessory Connector
External TX audio line input, PTT (Push To Talk), Squelch, and external RX
audio line output signals may be obtained from this connector for use with acces-
sories such as data transmission/reception modems, etc.
CONTROLS & CONNECTORS
FCC ID: K66VX-3200U-2/K66VX-3200U-3
Vertex Standard Co., Ltd.

VX-3200 OPERATING MANUAL Page 5
BASIC OPERATION OF THE TRANSCEIVER
Important! - Before turning on the radio the first time, confirm that the power con-
nections have been made correctly and that a proper antenna is connected to the
antenna jack.
Switching Power ON/OFF
rTurn the VOL/PWR knob turn on the radio. The display will become illumi-
nated.
rPress the [q]/[p] button to choose the desired operating channel. A channel
name will appear on the display. If you want to select an operating channel from
a different group, press the [s]/[r] button to select the group you want before
selecting the operating channel.
Setting the Volume
rTurn the VOL/PWR knob clockwise to increase the volume, and counterclock-
wise to decrease it.
Transmitting
rTo transmit, monitor the channel and make sure it is clear.
THIS IS AN FCC REQUIRMENT!
Press the PF button which is programmed to the Monitor feature to listen for
channel activity.
rWhen receiving a call, transmit only after the incoming call ends. The radio can-
not receive a call and transmit simultaneously.
rPress the PTT switch.
rIf the channel is clear, the BUSY/TX indicator will glow red. The radio is now
transmitting. While holding in the PTT switch, speak across the face of the mi-
crophone in a clear and normal voice. For best transmission, hold the microphone
about 1-1/2 to 2 inches away from your mouth. Release the PTT switch to re-
ceive.
rIf the Busy Channel Lockout feature has been programmed on a channel, the
radio will not transmit when a carrier is present. Instead, the radio will generate a
continuous low-pitched tone while the PTT switch is pressed. Release the PTT
switch and wait for the channel to be clear of activity.
rIf CTCSS or Digital Coded Squelch (DCS) Lockout has been programmed on a
channel, the radio can transmit only when there is no carrier being received or
when the carrier being received includes the correct CTCSS tone or DCS code.
FCC ID: K66VX-3200U-2/K66VX-3200U-3
Vertex Standard Co., Ltd.

VX-3200 OPERATING MANUALPage 6
Automatic Time-Out Timer
If the selected channel has been programmed for automatic time-out, you must limit
the length of each transmission. While transmitting, a beep will sound 10 seconds
before time-out. Another beep will sound just before the deadline; the “ ” indi-
cator will disappear and transmission will cease soon thereafter. To resume transmit-
ting, you must release the PTT switch and wait for the “penalty timer” to expire (if
you press the PTT switch before this timer expires, the timer restarts, and you will
have to wait another “penalty” period)
BASIC OPERATION OF THE TRANSCEIVER
FCC ID: K66VX-3200U-2/K66VX-3200U-3
Vertex Standard Co., Ltd.

VX-3200 OPERATING MANUAL
Programmable Function (PF) Buttons
Function
None
Group Up
Group Down
Channel Up
Channel Down
Monitor
Scan
Dual Watch
Follow-Me DW
Scan A/D
Home
Home Set
Phone
Tx Low Power
Talk-around
Horn
Call/Reset
Emergency
Lighting
LCD Invert
Display Alt.
Key Lock
Short Cut #1
Short Cut #2
Short Cut #3
Short Cut #4
Page 7
ADVANCED OPERATION
Programmable Function (PF) Buttons
The VX-3200 includes nine Programmable Function (PF) Buttons. The PF button
functions can be customized, via programming by your VERTEX STANDARD dealer,
to meet your communications/network requirements. Some features may require the
purchase and installation of optional internal accessories. The possible PF button
programming features are illustrated below, and these functions are explained on the
pages to follow.
For further details, contact your VERTEX STANDARD dealer. For future reference,
check the box next to the function that has been assigned to each PF button on your
particular radio, and keep it handy.
FCC ID: K66VX-3200U-2/K66VX-3200U-3
Vertex Standard Co., Ltd.

VX-3200 OPERATING MANUALPage 8
Description of Operating Functions
GROUP UP/GROUP DOWN (GROUP SELECTION)
The VX-3200 is capable of separating its 128 memory channels into any of 10 groups.
There is no limit as to the number of channels which may be assigned to each group.
The Dealer will have made the group assignment at the time of channel program-
ming.
rPress the assigned PF button (generally the [s]/[r] button) to change the group.
Once the desired group is reached, press the PF button which is assigned to the
Channel Up/Channel Down feature (generally the [q]/[p] button) to select the
desired channel within the selected group.
CHANNEL UP/CHANNEL DOWN (CHANNEL SELECTION)
Press the assigned PF button (generally the [q]/[p] button) to select a different
channel within the current group.
MONITOR
Press the assigned PF button momentarily to cancel CTCSS- and DCS-controlled
squelch; the BUSY/TX indicator will blink green. Press and hold this button for 1.5
seconds to hear background noise (unmute the audio); the BUSY/TX indicator will
glow green.
ADVANCED OPERATION
FCC ID: K66VX-3200U-2/K66VX-3200U-3
Vertex Standard Co., Ltd.

VX-3200 OPERATING MANUAL Page 9
ADVANCED OPERATION
SCAN
The Scanning feature is used to monitor multiple channels programmed into the trans-
ceiver. While scanning, the transceiver will check each channel for the presence of a
signal, and will stop on a channel if a signal is present.
rPress the assigned PF button to activate scanning.
rThe scanner will search the channels of each channel, looking for active ones; it
will pause each time it finds a channel on which someone is speaking.
rPress the assigned PF button again to disable scanning. Operation will revert to
the programmed revert channel.
Note: Your dealer may have programmed your radio to stay on one of the following
channels if you press the PTT switch during scanning pause:
¦“Last Busy” Channel
¦“Home” Channel
¦“Scan Start” Channel
¦Current channel (“Talk Back”)
¦“Priority channel”
SCAN A/D (ADD/DELETE)
rPress the assigned PF button to delete the current channel from Scanning. Alter-
natively, press and hold the assigned PF button for 2 seconds to delete the current
channel from Scanning.
rWhen you delete a channel, the “PRG” icon will disappear on the LCD. To
restore a particular channel to your scanning list, press and hold in the assigned
PF button again for 2 seconds; the “PRG” icon will appear on the LCD.
DUAL WATCH
The Dual Watch feature is similar to the Scan feature, except that only two chan-
nels are monitored:
rThe current operating channel; and
rThe “Priority” channel.
To activate Dual Watch:
m Press the assigned PF button.
m The scanner will search the two channels; it will pause each time it finds a
channel on which someone is speaking.
To stop Dual Watch:
m Press the assigned PF button.
FCC ID: K66VX-3200U-2/K66VX-3200U-3
Vertex Standard Co., Ltd.

VX-3200 OPERATING MANUALPage 10
FOLLOW-ME DW
To set up a “Dual Watch” frequency pair using the “Follow-Me” feature, select a
channel using the assigned PF button (generally the [q]/[p] button). Now press the
assigned PF button; pressing the assigned PF button locks the current channel as the
User-assigned Priority Channel, and “ ” icon will appear on the LCD.
HOME
rPress the assigned PF button to recall the pre-programmed Home group/channel.
When you recall the Home group/channel, the “ ” icon will appear on the LCD.
rPress this button again to return to previous group/channel; the “ ” icon will
disappear on the LCD.
HOME SET
Press and hold the assigned PF button to store the current group/channel to the Home
register.
PHONE
Press the assigned PF button to dial the Dealer pre-programmed Auto-Dial tele-
phone number. The DTMF tones sent during the dialing sequence will be heard in the
speaker.
TX LOW POWER
Press the assigned PF button to set the radio’s transmitter to the “Low Power” mode.
Press this button again to return to “High Power” operation when in difficult terrain.
TALK AROUND
Press the assigned PF button to activate the Talk Around feature when you are oper-
ating on duplex channel systems (separate receive and transmit frequencies, utilizing
a “repeater” station). The Talk Around feature allows you to bypass the repeater
station and talk directly to a station that is nearby. This feature has no effect when you
are operating on “Simplex” channels, where the receive and transmit frequencies are
already the same.
Note that your dealer may have made provision for “Talk Around” channels by pro-
gramming “repeater” and “Talk Around” frequencies on two adjacent channels. If so,
the key may be used for one of the other Pre-Programmed Functions.
ADVANCED OPERATION
FCC ID: K66VX-3200U-2/K66VX-3200U-3
Vertex Standard Co., Ltd.

VX-3200 OPERATING MANUAL Page 11
HORN
When the Horn feature is enabled, a tone will sound from the speaker if you receive
a call (with appropriate DTMF signaling) from the base station.
rPress and hold in the assigned PF button to disable the Horn feature. When you
disable the Horm feature, the “ ” icon will disappear from the LCD.
rPress and hold in this button again to activate the Horn feature; the “ ” icon will
appear on the LCD.
CALL/RESET
When this feature is programmed and a selective call has been received, press the
assigned PF button to reset the flashing indicator and mute the receiver; otherwise
press the assigned PF button to sent your radio’s identification code (ANI) to the
dispatcher (requires the optional FVP-25 Encryption/DTMF Pager Unit).
EMERGENCY
The VX-3200 includes an “Emergency” feature which may be useful if you have
someone monitoring on the same frequency as your transceiver’s channel.
Press the assigned PF button to initiate an emergency call. For further details contact
your VERTEX STANDARD dealer.
LIGHTING
Press the assigned PF button to turn off the display lamp. Press the assigned PF
button again to turn on the display lamp.
LCD INVERT
Press the assigned PF button to invert the LCD display to backward-facing readout.
Press the assigned PF button again to return the LCD display to frontward-facing
readout.
DISPLAY ALT.
Press the assigned PF button to switch the LCD display between the group alpha-
numeric tag and the channel alpha-numeric tag.
KEY LOCK
Press and hold in the assigned PF button for 2 seconds to lock the front panel but-
tons; this can be enabled to prevent radio settings from being disturbed.
ADVANCED OPERATION
FCC ID: K66VX-3200U-2/K66VX-3200U-3
Vertex Standard Co., Ltd.

VX-3200 OPERATING MANUALPage 12
SHORT CUT #1 – SHORT CUT #4
Press the assigned PF button to recall the Dealer pre-programmed channel directly.
ARTS (Auto Range Transpond System)
This system is designed to inform you when you and another ARTS-equipped station
are within communication range.
During ARTS operation, your radio automatically transmits for about 1 second every
25 seconds (the interval is programmed by the Dealer) in an attempt to shake hands
with the other station.
If you move out of range for more than two minutes, your radio senses that no signal
has been received; a ringing beeper will sound, and “OUT OF SERVICE” will scroll
on the LCD. If you subsequently move back into range, as soon as the other station
transmits, your beeper will sound, and “IN SERVICE” will scroll on the LCD.
DTMF Paging System
(Requires the optional FVP-25 Encryption/DTMF Pager Unit)
This system allows paging and selective calling, using DTMF tone sequences.
When your radio is paged by a station bearing a tone sequence which matches yours,
your radio’s squelch will open and the alert ringer will sound. The three-digit code of
the station which paged you will be displayed on your radio’s LCD.
ADVANCED OPERATION
FCC ID: K66VX-3200U-2/K66VX-3200U-3
Vertex Standard Co., Ltd.

VX-3200 OPERATING MANUAL
This device complies with Part 15 of the FCC rules.
Operation is subject to the condition that this device does not cause
harmful interference.
OPTIONAL ACCESSORIES
FVP-25 Encryption/DTMF Pager Unit
FP-1023A External Power Supply
MLS-100 Mobile Loudspeaker (12 W Peak Power)
LF-1 Line Filter
MH-700D DTMF Back-lit Microphone
MH-25A8J Microphone
Availability of accessories may vary; some accessories are supplied standard per
local requirements, others may be unavailable in some regions.
Check with your VERTEX STANDARD Dealer for changes to this list.
Part 15.21:  Changes or modifications to this device not expressly ap-
proved by Vertex Standard could void the user’s authorization to oper-
ate this device.
FCC ID: K66VX-3200U-2/K66VX-3200U-3
Vertex Standard Co., Ltd.

VX-3200 OPERATING MANUAL
Copyright 2002
VERTEX STANDARD CO., LTD.
All rights reserved.
No portion of this manual
may be reproduced
without the permission of
VERTEX STANDARD CO., LTD.
Printed in Japan
0204C-0E
E
C
0
3
9
U
1
0
0
FCC ID: K66VX-3200U-2/K66VX-3200U-3
Vertex Standard Co., Ltd.