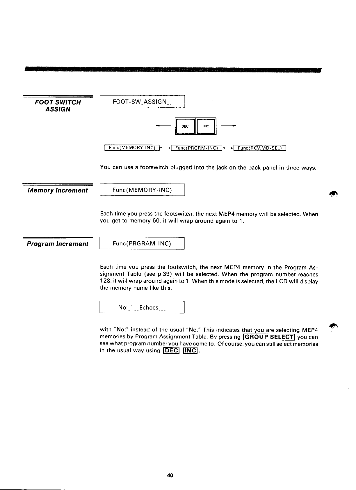
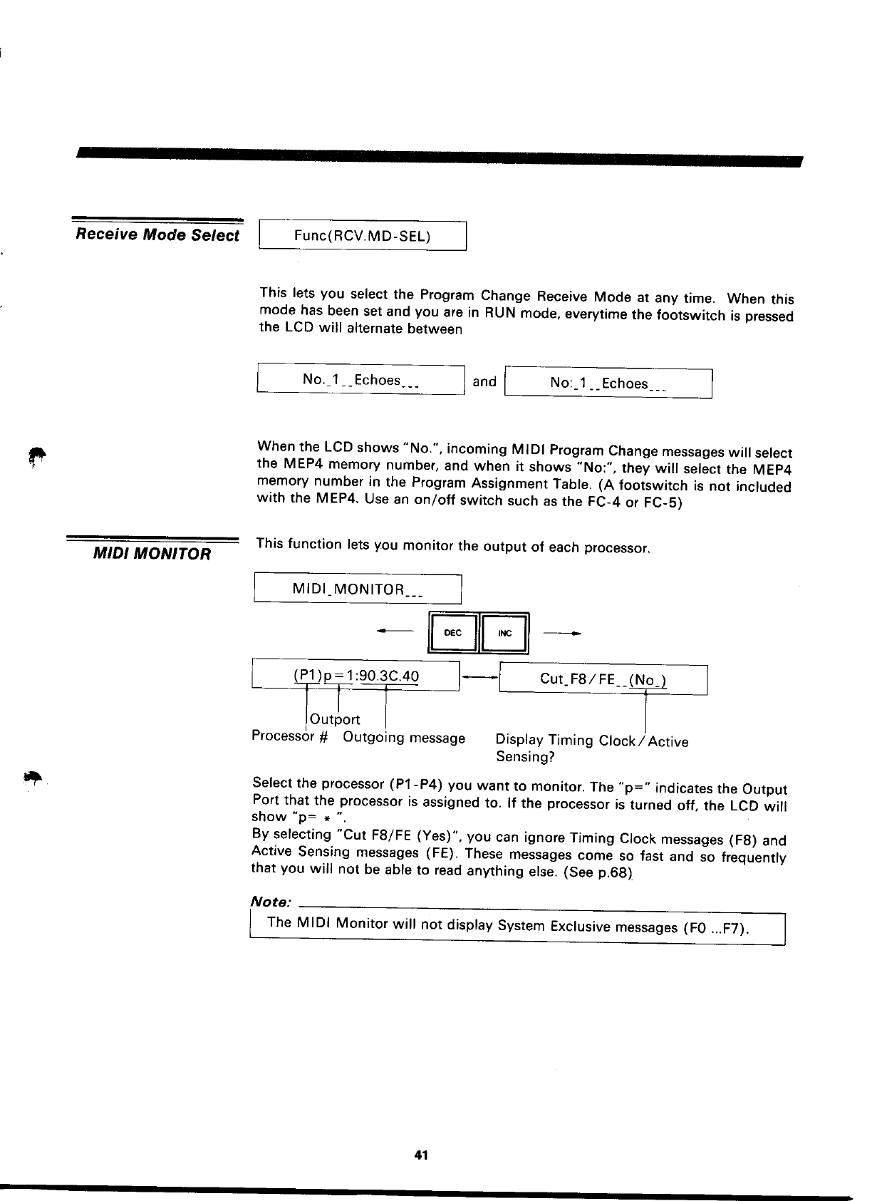
Yamaha MEP4 Owner's Manual (Image) MEP4E
Yamaha Corporation MEP4 Owner's Manual mep4e Yamaha Corporation - MEP4 - Owner's Manual
Yamaha Corporation MEP4 Owner's Manual mep4e Yamaha Corporation - MEP4 - Owner's Manual
User Manual: Yamaha MEP4 Owner's Manual (Image)
Open the PDF directly: View PDF
.
Page Count: 76











































































