ZENITH Direct View Digital 27 To 40 TV Manual 97110081
User Manual: ZENITH ZENITH Direct View Digital 27 to 40 TV Manual ZENITH Direct View Digital 27 to 40 TV Owner's Manual, ZENITH Direct View Digital 27 to 40 TV installation guides
Open the PDF directly: View PDF
.
Page Count: 84

//_Advanced Video Imaging
Direct View Color TV
MTS Stereo Audio
Picture-In-Picture
Surround Sound
Returnthe Product
RegistrationCard,
andyour TV
couldbe
FREE!
OPERATING'GUIDE& WARRANTY
for models...
SR2745,SR2786,SR2789,
SR3247,SR3289,SR3547
SR3589
ZENITH ELECTRONICS CORPORATION
1000 MILWAUKEE AVENUE
GLENVlEW, ILLINOIS 60025
Part No. 206-2918.O1
Pdnted in U.S.A.
EP-EDCBA
WATCH US.

WARNING: TO REDUCE THE RISK OF ELECIRIC SHOCK DO NOT
REMOVE COVER (OR BACK). NO USER SERVICEABLE
PARTS INSIDE. REFER TO QUALIFIED SERVICE
PERSONNEL.
TO PREVENT FIRE OR SHOCK HAZARDS, DO NOT EXPOSE
THIS PRODUCT TO RAIN OR MOISTURE.
The lightning flash with arrowhead symbol, within an equilateral
triangle, is intended to alert the user to the presence of uninsulated
"dangerous voltage" within the product's enclosure that may be of
sufficient magnitude to constitute a risk of electric shock to persons.
The exclamation point within an equilateral triangle is intended to
alertthe user to the presence of important operating and maintenance
(servicing) instructions in the literature accompanying the appliance.
Safety Tips
Refer to the "Safety Tips" booklet that came with your
product for important safety considerations.
Note to Cable TV System Installer
This reminder is provided to call the cable TV system
installer's attention to Article 820-40 of the NEC that
provides guidelines for proper grounding and, in particular,
specifies that the cable ground shall be connected to the
grounding system of the building, as close to the point of
the cable entry as practical.
Power-Cord Polarization
This product is equipped with a polarized alternating-
current line plug (a plug having one blade wider than the
other.) This plug will fit into the power outlet only one
way. This is a safety feature. If you are unable to insert the
plug fully into the outlet, try reversing the plug. If the plug
should still fail to fit, contact your electrician to replace
your obsolete outlet. Do not defeat the safety purpose of
the polarized plug.
CAUTION
To prevent electric shock, match wide blade of plug to
wide slot, fully insert.
A TTENTION
Pour _viter les chocs _lectriques, introduire la lame la plus
large de la fiche darts la borne correspondante de la prise et
pousser jusqu'au fond.
x-_vmm Copyright ©Zenith Electronics Corporation 1995

CONTENTS
Part 1. Connections and Basic
Operations
INTRODUCTION
Welcome ............................................ ii
InstallationConsiderations.............................. ii
Methods of Operation................................. iii
Model/Featnres Chart ................................. iii
STANDARD CONNECTIONS FOR YOUR TV
Connection Center, Cable, VCR, S-Video,
Accessory Jacks,Speakers, Audio Amplifier,
and Connections For Using PIP ........................ 1-1
FIRST TIME YOU OPERATE YOUR TV
Control Panel, Battery Installation, Power, Source,
Auto Program, Clock, and Other Options ................ 2-1
PIP OPERATION
hltroduction, Selecting Main Picture and PIP Inset
Source, PIP Functions, Operation With Various
C.onfigurations ...................................... 3-1
Part 2. Universal Remote Control
and Menus
UNIVERSAL REMOTE CONTROL
Battery Installation, Operating Mode, TV Operations,
StarSight Operations, Operational Modes, Programming,
Special Features, Auto Find, and Brand Codes ............ 3-1
QUICK REFERENCE TO MENUS
Available Menus, and Basic Operation .................. 4-1
SOURCE MENU
Menu Operation, Source Selection,
and Source Identification ............................. 5-1
SETUP MENU
Auto Program, Ch. Add/Del, Ch. Labels, Source ID,
Clock Set, Timer Setup, Parental CtL Option/
Text, Background, and StarSight ....................... 6-1
AUDIO MENU
Bass, Treble, Balance, Audio, SEQ,
Surround and Null .................................. 7-I
VIDEO MENU
Contrast, Brightness, Color, Tint, Sharpness, Color
Temp, Video Filter, Auto Flesh, and Picture Pref .......... 8-1
PIP MENU
Ch. Guide, Ch. Review, PIP Color, PIP Tint,
and PIP Size ."...................................... 9-1
Part 3. Z-Trak Remote Control
and Menus
Z-TRAK REMOTE CONTROL
Battery Installation, Operating Mode,
Basic Operations and Auto Find ....................... 11-1
QUICK REFERENCE TO MENUS
Available Menus, Accessing the Menu,
Channel Icons and Volume Control .................... 12-1
TV OPTIONS MENU
Timer, Captions, Z-Trak, PIP, Freeze and Move PIP ....... 13-I
SOURCE MENU
Menu Operation, Source Selection,
and Source Identification ............................ 14-1
SETUP MENU
Auto Program, Ch. Add/Del, Ch. Labels, Source ID,
Clock Set, Timer Setup, Parental Cfl, Caption/
Text, Background, and StarSight ...................... 15-1
AUDIO MENU
Bass, Treble, Balance, Audio, SEQ,
Surround, and Null ................................. 16-1
VIDEO MENU
Contrast, Brightness, Color, Tint, Sharpness, Color
Temp, Video Filter, Auto Flesh, and Picture Pref ......... 17-1
PIP MENU
Ch. Guide, Ch. Review, PIP Color, PIP Tint,
and PIP Size ...................................... 18-1
Part 4. Maintenance, Accessories,
and Warranty
MAINTENANCE AND TROUBLESHOOTING
Caring, Extended Absence, Interference,
Before Calfing for Service ........................... 19-1
Replacement Product Registration Card
Accessories for Your TV
Your Zenith Warranty
How to use this operating guide
St_mdard TV installation and operation is given in this portion of the operating guide. Follow the procedures given if you will not
be using StarSight®.
A Refer to the StarSight@portion of this operating guide for StarSight@ installation and operation.
29184)1-A i

INTRODUCTION
WELCOME
Welcome into the family of Zenith Color Television owners.
This guide provides instructions on how to operate your new
TV. It is supplemented by a booklet containing Safety Tips.
We urge you to read these publications carefully so that you
will receive full enjoyment from your new Zenith TV for
many years to come.
Your new TV has been designed and built to give you the very
best in quality, features and performance. There are thousands
of Zenith authorized service centers throughout the U.S., Can-
ada and Mexico who can attend promptly and effectively to or-
dinary service needs.
If you should have an unusualperformanceor service problem
thatcannot be satisfactorilyresolved by your Zenith dealeror
Zenith authorized service center, contact us at:
Zenith Electronics Corporation
Customer Service Department
1000 Milwaukee Avenue
Glenview, IL 60025
Telephone: (708) 391-8752
Mon-Fri, 8:00 a.m. - 4:30 p.m. Central Time
Send the model number, serial number, and date of purchase
or original installation, with a full explanation of the problem
and the service history. We will welcome the opportunity to
look into your specific question or problem and to be of assis-
tance in resolving it promptly.
The model and serial numbers of your new TV are located on the
back of the TV cabinet. For your future convenience and protec-
tion, we suggest that you record these numbers here:
Model No.
Serial No.
Manufactured under license from Dolby Laboratories Licensing Corporation.
"Dolby" and the double-D symbol are trademarks of Dolby Laboratories
Licensing Corporation.
INSTALLATION CONSlDERATIONS
Before you install your TV...
Ventilation -- Proper ventilation keeps your TV
running cool. Air circulates through perforations
in the back and bottom of the cabinet. Do not
block these vents or you will shorten the life of
your TV.
_Power Source -- Your "IVis designed to operate
on normal household current, 120 volt 60 Hertz AC.
Do not attemptto operateit on DC current.
Power Cord -- Your power cord has a polarized
plug as required by Underwriters' Laboratories. It
has one regular blade and one wide blade and fits
only one way into a standard electrical outlet. If
the blades will not enter either way, your outlet is
very old and non-standard. A new outlet should be
installed by a qualified electrician.
Please read and observe each safety point in the "Safety
Tips" folder when installing and using your TV.
VIDEO GAMES AND OTHER FIXED
PATTERN DISPLAY CAUTION -- If you use your TV for
video games, teletext or other fixed displays, avoid setting the
BRIGHTNESS control for an excessively bright picture. A
bright, fixed pattern,if used for long periods of time, can re-
sult in a permanent imprint on the TV picture tube. You can re-
duce this possibility by alternating the use of the fixed pattern
display with normal TV picture viewing, by turning down the
CONTRAST control for sustained fixed pattern use, and by
turning off the fixed pattern display when not in use.
PLUGGING IN YOUR TV -- Be sure to plug your TV into
an "'unswitched" AC power source. The "switched" AC out-
lets found on some video equipment will not continue supply-
ing power to the TV once the equipment is turned off. If the
power to the TV is interrupted, you will have to reset the clock
in the TV to the current time.
Safe Operation -- Your TV is manufactured and
tested with your safety in mind. However, unusual
stress caused by dropping or mishandling, expo-
sure to flood, fire, rain or moisture, or accidental
spilling of liquids into the TV, can result in poten-
tial electrical shock or fire hazards. If this hap-
pens, have your TV checked by a service
technician before using it again.
WELDIRDD ii

INTRODUCTION
METHODS OF OPERATION
Your TV is a very sophisticated appliance. Optional features, video picture adjustments and audio sound adjustments are performed
through on-screen menus and displays. Self explanatory ICONS are used throughout. Most features can be selected and adjusted
from the comfort of your favorite chair by using either of the infraredremote controls.
Either of two remote controls can be used to operate the "IV. Use the multi-brand programmable remote if you have different brands
and types of equipment in your video system which you need to control remotely. Use the Z-Trak programmable remote if you feel
comfortable using track-ball access similar to that provided by the familiar computer mouse device. Many features can be selected
and adjusted by using the control panel provided on the "IV.
StarSight provides an electronic programming guide which is updated with new scheduling information automatically on a periodic
basis. StarSight allows you to rapidly scan through the programming guide to find a programfor viewing or recording. Programs
can be searched and selected by category if desired.
Method of Operation
•Control Panel on TV.
•Universal Remote Control
• Z-Trak Remote Control
Standard TV
YES
YES
YES
StarS|ght
NO
YES
YES
FEATURES PROVIDED WITH YOUR TV
This operating guide describes a family of TV models. Not all models have all of the features described in this guide. Different
control panels may be used from model to model. Most models include the following features:
MODEL SR2745, SR2786, SR2789, SR3547
FEATURE
i.,,, i
•StarSight Electronic ProgramGuide
•StarSight Demonstration
• On-Screen Menus Accessed By Remote or TV Controls
• Universal ProgrammableRemote Control
• Z-Trak Programmable RemoteControl
• Picture-In-Picture
• 181 Channel Tuning (STD/HRC/ICC BandSelected Automatically)
•Automatic Channel Programming
• Favorite Channel Add/Delete
• Channel Labels (ABC, TNT, etc.) for Easy Channel Identification
• Multiple Ingut Sources
• Source Identification (VCR, Cable, etc.)
•Antenna/Cable and Loop Out Jacks
• Audio/Video (A/V) Jacks
• Super-VHS A/V Input Jacks
• Front Mounted AN Jacks
• Surround Sound System
• MTS Stereowith SEQ (SpatialEqualization)
• Surround Sound Speaker Terminals
• Variable Audio Output Jacks
• Surround Sound Speakers
• ,Sleep Timer and On/Off Timer
• Closed Caption and Text Modes
•Parental Control
SR3247
Y
Y
Y
Y
Y
Y
Y
Y
Y
Y
Y
Y
Y
Y
N
Premium
Y
Y
Y
Optional
Y
Y
Y
SR3289, SR3589
iY
Y
Y
Y
Y
Y
Y
Y
Y
Y
Y
Y
Y
Y
Y
N
Standard
Y
Y
Y
Optional
Y
Y
Y
Y
Y
Y
Y
Y
Y
Y
Y
Y
Y
Y
Y
Y
Y
Y
Y
Dolby
Y
Y
Y
Optional
Y
Y
Y
°°o
2918411-0 !11

STANDARD CONNECTIONS FOR YOUR TV
CONNECTION CENTER
ANTENNA/CABLE 1or 2
75-ohm antennaor cable-TVcon-
nection to your TV. Attach yore
antenna, cable-TV lineor VCRto
thesejacks.
-- STARSIGHT CONTROL PORT
Jackforconnectionof StarSightRemote Emittercable.
LOOP OUT TO DECODER _ I mmummF m sm I
Routes the cable-TV input to _"'- LOOPOUT AMTEN#A ANTENNA ['_$1_Fi_Ii[]rI' [_ ..i
Antenna/Cable 2back to the cable ro_.a CAIILI_ CALL[ .[ [_ _t
box supplied by the cable service. F
G
T
t SURROUND$_I
VIDEO 1or 2 IN /
Jacks for audio and video input /
from a stereo VCR or other AN "
component. (You must connect to
these jacks in order to hear stereo
sound when playing a stereo tape.)
VARIABLE AUDIO OUTPUT
Standardpbonojack connectors
for outputto an optionalstereo
amplifier or to externalspeakers.
SPEAKER EXT/INT
Select EXT (external) to remove
sound from the TV's speakers.
Select INT (internal) to hear sound
from the TV's speakers.
SURROUND SPEAKER
TERMINALS
Connections for outputto optional
surround sound speakers.
VIDEO 1 LOOP OUT
Use these to send the incoming
audio and video (from Video 1 In)
to another component, such as a
second VCR.
S-VIDEO 1 IN
Jacks for audio and video input
from a Super-VHS VCR.
TURN OFF POWER OR UNPLUG TV BEFORE
MAKING ANY CONNECTION.
OTHER JACKS ON TV (Some Models)
@
LEFT
AUDIOINPUT /
S-VIDEO 2 IN
Jacks for audio and video input from a second Super-VHS VCR.
I,
VIDEO 3 IN S-VIDEO 2 IN
oo0
RIGHT I VIDEOINPUT
VIDEO 3 IN
Jacks for audio and video input from athird stereo VCR or other
A/V component.
29t8-ol-o 1_1

STANDARD CONNECTIONS FOR YOUR TV
BASIC CONNECTION TO TV WITHOUT VCR
Ifa VCRwill notbeconnected toyourTV,youhavethreebasic connectionoptions,asshown.
Cable TV Cable TV
Wall Jack Wall Jack
SPEAKERS
LOOPOUTANTENNA ANTENNA INT_ r-EXT
TODECODERCABLE CABLE
lCableBox OR //""" O
: STARSIGHT;
,@,@@
RIGHT LEFT
TOEXTERNALAMPORSPKR
oIIIIII
.,.EO"°"1'.'0,0_J.,OEOV'O'OA'_"*,O_
@@@@@@
n L L . _ L__
I nl LI S-VIDEOIIN
®® @.,,
LOOPOUT S-VIDEO
i
$
L
E
R L SURROUNDSPKRS
Antenna
Flat Wire 11
(300ohm) u
Adaptor I
g2.J
Round Wire
(75 ohm)
:wire :_le _ i i_i]!!i_i!_!i"iiiii!i:;:f "ii; _i:_!i:.i_:_!}!;!_i:i
•Select Ant/Cable 1in Source
Menu.
• Tune TV to cable box output
channel (usually channel 3
or 4).
•Use cable box to select
channels for viewing.
•Select Ant/Cable 1 in Source
Menu.
•Use TV to select channels for
viewing.
2918-01-O 1 m2

STANDARD CONNECTIONS FOR YOUR TV
BASIC CONNECTION TO TV WITH VCR
If you areconnectinga VCRto your"IV,youhavethreebasicconnectionoptions,as shown.
Cable TV Cable TV Antenna
Wall Jack Wall Jack
x\\l /,//
\ \xl // /
OR OR FlatWire]11
(300 ohm) u
LOOP OUT ANTENNA
TOOECODER CABLE
VIDEO1IN
VIDEO r-A(JOlO--t
@@@
I : 1
@@
STARSIGIff
ANTENNA
CABLE
,,@@
fllBlff LEFi"
ro EXTERNALAMPORSPKR
SPEAKER|
INT-i F-EXT
VIDEO2IN
VIDEO r--AUOiO'_
@@@
RL
S-VIDEO1IN
,.
VARIABLE
AUOIO
OUTPUT
iO I Illll
0I IIIII
0 i IIIll
0 IIIIII
t
L
E
F
T
°
9
I
G
H
T
+
LOOPOUT S.VIOEO N L SURROUNDSPKRS,
I
Round Wire
(75 ohm)
" OPERATING YOUR TV
ii
"VCR's TV/VCR* With Cable Box Without Cable Box
'Sw_td_Set_g
TV * Select Antenna/Cable 1 in Source Menu.
•Use TV to select channels for viewing.
VCR
•Select Antenna/Cable 1 in Source Menu.
•Tune TV to cable box output channel (usually channel
3or 4).
* Use the cable box to select channels for viewing.
•Select Antenna/Cable 1 in Source Menu.
• Tune VCR to cable box output chmm.el(Usually channel
3or 4).
• Tune "IVto VCR output channel (usually channel
3 or4).
• Use the cable box to select channels for viewing.
* May be labeled TV/Video.
•Select Antenna/Cable 1 in Source Menu.
•TuneTV to VCR outputchannel (usuallychannel
3 or 4).
• Use VCR to select channels for viewing.
_ts-0t-o 1-- 3

STANDARD CONNECTIONS FOR YOUR TV
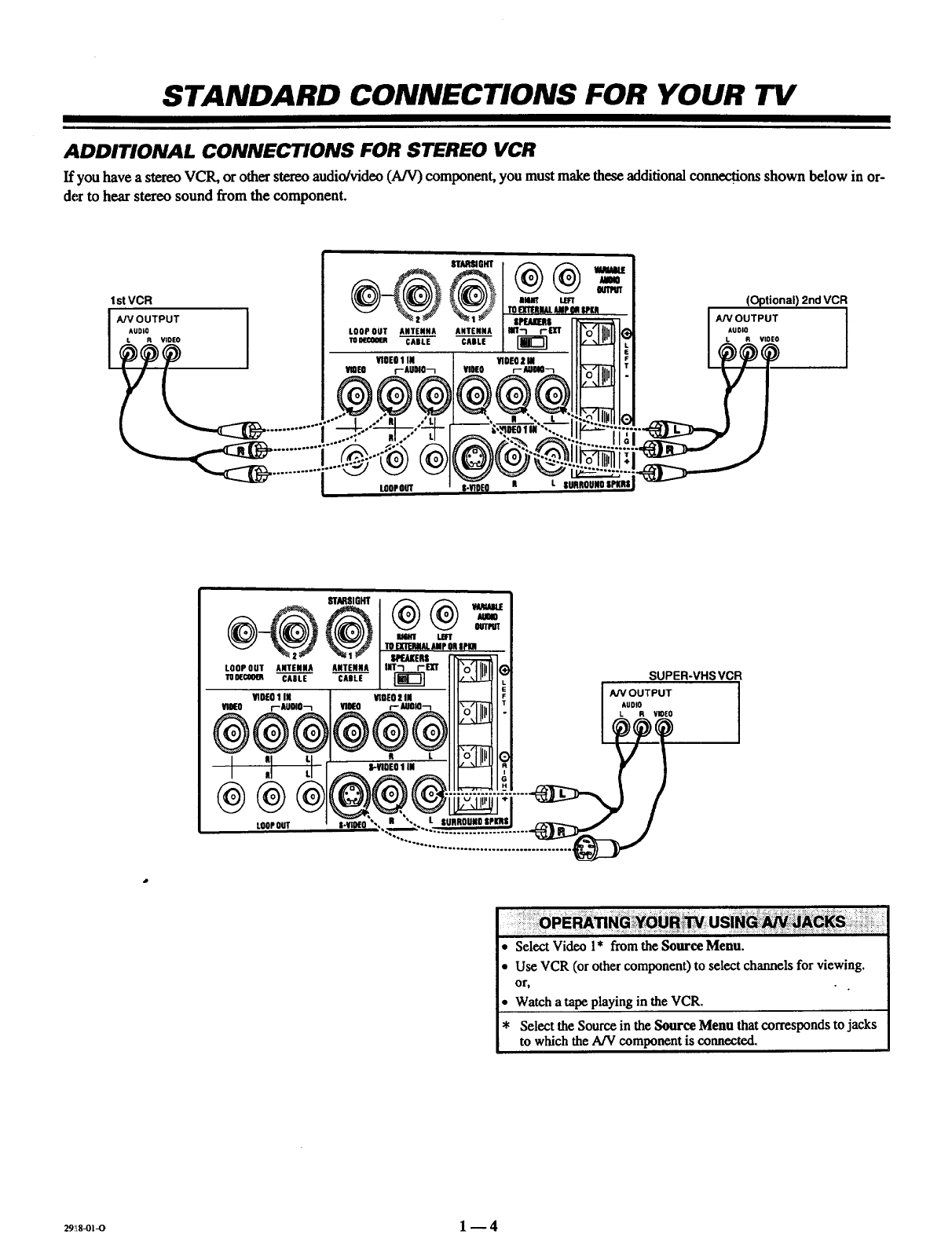
ADDITIONAL CONNECTIONS FOR STEREO VCR
If you have a stereo VCR, or other stereoaudio/video (A/V) component, you must make these additionalconnecf!om shown below in or-
der to hear stereo sound from the component.
1 st VCR (Optional) 2ncl VCR
A/V OUTPUT ] _ -- A/V OUTPUT I
AUDIO ANTENNA i OIT-i r-EBT AUO_
CABLE CABLE !Ii_ R VIDEO
IVIOEOIlN
VlQEO r-- AIIOIO"-2
LOOPOUT l L IURROUNOIPI(H
LOOPOUT
SUPER-VHS VCR
A/V OUTPUT I
AUDIO
•Select Video 1" from the Source Menu.
•Use VCR (or other componenO to select channels for viewing.
Of,
• Watch a tape playing in the VCR.
* Select the Source in the Source Menu that corresponds to jacks
to which the A/V component is connected.
29_8-m-o 1-- 4

STANDARD CONNECTIONS FOR YOUR TV
AUDIO/VIDEO (A/V) CONNECTIONS FOR OPTIONAL VIDEO EQUIPMENT
Connections to VIDEO 3 IN
or S-VIDEO 2 IN jacks.
(Some "IV models only.)
Stereo Cameorder
Super-VHS VCR Y_V1DEO
OUT
OPTIONAL AUDIO AMPLIFIER/SURROUND SOUND CONNECTIONS TO TV
If you wish to listen to the'IV audio through an external amplifier or stereo system, or listen to surround sound audio, make the connec-
tions to the TV shown in the illustration below.
TURN OFF POWER OR UNPLUG TV BEFORE MAKING ANY CONNECTION.
8ohm
Surround
Speaker
Amplifier and Dual Surround Speaker Connections Single Surround Speaker Connection
DIFFERENT WAYS TO LISTEN TO YOUR "IV
Surround Sound
e
'IV Speakers On
*SPEAKER EXT/INT switch in the INT (in-
ternal) position --
TV speakers are ON. Sound is heard from
both the TV's speakers and the external am-
plifier's speakers.
• Use TV's volume control to raise and
lower the level of sound being heard from
both sets of speakers.
TV Speakers Off
•SPEAKER EXT/INT switch in the EXT
(external) position
TV speakers are OFF. Sound is only heard
from the speakers connected to the external
amplifier.
•Use TV's volume control to raise and
lower the level of sound being heard from
the amplifier's speakers.
Connect surround sound speakers as shown.
The level of surround sound will vary,
depending on the program being viewed.
Note that not all programs have surround
sound audio.
•The SURROUND SPKR terminals are
always active. The SPEAKERS EXT/INT
switch does not affect the operation of
surround sound speakers.
• If you want to connect only one surround
speaker to your TV, connect the speaker
wires to the terminals adjacent to the
positive (+) and negative (-) symbols that
are circled.
291s-ot.^ 1 -- 5

STANDARD CONNECTIONS FOR YOUR TV
CONNECTIONS FOR USING PIP
The illustrations that follow show the most common connections for using Picture-In-Picture (PIP). For further information on the
actual use of PIP, refer to the "PIP OPERATION" section of this operating guide.
Connected to the Video 1 In jacks.
Main Picture Source
Connected to the Antenna/Cable 1jack.
..................... .STARSlGHT
' ,_ :_:.'-_
LOOPOUT ANTENNA ANTENNA
TOKCOOER CJWLE CXBi IF
VIDEO1 IN
Yl_O r-AUOlO--t VIDEO
LOOPOUT
i
It L SURROUNOSPKR$
Option 1: Antenna or Direct Cable Connection To VCR.
(Cables are not supplied with television.)
Cable TV
Wall Jack
NMain Picture Source
Connected to the Antenna/Cable 1 or 2 jack.
Option 2: Cable-TV Decoder Connection via Loop Out To VCR.
(Cables are not supplied with television.)
2918-01-0 1--6

THE FIRST TIME YOU OPERATE YOUR TV
TYPICAL CONTROL PANEL
The control panel on your TV may differ from the one shown but its operation is the same.
ENTER (ENT) SELECT (SEL) VOLUME (VOL) Up/Down
Press to see the Channel/Time dis- Press during on-screen menu Press to increase or decrease the
play, or to remove any on-screen operations to select a menu sound level.
display or menu. option.
/
ENTEF,t/'4 ADJUST• ,&.VOLUMEV,& CHANNEL_ OFF/ON
/\
OFF-ON
Press to turn"IV
power ON or OFF.
]
ADJUST (ADJ) Left/Right
Press during on-screen menu op-
eration to see information/status
display for selected option. Press
again to adjust the selected menu
option.
MENU
Press once to see amenu. Press
repeatedly to sequence through
the available menus.
CHANNEL (CH) Up/Down
Press to select channels higher or
lower than the current channel.
To add or delete channels stored
in the scanning sequence, see CH.
ADD/DEL option.
Remote Window
Point the remote
control towards this
window to operate
the TV.
STEP 1. INSTALL THE BATTERIES INTO THE REMOTE CONTROL
Batteries are provided but they must be installed before using
the remote controls. When a remote no longer functions nor-
raally, or when it loses memory, replace the batteries with two
high-quality, alkaline batteries. Match plus with plus (+ with
+), minus with minus (- with -), as shown in the battery com-
partment.
Unless your equipment responds to the factory preset codes,
you will need to reprogram the remote controls with the codes
of your particular equipment each time you replace batteries.
NOTES:
.' Do not to place heavy objects on top of the remote control
keys. Prolonged unintentional operation of the remote
shorteng battery life.
•Remove the batteries if the remote control will not be used
for a month or more. TIlE MANUFACTURERISNOT RE-
SPONSIBLE FOR DAMAGE CAUSED BY BATTERY LEAKAGE.
Universal Remote
(Uses 2 size AAA
batteries.)
Z-Trak Remote
(Uses 2 size AA
batteries.)
STEP 2. CONNECT THE POWER
1. Plug your TV into an unswitched AC power source.
2. Turn the TV on by pressing OFF-ON.
Do not plug TV into switched outlet
on a VCR or cable-TV decoder
29m-ot-o 2-- 1

THE FIRST TIME YOU OPERATE YOUR TV
STEP 3. SELECT YOUR MAIN SOURCE & PIP SOURCE
A TV source refers to the equipment connected to the "IVthat supplies the picture and sound to your TV. You select the viewing
source by using the Source Menu.
Main Source
• Press SOURCE on your
remote to view the Source
Menu.
•Press SOURCE repeatedly to
select the source which
corresponds to the jack on the
TV connection panel that is
receiving the input signal.
*Press QUIT to remove the
menu.
PIP Source
• Press SOURCE on your
remote to view the Source
Menu.
• Press the Left or Right key to
select PIP Source column.
• Press SOURCE repeatedly to
select the source which
corresponds to the jack that is
receiving the PIP input signal.
•Press QUIT to remove the
menu.
_Maln,,Soiii'm_ _'_ _
Ant/Cable ,1
Ant/Cable 2
Video 1
Video 2
S-Video 1
Video 3
S-Video 2
_1_ Main/PIP
PIP Source
Ant/Cable1
Video 1
Video2
S-Video 1
Video3
S-Video2
t',1,ToSelect Source [
Source Menu with Main Source set to Ant/Cable 1 and
PIP Source set to Video 1. Connections must made to the
corresponding jacks on the connection panel.
STEP 4. USE AUTO PROGRAM
Auto Program finds all available channels on the currently se-
lected source and stores them in the memory of the TV.
To start the Auto Program procedure, press the Left or
Right arrow key. Follow the instructions on the TV.
Auto Program
Ch. Add/Del
Ch. Labels
Source ID
ClockSet
Timer Setup
Parental Ctl
Caption/Text
Background
StarSight
Press ,1_ ToProgram ]
Setup Menu with Auto Program Highlighted
Press 1",1,to select either OFF AIR ANTENNA or CABLE TV.
Press _ _ to begin channelsearch.
Wait a few seconds for the TV screen to clear.
4P' TOBEGINPROGRAMIV_G
,,.. j
SEARI_II_ _B.IE 1V _Ptn" TYPE
SEARITrlII__I.E "IV
m41_
_L _ __ IS (NOT) FOUND
Message appears only ifTV has not been authorized for StarSight.
AIJTOPROGRN_HAS_
___ CHNtt_LSFOUND
'_s'rAR_ A CE_'_4ONbIRA_ _ST_RSZGI,
STEP 5. SET THE CLOCK
Set The Clock
•Press MENU on your remote until the SETUP icon is selected
and the Setup Menu is displayed.
• Press the Up or Down arrow key to select Clock Set.
= Use the numbered buttons on the universal remote control to
enter the correct time. Press TIMER to select AM or PM.
or
Press the Left or Right arrow keys to advance the clock.
• Press QUIT to remove the menu.
STEP 6. USE OTHER OPTIONS
You may want to consider using the following options:
• Delete undesirable channels or add additional channels: Refer
to the Ch. (Channd) Add/Dd option for details.
• Apply "labels" to your available channels: Refer to the
Ch. (Channel) Labels option for details.
• Label the input sources with descriptive names, such as
"VCR." Refer to the Source ID option for details.
• Adjust options in the Audio and Video Menus.
29,s_01-o 2 m2

PIP OPERATION
INTRODUCTION
Your TV must be connected to two separate sources in order to view a different picture in the PIP inset from that which Is
showing in the main picture area of the TV. One source (such as an antenna) must be connected to the ANTI CABLE I or 2
jack. The other source (such as a VCR) must be connected to one set of the Video or Super Video jacks.
If you have not already selected the input sources for your main TV picture and the PIP inset, refer to the insmactions below. Make
sure you select those sources that correspond to the jacks on the TV connection panel that are receiving the input signals.
Main Source
Ant/Cable 1
Ant/Cable2
Video1
Video2
S-Video1
Video3
S-Video2
<p Main/PIP
PIPSource
Ant/Cable1
Video 1
Video 2
S-Video 1
Video 3
S-Video 2
1'4,To Select Source ]
Source of main picture
shows here
Source of PIP picture
shows here
SELECTING MAIN PICTURE AND PIP INSET SOURCES
SELECT MAIN SOURCE SELECT PIP SOURCE *
,, _ , , ,,,
Z-Trak Remote Universal Remote Z-Trak Remote
• Make sure remote is in "IVmode. * Make sureremote is in TV mode.
Universal Remote
• Make sure remote is in TV
mode.
• Press SOURCE on your re-
mote to view the Source
Menu.
•Press SOURCE repeatedly to
select the source which
corresponds to the jack on the
TV connection panel that is
receiving the input signal.
•Press QUIT to remove the
menu.
•Make sure remote is in TV
mode.
Point and press on the
SOURCE icon (at the top of
the screen).
•Point and press on the Main
Source which corresponds to
the jack on the TV connection
panel that is receiving the
input signal.
• Move the pointer off the
menu and press the Trackball
to remove the menu.
•Press SOURCE on your remote to
view the Source Menu.
•Press the Left or Right key to
select PIP Source column.
• Press SOURCE repeatedly to
select the source which
corresponds to the jack that is
receiving the PIP input signal.
• Press QUIT to remove the menu.
•Point and press on the SOURCE
icon (at the top of the screen).
Point and press on the PIP
Source which corresponds to the
jack on the TV connection panel
that is receiving the input signal.
• Move the pointer off the menu
and press the Trackball to remove
the menu.
*APIP inset appears while the Source icon is selected to show the effect of choosing a PIP source.
PICTURE-IN-PICTURE FUNCTIONS
While using the various PIP functions, refer to the illustration below and the instructions on the following pages. Note that the op-
eration of _ese functions differ, depending on which remote control you are using.
Arrow Keys 1/_---_-'-'-_ _,_ k_
SWAP !" I_ _("_
FREEZE __
SOURCE [ ....
PIP Functions, Universal Remote Control
Select these options
with the Z-Trak remote
to perform the PIP
functions described on
the following page.
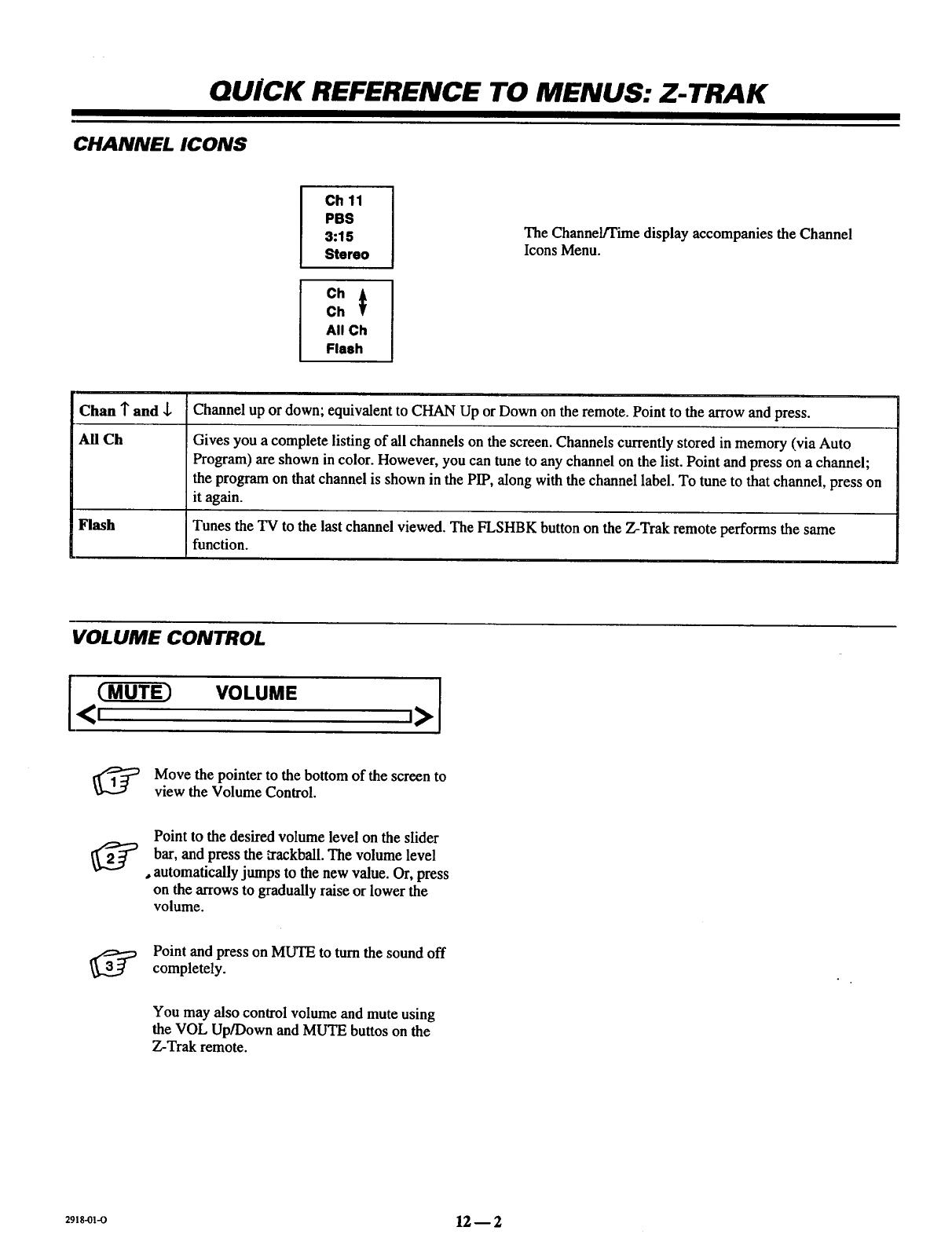
33rne.r
Capticr_
Z-Trak
PIPOn
Freeze
IVbve PIP
Swap
PIP Functions, Z-Trak Remote Control
continued on next page
291s_.-o 3 -- 1

PIP OPERATION
:_ PIP Functions using Universal Remote
• PIP On/Off: Press the PIP key to display the PIP inset. Press it
again to remove the PIP inset.
•SWAP: Press the SWAP key to swap the main picture with the
PIP inset. Press SWAP again to return to the original display.
•FREEZE: Press FREEZ to freeze motion of the picture shown in
the PIP inset. Press FREEZ again to return to a live PIP inset.
•PIP Size: Select PIP Size in the PIP Menu to choose between
seeing a small or large PIP inset.
•Moving the PIP Inset: Use the Left/Right and Up/Down arrow
keys to move the PIP inset to the desired location of the TV screen.
•iPIPFunctions_gZ-TrakRemote_i,_;:,
PIP On/Off: Move pointer to left of TV screen and press on PIP On
to display the PIP inset. Move the PIP inset to the desired location on
the screen and press the trackball to set it in place. Press on PIP Off
to remove the PIP inset.
SWAP: Move pointer to left of TM screen and press on Swap to
swap the main picture with the PIP inset. Press on Swap again to
return to the original display.
FREEZE: Move pointer to left of TV screen and press on Freeze to
freeze motion of the picture shown in the PIP inset. Press on Freeze
again to return to a live PIP inset.
•PIP Size: Select PIP Size in the PIP Menu to choose between
seeing a small or large PIP inset.
• Moving the PIP Inset: Move pointer to left of TV screen and press
on Move PIP and move the PIP inset to desired location on the
screen. Press the trackball to set the inset in place.
OPERATION WITH ANTENNA
OR DIRECT CABLE
This illustration shows the basic connection of your "IV to a
VCR. With your equipment setup in this manner, your televi-
sion has the following PIP capabilities:
•Simultaneously view a video tape playing in the VCR and
a channel selected by the TV's tuner.
• Simultaneously view two different channels; one selected
by the TV's tuner and another using the VCR's tuner.
•Swap the main picture and the PIP inset.
PIP VIEWING OPTIONS
Viewing Two Different
Channels
•Set VCR'sTV/VCR* switch to
TV.
• Select Ant/Cable Ias the Main
Source in the Source Menu.
• Select Video 1as the PIP Source
in the Source Menu.
• Select a channel with the TV's
channel selector.
• Turn on PIP.
• Select a PIPchannel using the
VCR's channel selector.
Viewing a Video Tape
and a _Channel
•Set VCR's TV/VCR* switch to
"IV.
• Select Ant/Cable 1as the Main
Source in the Source Menu.
• Select Video 1as the PIP
Source in the Source Menu.
•Select a channel with the TV's
channel selector.
•Turn on PIP.
• Play a tape in the VCR and
view it in the PIP inset.
* May be labeled TV/Video. •
Option 1: Antenna or Direct Cable Connection To VCR.
(Cables are not supplied with television.)
291g-01-O 3 -- 2

PIP OPERATION
OPERATION WITH CABLE DECODER
With your equipment setup in this manner, your television has
the following PIP capabilities:
•Simultaneously view a video tape playing in the VCR and
a basic cable channel selected by the TV's tuner.
Simultaneously view two different cable channels; one
cable channel selected by the TV's tuner and another
cable channel selected by the cable box.
Swap the main picture and the PIP inset.
NOTE:
• The cable channels you can view depends on the service
you have purchased from your cable company.
...... :_ ili_........ ;iii_ ;ii,i_,
: * Select Ant/Cable 2as the
Main Sourcein theSource
Menu.
•Select Video 1 as the PIP
Source in the Source Menu.
• Select a channel with the
TV's channel selector.
I. Turn on PIPinset.
•Selecta PIPchannelusingthe
tuner intheCableBox.
Viewing a Video Tape
_anda Cable Channel
•Select Ant/Cable 2 as the
Main Source in the Source
Menu.
•Select Video 1as the PIP
Source in the Source Menu.
•Select a channel with the
"IV's channel selector.
• Turn on PIP inset.
• Play a tape in the VCR and
view it in the PIP inset.
Cable TV
Wall Jack
N
i
Main PictureSource
Connectedto theAntenna/Cable2 jack.
Option 2: Cable-TV Decoder Connection via Loop Out To VCR.
(Cables are not supplied with television.)
291_01_) 3 _ 3

UNIVERSAL REMOTE CONTROL
INTRODUCTION
This universal remote control operates the common features of most, but not all, models and brands of IR (infrared) controlled TVs,
VCRs, cable converters, video disc players, and audio equipment. The remote may provide functions thatare not available on your
equipment, e.g., menu operations. Some functions of your particular equipment may not be controlled by this remote. In such cases,
use the original remote control for your equipment.
BATTERY INSTALLATION
Batteries are provided, but must be installed before using the
remote control. When it no longer functions normally, or
when it loses memory, replace the batteries with two high-
quality, alkaline, size AAA batteries. Match plus with plus (+
with +), minus with minus (- with -) in the battery compartment.
Unless your equipment responds to the factory preset codes,
i.e.. I01 for TV, 201 for VCR, 353 for CABLE, and 401 for
AUX., you will need to reprogram the remote with the codes
of your particular equipment after you replace batteries.
NOTES:
• Do not place heavy objects on top of the remote control
keys. Prolonged unintentional operation of the remote short-
ens battery life.
• Remove the batteries if the remote control will not be used
for a month or more. Tm_MANUFACTURER IS NOT
SPONSIBLEFORDAMAGECAUSEDBYBATI'ERYLEAKAGE.
Push tab in
CHOOSING OPERATING MODE
To control your TV, VCR, cable box, or auxiliary equipment with this remote, you must first choose the mode of operation. Press
the desired mode key for TV, VCR, CABLE or AUX. Pressing the -k (Star) key will put the remote into StarSight mode. Press TV
to return to TV mode. Some keys on the remote will always operate a particular product function. For example, VOLUME controls
the TV sound level, and PLAY controls the VCR play function.
INDICATOR LIGHT
Illuminates whenever
remote sends signal.
OPERATING MODE KEYS
Selects equipment to be controlled.
NUMBER KEY PAD
Initiates menu/equipment programming,
direct channel selection
and other functions.
LOWER ARROW KEY PAD
Keys perform different functions depend-
ing on the operating mode currently
selected. See the following pages for
more details of the various
operating modes.
POWER KEY
Switches power ON or OFF to selected
equipment.
UPPER ARROW KEY PAD
Keys perform different functions depend-
ing on the operating mode currently se-
lected. See the following pages for details
of each operating mode.
SPECIAL FUNCTION KEYS
Activates special features on some TVs
and VCRs.
StarSight®is atrademark of StarSight Telecast Inc., Fremont, CA 94538.
/1__1

UNIVERSAL REMOTE CONTROL
TV OPERATIONS
These descriptions apply to functions and operations of your TV. First, press the TV button on the remote control to select the TV
mode of operation.
FLASHBK (Flashback)
Press to return to the previous TV
channel selected for viewing.
CC (Closed Captioning)
Press to display the closed caption
menu. Press repeatedly to select your
choice. Press ENTER/TUNE to
exit the menu.
CHANNEL/DAY (Up Arrow)
Tunes to the next (higher) channel
programmed into TV memory.
Press and hold to repeat.
DAY/CHANNEL (Down Arrow)
Tunes to the previous (lower) channel
programmed into TV memory.
Press and hold to repeat.
NUMBER KEY PAD
Enter number for direct
channel tuning.
MENU/GUIDE
Displays on-screen menus for TV
mode of operation. Press repeatedly to
view other on-screen menus.
LEFT/RIGHT ARROW KEYS
Used to respond when an on-screen
menu needs an ADJUST response.
Press to move the highlight bar within
the menu. Also used to move the PIP
inset to new location on the screen.
PIP, SWAP, and FREEZ KEYS
•See PIP Operation
section for more details.
TIMER
Displays the SLEEP TIMER menu.
Press repeatedly to set desired "IV shut-
off time. Also used to specify AM or
PM when setting the TV's clock or
programming a timer feature.
See "Getting to Know Your TV."
section for more details.
t
Point Remote at TV.
TV Operations
POWER
Turns "IV ON or OFF.
TV
Press to select TV mode of operation.
MUTE
Press to turn off sound while the pie-
ture remains. Press again to restore the
sound.
VOLUME/PAGE (Left Arrow)
Decreases the TV's sound level. Press
and hold to repeat.
VOLUME/PAGE (Right Arrow)
Increases the TV's sound level. Press
and hold to repeat.
ENTERtrUNE
Press to see the Channel/Time display
or enter channel numbers.
QUIT/SEQ
Exits from the current on-screen dis-
play or pop-up and returns to the cur-
rent channel. If no display is on, this is
the normal spatial equalization
ONIOFF.
UP/DOWN ARROW KEYS
Used to respond when an on-screen
menu needs a SELECT response.
Press to move the highlight bar within
the menu. Also used to move the PIP
inset to new location on the screen.
*(Star)
Press the * (Star) key to exit the TV
mode and enter the StarSight mode.
See the StarSight section of this
guide for more details.
TV/VCR SOURCE
Displays the menu of TV soiarces.
Press repeatedly to step through the
source selections.
NOTE:
•Keys dedicated to VCR functions may be used to operate
your VCR while the remote is in "IV mode.
29ts.ol-o 4 -- 2

UNIVERSAL REMOTE CONTROL
OPERATIONAL MODES FOR FACTORY PRESET CODES
POWER
CABLE
VCR
AUX
TV
CC
FLASI-IBK
MUTE
CHANNEL/DAY UP
CHANNEL/DAY DN
VOLUME/PAGE UP
VOLUME/PAGE DN
1
2
3
4
5
6
7
8
9
0
ENTERtlIINE
MENU/GUIDE
THEME
UP ARROW
DOWN ARROW
LEFt ARROW
RIGHT ARROW
Qt_T/SF_
*(Star)
PIP
SWAP
I;]7.EEZ
TO DO
TIMER
TV/VCR/SOURCE
RECORD
PAUSE
REWIND
PLAY
STOP
FFWD
NOTES:
TV Power On/Off
Selects Cable Mode
Selects VCR Mode
Selects AUX Mode
Selects TV Mode
TV Closed Captions
'TV Flashback
TV Mute
TV Channel Up
"IV Channel Dn
TV Volume Up
TV Volume Dn
TV Digit 1
TV Digit 2
"IV Digit 3
TV Digit 4
TV Digit 5
"IV Digit 6
TV Digit 7
TV Digit 8
TV Digit 9
TV Digit 0
TV Enter
TV Menu
(No Function)
TV Select Up
"IV Select Dn
TV Adjust Left
TV Adjust Right
'IV SEQ Sound/Quit
Enters StarSight Mode
TV PIP On/Off
TV PIP Swap ' i
TV PIP Freeze
(No Function)
"IVTimer
"IVSource
VCR Record
VCR Pause
VCR Rewind
VCR Play
VCR Stop
VCR Fast Forward
1, Can be overwritten with Cable Vol/Mute when
Star Power On/Off
Selects CableMode
Selects VCR Mode
Selects AUX Mode
Selects TV Mode
"IV Closed Captions
StarSight Flashback
StarSight Mute
StarSight CH/Day Up
StarSight CH/Day Dn
StarSight Vol/Page Up
StarSight Vol/Page Dn
StarSight Digit 1
StarSight Digit 2
StarSight Digit 3
StarSight Digit 4
StarSight Digit 5
StarSight Digit 6
StarSight Digit 7
StarSight Digit 8
StarSight Digit 9
StarSight Digit 0
StarSight Enter/Tune
StarSight Guides
StarSight Theme
StarSight Select Up
StarSight Select Dn
StarSight Adjust Left
StarSight Adjust Right
StarSight Quit
Enters StarSight Mode
StarSight PIP On/Off
TV PIP Swap
"IV PIP Freeze
StarSight To Do
TV Timer
TV Source
StarSight VCR Record
VCR Pause
VCR Rewind
VCR Play
VCR Stop
VCR Fast Forward
VCR Mode
Code 201
VCR Power On/Off
Selects Cable Mode
Selects VCR Mode
Selects AUX Mode
Selects "IVMode
VCR AM/PM
VCR Flashback
TV Mute
VCR Ch_l Up
VCR Channel Dn
TV Volume Up
TV Volume Dn
VCR Digit 1
VCR Digit 2
VCR Digit 3
VCR Digit 4
VCR Digit 5
VCR Digit 6
VCR Digit 7
VCR Digit 8
VCR Digit 9
VCR Digit 0
VCR Enter
VCR Menu
(No Function)
VCR Select Up
VCR Select Dn
VCR Adjust Left
VCR Adjust Right
VCR Quit
Enters StarSight Mode
VCR VCR+
VCR Channel Map
VCR Search
VCR Memory
VCR Timer
VCR TV/VCR Tuner
VCR Record
VCR Pause
VCR Rewind
VCR Play
VCR Stop
VCR Fast Forward
Cable Mode
Code 353
Cable Power On/Off
Selects Cable Mcxle
Selects VCR Mode
Selects AUX Mode
Selects TV Mode
CABLE FC (Favorite Ch.)
CABLE Flashback
TV Mute (See Note l)
CABLE Channel Up
CABLE Channel Dn
TV Vdume Up(See Noe 1)
TV VolumeDn (SeeNo_ 1)
CABLE DigitI
CABLE Digit2
CABLE Digit3
CABLE Digit4
CABLE Digit5
CABLE Digit6
CABLE Digit7
CABLE Digit8
CABLE Digit9
CABLE Digit0
CABLE Enter
CABLE Menu
(No Function)
CABLE Up Arrow
CABLE Down Arrow
CABLE Left Arrow
CABLE Right Arrow
CABLE Quit
Enters StarSight Mode
CABLE Day Up
CABLE Day Down
CABLE Pg Up/*
CABLE Pg Drd#
CABLE Timer
CABLE Info
CABLE Buy
CABLE Guide
VCR Rewind
VCR Play
VCR Stop
VCR Fast Forward
399 is entered.
AUX
AUX
AUX
AUX
AUX
AUX
AUX
AUX
AUX
AUX
Reference:
me
AUX TV/Disc
Selects Cable Mode
Selects VCR Mode
Selects AUX Mode
Selects TV Mode
AUX Audio
AUX Frame/Time
TV Mute
AUX Skip >>
AUX Skip <<
TV Volume Up
TV Volume Dn
AUX Digit l
AUX Digit 2
AUX Digit 3
AUX Digit 4
AUX Digit 5
AUX Digit 6
AUX Digit 7
AUX Digit 8
AUX Digit 9
AUX Digit 0
AUX Display
AUX Program
(No Function)
AUX Part
AUX Random
AUX x3 FAST <
AUX x3 FAST >
AUX Clear
Enters StarSight Mode
AUX Repeat-Side
AUX Repeat-A-B
Repeat-Chap
Memory
Still ><
TV/Disc
Edit
Pause
Scan <<
Play
Stop/Eject
Scan >>
124-205-05 and
FP 221-879-03
29t_t-o 4-- 3

UNIVERSAL REMOTE CONTROL
PROGRAMMING YOUR REMOTE
If you are using Zenith products, the remote is programmed for
the most commonly used codes. For other brands-- or if your
remote fails to control your Zenith products -- you will have
to program the remote.
Follow these steps for each product you are using:
1. Look up the three-digit code for your brand (such as
Zenith) and type of equipment (such as VCR) in the
code table on the following page.
2. Press and hold PRG with a small blunt object until
the indicator lights (about three seconds).
3. Press TV, VCR, CABLE, or AUX to select the prod-
uct you want your remote to control. (Use CABLE
or AUX, to program your remote for a second TV or
VCR or to program your remote for a video disc
player or audio equipment.)
4. Key in the three-digit code for your equipment, then
press ENTER/TUNE. The indicator light should
flash, then turn off to'indicate that the code was ac-
cepted. If the indicator stays on, repeat steps 3 and 4
or try using a different code.
5. Write the codes that operate your equipment on the
label inside the battery compartment for future
reference.
To erase all code programming and return to the factory preset
codes, key in code 9-1-1 when programming the remote.
NOTES:
•The remote cannot be programmed while in the StarSight
mode: Choose TV, VCR, CABLE or AUX mode before
pressing PRG.
•If no key on your remote is pressed within 60 seconds, the
programming process will stop, and you will have to start
again.
•You may cancel programming at any time by pressing PRG.
SPECIAL FEATURES
AUX+I, AUX+2, AUX÷3 Capability
Your remote can control up to seven electronic components. If
you have programmed the remote for four components using the
'IV, VCR, CABLE and AUX keys, you may also program it for
up to three additional components (AUX+I, AUX+2, AUX+3)
by holding the AUX key and pressing the 1,2 or 3 key during
programming. Once programmed, hold down the AUX key and
press 1, 2 or 3, to access the additional AUX +1, 2or 3 mode.
Cable Box Volume
You may use your remote to control cable box volume and mut-
ing if available on your equipment. First program your remote
with the brand code for your cable device using the CABLE or
AUX key. Then repeat the programming steps, again using the
CABLE or AUX key, but key in code 3--9-9 instead of a brand
code.
To restore TV volume/mute control to the CABLE or AUX
mode, reprogram your cable code into that mode.
Amplifier Volume Override
You may use your remote to override your TV, VCR or video
disk player's volume functions with your amplifier's volume and
muting.
1. Program your amplifier code into the CABLE mode
or one of the AUX modes.
2. Select the mode on your remote (TV, VCR, etc.)
where you want the amplifier volume control func-
tion to appear. In other words, if you want to oper-
ate the volume and mute of your amplifier while the
remote is in TV mode, press TV for this step.
3. Begin the programming steps as described in "Pro-
gramming Your Remote" and enter code 4-9-9, fol-
lowed by ENTER.
The amplifier volume and mute features are now available in the
current mode.
To restore normal volume and muting control to your TV,
VCR, cable or laser disc player, repmgram the remote for these
units into each mode (TV, VCR, etc.) to be restored.
NOTE:
•CD and tape devices will automatically select amplifier vol-
ume and mute.
_18-ol-o 4-- 4

UNIVERSAL REMOTE CONTROL
AUTO FIND OPTION
If you have tried all the codes listed for your brand and type of
product in the code table, and none of those codes operate your
equipment,you can use Auto Find to search for the code you need.
Follow these steps for each product you are using:
1. Turn the product ON and aim the remote to,yard it.
2. Press and hold PRG with a small blunt object until
the indicator lights (about three seconds).
3. Press the mode key on the remote for the product
you want to control: TV, VCR, CABLE, or AUX.
4. Key in code 0-0-0, then press ENTER within two
seconds. When the indicator light flashes three times
and remains lit, Auto Find is active.
5. Press and hold POWER, then release it, repeating
this action about once a second until the product
turns OFF.
6. Press ENTER immediately to save the code. If your
remote fails to operate the functions you use most
often, you can re-enter Auto Find and search for a
better code.
NOTES:
•The indicator light should flash OFF when you press
POWER and back ON when you release it. If the indicator
light stays on when you press POWER, Auto Find has tried
all available codes. If you finish Auto Find and the product
you want to control has not turned off, your remote cannot
control that product.
• Pressing PRG at any time during the use of Auto Find will
cancel Auto Find, and you will have to start again.
ON
POWER
OFF
Equipment to be
controlled
Typical Remote
Control
291_01-o 4_5

UNIVERSAL REMOTE CONTROL
OPERA TIN(3 CODES BY BRAND NAME
TVS
._1_ TV/VCR
M_aJ
Amark
AOC
Bell & Howell
Bloksonic
Candk:
Centurion
Citizen
Contcc
Coronado
Clown
Cut_ Malhes
Da_woo
Dacwoo TVNCR
DayUon
Elekwa
Emerson
Emerson TVNCR
Fisher
Funai TVNCR
General
Electric
Goldstar
Goldstar TV/VCR
Haachl
J.C. Penney
WC
KMC
KIN
Ku_zai
Lodgenet
Magnavox
Maglavnx TVN_
Majestic
Marantz
Megatron
Memo_x
MGM
Mttsubtslu
Montgomery
Ward
NEC
Panasomc
Panasoni¢ TV/VO_
Philco
Ph.hps
Pto_r
Portland
Proscan
116. 121. 130. 133
154
104
103. 146
104
121
131. 136
139
119
121. 139
141
103
103
116. 119. 121
149. 159
148
119
121
103.104.123.124.
131. 136. 145
158
109.118
154
106. 107. 114.
116. 117. 161
103. 104. 119. 147
153
102. 103. 129. 163
104, 110. 114.
117,119
125. 132. 164
103
103. 104. 138
121
121
121
133. 137
103. 112. 113.
117. 119. 127.
128. 139. 165
173
121
104.120, 155
146
121
104. 119.120.
130.140, 155
103. 104. t05.
113. 114. 119.
121. 130, 133
104.119
106. 107, 160. 166
174
103. 104. 112.
113. 139
112. 113
135
103
|16, 157.162. 167
Q_uar
RCA
_c
Sampo
Samsung
Sanyo
SCo_
Sears
Sharp
Signature 2000
Sony
Soondesign
Sylvama
Syraphon_'l'WVCR
Tamng
Tukmka
Telerent
Toshiba
XRI_0
Yorx
Z_mth
Zcmth 'rvPICR
V(
Admiral
Advrntura
Alwa
Ak_u
Audio
Dynamics
Bell& Howell
Broksonic
Canoa
Citizen
Crmg
CurtisMalhes
Daewoo
Day,ton
DBX
Emerson
Fisher
Fumu
General
Elecuic
Goldstar
Go Vtdeo
H.taclu
Instant Replay
LC. Peoney
IVC
Kcnwood
Logik
LXI
106.107
104.116,126.157.
161.162.167.168
105. 123.124
119
103. 119.134. 141
108,109,118
119.124
103. i08.109.110.
111.118.134
103.105.122,133,
137.156, 169
103, 104, 105.
113.114.I19.
121. 130. 133
115. 143. 151. 170
139
112.113. 117. I19.
127.128,139
154
106
103, 112, 121,
124. 139
103. 121
110. Ill, 134, 171
121
119
101. 149
153. 154. 172
:RS
208. 261
231
231
223. 238.241
202.218
206. 247
221. 226. 250. 255
214
209
212
214. 259
244. 246. 248. 254
236,246
202, 218
203.221,223.
226, 233, 235,
243. 250
211,212.213,247
231
214. 216.22O
209
256. 262. 263
215. 257
214.227
214. 215. 218.227
202. 225. 258
2O2
239
209.231
]_/quwox
Marna_
Idam
Memofex
Mitmbishi
Montgomery
.Ward
IMuItt Tech
NEC
0don
Panasonic
Pentax
Pluko
Pioneer
I_r',land
' plo SC_
1_sar
RCA
Samsnag
Sansui
Sanyo
Scott
Sears
Shlrp
Shintom
Signature 2000
Sony
Sylvania
Symphonic
Tashiko
Tatong
Teac
Tckn&a
Toshiba
XRIOG0
Vector
Yamaha
Zent_
207.214.231
207.218
209
206.212.214.231
204. 222. 252
208. 214.216.
219.231. 249
202.218
250
214. 251. 259
215
210. 215
246
216. 260
214. 259
215. 216"220. 227.
1240. 242. 260
206. 208. 212.
214. 231
1220, 230
239
206, 212. 247
204, 205, 233. 243
206. 209.211.
1212. 215
2O8.261
239
208. 214. 216.
219.231. 249
217. 232. 237
207,214.227
231
2O9
202
2O2, 231
234
205.215
239
204.218
202, 218
201.224.225.
229.237
CABLE/SATELLITE
Paaameic
P_Ups
Pll31_cr
RCA DSS
Regency
Samumg
Sczcndfic Atlanta
Spmcer
Standard Comp
iTexscan
:Tocom
U_
Umted Satellite
Umv©rsal
Vtd Tcch
Video Way
[Vlewstar
Z_nith
Zemth Satellite
358. 362
361
305. 33 I. 33g
367
305. 306
302. 303. 345.
365.366
304, 307. 3_, 3_9,
310. 318. 360,363
335
314.321
1334
335.339. 368.
369.370
311.332, 342
313.320
333
347, 350. 352.
3.$4. 355
315.343
373
1329
335
316. 323. 336, 364
313
335
339. 356.37 I
'317.318.346
348. 362
344
358, 362
:340
349
354.355.372
301. 353
312. 328. 330. 351
VIDEO DISK
PLAYERS
Pioonrr 402"403
Sanyo 401
Sony 404
Zemth 401
Teat: 446
Teuhni_ 432. 459
Tmhiba 447
Yamaha 448
Zradtb 460.461.498.501.
5O2
AUDIOTAPE
DECKS
Denon 455
thrm_ROudon 456
JVC 457
Keawond 450
45S
F_ps DOC 454
Ptoncer 45 I,478
Sony 452
Technics 454. 497
Yamaha 453
AUDIO CD
PLAYERS
Akm 409.424
Crown 410
Denon 411
_sher 412.438
C,oldstar 46O
Hannan/Kardon 413
IVC 415
Konwood 412. 416,417.441
i
Magnavox 42 I, 422.433. 434
Mttsubishi 423.424
NAD 425. 426, 447
N_tram,ehl 427.428
NEC 429
O_yo 43O
Panasonic 43 I.432
Phthps 421.433.434
I_on¢_r 431,435
Quasar 432
Radzo Shack 431. 436. 439. 440,
441
RCA 437
Sanyo 438,439
Scott 440
Sharp 441.442
Sony 443. 444, 445
[Soundesagn 461. 498. 501. 502
AUDIO TUNERS
AND AMPLIFIERS
Denon 462, 463
FLsher 464
C,oldstar 46O
llanmm/ 465
Kardon
JVC 466
Kenwood 468,469
Manmtz 472. 503
Onkyo 473
Phdtps 475,476
Pioneer 477.478. 479
Radio Shack 487. 488
480
Sanyo 481
Scott 482
Sharp 483
Shexwood 487, 488
Sony 489.490, 491.492
Sonnde._ign 461. 498. 501.5O2
Teac 494.495
Technics 497
Yamaha 496
Zeni_ 460.461.498. 501.
5O2
Allcglo
Alkgm A/B Svmch
Gemini Ref: 124-205-05 and
Gene_E_c xP 221-879-03
General Insmm_nt
Hamlm
Jerlold
Vision
Macom
MaBnavox
NSC
_918_1o 4 -- 6

QUICK REFERENCE TO MENUS: UNIVERSAL REMOTE
I I
AVAILABLE MENUS
Your TV is icon and menu operated.
options appears.
In other words, an icon is selected at the top of the TV screen and amenu of adjustment
Highlighted Icon
The menu for the
selected icon ap-
pears below the
icons. I
SETUP RUDID UIDED PIP
fMain Source [
StarSight
Ant/Cable 2
Video 1
Video 2
S-Video 1
Video 3
S-Video 2
I
4P, Main/PIP q',l, To Select Source ]
PIP Source
StarS[ght
Video 1
Video 2
S-Video 1
Video 3
S-Video 2
i!
I
!
i
i
!
!
t
PIP Inset
A PIP inset appears while the
Source icon is selected to show
the result of selecting a PIP
source.
BASIC MENU OPERATION
Press MENU repeat-
edly to choose
between available
menus.
Press the Up or Down /
arrows repeatedly
until the desired
option is highlighted.
V
G( 3o
-- -- _Right arrows to
_____ _ adjust or change a
selected option.
Press QUITto
remove menus or
wait a few seconds
and theTV will
to normal operation.
Typical Remote Control
_18-o_-o 5-- 1

SOURCE MENU
Video 3and S-Video 2 are
source options for some "IV
models only.
Main Source
Ant/Cable 2
Video 1
Video 2
S-Video 1
fVideo 3
_S-Video 2
4t, Main/PiP
PIP Source
StarSight
Video 1
Video 2
S-Video 2_
'1'4,ToSelect Source
A PIP inset appears while the
Source icon is selected to show the
effect of choosing a PIP source.
If the PIP Source is changed, the
PIP inset will remain on the screen
after you exit from menu opera-
{ions,
MENU OPERATION
@Press SOURCE for direct entry
to the Source Menu, or press
MENU repeatedly until the
Source Menu is selected.
Press SOURCE repeatedly until
the desired Source is selected.
Press the Left/Right keys to se-
lect either Main Source column
or PIP Source column.
Press QUIT or wait a few sec-
onds for the TV to return to nor-
real operation.
SOURCE SELECTION
ANT/CABLE I or 2Routes the antenna or cable-TV source to the TV for viewing, You see program material from
whichever signal source is connected to the ANT/CABLE 1 or 2 jack. (If the signal is from a VCR or
a cable box, tune the "IV to either channel 3 or 4.)
VIDEO 1, 2 or 3 Routes the audio and video from an A/V source (such as a VCR or a video disc player) to the TV for
viewing. The source must be connected to the corresponding VIDEO 1, 2 or 3 IN jacks.
S-VIDEO 1 or 2 Routes the audio and video from an auxiliary Super-VHS video source (such as a VCR or a video disc
player) to the "IV for viewing. The source must be connected to the corresponding S-VIDEO 1 or 2 IN
jacks.
Refer to the "Standard Connections for Your TV" section to make the proper equipment connectionsto theTV. For information about PIP
sources,refer to the "PIP Operation" section.
SOURCE IDENTIFICATION
Blue White
t o,T JMagenta
Yellow
LOOP nUT A#I"E#HA
Red
LL Blue
Auxiliary A/V Jacks (Some TV Models)
NOTE:
•The color of the Channel/Time display corresponds to the color
rings around the connectors of the jack panels. For example,
the Channel/Time display will be Red if you are watching a pro-
gram on Ant/Cable I source. Connection Center on Back of TV
_n-ol-o 6- 1

SETUP MENU
Ch. Add/Del
Ch. Labels
Source ID
Clock Set
Timer Setup
Parental Ctl
Caption/Text
Background
StarSight
Press ,<1_To Program
•,uoume_lD _ _"
Clock Set !
Timer Setup
Parental Ctl
Caption/Text
Background
] Press 4P,To Label Sources I
While Video or Super-Video Source is Chosen
MENU OPERATION
_ Press MENU repeatedly until the
SETUP MENU is shown.
Press the Left/Right keys to
adjust the selected option.
Press the Up/Down keys until the
desired option is selected.
Press QUIT or wait a few sec-
onds for the TV to return to
normal operation.
Auto Program Finds all active channels and stores them in the TV's memory for use by CHANNEL up/down. See
"THE FIRST TIME YOU OPERATE YOUR "IV" for more details.
Ch. (Channel) Edits the channels found by Auto Program to create your own personal list of favorite channels. See the
Add/Dei information following this chart for more details.
Ch. (Channel) Assigns a network/station label, name or call letters to specified channels. For example, if you choose
Labels the label "ABC" for channel 9, then "ABC" will appearin the Channel/Time display whenever channel
9 is selected. See the information following this chart for more details.
Source ID Assigns a descriptive "name" to the input sources. For example, the Video 1 source may be named
VCR. "VCR" will now appear in the Source Menu as a reminder that your VCR is connected to the
Video 1 input jacks.
Clock Set" iSets the clock in the TV to the correct time. Press the Left/Right arrow keys to advance the 24-hour
clock, or use numbered buttons on the remote to enter time. Press ENTER to start the clock.
Timer Setup Sets the TV's Sleep Timer and On/Off Timer features. See the information following this chart for
more details.
Parental Cfl. Use this feature to block viewing of any undesirable channels or an entire input video source. See the
(Control) information following this chart for more details.
Caption/Text Displays closed captioning or informational text when available on the selected channel. Options are:
OFF, CAPTION 1, CAPTION 2, CAPTION 3, CAPTION 4, TEXT 1, TEXT 2, TEXT 3, or
TEXT 4. See the information following this chart for more details.
Background Adds or removes a solid-color background behind the on-screen menus.
StarSight Begins the StarSight setup procedure. Refer to the StarSight section of this guide for details.
29t_-ot-o 7-- 1
continued on next page

SETUP MENU
USING CH. (CHANNEL) ADD/DEL
Add Channels to Scan ..
ti it i ii .
• Press the Up/Down keys to
select Ch. Add/Delete.
• Press Left/Right keys to view
the add/delete screen.
* Use the Left/Right and Up/
Down keys to move selector
to the channel being added.
e Add the channel by pressing
SOURCE until the display
shows Added.
tmete uom Scan
i i Hi m.i i i
• Press the Up/Down keys to
select Ch. Add/Delete.
•Press LefVRight keys to view
the add/delete screen.
• Use the Left/Right and Up/
Down keys to move selector
to the channelbeing deleted.
le Delete the channel by
pressing SOURCE until the
display shows Deleted.
NOTES:
• Ch. Add/Del can only be used with ANT/CABLE 1 or 2 Source.
• The audio of deleted channels is muted.
Selector Highlight
11"7"T-13 4s81
7 8 _10 11 12
13 14 15 16 17 18
19 20 21 22 23 24
25 26 27 28 29 30
31 32 33 34 35 36
37 38 39 40 41 42
43 44 45 46 47 48
49 50 51 52 53 54
55 56 57 58 59 60
61 62 63 64 65 66
67 68 69 70 71 72
Available Channels
Sour_ |
ToChange I
73 74 75 76 77 78
Available channels are:
Broadcast Band -- VHF 2 to 13, UHF 14 to 83
Cable-TV Band -- 1 to 139
Live view of
selected channel.
Channel
Status
Instructions
Use Down key to
..-- move selector to
additionalnumbers
ifpresent.
USING CHANNEL LABELS
Assign Labels Remove/Prevent Labels
.i
•Press the Up/Down keys to
select Ch. Labels.
•Pressthe Up/Downkeys to
select Ch.Labels.
• Press Left/Right keys to view
the Channel Label screen.
•Select a channel by pressing
the CHANNEL Up/Down
keys.
•Use the Left/Right and Up/
Down keys to move selector
to the desired label.
• PressLeft/Right keysto view
the ChannelLabelscreen.
• Select achannel by pressing
the CHANNEL Up/Down
keys.
•Use the Left/Right and Up/
Down keys to move selector
to the four dashes or NONE.
_IOTE:
• Ch. Labels can only be used with ANT/CABLE 1 or 2 Source.
•Selecting the four dashes (.... ) specifies that no channel label is
assigned. Or, in addition to not assigning a label, NONE blocks the
stationor network labels thatare transmittedby some television stations.
Selector Highlight Available Labels
.... NONE ACTS I I
AOC AMC BCC BET BRAV
CA CBC CBN CBS CMTV
CNBC CNN COM CSPN CSP2
CTN CW DIS DISC E! Ch9
ENC ESPN ESPN2 ET EWTN
FAM FNN FOX F&V FX [ABC _'
GALA HBO HN HSE HSN
IC INSP JCN LIFE MAX
ME/U MMT M"I'V NBC NICK
NOS PBS PLAY PTL QVC
RDS REQ SC SCFI SHOW
SIN TBS TBN
More Libels 4,
.-.- Live view of
selected channel.
---- CurrentChannel
,Selected Label
Press Down arrow
"--"formore labels.
USING SOURCE ID
i' ' .....
In the Setup Menu, press the Up/Down keys to select Source ID.
Press the Left/Right keys to view the Source ID screen.
Press the Up/Down keys to choose a Source.
Press the Left/Right keys to Label the chosen Source.
VIDEO GAMES AND OTHER FIXED
PATTERN DISPLAY CAUTION
If you use your TV for video games or other fixed displays, avoid set-
ting the BRIGHTNESS control for an excessively bright picture. A
bright, fixed pattern, if used for long periods of time, can result in a
permanent imprint on the TV picture tube. You can reduce this possi-
bility by alternating the use of the fixed pattern display with normal
TV picture viewing, by turning down the CONTRAST control for
sustained fixed pattern use, and by turning off the fixed pattern dis-
play when not in use.
Live view of
selected Source.
Source I
Ant/Cable1
Ant/Cable2
Video1
Video2
S-Video1
Label
StarSight
Antenna
VCR
VCR 2
Video Game
NOTE:
•Disabling a Source prevents it from
appearing in the Source Menu.
Optional names for
ANT/CABLE 1or 2
Sources are:
---, Disabled, An-
tenna, Cable, Cable
Box, Satellite, VCR,
StarSight (Ant/Cable
1only).
Optional names for
VIDEO Sources are:
.... , Disabled, VCR,
VCR2, Camcorder,
Video Game, Laser
Disc, Audio Only,
Satellite (some models
only).
291S-OL_ 7-- 2

SETUP MENU
TIMER SETUP: Sleep Timer
The Sleep Timerprograms theTV to automaticallyturnitself off aftera periodfrom 15minutes upto 4 hours.
From Setup Menu
•MakesuretheTV's clock is
set.
•Press the Up/Down keys to
select Timer Setup and view
the Timer Menu.
• Press the Up/Down keys to
select Sleep Timer.
•Use the Left/Right keys to set
the period of time the "IV will
remain on.
Direct Access
•With no menus showing on
the TV, press TIMER on your
remote to directly access the
Sleep Timer.
•Press TIMER repeatedly to
set the period of time the TV
will remain on.
• One minute before the TV turns off, the GOOD NIGHT display
appears on the screen. At this time you have a choice of the
following two actions.
• Do nothing. The GOOD NIGHT display remains on the screen.
The TV will turn off in one minute.
* Delay the turn-off by resetting the timer with anew time period.
NOTE_:
•To cancel the Sleep Timer, turn off the TV or press TIMER repeat-
edly until OFF is showing.
•As the Good Night display counts down the final 60 seconds, the
audio and video of the 'IV also "dim" for a soft, discreet turn-off.
I Timer Menu ]
Sleep ,Timer
On Time
Off Time
On/Off Timer
0:15 ]
Timer Set to Turn TV OFF in 15 Minutes
ISleep Timer
Good Night 0:58
"Good Night" Display Appears 60 Seconds Before Shut-Off
TIMER SETUP: On/Off Timer
The On/Off Timer programs the TV to automatically turn itself on at a specific time then turn itself off at another time.
Set On/Off Timer
i
•Make sure the TV's clock is set.
•Press the Up/Down keys to select Timer Setup
-Press Up/Down keys to select On Time and use the numbered
buttons on your remote to enter atime for the TV to turn itself
ON. Press TIMER on the remote to select AM or PM. (You can
also use the Left/Right keys to advance the time.)
•Press Up/Down keys to select OffTime and use the numbered
buttons on your remote to enter a time for the TV to turnitself
OFF. Press TIMER on the remote to select AM or PM. (You can
also use the Left/Right keys to advance the time.)
•Press Up/Down keys to select On/Off Timer and use ADJUST
on remote to turn timer ON (or OFF).
NOTE:
•A time must be set for either On Time or Off Time in orderto turn
the timer ON.
ITimer Menu J
Sleep Timer
On Time
Off Time
On/Off Timer
[a 11:00 AM ,]
On/Off Timer Set to Turn TV ON at 11:00 am
_ls-oto 7-- 3

•SETUP MENU
USING PARENTAL CONTROL (PC)
Period of time PC I
Parental Control Menu
will be active. __- I
Blocks entire source._ _ ........ ,
Blocks individual -" t
channels for Ant/ _Block Source I
(;able 1or 2 sources. _ Block Channels I
(Does not appear if / 'I
the entire Ant/Cable
source is blocked by [ OFF
Block Source.)
1 2 3 4 5 6
7 8 [] 10 11 12
13 I4 15 16 17 18
19 20 21 22 23 24
25 26 27 28 29 30
3t 32 33 34 35 36
37 38 39 40 41 42
43 44 45 46 47 48
49 50 51 52 53 54
55 56 57 58 59 60
61 62 63 64 65 66
67 68 69 70 71 72
73 74 75 76 77 78
Unblocked_--
Press +
Source
ToChange
Live view of
selected channel.
Channel
Status
Instructions
Block Entire Source
•Press the Up/Down keys to select Parental
Ctl and press the Left/Right keys to view
the PC Menu.
•Select Block Hours and use Left/Right keys
to set the length of time PC will be active:
OFF, 12, 24, 48 or 72 hours.
•Select Block Source and use Left/Right
keys to"Block" the current input source.
• To block other sources, press the SOURCE
key and set them to "Block."
• Press ENTER to exit and enter any 4-digit
"Parental Access Code" when prompted to
do so. (You will be prompted to verify the
number by entering it a second time.)
Block Individual Channels
(Ant/Cable 1or 2 Sources Only)
Press the Up/Down keys to select Parental
Ctl and press the Left/Right keys to view the
PC Menu.
Select Block Hours and use Left/Right keys
to set the length of time PC will be active:
OFF, 12, 24, 48 or 72 hours.
DO NOTHING WITH BLOCK SOURCE.
Select Block Channels.
Use Left/Right and Up/Down keys to select
a channel and press the SOURCE key to set
it to "Block." Repeat this for each channel
you want blocked.
Press ENTER to exit and enter any 4-digit
"Parental Access Code" when prompted to
do so. (You will be prompted to verify the
number by entering it a second time.)
iiiRe-enter PC _e it _Acti_ate_
ill " _ __ ' i_ ..... _!ii_ ? _ : _ : iiii_i_i
•Press the Up/Down keys to select Parental
Ctl and press the Left/Right keys to view
the PC Menu.
•Enter your access code.
•Make your changes (block more channels,
reset the time period, etc.).
• Press ENTER to exit.
•You will be prompted to change your access
code. Either enter a new 4-digit code or do
nothing to retain the current code.
REMEMBER YOUR CODE! TO RE-ACCESS PARENTAL CONTROL WHILE IT IS ACTIVATED, YOU MUST ENTER THIS
NUMBER. Otherwise, simply allow the specified period of time to elapse.
NOTE:
•Do not unplug the TV in an attempt to deactivatethe ParentalControl. This only resets Parental Control.
USING CAPTIONS
8
Activating Captions
....(With CC Button)
•Press CC button on remote.
• Press CC repeatedly to
toggle through the five
choices: Off, Caption 1,
Caption 2, Caption 3 And
Caption 4.
:(From Setup Menu)
•Press the Up/Down keys to
select Caption/Text.
• Press Left!Right keys to toggle
through the nine choices: Off,
Caption 1, Caption 2, Caption
3, Caption 4, Text 1,Text 2,
Text 3, or Text 4.
NOTE:
•At present, very few TV programs or video tapes offer text caption-
ing for any option other than CAPTION 1. Therefore, CAPTION
1 is the only recommended choice, unless you know that a specific
program is providing captioning using one of the other selections.
i.[ Hello! Areyou I
[out there? J
Typical Captions Display
Captions may be shown any-
where on the screen.
_mm_ mmmiimm
See special newscast
tonight at 7:00PM on
channel 2.
J
Typical Text Display
Fixed size text window fills
lower half of screen.
291g-ot-o 7-- 4

AUDIO MENU
AUDIO
Treble
Balance
Audio
SEQ
Surround
iNu, >
4I 0
Null b an option for some
TV models only.
MENU OPERATION
_ Press MENU repeatedly until the
AUDIO MENU is shown.
Press the Left/Right keys to
adjust the selected option.
Press the Up/Down keys until the
desired option is selected.
Press QUIT or wait afew sec-
onds for the TV to return to
normal operation.
Bass
Treble
Balance
Audio
(SAPis not an option
forthe video sources.
Audio signalsreceived
from a video sourceare
assumed to be monaural
or stereo. )
SEQ
(Spatial Equalization)
Surround
Adjusts the BASS (low-frequency) level.
Adjusts the TREBLE (high-frequency) level.
Adjusts the balance of sound between the two speakers.
Allows you to select STEREO, MONO or 2ND AUDIO/SAP operation.
STEREO: Directs the sound to the Left and Right speakers as supplied by the program. Stereo is
the recommend choice: The TV switches automatically between the STEREO and
MONO modes depending on the type of signal being received.
MONO: Directs the same sound to both Left and Right speakers, even if the program being
received is in stereo.
2ND AUDIO/
SAP: Directs the sound for the Second Audio Program (second language) to both the Left
and Right speakers. SAP sound is always monaural. If SAP is selected, you hear the
SAP (usually a second language). When the SAP broadcast ends, the "IV switches
automatically (defaults) to the type of signal being received, STEREO or MONO. The
TV switches back to 2ND AUDIO/SAP when the SAP broadcast resumes.
Produces a spacious and more tonal sound. SEQ is only available while astereo signal is being received
and processed by the TV.
Adjusts the level of Surround Sound provided to the optional surround sound speakers. Surround Sound
is only available if a surround encoded stereo signal is being received and STEREO is either selected
using the AUDIO option or selected by default.
Null Used to Minimize front channel sound from coming through the surround speakers. To adjust the Null,
while watching a Dolby Surround-encoded video tape, select Null and use the Left/Right keys to remove
any dialogue that may be heard from the surround speakers.
NOTE:
•All adjustmentson the Audio Menu are optional. You do not
have to adjust these features in order to use your TV.
29t8.ol-o 8- 1

VIDEO MENU
Brightness
Color
Tint
Sharpness
ColorTemp
Video Filter
AutoFlesh
PicturePref
<G
MENU OPERATION
_ Press MENU repeatedly until the
VIDEO MENU is shown.
Press the Left/Right keys to
adjust the selected option.
@(_ Press the Up/Down keys until the
desired option is selected.
Press QUIT or wait afew sec-
onds for the TV to returnto
normal operation.
Contrast Adjusts the overall contrast and color level of the picture.
Brightu_s Adjusts the brightness level of black areas in the picture.
Color Adjusts the intensity of the colors in the picture.
Tint Adjusts the color of the flesh tones to more Green or more Red.
Sharpness Adjusts the definition of the object edges for best picture quality.
Color Temp Changes the "color temperature"or picture white balance between cooler natural whites and warmer
(Temperature) (red) colors.
Video Filter Reduces video "noise" or interference in dark picture areas resulting in clearer overall pictures.
Auto Flesh Automatically maintains natural skin tones underchanging scene and video source conditions.
Picture Plref. Lets you decide if you want to use your own CUSTOM video settings, the factory PRESET video
(Preference) settings or the factory preset THEATER video settings. The THEATER settings are preset to provide
optimum visual performance in low light "theater-like" conditions.
NOTES:
•All adjustments on the Video Menu are optional. It is not
necessary to adjust these features in order to operate the
TV.
Any adjustments made to the Video Menu settings while
Picture Pref. is in PRESET or THEATER mode will auto-
matically store the current settings as the CUSTOM set-
ting.
2918-0,-o 9- 1

PIP MENU ..
PIP
Ch. Review
PIP Color
PIP Tint
PIP Size
Press <1, To View
SelecUng the PIP Menu does not
"activate" PIP. However, a PIP
inset will appear during menu op-
eration to show the effect of any
setting changes.
MENU OPERATION
_] Press MENU repeatedly until the "
PIP MENU is shown.
Press the LefffRight keys to
adjust the selected option.
o oown ysunti
desired option is either high-
lighted or selected.
Press QUIT or wait a few sec-
onds for the TV to returnto
normal operation.
Ch. Guide Provides a visual review of all channels in the channel scan memory for the currently selected
ANT/CABLE source.
Ch. Review Provides a visual review of the last three (3) channels tuned on the TV.
PIP Color Adjusts the intensity of the colors in the PIP inset.
PIP Tint Adjusts the color of the flesh tones in the PIP inset to more Green or more Red.
PIP Size Adjusts the size of the PIP inset. Choose between small or large.
CH 2
CH 3
CH 5
CH 6
CH 7
CH 9
CH 2
CH 3
CH 5
Ch. Guide Screen
Shows 3-second Hve displays of all channels
saved in the channel scan sequence.
Ch. Review Screen
Shows 3-second live displays of the
last 3 channels viewed on the TV.
_ls_t_ 10--1

REMOTE CONTROL Z-TRAK
INTRODUCTION
This multi-brand remote control operates the common features of most, but not all, models and brands of IR (infrared) controlled
VCRs. Some functions of your particular equipment may not be controlled by this remote. In such c_ses, use the original remote control for
your equipment.
BATTERY INSTALLATION
Batteries are provided, but must be installed before using the
remote control. When it no longer functions normally, or if it
loses memory, replace the batteries with two high-quality,
alkaline, size AA batteries. Match plus with plus (+ with +),
minus with minus (- with -) in the battery compartment.
Unless your equipment responds to the factory preset code,
you will need to reprogram the remote after you replace the
batteries.
NOTES:
-Do not place heavy objects on top of the remote control
keys. Prolonged unintentional operation of the remote short-
ens battery life.
-Remove the batteries if the remote control will not be used
for a month or more. TIlE MANUFACTURER IS NOT
RESPONSIBLE FOR DAMAGE CAUSED BY BAT-
TERY LEAKAGE.
CHOOSING OPERATING MODE
To control your TV or VCR with this remote, you must fast choose the mode of operation. Press the desired mode key for TV or
VCR. Press TV to return to TV mode.
TV
Set remole to TV mode
POWER
VCR
pVCR mode
Z-Trak Remote
291_1o 11 -- 1

REMOTE CONTROL Z-TRAK
BASIC OPERATIONS
Point Remote at TV or VCR
TV
Set remotetoTV mode.
VOL Up/_
When operatingTV: Increase volume
When operting VCR: Fast forward
VOL Down/,_l
When operating TV: Decrease volume
When operating VCR: Rewind
MUTE II
When operating TV: Mute sound
When operating VCR: Pause
RECRD
When operating TV: Begin StarSight
record function
When operating VCR: Begin VCR
record function
POWER
VCR
Setremoteto VCR mode
TRACKBALL
perating TV or VCR: Moves
on-screen pointer to desired TV
menu selection. Press on the
trackball to "choose" the selection.
Up/_
When operating TV: Go to the next
channel
When operating VCR: Play
CHAN Down/•
When operating "IV:Go to the
previous channel
When operating VCR: STOP
ENTER
When operating TV: View
Channel/Time display
When operating VCR: View VCR
display
FLSHBK
When operating TV: Tune TV to
the last channel viewed
When operting VCR: TV/VCR
switch
Z-Trak Remote
291_1-o 11 -- 2

REMOTE CONTROL Z-TRAK
PROGRAMMING YOUR Z-TRAK REMOTE
Your Z-Trak remote is already programmed to work with most
Zenith VCR's. If you have anon-Zenith VCR, or if your Zenith
VCR does not respond to your Z-Trak remote, you will need to
program your remote as follows:
1. Refer to the table of VCR Codes, in this section of
the guide. Locate the 3-digit number which corre-
sponds to your brand of VCR.
2. Make sure your TV is turned on.
3, While pointing the Z-Trak remote towards your
Zenith TV, simultaneously hold the MUTE and
ENTER keys until the TV displays a VCR "Setup"
screen (about three seconds). The VCR key will also
light upon entering the Programming mode.
4. Notice that the current VCR brand code (initially
"201") is displayed on the TV screen. Roll the track-
ball up or down (or use CHAN Up/Down) to choose
the 3-digit number of your VCR.
5. When the correct 3-digit number is displayed on the
TV screen, use the POWER key to make sure that
your VCR turns on and off properly. If it does not
respond, refer to the VCR Codes table to select a
different 3-digit number.
6. If your VCR turns on and off successfully, press the
trackball (or ENTER) to save the current VCR brand
code. The setup screen will disappear from the TV.
Also, the VCR key will flash 3 times upon exiting
the Programming mode. The remote will be in the
VCR mode.
7. Now try other controls on your VCR, such as Play,
Rewind, etc., to make sure that the correct VCR
brand code number was selected. (If not, repeat
steps 3 to 7.)
8. The MUTE key can be pressed at any time to cancel
Programming mode. The original VCR brand code
will remain unchanged.
NOTE: Only the VCR mode can be programmed.
9. The Z-Trak remote will exit Programming mode
automatically after 60 seconds if no key press or
trackball movement is detected.
AUTO FIND OPTION
If you have tried all 3-digit codes listed for your VCR manufac-
turer, and none of them operate your VCR, you will need to try
"AutoFind" to see if a different code will operate your VCR:
1. Make sure your VCR is turned on.
2. Simultaneously hold the MUTE and ENTER keys un-
til the VCR key lights up (about three seconds).
TV displays
VCR code
Z-Trek Remote
Control
Equipmentto be
contr_led
29ts-ol-o 11 -- 3

REMOTE CONTROL Z-TRAK . .
3. Point the Z-Trak remote towards your VCR. Press
CHAN UP followed by POWER. If your VCR did
not turn off, keep repeating CHAN UP followed by
POWER until the VCR responds.
4. If your VCR turned off, press ENTER to save the
code. The VCR button will flash three times after
ENTER is pressed.
5. Now try other controls on your VCR, such as Play,
Rewind, etc., to make sure that the correct VCR
brand code number was selected. (If not, repeat
steps 2 to 4.)
6. The MUTE key can be pressed at any time to cancel
AutoFind mode. The original VCR brand code will
remain unchanged.
7. The remote will exit AutoFind mode automatically
after 60 seconds if no key press or trackball move-
ment is detected.
NOTE:
•To view the code that was programmed, perform
Steps 2 and 3 of "Programming Your Z-Trak
Remote."
VCR CODES BY BRAND NAME
Admiral
Adveatora
Aiwa
Akai
Audio
Dynamics
Bell & Howell
Bmksonic
Canon
Citizen
Craig
Cu_is Mathcs
Daewon
Daymm
DBX
Emerson
VCRS
208, 261
231
231
1223, 238, 241
202, 218
206, 247
221,226, 250, 255
214
209
212
214. 259
!244,246,248.254
236,246
202.218
203, 221. 223, 226,
233, 235, 243, 250
Fisher [211,212, 213, 24/
Funai !231
General 214, 216. 220
Electric
Gold,star 209
Go Video 256, 262, 263
Hitachi 215, 257
Replay 214.227
J.C.Peoney 214,215,218,227
/VC 202. 225,258
Kenwoud 202
Logik 239
LXI 209, 231
Magnavon 207, 214. 231
Marantz 207, 218
Mare 209
Me_ 206. 212, 214, 231
Mitsubishi 204. 222,252,264
Moatgomet'yWard
Multi Tech
NEC
Orion
Panasonic
Pentax
Philco
Philips
Pionecx
Portland
Pro Scan
Quasar
RCA
Realistic
Sarasung
Samui
Sanyo
Scott
Sears
Sharp
Shintom
Si_ature 2000
Sony
Sylvania
Symphonic
Ttshiko
Tatong
Teac
Telmika
Toshiba
Vector geseazch
Yamaha
Zenith
XR1000
208, 214. 216. 219,
231. 249
239
202, 218
25O
214. 251,259
215
207,214
207,214.227
210,215
246
216, 260
214, 259
215, 216,220, 227, 240,
242. 260
206, 208, 212, 214. 231
220, 230
239
206, 212. 247
204, 205. 233, 243
206,209mi.212.2i5
208, 261
239
208, 214, 216, 219.
23 I, 249
217. 232. 237
207,214. 227
231
209
202
202,231
234
205.215
204, 218
202,218
201,224,225.229.23"I
239
CLEANING THE TRACKBALL
To keep the Z-Trak remote functioning properly, it is necessary to occasionally clean the TRACKBALL device. To do this:
1. Use a solution of mild dish washing detergent and water.
2. Moisten a clean soft cloth with the solution and lay the cloth flat on a table.
3. Turn the Z-Trak remote upside down and gently roll the TRACKBALL on the cloth.
4. Allow the remote to air-dry before using it again.
CAUTION:
• DO NOT USE ALCOHOL OR OTHER CLEANING FLUIDS TO CLEAN THE TRACKBALL AS THESE MAY
DAMAGE THE REMOTE.
2918-01-0 11 -- 4

QUICK REFERENCE TO MENUS: Z-TRAK
AVAILABLE MENUS
Your TV is icon and menu operated. In other words, an icon
is selected at the top of the TV screen and a menu of adjust-
ment options appears.
SETUP
Ch 11
PBS
3:15
Stereo
Timer
Captions
Z Trak
PIP
Freeze
All Ch.
Flash
VOLUME
<l !> I
BASIC MENU OPERATION
l, Make sure that your Z-Trak remote is in the TV mode (rather than
VCR mode), by pressing the TV button on the top.
oPress the trackball. A small square, known as the pointer, appears
in the middle of the screen. It should be blue, indicating TV mode.
If you have StarSight, the pointer may be red, indicating StarSight
mode. The next step tells you how to switch modes.
1
e
The pointer is moved by rolling the trackbaU up, down, left, and
right. Move the pointer to the left edge of the screen. A column of
TV options appears. The icon at the top indicates which mode is
active -- TV or StarSight (if connected). ATV icon represents TV
mode; a circle with a star represents StarSight mode. You can
switch between the two modes by locating the pointer on the icon
and pressing the trackball. The icon switches and the pointer
changes color.
Set the mode to TV (a blue pointer).
The various menus are not all visible on the screen simultane-
ously. Each menu appears when you move the pointer on top of it.
NOTE: Whenever the text reads "point to the option", it
means "position the pointer on the option".
To make the pointer disappear, move it to the center of the screen
and press the trackball.
_t_-ot-o 12 -- 1

QUICK REFERENCE TO MENUS: Z-TRAK
CHANNEL ICONS
Ch 11
PBS
3:15
Stereo
Ch
eh
All Ch
Flash
The Channel/Time display accompanies the Channel
Icons Menu.
Chan T and ,1, Channel up or down; equivalent to CHAN Up or Down on the remote. Point to the arrow and press.
All Ch
Flash
Gives you a complete listing of all channels on the screen. Channels currently stored in memory (via Auto
Program) are shown in color. However, you can tune to any channel on the list. Point and press on a channel;
the program on that channel is shown in the PIP, along with the channel label. To tune to that channel, press on
it again.
Tunes the TV to the last channel viewed. The FLSHBK button on the Z-Trak remote performs the same
function.
VOLUME CONTROL
vo.°.o ,>[
Move the pointer to the bottom of the screen to
view the Volume Control.
Point to the desired volume level on the slider
bar, and press the .:rackball. The volume level
• automatically jumps to the new value. Or, press
on the arrows to gradually raise or lower the
volume.
Point and press on MUTE to turnthe sound off
completely.
You may also control volume and mute using
the VOL Up/Down and MUTE buttos on the
Z-Trak remote.
291s-ol-o 12 -- 2

TV OPTIONS MENU
Timer
Captions
ZTrak
PIP ON
Freeze
Move PIP*
Swap*
The TV icon will only
appear for Ant/Cable 1
Source selection.
*Not always displayed.
See table below
MENU OPERA TION
Move the pointer to the left of
the screen to view the TV
Options Menu.
Press the trackball to select the
option. See the table below.
Point to the desired option.
(Its status is shown at the
bottom of the screen.)
Move pointer off the menu to
remove it from view.
Timer The sleep timer allows you to program the TV to automatically turn itself off after a period from 15
minutes up to 4 hours. To activate this feature and change the interval, press the trackball while pointing
at Timer.
Captions By pressing on this option, you can select Caption 1, Caption 2, Caption 3, Caption 4 or OFF.
Z-Trak This determines how fast the pointer moves as you roll the trackball. By pressing on this option, you can
set this response speed to Slow, Medium, or Fast, according to your preference.
PIP ON This turns the PIP (Picture-In-Picture) on or off, When you first turn the PIP on, the options menu
(or OFF) disappears and the pointer moves into the PIP. You can then move the PIP around the screen, using the
trackball. Pressing the trackball then locks the PIP in place and removes the pointer.
Freeze Pressing on this option "freezes" the action of the picture in the PIP inset. See PIP Operation section for
details.
Move PIP This option only appears when the PIP is on. Pressing on it causes the options list to disappear, and the
pointer appears in the PIP. You can then move the PIP around the screen with the trackball. Pressing again
locks the PIP in its new location and returns the TV to normal viewing.
Swap This option only appears when the PIP is on and the PIP source is different from the main source. This
option "swaps" the main picture with the picture in the PIP inset.
2918-00-0 13 -- 1

SOURCE MENU
Video 3 and S-Video 2 are
source options for some
TV models only.
MENU OPERATION
Main Source 1[ PiP Source
StarSight t ............
Ant/Cable 2 StarSight :
Video 1 ! Video 1 p
Video 2 Video 2
,_-Vid_,n 1 / _-Vid__n "1 I
_Video 3 Video 3 _ I
k,S-Video 2 I S-Video 2,/ /
!
Move the pointer to the top left of
the screen and point to the
SOURCE icon. Press the trackball.
Point to the desired Main or PIP
source. Press the trackball. Or,
press repeatedly on Main Source
or PIP Source to toggle through
your source options
A PIP inset appears while the
Source icon is selected to show
the effect of choosing a PIP
source.
If the PIP Source is changed,
the PIP inset will remain on the
screen after you exit from menu
operations.
Point to "EXIT' and press the
trackball to remove the menu
from view.
SOURCE SELECTION
ANT/CABLE Ior 2 Routes the antenna or cable-TV source to the TV for viewing. You see program material from
whichever signal source is connected to the ANT/CABLE 1 or 2 jack. (If the signal is from a VCR or a
cable box, tune the TV to either channel 3 or 4.)
VIDEO 1, 2 or 3 Routes the audio and video from an A/V source (such as a VCR or a video disc player) to the TV for
viewing. The source must be connected to the corresponding VIDEO 1, 2 or 3 IN jacks.
S-VIDEO Ior 2 Routes the audio and video from an auxiliary Super-VHS video source (such as a VCR or a video disc
player) to the TV for viewing. The source must be connected to the corresponding S-VIDEO 1 or 2 IN
jacks.
Refer to the "Standard Connections for Your TV" section to make the proper equipment connections to the TV. For infi)m]ation about PIP sources, refer to the
"PIP Operation" section.
SOURCE IDENTIFICATION
Blue White
_VIDEO $IN S_
AUDIO INPUT VIDEO INPUT
Auxiliary A/V Jacks (Some TV Models)
NOTE:
•The color of the Channel/Time display corresponds to the color
rings around the connectors of the jack panels. For example, the
Channel/Time display will be Red if you are watching a program
on Ant/Cable 1 source.
Magenta
LOOP OUT L :SURROUND OPI(RO
Green
Connection Center on Back of TV
Lt. Blue
I
2918-01-0 14 _ 1

•SETUP MENU
Ch. Add/Del
Ch. Labels
Source ID
Clock Set
Timer Setup
Parental Ctl
Caption/Text
Background
StarSight
Press To Program I
ClockSet I
Timer Setup I
Parental Ctl
Caption/Text
Background I
IPress To Label Sources [
While Video or Super-Video Source is Chosen
MENU OPERATION
Move the pointer to the top left
of the screen and point to the
SETUP icon. Press the trackbali.
Press on the option again to
:_ access it.
Point and the desired \\4:_
press on
option to highlight it.
Point and press on EXIT or
move the pointer off the menu
and press the trackball to
remove the menu from view.
Auto Program Finds all active channels and stores them in the TV's memory for use by CHANNEL up/down. Follow
the on-screen directions. Auto Program runs on the currently selected Ant/Cable source.
Ch. (Channel) Edits the channels found by Auto Program to create your own personal list of favorite channels. See the
Add/Dd information following this chart for more details.
Ch. (Channel) Assigns a network/station label, name or call letters to specified channels. For example, if you choose
Labels the label "ABC" for channel 9, then "ABC" will appear in the Channel/Time display whenever channel
9 is selected. See the information following this chart for more details.
Source ID Assigns adescriptive "name" to the input sources. For example, the Video 1source may be named
VCR. "VCR" will now appear in the Source Menu as a reminder that your VCR is connected to the
Video 1 input jacks.
Clock Set Sets the clock in the TV to the correct time. Point and press on the option to highlight it. In the status
bar at the bottom, point and press on either the hours or minutes to adjust them. Point and press on AM
or PM to toggle them. Move pointer away from menu to remove it from view.
Timer Setup Sets the TV's SLEEP TIMER and ON/OFF TIMER features. See the information following this chart
for more details.
Parental eft. Use this feature to block viewing of any undesirable channels or an entire input video source. See the
(Control) information following this chart for more details.
Caption/Text Displays closed captioning or informational text when available on the selected channel. Options are:
OFF, CAPTION 1, CAPTION 2, CAPTION 3, CAPTION 4, TEXT 1, TEXT 2, TEXT 3, or
TEXT 4. See the information following this chart for more details.
Background Adds or removes a solid-color background behind the on-screen menus. Highlight and press on the
option, and then press to toggle the background on and off.
StarSight Begins the StarSight setup procedure. Refer to the StarSight section of this guide for details.
(Ant/Cable 1 Source
selection only)
continued on next page
2918-01-o 15 mI

SETUP MENU
USING CHANNEL ADD/DEL
• Select Ch. Add/Del. • Select Ch. Add/Delete.
•Point to the desired channel. * Point to the desired channel.
•Press trackball until channel •Press trackball until channel
status shows Added. status shows Deleted.
Press on EXIT to tune to the channel pointed to by the highlight.
NOTE:
•Ch. Add/Del can only be used with ANT/CABLE 1or 2 Source
selection.
•The Audio of deleted channels is muted.
Selector Highlight
I1 2 4 s s I
7 8 _10 11 12
13 14 15 16 17 18
19 20 21 22 23 24
25 26 27 28 29 30
31 32 33 34 35 36 II Added "F-"
/
37 38 39 40 41 42
49 50 51 52 53 54
55 56 57 58 59 60
81 62 63 64 65 66
67 68 69 70 71 72
73 74 7s r6 I
IMore Chanma$ _
Available channels are:
Available Channels
Live view of
"-- selected channel.
----"Channel
Status
Press here to
laccess additional
numbers if present.
Broadcast Band -- VHF 2 to 13, UHF 14 to 83
Cable-TV Band -- 1 to 139
USING CHANNEL LABELS
•Select Ch. Labels.
•Select a channel by pointing
and pressing Ch 1"or ,I,.
•Point and press on the desired
label.
• Press on EXIT to return to
normal viewing.
NOTE:
•Select Ch. Labels.
•Select a channel by pointing
and pressing Ch 1"or $.
• Point and press on the four
dashes or NONE.
•Press on EXIT to return to
normal viewing.
• Ch. Labels can only be used with ANT/CABLE 1or 2 Source
selection.
• Selecting the four dashes (.... )specifies no channel label. Or,
selecting NONE blocks the stationor network labels that are
transmitted by some television stations.
Selector Highlight
\
--- NONE A&E
ADC AMC BCC BET
CA CBC CBN CBS
CNBC CNN COM CSPN
CTN C11f DIS DISC
ENC ESPN ESPN2 ET
FAM FNN FOX F&V
GALA HBO HN HSE
IC INSP JCN LIFE
MF.JU MMT MW NBC
NOS PBS PLAY PTL
RDS REO SC SCFI
Available Labels
/I
ACTS
BRAY
CMTV
CSP2
El
EWTN
FX IABC
HSN
NICK
OVC
SHOW Ch
Ch9 /
SIN TBS TBN .TELE TLC I I
_,.
-Live view of
selected channel.
-"Current Channel
-Selected Label
-Channel Selector
-Point and press on
this box for more
labels.
USING SOURCE lid
• Select Source ID.
• Point to the desired "Source/Label" line and press to highlight it.
• Press repeatedy to scroll through the available labels.
•Press on EXIT to return to normal viewing.
VIDEO GAMES AND OTHER FIXED
PATrERN DISPLAY CAUTION
If you use your 'IV for video games or other fixed displays, avoid set-
ting the BRIGHTNESS control for an excessively bright picture. A
bright, fixed pattern, if used for long periods of time, can result in a
permanent imprint on the TV picture tube. You can reduce this possi-
bility by alternating the use of the fixed pattern display with normal
TV picture viewing, by turning down the CONTRAST control for
sustained fixed pattern use, and by turning off the fixed pattern dis-
play when not in use.
Live view of
selected Source.
\
1
Source
Ant/Cable 1
Ant/Cable 2
Video 1
Video 2
S-Video 1
Label
StarSight
Antenna
VCR
VCR 2
Video Game
Optional names for
ANT/CABLE 1 or 2
Sources are:
--, Disabled, An-
tenna, Cable, Cable
Box; Satellite, VCR,
StarSight (Ant/Cable
I only).
Optional names for
VIDEO Sources are:
--, Disabled, VCR,
Camcorder, Video
Game, Laser Disc,
Audio Only, VCR2,
Satellite. (Some
models only.)
NOTE:
• Disabling a Source prevents it from appearing in the Source Menu.
2918-01-0 15 -- 2

I I
SETUP MENU
TIMER SETUP: Sleep Timer
The Sleep Timer programs the TV to automatically turn itself off after a period from 15 minutes up to 4 hours.
...... From Setup Menu
•Make sure the TV's clock is
set.
•Select Timer Setup to view
the Timer Menu.
•Press on Sleep Timer repeat-
edly to set the period of time
the TV will remain on.
Direct Access
• Move pointer to left of screen
to view the TV Option Menu.
*Point and press on Timer
repeatedly to set the pedod of
time the "IV will remain on.
•Move pointer away from
menu to remove it from view.
•One minute before the TV turnsoff, the GOOD NIGHT display
appears on the screen. At this time you have a choice of the fol-
lowing two actions.
• Do nothing. The GOOD NIGHT display remains on the screen.
The TV will turn off in one minute.
• Delay the turn-off by resetting the timer with a new time period.
NOTE:
• To cancel the Sleep Timer, turn off the TV or return to the Timer
feature and set it to OFF.
*As the Good Night display counts down the final 60 seconds, the
audio and video of hte TV also "dim" for a soft, discreet turn-off.
[Timer Menu ]
Ileep Timer _l
On Time
Off Time
On/Off Timer
I O:lS 1
Timer Set to Turn TV OFF in 15 Minutes
ISleep Timer !
Good Night 0:58
"Good Night" Display Appears 60 Seconds Before Shut-Off
ON/OFF TIMER
The On/Off Timer programs the TV to automatically turn itself on at a specific time, then turn itself off at
another time.
Set On/Off Timer
•Make sure clock is set to Timer Setup.
• Select On Time. In the Status bar atthe bottom, point and press
on the hoiws and minutes to adjust them to the time you want the
TV to turn itself ON. Point and press on AM (or PM) to toggle
them.
•Select On Time. In the Status bar at the bottom, point and press
on the hours and minutes to adjust them to the time you want the
TV to turn itself OFF. Point and press on AM (or PM) to toggle
them. Or, press on the arrows to move the time forward or
backward.
• Select ON/OFF Timer and press on it to turn thetimerON (or
OFF).
NOTE:
•A time must be set for either On Time or Off Time in order to turn
the timer ON.
ITimer Menu I
Sleep Timer ] Point and press on
O!1 Tiff'tO _ these to adjust
On/Off Timer /
On/Off Timer Set to Turn TV ON at 11:00 am
2918-01-O 15 -- 3

SETUP MENU
USING PARENTAL CONTROL (PC)
[ Enter Parental Access Code: ]
<0><1><2><3><4><5><6><7><8><9> ]
_ Point and press
IParental Control Menu ] onthesedigitsto
enter code.
Bi_HoUrs : _ ,_
.......... Pefioa ot time
Block Source ....1 _.
Block Channels _ wdl heacuve.
I_ _ Blocks entire source.
Blocks individual
[< OFF I_1 channels for Ant/
Cable 1or 2 sources.
1 2 3 4 5 6
[] 10 11 12
78
13 14 15 16 17 18
19 20 21 22 23 24
25 26 27 28 29 30
31 32 33 34 35 36
37 38 39 40 41 42
43 44 45 46 47 48
49 50 51 52 53 54
55 56 57 58 59 60
61 62 63 64 65 66
67 68 69 70 71 72
73 74 75 76 77 78
I More Channels I
Live view of
selected channel.
Channel
Status
•Select Parental Ctl.
•Select Block Hours and press on the arrow
to set the length of time PC will be active:
OFF, 12, 24, 48, or72 hours.
•Set Block Source. Move the pointer to
the status bar at the bottom and press on
"unblocked" to change it to "blocked."
• To block other sources, move the pointer to
the left side of the status bar and press to se-
lect another source. Move the pointer back
to the fight side and press to show
"blocked."
•Point and press on Exit and enter any
4-number access code by pressing on the
individual numbers. You will be asked to
verify the code by entering it again.
• Select Parental Ctl.
• Select Block Hours and press on the arrow
to set the length of time PC will be active:
OFF, 12, 24, 48, or 72 hours.
• DO NOTHING WITH BLOCK SOURCE.
•Select Block Channels.
For each channel to be blocked, move the
pointer to the number and press the trackball
twice.
Point and press on Exit twice and enter a
4-number access code by pressing on the
individual numbers.
• Select Parental Ctl.
• Enter your access code when prompted to
do so.
•Make your changes (block more channels,
reset the time period, etc.)
Point and press on Exit.
You will be prompted to "change code if
desired." Either enter a new 4-number code
or do nothing to retain the current code.
REMEMBER YOUR ACCESS CODE! TO RE-ACCESS PARENTAL CONTROL WHILE IT IS ACTIVATED, YOU MUST
ENTER THIS NUMBER. Otherwise, simply allow the specified period of time to elapse.
NOTE:
•Do not unplug the TV in an attempt to deactivate the Parental Control. This only resets Parental Control.
USING CAPTIONS
• Highlight and press Option/Text. [
•Press the trackball repeatedly to toggle through the nine choices:
Off, Caption 1, Caption 2, Caption 3, Caption 4, Text l, Text 2,
Text 3, or Text 4.
NOTE:
•At present, very few TV programs or video tapes offer text caption-
ing for any option other than CAPTION 1. Therefore, CAPTION
1 is the only recommended choice, unless you know that a specific
program is providing captioning using one of the other selections.
_tello!Are'y_u" specialn
I tenetat7:00PMon I I
outthere? JIkchannel 2. J,J_
Typical Captions Display
Captions may be shown
anywhere on the screen.
Typical Text Display
Fixed size text window
fills lower half of
screen.
2918-ot-o 15 -- 4

AUDIO MENU
Treble
,,4:="1Balance
Audio
I,"/ ISEQ
FlUnlrl JI Surround
[Null
[4 o
MENU OPERATION
Move the pointer to the top left of
the screen and point to the
AUDIO icon. Press the trackball.
Press on the option or on the
slider bar to adjust the option.
Point and press on the desired
option to highlight it.
Move the pointer off the menu
and press the trackball to remove
the menu from view.
Bass
Treble
Balance
Audio
(SAP is not an option
for the video sources.
Audio signals received
from a video source are
assumed to be monaural
or stereo. )
Adjusts the BASS (low-frequency) level. Point and press on the arrows or slider bar.
Adjusts the TREBLE (high-frequency) level. Point and press on the arrows or slider bar.
Adjusts the balance of sound between the two speakers. Point and press on the arrows or slider bar.
Allows you to select STEREO, MONO or 2ND AUDIO/SAP operation. After highlighting the option,
press to toggle through the choices:
STEREO: Directs the sound to the Left and Right speakers as supplied by the program. Stereo is
the recommended choice: The TV switches automatically between the STEREO and
MONO modes depending on the type of signal being received.
MONO: Directs the same sound to both Left and Right speakers, even if the program being
received is in stereo.
2ND AUDIO/
SAP: Directs the sound for the Second Audio Program (second language) to both the Left
and Right speakers. SAP sound is always monaural. If SAP is selected, you hear the
SAP (usually a second language). When the SAP broadcast ends, the TV switches
automatically (defaults) to the type of signal being received, STEREO or MONO. The
TV switches back to 2ND AUDIO/SAP when the SAP broadcast resumes.
SEQ Produces a spacious and more tonal sound. SEQ is only available while a stereo signal is being received
(Spatial Equalization) and processed by the TV.
Surround Adjusts the level of Surround Sound provided to the optional surround sound speakers. Surround Sound
is only available if a surround encoded stereo signal is being received and STEREO is either selected
using the AUDIO option or selected by default.
Null Used to Minimize front channel sound from coming through the surround speakers. To adjust the Null,
(Some Models Only) while watching a Dolby Surround-encoded video tape, select Null and use the Left/Right keys to remove
any dialogue that may be heard from the surround speakers.
NOTE:
• All adjustments on the AUDIO MENU are optional. You do not
have to adjust these features in order to use yourTV.
2918.1o 16 _1

VIDEO MENU
|
UIDED
Brightness
Color
Tint
Sharpness
ColorTemp
Video Filter
AutoFlesh
PicturePref
• 0
MENU OPERATION
Move the pointer to the top left of the
screen and point to the VIDEO icon.
Press the trackball.
Press on the option or on the
slider bar to adjust the option.
Point and press on the desired option \\4_
to highlight it.
Move the pointer off the menu
and press the trackball to remove
the menu from view.
Contrast Adjusts the overall contrast and color level of the picture. '
Brightness Adjusts the brightness level of black areas in the picture.
Color Adjusts the intensity of the colors in the picture.
Tint Adjusts the color of the flesh tones to more Green or more Red.
Sharpness Adjusts the clarity of the edges around objects for the clearest picture quality.
Color Temp Changes the "color temperature" or picture white balance between cooler natural whites and warmer
(Temperature) (red) colors.
Video Filter Reduces video "noise" or interference in dark picture areas resulting in clearer overall pictures.
Auto Flesh Automatically maintains natural skin tones under changing scene and video source conditions.
Picture Pref. Lets you decide if you want to use your own CUSTOM video settings, the factory PRESET video
(Preference) settings or the factory preset THEATER video settings. The THEATER settings are preset to provide
optimum visual performance in low light "theater-like" conditions
NOTES:
All adjustments on the Video Menu are optional. It is
not necessary to adjust these features in order to operate
the TV.
Any adjustments made to the Video Menu settings while
Picture Pref. is in PRESET or THEATER mode will auto-
matically store the current settings as the CUSTOM setting.
2918-01-O 17 -- 1

PIP MENU
PiP
Ch. Review
PIP Color
PIP Tint
PIP Size
Press To View ]
Selecting the PIP Menu does not
"activate" PIP. However, a PIP
inset will appear during menu
operation to show the effect of any
setting changes.
MENU OPERA TION
Move the pointer to the top left
of the screen and point to the _D
PIP icon. Press the trackball.
Press on the option or on the
slider bar to adjust the option.
Point and press the desired op-
tion to highlight it.
Move the pointer off the menu
and press the trackball to remove
the menu from view.
Ch. Guide Provides avisual review of all channels in the channel scan memory for the currently selected
ANT/CABLE source. Press on a PIP inset to tune to the channel shown in the inset.
Ch. Review Provides a visual review of the last three 0) channels tuned on the TV. Press on a PIP inset to tune to
the channel shown in the inset.
PIP Color Adjusts the intensity of the colors in the PIP inset. Point and press on the arrows or slider bar.
PIP Tint Adjusts the color of the flesh tones in the PIP inset to more Green or more Red. Point and press on the
arrows or slider bar.
PIP Size Adjusts the size of the PIP inset. Choose between small or large.
CH 2 CH 6
CH 3
CH 5
CH 7
CH 9
Ch. Guide Screen
Shows 3-second live displays of all channels
saved in the channel scan sequence.
CH 2
CH 3
CH 5
Ch. Review Screen
Shows 3-second live displays of the
last 3 channels viewed on the _.
2918-01.o 18- 1

MAINTENANCE AND TROUBLESHOOTING
CARING FOR YOUR TV
Your TV will look better, have alonger life and perform better
if you care for it properly.
First check to see that the TV is off. For added
A afety, unplug the TV from the power outlet.
NOTE: If you unplug your TV, you will have to
reset the clock to the current time.
Cabinet Care
Non-Wood Cabinet or Cabinet Components Moisten asoft
cloth with a mild soap solution or Ivory dishwashing deter-
gent. Wipe the surface with a damp cloth. Then rinse the cloth
in clean water and wipe the surface again. Allow the TV to air-
dry before turning it on.
Wood Cabinets or Cabinet Components Use any good fur-
niture cleaner and polish. Regular care will help preserve the
finish.
Picture Glass Cleaning
The picture tube face attracts dust particles and should be
cleaned regularly. To clean the face, spray a small amount of
glass cleaner on a cleaning cloth and wipe the picture tube
glass face until clean. Repeat if necessary.
To delay new dust accumulation, wet a soft cloth in lukewarm
water in which a little fabric softener or Ivory dishwashing de-
tergent has been mixed. Wring the cloth almost dry. Wipe the
glass face. Make sure no drops of moisture are squeezed onto
the glass. Do not wipe the glass dry. Allow the glass to air-dry
before you turn the TV on again.
EXTENDED ABSENCE
Before an extended absence (such as a vacation) you may
want to unplug the power cord from the electrical wall outlet.
This will protect the TV from possible damage from lightning
or power line surges. If you have an outdoor antenna, you may
also want to disconnect the antenna lead-in wires on the back
of the TV.
NOTE: If you unplug your TV, you will have to reset the
clock to the current time.
TV PICTURE INTERFERENCE
Your TV picture may be affected by interference caused by
one or a number of factors. These include:
Speckled or Streaked Picture Can be caused by nearby auto-
mobile ignition, electrical appliances, etc. This is most notice-
able in weak signal areas.
Snow in Picture Caused by insufficient signal. Usually
caused by the TV being located too far from the TV station or
by an improper antenna installation.
Ghosts or Reflections Caused by signals being reflected
from surrounding buildings, water tanks, or other high struc-
lures.
Radio Signal Police, amateur or CB radio transmitters may
cause interference.
These interference problems can often be corrected through
the use of a better antenna, signal amplifiers, or various filter
devices. See your TV dealer for additional information, and
available TV accessories.
rVC_*,DI_ 19 -- 1

MAINTENANCE AND TROUBLESHOOTING
BEFORE CALLING FOR SERVICE
Check these items and see if you can correct the trouble by changing the adjustment of a con_ol or the setting of a switch. By making
these simple checks before calling for service, you may save time and money.
Problem
Picture OK. Poor sound.
Try This
Iu i I
Re-orient antenna. Try another channel _possible station trouble.
AdjustAUDIO MENU options. Check for local interference. Is
antenna/cable connection loose?
Sound OK. Poor picture. Re-orient antenna. Try another channel -- possible station trouble.
Adjust VIDEO MENU options. Trouble with cable-TV system? Is
antenna/cable connection loose7
No picture or sound. Is TV on? Is there power in wall outlet? Is "IV plugged in? Is antenna
hooked up? Is cable hooked up7 Trouble with cable-TV system7
Check auxiliary audio/video equipment. Check channel selection. Is
the channel blocked by PARENTAL CONTROL?
Picture blurred or distorted. Ghost in picture. Check antenna or cable hook up for broken wires. Try another
channel -- possible station trouble. Check for local interference.
No color, or poor color. Is it a color program? Check antenna or cable hook up for broken
wires. Adjust VIDEO MENU options.
No sound. VOLUME (VOL) setting may be too low. Check MUTE button
operation on remote control. Is Speaker EXT/INT switch set to EXT?.
Cannot select certain channels. Channels may be skipped in CH. ADD/DEL option of SETUP
MENU. Use AUTO PROGRAM a second time.
No closed captions Are captions available? Is CAPTION 1, CAPTION 2, CAPTION 3,
OR CAFFION 4 selected using the CAFFIONS option on the SETUP
MENU?
Black or blue box covers half of screen. Is text information available? Is TEXT 1, TEXT 2, TEXT 3or TEXT
4 selected in the CAPTIONS option of the SETUP MESqU.
No picture or sound when VIDEO 1 or Is audio/video source hooked up properly? Axe all wires connected to
VIDEO 2 source is selected. VIDEO 1 IN or VIDEO 2 IN jacks on connection center?
No stereo sound or weak stereo sound Check AUDIO mode. Was stereo sound present before selecting
when using a stereo VCR. VIDEO 1 or VIDEO 2 source?
PIP inset frame is black or lacks contrast when Adjust PIP COLOR AND CONTRAST settings in PIP MENU. Are
selecting VIDEO Ifor PIP inset, all wires connected to VIDEO 1IN jacks on connection center?
PIP inset fra_ne is "snowy" when using ANT/ Is TV/VCR switch on the VCR in the TV position?
(".ABLE 1or 2 for PIP and VIDEO 1 for main picture.
No picture when using VIDEO 1for PIP inset source Is TV/VCR switch on the VCR in the TV position?
and ANT/CABLE 1 or 2 for main picture.
Remote control does not work. Are batteries okay?,Is TV turned ON? Is remote in TV mode?
I I
Always request that your technician use only genuine Zenith
exact replacement parts for continued Quality and Safety per-
formance. Keep your Zenith ALL Zenith.
NOTES:
If your TV fails to respond to the PICTURE PREF. selec-
tion, or to any other menu selection, you must reset the
TV. Simply disconnect the AC power cord from the
power outlet. Wait a few minutes, then plug the TV back
into the power outlet. You will have to reset the clock to
the current time.
•Unplugging the TV does not deactivate the Parental
Control.
:_ls.lo 19 _2

REPLACEMENT PRODUCT REGISTRATION CARD
You could win a full refund on your new Zenith product.
Look for the Product Registration Card on your new video
product.
Each month a drawing is held by Zenith from the completed
Product Registration Cards received during the preceding
:month. Zenith will reimburse the winner for the full purchase
price of the product purchased.
In order to participate, simply complete and return the Product
Registration Card at once, even if you choose not to complete
the information and interests portion of the questionnaire.
The odds of winning the free drawing described above, de-
pend on the number of participants. Free drawing offer is
void in Canada and other places where restricted or prohib-
ited by law. Offer is void for Hotel/Motel and Institutional
models. Rental models are not eligible.
Product Card lost or misplaced?
The Product Registration Card furnished with your video prod-
uct is pre-printed with its Model and Serial numbers. Please
fill out the card and mail it at your earliest convenience. It is
imperative that Zenith know how to reach you promptly if we
discover a safety problem that would affect you. If the original
card has been lost or misplaced, you may use the replacement
card provided below. Either card will qualify you for the free
drawing, but you are limited to only one entry in the drawing.
Complete the card, place it in an envelope and mail it to:
Zenith Electronics Corporation
P. O. Box 173257
Denver, CO 80217-3257
Use the replacement Product Registration Cardonly if the
original card has been misplaced or lost.
PHOTOCOPY AND CUT ALONG DASHED LINE
i
l
|
|
l
|
|
|
|
|
|
|
|
i
i
Zenith Product Registration Card
Please Print Clearly or Type (_) Area Code Telephone
1.E]Mr. 2.[_Mrs. 3. F]Ms. 4.[_Uiss IIIIIII I-Ill
Initial Last Name
l llllllllllllllll
First Name
III
Street
III
City
III
State
III
Ill
H5Z01-01
II
IIIIl-Illll
IIII
Apt. No.
IIIIIIIIIllllllllllllll
IIIIIIIIIIII ®DateofPurchase
Zip Code Mo. Day Yr.
I!1111111
I
I
MODEL
.U,B-II I IIIIIIII
Copy Numbers Here
From Label on Set
SERIAL
.°,..111111111111
Please record the model number
and serial number from the sticker
on the back of your set.
TVC_3

BROKENORLOSTREMOTECONTROL?
Foran ExactReplacementRemoteControl
for your newZenithTelevision,seeyour local
ZenithDealeror orderdirect bycalling
1-800-255-6790. Toassurethecorrect
remotefor your newZenith,please
haveyour television'smodelnumber
ready! ONLY$39.95
OTHERFINEACCESSORIESFORYOURVCR.
WirelessSpeakerSystem:
• WirelessspeakersreceivesoundfromIV,
VCR,orStereothroughwalls, floors,or
outside.
•Createsaninstant homeentertainmentcenter!
•Speakersareeasyto move--"nocordclutter.'
An attractiveaddition to any room.
•Works up to 150feet! Indoors andoutdoors.
WirelessHeadphoneSystem:
•WirelessHeadphonesreceivesound from TV,
VCRor Stereothrough walls, floors or outside.
•Allows freedomof activity while relaxingor
working aroundyour home.
•Listento your stereowhile otherswatchTV in
the sameroom.
•Works up to 150feet! Indoorsand outdoors.
wirelessInfrared HeadphoneSystem:
• Enjoyyour favorite TV showin privacy
without disturbing othersin the sameroom.
• Completelycordless,simpleto use.
• Rich,full sound--virtuallyinterferencefree.
• Greatfor the hearing-impaired.
•Works with anyTV,VCR,or audiodevice.
HNImO
WIRELESS
SPEAKERSYSTEM
ONLY$249.95
z_
WIRELESS
HEADPHONESYSTEM
ONLY$119.95
JU.62052
WIRELESS
STEREOHEADPHONES
ONLY$69.95
PHOTOCOPYPAGEAND DETACHHERE
•.... .......... ................ ..... ...... ................. °..........................................
To order these fine accessories,
pleasefill out this card and
return a photocopy to:
Attn: AccessoryOffers
ZenithVideoTechCorporation
1000MilwaukeeAvenue
Glenvie_ Illinois60025-2493
or call1-800-255-6790
[] Check or money order
{MadepayabletoZenithVideoTechCorp.)
ITEM NUMBER DESCRIPTION
SalesTax: Pleaseadd your statesalestax if you
livein oneof thefollowing states.
CA73/4%,GA 4%,IL 83/4%,KS4.9%,KY6%,ME8%,
PA8°/o,RI 7%,TX 7 3/4%,VA41/2°/o,WA8.2°/0.
[] Visa [] Mastercard
Account#
L_lll IIIlllllllll
ExpirationDate: Signature:
SHIPTO:
TOTAL
PRICEPERITEM PRICE
SUBTOTAL
STATESALESTAX
SHIPPING& HANDLING $4.50
TOTALAMOUNTOFORDER
Telephone: ()
Name:
IMPORTANT:PLEASEBESURETOCOMPLETETHEINFORMATIONBELOW.
"IVModelNumber
(fromstickeronbackofunit)
//
TVSerialNumber Mo. Day Yr.
(fromstickeronbackofunit) (Approx.dateofpurchase.)
PLEASEALLOWUPTO3WEEKSFORDELIVERY.THANKYOU!
VCRACCS3
6/1/95
Address:
Apt.#
State
City
ZipCode
NOTE:OrderscanonlybesenttocustomerswithintheUnitedStates.

YOUR ZENITH WARRANTY
Consumer Protection Plan for Zenith TV
Welcome into the Zenith family! We believe that you will be
pleased with your new Zenith Color "IV. Please read this
Consumer Protection Plan carefully. It is a "LIMITED
WARRANTY" as defined under Federal Law. This warranty
gives you specific legal rights, and you may also have other
rights that vary from state to state within the U.S.A.
Zenith's Responsibility
Service Labor -- During a period of 90 days from effective
warranty date, Zenith will pay for service labor by a Zenith
authorized service center when needed as a result of
manufacturing defects.
Parts _ New or remanufactured replacements for
factory-defective parts will be supplied by a Zenith authorized
service center for one year from effective warranty date (color
picture tube w two years). Such replacement parts are warranted
for the remaining portionof the original warranty period.
Home Service --Warranty service for 19" diagonal (U.S.A.)
or larger screen size models is provided in the home in most
cases. (Some repairs may require the unit to be taken by the
servicer to the repair facility and returned, at no additional
charge.)
Not Covered -- This warranty covers manufacturing defects
and does not cover installation, adjustment of customer
controls in the home, installation or repair of home antenna
systems, cable converters or cable company-supplied
equipment; it also does not cover damage due to misuse,
abuse, negligence, acts of God or other causes beyond the
control of Zenith. Any alteration of the product after
manufacture voids this warranty in its entirety.
Owner's Responsibility
Effective Warranty Date _ Warranty begins on the date of
original consumer installation. For your convenience, keep the
dealers dated bill of sale or delivery ticket as evidence of the
purchase date.
Operating Guide w Read your Operating Guide carefully so
that you will understand the operation of your set and how to
adjust the customer controls.
Carry-In Service _ Models under 19" diagonal (U.S.A.)
screen size must be taken to a Zenith authorized service center
for warranty service and must be picked up by the owner.
Antemm -- Reception problems caused by inadequate home
antennas or faulty antenna connections are the owner's
responsibility.
Important: Product Registration _ Please flU out and mail
your Product Registration Card. It is imperative that Zenith
know how to reach you promptly if we should discover a
safety problem that could affect you.
Warranty Service -- For warranty service information,
contact any Zenith authorized service center. Parts and service
labor that are Zenith's responsibility (see above) will be
provided without charge. Other service is at the owner's
expense. If you have any problem in obtaining satisfactory
warranty service, call or write:
Zenith Electronics Corporation
Customer Service Department
1000 Milwaukee Avenue
Glenview, IL 60025
Telephone: (708) 391-8752
Mon-Fri, 8:00 a.m. - 4:30 p.m. Central Time
NOTE: Before you ask for Warranty service, check the
Operating Guide section entitled, "MAINTENANCE
AND TROUBLESHOOTING." It may be possible to
avoid a service call.
TVWIlDIR2


_f
SIGHT _
_STAR StarSightTelecast,Inc.
39650 Liberty Street
s I GHT_ Fremont, CA 94538
Part No. 206-2918-01
Printed in U.S.A.
EP-EDCBA
WATCH US.

TO BE LICENSED TO USE THE STARSIGHT ® SYSTEM AND STARSIGHT
FEATURES OF THIS EQUIPMENT, YOU MUST BE REGISTERED WITH
STARSIGHT OR AN AUTHORIZED REPRESENTATIVE. LICENSED UNDER
U.S. PATENT NUMBERS 4,706,121 AND 5,151,789. USE RIGHTS RESERVED.
STARSIGHT IS NOT IN ANY WAY LIABLE FOR THE ACCURACY OF THE
PROGRAM SCHEDULE INFORMATION PROVIDED BY THE STARSIGHT
SYSTEM. IN NO EVENT SHALL STARSIGHT BE LIABLE FOR ANY
AMOUNTS REPRESENTING LOSS OF PROFITS, OR INDIRECT, SPECIAL, OR
CONSEQUENTIAL DAMAGES IN CONNECTION WITH THE PROVISION OR
USE OF ANY INFORMATION, EQUIPMENT, OR SERVICE RELATING TO
THE STARSIGHT SYSTEM.
© 1995 StarSight Telecast Inc.
StarSight is a trademark of StarSight Telecast.
StarSight is a subscription service.
This Operating Guide may not be duplicated,
copied or transferred in any way without prior
written permission of StarSight Telecast, Inc.
Patent Statement
The StarSight Guide system and its use arepro-
tected by one or more of the following U.S. pat-
ents: U.S. Patent No. 4,706,121, U.S. Patent No.
5,151,789; use rightsreserved. For licensing and
subscription information, call (800) 643-STAR.
Compliance Statement
This device complies with Part 15 of the FCC
Rules. Operation is subject to the following two
conditions: (1) this device may not cause harm-
ful interference and (2) this device must accept
any interference received, including interference
that may cause undesired operation.
Trademark Statement
StarSight is atrademark of S tarSight Telecast Inc.

INTRODUCTION ....................................... b
Welcome ............................................... b
(L_ble Box and VCR Requirements ........................... b
INSTALLING STARSIGHT ............................ A-1
STEP 1. Fill out the StarSight Checklist ..................... A-l
STEP 2. Hook-Up Equipment ............................. A-2
STEP 3. Activate StarSight ............................... A-6
STEP 4. Checking Your StarSight Setup .................... A-7
PBS Stations .......................................... A-8
(,'able Box Codes ...................................... A-10
VCR Codes .......................................... A- 10
USING STARSIGHT WITH THE UNIVERSAL REMOTE . B-1
Basic Operation ........................................ B-1
Finding out more about what you're watching: the STAR button. B-2
What's on when you change channels: Grazing ............... B-3
What's on without changing channels: Browsing .............. B-4
Finding out what's on all channels: Grid Guide ............... B-5
Viweing what's on a single channel: Channel Guide ........... B-6
Choosing programs by category: Theme Guide ............... B-7
Recording what you're watching: Current Recording .......... B-8
Scheduling a recording from StarSight guides: Future Recording. B-9
Reviewing your schedule of individual recordings:
Recordings List ................................... B-10
Reviewing daily or weekly series recordings:
Series Recordings List .............................. B-I 1
How to watch one channel while recording another:
Watch and record.................... : ............. B-12
Selecting and de-selecting channels ....................... B-13
Changing the channel order.............................. B-14
USING STARSIGHT WITH THE Z-TRAK REMOTE ..... C-1
Quick Reference Guide .................................. C- 1
Getting started with the Z-Trak remote ...................... C-2
Finding out more about what you're watching:
Channel Pop-Ups ................................... C-4
What's on when you change channels: Grazing ............... C-5
What's on without changing channels: Browsing ............. C-5
Finding out what's on all channels: Grid Guide ............. ., C-6
Choosing a program: Tuning from a Guide .................. C-7
Viewing what's on a specific channel: Channel Guide ......... C-8
Choosing programs by category: Theme Guide ............... C-9
Recording what you're watching: Current Recording ......... C-10
Reviewing your schedule of individual recordings:
Recordings List ................................... C- 11
Reviewing daily or weekly series recordings:
Series Recordings List .............................. C-12
How to watch one channel while recording another: Watch and
Record .......................................... C-12
CHANGING YOUR EQUIPMENT SETUP ............... D-I
What you should do when you get a new VCR ............... D- I
What you should do when you change your cable box or
service or when you move ............................ D-2
TROUBLESHOOTING ................................ E-1
Before calling for service ................................ E-1
How to use this operating guide
StarSight installation and operation is given in this portion of the operating guide. Follow the procedures given if you are
going to use StarSight.
Refer to the TV portion of this operating guide for TV installation and operation without StarSight.

Welcome
Welcome to StarSight, an innovative way to locate
programs and manage the many channels that you receive.
With StarSight, you can:
•See an instant description of what's on any channel.
• Select a program from a list that displays your
favorite types of shows by theme (movies, sports,
comedies, etc.).
•Get information about plots, casts, content ratings,
and running times.
• Tune from an on-screen guide right to the program
you selected.
• Program your VCR with the touch of one button.
•Re-arrange the order of your channels to put your
favorites first.
Cable Box and VCR Requirements.
Be sure to read these requirements carefully. They contain
important information you need to ensure thatStarSight
performs properly.
• A VCR is required for recording capability. To take
full advantage of StarSight, your VCR must be
controllable by a wireless infrared remote control.
Otherwise, StarSight can still provide program
information, but will not be able to automatically
tune to or record a specific program on your VCR.
•If your VCR remote control does not have a number
pad with at least 10 digits, StarSight will be unable
to tune the VCR.
• If you have a Cable Box, it must be controllable by a
wireless infrared remote control.
• Your Cable company should be able to provide a
remote-controlled Cable Box, if you do not already
have one.
Your StarSight-equipped television is not designed
to operate with, or control, a satellite dish. For
information on StarSight products specifically
designed for satellite systems, see your local satellite
dealer.
Universal
Remote

StarSightmust be installed properly for you to enjoy all of its benefits. To ensure proper installation, follow the procedure in
IJaissection in the order they are presented.
STEP 1. Fill out the StarSight Checklist.
STARSIGHT CHECKLIST
..... i III IIIIII "" IIIII II .. . IIIIIIIIlill I I I II IIII I I
Comptet_ sections A and B, and keep this checklist close at hand during subscription.
A.'iPBS Station: Consult the table of PBS Stations, located at the end of this section.
•Find the PBS station that is closest to your city. (If you receive two or more stations,
" select the one with the clearest picture.) Write the PBS Station letters and channel
numberbelow.
-.-- _:...::. . ..i . .
..... t'BS StatiOnLetters:
B
:.PBS Station Channel Numbe_. ....
.-l_or cable users only: Check your Cable company's channel line-up or your !ocal
-. newspaper's 'IV listings to see if the PBS station in yourarea has a different channel
number from the one you wrote down above,
Ifso,°write your PBS station's Cable ¢hmmel number here:,__
(You will use this channel number during the Setup process.)
Code Numbers: Consult the table of Cable Box Codes and VCR Codes, located at the
end of this section.
Fred th_ €ode numbers that apply to your brands of Cable Box and VCR and write ,
them below.
CABLIg BOX
Code 1: Code2: Code3:
C
Code 4: ............. Code 5: ............. Code 6: ....
VCR :
. -. :.
Code 1: ...-................. Code 2: Code 3:
Code 5: .:...2..,.i...._...............Code 6: ........... Code 7: .........
Now proce_ to"Step2.Hook-Up Equipment."
Code 4:
Code 8:........
During SU_ption.,,'StarSight will display on-screen your personal STAR number
andLD. !aumber. When these numbexs appear on your TV screen, write them here,
Star#
I,D,#
'i
A-I

STEP 2. Hook-Up Equipment.
There are four possible choices for hooking up your
equipment. Only one of these choices will apply to your
particular equipment setup.
Turn to the appropriate Setup and follow the instructions,
then proceed to "STEP 3. Activate StarSight."
:If you have... Turn to
'IV Only Setup 1
]'V and Cable Box Setup 2
"IV and VCR Setup 3
TV, VCR and Cable Box Setup 4
Setup 1: TV Only
If you receive your television signal by antenna or basic
Cable TV (no Cable Box):
1. Attach the cable coming out of the wall •to the
"ANT/CABLE 1" jack on the back of your TV.
2, Plug your TV into a power outlet not controlled by a
light switch and turn your TV on.
3. Proceed to "Step 3. Activate StarSight."
eom-aoL
CABLE A
TVBACK
A-2

Setup 2: TV and Cable Box
NOTE: DO NOT UNPLUG YOUR CABLE BOX AT
ANYTIME.
le
2.
e
e
Turn off, but do not unplug, your Cable Box.
Attach the cable coming out of the wall O to your
Cable Box's "Input" or "Cable In" jack.
Attach an RF cable Q to your Cable Box's "Output"
or "TV Set" jack, and the other end of this cable to the
"ANT/CABLE 1" jack on the back of your TV.
Take the Remote Emitter -- it's a wire with a plug at
one end and two plastic bulbs at the other ends -- and
push the plug of the Remote Emitter wire into the
"StarSight Control Port" on the back of the TV. Run
the Remote Emitter wire _ under the Cable Box and
place either one of the plastic bulbs about two inches
in front of the front panel of the Cable Box _. Make
sure that the plastic bulb is facing the front panel of
the Cable Box (see diagram below). Do not adhere the
Remote Emitter at this time. After you have
completed subscribing to StarSight, and you have
confirmed the correct code that operates your Cable
Box, you can peel off the backing of the sticker on the
Remote Emitter and adhere it permanently.
STtd_ff r
TO FRONT OF CON_OL
CABLE BOX PORT
5. Turn on your Cable Box.
6. Plug your TV into a power outlet not controlled by a
light switch.
NOTE: DO NOT PLUG YOUR "IV INTO THE
BACK OF YOUR CABLE BOX.
We
So
Tune your Cable Box to the PBS channel listed on
your StarSight Checklist.
Turn on your TV. Using the number pad on your
Universal TV remote control, tune your TV to the
channel that allows you to watch Cable TV, usually
channel 3 or 4. If these channels don't show your
Cable TV service, then try putting your TV on
channel 2, 5, or 6.
9. Proceed to "Step 3. Activate StarSight."
CABLE A
w
TV BACK
IN EMITTER
CABLE BOX
FRONT

Setup 3: TV and VCR 4.
1. Attach the cable coming out of the wall O to the
"VHF In" (FROM ANTENNA) jack of your VCR.
2. Attach an RF cable Oto your VCR's "VHF Out" (TO
TV) jack, and the other end of this cable to the
"ANT/CABLE 1" jack on the back of your TV.
eTake the Remote Emitter -- it's awire with a plug at
one end and two plastic bulbs at the other ends -- and
push the plug of the Remote Emitter wire @ into the
"StarSight Control Port" on the back of the TV. Run
the Remote Emitter wire under the VCR and place
either one of the plastic bulbs about two inches in
front of the front panel of the VCR. Make sure that the
plastic bulb is facing the front panel of the VCR I_.
Do not adhere the Remote Emitter at this time. After
you have completed activating StarSight, and you
have confirmed the correct code that operates your
VCR you can peel off the backing of the sticker on the
Remote Emitter and adhere it permanently.
Locate the section on the back of your TV labeled
"Video 1 In." Attach the three Audio/Video cables to
the "Video," "Audio R" and "Audio L" jacks
and attach the other ends of the cables to the
corresponding "Video Out," "Audio R Out" and
"Audio L Out" jacks on the back of your VCR. This
is necessary if...
• You have a VCR without a front panel channel
indicator that uses an on-screen display.
• You have a stereo VCR and would like to take
advantage of the stereo feature.
• You would like to take advantage of PIP.
5. Plug your VCR into a power outlet and leave it off.
6. Plug your TV into a power outlet not controlled by a
light switch and turn your TV on.
7. Proceed to "Step 3. Activate StarSight."
TO FRONT OF VCR
t.oopoUl-
CABLE
LOOpOm-
"FVBACK
VHF IN VHF VCR FRONT
A-4

Setup 4: TV and VCR and Cable Box
NOTE: DO NOT UNPLUG YOUR CABLE BOX AT
ANY TIME.
l. Turn off your Cable Box.
2. Attach the cable coming out of the wall Oto the
"ANT/CABLE 2" jack on the back of your TV.
e
e
e
o
e
Attach an RF cable Oto your TV's "LOOP OUT TO
DECODER" jack, and the other end of this cable to
your Cable Box's "Input" or "Cable In" jack.
Attach an RF cable _ to your Cable Box's "Output"
or "TV Set" jack, and the other end of this cable to the
"'VHF In" (FROM ANTENNA) jack of your VCR.
Attach an RF cable _ to your VCR's "VHF Out" (TO
TV) jack, and the other end of this Cable to the
"ANT/CABLE 1" jack on the back of your TV.
Take the Remote Emitter -- it's a wire with a plug at
one end and two plastic bulbs at the other ends -- and
push the plug of the Remote Emitter O wire into the
"StarSight Control Port" on the back of the TV. Run
one Remote Emitter wire under the VCR and place
one of the plastic bulbs about two inches in front of
the front panel of the VCR O. Make sure that the
plastic bulb is facing the front panel of the VCR. Do
the same for the Cable Box. Do not adhere the Remote
Emitters at this time. After you have completed
activating StarSight, and you have confirmed the
correct codes that operate your VCR and Cable Box,
you can peel off the backing of the stickers on the
Remote Emitters and adhere them permanently.
Locate the section on the back of your TV labeled
"Video 1 In." Attach the three Audio/Video cables
to the "Video," "Audio R" and "Audio L" jacks
and attach the other ends of the cables to the
corresponding "Video Out," "Audio R Out" and
"Audi 9L Out" jacks on the back of your VCR. This
is necessary if...
•You have a VCR without a front panel channel
indicator that uses an on-screen display.
• You have a stereo VCR and would like to take
advantage of the stereo feature,
•You would like to take advantage of PIP.
8. Plug your VCR into a power outlet and leave it off.
9. Turn on your Cable Box.
10. Plug your TV into a power outlet not controlled by a
light switch.
NOTE: DO NOT PLUG YOUR TV INTO THE
BACK OF YOUR CABLE BOX.
11.
12.
Tune your Cable Box to the PBS channel listed on
your StarSight Checklist.
Turn on your TV. Using the number pad on your
Universal TV remote control, tune your TV to the
channel that allows you to watch Cable TV, usually
channel 3 or 4. If these channels don't show your
Cable TV service, then try putting your TV on
channel 2, 5, or 6.
13. Proceed to Installation "Step 3. Activate StarSight."
TO FRONT OF VCR =_,_
mNm_.
AND CABLE BOX
CABLE A
BOX
VCR
FRONT
A-5

PBS Stations
City Station Channel
Alabama
Anniston WCIQ
Birmingham WBIQ
Dothan WGIQ
Decatur WHIQ
Huntsville WHIQ
Mobile WEIQ
Montgomery WAIQ
Alaska
Anchorage KAKM
Fairbanks KUAC
Arizona
Phoenix KAET
Tucson KUAT
7
10
43
25
25
42
26
7
9
8
6
California.
Eureka KEET 13
Fresno KVPT 18
Los Angeles KCET 28
Monterey KTEH 54
Sacramento KVIE 6
Salinas KTEH 54
San Diego KPBS 15
Santa Barbara KCET 28
San Francisco KQED 9
San Jose KQED 9
Stockton KVIE 6
Redding KIXE 9
Visalia KVPT 18
Colorado
Colorado Springs KTSC
Denver KRMA
Pueblo KTSC
8
6
8
Connecticut
Bridgeport WEDW 49
Hartford WEDH 24
New Haven WEDY 65
Norwich WEDN 53
Delaware
Sea ford WDPB
Wilmington WHYY
Dist. of Columbia
city
Washington, D.C. WETA
Florida
Daytona Beach WMFE
Ft. Lauderdale WPBT
Ft. Myers WSFP
Gainesville WUFT
Jacksonville WJCT
Miami WPBT
Naples WSFP
Orlando WMFE
Panama City WFSG
Pensacola WSRE
Tampa WEDU
St. Petersburg WEDU
Tallahassee WFSU
Thomasville WFSU
West Palm Beach WXEL
64
12
26
24
2
3O
5
7
2
30
24
56
23
3
3
11
11
42
Georgia
Albany
Atlanta
Augusta
Chatsworth
Columbus
Dawson
Macon
Savannah
Waycross
Hawaii
Honolulu
Waikiki
Idaho
Boise
Idaho Falls
Twin Falls
Illinois
Carbondale
Champaign
Chicago
Moline
Peoria
Quincy
Rock Island
Springfield
Indiana
Elkhart
Evansville
Fort Wayne
Lafayette
IndianapoLis
South Bend
Vincennes
Iowa
Ames
Cedar Rapids
Council Bluffs
Davenport
Des Moines
Fort Dodge
Iowa City
Mason City
Red Oak
Sioux City
Waterloo
Kansas
Hutchinson
Lakin
Topeka
Kentucky
Bowling Green
Cape Girardeau
Lexington
Louisville
Paducah
Td-Cities
Station
WABW
WGTV
WCES
WCLP
WJSP
WACS
WDCO
WVAN
WXGA
KHET
KMEB
KAID
KISU
KITT
WSIU
WILL
W'ITW
WQPT
WTVP
WQEC
WQPT
WILL
WNIT
WN1N
WlW_A
WFY!
WFYI
WNIT
WVUT
KDIN
KIIN
KBIN
KQCT
KD1N
KTIN
KIIN
KYIN
KHIN
KSIN
KRIN
KOOD
KSWK
KTWU
WKYU
WSIU
WKLE
WKPC
WSIU
WSBN
A-8
Channel
14
8
20
18
28
25
15
9
8
11
10
4
10
13
8
12
11
24
47
27
24
12
34
9
39
20
20
34
22
!1
12
32
36
11
21
12
24
36
27
32
9
3
11
24
8
46
15
8
47
City Station Channel
Louisiana
Alexandria KLPA 25
Baton Rouge WLPB 27
El Dorado KLTM 13
Lafayette KLPB 27
Lake Charles KLTL 18
Monroe KLTM 13
New Orleans WYES 12
Shreveport KLTS 24
Maine
Bangor WMEB 12
Calais WMED 13
Lewiston WCBB !0
Presque Isle WMEM I0
Maryland
Annapolis WMPT 22
Baltimore WMPB 67
Frederick WFPT 62
Hagerstown WWPB 31
Oakland WGPT 36
Salisbury WCPB 28
Massachusetts
Boston WGBH 2
Springfield WGBY 57
Holyoke WGBY 57
Michigan
Alpena WCML 6
Bad Axe WUCX 35
Bay City WUCM 19
Detroit WTVS 56
Flint WFUM 28
Grand Rapids WGVU 35
Kalamazoo WGVU 35
WGVK 52
Lansing WKAR 23
Marquette WNMU 13
Mount Pleasant WCMU 14
Saginaw WFUM 28
Traverse City WCMW 21
Minnesota
Austin KYIN 24
Duluth WDSE 8
La Crescent WHLA 31
Mason City KYIN 24
Minneapolis-
St. Paul KTCI 17
Superior WDSE 8
Mississippi
Biloxi WMAH 19
Bude WMAU 17
Columbus WMAB 2
Gulfport WMAH 19
Greenville WMAO 23
Greenwood WMAO 23
Jackson WMPN 29
Meridian WMAW 14
Oxford WMAV i8
(Continued on next page)

PBS Stations
City Station Channel City Station
Missouri
Hannibal WQEC 27
Joplin KOZ! 26
Kansas City KCPT 19
Springfield KOZK 2 !
St. Louis KETC 9
Montana
Bozeman KUSM
Butte KUSM 9
9
Nebraska
Bassett KMNE 7
Hastings KUON 12
KHNE 29
Lexington KLNE 3
Lincoln KUON 12
Merriman KRNE 12
Norfolk KXNE 19
North Platte KPNE 9
Omaha KYNE 26
Scottsbluff KTNE 13
Nevada
LasVegas KLVX
Reno KNPB
New Hampshire
Durham WENH
WNET
Keene WEKW
Littleton WLED
New Jersey
N. New Jersey WNET
S. New Jersey WHYY
New Mexico
Albuquerque KNME
Santa Fe KNME
10
5
11
13
52
49
13
12
5
5
New York
Albany-
Schenectady WMHT 17
Binghampton WSKG 46
Buffalo WNED 17
New York WNET 13
Norwood WNPI 18
Piattsburgh ,, WCFE 57
Rochester WXXI 21
Syracuse WCNY 24
Watertown WNPE 16
North Carolina
Asheville WUNF
Charlotte WUNG
Columbia WUND
Greenville WUNK
Greensboro WUNL
Jacksonville WUNM
Linville WUNE
Raleigh-Durham WUNC
Roanoke Rapids WUNP
Wilmington WUNJ
North Dakota
Bismarck KBME
Drakinson KDSE
Eliendale KJRE
Fargo KFME
Grand Forks KGFE
33
58
2
25
26
19
t7
4
36
39
3
9
19
13
2
Channel
Minot KBME 3
KSRE 6
Williston KWSE 4
Ohio
Akron WVIZ 25
WEAU 49
Cleveland WVIZ 25
Cincinnati WCET 48
Columbus WOSU 34
Dayton WPTD 16
Lima WBGU 27
Portsmouth WPBO 42
Steubenviile WOUC 44
Toledo WGTE 30
Youngstown WNEO 45
Oklahoma
Cheyenne KWET 12
Eufanla KOET 3
Oklahoma City KETA 13
Tulsa KOED 11
Oregon
Bend KOAB 3
Eugene KEPB 28
Klamath Falls KFTS 22
Medford KSYS 8
Portland KOPB 10
Pennsyvania
Altoona WPSX 3
Erie WQLN 54
Harrisburg WlTP 33
Johnstown WPSX 3
Lancaster W1TF 33
Philadelphia WHYY 12
Pittsburgh WQED 13
Scranton WVIA 44
Wilkes-Barre WVIA 44
Rhode Island
New Bedford WSBE
Providence WSBE 36
36
South Carolina
Allendale WEBA 14
Beaufort WJWJ 16
Charleston WITV 7
Columbia WRLK 35
Conway WHMC 23
Florence WJPM 33
Greenville WNTV 29
Greenwood WNEH 38
Huntington WPBY 33
Rock Hill WNSC 30
Spartanburg WRET 49
Sumter WRJA 27
South Dakota
Aberdeen KDSD !6
Brookings KESD 8
Eagle Butte KPSD 13
Lowry KQSD 11
Martin KZSD 8
Pierre KTSD 10
Rapid City KBHE 9
Vermillion KUSD 2
WTCI
Tennessee
Chattanooga
A-9
45
City
Jackson
Knoxville
Memphis
Nashville
Texas
Amarillo
Austin
Corpus Christi
Dallas
E1 Paso
Ft. Worth
Harlingen
Houston
Lubbock
Odessa Midland
San Antonio
Temple
Waco
Utah
Salt Lake City
Vermont
Burlington
Virginia
Arlington
Charlottesville
Harrisonburg
Lynchburg
Norfolk
Norton
Petersburg
Portsmouth
Richmond
Roanoke
Washington
Seattle
Spokane
Tacoma
Yakima
West Virginia
Becldey
Bluefield
Charleston
Clarkburg
Huntington
Parkersburg
Weston
Wheeling
Wisconsin
Appleton
Eau Clair
Green Bay
La Crosse
Madison
Menomonie
Milwaukee
Park Falls
Rhinelander
Wassau
Wyoming
C_ye_e
Evanston
Station
WUT
WKOP
WKNO
WDCN
KACV
KLRU
KEDT
KERA
KCOS
KERA
KMBH
KUHT
KTXT
KOCV
KLRN
KNCT
KNCT
KUED
WCFE
WETA
WHTJ
WVPT
WBRA
WHRO
WSBN
WCVE
WHRO
WCVE
WBRA
KCTS
KSPS
KCTS
KYVE
WSWP
WSWP
WPBY
WNPB
WPBY
WOUB
WNPB
WOUC
WPNE
WHLA
WPNE
WHLA
WHA
WHWC
WMVS
WLEF
WHRM
WHRM
KTNE
KUED
Channel
I1
15
10
8
2
18
16
13
13
13
60
8
5
36
9
46
46
57
26
41
51
15
15
47
23
15
23
15
9
7
9
47
9
9
33
24
33
20
24
44
38
31
38
31
21
28
10
36
20
20
13
7

Cable Box Codes
Cable Box Brand
Allegro
GE
Gemini
General Instrument
Hamlin
Jecrold
Kale Vision
Macom
Magnavox
Code
62
67
05,31,38
04,05,06,07,
08,09, 10, 18,60
02,45,65,66
04,07,08,09,
I0,18,60
35
21
34
Cable Box Brand
Northcoast
NSC
Oak
Panasonic
Philips
Pioneer
Regency
Samsung
Scientific Atlanta
Signal
Sprucer
Code
75
35, 39, 68, 69, 70
11,32,42
13, 20
47, 50, 52, 54, 55
15, 43
29
35
16, 23, 36, 64 '
76
13
Cable Box Brand
Standard Components
Texscan
Tocom
Unika
Universal
Video Way
Vid Tech
Viewstar
Zenith
Zenith HT-2000
Code
35
39, 56, 71
17, 18,46
48, 62
58, 62
49
40
54, 55, 72
01
19
VCR Codes
VCR Brand
Admiral
Adventura
Aiwa
Akai
Audio Dynamics
Bell & Howell
Broksonic
Canon
Citizen
Craig
Curtis Mathes
Daewoo
Daytron
DBX
Emerson
Fisher
Ftmai
GeneralElectric
Go Video
Goldstar
Hitachi
Instant Replay
JC Penney
Code
08, 61
31
31
23, 38, 41
02,18
06,47
21, 26, 50, 55
14
09
12
14, 59
46, 48, 54
46
02, 18
03, 21, 23, 26, 33,
35, 43, 50
I1, 12, 13,47
31
14, 16, 20
56, 62, 63
01,09
15, 57
14, 27
14, 15, 18, 27
VCR Brand
Jerrold
JVC
Kenwood
Logik
LXI
Magnavox
Marantz
Marta
Memorex
Mitsubishi
Montgomery Ward
Multi Tech
NEC
Orion
Panasonic
Pentax
Philco
Philips
Pioneer
Portland
Proscan
Quasar
RCA
Realistic
Code
18
02, 25, 58
02
39
09,31
07, 14, 31
07, 18
09
06, 12, 14, 31
04, 22
08, 14, 16, 31, 49
39
02, 18
50
14, 51, 59
15
07, 14
07, 14, 27
10, 15
46
16, 60
14, 59
15, 16, 20, 27, 60
06, 08, 12, 14, 31
VCR Brand
Samsung
Sansui
Sanyo
Scott
Sears
Sharp
Shintom
Signature 2000
Sony Video8
Sony VHS
Sony
Sony Beta
Sylvania
Symphonic
Tashiko
Tatung
Teac
Teknika
Toshiba
Vector Research
Yamaha
Zenith
Zenith VHS
Zenith Beta
Code
20
39
06, 12,47
04, 05, 33, 43
06,09, 11, 12, 15
08, 61
39
08, 14, 16, 31, 49
17
32
32, 37
37
07, 14,27
31
09
02
02, 31
09, 34
05, 15
04,18
02, 18
00
01, 24, 25
37
A-10

Basic Operation
This section of the guide discusses the use of StarSight with the Universal Remote. The following illustration shows the
Universal Remote and its controls.
Press VCR button, then
POWER button to turn
VCR on and off
Return to the previously
tuned channel
DAY U
Move ahead 24 hours from the
semen time currently displayed
in StarSight Program Guides
(hold to repeat)
PAGE LEFT
Display the previous page
in StarSight Program
Guides (bold to repeat)
DAY
Move back 24 hours from the
screen time currently displayed
in StarSight Program Guides
(hold to repeat)
NUMBER PAD
Enter number for direct
channel tuning; enter
number selections in
StarSight Setup
MENU/GUIDE
Display the Grid Guide or
Channel Guide; access "IV
THEM
Display the Theme
Guide's program categones
Displays the Picture-in-the
Guide for some operations
LEFT
Move left one time slot or
column (hold to repeat)
RECORD
Schedule a program for
recording; conftrm or
cancel recordings
DOWN ARROW
Move down one row or
selection; while viewing
TV, display information
for programs on other
channels (hold to repeat)
RIGHT ARROW
Move right one time slot or
column (hold to repeat)
CHANNEL UP
Go to the next channel
PAGE RIGHT
Display the next page in
StarSight Program Guides
(hold to repeat)
DOWN
Go to the previouschannel
ENTER/TUNE
the highlighted
channel; enter selections in
StarSight Setup
UP ARROW
Move up one row or selection;
while viewing TV, display
information for programs on
other channels (hold to repeat)
QUIT/SEQ
Exit the currem screen or
Pop-up, or return to the
currently tuned channel
STAR
Press to use StarSight;
display StarSight Information
Pop-ups; make and confirm
selections
TO DO
Display list of single
recordings, series recordings,
and StarSight Setup Menu
TV/VCR SOURCE
Select different equipment
connected to your TV
(eg. VCR)
R-I

Finding out more about what you're
watching: the STAR button
]. Press the STAR button. You'll see the program title
and time remaining "Pop up" for five seconds.
2. Press STAR again. The Pop-up changes to provide
more detailed information. (It goes away in 30
seconds.) Or...
3. Press STAR again to resume watching TV.
YOU SHOULD ALSO KNOW...
• If at any time you find you cannot activate the StarSight functions,just press the STAR button.
B-2

What's on when you change channels:
Grazing
1. Press CHANNEL/Day Up or Down to change
channels.The Pop-up for the new program
automatically displays and then disappears in five
seconds.
2. Press STAR while the Pop-up is displayed to get even
more information on the program.
ePress STAR again to resume watching TV.
TraveLs
THU 8:00P 1 hour
Robert Forbes Perkins paddles
along the canals and rivers of
EngLand and ScotLand.
Stereo (CC)
8:
I
YOU SHOULD ALSO KNOW...
•If you press STAR twice and then change channels, you will get full program descriptions while you are channel
surfing. (Does not apply to Cable Box Setups.)
B-3

What's on without changing channels:
Browsing
1. Press 1"or ,1,to see what's on other channels. Notice that
you will continue to see your presently tuned program,
but will get a Pop-up for a program on a different
channel.
2. Press T or ,1,as many times as you'd like (or hold to
repea0 to see Pop-ups for different programs.
22
CNN CBL
ePress STAR while the Pop-up is displayed to get even
more information on the program.
4. Press.STAR again. The Pop-up disappears.
BRO Scott and Molly
1 hour 52 minutes
tt ay
,FRI 8:OOP 2 hours
A middle-aged couple discovers
new sides to their relationship
r a long, holiday weekend.
Blake, Kim Jones.
1988,PG-13) Movies: Comedy
It Situations, Adult
e.
SHOWTIME CBL 8:08P
YOU SHOULD ALSO KNOW...
•Press ENTER/TUNE to go directly to the program in the Pop-up.
•If the PIP window is displayed, press the STAR button and then press 1"or $to browse channels.
• The program title Pop-up appears in yellow for the currently tuned program.
B-4

Finding out what's on all channels:
Grid Guide
Using the StarSight Grid Guide to see:
• what's on right now
• what's on for the next seven days
•what the programs are about
le Press MENU/GUIDE to see a full listing of all
programs. (Remember: If the Grid Guide doesn't
appear, you may not be in StarSight mode. Just press
STAR.)
2. Press •, I_, 1", or ,1,to move the highlight bar around
the Grid Guide.
3. Press STAR any time to get information about the
highlighted show.
4. Press PIP to view the currently highlighted show.
ePress ENTER/TUNE to tune to any currently
highlighted show.
6. Press QUIT/SEQ to resume watching TV.
SEP
7
;:J i
STARSIGHT
U.S. Senate...Cover_ge :.) _
__ _ .."/_ _oarryKing Live!
Scott and Rotly
Bingo ...... lHome Alone ....
All In A Day's Work
.Major League Baseball (L)
,,Barman
.!n,.,..theBest ofT_mes
Casablanca
The Prince of Tides
WET__B_S CBL_ 9:00P
STA R S I G H T
Senate .C.o.yerage
Live!
9:00P
YOU SHOULD ALSO KNOW...
•Press numbers followed by • or I_ to move to a specific
time in the guide.
•Press RECORD to record any highlighted show.
• Press VOLUME/Page Left or Right to see additional channel listings.
•Press CHANNEl/Day Up or Down to see different days for the same time.
•If you have a cable box, the PIP window will only show your presently tuned channel.
B-5

Viewing what's on a single channel:
Channel Guide
Do you have a favorite channel? Showtime?
Nickelodeon?
Whatever it is, StarSight can show you a channel's
schedule for an entire week.
1. Press MENU/GUIDE to see the Grid Guide.
2. Press Tor ,I, to move the highlight bar to the channel
you want to know about.
SEP
7
ISHOWI
{41
IREQi
STARSIGHT
Senate
met: Ontere
r_€O_,,,,,a,nd,RgLty
Bingo
AtLllin aDay's Work
Major League BasebaLl (L)
.B.a.tma.n ........................................
FreshPrince ]Blossom
...Avq.n.L_a
The Pr_nce of Tides
__;_, CBL _ 7:25P
e
e
e
6.
Press MENU/GUIDE again to see the Channel Guide
for the channel you highlighted.
Press VOLUME/Page Right to see more programs on
the same channel.
Press ENTER/TUNE to tune to a current program.
Press QUIT/SEQ to resume watching TV.
YOU SHOULD ALSO KNOW...
Hone) i ne
menews
9:00P Larry King Live!
10:00P World News
11:00P Sports Tonight
11:30P Roneyline
12:00A Newsnight
12:30A Inside Politics
I:00A Showbiz Today
1:30A Newsnight Update
2:00A WorLdwide ,,U,p,,d,ate
Press STAR to learn more about aprogram.
Press CHANNEL/Day Up or CHANNEL/Day Down to see the Channel Guide for other channels.
Press MENU/GUIDE to go back and forth between the Channel Guide and Grid Guide.
Press RECORD to record any highlighted show.
'92
7:25P
B-6

Choosing programs by category:
Theme Guide
What's your favorite kind of program?
Sports? Movies? Comedies? StarSight gives you a
selection of categories to help you pick your favorite shows
for the coming week.
1. Press THEME to see the StarSight Themes menu.
2. Press 1"or ,1,to highlight a Theme.
;TARSIGHT THEME
3. Press STAR to see the categories for that Theme.
4. Press 1"or ,I,to highlight a category.
5. Press STAR to see the shows for that category. Press
VOLUME/Page Right to see additional show listings.
6. Press ENTER/TUNE to tune to a current program.
7. PressQU1T/SEQ repeatedly to resume watching TV.
YOU SHOULD ALSO KNOW...
• Press STAR to learn more about a program.
• Press MENU/GUIDE to go directly to the Grid Guide
from any Theme Guide.
•Press RECORD to record any highlightedshow.
I_:I_N-_ CB L _7:41 P
Art Movies
__HI_:SJ__K_ £2_.Q
_ MON 8:00P Who's That 2:00
_ RON 8:00P Rally 'Roun 2:00
CEE]
EE]
MON IO:OOP The Search
TUE t2:30A The Inspect
TUE 9:30P Stop! Or My
TUE IO:OOA National La
TUE 12:00P Driving Me,
TUE 2:00P The Addam
TUE 2:30P Vice Versa 1
TUE 6:00P And You Tho 1
2:00
2:00
2:00
1:30
.1:30
2:00
:45
:35
42P
B-7

Recording what you're watching:
Current Recording
IMPORTANT: Your VCR must be turned off when you're
not using it.
Also, be sure you have inserted a blank
videotape in the VCR.
le Press RECORD to see a Recording Pop-up. Notice
that the yellow highlight bar is on "ONCE."
If you're recording an event that might run over (for
example, a baseball game), press • on the Record-
ing Pop-up to extend the end time of the recording in
5 minute increments. 8:25P
2. Press RECORD again to confirm your recording.
StarSight will turn on your VCR and begin recording
in a fewseconds.
until recordin
3. To cancel a recording in progress, press RECORD
again and then press STAR to confirm.
YOU SHOULD ALSO KNOW...
•To tum your VCR on and off with the remote control,
press the VCR button, followed by the POWER
button. (See "Programming Your Remote" in the "IV
section of this guide.)
• Do not press VCR buttons while a StarSight
recording is in progress.
• "ONCE" records the current program only, "DALLY"
records the same program every day (M-F), and
'_/EEKLY" records it once a week.
B-8

Scheduling a recording from StarSight
guides: Future Recording
IMPORTANT: Your VCR must be turned off when you're
not using it.
Also, be sure you have inserted a blank
videotape in the VCR.
1. Press MENU/GUIDE to see the Grid Guide.
2. Press _!, I_, T, or ,[, to highlight a current or future
program.
°
°
5.
Press RECORD to see a Recording Pop-up for the
selected program.
Press 1"or ,1,to select ONCE, DAILY or WEEKLY.
Press RECORD again to confirm your recording. Just
before your scheduled recording, StarSight turns on
your VCR and begins recording.
SEP
7
(41
STARSIGHT
: Math Who
Scott and Holly
Bingo .........................................
iALL In A Day..!.s Work
iHajo rLeague BasebaLL (L)
iBatman
BLossom l'"'_'h'the Best
AvonLea CasabLanca
The Pr_nce of Tides
¢_N.#_%_ CBL _ 8:00P
S T A R S I6 H T
SEP
7
_U.S. Senate Coverage
Primenews
Larry King Live!
9:00P-IO:OOP
..ON.--_..-__:_-.
--..._E ............:,._--_1 Press RECORD
DAILY (M-F) lagain to confirm
WEEKLY Irecording
Use I<l Ito change end time
I
REMINDER: Leave VCR off.
CNN?._:_:.:<' CB L _ 8 :0 0
(i. To cancel a selected recording, highlight the program
on the Grid Guide (it will be shown in red), press
RECORD and then press STAR to confirm.
You can schedule recordings or cancel them from the Grid
Guide, C[mnnel Guide or Theme Guide.
SEP
7
S T A R S I GHT
Coverage
rlmenews
YOU SHOULD ALSO KNOW...
• Selecting ONCE records the selected program.
•Selecting DAILY records a program every day (M-F).
• Selecting WEEKLY records a program once a week.
Scott and RoLL,x
B_ngo
ALL In A Day's Work
i Major League Baseball.(L)
Batman
BLossom fin the Best
Avonlea t CasabLanca
The Prince of Tides
CNN _'_ CBL _ 8:00P
You can extend the end time of a recording in 5 minute increments by pressing I_ on the Recording Pop-up.
For more information on recording, see "YOU SHOULD ALSO KNOW... Recording what you're watching: Current
Recording."
B-9

Reviewing your schedule of individual
recordings: Recordings List
StarSight keeps track of up to 25 scheduled recordings,
including the four most recently completed.
1. Press TO DO to review your scheduled recordings.
NON
TUE
TUE
_TUE
WED
[_ WED
THU
FRI
11:00P
I:00A
4:00A
6:30A
6:30A
8:00P
6:30A
6:30A
Gaslight 2:00
Showbiz Tod :30
Casablanca 2:00
Getting Fit :30
Getting Fit :30
Beverly Hil 1:00
Getting Fit :30
Getting Fit :30
2. Press T or ,1,to highlight a recording.
3. Press STAR to see information about the program.
4. Press QUIT/SEQ to resume watching TV.
YOU SHOULD ALSO KNOW...
• To cancel a recording, simply highlightthe program
and press RECORD, then STAR.
•If you see a question mark symbol on a scheduled
recording, press MENU/GUIDE to see why there is a
recording mismatch.
•Pressing T repeatedly displays the last four
completed recordings.
Programs with a white background are scheduled to be
recorded; those with agray background have already
been recorded.
iiiiiiii_iiiiiiiii_ii_iii_i_iiii!_ii_ii_iiiiii_iii_i_iiiiiiiiiiiiii_iiiii_iiiiiii_ii_ii_!_i_i_iiiiiii_i!iiii_!ii_i_iiiiiiiiiiiiiiiiiiiiii_i_i!_i_i_ii_!_iii!i!iiii_i!iiiiiiiii_iiiiiii_iii_i_iii_iiiiiiiii_i_i_iiiiiiiiiiiiiiiiiiiiiiiiiiiiiii!i_i_ii_iiii_i!ii!iii_iiiiiiiiii_iiiiiiiiii!_!_ii!ii_i!_iiiii_iiii_iiiii
:OOP :05
MON :00P 2:00
TUE :OOA :30
TUE :OOA 2:00
TUE 6:30A :30
(_ WED 6:30A :30
{_ WED 8:00P 1:00
THU 6:30A :30
FRI 6:30A Getting Fit :30
MON 10
11
I
4
Northern Ex
Gaslight
Showbiz Tod
Casablanca
Getting Fit
Getting Fit
Beverly Hil
Getting Fit
iii..... ( iliiii!!illi!i!i!ilii! iliii
_' i_:_ :. _i_i_CBL _/':: ....'1 O.05P"
.....RECORDIN
Scott and Molly
FRI 8:00P 2 hours
I
A middle-aged couple discovers
new sides to their relationship
over a long, holiday weekend.
Todd Blake, Kim Jones.
I
_**(1988,PG-13) Movies: Comedy.
Adult Situations, Adult
Language.
_i_i_..,i_i_i_i:__.i:_:iii:._i:_::_"_!i.ii_..'::C B L _ I 0 :05 P
B-10

Reviewing daily or weekly series
recordings: Series Recordings List
;tarSight keeps track of up to five daily or weekly series
recordings.
1. Press TO DO to review your scheduled recordings.
RECORD INGS
MON
_]_ TUE
TUE
TUE
WED
WED
THU
FRI
11:00P
I:00A
4:00A
6:30A
6:30A
8:00P
6:30A
6:30A
Gaslight
Showbiz Tod
Casablanca
Getting Fit
Getting Fit
Beverly Hil
Getting Fit
Getting Fit
:30
2:00
:30
:30
1:00
:30
:30
_!W_!_ C B I. _ I 0 :05 P
2. Press TO DO again to see the Series Recordings list. SERIES TO RECORDED
WK WED 8:00P Beverly 1:00
MTWThF 6:30A Getting :30
3. Press QUIT/SEQ to resume watching TV. _i_Hi;.i_i_ii_ii_:|iilNii_c B L I 0 :07P
YOU SHOULD ALSO KNOW...
• To cancel aSeries Recording, simply highlight the Series and press RECORD, then STAR. This also automatically
cancels all individual recordings within that Series.
B-11

How to watch one channel while
recording another: Watch and Record
If you have a Cable Box:
1. After recording begins, press TV/VCR SOURCE.
You will see the TV SOURCE menu highlighted.
sou_e_e; .. _- _,_- _ _'_., ,, v-_
Ant/Cable 1 Ant/Cable 1
nowwatc anyun c,am ,o
channel. _,_ _ ,_._._
3. Use CHANNEL/Day Up or Down to watch other i_,_,_ __'_,_
channels. (Note: you will not be able to use StarSight ............................
functions while on the ANT/CABLE 2 source.) ,_ ;_ _ _
____ Ant/Cable I
Ant/Cable 2
eTo resume normal viewing once recording has been
completed (and to resume using StarSight) press
TV/VCR SOURCE to see the source menu. Then
press 1"to highlight "Ant/Cable 1." Press QUIT/SEQ.
If you DO NOT have a Cable Box:
le
11
While you're recording aprogram, simply press
CHANNEL/Day Up or Down to watch a different
program.
For more information about the SOURCE menu, refer
to the TV portion of this guide.
B-12

Selecting and deselecting channels
StarSight allows you to remove channels that you rarely or
never watch. When a channel is removed, it will no longer
appear in StarSight Guides, nor will it appear when you flip
through channels. To increase the amount of information
for individual programs that you watch, you should
deselect channels that you seldom or never watch.
1, Press TO DO until you see the StarSight Setup menu.
"Select Guide Channels" will be highlighted.
me
3.
Press STAR to display your channel lineup.
Press al, I_, T, or ,[, to highlight the channel you
want to remove, and press STAR. The background
color will change, indicating that the channel is
deselected.
The PIP window shows a view of the highlighted
channel.
4. If you change your mind, just highlight the channel
again and press STAR. The background will return to
green, and the channel will once again be selected.
NOTE: If you later add back a channel, you must wait
4-12 hours to collect program information for
,i
that channel. That channel now displays at the
top of your channel list in the guides.
5. Press QUIT/SEQ twice to resume watching TV.
Change Channel Order
Change Cabte Box/Service
Change VCR
Re-Activate/Change Address
StarSight Demonstration
Use 1. then STAR to choose
To ex(tr press QUIT
IMORE b']
R-lq

Changing the channel order
You can list your channels on the Grid Guide in any order
you want. Your channels will also be in this order as you
switch from channel to channel.
]. Press TO DO until you see the StarSight Setup menu.
2. Press ,I, to highlight "Change Channel Order," and
press STAR to display your list of channels.
3. Press _1, I_, T, or ,1.to highlight the channel you want
to move, and press STAR. The channel will move
slightly to the left.
ePress 4, I_, T, or ,[, to move the highlighted channel
to the new location and press STAR to insert the
channel in its new position.
5. Press QUIT/SEQ twice to resume watching TV.
YOU SHOULD ALSO KNOW...
•To reset your channels to the original order, press 1"
to highlightthe RESET box at the top of the Change
Channel Order screen and press STAR.
• To maximize show descriptions, you should place
your most frequently-watched channels at the
beginning of your list.
SeLect Guide Channels
:- ,_, ^.y_ _ _ ,---_ _, /-- _,_ _ -
Change CabLe Box/Service
Change VCR
Re-ActfvatelChange Address
StarSight Demonstration
Use t_ then STAR to choose
To exit, press QUIT
CNN-_-- CBL _ 5 :02P
N[iN
Ni
@
NK?
".:; "C.HANfiE: CHANNE_L_!;_R°I_ER. _":'
--pr _.ks:._:.S_h!l ,t o ._!mC_Ve':_¢lt_ _:.n,eI, -
• . . ._..
9E3
CE 3
EE3 GE9
B-14

Quick Reference Guide
This section of the guide discusses the use of StarSight with the Z-Trak trackball remote. Operation with the Z-Trak is
different than with conventional remote controls. There are far fewer buttons, because the trackball is used to move an
on-screen pointer through various menus. The following illustration shows the Z-Trak and its controls.
TV
Set remoteto operateTV
VOL Up/_l_
When operatingTV: Increase volume
WhenoperatingVCR:Fastforward
VOL Down/41_
When operating TV: Decrease volume
When operating VCR: Rewind
MUTE II
When operating TV: TV mute
When operating VCR: Pause
RECRD
When operating TV: Schedule a
program for recording; conf'Lrm or
cancel recordings
When operating VCR: Sets VCR to record
POWER
_perating TV: TV power On/Off
When operating VCR: VCR power On/Off
Set remote to operate VCR
Press ball to activate
up/_
When operating TV: Go to the next channel
When operating VCR: Play
CHAN Down/•
When operatingTV: Go to the previous channel
When operatingVCR: Stop
ENTER
When operating TV: Tune TV to a program
highlighted on the StarSight screen; when
watching TV displays the program title
"FLSHBK
When operating TV: Tune TV to the last
channel viewed
When operating VCR: TV/VCR Switch
In the following sections, you will be exploring the
various screen menus available in StarSight. As you do
so, keep in mind the following guidelines (quite literally,
"rules of thumb") for Z-Trak operation:
•To display the pointer, press the trackball.
• To highlight an option or make a selection, point to
the desired option and press the trackball.
• To close a StarSight screen, point to the QUIT icon
and press the trackball.
To tune a channel, point to a channel icon and press
the trackball. You can also simply highlight a
program and press the ENTER button to tune that
program.
Many StarSight program guides have more than one
screen full (one "page") of information. You can
point to the "PT" or "P_," icons and press the
trackball to flip through the pages. You can also
move more slowly by moving the pointer to the top,
bottom, or side edges of the screen and continuing to
roll the ball in that direction.
Be sure that the pointer is red, indicating that you are in
StarSight mode. If the pointer is blue, move the pointer
to the left side of the TV screen, point to the TV icon
and press the trackball.

Getting started with the Z-Trak remote
1. Press the TV button on the top of the remote. This
sets the remote's buttons for TV control, rather than
VCR control.
e
J
o
e
Press the trackball. The pointer, a small square,
appears in the middle of the screen.
You can move the pointer by rolling the trackball
up, down, left, and right. Point to the left edge of
the screen, a column of TV options appears. The
icon at the top indicates which mode is active --
StarSight or TV. A circle with a star, the StarSight
logo, represents StarSight mode; a TV icon
represents TV mode. You can switch between the
two modes by locating the pointer on the StarSight
or TV icon and pressing the trackball. The icon
switches, and the pointer changes color. A red
pointer indicates that you are in StarSight mode. A
blue pointer indicates TV mode.
Set the mode to StarSight.
As you move the pointer around the screen, you
will discover various menus. These menus are not
visible on the screen simultaneously. Each Menu
appears when you move the pointer on top of it.
There are 2 different sets of menus---one for the
StarSight mode and one for the TV mode. This
section discusses the StarSight options. For
information on the TV menus, see the TV portion
of this guide.
Move the pointer to the top of the screen. At the top
you'll see your StarSight icons:
SOURCE:
7D DO:
THEME:
GUIDE:
When you press on this option, a selection
screen appears which allows you to specify
the video/audio source for your TV and the
PIP. Simply point to the desired source and
press. To return to normal TV viewing, point
and press on "EXIT". For more information
see the TV portion of the guide.
When you press on this option, a list of
scheduled recordings and series recordings
appears.
When you press on this option, a list of theme
categories appears.
When you press on this option, the Grid
Guide and Channel Guide appear.
Continued on next page
C-2

6. Move the pointer to the right of the screen. The
channel icons appear:
All Chan: Gives you a complete listing of all channels.
Point to a channel icon and press the trackball
to tune. Or, point to the number pad and press
the trackball to tune by channel number.
Tune- When browsing (see below), you can tune
immediately to the show being described in the
Pop-up, by pointing to "Tune" and pressing the
trackball.
Browse _and ,L:Allows you to get information about
shows on different channels without
actually changing to those channels.
Place the pointer on or near an arrow
and press the trackball.
Chan "_and ,1,: Allows you to change channels up or
down. Place the pointer on or near an
arrow and press the trackball.
Info: Displays additional program information. Move
the pointer to "Info" and press the trackball.
e
e
Move the pointer to the bottom of the screen. The
volume control appears. To adjust the volume,
point to the desired volume level on the slider bar
and press the trackball. Point to "MUTE" and press
the trackball to turn the sound off completely.
Move the pointer toward the middle of the screen to
make the menu disappear.
9. Press the trackball to make the pointer disappear.
C-3

What you should do when you change
your cable box or service or when you
move
NOTE: THIS PROCEDURE REQUIRES THE USE
OF THE UNIVERSAL REMOTE.
If you are changing your cable box, find the code(s) for
your brand of new Cable Box on the "Cable Box Code"
chan: and write the code(s) here.
1. Press TO DO until you see the StarSight Setup menu.
e _'_'"_V_ _. .r _'_4"-, € -" "_,*: " "-'_._ ,,.
Change Channel Order
Change Cable Box/Service
Change VCR
Re-Activate/Change Address
StarSight Demonstration
Use tz then STAR to choose
To exit. press QUIT
"_NN" ...C'N_j_i_-",:_:CB L _ 5 :02P
QPress the ,!, to highlight "Change Cable Box/Service."
or
Press the ,1,to highlight "Re-Activate/Change Address."
3. Press STAR.
Select Guide Channels
Change Channel Order ..............i
Change VCR
Re-ActivatelChange Address
StarSight Demonstration
Use _ then STAR to choose
To exit, press QUIT
CNN ._:,:.-__-:CBL 5:02P
4. Follow the on-screen instructions.
Before you proceed...
I. Please comptete the
StarSight Checklist in your
Installation Guide.
2. Make sure you connect your TV
to any other equipment
according to the diagrams in
your StarSight Installation
Guide.
To continue, press ENTER.
To exit, press QUIT. 01
D-2

Before calling for service...
1. LEAVE YOUR CABLE BOX ON AT ALL TIMES.
2. LEAVE YOUR VCR OFF WHENEVER YOU ARE NOT WATCHING A VIDEOTAPE.
3. DO NOT PLUG YOUR 'IV INTO THE POWER PLUG ON THE BACK OF YOUR CABLE BOX.
Installation Problems
Problem
StarSight is not controlling my cable box and
VCR.
My VCR turns off and on, but won't change
channels.
No Picture - "snow."
I do not get any channels above 13.
My TV turned off during Cable Box testing.
I can't make StarSight appear using the Universal
remote control.
I can't make StarSight appear using the Z-Trak
remote control.
Try this
Makesure the Remote Emitter is plugged into the StarsightControlPort on the back
of yourTV.
Check the placement of your Remote Emitter(s)---the bulbs should be facing and a
few inches in frontof the frontpanel of your VCR andCable Box.
Makesure you have completed the equipment test with the propercode for your
brand of equipment. See "Cable Box Codes" and "VCR Codes" charts.
If you have a Cable Box, your VCR does not need to change channels. (The Cable
Box will change channels.)
Try additionalVCR codes until you pass the VCR tuningtest. See "VCR Codes"
chart.To test the code see "Changing Your EquipmentSetup".
YourVCR mustbe capable of direct tuning, i.e. yourVCR's original remote control
musthave a 10digit numberpad.
Check the connections between yourTV, VCR and/orCable Box.
Run "Auto Program"foryour TV' s "Ant/Cable 1" source. If your Setup is #4, then
you should also Auto Programyour "Ant/Cable 2" source. (See the TV portion of
the guide.)
If you have a Cable Box, tune yourTV to channel 3, or to the cable box output
channel.
Run "Auto Program" for your TV's "Ant/Cable 1" source. If your Setup is #4, then
you should also Auto Program your "Ant/Cable 2" source. (See the TV portion of
the guide.)
Make sure your TV is not plugged into the back of the Cable Box or into apower
outlet that is controlled by a light switch.
NOTE: LEAVE YOUR CABLE BOX ON AT ALL TIMES.
Press STAR to get your remote control to operate StarSight.
Press TV/VCR Source and select "Ant/Cable 1" or StarSight if named.
If you press a button on the remote control and its red light does not appear, then
you need to change your remote control's batteries.
Make sure you have activated StarSight! (See Installation Step 3, "Activate
StarSight".)
Check that the on-screen pointer is red, indicating StarSight mode.
If the pointer is blue, move it to the TV options menu on the left side of the screen.
Point and press on the TV icon. The pointer will turn red and the StarSight logo will
appear indicating StarSight mode.
Refer to the next page for Operation Problems.
E-1

7eration Problems
Problem
I've registered for StarSight but don't have any
_rogram data yet.
Try this
Make sure your TV is turned off or tuned to PBS in order to receive information.
It may take anywhere from 4-12 hours to initially get the full 7days of
information. For best results wait overnight. Check the PBS channel for good
picture.
2. If you have a cable box, make sure the cable box automatically tunes to the PBS
channel when "IV is tumed off.
The background color for the date and time are Your TV lost power momentarily. StarSight will correct the time and date when
red. your TV is turned off for a few minutes.
There are some blank spots in StarSight's guides. StarSight may not have received all the program information. Your TV will collect
program information whenever the TV is turned off.
StarSight's list of channels does not match those Call the StarSight Help Desk at 1-800-628-STAR, or fax corrections directly to
that appear on my TV. 1(800) 229-9640.
The entire show did not record. Make sure you have enough tape to record the whole program. StarSight records
programs based upon the scheduled start and stop times. If a program may run
overtime, you should extend the end time of your recording. (See the section
"Current Recording" or "Future Recording".)
Ihave a Cable Box, and want to watch one While a recording is in progress, change your source to "ANT/CABLE 2" to watch
program while recording another, a different non-scrambled program.
Icanceled the recordings of all episodes of a You must cancel the whole series from the Series to be Recorded list. See the
series, but new episodes for that same series are section "Series Recordings List".
still being recorded.
Ared question mark appears on a program title in The program information in the Recordings list does not match the program
the Recordings list. information in the Grid Guide. Position the highlight bar on the question mark and
press MENU/GUIDE to see the program that will be recorded. If you don't want to
record this program, press record to cancel the recording.
I can't control my VCR with my remote control. You need to program your remote control for your particular brand of VCR. (See
the sections on Remote Controls in the TV portion of this guide.)
I can't see the videotape when playing back on 1. Check the connections between your TV and VCR.
the VCR. 2. Make sure your TV is on channel 3 or 4.
3. If you still do not have a picture, try a different videotape that you know has a
good picture.
The program wasn't recorded. 1. YOUR VCR MUST BE LEFT OFF WHENEVER YOU ARE NOT
My picture turns to "snow" when recording
begins.
StarSight keeps playing a demonstration, and I
want to stop it.
WATCHING AVIDEOTAPE. Otherwise, a recording will not take place. Make
sure you have avideotape with tape remaining.
2. Check the placement of your Remote Emitter. Has it fallen out of place?
3. Make sure you are confirming the recordings when you schedule a program for
recording.
4. Check your Recordings List to see if you actually did schedule a recording for
that specific program.
5. For a current recording, make sure you don't press any buttons until the recording
has begun.
6. If you have changed your VCR, you will probably need to change the VCR code.
To watch TV while recording, wait until recording has begun, then set the
"'TV/VCR" switch on your VCR to "TV." Or, on your Universal remote control,
press the "VCR" button and then the "TV/VCR Source" button. (So the VCR is in
"TV" mode.)
If you are running a Quick StarSight Demo, press any key.
If you are running a Continuous Retail Demo (recommended for retailers only), wait
for the message "To cancel this demonstration, press any button now," and press
any button on the remote.
Refer to the previous page for Installation Problems.
E-2