Adobe InDesign CS3 User Guide In Design En
User Manual: adobe InDesign - CS3 - User Guide Free User Guide for Adobe InDesign Software, Manual
Open the PDF directly: View PDF
.
Page Count: 672 [warning: Documents this large are best viewed by clicking the View PDF Link!]
- Contents
- Chapter 1: Getting started
- Chapter 2: Workspace
- Chapter 3: Layout
- Creating documents
- Creating custom page sizes
- Rulers and measurement units
- Grids
- Ruler guides
- Pages and spreads
- Masters
- About masters, stacking order, and layers
- Create masters
- Base one master on another
- Copy masters
- Apply master pages
- Unassign masters from document pages
- Edit the layout of a master
- Edit the options of an existing master page
- Delete a master from a document
- Override or detach master items
- Reapply master items
- Import a master from another document
- Layers
- About layers
- Create layers
- Specify layer options
- Assign a layer color
- Adding objects to layers
- Select, move, and copy objects on layers
- Paste objects into different layers
- Duplicate a layer
- Change the order of layers
- Show or hide layers
- Set a layer as nonprinting
- Lock or unlock layers
- Delete layers
- Merge layers in a document
- Laying out frames and pages
- Numbering pages, chapters, and sections
- Text variables
- Chapter 4: Working with documents
- Chapter 5: Text
- Creating text and text frames
- Adding text to frames
- Importing text
- Threading text
- Text frame properties
- Editing text
- Find/Change
- Glyphs and special characters
- Spell-checking and language dictionaries
- Check spelling
- Correct spelling errors as you type
- Use dynamic spelling
- Hyphenation and spelling dictionaries
- Create or add user dictionaries
- Set the default language dictionary
- Remove, relink, and reorder user dictionaries
- Add words to dictionaries
- Remove or edit words in dictionaries
- Import and export word lists
- Change dictionary preferences
- Change the default language
- Using dictionaries in a workgroup
- Footnotes
- Chapter 6: Styles
- Paragraph and character styles
- About character and paragraph styles
- Styles panel overview
- Define paragraph and character styles
- Base one paragraph or character style on another
- Import styles from other documents
- Convert Word styles to InDesign styles
- Apply styles
- Edit character and paragraph styles
- Redefine a style to match selected text
- Delete character or paragraph styles
- Override character and paragraph styles
- Break the link between text and its style
- Convert style bullets and numbering to text
- Find and replace character and paragraph styles
- Drop caps and nested styles
- Object styles
- About object styles
- Object Styles panel overview
- Define object styles
- Object style categories
- Apply object styles
- Use default object styles
- Clear object style overrides
- Rename an object style
- Edit object styles
- Delete an object style
- Break the link to an object style
- Redefine an object style
- Import object styles
- Working with styles
- Paragraph and character styles
- Chapter 7: Combining text and objects
- Chapter 8: Typography
- Formatting text
- Using fonts
- Leading
- Kerning and tracking
- Formatting characters
- Apply baseline shift
- Make characters superscript or subscript in a non-OpenType font
- Apply underline or strikethrough
- Change underline or strikethrough options
- Apply ligatures to letter pairs
- Change the color and gradient of text
- Add transparency effects to text
- Assign a language to text
- Change the case of type
- Scale type
- Skew type
- Formatting paragraphs
- Aligning text
- Indents
- Tabs
- Bullets and numbering
- Create bulleted or numbered lists
- Format a bulleted or numbered list
- Change bullet characters
- Change numbered list options
- Defining lists
- Create a paragraph style for running lists
- Create multi-level lists
- Create running captions for figures and tables
- Restart or continue numbering for a list
- Convert list bullets or numbers to text
- Composing text
- Chapter 9: Tables
- Creating tables
- Selecting and editing tables
- Formatting tables
- Table strokes and fills
- Table and cell styles
- About table and cell styles
- Table/Cell Styles panels overview
- Define table and cell styles
- Load (import) table styles from other documents
- Apply table and cell styles
- Base one table or cell style on another
- Edit table and cell styles
- Delete table and cell styles
- Redefine table or cell styles based on current formatting
- Override table and cell styles
- Break the link to table or cell styles
- Chapter 10: Long document features
- Chapter 11: Drawing
- Chapter 12: Graphics
- Understanding graphics formats
- Importing files from Adobe applications
- Importing other graphics formats
- About other graphics formats
- Using Adobe Stock Photos in InDesign
- TIFF (.tif) files
- Graphics Interchange Format (.gif) files
- JPEG (.jpg) files
- Bitmap (.bmp) files
- Encapsulated PostScript (.eps) files
- Desktop Color Separations (.dcs) files
- Macintosh PICT (.pict) files
- Windows Metafile Format (.wmf) and Enhanced Metafile Format (.emf) files
- PCX (.pcx) files
- Portable Network Graphics (.png) files
- Scitex CT (.sct) files
- Placing graphics
- Managing graphics links
- Object libraries
- Chapter 13: Frames and objects
- Chapter 14: Transparency effects
- Adding transparency effects
- Blending colors
- Flattening transparent artwork
- About flattening
- About transparency flattener presets
- Apply a flattener preset for output
- Create or edit a transparency flattener preset
- Export and import a custom transparency flattener preset
- Rename or delete a custom transparency flattener preset
- Flatten an individual spread
- Ignore the flattener preset on an individual spread
- Transparency Flattener options
- Preview which areas of artwork will be flattened
- Refresh the preview in the Flattener Preview panel
- Best practices when creating transparency
- Chapter 15: Color
- Understanding spot and process colors
- Applying color
- Apply color
- Select a color with the Color Picker
- Apply the last used color
- Remove fill or stroke color
- Applying colors by dragging and dropping
- Apply a color or gradient swatch
- Apply color using the Color panel
- Create a swatch from a color in the Color panel
- Cycle through color modes
- Apply colors using the Eyedropper tool
- Working with swatches
- Importing swatches
- Tints
- Gradients
- Mixing inks
- Using colors from imported graphics
- Chapter 16: Color management
- Understanding color management
- Keeping colors consistent
- Color-managing imported images
- Color-managing documents for online viewing
- Proofing colors
- Color-managing documents when printing
- Working with color profiles
- About color profiles
- About monitor calibration and characterization
- Calibrate and profile your monitor
- Install a color profile
- Embed a color profile
- Embed a color profile (Acrobat)
- Changing the color profile for a document
- Assign or remove a color profile (Illustrator, Photoshop)
- Assign or remove a color profile (InDesign)
- Convert document colors to another profile (Photoshop)
- Convert document colors to another profile
- Color settings
- Chapter 17: Trapping color
- Trapping documents and books
- About ink trapping
- Trapping methods
- About automatic trapping
- Automatic trapping requirements
- Differences between built-in trapping and Adobe In-RIP Trapping
- Trapping imported bitmap images
- Trapping imported vector graphics
- Trapping text
- Maximizing trapping performance
- Setting aside disk space for built-in trapping
- Trap a document or book
- Trap presets
- Trap Presets panel overview
- Create or modify a trap preset
- Duplicate a trap preset
- Delete a trap preset
- Import presets from another InDesign document
- Assign a trap preset to pages
- Set up trapping page ranges
- Disable a trapping page range
- Trap preset options
- Set sliding traps
- About trapping black
- Set the trap width for colors next to black
- Printing books with conflicting trap presets
- Adjusting ink options for trapping
- Trapping documents and books
- Chapter 18: Creating Adobe PDF files
- Exporting to Adobe PDF
- Adobe PDF options
- Adobe PDF option categories
- About PDF/X standards
- PDF compatibility levels
- General options for PDFs
- Compression and downsampling options for PDFs
- Marks and Bleeds options for PDFs
- Color management and PDF/X output options for PDFs
- Font, OPI, and flattening options for PDFs
- Adding security to PDF files
- Security options for PDFs
- Font embedding and substitution
- Preparing a document for on-screen viewing
- Preparing PDFs for service providers
- Structuring PDFs
- Adding hyperlinks for PDFs
- Including bookmarks in PDFs
- Using movies and sounds in PDFs
- Creating buttons for PDFs
- Chapter 19: XML
- Chapter 20: Printing
- Printing documents
- Setting up a printer
- Printer’s marks and bleeds
- Printing thumbnails and oversized documents
- Printing in color
- Printing graphics and fonts
- Managing color
- Printing gradients and color blends
- Print presets
- Handing off files
- Creating PostScript and EPS files
- Creating PostScript or EPS files
- Choosing the right method for creating a PostScript file
- Create a device-independent PostScript file
- Create a device-dependent PostScript file using InDesign
- About device- and driver-dependent PostScript files
- Create a PostScript file using a PostScript printer driver (Windows)
- Create a PostScript file using a PostScript printer driver (Mac OS)
- Export pages into EPS format
- Printing booklets
- Chapter 21: Color separations
- Preparing to print separations
- Overprinting
- Previewing color separations
- Inks, separations, and screen frequency
- Ink Manager overview
- Specify which colors to separate
- Separate spot colors as process
- Create an ink alias for a spot color
- Display or output spot colors using Lab values
- About halftone screen frequency
- Specify a halftone screen frequency and resolution
- About emulsion and image exposure
- Specify emulsion
- Specify the image exposure
- Checking separation and document settings
- Proofing color separations
- Producing in-RIP separations
- Print or save separations
- Chapter 22: Automation
- Scripting
- Plug-ins
- Data merge
- About data merge
- Basic steps for merging data
- About data source files
- Add image fields in the data source file
- About target documents
- Select a data source
- Insert data fields
- Adding data field placeholders to master pages
- Update, remove, or replace data source files
- Preview records in the target document
- Switching preview on or off
- Edit data field placeholders
- Set content placement options
- Merging records
- Chapter 23: Sharing content between InCopy and InDesign
- Chapter 24: Comparison of PageMaker and InDesign menus
- Chapter 25: Keyboard shortcuts
- Default keyboard shortcuts
- Keys for tools
- Keys for selecting and moving objects
- Keys for transforming objects
- Keys for editing paths and frames
- Keys for tables
- Keys for finding and changing text
- Keys for working with type
- Keys for navigating through and selecting text
- Keys for viewing documents and document workspaces
- Keys for working with XML
- Keys for indexing
- Keys for panels
- Keys for the Control panel
- Keys for the Character and Paragraph panels
- Keys for the character and paragraph styles
- Keys for the Tabs panel
- Keys for the Layers panel
- Keys for the Pages panel
- Keys for the Links panel
- Keys for the Color panel
- Keys for using the Separations Preview panel
- Keys for the Swatches panel
- Keys for the Transform panel
- Keys for resolving conflicts between Mac OS 10.3x and 10.4
- Default keyboard shortcuts
- Index

USER GUIDE
ADOBE® INDESIGN® CS3

Copyright
© 2007 Adobe Systems Incorporated. All rights reserved.
Adobe® InDesign® CS3 User Guide for Windows® and Mac OS
If this guide is distributed with software that includes an end user agreement, this guide, as well as the software described in it, is furnished under license and may be used or
copied only in accordance with the terms of such license. Except as permitted by any such license, no part of this guide may be reproduced, stored in a retrieval system, or trans-
mitted, in any form or by any means, electronic, mechanical, recording, or otherwise, without the prior written permission of Adobe Systems Incorporated.Pleasenotethatthe
content in this guide is protected under copyright law even if it is not distributed with software that includes an end user license agreement.
Thecontentofthisguideisfurnishedforinformationaluseonly,issubjecttochangewithoutnotice,andshouldnotbeconstruedasacommitmentbyAdobe Systems Incorpo-
rated. Adobe Systems Incorporated assumes no responsibility or liability for any errors or inaccuracies that may appear in the informational content contained in this guide.
Please remember that existing artwork or images that you may want to include in your project may be protected under copyright law. The unauthorized incorporation of such
material into your new work could be a violation of the rights of the copyright owner. Please be sure to obtain any permission required from the copyright owner.
Any references to company names in sample templates are for demonstration purposes only and are not intended to refer to any actual organization.
Adobe, the Adobe logo, Acrobat, Adobe Bridge, Adobe Caslon, After Effects, Creative Suite, Dreamweaver, Flash, GoLive, Illustrator, InCopy, InDesign, the OpenType logo,
PageMaker, Photoshop, PostScript, PostScript 3, Reader, and Version Cue are either registered trademarks or trademarks of Adobe Systems Incorporated in the United States
and/or other countries.
Mac OS and QuickTime are trademarks of Apple Inc., registered in the United States and other countries. OpenType, Vista, and Windows are trademarks of Microsoft Corpo-
ration registered in the U.S and/or other countries. Java is a trademark or registered trademark of Sun Microsystems, Inc. in the United States and other countries. Pantone, Inc.
is the copyright owner of color data and/or software which are licensed to Adobe Systems Incorporated to distribute for use only in combination with Adobe InDesign. PANTONE
Color Data and/or Software shall not be copied onto another disk or into memory unless as part of the execution of Adobe InDesign. All other trademarks are the property of
their respective owners.
Certain Spelling portions of this product are based on Proximity Linguistic Technology. ©Copyright 1990 Merriam-Webster Inc. ©Copyright 1990 All rights reserved. Proximity
Technology A Division of Franklin Electronic Publishers, Inc. Burlington, New Jersey USA. ©Copyright 2003 Franklin Electronic Publishers Inc.©Copyright 2003 All rights
reserved. Proximity Technology A Division of Franklin Electronic Publishers, Inc. Burlington, New Jersey USA. Legal Supplement ©Copyright 1990/1994 Merriam-Webster
Inc./Franklin Electronic Publishers Inc. ©Copyright 1994 All rights reserved. Proximity Technology A Division of Franklin Electronic Publishers, Inc. Burlington, New Jersey
USA. ©Copyright 1990/1994 Merriam-Webster Inc./Franklin Electronic Publishers Inc. ©Copyright 1997All rights reserved. Proximity Technology A Division of Franklin
Electronic Publishers, Inc. Burlington, New Jersey USA ©Copyright 1990 Merriam-Webster Inc. ©Copyright 1993 All rights reserved. Proximity Technology A Division of
Franklin Electronic Publishers, Inc. Burlington, New Jersey USA. ©Copyright 2004 Franklin Electronic Publishers Inc. ©Copyright 2004 All rights reserved. Proximity
Technology A Division of Franklin Electronic Publishers, Inc. Burlington, New Jersey USA. ©Copyright 1991 Dr. Lluis de Yzaguirre I Maura ©Copyright 1991 All rights reserved.
Proximity Technology A Division of Franklin Electronic Publishers, Inc. Burlington, New Jersey USA. ©Copyright 1990 Munksgaard International Publishers Ltd. ©Copyright
1990 All rights reserved. Proximity Technology A Division of Franklin Electronic Publishers, Inc. Burlington, New Jersey USA. ©Copyright 1990 Van Dale Lexicografie bv
©Copyright 1990 All rights reserved. Proximity Technology A Division of Franklin Electronic Publishers, Inc. Burlington, New Jersey USA. ©Copyright 1995 Van Dale
Lexicografie bv ©Copyright 1996 All rights reserved. Proximity Technology A Division of Franklin Electronic Publishers, Inc. Burlington, New Jersey USA. ©Copyright 1990
IDE a.s. ©Copyright 1990 All rights reserved. Proximity Technology A Division of Franklin Electronic Publishers, Inc. Burlington, New Jersey USA. ©Copyright 1992
Hachette/Franklin Electronic Publishers Inc. ©Copyright 2004 All rights reserved. Proximity Technology A Division of Franklin Electronic Publishers, Inc. Burlington, New
Jersey USA. ©Copyright 1991 Text & Satz Datentechnik ©Copyright 1991 All rights reserved. Proximity Technology A Division of Franklin Electronic Publishers, Inc.
Burlington, New Jersey USA. ©Copyright 2004 Bertelsmann Lexikon Verlag ©Copyright 2004 All rights reserved. Proximity Technology A Division of Franklin Electronic
Publishers, Inc. Burlington, New Jersey USA. ©Copyright 2004 MorphoLogic Inc. ©Copyright 2004 All rights reserved. Proximity Technology A Division of Franklin Electronic
Publishers, Inc. Burlington, New Jersey USA. ©Copyright 1990 William Collins Sons & Co. Ltd. ©Copyright 1990 All rights reserved. Proximity Technology A Division of
Franklin Electronic Publishers, Inc. Burlington, New Jersey USA. ©Copyright 1993-95 Russicon Company Ltd. ©Copyright 1995 All rights reserved. Proximity Technology A
Division of Franklin Electronic Publishers, Inc. Burlington, New Jersey USA. ©Copyright 2004 IDE a.s. ©Copyright 2004 All rights reserved. Proximity Technology A Division
of Franklin Electronic Publishers, Inc. Burlington, New Jersey USA. The Hyphenation portion of this product is based on Proximity Linguistic Technology. ©Copyright 2003
Franklin Electronic Publishers Inc.©Copyright 2003 All rights reserved. Proximity Technology A Division of Franklin Electronic Publishers, Inc. Burlington, New Jersey USA.
©Copyright 1984 William Collins Sons & Co. Ltd. ©Copyright 1988 All rights reserved.Proximity Technology A Division of Franklin Electronic Publishers, Inc. Burlington, New
Jersey USA. ©Copyright 1990 Munksgaard International Publishers Ltd. ©Copyright 1990 All rights reserved. Proximity Technology A Division of Franklin Electronic
Publishers, Inc. Burlington, New Jersey USA. ©Copyright 1997 Van Dale Lexicografie bv ©Copyright 1997 All rights reserved. Proximity Technology A Division of Franklin
Electronic Publishers, Inc. Burlington, New Jersey USA. ©Copyright 1984 Editions Fernand Nathan ©Copyright 1989 All rights reserved. Proximity Technology A Division of
Franklin Electronic Publishers, Inc. Burlington, New Jersey USA. ©Copyright 1983 S Fischer Verlag ©Copyright 1997 All rights reserved. Proximity Technology A Division of
Franklin Electronic Publishers, Inc. Burlington, New Jersey USA. ©Copyright 1989 Zanichelli ©Copyright 1989 All rights reserved. Proximity Technology A Division of Franklin
Electronic Publishers, Inc. Burlington, New Jersey USA. ©Copyright 1989 IDE a.s. ©Copyright 1989 All rights reserved. Proximity Technology A Division of Franklin Electronic
Publishers, Inc. Burlington, New Jersey USA. ©Copyright 1990 Espasa-Calpe ©Copyright 1990 All rights reserved. Proximity Technology A Division of Franklin Electronic
Publishers, Inc. Burlington, New Jersey USA. ©Copyright 1989 C.A. Stromberg AB. ©Copyright 1989 All rights reserved. Proximity Technology A Division of Franklin Electronic
Publishers, Inc. Burlington, New Jersey USA.
The Spelling portion of this product is based on Proximity Linguistic Technology. Color-database derived from Sample Books © Dainippon Ink and Chemicals, Inc., licensed to
Adobe Systems Incorporated. Portions © The Focoltone Colour Systems, and used under license.
This product includes software developed by the Apache Software Foundation (www.apache.org).
Portions © 1984-1998 Faircom Corporation. All rights reserved. Portions copyrighted by Trumatch, Inc. and used under license.
PANTONE® Colors displayed in the software application or in the user documentation may not match PANTONE-identified standards. Consult current PANTONE Color Publi-
cations for accurate color. PANTONE® and other Pantone, Inc. trademarks are the property of Pantone, Inc. © Pantone, Inc., 2006
This product contains either BISAFE and/or TIPEM software by RSA Data Security, Inc. Copyright (c) 1994 Hewlett-Packard Company. Permission to use, copy, modify,
distributeandsellthissoftwareanditsdocumentationforanypurposeisherebygrantedwithoutfee,providedthattheabovecopyrightnoticeappearinallcopiesandthatboth
that copyright notice and this permission notice appear in supporting documentation. Hewlett-Packard Company makes no representations about the suitability of this software
for any purpose. It is provided “as is” without express or implied warranty.
Copyright (c) 1996, 1997 Silicon Graphics Computer Systems, Inc. Permission to use, copy, modify, distribute and sell this software and its documentation for any purpose is
hereby granted without fee, provided that the above copyright notice appear in all copies and that both that copyright notice and this permission notice appear in supporting
documentation. Silicon Graphics makes no representations about the suitability of this software for any purpose. It is provided “as is” without express or implied warranty.
Notice to U.S. Government End Users: The Software and Documentation are “Commercial Items,” as that term is defined at 48 C.F.R. §2.101, consisting of “Commercial
Computer Software” and “Commercial Computer Software Documentation,” as such terms are used in 48 C.F.R. §12.212 or 48 C.F.R. §227.7202, as applicable. Consistent with
48 C.F.R. §12.212 or 48 C.F.R. §§227.7202-1 through 227.7202-4, as applicable, the Commercial Computer Software and Commercial Computer Software Documentation are
being licensed to U.S. Government end users (a) only as Commercial Items and (b) with only those rights as are granted to all other end users pursuant to the terms and conditions
herein. Unpublished-rights reserved under the copyright laws of the United States. Adobe agrees to comply with all applicable equal opportunity laws including, if appropriate,
the provisions of Executive Order 11246, as amended, Section 402 of the Vietnam Era Veterans Readjustment Assistance Act of 1974 (38 USC 4212), and Section 503 of the
Rehabilitation Act of 1973, as amended, and the regulations at 41 CFR Parts 60-1 through 60-60, 60-250, and 60-741. The affirmative action clause and regulations contained in
the preceding sentence shall be incorporated by reference.
Adobe Systems Incorporated, 345 Park Avenue, San Jose, California 95110, USA.

iii
Contents
Chapter 1: Getting started
Installation . . . . . . . . . . . . . . . . . . . . . . . . . . . . . . . . . . . . . . . . . . . . . . . . . . . . . . . . . . . . . . . . . . . . . . . . . . . . . . . 1
Adobe Help . . . . . . . . . . . . . . . . . . . . . . . . . . . . . . . . . . . . . . . . . . . . . . . . . . . . . . . . . . . . . . . . . . . . . . . . . . . . . . . 2
Resources . . . . . . . . . . . . . . . . . . . . . . . . . . . . . . . . . . . . . . . . . . . . . . . . . . . . . . . . . . . . . . . . . . . . . . . . . . . . . . . . 5
What’s new . . . . . . . . . . . . . . . . . . . . . . . . . . . . . . . . . . . . . . . . . . . . . . . . . . . . . . . . . . . . . . . . . . . . . . . . . . . . . . 11
Chapter 2: Workspace
Workspace basics . . . . . . . . . . . . . . . . . . . . . . . . . . . . . . . . . . . . . . . . . . . . . . . . . . . . . . . . . . . . . . . . . . . . . . . . 15
Customize menus and keyboard shortcuts . . . . . . . . . . . . . . . . . . . . . . . . . . . . . . . . . . . . . . . . . . . . . . . . 24
Toolbox . . . . . . . . . . . . . . . . . . . . . . . . . . . . . . . . . . . . . . . . . . . . . . . . . . . . . . . . . . . . . . . . . . . . . . . . . . . . . . . . . 26
Viewing the workspace . . . . . . . . . . . . . . . . . . . . . . . . . . . . . . . . . . . . . . . . . . . . . . . . . . . . . . . . . . . . . . . . . . 31
Setting preferences . . . . . . . . . . . . . . . . . . . . . . . . . . . . . . . . . . . . . . . . . . . . . . . . . . . . . . . . . . . . . . . . . . . . . . 36
Recovery and undo . . . . . . . . . . . . . . . . . . . . . . . . . . . . . . . . . . . . . . . . . . . . . . . . . . . . . . . . . . . . . . . . . . . . . . 38
Chapter 3: Layout
Creating documents . . . . . . . . . . . . . . . . . . . . . . . . . . . . . . . . . . . . . . . . . . . . . . . . . . . . . . . . . . . . . . . . . . . . . 40
Creating custom page sizes . . . . . . . . . . . . . . . . . . . . . . . . . . . . . . . . . . . . . . . . . . . . . . . . . . . . . . . . . . . . . . 44
Rulers and measurement units . . . . . . . . . . . . . . . . . . . . . . . . . . . . . . . . . . . . . . . . . . . . . . . . . . . . . . . . . . . 45
Grids . . . . . . . . . . . . . . . . . . . . . . . . . . . . . . . . . . . . . . . . . . . . . . . . . . . . . . . . . . . . . . . . . . . . . . . . . . . . . . . . . . . . 50
Ruler guides . . . . . . . . . . . . . . . . . . . . . . . . . . . . . . . . . . . . . . . . . . . . . . . . . . . . . . . . . . . . . . . . . . . . . . . . . . . . . 52
Pages and spreads . . . . . . . . . . . . . . . . . . . . . . . . . . . . . . . . . . . . . . . . . . . . . . . . . . . . . . . . . . . . . . . . . . . . . . . 57
Masters . . . . . . . . . . . . . . . . . . . . . . . . . . . . . . . . . . . . . . . . . . . . . . . . . . . . . . . . . . . . . . . . . . . . . . . . . . . . . . . . . . 62
Layers . . . . . . . . . . . . . . . . . . . . . . . . . . . . . . . . . . . . . . . . . . . . . . . . . . . . . . . . . . . . . . . . . . . . . . . . . . . . . . . . . . . 69
Laying out frames and pages . . . . . . . . . . . . . . . . . . . . . . . . . . . . . . . . . . . . . . . . . . . . . . . . . . . . . . . . . . . . . 75
Numbering pages, chapters, and sections . . . . . . . . . . . . . . . . . . . . . . . . . . . . . . . . . . . . . . . . . . . . . . . . 79
Text variables . . . . . . . . . . . . . . . . . . . . . . . . . . . . . . . . . . . . . . . . . . . . . . . . . . . . . . . . . . . . . . . . . . . . . . . . . . . . 85
Chapter 4: Working with documents
Working with files and templates . . . . . . . . . . . . . . . . . . . . . . . . . . . . . . . . . . . . . . . . . . . . . . . . . . . . . . . . . 90
Saving documents . . . . . . . . . . . . . . . . . . . . . . . . . . . . . . . . . . . . . . . . . . . . . . . . . . . . . . . . . . . . . . . . . . . . . . . 95
Converting QuarkXPress and PageMaker documents . . . . . . . . . . . . . . . . . . . . . . . . . . . . . . . . . . . . . . 98
Exporting . . . . . . . . . . . . . . . . . . . . . . . . . . . . . . . . . . . . . . . . . . . . . . . . . . . . . . . . . . . . . . . . . . . . . . . . . . . . . . . 102
Chapter 5: Text
Creating text and text frames . . . . . . . . . . . . . . . . . . . . . . . . . . . . . . . . . . . . . . . . . . . . . . . . . . . . . . . . . . . . 111
Adding text to frames . . . . . . . . . . . . . . . . . . . . . . . . . . . . . . . . . . . . . . . . . . . . . . . . . . . . . . . . . . . . . . . . . . . 114
Importing text . . . . . . . . . . . . . . . . . . . . . . . . . . . . . . . . . . . . . . . . . . . . . . . . . . . . . . . . . . . . . . . . . . . . . . . . . . 117
Threading text . . . . . . . . . . . . . . . . . . . . . . . . . . . . . . . . . . . . . . . . . . . . . . . . . . . . . . . . . . . . . . . . . . . . . . . . . . 122
Text frame properties . . . . . . . . . . . . . . . . . . . . . . . . . . . . . . . . . . . . . . . . . . . . . . . . . . . . . . . . . . . . . . . . . . . 126
Editing text . . . . . . . . . . . . . . . . . . . . . . . . . . . . . . . . . . . . . . . . . . . . . . . . . . . . . . . . . . . . . . . . . . . . . . . . . . . . 128
Find/Change . . . . . . . . . . . . . . . . . . . . . . . . . . . . . . . . . . . . . . . . . . . . . . . . . . . . . . . . . . . . . . . . . . . . . . . . . . . . 132
Glyphs and special characters . . . . . . . . . . . . . . . . . . . . . . . . . . . . . . . . . . . . . . . . . . . . . . . . . . . . . . . . . . . 147

iv
Spell-checking and language dictionaries . . . . . . . . . . . . . . . . . . . . . . . . . . . . . . . . . . . . . . . . . . . . . . . 153
Footnotes . . . . . . . . . . . . . . . . . . . . . . . . . . . . . . . . . . . . . . . . . . . . . . . . . . . . . . . . . . . . . . . . . . . . . . . . . . . . . . 161
Chapter 6: Styles
Paragraph and character styles . . . . . . . . . . . . . . . . . . . . . . . . . . . . . . . . . . . . . . . . . . . . . . . . . . . . . . . . . . 165
Drop caps and nested styles . . . . . . . . . . . . . . . . . . . . . . . . . . . . . . . . . . . . . . . . . . . . . . . . . . . . . . . . . . . . . 173
Object styles . . . . . . . . . . . . . . . . . . . . . . . . . . . . . . . . . . . . . . . . . . . . . . . . . . . . . . . . . . . . . . . . . . . . . . . . . . . . 177
Working with styles . . . . . . . . . . . . . . . . . . . . . . . . . . . . . . . . . . . . . . . . . . . . . . . . . . . . . . . . . . . . . . . . . . . . . 183
Chapter 7: Combining text and objects
Anchored objects . . . . . . . . . . . . . . . . . . . . . . . . . . . . . . . . . . . . . . . . . . . . . . . . . . . . . . . . . . . . . . . . . . . . . . . 186
Wrapping text around objects . . . . . . . . . . . . . . . . . . . . . . . . . . . . . . . . . . . . . . . . . . . . . . . . . . . . . . . . . . . 195
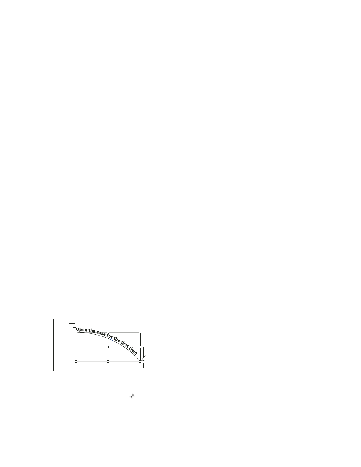
Creating type on a path . . . . . . . . . . . . . . . . . . . . . . . . . . . . . . . . . . . . . . . . . . . . . . . . . . . . . . . . . . . . . . . . . 199
Chapter 8: Typography
Formatting text . . . . . . . . . . . . . . . . . . . . . . . . . . . . . . . . . . . . . . . . . . . . . . . . . . . . . . . . . . . . . . . . . . . . . . . . . 204
Using fonts . . . . . . . . . . . . . . . . . . . . . . . . . . . . . . . . . . . . . . . . . . . . . . . . . . . . . . . . . . . . . . . . . . . . . . . . . . . . . 206
Leading . . . . . . . . . . . . . . . . . . . . . . . . . . . . . . . . . . . . . . . . . . . . . . . . . . . . . . . . . . . . . . . . . . . . . . . . . . . . . . . . 211
Kerning and tracking . . . . . . . . . . . . . . . . . . . . . . . . . . . . . . . . . . . . . . . . . . . . . . . . . . . . . . . . . . . . . . . . . . . . 212
Formatting characters . . . . . . . . . . . . . . . . . . . . . . . . . . . . . . . . . . . . . . . . . . . . . . . . . . . . . . . . . . . . . . . . . . . 215
Formatting paragraphs . . . . . . . . . . . . . . . . . . . . . . . . . . . . . . . . . . . . . . . . . . . . . . . . . . . . . . . . . . . . . . . . . . 222
Aligning text . . . . . . . . . . . . . . . . . . . . . . . . . . . . . . . . . . . . . . . . . . . . . . . . . . . . . . . . . . . . . . . . . . . . . . . . . . . . 227
Indents . . . . . . . . . . . . . . . . . . . . . . . . . . . . . . . . . . . . . . . . . . . . . . . . . . . . . . . . . . . . . . . . . . . . . . . . . . . . . . . . . 230
Tabs . . . . . . . . . . . . . . . . . . . . . . . . . . . . . . . . . . . . . . . . . . . . . . . . . . . . . . . . . . . . . . . . . . . . . . . . . . . . . . . . . . . . 233
Bullets and numbering . . . . . . . . . . . . . . . . . . . . . . . . . . . . . . . . . . . . . . . . . . . . . . . . . . . . . . . . . . . . . . . . . . 237
Composing text . . . . . . . . . . . . . . . . . . . . . . . . . . . . . . . . . . . . . . . . . . . . . . . . . . . . . . . . . . . . . . . . . . . . . . . . . 246
Chapter 9: Tables
Creating tables . . . . . . . . . . . . . . . . . . . . . . . . . . . . . . . . . . . . . . . . . . . . . . . . . . . . . . . . . . . . . . . . . . . . . . . . . 252
Selecting and editing tables . . . . . . . . . . . . . . . . . . . . . . . . . . . . . . . . . . . . . . . . . . . . . . . . . . . . . . . . . . . . . 257
Formatting tables . . . . . . . . . . . . . . . . . . . . . . . . . . . . . . . . . . . . . . . . . . . . . . . . . . . . . . . . . . . . . . . . . . . . . . . 260
Table strokes and fills . . . . . . . . . . . . . . . . . . . . . . . . . . . . . . . . . . . . . . . . . . . . . . . . . . . . . . . . . . . . . . . . . . . 264
Table and cell styles . . . . . . . . . . . . . . . . . . . . . . . . . . . . . . . . . . . . . . . . . . . . . . . . . . . . . . . . . . . . . . . . . . . . . 268
Chapter 10: Long document features
Creating book files . . . . . . . . . . . . . . . . . . . . . . . . . . . . . . . . . . . . . . . . . . . . . . . . . . . . . . . . . . . . . . . . . . . . . . 274
Creating a table of contents . . . . . . . . . . . . . . . . . . . . . . . . . . . . . . . . . . . . . . . . . . . . . . . . . . . . . . . . . . . . . 279
Creating an index . . . . . . . . . . . . . . . . . . . . . . . . . . . . . . . . . . . . . . . . . . . . . . . . . . . . . . . . . . . . . . . . . . . . . . . 285
Working with markers . . . . . . . . . . . . . . . . . . . . . . . . . . . . . . . . . . . . . . . . . . . . . . . . . . . . . . . . . . . . . . . . . . . 297
Chapter 11: Drawing
Understanding paths and shapes . . . . . . . . . . . . . . . . . . . . . . . . . . . . . . . . . . . . . . . . . . . . . . . . . . . . . . . . 298
Drawing with the line or shape tools . . . . . . . . . . . . . . . . . . . . . . . . . . . . . . . . . . . . . . . . . . . . . . . . . . . . . 301
Drawing with the Pencil tool . . . . . . . . . . . . . . . . . . . . . . . . . . . . . . . . . . . . . . . . . . . . . . . . . . . . . . . . . . . . 302
Drawing with the Pen tool . . . . . . . . . . . . . . . . . . . . . . . . . . . . . . . . . . . . . . . . . . . . . . . . . . . . . . . . . . . . . . . 304
Editing paths . . . . . . . . . . . . . . . . . . . . . . . . . . . . . . . . . . . . . . . . . . . . . . . . . . . . . . . . . . . . . . . . . . . . . . . . . . . 309

v
Applying line (stroke) settings . . . . . . . . . . . . . . . . . . . . . . . . . . . . . . . . . . . . . . . . . . . . . . . . . . . . . . . . . . . 316
Compound paths and shapes . . . . . . . . . . . . . . . . . . . . . . . . . . . . . . . . . . . . . . . . . . . . . . . . . . . . . . . . . . . 321
Chapter 12: Graphics
Understanding graphics formats . . . . . . . . . . . . . . . . . . . . . . . . . . . . . . . . . . . . . . . . . . . . . . . . . . . . . . . . 327
Importing files from Adobe applications . . . . . . . . . . . . . . . . . . . . . . . . . . . . . . . . . . . . . . . . . . . . . . . . . 329
Importing other graphics formats . . . . . . . . . . . . . . . . . . . . . . . . . . . . . . . . . . . . . . . . . . . . . . . . . . . . . . . 334
Placing graphics . . . . . . . . . . . . . . . . . . . . . . . . . . . . . . . . . . . . . . . . . . . . . . . . . . . . . . . . . . . . . . . . . . . . . . . . 337
Managing graphics links . . . . . . . . . . . . . . . . . . . . . . . . . . . . . . . . . . . . . . . . . . . . . . . . . . . . . . . . . . . . . . . . 349
Object libraries . . . . . . . . . . . . . . . . . . . . . . . . . . . . . . . . . . . . . . . . . . . . . . . . . . . . . . . . . . . . . . . . . . . . . . . . . 354
Chapter 13: Frames and objects
Selecting objects . . . . . . . . . . . . . . . . . . . . . . . . . . . . . . . . . . . . . . . . . . . . . . . . . . . . . . . . . . . . . . . . . . . . . . . 358
Transforming objects . . . . . . . . . . . . . . . . . . . . . . . . . . . . . . . . . . . . . . . . . . . . . . . . . . . . . . . . . . . . . . . . . . . 364
Aligning and distributing objects . . . . . . . . . . . . . . . . . . . . . . . . . . . . . . . . . . . . . . . . . . . . . . . . . . . . . . . . 378
Grouping, locking, and duplicating objects . . . . . . . . . . . . . . . . . . . . . . . . . . . . . . . . . . . . . . . . . . . . . . 381
Working with frames and objects . . . . . . . . . . . . . . . . . . . . . . . . . . . . . . . . . . . . . . . . . . . . . . . . . . . . . . . . 383
Clipping paths . . . . . . . . . . . . . . . . . . . . . . . . . . . . . . . . . . . . . . . . . . . . . . . . . . . . . . . . . . . . . . . . . . . . . . . . . . 388
Chapter 14: Transparency effects
Adding transparency effects . . . . . . . . . . . . . . . . . . . . . . . . . . . . . . . . . . . . . . . . . . . . . . . . . . . . . . . . . . . . 392
Blending colors . . . . . . . . . . . . . . . . . . . . . . . . . . . . . . . . . . . . . . . . . . . . . . . . . . . . . . . . . . . . . . . . . . . . . . . . . 401
Flattening transparent artwork . . . . . . . . . . . . . . . . . . . . . . . . . . . . . . . . . . . . . . . . . . . . . . . . . . . . . . . . . . 404
Chapter 15: Color
Understanding spot and process colors . . . . . . . . . . . . . . . . . . . . . . . . . . . . . . . . . . . . . . . . . . . . . . . . . . 413
Applying color . . . . . . . . . . . . . . . . . . . . . . . . . . . . . . . . . . . . . . . . . . . . . . . . . . . . . . . . . . . . . . . . . . . . . . . . . . 415
Working with swatches . . . . . . . . . . . . . . . . . . . . . . . . . . . . . . . . . . . . . . . . . . . . . . . . . . . . . . . . . . . . . . . . . 419
Importing swatches . . . . . . . . . . . . . . . . . . . . . . . . . . . . . . . . . . . . . . . . . . . . . . . . . . . . . . . . . . . . . . . . . . . . . 424
Tints . . . . . . . . . . . . . . . . . . . . . . . . . . . . . . . . . . . . . . . . . . . . . . . . . . . . . . . . . . . . . . . . . . . . . . . . . . . . . . . . . . . . 426
Gradients . . . . . . . . . . . . . . . . . . . . . . . . . . . . . . . . . . . . . . . . . . . . . . . . . . . . . . . . . . . . . . . . . . . . . . . . . . . . . . . 428
Mixing inks . . . . . . . . . . . . . . . . . . . . . . . . . . . . . . . . . . . . . . . . . . . . . . . . . . . . . . . . . . . . . . . . . . . . . . . . . . . . . 433
Using colors from imported graphics . . . . . . . . . . . . . . . . . . . . . . . . . . . . . . . . . . . . . . . . . . . . . . . . . . . . 435
Chapter 16: Color management
Understanding color management . . . . . . . . . . . . . . . . . . . . . . . . . . . . . . . . . . . . . . . . . . . . . . . . . . . . . . 437
Keeping colors consistent . . . . . . . . . . . . . . . . . . . . . . . . . . . . . . . . . . . . . . . . . . . . . . . . . . . . . . . . . . . . . . . 439
Color-managing imported images . . . . . . . . . . . . . . . . . . . . . . . . . . . . . . . . . . . . . . . . . . . . . . . . . . . . . . . 443
Color-managing documents for online viewing . . . . . . . . . . . . . . . . . . . . . . . . . . . . . . . . . . . . . . . . . . 445
Proofing colors . . . . . . . . . . . . . . . . . . . . . . . . . . . . . . . . . . . . . . . . . . . . . . . . . . . . . . . . . . . . . . . . . . . . . . . . . 446
Color-managing documents when printing . . . . . . . . . . . . . . . . . . . . . . . . . . . . . . . . . . . . . . . . . . . . . . 448
Working with color profiles . . . . . . . . . . . . . . . . . . . . . . . . . . . . . . . . . . . . . . . . . . . . . . . . . . . . . . . . . . . . . . 450
Color settings . . . . . . . . . . . . . . . . . . . . . . . . . . . . . . . . . . . . . . . . . . . . . . . . . . . . . . . . . . . . . . . . . . . . . . . . . . . 455

vi
Chapter 17: Trapping color
Trapping documents and books . . . . . . . . . . . . . . . . . . . . . . . . . . . . . . . . . . . . . . . . . . . . . . . . . . . . . . . . . 460
Trap presets . . . . . . . . . . . . . . . . . . . . . . . . . . . . . . . . . . . . . . . . . . . . . . . . . . . . . . . . . . . . . . . . . . . . . . . . . . . . 464
Adjusting ink options for trapping . . . . . . . . . . . . . . . . . . . . . . . . . . . . . . . . . . . . . . . . . . . . . . . . . . . . . . . 470
Chapter 18: Creating Adobe PDF files
Exporting to Adobe PDF . . . . . . . . . . . . . . . . . . . . . . . . . . . . . . . . . . . . . . . . . . . . . . . . . . . . . . . . . . . . . . . . 472
Adobe PDF options . . . . . . . . . . . . . . . . . . . . . . . . . . . . . . . . . . . . . . . . . . . . . . . . . . . . . . . . . . . . . . . . . . . . . 478
Preparing PDFs for service providers . . . . . . . . . . . . . . . . . . . . . . . . . . . . . . . . . . . . . . . . . . . . . . . . . . . . . 487
Structuring PDFs . . . . . . . . . . . . . . . . . . . . . . . . . . . . . . . . . . . . . . . . . . . . . . . . . . . . . . . . . . . . . . . . . . . . . . . . 489
Adding hyperlinks for PDFs . . . . . . . . . . . . . . . . . . . . . . . . . . . . . . . . . . . . . . . . . . . . . . . . . . . . . . . . . . . . . . 494
Including bookmarks in PDFs . . . . . . . . . . . . . . . . . . . . . . . . . . . . . . . . . . . . . . . . . . . . . . . . . . . . . . . . . . . . 498
Using movies and sounds in PDFs . . . . . . . . . . . . . . . . . . . . . . . . . . . . . . . . . . . . . . . . . . . . . . . . . . . . . . . 499
Creating buttons for PDFs . . . . . . . . . . . . . . . . . . . . . . . . . . . . . . . . . . . . . . . . . . . . . . . . . . . . . . . . . . . . . . . 503
Chapter 19: XML
Working with XML . . . . . . . . . . . . . . . . . . . . . . . . . . . . . . . . . . . . . . . . . . . . . . . . . . . . . . . . . . . . . . . . . . . . . . 510
Importing XML . . . . . . . . . . . . . . . . . . . . . . . . . . . . . . . . . . . . . . . . . . . . . . . . . . . . . . . . . . . . . . . . . . . . . . . . . 513
Tagging content for XML . . . . . . . . . . . . . . . . . . . . . . . . . . . . . . . . . . . . . . . . . . . . . . . . . . . . . . . . . . . . . . . . 524
Structuring documents for XML . . . . . . . . . . . . . . . . . . . . . . . . . . . . . . . . . . . . . . . . . . . . . . . . . . . . . . . . . 530
Exporting XML . . . . . . . . . . . . . . . . . . . . . . . . . . . . . . . . . . . . . . . . . . . . . . . . . . . . . . . . . . . . . . . . . . . . . . . . . . 538
Chapter 20: Printing
Printing documents . . . . . . . . . . . . . . . . . . . . . . . . . . . . . . . . . . . . . . . . . . . . . . . . . . . . . . . . . . . . . . . . . . . . . 541
Setting up a printer . . . . . . . . . . . . . . . . . . . . . . . . . . . . . . . . . . . . . . . . . . . . . . . . . . . . . . . . . . . . . . . . . . . . . 549
Printer’s marks and bleeds . . . . . . . . . . . . . . . . . . . . . . . . . . . . . . . . . . . . . . . . . . . . . . . . . . . . . . . . . . . . . . . 550
Printing thumbnails and oversized documents . . . . . . . . . . . . . . . . . . . . . . . . . . . . . . . . . . . . . . . . . . . 552
Printing in color . . . . . . . . . . . . . . . . . . . . . . . . . . . . . . . . . . . . . . . . . . . . . . . . . . . . . . . . . . . . . . . . . . . . . . . . . 554
Printing graphics and fonts . . . . . . . . . . . . . . . . . . . . . . . . . . . . . . . . . . . . . . . . . . . . . . . . . . . . . . . . . . . . . . 555
Managing color . . . . . . . . . . . . . . . . . . . . . . . . . . . . . . . . . . . . . . . . . . . . . . . . . . . . . . . . . . . . . . . . . . . . . . . . . 557
Printing gradients and color blends . . . . . . . . . . . . . . . . . . . . . . . . . . . . . . . . . . . . . . . . . . . . . . . . . . . . . . 559
Print presets . . . . . . . . . . . . . . . . . . . . . . . . . . . . . . . . . . . . . . . . . . . . . . . . . . . . . . . . . . . . . . . . . . . . . . . . . . . . 560
Handing off files . . . . . . . . . . . . . . . . . . . . . . . . . . . . . . . . . . . . . . . . . . . . . . . . . . . . . . . . . . . . . . . . . . . . . . . . 562
Creating PostScript and EPS files . . . . . . . . . . . . . . . . . . . . . . . . . . . . . . . . . . . . . . . . . . . . . . . . . . . . . . . . . 564
Printing booklets . . . . . . . . . . . . . . . . . . . . . . . . . . . . . . . . . . . . . . . . . . . . . . . . . . . . . . . . . . . . . . . . . . . . . . . 569
Chapter 21: Color separations
Preparing to print separations . . . . . . . . . . . . . . . . . . . . . . . . . . . . . . . . . . . . . . . . . . . . . . . . . . . . . . . . . . . 574
Overprinting . . . . . . . . . . . . . . . . . . . . . . . . . . . . . . . . . . . . . . . . . . . . . . . . . . . . . . . . . . . . . . . . . . . . . . . . . . . . 577
Previewing color separations . . . . . . . . . . . . . . . . . . . . . . . . . . . . . . . . . . . . . . . . . . . . . . . . . . . . . . . . . . . . 581
Inks, separations, and screen frequency . . . . . . . . . . . . . . . . . . . . . . . . . . . . . . . . . . . . . . . . . . . . . . . . . . 583
Chapter 22: Automation
Scripting . . . . . . . . . . . . . . . . . . . . . . . . . . . . . . . . . . . . . . . . . . . . . . . . . . . . . . . . . . . . . . . . . . . . . . . . . . . . . . . 590
Plug-ins . . . . . . . . . . . . . . . . . . . . . . . . . . . . . . . . . . . . . . . . . . . . . . . . . . . . . . . . . . . . . . . . . . . . . . . . . . . . . . . . 591
Data merge . . . . . . . . . . . . . . . . . . . . . . . . . . . . . . . . . . . . . . . . . . . . . . . . . . . . . . . . . . . . . . . . . . . . . . . . . . . . . 592
Merging records . . . . . . . . . . . . . . . . . . . . . . . . . . . . . . . . . . . . . . . . . . . . . . . . . . . . . . . . . . . . . . . . . . . . . . . . 599

vii
Chapter 23: Sharing content between InCopy and InDesign
Understanding a basic managed-file workflow . . . . . . . . . . . . . . . . . . . . . . . . . . . . . . . . . . . . . . . . . . . 602
Sharing content . . . . . . . . . . . . . . . . . . . . . . . . . . . . . . . . . . . . . . . . . . . . . . . . . . . . . . . . . . . . . . . . . . . . . . . . . 609
Assignment packages . . . . . . . . . . . . . . . . . . . . . . . . . . . . . . . . . . . . . . . . . . . . . . . . . . . . . . . . . . . . . . . . . . . 615
Working with managed files . . . . . . . . . . . . . . . . . . . . . . . . . . . . . . . . . . . . . . . . . . . . . . . . . . . . . . . . . . . . . 617
Adjusting your workflow . . . . . . . . . . . . . . . . . . . . . . . . . . . . . . . . . . . . . . . . . . . . . . . . . . . . . . . . . . . . . . . . 623
Chapter 24: Comparison of PageMaker and InDesign menus
PageMaker menu commands . . . . . . . . . . . . . . . . . . . . . . . . . . . . . . . . . . . . . . . . . . . . . . . . . . . . . . . . . . . 627
Chapter 25: Keyboard shortcuts
Default keyboard shortcuts . . . . . . . . . . . . . . . . . . . . . . . . . . . . . . . . . . . . . . . . . . . . . . . . . . . . . . . . . . . . . 634
Index . . . . . . . . . . . . . . . . . . . . . . . . . . . . . . . . . . . . . . . . . . . . . . . . . . . . . . . . . . . . . . . . . . . . . . . . . . . . . . . . . . 649

1
Chapter 1: Getting started
If you haven’t installed your new software, begin by reading some information on installation and other prelimi-
naries. Before you begin working with your software, take a few moments to read an overview of Adobe® Help and
of the many resources available to users. You have access to instructional videos, plug-ins, templates, user commu-
nities, seminars, tutorials, RSS feeds, and much more.
Installation
Requirements
❖To review complete system requirements and recommendations for your Adobe® software, see the Read Me file
on the installation disc.
Install the software
1Close any other Adobe applications open on your computer.
2Insert the installation disc into the disc drive, and follow the on-screen instructions.
Note: For more information, see the Read Me file on the installation disc.
Activate the software
Ifyouhaveasingle-userretaillicenseforyourAdobesoftware,youwillbeaskedtoactivateyoursoftware;thisisa
simple, anonymous process that you must complete within 30 days of starting the software.
For more information on product activation, see the Read Me file on your installation disc, or visit the Adobe website
at www.adobe.com/go/activation.
1If the Activation dialog box isn’t already open, choose Help > Activate.
2Follow the on-screen instructions.
Note: If you want to install the software on a different computer, you must first deactivate it on your computer. Choose
Help > Deactivate.
Register
Register your product to receive complimentary installation support, notifications of updates, and other services.
❖To register, follow the on-screen instructions in the Registration dialog box, which appears after you install and
activate the software.
If you postpone registration, you can register at any time by choosing Help > Registration.

INDESIGN CS3
User Guide
2
Read Me
The installation disc contains the Read Me file for your software. (This file is also copied to the application folder
during product installation.) Open the file to read important information about the following topics:
•System requirements
•Installation (including uninstalling the software)
•Activation and registration
•Font installation
•Troubleshooting
•Customer support
•Legal notices
Adobe Help
Adobe Help resources
Documentation for your Adobe software is available in a variety of formats.
In-product and LiveDocs Help
In-product Help provides access to all documentation and instructional content available at the time the software
ships. It is available through the Help menu in your Adobe software.
LiveDocs Help includes all the content from in-product Help, plus updates and links to additional instructional
content available on the web. For some products, you can also add comments to the topics in LiveDocs Help. Find
LiveDocs Help for your product in the Adobe Help Resource Center, at www.adobe.com/go/documentation.

INDESIGN CS3
User Guide
3
Most versions of in-product and LiveDocs Help let you search across the Help systems of multiple products. Topics
may also contain links to relevant content on the web or to topics in the Help of another product.
Think of Help, both in the product and on the web, as a hub for accessing additional content and communities of
users. The most complete and up-to-date version of Help is always on the web.
Adobe PDF documentation
The in-product Help is also available as a PDF that is optimized for printing. Other documents, such as installation
guides and white papers, may also be provided as PDFs.
All PDF documentation is available through the Adobe Help Resource Center, at www.adobe.com/go/documen-
tation. To see the PDF documentation included with your software, look in the Documents folder on the installation
or content DVD.
Printed documentation
Printed editions of the in-product Help are available for purchase in the Adobe Store, at www.adobe.com/go/store.
You can also find books published by Adobe publishing partners in the Adobe Store.
A printed workflow guide is included with all Adobe Creative Suite® 3 products, and stand-alone Adobe products
may include a printed getting started guide.
Using Help in the product
In-productHelpisavailablethroughtheHelpmenu.AfteryoustarttheAdobeHelpViewer,clickBrowsetoseeHelp
for additional Adobe products installed on your computer.
These Help features facilitate cross-product learning:
•Topics may contain links to the Help systems of other Adobe products or to additional content on the web.
•Some topics are shared across two or more products. For instance, if you see a Help topic with an Adobe
Photoshop® CS3 icon and an Adobe After Effects® CS3 icon, you know that the topic either describes functionality
that is similar in the two products or describes cross-product workflows.
•You can search across the Help systems of multiple products.
If you search for a phrase, such as “shape tool,” enclose it in quotation marks to see only those topics that include all
the words in the phrase.

INDESIGN CS3
User Guide
4
Adobe Help
A. Back/Forward buttons (previously visited links) B. Expandable subtopics C. Icons indicating shared topic D. Previous/Next buttons (topics
in sequential order)
Accessibility features
Adobe Help content is accessible to people with disabilities—such as mobility impairments, blindness, and low
vision. In-product Help supports these standard accessibility features:
•The user can change text size with standard context menu commands.
•Links are underlined for easy recognition.
•If link text doesn’t match the title of the destination, the title is referenced in the Title attribute of the Anchor tag.
For example, the Previous and Next links include the titles of the previous and next topics.
•Content supports high-contrast mode.
•Graphics without captions include alternate text.
•Each frame has a title to indicate its purpose.
•Standard HTML tags define content structure for screen reading or text-to-speech tools.
•Style sheets control formatting, so there are no embedded fonts.
Keyboard shortcuts for Help toolbar controls (Windows)
Back button Alt+Left Arrow
Forward button Alt+Right Arrow
Print Ctrl+P
About button Ctrl+I
Browse menu Alt+Down Arrow or Alt+Up Arrow to view Help for another application
Search box Ctrl+S to place the insertion point in the Search box
C
D
B
A

INDESIGN CS3
User Guide
5
Keyboard shortcuts for Help navigation (Windows)
•To move between panes, press Ctrl+Tab (forward) and Shift+Ctrl+Tab (backward).
•To move through and outline links in a pane, press Tab (forward) or Shift+Tab (backward).
•To activate an outlined link, press Enter.
•To make text bigger, press Ctrl+equal sign.
•To make text smaller, press Ctrl+hyphen.
Resources
Adobe Video Workshop
The Adobe Creative Suite 3 Video Workshop offers over 200 training videos covering a wide range of subjects for
print, web, and video professionals.
YoucanusetheAdobeVideoWorkshoptolearnaboutanyCreativeSuite3product.Manyvideosshowyouhowto
use Adobe applications together.

INDESIGN CS3
User Guide
6
When you start the Adobe Video Workshop, you choose the products you want to learn and the subjects you want
to view. You can see details about each video to focus and direct your learning.
Community of presenters
With this release, Adobe Systems invited the community of its users to share their expertise and insights. Adobe and
lynda.com present tutorials, tips, and tricks from leading designers and developers such as Joseph Lowery, Katrin
Eismann, and Chris Georgenes. You can see and hear Adobe experts such as Lynn Grillo, Greg Rewis, and Russell
Brown. In all, over 30 product experts share their knowledge.
Tutorials and source files
The Adobe Video Workshop includes training for novices and experienced users. You’ll also find videos on new
features and key techniques. Each video covers a single subject and typically runs about 3-5 minutes. Most videos
come with an illustrated tutorial and source files, so you can print detailed steps and try the tutorial on your own.
Using Adobe Video Workshop
YoucanaccessAdobeVideoWorkshopusingtheDVDincludedwithyourCreativeSuite3product.It’salsoavailable
online at www.adobe.com/go/learn_videotutorials. Adobe will regularly add new videos to the online Video
Workshop, so check in to see what’s new.
InDesign CS3 videos
Adobe Video Workshop covers a wide range of subjects for Adobe InDesign® CS3, including these:
•Setting up a document
•Using the Control panel
•Importing content into InDesign
•Working with text

INDESIGN CS3
User Guide
7
•Creating and formatting tables
Videos also show you how to use InDesign CS3 with other Adobe products:
•Using shared elements in Photoshop®, Illustrator®, InDesign, and Flash®
•Using Smart Objects and Live Color
•Designing a website with InDesign and Dreamweaver®
•Creating interactive PDF files
To access Adobe Creative Suite 3 video tutorials, visit Adobe Video Workshop at
www.adobe.com/go/learn_videotutorials.
Extras
You have access to a wide variety of resources that will help you make the most of your Adobe software. Some of
these resources are installed on your computer during the setup process; additional helpful samples and documents
are included on the installation or content disc. Unique extras are also offered online by the Adobe Exchange
community, at www.adobe.com/go/exchange.
Installed resources
During software installation, a number of resources are placed in your application folder. To view those files, navigate
to the application folder on your computer.
•Windows®: [startup drive]\Program Files\Adobe\[Adobe application]
•Mac OS®: [startup drive]/Applications/[Adobe application]
The application folder may contain the following resources:
Plug-ins Plug-in modules are small software programs that extend or add features to your software. Once installed,
plug-in modules appear as options in the Import or Export menu; as file formats in the Open, Save As, and Export
Original dialog boxes; or as filters in the Filter submenus. For example, a number of special effects plug-ins are
automatically installed in the Plug-ins folder inside the Photoshop CS3 folder.
Presets Presets include a wide variety of useful tools, preferences, effects, and images. Product presets include
brushes, swatches, color groups, symbols, custom shapes, graphic and layer styles, patterns, textures, actions,
workspaces, and more. Preset content can be found throughout the user interface. Some presets (for example,
Photoshop Brush libraries) become available only when you select the corresponding tool. If you don’t want to create
an effect or image from scratch, go to the preset libraries for inspiration.
Templates Template files can be opened and viewed from Adobe Bridge CS3, opened from the Welcome Screen, or
opened directly from the File menu. Depending on the product, template files range from letterheads, newsletters,

INDESIGN CS3
User Guide
8
and websites to DVD menus and video buttons. Each template file is professionally constructed and represents a
best-use example of product features. Templates can be a valuable resource when you need to jump-start a project.
Samples Sample files include more complicated designs and are a great way to see new features in action. These files
demonstrate the range of creative possibilities available to you.
Fonts Several OpenType® fonts and font families are included with your Creative Suite product. Fonts are copied to
your computer during installation:
•Windows: [startup drive]\Windows\Fonts
•Mac OS X: [startup drive]/Library/Fonts
For information about installing fonts, see the Read Me file on the installation DVD.
DVD content
The installation or content DVD included with your product contains additional resources for use with your
software. The Goodies folder contains product-specific files such as templates, images, presets, actions, plug-ins, and
effects, along with subfolders for Fonts and Stock Photography. The Documentation folder contains a PDF version
of the Help, technical information, and other documents such as specimen sheets, reference guides, and specialized
feature information.
Adobe Exchange
For more free content, visit www.adobe.com/go/exchange, an online community where users download and share
thousands of free actions, extensions, plug-ins, and other content for use with Adobe products.
Bridge Home
Bridge Home, a new destination in Adobe Bridge CS3, provides up-to-date information on all your Adobe Creative
Suite 3 software in one convenient location. Start Adobe Bridge, then click the Bridge Home icon at the top of the
Favorites panel to access the latest tips, news, and resources for your Creative Suite tools.
ET VERO EOS ET ACCUSAM ET JUSTO
DUO DOLORES ET EA REBUM. STET CLITA KASD.
ET
COSETETUR SADIPSCING
01
PelletirInc.
CORE INVESTMENT SPECTRUM
Vel illum dolore eu feugiat nulla facilisis at vero eros et accumsan
et iusto odio dignissim qui.
RETIREMENT SAVING PLAN
Vel illum dolore eu feugiat nulla facilisis at vero eros et accumsan
et iusto odio dignissim qui.
Your Investment Guide
Are you leaving money on the table?
01
Typi non habent claritatem insitam; est usus legentis in iis qui facit eorum
claritatem. Investigationes demonstraverunt lectores legere me lius quod ii
legunt saepius. Claritas est etiam processus.
Typi non habent claritatem insitam; est usus legentis in iis qui facit eorum
claritatem. Investigationes demonstraverunt lectores legere me lius quod ii
legunt saepius. Claritas est etiam processus.
Travel Earth
Best 100 places to see on the planet
in your lifetime
volute
ipsummy
, commy
re eugia-
rud tem
eraes-
exer
n ullutet
Vel: Ad : Vulputate:
SURVICE MENU
NULCHE
vero dio eum
nulche
agiamet ad lorperit
sum a
$45
agiamet ad atin utet
vero dio eum
nulche suma
agaimet ad eum
nullam
$25
lorperit sum a
agiamet ad lorperit
vero dio
eum nullam
$35
SUCCIVEROS
sucicvero dio
vero dio eum
nulche suma
$15
eum nullam
vero dio eum
nulche suma
agaimet ad eum
nullam
$35
N
eum nullam
$35
SUCCIVEROS
sucicvero dio
vero dio eum
nulche suma
$15
eum nullam
vero dio eum
nulche suma
agaimet ad eum
nullam
$35
CC
a
si
o
p
i
a
S
p
A

INDESIGN CS3
User Guide
9
Note: Bridge Home may not be available in all languages.
Adobe Design Center
Adobe Design Center offers articles, inspiration, and instruction from industry experts, top designers and Adobe
publishing partners. New content is added monthly.
You can find hundreds of tutorials for design products and learn tips and techniques through videos, HTML
tutorials, and sample book chapters.

INDESIGN CS3
User Guide
10
New ideas are the heart of Think Tank, Dialog Box, and Gallery:
•ThinkTankarticlesconsiderhowtoday’sdesignersengagewithtechnologyandwhattheirexperiencesmeanfor
design, design tools, and society.
•In Dialog Box, experts share new ideas in motion graphics and digital design.
•The Gallery showcases how artists communicate design in motion.
Visit Adobe Design Center at www.adobe.com/designcenter.
Adobe Developer Center
Adobe Developer Center provides samples, tutorials, articles, and community resources for developers who build
rich Internet applications, websites, mobile content, and other projects using Adobe products. The Developer Center
also contains resources for developers who develop plug-ins for Adobe products.
In addition to sample code and tutorials, you'll find RSS feeds, online seminars, SDKs, scripting guides, and other
technical resources.
Visit Adobe Developer Center at www.adobe.com/go/developer.
Customer support
VisittheAdobeSupportwebsite,atwww.adobe.com/support, to find troubleshooting information for your product
and to learn about free and paid technical support options. Follow the Training link for access to Adobe Press books,
a variety of training resources, Adobe software certification programs, and more.
Downloads
Visit www.adobe.com/go/downloads to find free updates, tryouts, and other useful software. In addition, the Adobe
Store (at www.adobe.com/go/store) provides access to thousands of plug-ins from third-party developers, helping
you to automate tasks, customize workflows, create specialized professional effects, and more.

INDESIGN CS3
User Guide
11
Adobe Labs
Adobe Labs gives you the opportunity to experience and evaluate new and emerging technologies and products from
Adobe.
At Adobe Labs, you have access to resources such as these:
•Prerelease software and technologies
•Code samples and best practices to accelerate your learning
•Early versions of product and technical documentation
•Forums, wiki-based content, and other collaborative resources to help you interact with like-minded developers
Adobe Labs fosters a collaborative software development process. In this environment, customers quickly become
productive with new products and technologies. Adobe Labs is also a forum for early feedback, which the Adobe
development teams use to create software that meets the needs and expectations of the community.
Visit Adobe Labs at www.adobe.com/go/labs.
User communities
User communities feature forums, blogs, and other avenues for users to share technologies, tools, and information.
Users can ask questions and find out how others are getting the most out of their software. User-to-user forums are
available in English, French, German, and Japanese; blogs are posted in a wide range of languages.
To participate in forums or blogs, visit www.adobe.com/communities.
What’s new
Creativity enhancements
Creative effects
Experiment with designs right on the page layout with Adobe Photoshop®-like effects. You can experiment with
blending modes, opacity, and other effects without permanently altering your objects. And you can save effects as
part of an object style for easy reuse and sharing.
Take advantage of these new creative effects:
Gradient feather effect Fade an object into the background by way of an adjustable linear or radial gradient.
Directional feather effect Enhance feathering by customizing the feather angle and the amount of feathering on
each side.
Bevel and Emboss effect Add inner highlights and shadows that create a relief effect.
Satin effect Apply interior shading that creates a satin-like finish.
Inner Shadow effect Add a shadow that falls just inside the edges of the object’s content, giving the object a recessed
appearance.
Inner Glow and Outer Glow effects Add glows that emanate from the inside and outside edges of an object.
See “Transparency effects” on page 395.

INDESIGN CS3
User Guide
12
Finer transparency controls
Create complex visual effects by applying multiple transparency settings to a single object. You can apply trans-
parency settings independently to an object’s fill, stroke, and content. See “Effects panel overview” on page 392.
Improved text wrap
Easily flow text around objects. Wrap to a side or according to a clipping path or alpha channel. See “Change the
shape of a text wrap” on page 197.
Convenient Glyphs panel
Use the Glyphs panel to locate recently used glyphs, filter and sort glyphs, and save glyph sets for sharing and reuse.
See “Glyphs panel overview” on page 147.
Choose Window > Workspace > New and Improved in CS3 to highlight menu commands of new and enhanced
features.
Productivity enhancements
Multi-file placing
Import several different files in one step. You can see thumbnail views of the different files and cycle through them
until you find the one you want to place. See “Place multiple graphics” on page 339.
Placed InDesign documents
Shorten the layout process and collaborate more effectively by reusing Adobe InDesign® CS3 documents. When
InDesign files are placed in the document, the Links panel provides notification of updates, eliminating the need to
save and manage interim files. See “Importing InDesign (.indd) pages” on page 333.
Expanded Quick Apply
Type a few letters into the Quick Apply panel and be able to access commands, text variables, scripts, and styles
instantly without having to rummage around in different panels. You can also customize Quick Apply searches. See
“Use Quick Apply” on page 183.
Fast frame-fitting
Set the default fit behavior of frames and assign fit options to object styles so that, as soon as you place a graphic or
other content in a frame, it fits perfectly. See “Set frame fitting options” on page 385.
Visual Pages panel
Quickly navigate a document and arrange its pages using thumbnail previews in the Pages panel. See “Add new pages
to a document” on page 59.
Nested style looping
Automatically apply a sequence of character styles within a paragraph with one click instead of manually formatting
eachstylechange.Withnestedstylelooping,youcanrepeatasequenceofnestedstylesuntiltheendofaparagraph.
See “Define paragraph and character styles” on page 166.

INDESIGN CS3
User Guide
13
Table and cell styles
As well as applying styles to characters and paragraphs, apply styles to a table or to table cells. With table styles and
cell styles, you no longer have to manually format tables or individual table cells. See “About table and cell styles” on
page 268.
E-mail-based assignments for InCopy workflow
Use new e-mail-based assignments to send stories and graphics as a single assignment package to any contributor in
your small workgroup via e-mail. The e-mail package contains all of the information needed to update the layout
with the added or edited content, so it’s easy to assign tasks and integrate contributions without the need for a shared
server. See “Assignment packages” on page 615.
Export to XHTML
Quickly repurpose InDesign content for the web by exporting to XHTML. Styles can be mapped to an external CSS
to instantly format your content. See “Export content to XHTML / Dreamweaver” on page 105.
Automatically generated layouts from XML
Automate the creation and formatting of documents by integrating InDesign content into XML workflows by way
of XML rules. The conditional rules automatically adapt formatting and layout depending on content. See “XML rule
sets” on page 512.
Support for XSLT and CALS tables with XML
Apply XSLT style sheets when importing or exporting XML content to make flowing XML into InDesign pages
easier. See “Import and merge XML” on page 522.
Agate measurement units
Take advantage of agate measurement units for newspaper publishing. See “Change measurement units and rulers”
on page 46.
Support for long documents
Text variables
Automate the use of repeating elements such as headers, footers, product names, and date stamps. Running headers
and footers can be generated from the text and dynamically updated as text flows from page to page. See “Text
variables” on page 85.
Advanced bulleted and numbered lists
Create sophisticated lists with hierarchical, outline-style number sequences. Set styles, modes, alignment, indents,
and other advanced options for different levels of bulleted and numbered lists. You can interrupt lists and spread
them across different pages and stories. See “Bullets and numbering” on page 237.
More powerful Find/Change capabilities
Search and replace more efficiently with new find/change features. You can save searches, search across many
documents, enlarge the scope of a search, and use GREP expressions in searches. See “Find/Change overview” on
page 132.

INDESIGN CS3
User Guide
14
Customizable user interface
Customized workspaces
Save your panel and menu changes as a workspace and be able to call up your personalized workspaces any time. You
can create different workspaces for different projects and tasks. See “Save workspaces” on page 21.
Customized menus
Get direct access to commonly used commands or simplify training on new workflows by color-coding or hiding
individual menu items. Save customized menus as part of a workspace. See “Customize menus” on page 24.
Enhanced Control panel
Rely on the context-sensitive Control panel to show you the most useful settings based on the objects you selected
and the type of work you are doing. You can also customize the Control panel to show only your most frequently
used options. See “Control panel overview” on page 22.
Flexible compact panels
Make more room for viewing your document while preserving instant access to your favorite features. View docked
panels as icons to keep them accessible and easily recognizable. See “Workspace basics” on page 15.

15
Chapter 2: Workspace
The Adobe® InDesign® CS3 workspace is arranged to help you focus on designing and producing pages efficiently.
When you first start InDesign, you see the default workspace, which you can customize to suit your needs.
Workspace basics
Workspace overview
You create and manipulate your documents and files using various elements such as panels, bars, and windows. Any
arrangement of these elements is called a workspace.WhenyoufirststartanAdobeCreativeSuitecomponent,you
see the default workspace, which you can customize for the tasks you perform there. For instance, you can create one
workspace for editing and another for viewing, save them, and switch between them as you work.
You can restore the default workspace at any time by choosing the default option on the Window > Workspace menu.
Although default workspaces vary across Flash, Illustrator, InCopy, InDesign, and Photoshop, you manipulate the
elements much the same way in all of them. The Photoshop default workspace is typical:
•The menu bar across the top organizes commands under menus.
•The Tools panel (called the Tools palette in Photoshop) contains tools for creating and editing images, artwork,
page elements, and so on. Related tools are grouped together.
•The Control panel (called the options bar in Photoshop) displays options for the currently selected tool. (Flash has
no Control panel.)
•The Document window (called the Stage in Flash) displays the file you’re working on.
•Panels (called palettes in Photoshop) help you monitor and modify your work. Examples include the Timeline in
Flash and the Layers palette in Photoshop. Certain panels are displayed by default, but you can add any panel by
selecting it from the Window menu. Many panels have menus with panel-specific options. Panels can be grouped,
stacked, or docked.

INDESIGN CS3
User Guide
16
Default Photoshop workspace
A. Document window B. Dock of panels collapsed to icons C. Panel title bar D. Menu bar E. Options bar F. Tools palette G. Collapse To
Icons button H. Three palette (panel) groups in vertical dock
For a video on understanding the workspace, see www.adobe.com/go/vid0187.
Hide or show all panels
•(Illustrator, InCopy, InDesign, Photoshop) To hide or show all panels, including the Tools panel and options bar
or Control panel, press Tab.
•(Illustrator, InCopy, InDesign, Photoshop) To hide or show all panels except the Tools panel and options bar or
Control panel, press Shift+Tab.
You can temporarily display panels hidden by these techniques by moving the pointer to the edge of the application
window (Windows) or to the edge of the monitor (Mac OS) and hovering over the strip that appears.
•(Flash) To hide or show all panels, press F4.
Display panel menu options
❖ Position the pointer on the panel menu icon in the upper-right corner of the panel, and press the mouse
button.
(Illustrator) Adjust panel brightness
❖ In User Interface preferences, move the Brightness slider. This control affects all panels, including the Control
panel.
D
E
FH
G
A B C

INDESIGN CS3
User Guide
17
Reconfigure the Tools panel
You can display the tools in the Tools panel in a single column, or side by side in two columns.
In InDesign, you also can switch from single-column to double-column display by setting an option in Interface
preferences.
❖ Click the double arrow at the top of the Tools panel.
Customize the workspace
To create a custom workspace, move and manipulate panels (called palettes in Photoshop and in Adobe Creative
Suite 2 components).
Narrow blue drop zone indicates Color panel will be docked on its own above Layers panel group.
A. Title bar B. Tab C. Drop zone
You can save custom workspaces and switch among them.
In Photoshop, you can change the font size of the text in the options bar, palettes, and tool tips. Choose a size from
the UI Font Size menu in General preferences.
Note: For a video on customizing the workspace in Illustrator, see www.adobe.com/go/vid0032. For a video on custom-
izing the workspace in InDesign, see www.adobe.com/go/vid0065.
Dock and undock panels
Adock is a collection of panels or panel groups displayed together, generally in a vertical orientation. You dock and
undock panels by moving them into and out of a dock.
Note: Docking is not the same as stacking. A stack is a collection of free-floating panels or panel groups, joined top to
bottom.
•To dock a panel, drag it by its tab into the dock, at the top, bottom, or in between other panels.
•To dock a panel group, drag it by its title bar (the solid empty bar above the tabs) into the dock.
•To remove a panel or panel group, drag it out of the dock by its tab or title bar. You can drag it into another dock
or make it free-floating.
A
B
C

INDESIGN CS3
User Guide
18
Navigator panel being dragged out to new dock, indicated by blue vertical highlight
Navigator panel now in its own dock
To prevent panels from filling all space in a dock, drag the bottom edge of the dock up so it no longer meets the edge
of the workspace.
Move panels
As you move panels, you see blue highlighted drop zones,areaswhereyoucanmovethepanel.Forexample,youcan
moveapanelupordowninadockbydraggingittothenarrowbluedropzoneaboveorbelowanotherpanel.Ifyou
drag to an area that is not a drop zone, the panel floats freely in the workspace.
•To move a panel, drag it by its tab.
•To move a panel group or a stack of free-floating panels, drag the title bar.
Press Ctrl (Windows) or Control (Mac OS) while moving a panel to prevent it from docking.
Add and remove docks and panels
If you remove all panels from a dock, the dock disappears. You can create new docks by moving panels to drop zones
next to existing docks or at the edges of the workspace.
•To remove a panel, click its close icon (the X at the upper-right corner of the tab), or deselect it from the Window menu.
•To add a panel, select it from the Window menu and dock it wherever you wish.
Manipulate panel groups
•To move a panel into a group, drag the panel’s tab to the highlighted drop zone at the top of the group.

INDESIGN CS3
User Guide
19
Adding a panel to a panel group
•To rearrange panels in a group, drag a panel’s tab to a new location in the group.
•To remove a panel from a group so that it floats freely, drag the panel by its tab outside the group.
•To make a panel appear at the front of its group, click its tab.
•To move grouped panels together, drag their title bar (above the tabs).
Stack free-floating panels
When you drag a panel out of its dock but not into a drop zone, the panel floats freely, allowing you to position it
anywhere in the workspace. Panels may also float in the workspace when first selected from the Window menu. You
can stack free-floating panels or panel groups together so that they move as a unit when you drag the topmost title
bar. (Panels that are part of a dock cannot be stacked or moved as a unit in this way.)
Free-floating stacked panels
•To stack free-floating panels, drag a panel by its tab to the drop zone at the bottom of another panel.
•To change the stacking order, drag a panel up or down by its tab.
Note: Be sure to release the tab over the narrow drop zone between panels, rather than the broad drop zone in a title bar.
•To remove a panel or panel group from the stack, so that it floats by itself, drag it out by its tab or title bar.
Resize or minimize panels
•To resize a panel, drag any side of the panel or drag the size box at its lower-right corner. Some panels, such as the
Color panel in Photoshop, cannot be resized by dragging.
•To change the width of all the panels in a dock, drag the gripper at the top left of the dock.
•To minimize a panel, panel group, or stack of panels, click the Minimize button in its title bar.
You can open a panel menu even when the panel is minimized.

INDESIGN CS3
User Guide
20
Minimize button
Manipulate panels collapsed to icons
Collapse panels to icons to reduce clutter on the workspace. (In some cases, panels are collapsed to icons in the
default workspace.) Click a panel icon to expand the panel. You can expand only one panel or panel group at a time.
Panels collapsed to icons
Panels expanded from icons
•To collapse or expand all panels in a dock, click the double arrow at the top of the dock.
•To resize panel icons so that you see only the icons (and not the labels), drag the gripper at the top of the dock
toward the icons until the text disappears. (To display the icon text again, drag the gripper away from the panels.)
•To expand a single panel icon, click it.
•To collapse an expanded panel back to its icon, click its tab, its icon, or the double arrow in the panel’s title bar.
If you select Auto-Collapse Icon Panels from the Interface or User Interface Options preferences, an expanded panel
icon will collapse automatically when you click away from it.
•To add a panel or panel group to an icon dock, drag it in by its tab or title bar. (Panels are automatically collapsed
to icons when added to an icon dock.)
•To move a panel icon (or panel icon group), drag the bar that appears above the icon. You can drag panel icons up
and down in the dock, into other docks (where they appear in the panel style of that dock), or outside the dock
(where they appear as free-floating, expanded panels).

INDESIGN CS3
User Guide
21
Save workspaces
Youcansavethecurrentsizesandpositionsofpanelsandanymenuchangesasacustomworkspace.Thenamesof
workspaces appear in a Workspace submenu of the Window menu. You can edit the list of names by adding or
deleting a workspace.
❖Do one of the following:
•To save the current workspace, choose Window > Workspace > Save Workspace. Type a name for the new
workspace, indicate whether you want to include panel locations and customized menus as part of the saved
workspace, and click OK.
•To display a custom workspace, choose it from the Window > Workspace submenu.
•To delete a custom workspace, choose Window > Workspace > Delete Workspace. Select a workspace to delete
and click Delete.
For a video on customizing the workspace, see www.adobe.com/go/vid0065.
See also
“Customize menus” on page 24
About view modes
You can change the visibility of the document window using the Mode buttons at the bottom of the toolbox or by
choosing commands from the View > Screen Mode menu. When the toolbox is displayed in a single column, you
can select view modes by clicking the current mode button and selecting a different mode from the menu that
appears.
Normal Mode Displays artwork in a standard window with all visible grids and guides showing, non-printing
objects showing, and a white pasteboard.
Preview Mode Displays artwork as if it were output, with all non-printing elements suppressed (grids, guides,
non-printing objects), and the pasteboard set to the preview background color defined in Preferences.
Bleed Mode Displays artwork as if it were output, with all non-printing elements suppressed (grids, guides, non-
printing objects), the pasteboard set to the preview background color defined in Preferences, and any printing
elements within the document's bleed area (defined in Document Setup) showing.
Slug Mode Displays artwork as if it were output, with all non-printing elements suppressed (grids, guides, non-
printing objects), the pasteboard set to the preview background color defined in Preferences, and any printing
elements within the document's slug area (defined in Document Setup) showing.
Using the status bar
The status bar (at the lower left of a document window) shows information about the status of a file and lets you
change the document zoom percentage or turn to a different page. Click the status bar menu to do any of the
following:
•Access Adobe Version Cue® commands.
•Show the current file in the file system by choosing Reveal In Explorer (Windows®) or Reveal In Finder (Mac OS®).
•Show the current file in Adobe® Bridge® by choosing Reveal in Bridge.

INDESIGN CS3
User Guide
22
See also
“About Adobe Bridge” on page 93
“Adobe Version Cue” on page 94
Control panel overview
The Control panel (Window > Control) offers quick access to options, commands, and other panels related to the
currentpageitemorobjectsyouselect.Bydefault,theControlpanelisdockedtothetopofthedocumentwindow;
however, you can dock it to the bottom of the window, convert it to a floating panel, or hide it altogether.
Options displayed in the Control panel vary depending on the type of object you select:
•When you select a frame, the Control panel displays options for resizing, repositioning, skewing, and rotating the
frame, or applying an object style.
•When you select text inside a frame, the Control panel displays either character or paragraph options. Click the
icons on the left side of the Control panel to determine whether paragraph or character options are displayed. If
your monitor size and resolution allows, the Control panel displays additional options. For example, if Character
Formatting Controls is selected, all the character options are displayed, and some paragraph options appear on the
right of the Control panel. If you click Paragraph Formatting Controls, all paragraph options are displayed, and
some character options appear on the right.
•When you select a table cell, the Control panel displays options for adjusting row and column dimensions,
merging cells, aligning text, and adding strokes.
As the options in the Control panel change, you can get more information about each option by using tool tips—
pop-up descriptions that appear when you hover over an icon or option label with the pointer.
Control panel with tool tip displayed
Control panel menu
To open dialog boxes associated with Control panel icons, Alt-click (Windows) or Option-click (Mac OS) as you
click a Control panel icon. For example, when a frame is selected, hold down Alt or Option and click the Rotation
Angle icon to open the Rotate dialog box.
For a video on using the Control panel, see www.adobe.com/go/vid0064.

INDESIGN CS3
User Guide
23
See also
“Keys for the Control panel” on page 643
Display the panel menu
❖Click the icon to the right of the Control panel.
Dock or float the Control panel
❖Do one of the following:
•Drag the vertical bar on the left side of the Control panel until the toolbar is docked to the top or bottom of the
application window (Windows) or screen (Mac OS).
•Choose Dock At Top, Dock At Bottom, or Float from the Control panel menu.
Use the Command bar
The Command bar (previously called the PageMaker toolbar) provides quick access to a set of frequently used
features.Youcanshoworhidethetoolbar,andyoucandockittothetop,bottom,orsideofthedocumentwindow.
Note: In InDesign, Command bar buttons are disabled if the feature isn’t available. For example, if a document has only
one page, the Remove Pages button is dimmed.
Command bar
A. Docked toolbar B. Floating toolbar
❖Do one of the following:
•To display or hide the Command bar, choose Window > Object & Layout> Command Bar.
•To dock the Command bar, drag the vertical bar on the left of the Control bar until the bar is docked beneath the
Control panel, or to the bottom of the document window.
•To undock (float) the Command bar, drag the vertical bar on the left of Command bar away from the area where
it’s docked.
Use context menus
Unlike the menus that appear at the top of your screen, context-sensitive menus display commands related to the
active tool or selection. You can use context menus as a quick way to choose commonly used commands.
1Position the pointer over the document, object, or panel.
2Click the right mouse button.
Note: (Mac OS) If you don’t have a two-button mouse, you can display a context menu by pressing the Control key as
you click with the mouse.
B
A

INDESIGN CS3
User Guide
24
Customize menus and keyboard shortcuts
Customize menus
Hiding and colorizing menu commands is a way to remove menu clutter and emphasize commands you frequently
use. Note that hiding menu commands simply removes the menu from view; it doesn’t disable any features. At any
time, you can view hidden commands by selecting the Show All Menu Items command at the bottom of a menu. You
can include customized menus in workspaces you save.
You can customize the main menu, context menus, and panel menus. Context menus appear when you right-click
(Windows) or Control-click (Mac OS) an area. Panel menus appear when you click the triangle icon in the upper
right of a panel.
See also
“Save workspaces” on page 21
Create a custom menu set
1Choose Edit > Menus.
You cannot edit the default menu set.
2Click Save As, type the name of the menu set, and click OK.
3From the Category menu, choose Application Menus or Context & Panel Menus to determine which menus are
customized.
4Click the arrows to the left of the menu categories to display subcategories or menu commands. For each
command you want to customize, click the eye icon under Visibility to show or hide the command; click None under
Color to select a a color from the menu.
5Click Save, and then click OK.
Select a custom menu set
1Choose Edit > Menus.
2Choose the menu set from the Set menu, and then click OK.
Edit or delete a custom menu set
1Choose Edit > Menus.
2Choose the menu set from the Set menu, and then do one of the following:
•To edit a menu set, change the visibility or color of menu commands, click Save, and then click OK.
•To delete a menu set, click Delete and then click Yes. If you’ve modified the menu set without saving it, you’re
prompted to save the current menu set. Click Yes to save the menu set, or click No to discard changes.
Show hidden menu items
❖Choose Show All Menu Items at the bottom of the menu that includes hidden commands.
Holding down Ctrl (Windows) or Command (Mac OS) and clicking a menu name temporarily displays any menu
commands you’ve hidden by customizing menus.

INDESIGN CS3
User Guide
25
Use keyboard shortcut sets
Tooltipsprovideaninstantaneousreferenceforshortcuts.InDesignalsoprovidesashortcuteditorinwhichyoucan
view and generate a list of all shortcuts, and edit or create your own shortcuts. The shortcut editor includes all the
commands that accept shortcuts, but some of these commands are undefined in the Default shortcut set.
You can also associate keyboard shortcuts with paragraph or character styles (“Define paragraph and character
styles” on page 166) or scripts (see “Scripting in InDesign” on page 590).
For a video on using keyboard shortcuts, see www.adobe.com/go/vid0066.
See also
“Default keyboard shortcuts” on page 634
Change the active shortcut set
1Choose Edit > Keyboard Shortcuts.
2Select a shortcut set in the Set menu. For example, select Shortcuts for QuarkXPress® 4.0.
3Click OK.
View shortcuts
1Choose Edit > Keyboard Shortcuts.
2For Set, select a shortcut set.
3For Product Area, select the area containing the commands you want to view.
4From Commands, select a command. The shortcut is displayed in the Current Shortcut section.
Generate a list of shortcuts for printing
1Choose Edit > Keyboard Shortcuts.
2For Set, select a shortcut set.
3Click Show Set.
A text file opens with all current and undefined shortcuts for that set.
Create a new shortcut set
1Choose Edit > Keyboard Shortcuts.
2Click New Set.
3Type a name for the new set, select a shortcut set in the Based On Set menu, and click OK.
Create or redefine a shortcut
1Choose Edit > Keyboard Shortcuts.
2For Set, select a shortcut set or click New Set to create a new shortcut set.
Note: Do not edit the Default or the QuarkXPress shortcut sets. Instead, create a new set based on one of these sets, and
then edit the new set.
3For Product Area, select the area containing the command you want to define or redefine.
4In the Commands list, select the command that you want to define or redefine.

INDESIGN CS3
User Guide
26
5In the New Shortcut box, press the keys for your new keyboard shortcut. If the key sequence is currently being
used for another command, InDesign displays that command under Current Shortcuts. You can choose to change
the original shortcut also, or try another shortcut.
Note: Do not assign single-key shortcuts to menu commands, because they interfere with the typing of text. If an
insertion point is active when you type a single-key shortcut, InDesign actives the keyboard shortcut instead of inserting
the character in the text.
6In the Context list, select the context in which you want the keyboard shortcut to function. The context ensures
that the shortcut performs the way you intended. For example, you can assign Ctrl+G to merge table cells (Table
context) and Ctrl+G to insert special characters (Text context).
Note: Assign shortcuts in the Default context when you want them to function regardless of the current state of the
document. Shortcuts you assign in other contexts, such as Table or Text, override shortcuts assigned in the Default
context.
7Do one of the following:
•Click Assign to create a new shortcut where none currently exists.
•Click Assign to add another shortcut to a command. Menu commands can have multiple keyboard shortcuts.
8Click OK to close the dialog box, or click Save to keep the dialog box open while you enter more shortcuts.
Toolbox
Toolbox overview
Some tools in the toolbox are for selecting, editing, and creating page elements. Other tools are for choosing type,
shapes, lines, and gradients. You can change the overall layout of the toolbox to fit your preferred window and panel
layout. By default, the toolbox appears as two vertical columns of tools. You can also set it up as a single vertical
column or as one horizontal row. However, you can’t rearrange the positions of individual tools in the toolbox. To
move the toolbox, drag the toolbox by its title bar.
Select a tool from the default toolbox by clicking it. The toolbox also contains several hidden tools related to the
visible tools. Hidden tools are indicated by arrows to the right of the tool icons. Select a hidden tool by clicking and
holding the current tool in the toolbox and then selecting the tool that you want.

INDESIGN CS3
User Guide
27
The name of the tool and its keyboard shortcut appear when you hold the pointer over the tool—this text is called
the tool tip. You can turn off tool tips by choosing None from the Tool Tips menu in General preferences.
See also
“Gallery of selection tools” on page 29
“Gallery of drawing and type tools” on page 29
“Gallery of transformation tools” on page 30
“Gallery of modification and navigation tools” on page 31
Display the toolbox
❖Choose Window > Tools.
B
A
C
D
A
B
D
C
Indicates default tool * Keyboard shortcuts appear in parenthesis
Selection tools
Selection (V)
Direct Selection (A)
Positions (Shift+A)
Drawing and Type
tools
Pen (P)
Add Anchor Point
Delete Anchor
Point
Convert Anchor
Point
Type (T)
Type On a Path
(Shift+T)
Pencil (N)
Smooth
Erase
Line (\)
Rectangle Frame (F)
Ellipse Frame
Polygon Frame
Rectangle (M)
Ellipse (L)
Polygon
Button (B)
Scissors (C)
Transformation tools
Rotate (R)
Scale (S)
Shear (O)
Free Transform (E)
Gradient (G)
Gradient Feather
(Shift+G)
Modication and
Navigation tools
Note
Eyedropper (I)
Measure (K)
Hand (H)
Zoom (Z)
Toolbox overview

INDESIGN CS3
User Guide
28
Display tool options
❖Double-click a tool in the toolbox.
This procedure works only for some tools, such as the Eyedropper, Pencil, and Polygon tools.
Display and select hidden tools
1In the toolbox, position the pointer over a tool that has hidden tools and hold down the mouse button.
2When the hidden tools appear, select a tool.
Hidden tools menu
Change the toolbox layout
1Choose Edit > Preferences > Interface (Windows) or InDesign > Preferences > Interface (Mac OS).
2Choose a layout option from the Floating Tools Panel menu and click OK.
Tools overview
Type tools Create and format type in standard or customized blocks or paths. (See “About text frames” on page 111.)
Drawing and painting tools Draw and style simple and complex objects, including rectangles, ellipses, polygons,
freeform shapes. (See “Draw basic lines and shapes” on page 301, “Draw with the Pencil tool” on page 302, and
“Drawing with the Pen tool” on page 304.)
Selection tools Select (activate) objects, points, or lines. (See “Select objects” on page 358.)
Transform tools Reshape, reorient, and resize objects. (See “Transform objects” on page 368.)
Navigation, zoom, and measuring tools Move around in, control the view of, and measure distances in a document.
(See “Zoom in and out” on page 31 and “Rulers and measurement units” on page 45.)
The Scissors tool Splits paths and frames. (See “Split a path using the Scissors tool” on page 313.)
The Button tool Creates buttons to serve as triggers for various actions in interactive documents. (See “Create
buttons” on page 503.)

INDESIGN CS3
User Guide
29
Gallery of selection tools
See also
“Toolbox overview” on page 26
“Select objects” on page 358
“Overview of selection methods” on page 358
Gallery of drawing and type tools
Selection tool lets you select entire
objects.
Direct Selection tool lets you select
pointsonapathorcontentswithina
frame.
Position tool lets you crop and move
images in a frame.
Pen tool lets you draw
straight and curved paths.
Add Anchor Point tool lets
you add anchor points to a
path.
Delete Anchor Point tool
lets you remove anchor
points from a path.
Convert Direction Point
tool lets you convert
corner points and smooth
points.
Type tool lets you create
text frames and select text.
Type on a Path tool lets
you create and edit type
on paths.
Pencil tool lets you draw a
freeform path.
Smooth tool lets you
remove excess angles from
a path.

INDESIGN CS3
User Guide
30
See also
“Toolbox overview” on page 26
“Types of paths and shapes” on page 298
Gallery of transformation tools
Erasetoolletsyoudeleted
points on a path.
Line tool lets you draw a
line segment.
Rectangle Frame tool lets
you create a square or
rectangle placeholder.
Ellipse Frame tool lets you
create a circle or oval
placeholder.
Polygon Frame tool lets
you create a multi-sided
shape placeholder.
Rectangle tool lets you
create a square or
rectangle.
Ellipse tool lets you create
a circle or oval.
Polygon tool lets you
create multi-sided shape.
Rotate tool lets you rotate
objects around a fixed
point.
Scale tool lets you resize
objects around a fixed
point.
Shear tool lets you skew
objects around a fixed
point.
Free Transform tool lets
you rotate, scale, or shear
an object.

INDESIGN CS3
User Guide
31
See also
“Toolbox overview” on page 26
“Transform objects” on page 368
Gallery of modification and navigation tools
See also
“Toolbox overview” on page 26
Viewing the workspace
Zoom in and out
Use the Zoom tool or the Zoom commands to magnify the size of documents.
See also
“Keys for tools” on page 634
Eyedropper tool lets you
sample color or type
attributes from objects
and apply them to other
objects.
Measure tool measures the
distance between two
points.
Gradient Swatch tool lets
you adjust the beginning
and ending points and
angle of gradients within
objects.
Gradient Feather tool lets
you fade an object into the
background.
Scissors tool cuts paths at
specified points.
Hand tool moves the page
view within the document
window.
Zoom tool increases and
decreases the view magni-
fication in the document
window.
Button tool lets you create
abuttonthatperformsan
action when the document
is exported to Adobe PDF.
order

INDESIGN CS3
User Guide
32
Zoom in or out
•To zoom in, select the Zoom tool and click the area you want to magnify. Each click magnifies the view to the
next preset percentage, centering the display around the point you click. At maximum magnification, the center
of the Zoom tool appears blank. To zoom out, hold down Alt (Windows) or Option (Mac OS) and click the area
you want to reduce. Each click reduces the view.
•To magnify to the next preset percentage, activate the window you want to view and choose View > Zoom In. To
reduce the view to the previous preset percentage, choose View > Zoom Out.
•To set a specific magnification level, type or choose a level in the Zoom text box at the lower left of the document
window.
•To zoom in or out, press Alt (Windows) or Option (Mac OS) while using the mouse scroll wheel or sensor.
•To magnify by dragging, select the Zoom tool and drag around the area you want to magnify.
Zoom to 100%
•Double-click the Zoom tool.
•Choose View > Actual Size.
•Type or choose a magnification level of 100 in the Zoom text box at the lower left of the document window.
Fit the page, spread, or pasteboard within the active window
•Choose View > Fit Page In Window.
•Choose View > Fit Spread In Window.
•Choose View > Entire Pasteboard.
See also
“Keys for viewing documents and document workspaces” on page 641
Use the Navigator panel
The Navigator panel (Window > Object & Layout > Navigator) contains a thumbnail of the selected spread, so that
you can quickly change the view of a document.
Navigator panel
A. Thumbnail B. View box C. Spread number D. Zoom edit box E. Zoom Out button F. Zoom slider G. Zoom In button
Alternate between viewing one or all open spreads
❖Choose View Active Spread/All Spreads from the Navigator panel menu. Use the scroll bar to view spreads before
or after the current spread.
B
A
C
D E FG

INDESIGN CS3
User Guide
33
Ifyoudecidetoviewallspreads,viewingmaybeeasierifyouresizetheNavigatorpaneltomakeittallandnarrow.
Magnify or reduce the view using the Navigator panel
❖Do any of the following:
•Click the Zoom In or Zoom Out buttons at the bottom of the Navigator panel.
•Drag the Zoom slider at the bottom of the panel.
•In the Zoom text box, type the magnification or reduction percentage and press Enter (Windows) or Return
(Mac OS).
Change the color of the Navigator panel view box
1Choose Panel Options from the Navigator panel menu.
2Choose a color:
•To use a preset color, select one from the pop-up menu.
•To specify a different color, choose Custom from the pop-up menu, and specify a color in the color picker.
Scroll the view
You can easily adjust the degree to which pages or objects are centered in the document window. These techniques
are also useful for navigating between pages.
❖Do any of the following:
•Select the Hand tool from the Tools panel, and then click and drag in the document window. Holding down
Alt (Windows) or Option (Mac OS) and pressing the spacebar temporarily activates the Hand tool.
•In the Navigator panel, click the thumbnail or drag the view box that represents the visible area of the current
spread.
•Click the horizontal or vertical scroll bars or drag the scroll box.
•Press Page Up or Page Down.
•Use the mouse scroll wheel or sensor to scroll up and down. To pan left or right, press Ctrl (Windows) or
Command (Mac OS) as you use the mouse scroll wheel or sensor.
See also
“Keys for viewing documents and document workspaces” on page 641
Turn pages
InDesign makes it easy to jump from page to page in a document. For example, just as most web browsers provide
Back and Forward buttons to navigate through pages you’ve visited, InDesign keeps track of the order in which
you’ve viewed pages in a document.
❖Do any of the following:
•To move through pages in the order in which you viewed them during the current session, choose Layout > Go
Back or Go Forward.
•To go to the next or previous page, click the Next Page button or Previous Page button at the bottom of
the document window, or choose Layout > Next Page or Previous Page.

INDESIGN CS3
User Guide
34
•To go to the first or last page, click the First Spread button or Last Spread button at the lower left of
the document window, or choose Layout > First Page or Last Page.
•To go to a specific page, choose Layout > Go To Page, specify the page number, and click OK. Or, click the
downward-facing arrow at the right of the page box, and then choose a page.
Choose page from page box to go to specific page
•To go to a master page, click in the page box at the lower left of the document window. Type the first few letters
of the master page name, and press Enter (Windows) or Return (Mac OS). Or, in the Pages panel, double-click a
master page icon or double-click the page numbers below the icons.
Work with additional windows
You can open additional windows for the same document or for other InDesign documents. With additional
windows, you can compare different spreads simultaneously, especially spreads that aren’t adjacent. You can also
display different magnifications of the same page, so that you can work closely on details while watching how the
changes affect the overall layout. In addition, you can display a master page in one window, and pages based on it in
other windows, to see how editing the master page affects various parts of the document.
When you reopen the document, only the last-used window appears.
•To create a new window for the same document, choose Window > Arrange > New Window.
•To cascade or tile windows, choose Window > Arrange > Cascade to arrange all windows into a stack, with each
window offset slightly. Or, choose Window > Arrange > Tile Horizontally or Tile Vertically to display all windows
equally without overlapping.
•To activate a window, click the window title bar. Or, choose the name of the view in the Window menu. Multiple
windows for a document are numbered in the order they were created.
•To close all windows for the active document, press Shift+Ctrl+W (Windows) or Shift+Command+W (Mac OS).
•To close all windows for all open documents, press Shift+Ctrl+Alt+W (Windows) or
Shift+Command+Option+W (Mac OS).
Use anti-aliasing for smoothing edges
Anti-aliasing smooths the jagged edges of type and bitmap images by softening the color transition between edge
pixels and background pixels. Since only the edge pixels change, no detail is lost.
1Choose Edit > Preferences > Display Performance (Windows) or InDesign > Preferences > Display Performance
(Mac OS).
2From the Adjust View Settings menu, choose the view setting for which you want to turn on anti-aliasing.

INDESIGN CS3
User Guide
35
You can enable or disable anti-aliasing for each of the view settings. For example, you can enable anti-aliasing for
High Quality view and disable it for Fast view.
3Select Enable Anti-aliasing.
Greek type
When display capabilities are insufficient to show text at a small size, InDesign displays the text as a dimmed bar.
This behavior is called greeking type. Any type at or below the specified type size is replaced on-screen with non-
letterforms that act as placeholders.
1Choose Edit > Preferences > Display Performance (Windows) or InDesign > Preferences > Display Performance
(Mac OS).
2From the Adjust View Settings menu, choose the view setting for which you want to change the Greek Type
setting.
You can specify different Greek Type values for each of the view settings.
3For Greek Type Below, type a value.
4To control whether to greek text and images when you scroll a document, drag the Hand Tool slider to the desired
level of performance versus quality, and then click OK.
Calculate values in panels and dialog boxes
You can perform simple math in any numerical edit box. For example, if you want to move a selected object 3 units
to the right using the current measurement units, you don’t have to work out the new horizontal position—simply
type +3 after the current value in the Transform panel.
Panels use the measurement system selected in the Preferences dialog box; however, you can specify values in
another measurement instead.
1In a text box that accepts numerical values, do one of the following:
•To replace the entire current value with a mathematical expression, select the entire current value.
•To use the current value as part of a mathematical expression, click before or after the current value.
2Type a simple mathematical expression using a single mathematical operator, such as + (plus), - (minus),
x (multiplication), / (division), or % (percent).
For example, 0p0+3 or 5mm + 4.
3Press Enter or Return to apply the calculation.
In the Control panel and the Transform panel, you can duplicate the selected object and apply the calculation to the
duplicate (instead of the original). Enter the calculation and press Alt+Enter (Windows) or Option+Return
(Mac OS).

INDESIGN CS3
User Guide
36
Enter values in panels and dialog boxes
Panels and dialog boxes use the measurement units and increments defined in the Edit > Preferences > Units &
Increments (Windows) or InDesign > Preferences > Units & Increments (Mac OS) dialog box. However, you can
specify values using any of the supported measurement units at any time by temporarily overriding the current
preference settings.
❖Do any of the following:
•Type a value in the box, and then press Enter or Return.
•Drag the slider.
•Drag the dial.
•Click the arrow buttons in the panel to change the value.
•Click in the box and then use the up or down arrow keys on the keyboard to change the value.
•Select a value from the menu associated with the box.
Note: When you make a change using the arrow buttons, arrow keys, or pop-up menus, InDesign applies the change
immediately.
See also
“Rulers and measurement units” on page 45
Setting preferences
About preferences and defaults
Preferences include settings such as panel positions, measurement options, and display options for graphics and
typography. Preference settings specify how InDesign documents and objects behave initially.
Default settings are used for every new document or object you create. For example, you can specify the default font
and other type specifications for all new documents or text frames.
Numerous program preferences and default settings are stored in the Adobe InDesign preferences files, called
InDesign Defaults and InDesign SavedData. Both of these defaults files are saved each time you exit from InDesign.
Note: InDesign preference settings are fully scriptable. To share a consistent set of preferences across user groups, develop
a script to set the preferences, and then have all users in the group run the script on their computers. Don’t copy and paste
one user’s preferences files onto another computer, as doing so might cause application instability. For more information
about scripting, see the Scripting Guide on the InDesign CS3 DVD.
Set general preferences
1Choose Edit > Preferences > General (Windows) or InDesign > Preferences > General (Mac OS), and then
choose the type of preferences you want to specify.
2In the Page Numbering section, choose a page numbering method from the View menu.
3In the Font Downloading and Embedding section, specify a threshold to trigger font subsetting based on the
number of glyphs a font contains. This setting affects font downloading options in the Print and Export dialog boxes.

INDESIGN CS3
User Guide
37
4In the Scripting section, select Enable Attached Scripts to allow JavaScript actions to be attached to features in
InDesign. You may want to turn off this option if you’re opening an InDesign document from an unknown source.
5Click Reset All Warning Dialogs to display all warnings, even the ones you’ve already checked not to display. (As
warnings appear, you can select a check box to prevent the warning from appearing again.)
See also
“Scale type” on page 220
Set defaults
If you change settings when no documents are open, your changes set the defaults for new documents. If a document
is open when you change settings, the changes affect only that document.
Similarly, if you change settings when no objects are selected, your changes set the defaults for new objects.
Specify default settings for new documents
1Close all InDesign documents.
2Change any menu items or panel or dialog box settings.
If you use the same page size and language for most of your documents, you can change these defaults with no
document open. For example, to change the default page size, close all documents, choose File > Document Setup,
and select a desired page size. To set a default dictionary, close all documents, choose Edit > Preferences > Dictionary
(Windows) or InDesign > Preferences > Dictionary (Mac OS), and select an option from the Language menu.
Specify default settings for new objects in a document
1With an InDesign document open, choose Edit > Deselect All.
2Change any menu items or panel or dialog box settings.
Restore all preferences and default settings
❖Do one of the following:
•(Windows) Start InDesign, and then press Shift+Ctrl+Alt. Click Yes when asked if you want to delete preference
files.
•(Mac OS) While pressing Shift+Option+Command+Control, start InDesign. Click Yes when asked if you want to
delete preference files.
About InDesign styles and presets
You can store settings for reuse, including settings for the following items:
•Creating paragraph and character styles. (See “Define paragraph and character styles” on page 166.)
•Creating object styles. (See “Define object styles” on page 178.)
•Creating table and cell styles. (See “Define table and cell styles” on page 270.)
•Creating PDF export presets. (See “Customize Adobe PDF presets” on page 476.)
•Creating print presets. All the attributes in the Print dialog box are included in the style. (See “Print a document
or book” on page 542.)
•Creating trap presets. (See “Create or modify a trap preset” on page 464.)

INDESIGN CS3
User Guide
38
•Creating transparency flattener presets. (See “Flattening transparent artwork” on page 404.)
•Creating table of contents styles. (See “Create or import TOC styles” on page 281.)
•Saving the workspace configuration.
•Creating document presets. (See “Define document presets” on page 44.)
•Creating stroke styles. (See “Define custom stroke styles” on page 318.)
In general, change the feature settings in the dialog box, and then save the settings. Styles and presets are stored in
the document in which they are created. You can use the settings from another document by importing or loading
the styles and presets from that document. In addition, most presets can be exported or saved to a separate file and
distributed to other computers.
You can also share styles and presets across all documents in a book file. For more information, see “Synchronize
book documents” on page 275.
Recovery and undo
Recover documents
InDesign guards your data against unexpected power or system failures using an automatic recovery feature.
Automatically recovered data exists in a temporary file that is separate from the original document file on disk.
Under normal circumstances you don’t need to think about automatically recovered data, because any document
updates stored in the automatic recovery file are automatically added to the original document file when you choose
the Save or Save As command or exit from InDesign normally. Automatically recovered data is important only if
you’re unable to save successfully before an unexpected power or system failure.
Even though these features exist, you should save your files often and create backup files in case of unexpected power
or system failures.
See also
“Adobe Version Cue” on page 94
Find recovered documents
1Restart your computer.
2Start InDesign.
If automatically recovered data exists, InDesign automatically displays the recovered document. The word
[Recovered] appears after the filename in the title bar of the document window to indicate that the document
contains unsaved changes that were automatically recovered.
Note: If InDesign fails after attempting to open a document using automatically recovered changes, the automatically
recovered data may be corrupted.
3Do one of the following:
•To save the recovered data, choose File > Save As, specify a location and a new filename, and click Save. The Save
As command keeps the recovered version that includes the automatically recovered data; the word [Recovered]
disappears from the title bar.

INDESIGN CS3
User Guide
39
•To discard automatically recovered changes and use the most recent version of the document that was explicitly
saved to disk before the failure occurred, close the file without saving it and open the file on disk, or choose File >
Revert.
Change the location of recovered documents
1Choose Edit > Preferences > File Handling (Windows) or InDesign > Preferences > File Handling (Mac OS).
2Under Document Recovery Data, click Browse (Windows) or Choose (Mac OS).
3Specify the new location for the recovered document, click OK, and then click OK again.
Undo mistakes
If necessary, you can cancel a lengthy operation before it’s completed, undo recent changes, or revert to a previously
savedversion.Youcanundoorredouptoseveralhundredofthemostrecentactions(theamountislimitedbythe
amount of RAM available and the kinds of actions you performed). The series of actions is discarded when you
choose the Save As command, close a document, or when you exit from the program.
If you have access to a Version Cue Workspace, you can create and locate different file versions using Version Cue
features in InDesign or InCopy. The Version Cue Workspace is available only as part of Adobe Creative Suite® 3.
❖Do one of the following:
•To undo the most recent change, choose Edit > Undo [action]. (You cannot undo certain actions, such as
scrolling.)
•To redo an action, choose Edit > Redo [action].
•To undo all changes made since the last time you saved the project, choose File > Revert.
•To close a dialog box without applying changes, click Cancel.
See also
“Adobe Version Cue” on page 94

40
Chapter 3: Layout
The decisions you make when you first set up a document affect how efficiently you can design and produce pages.
Proper planning helps you and your vendors save money and time.
Creating documents
Create new documents
Page design begins with the basics: starting a new document, setting up pages, and positioning margins and columns
or changing grid settings.
You can also create tables of contents and indexes by managing a document in a book file with InDesign.
For a video on setting up new documents, see www.adobe.com/go/vid0068.
See also
“Recommended workflow for InDesign documents” on page 90
“Use document templates” on page 94
“Add documents to a book file” on page 274
“Define document presets” on page 44
Create a new document
1Choose File > New > Document.
The New Document dialog box combines the Document Setup and the Margins And Columns dialog boxes, so that
youcansetupthepagesize,margins,andpagecolumnsallinoneplace.Youcanchangethesesettingsatanytime.
2Choose a Page Size or specify a custom Width and Height for your document.
3Click the orientation for the page, either Portrait (tall) or Landscape (wide).
4Specify options in the Margins and Columns sections, if necessary.
5To specify the dimensions of the bleed and slug areas, click More Options. The bleed and slug areas extend out
from the edges of the defined Page Size. To make the bleed or slug areas extend evenly on all sides, click the Make
All Settings The Same icon . (See “New Document options” on page 40.)
6Click OK to open a new document with the settings you specified.
To set default layout settings for all new documents, choose File > Document Setup or Layout > Margins And
Columns, and set options when no documents are open.
New Document options
Facing Pages Select this option to make left and right pages face each other in a double-page spread. Deselect this
option to let each page stand alone, such as when you plan to print on both sides of a sheet of paper or want objects
to bleed in the binding.

INDESIGN CS3
User Guide
41
After you’ve created a document, you can use the Pages panel to create spreads with more than two pages or force
the first two pages to open as a spread.
Master Text Frame Select this option to create a text frame the size of the area within the margin guides, matching
the column settings you specified. The master text frame is added to the A-Master. (See “Using text frames on master
pages” on page 113.)
The Master Text Frame option is available only when you’ve chosen File > New > Document.
Page Size Choose a page size from the menu, or type values for Width and Height. Page size represents the final size
you want after bleeds or other marks outside the page are trimmed.
Orientation Click Portrait (tall) or Landscape (wide). These icons interact dynamically with the dimensions
youenterinPageSize.WhenHeightisthelargervalue,theportraiticonisselected.WhenWidthisthelargervalue,
the landscape icon is selected. Clicking the deselected icon switches the Height and Width values.
To specify the dimensions of the bleed and slug areas, click More Options in the New Document dialog box. To make
the bleed or slug areas extend evenly on all sides, click the Make All Settings The Same icon .
Bleed The Bleed area allows you to print objects that are arranged at the outer edge of the defined page size. For a
page of the required dimensions, if an object is positioned at its edge, some white may appear at the edge of the
printed area due to slight misalignment during printing. For this reason, you should position an object that is at the
edge of the page of the required dimensions a little beyond the edge, and trim after printing. Bleed area is shown by
a red line on the document. You can set bleed area settings from Bleed in the Print dialog box.
Slug The slug area is discarded when the document is trimmed to its final page size. The slug area holds printing
information, customized color bar information, or displays other instructions and descriptions for other infor-
mation in the document. Objects (including text frames) positioned in the slug area are printed but will disappear
when the document is trimmed to its final page size.
Objects outside the bleed or slug area (whichever extends farther) do not print.
Note: You can also click Save Preset to save document settings for future use.
Document window overview
Each page or spread in your document has its own pasteboard and guides, which are visible in Normal View mode.
(To switch to Normal View, choose View > Screen Mode > Normal.) The pasteboard is replaced with a gray
backgroundwhenthedocumentisviewedusingoneofthePreviewmodes.Youcanchangethecolorofthispreview
background and guides in Guides & Pasteboard preferences.
Document and guides in Normal View Mode
A. Spread (black lines) B. Page (black lines) C. Margin guides (magenta lines) D. Column guides (violet lines) E. Bleed area (red lines)
F. Slug area (blue lines)
A
E
B
C
D
F

INDESIGN CS3
User Guide
42
Document window notes:
•Lines of other colors are ruler guides which, when present, appear in the layer color when selected.
•Column guides appear in front of margin guides. When a column guide is exactly in front of a margin guide, it
hides the margin guide.
See also
“Preview documents” on page 548
“Assign a layer color” on page 71
Customize the pasteboard and guides
You can control the colors used to display guides for page margins and columns, as well as the guides for the bleed
and slug areas on the pasteboard. To make it easier to distinguish between the Normal and Preview modes, you can
change the color of the preview background.
InDesignalsoletsyoucontrolhowcloseanobjectneedstobetosnaptoaguide,whetherguidesshouldbedisplayed
in front of or behind objects, as well as the size of the pasteboard.
1Choose Edit > Preferences > Guides & Pasteboard (Windows) or InDesign > Preferences > Guides & Pasteboard
(Mac OS).
2UnderColor,choosethedesiredcolorsfromeachofthefollowingmenus,orchooseCustomtospecifyacustom
color using the color picker.
Margins Sets the color of the page margins.
Columns Sets the color of the column guides for the page.
Bleed Sets the color of the bleed area (which is set in the Document Setup dialog box).
Slug Sets the color of the slug area (which is set in the Document Setup dialog box).
Preview Background Sets the color of the pasteboard when in the Preview mode.
3To set how close an object must be to snap to a guide or grid, specify a value in pixels for Snap to Zone.
4To display guides behind objects, select Guides in Back.
5To specify how far the pasteboard extends out from the page or spread (or the bleed or slug area, if specified), enter
a value for Minimum Vertical Offset.
6Click OK to close the Preferences dialog box.
You can change the on-screen color of your paper. With no text or objects selected, double-click the Paper color in the
Swatches panel (choose Window > Swatches). The Paper color appears on-screen only and does not affect output; it
is intended only to simulate designing for nonwhite paper.
Change document setup
ChangingoptionsintheDocumentSetupdialogboxaffectseverypageinthedocument.Ifyouchangepagesizeor
orientation after objects have been added to pages, you can use the Layout Adjustment feature to minimize the
amount of time needed for arranging existing objects.
1Choose File > Document Setup.
2Specify the document options, and then click OK. (See “New Document options” on page 40.)

INDESIGN CS3
User Guide
43
See also
“About automatic layout adjustment” on page 77
Change page margin and column settings
You can change column and margin settings for pages and spreads. When you change the column and margin
settings on a master page, you change the setting for all pages to which the master is applied. Changing the columns
and margins of regular pages affects only those pages selected in the Pages panel.
Note: The Margins And Columns dialog box doesn’t alter columns inside text frames. Text frame columns exist only
within individual text frames, not on the page itself. You can set up columns within individual text frames by using the
Text Frame Options dialog box. Text frame columns can also be affected by the Layout Adjustment feature.
1Do one of the following:
•To change margin and column settings for one spread or page, go to the spread you want to change, or select one
spread or page in the Pages panel.
•To change margin and column settings for multiple pages, select those pages in the Pages panel, or select a master
that controls the pages you want to change.
2Choose Layout > Margins And Columns, specify the following options, and then click OK.
Margins Type values to specify the distance between margin guides and each edge of the page. If Facing Pages is
selected in the New Document or Document Setup dialog box, the Left and Right margin option names change to
Inside and Outside, so that you can specify additional inside margin space to accommodate binding.
Columns For Number, type the number of columns to be created within the margin guides. For Gutter, type a value
for the width of the space between columns.
See also
“About automatic layout adjustment” on page 77
“Change text frame properties” on page 126
Create unequal column widths
When you have more than one column on a page, the column guides in the middle appear in pairs. When you drag
one column guide, the pair moves. The space between the column guides is the gutter value you specified; the pair
moves together to maintain that value.
Note: You cannot create unequal column widths for columns in a text frame. Instead, created threaded, side-by-side text
frames with different column widths.
1Go to the master or spread you want to change.
2If column guides are locked, choose View > Grids & Guides > Lock Column Guides to deselect it.
3Using the Selection tool , drag a column guide. You can’t drag it past an adjacent column guide or beyond the
edge of the page.

INDESIGN CS3
User Guide
44
Dragging a column guide to create unequal column widths
To create columns with unequal gutters, create evenly spaced ruler guides and then drag individual guides to the
desired location. (See “Create ruler guides” on page 52.)
Creating custom page sizes
Creating custom page sizes
If you routinely specify a custom page size, you can add it to the Page Size menu in the New Document dialog. You
add custom page sizes to the Page Size menu by editing the New Doc Sizes text file in the Presets folder (in the
InDesign application folder). This text file is self-documenting; to define custom page sizes, open the file in a text
editor and follow the instructions in the file itself.
Page sizes defined in the New Doc Sizes file will appear in the New Document dialog box and the Document Settings
dialog box.
Note: You can also specify a custom page size in the New Document dialog box or the Document Settings dialog box;
however, custom page sizes specified in these dialog boxes are not available to other documents you create.
See also
“Change document setup” on page 42
Define document presets
You can save document settings for page size, columns, margins, and bleed and slug areas in a preset to save time and
ensure consistency when creating similar documents.
1Choose File > Document Presets > Define.
2Click New in the dialog box that appears.
3Specify a name for the preset and select basic layout options in the New Document Preset dialog box. (See “New
Document options” on page 40 for a description of each option.)
4Click OK twice.
You can save a document preset to a separate file and distribute it to other users. To save and load document preset
files, use the Save and Load buttons in the Document Presets dialog box.

INDESIGN CS3
User Guide
45
Create a document using a preset
1Do one of the following:.
•Choose File > Document Preset > [name of preset].
•Choose File > New > Document, and then choose a preset from the Document Preset menu in the New
Document dialog box.
The New Document dialog box displays the preset layout options.
2Make changes to the options (if desired) and click OK.
To skip the New Document dialog box, press the Shift key as you select a preset from the Document Preset menu.
Rulers and measurement units
Show or hide rulers
❖In Normal View Mode (View > Screen Mode > Normal), choose View > Show Rulers or Hide Rulers.
See also
“Print a document or book” on page 542
About rulers and measurement units
You can change measurement units for the on-screen rulers and for use in panels and dialog boxes; you can also
change these settings at any time and temporarily override the current measurement units as you enter a value. By
default, rulers begin measuring from the upper-left corner of a page or spread. You can change this by moving the
zero point.
Changing the measurement units doesn’t move guides, grids, and objects, so when ruler tick marks change, they
might not line up with objects aligned to the old tick marks.
Rulers in a document window
A. Labeled tick marks B. Major tick marks C. Minor tick marks
You can set up different measurement systems for horizontal and vertical rulers. The system you select for the
horizontal ruler governs tabs, margins, indents, and other measurements. Each spread has its own vertical ruler;
however, all vertical rulers use the same settings you specify in the Units & Increments preferences dialog box.
A
B
C

INDESIGN CS3
User Guide
46
The default units of measure for the rulers are picas (a pica equals 12 points). However, you can change custom ruler
units and control where the major tick marks appear on a ruler. For example, if you change the custom ruler units
for the vertical ruler to 12 points, a major ruler increment appears every 12 points (if such display is possible in the
current magnification). The tick mark labels include your customized major tick marks, so when the ruler reads 3
in the same example, it marks the third instance of the 12-point increment, or 36 points.
Vertical ruler using inches (left), and custom 12-point increments (right)
Setting custom ruler increments in the vertical ruler is useful for lining up a ruler’s major tick marks with a baseline
grid.
See also
“About grids” on page 50
“Change the zero point” on page 47
Change measurement units and rulers
1Choose Edit > Preferences > Units & Increments (Windows) or InDesign > Preferences > Units & Increments
(Mac OS).
2To change the origin of the zero point, in the Origin menu under Ruler Units, do one of the following:
•To set the ruler origin at the top-left corner of each spread, choose Spread. The horizontal ruler measures across
the entire spread.
•Tosettheruleroriginatthetop-leftcornerofeachpage,choosePage.Thehorizontalrulerstartsatzeroforeach
page in a spread.
•Tosettheruleroriginformultipagespreadsonthetop-leftcorneroftheleftmostpage,aswellasatthetopofthe
binding spine, choose Spine. The horizontal ruler measures from the leftmost page to the binding edge; and from
the binding spine to the rightmost page.
3To change the measurement system used for rulers, dialog boxes, and panels, choose the desired system for
Horizontal and Vertical, or choose Custom and type the number of points at which you want the ruler to display
major tick marks.
4To change the value you want used for calculating points, specify the desired point size per inch for Points/Inch.
5Set any of the following Keyboard Increments:
Cursor Key Controls the increment for the arrow keys when nudging objects.
Size/Leading Controls the increment for increasing or decreasing the point size or leading using the keyboard
shortcuts.
Baseline Shift Controls the increment for shifting the baseline using the keyboard shortcuts.

INDESIGN CS3
User Guide
47
Kerning Controls the increment for kerning using the keyboard shortcuts.
6Click OK.
You can also change ruler units by right-clicking (Windows) or Control-clicking (Mac OS) a ruler and choosing the
units from the context menu. By right-clicking or Control-clicking at the intersection of the horizontal and vertical
rulers, you can change the ruler units for both rulers at the same time.
See also
“Keys for working with type” on page 638
“Keys for selecting and moving objects” on page 635
Override default measurement units
You can specify a unit of measurement that is different from the default.
❖Highlight the existing value in a panel or dialog box, and type the new value using the notation in the following
table:
Change the zero point
The zero point is the position at which the zeros on the horizontal and vertical rulers intersect. By default, the zero
point is at the top left corner of the first page of each spread. This means that the default position of the zero point
is always the same relative to a spread, but may seem to vary relative to the pasteboard.
The X and Y position coordinates in the Control panel, Info panel, and Transform panel are displayed relative to the
zero point. You can move the zero point to measure distances, to create a new reference point for measurement, or
to tile oversized pages. By default, each spread has one zero point at the upper left corner of the first page, but you
can also locate it at the binding spine, or specify that each page in a spread has its own zero point.
To specify: Type these
letters after the
value:
Examples Result
Inches i
in
inch
"
5.25i
5.25in
5.25inch
5.25”
5 1/4 inches
Millimeters mm 48mm 48 millime-
ters
Picas p 3p 3 picas
Points pt
p (before value)
6pt
p6
6 points
Picas and
points
p (between
values)
3p6 3 picas, 6
points
Ciceros c 5c 5 ciceros
Agates ag 5ag agates

INDESIGN CS3
User Guide
48
Adjust the zero point
When you move the zero point, it moves to the same relative location in all spreads. For example, if you move the
zero point to the top left corner of the second page of a page spread, it will appear in that position on the second page
of all other spreads in the document.
❖Do one of the following:
•To move the zero point, drag from the intersection of the horizontal and vertical rulers to the position on the
layout where you want to set the zero point.
Establishing a new zero point
•To reset the zero point, double-click the intersection of the horizontal and vertical rulers .
•To lock or unlock the zero point, right-click (Windows) or Control-click (Mac OS) the zero point of the rulers,
and choose Lock Zero Point or Unlock Zero Point in the context menu.
Change the default zero point
Using the Origin setting in the Preferences dialog box, you can set the default zero point for rulers as well as the scope
of the horizontal ruler. The scope determines whether the ruler measures across the page, across the entire spread,
or, for multipage spreads, from the leftmost page to the spine and from the spine outward.
If you set the ruler origin at each spread’s binding spine, the origin becomes locked at the spine. You won’t be able to
reposition the ruler origin by dragging it from the intersection of the rulers unless you choose another origin option.
1Choose Edit > Preferences > Units & Increments (Windows) or InDesign > Preferences > Units & Increments
(Mac OS).
2In the Ruler Units section, in the Origin menu, do one of the following:
•To set the ruler origin at the top-left corner of each spread, choose Spread. The horizontal ruler measures across
the entire spread.
•Tosettheruleroriginatthetop-leftcornerofeachpage,choosePage.Thehorizontalrulerstartsatzeroforeach
page in a spread.
•To set the ruler origin for multipage spreads on the top-left corner of the leftmost page, as well as at the top the
binding spine, choose Spine. The horizontal ruler measures from the leftmost page to the binding edge, and from
the binding spine to the rightmost page.
You can also change horizontal ruler origin settings using the context menu that appears when you right-click
(Windows) or Control-click (Mac OS) the horizontal ruler.
Measure objects
The Measure tool calculates the distance between any two points in the document window. When you measure from
one point to another, the distance measured is displayed in the Info panel. All measurements except the angle are
calculated in the units of measure currently set for the document.

INDESIGN CS3
User Guide
49
After you use the Measure tool to measure an item, the line or lines remain visible until you take another
measurement or select a different tool.
Measure the distance between two points
1Make sure the Info panel is visible (Window > Info).
2Select the Measure tool . (Click and hold the Eyedropper tool to display the Measure tool.)
3Click the first point and drag to the second point. Shift-drag to constrain the tool’s motion to multiples of 45˚. You
cannot drag beyond a single pasteboard and its spread.
The width and height measurements appear in the Info panel.
Measure angles
1Make sure the Info panel is visible (Window > Info).
2Select the Measure tool . (Click and hold the Eyedropper tool to display the Measure tool.)
3Do one of the following:
•To measure an angle from the x axis, drag the tool.
•Tomeasureacustomangle,dragtocreatethefirstlineoftheangle.Positionthetoolovereitherendpointofthe
measure line. To create the second line of the angle, either double-click and drag, or press Alt (Windows) or
Option (Mac OS) and drag.
Whenyoumeasureacustomangle,theInfopanelshowsthelengthofthefirstlineasD1andthelengthofthesecond
line as D2.
Info panel overview
The Info panel displays information for selected objects, the current document, or the area below the current tool,
including values for position, size, and rotation. When you move an object, the Info panel displays its position
relative to its starting point as well.
Unlike other InDesign panels, the Info panel is for viewing only; you cannot enter or edit the values it displays. You
can view additional information about a selected object by choosing Show Options from the panel menu.
Info panel
A. Horizontal (X) position of the cursor B. Vertical (Y) position of the cursor C. Distance an object or tool has moved relative to its starting
position D. Width in current units E. Height in current units F. Degree of rotation
Display the Info panel
❖Choose Window > Info.
To change the current measurement system, click the small triangle next to the plus icon.
View additional Info panel options
❖Choose Show Options in the Info panel menu.
Depending on the object or tool selected, you may see the following:
•Values for the fill and stroke colors of the selected object, and information about gradients .
D
E
F
A
B
C

INDESIGN CS3
User Guide
50
•The names of any swatches. You can display color-space values instead by clicking the small triangle next to the
fill or stroke icon.
•Informationaboutthecurrentdocument,suchaslocation,lastmodifieddate,author,andfilesize,whennothing
in the document is selected.
•Number of characters, words, lines, and paragraphs when you create a text insertion point or select text using one
of the Type tools. (If any text is overset, a “+” sign appears, followed by a number representing the overset
characters, words, or lines.)
•File type, resolution, and color space when a graphic file is selected. Resolution is displayed as both actual pixels
perinch(theresolutionofthenativegraphicfile)andeffectivepixelsperinch(theresolutionofthegraphicafter
it has been resized in InDesign). If color management has been enabled, the ICC color profile is also displayed.
•The shear angle or horizontal and vertical scaling if the Shear tool, Scale tool, or the Free Transform tool is
selected.
Grids
About grids
Two kinds of nonprinting grids are available: a baseline grid for aligning columns of text, and a document grid for
aligning objects. On the screen, a baseline grid resembles ruled notebook paper, and a document grid resembles
graph paper. You can customize both kinds of grids.
Baseline grid (left) and document grid (right)
When a grid is visible, you can observe the following characteristics:
•The baseline grid covers entire spreads, but the document grid covers the entire pasteboard.
•Baseline grids and document grids appear on every spread and cannot be assigned to any master.
•
The document grid can appear in front of or behind all guides, layers, and objects, but cannot be assigned to any layer.
The document baseline grid direction follows the column direction set in the Margins And Columns dialog box.
Set up a baseline grid
Use Grid Preferences to set up a baseline grid for the entire document.
YoucansetupabaselinegridforaframebyusingtheTextFrameOptions.(See“Setbaselinegridsforatextframe”
on page 128.)
1Choose Edit > Preferences > Grids (Windows) or InDesign > Preferences > Grids (Mac OS).
2Specify a baseline grid color by choosing a color in the Color menu. You can also choose Custom in the Color menu.

INDESIGN CS3
User Guide
51
3For Start, type a value to offset the grid from either the top of the page or the top margin of the page, depending
ontheoptionyouchoosefromtheRelativeTomenu.Ifyouhavetroublealigningtheverticalrulertothisgrid,try
starting with a value of zero.
4For Increment Every, type a value for the spacing between grid lines. In most cases, type a value that equals your
body text leading, so that lines of text align perfectly to this grid.
Baseline grid in document window
A. First grid line B. Increment between grid lines
5For View Threshold, type a value to specify the magnification below which the grid does not appear, and click OK.
Increase the view threshold to prevent crowded grid lines at lower magnifications.
Baseline grid at magnification below view threshold (left) and above view threshold (right)
6Click OK.
Note: The Snap to Guides command controls both snapping to guides and snapping to the baseline grid.
Set up a document grid
1Choose Edit > Preferences > Grids (Windows) or InDesign > Preferences > Grids (Mac OS).
2
Specify a document grid color by choosing a color in the Color menu. You can also choose Custom in the Color menu.
3To set horizontal grid spacing, specify a value for Gridline Every in the Horizontal section of the Document Grid
section, and then specify a value for Subdivisions between each grid line.
4To set vertical grid spacing, specify a value for Gridline Every in the Vertical section of the Document Grid
section, and then specify a value for Subdivisions between each grid line.
5Do one of the following, and click OK:
•To put the document and baseline grids behind all other objects, make sure that Grids in Back is selected.
•To put the document and baseline grids in front of all other objects, deselect Grids in Back.
To put guides behind all other objects, you can also choose Guides in Back in the context menu that appears when
you right-click (Windows) or Control-click (Mac OS) an empty area of the document window.
AB

INDESIGN CS3
User Guide
52
Show or hide grids
•To show or hide the baseline grid, choose View > Grids & Guides > Show/Hide Baseline Grid.
•To show or hide the document grid, choose View > Grids & Guides > Show/Hide Document Grid.
Snap objects to the document grid
1Choose View > Grids & Guides and make sure that Snap to Document Grid is selected (checked). If it is not
selected, click it.
Note: The Snap to Guides command controls both snapping to guides and snapping to the baseline grid.
2To specify the snap-to zone, choose Edit > Preferences > Guides & Pasteboard (Windows) or InDesign >
Preferences > Guides & Pasteboard (Mac OS), type a value for Snap to Zone, and click OK. The Snap to Zone value
is always in pixels.
To snap an object to a grid, drag an object toward a grid until one or more of the object’s edges is within the grid’s
snap-to zone.
Ruler guides
Create ruler guides
Ruler guides are different from grids in that they can be positioned freely on a page or on a pasteboard. You can create
two kinds of ruler guides: page guides, which appear only on the page on which you create them, or spread guides,
which span all pages and the pasteboard of a multiple-page spread. You can drag any ruler guide to the pasteboard.
A ruler guide is displayed or hidden with the layer on which it was created.
New ruler guides always appear on the target spread. For example, if several spreads are visible in the document
window and you drag a new guide into the window, the new guide becomes visible only on the target spread.
Guides in the document window
A. Spread guide B. Page guide
See also
“About layers” on page 69
Create a ruler guide
1Make sure that both rulers and guides are visible, make sure the correct spread is targeted, and view the document
in Normal View mode, not Preview mode.
2If the document contains multiple layers, click a layer name in the Layers panel to target the layer.
A B

INDESIGN CS3
User Guide
53
3Do one of the following:
•To create a page guide, position the pointer inside a horizontal or vertical ruler and then drag to the desired
locationonthetargetspread.Ifyoudroptheguideontothepasteboard,itspansthepasteboardandspread;itwill
act as a page guide if you later drag it onto a page.
•To create a spread guide, drag from the horizontal or vertical ruler, keeping the pointer in the pasteboard but
positioning the guide at the desired location on the target spread.
•To create a spread guide when the pasteboard is not visible (for example, when you’ve zoomed in), press Ctrl
(Windows) or Command (Mac OS) as you drag from the horizontal or vertical ruler to the target spread.
•To create a spread guide without dragging, double-click a specific position on the horizontal or vertical ruler. If
you want to snap the guide to the nearest tick mark, hold down the Shift key when you double-click the ruler.
•To create vertical and horizontal guides simultaneously, press Ctrl (Windows) or Command (Mac OS) as you drag
from the target spread’s ruler intersection to the desired location.
A vertical and horizontal guide created concurrently
To reposition a ruler guide numerically, select the guide and enter values for X and Y in the Control panel.
Create a set of evenly spaced page guides
1If the document contains multiple layers, click a layer name in the Layers panel to target the layer.
2Choose Layout > Create Guides.
3For Number, type a value to specify the number of rows or columns you want to create.
4For Gutter, type a value to specify the spacing between rows or columns. Start with a low value, such as 1 pica;
large gutters leave little space for columns.
Columns created with the Create Guides command are not the same as those created with the Layout > Margins And
Columnscommand.Forexample,columnscreatedusingCreateGuidescannotcontroltextflowwhenatextfileis
placed. Use the Margins And Columns command to create major column divisions appropriate for autoflow text,
and use the Create Guides command to create column grids and other layout aids.
5For Fit Guides To, click Margins to create the guides within the page margins, or click Page to create the guides
within the page edges.

INDESIGN CS3
User Guide
54
Ruler guides evenly spaced within page margins (left) and page edges (right)
6To delete any existing guides (including guides on locked or hidden layers), select Remove Existing Ruler Guides.
7If you like, select Preview to see the effect of your settings on the page, and then click OK.
Note: The Create Guides command can create page guides only; it cannot create spread guides.
To space existing guides a uniform distance apart, select the guides (by dragging or pressing Shift as you click with
the mouse). Then, select Use Spacing from the Control panel, type the space value in the text box, and press Enter or
Return to confirm. Click either Distribute Horizontal Centers or Distribute Vertical Centers to the left of the
Use Spacing option.
Show or hide guides
•To show or hide all margin, column, and ruler guides, choose View > Grids & Guides > Show/Hide Guides.
•To show or hide ruler guides on one layer only without changing the visibility of the layer’s objects, double-click
the layer name in the Layers panel, select or deselect Show Guides, and then click OK.
•To show or hide guides and all other non-printing elements, click the Preview Mode icon at the bottom of the
Toolbox.
Select ruler guides
Unselected ruler guides appear light blue. Selected ruler guides are highlighted in their layer color. When a guide is
selected, the Reference Point icon in the Control panel changes to or , representing the selected guide.
•To select a single ruler guide, use the Selection tool or the Direct Selection tool and click the guide to
highlight it in its layer color.
If you can’t select a ruler guide and the View > Grids & Guides > Lock Guides command is already deselected, the
guide might be on that page’s master, or on a layer where guides are locked.
•To select multiple ruler guides, hold down Shift as you click guides using the Selection or Direct Selection tool.
You can also drag over multiple guides, as long as the selection marquee doesn’t touch or enclose any other object.
•To select all ruler guides on the target spread, press Ctrl+Alt+G (Windows) or Command+Option+G (Mac OS).
Move, edit, or delete ruler guides
You can change the attributes of individual ruler guides, and you can move, cut, copy, paste, or delete multiple ruler
guides simultaneously. Cut or copied ruler guides can be pasted to other pages or documents, but not to other
programs. To change attributes of specific guides, you must select the guides you want to change. When no guides
are selected, the Ruler Guides command sets the defaults for new guides only.

INDESIGN CS3
User Guide
55
See also
“Paste objects into different layers” on page 72
Move ruler guides
❖Using Selection tool or the Direct Selection tool , do any of the following:
•To move a ruler guide, drag it.
•To move multiple ruler guides, shift-select the guides you want to move, and then drag them.
Move selected guides just as you would any other selected object, including nudging with the arrow keys and using
the Control or Transform panels.
•To make a guide snap to a ruler tick mark, press Shift as you drag it. Or select the guide, press and hold down the
Shift key, and then click the mouse button.
•To move a spread guide, drag the part of the guide that’s on the pasteboard, or press Ctrl (Windows) or Command
(Mac OS) as you drag the guide from within the page.
•To move guides to another page or document, select one or more guides, choose Edit > Copy or Edit > Cut, go to
another page, and then choose Edit > Paste. If you’re pasting onto a page of the same size and orientation as the
guides’ original page, the guides appear in the same position.
Note: The Paste Remembers Layers option affects the layer on which pasted guides appear.
Delete ruler guides
•To delete individual guides, select one or more ruler guides and then press Delete. (You can also drag ruler guides
and drop them on a ruler to delete them.)
•To delete all ruler guides on the target spread, first press Ctrl+Alt+G (Windows) or Command+Option+G
(Mac OS) to select the guides, and then press Delete.
Customize ruler guides
1Do one of the following:
•To change options for one or more existing ruler guides, select those ruler guides.
•To set default options for new ruler guides, deselect all guides by clicking in an empty area.
2Choose Layout > Ruler Guides.
3For View Threshold, specify the magnification below which ruler guides do not appear. This prevents ruler guides
from appearing too close together at lower magnifications.
4For Color, choose a color or choose Custom to specify a custom color in the system color picker. Then click OK.
YoucansetthecurrentmagnificationastheviewthresholdfornewrulerguidesbypressingAlt(Windows)orOption
(Mac OS) as you drag the ruler guides you’ve selected.
Lock or unlock ruler guides
•To lock or unlock all ruler guides, choose View > Lock Guides to select or deselect the menu command.
•To lock or unlock ruler guides on one layer only, without changing the visibility of the layer’s objects, double-click
the layer name in the Layers panel, select or deselect Lock Guides, and then click OK.

INDESIGN CS3
User Guide
56
Change ruler guide stacking order
By default, ruler guides appear in front of all other guides and objects. However, some ruler guides may block your
view of such objects as lines with narrow stroke widths. You can change the Guides in Back preference to display
ruler guides in front of or behind all other objects. However, regardless of the Guides in Back setting, objects and
ruler guides are always in front of margin and column guides. Also, although putting guides on different layers
organizes them structurally, it does not affect their visual stacking order—the Guides in Back preference stacks all
ruler guides as a single set in relation to all page objects.
Default stacking order
A. Ruler guides B. Page objects C. Margin and column guides D. Page
1Choose Edit > Preferences > Guides & Pasteboard (Windows) or InDesign > Preferences > Guides & Pasteboard
(Mac OS).
2Select Guides in Back, and click OK.
Snap objects to guides and grids
To precisely align objects to guides, use the Snap to Guides and Snap to Document Grid commands. Object edges
will snap to (be pulled toward) the nearest grid intersection or guide when you draw, move, or resize the objects.
The exact range within which an object snaps to guides is called the snap-to zone, which you can adjust. When you
select both the Snap to Guides and the Snap to Document Grid commands, the grid takes precedence.
Keep the following guidelines in mind as you align objects to guides and grids:
•To snap an object to a guide, drag an object toward a guide until one or more of the object’s edges is within the
guide’s snap-to zone.
•Guidesmustbevisibleforobjectstosnaptothem.However,objectscansnaptothedocumentandbaselinegrids
whether the grids are visible or not.
•Objects on one layer snap to ruler guides visible on any other layer. If you don’t want objects to snap to guides on
a certain layer, hide that layer’s guides.
•For the baselines of text to snap to the baseline grid, press the Align to Baseline Grid button for individual
paragraphs or paragraph styles.
1Choose View > Grids & Guides and make sure that Snaps To Guides is selected (checked).
Note: The Snap to Guides command controls both snapping to guides and snapping to the baseline grid.
2To specify the snap-to zone, choose Edit > Preferences > Guides & Pasteboard (Windows) or InDesign >
Preferences > Guides & Pasteboard (Mac OS), type a value for Snap to Zone, and click OK. The Snap to Zone value
is always in pixels.
A
B
C
D

INDESIGN CS3
User Guide
57
Pages and spreads
About pages and spreads
When you select the Facing Pages option in the File > Document Setup dialog box, document pages are arranged in
spreads. A spread is a set of pages viewed together, such as the two pages visible whenever you open a book or
magazine. Every InDesign spread includes its own pasteboard, which is an area outside a page where you can store
objects that aren’t yet positioned on a page. Each spread’s pasteboard provides space to accommodate objects that
bleed, or extend past the edge of a page.
Pages panel
A. Page icons B. Page with master “A” applied C. Selected spread
In a long document, you can move to a page quickly by choosing Layout > Go To Page.
Change the page and spread display
The Pages panel provides information about and control over pages, spreads, and masters (pages or spreads that
automatically format other pages or spreads). By default, the Pages panel displays thumbnail representations of each
page’s content.
1If the Pages panel isn’t visible, choose Window > Pages.
2Choose Panel Options in the Pages panel menu.
3In the Pages and Masters sections:
•Select an icon size for pages and masters.
•Select Show Vertically to display spreads in one vertical column. Deselect this option to allow spreads to be
displayed side-by-side.
•Select Show Thumbnails to display thumbnail representations of the content of each page or master. (This option
is not available if certain options are selected for Icon Size.)
4In the Panel Layout section, select Pages On Top to display the page icon section above the master icon section,
or select Masters On Top to display the master icon section above the page icon section.
5Choose an option in the Resize menu to control how the sections are displayed when you resize the panel:
•To resize both the Pages and Masters sections of the panel, choose Proportional.
•To maintain the size of the Pages section and resize only the Masters section, choose Pages Fixed.
•To maintain the size of the Masters section and resize only the Pages section, choose Masters Fixed.
A
B
C

INDESIGN CS3
User Guide
58
Target or select a page or spread
You e it h er select or target pages or spreads, depending on the task you are performing. Some commands affect the
currently selected page or spread, while others affect the target page or spread. For example, you can drag ruler
guides only to the target page or spread, but page-related commands, such as Duplicate Spread or Delete Page, affect
the page or spread selected in the Pages panel. Targeting makes a page or spread active and is helpful when, for
example, several spreads are visible in the document window and you want to paste an object onto a specific spread.
❖In the Pages panel:
•To both target and select a page or spread, double-click its icon or the page numbers under the icon. If the page or
spread is not visible in the document window, it shifts into view.
You can also both target and select a page or spread by clicking a page, any object on the page, or its pasteboard in
the document window.
The vertical ruler is dimmed alongside all but the targeted page or spread.
•To select a page, click its icon. (Don’t double-click unless you want to select it and move it into view.)
•To select a spread, click the page numbers under the spread icon.
Note: Somespreadoptions,suchasthoseinthePagespanelmenu,areavailableonlywhenanentirespreadisselected.
Page 1 is targeted and page 5 is selected (left), and page 1 is targeted and entire spread is selected (right).
Start a document with a two-page spread
Instead of beginning the document with a right-facing (recto) page, you can delete the first page and begin your
document with a left-facing (verso) page that’s part of a spread.
Important: Because of the settings necessary to keep a left-facing page as the starting page, it can be difficult to insert
spreads into a document when following this method. To avoid this difficulty, it is best to work in the document with a
right-facing page starting page (which should be left blank). When you have inserted all of the pages needed in the
document, delete the first page by following the steps below.
1Make sure page 1 of the document is blank.
2Choose File > Document Setup. Be sure the document contains at least three pages and that the Facing Pages
option is selected. Click OK.
3InthePagespanel,selectallthepagesexceptpage1.(Theeasiestwaytodothisistoselectpage2andthenShift-
select the last page of the document.)
4In the Pages panel menu, deselect Allow Selected Spread To Shuffle.
5Select page 1. In the Pages panel menu, choose Delete Spread.
Toaddaspreadtoadocumentthatstartsonaleft-facingpage,firstmakesureAllowSelectedSpreadToShuffleis
deselected and Allow Document Pages To Shuffle is selected. Then, insert three pages, and delete the extra page.
1
8
A A A A
2–3 4–5
6–7
1
8
A A A A
2–3 4–5
6–7

INDESIGN CS3
User Guide
59
Add new pages to a document
❖Do any of the following:
•To add a page after the active page or spread, click the New Page button in the Pages panel or choose Layout >
Pages > Add Page. The new page uses the same master as the existing active page.
•Toaddmultiplepagestotheendofthedocument,chooseFile>DocumentSetup.IntheDocumentSetupdialog
box, specify the total number of pages for the document. InDesign adds pages after the last page or spread.
•Toaddpagesandspecifythedocumentmaster,chooseInsertPagesfromthePagespanelmenuorchooseLayout
> Pages > Insert Pages. Choose where the pages will be added and select a master to apply.
Arrange, duplicate, and remove pages and spreads
You can use the Pages panel to freely arrange, duplicate, and recombine pages and spreads. Keep the following guide-
lines in mind when adding, arranging, duplicating, or removing pages within a document:
•InDesign preserves the threads between text frames.
•InDesign redistributes pages according to how the Allow Document Pages To Shuffle command is set.
•Objects that span multiple pages stay with the page on which they cover the most area.
See also
“Control spread pagination” on page 60
“Move or copy pages between documents” on page 61
Move pages using Move Pages command
1Choose Layout > Pages > Move Pages, or choose Move Pages from the Pages panel menu.
2Specify the page or pages you want to move.
3For Destination, choose where you want to move the pages, and specify a page if necessary. Click OK.
Move pages by dragging
❖As you drag, the vertical bar indicates where the page will appear when you drop it. If the black rectangle or bar
touches a spread when Allow Pages to Shuffle is turned off, the page you’re dragging will extend that spread;
otherwise, document pages will be redistributed to match the Facing Pages setting in the File > Document Setup
dialog box.
In the Pages panel, drag a page icon to a new position within the document.
Moving a page’s position using the Pages panel
Duplicate a page or spread
❖In the Pages panel, do one of the following:
•Drag the page range numbers under a spread to the New Page button. The new spread appears at the end of the
document.
1
8
A A A A
2–3
6–7
1
8
A A AA
2–3 4–5
[4–5]
B
B B B
6–7

INDESIGN CS3
User Guide
60
•Select a page or spread, and then choose Duplicate Page or Duplicate Spread in the Pages panel menu. The new
page or spread appears at the end of the document.
•Press Alt (Windows) or Option (Mac OS) as you drag the page icon or page range numbers under a spread to a
new location.
Note: Duplicating a page or spread also duplicates all objects on the page or spread. Text threads from the duplicated
spread to other spreads are broken, but all text threads within the duplicated spread remain intact—as do all text threads
on the original spread.
Remove a page from a spread while keeping it in the document
1Select the spread and deselect Allow Selected Spread To Shuffle in the Pages panel menu.
2In the Pages panel, drag a page out of the spread until the vertical bar is not touching any other pages.
Delete a page or spread from the document
❖Do one of the following:
•In the Pages panel, drag one or more page icons or page-range numbers to the Delete icon.
•Select one or more page icons in the Pages panel, and click the Delete icon.
•Select one or more page icons in the Pages panel, and then choose Delete Page(s) or Delete Spread(s) in the Pages
panel menu.
Control spread pagination
Most documents use two-page spreads exclusively. When you add or remove pages before a spread, the pages shuffle
by default. However, you may want to keep certain pages in a spread together. For example, you can create gatefold
oraccordionfoldoutsbycreatingamultiple-page spread (also called an island spread)andaddingpagestoit.Bynot
allowing pages to shuffle, you can ensure that pages are kept in the same spread.
Pages panel
A. One-page spread B. Four-page spread, identified by brackets around page numbers C. Entire two-page spread selected
See also
“Start a document with a two-page spread” on page 58
Create a multiple-page spread
1Do one of the following:
•To keep a single spread together, select a spread in the Pages panel, and then deselect Allow Selected Spread To
Shuffle in the Pages panel menu. You can identify an island spread in the Pages panel by the brackets around its
page numbers.
A
B
C

INDESIGN CS3
User Guide
61
•To allow the creation of spreads of more than two pages in the entire document and to preserve those spreads
when you add, remove, or arrange preceding pages, deselect Allow Document Pages To Shuffle on the Pages panel
menu. InDesign will preserve spreads of more than two pages while letting two-page spreads repaginate normally.
2AddpagestotheselectedspreadeitherbyusingInsertPagestoinsertanewpageinthemiddleofaspreadorby
dragging an existing page to the spread in the Pages panel. To drag an entire spread, drag its page numbers.
Adding a page to a spread using the Pages panel
Note: You can include up to ten pages in a spread. When you have reached the limit, the black vertical bar will not
appear.
Redistribute pages
You can redistribute a spread’s pages to match the Facing Pages setting in the File > Document Setup dialog box.
❖Do either of the following:
•If an individual spread has been allowed to shuffle, select the spread, and choose Allow Selected Spread To Shuffle
in the Pages panel menu to select it.
•Ifdocumentpageshavebeenallowedtoshuffleandyouaddedpagestoaspread,chooseAllowDocumentPages
To Shuffle from the Pages panel menu to select it. Click No to redistribute pages. If you click Yes to maintain the
multiple-page spreads, brackets surround the numbers on those spreads in the Pages panel, indicating that those
spreads are not allowed to shuffle.
Move or copy pages between documents
When you move or copy a page or spread from one document to another, all of the items on the page or spread,
including graphics, links, and text, are copied to the new document. Threaded text frames are also included, but text
that is threaded to pages outside the spread does not transfer. If the page or spread you are copying contains styles,
layers, or masters with the same names as their counterparts in the destination document, the destination
document’s settings are applied to the page or spread.
Ifyoucopyapagefromadocumentthathasadifferentsizethanthedocumentyouarecopyingto,itwillberesized
to the dimensions of the destination.
If you want to move or copy a multiple-page spread, deselect Allow Document Pages To Shuffle in the destination
document to keep the spread together.
See also
“Copy masters” on page 64
Move or copy pages between documents
1To move pages from one document to another, open both documents.
2Choose Layout > Pages > Move Pages, or choose Move Pages from the Pages panel menu.
3Specify the page or pages you want to move.
1
A A A
6–7 8–9 9
A A A
7–8
5–6
4–5 1
[2–3] [2–4]
A

INDESIGN CS3
User Guide
62
4Choose the destination document name from the Move To menu.
5For Destination, choose where you want to move the pages, and specify a page if necessary.
6If you want to remove the pages from the original document, select Delete Pages After Moving.
Note: When you copy pages between documents, their associated masters are copied automatically. If the new document
contains a master with the same name as the master applied to the copied page, however, the master of the new
document is applied to the copied page instead.
Move or copy pages between documents by dragging
1To move pages from one document to another, make sure that both documents are open and visible.
You can choose Window > Arrange > Tile Horizontally or Tile Vertically to display documents side-by-side.
2Drag the original document’s page icon to the new document.
3In the Insert Pages dialog box, specify where the pages will be added.
4If you want to remove the pages from the original document, select Delete Pages After Inserting.
Masters
About masters, stacking order, and layers
Amaster is like a background that you can quickly apply to many pages. Objects on a master appear on all pages with
that master applied. Master items that appear on document pages are surrounded by a dotted border. Changes you
make to a master are automatically applied to associated pages. Masters commonly contain repeating logos, page
numbers, headers, and footers. They can also contain empty text or graphic frames that serve as placeholders on
document pages. A master item cannot be selected on a document page unless the master item is overridden.
Masters can have multiple layers, just like pages in your document. Objects on a single layer have their own stacking
order within that layer. Objects on a master page layer appear behind objects assigned to the same layer in the
document page.
Ifyouwantamasteritemtoappearinfrontofobjectsonthedocumentpage,assignahigherlayertotheobjecton
the master. A master item on a higher layer appears in front of all objects on lower layers. Merging all layers will move
master items behind document page objects.
Master items (top left) appear behind page objects on the same layer (bottom left); moving a master item to a higher layer (top right) moves it
in front of all objects on lower layers (bottom right).
A • Section
A • Section
8 • Hibiscus

INDESIGN CS3
User Guide
63
Tips and guidelines for masters
•You can compare alternative design ideas by creating a variety of masters and applying them in turn to sample
pages containing typical content.
•To quickly lay out new documents, you can save a set of masters in a document template, along with paragraph
and character styles, color libraries, and other styles and presets.
•If you change column or margin settings on a master, or apply a new master with different column and margin
settings, you can force objects on the page to adjust to the new layout automatically. (See “About automatic layout
adjustment” on page 77.)
•You can thread text frames on a master, but only across a single spread. To automatically flow text across multiple
spreads, thread text frames on the document pages instead.
•Masters cannot contain sections for page numbering. Automatic page numbers inserted on a master display the
correct page number for each section of the document to which the master is applied.
See also
“Override or detach master items” on page 67
Create masters
You can create a new master from scratch or from an existing master page or spread. After you apply master pages
to other pages, any changes made to the source master carry forward to the masters and document pages that are
based on it. With careful planning, this provides an easy way to make layout changes to multiple pages across your
document.
For a video on working with master pages, see www.adobe.com/go/vid0069.
See also
“Apply master pages” on page 65
“Base one master on another” on page 64
Create a master from scratch
1Choose New Master in the Pages panel menu.
2Specify the following options, and click OK:
•For Prefix, type a prefix that identifies the applied master for each page in the Pages panel. You can type as many
as four characters.
•For Name, type a name for the master spread.
•For Based on Master, choose an existing master spread on which you’ll base this master spread (see “Base one
master on another” on page 64), or choose None.
•For Number of Pages, type a value for the number of pages you want in the master spread (as many as ten).
Create a master from an existing page or spread
•Drag an entire spread from the Pages section of the Pages panel to the Masters section.
•Select a spread in the Pages panel and choose Save As Master from the Pages panel menu.

INDESIGN CS3
User Guide
64
Anyobjectsontheoriginalpageorspreadbecomepartofthenewmaster.Iftheoriginalpageusedamaster,thenew
master is based on the original page’s master.
Creating a new master spread based on another page or spread
Base one master on another
You can create a master variation that is based on and updates with another master (called the parent master)within
the same document. The master spreads based on the parent master are called child masters. For example, if your
document has ten chapters that use master spreads that vary only slightly, base all of them on a master spread that
contains the layout and objects common to all ten. This way, a change to the basic design requires editing just the
parent master instead of editing all ten separately. Vary the formatting on your child masters. You can override parent
master items on a child master to create variations on a master, just as you can override master items on document
pages. This is a powerful way to keep a consistent yet varied design up to date.
Original parent and child masters (left); when the parent master is modified, the child masters are automatically updated (right)
❖To base one master on another, in the Masters section of the Pages panel, do either of the following:
•Select a master spread, and choose Master Options for [master spread name] in the Pages panel menu. For Based
on Master, choose a different master, and click OK.
•Select the name of the master spread you want to use as the base and drag it onto the name of another master to
apply it.
B-Master based on A-Master
Copy masters
Youcancopymasterswithinthesamedocumentorfromonedocumenttoanothertouseasthestartingpointfora
new master. You can also copy masters to other documents when you synchronize documents in a book or import
master pages from another document.
None
4–5 6–7 8–9
None
4–5 6–7 8–9
A-Master B-Master
A-Master
[None]
10–11 12–13 14–15
[None]
10–11 12–13 14–15
A-Master B-Master A-Master B-Master
AA

INDESIGN CS3
User Guide
65
See also
“Synchronize book documents” on page 275
“Import a master from another document” on page 68
Copy a master within a document
❖In the Pages panel, do one of the following:
•Drag the page name of a master spread to the New Page button at the bottom of the panel.
•Select the page name of a master spread, and choose Duplicate Master Spread [spread name] in the panel menu.
When you copy a master, the page prefix of the copied master becomes the next letter in the alphabet.
Copy or move a master to another document
1Open the document you want to add the master to. Then open the document with the master you want to copy.
2In the Pages panel of the source document, do either of the following:
•Click and drag the master spread to the destination document’s window to copy it.
•Select the master you want to move or copy. Choose Layout > Pages > Move Master, and choose the destination
document name from the Move To menu. If you want to remove the page or pages from the source document,
select Delete Pages After Moving, and then click OK.
Apply master pages
If your document contains custom spreads (such as a 3- or 4-page foldout in a magazine), any master you apply
should contain the same number of pages.
Note: Master items on a document page have a dotted border. If you cannot view master items on a document page, the
master item may be hidden on a lower layer or the master items may be hidden. Choose Show Master Items from the
Pages panel menu.
Apply a master to a document page or spread
•To apply a master to one page, drag the master page icon to a page icon in the Pages panel. When a black rectangle
surrounds the desired page, release the mouse button.
•Toapplyamastertoaspread,dragthemasterpageicontoacornerofthespreadinthePagespanel.Whenablack
rectangle surrounds all pages in the desired spread, release the mouse button.
Applying a master to a page (left) and applying a master to a spread (right)
Apply a master to multiple pages
❖Do one of the following:
•In the Pages panel, select the pages to which you want to apply a new master. Then press Alt (Windows) or Option
(Mac OS) as you click a master.
None
10–11 12–13
A-Master B-Master
14–15
None
10–11 12–13 14–15
A-Master B-Master

INDESIGN CS3
User Guide
66
•Choose Apply Master To Pages from the Pages panel menu, select a master for Apply Master, make sure that the
page ranges in the To Pages option are the ones you want, and click OK. You can apply a master to multiple pages
at once. For example, you can type 5, 7-9, 13-16 to apply the same master to pages 5, 7-9, and 13-16. (See “Display
absolute or section numbering in the Pages panel” on page 84.)
Applying a master to a discontiguous range of pages
Unassign masters from document pages
❖Apply the None master from the Masters section of the Pages panel.
When you unassign a master from a page, its layout and items no longer apply to the page. If a master contains most
of the elements you want, but you need to customize the appearance of a few pages, you can override master items
and edit or modify them on those document pages, instead of unassigning the master.
Edit the layout of a master
You can edit the layout of master pages at any time; changes you make are automatically reflected on all pages with
that master applied.
Note: When you override or detach a master page object on a particular page, that object may not update to reflect
changes made on the master page.
1In the Pages panel, double-click the icon for the master you want to edit, or select the master page from the text
box list at the bottom of the document window. The master spread appears in the document window.
2Make changes to the master.
InDesign automatically updates any pages using that master.
Use multiple views to see the results of master edits. Choose Window > Arrange > New Window, and then choose
Window > Arrange > Tile Horizontally or Tile Vertically. Set one view to a page and the other view to the master
applied to that page. Then edit the master and watch the page update.
Edit the options of an existing master page
You can edit master page options to change the name or prefix of the master, base the master on another master, or
change the number of pages in the master spread.
1In the Pages panel, click the name of a master spread to select the master spread.
2Choose Master Options For [master name] in the Pages panel menu.
Delete a master from a document
1In the Pages panel, select one or more master page icons.
Toselectallunusedmasterpages,chooseSelectUnusedMastersinthePagepanelmenu.
1
8
AA AA
2–34–5
6–7
1
8
BA BA
2–34–5
6–7
B
B

INDESIGN CS3
User Guide
67
2Do one of the following:
•Drag a selected master page or spread icon to the Delete icon at the bottom of the panel.
•Click the Delete icon at the bottom of the panel.
•Choose Delete Master Spread [spread name] in the panel menu.
Override or detach master items
When you apply a master page to a document page, all objects on the master, called master items, appear on the
document page. Sometimes you want a specific page to be only slightly different from a master. In this situation you
don’t need to re-create the master layout on the page or create a new master. You can override or detach the master
item, and other master items on the document page will continue to update with the master.
Note the difference between overriding and detaching master items on a document page:
Override master item attributes Overriding a master item puts a copy of it on the document page without breaking
its association with the master page. Once the item itself is overridden, you can selectively override one or more
attributes of the item to customize it. For example, you can change the fill color of the local copy. After that, changes
to the fill color on the master page itself will not update to the local copy. However, other attributes, such as size, will
continuetoupdatebecausetheyhavenotbeenoverriddenonthelocalcopy.Overridescanberemovedlatertomake
the object match the master.
Attributes you can override for a master page object include strokes, fills, contents of a frame, and any transforma-
tions (such as rotating, scaling, shearing or resizing), corner options, text frame options, lock state, transparency, and
object effects.
Detach items from their master On a document page, you can detach (disassociate) a master item from its master.
Theitemmustbeoverriddenonthedocumentpage,creatingalocalcopy,beforeyoucandetachit.Adetacheditem
does not update with the master because its association with the master page is broken.
See also
“Apply text wrap on master page items” on page 198
Override a master item
1Make sure the master item can be overridden.
You can override a master item only if Allow Master Item Overrides On Selection is selected in the Pages panel menu
for that item.
2Do either of the following:
•To override specific master items on a document page, press Ctrl+Shift (Windows) or Command+Shift (Mac OS)
and click the item (or drag to select multiple items). Change the selected master items as desired. The item can
now be selected like any other page item, but retains its association with the master page.
•To override all master page items on a document spread, target the spread, and then choose Override All Master
Page Items in the Pages panel menu. You can now select and modify any and all master items as you wish.
Once you override any master item, its dotted bounding box becomes a solid line, to show that a local copy has been
created.
Note: If you override a threaded text frame, all visible frames in that thread are overridden, even if they are on a different
page in a spread.

INDESIGN CS3
User Guide
68
Detach a master item
•To detach a single master item from its master, first override it by pressing Ctrl+Shift (Windows) or
Command+Shift (Mac OS) and clicking the item on a document page. Then choose Detach Selection From
Master in the Pages panel menu.
•To detach all overridden master items on a spread, override the master page items you want to detach, and target
that spread in the document. (Don’t go to the original master page.) Choose Detach All Objects From Master from
the Pages panel menu. If the command isn’t available, there aren’t any overridden objects on that spread.
Prevent a master item from being overridden
In some instances, you want to override all but a few master items. For example, you may want to override master
items such as background images on a document page, but you want to prevent a page-numbering header from being
overridden. By preventing the header from being overridden, you can choose the Override All Master Items option
to override all master items except for the header.
1On the master page, select the item.
2Deselect Allow Master Item Overrides On Selection on the Pages panel menu.
Master items that do not allow overrides have no frame edge when displayed on the document page. If you prevent
a threaded text frame from being overridden, all text frames in that thread have the same setting applied.
Reapply master items
If you’ve overridden master items, you can restore them to match the master page. When you do this, the object’s
attributes revert to their state on the corresponding master, and will once again update when you edit the master. The
local copy of the object is removed, and the master item cannot be selected, as indicated by its dotted border. You can
remove overrides for selected objects or all objects on a spread, but not across an entire document at once.
❖Do one of the following:
•To remove master overrides from one or more objects, select objects that were originally master items. In the Pages
panel, target a spread and choose Remove Selected Local Overrides in the Pages panel menu.
•Toremoveallmasteroverridesfromaspread,inthePagespanel,targetthespread(ormasterspread)fromwhich
youwanttoremoveallmasteroverrides.ChooseEdit>DeselectAlltomakesurethatnoobjectsareselected.In
the Pages panel, choose Remove All Local Overrides in the Pages panel menu.
If you’ve detached master page objects, you cannot restore them to the master page; however, you can delete the
detached objects and reapply the master to the page.
If you reapply a master to a page that contains overridden master page objects, the objects with overrides are
detached and all master page objects reapplied. This may result in two copies of some objects on the page. You’ll need
to delete the detached objects to exactly match the look of the master.
Import a master from another document
You can import masters from another InDesign document (any version) into the active document. If your desti-
nation document contains master pages that have different names from any master page in the source document,
those pages and their document page overrides will be unchanged.
1In the Pages panel menu, choose Load Master Pages.
2Locate and double-click the InDesign document containing the master pages you want to import.

INDESIGN CS3
User Guide
69
3Determine what should occur if a loaded master has the same name as a master in the current document.
•Choose Replace Master Pages if you want the masters from the source to override the destination document’s
masters with the same names. If your destination document does not have any overridden items, it is safe to
Replace Master Pages on import.
•Choose Rename Master Pages to change the page prefixes to the next available letter in the alphabet.
Once you have imported masters from a source document, a link is set up between the source document and the
destination document. When you subsequently load masters from the same source document, the association
between overridden items and their parent items on reloaded master pages is maintained. This association lets you
keep master pages in different documents consistent without putting those documents into a book.
If you want to use this method of keeping master pages consistent, you should load the master pages from the source
document before overriding any objects on the master. If your document has overridden items and you have never
imported masters from any source, those overridden items become detached the first time you load from a source
document and replace master pages with the same name as the parent master of the overridden items.
If you subsequently import masters from a different source document, however, and choose Replace Master Pages,
the overridden items may become detached. Any same-named masters from the new source document will be
applied to the document page containing overridden items, creating two sets of objects.
Layers
About layers
Each document includes at least one named layer. By using multiple layers, you can create and edit specific areas or
kinds of content in your document without affecting other areas or kinds of content. For example, if your document
prints slowly because it contains many large graphics, you can use one layer for just the text in your document; then,
when it’s time to proofread the text, you can hide all other layers and quickly print the text layer only. You can also
use layers to display alternate design ideas for the same layout, or versions of advertisements for different regions.
Think of layers as transparent sheets stacked on top of each other. If a layer doesn’t have objects on it, you can see
through it to any objects on layers behind it.
Additional layer notes:
•Objects on masters appear at the bottom of each layer. Master items can appear in front of document page objects
if the master page objects are on a higher layer. (See “About masters, stacking order, and layers” on page 62.)
•Layers involve all pages of a document, including masters. For example, if you hide Layer 1 while editing page 1
of your document, the layer is hidden on all pages until you decide to show it again.
•For information on converting layers from Adobe PageMaker® or QuarkXPress, see “Converting QuarkXPress
and PageMaker documents” on page 98.

INDESIGN CS3
User Guide
70
The Layers panel lists layers with the frontmost layer appearing at the top of the panel.
For a video on using layers, see www.adobe.com/go/vid0074.
Create layers
YoucanaddlayersatanytimeusingtheNewLayercommandontheLayerspanelmenuortheNewLayerbuttonat
the bottom of the Layers panel. The number of layers a document can have is limited only by the RAM available to
InDesign.
1Choose Window > Layers.
2To create a new layer using default settings, do one of the following:
•To create a new layer at the top of the Layers panel list, click the New Layer button.
•To create a new layer above the selected layer, hold down Ctrl (Windows) or Command (Mac OS) as you click the
New Layer button.
Specify layer options
1Choose New Layer in the Layers panel menu, or double-click an existing layer.
2Specify the layer options, and then click OK.
Layer options
Color Assign a color to identify the objects on that layer.
Show Layer Select this option to make a layer visible. Selecting this option is the same as the making the eye icon
visible in the Layers panel.
Show Guides Selectthisoptiontomaketheguidesonthelayervisible.Whenthisoptionisnotselectedforalayer,
the guides cannot be made visible, even by selecting View > Show Guides for the document.
Lock Layer Select this option to prevent changes to any objects on the layer. Selecting this option is the same as
making the crossed-out pencil icon visible in the Layers panel.
Lock Guides Select this option to prevent changes to all ruler guides on the layer.
Print Layer Select this option to allow the layer to be prevented from printing. When printing or exporting to PDF,
you can determine whether to print hidden and nonprinting layers.

INDESIGN CS3
User Guide
71
Suppress Text Wrap When Layer Is Hidden Select this option if you want text on other layers to flow normally when
the layer is hidden and it contains objects with text wrap applied.
Assign a layer color
Assigning a color to a layer makes it easier to distinguish the layers of different selected objects. For each layer that
contains a selected object, the Layers panel displays a dot in the layer’s color. On the page, each object displays the
color of its layer in its selection handles, bounding box, text ports, text wrap boundary (if used), frame edges
(including the X displayed by an empty graphics frame), and hidden characters. The layer color does not appear for
an deselected frame if its edges are hidden.
1In the Layers panel, double-click a layer or select a layer and choose Layer Options for [layer name].
2For Color, choose a color or choose Custom to specify a color in the system color picker.
See also
“Show or hide frame edges” on page 76
Adding objects to layers
Any new object is placed on the target layer, the layer currently displaying the pen icon in the Layers panel. Targeting
a layer also selects it. If multiple layers are selected, targeting one of them doesn’t change the selection, but targeting
a layer outside the selection deselects the other layers.
You can add objects to the target layer by any of the following methods:
•Creating new objects with the Type tool or drawing tools.
•Importing, placing, or pasting text or graphics.
•Selecting objects on other layers, and then moving them to the new layer.
You cannot draw or place a new object on a hidden or locked layer. When you select a drawing tool or the Type tool,
or place a file when the target layer is hidden or locked, the pointer changes to the crossed-out-pencil icon when it
is positioned over the document window. Either show or unlock the target layer, or target a visible, unlocked layer.
If you choose Edit > Paste when the target layer is hidden or locked, an alert message gives you the choice of showing
or unlocking the target layer.
When you click a layer in the Layers panel to target it, the pen icon appears on the layer you clicked, and the layer
also highlights to indicate that it is targeted.
Changing the target layer for the next new object
Wild owers
for your gar
d
from all ove
r
Wild owers
for your gar
d
from all ove
r

INDESIGN CS3
User Guide
72
Select, move, and copy objects on layers
By default, you can select any object on any layer. In the Layers panel, dots mark layers that contain selected objects.
Thelayer’sselectioncolorhelpsyouidentifyanobject’slayer.Topreventselectingobjectsonaspecificlayer,lockthe
layer.
❖Do any of the following:
•To select all objects on a specific layer, hold down Alt (Windows) or Option (Mac OS) as you click a layer in the
Layers panel.
•To move or copy objects to another layer, use the Selection tool to select one or more objects on a document page
or master. In the Layers panel, drag the colored dot on the right side of the layer list to move the selected objects
the other layer.
Moving an object to a new layer
To move selected objects to a hidden or locked layer, hold down Ctrl (Windows) or Command (Mac OS) as you drag
the colored dot. To copy selected objects to another layer, hold down Alt (Windows) or Option (Mac OS) as you drag
the colored dot on the right side of the layer list to the other layer. To copy selected objects to a hidden or locked layer,
hold down Ctrl+Alt (Windows) or Command+Option (Mac OS) as you drag the colored dot.
Paste objects into different layers
The Paste Remembers Layers command affects how objects pasted from other locations interact with existing layers:
•IfthePasteRemembersLayerscommandisselected,objectscutorcopiedfromdifferentlayersretaintheirlayer
assignments when pasted to the new page or position. If you paste objects to a document that doesn’t have the
same layers as the document from which they were copied, InDesign adds the objects’ layer names to the Layers
panel in the second document, and pastes each object on its layer.
•If the Paste Remembers Layers command is deselected, objects cut or copied from different layers are pasted
together on the target layer.
1Make sure that Paste Remembers Layers is deselected in the Layers panel menu.
2Select objects and choose Edit > Copy or Edit > Cut.
3In the Layers panel, click the other layer to target it.
4Choose Edit > Paste.
Wild owers
for your gar
d
from all ove
r
Wild owers
for your gar
d
from all ove
r

INDESIGN CS3
User Guide
73
Duplicate a layer
When you duplicate a layer, you copy its contents and settings. The duplicate layer then appears above the original
layer in the Layers panel. Any duplicated frames that were threaded to other frames on the layer remain threaded.
Duplicated frames whose originals were threaded to frames on other layers are no longer threaded to those frames.
❖In the Layers panel, do one of the following:
•Select the layer name and choose Duplicate Layer [layer name] in the Layers panel menu.
•Drag a layer name and drop it on the New Layer button.
Change the order of layers
Change the stacking order of layers in your document by rearranging the layers on the Layers panel. Rearranging
layers changes the order of layers on every page, not just on the target spread.
❖In the Layers panel, drag a layer up or down in the list. You can also drag multiple selected layers.
Reordering layers
Show or hide layers
You can hide or display any layer at any time. Hidden layers can’t be edited, and don’t appear on screen or in print.
Hiding layers can be useful when you want to do any of the following:
•Hide parts of a document that are not meant to appear in the final document.
•Hide alternate versions of a document.
•Simplify the display of a document, to make it easier to edit other parts of the document.
•Prevent a layer from printing.
•Speed up screen redraw when a layer contains high-resolution graphics.
By default, text continues to wrap around objects on hidden layers. To ignore text wrap settings for hidden objects,
choose Layer Options from the Layers panel menu, and then select the Suppress Text Wrap When Layer Is Hidden
option.
❖Do any of the following:
•To hide or show one layer at a time, in the Layers panel, click the square at the far left of a layer name to hide or
show the eye icon for that layer.
•To hide all layers except the selected layer, choose Hide Others in the Layers panel menu.
•To show all layers, choose Show All Layers in the Layers panel menu.
Wild owers
for your gar
d
from all ove
r
Wild owers
for your gar
d
from all ove
r

INDESIGN CS3
User Guide
74
Set a layer as nonprinting
1Select the layer in the Layers panel.
2Choose Layer Options from the Layers panel menu.
3To prevent the layer from being printed, deselect Print Layer, and then click OK.
Note: When you print or export to PDF, you will still have the option of printing hidden and nonprinting layers.
See also
“Print a document or book” on page 542
“Export to PDF” on page 473
Lock or unlock layers
Locking is useful for preventing accidental changes to a layer. A locked layer displays a crossed-out pencil icon in the
Layerspanel.Objectsonlockedlayerscannotbeselectedorediteddirectly;however,ifobjectsonlockedlayershave
attributes that can be edited indirectly, they will change. For example, if you edit a tint swatch, objects on locked
layers using that tint swatch will reflect the change. Similarly, putting a series of threaded text frames on both locked
and unlocked layers will not prevent text on locked layers from recomposing.
❖Do any of the following:
•To lock or unlock one layer at a time, in the Layers panel, click a square in the second column from the left to show
(lock) or hide (unlock) the crossed-out-pencil icon for a layer.
•To lock all layers except the target layer, choose Lock Others in the Layers panel menu.
•To unlock all layers, choose Unlock All Layers in the Layers panel menu.
Delete layers
Remember that each layer is document-wide—it appears on every page of a document. Before deleting a layer,
consider hiding all other layers first, and then turn to each page of the document to verify that it is safe to delete the
remaining objects.
❖Do any of the following:
•To delete a layer, drag a layer from the Layers panel to the Delete icon or choose Delete Layer [layer name] from
the Layers panel menu.
•
To delete multiple layers, hold Ctrl (Windows) or Command (Mac OS) while you click the layers you want to delete.
Drag the layers from the Layers panel to the Delete icon or choose Delete Layers from the Layers panel menu.
•To delete all empty layers, choose Delete Unused Layers in the Layers panel menu.
Merge layers in a document
Youcanreducethenumberoflayersinadocumentwithoutdeletinganyobjectsbymerging layers. When you merge
layers, objects from all selected layers are moved to the target layer. Of the layers you merge, only the target layer
remains in the document; the other selected layers are deleted. You can also flatten a document by merging all layers.

INDESIGN CS3
User Guide
75
Note: If you merge layers containing a mix of page objects and master items, the master items move to the back of the
resulting merged layer.
1In the Layers panel, select any combination of layers. Be sure to include the layer you want to target as the merged
layer. If you’re flattening the document, select all layers in the panel.
2Click any selected layer to make it the target layer, indicated by the pen.
3Choose Merge Layers in the Layers panel menu.
You can also merge identically named layers for exporting to PDF.
See also
“About masters, stacking order, and layers” on page 62
“Export to PDF” on page 473
Laying out frames and pages
About paths and frames
You can draw objects in a document and use them as paths or as frames. Paths are vector graphics like those you
create in a drawing program such as Adobe Illustrator®. Frames are identical to paths, with only one difference—they
can be containers for text or other objects. A frame can also exist as a placeholder—a container without contents. As
containers and placeholders, frames are the basic building blocks for a document’s layout.
Paths and frames
A. Path B. Frame as graphic container C. Frame with placed graphic
You can draw both paths and frames using tools in the Toolbox. You can also create frames by simply placing
(importing) or pasting contents into a path.
Because a frame is just a container version of a path, you can do anything to a frame that you can do to a path, such
as add a color or a gradient to its fill or stroke, or edit the shape of the frame itself with the Pen tool. You can even
use a frame as a path, or vice versa, at any time. This flexibility makes it easy to change your design and provides a
wide range of design choices.
Frames can contain text or graphics. A text frame determinestheareatobeoccupiedbytextandhowtextwillflow
through the layout. You can recognize text frames by the text ports in their respective upper left and lower right
corners.
Agraphics frame can function as a border and background, and can crop or mask a graphic. When acting as an empty
placeholder, a graphics frame displays a crossbar.
ABC

INDESIGN CS3
User Guide
76
Text frame (left) and empty graphics frame (right)
If you don’t see the crossbar inside an empty graphics frame, the frame edges display may be turned off.
For a video on working with objects, see www.adobe.com/go/vid0071.
See also
“Understanding paths and shapes” on page 298
Show or hide frame edges
Unlike paths, you can see the nonprinting strokes (outlines) of frames by default even when the frames aren’t
selected. If the document window is getting crowded, use the Show/Hide Frame Edges command to simplify the
screen display by hiding the frame edges. Doing this also hides the crossbar in a graphics placeholder frame. The
display setting for frame edges doesn’t affect the display of the text ports on text frames.
Note: The frame edge is defined as a frame’s stroke, not the outer edge of the stroke’s weight.
❖Do any of the following:
•To show or hide frame edges, choose View > Show/Hide Frame Edges.
•To hide frame edges, click Preview Mode at the bottom of the Toolbox.
Using placeholders to design pages
When your final text and graphics are available, you can simply add them to a document; InDesign automatically
creates frames when you import them (unless you’re importing text or graphics directly into existing frames).
However, when you don’t have the content yet or you want to block out the design before adding text and graphics,
you can use frames as placeholders.
Types of placeholders
A. Graphics frame placeholder B. Text frame placeholder
B
A

INDESIGN CS3
User Guide
77
For example, you might use any of these strategies:
•Draw text frames using the Type tool, and draw graphics frames using the drawing tools. Thread empty text
frames together so that importing final text takes just one step.
•Draw empty placeholder shapes using drawing tools. When you’re ready to start designating areas for text and
graphics, redefine the placeholders as either text or graphics frames.
•Set frame fitting options for a placeholder frame so that when you place an image in the frame, the image is
cropped and fit accordingly.
See also
“Use document templates” on page 94
“Draw a placeholder shape” on page 301
“Set frame fitting options” on page 385
Redefine the purpose of paths and frames
•To use a path or text frame as a graphics placeholder frame, select a path or an empty text frame, and then choose
Object > Content > Graphic.
•To use a path or graphics frame as a text placeholder frame, select a path or an empty graphics frame, and then
choose Object > Content > Text.
•To use a text or graphics frame as a path only, select an empty frame, and then choose Object > Content >
Unassigned.
Note: When a frame contains text or graphics, you cannot redefine it using the Object > Content menu. However, the
frame automatically redefines itself if you select it and replace its contents.
About automatic layout adjustment
If you use the Document Setup or Margins and Columns commands to make changes to an existing layout, such as
altering column widths or page orientation, you could spend considerable time and effort in rearranging objects to
fit the new layout. The Layout Adjustment feature can do much of that work automatically. For example, you can
quickly reformat a wide four-column document designed for an A4-size page to a tall two-column format on a U.S.
legal-size page. With Layout Adjustment, text and graphics frames are moved and resized as necessary based on the
new relative positions of column guides, page margins, and page edges.
Note: Dragging column guides does not trigger layout adjustment.
TheLayoutAdjustmentfeatureproducesmorepredictableresultswhenalayoutistightlybasedonaframeworkof
margins, page columns, and ruler guides, and where objects are snapped to guides. Results are less predictable when
objects don’t adhere to margins, columns, and guides, or when extraneous ruler and column guides clutter a page.
Layout adjustment is not affected by the document grid or the baseline grid.

INDESIGN CS3
User Guide
78
Page designed vertically, for print (left); page orientation changed for on-screen viewing, with layout automatically refitted by the Layout
Adjustment feature (right)
You can modify the rules in the Layout Adjustment dialog box. The Layout Adjustment feature attempts to approx-
imate the proportions of the old layout in the new layout by doing the following:
•Repositioning margin guides while maintaining margin widths, if the page size changes moving column and ruler
guides to maintain proportional distances from page edges, margins, or column guides.
•Adding or removing column guides, if the new layout specifies a different number of columns.
•Moving objects already aligned to any margin, column, or ruler guide, or to any two guides perpendicular to each
other, so that the objects stay with those guides if the guides move during layout adjustment.
•Proportionally resizing objects already aligned to two parallel margin, column, or ruler guides or to guides on
three sides, so that the objects stay with those guides if the guides move during layout adjustment.
•Maintain the relative position of objects that are anchored to the text as specified in the Anchored Object Options
dialog box.
•Moving objects to keep them in the same relative position on the page, if the page size changes.
Note: Layout Adjustment affects columns inside a text frame differently than it does page columns. If the frame itself is
resized by Layout Adjustment and the Fixed Column Width is not selected in the Object > Text Frame Options dialog
box, text frame columns are resized proportionally. If the Fixed Column Width option is selected, columns are added or
removed as necessary.
Set options for layout adjustment
Note that changing options in the Layout Adjustment dialog box does not immediately change anything. Layout
adjustment is triggered only by changes to page size, page orientation, margins, or column settings, or when a new
master is applied. When you want to restore a layout to its previous state, you must undo the action that triggered
the layout adjustment.
1Choose Layout > Layout Adjustment.
2Select Enable Layout Adjustment.
3Specify the layout adjustment options, and click OK.
Layout Adjustment options
Enable Layout Adjustment Select this option so that layout adjustment will occur whenever you change page size,
page orientation, margins, or columns.
Snap Zone Type a value to specify how near an object must be to the closest margin guide, column guide, or page
edge to snap to that element during layout adjustment.
Allow Graphics And Groups To Resize Select this option to let the Layout Adjustment feature scale graphics, frames,
and groups. When deselected, graphics and groups can be moved by Layout Adjustment, but not resized.

INDESIGN CS3
User Guide
79
Allow Ruler Guides To Move Select this option when you want ruler guides to be repositioned by the Layout
Adjustment feature.
Ignore Ruler Guide Alignments Select this option when ruler guides are not well positioned for layout adjustment.
Objects will still align to column and margin guides and to page edges.
Ignore Object And Layer Locks Select this option when you want the Layout Adjustment feature to reposition
objects that are locked individually, or locked as a result of being on a locked layer.
Numbering pages, chapters, and sections
Add page, section, and chapter numbering
Determine what kind of numbering you want to use for your document or book. For long documents, you can assign
chapter numbers. Each document can be assigned only one chapter number. If you want to use different numbering
within a document, you can define ranges of pages as sections; these sections can be numbered differently. For
example, the first ten pages of a document (the front matter) might use Roman numerals, and the rest of the
document might use Arabic numerals.
For a video on numbering pages, see www.adobe.com/go/vid0217.
See also
“Number pages, chapters, and paragraphs in a book” on page 277
“Creating book files” on page 274
Add an automatically updated page number
You c a n a d d a page number marker to your pages to specify where a page number sits on a page and how it will look.
Because a page number marker updates automatically, the page number it displays is always correct—even as you
add, remove, or rearrange pages in the document. Page number markers can be formatted and styled as text.
Page number on master A (left) and page 5 based on same master (right)
A single InDesign document can contain up to 9,999 pages, but page numbers can be as large as 99,999. (For
example, you can correctly number a 100-page document that starts on page 9,949.) By default, the first page is a
recto (right) page numbered 1. Odd-numbered pages always appear on the right; if you use the Section Options
command to change the first page number to an even number, the first page becomes a verso (left) page.
y
ear,
b
e sure you
u
r mailing list so
be kept abreast
iting excursions

INDESIGN CS3
User Guide
80
If the automatic page number is on a master page, it displays the master page prefix. On a document page, the
automatic page number displays the page number. On a pasteboard, it displays PB.
1If necessary, create a new text frame large enough to hold the longest page number and any text you want to appear
next to it (such as the section marker or document name). Position the text frame where you want the page number
to appear.
If you want a page number to appear on all pages based on a master, create the page number text frame on a master
page. In addition to the page number, you can add other header and footer variables, such as the creation date or file
name.
2In the page number text frame, add any text or variables that will come before or after the page number.
3Position the insertion point where you want the page number to appear, and then choose Type > Insert Special
Character > Markers > Auto Page Number.
The Auto Page Number marker is also available in a context menu. To see the context menu, position the text
insertion point in the page number text frame, right-click (Windows) or Control-click (Mac OS), and choose Insert
Special Character > Markers > Auto Page Number.
By default, pages are numbered using Arabic numerals (1, 2, 3...); however, you can number pages using upper or
lowercase Roman (i, ii, iii...) or alphanumeric (a, b, c...) numbering.
Add an automatically updated chapter number
You can add a chapter number variable to your document. Like page numbers, chapter numbers can be updated
automatically and formatted and styled as text. A chapter number variable is commonly used in documents that are
part of a book. A document can have only one chapter number assigned to it; if you want to divide a single document
into chapters, you can create sections instead.
1If necessary, create a text frame where you want a chapter number to appear. If you want a chapter number to
appear on several pages, create the text frame on a master page, and apply that master page to the document pages.
2In the chapter number text frame, add any text that will come before or after the chapter number.
3Place the insertion point where you want the chapter number to appear, and then choose Type > Text Variables >
Insert Text Variable > Chapter Number.
You can update starting number and format of chapter numbering by choosing Layout > Numbering & Section
Options.
Add an automatically updated section marker
1Define sections in your document. (See “Define section numbering” on page 81.)
2On a page or master that you’re using in a section, drag the Type tool to create a text frame large enough for the
section marker text, or click in an existing frame.
3Choose Type > Insert Special Character > Markers > Section Marker.
On master page A, section marker (left) and section marker with page number marker inserted (right)

INDESIGN CS3
User Guide
81
Change the format of page and chapter numbering
1Choose Layout > Numbering & Section Options.
2Under Page Numbering or Chapter Numbering, select a new number format for Style.
3Click OK.
Define section numbering
By default, page numbers in a book are numbered consecutively. Using Numbering & Section Options, you can
restart page or chapter numbering at a specified page, change the numbering style of both chapters and pages, and
add prefixes and section marker text to the numbers.
You can define a section marker to label section pages automatically. For example, if you specify A– for Section Prefix
onpage16ofadocumentandincludethesectionprefix,thepagewillappearinthetableofcontentsorindexasA–
16. Text you type for a section marker appears when you choose Type > Insert Special Character > Markers > Section
Marker.
Pages panel
A. Section indicator icon shows start of section B. Page number is changed for new section C. Status bar displays document length
Define sections in a document
1In the Pages panel, select the first page in the section you want to define.
2Choose Layout > Numbering & Section Options, or choose Numbering & Section Options in the Pages panel.
3Ifyou’rechangingthenumberingoptionsforanypageotherthanthefirstpageofthedocument,makesurethat
Start Section is selected. This option marks the selected page as the beginning of a new section.
4As necessary, specify the numbering and section options, and then click OK.
A section indicator icon appears above the page icon in the Pages panel, indicating the start of a new section.
5To end the section, repeat the section numbering steps on the first page that follows the section.
Edit or remove section numbering
1In the Pages panel, double-click the section indicator icon that appears above the page icon in the Pages panel.
Or, select a page that uses a section marker, and choose Numbering & Section Options in the Pages panel menu.
2Do any of the following, and then click OK:
•To change the style or starting number, change section and numbering options.
•To remove a section, deselect the Start Section option.
To quickly identify a section in the Pages panel, position the pointer precisely over any section indicator icon . A
tool tip appears, displaying the starting page number or section prefix.
C
A
B

INDESIGN CS3
User Guide
82
Create headers and footers
Headers and footers run through the top and bottom of the pages in your document, providing important
background information. They can include such items as page, chapter, or section numbers; title or heading text; the
author’s name; and the document’s filename and creation or modification date.
You can add many of these items by using text variables. InDesign includes several preset variables, such as Creation
Date and File Name. You can modify these variables, and you can create your own. For example, you can create a
variable that displays the first use of a Heading paragraph style in the header or footer. Once you create or edit the
variables you need, you assemble them on the master page to create your header and footer.
Using page numbers and variables to create a footer
A. Footer variable inserted on master page B. Variable text on document page that grabs text from the first heading on the page
For a video on creating headers and footers, see www.adobe.com/go/vid0078.
1If necessary, create or edit the variables you want to use in your header or footer. (See “Create variables for running
headers and footers” on page 88.)
2Go to the master page where you want to add the header or footer.
The header or footer will appear on any document page to which the master page is applied.
3Create a text frame large enough to include all the header or footer information. Place the text frame above or
below where the content of the document pages will appear.
4Add text, auto page numbers, and variables as needed.
5Apply the master page to document pages where you want the header or footer to appear.
6If necessary, create headers and footers for additional master pages.
See also
“Create masters” on page 63
“Create and edit text variables” on page 85
226
A
1991-2007 * Playing to Strengths
<Footer Date> * <Footer Variable>
Playing to Strengths
A
B

INDESIGN CS3
User Guide
83
Document numbering options
You can change document numbering options when you choose Layout > Numbering & Section Options or when
you choose Document Numbering Options from the Book panel menu.
Automatic Page Numbering Select if you want the page numbers of the current section to follow the numbering of
the previous section. Using this option, the page numbers in the document or section update automatically when
you add pages prior to it.
Start Page Numbering At Type the starting number for your document or for the first page of the current section.
For example, if you want to restart the numbering for a section, type 1 . The remaining pages in the section will be
renumbered accordingly.
Note: If you chose a non-Arabic page-numbering style (such as Roman numerals), you still must type an Arabic numeral
in this box.
Section Prefix Type a label for the section. Include the spaces or punctuation you want to appear between the prefix
and the page number (for example, A–16 or A 16). The prefix is limited to eight characters. It cannot be empty, and
you cannot enter a blank spaces by pressing the spacebar—copy and paste a space character from the document
window instead. Note that plus (+) or comma (,) symbols cannot be used in section prefixes. (See “Insert white space
characters” on page 152.)
Style (page numbering)
Choose a page-numbering style from the menu. The style applies to all pages in this section only.
Section Marker Type a label that InDesign inserts on the page at the location of a section marker character that
appears when you choose Type > Insert Special Character > Markers > Section Marker.
Include Prefix When Numbering Pages Select if you want the section prefix to appear when you generate a table of
contents or index, or when you print pages that contain automatic page numbers. Deselect this option to display the
section prefix in InDesign but hide the prefix in the printed document, index, and table of contents.
Section prefix in document window
A. Section marker and prefix on the page itself B. Section prefix in the page box at the bottom of the document window
Style (chapter numbering) Choose a chapter-numbering style from the menu. This chapter style is used throughout
the document.
Chapter Number If you don’t want chapters to be numbered sequentially in the book, specify the chapter number.
Continue From Previous Document In The Book Select this option to number chapters sequentially in a book.
Same As Previous Document In The Book Select this option if the current document is part of the same chapter as
the previous document in a book.
AB

INDESIGN CS3
User Guide
84
Display absolute or section numbering in the Pages panel
The Pages panel can display absolute numbering (labeling all pages with consecutive numbers, starting at the first
page of the document) or section numbering (labeling pages by section, as specified in the Section Options dialog
box). Changing the numbering display affects how pages are indicated in the InDesign document, as in the Pages
panel and in the page box at the bottom of a document window. However, it does not change the appearance of page
numbers on document pages.
1Choose Edit > Preferences > General (Windows) or InDesign > Preferences > General (Mac OS).
2For Page Numbering, choose a numbering method in the View menu.
Pages panel showing absolute numbering (left) and section numbering (right)
Add automatic page numbers for story jumps
You can easily maintain the jump lines of stories that continue to other pages, such as a line that says “Continued on
page 42.” Use a jump line page number to automatically update the number of the page containing a story’s next or
previous threaded text frame when you move or reflow the story’s threaded text frames.
Usually the jump line page number should be in a separate text frame from the story it tracks. That way, the jump
line page number remains in position even if the story’s text reflows.
If you insert an Auto Page Number character in the Find/Change dialog box, jump line page numbers can also be
found.
1With the Type tool, drag to create a new text frame where you want the jump line to appear.
2With the Selection tool , position the new text frame so that it overlaps the frame containing the story you want
to track.
Make sure text frame touches or overlaps story you want it to track.
3Select the Type tool and click an insertion point in the new text frame. Then type the text that you want to appear
before the page number, such as “Continued on” or “Continued from”.
4Then choose Type > Insert Special Character and one of the following options:
Next Page Number Inserts the number of the page containing the story’s next frame. Use this character when
creating a “continued on” jump line.
8
A A A
6–7 4
A A A
2–3
B
B B
B
B B
4–5 iv–1 1 i 2–3 ii–iii
continued on page 42

INDESIGN CS3
User Guide
85
Previous Page Number Inserts the number of the page containing the story’s previous frame. Use this character
when creating a “continued from” jump line.
The page number automatically updates to reflect the current location of the next or previous frame of the story.
5To prevent the story from being moved without its jump line, Shift-select the frames with the Selection tool, then
choose Object > Group.
6If necessary, repeat this procedure to add more jump lines.
Note: If an unwanted character appears at the beginning of the page number (so that, for example, a jump line reads
“Cont’d on page A16” instead of “Cont’d on page 16”), you probably included a section prefix in the Numbering & Section
Options dialog box. Turn off or edit the prefix.
Text variables
Create and edit text variables
Atext variable is an item you insert in your document that varies according to the context. For example, the Last
Page Number variable displays the page number of the last page of the document. If you add or remove pages, the
variable is updated accordingly.
InDesign includes several preset text variables that you can insert in your document. You can edit the format of these
variables, or you can create your own. Some variables, such as Running Header and Chapter Number, are especially
useful for adding to master pages to ensure consistent formatting and numbering. Other variables, such as Creation
Date and File Name, are useful for adding to the slug area for printing.
Note: Adding too much text to a variable may cause overset or compressed text. Variable text does not break across lines.
See also
“Create headers and footers” on page 82
Create or edit text variables
The options available for creating the variable depend on the type of variable you specify. For example, if you choose
the Chapter Number type, you can specify text to appear both before and after the number, and you can specify the
numbering style. You can create several different variables based on the same variable type. For example, you can
create one variable that displays “Chapter 1” and another that displays “Ch. 1.”
Similarly, if you choose the Running Header type, you can specify which style is used as the basis for the header, and
you can select options for deleting end punctuation and changing the case.
1If you want to create text variables for use in all new documents you create, close all documents. Otherwise, the
text variables you create appear only in the current document.
2Choose Type > Text Variables > Define.
3Click New, or select an existing variable and click Edit.
4Type a name for the variable, such as “Full Chapter” or “Running Title.”
5From the Type menu, choose a variable type, specify the options for that type, and then click OK.

INDESIGN CS3
User Guide
86
Different options are available depending on the variable type you select.
Text Before / Text After For all variable types (except Custom Text) you can specify text that will be added before or
afterthevariable.Forexample,youcanaddtheword“of”beforetheLastPageNumbervariableandthephrase“total
pages” after the variable to create an “of 12 total pages” effect. You can also paste text into the these boxes, but special
characters such as tabs and auto page numbers are stripped out. To insert special characters, click the triangle to the
right of the text box.
Style For all numbered variable types, you can specify the numbering style. If [Current Numbering Style] is selected,
the variable uses the same numbering style selected in the document’s Numbering & Section Options dialog box.
Variable types
Chapter Number
A variable created with the Chapter Number type inserts the chapter number. You can insert text before or after the
chapter number, and you can specify a numbering style.
If the document’s chapter number is set to continue from the previous document in the book, you may need to
update the book’s numbering in order for the appropriate chapter number to appear.
Creation Date, Modification Date, and Output Date
Creation Date inserts the date or time the document is first saved; Modification Date inserts the date or time the
documentwaslastsavedtodisk;OutputDateinsertsthedateortimethedocumentstartsaprintjob,exportstoPDF,
or packages the document. You can insert text before and after the date, and you can modify the date format for all
date variables.
Date Format You can type date formats directly into the Date Format box, or you can choose format options by
clicking the triangle to the right of the box. For example, the date format “MM/dd/yy” displays as 12/22/07. By
changing the format to “MMM. d, yyyy” the date will display as Dec. 22, 2007.
Date variables use the language applied to text. For example, the creation date may appear in Spanish text as “01
diciembre 2007” and in German as “01 Dezember 2007.”
Abbrevia-
tion
Description Example
M Month number, no
leading zero
8
MM Month number, leading
zero
08
MMM Abbreviated month
name
Aug
MMMM Full month name August
d Day number, no leading
zero
5
dd Day number, leading zero 05
E Weekday name, abbrevi-
ated
Fri
EEEE Full weekday name Friday

INDESIGN CS3
User Guide
87
File Name
This variable inserts the name of the current file into the document. It’s commonly added to the slug area of the
documentforprintingorusedinheadersandfooters.InadditiontoTextBeforeandTextAfter,youcanchoosethe
following options.
Include Entire Folder Path Select to include the full folder path with the file name. The standard path conventions
for either Windows or Mac OS are used.
Include File Extension Select to include the file name extension.
The File Name variable is updated whenever you save the file with a new name or to a new location. The path or
extension does not appear in the document until it’s saved.
Last Page Number
The Last Page Number type is useful for adding the total number of pages in a document to headers and footers using
thecommon“Page3of12”format.Inthiscase,thenumber12isgeneratedbytheLastPageNumber,andit’supdated
whenever pages are added or removed. You can insert text before or after the last page number, and you can specify
a numbering style. From the Scope menu, choose an option to determine whether the last page number in the section
or document is used.
Note that the Last Page Number variable does not count the pages in the document.
yy or YY Year number, last two
digits
07
y or YYYY Full year number 2007
G or GGGG Era, abbreviated or
expanded
AD or Anno Domini
h Hour, no leading zero 4
hh Hour, leading zero 04
H Hour, no leading zero,
24-hour format
16
HH Hour, leading zero,
24-hour format
16
m Minute, no leading zero 7
mm Minute leading zero 07
s second, no leading zero 7
ss second, leading zero 07
a AM or PM, two characters PM
z or zzzz Time zone, abbreviated
or expanded
PST or Pacific Stan-
dard Time
Abbrevia-
tion
Description Example

INDESIGN CS3
User Guide
88
Running Header (Paragraph or Character Style)
By default, the Running Headers variables insert the first or last occurrence (on the page) of the text to which the
specified style is applied. See “Create variables for running headers and footers” on page 88 for a description of
Running Header variable options.
Custom Text
This variable is commonly used for inserting placeholder text, or a text string that may need to be changed quickly.
Forexample,ifyou’reworkingonaprojectthatusesacodenameforacompany,youcancreateacustomtextvariable
forthecodename.Whenyouareabletousetherealcompanyname,youcansimplychangethevariabletoupdate
all the occurrences.
To insert special characters in a text variable, click the triangle to the right of the text box.
Create variables for running headers and footers
Bydefault,theRunningHeadervariablesinsertthefirstoccurrence(onthepage)ofthetexttowhichthespecified
style is applied.
1If your content is not already formatted, create and apply the paragraph style or character style for the text you
want to appear in the header (such as a title or heading style).
2Choose Type > Text Variables > Define.
3Click New, and then type a name for the variable.
4From the Type menu, choose Running Header (Paragraph Style) or Running Header (Character Style).
5Specify the following options:
Style Choose the style to display in your header or footer.
Use Decide whether you want the first or last occurrence of the style that’s applied on the page. First On Page is
defined as the first paragraph (or character) that begins on a page, not one that begins on a previous page and ends
on the current page. If there is no occurrence of the style on the page, the previous occurrence of the applied style is
used. If there is no previous occurrence in the document, the variable is empty.
Delete End Punctuation If selected, the variable displays the text minus any end punctuation (periods, colons, excla-
mation marks, and question marks).
Change Case Select this option to change the case of the text that appears in the header or footer. For example, you
may want to use sentence case in your footer, even though the heading on the page appears in title case.
6Click OK, and then click Done in the Text Variables dialog box.
You can now insert the variable in a header or footer you create on the master page.
See also
“Create headers and footers” on page 82
Insert text variables
1Place the insertion point where you want the variable to appear.
2Choose Type > Text Variables > Insert Variable, and then choose the variable you want to insert.

INDESIGN CS3
User Guide
89
Thevariableappearsonthepageasifyou’dtypeditinthedocument.Forexample,theCreationDatevariablemight
appear as December 22, 2007. If you choose Type > Show Hidden Characters, the variable instance is surrounded by
a box using the current layer color.
Delete, convert, and import text variables
Use the Text Variables dialog box to delete, convert, and import text variables.
Delete text variables
If you want to delete an instance of text variable inserted in a document, simply select the variable and press
Backspace or Delete. You can also delete the variable itself. When you do so, you can decide how to replace the
variables inserted in the document.
1Choose Type > Text Variables > Define.
2Select the variable, and then click Delete.
3Specify how the variable will be replaced by specifying a different variable, converting the variable instances to
text, or deleting the variable instances altogether.
Convert text variables to text
•To convert a single instance, select the text variable in the document window, and then choose Type > Text
Variables > Convert Variable To Text.
•To convert all instances of the text variable in the document, choose Type > Text Variables > Define, select the
variable, and then click Convert To Text.
Import text variables from another document
1Choose Type > Text Variables > Define.
2Click Load, and then double-click the document that has the variables you want to import.
3In the Load Text Variables dialog box, make sure that a check mark appears next to the variables you want to
import. If any existing variable has the same name as one of the imported variables, choose one of the following
options under Conflict With Existing Text Variable, and then click OK:
Use Incoming Definition Overwrites the existing variable with the loaded variable and applies its new attributes to
all text in the current document that used the old variable. The definition of the incoming and existing variables are
displayed at the bottom of the Load Text Variables dialog box so that you can view a comparison.
Auto-Rename Renames the loaded variable.
4Choose Done, and then click OK.
You can also copy variables to other documents when you synchronize a book file.

90
Chapter 4: Working with documents
Open, save, and export Adobe InDesign CS3 content using a variety of different formats. If you’re switching to
InDesign from QuarkXPress or Adobe PageMaker, learn the best way to convert your files.
Working with files and templates
Recommended workflow for InDesign documents
You can improve performance and prevent many problems by establishing a good workflow to use with Adobe
InDesign.
Maintain a clean computer system
Over time, changes occur to software and hardware that can lead to performance loss and system problems. Defrag-
menting the hard disk, removing older versions of software, updating device drivers, optimizing memory, running
virusprotectionutilities,andperformingothermaintenancetaskscanpreventapplicationsandfilesfrombecoming
damaged. Performing these tasks regularly helps ensure that InDesign opens, displays, and prints documents as
expected.
Create a project folder
Before you begin a project, determine which files you’ll need and how you’ll store them. Create a folder for storing
your document and its linked files. InDesign maintains links to files you place in a document, but if a link is broken,
InDesignlooksforthefileinthedocument’sfolder.Storingadocumentanditslinkedfilesinthesamefoldermakes
it easy to move them from one computer to another. Storing files in one folder also ensures that InDesign finds the
original graphics when printing a document. If InDesign cannot locate a linked graphic, it won’t reflect changes you
make to the original graphic, and it may print the graphic poorly or not at all.
If your project consists of multiple documents (for example, chapters in a book), you may find it useful to create a
project folder that contains a folder for each document and its linked files.
Consider using a template
Use a template if you frequently create similar projects. Templates let you create consistent documents more quickly
while protecting the original file. For example, if you create a monthly newsletter, your template might include ruler
guides, page numbers, the newsletter masthead, and styles you want to use in each issue. (See “Use document
templates” on page 94.)
Open documents locally
Before you open a document stored on a network volume or on removable media, copy the document and any linked
graphics to your local hard disk. The slower access time and data transfer rate of a network volume or removable
media can cause data to become lost or corrupted, possibly damaging the document.
Solve problems before converting a file
Damaged Adobe PageMaker or QuarkXPress® files usually remain damaged when opened in InDesign. If an error
or other unexpected behavior occurs with a converted file, open the original file in the source application and
troubleshoot it for damage.

INDESIGN CS3
User Guide
91
Save documents
Save documents frequently, and create backup copies of important files. You can clear unnecessary data from a
document by using the Save As command. When you use the Save command, InDesign appends new information
to the document but doesn’t remove outdated data, such as information about a deleted graphic. When you use the
Save As command, however, InDesign completely rewrites the document, including only information about objects
and pages currently in the document. A document that contains only necessary data occupies less hard drive space
and redraws and prints more quickly.
Practice good design habits
•Create styles in a document. Creating styles with no documents open can cause duplicate styles to appear when
you create a new document. To share styles in documents, save the styles and load them.
•Useappropriatefonts.Whenchoosingfontsforadocument,considerhowyouintendtoformatandprintthetext.
InDesign works best with Microsoft® OpenType®, Type 1 (also called PostScript), and TrueType fonts. Damaged
or poorly constructed fonts can damage an InDesign document or cause it to print with unexpected results, so use
reliable fonts created by established font vendors. If you work with a service bureau, find out its font requirements.
•Avoid using too many text frames. Use as few text frames as possible to keep the document file size smaller and
the layout easier to manipulate.
Be smart with art
•Use the appropriate graphics file format. When you create graphics for a project, consider how you plan to print
the document. For best results, use native Photoshop and Illustrator files rather than converting them to EPS or
TIFF. If you intend to print the document at a service bureau, ask the service bureau which graphic formats work
best with the output device it uses. The service bureau can also advise you on the optimal resolution for images.
•Store graphics externally. When you import a graphic file, InDesign creates a link to the graphic by default.
Linking helps minimize the filesize of the document and improves the performance of InDesign. When you print
the document, the original graphic file must be available and linked. If InDesign can’t find the original, the graphic
may print as a low resolution preview or as a gray box.
•In some cases, it works better to transform (for example, skew or rotate) graphics before placing them in InDesign.
When you print a graphic that is transformed in InDesign, InDesign sends the graphic to the printer in its untrans-
formed state and then appends the transformation instructions to it. This process may cause longer print times
and require more printer memory to perform the transformation.
Verify links and fonts before you print
To ensure that a document prints correctly, verify that all links are intact and all fonts are available. A link becomes
broken if you delete, move, or rename the original graphic. Use the Preflight and Package features before handing off
files to a service bureau.
For a video on creating documents, see www.adobe.com/go/vid0068.
Open InDesign documents
In general, you open document and template files the same way you do in other programs. When you open an
InDesign template, it opens as a new, untitled document by default. In Windows, document files use the extension
.indd, template files use the extension .indt, library files use the extension .indl, and book files use the extension
.indb.

INDESIGN CS3
User Guide
92
You can also use the File > Open command to open files from InDesign 1.x and later (including Asian-language
versions), InDesign Interchange (.inx) files, Adobe PageMaker 6.0 and later, QuarkXPress 3.3 and 4.1, and QuarkX-
Press Passport 4.1. In addition, other software vendors may make plug-in software that lets you open other file
formats.
To view additional information about an InDesign document, hold down Ctrl+Shift and choose Help > About
InDesign (Windows) or hold down Command+Shift (Mac OS) and choose InDesign > About InDesign.
1Choose File > Open and select one or more documents.
2Do one of the following, and then click Open:
•Select Normal (Windows) or Open Normal (Mac OS) to open the original document or a copy of a template.
•Select Original (Windows) or Open Original (Mac OS) to open an original document or template.
•Select Copy (Windows) or Open Copy (Mac OS) to open a copy of a document or template.
3If a warning message appears telling you that the color settings in the document are different from the color
settings in the application, click OK in the Embedded Profile Mismatch dialog box. When the Profile or Policy
Mismatch dialog box appears, select an option, and click OK. For more information, see “About missing and
mismatched color profiles” on page 456.
Note: Warning messages are off by default, but you can show warnings if you change the default settings in the Color
Settings dialog box (Edit > Color Settings.)
4If a warning message appears telling you that the document contains missing fonts, do one of the following:
•Click OK. InDesign will automatically format the text with a substitute.
•Click Find Font to search for and list fonts used throughout your document.
For more information on finding missing fonts, see “Find and change fonts” on page 145.
5If a warning message appears telling you that the document contains missing or modified links, do one of the
following:
•Click Fix Links Automatically to let InDesign locate the missing files or give you an opportunity to locate them.
•Click Don’t Fix to defer fixing the links until later. You can then fix the links yourself at any time using the Links
panel.
If you’re working with a managed file from an Adobe Version Cue® project, the document title bar provides
additional information about the status of the file.
See also
“Save backwards to previous InDesign versions” on page 96
“Add documents to a book file” on page 274
“Color management policy options” on page 457

INDESIGN CS3
User Guide
93
Choosing word lists when opening documents
Whenopeningadocument,youmayseeanalertmessageaskingifyouwanttousethewordlistinthedocumentor
an exception word list in the user dictionary. An exception word list includes words that were added to the User
Dictionary while the document was worked on. If you know which exception word list you use, click its button. If
you’re not sure, click either button, choose Edit > Spelling > Dictionary to inspect the word lists, and then, if
necessary,chooseEdit>Preferences>Dictionary(Windows)orInDesign>Preferences>Dictionary(MacOS)to
reset the word list used for composition.
See also
“Hyphenation and spelling dictionaries” on page 155
Convert earlier versions of InDesign documents
❖To convert previous versions of InDesign documents to the current version, choose File > Open and open the file.
Keep in mind the following points:
•If you used third-party plug-ins to create an earlier version of a document, check with the manufacturer to make
sure that they are installed correctly for and are compatible with InDesign CS3 before you convert the document.
(See “Configure plug-ins” on page 591.)
•Whenyouconvertadocument,youmayseeanalertmessageaskingifyouwanttousetheexceptionwordlistin
the user dictionary or the one in the document. For information about this alert message, see “Choosing word lists
when opening documents” on page 93.
•Library files created in earlier versions of InDesign will open and convert in InDesign CS3, even if the library is
locked. You have to specify a name and location for the converted library files; the default naming convention is
filename-X.indl.
•InDesign CS2 can’t open InDesign CS3 documents directly. You must update InDesign CS2 with special plug-ins
and choose File > Export in InDesign CS3 to save documents in INX format before opening them in previous
versions. (See “Save backwards to previous InDesign versions” on page 96.)
About Adobe Bridge
Adobe Bridge is a cross-platform application included with Adobe Creative Suite 3 components that helps you locate,
organize, and browse the assets you need to create print, web, video, and audio content. You can start Bridge from
any Creative Suite component (except Acrobat® 8), and use it to access both Adobe and non-Adobe asset types.
From Adobe Bridge, you can:
•Manage image, footage, and audio files: Preview, search, sort, and process files in Bridge without opening
individual applications. You can also edit metadata for files, and use Bridge to place files into your documents,
projects, or compositions.
•Drag assets from Bridge into the InDesign document window, or drag assets from the document window into
Bridge to create snippets.
•Work with Adobe Version Cue®-managed assets.
•Perform automated tasks, such as batch commands.
•Synchronize color settings across color-managed Creative Suite components.
•Start a real-time web conference to share your desktop and review documents.

INDESIGN CS3
User Guide
94
For a video on using Bridge, see www.adobe.com/go/vid0090.
See also
“Create snippets” on page 346
Adobe Version Cue
Adobe® Version Cue® is a file-version manager included with Adobe Creative Suite 3 Design, Web, and Master
Collection editions that consists of two pieces: the Version Cue Server and Version Cue connectivity. The
Version Cue Server hosts Version Cue projects and PDF reviews, and can be installed locally or on a centralized
computer. Version Cue connectivity enables you to connect to Version Cue Servers, and is included with all
Version Cue-enabled components (Adobe Acrobat®, Adobe Flash®, Adobe Illustrator®, Adobe InDesign®, Adobe
InCopy®, Adobe Photoshop®, and Adobe Bridge).
Use Version Cue to track changes to a file as you work on it, and to enable workgroup collaboration such as file
sharing, version control, and online reviews. You can use Version Cue in a single Version Cue-enabled Creative Suite
component, such as Photoshop, or across multiple components, such as Photoshop, Flash, and Illustrator.
You access Version Cue features by way of the Adobe dialog box or through Adobe Bridge, depending on whether
you are using Version Cue-enabled software and whether or not you have installed a Creative Suite software set (for
example, Adobe Creative Suite 3 Design Premium).
Version Cue handles the following tasks:
•Creating versions of your files
•Enabling workgroup collaboration (file sharing, version control, the ability to check files in and out)
•Organizing files into private or shared projects
•Providing thumbnails so you can browse and view files
•Organizing data so you can view and search on file information, version comments, and file status
•Creating and managing user access, projects, and PDF reviews by way of Version Cue Server Administration
Use document templates
Templates are useful starting points for standard documents because you can preset them with layout, graphics, and
text. For example, if you prepare a monthly magazine, you can create a template that contains the layout of a typical
issue, including ruler guides, grids, master pages, placeholder frames, layers, and any standard graphics or text. That
way you can simply open the template each month and import new content.
You create a template the same way you create a regular document; the only difference occurs when you save the
document. When you prepare a template for others to use, you may want to add a layer containing instructions about
the template; hide or delete the layer before printing the document.
See also
“Create layers” on page 70
Save a document as a template
1Choose File > Save As, and specify a location and filename.
2Choose InDesign CS3 Template for Save as Type (Windows) or Format (Mac OS), and then click Save.

INDESIGN CS3
User Guide
95
Start a new document from a template
1Choose File > Open.
2Locate and select a template.
3Select Normal (Windows) or Open Normal (Mac OS), and then click Open.
4Save the new document with its own name.
Open a predesigned template
1Choose File > New > Document From Template.
2In Adobe Bridge, double-click the folder (such as Flyers or Catalogs) that contains the type of template you want
to open.
3Double-click the template file.
Edit an existing template
1Choose File > Open.
2Locate and select a template.
3Select Original (Windows) or Open Original (Mac OS), and then click Open.
Saving documents
Save documents
Saving a document saves the current layout, references to source files, which page is currently displayed, and the
zoom level. Protect your work by saving often. You can save a file as any of the following:
•A regular document.
•A copy of the document, which creates a duplicate of the document under a different name, leaving the original
document active.
•A template, which normally opens as an untitled document. A template can contain settings, text, and graphics
that you preset as a starting point for other documents.
Saving a document also updates the metadata (or file information) that is part of the InDesign document. This
metadata includes a thumbnail preview, fonts used in the document, color swatches, and all metadata in the File Info
dialog box, all of which enable efficient searching. For example, you might want to search for all documents that use
a particular color.
You can view this metadata in Bridge and in the Advanced area of the File Info dialog box. You can control whether
to update the preview when you save by using a preference setting. The other metadata (fonts, colors, and links) are
updated whenever you save a document.
The Save, Save As, and Save a Copy commands store documents in the InDesign file format. For information about
storing documents in other file formats, see the Index.

INDESIGN CS3
User Guide
96
If you’re saving a document in order to bring it to a prepress service provider for final output, InDesign can automat-
ically collect all necessary files, such as linked graphics and fonts, in one folder. (See “Package files” on page 563.)
❖Do one of the following:
•Tosaveadocumentunderanewname,chooseFile>SaveAs,specifyalocationandfilename,andclickSave.The
newly named file becomes the active document. Using the Save As command might reduce the file size.
•To save an existing document under the same name, choose File > Save.
•To save all open documents to their existing locations and filenames, press Ctrl+Alt+Shift+S (Windows) or
Command+Option+Shift+S (Mac OS).
•To save a copy of a document under a new name, choose File > Save a Copy, specify a location and filename, and
click Save. The saved copy does not become the active document.
Important: To avoid problems, avoid reserved characters that have special meanings in some operating systems. For
example, avoid filenames with spaces, tabs, or initial periods, or filenames that use these characters: / \ : ; * ? < > , $ %.
Similarly, avoid using characters with accents (such as ü, ñ, or é), even when using a non-English version of InDesign.
Problems may occur if the file is opened in a different platform.
See also
“Use document templates” on page 94
“Recover documents” on page 38
“Include previews in saved documents” on page 96
“Save backwards to previous InDesign versions” on page 96
Save backwards to previous InDesign versions
To open an InDesign CS3 document in InDesign CS2, you must install the appropriate plug-ins in the previous
version of InDesign and export the InDesign CS3 document to the InDesign Interchange (INX) format.
You can obtain the compatibility plug-ins for InDesign CS2 by choosing Help > Updates and following the prompts.
You can also obtain them from the Adobe website: Choose Support > Updates, and go to the InDesign Downloads
page.
Be aware that content created using features specific to InDesign CS3 might be modified or omitted when you open
the document in a InDesign CS2.
1Choose File > Export.
2From the File Type (Windows) or Formats (Mac OS) menu, choose InDesign Interchange.
3Click Save.
You can open the .inx file in InDesign CS2 to convert it to an untitled InDesign document.
Include previews in saved documents
Thumbnail previews of documents and templates provide easy identification of those files in Adobe Bridge and in
Version Cue file dialog boxes. A preview is created when you save a document or template. A document preview
includes a JPEG image of only the first spread; a template preview includes a JPEG image of each page in the
template. You can control the size of the preview to suit your needs. For example, Extra Large 1024x1024 enables you
to quickly scan the contents of a page at high-resolution before you open the file.

INDESIGN CS3
User Guide
97
You can enable the option in Preferences or in the Save As dialog box. Because previews increase both file size and
thetimeittakestosavethedocument,youmayprefertoenabletheoptionondemandusingtheSaveAsdialogbox.
Note: (Mac OS) A low-resolution PICT preview is also created for viewing in the Finder.
1Do one of the following:
•To include a preview every time you save a document, choose Edit > Preferences > File Handling (Windows) or
InDesign > Preferences > File Handling (Mac OS).
•To include a preview for a specific document, choose File > Save As.
2Select Always Save Preview Images With Documents.
3If you are setting the preview using the Preferences dialog box, choose an option from the Preview Size menu.
Note: Selecting the preview option in the Save As dialog box also selects the option in the Preferences dialog box, and
uses the default Preview Size setting.
See also
“Save documents” on page 95
“Print thumbnails” on page 552
About metadata
Metadata is a set of standardized information about a file, such as author name, resolution, color space, copyright,
andkeywordsappliedtoit.Forexample,mostdigitalcamerasattachsomebasicinformationtoanimagefile,such
as height, width, file format, and time the image was taken. You can use metadata to streamline your workflow and
organize your files.
About the XMP standard
Metadata information is stored using the Extensible Metadata Platform (XMP) standard, on which Adobe Bridge,
Adobe Illustrator, Adobe InDesign, and Adobe Photoshop are built. Adjustments made to images with Photoshop®
Camera Raw are stored as XMP metadata. XMP is built on XML, and in most cases the metadata is stored in the file.
If it isn’t possible to store the information in the file, metadata is stored in a separate file called a sidecar file. XMP
facilitates the exchange of metadata between Adobe applications and across publishing workflows. For example, you
can save metadata from one file as a template, and then import the metadata into other files.
Metadata that is stored in other formats, such as Exif, IPTC (IIM), GPS, and TIFF, is synchronized and described
with XMP so that it can be more easily viewed and managed. Other applications and features (for example, Adobe
Version Cue) also use XMP to communicate and store information such as version comments, which you can search
using Bridge.
In most cases the metadata remains with the file even when the file format changes, for example, from PSD to JPG.
Metadata is also retained when files are placed in an Adobe document or project.
You can use the XMP Software Development Kit to customize the creation, processing, and interchange of metadata.
Forexample,youcanusetheXMPSDKtoaddfieldstotheFileInfodialogbox.FormoreinformationonXMPand
the XMP SDK, visit the Adobe website.

INDESIGN CS3
User Guide
98
Working with metadata in Bridge and Adobe Creative Suite components
Many of the powerful Bridge features that allow you to organize, search, and keep track of your files and versions
depend on XMP metadata in your files. Bridge provides two ways of working with metadata: through the Metadata
panel and through the File Info dialog box.
In some cases, multiple views may exist for the same metadata property. For example, a property may be labeled
Author in one view and Creator in another, but both refer to the same underlying property. Even if you customize
these views for specific workflows, they remain standardized through XMP.
Save metadata as a template or XMP file
You can save metadata in a template to use as a starting point for populating InDesign documents and other
documents created with XMP-enabled applications. Templates you create are stored in a shared location that all
XMP-enabled applications can access.
You can also save metadata in an XMP file to share with other users. Unlike metadata templates, the XMP files don’t
appear in the File Information menu.
1Choose File > File Info (InDesign) or File > Content File Info (Adobe InCopy).
2Do one of the following:
•To save metadata as a template, click the triangle at the top of the dialog box, and choose Save Metadata Template.
Enter a template name, and click Save.
•To save metadata to an XMP file, click Save in the Advanced section of the dialog box. Type a filename, choose a
location for the file, and click Save.
To view metadata templates in Explorer (Windows) or the Finder (Mac OS), choose Show Templates from the File
Information menu.
Converting QuarkXPress and PageMaker documents
Open QuarkXPress files in InDesign
InDesign can convert document and template files from QuarkXPress 3.3 or 4.1x. InDesign can also convert
document and template files from multi-language QuarkXPress Passport 4.1x files, so there is no longer any need to
save these files as single-language files first. (To convert documents created with QuarkXPress 5.0 or later, reopen
the documents in QuarkXPress and save them in 4.0 format.)
For more information, see the QuarkXPress Conversion Guide (PDF) at www.adobe.com/go/learn_quarkconv.
Open a QuarkXPress document or template
1Make sure that the original application file is closed.
2To ensure that all links are maintained, copy all linked files to the same QuarkXPress document folder.
3In InDesign, choose File > Open.
4In Windows, choose QuarkXPress (3.3-4.1x) or QuarkXPress Passport (4.1x) from the Files Of Type menu.
5Select a file and click Open.
Note: If InDesign cannot convert a file or a specific part of a file, it displays a warning describing the reasons it cannot
convert it and the results of the conversion.

INDESIGN CS3
User Guide
99
6If a warning dialog box appears, do one of the following:
•Click Save to save a copy of the warnings as a text file, and then open the file in InDesign.
•Click Close to close the dialog box and open the file in InDesign.
7To more accurately convert text wrap applied in QuarkXPress, do the following in InDesign:
•Select Text Wrap Only Affects Objects Beneath in the Composition area of the Preferences dialog box.
•Assign the Adobe Single-Line Composer in the Paragraph panel menu to one or more paragraphs.
Save a QuarkXPress template as an InDesign template
1Open the template in InDesign.
2Choose File > Save As and specify a location and filename.
3Choose InDesign CS3 Template for Save As Type (Windows) or Format (Mac OS), and then click Save.
What gets converted from QuarkXPress
When you open a QuarkXPress file, InDesign converts the original file information to native InDesign information:
•Text boxes are converted to InDesign text frames.
To accurately convert text wrap applied in QuarkXPress, select Text Wrap Only Affects Text Beneath in the Compo-
sition area of the Preferences dialog box.
•Styles are converted to InDesign styles.
•Because QuarkXPress uses different color profiles, they are ignored in InDesign.
•Text and graphics links are preserved and appear in the Links panel.
Note: Embedded graphics—those added to the original document using the Paste command—are not converted. For
more information on embedded graphics, see “About links and embedded graphics” on page 349.
InDesign does not support OLE or Quark XTensions. Consequently, when you open files that contain OLE or Quark
XTensions graphics, those graphics will not appear in the InDesign document. If your QuarkXPress document does
not convert, check the original and remove any objects that were created by an XTension; then save, and try to convert
again.
•All master pages and layers are converted to InDesign masters and layers.
•All master-page objects, as well as QuarkXPress guides, are placed on the corresponding InDesign master pages.
•Grouped objects remain grouped except where nonprinting items are included in a group.
•All strokes and lines (including paragraph rules) are converted to the stroke styles they most closely resemble.
Custom strokes and dashes are converted to custom strokes and dashes in InDesign.
Colors are converted exactly to InDesign colors, except in the following situations:
•Multi-ink colors from QuarkXPress are mapped to mixed inks in InDesign, unless the multi-ink color does not
contain at least one spot color. In this case, the multi-ink color is converted to a process color instead.
•QuarkXPress 4.1 colors from the color library are converted based on their CMYK values.
•QuarkXPress 3.3 HSB colors are converted to RGB, and colors from the color library are converted based on their
CMYK values.
•QuarkXPress 4.1 HSB and LAB colors are converted to RGB, and colors from the color library are converted based
on their RGB/CMYK values.

INDESIGN CS3
User Guide
100
For information about other conversion issues, check the support documents on the Adobe website at
www.adobe.com/support.
Convert PageMaker documents
InDesign can convert document and template files from Adobe PageMaker 6.0 and later. When you open a
PageMaker file, InDesign converts the original file information to native InDesign information. InDesign files are
saved with an .indd filename extension.
For more information, see the PageMaker Conversion Guide (PDF) at www.adobe.com/go/learn_pmconv.
Before opening the document in InDesign, you may want to do the following:
•If the PageMaker file or its linked graphics are located on a network server, floppy disk, or removable drive, it may
not open as expected if an interruption in data transfer occurs. To prevent data transfer problems, copy documents
and their links to the hard disk, preferably in the same folder where the PageMaker publication is stored, before
opening them in InDesign.
•You may want to use Save As in PageMaker to clear unnecessary hidden data.
•To ensure that all links are maintained, copy all linked files to the same folder where the PageMaker publication
is stored.
•Make sure that all necessary fonts are available in InDesign.
•Repair broken graphics links in the PageMaker publication.
•If you have a problem converting a large PageMaker document, convert portions of the PageMaker file separately
to isolate the problem.
If you cannot open a corrupt PageMaker document in PageMaker, try opening it in InDesign. InDesign can recover
most documents that PageMaker cannot open.
Open a PageMaker document or template
1Make sure that the original application file is closed.
2In InDesign, choose File > Open.
3In Windows, choose PageMaker (6.0-7.0) in the Files of Type menu.
4Select a file and click Open.
Note: If InDesign cannot convert a file or a specific part of a file, it displays a warning describing the reasons it cannot
convert it and the results of the conversion attempt.
5If a warning dialog box appears, do one of the following:
•Click Save to save a copy of the warnings as a text file, and then open the file in InDesign.
•Click Close to open the file in InDesign without saving the text file.
Save a PageMaker template as an InDesign template
1Open the template in InDesign.
2Choose File > Save As and specify a location and filename.
3Choose InDesign CS3 Template for Save as Type (Windows) or Format (Mac OS), and then click Save.

INDESIGN CS3
User Guide
101
Common PageMaker conversion issues
Note the following:
•All master pages and layers are converted to InDesign masters and layers. Master pages in PageMaker convert to
master pages in InDesign and retain all objects including page numbering and guides. To maintain the order of
overlapping items, InDesign creates two layers when converting a PageMaker publication: Default and Master
Default. Master Default contains the Master page items.
•PageMaker document guides are placed on the Default layer in InDesign.
•All items on the PageMaker pasteboard appear on the pasteboard of the first spread in the InDesign document.
•All objects designated in PageMaker as Non-Printing are converted with Nonprinting selected in the InDesign
Attributes panel.
•Grouped objects remain grouped except where nonprinting items are included in a group.
Text and tables conversion issues
Note the following:
•Text is converted to InDesign text frames.
•Tables in PageMaker files are converted to InDesign tables.
•Styles are converted to InDesign styles. The [No style] in PageMaker is the equivalent of [No Paragraph Style] in
InDesign. However, [No Paragraph Style] picks up the attributes of a named style if that style was selected before
any typing occurred in the PageMaker publication.
•InDesign uses the Adobe Paragraph Composer for all paragraphs, causing some text to reflow. You can assign the
Adobe Single-Line Composer to one or more paragraphs to create line breaks more similarly to the PageMaker
composition engine, but text may still reflow.
•InDesign uses only Baseline leading. Proportional and Top of Caps leading in PageMaker convert to Baseline
leading in InDesign, possibly resulting in text shifting.
•The First Baseline of converted text may appear different than text created in InDesign. The First Baseline of
converted text is set to Leading, but the First Baseline of text created in InDesign is set to Ascent by default.
•InDesign uses a different hyphenation method than PageMaker, so line breaks may be different.
•Shadow text converts as plain text. Outline text converts as text with a stroke of 0.25 inches and a fill of Paper.
Book, index, and TOC conversion issues
Note the following:
•InDesign ignores Booklists when opening PageMaker publications. If you want to open all the publications on a
Booklist together, run the Build Booklet plug-in in PageMaker with a layout of None selected so that the booked
publications are combined into one. Note that text blocks and frames will no longer be threaded.
•Index entries from a PageMaker publication appear in the InDesign Index panel. Text with cross-references that
use the See Herein or See Also Herein option are mapped as See or See Also.
•Table of Contents text converts as a Table of Contents, with PageMaker TOC Style available in the style pop-up
menu in the InDesign TOC dialog box.

INDESIGN CS3
User Guide
102
Linking and embedding conversion issues
Note the following:
•Text and graphics links are preserved and appear in the Links panel.
•If InDesign cannot locate the original link to a graphic, a warning appears asking you to repair the link in
PageMaker.
•InDesign does not support OLE (object linking and embedding). Consequently, when you open files that contain
OLE graphics, those graphics will not appear in the InDesign document.
Color and trapping conversion issues
Note the following:
•Colors are converted exactly to InDesign colors. PageMaker HLS colors are converted to RGB colors, and colors
from other color libraries are converted based on their CMYK values.
•Tints are converted as percentages of the parent color. If the parent color isn’t in the Swatches panel, it’s added
during conversion. When an object with a tint is selected, the parent color is selected in the Swatches panel, and
the tint value appears in the pop-up menu.
•Color profiles for PageMaker files are converted directly. All Hexachrome colors are converted to RGB values.
Profiles that are not ICC-compliant are replaced using the default CMS settings and profiles you specified for
InDesign.
•All strokes and lines (including paragraph rules) are converted to the default stroke styles they most closely
resemble. Custom strokes and dashes are converted to custom strokes and dashes in InDesign.
•InDesign does not support screen patterns or angles applied to TIFF images in Image Control; it drops these from
imported TIFF files.
•When Auto-Overprint Black Strokes or Fills (or both) is selected in the Trapping Preferences dialog box in
PageMaker, the setting carries over to InDesign, but Overprint Stroke or Overprint Fill is deselected in the
Attributes panel.
For information about other PageMaker conversion issues, check the support documents on the Adobe website.
Exporting
Export text
You can save all or part of an InDesign story in file formats that you can open later in other applications. Each story
in a document exports to a separate document.
InDesign can export text in several file formats, which are listed in the Export dialog box. The formats listed are used
by other applications, and they may retain many of the type specifications, indents, and tabs set in your document.
You can save sections of commonly used text and page layout items as snippets.
1Using the Type tool , click in the story you want to export.
2Choose File > Export.
3Specify a name and location for the exported story, and select a text file format under Save as Type (Windows) or
Format (Mac OS).

INDESIGN CS3
User Guide
103
If you don’t see a listing for your word-processing application, you might need to save the document in a format the
application can import, such as RTF. If your word-processing application doesn’t support any other InDesign export
formats, use a text-only format. Note, however, that exporting in text-only format removes all character attributes
from the text.
To retain all formatting, use the Adobe InDesign Tagged Text export filter. For more information, see the Tagged Text
PDF on the InDesign CS3 DVD.
4Click Save to export the story in the format you’ve selected.
See also
“Export to PDF” on page 473
“Create snippets” on page 346
Export to SVG format
The Scalable Vector Graphics (SVG) format is an open-standard vector graphics format that lets you design web
pages with high-resolution graphics that incorporate real-time data. You can export a page, spread, or selection from
an InDesign document using either SVG or SVGZ format. (The SVGZ format is a compressed version of the SVG
format.)
1If desired, select an object to export. (You do not need to select anything to export a page or spread.)
2Choose File > Export.
3Specify a location and a filename.
4For Save as Type (Windows) or Format (Mac OS), choose SVG or SVG Compressed, and then click Save.
The SVG Options dialog box appears.
5In the Pages section, do one of the following:
•Select All to export all pages in the document. Each page (or spread, if Spreads is selected) is exported to a separate
SVG file.
•Select Range and enter the number of the page or pages you want to export. Separate numbers in a range by using
a hyphen, and separate multiple pages or ranges by using commas or spaces.
•Select Export Selection to export the currently selected object in your document.
•Select Spreads to export facing pages in a spread as a single SVG file. Deselect this option to export each page in
a spread as a separate SVG file.
6For Subsetting, choose one of the following options:
•Only Glyphs Used exports only the font characters used in the document.
•Common English and Common Roman subset every English or Roman-letter font character used in the
document.
•Common English & Glyphs Used or Common Roman & Glyphs Used combine the options described above.
•All Glyphs subsets every font character used in the document (including non-Roman fonts such as Asian
characters).
7In the Images section, for Location, select one of the following options:
•Embed saves complete GIF or JPEG images in the export file (which increases file size but ensures that the image
is always included with the file).

INDESIGN CS3
User Guide
104
•Link includes a link to the original graphics file, rather than an embedded image.
8Click More Options to display the following options:
Transparency Flattener Select a flattener preset in the Preset menu to specify how transparent objects appear in the
exported file. This option is the same as the Transparency Flattener option that appears in the Advanced area of the
Print dialog box. Select Ignore Spread Overrides to ignore the flattener preset on an individual spread.
CSS Properties Lets you choose among four methods of saving style attributes in SVG code:
•Presentation Attributes Applies the highest level of properties, allowing for more flexibility during editing and
transformations.
•Style Attributes Is used if the SVG code will be used in transformation—for example, transformations using
Extensible Stylesheet Language Transformation (XSLT)—but results in slightly larger file size.
•Style Attributes (Entity References) Results in faster rendering times and reduced SVG file size.
•Style Elements Is used when sharing files with HTML editors. By selecting Style Elements, you can then modify
the SVG file to move a style element into an external stylesheet file that is also referenced by the HTML file; however,
the Style Elements option also results in slower rendering speeds.
Decimal Places Lets you specify the precision of the vectors in the exported artwork. You can set a value of 1 to 7
decimal places. A high value results in a larger file size and increased image quality.
Encoding Allows you to choose between ISO 8859-1 (ASCII) characters or characters encoded using the Unicode
Transformation Format (UTF). UTF-8 is an 8-bit format; UTF-16 is a 16-bit format.
9Click Export.
See also
“About transparency flattener presets” on page 404
“Transparency Flattener options” on page 407
Export to JPEG format
JPEG uses a standardized image compression mechanism to compress full-color or grayscale images for on-screen
display. Use the Export command to export a page, spread, or selected object in JPEG format.
1If desired, select an object to export. (You do not need to select anything to export a page or spread.)
2Choose File > Export.
3Specify a location and a filename.
4For Save as Type (Windows) or Format (Mac OS), choose JPEG, and click Save.
The Export JPEG dialog box appears.
5In the Export section, do one of the following:
•Select Selection to export the currently selected object.
•Select Range and enter the number of the page or pages you want to export. Separate numbers in a range by using
a hyphen, and separate multiple pages or ranges by using commas or spaces.
•Select All to export all pages in the documents.
•Select Spreads to export facing pages in a spread to a single JPEG file. Deselect this option to export each page in
a spread as a separate JPEG file.

INDESIGN CS3
User Guide
105
6For Image Quality, choose from a range of options that determine the trade-off between file compression (smaller
file size) and image quality:
•Maximum includes all available high-resolution image data in the exported file and requires the most disk space.
Choose this option if the file will be printed on a high-resolution output device.
•Low includes only screen-resolution versions (72 dpi) of placed bitmap images in the exported file. Choose this
option if the file will be displayed on-screen only.
•Medium and High include more image data than Low, but use varying levels of compression to reduce file size.
7For Format Method, choose one of the following options:
•Progressive displays a JPEG image in increasing detail as it is downloaded to a web browser.
•Baseline displays a JPEG image after it has been completely downloaded.
8Select or type the resolution for the exported JPEG image, and then click Export.
See also
“JPEG (.jpg) files” on page 335
Exporting content for the web
To repurpose InDesign content for the web, you have several options:
Export to XHTML Export a selection or the entire document to a basic, unformatted HTML document. You can link
to images on a server or create a separate folder for images. You can then use any HTML editor, such as Adobe
Dreamweaver® or Adobe GoLive®, to format the content for the web.
Copy and paste Copy text or images from the InDesign document and paste it into your HTML editor. This method
works especially well with Adobe GoLive, which preserves InDesign formatting of pasted content.
XML For advanced repurposing workflows, export the content from InDesign in XML format, which you can then
import into an HTML editor such as Dreamweaver.
See also
“XML tools” on page 511
Export content to XHTML / Dreamweaver
Exporting to XHTML is an easy way to get your InDesign contents into web-ready form. When you export contents
to XHTML, you can control how images are exported, but the formatting of text is not preserved. However, InDesign
preserves the names of paragraph, character, object, table, and cell styles applied to the exported contents by marking
the XHTML contents with CSS style classes of the same name. Using a CSS-capable HTML editor, such as Adobe
Dreamweaver or Adobe GoLive, you can quickly apply formatting and layout to the contents.
What gets exported InDesign exports all stories, linked and embedded graphics, SWF movie files, footnotes, text
variables (as text), bulleted and numbered lists, and hyperlinks that jump to text. Tables are also exported, but certain
formatting, such as table and cell strokes, is not exported.
What doesn’t get exported InDesign does not export objects you draw (such as rectangles, ovals, and polygons),
movie files (except for SWF), hyperlinks (except for those that jump to text), pasted objects (including pasted
Illustrator images), text converted to outlines, XML tags, books, bookmarks, SING glyphlets, index markers, objects

INDESIGN CS3
User Guide
106
on the pasteboard that aren’t selected and don’t touch the page, or master page items (unless they’re overridden or
selected before export).
Reading order InDesign determines the reading order of page objects by scanning left to right and top to bottom.
In some instances, especially in complex, multi-column documents, the design elements may not appear in the
desired reading order. Use Dreamweaver (or another HTML editor) to rearrange and format the contents.
Before you export, you may want to influence the reading order by grouping related objects. Objects grouped in
InDesign are also grouped in XHTML.
1If you’re not exporting the entire document, select the text frames, range of text, table cells, or graphics you want
to export.
2Choose File > Cross-media Export > XHTML / Dreamweaver.
3Specify the name and location of the HTML document, and then click Save.
4In the XHTML Export Options dialog box, specify the desired options in the General, Images, and Advanced
areas, and then click OK.
A document with the specified name and an .html extension (such as “newsletter.html”) is created; if specified, a web
images subfolder (such as “newsletter web images”) is saved in the same location.
XHTML export options
In the XHTML dialog box (File > Cross-media Export > XHTML / Dreamweaver), specify the following options.
General options
The General area includes the following options.
Export Determinewhetheronlytheselecteditemsortheentiredocumentisexported.Ifatextframeisselected,the
entire story — including overset text — is exported.
If Document is selected, all page items from all spreads are exported, except for master page items that have not been
overridden and page items on invisible layers. XML tags and generated indexes and tables of contents are also
ignored.
Bullets Select Map To Unordered List to convert bullet paragraphs into List Items, which are formatted in HTML
using the <ul> tag. Select Convert To Text to format using the <p> tag with bullet characters as text.
Numbers Determine how numbers are converted in the HTML file.
•Map To Ordered List Convert numbered lists into List Items, which are formatted in HTML using the <ol> tag.
•Map To Static Ordered List Convert numbered lists into List Items, but assigns a <value> attribute based on the
paragraph’s current number in InDesign.
•Convert To Text Convert numbered lists into paragraphs that begin with the paragraph’s current number as text.
Images options
From the Copy Images menu, determine how images are exported to HTML.
Original Exportstheoriginalimagetothewebimagessubfolder.Whenthisoptionisselected,allotheroptionsare
dimmed.
Optimized Lets you change settings to determine how the image is exported.
•Formatted Preserves InDesign formatting, such as rotation or scale, as much as possible for web images.

INDESIGN CS3
User Guide
107
•Image Conversion Lets you choose whether the optimized images in your document are converted to GIF or
JPEG. Choose Automatic to let InDesign decide which format to use in each instance.
•GIF Options (Palette) Lets you control how InDesign handles colors when optimizing GIF files. The GIF format
uses a limited color palette, which cannot exceed 256 colors.
Choose Adaptive to create a palette using a representative sample of colors in the graphic without any dithering
(mixing of small spots of colors to simulate additional colors). Choose Web to create a palette of Web-safe colors that
are a subset of Windows and Mac OS system colors. Choose System (Win) or System (Mac) to create a palette using
the built-in system color palette. This choice may cause unexpected results.
•JPEG Options (Image Quality) Determines the trade-off between compression (for smaller file sizes) and image
quality for each JPEG image created. Low produces the smallest file and lowest image quality.
•JPEG Options (Format Method) Determines how quickly JPEG graphics display when the file containing the
image is opened on the Web. Choose Progressive to make the JPEG images display gradually and in increasing detail
as they are downloaded. (Files created with this option are slightly larger and require more RAM for viewing.)
ChooseBaselinetomakeeachJPEGfiledisplayonlyafterithasbeencompletelydownloaded;aplaceholderappears
in its place until the file displays.
Link To Server Path Rather than exporting images to a subfolder, this option lets you enter a local URL (such as
“images/”) that appears in front of the image file. In the HTML code, the link attribute displays the path and
extension you specify. This option is especially effective when you’re converting images to web-compatible images
yourself.
Note: InDesign does not check the path you specify for Java™ scripts, external CSS styles, or image folders, so use your
HTML editor to verify paths.
Advanced options
Use the Advanced area to set CSS and JavaScript options.
CSS Options Cascading Style Sheets (CSS) are a collection of formatting rules that control the appearance of content
in a web page. When you use CSS to format a page, you separate content from presentation. The content of your
page—the HTML code—resides in the HTML file itself, while the CSS rules defining the presentation of the code
reside in another file (an external style sheet) or within the HTML document (usually in the Head section). For
example, you can specify different font sizes for selected text, and you can use CSS to control the format and
positioning of block-level elements in a web page.
When exporting to XHTML, you can create a list of CSS styles that appears in the Head section of the HTML file
with empty declarations (attributes). You can edit later these declarations in an HTML editor such as Dreamweaver.
You can choose No CSS to omit the CSS section, or you can specify an external CSS. If you select External CSS,
specify the URL of the existing CSS style sheet, which is usually a relative URL, such as “/styles/style.css.” InDesign
does not check whether the CSS exists or is valid, so you’ll want to use your HTML editor to confirm your external
CSS setup.
JavaScript Options Select Link To External JavaScript to run a JavaScript when the HTML page is opened. Specify
the URL of the JavaScript, which is usually a relative URL. InDesign does not check whether the JavaScript exists or
is valid.

INDESIGN CS3
User Guide
108
Export content to XHTML / Digital Editions
You can export a document or book as a reflowable XHTML-based eBook that is compatible with the Adobe Digital
Editions reader software.
1Do either of the following:
•To export a document, open the document and choose File > Cross-media Export > XHTML / Digital Editions.
•To export an entire book, open the book and choose Export Book to XHTML / Digital Editions from the Book
panel menu.
2In the XHTML Export Options dialog box, specify the desired options in the General, Images, and XHTML areas,
and then click OK.
Note the following:
•InDesign creates a single .epub file containing the XHTML-based content. The exported file includes a JPEG
thumbnail image from the first page in the specified document (or the style source document if a book was
selected). This thumbnail is used to depict the book in the Digital Editions Reader library view.
The .epub file is essentially a .zip file. To view the contents of the .epub file, change the extension from .epub to .zip,
and then extract the contents. If you want to customize the layout, you can edit the page-template.xpgt file inside in
OEBPS folder.
•Tables of contents generated in InDesign are not included. If you’re exporting a book, a new table of contents is
generated automatically. The table of contents includes links to all the documents in the book.
•Fonts are not embedded.
Digital Editions export options
The General section of the XHTML / Digital Editions Export Options dialog box includes the following options.
Include Metadata The metadata from the document (or the style source document if a book was selected) is
included with the exported file.
Export Style Names Only If this option is selected, text attributes for styles are exported to the stylesheets. If this
option isn’t selected, the stylesheet will contain empty styles.
CSS styles include the font name and size, line height, paragraph alignment, space before and after paragraphs, first
line indent, and word and letter spacing. Local text formatting, such as italicized words, is not retained in the style.
Bullets Select Map To Unordered List to convert bullet paragraphs into List Items, which are formatted in HTML
using the <ul> tag. Select Convert To Text to format using the <p> tag with bullet characters as text.
Numbers Determine how numbers are converted in the HTML file.
•Map To Ordered List Convert numbered lists into List Items, which are formatted in HTML using the <ol> tag.
•Map To Static Ordered List Convert numbered lists into List Items, but assigns a <value> attribute based on the
paragraph’s current number in InDesign.
•Convert To Text Convert numbered lists into paragraphs that begin with the paragraph’s current number as text.
View eBook After Exporting Starts the Adobe Digital Editions Reader, if present. An alert message appears if your
system doesn’t have a reader configured to view .epub documents.

INDESIGN CS3
User Guide
109
Images options
The Images section of the XHTML / Digital Editions Export Options dialog box includes the following options.
From the Copy Images menu, determine how images are exported to HTML.
Original Exports the original image to the eBook. When this option is selected, all other options are dimmed.
Optimized Lets you change settings to determine how the image is exported.
•Formatted Preserves InDesign formatting, such as rotation or scale, as much as possible for web images.
•Image Conversion Lets you choose whether the optimized images in your document are converted to GIF or
JPEG. Choose Automatic to let InDesign decide which format to use in each instance.
•GIF Options (Palette) Lets you control how InDesign handles colors when optimizing GIF files. The GIF format
uses a limited color palette, which cannot exceed 256 colors.
Choose Adaptive to create a palette using a representative sample of colors in the graphic without any dithering
(mixing of small spots of colors to simulate additional colors). Choose Web to create a palette of Web-safe colors that
are a subset of Windows and Mac OS system colors. Choose System (Win) or System (Mac) to create a palette using
the built-in system color palette. This choice may cause unexpected results.
•JPEG Options (Image Quality) Determines the trade-off between compression (for smaller file sizes) and image
quality for each JPEG image created. Low produces the smallest file and lowest image quality.
•JPEG Options (Format Method) Determines how quickly JPEG graphics display when the file containing the
image is opened on the Web. Choose Progressive to make the JPEG images display gradually and in increasing detail
as they are downloaded. (Files created with this option are slightly larger and require more RAM for viewing.)
ChooseBaselinetomakeeachJPEGfiledisplayonlyafterithasbeencompletelydownloaded;aplaceholderappears
in its place until the file displays.
Copying and pasting content into GoLive
Copying content from InDesign is a quick way to get formatted text, tables, and graphics into Adobe GoLive®.
Formatting is preserved as much as possible. For a more systematic approach to repurpose content for GoLive,
export to XHTML or use an XML workflow.
After you copy contents in InDesign, GoLive supports three Paste Special options: Plain Text, Empty CSS rules (style
names are mapped, but no attributes are included), and Images (any visible InDesign content as WebSave image).
When copying and pasting, note the following:
Paragraph and character styles Paragraph and characters styles are converted as much as possible in GoLive.
Converted fonts are restricted to basic fonts available in Windows and Mac OS. Attributes not preserved in GoLive
include baseline shift, ligatures, tracking, kerning, paragraph rules, justification, hyphenation, no-break settings,
Keep options, and tab positions.
Graphics When you use Paste Special in GoLive to paste copied InDesign graphics, the graphic file is saved in a web-
safe format. Simple transformations (such as scaling or rotation) that you’ve applied to imported graphics in
InDesign are also preserved, so you don’t have to re-create these effects in GoLive.
Tables Tables are exported in basic format, with minimal formatting. Header and footer rows are exported as normal
rows, table styles aren’t mapped to specific formatting, and cell merges aren’t recognized.
You can also use the File Place import option in GoLive to add content. For more information on using InDesign
content in GoLive, see the Adobe GoLive documentation.

INDESIGN CS3
User Guide
110
Use the web color swatch library
InDesign includes a color swatch library called Web, which consists of the colors most web browsers use to display
text and graphics in web pages. The 216 colors in the library, often called web-safe colors, are consistent across
platforms, because they are a subset of the colors that browsers use in both Windows and Mac OS. The web-safe
colors in InDesign are the same as those in the Adobe Photoshop web-safe color palette and the Adobe Illustrator
browser-safe color palette.
Each color in the library is named by its RGB values. Each color’s hexadecimal code, which HTML uses to define the
color, is stored within the color swatch.
1Choose New Color Swatch in the Swatches panel menu.
2For Color Mode, choose Web.
3Select the web-safe color, and then click OK.

111
Chapter 5: Text
Adobe InDesign CS3 gives you the tools you need to add text to pages with both flexibility and precision.
Creating text and text frames
About text frames
All text in InDesign resides inside containers called text frames. (Text frames are similar to text boxes in QuarkXPress
and text blocks in Adobe PageMaker.)
Like graphics frames, text frames can be moved, resized, and changed. The tool with which you select a text frame
determines the kind of changes you can make:
•Use the Type tool to enter or edit text in a frame.
•Use the Selection tool for general layout tasks such as positioning and sizing a frame.
•Use the Direct Selection tool to alter a frame’s shape.
Text frames can also be connected to other text frames so that the text in one frame can flow into another frame.
Frames that are connected in this way are threaded. Text that flows through one or more threaded frames is called a
story. When you place (import) a word-processing file, it comes into your document as a single story, regardless of
the number of frames it may occupy.
Text frames can have multiple columns. Text frames can be based on, yet independent of, page columns. In other
words, a two-column text frame can sit on a four-column page. Text frames can also be placed on master pages and
still receive text on document pages.
Ifyouusethesametypeoftextframerepeatedly,youcancreateanobjectstylethatincludestextframeformatting
such as stroke and fill colors, text frame options, and text wrap and transparency effects.
See also
“Create text frames” on page 111
“Thread text frames” on page 122
“Define object styles” on page 178
Create text frames
When you place or paste text, you don’t need to create a text frame; InDesign automatically adds frames based on
the page’s column settings.
❖Do any of the following:
•Select the Type tool , and then drag to define the width and height of a new text frame. Hold down Shift as you
drag to constrain the frame to a square. When you release the mouse button, a text insertion point appears in the
frame.

INDESIGN CS3
User Guide
112
Dragging to create new text frame
•Using the Selection tool, click the in port or out port of another text frame, and then click or drag to create another
frame.
•Use the Place command to place a text file.
•Using the Type tool , click inside any empty frame. If the Type Tool Converts Frames To Text Frames option is
selected in Type preferences, the empty frame is converted to a text frame.
See also
“Thread text frames” on page 122
“Place (import) text” on page 117
“About text frames” on page 111
Move and resize text frames
Use the Selection tool to move or resize text frames.
If you want to move or resize a text frame without switching from the Type tool to a selection tool, hold down
Ctrl (Windows) or Command (Mac OS), and then drag the frame.
See also
“About text frames” on page 111
Move a text frame
•Using the Selection tool, drag the frame.
•Using the Type tool, hold down Ctrl (Windows) or Command (Mac OS) and drag the frame. When you release
the key, the Type tool is still selected.
Resize a text frame
❖Do any of the following:
•To resize using the Type tool , hold down Ctrl (Windows) or Command (Mac OS), and drag any frame handle.
Ifyouholddownthemousebuttonforonesecondbeforeyoubegindragging,thetextwillrecomposewhileyou
resize the frame.
Note: If you click the text frame instead of dragging it, you’ll lose your text selection or insertion point location.
•To resize using the Selection tool , drag any of the frame handles on the frame’s border. Hold down Ctrl
(Windows) or Command (Mac OS) to scale the text within the frame. (See “Scale type” on page 220.)

INDESIGN CS3
User Guide
113
•To quickly fit the frame to its content, use the Selection tool to select the text frame, and double-click any handle.
For example, if you double-click the center bottom handle, the bottom of the frame snaps to the bottom of the text.
If you double-click the center right handle, the height is preserved while the width narrows to fill the frame.
You can also double-click a handle on an overset text frame to expand the height or width to fit all text in the frame.
If a text frame includes more overset text than can reasonably fit on the page, the text frame isn’t resized.
Double-click handle to resize text frame.
•To fit the text frame to the content, select the frame using the Selection tool, and choose Object > Fitting > Fit
FrametoContent.Thebottomofthetextframefitsthecontentsofthetext.Ifatextframeincludesmoreoverset
text than can reasonably fit on the page, the text frame isn’t resized.
•To resize using the Scale tool , drag to resize the frame. (See “Scale type” on page 220.)
Using text frames on master pages
When you start a new document, you can select the Master Text Frame option so that an empty text frame is placed
on the document’s default master page. This frame has the column and margin attributes specified in the New
Document dialog box.
Follow these guidelines for using text frames on master pages:
•Set master text frames when you want each page in your document to contain a page-sized text frame into which
you can flow or type your text. If your document requires more variation, such as pages with different numbers of
frames or frames of different lengths, leave the Master Text Frame option deselected.
•Whether or not you select the Master Text Frame option, you can add text frames to a master page to act as place-
holders. You can thread these empty placeholder frames together to establish a flow.
•Flow text into master text frames using the same procedures you would use with frames created on document
pages.
•If you need to type text in a master text frame on a document page, hold down Ctrl+Shift (Windows) or
Command+Shift (Mac OS) as you click the text frame on the document page. Then click in the frame using the
Type tool and begin typing.
•Ifyouchangethepagemargins,textframesadjusttothenewmarginsonlyiftheEnableLayoutAdjustmentoption
is selected.
•Selecting the Master Text Frame option does not affect whether new pages are added when you autoflow text.

INDESIGN CS3
User Guide
114
•When you place text into a frame on a document page that is based on one of several threaded frames on a master
page, the text flows into just the frame you click. That’s because clicking the icon in the frame overrides only that
frame. However, when you hold down Shift as you click in a frame based on a master page so that text is auto-
flowed, InDesign overrides all the threaded text frames, flowing text into each and creating new pages as needed.
•When text is placed in a master text frame of a master page, these changes are not reflected in the document page
even if the text in the frame is edited on this page. Changes in fill, stroke, and stroke weight in the master text frame
are reflected in the document page (when these attributes are not overridden on the document page).
See also
“Override or detach master items” on page 67
“Masters” on page 62
Determine word and character counts
1Place the insertion point in a text frame to view counts for the entire thread of frames (the story), or select text to
view counts only for the selected text.
2Choose Window > Info to display the Info panel.
The Info panel displays the number of characters, words, lines, and paragraphs in a text frame. The position of the
insertion point within the text frame also appears.
See also
“Info panel overview” on page 49
Adding text to frames
Add text to a document
Add text to a document by typing or by pasting or placing text from a word-processing application. If your word-
processing application supports drag-and-drop, you can also drag text into InDesign frames. For large blocks of text,
the Place command is an efficient, versatile way to add text to your document. InDesign supports a variety of word-
processing, spreadsheet, and text file formats.
When you place or paste text, you do not need to create a text frame first; InDesign will create one for you automat-
ically.
When you place text, you can select Show Import Options to determine whether the imported text maintains its
stylesandformatting.Beforeyoupastetext,youcanselectAllInformationorTextOnlyunderClipboardHandling
Preferences to determine whether the pasted text includes additional information such as swatches and styles.
If the text you import into your document includes pink, green, or another color of highlighting, you likely have one
or more composition preference options turned on. Open the Composition section of the Preferences dialog box, and
notice which options are turned on under Highlight. For example, if the pasted text is formatted with fonts not available,
the text is highlighted in pink.

INDESIGN CS3
User Guide
115
See also
“About import filters” on page 117
“Work with missing fonts” on page 210
Type text in a document
1To place the insertion point inside the text frame, do one of the following:
•Using the Type tool , drag to create a new text frame, or click in an existing text frame.
•Using a selection tool, double-click inside an existing text frame. The Type tool is selected automatically.
2Begin typing.
If you created a text frame on a master page, hold down Ctrl+Shift (Windows) or Command+Shift (Mac OS) as you
clickintheframeonyourdocumentpage.Thismakesacopyofthemasterpageframeonthedocumentpage.You
can then use the Type tool to add text to the selected frame.
Type Asian text using inline input
1Choose Edit > Preferences > Advanced Type (Windows) or InDesign > Preferences > Advanced Type (Mac OS).
2Select Use Inline Input For Non-Latin Text, and then click OK.
You can use a system input method, if available, for adding 2-byte and 4-byte characters. This method is especially
useful for entering Asian characters.
Insert placeholder text
InDesign can add placeholder text that you can easily replace with real text later. Adding placeholder text can give
you a more complete sense of your document’s design.
1Use the Selection tool to select one or more text frames, or use the Type tool to click in a text frame.
2Choose Type > Fill With Placeholder Text.
If you add placeholder text to a frame that’s threaded to other frames, the placeholder text is added at the start of the
first text frame (if all frames are empty) or at the end of the existing text (if some text is already in the threaded
frames), through to the end of the last threaded frame.
To remove or replace placeholder text, double-click in any frame in the thread, choose Edit > Select All, and then
delete the text.
To change the text that is used as placeholder text, create a text file with the text you wish to use, name it Place-
holder.txt, and save it in the application folder.
Paste text
If the insertion point is not inside a text frame when you paste text into InDesign, a new plain text frame will be
created.Iftheinsertionpointisinsideatextframe,thetextwillbepastedinsidethatframe.Ifyouhavetextselected
when you paste, the pasted text will overwrite the selected text.
See also
“Drag and drop text” on page 116

INDESIGN CS3
User Guide
116
Paste text from another application
1To preserve formatting and information such as styles and index markers, open the Clipboard Handling section
of the Preferences dialog box, and select All Information under Paste. To remove these items and other formatting
when pasting, select Text Only.
2Cut or copy text in another application or in an InDesign document.
3If you like, select text or click in a text frame. Otherwise, the text will be pasted into its own new frame.
4Do one of the following:
•Choose Edit > Paste. If the pasted text doesn’t include all the formatting, you may need to change settings in the
Import Options dialog box for RTF documents.
•Choose Edit > Paste Without Formatting. (Paste Without Formatting is dimmed if you paste text from another
application when Text Only is selected in Clipboard Handling Preferences.)
You can also drag text from another application and drop it into an InDesign document, or you can insert a text file
or word-processing file into an InDesign document directly from Windows Explorer or Mac OS Finder. The text will
be added to a new frame. Shift-dragging removes the formatting. The option you select in the Clipboard Handling section
of the Preferences dialog box determines whether information such as index markers and swatches is preserved.
Adjust spacing automatically when pasting text
When you paste text, spaces can be automatically added or removed, depending on the context. For example, if you
cutawordandthenpasteitbetweentwowords,aspaceappearsbeforeandaftertheword.Ifyoupastethatwordat
the end of a sentence, before the period, a space is not added.
1Choose Edit > Preferences > Type (Windows) or InDesign > Preferences > Type.
2Select Adjust Spacing Automatically When Cutting And Pasting Words, and then click OK.
Drag and drop text
You can use the mouse to drag and drop text in the Story Editor or in the Layout View. You can even drag text from
the Story Editor to the layout window (or vice versa), or into some dialog boxes such as Find/Change. Dragging the
text from a locked or checked-in story copies the text rather than moves it. You can also copy text or create a new
frame when dragging and dropping text.
1To enable drag and drop, choose Edit > Preferences > Type (Windows) or InDesign > Preferences > Type
(Mac OS), select Enable In Layout View, Enable In Story Editor (InDesign), or Enable in Galley/Story View
(InCopy), and then click OK.
2Select the text that you want to move or copy.
3Hold the pointer over the selected text until the drag and drop icon appears, and then drag the text.
As you drag, the selected text remains in place, but a vertical bar indicates where the text will appear when you release
the mouse button. The vertical bar appears in any text frame that you drag the mouse over.
4Do any of the following:
•To drop the text in a new location, position the vertical bar where you would like the text to appear and release
the mouse button.
•To drop the text in a new frame, hold down Ctrl (Windows) or Command (Mac OS) after you start dragging, and
then release the mouse button before releasing the key.
•To drop the text without formatting, hold down Shift after you start dragging, and then release the mouse button
before releasing the key.

INDESIGN CS3
User Guide
117
•To copy the text, hold down Alt (Windows) or Option (Mac OS) after you start dragging, and then release the
mouse button before releasing the key.
You can also use a combination of these modifier keys. For example, to copy unformatted text to a new frame, hold
down Alt+Shift+Ctrl (Windows) or Option+Shift+Command (Mac OS) after you start dragging.
If the text you drop doesn’t have the proper spacing, select the Adjust Spacing Automatically option in Type Prefer-
ences.
See also
“Paste text” on page 115
Importing text
About import filters
InDesign imports most character and paragraph formatting attributes from text files but ignores most page-layout
information, such as margin and column settings (which you can set in InDesign). Note the following:
•InDesign generally imports all formatting information specified in the word-processing application, except infor-
mation for word-processing features not available in InDesign.
•InDesign can add imported styles to its list of styles for the document. A disk icon appears next to imported
styles. (See “Convert Word styles to InDesign styles” on page 168.)
•The import options appear when you select Show Import Options in the Place dialog box, or when you import an
Excel file. If Show Import Options is deselected, InDesign uses the import options last used for a similar document
type. The options you set remain in effect until you change them.
•If InDesign cannot find a filter that recognizes a file by either its file type or file extension, an alert message
appears. For best results in Windows, use the standard extension (such as .doc, .txt, .rtf, or .xls) for the type of file
you’re importing. You may need to open the file in its original application and save it in a different format, such
as RTF or text-only.
For more information on import filters, see the Filters ReadMe PDF file located in the InDesign application folder.
See also
“Open QuarkXPress files in InDesign” on page 98
Place (import) text
When you place a text or spreadsheet file, you can specify options to determine how the imported text is formatted.
For a video on importing content into InDesign, see www.adobe.com/go/vid0067.
1(Optional) To create links in placed files, click Type in the Preferences dialog box and select Create Links When
Placing Text And Spreadsheet Files.
Selecting this option creates a link to the placed file. You can use the Links panel to update, relink, or remove links
to text files. However, if you format linked text in InDesign, the formatting may not be preserved when you update
the link. If this option isn’t selected, imported text and spreadsheet files are embedded (not linked).

INDESIGN CS3
User Guide
118
2Do one of the following:
•To create a new frame for the placed text, make sure that no insertion point is present and that no text or frames
are selected.
•To add text to a frame, use the Type tool to select text or place the insertion point.
•To replace the contents of an existing frame, use a selection tool to select the frame. If the frame is threaded, a
loaded text cursor appears.
If you accidentally replace a text file or graphic using this method, choose Edit > Undo Replace, and then click or
drag to create a text frame.
3Choose File > Place.
4Select Replace Selected Item if you want the imported file to replace the contents of a selected frame, to replace
selected text, or to be added to the text frame at the insertion point. Deselect this option to flow the imported file
into a new frame.
5Select Show Import Options, and then double-click the file you want to import.
6Set import options, and then click OK.
If you haven’t already designated an existing frame to receive text, the pointer becomes a loaded text icon, ready to
flow text wherever you click or drag.
If you receive an alert that the requested filter wasn’t found, you may be trying to place a file from a different word-
processing application or from an earlier version of Microsoft® Word, such as Word 6. Open the file in its original
application and save it as RTF, which preserves most formatting.
If the imported Microsoft Excel document displays red dots in cells, adjust cell size or text attributes so that overset
contentbecomesvisible.Youcanalsoplacethefileasunformattedtabbedtext,andthenconvertthetabbedtextto
a table.
See also
“Flow text manually or automatically” on page 124
“Link or embed imported text files” on page 121
“Convert Word styles to InDesign styles” on page 168
“Work with missing fonts” on page 210
Microsoft Word and RTF import options
If you select Show Import Options when placing a Word file or an RTF file, you can choose from these options:
Table Of Contents Text Imports the table of contents as part of the text in the story. These entries are imported as
text only.
Index Text Imports the index as part of the text in the story. These entries are imported as text only.
Footnotes Imports Word footnotes. Footnotes and references are preserved, but renumbered based on the
document’s footnote settings.
Endnotes Imports endnotes as part of the text at the end of the story.
Use Typographer’s Quotes Ensures that imported text includes left and right quotation marks (“ ”) and
apostrophes (’) instead of straight quotation marks (" ") and apostrophes (').

INDESIGN CS3
User Guide
119
Remove Styles And Formatting From Text And Tables Removes formatting, such as typeface, type color, and type
style, from the imported text, including text in tables. Paragraph styles and inline graphics aren’t imported if this
option is selected.
Preserve Local Overrides When you choose to remove styles and formatting from text and tables, you can select
Preserve Local Overrides to maintain character formatting, such as bold and italics, that is applied to part of a
paragraph. Deselect this option to remove all formatting.
Convert Tables To When you choose to remove styles and formatting from text and tables, you can convert tables to
either basic, unformatted tables or unformatted, tab-delimited text.
If you want to import unformatted text and formatted tables, import the text without formatting, and then paste the
tables from Word into InDesign.
Preserve Styles And Formatting From Text And Tables Preserves the Word document’s formatting in the InDesign
or InCopy document. You can use the other options in the Formatting section to determine how styles and
formatting are preserved.
Manual Page Breaks Determines how page breaks from the Word file are formatted in InDesign or InCopy. Select
Preserve Page Breaks to use the same page breaks used in Word, or select Convert To Column Breaks or No Breaks.
Import Inline Graphics Preserves inline graphics from the Word document in InDesign.
Import Unused Styles Imports all styles from the Word document, even if the styles aren’t applied to text.
Convert Bullets & Numbers To Text Imports bullets and numbers as actual characters, preserving the look of the
paragraph. However, in numbered lists, the numbers are not automatically updated when the list items are changed.
Track Changes Selecting this option causes highlighting and strikeout to appear when you edit the imported text in
InCopy while Track Changes is turned on; deselecting this option causes all the imported text to be highlighted as a
single addition. Track Changes can be viewed in InCopy, not InDesign.
Import Styles Automatically Imports styles from the Word document into the InDesign or InCopy document. If a
yellow warning triangle appears next to Style Name Conflicts, then one or more paragraph or character style from
the Word document has the same name as an InDesign style.
To determine how these style name conflicts are resolved, select an option from the Paragraph Style Conflicts and
Character Style Conflicts menu. Choosing Use InDesign Style Definition causes the imported style text to be
formatted based on the InDesign style. Choosing Redefine InDesign Style causes the imported style text to be
formatted based on the Word style, and changes existing InDesign text formatted with that style. Choosing Auto
RenamecausestheimportedWordstylestoberenamed.Forexample,ifInDesignandWordhaveaSubheadingstyle,
the imported Word style is renamed Subheading_wrd_1 when Auto Rename is selected.
Note: InDesign converts paragraph and character styles but not bulleted and numbered list styles.
Customize Style Import Lets you use the Style Mapping dialog box to select which InDesign style should be used for
each Word style in the imported document.
Save Preset Stores the current Word Import Options for later reuse. Specify the import options, click Save Preset,
type the name of the preset, and click OK. The next time you import a Word style, you can select the preset you
created from the Preset menu. Click Set As Default if you want the selected preset to be used as the default for future
imports of Word documents.

INDESIGN CS3
User Guide
120
Text-file import options
If you select Show Import Options when placing a text file, you can choose from these options:
Character Set Specifies the computer language character set, such as ANSI, Unicode, or Windows CE, that was used
to create the text file. The default selection is the character set that corresponds to the default language of InDesign
or InCopy.
Platform Specifies whether the file was created in Windows or Mac OS.
Set Dictionary To Specifies the dictionary to be used by the imported text.
Extra Carriage Returns Specifies how extra paragraph returns are imported. Choose Remove At End Of Every Line
or Remove Between Paragraphs.
Replace Replaces the specified number of spaces with a tab.
Use Typographer’s Quotes Ensures that imported text includes left and right quotation marks (“ ”) and
apostrophes (’) instead of straight quotation marks (" ") and apostrophes (').
Microsoft Excel import options
You can choose from these options when importing an Excel file:
Sheet Specifies the worksheet you want to import.
View Specifies whether to import any stored custom or personal views, or to ignore the views.
Cell Range Specifies the range of cells, using a colon (:) to designate the range (such as A1:G15). If there are named
ranges within the worksheet, these names appear in the Cell Range menu.
Import Hidden Cells Not Saved in View Includes any cells formatted as hidden cells in the Excel spreadsheet.
Table Specifies how the spreadsheet information appears in the document.
•Formatted Table InDesign tries to preserve the same formatting used in Excel, although the formatting of text
within each cell may not be preserved. If the spreadsheet is linked rather than embedded, updating the link will
override any formatting applied to the table in InDesign.
•Unformatted Table The table is imported without any formatting from the spreadsheet, and InDesign formatting
is used even if you update a linked table. When this option is selected, you can apply a table style to the imported
table.
•Unformatted Tabbed Text The table is imported as tab-delimited text, which you can then convert to a table in
InDesign or InCopy.
•Formatted Only Once InDesign preserves the same formatting used in Excel during the initial import. Whenever
you update the link to the table, any formatting changes made to the spreadsheet are ignored in the linked table. This
option isn’t available in InCopy.
Table Style Applies the table style you specify to the imported document. This option is available only if Unfor-
matted Table is selected.
Cell Alignment Specifies the cell alignment for the imported document.
Include Inline Graphics Preserves inline graphics from the Excel document in InDesign.
Number Of Decimal Places To Include Specifies the number of decimal places of spreadsheet figures.
Use Typographer’s Quotes Ensures that imported text includes left and right quotation marks (“ ”) and
apostrophes (’) instead of straight quotation marks (" ") and apostrophes (').

INDESIGN CS3
User Guide
121
Tagged-text import options
You can import (or export) a text file capable of taking advantage of InDesign’s formatting capabilities by using the
tagged text format. Tagged-text files are text files containing information describing the formatting you want
InDesign to apply. Properly tagged text can describe almost anything that can appear in an InDesign story, including
all paragraph-level attributes, character-level attributes, and special characters.
For information on specifying tags, see the Tagged Text PDF document on the InDesign CS3 DVD.
The following options are available when you import a tagged-text file and select Show Import Options in the Place
dialog box.
Use Typographer’s Quotes Ensures that imported text includes left and right quotation marks (“ ”) and
apostrophes (’) instead of straight quotation marks (" ") and apostrophes (').
Remove Text Formatting Removes formatting, such as typeface, type color, and type style, from the imported text.
Resolve Text Style Conflicts Using Specifies which character or paragraph style to apply when there is a conflict
between the style in the tagged-text file and the style in the InDesign document. Select Publication Definition to use
the definition that already exists for that style in the InDesign document. Select Tagged File Definition to use
the style as defined in the tagged text. This option creates another style name, with “copy” appended to it in the Style
panel.
Show List Of Problem Tags Before Place Displays a list of unrecognized tags. If a list appears, you can choose to
cancel or continue the import. If you continue, the file may not look as expected.
Save Word or RTF import options as presets
1When placing a Word or RTF file, make sure that Show Import Options is selected, and choose Open.
2In the Import Options dialog box, specify the desired settings.
3Click Save Preset, type a preset name, and click OK.
4(Optional) Click Set As Default to use the preset each time you import a file of that file type.
You can then select custom presets from the Preset menu in the Import Options dialog box whenever you open a
Word or RTF file.
Link or embed imported text files
By default, text you place in InDesign is not linked to the original text file. However, if you select the Create Links
When Placing Text And Spreadsheet Files preferences option before you place a file, the name of the text file appears
in the Links panel. You can use the Links panel to update and manage the file. When you update a linked text file,
any editing or formatting changes applied within InDesign are lost. Because of this risk, linked text files are not
automatically updated when the original file is edited. However, you can easily update the linked file using the Links
panel.
1Do one of the following:
•To apply this change to a document, open the document.
•To apply this change to new documents you create, close all documents.
2Choose Edit > Preferences > Type (Windows) or InDesign > Preferences > Type (Mac OS).
3To create links in placed files, select Create Links When Placing Text And Spreadsheet Files. If this option is
turned on, use the Links panel to update, relink, or remove links. If this option is turned off, text files are embedded
(not linked).

INDESIGN CS3
User Guide
122
See also
“About links and embedded graphics” on page 349
“Convert Word styles to InDesign styles” on page 168
Threading text
Thread text frames
The text in a frame can be independent of other frames, or it can flow between connected frames. To flow text
betweenconnectedframes,youmustfirstconnecttheframes.Connectedframescanbeonthesamepageorspread,
or on another page in the document. The process of connecting text among frames is called threading text.
Each text frame contains an in port and an out port, which are used to make connections to other text frames. An
empty in port or out port indicates the beginning or end of a story, respectively. An arrow in a port indicates that the
frame is linked to another frame. A red plus sign (+) in an out port indicates that there is more text in the story to be
placed but no more text frames in which to place it. This remaining unseen text is called overset text.
Threaded frames
A. In port at beginning of story B. Out port indicating thread to next frame C. Text thread D. In port indicating thread from previous frame
E. Out port indicating overset text
Choose View > Show Text Threads to see visual representatives of threaded frames. You can thread text frames
whether or not they contain text.
See also
“Add text to a document” on page 114
“Move and resize text frames” on page 112
Add a new frame to the thread
1Using the Selection tool , select a text frame, and then click the in port or out port to load a text icon.
Clicking the in port lets you add a frame before the selected frame; clicking the out port lets you add a frame after
the selected frame.
2Positiontheloadedtexticon whereyouwantanewtextframetoappear,andthenclickordragtocreateanew
text frame.
When the loaded text icon is active, you can perform many actions, including turning pages, creating new pages, and
zoominginandout.Ifyoustarttothreadtwoframesandchangeyourmind,youcancancelthethreadbyclicking
any tool in the Toolbox. No text will be lost.
A
BE
D
C

INDESIGN CS3
User Guide
123
Add an existing frame to the thread
1Using the Selection tool, select a text frame, and then click the in port or the out port to load a text icon.
2Positiontheloadedtexticonovertheframeyouwanttoconnectto.Theloadedtexticonchangestothethreadicon.
Adding existing frame to thread
3Click inside the second frame to thread it to the first.
You can add automatic “continued on” or “continued from” jump lines that track threaded stories as they jump from
frame to frame. (See “Add automatic page numbers for story jumps” on page 84.)
Add a frame inside a sequence of threaded frames
1Using the Selection tool, click the out port at the point in the story where you want to add a frame. When you
release the mouse button, a loaded text icon appears.
2Drag to create a new frame, or select a different text frame. InDesign threads the frame into the series of linked
frames containing the story.
Adding frame inside a thread (top) and result (bottom)
Unthread text frames
When you unthread a text frame, you break the connection between the frame and all subsequent frames in the
thread. Any text that previously appeared in the frames becomes overset text (no text is deleted). All subsequent
frames are empty.
❖Using the Selection tool, do one of the following:
•Double-click an in port or out port to break the connection between frames.

INDESIGN CS3
User Guide
124
•Click an in port or an out port that represents a thread to another frame. For example, in a two-framed thread,
clickeithertheoutportofthefirstframeortheinportofthesecondframe.Positiontheloadedtexticonoverthe
previous or next frame to display the unthread icon . Click in the frame you want to remove from the thread.
Removing frame from thread
To break one story into two stories, cut the text that needs to go in the second story, break the connection between
the frames, and then paste the text into the first frame of the second story.
Cut or delete threaded text frames
Whenever you cut or delete text frames, no text is deleted; the text remains in the thread.
See also
“Thread text frames” on page 122
Cut a frame from a thread
Youcancutaframefromathreadandpastetheframeelsewhere.Theframeisremovedwithacopyofthetext,but
no text is removed from the original story. When you cut and paste a series of threaded text frames at once, the pasted
frames maintain their connection to each other, but lose connection to any other frames in the original story.
1Using the Selection tool, select one or more frames (Shift-click to select multiple objects).
2Choose Edit > Cut. The frame disappears, and any text contained in it flows to the next frame in the story. When
you cut the last frame in a story, the text is stored as overset text in the previous frame.
3If you want to use the disconnected frame elsewhere in your document, go to the page where you want the discon-
nected text to appear and choose Edit > Paste.
Delete a frame from a thread
When you delete a text frame that is part of a thread, no text is deleted: it is overset or it flows into the next frame in
succession. If the text frame isn’t connected to any other frame, the frame and text are deleted.
1To select the text frame, do one of the following:
•Using a selection tool, click the frame.
•Using the Type tool, hold down Ctrl (Windows) or Command (Mac OS), and then click the frame.
2Press Backspace or Delete.
Flow text manually or automatically
Your pointer becomes a loaded text icon after you place text or click an in port or out port. The loaded text icon
lets you flow text onto your pages. By holding down a modifier key, you can determine how the text is flowed. The
loaded text icon changes appearance, depending on where it is placed.
For the select few thousand individuals across the
di erent from the multitude of other instruments
available to the discerning musician and collector.
To this day, each and every guitar, mandolin,
banjo, and dulcimer produced at Anton is a orded
the exact same care and attention to detail as those
that he created one-by-one in the rst few years.
Open the case for the rst time and take in the
sights and smells of your hand-made instrument.
See the way the light re ects o the handrubbed
satin nish. Breath in the perfume of the nest
exotic tone-woods. en, nally, take it in your
hands and begin to play. e experience will leave
you swept away, and your life and your music will
never be the same again. For the select few thou

INDESIGN CS3
User Guide
125
When you position the loaded text icon over a text frame, parentheses enclose the icon . When you position the
loaded text icon next to a guide or grid snapping point, the black pointer becomes white .
You can flow text using four methods:
Flow text manually
1Use the Place command to select a file, or click the out port of a selected text frame.
2Do one of the following:
•Position the loaded text icon anywhere within an existing frame or path, and then click. The text flows into the
frame and any other frames linked to it. Note that text always starts filling the frame at the top of the leftmost
column, even when you click in a different column.
•Position the loaded text icon in a column to create a text frame the width of that column. The top of the frame
appears where you click.
•Drag the loaded text icon to create a text frame the width and height of the area you define.
3If there is more text to be placed, click the out port and repeat steps 1 and 2 until all text has been placed.
Note: When you place text in a frame that is threaded to other frames, text autoflows through the threaded frames,
regardless of the text flow method you choose.
Flow text semi-automatically
❖With a loaded text icon, Alt-click (Windows) or Option-click (Mac OS) a page or frame.
The text flows one column at a time, as in manual flow, but the loaded text icon automatically reloads after each
column is placed.
Flow text automatically
❖With the loaded text icon displayed, hold down Shift as you do one of the following:
•Click the loaded text icon in a column to create a frame the width of that column. InDesign creates new text frames
and new document pages until all text is added to the document.
•Click inside a text frame that is based on a master text frame. The text autoflows into the document page frame
and generates new pages as needed, using the master frame’s attributes. (See “About masters, stacking order, and
layers” on page 62.)
Flow text automatically without adding pages
❖With a loaded text icon, hold down Shift+Alt (Windows) or Shift+Option (Mac OS).
Method What it does
Manual text flow Adds text one frame at a time. You must reload the text icon to
continue flowing text.
Semi-autoflow by holding down Alt (Windows) or Option
(Mac OS) when you click.
Works like manual text flow, except that the pointer becomes a
loaded text icon each time the end of a frame is reached, until all
text is flowed into your document.
Autoflow by Shift-clicking. Adds pages and frames until all text is flowed into your document.
Fixed-page autoflow by holding down Shift+Alt (Windows) or
Shift+Option (Mac OS) when you click.
Flows all text into the document without adding frames or pages.
Any remaining text is overset.

INDESIGN CS3
User Guide
126
Text frame properties
Change text frame properties
Use Text Frame Options to change settings such as the number of columns in the frame, the vertical alignment of
text within the frame, or the inset spacing, which is the distance of the margins between the text and the frame.
Before (left) and after (right) setting inset and creating two columns in a text frame
If you need to use the same text frame properties for multiple text frames, create an object style that you can apply
to your text frames.
1Using the Selection tool , select a frame, or using the Type tool , click inside the text frame or select text.
2Choose Object > Text Frame Options, or hold down Alt (Windows) or Option (Mac OS) and then double-click
the text frame using a selection tool.
3Change text frame options, and then click OK.
These text frame options are available when you’re defining an object style for text boxes.
See also
“Define object styles” on page 178
Add columns to a text frame
You can create columns within a text frame by using the Text Frame Options dialog box.
To create columns of unequal width or height, add threaded text frames side-by-side on either a layout page or a
master page.
1Using the Selection tool, select a frame, or using the Type tool, click inside the text frame or select text.
2Choose Object > Text Frame Options.
3Specify the number of columns, the width of each column, and the spacing between each column (gutter) for the
text frame.
4(Optional) Select Fixed Column Width to maintain column width when you resize the frame. If this option is
selected, resizing the frame can change the number of columns, but not their width.

INDESIGN CS3
User Guide
127
Fixed column width
A. Original 2-column text frame B. Resized with Fixed Column Width deselected (still 2 columns) C. Resized with Fixed Column Width
selected (4 columns)
See also
“Change page margin and column settings” on page 43
“Using text frames on master pages” on page 113
“Create unequal column widths” on page 43
Change text frame inset spacing (margins)
1Using the Selection tool, select a frame, or using the Type tool, click inside the text frame or select text.
2Choose Object > Text Frame Options.
3In the Inset Spacing section on the General tab, type the offset distances you want for Top, Left, Bottom, and Right.
(Click the Make All Settings The Same icon to use the same spacing on all sides.)
If the frame you’ve selected has a non-rectangular shape, the Top, Left, Bottom, and Right options are dimmed, and
an Inset option is available instead.
First baseline offset options
To change the first baseline options of a selected text frame, choose Object > Text Frame Options, and click the
Baseline Options tab. The following options appear in the Offset menu under First Baseline:
Ascent The height of the “d” character in the font falls below the top inset of the text frame.
Cap Height The top of uppercase letters touch the top inset of the text frame.
Leading Use the text’s leading value as the distance between the baseline of the first line of text and the top inset of
the frame.
X Height The height of the “x” character in the font falls below the top inset of the frame.
Fixed Specify the distance between the baseline of the first line of text and the top inset of the frame.
Min Select a minimum value for the baseline offset. For example, if Leading is selected and you specify a minimum
value of 1p, InDesign uses the leading value only when it’s greater than 1 pica.
If you want to snap the top of the text frame to a grid, choose either Leading or Fixed so that you can control the
location of the first baseline of text in text frames.
A
B
C

INDESIGN CS3
User Guide
128
Set baseline grids for a text frame
In some cases, you might want to use a baseline grid for a frame rather than for the entire document. Use the Text
Frame Options dialog box to apply a baseline grid to a text frame. When you set up a baseline grid for a text frame,
note the following:
•The document baseline grid doesn’t appear behind or in front of text frames that use their own baseline grids.
•If Grids In Back is selected in Grids Preferences, then the following is the baseline drawing order: frame-based
baseline grids, frame grids, document-based baseline grids,andlayoutgrids.IfGridsInBackisnotselected,then
the following is the baseline drawing order: document-based baseline grids, layout grids, frame-based baseline
grids, and frame grids.
1If you want the baseline grid to apply to all frames in a thread (even if one or more threaded frames do not include
text), place the insertion point in text, choose Edit > Select All, and then apply the baseline grid settings in the Text
Frame Options dialog box.
2Choose View > Grids & Guides > Show Baseline Grid to display all baseline grids, including those in a text frame.
3Select the text frame or place the insertion in a text frame, and then choose Object > Text Frame Options.
4Click the Baseline Options tab.
5Under Baseline Grid, select Use Custom Baseline Grid, and do any of the following:
Start Type a value to offset the grid from the top of the page, the top margin of the page, the top of the frame, or the
top inset of the frame, depending on what you choose from the Relative To menu.
Increment Every Type a value for the spacing between grid lines. In most cases, type a value that equals your body
text leading, so that lines of text align perfectly to the grid.
Color Select a color for the grid lines, or choose (Layer Color) to use the same color as the layer on which the text
frame appears.
If you can’t see the baseline grid in a text frame, choose View > Grids & Guides > Show Baseline Grid to make sure
that baseline grids aren’t hidden. If the baseline grid still doesn’t appear, check the threshold for viewing baseline grids
in the Grids section of the Preferences dialog box. To see the grid, you might need to zoom in on the frame or reduce the
threshold level.
See also
“Set up a baseline grid” on page 50
Editing text
Select text
❖Using the Type tool, do one of the following:
•Drag the I-bar cursor over a character, word, or an entire text block to select it.
•Double-click a word to select it. Spaces next to the word are not selected.
•Triple-click anywhere in a line to select a line. If the Triple Click To Select A Line preferences option is deselected,
triple-clicking selects the entire paragraph.
•If the Triple Click To Select A Line option is selected, quadruple-click anywhere in a paragraph to select the entire
paragraph.

INDESIGN CS3
User Guide
129
•Quintuple-click to select the entire story, or click anywhere in a story and choose Edit > Select All.
If you cannot select text in a frame, the text frame could be on a different layer or on a master page. Try selecting a
different layer or going to the master page.
See also
“Keys for navigating through and selecting text” on page 640
Change what triple-clicking does
1Choose Edit > Preferences > Type (Windows) or InDesign > Preferences > Type (Mac OS).
2Select Triple Click To Select A Line to enable triple-clicking to select a line (this is the default). Deselect this option
if you want triple-clicking to select a paragraph.
Select text in a frame that is covered
1Using the Selection tool , hold down Ctrl (Windows) or Command (Mac OS) and click to select the text frame.
2Select the Type tool, and then click inside the text frame or select text.
View hidden (nonprinting) characters
❖Choose Type > Show Hidden Characters.
Nonprinting characters such as those for spaces, tabs, ends of paragraphs, index markers, and ends of stories appear.
Thesespecialcharactersarevisibleonlyinadocumentwindowandastoryeditorwindow;theydon’tprintoroutput
to formats such as PDF and XML. The hidden characters appear in the same color as the layer color.
Nonprinting characters hidden (top) and visible (bottom)
Add column, frame, and page breaks
Control column, frame, and page breaks by inserting special break characters in the text.
1Using the Type tool, click to place the insertion point where you want the break to occur.
2Choose Type > Insert Break Character, and then choose a break option from the submenu.
You can also create breaks by using the Enter key on the numeric keypad. For a column break, press Enter; for a frame
break, press Shift+Enter; and for a page break, press Ctrl+Enter (Windows) or Command+Return (Mac OS).
To remove a break character, choose Type > Show Hidden Characters so that you can see nonprinting characters,
and then select and delete the break character.

INDESIGN CS3
User Guide
130
Note: If you create a break by changing paragraph settings (as in the Keep Options dialog box), the break precedes the
paragraph that contains the setting. If you create a break using a special character, the break occurs immediately after
the special character.
See also
“Controlling paragraph breaks” on page 225
Break options
The following options appear on the Type > Insert Break Character menu:
Column break Flows text to the next column in the current text frame. If the frame has only one column, the text
goes to the next threaded frame.
Frame break Flows text to the next threaded text frame, regardless of the current text frame’s column setup.
Page break Flows text to the next page with a text frame threaded to the current text frame.
Odd page break Flows text to the next odd-numbered page with a text frame threaded to the current text frame.
Even page break Flows text to the next even-numbered page with a text frame threaded to the current text frame.
The above break characters do not work in tables.
Forced Line Break Forces a line to break where the character is inserted.
Paragraph Return Inserts a paragraph return (the same as pressing Enter or Return).
Related break options are available in the Keep Options dialog box and in the Paragraph Style Options dialog box.
Use the Story Editor
You can edit text in InDesign either on the layout page or in the story editor window. Writing and editing in a story
editor window allows the entire story to appear in the typeface, size, and spacing that you specify in Preferences,
without layout or formatting distractions.
Each story appears in a different story editor window. All the text in the story appears in the story editor, including
overset text. You can open several story editor windows simultaneously, including multiple instances of the same
story. A vertical depth ruler indicates how much text is filling the frame, and a line indicates where text is overset.
Whenyoueditastory,changesarereflectedinthelayoutwindow.OpenstoriesarelistedintheWindowmenu.You
cannot create a new story in a story editor window.

INDESIGN CS3
User Guide
131
Story Editor window
A. Paragraph styles B. Drag divider to adjust column width C. Vertical depth ruler D. Overset text indicator
Open the Story Editor
1Select the text frame, click an insertion point in the text frame, or select multiple frames from different stories.
2Choose Edit > Edit In Story Editor.
To open another instance of the same story editor window, make the story editor active, and choose Window >
Arrange > New Window.
Return to the layout window
❖In Story Editor, do one of the following:
•Choose Edit > Edit In Layout. When you use this method, the layout view displays the same text selection or
insertion-point location as last appeared in the story editor, and the story window remains open but moves behind
the layout window.
•Click in the layout window. The story window remains open but moves behind the layout window.
•Close the story editor window.
•Choose the document name from the bottom of the Window menu.
Show or hide Story Editor items
You can show or hide the style name column and the depth ruler, and you can expand or collapse footnotes. These
settings affect all open story editor windows, as well as all subsequently opened windows.
•Withthestoryeditoractive,chooseView>StoryEditor>ShowStyleNameColumnorHideStyleNameColumn.
You can also adjust the width of the style name column by dragging the vertical bar. Subsequent story editor
windows have the same column width.
•With the Story Editor active, choose View > Story Editor > Show Depth Ruler or Hide Depth Ruler.
•With the Story Editor Active, choose View > Story Editor > Expand All Footnotes or Collapse All Footnotes.
D
A
B
C

INDESIGN CS3
User Guide
132
Story Editor preferences
Use Story Editor Display preferences to change the appearance of the Story Editor. Although the Story Editor
suppresses all but the most basic text styling attributes, some objects and attributes are represented, including the
following:
Text Display Options Choose a display font, size, line spacing, text color, and background. You can also specify a
different theme, such as selecting Classic System to view yellow text on a black background. These settings affect the
display of text in the story editor window, not how they appear in layout view.
Enable Anti-Aliasing Smooth the jagged edges of type, and choose the Type of anti-aliasing: LCD Optimized, Soft,
or the Default setting, which uses shades of gray to smooth text. LCD Optimized uses colors, rather than shades of
gray, to smooth text, and works best on light-colored backgrounds with black text. Soft uses shades of gray, but
produces a lighter, fuzzier appearance than Default.
Cursor Options Change the appearance of the text cursor. For example, select Blink if you want the cursor to blink.
Text from inline frames does not appear in the parent story editor window, but it can appear in its own story editor
window. Table text does not appear in story editor windows.
Find/Change
Find/Change overview
The Find/Change dialog box contains tabs that let you specify what you want to find and change.
Attribute Icon
Table
Inline objects
XML tags
Variables
Hyperlink sources
Hyperlink anchors
Footnotes
Index markers

INDESIGN CS3
User Guide
133
Find/Change dialog box
AFind/Change tabs B. Find a tab character C. Replace with an em dash D. Search options E. Metacharacters menu
Tex t Search for and change specific occurrences of characters, words, groups of words, or text formatted a certain
way. You can also search for and replace special characters such as symbols, markers, and white space characters.
Wildcard options help to broaden your search.
GREP Use advanced, pattern-based search techniques to search for and replace text and formatting.
Glyph Search for and replace glyphs using Unicode or GID/CID values, especially useful to search for and replace
glyphs in Asian languages.
Object Search for and replace formatting effects and attributes in objects and frames. For example, you can find
objects with a 4-pt stroke and replace the stroke with a drop shadow.
For a video on finding and changing text, objects, and expressions, see www.adobe.com/go/vid0080.
Find and change text
If you want to list, find, and replace fonts in your document, you might want to use the Find Font command instead
of the Find/Change command.
See also
“Find and change fonts” on page 145
Find and change text
1To search a range of text or a story, select the text or place the insertion point in the story. To search more than
one document, open the documents.
2Choose Edit > Find/Change, and then click the Text tab.
3Specify the range of your search from the Search menu, and click icons to include locked layers, master pages,
footnotes, and other items in the search. (See “Search options for finding and changing text” on page 135.)
4In the Find What box, describe what you want to search for:
•Type or paste the text you want to find.
A
B
C
D
E

INDESIGN CS3
User Guide
134
•Tosearchfororreplacetabs,spaces,orotherspecialcharacters,selectarepresentativecharacter(metacharacter)
fromthepop-upmenutotherightoftheFindWhatbox.YoucanalsochoosewildcardoptionssuchasAnyDigit
or Any Character.
Use metacharacters to search for special characters, such as a tab.
•Use a predefined query to find and replace text. (See “Find/change using queries” on page 146.)
5In the Change To box, type or paste the replacement text. You can also select a representative character from the
pop-up menu to the right of the Change To box.
6Click Find.
7To continue searching, click Find Next, Change (to change the current occurrence), Change All (a message indicates
the total number of changes), or Change/Find (to change the current occurrence and search for the next one).
8Click Done.
If you don’t get the search results you expected, make sure that you clear any formatting you may have included in a
previoussearch.Youmayalsoneedtoexpandyoursearch.Forexample,youmaybesearchingonlyaselectionora
story instead of the document. Or, you may be searching for text that appears on an item, such as a locked layer or
footnote, that is currently excluded from the search.
If you change your mind about replacing text, choose Edit > Undo Replace Text (or Undo Replace All Text).
To find the next occurrence of a previously searched-for phrase without having to open the Find/Change dialog box,
choose Edit > Find Next. In addition, previous search strings are stored in the Find/Change dialog box. You can
select a search string from the menu to the right of the option.
Find and change formatted text
1Choose Edit > Find/Change.
2If the Find Format and Change Format options don’t appear, click More Options.
3Click the Find Format box, or click the Specify Attributes To Find icon to the right of the Find Format Settings
section.
4On the left side of the Find Format Settings dialog box, select a type of formatting, specify the format attributes,
and then click OK.

INDESIGN CS3
User Guide
135
Some OpenType formatting options appear in both the OpenType Options and Basic Character Formats (Position
menu) sections. For information on OpenType and other formatting attributes, search for the related topic in
InDesign Help.
Note: To search for (or replace with) formatting only, leave the Find What and Change To boxes blank.
5If you want to apply formatting to the text found, click the Change Format box, or click the Specify Attributes To
Change icon in the Change Format Settings section. Then select a type of formatting, specify the format
attributes, and click OK.
6Use the Find and Change buttons to format the text.
If you specify formatting for your search criteria, info icons appear above the Find What or Change To boxes. These
iconsindicatethatformattingattributeshavebeensetandthatthefindorchangeoperationwillberestrictedaccord-
ingly.
To quickly remove all formatting attributes in the Find Format Settings or Change Format Settings sections, click the
Clear button.
Common Find/Change techniques
Wildcard searches Specify wildcards, such as Any Digit or Any White Space, to broaden your search. For example,
typing “s^?ng” in the Find What box searches for words beginning with an “s” and ending with “ng,” such as “sing,”
“sang,” “song,” and “sung.” You can either type wildcard characters or choose an option from the Wildcards submenu
in the pop-up menu next to the Find What text field.
Clipboard for metacharacter searches To search for metacharacters such as em dashes or bullet characters, you may
want to select the text first and paste it into the Find What box to spare the trouble of entering metacharacters.
Replace with clipboard contents You can replace search items with either formatted or unformatted content copied
to the clipboard. You can even replace text with a graphic you copied. Simply copy the item, and then, in the
Find/Change dialog box, choose an option from the Other submenu from the pop-up menu to the right of the
Change To box
Find and remove unwanted text To remove unwanted text, define the text you want to remove in the Find What box
and leave the Change To box empty (make sure that no formatting is set in this box).
XML tagging You can apply XML tags to text you search for.
Search options for finding and changing text
Search menu Contains options that determine the range of the search.
•Documents Search the entire document or All Documents to search all open documents.
•Story Search all text in the currently selected frame, including text in other threaded text frames and overset text.
Select Stories to search stories in all selected frames. This option appears only if a text frame is selected or an
insertion point is placed.
•To End Of Story Search from the insertion point. This option appears only if an insertion point is placed.
•Selection Search only selected text. This option appears only if text is selected.
Include Locked Layers SearchesfortextonlayersthathavebeenlockedusingtheLayerOptionsdialogbox.You
cannot replace text on locked layers.
Include Locked Stories Searches for text in stories that have been checked out in Adobe Version Cue or as part
of an InCopy workflow. You cannot replace text in locked stories.

INDESIGN CS3
User Guide
136
Include Hidden Layers Searches for text on layers that have been hidden using the Layer Options dialog box.
When text on a hidden layer is found, you can see highlighting where the text appears, but you cannot see the text.
You can replace text on hidden layers.
Include Master Pages Searches for text on master pages.
Include Footnotes Searches footnote text.
Case Sensitive Searches for only the word or words that exactly match the capitalization of the text in the Find
What box. For example, a search for PrePress won’t find Prepress,prepress, or PREPRESS.
Whole Word Disregards search characters if they are part of another word. For example, if you search for any as
a whole word, InDesign disregards many.
Search using GREP expressions
On the GREP tab of the Find/Change dialog box, you can construct GREP expressions to find alphanumeric strings
and patterns in long documents or many open documents. You can enter the GREP metacharacters manually or
choose them from the Special Characters For Search list. GREP searches are case-sensitive by default.
1Choose Edit > Find/Change, and click the GREP tab.
2At the bottom of the dialog box, specify the range of your search from the Search menu, and click icons to include
locked layers, master pages, footnotes, and other items in the search. (See “Search options for finding and changing
text” on page 135.)
3In the Find What box, do any of the following to construct a GREP expression:
•Enter the search expression manually. (See “Metacharacters for searching” on page 140.)
•Click the Special Characters For Search icon to the right of the Find What option and choose options from the
Locations, Repeat, Match, Modifiers, and Posix submenus to help construct the search expression.
4In the Change To box, type or paste the replacement text.
5Click Find.
6
To continue searching, click Find Next, Change (to change the current occurrence), Change All (a message
indicates the total number of changes), or Change/Find (to change the current occurrence and search for the next one.
Tips for constructing GREP searches
Here are some tips for constructing GREP expressions.
•Many searches under the GREP tab are similar to those under the Text tab, but be aware that you need to insert
different codes depending on which tab you’re using. In general, the Text tab metacharacters begin with a ^ (such
as ^t for a tab) and GREP tab metacharacters begin with a \ (such as \t for a tab). However, not all metacharacters
follow this rule. For example, a paragraph return is ^p in the Text tab and \r in the GREP tab. For a list of the
metacharacters used for the Text and GREP tabs, see “Metacharacters for searching” on page 140.
•To search for a character that has symbolic meaning in GREP, enter a backslash (\) before the character to indicate
that the character that follows is literal. For example, a period ( . ) searches for any character in a GREP search; to
search for an actual period, enter “\.”
•Save the GREP search as a query if you intend to run it often or share it with someone else. (See “Find/change
using queries” on page 146.)

INDESIGN CS3
User Guide
137
•Use parentheses to divide your search into subexpressions. For example, if you want to search for “cat” or “cot,”
you can use the c(a|o)t string. Parentheses are especially useful to identify groupings. For example, searching for
“the (cat) and the (dog)” identifies “cat” as Found Text 1 and “dog” as Found Text 2. You can use the Found Text
expressions (such as $1 for Found Text 1) to change only part of the found text.
GREP search examples
Follow these examples to learn how to take advantage of GREP expressions.
Example 1: Finding text within quotation marks
Suppose you want to search for any word enclosed in quotation marks (such as “Spain”), and you want to remove the
quotation marks and apply a style to the word (so that it becomes Spain instead of “Spain”). The expression
(")(\W+)(") includes three groupings, as indicated by parentheses ( ). The first and third groupings search for any
quotation mark, and the second grouping searches for one or more word characters.
You can use the Found Text expressions to refer to these groupings. For example, $0 refers to all found text, and $2
refers to only the second grouping. By inserting $2 in the Change To field and specifying a character style in the
Change Format field, you can search for a word within quotations marks, and then replace the word with a character
style. Because only $2 is specified, the $1 and $3 groupings are removed. (Specifying $0 or $1$2$3 in the Change To
field would apply the character style to the quotation marks as well.)
GREP example
A. Finds all word characters enclosed in quotation marks B. Change applies only to the second grouping C. Character style applied
This example searches only for single words enclosed in parentheses. If you want to search for phrases enclosed in
parentheses, add wildcard expressions, such as (\s*.*\w*\d*), which looks for spaces, characters, word characters,
and digits.
Example 2: Phone numbers
InDesign includes a number of search presets that you can choose from the Queries menu. For example, you can
choose the Phone Number Conversion query, which looks like this:
\(?(\d\d\d)\)?[-. ]?(\d\d\d)[-. ]?(\d\d\d\d)
A
B
C

INDESIGN CS3
User Guide
138
Phone numbers in the United States can appear in a variety of formats, such as 206-555-3982, (206) 555-3982,
206.555.3982, and 206 555 3982. This string looks for any of these variations. The first three digits (\d\d\d) of the
phone number may or may not be enclosed in parentheses, so a question mark appears after the parentheses: \(? and
\)?. Note that the backslash \ indicates that the actual parenthesis is being searched for and that it’s not part of a subex-
pression. The brackets [ ] locate any character within them, so in this case, [-. ] finds either a hyphen, a period, or a
space. The question mark after the brackets indicate that the items within it are optional in the search. Finally, the
digits are enclosed in parentheses, which signify groupings that can be referred to in the Change To field.
You can edit the grouping references in the Change To field to suit your needs. For example, could use these expres-
sions:
206.555.3982 = $1.$2.$3
206-555-3982 = $1-$2-$3
(206) 555-3982 = ($1) $2-$3
206 555 3982 = $1 $2 $3
Additional GREP examples
Experiment with these examples to learn more about GREP searches.
Expression Search string Sample text Matches (in bold)
Class of charac-
ters
[ ]
[abc] or [abc]
Finds the letter a, b, or c.
Maria cuenta bien. Maria cuentabien.
Beginning of
paragraph
^
^~_.+
This searches the beginning of the para-
graph (^) for an em dash (~_) followed by
any character ( . ) one or more times (+).
“We saw—or at least we think we
saw—a purple cow.”
—Konrad Yoes
“We saw—or at least we think we
saw—a purple cow.”
—Konrad Yoes
Negative looka-
head
(?!pattern)
InDesign (?!CS.*?)
The negative lookahead matches the
search string only if it is not followed by the
specified pattern.
InDesign, InDesign 2.0, InDesign CS,
and InDesign CS2
InDesign,InDesign 2.0, InDesign
CS, and InDesign CS2
Positive looka-
head
(?=pattern)
InDesign (?=CS.*?)
The positive lookahead matches the search
string only if it is followed by the specified
pattern.
Use similar patterns for negative lookbe-
hinds (?<!pattern) and positive lookbehinds
(?<=pattern).
InDesign, InDesign 2.0, InDesign CS,
and InDesign CS2
InDesign, InDesign 2.0, InDesign
CS, and InDesign CS2
Groupings
( )
(quick) (brown) (fox) The quick brown fox jumps up and
down.
The quick brown fox jumps up
and down.
All found text = quick brown fox;
Found Text 1= quick;Found Text 2
= brown; Found Text 3= fox

INDESIGN CS3
User Guide
139
Non-marking
parentheses
(?:expression)
(quick) ($:brown) (fox) The quick brown fox jumps up and
down.
The quick brown fox jumps up
and down.
All found text = quick brown fox;
Found Text 1= quick;Found Text 2
= fox
Case-insensitive
on
(?i)
(?i)apple
You can also use (?i:apple)
Apple apple APPLE AppleappleAPPLE
Case-insensitive
off
(?-i)
(?-i)apple Apple apple APPLE Apple apple APPLE
Multiline on
(?m)
(?m)^\w+
In this example, the expression looks for
one or more (+) word characters (\w) at the
beginning of a line (^). The (?m) expression
allows all lines within the found text to be
treated as separate lines.
One Two Three Four Five Six Seven
Eight
One Two ThreeFour Five SixSeven
Eight
Multiline off
(?-m)
(?-m)^\w+ One Two Three Four Five Six Seven
Eight
One Two Three Four Five Six Seven
Eight
Single-line on
(?s)
(?s)c.a
The searches for any character ( . ) between
the letters c and a. The (?s) expression
matches any character, even if it falls on the
next line.
abc abc abc abc abc abcabc abc
Single-line off (?-s)c.a abc abc abc abc abc abc abc abc
Ignore
whitespace on
(?x)
(?s)\w \w\w
This searches for any word character (\w)
followed by a space, followed by two more
word characters (\w\w). The (?s) expression
essentially ignores all whitespace so that it
looks for three characters in a row (\w\w\w).
The quick brown fox Thequick brown fox
Ignore
whitespace off
(?-x)
(?-s)\w \w\w The quick brown fox The quick brown fox
Repeat number
of times
{ }
b{3} matches exactly 3 times
b(3,} matches at least 3 times
b{3,}? matches at least 3 times (shortest
match)
b{2,3} matches at least 2 times and not
more than 3
b{2,3}? matches at least 2 times and not
more than 3 (shortest match)
abbc abbbc abbbbc abbbbbc abbc abbbc abbbbc abbbbbc
abbc abbbc abbbbc abbbbbc
abbc abbbc abbbbc abbbbbc
abbc abbbc abbbbc abbbbbc
abbc abbbc abbbbc abbbbbc
Expression Search string Sample text Matches (in bold)

INDESIGN CS3
User Guide
140
Metacharacters for searching
Metacharacters represent a character or symbol in InDesign. Metacharacters in the Text section of the Find/Change
dialog box begin with a caret (^); metacharacters in the GREP section begin with a tilde (~) or backslash (\). You can
type metacharacters in the Text tab or GREP tab of the Find/Change dialog box.
Save time fixing punctuation errors by saving search strings as queries.
Character: Text tab metacharacter: GREP tab metacharacter:
Tab Character ^t \t
End of Paragraph ^p \r
Forced Line Break ^n \n
Any Page Number ^# ~#
Current Page Number ^N ~N
Next Page Number ^X ~X
Previous Page Number ^V ~V
* Any Variable ^v ~v
Section Marker ^x ~x
* Anchored Object Marker ^a ~a
* Footnote Reference Marker ^F ~F
* Index Marker ^I ~I
Bullet Character ^8 ~8
Caret Character ^^ \^
Backslash Character \ \\
Copyright Symbol ^2 ~2
Ellipsis ^e ~e
Tilde ~ \~
Paragraph Symbol ^7 ~7
Registered Trademark Symbol ^r ~r
Section Symbol ^6 ~6
Trademark Symbol ^d ~d
Open Parenthesis Character ( \(
Close Parenthesis Character ) \)
Open Brace Character { \{
Close Brace Character } \}
Open Bracket Character [\[
Close Bracket Character ]\]

INDESIGN CS3
User Guide
141
Em Dash ^_ ~_
En Dash ^= ~=
Discretionary Hyphen ^- ~-
Nonbreaking Hyphen ^~ ~~
Em Space ^m ~m
En Space ^> ~>
Third Space ^3 ~3
Quarter Space ^4 ~4
Sixth Space ^% ~%
Flush Space ^f ~f
Hair Space ^| ~|
Nonbreaking Space ^s ~s
Nonbreaking Space (fixed width) ^S ~S
Thin Space ^< ~<
Figure Space ^/ ~/
Punctuation Space ^. ~.
Clipboard Contents, Formatted ^c ~c
Clipboard Contents, Unformatted ^C ~C
Any Double Quotation Mark " "
Any Single Quotation Mark ' '
Straight Double Quotation Mark ^" ~"
Double Left Quotation Mark ^{ ~{
Double Right Quotation Mark ^} ~}
Straight Single Quotation Mark ^' ~'
Single Left Quotation Mark ^[~[
Single Right Quotation Mark ^]~]
Standard carriage return ^b ~b
Column Break ^M ~M
Frame Break ^R ~R
Page Break ^P ~P
Odd Page Break ^L ~L
Even Page Break ^E ~E
Discretionary Line Break ^j ~a
Character: Text tab metacharacter: GREP tab metacharacter:

INDESIGN CS3
User Guide
142
Right Indent Tab ^y ~y
Indent to Here ^i ~i
End Nested Style Here ^h ~h
Nonjoiner ^k ~k
Running header (paragraph style) ^Y ~Y
Running header (character style) ^Z ~Z
Custom text ^u ~u
Last page number ^T ~T
Chapter number ^H ~H
Creation date ^S ~S
Modification date ^o ~o
Output date ^D ~D
File name ^l (lowercase L) ~l (lowercase L)
*Any Digit ^9 \d
*Any character that is not a digit \D
*Any Letter ^$ [\l\u]
*Any Character ^? . (inserts period in Change To)
* White Space (any space or tab) ^w \s (Inserts space in Change To)
* Any character that is not a white space \S
* Any word character \w
* Any character that is not a word character \W
* Any uppercase letter \u
* Any character that is not an uppercase letter \U
* Any lowercase letter \l
* Any character that is not a lowercase letter \L
All Found Text $0
Found Text 1-9 $1 (specifies the number of the
grouping found, such as $3 for the
third grouping; groupings are
enclosed in parentheses)
* Kanji ^K \K
Beginning of Word \<
End of Word \>
Word Boundary \b
Opposite of Word Boundary \B
Character: Text tab metacharacter: GREP tab metacharacter:

INDESIGN CS3
User Guide
143
Beginning of Paragraph ^
End of Paragraph [location]$
Zero or One Time ?
Zero or More Times *
One or More Times +
Zero or One Time (Shortest Match) ??
Zero or More Times (Shortest Match) *?
One or More Times (Shortest Match) +?
Marking Subexpression ( )
Non-marking Subexpression (?: )
Character Set [ ]
Or |
Positive Lookbehind (?<= )
Negative Lookbehind (?<! )
Positive Lookahead (?= )
Negative Lookahead (?! )
Case-insensitive On (?!)
Case-insensitive Off (?-!)
Multiline On (?m)
Multiline Off (?-m)
Single-line On (?s)
Single-line Off (?-s)
Ignore Whitespace On (?x)
Ignore Whitespace Off (?-x)
* Any alphanumeric character [[:alnum:]]
* Any alphabetic character [[:alpha:]]
* Any blank character, either space or tab [[:blank:]]
* Any control character [[:control:]]
* Any graphical character [[:graph:]]
* Any printable character [[:print:]]
* Any punctuation character [[:punct:]]
Character: Text tab metacharacter: GREP tab metacharacter:

INDESIGN CS3
User Guide
144
* Can be entered in the Find What box only, not the Change To box.
Find and change objects
You can use the Find/Change command to find and replace the attributes and effects applied to objects, graphics
frames, and text frames. For example, to give drop shadows a uniform color, transparency, and offset distance, you
can use the Find/Change command to search for and replace drop shadows throughout a document.
1Choose Edit > Find/Change.
2Click the Object tab.
3Click the Find Object Format box, or click the Specify Attributes To Find icon .
4On the left side of the Find Object Format Options dialog box, select a type of formatting, specify the format
attributes, and then click OK.
Make sure that the categories you want to search for are in the appropriate state. You can use one of three states for
each Effects category: turned on, turned off, or ignored. For example, setting Drop Shadow to On includes drop
shadow formatting in the search; setting Drop Shadow to Off searches for objects in which drop shadow formatting
is turned off; setting Drop Shadow to Ignore leaves drop shadows out of the search.
5If you want to apply formatting to the object found, click the Change Object Format box, or click the Specify
Attributes To Change icon in the Change Format Settings section. Then select a type of formatting, specify the
format attributes, and click OK.
6Click the Find and Change buttons to format the text.
Find and change glyphs
The Glyph section of the Find/Change dialog box is especially useful for replacing glyphs that share the same
unicode value with other similar glyphs, such as alternate glyphs.
1Choose Edit > Find/Change.
2At the bottom of the dialog box, specify a range from the Search menu, and click icons to determine whether items
such as locked layers, master pages, and footnotes are included in the search. (See “Search options for finding and
changing text” on page 135.)
3Under Find Glyph, select the Font Family and Font Style in which the glyph is located.
The Font Family menu displays only those fonts that are applied to text in the current document. Fonts in unused
styles do not appear.
4Do one of the following to enter the glyph you want to find in the Glyph box:
•Click the button beside the Glyph box, and then double-click a glyph on the panel. This panel works like the
Glyphs panel.
•Choose Unicode or GID/CID, and enter the code for the glyph.
*Any character whose code is greater than 255 (applies only
to the wide character traits classes)
[[:unicode:]]
* Any hexadecimal digit character 0-9, a-f, and A-F [[:xdigit:]]
*Any character of a certain glyph set, such as a, à, á, â, ã, ä, å,
A, À, Á, Â, Ã, Ä and Å
[[=a=]]
Character: Text tab metacharacter: GREP tab metacharacter:

INDESIGN CS3
User Guide
145
You can use other methods to enter the glyph you want to find in the Glyph box. Select a glyph in the document
window and choose Load Selected Glyph In Find from the context menu, or select a glyph in the Glyphs panel and
choose Load Glyph In Find from the context menu.
5UnderChangeGlyph,enterthereplacementglyphbyusingthesametechniquesyouusetoentertheglyphyou’re
searching for.
6Click Find.
7To continue searching, click Find Next, Change (to change the most recently found glyph), Change All (a message
indicates the total number of changes), or Change/Find (to change the current occurrence and search for the next one).
8Click Done.
Find and change fonts
Use the Find Font command to search for and list the fonts used throughout your document. You can then replace
any fonts (except those in imported graphics) with any other fonts available on your system. You can even replace a
font that’s part of a text style. Note the following:
•A font name is listed once for its use in the layout and listed each time in imported graphics. For example, if you
use the same font three times in the layout and three times in imported graphics, it will be listed in the Find Font
dialog box four times—once for all layout instances, and three more times for each imported graphic. If fonts are
not completely embedded in graphics, the font name may not be listed in the Find Font dialog box.
•Find Font is not available in a Story Editor window.
•The Find Font dialog box displays icons to indicate the kinds of fonts or font conditions, such as Type 1 fonts ,
imported images , TrueType fonts , OpenType fonts , and missing fonts .
•Use the Type > Find Font command to help ensure consistent output by analyzing font usage on pages and in
imported graphics. To find and change specific text attributes, characters, or styles, use the Edit > Find/Change
command instead.
1Choose Type > Find Font.
2Select one or more font names in the Fonts In Document list.
3Do one of the following:
•To find the first occurrence in the layout of the font selected in the list, click Find First. The text using that font
moves into view. The Find First button is unavailable if the selected font is used in an imported graphic or if you
selected multiple fonts in the list.
•To select an imported graphic that uses a font marked in the list by an imported image icon , click Find Graphic.
The graphic also moves into view. The Find Graphic button isn’t available if the selected font is used only in the
layout or if you selected multiple fonts in the Fonts In Document list.
4To see details about a selected font, click More Info. To hide the details, click Less Info. The Info area is blank if
you selected multiple fonts in the list.
A font may be listed as Unknown if the file of the selected graphic doesn’t supply information about it. Fonts in
bitmap graphics (such as TIFF images) won’t appear in the list at all because they aren’t true characters.
5To replace a font, select the new font you want to use from the Replace With list, and do one of the following:
•Tochangejustoneoccurrenceoftheselectedfont,clickChange.Thisoptionisnotavailableifmultiplefontsare
selected.

INDESIGN CS3
User Guide
146
•To change the font in that occurrence, and then find the next instance, click Change/Find. This option is not
available if multiple fonts are selected.
•To change all instances of the font selected in the list, click Change All. If you want any paragraph or character
style that includes the font being searched for to be redefined, select Redefine Style When Changing All.
When there are no more occurrences of a font in your file, its name is removed from the Fonts In Document list.
Note: To change fonts in imported graphics, use the program that originally exported the graphic, and then replace the
graphic or update the link using the Links panel.
6If you clicked Change, click Find Next to locate the next instance of the font.
7Click Done.
You can open the Find Font dialog box while preflighting a document. In the Preflight dialog box, switch to the Fonts
tab and click Find Font.
To view the system folder in which a font appears, select the font in the Find Font dialog box and choose Reveal In
Explorer (Windows) or Reveal In Finder (Mac OS).
Find/change using queries
You can find and change text, objects, and glyphs by using or constructing a query. A query is a defined find-and-
change operation. InDesign offers several preset queries for changing punctuation formats and other useful actions,
such as changing telephone number formats. By saving a query you constructed, you can run it again and share it
with others.
Search using queries
1Choose Edit > Find/Change.
2Choose a query from the Query list.
The queries are grouped by type.
3Specify a range to search on the Search menu.
The search range is not stored with the query.
4Click Find.
5To continue searching, click Find Next, Change (to change the most recently found text or punctuation mark),
Change All (a message indicates the total number of changes), or Change/Find (to change text or punctuation marks
and continue your search).
After you select a search query, you can adjust the settings to fine-tune your search.
Save queries
Save a query in the Find/Change dialog box if you want to run it again or share it with others. The names of queries
you save appear in the Query list in the Find/Change dialog box.
1Choose Edit > Find/Change.
2Select Text, GREP, or a different tab to undertake the search you want.
3Below the Search menu, click icons to determine whether items such as locked layers, master pages, and footnotes
are included in the search. (See “Search options for finding and changing text” on page 135.)
These items are included in the saved query. However the range of the search isn’t saved with the query.

INDESIGN CS3
User Guide
147
4Define the Find What and Change To fields. (See “Metacharacters for searching” on page 140 and “Search using
GREP expressions” on page 136.)
5Click the Save button in the Find/Change dialog box and enter a name for the query.
Ifyouusethenameofanexistingquery,youareaskedtoreplaceit.ClickYesifyouwanttoupdatetheexistingquery.
Delete queries
❖Select it on the Query list and click the Delete Query button.
Load queries
Customized queries are stored as XML files. The names of customized queries appear in the Query list in the
Find/Change dialog box.
❖To load a query that was given to you so that it appears in the Query list, copy the query file to the appropriate
location:
Mac OSUsers\[username]\Library\Preferences\Adobe InDesign\[Version]\Find-Change Queries\[query type]
Windows XP Documents and Settings\[username]\Application Data\Adobe\InDesign\[Version]\Find-Change
Queries\[query type]
Windows Vista™
Users\[username]\AppData\Roaming\Adobe\InDesign\[Version]\Find-Change Queries\[query type]
Glyphs and special characters
Glyphs panel overview
Enter glyphs by way of the Glyphs panel. The panel initially shows glyphs in the font where the cursor is located, but
you can view a different font, view a type style in the font (for example, Light, Regular, or Bold), and make the panel
display a subset of glyphs in the font (for example, math symbols, numbers, or punctuation symbols).
Glyphs panel
A. Show subset of glyphs B. Tool tip C. Font list D. Font style
By moving the pointer over a glyph, you can read its CID/GID value, Unicode value, and name in a tool tip.
A
B
C D

INDESIGN CS3
User Guide
148
Open the Glyphs panel
❖Choose Type > Glyphs or Window> Type & Tables > Glyphs.
Change the Glyphs panel view
•Click the cycle widget (it’s located to the left of the word “Glyphs” on the Glyphs panel) to change views of the
panel.Clickingthewidgetpresentstheseviewsinsuccession:thecollapsedpanel,theentirepanel,andthepanel
without recently used glyphs.
•Click the Zoom In or Zoom Out buttons in the lower right corner of the Glyphs panel.
•Resize the Glyphs panel by dragging the lower right corner.
Filter the glyphs that appear
❖Do one of the following on the Show list to determine which glyphs appear on the Glyphs panel:
•Choose Entire Font to display all glyphs available in the font.
•Choose an option below Entire Font to narrow the list to a subset of glyphs. For example, Punctuation displays
only punctuation glyphs; Math Symbols narrows the choices to mathematical symbols.
Sort glyphs in the Glyphs panel
❖Choose By CID / GID or By Unicode to determine how glyphs are sorted in the Glyphs panel.
Insert glyphs and special characters
Aglyph is a specific form of a character. For example, in certain fonts, the capital letter A is available in several forms,
such as swash and small cap. You can use the Glyphs panel to locate any glyph in a font.
OpenType fonts such as Adobe Caslon™ Pro provide multiple glyphs for many standard characters. Use the Glyphs
panel when you want to insert these alternate glyphs in your document. You can also use the Glyphs panel to view
and insert OpenType attributes such as ornaments, swashes, fractions, and ligatures.
See also
“OpenType fonts” on page 208
“Glyphs panel overview” on page 147
Insert a glyph from a specified font
1Using the Type tool, click to place the insertion point where you want to enter a character.
2Choose Type > Glyphs to display the Glyphs panel.
3To display a different set of characters in the Glyphs panel, do any of the following:
•Select a different font and type style, if available. From the Show menu, choose Entire Font. Or, if you selected an
OpenType font, choose from a number of OpenType categories.
•Choose a custom glyph set from the Show menu. (See “Create and edit custom glyph sets” on page 150.)
4Scroll through the display of characters until you see the glyph you want to insert. If you selected an OpenType
font, you can display a pop-up menu of alternate glyphs by clicking and holding the glyph box.
5Double-click the character you want to insert. The character appears at the text insertion point.

INDESIGN CS3
User Guide
149
Insert a recently used glyph
InDesign tracks the previous 35 distinct glyphs you inserted and makes them available under Recently Used in the
first row of the Glyphs panel (you have to expand the panel to see all 35 glyphs on the first row).
❖Do one of the following:
•Double-click a glyph under Recently Used.
•Choose Recent Glyphs on the Show list to display all recently used glyphs in the main body of the Glyphs panel,
and then double-click a glyph.
Clear recently used glyphs
•To clear a selected glyph from the Recently Used section, right-click (Windows®) or Control-click (Mac OS) a
glyph in the Recently Used section, and then choose Delete Glyph From Recently Used.
•To clear all recently used glyphs, choose Clear All Recently Used.
Replace a character with an alternate glyph
When a character includes alternate glyphs, it appears in the Glyphs panel with a triangle icon in the lower right
corner. You can click and hold the character in the Glyphs panel to display a pop-up menu of the alternate glyphs, or
you can display alternate glyphs in the Glyphs panel.
Selecting alternate glyphs in OpenType font
1Choose Type > Glyphs to display the Glyphs panel.
2Select Alternates For Selection from the Show list.
3Using the Type tool, select a character in your document.
4Do one of the following to replace the selected character in the document:
•Double-click a glyph in the Glyphs panel.
•Select a glyph on the menu.
Display OpenType glyph attributes in the Glyphs panel
For easy selection, the Glyphs panel allows you to display characters for only the selected OpenType attributes. You
can select various options from the Show menu in the Glyphs panel.

INDESIGN CS3
User Guide
150
Show menu options in the Glyphs panel
1In the Glyphs panel, choose an OpenType font from the font list.
2Choose an option from the Show menu.
The options displayed vary depending on which font is selected. For information on applying OpenType font
attributes, see “Apply OpenType font attributes” on page 208. For more information on OpenType fonts, see
www.adobe.com/go/opentype.
Highlight alternate glyphs in the text
1Choose Edit > Preferences > Composition (Windows) or InDesign > Preferences > Composition (Mac OS).
2Select Substituted Glyphs, and then click OK. Substituted glyphs in the text are highlighted in nonprinting yellow.
Create and edit custom glyph sets
Aglyph set is a named collection of glyphs from one or more fonts. Saving commonly used glyphs in a glyph set
prevents you from having to look for them each time you need to use them. Glyph sets are not attached to any
particular document; they are stored with other InDesign preferences in a separate file that can be shared.
You can determine whether the font is remembered with the added glyph. Remembering fonts is useful, for example,
when you are working with dingbat characters that may not appear in other fonts. If a glyph’s font is remembered,
but the font is missing, the font’s square appears in pink in the Glyphs panel and the Edit Glyph Set dialog box. If a
fontisnotrememberedwithanaddedglyph,a“u”appearsnexttotheglyph,indicatingthatthefont’sunicodevalue
determines the appearance of the glyph.
Create a custom glyph set
1Choose Type > Glyphs.
2Do one of the following:
•From the Glyphs panel menu, choose New Glyph Set.
•Open the context menu on the Glyphs panel and choose New Glyph Set.
3Type the name of the glyph set.

INDESIGN CS3
User Guide
151
4Choose the insert order in which glyphs will be added to the glyph set, and click OK:
Insert At Front Each new glyph is listed first in the set.
Append At End Each new glyph is listed last in the set.
Unicode Order All glyphs are listed by the order of their unicode values.
5To add glyphs to the custom set, select the font containing the glyph at the bottom of the Glyphs panel, click the
glyphtoselectit,andthenchoosethenameofthecustomglyphsetfromtheAddtoGlyphSetmenuontheGlyphs
panel menu.
View a custom glyph set
❖Do one of the following on the Glyphs panel:
•Choose the glyph set on the Show list.
•On the Glyphs panel menu, choose View Glyph Set, and then the name of the glyph set.
Edit custom glyph sets
1Choose Edit Glyph Set from the Glyph panel menu, and then choose the custom glyph set.
2Select the glyph you want to edit, do any of the following, and then click OK:
•To bind the glyph to its font, select Remember Font With Glyph. A glyph that remembers its font ignores the font
applied to the selected text in the document when the glyph is inserted into that text. It also ignores the font
specified in the Glyph panel itself. If you deselect this option, the unicode value of the current font is used.
•To view additional glyphs, choose a different font or style. If the glyph is not defined with a font, you cannot select
a different font.
•To remove a glyph from the custom glyph set, choose Delete From Set.
•To change the order in which glyphs are added to the set, choose an Insert Order option. Unicode Order is not
available if Insert At Front or Append At End was selected when the glyph set was created.
Delete glyphs from custom glyph sets
1In the Glyphs panel, choose the Custom Glyph Set from the Show menu.
2Right-click (Windows) or Control-click (Mac OS) a glyph, and then choose Delete Glyph From Set.
Delete custom glyph sets
1Do one of the following:
•From the Glyphs panel menu, choose Delete Glyph Set.
•From the context menu, choose Delete Glyph Set.
2Click the name of a custom glyph set.
3Click OK to confirm.
Save and load glyph sets
Custom glyph sets are stored in files kept in the Glyph Sets folder, a subfolder of the Presets folder. You can copy
glyph set files to other computers and in so doing make custom glyph sets available to others. Copy glyph set files to
and from these folders to share them with others:
Mac OSUsers\[username]\Library\Preferences\Adobe InDesign\[Version]\Presets\Glyph Sets

INDESIGN CS3
User Guide
152
Windows XP Documents and Settings\[username]\Application Data\Adobe\InDesign\[Version]\Glyph Sets
Windows Vista Users\[username]\AppData\Roaming\Adobe\InDesign\[Version]\Glyph Sets
Insert special characters
You can insert common characters such as em dashes and en dashes, registered trademark symbols, and ellipses.
1Using the Type tool, position the insertion point where you want to insert a character.
2Choose Type > Insert Special Character, and then select an option from any of the categories in the menu.
If special characters that you use repeatedly do not appear on the list of special characters, add them to a glyph set
that you create.
See also
“Create and edit custom glyph sets” on page 150
Use quotation marks
You can specify different quotation marks for different languages. These quotation mark characters appear automati-
cally during typing if the Use Typographer’s Quotes option is selected in the Type section of the Preferences dialog box.
Specify which quotation marks to use
1Choose Edit > Preferences > Dictionary (Windows) or InDesign > Preferences > Dictionary (Mac OS).
2Choose a language from the Language menu.
3Do any of the following, and then click OK:
•For Double Quotes, select a pair of quotation marks, or type the pair of characters you want to use.
•For Single Quotes, select a pair of quotation marks, or type the pair of characters you want to use.
Insert straight quotation marks
❖Do one of the following:
•Choose Type > Insert Special Character > Quotation Marks > Straight Double Quotation Marks or Straight Single
Quotation Mark (Apostrophe).
•DeselecttheUseTypographer’sQuotesoptionintheTypesectionofthePreferencesdialogbox,andthentypethe
quotation mark or apostrophe.
•Press Shift+Ctrl+Alt+' (Windows) or Shift+Command+Option+' (Mac OS) to switch between turning on and off
the Use Typographer’s Quotes preferences option.
Insert white space characters
Awhite space character is a blank space that appears between characters. You can use white-space characters for
many different purposes, such as preventing two words from being broken at the end of a line.
1Using the Type tool, position the insertion point where you want to insert a certain amount of white space.
2Choose Type > Insert White Space, and then select one of the spacing options (such as Em Space) in the context menu.
Representative symbols of the white-space characters appear when you choose Type > Show Hidden Characters.

INDESIGN CS3
User Guide
153
White space options
The following options appear on the Type > Insert White Space menu:
Em Space Equal in width to the size of the type. In 12-point type, an em space is 12 points wide.
En Space One-half the width of an em space.
Nonbreaking Space Thesameflexiblewidthaspressingthespacebar,butitpreventsthelinefrombeingbroken
at the space character.
Nonbreaking Space (Fixed Width) A fixed width space prevents the line from being broken at the space character,
but does not expand or compress in justified text. The fixed width space is identical to the Nonbreaking Space
character inserted in InDesign CS2.
Third Space One-third the width of an em space.
Quarter Space One-fourth the width of an em space.
Sixth Space One-sixth the width of an em space.
Flush Space Adds a variable amount of space to the last line of a fully justified paragraph, useful for justifying
text in the last line. (See “Use a flush space with justified text” on page 251.)
Hair Space One-twenty-fourth the width of an em space.
Thin Space One-eighththewidthofanemspace.Youmaywanttouseathinspaceoneithersideofanemdashor
en dash.
Figure Space Same width as a number in the typeface. Use a figure space to help align numbers in financial tables.
Punctuation Space Same width as an exclamation mark, period, or colon in the typeface.
Spell-checking and language dictionaries
Check spelling
You can check the spelling in a selected range of text, in all of the text in a story, in all stories in a document, or in all
stories in all open documents. Misspelled or unknown words, words typed twice in a row (such as “the the”), and
words with possible capitalization errors are highlighted. In addition to running a spelling check, you can also enable
dynamic spelling so that potentially misspelled words are underlined while you type.
When you check spelling, the dictionary for the languages you assigned to the text is used. You can quickly add words
to the dictionary.
See also
“Assign a language to text” on page 219
“Hyphenation and spelling dictionaries” on page 155
Set spelling preferences
1Choose Edit > Preferences > Spelling (Windows) or InDesign > Preferences > Spelling (Mac OS).
2Do any of the following:
•Select Misspelled Words to find words that do not appear in the language dictionary.

INDESIGN CS3
User Guide
154
•Select Repeated Words to find duplicate words such as “the the.”
•Select Uncapitalized Words to find words (such as “germany”) that appear in the dictionary only as capitalized
words (“Germany”).
•Select Uncapitalized Sentences to find uncapitalized words following periods, exclamation marks, and question
marks.
3Select Enable Dynamic Spelling to underline potentially misspelled words while you type.
4Specify the underline color of misspelled words (words not found in the user dictionaries), repeated words (such
as “the the”), uncapitalized words (such as “nigeria” instead of “Nigeria”), and uncapitalized sentences (sentences that
don’t begin with a capital letter).
Check spelling
1If your document includes foreign-language text, select the text and use the Language menu on the Character
panel to specify the language for that text.
2Choose Edit > Spelling > Check Spelling.
Spell-checking begins.
3If you want to change the range of your spell-checking, do any of the following, and then click Start to begin
checking the spelling:
•Select Document to check the entire document. Select All Documents to check all open documents.
•Select Story to check all text in the currently selected frame, including text in other threaded text frames and
overset text. Select Stories to check stories in all selected frames.
•Select To End Of Story to check from the insertion point.
•Select Selection to check only selected text. This option is available only if text is selected.
4When unfamiliar or misspelled words or other possible errors are displayed, choose an option:
•Click Skip to continue spell-checking without changing the highlighted word. Click Ignore All to ignore all occur-
rences of the highlighted word, until InDesign is restarted.
•Select a word from the Suggested Corrections list or type the correct word in the Change To box, and then click
Change to change only that occurrence of the misspelled word. You can also click Change All to change all occur-
rences of the misspelled word in your document.
•To add a word to a dictionary, select the dictionary from the Add To menu, and click Add.
•Click Dictionary to display the Dictionary dialog box, where you can specify the target dictionary and language,
and specify hyphenation breaks in the added word.
Correct spelling errors as you type
By turning on Autocorrect, you can allow capitalization errors and common typing mistakes to be replaced while
you type. Before Autocorrect will work, you must create a list of commonly misspelled words and associate them
with the correct spelling.
1Choose Edit > Preferences > Autocorrect (Windows) or InDesign > Preferences > Autocorrect (Mac OS).
2Choose Enable Autocorrect. (You can also choose Edit > Spelling > Autocorrect to turn this feature on or off
quickly.)
3From the Language menu, choose which language the autocorrections are applied to.

INDESIGN CS3
User Guide
155
4To correct capitalization errors (such as typing “germany” instead of “Germany”), select Autocorrect Capitali-
zation Errors. You don’t need to add the capitalized words to the list of autocorrections.
5To add a word that you commonly misspell, click Add, type the misspelled word (such as “teh”), type the
correction (such as “the”), and then click OK.
6Continue to add words that you commonly misspell, and then click OK.
Whenyoutypeanymisspelledwordyouaddedtothelist,thewordisautomaticallyreplacedbythewordyouentered
as the correction.
See also
“Use dynamic spelling” on page 155
Use dynamic spelling
When dynamic spelling is enabled, you can correct spelling errors by using the context menu. Potentially misspelled
words are underlined (based on the dictionary associated with the language of the text). If you type words in a
different languages, select the text and assign the correct language.
1To enable dynamic spelling, choose Edit > Spelling > Dynamic Spelling.
Potentially misspelled words are underlined in your document.
2Right-click (Windows) or Control-click (Mac OS) the underlined word, and do one of the following:
•Select a suggested correction. If a word is repeated or needs to be capitalized, you can choose Delete Repeated
Word [word] or Capitalize [word].
•Select Add [word] ToUserDictionary.Thisautomaticallyaddsthewordtothecurrentdictionarywithoutopening
the Dictionary dialog box. The word remains unchanged in the text.
•SelectDictionary.ThisopenstheDictionarydialogboxwhereyoucanselecttheTargetdictionaryandLanguage,
change hyphenation breaks, and then click Add. The word is added to the selected dictionary and remains
unchanged in the text.
•Select Ignore All to ignore occurrences of this word in all documents. When InDesign is restarted, the word is
flagged again as a misspelling.
Note: If you select Ignore All and then decide that you don’ t want to ignore that word after all, Choose Ignored Words
from the Dictionary List menu in the Dictionary dialog box and remove the word from the list.
See also
“Assign a language to text” on page 219
“Correct spelling errors as you type” on page 154
“Check spelling” on page 153
Hyphenation and spelling dictionaries
InDesign uses Proximity dictionaries for most languages to verify spelling and to hyphenate words. You can add
words to each dictionary to customize it. You can assign different languages to text, and InDesign uses the appro-
priate dictionary to handle spelling and hyphenation. You can create additional user dictionaries, and you can import
or export word lists saved in a plain text file.

INDESIGN CS3
User Guide
156
When you customize the words in a dictionary, you actually create lists of added words (words that aren’t already in
the dictionary) and removed words (existing dictionary words that you want to be flagged as a potential misspelling).
The Dictionary dialog box lets you display and edit added words, removed words, and ignored words (words that are
ignored for the current session because you clicked Ignore All).
If you want to use the language dictionaries from a previous version of InDesign or InCopy, use your system Find
command to locate the user dictionary files (.udc), and then add them to your list of dictionaries in Dictionary
preferences.
Where dictionary words are stored
By default, hyphenation and spelling exceptions are located in user dictionary files stored outside the document on
the computer where InDesign is installed (dictionary file names end with a .udc or .not extension). However, you
can also store exception lists inside any InDesign document. In addition, you can store word lists in an external user
dictionary, in the document, or in both. The location of existing dictionaries appears in the Dictionary preferences.
Storing hyphenation and spelling exceptions inside a document makes it easier to treat text consistently when you
move that document to other computers. For this reason, you can merge the user dictionary into the document in
Dictionary Preferences. You can also control the location of exceptions from the Create Package Folder dialog box
(see “Package files” on page 563). In contrast, storing an exception list outside the document makes it easier to use
the same list of exceptions for multiple documents.
Note: If the user dictionary is merged into the exceptions list, the entire user dictionary is added to the document, even
if the words are not used, thereby increasing the document’s file size.
Applying languages to text
You can use the Language menu in the Control panel or Character panel to apply a language to selected text. You can
also specify a default language for an entire document, or for all new documents. (See “Assign a language to text” on
page 219.)
Exception word lists
You can exclude words from being considered. For example, if you want to use an alternate spelling for a common
word such as “bicycle,” which you may need to spell in a different way for your company name or for a specific
document, add the word to the list of excluded words so that it will be flagged during a spell check. InDesign can
maintain a separate set of added and removed words for each installed language.
Create or add user dictionaries
You can create a user dictionary, or you can add user dictionaries from previous InDesign or InCopy versions, from
files that others have sent you, or from a server where your workgroup’s user dictionary is stored. The dictionary you
add is used for all your InDesign documents.
Note: You cannot associate user dictionaries with languages that do not use Proximity dictionaries. These languages
include Czech, Greek, Hungarian, Polish, Russian, and Slovak.
1Choose Edit > Preferences > Dictionary (Windows) or InDesign > Preferences > Dictionary (Mac OS).
2From the Language menu, choose the language with which you want to associate the dictionary.
3Do one of the following:
•To create a new dictionary, click the New User Dictionary icon below the Language menu. Specify the name
and location of the user dictionary (which includes a .udc extension), and then click Save.

INDESIGN CS3
User Guide
157
•Toaddanexistingdictionary,clicktheAddUserDictionaryicon ,selecttheuserdictionaryfile,whichincludes
a .udc or .not extension, and then click Open.
Note: If you can’t find the dictionary file, you might want to use your system Find command to locate the .udc files (try
using *.udc), note the location, and then try again.
The dictionary is added to the list under the Language menu. You can add words to the dictionary using the
Dictionary dialog box.
See also
“Using dictionaries in a workgroup” on page 160
Set the default language dictionary
Youcanchangethedefaultlanguagedictionaryforadocumentorforallnewdocumentsyoucreate.Changingthe
default dictionary in an existing document doesn’t affect text that has already been created or text that you type into
an existing text frame.
Use the Character Style or Paragraph Style panel to set a specific dictionary for a specific style. The Language menu
appears in the Advanced Character Formats section.
Set the default language dictionary for the current document
1Open the document.
2Select the Selection tool from the toolbar and make sure no items are selected in the document.
3Choose Type > Character.
4Choose the desired dictionary from the Language pop-up menu on the Character panel. If you cannot see the
language option in the Character panel, select Show Options and then select your language from the list.
Set the default language dictionary for all new documents
1Start InDesign, but do not open a document.
2Choose Type > Character.
3Choose the desired dictionary from the Language pop-up menu on the Character panel. If you cannot see the
language option in the Character panel, select Show Options and then select your language from the list.
Remove, relink, and reorder user dictionaries
1Choose Edit > Preferences > Dictionary (Windows) or InDesign > Preferences > Dictionary (Mac OS).
2From the Language menu, choose the language to which the dictionary belongs.
3Do any of the following:
•Toremoveadictionaryfromthelist,selectitandclicktheRemoveUserDictionaryicon .Youmusthaveatleast
one dictionary per language.
•If the language dictionary includes a question mark icon next to it, select the dictionary, click the Relink User
Dictionary icon , and then locate and open the user dictionary.
•To change the order of the user dictionaries, drag and drop them. The order of the dictionaries in the list is the
order in which the dictionaries are checked.

INDESIGN CS3
User Guide
158
Add words to dictionaries
If, during a spell check, InDesign displays an unfamiliar word in the Check Spelling dialog box, select the dictionary
from the Add To menu, and then click Add. You can also use the Dictionary dialog box to give you more control over
how words are added to an exception word list.
1Choose Edit > Spelling > Dictionary.
2In the Language menu, choose a language. Each language contains at least one dictionary.
3IntheTargetmenu,choosethedictionarywhereyouwanttostoretheword.TheTargetmenuletsyoustorethe
changes in an external user dictionary or in any open document.
4In the Dictionary List menu, choose Added Words.
5Click Hyphenate to see the word’s default hyphenation. Tildes (~) indicate possible hyphenation points.
6In the Word box, type or edit the word to be added to the word list.
7
If you don’t like the hyphenation points, follow these guidelines to indicate your preferred hyphenation of the word:
•Type one tilde (~) to indicate the best possible hyphenation points, or the only acceptable hyphenation point, in
the word.
•Type two tildes (~~) to indicate your second choice.
•Type three tildes (~~~) to indicate a poor but acceptable hyphenation point.
•If you want the word never to be hyphenated, type a tilde before its first letter.
If you need to include an actual tilde in a word, type a backslash before the tilde (\~).
8Click Add, and then click Done. The word is added to the currently selected Dictionary List.
Note: Remember that hyphenation points interact with the hyphenation settings in your documents. As a result, the
word might not break where you expect it to. Control these settings by choosing Hyphenation in the Paragraph panel
menu. (See “Hyphenate text” on page 248.)
Remove or edit words in dictionaries
1Choose Edit > Spelling > Dictionary.
2In the Language menu, choose a language.
3In the Target menu, choose the dictionary from which you want to remove the word. The Target menu lets you
choose an external user dictionary or any open document.
4In the Dictionary List menu, do one of the following:
•To modify the list of additions to the selected Target word list, choose Added Words.
•To modify the list of words that are flagged as misspelled, choose Removed Words.
•To modify the list of words that are being ignored during the current InDesign session, choose Ignored Words.
This list includes all the words for which you’ve chosen Ignore All.
5In the word list, edit the word, or select the word and click Remove.
6Click Done.

INDESIGN CS3
User Guide
159
Import and export word lists
You can export word lists to a text file (.txt) and then import that list of words into a user dictionary in InDesign.
The words in the text file must be separated by a space, tab, or paragraph return. You can export added words and
removed words, but you cannot export ignored words, which are used only in the current session.
Export a word list
1Choose Edit > Spelling > Dictionary.
2Choose the language from the Language menu and the dictionary from the Target menu that contains the list of
words you want to export.
3Click Export, specify the file name and location, and then click Save.
The list of words is saved in a text file. You can edit this list of words in any text editor, and then import the word list.
You can also send the word list to others, who can import it into their user dictionaries.
Import a word list
1Choose Edit > Spelling > Dictionary.
2Choose the language from the Language menu and the dictionary from the Target menu.
3Click Import, locate the text file containing your list of spelling exceptions, and then click Open.
Change dictionary preferences
Use Dictionary preferences to specify how InDesign handles hyphenation and spelling dictionaries. Most languages
in InDesign use Proximity dictionaries to verify spelling and to hyphenate words. If you have installed hyphenation
or spelling components from a different company, you can select a different vendor for each installed language.
Note: The Dictionary Preferences dialog box does not enable you to specify the language dictionary used for spell
checking or hyphenating text. This dialog box is used to specify which hyphenation and spelling plug-ins InDesign uses
for the language specified in the Language field. If you use only the default hyphenation and spelling plug-in, you don't
need to change any settings in the Dictionary Preferences dialog box. If you install a different spelling or hyphenation
plug-in provided by a third-party developer, it appears as an option in the Hyphenation Vendor and Spelling Vendor
menus in this dialog box. This would let you select one vendor's hyphenation or spelling engine for some languages and
another vendor's hyphenation or spelling engine for other languages.
1Choose Edit > Preferences > Dictionary (Windows) or InDesign > Preferences > Dictionary (Mac OS).
2For Language, specify the language for which you want to edit settings or change the hyphenation or spelling
vendor.
3Create, add, or remove user dictionaries. (See “Create or add user dictionaries” on page 156.)
4If you have installed a hyphenation component from a company other than Adobe, select it in the Hyphenation
menu.
5If you have installed a spelling dictionary component from a company other than Adobe, select it in the Spelling menu.
6In the Compose Using menu in the Hyphenation Exceptions menu, do one of the following:
•To compose text using the hyphenation exceptions list stored in the external user dictionary, choose User
Dictionary.
•To compose text using the hyphenation exceptions list stored inside the document, choose Document.
•To compose text using both lists, choose User Dictionary and Document. This is the default setting.

INDESIGN CS3
User Guide
160
7To add the exceptions list stored in the external user dictionary to the exceptions list stored within the document,
select Merge User Dictionary Into Document.
Note: If you work with many different partners or clients, you might want to deselect the Merge User Dictionary Into
Documentoption.Forexample,ifyou’reaserviceprovider,youprobablydon’twantyouruserdictionarymergedwith
every customer’s file.
8To recompose all stories when certain settings are changed, select Recompose All Stories When Modified.
Selecting this option recomposes stories when you change the Compose Using settings (see step 6) or when you use
the Dictionary command to add or remove words. Recomposing all stories can take some time, depending on the
amount of text in the document.
9Click OK.
Change the default language
You can apply language to the selected text by using the Language drop-down list in the Character panel. In addition,
you can specify the default language for an entire document or newly created documents. Existing text frames or
documents are not affected when the default language is changed. Changing the default language also changes the
sort order for the table of contents.
1Do one of the following:
•To specify the default language for individual documents, make sure the Selection tool is active and no objects are
selected in the document.
•To specify the default language for new documents, close all documents.
2Choose Type > Character to display the Character panel.
3SelectthelanguagefromtheLanguagedrop-downlist.IftheLanguagemenuisnotshown,selectShowOptions
from the Character panel menu.
Using dictionaries in a workgroup
Make sure that each station in your workgroup has the same customized user dictionaries installed and added, so
that a document uses the same spelling and hyphenation rules regardless of who is working on it. You can either
make sure that everyone adds the same dictionaries to their computer, or you can share a user dictionary over the
network server.
A lock icon indicates that a dictionary is locked and can be used, but not edited. When a user dictionary is stored
on a server, the first user to load the dictionary locks the file; all subsequent users see that the dictionary is locked.
Files can also be locked through the operating system, when the file is made read-only. If you share a user dictionary
over the network server, you may want to lock the file so that it’s read-only for all users, allowing only the adminis-
trator to add words.
Make sure that everyone in the workgroup uses the customized user dictionary installed on the common network
workstation, and not the dictionary stored with a document. However, before you take a document to a service
provider, you might want to merge the user dictionary into the document. (See “Change dictionary preferences” on
page 159.)
If you don’t share a customized user dictionary on a common network workstation, use your system Find command
to locate user dictionary files and copy them from one workstation to another. (You might need to search for system
folders.) If you use the Proximity dictionaries installed by InDesign, you can recognize the user dictionary file for
each language by its .udc file name extension (such as eng.udc).

INDESIGN CS3
User Guide
161
After you update a shared workstation’s user dictionary, the changes don’t appear in individual workstations until a
user restarts InDesign or presses Ctrl+Alt+/ (Windows) or Command+ Option+/ (Mac OS) to recompose all text.
Footnotes
Create footnotes
Afootnote consists of two linked parts: the footnote reference number that appears in text, and the footnote text that
appears at the bottom of the column. You can create footnotes or import them from Word or RTF documents.
Footnotes are automatically numbered as they are added to a document. Numbering restarts in each story. You can
controlthenumberingstyle,appearance,andlayoutoffootnotes.Youcannotaddfootnotestotablesortofootnotetext.
For a video on creating footnotes, see www.adobe.com/go/vid0218.
1Place the insertion point where you want the footnote reference number to appear.
2Choose Type > Insert Footnote.
3Type the footnote text.
Footnote added to document
A. Reference number B. Footnote text
As you type, the footnote area expands while the text frame remains the same size. The footnote area continues to
expand upward until it reaches the line with the footnote reference. At that point, the footnote is split to the next text
framecolumnorthreadedframe,ifpossible.Ifthefootnotecannotbesplitandifmoretextisaddedthancanfitin
the footnote area, the line containing the footnote reference is moved to the next column, or an overset icon appears.
In such a case, you should resize the frame or change the text formatting.
When the insertion point is in a footnote, you can choose Type > Go To Footnote Reference to return to where you
were typing. If you use this option frequently, consider creating a keyboard shortcut.
See also
“Work with footnote text” on page 164
“Place (import) text” on page 117
Change footnote numbering and layout
Changes you make to footnote numbering and layout affect existing footnotes and all new ones.
1Choose Type > Document Footnote Options.
A
B

INDESIGN CS3
User Guide
162
2In the Numbering and Formatting tab, select options that determine the numbering scheme and formatting
appearance of the reference number and footnote text.
3Click the Layout tab, and select options that control the look of the footnote section on the page.
4Click OK.
See also
“Overprint rules above footnotes” on page 580
Footnote numbering and formatting options
The following options appear in the Numbering and Formatting section of the Footnote Options dialog box:
Numbering Style Choose the numbering style for footnote reference numbers.
Start At Specify the number used for the first footnote in the story. Each story in a document begins with the same
Start At number. If you have multiple documents in a book with continued page numbering, you may want to start
the footnote numbering in each chapter to continue where the last chapter left off.
Restart Numbering Every If you want numbering to restart within the document, select this option and choose Page,
Spread, or Section to determine when footnote numbering is restarted. Some numbering styles, such as asterisks (*),
work best when reset every page.
Show Prefix/Suffix In Select this option to show prefixes or suffixes in the footnote reference, the footnote text, or
both. Prefixes appear before the number (such as [1) and suffixes appear after the number (such as 1]). This option
is especially useful for placing footnotes within characters, such as [1]. Type a character or characters or select an
option for Prefix, Suffix, or both. To select special characters, click the icons next to the Prefix and Suffix controls to
display a menu.
If you think the footnote reference number is too close to theprecedingtext,addingoneofthespacecharactersasa
prefix might improve the appearance. You can also apply a character style to the reference number.
Position This option determines the appearance of the footnote reference number, which is superscript by default.
If you prefer to format the number using a character style (such as a character style that includes OpenType super-
script settings), choose Apply Normal, and specify the character style.
Character Style You may want to choose a character style to format the footnote reference number. For example,
instead of using superscript, you might want to use a character style at a normal position with an elevated baseline.
The menu displays the character styles available in the Character Styles panel.
Paragraph Style You may want to choose a paragraph style that formats the footnote text for all footnotes in the
document. The menu displays the paragraph styles available in the Paragraph Styles panel. By default, the [Basic
Paragraph]styleisused.Notethatthe[BasicParagraph]stylemaynothavethesameappearanceasthedefaultfont
settings for the document.
Separator Theseparatordeterminesthewhitespacethatappearsbetweenthefootnotenumberandthestartofthe
footnote text. To change the separator, first select or delete the existing separator, and then choose a new separator.
You can include multiple characters. To insert white space characters, use the appropriate metacharacter, such as ^m
for em space.

INDESIGN CS3
User Guide
163
Footnote layout options
The following options appear in the Layout section of the Footnote Options dialog box:
Minimum Space Before First Footnote This option determines the minimum amount of space between the bottom
of the column and the first footnote line. You cannot use a negative value. Any Space Before setting in the footnote
paragraph is ignored.
Space Between Footnotes Thisoptiondeterminesthedistancebetweenthelastparagraphofonefootnoteandthe
first paragraph of the next footnote in a column. You cannot use a negative value. The Space Before/Space After
values in a footnote’s paragraph apply only if the footnote includes multiple paragraphs.
First Baseline Offset Thisoptiondeterminesthedistancebetweenthestartofthefootnotearea(wherethefootnote
divider appears by default) and the first line of footnote text.
For information on the First Baseline options, see “First baseline offset options” on page 127.
Place End of Story Footnotes at Bottom of Text Select this option if you want the last column’s footnotes to appear
just below the text in the last frame of the story. If this option is not selected, any footnote in the last frame of the
story appears at the bottom of the column.
Allow Split Footnotes Select this option if you want footnotes to break across a column when the footnote exceeds
the amount of space available for it in that column. If splitting is not allowed, the line containing the footnote
reference number moves to the next column, or the text becomes overset.
Footnote split across column.
If Allow Split Footnotes is turned on, you can still prevent an individual footnote from splitting by placing the
insertion point in the footnote text, choosing Keep Options from the Paragraph panel menu, and selecting the Keep
Lines Together and All Lines In Paragraph options. If the footnote contains multiple paragraphs, use the Keep With Next
X Lines option in the first paragraph of the footnote text. You can choose Type > Insert Break Character > Column Break
to control where the footnote is split.
Rule Above Specify the location and appearance of the footnote divider line that appears above the footnote text and
the divider line that appears above any footnote text continued in a separate frame. The options you select apply to
either the First Footnote in Column or Continued Footnotes, whichever is selected in the menu. These options are
similartothosethatappearwhenyouspecifyaparagraphrule.Ifyoudon’twantaruletoappear,deselectRuleOn.
Delete footnotes
❖To delete a footnote, select the footnote reference number that appears in text, and then press Backspace or Delete.
If you delete only the footnote text, the footnote reference number and footnote structure remain.

INDESIGN CS3
User Guide
164
Work with footnote text
As you edit footnote text, note the following:
•When the insertion point is in footnote text, choosing Edit > Select All selects all the footnote text for that
footnote, but no other footnote or text.
•Use the arrow keys to navigate among footnotes.
•In Story Editor, you can click the footnote icon to expand or collapse a footnote. You can expand or collapse all
footnotes by choosing View > Story Editor > Expand All Footnotes or Collapse All Footnotes.
•Youcanselectandapplycharacterandparagraphformattingtofootnotetext.Youcanalsoselectandchangethe
appearance of the footnote reference number, but the recommended method is using the Document Footnote
Options dialog box.
•When you cut or copy text that includes the footnote reference number, the footnote text is also added to the
clipboard. If you copy the text to a different document, the footnotes in that text use the characteristics of the new
document’s numbering and layout appearance.
•If you accidentally delete the footnote number at the start of the footnote text, you can add it back by placing the
insertion point at the beginning of the footnote text, right-clicking (Windows) or Control-clicking (Mac OS), and
choosing Insert Special Character > Markers > Footnote Number.
•Text wrap has no effect on footnote text.
•Ifyouclearoverridesandcharacterstylesonaparagraphthatincludesafootnotereferencemarker,thefootnote
reference numbers lose the attributes you applied in the Document Footnote Options dialog box.

165
Chapter 6: Styles
A style is a collection of formatting that can be applied to items throughout a document. You can create styles for
paragraphs, characters, objects, tables, and cells in a table.
Paragraph and character styles
About character and paragraph styles
Acharacter style is a collection of character formatting attributes that can be applied to text in a single step. A
paragraph style includes both character and paragraph formatting attributes, and can be applied to a paragraph or
range of paragraphs. Paragraph styles and character styles are found on separate panels.
Whenyouchangetheformattingofastyle,alltexttowhichthestylehasbeenappliedwillbeupdatedwiththenew
format.
[Basic Paragraph] styles
By default, each new document contains a [Basic Paragraph] style that is applied to text you type. You can edit this
style,butyoucan’trenameordeleteit.Youcanrenameanddeletestylesthatyoucreate.Youcanalsoselectadifferent
default style to apply to text.
Character style attributes
Unlike paragraph styles, character styles do not include all the formatting attributes of selected text. Instead, when
you create a character style, InDesign makes only those attributes that are different from the formatting of the
selected text part of the style. That way, you can create a character style that, when applied to text, changes only some
attributes, such as the font family and size, ignoring all other character attributes. If you want other attributes to be
part of the style, add them when editing the style.
Next Style
You can automatically apply styles as you type text. If, for example, your document’s design calls for the style “body
text” to follow a heading style named “heading 1,” you can set the Next Style option for “heading 1” to “body text.”
After you’ve typed a paragraph styled with “heading 1,” pressing Enter or Return starts a new paragraph styled with
“body text.”
If you use the context menu when applying a style to two or more paragraphs, you can cause the parent style to be
applied to the first paragraph and the Next Style to be applied to the additional paragraphs. (See “Apply styles” on
page 169.)
To use the Next Style feature, choose a style from the Next Style menu when you’re creating or editing a style.
For a video on using text styles, see www.adobe.com/go/vid0076.
Styles panel overview
Use the Character Styles panel to create, name, and apply character styles to text within a paragraph; use the
Paragraph Styles panel to create, name, and apply paragraph styles to entire paragraphs. Styles are saved with a
document and display in the panel each time you open that document.

INDESIGN CS3
User Guide
166
When you select text or position the insertion point, any style that has been applied to that text is highlighted in
either of the Styles panels, unless the style is in a collapsed style group. If you select a range of text that contains
multiple styles, no style is highlighted in the Styles panel. If you select a range of text to which multiple paragraph
styles are applied, the Paragraph Styles panel displays “(Mixed).”
Open the Paragraph Styles panel
❖Choose Type > Paragraph Styles, or click the Paragraph Styles tab, which appears by default on the right side of
the application window.
Open the Character Styles panel
❖Choose Type > Character Styles, or click the Character Styles tab on the right side of the application window.
Define paragraph and character styles
1If you want to base a new style on the formatting of existing text, select that text or place the insertion point in it.
If a group is selected in the Styles panel, the new style will be part of that group.
2Choose New Paragraph Style from the Paragraph Styles panel menu, or choose New Character Style from the
Character Styles panel menu.
3For Style Name, type a name for your new style.
4For Based On, select which style the current style is based on.
Note: The Based On option lets you link styles to each other, so that changes in one style ripple through the styles that
are based on it. By default, new styles are based on [No Paragraph Style] or [None], or on the style of any currently
selected text.
5For Next Style (Paragraph Styles panel only), specify which style is applied after the current style when you press
Enter or Return.
6To add a keyboard shortcut, position the insertion point in the Shortcut box, and make sure Num Lock is turned
on. Then hold down any combination of Shift, Alt, and Ctrl (Windows), or Shift, Option, and Command (Mac OS),
and press a number on the numeric keypad. You cannot use letters or non-keypad numbers for defining style
shortcuts.
7If you want the new style to be applied to the selected text, select Apply Style To Selection.
8To specify the formatting attributes, click a category (such as Basic Character Formats) on the left, and specify the
attributes you want to add to your style.
When specifying a Character Color in the Style Options dialog box, you can create a new color by double-clicking
the fill or stroke box.
9For character styles, attributes you do not specify are ignored; when the style is applied, text will retain the
paragraph style formatting for that attribute. To remove an attribute setting from a character style:
•From a setting’s menu, choose (Ignore).
•In a text box, delete the option text.
•In a check box, click until you see a small box (Windows) or a hyphen (-) (Mac OS).
•For a character color, hold down Ctrl (Windows) or Command (Mac OS) and click the color swatch.
10 When you’ve finished specifying the formatting attributes, click OK.

INDESIGN CS3
User Guide
167
Styles you create appear only in the current document. If no document is open, the styles you create will appear in
all new documents.
See also
“Group styles” on page 184
“Create nested styles” on page 174
Base one paragraph or character style on another
Many document designs feature hierarchies of styles sharing certain attributes. The headings and subheads, for
example, often use the same font. You can easily create links between similar styles by creating a base, or parent,style.
When you edit the parent style, the child styles will change as well. You can then edit the child styles to distinguish it
from the parent style.
To create a style that’s nearly identical to another style, but without the parent-child relationship, use the Duplicate
Style command and then edit the copy.
1Create a new style.
2IntheNewParagraphStyleorNewCharacterStyledialogbox,selecttheparentstyleintheBasedOnmenu.The
new style becomes the child style.
By default, new styles are based on [No Paragraph Style] or [None], or on the style of any currently selected text.
3Specify formatting in the new style to distinguish it from the style on which it’s based. For example, you might
want to make the font used in a subheading slightly smaller than the one used in the heading (parent) style.
If you make changes to the formatting of a child style and decide you want to start over, click Reset to Base. That
restores the child style’s formatting to be identical to the style on which it’s based. Then you can specify new
formatting. Similarly, if you change the Based On style of the child style, the child style definition is updated to match its
new parent style.
See also
“Apply styles” on page 169
“Duplicate styles or style groups” on page 183
Import styles from other documents
You can import paragraph and character styles from another InDesign document (any version) into the active
document. During import, you can determine which styles are loaded and what should occur if a loaded style has
the same name as a style in the current document. You can also import styles from an InCopy document.
1In the Character Styles or Paragraph Styles panel, do one of the following:
•Choose Load Character Styles or Load Paragraph Styles in the Styles panel menu.
•Choose Load All Text Styles in the Styles panel menu to load both character and paragraph styles.
2Double-click the InDesign document containing the styles you want to import.

INDESIGN CS3
User Guide
168
3In the Load Styles dialog box, make sure that a check mark appears next to the styles you want to import. If any
existing style has the same name as one of the imported styles, choose one of the following options under Conflict
With Existing Style, and then click OK:
Use Incoming Style Definition Overwrites the existing style with the loaded style and applies its new attributes to all
text in the current document that used the old style. The definitions of the incoming and existing styles are displayed
at the bottom of the Load Styles dialog box so that you can view a comparison.
Auto-Rename Renames the loaded style. For example, if both documents have a Subheading style, the loaded style
is renamed “Subheading copy” in the current document.
You can also use the Books feature to share styles. (See “Synchronize book documents” on page 275.)
See also
“Adobe Version Cue” on page 94
Convert Word styles to InDesign styles
While importing a Microsoft Word document into InDesign or InCopy, you can map each style used in Word to a
corresponding style in InDesign or InCopy. By doing so, you specify which styles format the imported text. A disk
icon appears next to each imported Word style until you edit the style in InDesign or InCopy.
1Do one of the following:
•To add the Word document to existing text in InDesign or InCopy, choose File > Place. Select Show Import
Options, and then double-click the Word document.
•To open the Word document in a stand-alone InCopy document, start InCopy, choose File > Open, and then
double-click the Word file.
2Select Preserve Styles and Formatting From Text and Tables.
3Select Customized Style Import, and then click Style Mapping.
4In the Style Mapping dialog box, select the Word style, and then select an option from the menu under InDesign
style. You can choose the following options:
•If there is no style name conflict, choose New Paragraph Style, New Character Style, or choose an existing
InDesign style.
•If there is a style name conflict, choose Redefine InDesign Style to format the imported style text with the Word
style. Choose an existing InDesign style to format the imported style text with the InDesign style. Choose Auto
Rename to rename the Word style.
5Click OK to close the Style Mapping dialog box, and then click OK to import the document.
See also
“Place (import) text” on page 117
“Paste text” on page 115

INDESIGN CS3
User Guide
169
Apply styles
By default, applying a paragraph style won’t remove any existing character formatting or character styles applied to
part of a paragraph, although you have the option of removing existing formatting when you apply a style. A plus
sign (+) appears next to the current paragraph style in the Styles panel if the selected text uses a character or
paragraph style and also uses additional formatting that isn’t part of the applied style. Such additional formatting is
called an override.
Character styles remove or reset character attributes of existing text if those attributes are defined by the style.
See also
“Use Quick Apply” on page 183
“Override character and paragraph styles” on page 171
Apply a character style
1Select the characters to which you want to apply the style.
2Do one of the following:
•Click the character style name in the Character Styles panel.
•Select the character style name from the drop-down list in the Control panel.
•Press the keyboard shortcut you assigned to the style. (Make sure that Num Lock is on.)
Apply a paragraph style
1Click in a paragraph, or select all or part of the paragraphs to which you want to apply the style.
2Do one of the following:
•Click the paragraph style name in the Paragraph Styles panel.
•Select the paragraph style name from the menu in the Control panel.
•Press the keyboard shortcut you assigned to the style. (Make sure that Num Lock is on.)
3If any unwanted formatting remains in the text, choose Clear Overrides from the Paragraph Styles panel.
Apply sequential styles to multiple paragraphs
The Next Style option specifies which style will be automatically applied when you press Enter or Return after
applying a particular style. It also specifies which styles will be applied when you select multiple paragraphs and
applyastyleusingthecontextmenu.IfyouselectmultipleparagraphsandapplyastylethathasaNextStyleoption,
the style specified as the next style will be applied to the second paragraph. If that style has a Next Style option, the
next style will be applied to the third paragraph, and so on.
For example, suppose you have three styles for formatting a newspaper column: Title, Byline, and Body. Title uses
Byline for Next Style, Byline uses Body for Next Style, and Body uses [Same Style] for Next Style. If you select an
entire article, including the title, the author’s byline, and the paragraphs in the article, and then apply the Title style
using the context menu, the article’s first paragraph will be formatted with the Title style, the second paragraph will
be formatted with the Byline style, and all other paragraphs will be formatted with the Body style.

INDESIGN CS3
User Guide
170
Before and after applying a style with Next Style.
1Select the paragraphs to which you want to apply the styles.
2In the Paragraph Styles panel, right-click (Windows) or Control-click (Mac OS) the parent style, and then choose
Apply [Style Name] Then Next Style.
If the text includes formatting overrides or character styles, the context menu also lets you remove overrides,
character styles, or both.
Edit character and paragraph styles
One of the advantages of using styles is that when you change the definition of a style, all of the text formatted with
that style changes to match the new style definition.
Note: If you edit styles in InCopy content that’s linked to an InDesign document, the modifications are overridden when
the linked content is updated.
1Do one of the following:
•If you don’t want the style to be applied to selected text, right-click (Windows) or Control-click (Mac OS) the style
name in the Styles panel, and choose Edit [style name].
•In the Styles panel, double-click the style name, or select the style and choose Style Options in the Styles panel
menu. Note that this applies the style to any selected text or text frame or, if no text or text frame is selected, sets
the style as the default style for any text you type in new frames.
2Adjust settings in the dialog box, and then click OK.
Redefine a style to match selected text
After you apply a style, you can override any of its settings. If you decide you like the changes you made, you can
redefine the style so that it matches the formatting of the text you changed.
Note: If you redefine styles in InCopy content linked to an InDesign document, the modifications are overridden when
the linked content is updated.
1Using the Type tool , select the text formatted with the style you want to redefine.
2Make changes to the paragraph or character attributes as necessary.
3Choose Redefine Style in the Styles panel menu.

INDESIGN CS3
User Guide
171
See also
“Override character and paragraph styles” on page 171
Delete character or paragraph styles
When you delete a style, you can select a different style to replace it, and you can choose whether to preserve the
formatting. When you delete a style group, you delete all styles within the group. You are prompted to replace each
style in the group one at a time.
1Select the style name in the Styles panel.
2Do one of the following:
•Choose Delete Style in the panel menu or click the Delete icon at the bottom of the panel.
•Right-click (Windows) or Control-click (Mac OS) the style, and then choose Delete Style. This method is
especially useful for deleting a style without applying it to text.
3In the Delete Paragraph Style dialog box, select the style to replace it.
Ifyouselect[NoParagraphStyle]toreplaceaparagraphstyleor[None]toreplaceacharacterstyle,selectPreserve
Formatting to keep the formatting of text to which the style is applied. The text preserves its formatting but is no
longer associated with a style.
4Click OK.
To delete all unused styles, choose Select All Unused in the Styles panel menu, and then click the Delete icon. When
you delete an unused style, you are not prompted to replace the style.
See also
“Group styles” on page 184
Override character and paragraph styles
When you apply a paragraph style, character styles and other previous formatting remain intact. After you apply a
style, you can override any of its settings by applying formatting that’s not part of the style. When formatting that is
not part of a style is applied to text with that style applied, it is called an override. When you select text with an
override, a plus sign (+) appears next to the style name. In character styles, an override is displayed only if the applied
attribute is part of the style. For example, if a character style only changes text color, applying a different font size to
the text does not appear as an override.
You can clear character styles and formatting overrides when you apply a style. You can also clear overrides from a
paragraph to which a style has been applied.
If a style has a plus sign (+) next to it, hold the mouse pointer over the style to view a description of the override
attributes.
See also
“Redefine a style to match selected text” on page 170
Preserve or remove overrides when applying paragraph styles
•To apply a paragraph style and preserve character styles, but remove overrides, hold down Alt (Windows) or
Option (Mac OS) as you click the name of the style in the Paragraph Styles panel.

INDESIGN CS3
User Guide
172
•To apply a paragraph style and remove both character styles and overrides, hold down Alt+Shift (Windows) or
Option+Shift (Mac OS) as you click the name of the style in the Paragraph Styles panel.
Right-click (Windows) or Control-click (Mac OS) the style in the Paragraph Styles panel, and then choose an option
from the context menu. You can then clear overrides, character styles, or both while applying the style.
Clear paragraph style overrides
1Select the text containing the overrides. You can even select multiple paragraphs with different styles.
2In the Paragraph Styles panel, do any of the following:
•To remove paragraph and character formatting, click the Clear Overrides icon , or choose Clear Overrides
from the Paragraph Styles panel.
•To remove character overrides, but preserve paragraph formatting overrides, hold down Ctrl (Windows) or
Command (Mac OS) as you click the Clear Overrides icon.
•To remove paragraph-level overrides, but preserve character-level overrides, in the Paragraph Styles panel, hold
down Shift+Ctrl (Windows) or Shift+Command (Mac OS) as you click the Clear Overrides icon.
Note: When you clear overrides, paragraph-level overrides are removed from the entire paragraph, even if only part of
the paragraph is selected. Character-level overrides are removed only from the selection.
Clearing overrides does not remove character style formatting. To remove character style formatting, select the text
containing the character style, and then click [None] in the Character Styles panel.
Break the link between text and its style
When you break the link between text and its style, the text retains its current formatting. However, future changes
to that style will not be reflected in the text that was separated from the style.
1Select the text that is marked with the style that you want to break from.
2Choose Break Link To Style from the Styles panel menu.
If no text is selected when you choose Break Link To Style, any new text you type uses the same formatting as the
selected style, but no style is assigned to that text.
See also
“Override character and paragraph styles” on page 171
Convert style bullets and numbering to text
When you create a style that adds bullets or numbering to paragraphs, these bullets and numbers may be lost if the text
is copied or exported to a different application. To avoid this problem, convert the style bullets or numbering to text.
Note: If you convert style bullets in an InCopy story linked to an InDesign layout, the change may be overridden when
the content is updated in InDesign.
1In the Paragraph Styles panel, select the style that contains the bullets and numbering.
2In the Paragraph Styles panel menu, choose Convert “[style]” Bullets and Numbering to Text.
If you convert bullets and numbering to text in a style on which another style is based (a parent style), the bullets and
numbering in the child style are also converted to text.
After you convert numbering to text, you may need to update numbers manually if you edit the text.

INDESIGN CS3
User Guide
173
See also
“Create a paragraph style for running lists” on page 243
Find and replace character and paragraph styles
Use the Find/Change dialog box to find all instances of a particular style and replace it with another.
1Choose Edit > Find/Change.
2For Search, select Document to change the style throughout the document.
3LeavetheFindWhatandChangeTooptionsblank.IftheFindFormatandChangeFormatboxesdon’tappearat
the bottom of the dialog box, click More Options.
4Click the Find Format box to display the Find Format Settings dialog box. Under Style Options, select the
character or paragraph style you want to search for, and then click OK.
5Click the Change Format box to display the Change Format Settings dialog box. Under Style Options, select the
replacement character or paragraph style, and then click OK.
6Click Find, and then use the Change, Change/Find, or Change All buttons to replace the style.
See also
“Find and change text” on page 133
“Find and change fonts” on page 145
Drop caps and nested styles
There are two main ways to use Drop Caps and Nested Styles feature: to apply a character style to a drop cap or to
apply a nested style to text at the beginning of a paragraph.
Apply a character style to a drop cap
You can apply a character style to the drop-cap character or characters in a paragraph. For example, if you want a
drop-cap character to have a different color and font than the rest of the paragraph, you can define a character style
that has these attributes. Then you can either apply the character style directly to a paragraph, or you can nest the
character style in a paragraph style.
Drop cap formatted automatically by nested character style
1Create a character style that has the formatting you want to use for the drop-cap character.
hat you don’t feel,
you will not grasp by art,
Unless it wells out of your soul
And with sheer pleasure takes control,
Compelling every listener’s heart.
But sit – and sit, and patch and knead,

INDESIGN CS3
User Guide
174
2Do one of the following:
•To apply the drop cap to a single paragraph, choose Drop Caps and Nested Styles from the Paragraph panel menu.
•To nest the character style in a paragraph style, double-click the paragraph style, and then click Drop Caps and
Nested Styles.
3Specify the number of drop-cap lines and characters, and then choose the character style.
4If the drop cap is aligned too far away from the left edge, select Align Left Edge.
Selecting this option uses the original left side bearing of the drop-cap character rather than the larger value. It’s
particularly useful for drop caps formatted in sans serif fonts.
5If the drop cap character overlaps the text below it, select Scale For Descenders.
6Click OK.
If you want to apply a different nested style to any characters after the drop cap, use the New Nested Style option.
(See “Create nested styles” on page 174.)
See also
“Use drop caps” on page 222
Create nested styles
You can specify character-level formatting for one or more ranges of text within a paragraph. You can also set up two
or more nested styles to work together, one taking over where the previous one ends. For paragraphs with repetitive
and predictable formatting, you can even loop back to the first style in the sequence.
Nested styles are especially useful for run-in headings. For example, you can apply one character style to the first
letter in a paragraph and another character style that takes effect through the first colon (:). For each nested style,
you can define a character that ends the style, such as a tab character or the end of a word.
In this example, the Number character style formats the first word, and the Run-in character style formats text through the first colon.

INDESIGN CS3
User Guide
175
Create one or more nested styles
1Create one or more character styles that you want to use to format text.
2Do one of the following:
•To add nested styles to a paragraph style, double-click the paragraph style, and then click Drop Caps and Nested
Styles.
•Toaddnestedstylestoasingleparagraph,chooseDropCapsandNestedStylesfromtheParagraphpanelmenu.
Note: For best results, apply nested styles as part of paragraph styles. If you apply nested styles as local overrides to a
paragraph, subsequent editing or formatting changes in the nested style can produce unexpected character formatting in
the styled text.
3Click New Nested Style one or more times.
4Do any of the following for each style, and then click OK:
•Click the character style area, and then select a character style to determine the appearance of that section of the
paragraph.
•Specify the item that ends the character style formatting. You can also type the character, such as a colon (:) or a
specific letter or number. You cannot type a word.
•Specify how many instances of the selected item (such as characters, words, or sentences) are required.
•Choose Through or Up To. Choosing Through includes the character that ends the nested style, while choosing
Up To formats only those characters that precede this character.
•Selectastyleandclicktheupbutton ordownbutton tochangetheorderofthestylesinthelist.Theorder
of the styles determines the order in which the formatting is applied. The formatting defined by the second style
begins where the formatting of the first style concludes. If you apply a character style to the drop cap, the drop-
cap character style acts as the first nested style.
Loop through nested styles
You can repeat a series of two or more nested styles throughout a paragraph. A simple example would be to alternate
red and green words in a paragraph. The repeating pattern remains intact even if you add or remove words in the
paragraph.
1Create the character styles you want to use.
2Edit or create a paragraph style, or place the insertion point in the paragraph you want to format.
3IntheDropCapsandNestedStylessectionordialogbox,clickNewNestedStyleatleasttwiceandchoosesettings
for each style.
4Click New Nested Style again, choose [Repeat] in the character style area, and specify how many nested styles will
be repeated.
In some cases, you may want to skip the first style or styles. For example, an events calendar paragraph may include
“This Week’s Events” followed by days of the week and their events. In this case, you could create five nested styles:
one for “This Week’s Events,” one each for the day, event, and event time, and a final style with a [Repeat] value of 3,
thereby excluding the first nested style from the loop.

INDESIGN CS3
User Guide
176
Looping through nested styles
5Click OK.
Nested style character style options
To determine how a nested character style ends, select any of the following:
If you don’t want the character to be included in the nested style formatted, choose Up To instead of Through when
you define the nested style.
Sentences Periods, question marks, and exclamation marks indicate the end of a sentence. If a quotation mark
follows the punctuation, it is included as part of the sentence.
Words Any space or white space character indicates the end of a word.
Characters Any character other than zero-width markers (for anchors, index markers, XML tags and so on) is
included.
Note: If you select Characters, you can also type a character, such as a colon or a period, to end the nested style. If you
type multiple characters, any of those characters will end the style. For example, if your run-in headings may end with
a hyphen, colon, or question mark, you can type -:? to end the nested style ends where any of these characters appears.
Letters Any character that does not include punctuation, white space, digits, and symbols.

INDESIGN CS3
User Guide
177
Digits The Arabic numerals 0–9 are included.
End Nested Style Character
Extends the nested style up to or through the appearance of the End Nested Style
character you insert. To insert this character, choose Type > Insert Special Character > Other > End Nested Style Here.
Tab Characters Extends the nested style up to or through the tab character (not the tab setting).
Forced Line Break Extends the nested style up to or through the forced line break. (Choose Type > Insert Break
Character > Forced Line Break.)
Indent To Here Character Extends the nested style up to or through the Indent To Here character. (Choose Type >
Insert Special Character > Other > Indent To Here.)
Em Spaces, En Spaces, or Non-breaking Spaces Extends the nested style up to or through the space character.
(Choose Type > Insert White Space > [space character].)
Inline Graphic Marker Extends the nested style up to or through an inline graphic marker, which appears where an
inline graphic is inserted.
Auto Page Number / Section Marker Extends the nested style up to or through the page number or section name
marker.
End a nested style
Inmostcases,anestedstyleendswheretheconditionofthedefinedstyleismet,suchasafterthreewordsorwhere
a period appears. However, you can also end a nested style before the condition is met using the End Nested Style
Here character.
1Place the insertion point where you want the nested style to end.
2Choose Type > Insert Special Character > Other > End Nested Style Here.
This character ends the nested style at that point, regardless of the nested style definition.
Remove the formatting of a nested style
•In the Drop Caps and Nested Styles dialog box, or in the Drop Caps and Nested Styles section of the Paragraph
Style Options dialog box, select the nested style and click Delete.
•Apply a different paragraph style.
Object styles
About object styles
Just as you use paragraph and character styles to quickly format text, you can use object styles to quickly format
graphics and frames. Object styles include settings for stroke, color, transparency, drop shadows, paragraph styles,
text wrap, and more. You can assign different transparency effects for the object, fill, stroke, and text.
You can apply object styles to objects, groups, and frames (including text frames). A style can either clear and replace
all object settings or it can replace only specific settings, leaving other settings unchanged. You control which settings
the style affects by including or excluding a category of settings in the definition.

INDESIGN CS3
User Guide
178
When creating styles, you might find that several styles share some of the same characteristics. Rather than setting
those characteristics each time you define the next style, you can base one object style on another. When you change
the base style, any shared attributes that appear in the “parent” style change in the “child” style as well.
For a video on using object styles, see www.adobe.com/go/vid0072.
Object Styles panel overview
Use the Object Styles panel to create, edit, and apply object styles. For each new document, the panel initially lists a
default set of object styles. Object styles are saved with a document and display in the panel each time you open that
document. The Text Frame icon marks the default style for text frames; the Graphics Frame icon marks the
default style for graphics frames and drawn shapes.
See also
“Use default object styles” on page 180
Open the Object Style panel
❖Choose Window > Object Styles.
Change how object styles are listed in the panel
•Select Small Panel Rows from the panel menu to display a more condensed version of the object styles.
•Drag the object style to a different position. When a black line appears in the desired position, release the mouse
button.
•Select Sort By Name from the panel menu to list the object styles in alphabetical order.
Define object styles
You can define a style based on the settings you’ve already applied to an object, or you can create a style from scratch
or based on another style.
1Select the object or text frame that uses the settings you want the object style to include.
2Choose New Object Style from the Object Styles panel menu, or Alt-click (Windows) or Option-click (Mac OS)
the Create New Style button.
3In the New Object Style dialog box, type a name for the style.
4To base the style on another style, choose a style for Based On.
Note: The Based On option lets you link styles to each other, so that changes in one style ripple through the styles that
are based on it. If you make changes to the formatting of a child style and decide you want to start over, click Reset to
Base. That restores the child style’s formatting to be identical to the style on which it’s based.
5To add a keyboard shortcut, position the insertion point in the Shortcut box, and make sure Num Lock is turned
on. Then hold down any combination of Shift, Alt, and Ctrl (Windows) or Shift, Option, and Command (Mac OS),
and press a number on the numeric keypad. You cannot use letters or non-keypad numbers for defining style
shortcuts.
6Under Basic Attributes, select any additional categories that contain options you want to define, and set the
options as desired. Click the check box to the left of each category to indicate whether it should be included or
ignored in the style.

INDESIGN CS3
User Guide
179
7To apply effects, choose an option in Effects For (Object, Stroke, Fill, or Text), and then select categories of effects
and specify their settings. You can specify different effects for each category. Indicate which Effects categories should
be turned on, turned off, or ignored in the style. (See “Object style categories” on page 179.)
8Click OK.
Object style categories
If you want the style to apply only certain attributes, leaving any other settings untouched, make sure that the
categoriesyouwantthestyletocontrolareintheappropriatestate.Youcanuseanyofthreestatesforeachcategory:
turnedon,turnedoff,orignored.Forexample,checkingtheDropShadowboxwillincludedropshadowformatting
intheobjectstyle.DeselectingtheDropShadowboxwillindicatethatdropshadowisturnedoffaspartofthestyle
— any drop shadow applied to an object appears as an override. Setting the Drop Shadow box to “ignore” (a small
box in Windows or a hyphen in Mac OS) will leave drop shadow out of the style, so any drop shadow applied to the
style does not appear as an override.
Object style categories
A. Turned on B. Ignored C. Turned off
Note: Categories in which the settings can be turned on or off individually, such as Fill, Stroke, and Transparency, have
only two states. They can either be turned on or ignored.
The Paragraph Styles category is ignored by default, even if you’re creating a text frame. This category is applicable
only if the object is an unthreaded text frame.
See also
“Clear object style overrides” on page 180
Apply object styles
1Select an object, frame, or group.
2Click an object style in the Control panel or the Object Styles panel to apply a style.
IfyouchooseOverridesWhenApplyingStylefromtheObjectStylespanel,clickinganobjectstyleclearsoverrides
by default. If this option is not selected, you can Alt-click (Windows) or Option-click (Mac OS) the object style to
clear overrides while applying the style.
You can also drag an object style onto an object to apply the style without first selecting the object.
If a group is selected when you apply an object style, the style is applied to each object in the group.
A
B
C

INDESIGN CS3
User Guide
180
Once you apply a style, you can apply other settings to the object as needed. Although you may override a setting
defined in the style, you do not lose the connection to the style.
See also
“Use Quick Apply” on page 183
“Clear object style overrides” on page 180
Use default object styles
Foreachnewdocument,theObjectStylespanellistsadefaultsetofobjectstyles.Wheneveryoucreateanobject,an
object style is applied to it. By default, if you create a text frame, the [Basic Text Frame] object style is applied. If you
draw a path or shape, the [Basic Graphics Frame] object style is applied. If you place an image or draw a placeholder
shapethathasanXinit,the[None]objectstyleisapplied.Youcanselectadifferentobjectstyletouseasthedefault
for each of these object types.
•To change the default style for a text frame, choose Default Text Frame Style from the Object Styles panel menu,
and then select the object style.
•Tochangethedefaultstyleforagraphicsframe,chooseDefaultGraphicsFrameStylefromtheObjectStylespanel
menu, and then select the object style.
•To change the default style for any object type, drag the icon that marks the default object type from one object
style to another.
Note: If you select an object style when no frame is selected, that object style becomes the new default object style for text
or graphics, depending on which tool is selected in the toolbox.
You can edit the [Basic] styles, but you cannot delete them.
Clear object style overrides
When formatting is applied to an object that differs from part of the style definition applied to that object, it is called
an override. When you select an object with an override, a plus sign (+) appears next to the style name.
Use the Clear Overrides command to override any formatting that is either turned on or off in the object style; use
the Clear Attributes Not Defined By Style to clear ignored attributes.
See also
“Object style categories” on page 179
Clear object style overrides
1Select an object or group that you want to change.
2In the Object Styles panel, click the Clear Overrides button at the bottom of the Object Styles panel.
An override is displayed only if the applied attribute is part of the style.
Clear attributes ignored in an object style
You may want to remove attributes from an object, even if those attributes are ignored in a style. For example, if the
Fill category is ignored in an object style and you apply a red fill to a frame to which the object style is applied,
choosing Clear Attributes Not Defined By Style removes the red fill.

INDESIGN CS3
User Guide
181
Note: If an object style category is turned off (unchecked) rather than ignored, use the Clear Overrides command to
override the style.
1Select an object or group that you want to change.
2IntheObjectStylespanel,clicktheClearAttributesNotDefinedByStylebutton atthebottomoftheObject
Styles panel.
Rename an object style
1Make sure no objects are currently selected so that a style isn’t mistakenly applied.
2In the Object Styles panel, double-click the object style you want to rename.
3In the Object Style Options dialog box, type a new name for the style, and click OK.
You can also edit an object style directly in the panel. Click the style, pause, and then click again to edit the style
name.
Edit object styles
1Do one of the following:
•If you don’t want the style to be applied to the selected frame or set as the default, right-click (Windows) or
Control-click (Mac OS) the style name in the Object Styles panel, and choose Edit [style name].
•In the Object Styles panel, double-click the style name, or select the style and choose Style Options in the Styles
panel menu. Note that this applies the style to any selected object or set it as the default object type.
2In the Object Style Options dialog box, select the category that contains the options you want to change, and
change the desired settings.
3Determine whether object style categories are turned on, turned off, or ignored. (See “Object style categories” on
page 179.)
4Click OK.
Delete an object style
1In the Object Styles panel, select an object style.
2Choose Delete Object Style from the panel menu or drag the style to the Delete icon at the bottom of the Object
Styles panel.
3Ifyoudeleteastylethatisappliedtoobjectsoronwhichotherstylesarebased,youwillbepromptedtospecifya
replacement style in the Delete Object Style dialog box. Do one of the following:
•To restyle objects that currently use the deleted style, choose the style you want to apply to the objects and
click OK.
•To leave objects unchanged, choose [None], make sure Preserve Formatting is checked, and click OK. Any objects
that use the deleted style retain the same attributes, but are no longer associated with a style.
•To remove all attribute settings you’ve applied, choose [None], deselect Preserve Formatting, and click OK.
Note: To delete all styles not applied to objects, choose Select All Unused from the Object Styles panel menu, and then
click the Delete icon.

INDESIGN CS3
User Guide
182
Break the link to an object style
You can break the link between an object and the style applied to it. The object will retain the same attributes, but
will no longer change if the style is changed.
1Select the object that has the object style applied to it.
2Choose Break Link To Style from the Object Styles panel menu.
If you don’t want to retain the formatting of the object style, choose [None] in the Object Styles panel.
Redefine an object style
After you apply an object style, you can override any of its settings. If you decide you like the changes you made to a
particular object, you can redefine the style so that it matches the formatting of the object you changed. Be aware
that the Redefine Object Style command redefines only categories that are turned on or turned off, but not categories
that are ignored. If the object includes additional settings, you’ll need to add those settings separately to the style, or
simply create a new object style.
1Select an object that is using the style you want to change.
2Adjust the desired appearance attributes.
3In the Object Styles panel, choose Redefine Object Style from the Object Styles panel menu.
The object style definition changes to match the override settings you applied. All occurrences of the object style in
the document are updated to use the new settings.
Note: If the Redefine Object Style option is not available, the attributes you set are not part of the object style definition.
To change the style definition directly, choose Object Style Options instead, or create a new style from the object.
See also
“Object style categories” on page 179
Import object styles
You can import styles from other documents. In addition to object styles themselves, InDesign imports any swatches,
custom strokes, character styles, or paragraph styles that are used in the styles. If a swatch, stroke, or paragraph style
that you import has the same name but different values than an existing swatch or style, InDesign renames it (for
example, from Burnt Orange to Burnt Orange 2).
1Select Load Object Styles from the Object Styles panel menu.
2Select the file from which you want to import object styles, and click Open.
3IntheLoadStylesdialogbox,makesurethatacheckmarkappearsnexttothestylesyouwanttoimport.Ifthere
is a style name conflict, choose one of the following options under Conflict With Existing Style, and then click OK:
Use Incoming Style Definition Overwrites the existing style with the loaded style and applies its new attributes to all
text in the current document that used the old style. The definitions of the incoming and existing styles are displayed
at the bottom of the Load Styles dialog box so that you can view a comparison.
Auto-Rename Renames the loaded style.
The object styles appear in the Object Styles panel.

INDESIGN CS3
User Guide
183
Working with styles
Duplicate styles or style groups
❖Right-click (Windows) or Control-click (Mac OS) a style or style group in the Styles panel, and then choose
Duplicate Style.
A new style or group appears in the Styles panel, with the same name followed by “copy”. If you duplicated a group
of styles, the style names within the new group remain the same.
You can also duplicate styles by copying them to another group.
Use Quick Apply
In documents that include many styles, it can be difficult to find the style you want without scrolling through a long
list. Use Quick Apply to locate a style quickly by typing part of its name. You can also use Quick Apply to find and
apply menu commands, scripts, variables, and most other commands that can be found in the Keyboard Shortcuts
dialog box.
1Select the text or frame to which you want to apply the style, menu command, script, or variable.
2Choose Edit > Quick Apply, or press Ctrl+Enter (Windows) or Command+Return (Mac OS).
3Start typing the name of the item you want to apply.
The name you type doesn’t need to be an exact match. For example, typing he will locate styles such as Head 1,
Head 2, and Subhead, as well as Help menu commands such as Help Menu > InDesign Help.
Use QuickApply to find styles, menu commands, scripts, and variables.
You can narrow the search to only a single category by typing the appropriate prefix at the beginning of the search,
such as m: for menu or p: for paragraph styles. To view a list of prefixes, click the down arrow to the left of the Quick
Apply text box. You can deselect categories in this list that you don’t want to appear.
4Select the item you want to apply, and then:
•To apply a style, menu command, or variable, press Enter or Return.
•To apply a paragraph style and remove overrides, press Alt+Enter (Windows) or Option+Return (Mac OS).
•To apply a paragraph style and remove overrides and character styles, press Alt+Shift+Enter (Windows) or
Option+Shift+Return (Mac OS).
•To apply an item without closing the Quick Apply list, press Shift+Enter (Windows) or Shift+Return (Mac OS).
•To close the Quick Apply list without applying an item, press Esc or click anywhere else in the document window.
•To edit a style, press Ctrl+Enter (Windows) or Command+Enter (Mac OS).

INDESIGN CS3
User Guide
184
When the Quick Apply list is displayed, press the left and right arrow keys to scroll through the edit field; press the
up and down arrow keys to scroll through the list of items.
Group styles
You can organize styles by grouping them into separate folders in the Character Styles, Paragraph Styles, Object
Styles, Table Styles, and Cell Styles panels. You can even nest groups within groups. Styles do not need to be in a
group; you can add them to a group or to the root level of the panel.
Create a style group
1In the Styles panel:
•To create the group at the root level, deselect all styles.
•To create a group within a group, select and open a group.
•To include existing styles in the group, select the styles.
2Choose New Style Group from the Styles panel menu, or choose New Group From Styles to move the selected
styles into the new group.
3Type the name of the group and click OK.
4Tomoveastyleintothegroup,dragthestyleoverthestylegroup.Whenthestylegroupishighlighted,releasethe
mouse button.
Copy styles to a group
When you copy a style to a different group, the styles are not linked. Even though they have the same name, editing
one style does not change the attributes of the other style.
1Select the style or group you want to copy.
2Choose Copy To Group from the Styles panel menu.
3Select the group (or [Root] level) that you want to copy the styles or group to, and then click OK.
If the group already contains style names identical to those being copied, incoming styles are renamed.
Expand or collapse style groups
•To expand or collapse only one group, click the triangle icon next to it.
•To expand or collapse the group and all its subgroups, Ctrl-click (Windows) or Command-click (Mac OS) the
triangle icon.
Delete style groups
Deleting a style group deletes the group and everything inside it, including styles and other groups.
1Select the group you want to delete.
2Choose Delete Style Group from the Styles panel menu, and then click Yes.
3For each style in the group, specify a replacement style or choose [None], and then click OK.
If you want to use the same replacement style for all styles, select Apply To All.
Ifyoucancelthereplacementofanystyle,thegroupisnotdeleted.YoucanrecoverdeletedstylesbychoosingEdit>
Undo Delete Styles.

INDESIGN CS3
User Guide
185
Move and reorder styles
By default, styles you create appear at the bottom of the style group or panel.
•To alphabetize all groups and styles within groups, choose Sort By Name from the Styles panel menu.
•To move a single style, drag it to a new location. A black line indicates where the style will be moved to; a
highlighted group folder indicates that the style will be added to that group.

186
Chapter 7: Combining text and objects
To enhance your design, try blending graphics and text by using anchored objects, text wrap, or type on a path.
Anchored objects
About anchored objects
Anchored objects are items, such as images or text boxes, that are attached—or anchored—to specific text. The
anchored object travels with the text containing the anchor as the text reflows. Use anchored objects for all objects
that you want associated with a particular line or block of text, for example, sidebars and callouts, figures, or icons
associated with a specific word.
You can create an anchored object by pasting or placing an object (or frame) into text using the Type tool or by using
theInsertAnchoredObjectcommand.Whenyouplacetheobject,AdobeInDesignCS3addsananchormarkerat
the insertion point. Anchored objects inherit the rotation and skew attributes of the text frame they’re anchored to—
even when the object is positioned outside of the text frame. You can select the object and change these attributes.
You can create anchored objects that use any of the following positions:
Inline Aligns the anchored object with the baseline of the insertion point. You can adjust the Y Offset to position the
object above or below the baseline. This is the default type of anchored object. In earlier versions of InDesign, these
objects were called inline graphics.
Above Line Places the anchored object above the line with the following choices of alignment: Left, Center, Right,
Towards Spine, Away From Spine, and (Text Alignment). Text Alignment is the alignment applied to the paragraph
that holds the anchor marker.
Custom Places the anchored object in the position that you define in the Anchored Object Options dialog box. You
can position the object anywhere inside or outside the text frame.
Note: Youcanuseinlineandabovelinepositionedobjectswithtypeonapath.(See“Addanchoredobjectstotypeona
path” on page 203.)
Sample document with anchored objects
A. Inline position B. Above line position (aligned left) C. Custom position (aligned to the edge of the text frame)
A
B
C

INDESIGN CS3
User Guide
187
For a video on working with anchored frames, see www.adobe.com/go/vid0073.
Create an anchored object
If an object isn’t available to place into the document (for example, sidebar text that is not written yet), you can create
an empty anchored frame as a placeholder for content you can add later. You can resize the anchored frame at
anytime and the position settings for the frame update automatically.
1Do one of the following:
•Toaddananchoredobject,usetheTypetooltopositionaninsertionpointwhereyouwanttheobject’sanchorto
appear, and then place or paste the object.
If the frame for the object is taller than the line of text in which it appears, text might overlap the imported image or
youmightseeincreasedspaceabovetheline.Considerselectingadifferentanchoredobjectposition,insertingasoft
or hard line break, resizing the inline object, or specifying a different leading value for the surrounding lines.
•To anchor an existing object, select it and choose Edit > Cut. Then, using the Type tool, position the insertion
point where you want the object to appear, and choose Edit >Paste. By default, the anchored object’s position is
inline.
•Toaddaplaceholderframeforanobjectthatisn’tavailable(forexample,textyouhaveyettowriteforasidebar),
use the Type tool to position the insertion point where you want the object’s anchor to appear; then choose
Object > Anchored Object > Insert.
You can anchor text characters by creating outlines of the text. Creating outlines automatically converts each
character of text to an inline anchored object.
2To position the object, select it with a selection tool and choose Object > Anchored Object > Options. Specify
options as desired.
To bypass the Anchored Object dialog box, use the Insert Anchored Object/Go To Anchor Marker keyboard shortcut.
You’ll need to designate keys for this shortcut in the Keyboard Shortcut Editor (it’s listed in the Text and Tables area).
Pressing the shortcut twice deselects the object and positions the cursor back in the main text. (See “Use keyboard
shortcut sets” on page 25.)
Inserted Anchored Objects options
When you insert a placeholder for an anchored object, you can specify the following options for the contents:
Content Specifies the type of object the placeholder frame will contain.
Note: If you choose Text, an insertion point appears in the text frame; if you choose Graphic or Unassigned, InDesign
selects the object frame.
Object Style Specifiesthestyleyouwanttousetoformattheobject.Ifyouhavedefinedandsavedobjectstyles,they
will appear in this menu.
Paragraph Style Specifies the paragraph style you want to use to format the object. If you have defined and saved
paragraph styles, they will appear in this menu.
Note: If the object style has a paragraph style enabled and you choose a different style from the Paragraph Style menu,
or if you make changes to the Anchored Position options for a style, a plus sign (+) appears in the Object Style menu
indicating that overrides have been made.
Height and Width Specify the dimensions of the placeholder frame.

INDESIGN CS3
User Guide
188
Inline and Above Line position options
When you choose Inline or Above Line from the Position menu in the Anchored Object Options dialog box, the
following options are available for setting the position of the anchored object. (You can also access these options in
the Insert Anchored Object dialog box.)
Inline Aligns the bottom of the anchored object to the baseline. Inline objects are subject to certain constraints when
moving along the y axis: the top of the object can’t go below the bottom leading slug and the bottom of the object
can’t go above the top of the leading slug.
Y Offset Adjusts the position on the baseline. You can also use the mouse to drag the object vertically on the page.
Above Line Aligns the object above the text line containing the anchor marker and below the line of text above the
anchor marker.
Alignment Choose from the following options:
•Left, Right, and Center Align the object within the text column. These options ignore indent values applied to the
paragraph and align the object within the entire column.
•Towards Spine and Away From Spine Align the object left or right depending on the side of the spread the object
is on. These options ignore indent values applied to the paragraph and align the object within the entire column.
•(Text Alignment) Aligns the object based on the alignment defined by the paragraph. This option uses the
paragraph indent values when aligning the object.
Space Before Specifies the position of the object relative to the bottom of the leading slug in the preceding line of
text. Positive values lower both the object and the text below it. Negative values move the text below the object up
toward the object. The maximum negative value is the height of the object.
Space After Specifies the position of the object relative to the cap-height of the first character in the line below the
object. A value of 0 aligns the bottom of the object to the cap-height position. Positive values move the text below
theobjectdown(awayfromthebottomoftheobject).Negativevaluesmovethetextbelowtheobjectup(towardthe
object).
Using the Space Before and Space After options
A. A Space Before value of 0P10 moves the object and it’s associated text further away from the text line above it. B. A Space After value of
0p10 moves the object and the text line above it further away from its associated text line (below).
Note: Anchored objects set to Above Line will always remain with the line that holds the anchor; the text won’t compose
such that the object is on the bottom of one page and the anchor marker’s line is at the top of the next page.
A
B

INDESIGN CS3
User Guide
189
Custom position options
You can use the following options when positioning a custom-positioned anchored object. You can specify these
options in the Insert Anchored Object dialog box or the Anchored Object Options dialog box. For step-by-step
instructions for using these options, see “Position a custom-positioned anchored object” on page 191.
Relative To Spine Specifies whether the object aligns relative to the document spine. When you select this option,
the Anchored Object Reference Point proxy displays as a two page spread. The two pages mirror each other. When
selected, objects positioned on one side of a spread, for instance the outside margin, remain on the outside margin
even when the text reflows to a facing page.
Using the Relative To Spine option
A. Relative To Spine not selected: the object remains on the left side of the text frame when text reflows across to the right side of the spread.
B. Relative To Spine selected: the object remains on the outside edge of the page when the text reflows to the right side of the spread.
Note: If,afteryouselectRelativeToSpineyouadjusttheXOffsetvalue,thedirectiontheobjectmovesmaychange.This
change occurs because the direction of movement depends partly on the side of the spread the object is on.
Anchored Object Reference Point Specifies the location on the object that you want to align to the location on
the page (as specified by the Anchored Position Reference Point). For example, if you want to align the right side of
the object with a page item, such as a text frame, click a rightmost point on this proxy. For more information on using
this reference point, see “Position a custom-positioned anchored object” on page 191.
Anchored Position Reference Point Specifies the location on the page (as defined by the X and Y Relative To
options), to which you want to align the object. For example, if you choose Text Frame for X Relative To and Line
(Baseline) for Y Relative To, this proxy represents the horizontal area of the text frame and the vertical area of the
text line containing the object’s anchor marker. If you click the leftmost point on this proxy, the object’s reference
point will align with the left edge of the text frame and the baseline of the text.
A
B

INDESIGN CS3
User Guide
190
Right side of object aligned with left side of text frame
Note: Depending on what you choose for X Relative To and Y Relative To, the Anchored Position Reference Point proxy
displays either three or nine positions. Line options, such as Line (Baseline) provide only three options—middle left,
center, and middle right—because the vertical positioning is established by the anchor marker in the text.
X Relative To Specifies what you want to use as the basis for horizontal alignment. For instance, Text Frame lets you
align the object to the left, center, or right side of the text frame. Where exactly it aligns horizontally depends on the
reference points you choose and any offset you specify for X Offset.
For example, if you want the object to appear in the page margin with its right edge flush with the page margin,
choose Page Margin for X Relative To and specify a rightmost point on the Anchored Object Reference Point proxy
and a leftmost point for the Anchored Position Reference Point proxy.
The X Relative To option
A. Aligning the right side of the object to the left side of the text frame B. Aligningtherightsideoftheobjecttotheleftsideofthepagemargin
X Offset Moves the object left or right. Whether it moves to the left or right depends on the reference point. If
aligning to the center of the page item, positive values move the object to the right. The direction of movement also
depends on whether you’ve selected Relative To Spine.
Y Relative To Specifies what the object aligns with vertically. For example, Page Edge lets you use the edge of the page
as the basis for aligning the object to the top, center, or bottom of the page. The Anchored Position Reference Point
specifies if the object aligns to the top, center, or bottom of this page item. If you choose a line option, such as Line
(Baseline), the Anchored Position Reference Point displays only the middle horizontal row of points.
A
B

INDESIGN CS3
User Guide
191
The Y Relative To option
A. Aligning the top of the object to the top page edge B. Aligning the bottom of the object to the bottom the page edge
Y Offset Moves the object up or down. Positive values move the object downward.
Keep Within Top/Bottom Column Boundaries Keeps the object inside the text column if reflowing text would
otherwise cause it to move outside of the boundaries. In such instances, the bottom of the object will align to the
bottom inset, or the top of the object will align to the top inset. For example, an anchored object off to the side of a
line of text and in the middle of a column looks fine; however, without this option selected, if the anchored marker
flows to the bottom of the column, the object may drop below the column edge or partially off the page. When this
option is selected, you can’t drag the object above or below the column boundaries. If you resize the object, it will
move back into alignment with the top or bottom boundaries of the column, if necessary. This option is only
available when you select a line option, such as Line (Baseline) for Y Relative To.
Note: When InDesign overrides the object’s position to fall within the bounds of the column, the Y offset value you specify
appears in the dialog box with a plus sign (+).
Prevent Manual Positioning Ensuresthatyoucan’tmovetheanchoredobjectbydraggingornudgingitonthepage.
Preview Displays the position adjustments on the page as you make them.
Position a custom-positioned anchored object
Note the following when using the Anchored Object Options dialog box to position custom-positioned anchored
objects.
•The custom position options include four main options: The two Reference Point proxies and the X and Y Relative
To menus. These options all work together to specify the object’s location. For instance, what you choose for X
Relative To and Y Relative To determines what the Anchored Position Reference Point represents—it could be a
text frame, a text line within a column, or an entire page. The following image represents how you can change the
location of the object by choosing a different reference point while leaving the X and Y Relative To options
unchanged.
A B

INDESIGN CS3
User Guide
192
Changing the location of the anchored object (X Relative To set to Text Frame; Y Relative To set to Line (Baseline))
A. Choosing the lower right point on the Anchored Object proxy and left center point on Anchored Position proxy. B. Changing Anchored
Object proxy point to upper left corner and leaving the Anchored Position proxy point at center left C. Leaving the Anchored Object proxy at
top left and changing Anchored Position proxy point to center right
•To create an anchored object that maintains its position on the page (such as the top left corner) as text reflows
and moves only when the text reflows to another page, anchor the object to the page margins or page edges. For
example, set both X Relative To and Y Relative To to Page Margin, click the top left reference point for the
object and the top left reference point for the page item . As the text reflows, the object remains in the top
left corner, within the page margins. Only when the text line containing the anchor flows to another page does the
object move—to the top left corner of the next page.
Positioning anchored object to a specific location on the page
A. Position object using use Page Margin or Page Edge for X and Y Relative To B. When text reflows, object does not follow text until text
moves to another page.
•To keep the object aligned with a specific line of text so that the object stays with that text when it reflows, choose
a Line option from the Y Relative To menu.
A
B
C
A
B
45
45

INDESIGN CS3
User Guide
193
•To keep the object within the text frame, but not with a specific line of text when text reflows, choose Text Frame
from the X Relative To menu.
•To align the object relative to the margin (for example, to create a sidebar that stays in the outside margin as the
text reflows from page to page), select Relative To Spine.
1Select the object and choose Object > Anchored Object > Options.
2From the Position menu, choose Custom.
To see the object move on the page as you specify options, select Preview at the bottom of the dialog box.
3To keep the object on the same side of the page, relative to the document spine, select Relative To Spine. For
example, select this if you want the object to always appear in the outside margin, no matter what side of the spread
it is on.
4Click the point on the Anchored Object Reference Point proxy that represents the point on the object that you
want to align to the page.
5FromtheXRelativeTomenu,choosethepageitemthatyouwanttouseasthehorizontalbasisforalignmentof
the object. For example, choose Text Frame to align the object to left, right, or center of the text frame.
6FromtheYRelativeTomenu,choosethepageitemthatyouwanttouseastheverticalbasisforalignmentofthe
object. For example, if you want the object to align to the baseline of the text to which its anchored, choose Line
(Baseline).
7Click the point on the Anchored Position Reference Point proxy that represents where within the page items
chosen from the X and Y Relative To menus that you want to align the object.
8Specify an X Offset or Y Offset to nudge or move the object away from the alignment point.
9To ensure that the object does not extend below or above a column edge as text reflows, select Keep within
Top/Bottom Column Boundaries. This option is only available when you select a line option, such as Line (Baseline),
from the Y Relative To menu.
10 Click OK.
Selecting and copying anchored objects
UsingtheSelectiontool,youcanselectonlyoneanchoredobjectatatime.UsingtheTypetool,youcanselectarange
of text with multiple anchored object markers. When you select multiple anchor markers with the Type tool, you can
change the position options for all the anchored objects at once.
Note: Ifyouhavemorethanoneanchoredobjectinthesameposition—forexample,ifonelineoftypeholdsthemarkers
for two anchored objects with the same anchoring attributes—the objects will overlap each other.
When you copy text containing an anchored object marker, you copy the anchored object as well. If you copy an
anchored object and paste it outside of text, the anchored object becomes an independent image that is not linked to text.
View anchored object markers on the page
To view anchors and their relationship to the text on the page, you can display object markers. Use any of the
following methods:
•To view the anchor markers in the text, choose Type > Show Hidden Characters.

INDESIGN CS3
User Guide
194
•To view a dashed line from an anchor marker to its associated custom-positioned object, select the object and
choose View > Show Text Threads. The thread extends from the anchor marker to the current proxy point for the
anchored object.
•To view anchor symbols on anchored objects, choose View > Show Frame Edges. Viewing anchor symbols is
helpful when determining which objects are anchored.
Reposition an anchored object on the page manually
Moving a frame moves its anchored objects, unless the object is positioned relative to margins or pages.
Note: Before moving an anchored object, make sure that you deselect the Prevent Manual Positioning option for the
object in the Anchored Objects dialog box or choose Object > Unlock Position.
❖Do one of the following:
•To move inline anchored objects, use the Selection tool or Direct Selection tool to select the object, and then
drag vertically. You can move inline objects vertically only, not horizontally.
If you want to move an inline or above line object outside of the text frame, convert it to a custom-positioned object
and then move it as desired.
•To move an inline anchored object parallel to the baseline, place the insertion point before or after the object and
specify a new value for kerning.
If you want to move an inline or above line object outside of the text frame, convert it to a custom-positioned object
and then move it as desired.
•To move custom-positioned anchored objects, use the Selection tool or Direct Selection tool to select the
object, and then drag vertically or horizontally.
You can also rotate and transform an anchored object. (See “Transform objects” on page 368 and “Rotate objects”
on page 370.)
Resize an anchored object
Before resizing an anchored object, make sure that you deselect the Prevent Manual Repositioning option in the
Anchored Objects dialog box.
❖UsetheSelectiontool orDirectSelectiontool toselecttheobject,andthendragthesideorcornerhandle.
Note: Vertically resizing inline or above line anchor markers might result in the object becoming overset. If the anchor
marker is overset, the object will be overset as well.
Resizing an anchored object might also reposition the object. For example, if you’ve aligned the right side of an object
to the left side of the text frame, and then you drag the object’s right side handle 1 pica to the left (away from the text
frame boundary), the object will resize and then move back 1 pica to the right.
Release an anchored object
If you no longer want an object to move relative to its associated text, you can release it to remove its anchor.
❖Select the anchored object with a selection tool, and choose Object > Anchored Object > Release.
The object’s position on the page doesn’t move.

INDESIGN CS3
User Guide
195
Wrapping text around objects
Wrap text around objects
You can wrap text around any object, including text frames, imported images, and objects you draw in InDesign.
Whenyouapplyatextwraptoanobject,InDesigncreatesaboundaryaroundtheobjectthatrepelstext.Theobject
that text wraps around is called the wrap object. Keep in mind that text wrap options apply to the object being
wrapped, not the text itself. Any change to the wrap boundary will remain if you move the wrap object near a
different text frame.
For a video on using text wrap, see www.adobe.com/go/vid0079.
See also
“Create a compound path” on page 322
Wrap text around simple objects
1To display the Text Wrap panel, choose Window > Text Wrap.
2Using the Selection tool or Direct Selection tool , select the object you want to wrap text around.
3In the Text Wrap panel, click the desired wrap shape:
Wrap Around Bounding Box Creates a rectangular wrap whose width and height are determined by the bounding
box of the selected object.
Wrap Around Object Shape Also known as contour wrapping,createsatextwrapboundarythatisthesameshape
as the frame you’ve selected (plus or minus any offset distances you specify).
Wrap Around Bounding Box setting (left) compared to Wrap Around Object Shape setting (right)
Jump Object Keeps text from appearing in any available space to the right or left of the frame.
Jump To Next Column Forces the surrounding paragraph to the top of the next column or text frame.
4 From the Wrap To menu, specify whether the wrap is applied to a specific side (such as the right side or largest
area) or towards or away from the spine. (If you don’t see the Wrap To menu, choose Show Options from the Text
Wrap panel menu.)
This option is available only if you selected Wrap Around Bounding Box or Wrap Around Object Shape.

INDESIGN CS3
User Guide
196
Wrap To options
A. Both right and left sides B. Towards spine C. Away from spine
5Specify offset values. Positive values move the wrap away from the frame; negative values move the wrap within
the frame.
If you can’t get the text to wrap around an image, make sure that Ignore Text Wrap isn’t selected for the text frame
that doesn’t wrap. Also, if Text Wrap Only Affects Text Beneath is selected in Composition preferences, make sure
that the text frame is beneath the wrap object.
Text frames inside a group aren’t affected by a text wrap you apply to the group.
To set default text wrap options for all new objects, deselect all objects and then specify text wrap settings.
Wrap text around imported images
To wrap text around an imported image, save the clipping path in the application where you created the image, if
possible. When you place the image in InDesign, select the Apply Photoshop Clipping Path option in the Image
Import Options dialog box.
1To display the Text Wrap panel, choose Window > Text Wrap.
2Select an imported image, and in the Text Wrap panel, click Wrap Around Object Shape .
3Specify offset values. Positive values move the wrap away from the frame; negative values move the wrap within
the frame.
4Choose Show Options from the Text Wrap panel menu to display additional options.
5From the Type menu, choose a contour option:
Bounding Box Wraps text to the rectangle formed by the image’s height and width.
Detect Edges Generates the boundary using automatic edge detection. (To adjust edge detection, select the object
and choose Object > Clipping Path > Options.)
Alpha Channel Generates the boundary from an alpha channel saved with the image. If this option isn’t available, no
alpha channels were saved with the image. InDesign recognizes the default transparency in Adobe Photoshop (the
A
B
C

INDESIGN CS3
User Guide
197
checkerboard pattern) as an alpha channel; you must otherwise use Photoshop to delete the background or create
and save one or more alpha channels with the image.
Photoshop Path Generates the boundary from a path saved with the image. Choose Photoshop Path, and then
choose a path from the Path menu. If the Photoshop Path option isn’t available, no named paths were saved with the
image.
Graphic Frame Generates the boundary from the container frame.
Same as Clipping Generates the boundary from the imported image’s clipping path.
6To let text appear inside “holes” of an image, such as the inside of a tire image, select Include Inside Edges.
Include Inside Edges off (left) and on (right)
Create an inverted text wrap
1Using the Selection tool or Direct Selection tool , select an object, such as a compound path, that will allow
text to wrap inside it.
2To display the Text Wrap panel, choose Window > Text Wrap.
3
Apply a text wrap to an object, and select the Invert option. Invert is commonly used with the Object Shape text wrap.
Object Shape text wrap (left) and with Invert option selected (right)
Change the shape of a text wrap
1Using the Direct Selection tool , select an object that has a text wrap applied to it. If the text wrap boundary is
the same shape as the object, the boundary is superimposed on the object.
2Do any of the following:
•To uniformly change the distance between the text and wrap object, specify offset values in the Text Wrap panel.
•To edit the text wrap boundary, use the Pen tool and Direction Selection tool.

INDESIGN CS3
User Guide
198
Editing text wrap boundary
If you manually change the shape of a text wrap path, User-Modified Path is selected in the Type menu and remains
dimmed in the menu. This indicates that the path of the shape has changed.
If you want to use the original clipping path rather than the edited text wrap boundary, choose Same As Clipping
from the Type menu in the Text Wrap panel.
Apply text wrap on master page items
If the Apply To Master Page Only option is selected, you must override a master page item on a document page to
wraptextaroundit.Ifthisoptionisdeselected,textonbothmasterpagesanddocumentpagescanwraparoundthe
master page items without the master page items being overridden.
1Select the object on the master page.
2From the Text Wrap panel menu, select or deselect Apply To Master Page Only.
This option is available only when an object on a master page is selected and has a wrap applied to it.
See also
“Masters” on page 62
Wrapping text around anchored objects
If you apply text wrap to an anchored object, the wrap affects only lines of text in the story that hold the anchor
marker and lines that come after the marker. The paragraph containing the object is set to Single-line Composer.
You can also apply text wrap to inline anchored objects. However, the wrap doesn’t apply to any text lines preceding
the object. (Inline anchored objects in table cells don’t support text wrap.) When you paste an object as an inline
object, its text wrap boundaries are preserved.
Suppress text wrap on hidden layers
When you hide a layer that contains a wrap object, the text frames on other layers wrap around the object, unless you
select the Suppress Text Wrap When Layer Is Hidden option in the Layer Options dialog box. If this option is
selected, hiding a layer can cause text on other layers to be recomposed.
1In the Layers panel, double-click the layer that contains the wrap object.
2Select Suppress Text Wrap When Layer Is Hidden.

INDESIGN CS3
User Guide
199
Justify text next to wrap objects
When you specify how text is justified next to wrap objects, the change applies to the entire document.
1Choose Edit > Preferences > Composition (Windows) or InDesign > Preferences > Composition (Mac OS).
2Select one of the following options, and click OK:
Justify Text Next To An Object Justifies text next to wrap objects that separate a column of text.
Skip By Leading Moves wrapped text to the next available leading increment below a text-wrapped object. If this
option isn’t selected, lines of text may jump below an object in a way that prevents text from lining up with text in
neighboring columns or text frames.
Select Text Wrap Only Affects Text Beneath Text stacked above the wrapped object isn’t affected by the text wrap.
Stacking order is determined by layer position in the Layers panel and by the stacking order of objects on a layer.
Ignore text wrap in a text frame
In some cases, you’ll want to turn off text wrap in a text frame. For example, you may want one text frame to wrap
around an image, but you may want a different text frame to appear within the image.
1Select the text frame, and choose Object > Text Frame Options.
2Select Ignore Text Wrap, and click OK.
Creating type on a path
Create type on a path
You can format text to flow along the edge of an open or closed path of any shape. Apply options and effects to type
on a path: Slide it along the path, flip it over to the other side of the path, or use the shape of the path to distort the
characters. Type on a path has an in port and an out port just like other text frames, so you can thread text to and
from it.
You can include only one line of type on a path, so any type that won’t fit on the path will be overset (hidden), unless
you’ve threaded it to another path or text frame. You can add inline or above line anchored objects to type on a path.
You can’t create type on a path using compound paths, such as those that result from using the Create Outlines
command.
Type on a path
A. Start bracket B. In port C. Center bracket D. End bracket E. Out port indicating threaded text
1Select the Type On A Path tool . (Click and hold the Type tool to display a menu containing the Type On A
Path tool.)
E
A
D
C
B

INDESIGN CS3
User Guide
200
2Position the pointer on the path until a small plus sign appears next to the pointer , and then follow these steps:
•To type using default settings, click the path. An insertion point appears at the start of the path by default. If the
current default paragraph settings specify an indent, or any alignment other than left, the insertion point may
appear somewhere other than at the start of the path.
•To confine the text to a specific portion of the path, click the path where you would like the text to start, and drag
along the path to where you want the text to end, then release the mouse. (For information about changing the
start and end position of text, see “Adjust the type on a path position” on page 201.)
Changing location of type on path
Note: If neither clicking nor dragging seems to work, make sure that the small plus sign appears next to the Type On A
Path tool.
3Type the text you want. If you clicked to place the insertion point on the path, type will appear along the entire
length of the path. If you dragged, type will appear only along the length you dragged.
Note: If the path was originally visible, it remains visible after you add type to it. To hide the path, select it with the
Selection or Direct Selection tool, and then apply a fill and stroke of None.
Edit or delete type on a path
You can apply character and paragraph options to type on a path. However, paragraph rules and paragraph spacing
options have no effect on type on a path. The alignment setting in the Paragraph panel controls the alignment of type
on a path.
Edit and format path-type characters
1Using the Type On A Path tool, do one of the following:
•To add an insertion point, click between any two characters in the type on a path.
•To select characters, drag through the type on a path.
2Edit and format the text as needed.
Delete type from a path
1Using the Selection tool or Direct Selection tool , select one or more type-on-a-path objects.
2Choose Type > Type on a Path > Delete Type From Path.
If the path text is threaded, type moves to the next threaded text frame or type-on-a-path object. If the path text isn’t
threaded, text is deleted. The path remains, but loses any type-on-a-path attributes—all brackets, in and out ports,
and threading properties are removed.
Note: If the path’s fill and stroke are set to None, the path is invisible after you delete the type. To make the path visible,
press the D key immediately after you choose Type > Type on a Path > Delete Type From Path. This applies the default
fill and stroke to the selected path.

INDESIGN CS3
User Guide
201
Tighten character spacing around sharp turns and acute angles
1Using the Selection tool or the Type tool, select the type on a path.
2Choose Type > Type on a Path > Options, or double-click the Type On A Path tool.
3For Spacing, type a value in points. Higher values remove the extra space from between characters positioned on
sharp curves or angles.
Type on a path before (left) and after (right) applying spacing adjustment
Note: The Spacing value compensates for the way characters fan out around a curve or sharp angle. It has no effect on
characters positioned on straight segments. To change spacing of characters anywhere along the path, select them, and
then apply kerning or tracking.
Adjust the type on a path position
You can change the start or end position of type on a path, slide type, and change the path position in other ways.
Change the start or end position of type on a path
1Using the Selection tool , select the type on a path.
2Position the pointer over the path type’s start or end bracket until a small icon appears next to the pointer . Do
not position it over the bracket’s in port or out port.
Zoom in on the path to more easily select the bracket.
3Drag the start or end bracket along the path.
Position the pointer on start or end bracket, and then drag to reposition boundary of type on a path.
Note: If you apply a paragraph indent value, it’s measured from the start and end brackets.
Slide type along a path
1Using the Selection tool , select the type on a path.

INDESIGN CS3
User Guide
202
2Position the pointer over the path type’s center bracket until a center bracket icon appears next to the pointer .
Zoom in on the path to more easily select the bracket.
3Drag the center bracket along the path.
Note: Thetextwon’tmoveifboththestartandendbracketsareattheendsofthepath.Tocreatesomespacefordragging
text, drag the start or end bracket away from the ends of the path.
Flip type on a path
1Click the Selection tool .
2Position the pointer over the type’s center bracket until a center bracket icon appears next to the pointer .
3Drag the center bracket across the path.
Position pointer on center bracket, and then drag across path to flip type.
You can also flip type on a path using a dialog box. Using the Selection tool or the Type tool, select the type on a path.
Choose Type > Type on a Path > Options. Select the Flip option, and then click OK.
Apply an effect to type on a path
1Using the Selection tool or the Type tool, select the type on a path.
2Choose Type > Type on a Path > Options, or double-click the Type On A Path tool.
3Choose one of the following in the Effect menu, and then click OK:
•To keep the center of each character’s baseline parallel to the path’s tangent, choose Rainbow. This is the default
setting.

INDESIGN CS3
User Guide
203
Type on a path effects
A. Rainbow effect B. Skew effect C. 3D Ribbon effect D. Stair Step effect E. Gravity effect
•To keep characters’ vertical edges perfectly vertical regardless of the path shape, while letting characters’
horizontal edges follow the path, choose Skew. The resulting horizontal distortion is useful for text that appears
to follow waves or go around a cylinder, as on a beverage can label.
•To keep characters’ horizontal edges perfectly horizontal regardless of the path shape, while keeping each
character’s vertical edge perpendicular to the path, choose 3D Ribbon.
•To keep the left edge of each character’s baseline on the path without rotating any characters, choose Stair Step.
•To keep the center of each character’s baseline on the path while keeping each vertical edge in line with the path’s
center point, choose Gravity. You can control this option’s perspective effect by adjusting the arc of the text’s path.
Add anchored objects to type on a path
1Using the Type tool or the Type On A Path tool, click an insertion point in the text where you want the anchor for
the object to appear.
2Add the anchored object. You can add inline or above line anchored objects or frames to the path. (See “Anchored
objects” on page 186.)
Note: Theoptionsavailableforabovelineanchoredobjectsinatextpathdifferslightlyfromoptionsforanchoredobjects
in a regular text frame: the Alignment option is relative to the anchored object marker and the Space Before option is
not available.
A
B
C
D
E

204
Chapter 8: Typography
Typography gives visual form to language. Adobe InDesign CS3 gives you the tools you need to set type that suits
your content. The fonts you choose and the settings you select for leading and kerning are examples of decisions you
can make about the appearance of the text in your document.
Formatting text
Format text
Use the Control panel to change the appearance of text. When text is selected or when the insertion point is placed
in text, the Control panel displays either the character formatting controls or the paragraph formatting controls, or
a combination of both, depending on your monitor resolution. These same text formatting controls appear in the
Character panel and Paragraph panel.
Note the following methods of formatting text:
•To format characters, you can use the Type tool to select characters, or you can click to place the insertion
point, select a formatting option, and then begin typing.
•To format paragraphs, you don’t need to select an entire paragraph—selecting any word or character, or placing
the insertion point in a paragraph will do. You can also select text in a range of paragraphs.
•To set the formatting for all future text frames that you’ll create in the current document, make sure that the
insertion point is not active and that nothing is selected, and then specify text formatting options.
•Select a frame to apply formatting to all text inside it. The frame cannot be part of a thread.
•Use paragraph styles and character styles to format text quickly and consistently.
For a video on working with text, see www.adobe.com/go/vid0075.
1Select the Type tool .
2Click to place an insertion point, or select the text that you want to format.
3In the Control panel, click the Character Formatting Control icon or the Paragraph Formatting Control
icon .
Control panel
A. Character formatting controls B. Paragraph formatting controls
4Specify formatting options.
See also
“Control panel overview” on page 22
A
B

INDESIGN CS3
User Guide
205
Copy type attributes (Eyedropper)
You can use the Eyedropper tool to copy type attributes such as character, paragraph, fill, and stroke settings, and
then apply those attributes to other type. By default, the Eyedropper tool copies all type attributes. To customize the
attributes you want to copy with the Eyedropper tool, use the Eyedropper Options dialog box.
Copy type attributes to unselected text
1With the Eyedropper tool , click the text that is formatted with the attributes you want to copy. (The text can
be in another open InDesign document.) The eyedropper pointer reverses direction, and appears full , to indicate
that it’s loaded with the attributes you copied. When you position the eyedropper pointer over text, an I-beam
appears next to the loaded eyedropper .
2With the Eyedropper tool, select the text you want to change.
Theselectedtexttakesontheattributesloadedintheeyedropper.AslongastheEyedroppertoolisselected,youcan
continue to select text to apply formatting.
3To deselect the Eyedropper tool, click another tool.
To clear the formatting attributes currently held by the eyedropper tool, press Alt (Windows) or Option (Mac OS)
while the Eyedropper tool is loaded. The Eyedropper tool reverses direction and appears empty , to indicate that
it’s ready to pick up new attributes. Click an object containing the attributes you want to copy, and then drop the new
attributes on another object.
The eyedropper is clicked on formatted text to copy its formatting (left), and then dragged across unformatted text (middle) to apply that
formatting (right).
If you use the Eyedropper tool to copy a paragraph style from text in one document to text in another, and the
paragraph style has the same name but different sets of attributes, any style differences will appear as local overrides
to the destination style.
Copy type attributes to selected text
1With the Type tool or Path Type tool , select the text to which you want to copy attributes.
2Using the Eyedropper tool , click the text from which you want to copy attributes. (The text from which you
want to copy attributes must be in the same InDesign document as the text you want to change.) The Eyedropper
tool reverses direction and appears full , to indicate that it’s loaded with the attributes you copied. The attributes
are applied to the text you selected in step 1.
EDMUND : Some
good guard,
Until their greater
p
at are to censure
CORDELIA: We
a
Who, with best me
a
worst.
EDMUND : Some
o
good guard,
Until their greater
p
at are to censure
CORDELIA: We
a
Who, with best me
a
worst.
EDMUND : So
m
away: good guard,
Until their greater
p
at are to censure
CORDELIA: We
a
Who, with best me
a
worst.

INDESIGN CS3
User Guide
206
Type attributes copied to selected text
Change which text attributes the Eyedropper tool copies
1In the toolbox, double-click the Eyedropper tool.
2Choose Character Settings or Paragraph Settings in the Eyedropper Options dialog box.
3Select the attributes you want to copy with the Eyedropper tool, and then click OK.
To copy or apply paragraph attributes only without having to change settings in the Eyedropper Options dialog box,
hold down Shift as you click text with the Eyedropper tool.
Using fonts
About fonts
Afont is a complete set of characters—letters, numbers, and symbols—that share a common weight, width, and style,
such as 10-pt Adobe Garamond Bold.
Typefaces (often called type families or font families) are collections of fonts that share an overall appearance, and are
designed to be used together, such as Adobe Garamond.
Atype style is a variant version of an individual font in a font family. Typically, the Roman or Plain (the actual name
varies from family to family) member of a font family is the base font, which may include type styles such as regular,
bold, semibold, italic, and bold italic.
In addition to the fonts installed on your system, you can also use the fonts installed in these folders:
Windows Program Files/Common Files/Adobe/Fonts
Mac OSLibrary/Application Support/Adobe/Fonts
If you install a Type 1, TrueType, OpenType, or CID font into the local Fonts folder, the font appears in Adobe appli-
cations only.
Installing fonts
You can make fonts available in InDesign by copying the font files into the Fonts folder inside the Adobe® InDesign®
CS3 folder on your hard drive. However, fonts in this Fonts folder are available only to InDesign.
For information on installing and activating fonts to be used in all applications, see your system documentation or
your font manager documentation.
EDMUND : Some oc
e
away: good guard, Unti
l
p
leasures rst be know
n
censure them.
CORDELIA: We are n
o
Who, with best meaning,
h
the worst.
EDMUND : Some oc
e
away: good guard, Unti
l
p
leasures rst be know
n
censure them.
CORDELIA: We are no
t
Who, with best meaning,
h
the worst.

INDESIGN CS3
User Guide
207
If two or more fonts are active in InDesign and use the same family name but have different Adobe PostScript names,
the fonts are available in InDesign. Duplicate fonts are listed in the menus with their font technologies abbreviated
in parentheses. For example, a Helvetica TrueType font appears as “Helvetica (TT),” a Helvetica PostScript Type 1
font appears as “Helvetica (T1),” and a Helvetica OpenType font appears as “Helvetica (OTF).” If two fonts have the
same PostScript name and one includes .dfont in its name, the other font is used.
Apply a font to text
When you specify a font, you can select the font family and its type style independently. When you change from one
font family to another, InDesign attempts to match the current style with the style available in the new font family.
For example, Arial Bold would change to Times Bold when you change from Arial to Times.
When you apply a bold or italic style to type, InDesign applies the typeface style specified by the font. In most cases,
the specific version of bold or italic are applied as expected. However, some fonts may apply a bold or italic variation
that isn’t exactly labeled bold or italic, respectively. For example, some font designers specify that when you apply
bold to a font, the semibold variation is applied.
1Select the text you want to change.
2Do any of the following:
•In the Character panel or Control panel, select a font in the Font Family menu or a style in the Type Style menu.
(In Mac OS, you can select type styles in the Font Family submenus.)
•In the Character panel or Control panel, click in front of the font family name or type style name (or double-click
its first word) and type in the first few characters of the name you want. As you type, InDesign displays font family
or type style names that match the characters you’ve typed.
•Choose a font in the Type > Font menu. Note that you choose both a font family and a type style when you use
this menu.
Specify a typeface size
By default, typeface size is measured in points (a point equals 1/72 of an inch). You can specify any typeface size from
0.1 to 1296 points, in 0.001-point increments.
1Select the characters or type objects you want to change. If you don’t select any text, the typeface size applies to
new text you create.
2Do one of the following:
•In the Character panel or Control bar set the Font Size option.
•Choose a size from the Type > Size menu. Choosing Other lets you type a new size in the Character panel.
You can change the unit of measurement for type in the Preferences dialog box.
Previewing fonts
You can view samples of a font in the font family and font style menus in the Character panel and other areas in the
application from where you can choose fonts. The following icons are used to indicate different kinds of fonts:
•OpenType
•Type 1
•TrueType

INDESIGN CS3
User Guide
208
•Multiple Master
•Composite
You can turn off the preview feature or change the point size of the font names or font samples in Type preferences.
OpenType fonts
OpenType fonts use a single font file for both Windows® and Macintosh® computers, so you can move files from one
platform to another without worrying about font substitution and other problems that cause text to reflow. They may
include a number of features, such as swashes and discretionary ligatures, that aren’t available in current PostScript
and TrueType fonts.
OpenType fonts display the icon.
When working with an OpenType font, you can automatically substitute alternate glyphs, such as ligatures, small
capitals, fractions, and old style proportional figures, in your text.
Regular (left) and OpenType (right) fonts
A. Ordinals B. Discretionary ligatures C. Swashes
OpenType fonts may include an expanded character set and layout features to provide richer linguistic support and
advanced typographic control. OpenType fonts from Adobe that include support for central European (CE)
languages include the word “Pro,” as part of the font name in application font menus. OpenType fonts that don’t
contain central European language support are labeled “Standard,” and have an “Std” suffix. All OpenType fonts can
also be installed and used alongside PostScript Type 1 and TrueType fonts.
For more information on OpenType fonts, see www.adobe.com/go/opentype.
Installing OpenType fonts
InDesign includes fonts from various OpenType families, including Adobe Garamond Pro, Adobe Caslon Pro,
Trajan Pro, Caflisch Script Pro, Myriad Pro, Lithos, and Adobe Jenson Pro.
OpenType fonts are installed automatically when you install InDesign or Adobe Creative Suite 3. Additional
OpenType fonts are located in the Adobe Fonts folder in the Goodies folder on the application DVD. For information
on installing and using OpenType fonts, browse the application DVD or see the Adobe website.
Apply OpenType font attributes
Use the Character panel or Control panel to apply OpenType font attributes, such as fractions and swashes to text.
A
B
C

INDESIGN CS3
User Guide
209
See also
“Insert glyphs and special characters” on page 148
“OpenType fonts” on page 208
Apply OpenType font attributes
1Select text.
2In the Character panel or Control panel, make sure that an OpenType font is selected.
3Choose OpenType from the Character panel menu, and then select an OpenType attribute, such as Discretionary
Ligatures or Fractions.
Features not supported in the current font appear in square brackets, such as [Swash].
You can also select OpenType font attributes when defining a paragraph or character style. Use the OpenType
Features section of the Style Options dialog box.
OpenType font attributes
When you use an OpenType font, you can select specific OpenType features from the Control panel or Character
panel menu when formatting text or when defining styles.
Note: OpenType fonts vary greatly in the number of type styles and kinds of features they offer. If an OpenType feature
is unavailable, it’s surrounded in square brackets (such as [Swash]) in the Control panel menu.
Discretionary Ligatures Font designers may include optional ligatures that shouldn’t be turned on in all circum-
stances. Selecting this option allows these additional optional ligatures to be used, if they are present. For more infor-
mation on ligatures, see “Apply ligatures to letter pairs” on page 217.
Fractions Numbers separated by a slash (such as 1/2) are converted to a fraction character, when fractions are
available.
Ordinal Ordinal numbers such as 1st and 2nd are formatted with superscript letters (1st and 2nd) when ordinals are
available.Letterssuchasthesuperscriptaand oin the Spanish words segunda (2a)andsegundo (2o) are also typeset
properly.
Swash When available, regular and contextual swashes, which may include alternate caps and end-of-word alterna-
tives, are provided.
Titling Alternatives When available, characters used for uppercase titles are activated. In some fonts, selecting this
option for text formatted in both uppercase and lowercase letters can yield undesired effects.
Contextual Alternatives When available, contextual ligatures and connecting alternates are activated. Alternate
characters are included in some script typefaces to provide better joining behavior. For example, the letter pair “bl”
in the word “bloom” can be joined so that it looks more like handwriting. This option is selected by default.
All Small Caps For fonts that include real small caps, selecting this option turns characters into small caps. For more
information, see “Change the case of type” on page 219.
Slashed Zero Selecting this options displays the number 0with a diagonal slash through it. In some fonts (especially
condensed fonts), it can be difficult to distinguish between the number 0 and the capital letter O.
Stylistic Sets Some OpenType fonts include alternate glyph sets designed for esthetic effect. A stylistic set is a group
of glyph alternates that can be applied one character at a time or to a range of text. If you select a different stylistic
set, the glyphs defined in the set are used instead of the font’s default glyphs. If a glyph character in a stylistic sets is
used in conjunction with another OpenType setting, the glyph from the individual setting overrides the character set
glyph. You can see the glyphs for each set using the Glyphs panel.

INDESIGN CS3
User Guide
210
Positional Forms In some cursive scripts and in languages such as Arabic, what a character looks like can depend on
its position inside a word. The character may change form when it appears at the start (initial position), middle
(medial position), or end (final position) of a word, and it may change form as well when it appears alone (isolated
position). Select a character and choose a Positional Forms option to format it correctly. The General Form option
inserts the common character; the Automatic Form option inserts a form of the character according to where the
character is located in the word and whether the character appears in isolation.
Superscript/Superior & Subscript/Inferior Some OpenType fonts include raised or lowered glyphs that are sized
correctly relative to the surrounding characters. If an OpenType font doesn’t include these glyphs for non-standard
fractions, consider using the Numerator and Denominator attributes.
Numerator & Denominator Some OpenType fonts convert only basic fractions (such as 1/2 or 1/4) to fraction glyphs,
not non-standard fractions (such as 4/13 or 99/100). Apply Numerator and Denominator attributes to these non-
standard fractions in such cases.
Tabular Lining Same widths are provided for full-height figures. This option is appropriate in situations where
numbers need to line up from one line to the next, as in tables.
Proportional Oldstyle Varying-height figures with varying widths are provided. This option is recommended for a
classic, sophisticated look in text that doesn’t use all caps.
Proportional Lining Full-height figures with varying widths are provided. This option is recommended for text that
uses all caps.
Tabular Oldstyle Varying-height figures with fixed, equal widths are provided. This option is recommended when
you want the classic appearance of old-style figures, but you need them to align in columns, as in an annual report.
Default Figure Style Figure glyphs use the default figure style of the current font.
Work with missing fonts
When you open or place documents that include fonts not installed on your system, an alert message appears,
indicating which fonts are missing. If you select text that uses a missing font, the Character panel or Control panel
indicates that this font is missing by displaying it in brackets in the font style pop-up menu.
InDesignsubstitutesmissingfontswithanavailablefont.Whenthishappens,youcanselectthetextandapplyany
other available font. Missing fonts for which others have been substituted will appear at the top of the Type > Font
menu in a section marked “Missing Fonts.” By default, text formatted with missing fonts appears in pink
highlighting.
If a TrueType font is installed and the document contains a Type 1 (T1) version of the same font, the font is displayed
as missing.
You can choose Type > Find Font to find and change missing fonts. If a missing font is part of a style, you can update
the font in that style by changing its style definition.
See also
“Find and change fonts” on page 145
“Installing fonts” on page 206
Make missing fonts available
❖Do any of the following:
•Install the missing fonts on your system.

INDESIGN CS3
User Guide
211
•Place the missing fonts in the Fonts folder, which is located in the InDesign application folder. Fonts in this folder
are available only to InDesign. For Mac OS, fonts can be installed to the Library\Application
Support\Adobe\Fonts folder. Fonts installed here can be used only by Adobe products.
•Activate the missing fonts using a font-management application.
If you don’t have access to the missing fonts, use the Find Font command to search for and replace missing fonts.
Highlight substituted fonts in your document
If the Select Substituted Fonts preferences option is selected, text formatted with missing fonts appears in pink
highlighting so that you can easily identify text formatted with a missing font.
1Choose Edit > Preferences > Composition (Windows®) or InDesign > Preferences > Composition (Mac OS®).
2Select Substituted Fonts, and then click OK.
Multiple master fonts
Multiplemaster fonts are customizable Type 1 fonts whose typeface characteristics are described in terms of variable
design axes, such as weight, width, style, and optical size.
Some multiple master fonts include an optical size axis, which lets you use a font specifically designed for optimal
readabilityataparticularsize.Generally,theopticalsizeforasmallerfont,suchas10point,isdesignedwithheavier
serifs and stems, wider characters, less contrast between thick and thin lines, taller x height, and looser spacing
between letters than the optical size for a larger font, such as 72 point.
1Choose Edit > Preferences > Type (Windows) or InDesign > Preferences > Type (Mac OS).
2Select Automatically Use Correct Optical Size, and click OK.
Leading
About leading
The vertical space between lines of type is called leading. Leading is measured from the baseline of one line of text
to the baseline of the line above it. Baseline is the invisible line on which most letters—that is, those without
descenders—sit.
The default auto-leading option sets the leading at 120% of the type size (for example, 12-point leading for 10-point
type). When auto-leading is in use, InDesign displays the leading value in parentheses in the Leading menu of the
Character panel.

INDESIGN CS3
User Guide
212
Leading
A. Leading B. Text height C. Larger text size of one word increases leading for that one line.
Change leading
By default, leading is a character attribute, which means that you can apply more than one leading value within the
same paragraph. The largest leading value in a line of type determines the leading for that line. However, you can
select a preferences option so that leading applies to the entire paragraph, instead of to text within a paragraph. This
setting does not affect the leading in existing frames.
Change leading of selected text
1Select the text you want to change.
2Do any of the following:
•In the Character panel or Control panel, choose the leading you want from the Leading menu .
•Select the existing leading value and type a new value.
•While creating a paragraph style, change the leading using the Basic Character Formats panel.
You can also adjust vertical space by aligning text to the baseline grid. When baseline grid is set, the baseline grid
setting takes precedence over the leading value.
Change the default leading percentage
1Select the paragraphs that you want to change.
2Choose Justification from the Paragraph panel menu or from the Control panel menu.
3For Auto Leading, specify a new default percentage. The minimum value is 0%, and the maximum value is 500%.
Apply leading to whole paragraphs
1Choose Edit > Preferences > Type (Windows) or InDesign > Preferences > Type (Mac OS).
2Select Apply Leading To Entire Paragraph, and then click OK.
Note: When you use a character style to apply leading to text, the leading affects only the text to which the style is applied,
not the entire paragraph, regardless of whether the Apply Leading To Entire Paragraph option is selected.
Kerning and tracking
About kerning and tracking
Kerning is the process of adding or subtracting space between specific pairs of characters. Tracking is the process of
loosening or tightening a block of text.
ocers take them away: good
guard,Until their greater
pleasures rst be known at
are to censure them.
CORDELIA: We are not the
rst Who, with best meaning,
have incurr'd the worst.
A
C
B

INDESIGN CS3
User Guide
213
Types of kerning
You can automatically kern type using metrics kerning or optical kerning. Metrics kerning uses kern pairs, which are
included with most fonts. Kern pairs contain information about the spacing of specific pairs of letters. Some of these
are: LA, P., To, Tr, Ta, Tu, Te, Ty, Wa, WA, We, Wo, Ya, and Yo.
InDesign uses metrics kerning by default so that specific pairs are automatically kerned when you import or type
text. To disable metrics kerning, select "0".
Optical kerning adjusts the spacing between adjacent characters based on their shapes. Some fonts include robust
kern-pair specifications. However, when a font includes only minimal built-in kerning or none at all, or if you use
two different typefaces or sizes in one or more words on a line, you may want to use the optical kerning option.
Before applying the optical kerning option to the “W” and “a” pair (top), and after (bottom)
You can also use manual kerning, which is ideal for adjusting the space between two letters. Tracking and manual
kerning are cumulative, so you can first adjust individual pairs of letters, and then tighten or loosen a block of text
without affecting the relative kerning of the letter pairs.
Word kerning isn’t the same as the Word Spacing option in the Justification dialog box; word kerning changes the
kerning value only between a specific word’s first character and the word space preceding that character.
Kerning and tracking
A. Original B. Kerning applied between “W” and “a” C. Tracking applied
How kerning and tracking are measured
You can apply kerning, tracking, or both to selected text. Tracking and kerning are both measured in 1/1000 em, a
unit of measure that is relative to the current type size. In a 6-point font, 1 em equals 6 points; in a 10-point font,
1 em equals 10 points. Kerning and tracking are strictly proportional to the current type size.
Tracking and manual kerning are cumulative, so you can first adjust individual pairs of letters, and then tighten or
loosen a block of text without affecting the relative kerning of the letter pairs.
A
C
B

INDESIGN CS3
User Guide
214
When you click to place the insertion point between two letters, InDesign displays kerning values in the Character
panel and the Control panel. Metrics and optical kerning values (or defined kern pairs) appear in parentheses.
Similarly, if you select a word or a range of text, InDesign displays the tracking values in the Character panel and
Control panel.
Apply kerning to text
You apply either of two types of automatic kerning: metrics kerning or optical kerning, or you can adjust the spacing
between letters manually.
See also
“Keys for working with type” on page 638
Use metrics kerning
1Set the text insertion point between the characters you want to pair kern, or select text.
2In the Character panel or Control panel, select Metrics in the Kerning menu.
To avoid using the built-in kerning information of a font for selected text, choose “0” in the Kerning menu.
Note: If you use font metrics kerning in a Japanese OpenType font, it is recommended that you choose OpenType > Use
Proportional Metrics from the Control panel menu. That way, you can avoid making unnecessary manual kerning
adjustments.
Use optical kerning
1Set the text insertion point between characters you want to pair kern or select the text you want to kern.
2In the Character panel or Control panel, select Optical in the Kerning menu.
Adjust kerning manually
1Using the Type tool , click to place an insertion point between two characters.
Note: If a range of text is selected, you can’t manually kern the text (you can choose only Metrics, Optical, or 0). Instead,
use tracking.
2Do any of the following:
•In the Character panel or the Control panel, type or select a numeric value in the Kerning menu.
•Press Alt+Left/Right Arrow (Windows) or Option+Left/Right Arrow (Mac OS) to decrease or increase the
kerning between two characters.
TheamountofthewordkerningadjustmentisthesameastheKerningvalueintheUnits&IncrementsPreferences
dialog box. When you press the shortcut and hold down the Ctrl or Command key, the kerning amount is the
Kerning preferences value multiplied by 5.
Change the default kerning increment value
❖In the Units & Increments section of the Preferences dialog box, type a new value for the Kerning option and
click OK.
Turn off kerning for selected text
1Select text.
2In the Character panel or Control panel, type or choose 0 in the Kerning menu.

INDESIGN CS3
User Guide
215
You can also press Alt+Ctrl+Q (Windows) or Option+Command+Q (Mac OS) to reset kerning and tracking. When
you do so, kerning is set to Metrics regardless of which kerning option was previously applied.
Highlight text containing custom kerning and tracking
In some instances, you’ll want to be aware of text that has custom tracking and kerning applied. If you select the
Custom Tracking/Kerning preferences option, green highlighting appears over text with custom tracking or kerning.
1Choose Edit > Preferences > Composition (Windows) or InDesign > Preferences > Composition (Mac OS).
2Select Custom Tracking/Kerning, and then click OK.
Adjust kerning between words
❖With the Type tool , select a range of text and do one of the following:
•To add space between selected words, press Alt+Ctrl+\ (Windows) or Option+Command+\ (Mac OS).
•To remove space between selected words, press Alt+Ctrl+Backspace (Windows) or Option+Command+Delete
(Mac OS).
•To multiply the kerning adjustment by 5, hold down Shift as you press the keyboard shortcut.
Adjust tracking
1Select a range of characters.
2In the Character panel or Control panel, type or select a numeric value for Tracking .
Formatting characters
Apply baseline shift
Use Baseline Shift to move a selected character up or down relative to the baseline of the surrounding text. This
option is especially useful when you’re hand-setting fractions or adjusting the position of inline graphics.
Baseline shift values applied to text
1Select text.
2In the Character panel or Control panel, type a numeric value for Baseline Shift . Positive values move the
character’s baseline above the baseline of the rest of the line; negative values move it below the baseline.
To increase or decrease the value, click in the Baseline Shift box, and then press the Up or Down Arrow key. Hold
down Shift while you press the Up or Down Arrow key to change the value in greater increments.
To change the default increment for baseline shift, specify a value for Baseline Shift in the Units & Increments section
of the Preferences dialog box.
10 th 1/2 10th 1
/2

INDESIGN CS3
User Guide
216
Make characters superscript or subscript in a non-OpenType font
1Select text.
2Choose Superscript or Subscript in the Character panel menu or in the Control panel.
WhenyouchooseSuperscriptorSubscript,apredefinedbaselineshiftvalueandtypesizeareappliedtotheselected
text.
The values applied are percentages of the current font size and leading, and are based on settings in the Type Prefer-
ences dialog box. These values do not appear in the Baseline Shift or Size boxes of the Character panel when you
select the text.
Note: You can change the default size and position of superscripts and subscripts using Advanced Type preferences.
See also
“Apply OpenType font attributes” on page 208
Apply underline or strikethrough
1Select text.
2Choose Underline or Strikethrough in the Character panel menu or the Control panel.
The default weight of an underline and strikethrough depends on the size of the type.
Change underline or strikethrough options
Creating custom underlining is especially useful when you want to create an even underline below characters of
different sizes, or for creating special effects, such as background highlighting.
Before and after adjusting underlines
1From the Character panel menu or the Control panel menu, choose Underline Options or Strikethrough Options.
2Do any of the following, and then click OK:
•Select Underline On or Strikethrough On to turn on underline or strikethrough for the current text.
•For Weight, choose a weight or type a value to determine the thickness of the underline or strikethrough line.
•For Type, select one of the underline or strikethrough options.
•For Offset, determine the vertical position of the line. The offset is measured from the baseline. Negative values
move the underline above the baseline and the strikethrough below the baseline.
•Select Overprint Stroke when you want to make sure that the stroke doesn’t knock out underlying inks on a
printing press.

INDESIGN CS3
User Guide
217
•Choose a color and tint. If you specified any line type other than solid, choose a gap color or gap tint to change
the appearance of the area between dashes, dots, or lines.
•Select Overprint Stroke or Overprint Gap if the underline or strikethrough will be printed over another color, and
you want to avoid errors that can occur with printing misregistration.
To change the underline or strikethrough options in a paragraph or character style, use the Underline Options or
Strikethrough Options section of the dialog box that appears when you create or edit the style.
Apply ligatures to letter pairs
InDesign can automatically insert ligatures, which are typographic replacement characters for certain letter pairs,
such as “fi” and “fl,” when they are available in a given font. The characters that InDesign uses when the Ligature
option is selected appear and print as ligatures, but are fully editable, and do not cause the spell checker to flag a word
erroneously.
Individual characters (top) and ligature combinations (bottom)
With OpenType fonts, when you choose Ligatures from the Character panel menu or Control panel menu, InDesign
produces any standard ligature defined in the font, as determined by the font designer. However, some fonts include
more ornate, optional ligatures, which can be produced when you choose the Discretionary Ligatures command.
1Select text.
2Choose Ligatures from the Character panel menu or the Control panel menu.
See also
“OpenType fonts” on page 208
Change the color and gradient of text
You can apply colors and gradients to the stroke and fill of characters and continue to edit the text.

INDESIGN CS3
User Guide
218
Swatches
A. Swatch affects fill or stroke B. Swatch affects container or text C. Tint percentage
1Do one of the following:
•To apply color changes to text inside a frame, use the Type tool to select text.
•To apply color changes to all text in a frame, use the Selection tool to select the frame. When applying color to
the text rather than the container, make sure that you select the Formatting Affects Text icon in the Tools panel
or in the Swatches panel.
2In the Tools panel or in the Swatches panel, select whether you want to apply the color change to the fill or stroke.
If you select Stroke, the color change affects only the outline of characters.
3Click a color or gradient swatch in the Swatches panel.
You can also apply a gradient to text by dragging across the selected text using either the Gradient Swatch tool
or the Gradient Feather tool , which you can select by clicking and holding down the Gradient Swatch tool.
To create reverse type, you can change the text fill color to white or [Paper] and the frame’s fill color to a dark color.
You can also create reverse type by using a paragraph rule behind text; however, if the rule is black, you’ll need to
change the type to white.
See also
“Apply color” on page 415
“Add rules (lines) above or below paragraphs” on page 223
“Applying gradients to text” on page 432
Add transparency effects to text
1Use the Selection tool to select the text frame.
2Choose Object > Effects > [effect].
3Choose Text from the Settings For menu.
YoucanchooseObjectifyouwanttheeffectsyouchoosetoapplytothetextframe’sstrokeandfillaswellasthetext
inside it.
4Specify the effect attributes and click OK.
If you want to change the text’s blending mode or opacity settings, make these changes on the Effects panel.
AB C

INDESIGN CS3
User Guide
219
See also
“Transparency effects” on page 395
Assign a language to text
Assigning a language to text determines which spelling and hyphenation dictionary is used. Assigning a language
does not change the actual text.
1Do any of the following:
•To apply the language only to selected text, select the text.
•To change the default dictionary used in InDesign, choose the language with no documents open.
•To change the default dictionary for a specific document, choose Edit > Deselect All, and then choose the
language.
2In the Character panel or Control panel, choose the appropriate dictionary in the Language menu.
InDesign uses Proximity language dictionaries for both spelling and hyphenation. These dictionaries let you specify
a different language for as little as a single character of text. Each dictionary contains hundreds of thousands of words
with standard syllable breaks. Changing the default language does not affect existing text frames or documents.
You can customize language dictionaries to ensure that any unique vocabulary you use is recognized and treated
correctly.
How dictionaries affect hyphenation
A. “Glockenspiel” in English B. “Glockenspiel” in Traditional German C. “Glockenspiel” in Reformed German
See also
“Hyphenation and spelling dictionaries” on page 155
Change the case of type
The All Caps or Small Caps commands change the appearance of text, but not the text itself. Conversely, the Change
Case command changes the case setting of selected text. This distinction is important when searching or spell-
checking text. For example, suppose you type “spiders” in your document and apply All Caps to the word. Using
Find/Change (with Case Sensitive selected) to search for “SPIDERS” will not find the instance of “spiders” to which
All Caps was applied. To improve search and spell-check results, use the Change Case command rather than All Caps.
Change text to All Caps or Small Caps
InDesign can automatically change the case of selected text. When you format text as small caps, InDesign automat-
ically uses the small-cap characters designed as part of the font, if available. Otherwise, InDesign synthesizes the
small caps using scaled-down versions of the regular capital letters. The size of synthesized small caps is set in the
Type Preferences dialog box.
A
B
C

INDESIGN CS3
User Guide
220
Before (top) and after (bottom) setting BC and AD in small caps to complement old-style numerals and surrounding text
If you select All Caps or Small Caps in an OpenType font, InDesign creates more elegant type. If you’re using an
OpenType font, you can also choose All Small Caps from the Character panel menu or the Control panel. (See “Apply
OpenType font attributes” on page 208.)
1Select text.
2Choose All Caps or Small Caps in the Character panel menu or in the Control panel. If the text was originally
typed in all caps, selecting Small Caps will not change the text.
Specify the size for small caps
1Choose Edit > Preferences > Advanced Type (Windows) or InDesign > Preferences > Advanced Type (Mac OS).
2For Small Caps, type a percentage of the original font size for text to be formatted as small caps. Then click OK.
Change capitalization
1Select text.
2Choose one of the following in the Type > Change Case submenu:
•To change all characters to lowercase, choose Lowercase.
•To capitalize the first letter of each word, choose Title Case.
•To change all characters to uppercase, choose Uppercase.
•To capitalize the first letter of each sentence, choose Sentence Case.
Note: The Sentence Case command assumes that the period (.), exclamation point (!), and question mark (?) characters
mark the ends of sentences. Applying Sentence Case may cause unexpected case changes when these characters are used
in other ways, as in abbreviations, file names, or Internet URLs. In addition, proper names may become lowercase when
they should be uppercase.
Scale type
You can specify the proportion between the height and width of the type, relative to the original width and height of
the characters. Unscaled characters have a value of 100%. Some type families include a true expanded font,whichis
designed with a larger horizontal spread than the plain type style. Scaling distorts the type, so it is generally preferable
to use a font that is designed as condensed or expanded, if one is available.

INDESIGN CS3
User Guide
221
Scaling fonts horizontally
A. Unscaled type B. Unscaled type in condensed font C. Scaled type in condensed font
Adjust vertical or horizontal scaling
1Select text you want to scale.
2In the Character panel or Control panel, type a numeric value to change the percentage of Vertical Scaling or
Horizontal Scaling .
Scale text by resizing the text frame in InDesign
❖Do any of the following:
•Using the Selection tool, hold down Ctrl (Windows) or Command (Mac OS), and then drag a corner of the text
frame to resize it.
•Using the Scale tool , resize the frame.
(See “Scale objects” on page 373.)
Determine the appearance of scaled text values
When you change the scale of a frame, the text inside the frame is also scaled. For example, when you double the size
of a text frame, the text also doubles in size; 20-point text increases to 40 points.
You can change a preferences option to indicate how scaled text appears in panels:
•By default, with Apply To Content selected, the Font Size boxes in the Control panel and Character panel list the
new size of text (such as 40 pt). If you select the Adjust Scaling Percentage option, the Font Size boxes display both
the original and the scaled size of the text, such as “20 pt (40).”
•The scaling values in the Transform panel tell you the horizontal and vertical percentage by which the frame was
scaled. By default, with Apply To Content selected, scaling values display at 100% after a text is scaled. If you select
the Adjust Scaling Percentage option, the scaling values reflect the scaled frame, so doubling the scale of a frame
displays as 200%.
Tracking scale changes to frames is useful if you have to revert a frame and the text inside it to their original size. It’s
useful as well for finding out by how much you changed the size of a frame. To track scale changes to frames and the
text inside these frames:
1Choose Edit > Preferences > General (Windows) or InDesign > Preferences > General (Mac OS).
A
B
C

INDESIGN CS3
User Guide
222
2Select Adjust Scaling Percentage, and then click OK.
Note the following:
•The Adjust Scaling Percentage preference applies to frames that you scale after the preference is turned on, not to
existing frames.
•The Adjust Scaling Percentage preference stays with the text. The scaled point size continues to appear in paren-
theses even if you turn off the Adjust Scaling Percentage preference and scale the frame again.
•To remove the scaled point size from the Transform panel, choose Redefine Scaling as 100% in the Transform
panel. Choosing this option doesn’t change the appearance of the scaled frame.
•If you edit the text or scale a frame within threaded frames when the Adjust Scaling Percentage preference is
selected, the text is scaled, even if it moves to a different frame. However, if Apply To Content is selected, any text
that flows to a different frame as a result of editing is no longer scaled.
Skew type
1Select text.
2In the Character panel, type a numeric value for Skewing . Positive values slant type to the right; negative values
slant type to the left.
Note that applying an angle to type does not produce true italic characters.
Formatting paragraphs
Adjust paragraph spacing
You can control the amount of space between paragraphs. If a paragraph begins at the top of a column or frame,
InDesign does not insert extra space before the paragraph. In such a case, you can increase the leading of the first
line of the paragraph or increase the top inset of the text frame in InDesign.
1Select text.
2IntheParagraphpanelortheControlpanel,adjusttheappropriatevaluesforSpaceBefore andSpaceAfter .
To ensure formatting consistency, change paragraph spacing in the paragraph styles you define.
See also
“Define paragraph and character styles” on page 166
Use drop caps
You can add drop caps to one or more paragraphs at a time. The drop cap’s baseline sits one or more lines below the
baseline of the first line of a paragraph.
You can also create a character style that can be applied to the drop-cap characters. For example, you can create a tall
cap (also called a raised cap) by specifying a 1-line, 1-character drop cap and applying a character style that increases
the size of the first letter.

INDESIGN CS3
User Guide
223
One-character, three-line drop cap (left), and five-character, two-line drop cap (right)
See also
“Drop caps and nested styles” on page 173
“Apply a character style to a drop cap” on page 173
Create a drop cap
1With the Type tool selected, click in the paragraph where you want the drop cap to appear.
2In the Paragraph panel or Control panel, type a number for Drop Cap Number Of Lines to indicate the number
of lines you want the drop cap to occupy.
3For Drop Cap One Or More Characters , type the number of drop cap characters you want.
4To apply a character style to the drop cap character, choose Drop Caps And Nested Styles from the Paragraph
panel menu or the Control panel menu, and then choose the character style you created.
You can also use the Drop Caps And Nested Styles dialog box to align the drop cap to the text edge, reducing the
amount of space on the left side of the drop cap, and adjust for drop cap letters with descenders, such as “g” and “y.”
If you want to resize, skew, or change the typeface of the drop cap letter for added effect, select the letter or letters and
make the formatting changes.
Remove a drop cap
1With the Type tool selected, click in the paragraph where the drop cap appears.
2In the Paragraph panel or Control panel, type 0 for Drop Cap Number Of Lines or Drop Cap Number Of
Characters.
Add rules (lines) above or below paragraphs
Rules are paragraph attributes that move and are resized along with the paragraph on the page. If you’re using a rule
with headings in your document, you may want to make the rule part of a paragraph style definition. The width of
the rule is determined by the column width.
Theoffsetforaruleaboveaparagraphismeasuredfromthebaselineofthetoplineoftexttothebottomoftherule.
The offset for a rule below a paragraph is measured from the baseline of the last line of text to the top of the rule.
Aer breakfast I wa
n
man and guess out
but Jim didn’t wan
t
bad luck; and besides, h
e
ha’nt us; he said a man t
h
likely to go a-ha'nting
a
planted and comforta
b
reasonable, so I didn’t s
a
After breakfas
t
guess ou
t
want to. He said it would f
e
come and ha'nt us; he sai
d
to go a-ha'nting around t
h
at sounded pretty reas
o
keep from studying over i
and what they done it for
.

INDESIGN CS3
User Guide
224
Placement of rules
A. Rule above paragraph B. Rule below paragraph
Add a rule above or below a paragraph
1Select text.
2Choose Paragraph Rules from the Paragraph panel menu or Control panel menu.
3At the top of the Paragraph Rule dialog box, select Rule Above or Rule Below.
4Select Rule On.
Note: Ifyouwantbotharuleaboveandbelow,makesurethatRuleOnisselectedforbothRuleAboveandRuleBelow.
5Select Preview to see what the rule will look like.
6ForWeight,chooseaweightortypeavaluetodeterminethethicknessoftherule.ForRuleAbove,increasingthe
weight expands the rule upwards. For Rule Below, increasing the weight expands the rule downward.
7Select Overprint Stroke when you want to make sure that the stroke doesn’t knock out underlying inks on a
printing press.
8Do one or both of the following:
•Choose a color. The available colors are those listed in the Swatches panel. Select the Text Color option to make
therulethesamecolorasthefirstcharacterintheparagraphforRuleAboveandthelastcharacterforRuleBelow.
•Choose a tint or specify a tint value. The tint is based on the color you specified. Note that you can’t create tints of
the built-in colors None, Paper, Registration, or Text Color.
•If you specified any line type other than solid, choose a gap color or gap tint to change the appearance of the area
between dashes, dots, or lines.
9Choose the width of the rule. You can choose either Text (from the left edge of text to the line end) or Column
(from the left edge of the column to the right edge of the column). If the left edge of the frame has a column inset,
the rule begins at the inset.
10 To determine the vertical position of the rule, type a value for Offset.
11 To make sure that the rule above text is drawn within the text frame, select Keep Within Frame. If this option
isn’t selected, the rule can appear outside the text frame.
12 Set left or right indents for the rule (not for text) by typing values for Left Indent and Right Indent.
13 SelectOverprintStrokeiftheparagraphrulewillbeprintedoveranothercolorandyouwanttoavoiderrorsthat
can occur with printing misregistration. Then click OK.
B
A

INDESIGN CS3
User Guide
225
Remove a paragraph rule
1Using the Type tool , click in the paragraph containing the paragraph rule.
2Choose Paragraph Rules from the Paragraph panel menu or Control panel menu.
3Deselect Rule On and click OK.
Controlling paragraph breaks
You can eliminate orphans and widows, words or single lines of text that become separated from the other lines in a
paragraph. Orphans fall at the bottom of a column or page, and widows fall at the top of a column or page. Another
typographic problem to avoid is a heading that stands alone on a page with the following paragraph on the next page.
You have several options for fixing widows, orphans, short exit lines, and other paragraph break problems:
Discretionary hyphens A discretionary hyphen (Type > Insert Special Character > Hyphens And Dashes > Discre-
tionary Hyphen) appears only if the word breaks. This option prevents the common typographic problem of
hyphenated words, such as “care-giver,” appearing in the middle of a line after text reflows. Similarly, you can also
add a discretionary line break character.
No Break Choose No Break from the Character panel menu to prevent selected text from breaking across a line.
Nonbreaking spaces Insertanonbreakingspace(Type>InsertWhiteSpace>[nonbreaking space]) between words
you want to keep together.
Keep Options Choose Keep Options from the Paragraph panel menu to specify how many lines in the following
paragraph remain with the current paragraph.
Start Paragraph Use Start Paragraph in the Keep Options dialog box to force a paragraph (usually a title or heading)
to appear at the top of a page, column, or section. This option works especially well as part of a heading paragraph
style.
Hyphenation Settings Choose Hyphenation from the Paragraph panel menu to change hyphenation settings.
Edit text Editing text may not be an option depending on the kind of document you work with. If you have license
to rewrite, then subtle rewording can often create a better line break.
Use a different composer In general, use Adobe Paragraph Composer to let InDesign compose paragraphs automat-
ically. If a paragraph isn’t composed the way you’d like, choose Adobe Single-line Composer from the Paragraph
panel menu or Control panel menu and adjust selected lines individually.
Control paragraph breaks using Keep Options
You can specify how many lines of the following paragraph remain with the current paragraph as it moves between
frames—a convenient way to ensure that headings don’t become isolated from the body text they introduce.
InDesign can highlight the paragraphs that sometimes break in violation of your settings.
You may not want to use Keep Options if your document does not require your columns to share the same last
baseline.
To highlight paragraphs that violate Keep Options, choose Edit > Preferences > Composition (Windows) or
InDesign > Preferences > Composition (Mac OS), select Keep Violations, and click OK.
1Select the paragraph or paragraphs you want to affect.
2Choose Keep Options in the Paragraph panel menu or Control panel menu. (You can also change keep options
when creating or editing a paragraph style.)

INDESIGN CS3
User Guide
226
3Select any of these options and then click OK:
•For Keep With Next _ Lines, specify the number of lines (up to five) of the subsequent paragraph that the last line
of the current paragraph stays with. This option is especially useful for making sure that a heading stays with the
next few lines of the paragraph that follows it.
•Select the Keep Lines Together option and select All Lines In Paragraph to prevent the paragraph from breaking.
•Select the Keep Lines Together option, select At Start/End of Paragraph, and specify the number of lines that must
appear at the beginning or ending of the paragraph to prevent orphans and widows.
•For Start Paragraph, choose an option to force InDesign to push the paragraph to the next column, frame, or page.
If Anywhere is selected, the start position is determined by the Keep Line Settings option. For other options, they
will be forced to start from these positions.
When you create paragraph styles for headings, use the Keep Options panel to make sure that your headings remain
with the paragraph that follows them.
See also
“Add column, frame, and page breaks” on page 129
Create hanging punctuation
Punctuation marks and letters such as “W” can make the left or right edges of a column appear to be misaligned.
Optical Margin Alignment controls whether punctuation marks (such as periods, commas, quotation marks, and
dashes) and edges of letters (such as W and A) hang outside the text margins, so that the type looks aligned.
Before (left) and after (right) applying Optical Margin Alignment
1Select a text frame, or click anywhere in the story.
2Choose Type > Story.
3Select Optical Margin Alignment.
4Select a font size to set the appropriate amount of overhang for the size of type in your story. For optimal results,
use the same size as the text.
To turn off Optical Margin Alignment for an individual paragraph, choose Ignore Optical Margin from the
Paragraph panel menu or Control panel menu.

INDESIGN CS3
User Guide
227
Aligning text
Align or justify text
Text can be aligned with one or both edges (or insets) of a text frame. Text is said to be justified when it is aligned
with both edges. You can choose to justify all text in a paragraph excluding the last line (Justify Left or Justify Right),
or you can justify text in a paragraph including the last line (Justify All). When you have only a few characters on the
last line, you may want to use a special end-of-story character and create a flush space.
Justify Left (left) and Justify All (right)
Note: When you justify all lines of text and you are using the Adobe Paragraph Composer, InDesign shifts text to ensure
that the paragraph has consistent text density and is visually appealing. You can fine-tune spacing in justified text.
1Select text.
2Click one of the Alignment buttons (Align Left, Align Center, Align Right, Left Justify, Center Justify, Right Justify
and Full Justify) in the Paragraph panel or Control panel.
3(Optional) Click Align Towards Spine or Align Away From Spine.
When you apply Align Towards Spine to a paragraph, text on a left-hand page is right-aligned, but when the same
text flows onto (or if the frame is moved to) a right-hand page, it becomes left aligned. Similarly, when you apply
Align Away from Spine to a paragraph, text on a left-hand page is left-aligned, while text on a right-hand page is
right-aligned.
If you want the left side of a line of text to be left-aligned and the right side to be right-aligned, position the insertion
point where you want to right-align the text, press Tab, and then right-align the rest of the line.
See also
“Align or justify text vertically within a text frame” on page 229
“Use a flush space with justified text” on page 251
“Adjust word and letterspacing in justified text” on page 250
Align paragraphs to a baseline grid
The baseline grid represents the leading for body text in a document. You can use multiples of this leading value for
all elements of the page to ensure that text always lines up between columns and from page to page. For example, if
the body text in your document has 12-point leading, you could give your heading text 18-point leading and add 6
points of space before the paragraphs that follow the headings.

INDESIGN CS3
User Guide
228
Using a baseline grid ensures consistency in the location of text elements on a page. You can adjust the leading for
the paragraph to ensure that its baselines align to the page’s underlying grid. This is useful if you want the baselines
of text in multiple columns or adjacent text frames to align. Change settings for the baseline grid by using the Grids
section of the Preferences dialog box.
You can also align only the first line of a paragraph to the baseline grid, allowing the rest of the lines to follow the
specified leading values.
To view the baseline grid, choose View > Grids & Guides > Show Baseline Grid.
Note: The baseline grid is visible only if the document zoom level is greater than the view threshold setting in Grids
Preferences. You may need to zoom in to view the baseline grid.
See also
“Set up a baseline grid” on page 50
“Set baseline grids for a text frame” on page 128
Align paragraphs to the baseline grid
1Select text.
2In the Paragraph panel or Control panel, click Align to Baseline Grid .
To ensure that the leading of your text does not change, set the baseline grid leading to the same leading value as your
text, or to a multiple thereof.
Align only the first line to the baseline grid
1Select the paragraphs you want to align.
2Choose Only Align First Line to Grid from the Paragraph menu or Control panel menu.
3In the Paragraph panel or Control panel, click Align to Baseline Grid .
Create balanced headline text
You can balance ragged aligned text across multiple lines. This feature is especially useful for multiline headings,
pull-quotes, and centered paragraphs.
Before and after applying Balance Ragged Lines to the title
1Click in the paragraph you want to balance.

INDESIGN CS3
User Guide
229
2In the Paragraph panel or Control panel, choose Balance Ragged Lines from the menu.
This feature takes effect only when the Adobe Paragraph Composer is selected.
Align or justify text vertically within a text frame
You can align or distribute lines of text in a frame along its vertical axis to help keep type vertically consistent among
frames and their columns.
You can align text to the top, center, or bottom of the frame using each paragraph’s leading and paragraph spacing
values. You can also justify text vertically, which evenly spaces lines regardless of their leading and paragraph spacing
values.
Bottom vertical alignment (left) and vertical justification (right)
Vertical text alignment and justification is calculated from the baseline positions of each line of text in the frame.
Keep the following in mind as you adjust vertical alignment:
•The top of the frame is defined as the baseline of the first line of top-aligned text. The First Baseline Offset option
in the Text Frame Options dialog box affects this value.
•The bottom of the frame is defined as the baseline of the last line of bottom-aligned text. Footnote text is not
justified.
•When the Align to Baseline Grid option is applied to paragraphs with Top, Center, or Bottom alignment, all lines
will be aligned to the baseline grid. With the Justified option, only the first and last lines will be aligned to the
baseline grid.
•If you adjust a text frame’s Top or Bottom Inset values in the Text Frame Options dialog box, you change the
location of the first or last baseline, respectively.
•Vertical justification isn’t applied to text that takes on a non-rectangular shape due to influences such as text frame
shape, text wrap, or corner effects. In these cases, top alignment is applied. When a corner effect is applied, vertical
justification is possible if you make the text area rectangular by increasing the Inset value in the Text Frame
Options dialog box, relative to the Size value in the Corner Options dialog box.
1Do one of the following:
•With the Selection tool, select a text frame.
•With the Type tool , click in a text frame.
2Choose Object > Text Frame Options.
3In the Vertical Justification section of the Text Frame Options dialog box, choose one of the following options in
the Align menu:
•To vertically align text down from the top of the frame, choose Top. (This is the default setting.)
•To center lines of text in the frame, choose Center.
You don’t know about
me, without you have
read a book by the name
of “e Adventures of
Tom Sawyer,” but that
ain’t no matter.
at book was made by
Mr. Mark Twain, and he
told the truth, mainly.
You don’t know about
me, without you have
read a book by the name
of “e Adventures of
Tom Sawyer,” but that
ain’t no matter.
at book was made by
Mr. Mark Twain, and he
told the truth, mainly.

INDESIGN CS3
User Guide
230
•To vertically align lines of text up from the bottom of the frame, choose Bottom.
•To evenly distribute lines of text vertically between the top and bottom of the frame, choose Justify.
4If you choose Justify and you want to prevent the leading value from becoming disproportionately larger than the
paragraph spacing value, specify a Paragraph Spacing Limit value. The space between paragraphs is expanded up to
the value you specify; if the text still doesn’t fill the frame, the space between lines is adjusted until the frame is filled.
The paragraph spacing limit value is applied in addition to the Space Before or Space After values entered on the
Paragraph panel.
Paragraph spacing limit set to zero (left) and 1 pica (right)
Note: Be careful about vertically justifying multi-column text frames. If the last column contains only a few lines, too
much white space may appear between the lines.
5Click OK.
An easy way to adjust the Paragraph Spacing Limit value is to select Preview, and then click the up or down arrow
next to the Paragraph Spacing Limit value until paragraph spacing appears to be balanced with leading.
Indents
Set indents
Indents move text inward from the right and left edges of the frame. In general, use first-line indents, not spaces or
tabs, to indent the first line of a paragraph.
A first-line indent is positioned relative to the left-margin indent. For example, if a paragraph’s left edge is indented
one pica, setting the first-line indent to one pica indents the first line of the paragraph two picas from the left edge
of the frame or inset.
You can set indents using the Tabs dialog box, the Paragraph panel, or the Control panel. You can also set indents
when you create bulleted or numbered lists.
Set an indent using the Tabs dialog box
1Using the Type tool , click in the paragraph you want to indent.
2Choose Type > Tabs to display the Tabs dialog box.
3Do one of the following to the indent markers in the Tabs dialog box:
•Dragthetopmarkertoindentthefirstlineoftext.Dragthebottommarkertomovebothmarkersandindentthe
entire paragraph.
EDMUND : Some
ocers take th m away:
good guard,Until their
greater pleasures rst
be known at are to
censure them.
CORDELIA: We are
not the rst Who, with
best meaning, have
incurr’d the worst.
EDMUND : Some
ocers take th m away:
good guard,Until their
greater pleasures rst
be known at are to
censure them.
CORDELIA:We are
not the rst Who, with
best meaning, have
incurr’d the worst.

INDESIGN CS3
User Guide
231
First-line indent (left) and no indent (right)
•Select the top marker and type a value for X to indent the first line of text. Select the bottom marker and type a
value for X to move both markers and indent the entire paragraph.
For more information on using the Tabs dialog box, see “About tabs” on page 233.
Set indents using the Paragraph panel or the Control panel
1Using the Type tool , click in the paragraph you want to indent.
2Adjust the appropriate indent values in the Paragraph panel or Control panel. For example, do the following:
•To indent the entire paragraph one pica, type a value (such as 1p) in the Left Indent box .
•To indent only the first line of a paragraph one pica, type a value (such as 1p) in the First Line Left Indent box .
•To create a hanging indent of one pica, type a positive value (such as 1p)intheLeftIndentboxandtypeanegative
value (such as -1p) in the First Line Left Indent box. (See “Create a hanging indent” on page 231.)
Reset indents
1Click in the paragraph in which you want to reset indents to the zero mark.
2Choose Reset Indents from the Tabs dialog box menu.
Create a hanging indent
In a hanging indent, all the lines in a paragraph are indented except for the first line. Hanging indents are especially
useful when you want to add inline graphics at the beginning of the paragraph.
No indent (left) and hanging indent (right)
1Using the Type tool , click in the paragraph you want to indent.
2In the Tabs dialog box or the Control panel, specify a left indent value greater than zero.
3To specify a negative first-line left indent value, do one of the following:
•In the Control panel, type a negative value for the first-line left indent .
•In the Tabs dialog box, drag the top marker to the left, or select the marker and type a negative value for X.

INDESIGN CS3
User Guide
232
In most cases you’ll specify the negative equivalent of the value you entered in step 2; for instance, if you specified a
left indent of 2 picas, your first-line left indent will typically be –2 picas.
See also
“Create bulleted or numbered lists” on page 237
Right-indent the last line of a paragraph
You can use the Last Line Right Indent option to add a hanging indent on the right side of the last line in a paragraph.
This option is especially useful for right-aligning prices in a sales catalog.
Last line right indent
1Type your paragraphs. In the last line of each paragraph, place the insertion point before the text to be indented,
and choose Type > Insert Special Character > Other > Right Indent Tab.
2Select the paragraphs.
3To create a right indent for paragraphs, specify a value (such as 2p)intheRightIndentfieldoftheParagraphpanel
or Control panel.
4To offset the right indent value for the text that follows the tab, type a negative value (such as -2p)intheLastLine
Right Indent field of the Paragraph panel or Control panel.
Use Indent To Here
You can use the Indent To Here special character to indent lines in a paragraph independently of a paragraph’s left
indent value. The Indent To Here special character is different from the paragraph’s left indent in the following ways:
•Indent To Here is part of the text flow, as if it were a visible character. If text reflows, the indent moves with it.
•When you choose Type > Show Hidden Characters, the Indent To Here character is visible.
•Indent To Here affects all lines after the line where you’ve added its special characters, so you can indent just some
of the lines in a paragraph.
•When you choose Type > Show Hidden Characters, the Indent To Here character is visible.

INDESIGN CS3
User Guide
233
Indent To Here special character
1Using the Type tool , click the insertion point where you would like to indent.
2Choose Type > Insert Special Character > Other > Indent To Here.
See also
“Right-indent the last line of a paragraph” on page 232
Tabs
About tabs
Tabs position text at specific horizontal locations in a frame. The default tab settings depend on the Horizontal ruler
units setting in the Units & Increments preferences dialog box.
Tabs apply to an entire paragraph. The first tab you set deletes all default tab stops to its left. Subsequent tabs delete
all default tabs between the tabs you set. You can set left, center, right, and decimal or special-character tabs.
Tabs dialog box overview
You set tabs using the Tabs dialog box.
Tabs dialog box
A. Tab alignment buttons B. Tab position C. Tab leader box D. Align On box E. Tab ruler F. Snap above frame
Open the Tabs dialog box
1Using the Type tool, click in the text frame.
2Choose Type > Tabs.
If the top of the frame is visible, the Tabs dialog box snaps to the current text frame and matches its width to the
current column.
Align the Tabs dialog box ruler with your text
1Scroll through your document to display the top of the text frame.
B
EF
ACD

INDESIGN CS3
User Guide
234
2Clickthemagneticon ontheTabsdialogbox.TheTabsdialogboxsnapstothetopofthecolumnthatincludes
the selection or the insertion point.
Set tabs
You can set left, center, right, and decimal or special-character tabs. When you use the special-character tab, you can
set a tab to align to any character you choose, such as a colon or a dollar sign.
1Using the Type tool , click an insertion point in the paragraph.
2Press the Tab key. Add tabs in the paragraphs where you want to add horizontal space. (You can also add tabs after
you create your tab settings.)
Using tabs to align text
3To specify which paragraphs will be affected, select a paragraph or a group of paragraphs.
4For the first tab, click a tab-alignment button (left, right, center, or decimal) in the Tabs dialog box to specify how
text will align to the tab’s position.
5Do one of the following:
•Click a location on the tab ruler to position a new tab.
Adding a new tab setting
•Type a position in the X box and press Enter or Return. If the X value is selected, press the up or down arrow key
to increase or decrease the tab value by 1 point, respectively.
6For subsequent tabs with different alignments, repeat steps 3 and 4.
Act 1 Scene 1: King Lear’s palace.
Scene 2: e Earl of Gloucester’s castle.
Scene 3: e Duke of Albany’s palace.
Scene 4: A hall in the same.
Scene 5: Court before the same.
Act 2 Scene 1: Gloucester’s castle
Scene 2: Before Gloucester’s castle.
Scene 3: A wood.

INDESIGN CS3
User Guide
235
The first tab setting is right-aligned; the second tab setting is left-aligned.
To insert a tab character in a table, choose Type > Insert Special Character > Other > Tab.
Repeat tabs
The Repeat Tab command creates multiple tabs based on the distance between the tab and the left indent or the
previous tab stop.
1Click an insertion point in the paragraph.
2In the Tabs panel, select a tab stop on the ruler.
3Choose Repeat Tab from the panel menu.
Repeated tabs
A. Tab-alignment buttons B. Tab stop on the ruler C. Panel menu
Move, delete, and edit tab settings
Use the Tabs dialog box to move, delete, and edit tab settings.
Move a tab setting
1Using the Type tool , click an insertion point in the paragraph.
2In the Tabs dialog box, select a tab on the tab ruler.
3Do one of the following:
•Type a new location for X and press Enter or Return.
•Drag the tab to a new location.
Delete a tab setting
1Click an insertion point in the paragraph.
2Do one of the following:
•Drag the tab off the tab ruler.
•Select the tab, and choose Delete Tab from the panel menu.
C
B
A

INDESIGN CS3
User Guide
236
•To return to the default tab stops, choose Clear All from the panel menu.
Change a tab from one alignment to another
1In the Tabs dialog box, select a tab on the tab ruler.
2Click a tab-alignment button.
You can also hold down Alt (Windows) or Option (Mac OS) while clicking the tab setting to cycle through the four
alignment options.
Specify characters for decimal tabs
You use decimal tabs to align text with a character you specify, such as a period or a dollar sign.
1In the Tabs panel, create or select a decimal tab on the tab ruler.
2In the Align On box, type the character to which you want to align. You can type or paste any character. Make sure
that the paragraphs you’re aligning contain that character.
Text aligned using a decimal tab
Add tab leaders
Atab leader is a repeated pattern of characters, such as a series of dots or dashes, between a tab and the following text.
1In the Tabs panel, select a tab stop on the ruler.
2Type a pattern of as many as eight characters in the Leader box, and then press Enter or Return. The characters
you entered repeat across the width of the tab.
3To change the font or other formatting of the tab leader, select the tab character in the text frame, and use the
Character panel or Type menu to apply formatting.
Insert right indent tabs
In one step, you can add a right-aligned tab at the right indent, making it easier to prepare tabular text that spans an
entire column. Right indent tabs are slightly different from regular tabs. A right indent tab:
•Aligns all subsequent text to the right edge of the text frame. If the same paragraph includes any tabs after the right
indent tab, those tabs and their text are pushed to the next line.
•Is a special character located in the text, not in the Tabs dialog box. You add a right indent tab using a context
menu, not the Tabs dialog box. As a result, a right indent tab can’t be part of a paragraph style.
•Is different from the Right Indent value in the Paragraph panel. The Right Indent value keeps the entire right edge
of the paragraph away from the right edge of the text frame.

INDESIGN CS3
User Guide
237
•Canbeusedwithatableader.Rightindenttabsusethetableaderofthefirsttabstoppasttherightmargin,or,if
there isn't one, the last tab stop before the right margin.
1Using the Type tool , click on the line where you want to add the right indent tab.
2Choose Type > Insert Special Character > Other > Right Indent Tab.
Bullets and numbering
Create bulleted or numbered lists
In bulleted lists, each paragraph begins with a bullet character. In numbered lists, each paragraph begins with an
expression that includes a number or letter and a separator such as a period or parenthesis. The numbers in a
numbered list are updated automatically when you add or remove paragraphs in the list. You can change the type of
bullet or numbering style, the separator, the font attributes and character styles, and the type and amount of indent
spacing.
You cannot use the Type tool to select the bullets or numbers in a list. Instead, edit their formatting and indent
spacing using the Bullets And Numbering dialog box, the Paragraph panel, or the Bullets And Numbering section
of the Paragraph Styles dialog box (if the bullets or numbers are part a style).
Bulleted list and numbered list
A quick way to create a bulleted or numbered list is to type the list, select it, and then click the Bulleted List or
Numbered List button in the Control panel. These buttons let you turn the list on or off and switch between bullets
and numbers. You can also make bullets and numbering part of a paragraph style and construct lists by assigning
styles to paragraphs.
Note: Automatically generated bullet and number characters aren’t actually inserted in the text. Therefore, they cannot
be found during a text search or selected with the Type tool unless you convert them to text. In addition, bullets and
numbering don’t appear in the story editor window (except in the paragraph style column).
For a video on creating bulleted and numbered lists, see www.adobe.com/go/vid0077.
1Selectthesetofparagraphsthatwillbecomethelist,orclicktoplacetheinsertionpointwhereyouwantthelist
to begin.
Cooking Instructions
1. Mix the cherries, sugar,
corn starch and orange in
a large saucepan.
2. Cook on medium heat
until the mixure comes
to a full boil, then let it
stand for about 10 minutes
to thicken, stirring a couple
of times during the cooling.
3. Transfer to a shallow baking
dish.
Filling Ingredients
• 4 cups pitted red cherries
• 2/3 cup sugar
• 2 tablespoons corn starch
• 2 tablespoons orange juice

INDESIGN CS3
User Guide
238
2Do any of the following:
•Click the Bulleted List button or the Numbered List button in the Control panel (in Paragraph mode).
Hold down Alt (Windows) or Option (Mac OS) while clicking a button to display the Bullets and Numbering
dialog box.
•Choose Bullets And Numbering from the Paragraph panel or Command panel. For List Type, choose either
Bullets or Numbers. Specify the settings you want, and then click OK.
•Apply a paragraph style that includes bullets or numbering.
3To continue the list in the next paragraph, move the insertion point to the end of the list and press Enter or Return.
4To end the list (or list segment, if the list is to be continued later in the story), click the Bulleted List or Numbered
List button in the Control panel again, or choose Bullets and Numbering from the Paragraph panel menu.
See also
“Create a paragraph style for running lists” on page 243
“Create multi-level lists” on page 243
Format a bulleted or numbered list
1Using the Type tool , select the bulleted or numbered paragraphs you want to reformat.
2Do any of the following to open the Bullets And Numbering dialog box:
•Choose Bullets And Numbering from the Control panel menu (in Paragraph mode) or the Paragraph panel menu.
•Alt-click (Windows) or Option-click (Mac OS) either the Bulleted List button or the Numbered List
button .
3In the Bullets And Numbering dialog box, do any of the following:
•Change the bullet character.
•Change the numbered list options.
•Choose a style for the numbers or bullets from the Character Style list.
4To change the position of the bullet or number, specify any of the following:
Alignment Left-aligns, centers, or right-aligns the bullets or numbers within the horizontal space allotted for
numbers. (If this space is narrow, the difference between the three options is negligible.)
Left Indent Specifies how far the lines after the first line are indented.
First Line Indent Controls where the bullet or number is positioned.
Tab Position Activates the tab position to create space between the bullet or number and the start of the list item.

INDESIGN CS3
User Guide
239
Position settings
A. Hanging indent B. Left-aligned list
Note: The Left Indent, First Line Indent, and Tab Position settings in the Bullets And Numbering dialog box are
paragraph attributes. For that reason, changing these settings in the Paragraph panel also changes bulleted and
numbered list formats.
By default, bullets and numbers inherit some of their text formatting from the first character in the paragraph to
which they’re attached. If the first character in one paragraph is different from the first characters in other
paragraphs, the numbering or bullet character may appear inconsistent with the other list items. If this is not the
formatting you desire, create a character style for numbers or bullets and apply it to your list by using the Bullets And
Numbering dialog box.
Italicized first word of step 3 causes numbering to be italicized as well, unless you create character style for numbers and apply it to list.
Change bullet characters
If you don’t want to use one of the existing bullet characters, you can add other bullet characters to the Bullet
Charactergrid.Abulletcharacterthatisavailableinonefontmaynotbeavailableinanotherfont.Youcanchoose
whether the font is remembered with any bullet character you add.
If you want to use a bullet found in a specific font (such as the pointing hand from Dingbats), be sure to set the bullet
torememberthatfont.Ifyouuseabasicbulletcharacter,it’sprobablybestnottorememberthefont,becausemost
fonts have their own version of that bullet character. Depending on whether you select the Remember Font With
Bullet option, a bullet you add can reference either a Unicode value and a specific font family and style, or just a
Unicode value.
Note: Bullets that reference only the Unicode value (without a remembered font) appear with a red “u” indicator.
Cooking Instructions
1. Mix the cherries, sugar,
corn starch and orange in
a large saucepan.
2. Cook on medium heat
until the mixure comes
to a full boil, then let it
stand for about 10 minutes
to thicken, stirring a couple
of times during the cooling.
Cooking Instructions
1. Mix the cherries, sugar,
corn starch and orange in
a large saucepan.
2. Cook on medium heat
until the mixure comes
to a full boil, then let it
stand for about 10 minutes
to thicken, stirring a couple
of times during the cooling.
B
A
Cooking Instructions
1. Mix the cherries, sugar, corn starch
and orange in a large saucepan.
2. Cook on medium heat until
the mixure comes to a full boil,
then let it stand for about 10
minutes to thicken, stirring a
couple of times during the cooling.
3. Transfer to a shallow baking dish.

INDESIGN CS3
User Guide
240
Bullets And Numbering dialog box
A. Bullet without remembered font B. Bullet with remembered font
Change the bullet character
1On the Control panel menu or Paragraph panel menu, select Bullets And Numbering.
2In the Bullets And Numbering dialog box, select Bullets from the List Type menu.
3Select a different bullet character, and then click OK.
Add a bullet character
1In the Bullets And Numbering dialog box, select Bullets from the List Type menu, then click Add.
2Select the glyph that you want to use as the bullet character. (Different font families and font styles contain
different glyphs.)
3If you want the new bullet to remember the currently chosen font and style, select Remember Font With Bullet.
4Click Add.
Note: The list of bullet characters is stored in the document, like paragraph and character styles. When you paste or load
paragraphstylesfromanotherdocument,anybulletcharacterusedinthosestylesappearsintheBulletsAndNumbering
dialog box, along with the other bullets defined for the current document.
Remove a bullet character
1In the Bullets And Numbering dialog box, select Bullets from the List Type menu.
2Select the bullet character you want to remove, and click Delete. (The first preset bullet character cannot be
deleted.)
Change numbered list options
In a numbered list, the numbers are updated automatically when you add or remove paragraphs in the list.
Paragraphs that are part of the same list are numbered sequentially. These paragraphs do not have to be consecutive
to one another as long as you define a list for the paragraphs.
You can also create a multi-level list, in which list items are numbered in outline form and are indented by different
degrees.
1Open the Bullets And Numbering dialog box.
2Under Numbering Style, select the type of numbering you want to use from the Format menu.
3In the Number box, use the default expression—period (.) and tab space (^t)—or construct a number expression
of your own. To enter a number expression, delete the period after the number metacharacter (^#) and do one of the
following:
•Type a character (such as a closing parenthesis) or more than one character in place of the period.
AB

INDESIGN CS3
User Guide
241
•Choose an item (such as Em Dash or Ellipses) from the Insert Special Character menu.
•Type a word or character before the number metacharacter. For example, to number questions in a list, you can
type the word Question.
4Choose a character style for the expression. (The style you choose applies to the entire number expression, not
just to the number.)
5For Mode, choose one of the following options:
Continue From Previous Number Numbers lists sequentially.
Start At Starts numbering at a number or other value that you enter in the text box. Enter a number, not a letter, even
if your list uses letters or Roman numerals for numbering.
6Specify any other options, and then click OK.
Defining lists
A defined list can be interrupted by other paragraphs and lists, and can span different stories and different
documents in a book. For example, use defined lists to create a multi-level outline, or to create a running list of
numbered table names throughout your document. You can also define lists for separately numbered or bulleted
items that are mixed together. For example, in a list of questions and answers, define one list for numbering the
questions and another for numbering the answers.
Defined lists are often used to track paragraphs for numbering purposes. When you create a paragraph style for
numbering, you can assign the style to a defined list, and paragraphs are numbered in that style according to where
they appear in the defined list. The first paragraph to appear is given number 1 (“Table 1”), for example, and the next
paragraph is given number 2 (“Table 2”), even if it appears several pages later. Because both paragraphs belong to the
same defined list, they can be numbered consecutively no matter how far apart they are in the document or book.
Define a new list for each type of item you want to number—step-by-step instructions, tables, and figures, for example.
By defining multiple lists, you can interrupt one list with another and maintain number sequences in each list.

INDESIGN CS3
User Guide
242
Defined lists let you interrupt one list with another.
For a video on creating bulleted and numbered lists, see www.adobe.com/go/vid0077.
Define a list
1Choose Type > Bulleted and Numbered Lists > Define Lists.
2Click New in the Define Lists dialog box.
3Enteranameforthelist,choosewhetheryouwanttocontinuenumberingacrossstories,andcontinuenumbering
from previous documents in your book.
4Click OK twice.
After you define a list, you can use it in a paragraph style, such as a style for tables, figures, or ordered lists, as well as
apply it by way of the Control panel and Paragraph panel.
Note: Some lists are defined automatically. For example, when you import a numbered list from a Microsoft Word
document, InDesign defines a list automatically for your document.
Edit a defined list
1Choose Type > Bulleted And Numbered Lists > Define Lists.
2Select a list and click Edit.
3Enter a new name for the list or change your selection of Continue Numbers options.
Paragraph styles that are assigned to the list are reassigned to the list under its new name.

INDESIGN CS3
User Guide
243
Delete a defined list
1Choose Type > Bulleted And Numbered Lists > Define Lists.
2Select a list.
3Click Delete, and then select a different list or the [Default] list to replace your list with.
Create a paragraph style for running lists
To create a running list—a list that is interrupted by other paragraphs or that spans multiple stories or documents—
create a paragraph style and apply the style to paragraphs that you want to be part of the list. For example, to create
a running list of the tables in your document, create a paragraph style called Tables, make a defined list part of the
style, and then apply the Tables paragraph style to all paragraphs you want in your Table list.
1Choose New Paragraph Style from the Paragraph Styles panel menu.
2Enter a style name.
3On the left side of the New Paragraph Style dialog box, click Bullets And Numbering.
4For List Type, select Bullets or Numbering.
5If you are creating a style for numbered lists, choose a defined list from the List menu, or choose New List and
define the list.
6Specify the bullet or numbering characteristics.
7Use the Bullet or Number Position section of the New Paragraph Style dialog box to change the indent spacing.
For example, to create a hanging indent, type 2p for Left Indent and -2p for First Line Indent.
8Specify other paragraph style attributes for the style, and then click OK.
See also
“Define paragraph and character styles” on page 166
Create multi-level lists
Amulti-level list is a list that describes hierarchical relationships between the list paragraphs. These lists are also
called outline lists because they resemble outlines. The list’s numbering scheme (as well as indentations) show rank
aswellashowitemsaresubordinatetooneanother.Youcantellwhereeachparagraphfitsinthelistwithrespectto
the paragraphs before and after it. You can include up to nine levels in a multi-level list.

INDESIGN CS3
User Guide
244
Multi-level list with numbers and letters marking hierarchy levels
To create a multi-level list, define the list and then create a paragraph style for each level you want. For example, a
list with four levels requires four paragraph styles (each one assigned the same defined list). As you create each style,
you describe its numbering format and paragraph formatting.
For more information on creating outlines and multi-levels lists, visit www.adobe.com/go/learn_id_numbered_lists.
1Choose New Paragraph Style from the Paragraph Styles panel menu.
2Enter a style name.
3If you already created a style for your multi-level list, choose the style you will assign to levels above this one from
the Based On menu; otherwise, choose No Paragraph Style or Basic Paragraph.
4On the left side of the New Paragraph Style dialog box, click Bullets And Numbering.
5Choose Numbers from the List Type menu.
6ChoosealistyoudefinedfromtheListmenu.Ifyouhaven’tyetdefinedyourlist,youcanchooseNewListfrom
the menu and define it now.
7In the Level box, enter a number that describes which level of the multi-level list you’re creating a style for.
8From the Format menu, choose the type of numbering you want to use.
9In the Number box, enter metacharacters or select metacharacters from the menus to describe the number
formatting you want for list items at this level.
•To include numbering prefixes from higher levels, enter text or click at the start of the Number box and choose
Insert Number Placeholder and then select a Level option (for example, Level 1), or enter ^ and then the list level
(for example, enter ^1). In a list with first levels numbered 1, 2, 3, and so on, and second levels numbered a, b, c,
and so on, including the first-level prefix in the second level renders second-level numbers as 1a, 1b, 1c; 2a, 2b, 2c;
3a, 3b, 3c.
•To create a number expression, enter punctuation, enter metacharacters, or select options on the Insert Special
Character list.
10 Select Restart Numbers At This Level After to renumber beginning at 1 when a paragraph at this level appears
after a paragraph at a higher level; deselect this option to number paragraphs at this level consecutively throughout
the list without regard for where the paragraphs appear in the list hierarchy.

INDESIGN CS3
User Guide
245
To restart numbers after a specific level or range of levels, type the level number or range (such as 2-4)intheRestart
Numbers At This Level After field.
11 In the Bullet or Number Position area, choose Indent or Tab Position options to indent list items at this level
farther than list items at higher levels. Indenting helps subordinate items in lists stand out.
12 Click OK.
Create running captions for figures and tables
Running captions number figures, tables, and other items consecutively in a document. For example, the first figure
caption starts with the words “Figure 1,” the second with “Figure 2,” and so on. To make sure that figures, tables, or
similar items are numbered consecutively, define a list for the item, and then create a paragraph style that includes
the list definition. You can also add descriptive words such as “Figure” or “Table” to the numbering scheme of the
paragraph style.
1Create a new paragraph style and, in the Bullets and Numbering section of the Paragraph Style Options dialog
box, choose Numbers from the List Type menu.
2Choose a defined list from the List menu (or choose New List to define a list).
3Under Numbering Style, select the type of numbering you want to use from the Format menu.
For example, select the A, B, C, D... option to create a list for “Figure A,” “Figure B,” and so on.
4In the Number box, enter a descriptive word and any spacing or punctuation (as needed) along with the
numbering metacharacters.
For example, to create a “Figure A” effect, enter the word “Figure” and a space before the numbering metacharacters
(such as Figure ^#.^t). This adds the word “Figure” followed by a sequential number (^#), a period, and a tab (^t).
Note: To include chapter numbers in running captions, choose Insert Placeholder From Chapter Number from the
Number list, or enter ^h where you want the chapter number to appear in the number scheme.
5Finish creating the style and click OK.
After you create the style, apply it to text figure captions or table titles.
You can use the Table Of Contents feature to generate a list of tables or figures.
See also
“About tables of contents” on page 279
Restart or continue numbering for a list
InDesign offers commands for restarting a list and continuing a list:
Restarting a numbered list Place the insertion point in the paragraph and choose Restart Numbering from the
context menu or choose Type > Bulleted And Numbered Lists > Restart Numbering. In normal lists, this command
assigns the number 1 (or letter A) to a paragraph and makes it the first paragraph in a list. In multi-level lists, this
command assigns the first lower-level number to a nested paragraph.
Continuing a numbered list Choose Continue Numbering from the context menu or choose Type > Bulleted And
Numbered Lists > Continue Numbering. This command resumes numbering a list that was interrupted by
commentary, graphics, or nested list items. InDesign also offers commands for numbering lists that begin in one
story or book and cross into the next story or book.

INDESIGN CS3
User Guide
246
Number a list from the previous or current story
Whether a list resumes numbering from the previous story or starts numbering anew in the current story depends
on how the list is defined.
1Choose Type > Bulleted And Numbered Lists > Define Lists.
2Select a list and click the Edit button.
Don’t choose the Default list because it can’t run across stories.
3Select Continue Numbers Across Stories to resume numbering the list from the previous story, or deselect this
option to start the list in the current story at 1 (or A).
4Click OK twice.
Number a list from the previous or current document in a book
Whether a list resumes numbering from the previous document in a book or starts numbering anew in the current
document depends on how the list is defined.
1Choose Type > Bulleted And Numbered Lists > Define Lists.
2Select a list and click the Edit button.
3Select Continue Numbers From Previous Document In Book to resume numbering the list from the previous
document (you must choose Continue Numbers Across Stories to activate this option), or deselect this option to start
the list in the current document at 1 (or A).
4Click OK twice.
Convert list bullets or numbers to text
1Select the paragraphs containing the bulleted or numbered list.
2Do one of the following:
•From the Paragraph panel menu, choose Convert Numbering To Text or Convert Bullets To Text.
•Right-click (Windows) or Command-click (Mac OS) the selection, and then choose Convert Numbering To Text
or Convert Bullets To Text.
Note: To remove the list numbers or bullets, click the Numbered List button or Bulleted List button to unapply list
formatting to the selected text.
See also
“Convert style bullets and numbering to text” on page 172
Composing text
About text composition
The appearance of text on your page depends on a complex interaction of processes called composition. Using the
word spacing, letterspacing, glyph scaling, and hyphenation options you’ve selected, InDesign composes your type
in a way that best supports the specified parameters.

INDESIGN CS3
User Guide
247
InDesign offers two composition methods: Adobe Paragraph Composer (the default) and Adobe Single-line
Composer (both are available from the Control panel menu). You can select which composer to use from the
Paragraph panel menu, the Justification dialog box, or the Control panel menu.
For a video on working with text, see www.adobe.com/go/vid0075.
Composition methods
InDesign offers two composition methods: Adobe Paragraph Composer (the default) and Adobe Single-line
Composer. Both composition methods evaluate possible breaks, and choose those that best support the hyphenation
and justification options you’ve specified for a given paragraph.
The Adobe Paragraph Composer
Considers a network of breakpoints for an entire paragraph, and thus can optimize earlier lines in the paragraph in
order to eliminate especially unattractive breaks later on. Paragraph composition results in more even spacing with
fewer hyphens.
The Paragraph Composer approaches composition by identifying possible breakpoints, evaluating them, and
assigning a weighted penalty to them based on such principles as evenness of letterspacing, word spacing, and
hyphenation.
You can use the Hyphenation dialog box to determine the relationship between better spacing and fewer hyphens.
(See “Hyphenate text” on page 248.)
The Adobe Single-line Composer
Offers a traditional approach to composing text one line at a time. This option is useful if you want to restrict compo-
sition changes from late stage edits.
Choose a composition method for a paragraph
❖Do any of the following:
•From the Paragraph panel menu, choose Adobe Paragraph Composer (the default) or Adobe Single-line
Composer.
•From the Paragraph panel menu or the Control panel menu, choose Justification, and then choose an option from
the Composer menu.
Note: Additional composition engine plug-ins from other companies may be available, along with interfaces that let you
customize an engine’s parameters.
Set composition preferences
1Choose Edit > Preferences > Composition (Windows) or InDesign > Preferences > Composition (Mac OS).
2To use on-screen highlighting to identify compositional problems, select Keep Violations and H&J Violations
(hyphenation and justification).
3To justify text that wraps around an object, select Justify Text Next To An Object.
4Click OK.

INDESIGN CS3
User Guide
248
See also
“Highlight lines that are too loose or tight” on page 251
“Justify text next to wrap objects” on page 199
Hyphenate text
The settings you choose for hyphenation and justification affect the horizontal spacing of lines and the aesthetic
appeal of type on your pages. Hyphenation options determine whether words can be hyphenated and, if they can,
which breaks are allowable.
Justification is controlled by the alignment option you choose, the word spacing and letterspacing you specify, and
whether or not you have used glyph scaling. You can also justifying single words in narrow columns of fully justified text.
See also
“Adjust word and letterspacing in justified text” on page 250
“Hyphenation and spelling dictionaries” on page 155
Adjust hyphenation manually
You can hyphenate words manually or automatically, or you can use a combination of the two methods. The safest
way to hyphenate manually is to insert a discretionary hyphen, which is not visible unless the word needs to be broken
at the end of a line. Placing a discretionary hyphen at the beginning of a word prevents it from being broken.
1Using the Type tool , click where you want to insert the hyphen.
2Do one of the following:
•Choose Type > Insert Special Character > Hyphens and Dashes > Discretionary Hyphen.
•Press Ctrl+Shift+- (Windows) or Command+Shift+- (Mac OS) to insert a discretionary hyphen.
Note: Entering a discretionary hyphen in a word does not guarantee that the word will be hyphenated. Whether or not
the word breaks depends on other hyphenation and composition settings. However, entering a discretionary hyphen in
a word does guarantee that the word can be broken only where the discretionary hyphen appears.
Adjust hyphenation automatically
Hyphenation is based on word lists that can be stored either in a separate user dictionary file on your computer, or
in the document itself. To ensure consistent hyphenation, you may want to specify which word list to refer to,
especially if you will be taking your document to a service provider or if you work in a workgroup.
❖To turn automatic hyphenation on or off for a paragraph, in the Paragraph panel or Control panel, select or
deselect the Hyphenation option. (You can also include this option in a paragraph style.)
When you set automatic hyphenation options, you can determine the relationship between better spacing and fewer
hyphens. You can also prevent capitalized words and the last word in a paragraph from being hyphenated.
Set automatic hyphenation options for a paragraph
1Click in a paragraph or select the range of paragraphs you want to affect.
2Choose Hyphenation from the Paragraph panel menu.
3Select the Hyphenate option.

INDESIGN CS3
User Guide
249
4Make changes to the following settings as needed, and then click OK:
Words With At Least _ Letters Specify the minimum number of characters for hyphenated words.
After First _ Letters and Before Last _ Letters Specify the minimum number of characters at the beginning or end of
a word that can be broken by a hyphen. For example, by specifying 3 for these values, aromatic would be hyphenated
as aro- matic instead of ar- omatic or aromat- ic.
Hyphen Limit Specify the maximum number of hyphens that can appear on consecutive lines. Zero means unlimited
hyphens.
Hyphenation Zone Specify the amount of white space allowed at the end of a line of unjustified text before hyphen-
ation begins. This option applies only when you’re using the Single-line Composer with nonjustified text.
Better Spacing / Fewer Hyphens To alter the balance between these settings, adjust the slider at the bottom of the
dialog box.
Hyphenate Capitalized Words To prevent capitalized words from being hyphenated, deselect this option.
Hyphenate Last Word To prevent last words in paragraphs from being hyphenated, deselect this option.
Hyphenate Across Column To prevent words from being hyphenated across a column, frame, or page, deselect this
option.
Prevent unwanted word breaks
By using nonbreaking hyphens, you can prevent certain words from breaking at all—for example, proper names or
words which, when broken, become unattractive fragments. By using nonbreaking spaces, you can also keep
multiple words from breaking—for example, clusters of initials and a last name (P. T. Barnum). If you apply the
no-break attribute to text longer than a line, InDesign compresses the text so that it fits on one line.
Prevent text from breaking
1Select the text you want to keep on the same line.
2Choose No Break from the Character panel menu or the Control panel menu.
Another way to prevent a word from breaking is to place a discretionary hyphen at the beginning of the word. Press
Ctrl+Shift+- (Windows) or Command+Shift+- (Mac OS) to insert a discretionary hyphen.
Create a nonbreaking hyphen
1Using the Type tool , click where you want to insert the hyphen.
2Choose Type > Insert Special Character > Hyphens And Dashes > Nonbreaking Hyphen.
Create a nonbreaking space
1Using the Type tool , click where you want to insert the space.
2Choose Type > Insert White Space> Nonbreaking Space (or any other white space character).
The Nonbreaking Space varies in width depending on point size, the justification setting, and word space settings,
whereas the Nonbreaking Space (Fixed Width) character maintains the same width regardless of context.

INDESIGN CS3
User Guide
250
Adjust word and letterspacing in justified text
You can precisely control how Adobe applications space letters and words and scale characters. Adjusting spacing is
especially useful with justified type, although you can also adjust spacing for unjustified type.
1Insert the cursor in the paragraph you want to change, or select a type object or frame to change all of its
paragraphs.
2Choose Justification from the Paragraph panel menu.
3Enter values for Word Spacing, Letter Spacing, and Glyph Spacing. The Minimum and Maximum values define a
range of acceptable spacing for justified paragraphs only. The Desired value defines the desired spacing for both
justified and unjustified paragraphs:
Word Spacing The space between words that results from pressing the spacebar. Word Spacing values can range
from 0% to 1000%; at 100%, no additional space is added between words.
Letter Spacing The distance between letters, including kerning or tracking values. Letter Spacing values can range
from -100% to 500%: at 0%, no space is added between letters; at 100%, an entire space width is added between
letters.
Glyph Spacing The width of characters (a glyph is any font character). Glyph Spacing values can range from 50% to
200%; at 100%, the height of characters is not scaled.
Spacing options are always applied to an entire paragraph. To adjust the spacing in a few characters, but not an entire
paragraph, use the Tracking option.
4Set the Single Word Justification option to specify how you want to justify single-word paragraphs.
In narrow columns, a single word can occasionally appear by itself on a line. If the paragraph is set to full justification,
a single word on a line may appear to be too stretched out. Instead of leaving such words fully justified, you can center
them or align them to the left or right margins.
Set glyph scaling
1Click an insertion point in a paragraph or select the paragraphs you want to affect.
2Choose Justification from the Paragraph panel menu.
3Type values for Glyph Scaling Minimum, Desired, and Maximum. Then click OK.
Before (top) and after (bottom) glyph scaling in justified text
Glyph scaling can help in achieving even justification; however, values more than 3% from the 100% default value
may result in distorted letter shapes. Unless you’re striving for a special effect, it’s best to keep glyph scaling to subtle
values, such as 97–100–103.

INDESIGN CS3
User Guide
251
Use a flush space with justified text
Using a flush space character adds a variable amount of space to the last line of a fully justified paragraph—between
the last word and an end-of-story character from a decorative font. Used with nonjustified text, the flush space
appears as a normal word space. In justified text, it expands to absorb all available extra space on the last line. Using
a flush space can make a dramatic difference in the way the entire paragraph is formatted by the Adobe Paragraph
Composer.
Before and after adding a flush space character
1Using the Type tool , click directly in front of the end-of-story character.
2Choose Type > Insert White Space > Flush Space.
Note: The effect of a flush space isn’t apparent until you apply the Justify All Lines option to the paragraph.
Highlight lines that are too loose or tight
Because composing a line of type involves factors in addition to word spacing and letterspacing (hyphenation prefer-
ences, for example), InDesign cannot always honor your settings for word spacing and letterspacing. However,
compositional problems in lines of text can be highlighted in yellow; the darkest of three shades indicates the most
serious problems.
1Choose Edit > Preferences > Composition (Windows) or InDesign > Preferences > Composition (Mac OS).
2Select H&J Violations and click OK.

252
Chapter 9: Tables
A table consists of rows and columns of cells. A cell is like a text frame in which you can add text, anchored frames,
or other tables. Create tables in Adobe InDesign CS3 or export them from other applications.
Creating tables
About tables
A table consists of rows and columns of cells. A cell is like a text frame in which you can add text, inline graphics, or
other tables.
When you create a table, the new table fills the width of the container text frame. A table is inserted on the same line
when the insertion point is at the beginning of the line, or on the next line, when the insertion point is in the middle
of a line.
Tables flow with surrounding text just as inline graphics do. For example, a table moves through threaded frames
when the text above it changes in point size or when text is added or deleted. However, a table cannot appear on a
text-on-path frame.
Create tables
You can create tables from scratch or by converting them from existing text. You can also embed a table within a
table.
For a video on creating and formatting tables, see www.adobe.com/go/vid0081.
See also
“Importing tables from other applications” on page 253
“Formatting tables” on page 260
Create a table from scratch
The table you create fills the width of the text frame.
1Using the Type tool , place the insertion point where you want the table to appear.
2Choose Table > Insert Table.
3Specify the numbers of rows and columns.
4If your table contents will continue on more than one column or frame, specify the number of header or footer
rows in which you want the information to be repeated.
5(Optional) Specify a table style.
6Click OK.

INDESIGN CS3
User Guide
253
The row height of a table is determined by the specified table style. For example, a table style may use cell styles to
format different parts of the table. If any of these cell styles include paragraph styles, the leading value of the
paragraph styles determines the row height of that area. If no paragraph style is used, the document’s default slug
determines the row height. (The slug is based on the leading value. In this context, a slug is the approximate height
of the highlighting in selected text.)
Create a table from existing text
Before you convert text to a table, make sure that you set up the text properly.
1To prepare the text for conversion, insert tabs, commas, paragraph returns, or another character to separate
columns. Insert tabs, commas, paragraph returns, or another character to separate rows. (In many instances, text can
be converted to a table without having to be edited.)
2Using the Type tool , select the text you want to convert to a table.
3Choose Table > Convert Text To Table.
4For both Column Separator and Row Separator, indicate where new rows and columns should begin. Choose Tab,
Comma, or Paragraph, or type the character, such as a semicolon (;), in the Column Separator and Row Separator
field. (Any character you type appears in the menu the next time you create a table from text.)
5If you specify the same separator for columns and rows, indicate the number of columns you want the table to
include.
6(Optional) Specify a table style to format the table.
7Click OK.
If any row has fewer items than the number of columns in a table, empty cells fill out the row.
Embed a table within a table
1Do one of the following:
•Select the cells or table you want to embed, and then choose Edit > Cut or Copy. Place the insertion point in the
cell where you want the table to appear, and then choose Edit > Paste.
•Click inside the table, choose Table > Insert Table, specify the number of rows and columns, and then click OK.
2Adjust the cell inset as necessary. (See “Change cell inset spacing” on page 262.)
If you create a table within a cell, you cannot use the mouse to select any part of the table that oversets the cell
boundary. Instead, expand the row or column; or place the insertion point in the first part of the table, and use
keyboard shortcuts to move the insertion point and select text.
Importing tables from other applications
WhenyouusethePlacecommandtoimportaMicrosoftWorddocumentthatincludestables,oraMicrosoftExcel
spreadsheet, imported data is an editable table. You can use the Import Options dialog box to control the formatting.
You can also paste data from an Excel spreadsheet or a Word table into an InDesign or InCopy document. The
Clipboard Handling preference settings determine how text pasted from another application is formatted. If Text
Only is selected, the information appears as unformatted tabbed text, which you can then convert to a table. If All
Information is selected, the pasted text appears in a formatted table.
If you’re pasting text from another application into an existing table, insert enough rows and columns to accom-
modate the pasted text, select the Text Only option in Clipboard Handling preferences, and make sure that at least
one cell is selected (unless you want to embed the pasted table into a cell).

INDESIGN CS3
User Guide
254
If you want more control over formatting the imported table, or if you want to maintain a link to the spreadsheet
formatting, use the Place command to import the table.
See also
“Place (import) text” on page 117
Add text to a table
You can add text, anchored objects, XML tags, and other tables to table cells. The height of a table row expands to
accommodate additional lines of text, unless you set a fixed row height. You cannot add footnotes to tables.
❖Using the Type tool , do any of the following:
•Position the insertion point in a cell, and type text. Press Enter or Return to create a new paragraph in the same
cell. Press Tab to move forward through cells (pressing Tab in the last cell inserts a new row). Press Shift+Tab to
move backwards through cells.
•Copy text, position the insertion point in the table, and then choose Edit > Paste.
•Position the insertion point where you want to add text, choose File > Place, and then double-click a text file.
See also
“Resize columns, rows, and tables” on page 260
“Work with overset cells” on page 264
“Tag items” on page 525
Add graphics to a table
For a video on placing images into a table, see www.adobe.com/go/vid0083.
❖Do any of the following:
•Position the insertion point where you want the graphic, choose File > Place, and then double-click the graphic’s
filename.
•Position the insertion point where you want the graphic, choose Object > Anchored Object > Insert, and then
specify settings. You can later add a graphic to the anchored object.
•Copy a graphic or a frame, position the insertion point, and then choose Edit > Paste.
When you add a graphic that is larger than the cell, the cell height expands to accommodate the graphic, but the
width of the cell doesn’t change—the graphic may extend beyond the right side of the cell. If the row in which the
graphic is placed is set to a fixed height, a graphic that is taller than the row height causes the cell to be overset.
Toavoidanoversetcell,youmaywanttoplacetheimageoutsidethetable,resizetheimage,andthenpasteitinto
the table cell.
See also
“Work with overset cells” on page 264
“Anchored objects” on page 186

INDESIGN CS3
User Guide
255
Change the alignment of a table within a frame
A table assumes the width of the paragraph or table cell in which it is created. However, you can change the size of
thetextframeortablesothatthetableiswiderornarrowerthantheframe.Insuchacase,youcandecidewhereyou
want the table to be aligned within the frame.
1Place the insertion point to the right or left of the table. Make sure that the text insertion point is placed on the
table paragraph and not inside the table. The insertion point becomes as tall as the table in the frame.
2Click an alignment button (such as Align Center) in the Paragraph panel or Control panel.
See also
“Resize columns, rows, and tables” on page 260
Convert tables to text
1Using the Type tool , place the insertion point inside the table, or select text in the table.
2Choose Table > Convert Table To Text.
3For both Column Separator and Row Separator, specify the separators you want to use.
For best results, use a different separator for columns and rows, such as tabs for columns and paragraphs for rows.
4Click OK.
When you convert a table to text, the table lines are removed and the separator you specify is inserted at the end of
each row and column.
Combine tables
Use the Paste command to merge two or more tables into a single table.
1Inthetargettable,insertatleastasmanyblankrowsasyou’llbepastingfromtheothertables.(Ifyouinsertfewer
rows than are copied, you cannot paste.)
2In the source table, select the cells you want to copy. (If you copy more column cells than are available in the target
table, you cannot paste.)
3Select at least one cell where you want the incoming rows to be inserted, and then choose Edit > Paste.
If the pasted rows use different formatting than the rest of the table, define one or more cell styles, and then apply the
cell styles to the pasted cells. Hold down Alt (Windows) or Option (Mac OS) while clicking the cell style to override
existing formatting.
See also
“Cut, copy, and paste table contents” on page 260
“Define table and cell styles” on page 270
Move within a table
Use the Tab or arrow keys to move within a table. You can also jump to a specific row, especially useful in long tables.
See also
“Keys for tables” on page 637

INDESIGN CS3
User Guide
256
Move within a table using Tab
•Press Tab to move to the next cell. If you press Tab in the last table cell, a new row is created. For information on
inserting tabs and indents in a table, see “Format text within a table” on page 262.
•Press Shift+Tab to move to the previous cell. If you press Shift+Tab in the first table cell, the insertion point moves
to the last table cell.
Move within a table using arrow keys
•Press the arrow keys to navigate within and between table cells. If you press the Right Arrow key when the
insertion point is at the end of the last cell in a row, the insertion point moves to the beginning of the first cell in
thesamerow.Similarly,ifyoupresstheDownArrowkeywhentheinsertionpointisattheendofthelastcellin
a column, the insertion point moves to the beginning of the first cell in the same column.
Jump to a specific row in a table
1Choose Table > Go To Row.
2Do any of the following:
•Specify the row number you want to jump to, and then click OK.
•If a header or footer row is defined in the current table, choose Header or Footer from the menu, and then
click OK.
Add table headers and footers
When you create a long table, the table may span more than one column, frame, or page. You can use headers or
footers to repeat the information at the top or bottom of each divided portion of the table.
Youcanaddheaderandfooterrowswhenyoucreatethetable.YoucanalsousetheTableOptionsdialogboxtoadd
headerandfooterrowsandchangehowtheyappearinthetable.Youcanconvertbodyrowstoheaderorfooterrows.
Header rows repeated once per frame
To number tables sequentially, such as Table 1A, Table 1B, and so on, add a variable to the table header or footer.
(See “Create running captions for figures and tables” on page 245.)
For a video on creating table headers and footers, see www.adobe.com/go/vid0082.
See also
“Create tables” on page 252
“Break tables across frames” on page 262
“Create variables for running headers and footers” on page 88
Convert existing rows to header or footer rows
1Select the rows at the top of the table to create header rows, or at the bottom of the table to create footer rows.

INDESIGN CS3
User Guide
257
2Choose Table > Convert Rows > To Header or To Footer.
Change header or footer row options
1Place the insertion point in the table, and then choose Table > Table Options > Headers And Footers.
2Specify the number of header or footer rows. Blank rows may be added to the top or bottom of the table.
3Specify whether the information in the header or footer appears in every text column (if text frames have more
than one column), once per frame, or only once per page.
4Select Skip First if you don’t want the header information to appear in the first row of the table. Select Skip Last if
you don’t want the footer information to appear in the last row of the table.
5Click OK.
Remove header or footer rows
❖Do any of the following:
•Place the insertion point in the header or footer row, and then choose Table > Convert Rows > To Body.
•Choose Table > Table Options > Headers And Footers, and then specify a different number of header rows or
footer rows.
Selecting and editing tables
Select table cells, rows, and columns
Whenyouselectpartorallofthetextinacell,thatselectionhasthesameappearanceaswouldtextselectedoutside
a table. However, if the selection spans more than one cell, the cells and their contents are both selected.
If a table spans more than one frame, holding the mouse pointer over any header or footer row that is not the first
header or footer row causes a lock icon to appear, indicating that you cannot select text or cells in that row. To select
cells in a header or footer row, go to the beginning of the table.
See also
“Keys for tables” on page 637
Select cells
❖Using the Type tool , do any of the following:
•To select a single cell, click inside a table, or select text, and then choose Table > Select > Cell.
•To select multiple cells, drag across a cell border. Be careful not to drag the column or row line so that you don’t
resize the table.
To switch between selecting all of the text in a cell and selecting the cell, press Esc.
Select entire columns or rows
❖Using the Type tool , do any of the following:
•Click inside a table, or select text, and then choose Table > Select > Column or Row.

INDESIGN CS3
User Guide
258
•Move the pointer over the top edge of a column or the left edge of a row so that the pointer becomes an arrow
shape ( or ), and then click to select the entire column or row.
Before and after selecting Row
Select all header, body, or footer rows
1Click inside a table, or select text.
2Choose Table > Select > Header Rows, Body Rows, or Footer Rows.
Select the entire table
❖Using the Type tool , do any of the following:
•Click inside a table, or select text, and then choose Table > Select > Table.
•Move the pointer over the upper left corner of the table so that the pointer becomes an arrow shape , and then
click to select the entire table.
Before and after selecting table
•Drag the Type tool across the entire table.
You can also select a table in the same way you select an anchored graphic—place the insertion point immediately
before or after a table, and then hold down Shift while pressing the Right Arrow key or Left Arrow key, respectively,
to select the table.
Insert rows and columns
You can insert rows and columns using a number of different methods.
Insert a row
1Place the insertion point in a row below or above where you want the new row to appear.
2Choose Table > Insert > Row.
3Specify the number of rows you want.
4Specify whether the new row or rows should appear before or after the current row, and then click OK.
The new cells have the same formatting as the text in the row in which the insertion point was placed.
You can also create a new row by pressing Tab when the insertion point is in the last cell.

INDESIGN CS3
User Guide
259
Insert a column
1Place the insertion point in a column next to where you want the new column to appear.
2Choose Table > Insert > Column.
3Specify the number of columns you want.
4Specify whether the new column or columns should appear before or after the current column, and then click OK.
The new cells have the same formatting as the text in the column in which the insertion point was placed.
Insert multiple rows and columns
1With the insertion point in the table, choose Table > Table Options > Table Setup.
2Specify a different number of rows and columns, and then click OK.
New rows are added to the bottom of the table; new columns are added to the right side of the table.
You can also change the number of rows and columns using the Table panel. To display the Table panel, choose
Window > Type & Tables > Table.
Insert a row or column by dragging
When adding columns, if you drag more than one and one-half times the width of the column being dragged, new
columns are added that have the same width as the original column. If you drag to insert only one column, that
column can have a narrower or wider width than the column from where you dragged. The same behavior is true of
rows, unless the Row Height for the row being dragged is set to At Least. In this case, if you drag to create only one
row, InDesign will resize the new row, if necessary, so that it’s tall enough to contain text.
1Position the Type tool over the border of a column or row so that a double-arrow icon( or ) appears.
2Hold down the mouse button, and then hold down Alt (Windows) or Option (Mac OS) while dragging down to
create a new row, or to the right to create a new column. (If you press Alt or Option before holding down the mouse
button, the Hand tool appears—so make sure you begin dragging before you press Alt or Option.)
Note: Dragging to insert rows or columns doesn’t work at the top or left edges of a table. These fields are used to select
rows or columns.
Delete rows, columns, or tables
•To delete a row, column, or table, place the insertion point inside the table, or select text in the table, and then
choose Table > Delete > Row, Column, or Table.
•To delete rows and columns by using the Table Options dialog box, choose Table > Table Options > Table Setup.
Specify a different number of rows and columns, and then click OK. Rows are deleted from the bottom of the table;
columns are deleted from the right side of the table.
•To delete a row or column by using the mouse, position the pointer over the border of the bottom or right side of
the table so that a double-arrow icon ( or ) appears; hold down the mouse button; and then hold down Alt
(Windows) or Option (Mac OS) while dragging either up to delete rows, or to the left to delete columns.
Note: If you press Alt or Option before holding down the mouse button, the Hand tool will appear—so press Alt or Option
after you begin dragging.
•To delete cell contents without deleting cells, select the cells containing the text you want to delete, or use the Type
tool to select the text within the cells. Press Backspace or Delete, or choose Edit > Clear.

INDESIGN CS3
User Guide
260
Cut, copy, and paste table contents
When text is selected within a cell, cutting, copying, and pasting actions are the same as for text selected outside a
table. You can also cut, copy, and paste cells and their contents. If the insertion point is in a table when you paste,
multiple pasted cells appear as a table within a table. You can also move or copy the entire table.
1Select the cells you want to cut or copy, and then choose Edit > Cut or Copy.
2Do any of the following:
•Toembedatablewithinatable,placetheinsertionpointinthecellwhereyouwantthetabletoappear,andthen
choose Edit > Paste.
•To replace existing cells, select one or more cells in the table—making sure that there are sufficient cells below and
to the right of the selected cell—and then choose Edit > Paste.
See also
“Select table cells, rows, and columns” on page 257
Move or copy a table
1To select the entire table, place the insertion point in the table and choose Table > Select > Table.
2ChooseEdit>CutorCopy,movetheinsertionpointwhereyouwantthetabletoappear,andthenchooseEdit>
Paste.
Formatting tables
Formatting tables
Use the Control panel or Character panel to format text within a table—just like formatting text outside a table. In
addition, two main dialog boxes help you format the table itself: Table Options and Cell Options. Use these dialog
boxestochangethenumberofrowsandcolumns,tochangetheappearanceofthetableborderandfill,todetermine
the spacing above and below the table, to edit header and footer rows, and to add other table formatting.
Use the Table panel, the Control panel, or the context menu to format the table structure. Select one or more cells
and then right-click (Windows) or Control-click (Mac OS) to display a context menu with table options.
For a video on creating and formatting tables, see www.adobe.com/go/vid0081.
See also
“About table strokes and fills” on page 264
Resize columns, rows, and tables
You can resize columns, rows, and tables using a number of different methods.
See also
“Change the alignment of a table within a frame” on page 255

INDESIGN CS3
User Guide
261
Resize columns and rows
1Select cells in the columns and rows you want to resize.
2Do one of the following:
•In the Table panel, specify Column Width and Row Height settings.
•Choose Table > Cell Options > Rows And Columns, specify Row Height and Column Width options, and then
click OK.
Note: If you select At Least to set a minimum row height, rows increase in height as you add text or increase the point
size. If you select Exactly to set a fixed row height, the row height does not change when you add or remove text. A fixed
row height often results in an overset condition in the cell. (See “Work with overset cells” on page 264.)
•Position the pointer over the edge of a column or row so that a double-arrow icon( or ) appears, and then
drag left or right to increase or decrease the column width, or drag up or down to increase or decrease row height.
Before and after dragging to resize rows
By default, row height is determined by the slug height of the current font. Thus, row height also changes if you
change the point size of type for entire rows of text, or if you change the row height setting.
Resize rows or columns without changing the table width
•Hold down Shift while dragging an inside row or column edge (not the table boundary). One row or column gets
bigger as the other gets smaller.
•
To resize rows or columns proportionally, hold down Shift while dragging the right table border or bottom table edge.
Holding down Shift while dragging the right table edge will resize all the columns proportionally; holding down Shift
while dragging the bottom table edge will resize all rows proportionally.
Resize the entire table
❖Using the Type tool , position the pointer over the lower right corner of the table so that the pointer becomes
an arrow shape , and then drag to increase or decrease the table size. Hold down Shift to maintain the table’s
height and width proportions.
Note: If the table spans more than one frame in a story, you cannot use the pointer to resize the entire table.
Distribute columns and rows evenly
1Select cells in the columns or rows that should be the same width or height.
2Choose Table > Distribute Rows Evenly or Distribute Columns Evenly.
Change the spacing before or after a table
1Place the insertion point in the table and choose Table > Table Options > Table Setup.
2Under Table Spacing, specify different values for Space Before and Space After, and then click OK.
Name

INDESIGN CS3
User Guide
262
Note that changing the spacing before the table does not affect the spacing of a table row that falls at the top of a
frame.
Break tables across frames
Use Keep options to determine how many rows should remain together, or to specify where a row breaks, such as at
the top of a column or frame.
Whenyoucreateatablethatistallerthantheframeinwhichitresides,theframeisoverset. If you thread the frame
to another frame, the table continues in that frame. Rows move into threaded frames one at a time—you can’t break
a single row across multiple frames. Specify header or footer rows to repeat information in the new frame.
1Position the insertion point in the appropriate row, or select a range of cells in the rows you want to keep together.
2Choose Table > Cell Options > Rows And Columns.
3To keep the selected rows together, select Keep With Next Row.
4To cause the row to break in a specified location, select an option (such as In Next Frame) from the Start Row
menu, and then click OK.
If you create a single table that spans both pages of a spread, you may want to add a blank column in the middle of
the table to create inset margins.
See also
“Add table headers and footers” on page 256
Change cell inset spacing
1Using the Type tool , place the insertion point in or select the cell or cells you want to affect.
2Choose Table > Cell Options > Text, or display the Table panel.
3Under Cell Insets, specify values for Top, Bottom, Left, and Right, and then click OK.
In many cases, increasing the cell inset spacing will increase the row height. If the row height is set at a fixed value,
make sure that you leave enough room for the inset values, to avoid causing overset text.
Add text before a table
A table is anchored to the paragraphs that immediately precede and follow it. If you insert a table at the beginning
ofthetextframe,youcan’tclickabovethetabletoplaceaninsertionpoint.Instead,usethearrowkeystomovethe
insertion point before the table.
❖Place the insertion point at the beginning of the paragraph in the first cell, press the Left Arrow key, and begin
typing.
Format text within a table
In general, use the same methods to format text in a table that you would use to format text that’s not in a table.
See also
“Work with overset cells” on page 264
“Specify characters for decimal tabs” on page 236

INDESIGN CS3
User Guide
263
Insert tabs into a table cell
When the insertion point is in a table, pressing Tab moves the insertion point to the next cell. However, you can insert
a tab within a table cell. Use the Tabs panel to define tab settings in the table. Tab settings affect the paragraph in
which the insertion point is placed.
1Using the Type tool , place the insertion point where you want to insert a tab.
2Choose Type > Insert Special Character > Other > Tab.
To change tab settings, select the columns or cells you want to affect, choose Type > Tabs to display the Tabs panel,
and then adjust tab settings.
Note: When you use the Tabs ruler to apply a decimal tab to a cell or group of cells, you usually don’t need to press Tab
at the beginning of each paragraph to decimal-align the text in the cells. Paragraphs are automatically aligned on the
decimal character, unless the paragraph contains additional formatting, such as center alignment, that overrides the
decimal tab.
Change the alignment of text within a table cell
1Using the Type tool , select the cell or cells you want to affect.
2Choose Table > Cell Options > Text.
3Under Vertical Justification, select an Align setting: Top, Center, Bottom, or Justify.
If you select Justify, specify the Paragraph Spacing Limit; this will set a maximum amount of space to be added
between paragraphs. (See “Align or justify text vertically within a text frame” on page 229.)
4For First Baseline, select an option to determine how text is to be offset from the top of the cell.
The settings are the same as the corresponding settings in the Text Frame Options dialog box. (See “First baseline
offset options” on page 127.)
5Click OK.
Note: To change the horizontal alignment of text within a cell, use the alignment option in the Paragraph panel. To align
text in a cell to a decimal tab, use the Tabs panel to add a decimal tab setting.
Rotate text in a cell
1Position the insertion point in the cell you want to rotate, or select the cells you want to affect.
2Choose Table > Cell Options > Text, or display the Table panel.
3Select a value for Rotation, and click OK.
Merge and split cells
You can merge (combine) or split (divide) cells in a table.
Merge cells
Youcancombinetwoormorecellsinthesameroworcolumnintoasinglecell.Forexample,youcanmergethecells
in the top row of the table to create a single cell to be used for the table title.
1Using the Type tool , select the cells you want to merge.
2Choose Table > Merge Cells.

INDESIGN CS3
User Guide
264
Unmerge cells
❖Place the insertion point in the merged cell and choose Table > Unmerge Cells.
Split cells
You can split cells horizontally or vertically, which is especially useful when creating form tables. You can select
multiple cells and split them vertically or horizontally.
1Place the insertion point in the cell you want to split, or select a row, column, or block of cells.
2Choose Table > Split Cell Vertically or Split Cell Horizontally.
Work with overset cells
In most cases, a table cell will expand vertically to accommodate new text and graphics being added. However, if you
set a fixed row height and add text or graphics that are too large for the cell, a small red dot appears in the lower right
corner of the cell, indicating that the cell is overset.
You cannot flow overset text into another cell. Instead, edit or resize the contents, or expand the cell or the text frame
in which the table appears.
In the case of inline graphics or text with fixed leading, it is possible for the cell contents to extend beyond cell edges.
YoucanselecttheClipContentsToCelloption,sothatanytext or inline graphics that otherwise extend beyond any
cell edge are clipped to the cell boundary. However, when inline graphics are overset to extend beyond cell bottom
edges (Horizontal) this does not apply.
Display the contents of an overset cell
❖Do one of the following:
•Increase the size of the cell.
•Change the text formatting. To select the cell’s contents, click in the overset cell, press Esc, and then use the Control
panel to format the text.
Clip an image in a cell
If an image is too large for a cell, it extends beyond the cell borders. You can clip the parts of the image that extend
beyond the cell borders.
1Place the insertion point in the cell you want to clip, or select the cell or cells you want to affect.
2Choose Table > Cell Options > Text.
3Select Clip Contents To Cell, and then click OK.
Table strokes and fills
About table strokes and fills
You can add strokes and fills to your tables in a number of ways. Use the Table Options dialog box to change the
stroke of the table border, and to add alternating strokes and fills to columns and rows. To change the strokes and
fills of individual cells or header/footer cells, use the Cell Options dialog box, or use the Swatches, Stroke, and Color
panels.

INDESIGN CS3
User Guide
265
By default, the formatting you select using the Table Options dialog box overrides any corresponding formatting
previously applied to table cells. However, if you select the Preserve Local Formatting option in the Table Options
dialog box, the strokes and fills applied to individual cells are not overridden.
If you use the same formatting repeatedly for tables or cells, create and apply table styles or cell styles.
See also
“About table and cell styles” on page 268
Change the table border
1With the insertion point in the table, choose Table > Table Options > Table Setup.
2Under Table Border, specify the desired weight, type, color, tint, and gap settings. (See “Table stroke and fill
options” on page 267.)
3Under Stroke Drawing Order, select the drawing order from the following options:
Best Joins If selected, row strokes will appear to the front at the points where strokes of different colors cross. In
addition, when strokes such as double lines cross, the strokes are joined and the crossing points are connected.
Row Strokes in Front If selected, row strokes appear in front.
Column Strokes In Front If selected, column strokes appear in front.
InDesign 2.0 Compatibility If selected, row strokes appear in front. In addition, when strokes such as double lines
cross, they are joined and the crossing points are connected only at points where strokes cross in a T-shape.
4If you do not want stroke formatting of individual cells to be overridden, select Preserve Local Formatting.
5Click OK.
If you remove the stroke and fill from a table, choose View > Show Frame Edges to display the cell boundaries of a
table.
Add stroke and fill to cells
You can add stroke and fill to cells using the Cell Options dialog box, Stroke panel, or Swatches panel.
Add stroke and fill using Cell Options
You can determine which cell lines are formatted with a stroke or fill by selecting or deselecting lines in the Preview
proxy. If you want to change the appearance of all rows or columns in the table, use an alternating stroke or fill
pattern in which the second pattern is set to 0.
1Using the Type tool , place the insertion point in or select the cell or cells in which you want to add a stroke or
fill. To add a stroke or fill to header/footer rows, select the header/footer cells at the beginning of the table.
2Choose Table > Cell Options > Strokes And Fills.
3In the proxy preview area, specify which lines will be affected by stroke changes. For example, if you want to add
a heavy stroke to the outside lines but not to the inside lines of the selected cells, click an inside line to deselect it.
(Selected lines are blue; deselected lines are gray.)

INDESIGN CS3
User Guide
266
Select the lines you want to affect in proxy preview area.
In the proxy preview area, double-click any outside line to select the entire outer selection rectangle. Double-click any
inside line to select the inside lines. Triple-click anywhere in the proxy to select or deselect all lines.
4For Cell Stroke, specify desired weight, type, color, tint, and gap settings. (See “Table stroke and fill options” on
page 267.)
5For Cell Fill, specify desired color and tint settings.
6Select Overprint Stroke and Overprint Fill if desired, and then click OK.
Add a stroke to cells by using the Stroke panel
1Select the cell or cells you want to affect. To apply a stroke to header or footer, select the header or footer row.
2Choose Window > Stroke to display the Stroke panel.
3In the proxy preview area, specify which lines will be affected by stroke changes.
4In the Tools panel, make sure the Object button is selected. (If the Text button is selected, the stroke
changes will affect the text, not the cells.)
5Specify a weight value and stroke type.
Add a fill to cells
1Select the cell or cells you want to affect. To apply a fill to header or footer cells, select the header or footer row.
2Choose Window > Swatches to display the Swatches panel.
3Make sure the Object button is selected. (If the Text button is selected, the color changes will affect the text,
not the cells.)
4Select a swatch.
Add a gradient to cells
1Select the cells you want to affect. To apply a gradient to header or footer cells, select the header or footer row.
2Choose Window > Gradient to display the Gradient panel.
3Click in the Gradient Ramp to apply a gradient to the selected cells. Adjust the gradient settings as necessary.
Add diagonal lines to a cell
1Using the Type tool , place the insertion point in or select the cell or cells in which you want to add diagonal
lines.
2Choose Table > Cell Options > Diagonal Lines.
3Click the button for the type of diagonal line you want to add.

INDESIGN CS3
User Guide
267
4Under Line Stroke, specify desired weight, type, color, and gap settings; specify a Tint percentage and Overprint
options.
5From the Draw menu, choose Diagonal In Front to place the diagonal line in front of the cell contents; choose
Content in Front to place the diagonal line behind the cell contents, and then click OK.
Table stroke and fill options
When selecting strokes and fills for the table or cells, use the following options:
Weight Specifies the line thickness for the table or cell border.
Type Specifies the line style, such as Thick - Thin and Solid.
Color Specifies the color of the table or cell border. The choices listed are those available in the Swatches panel.
Tint Specifies the percentage of ink of the specified color to be applied to the stroke or fill.
Gap Color Applies a color to the areas between the dashes, dots, or lines. This option is not available if Solid is
selected for Type.
Gap Tint Applies tint to the areas between the dashes, dots, or lines. This option is not available if Solid is selected
for Type.
Overprint When selected, causes the ink specified in the Color drop-down list to be applied over any underlying
colors, rather than knocking out those inks.
Alternate strokes and fills in a table
You can alternate strokes and fills to enhance readability or improve the appearance of your table. Adding alternate
strokes and fills to table rows does not affect the appearance of the table’s header and footer rows. However, adding
alternate strokes and fills to columns does affect header and footer rows.
Alternating stroke and fill settings override cell stroke formatting, unless you select the Preserve Local Formatting
option in the Table Options dialog box.
If you want to apply a fill or stroke to every body cell in the table, and not just alternating patterns, you can still use
the alternating stroke and fill settings to create such non-alternating patterns. To create such an effect, specify 0 for
Next in the second pattern.
Before (left) and after (right) alternating fills in a table
Add alternating strokes to a table
1With the insertion point in the table, choose Table > Table Options > Alternating Row Strokes or Alternating
Column Strokes.
2For Alternating Pattern, select the type of pattern you want to use. Select Custom if you want to specify a pattern;
for example, one column with a thick black line followed by three columns with thin yellow lines.

INDESIGN CS3
User Guide
268
3Under Alternating, specify the stroke or fill options for both the first pattern and the subsequent pattern. For
example, you may want to add a solid stroke to the first column and a Thick - Thin line to the next column, so that
they alternate. Specify 0 for Next if you want the strokes to affect every row or column.
Note: In tables that span multiple frames, alternating strokes and fills for rows do not restart at the beginning of
additional frames in the story. (See “Break tables across frames” on page 262.)
4Select Preserve Local Formatting if you want formatted strokes previously applied to the table to remain in effect.
5For Skip First and Skip Last, specify the number of rows or columns at the beginning and end of the table in which
you do not want stroke attributes to appear, and then click OK.
Add alternating fills to a table
1With the insertion point in the table, choose Table > Table Options > Alternating Fills.
2For Alternating Pattern, select the type of pattern you want to use. Select Custom if you want to specify a pattern,
such as one row shaded in gray followed by three rows shaded in yellow.
3Under Alternating, specify the stroke or fill options for both the first pattern and the subsequent pattern. For
example, if you selected Every Second Column for Alternating Pattern, you may want to shade the first two columns
in a gray tint and leave the next two columns blank. Specify 0 for Next if you want the fill to apply to every row.
4Select Preserve Local Formatting if you want previously formatted fills applied to the table to remain in effect.
5For Skip First and Skip Last, specify the number of rows or columns at the beginning and end of the table in which
you do not want fill attributes to appear, and then click OK.
Turn off alternating strokes and fills in a table
1Place the insertion point in the table.
2Choose Table > Table Options > Alternating Row Strokes, Alternating Column Strokes, or Alternating Fills.
3For Alternating Pattern, choose None, and then click OK.
Table and cell styles
About table and cell styles
Just as you use paragraph and character styles to format text, you can use table and cell styles to format tables. A table
style is a collection of table formatting attributes, such as table borders and row and column strokes, that can be
applied in a single step. A cell style includes formatting such as cell insets, paragraph styles, and strokes and fills.
When you edit a style, all tables or cells to which the style is applied are updated automatically.
[Basic Table] and [None] styles
By default, each new document contains a [Basic Table] style that can be applied to tables you create and a [None]
style that can be used to remove cell styles applied to cells. You can edit the [Basic Table] style, but you can’t rename
or delete either [Basic Table] or [None].

INDESIGN CS3
User Guide
269
Using cell styles in table styles
When you create a table style, you can specify which cell styles are applied to different regions of the table: header
andfooterrows,leftandrightcolumns,andbodyrows.Forexample,fortheheaderrow,youcanassignacellstyle
that applies a paragraph style, and for the left and right columns, you can assign different cell styles that apply shaded
backgrounds.
Cell styles applied to regions in table style
A. Header row formatted with cell style that includes paragraph style B. Left column C. Body cells D. Right column
Cell style attributes
Cell styles do not necessarily include all the formatting attributes of a selected cell. When you create a cell style, you
can determine which attributes are included. That way, applying the cell style changes only the desired attributes,
such as cell fill color, and ignores all other cell attributes.
Formatting precedence in styles
If a conflict occurs in formatting applied to a table cell, the following order of precedence determines which
formatting is used:
Cell style precedence 1. Header/Footer 2. Left column/Right column 3. Body rows. For example, if a cell appears in
both the header and the left column, the formatting from the header cell style is used.
Table style precedence 1. Cell overrides 2. Cell style 3. Cell styles applied from a table style 4. Table overrides 5. Table
styles.Forexample,ifyouapplyonefillusingtheCellOptionsdialogboxandanotherfillusingthecellstyle,thefill
from the Cell Options dialog box is used.
For a video on using table styles, see www.adobe.com/go/vid0084.
Table/Cell Styles panels overview
Use the Table Styles panel to create and name table styles, and to apply the styles to existing tables or tables you create
or import. Use the Cell Styles panel to create and name cell styles, and to apply the styles to table cells. Styles are saved
with a document and appear in the panel each time you open that document. You can save table and cell styles in
groups for easier management.
When you position the insertion point in a cell or table, any style that is applied is highlighted in either of the panels.
ThenameofanycellstylethatisappliedthroughatablestyleappearsinthelowerleftcorneroftheCellStylesarea.
If you select a range of cells that contains multiple styles, no style is highlighted, and the Cell Styles panel displays
“(Mixed).”
Open the Table Styles or Cell Styles panel
❖Choose Window > Type & Tables, and choose Table Styles or Cell Styles.
A
BCD

INDESIGN CS3
User Guide
270
Change how styles are listed in the panel
•Select Small Panel Rows to display a condensed version of the styles.
•Drag the style to a different position. You can also drag styles to groups that you create.
•Choose Sort By Name from the panel menu to list the styles alphabetically.
Define table and cell styles
For a video on using table styles, see www.adobe.com/go/vid0084.
1If you want to base a new style on the formatting of an existing table or cell, place the insertion point in a cell.
2If desired, define a paragraph style for the cell style.
3ChooseNewTableStylefromtheTableStylespanelmenu,orchooseNewCellStylefromtheCellStylespanelmenu.
4For Style Name, type a name.
5For Based On, select which style the current style is based on.
6To define a style shortcut, position the insertion point in the Shortcut text box, and make sure that Num Lock is
on. Then hold down any combination of Shift, Alt, or Ctrl (Windows) or Shift, Option, and Command (Mac OS),
and press a number on the numeric keypad. You cannot use letters or non-keypad numbers for defining style
shortcuts.
7To specify the formatting attributes, click a category on the left and specify the attributes you want. For example,
to assign a paragraph style to a cell style, click the General category, and then choose the paragraph style from the
Paragraph Style menu.
For cell styles, options that don’t have a setting specified are ignored in the style. If you don’t want a setting to be part
of the style, choose (Ignore) from the setting’s menu, delete the contents of the field, or click a check box until a small
box appears in Windows or a hyphen (-) appears in Mac OS.
8If you want the new style to appear in a style group you’ve created, drag it to the style group folder.
See also
“Group styles” on page 184
Load (import) table styles from other documents
You can import table and cell styles from another InDesign document into the active document. During import, you
can determine which styles are loaded, and what should occur if a loaded style has the same name as a style in the
current document. You can also import styles from an InCopy document.
1FromthemenuoftheCellStylesorTableStylespanel,chooseLoadCellStyles,LoadTableStyles,orLoadTable
And Cell Styles.
2Double-click the InDesign document containing the styles you want to import.
3In the Load Styles dialog box, make sure that a check mark appears next to the styles you want to import. If any
existing style has the same name as one of the imported styles, choose one of the following options under Conflict
With Existing Style, and then click OK:
Use Incoming Style Definition Overwrites the existing style with the loaded style and applies its new attributes to all
cells in the current document that used the old style. The definitions of the incoming and existing styles appear at
the bottom of the Load Styles dialog box so you can compare them.

INDESIGN CS3
User Guide
271
Auto-Rename Renames the loaded style. For example, if both documents have a style named “Table Style 1,” the
loaded style is renamed “Table Style 1 copy” in the current document.
Apply table and cell styles
Unlike paragraph and character styles, table and cell styles do not share attributes, so applying a table style does not
override cell formatting, and applying a cell style does not override table formatting. By default, applying a cell style
removes formatting applied by any previous cell style, but does not remove local cell formatting. Similarly, applying
a table style removes formatting applied by any previous table style, but does not remove overrides made using the
Table Options dialog box.
In the Styles panel, a plus sign (+) appears next to the current cell or table style if the selected cell or table has
additional formatting that isn’t part of the applied style. Such additional formatting is called an override.
1Position the insertion point in a table, or select the cells to which you want to apply the style.
2Do one of the following:
•Click the table or cell style in the Table Styles or Cell Styles panel. If the style is in a style group, expand the style
group to locate the style.
•Press the shortcut you defined for the style. (Make sure that Num Lock is on.)
See also
“Use Quick Apply” on page 183
“Override table and cell styles” on page 272
“Group styles” on page 184
Base one table or cell style on another
You can create links between similar table or cell styles by creating a base, or parent,style.Whenyouedittheparent
style, any changed attribute that appears in the child styles will change as well. By default, table styles are based on
[No Table Style], and cell styles are based on [None].
1Create a new style.
2IntheNewTableStyleorNewCellStyledialogbox,selecttheparentstyleintheBasedOnmenu.Thenewstyle
becomes the child style.
3Specify formatting for the new style to distinguish it from the parent style.
See also
“Duplicate styles or style groups” on page 183
Edit table and cell styles
One of the advantages of using styles is that when you change the definition of a style, all of the tables or cells
formatted with that style change to match the new style definition.
1Do one of the following:
•If you don’t want the style to be applied to a selected table or cell, right-click (Windows) or Control-click (Mac OS)
the style in the Styles panel, and choose Edit [style name].

INDESIGN CS3
User Guide
272
•IntheStylespanel,double-clickthestyle,orselectthestyleandchooseStyleOptionsfromtheStylespanelmenu.
Note that this method applies the cell style to any selected cell or the table style to any selected table. If no table is
selected, double-clicking a table style sets it as the default style for any table you create.
2Adjust settings in the dialog box, and then click OK.
Delete table and cell styles
When you delete a style, you can select a different style to replace it, and you can choose whether to preserve the
formatting.
1Select the style in the Styles panel.
2Do one of the following:
•Choose Delete Style from the panel menu.
•Click the Delete icon at the bottom of the panel, or drag the style to the Delete icon.
•Right-click (Windows) or Control-click (Mac OS) the style, and then choose Delete Style. This method is
especially useful for deleting a style without applying it to the selected cell or table.
3Select the style to replace it.
If you select [No Table Style] to replace a table style or [None] to replace a cell style, select Preserve Formatting to
keep the formatting of the table or cell to which the style is applied. The table or cell preserves its formatting but is
no longer associated with a style.
4Click OK.
Redefine table or cell styles based on current formatting
After you apply a style, you can override any of its settings. If you decide you like the changes, you can redefine the
style to retain the new formatting.
1Place the insertion point in the table or cell that is formatted with the style you want to redefine.
2Make changes to the table or cell as necessary.
3Choose Redefine Style from the Styles panel menu.
Note: For cell styles, changes to only those attributes that are part of the cell style will enable the Redefine Style command.
For example, if the cell style includes a red fill and you override a cell to use a blue fill, you can redefine the style based
on that cell. But if you change an attribute that is ignored in the cell style, you can’t redefine the style with that attribute.
Override table and cell styles
After you apply a table or cell style, you can override any of its settings. To override a table style, you can change
options in the Table Options dialog box. To override a cell, you can change options in the Cell Options dialog box or
use other panels to change the stroke or fill. If you select a table or cell that has an override, a plus sign (+) appears
next to the style in the Styles panel.
Youcancleartableandcelloverrideswhenyouapplyastyle.Youcanalsoclearoverridesfromatableorcelltowhich
a style has already been applied.
If a style has a plus sign (+) next to it, hover over the style to view a description of the override attributes.

INDESIGN CS3
User Guide
273
Preserve or remove overrides while applying a table style
•To apply a table style and preserve cell styles but remove overrides, hold down Alt (Windows) or Option (Mac OS)
as you click the style in the Table Styles panel.
•To apply a table style and remove both cell styles and overrides, hold down Alt+Shift (Windows) or Option+Shift
(Mac OS) as you click the style in the Table Styles panel.
Right-click (Windows) or Control-click (Mac OS) the style in the Table Styles panel, and then choose Apply [table
style], Clear Cell Styles to apply a style and clear cell styles.
Remove overrides while applying a cell style
❖To apply a cell style and remove overrides, hold down Alt (Windows) or Option (Mac OS) as you click the name
of the style in the Cell Styles panel.
Note: Only those attributes that are part of the cell style are considered overrides. For example, if the cell style includes
a red fill and all other attributes are ignored, changing a different cell option is not considered an override.
Clear attributes not defined by a cell style
❖Choose Clear Attributes Not Defined By Style from the Cell Styles panel menu.
Clear table or cell overrides
1Select the table or cells containing the overrides.
2In the Styles panel, click the Clear Overrides In Selection icon , or choose Clear Overrides from the Styles
panel menu.
Break the link to table or cell styles
When you break the link between tables or cells and the style applied to them, the tables or cells retain their current
formatting. However, future changes to that style won’t affect them.
1Select the cells to which the style has been applied.
2Choose Break Link To Style from the Styles panel menu.

274
Chapter 10: Long document features
Assemble long documents using books, tables of contents, and indexes. You can group related documents in a book
file so that you can number their pages and chapters sequentially, share styles, swatches, and master pages, and print
or export the group of documents.
Creating book files
Create a book file
Abook file is a collection of documents that can share styles, swatches, master pages, and other items. You can
sequentially number pages in booked documents, print selected documents in a book, or export them to PDF. One
document can belong to multiple book files.
One of the documents added to a book file is the style source.Bydefault,thestylesourceisthefirstdocumentinthe
book, but you can select a new style source at any time. When you synchronize documents in a book, the specified
styles and swatches from the style source replace those in other booked documents.
1Choose File > New > Book.
2Type a name for the book, specify a location, and then click Save.
The Book panel appears. The book file is saved with the file name extension .indb.
3Add documents to the book file.
Add documents to a book file
When you create a book file, it opens in the Book panel. The Book panel is the working area of a book file, where
you add, remove, or rearrange documents.
1Choose Add Document in the Book panel menu, or click the plus button at the bottom of the Book panel.
2Select the Adobe InDesign document or documents you want to add, and then click Open.
You can drag and drop files onto the Book panel from an Explorer (Windows) or Finder (Mac OS) window. You can
also drag a document from one book to another. Hold down Alt (Windows) or Option (Mac OS) to copy the
document.
3If you included documents created in earlier versions of InDesign, they will be converted to Adobe InDesign CS3
format when added to the book. In the Save As dialog box, specify a new name for the converted document (or leave
the name as is), and then click Save.
Note: You must convert Adobe PageMaker or QuarkXPress documents before adding them to the book file.
4If necessary, change the order of the documents in the panel by dragging them up or down to the appropriate
locations in the list.
5To designate a document as the style source, click the box next to the document’s name in the panel.
To open a document in a book file, double-click the document name in the Book panel.

INDESIGN CS3
User Guide
275
Manage book files
Each open book file appears on its own tab in the Book panel. If multiple books are open at the same time, click a
tab to bring that book to the front and access its panel menu.
Icons in the Book panel indicate a document’s current status, such as open , missing (the document was
moved, renamed, or deleted), modified (the document was edited or its page or section numbers changed while
the book was closed), or in use (if someone else has the document open). No icon appears next to closed
documents.
To view the pathname of any document in a book, hold the mouse pointer over the document name until a tooltip
appears. Or, choose Document Information from the Book panel menu.
Save a book file
Book files are separate from document files. For example, when you choose the Save Book command, InDesign saves
the changes to the book, not the documents in the book.
❖Do one of the following:
•Tosaveabookunderanewname,chooseSaveBookAsintheBookpanelmenu,specifyalocationandfilename,
and click Save.
•To save an existing book under the same name, choose Save Book in the Book panel menu, or click the Save
button at the bottom of the Book panel.
Note: Ifyouaresharingbookfilesoveraserver,makesurethatyouhaveafilemanagementsysteminplacesothatyou
don’t save over each other’s changes accidentally.
Close a book file
•To close a single book, choose Close Book in the book’s panel menu.
•To close all open books docked together in the same panel, click the close button on the Book panel’s title bar.
Remove book documents
1Select the document in the Book panel.
2Choose Remove Document in the Book panel menu.
Removing the document from the book file doesn’t delete the file on disk; the document is removed only from the
book file.
Replace book documents
1Select the document in the Book panel.
2Choose Replace Document in the Book panel menu, locate the document you want to replace it with, and then
click Open.
Synchronize book documents
When you synchronize documents in a book, the items you specify—styles, variables, master pages, trap presets,
numbering lists, and swatches—are copied from the style source to the specified documents in the book, replacing
any items that have identical names.
If items in the style source are not found in the documents being synchronized, they are added. Items that are not
included in the style source are left as is in the documents being synchronized.

INDESIGN CS3
User Guide
276
For a video on synchronizing book documents, see www.adobe.com/go/vid0216.
Select items to synchronize
1Choose Synchronize Options in the Book panel menu.
2Select the items you want to copy from the style source to other book documents, and then click OK.
Be sure to select all styles included in the definition of other styles. For example, an object style may contain
paragraph and character styles, which in turn include swatches.
Synchronize documents in a book file
You can synchronize the book while documents in the book are closed. InDesign opens the closed documents, makes
anychanges,andthensavesandclosesthedocuments.Documentsthatareopenwhenyousynchronizearechanged
but not saved.
1IntheBookpanel,clicktheblankboxnexttothedocumentthatyouwanttobethestylesource;thestylesource
icon indicates which document is the style source.
Selected style source
2
MakesurethattheitemsyouwantcopiedfromthestylesourceareselectedintheSynchronizeOptionsdialogbox.
3IntheBookpanel,selectthedocumentsyouwanttosynchronizewiththestylesourcedocument.Ifnodocument
is selected, the entire book will be synchronized.
To make sure that no documents are selected, click the blank gray area below the booked documents—you may need
to scroll or resize the Book panel. You can also hold down Ctrl (Windows) or Command (Mac OS) and click a
selected document to deselect it.
4Choose Synchronize Selected Documents or Synchronize Book from the Book panel menu, or click the
Synchronize button at the bottom of the Book panel.
Note: Choosing Edit > Undo will undo changes only in documents that are open at the time synchronization occurs.
Synchronizing master pages
Master pages are synchronized in the same way as other items—master pages with the same name (such as A-Master)
as those in the style source are replaced. Synchronizing masters is useful for documents that use the same design
elements, such as running headers and footers. However, if you want to preserve page items on a master page in
documentsotherthanthestylesource,eitherdon’tsynchronizemasterpages,orcreatemasterpageswithdifferent
names.
Anymasterpageitemsthatareoverriddenondocumentpagesbeforeyousynchronizemastersforthefirsttimeare
detached from the master. Therefore, if you plan on synchronizing master pages in your book, it’s a good idea to
synchronize all the documents in your book at the start of the design process. That way, overridden master page
items will maintain their connection to the master page and will continue to be updated from modified master page
items in the style source.

INDESIGN CS3
User Guide
277
It’s also a good idea to synchronize master pages using only one style source. If you synchronize from a different style
source, overridden master page items may become detached from the master page. If you need to synchronize using
a different style source, deselect the Master Pages option in the Synchronize Options dialog box before doing so.
Convert book files from previous InDesign versions
You can convert a book file created in a previous version of InDesign by opening and saving it in InDesign CS3.
When you synchronize, update numbering, print, package, or export a converted book, the documents it contains
are also converted to InDesign CS3 format. You can decide whether you want to overwrite or keep the original
document files.
Convert a book file for use with InDesign CS3
1In InDesign CS3, choose File > Open.
2Select the book file created in a previous version of InDesign and click OK. A warning appears if the book file
contains documents saved in a previous InDesign format.
3Choose Save Book As from the Book panel menu. Specify a new name for the converted book file, and click Save.
Convert documents in a book file
1Open the book file in InDesign CS3.
2In the Book panel menu:
•Ifyouwanttheoriginaldocumentstobeoverwrittenduringconversion,selectAutomaticDocumentConversion.
•If you want to keep the original documents and save the converted documents with new names, deselect
Automatic Document Conversion. (The book list will be updated to include the converted files, not the originals.)
3Do any of the following to convert the documents:
•Choose Synchronize Book from the Book panel menu. (See “Synchronize book documents” on page 275.)
•Choose Update Numbering > Update All Numbers from the Book panel menu.
4If Automatic Document Conversion is not selected, InDesign prompts you to save each converted document with
a new name.
Note: Documents are also converted when you print or package the book, or export the book to Adobe PDF.
Number pages, chapters, and paragraphs in a book
You can determine how pages, chapters, and paragraphs are numbered in a book. In a book file, the numbering styles
and starting numbers for pages and chapters are determined by each document’s settings in the Numbering &
Section Options dialog box. For numbered paragraphs (such as lists of figures), this is determined by the numbered
list style definition contained by the paragraph style.
The page range appears beside each document name in the Book panel. By default, InDesign updates page and
section numbering in the Book panel when you add or remove pages in booked documents, or when you make
changes to the book file, such as reordering, adding, or removing documents. You can turn off the setting to automat-
ically update page and section numbers and update numbering in a book manually.
If a document is missing or cannot be opened, the page range is shown as “?” from the place where the missing
documentshouldbetotheendofthebook,indicatingthatthetruepagerangeisunknown.Removeorreplacethe
missing document before you update numbering. If the In Use icon appears, someone using a different computer
has opened the document; the person must close the document before you can update numbering.

INDESIGN CS3
User Guide
278
For a video on numbering pages in a book, see www.adobe.com/go/vid0217.
See also
“Create a paragraph style for running lists” on page 243
“Add page, section, and chapter numbering” on page 79
Change page and chapter numbering options for each document
1Select the document in the Book panel.
2Choose Document Numbering Options in the Book panel menu, or double-click the document’s page numbers
in the Book panel.
3Specify the page, section, and chapter numbering options. (See “Document numbering options” on page 83.)
4Click OK.
Note: If you specify a starting page number in a booked document instead of selecting Automatic Page Numbering, the
booked document will begin on the specified page; all subsequent documents in the book will be renumbered accordingly.
Start numbering on an odd or even page
You can start document numbering on odd- or even-numbered pages in booked documents.
1Choose Book Page Numbering Options in the Book panel menu.
2Choose Continue On Next Odd Page or Continue On Next Even Page.
3SelectInsertBlankPagetoaddablankpagetotheendofanydocumentinwhichthesubsequentdocumentmust
begin on an odd- or even-numbered page, and then click OK.
Turn off automatic page numbering in a book
1Choose Book Page Numbering Options from the Book panel menu.
2Deselect Automatically Update Page & Section Numbers, and then click OK.
3To update page numbering manually, choose Update Numbering > Update All Numbers in the Book panel menu.
You can also update only page and section numbers or only chapter and paragraph numbers.
Use sequential paragraph numbering in books
To use sequential paragraph numbering for lists of figures, tables, or other items, you first define a numbered list that
is used in a paragraph style. The numbered list you define determines whether paragraph numbering maintains
sequential numbering across documents in a book.
1Open the document that is used as the style source for the book.
2Choose Type > Bulleted And Numbered Lists > Define Lists.
3Click New to define a list or select an existing list and choose Edit.
4Select both Continue Numbers Across Stories and Continue Numbers From Previous Document In Book.
5Click OK.
6Define a paragraph style that uses the number list, and apply it to the text in each document that contains the list.
(See “Create a paragraph style for running lists” on page 243.)
Tomakesurethesamenumberedlistsettingisusedacrossalldocumentsinthebook,selecttheParagraphStylesand
Numbered Lists options in the Synchronize Options dialog box, and then synchronize the book.

INDESIGN CS3
User Guide
279
Print or output a book file
One advantage of using a book file is that you can use a single command to output—for print, preflight, package, or
export to PDF—selected booked documents or the entire book. You can find more information about printing and
outputting InDesign files in InDesign Help.
1In the Book panel, do one of the following:
•To output specific documents, select the desired documents.
•To output the entire book, make sure no documents are selected.
2Choose an output command (such as Print Book or Print Selected Documents) in the Book panel menu.
See also
“Print a document or book” on page 542
“Export to PDF” on page 473
Creating a table of contents
About tables of contents
A table of contents (TOC) can list the contents of a book, magazine, or other publication; display a list of illustrations,
advertisers, or photo credits; or include other information to help readers find information in a document or book
file. One document may contain multiple tables of contents—for example, a list of chapters and a list of illustrations.
Each table of contents is a separate story consisting of a heading and a list of entries sorted either by page number or
alphabetically. Entries, including page numbers, are pulled directly from content in your document and can be
updated at any time—even across multiple documents in a book file.
The process for creating a table of contents requires three main steps. First, create and apply the paragraph styles
you’ll use as the basis for the TOC. Second, specify which styles are used in the TOC and how the TOC is formatted.
Third, flow the TOC into your document.
Table of contents entries can be automatically added to the Bookmarks panel for use in documents exported as
Adobe PDF.
Tips for planning a table of contents
Consider the following when planning a table of contents:
•Sometablesofcontentsarebuiltfromcontentthatdoesnotactuallyappearinthepublisheddocument,suchasa
list of advertisers in a magazine. To do this in InDesign, enter content on a hidden layer and include it when gener-
ating a TOC.
•You can load TOC styles from other documents or books to build new tables of contents with the same settings
and formatting. (You might need to edit an imported TOC style if the names of paragraph styles in the document
do not match those in the source document.)
•You can create paragraph styles for the table of contents’ title and entries, including tab stops and leaders, if
desired. You can then apply these paragraph styles when you generate the table of contents.

INDESIGN CS3
User Guide
280
•You can create character styles to format the page numbers and the characters separating them from the entries.
For example, if you want the page numbers to be in bold, create a character style that includes the bold attribute,
and then select that character style when you create the table of contents.
For a video on creating a table of contents, see www.adobe.com/go/vid0219.
Creating tables of contents in books
For best results, be sure to do the following before creating a table of contents for a book:
•Before you create a table of contents, verify that the book list is complete, that all documents are listed in the
correct order, and that all headings have been formatted with the appropriate paragraph styles.
•Be sure to use paragraph styles consistently throughout the book. Avoid creating documents with styles that have
identical names but different definitions. If multiple styles have the same name but different style definitions,
InDesign uses the style definition in the current document (if a definition exists there), or the first occurrence of
the style in the book.
•If the necessary styles do not appear in the pop-up menus in the Table of Contents dialog box, you may need to
synchronize the book so that the styles are copied to the document containing the table of contents.
See also
“Synchronize book documents” on page 275
Generate a table of contents
Before you generate a table of contents, decide which paragraphs should be included (such as chapter titles and
section headings), and then define paragraph styles for each. Make sure that these styles are applied to all appropriate
paragraphs in the document or booked documents.
When you generate the table of contents, you can also use paragraph and character styles to format the table of
contents.
Table of contents without paragraph styles (left) and with paragraph styles applied to entries (right)
1Do one of the following:
•If you’re creating a table of contents for a single document, you may want to add a new page at the beginning of
the document.
•If you’re creating a table of contents for multiple documents in a book, create or open the document to be used for
the table of contents, make sure that it’s included in the book, and then open the book file.
2Choose Layout > Table Of Contents.
If you’ve defined a TOC style that has the appropriate settings for your TOC, you can choose it from the TOC Style menu.

INDESIGN CS3
User Guide
281
3In the Title box, type a title for your TOC (such as Contents or List of Figures). This title will appear at the top of
the table of contents. To format the title, choose a style from the Style menu.
4Select Include Book Documents to create a single table of contents for all documents in the book list, and to
renumber the book’s pages. Deselect this option if you want to generate a table of contents for the current document
only. (This option is dimmed if the current document is not part of a book file.)
5Determine which content you want to include in the table of contents by double-clicking paragraph styles in the
Other Styles list to add them to the Include Paragraph Styles list.
6Select Replace Existing Table Of Contents to replace all existing table of contents stories in the document. Deselect
this option if you want to generate a new table of contents, such as a list of figures.
7Specify options to determine how each paragraph style in the table of contents is formatted. (See “Options for
formatting a table of contents” on page 282.)
It’s a good idea to define a TOC style that contains the formatting and other options for your table of contents. To do
so, click Save Style. You can also create TOC styles by choosing Layout > Table Of Contents Styles.
8Click OK.
A loaded text cursor appears. Before you click, you can move to a different page or create a new page without
losing the loaded text.
9Click or drag the loaded text cursor on a page to place the new table of contents story.
Note: Avoid threading the TOC frame to other text frames in the document. If you replace the existing TOC, the entire
story will be replaced by the updated TOC.
See also
“About character and paragraph styles” on page 165
Create or import TOC styles
If you need to create different tables of contents in your document or book, or if you want to use the same TOC
formatting in another document, create a TOC style for each type of TOC. For example, you can use one TOC style
for a list of contents and another for a list of advertisers, illustrations, or photo credits.
Note: Don’t confuse TOC styles with paragraph styles that have a “TOC” prefix. TOC-prefixed paragraph styles (for
example “TOC title”) are used to format the table of contents entries themselves. In contrast, a TOC style is a collection
of settings used to automatically create a table of contents.
Create a TOC style
1Choose Layout > Table Of Contents Styles.
2Click New.
3Type a name for the TOC style you are creating.
4In the Title box, type a title for your TOC (such as Contents or List of Figures). This title will appear at the top of
the table of contents. To specify a title style, choose a style from the Style menu.
5From the Other Styles list, select the paragraph styles that represent content you want to include in the table of
contents, then click Add to add them to the Include Paragraph Styles list.
6Specify options to determine how each paragraph style is formatted. (See “Options for formatting a table of
contents” on page 282.)

INDESIGN CS3
User Guide
282
Import TOC styles from another document
1Choose Layout > Table Of Contents Styles.
2Click Load, select the InDesign file containing the TOC styles you want to copy, and then click Open.
3Click OK.
Note: If the paragraph styles in your document do not match the paragraph styles in the TOC style you import, you’ll
need to edit the TOC style before generating a table of contents.
Options for formatting a table of contents
When generating or editing a table of contents, use these options to determine the appearance of the generated table
of contents text. Some of these options are available only when you click More Options in the dialog box.
Note: ThesettingsintheStylesectionapplyonlytothecurrentlystyleselectedunderIncludeParagraphStyles.Youcan
specify different formatting options for each style.
Entry Style For each style in Include Paragraph Styles, choose a paragraph style to apply to the associated table of
contents entries.
Page Number You might want to create a character style that formats the page number. You can then select this style
in the Style pop-up list to the right of Page Number. (See “Define paragraph and character styles” on page 166.)
If you want the page numbers of the TOC to include prefixes, or to use a different numbering convention, see “Define
section numbering” on page 81.
Between Entry And Number Specify which characters you want between the table of contents entry and its page
number.Thedefaultis^t,whichtellsInDesigntoinsertatab.Youcanchooseotherspecialcharacters,suchasRight
IndentTaborEmSpace,inthepop-uplist.Foracompletelistofspecialcharactersandhowtoworkwiththem,see
“Insert glyphs and special characters” on page 148.
Select the existing text in the box before you choose a different special character, to make sure that you don’t include
both characters.
You might want to create a character style that formats the space between the entry and the page number. You can
then select this style in the Style pop-up list to the right of Between Entry And Number. (See “Define paragraph and
character styles” on page 166.)
If the entry’s paragraph style includes a tab leader setting, and if the tab character (^t) is selected, a tab leader appears
in the generated table of contents. For more information, see “Create TOC entries with tab leaders” on page 283.

INDESIGN CS3
User Guide
283
You can specify a character that separates an entry and page number, as well as a style to apply to a character.
Sort Entries in Alphabetical Order Select this option to sort table of contents entries in the selected style alphabeti-
cally. This option is useful for creating simple lists, such as lists of advertisers. Nested entries (Level 2 or 3) sort alpha-
betically within their group (Level 1 or 2, respectively).
Note: The sort order for a table of contents is determined by the document’s default language setting. To change the
default language setting, make sure nothing is selected and then choose a language from the Language menu in the
Character panel.
Level By default, each item added to the Include Paragraph Styles box is set one level lower than the item immedi-
ately above it. You can change this hierarchy by specifying a new level number for the selected paragraph style.
Create PDF Bookmarks Select this option if you want the table of contents entries to appear in the Bookmarks panel
of Adobe Acrobat 8 or Adobe Reader® when the document is exported to PDF.
Run-in Select this option if you want all TOC entries to be run into a single paragraph. A semicolon followed by a
space (; ) separates the entries.
Include Text On Hidden Layers Select this option only if you want the paragraphs on hidden layers to be included in
your table of contents. This is useful when creating a list of advertisers or illustrations that may not appear as visible
text in the document itself. Deselect this option when you’ve used layers to store various versions or translations of
the same text.
Numbered Paragraphs If your table of contents includes a paragraph style that uses numbering, specify whether the
TOC entry includes the full paragraph (both number and text), only the numbers, or only the paragraph.
Create TOC entries with tab leaders
Entries in a table of contents are often formatted with dots or tab leaders separating the entry from its associated page
number.
Contents
Introduction 1
Chapter 1 3
Mammals 3
Bears 3
Cats 8
Dogs 10
Chapter 2 26
Birds 27
Parrots 29
Chapter 3 31
Reptiles 32
Lizards 33

INDESIGN CS3
User Guide
284
Table of contents with dot leaders
1Create a paragraph style with a tab leader. (See “Create a paragraph style with a tab leader” on page 284.)
2To update the table of contents settings, do one of the following:
•Choose Layout > Table Of Contents Style. Select a TOC style, and click Edit.
•Choose Layout > Table Of Contents (if you are not using a TOC style).
3Under Include Paragraph Styles, select an item you want to appear with a tab leader in the table of contents.
4For Entry Style, select the paragraph style that contains the tab leader.
5Click More Options.
6Verify that Between Entry And Number is set to ^t (representing a tab). Click OK or Save to exit.
7Update the table of contents, if necessary, by choosing Layout > Update Table Of Contents. Otherwise, place the
new table of contents story.
Create a paragraph style with a tab leader
1Choose Window > Type & Tables > Paragraph Styles to display the Paragraph Styles panel.
2In the Paragraph Styles panel, do one of the following:
•Double-click the name of the paragraph style applied to entries in your table of contents.
•From the panel menu, choose New Paragraph Style.
3Enter a name, if necessary, for the paragraph style.
4Click Tabs.
5Select the right-justified tab icon , and then click on the ruler to position the tab stop.
6For Leader, type a period (.).
7Select other style options as desired, and click OK.
Update a table of contents
The table of contents is like a snapshot of content in your document. If page numbers in your document change, or
if you edit headings or other elements associated with table of contents entries, you’ll need to regenerate the table of
contents to update it.
1Open the document containing the table of contents.
2Do any of the following:
•To make changes to table of contents entries, edit your document or booked documents, not the table of contents
story itself.

INDESIGN CS3
User Guide
285
•To change the formatting applied to the table of contents title, entries, or page numbers, edit the paragraph or
character styles associated with these elements.
•To change how pages are numbered (for example, 1, 2, 3 or i, ii, iii), change section numbering in the document
or book. (See “Number pages, chapters, and paragraphs in a book” on page 277.)
•To specify a new title, include other paragraph styles in the table of contents, or further format table of contents
entries, edit the TOC style.
3Choose Layout > Update Table Of Contents.
See also
“Edit character and paragraph styles” on page 170
Editing a table of contents
If your table of contents requires editing, edit the actual paragraphs in the document—not the table of contents
story—and then generate a new table of contents. If you edit the table of contents story, you’ll lose your revisions
when you generate a new table of contents. For the same reason, you should edit the styles used to format the table
of contents entries, rather than formatting the table of contents directly.
Creating an index
About indexing
You can create a simple keyword index or a comprehensive, detailed guide to the information in your book. To create
an index, you first place index markers in the text. You associate each index marker with the word, called a topic,that
you want to appear in the index.
When you generate the index, each topic is listed, along with the page on which it was found. The topics are sorted
alphabetically, typically under section headings (A, B, C, and so on). An index entry consists of a topic (the term
readers look up) paired with either a page reference (page number or range) or a cross-reference. A cross-reference,
preceded by “See” or “See also,” points the reader to other entries in the index, rather than to a page number.
Parts of an index
A. Title B. Section heading C. Index entry D. Subentry E. Topic F. Page reference G. Cross-reference
B
A
C
D
E F G

INDESIGN CS3
User Guide
286
Tips for creating an index
Creating a well-planned and complete index can help make the information in your document immediately acces-
sible to your readers. Here are a few guidelines to consider:
•Think about how you want your index to look. How many topic levels will it have? Will it refer the reader to other
related topics? Will a simple keyword index suffice, or do you want a more complex index with cross-references
to related topics and a well-researched list of equivalent terms?
•Anticipate the variety of ways by which your readers might look up information. For instance, one reader may
search for information on animals by looking under beasts; another may look for wildlife or fauna.
•Add index entries when the content of your document is fairly stable. If you delete large portions of your text later,
you may lose some of your indexing work.
•A well-planned index presents topics consistently. Common indexing problems include mixing uppercase and
lowercase (cats and Cats) and singular and plural forms (cat and cats). Use a topic list to keep terms consistent.
•Review your index several times before you generate the final index. Look for duplicate entries, weak subject areas,
misspellings, and inconsistencies in capitalization and wording; for example, InDesign treats Cheetah,cheetah,
and cheetahs as separate entries.
Workflow for creating an index
To create an index, follow these basic steps:
1. Create a topic list (optional) A topic list helps you maintain consistency in your index entries. (See “Create a list
of topics for an index” on page 287.)
2. Add index markers. Add index markers on the pages in your document that you want the index entries to refer to.
(See “Add index entries” on page 288.)
3. Generate the index. Generating the index creates a set of entries for markers and their accompanying page
numbers. (See “Generate an index” on page 293.)
4. Flow the index story. Use the loaded text cursor to flow the index into a text frame. In most cases, you’ll want the
index to start on a new page. After you flow the index, you can format the pages and index.
You’ll likely repeat these steps several times as you refine your index prior to publication.
For a video on creating an index, see www.adobe.com/go/vid0220.
Index panel overview
You create, edit, and preview the index using the Index panel (Window > Type & Tables > Index). The panel includes
two modes: Reference and Topic. In Reference mode, the preview area displays complete index entries for the current
document or book. In Topic mode, the preview area displays only topics, not page numbers or cross-references.
Topic mode is used primarily for creating the index structure, whereas Reference mode is where you add your index
entries.
In Reference mode, index entries are alphabetized and divided into sections by letter. Triangles next to entries let you
expand or collapse the entry to view subentries, page numbers, and cross-references.
The following codes appear in place of page references to indicate index entries that may not be included in the
generated index:
PB Indicates index entries on the pasteboard. These entries will not appear in the generated index.

INDESIGN CS3
User Guide
287
HL Indicates index entries on a hidden layer. When you generate the index, you have the option of including these
index entries.
PNIndicates index entries in overset text. When you include these entries in the generated index, they appear
without page numbers.
Master Indicates index entries on a master page. These entries will not appear in the generated index.
Click a triangle to expand or collapse an individual entry. Hold down Ctrl (Windows) or Command (Mac OS), and
click a triangle to expand or collapse all subentries for that entry.
Choose Update Preview in the Index panel menu to update the preview area. This option is especially useful if you’ve
edited your document extensively or moved index markers in the document window.
Create a list of topics for an index
You can create or import a list of topics to use as a starting point when creating index entries. Later, when you add
entries to the index, you can select topics from the topic list (instead of typing them each time) to ensure that infor-
mation is indexed consistently throughout your document or book.
You create and edit a topic list using the Index panel in Topic mode. Note that Topic mode displays topics only; to
preview index entries, with their associated page numbers and cross-references, use Reference mode instead.
Index panel in Reference mode (left) and Topic mode (right)
Topics in the topic list appear in the Index Entry dialog box as well. To create an index entry, simply select a topic
and then associate it with a page or cross-reference. Unused topics (those without page or cross-references) are
excluded when you generate an index.
Creating a topic list before you add index entries is optional. Each time you create an index entry, its topic is automat-
ically added to the topic list for future use.
Add topics to the topics list
1Choose Window > Type & Tables > Index to display the Index panel.
2Select Topic.
3Choose New Topic from the Index panel menu or click the Create New Index Entry icon at the bottom of the
panel.

INDESIGN CS3
User Guide
288
4Do one of the following:
•Under Topic Levels, type the topic name (for example, animals)inthefirstbox.Tocreateasubtopic,typeaname
(cats) in the second box. In this example, “cats” is indented under “animals.” To create a subtopic under the
subtopic, type a name (Calicos) in the third box, and so on.
•Select an existing topic. Enter subtopics in the second, third, and fourth boxes.
5Click Add to add the topic, which will now appear in the New Topic dialog box as well as the Index panel.
6Click Done when you’ve finished adding topics.
To delete a topic that you’ve just added, click Done, select the topic in the Index panel, and then click the Delete
Selected Entry button.
Import topics from another InDesign document
1Choose Import Topics in the Index panel menu.
2Select the document containing the index topics you want to import, and then click Open.
Edit an index topic
Use the Index panel to edit entries before or after you generate an index. If you make changes to the index story itself,
these changes will be lost when you regenerate the index.
1Open a document containing the index topics.
2In the Index panel, select Topic.
3In the preview area, double-click a topic to edit.
4Edit the topic as desired, and then click OK.
Add index entries
You create index entries using the Index panel in Reference mode. An index entry consists of two parts: a topic and
a reference. Topics can be defined ahead of time using a topic list. References can be page numbers or cross-refer-
ences to other topics.
Index panel in Reference mode
A. Entry B. Subentry C. Page reference D. Cross-reference
C
B
D
A

INDESIGN CS3
User Guide
289
An index marker is inserted at the beginning of the word in which text is selected or the insertion point appears. You
can view index markers by choosing Type > Show Hidden Characters.
See also
“About markers” on page 297
Add an index entry
1Using the Type tool , place the insertion point where you want the index marker to appear, or select text in the
document to use as the basis for an index reference.
When selected text contains inline graphics or special characters, some characters (such as index markers and inline
graphics) are stripped out in the Topic Level box. Other characters, such as em dashes and copyright symbols, are
converted to metacharacters (for example, ^_ or ^2).
2Choose Window > Type & Tables > Index to display the Index panel.
3Select Reference.
4To view index entries from any open documents in a book file, select Book.
5Choose New Page Reference in the Index panel menu. (If this command does not appear, make sure Reference is
selected and that there is an insertion point or text selection in the document.)
6To add text to the Topic Levels box, do any of the following:
•To create a simple index entry (such as cats), type the entry in the first Topic Levels box. (If text was selected, that
text appears in the Topic Levels box.)
•To create entries and subentries, type the parent name (for this example, animals) in the first Topic Levels box, and
type subentries (cats and Calicos) in subsequent boxes. If necessary, click the up and down arrows to change places
with the item above or below the selected item.
Index entry in the Topic Levels box (left) and resulting appearance in the Index (right)
•Double-click any topic in the list box at the bottom of the dialog box.
7Tochangethewayanentryissortedinthefinalindex,usetheSortByboxes.Forexample,tosortthetopicde la
Vega under V (instead of D), you would type Vega in the Sort By box and de la Vega in the Topic Level box.
You can also select the sort order of numbers, symbols, and languages. (See “Change the sort order of indexes” on
page 295.)
8Specify the type of index entry:
•To create index entries that have a page number or range (such as cats 82–87), choose an option that describes the
span of the entry in the Type pop-up menu. (See “Page range options in indexes” on page 291.)
A
animals
bears 9
cats
Calicos 19
bears
Black 10

INDESIGN CS3
User Guide
290
•To create an index entry without a page number, choose Suppress Page Range in the Type menu. Although no page
number will appear in the generated index, the page number appears in parentheses in the Index panel.
•To create an index entry which refers to another entry, select one of the cross reference options (such as See or See
also) from the Type pop-up menu, and input the entry name in the Referenced text box, or drag the existing entry
from the list at the bottom to the Referenced box. You can also customize the See and See also terms displayed in
the cross reference entries by selecting Custom Cross Reference from the Type pop-up menu. (See “Add a cross-
reference in an index” on page 292.)
9To add emphasis to a particular index entry, select Number Style Override, and then specify a character style.
10 To add an entry to the index, do any of the following:
•Click Add to add current entry and leave the dialog box open for additional entries.
•Click Add All to locate all instances of the selected text in the document window and creates an index marker for
each one. Add All is available only if text in the document is selected.
•Click OK to add the index entry and close the dialog box.
Note: If you click Cancel after clicking Add, the entries you just added are not removed. Choose Edit > Undo New Page
Reference to remove these entries.
11 To close the dialog box, click OK or Done.
Index a word, phrase, or list quickly
Using an indexing shortcut, you can quickly index individual words, a phrase, or a list of words or phrases. Adobe
InDesign recognizes two indexing shortcuts: one for standard index entries; the other for proper names. The proper
name shortcut creates index entries by reversing the order of a name so it is alphabetized by the last name. In this
way, you can list a name with the first name first, but have it appear in the index sorted by last name. For example,
the name James Paul Carter would appear in the index as Carter, James Paul.
To prepare a list for indexing, separate each item you want to be indexed with any of the following: a return, a soft
return (Shift + Return key), a tab, a right-indent tab (Shift + Tab), a semicolon, or a comma. The indexing shortcut
adds a marker in front of each entry and places all the items into the index.
1In the document window, select the word or words you want to index.
2Do one of the following:
•For standard words or phrases, press Shift+Alt+Ctrl+[ (Windows) or Shift+Option+Command+[ (Mac OS).
•For proper names that you want indexed by the last name, press Shift+Alt+Ctrl+] (Windows) or
Shift+Option+Command+] (Mac OS).
An index marker using the default settings is added at the beginning of the selection or to the beginning of each item
selected.
To index compound last names or names with a title, include one or more nonbreaking spaces between the words.
For example, if you want to index “James Paul Carter Jr.” by “Carter” instead of “Jr.”, place a nonbreaking space
between “Carter” and “Jr.” (To insert a nonbreaking space, choose Type > Insert White Space > Nonbreaking Space.)
Create a new entry from an existing one
Often, a subject you’re indexing appears in multiple places in a document or book. When this happens, you can
create multiple index entries based on other entries already in your index to ensure consistency.
1In the document window, click an insertion point, or select text where the index marker will appear.
2In the Index panel, select Reference, and scroll the preview area to the entry you want to copy.

INDESIGN CS3
User Guide
291
3Do one of the following:
•Drag an entry to the New button to insert an index marker at the insertion point, or at the beginning of the
selection.
•Select an entry in the panel preview area, and then hold down Alt (Windows) or Option (Mac OS) and click the
New Entry button. The New Page Reference dialog box appears, with information about the selected entry. Make
any changes, and then click Add or OK.
Alternatively, you can create a topic list, and then select topics from the list as you create index entries.
Index every occurrence of a word automatically
Using the Add All option is an effective way to index all occurrences of a specified term in a document or a book.
When you click Add All, InDesign creates index markers at every occurrence of the words selected in the
document—not the text specified in the dialog box. (You can later delete entries that point to less significant infor-
mation.)
When searching for occurrences of the selected text, InDesign considers only whole words, and searches are case-
sensitive. For example, if cheetah is selected, cheetahs and Cheetah will not be indexed.
1In the document window, select the text you want to search for.
2In the Index panel, select Reference.
3To create index entries for any open documents in the book, select Book.
4Choose New Page Reference in the Index panel menu.
5ChooseAddAll.InDesignaddsindexmarkerstoalltextthatmatchestheselectedtext,regardlessofwhetherthe
text has been indexed, so you may end up with multiple entries for the same word or phrase.
Edit an index entry
To change a topic (such as renaming it or applying a new sort order) and automatically update all entries that use
that topic, use the Index panel in Topic mode. To change one entry at a time, use Reference mode. In Reference mode,
you can also add cross-references or locate the index marker associated with a page reference.
1Open the document containing the index entries.
2In the Index panel, do one of the following:
•Select Topic to edit a topic and automatically update all entries using that topic.
•Select Reference to edit an individual entry.
3In the preview area, select an entry or page reference. To select a page reference, select the page icon below the
entry.
4Double-click an entry or page reference to edit.
5Edit the entry, and then click OK.
Page range options in indexes
You can create index entries that include a page range (such as cats 82–87) instead of a single page number. The Type
pop-up menu in the New Page Reference dialog box includes the following page-range options:
Current Page The page range does not extend beyond the current page.
To Next Style Change The page range extends from the index marker to the next change of paragraph style.

INDESIGN CS3
User Guide
292
To Next Use Of Style The page range extends from the index marker to the page where the next occurrence of the
paragraph style specified in the adjacent paragraph style pop-up menu appears.
To End Of Story The page range extends from the index marker to the end of the current thread of text frames that
contain text.
To End Of Document The page range extends from the index marker to the end of the document.
To End Of Section The page range extends from the index marker to the end of the current section as defined in the
Pages panel. (See “Document numbering options” on page 83.)
For Next # Of Paragraphs The page range extends from the index marker to the end of the number of paragraphs
specified in the adjacent box, or to the end of as many paragraphs as exist.
For Next # Of Pages The page range extends from the index marker to the end of the number of pages specified in
the adjacent box, or to the end of as many pages as exist.
Suppress Page Range Turn off page range.
Add a cross-reference in an index
Cross-references are index entries that point to related entries, instead of a page number. You create cross-references
using the Index panel. Cross-references can serve different purposes in an index:
•Cross-references associate common terms with equivalents used in your document or book. For example, Fauna.
See Animals. Entries with such cross-references do not contain page references; they simply point to equivalent
terms that are indexed more fully.
•Cross-references point to other entries related to, but not equivalent to, a topic. For example, Cats. See also
Wildcats. In this case, the index entry containing the cross-reference also contains page numbers and/or suben-
tries that are directly related to the entry’s topic.
Two types of cross-references
A. Cross-reference to related information (See also) B. Cross-reference to an equivalent term (See)
When you create a cross-reference in InDesign, you can also select a cross-reference prefix. “See” and “See also” are
static text. When you choose “See [also],” InDesign automatically assigns the correct prefix to the cross-reference
each time the index is generated:
•Entries with page numbers, subentries, or both are given “See also.”
•Entries without page numbers or subentries are given “See.”
Using the “See [also]” option frees you from the task of manually updating cross-references as the contents of your
index entries change.
1Choose Window > Type & Tables > Index.
2Select Reference.
3(Optional) Select Book to view index entries from any open documents in a book file.
A
B

INDESIGN CS3
User Guide
293
4Choose New Page Reference in the Index panel menu.
5Enter a topic or topics in the Topic Levels boxes.
6In the Type menu, choose a cross-reference prefix (such as See also) from the bottom of the menu.
7Type a topic in the Referenced box, or drag an existing topic from the topic list at the bottom.
8Click Add to add the cross-reference to the index.
Cross-references appear in the Index panel and the generated index, but are not associated with index markers in the
document itself.
Cross-references with “See [also]” appear as “See [also]” in the Index panel; however, the correct prefix will appear
in the generated index story.
See also
“Add index entries” on page 288
“Index panel overview” on page 286
Generate an index
Once you’ve added index entries and previewed them in the Index panel, you’re ready to generate an index story to
place in your document for publication.
An index story can appear as a separate document or in an existing document. When you generate an index story,
InDesign compiles index entries and updates page numbers across your document or book. If you add or delete
index entries or update numbering in your document, however, you’ll need to regenerate the index to update it.
If an index marker appears in overset text when you generate the index, you are asked if you would like to include
these markers in the index. If you click Yes, the entry appears in the index without a page number.
For a video on creating an index, see www.adobe.com/go/vid0220.
1Do one of the following:
•If you’re creating an index for a single document, you may want to add a new page at the end of the document.
•If you’re creating an index for multiple documents in a book, create or open the document to be used for the index,
and make sure that it’s included in the book.
2Choose Generate Index in the Index panel menu. Specify settings for the following options:
•For Title, type the text that will appear at the top of the index. To determine how the title is formatted, select a style
in the Title Style pop-up menu.
•Select Replace Existing Index to update an existing index. This option is dimmed if you haven’t generated an index.
•Select Include Book Documents to create a single index for all documents in the current book list and to renumber
the book’s pages. Deselect this option if you want to generate an index for the current document only.
•Select Include Entries On Hidden Layers if you want index markers on hidden layers to be included in your index.
•To view additional index options, click More Options.
3Click OK. If Replace Existing Index is deselected, a loaded text icon appears. Place the index story as you would
any other text.
If you edit entries in the index story, these changes are overridden when you regenerate the index. For best results,
edit the index in the Index panel, and then generate the index again.

INDESIGN CS3
User Guide
294
Index formatting options
When you click More Options in the Generate Index dialog box, formatting options appear that let you determine
the style and appearance of the generated index. InDesign includes a number of built-in paragraph and character
styles that you can select to format the generated index, or you can create and select your own styles. After you
generate the index, you can edit these styles in the Paragraph Styles and Character Styles panels.
Index with nested entries
A. Title B. Section heading C. Level 1 entry D. Level 2 subentry E. Topic F. Cross-reference
To replace the entry separators (such as the values for Following Topic or Between Entries), select the existing
separator and then type or choose a replacement character.
Nested or Run-in Select Nested if you want the index formatted in the default style, with subentries nested under an
entry as separate indented paragraphs. Select Run-in if you want all levels of an entry to appear in a single paragraph.
The Between Entries option determines which character separates the entries.
Include Index Section Headings Select this option to generate section headings consisting of alphabet characters (A,
B, C, and so on) representing the section that follows.
Include Empty Index Sections Select this option to generate section headings for all letters of the alphabet, even if
the index lacks any first-level entries that begin with a particular letter.
Level Style For each index level, choose a paragraph style to be applied to each level of index entries. You can edit
these styles in the Paragraph Styles panel after you generate the index.
Section Heading Select the paragraph style that determines the appearance of the section headings (A, B, C, and so
on) in the generated index.
Page Number Select the character style that determines the appearance of the page numbers in the generated index.
This setting does not affect index entries you formatted using the Number Style Override option.
Note: If you want the page numbers in the index to include prefixes, as in B-1 or II-1, see “Define section numbering”
on page 81.
Cross-reference Select the character style that determines the appearance of cross-reference prefixes (such as See and
See also) in the generated index.
Cross-referenced Topic Select the character style that determines the appearance of the topic being referred to (such
as beasts in See also beasts) in the generated index.
Following Topic Type or select a special character to separate the entry from the page number (such as Animals 38).
The default is two spaces. Determine formatting for this character by editing the corresponding Level Style, or by
selecting another.
Between Page Numbers Type or select a special character to separate one page number or range from another. The
default is a comma followed by an en space.
B
A
C
D
E F

INDESIGN CS3
User Guide
295
Between Entries If Run-in is selected, type or select a special character to determine how entries and subentries are
separated. If Nested is selected, this setting determines how two cross-references under a single entry are to be
separated.
Before Cross-reference Type or select a special character that appears between a reference and a cross-reference, as
in Animals. See also beasts. The default is a period followed by a space. Determine formatting for this character by
switching or editing the corresponding level style.
Page Range Type or select a special character to separate the first and last numbers in a page range (such as
Animals 38–43). The default is an en dash. Determine formatting for this character by switching or editing the Page
Number style.
Entry End Type or select a special character to appear at the end of entries. If Run-in is selected, the specified
character appears at the end of the last cross-reference. The default is no character.
Change the sort order of indexes
You can change the sort order of languages and symbols. This is especially useful for Greek, Cyrillic, and Asian
languages.
Changing the sort order affects the sort order in the Index panel and in the index stories that are generated after-
wards. For example, you can generate an index in German, change the sort order, and then generate a separate index
in Swedish — just make sure Replace Existing Index isn’t selected when you generate the index.
1Choose Sort Options from the Index panel menu.
2Make sure the items you want sorted are selected.
3To change the order of a language or symbol, select it in the list, and then click the Up or Down buttons in the
lower right part of the list.
Items that are higher on the list are sorted before lower items. Any characters from languages that aren’t included in
the Sort Options dialog box are sorted under symbols. For example, if you have Greek text in your document but
don’t include Greek under Sort Options, any indexed Greek text will appear under Symbols.
Capitalize index entries
The Capitalize dialog box provides a global solution for editing the capitalization of index entries so that you don’t
have to edit entries one by one. For example, if you’ve indexed some of your entries as lowercase (cats)andothersas
uppercase (Cats), these entries will be considered separate topics. You can fix this problem by capitalizing selected
entries.
1In the preview area of the Index panel, select an entry.
2Choose Capitalize in the Index panel menu.
3Select whether you want to capitalize only the selected topic, the selected topic and all subtopics, all Level 1 topics,
or all topics, and then click OK.
Manage an index
After you set up your index and add index markers to your document, you can manage your index in a variety of
ways.Youcanviewallindextopicsinabook,removetopicsfromtheTopiclistthataren’tusedintheReferencelist,
find entries in either the Reference or Topics list, and remove index markers from the document.

INDESIGN CS3
User Guide
296
See also
“About markers” on page 297
View all index topics in a book
When the Book option is selected, the Index panel displays entries from the entire book, not just the current
document.
1Open the book file and all of the documents it contains.
2Select Book at the top of the Index panel.
Ifothersneedtoaccessdocumentsinthebookwhiletheindexisbeingcreated,youcancreateamasterlistoftopics
inaseparatedocument,andthenimporttopicsfromthemasterlisttoeachdocumentinthebook.Notethatifthe
master list changes, you will need to import topics to each document again.
Remove unused topics from the Topic list
Once you have created your index, you can delete topics that weren’t included in the index.
1Choose Window > Type & Tables > Index to display the Index panel.
2Choose Remove Unused Topics in the Index panel menu. All topics that do not have page numbers associated
with them are deleted.
Delete index markers
❖Do either of the following:
•In the Index panel, select the entry or topic you want to delete. Click the Delete Selected Entry button .
Note: If the selected entry is the heading for multiple subheadings, all subheadings are also deleted.
•In the document window, select the index marker and press Backspace or Delete.
Note: To view index markers in the document window, choose Type > Show Hidden Characters.
Find an index entry in the Index panel
1Choose Show Find Field in the Index panel menu.
2In the Find box, type the name of the entry you want to locate, and then click the Up Arrow or Down Arrow.
Locate index markers in a document
1Choose Type > Show Hidden Characters to display index markers in the document window.
2In the Index panel, click Reference, and then select the entry you want to locate.
3Choose Go To Selected Marker in the Index panel menu. The insertion point appears to the right of the index
marker. You can then press Shift+Left Arrow to select the marker for cutting, copying, or deleting.

INDESIGN CS3
User Guide
297
Working with markers
About markers
InDesign inserts a marker in text for items such as index entries, XML tags, and hyperlink text and anchors. These
markers have no width and they don’t affect composition of text. However, you can select these markers and cut,
copy, or delete them. InDesign uses the location of the marker to produce an accurate bookmark or page reference
in table of contents, index, and exported PDF files.
Youcanviewallmarkersatonce,orviewhyperlinkortaggedtextmarkersonly.YoucanalsoviewmarkersinStory
Editor, where they are larger and easier to identify.
Note: When you select a word, all of its markers are also selected. Keep this in mind when you are cutting, copying, or
deleting text.
Types of markers
A. Tagged text B. Index marker C. Hyperlink
View markers
•To display markers, choose Type > Show Hidden Characters.
•To view hyperlink markers only, choose View > Show Hyperlinks.
•To view tagged text markers only, choose View > Structure > Show Tag Markers.
Select markers
1Choose Type > Show Hidden Characters.
2Place the insertion point next to the marker.
3Holding down Shift, press the Left Arrow or Right Arrow key to select a marker.
You can also locate markers using different methods. For example, you can locate an index marker by choosing the
Go To Selected Marker option in the Index panel menu.
A
B
C

298
Chapter 11: Drawing
With drawing tools, you have complete control over the shape, stroke (outline), and fill of any object you draw. All
graphics options in the Toolbox are available for any object you draw, whether it’s a path for an independent graphic
or a container frame for text or graphics. Use either Adobe Illustrator or Adobe InDesign CS3 to draw paths, and
freely copy and paste them between applications.
Understanding paths and shapes
Types of paths and shapes
You can create paths and combine them in a variety of ways in InDesign. InDesign creates the following types of
paths and shapes:
Simple paths Simple paths are the basic building blocks of compound paths and shapes. They consist of one open
or closed path, which may be self-intersecting.
Compound paths Compound paths consist of two or more simple paths that interact with or intercept each other.
They are more basic than compound shapes and are recognized by all PostScript-compliant applications. Paths
combined in a compound path act as one object and share attributes (such as colors or stroke styles).
Compound shapes Compound shapes consist of two or more paths, compound paths, groups, blends, text outlines,
text frames, or other shapes that interact with and intercept one another to create new, editable shapes. Some
compound shapes appear as compound paths, but their component paths can be edited on a path-by-path basis and
do not need to share attributes.
Types of paths and shapes
A. Three simple paths B. Compound path C. Compound shape
For a video on working with objects, see www.adobe.com/go/vid0071.
About paths
As you draw, you create a line called a path. A path is made up of one or more straight or curved segments. The
beginning and end of each segment are marked by anchor points, which work like pins holding a wire in place. A path
can be closed (for example, a circle), or open, with distinct endpoints (for example, a wavy line).
You change the shape of a path by dragging its anchor points, the direction points at the end of direction lines that
appear at anchor points, or the path segment itself.
AB C

INDESIGN CS3
User Guide
299
Components of a path
A. Selected (solid) endpoint B. Selected anchor point C. Unselected anchor point D. Curved path segment E. Direction line F. Direction point
Paths can have two kinds of anchor points: corner points and smooth points. At a corner point, a path abruptly
changes direction. At a smooth point, path segments are connected as a continuous curve. You can draw a path using
any combination of corner and smooth points. If you draw the wrong kind of point, you can always change it.
Points on a path
A. Four corner points B. Four smooth points C. Combination of corner and smooth points
A corner point can connect any two straight or curved segments, while a smooth point always connects two curved
segments.
A corner point can connect both straight segments and curved segments.
Note: Don’t confuse corner and smooth points with straight and curved segments.
A path’s outline is called a stroke. A color or gradient applied to an open or closed path’s interior area is called a fill.
A stroke can have weight (thickness), color, and a dash pattern (Illustrator and InDesign) or a stylized line pattern
(InDesign). After you create a path or shape, you can change the characteristics of its stroke and fill.
In InDesign, each path also displays a center point,whichmarksthecenteroftheshapebutisnotpartoftheactual
path. You can use this point to drag the path, to align the path with other elements, or to select all anchor points on
the path. The center point is always visible; it can’t be hidden or deleted.
A
B
D
C
E
F
A B C

INDESIGN CS3
User Guide
300
About direction lines and direction points
When you select an anchor point that connects curved segments (or select the segment itself), the anchor points of
the connecting segments display direction handles, which consist of direction lines that end in direction point. The
angle and length of the direction lines determine the shape and size of the curved segments. Moving the direction
points reshapes the curves. Direction lines don’t appear in the final output.
After selecting an anchor point (left), direction lines appear on any curved segments connected by the anchor point (right).
A smooth point always has two direction lines, which move together as a single, straight unit. When you move a
direction line on a smooth point, the curved segments on both sides of the point are adjusted simultaneously,
maintaining a continuous curve at that anchor point.
In comparison, a corner point can have two, one, or no direction lines, depending on whether it joins two, one, or
no curved segments, respectively. Corner point direction lines maintain the corner by using different angles. When
you move a direction line on a corner point, only the curve on the same side of the point as that direction line is
adjusted.
Adjusting direction lines on a smooth point (left) and a corner point (right)
Direction lines are always tangent to (perpendicular to the radius of) the curve at the anchor points. The angle of
each direction line determines the slope of the curve, and the length of each direction line determines the height, or
depth, of the curve.
Moving and resizing direction lines changes the slope of curves.
Note: In Illustrator, you can show or hide anchor points, direction lines, and direction points by choosing View > Show
Edges or View > Hide Edges.

INDESIGN CS3
User Guide
301
Drawing with the line or shape tools
Draw basic lines and shapes
1In the toolbox, do one of the following:
•Todrawalineorshape,selecttheLinetool ,theEllipsetool ,theRectangletool ,orthePolygontool .
(Click and hold the Rectangle tool to select either the Ellipse or Polygon tool.)
•To draw a placeholder (empty) graphics frame, select the Ellipse Frame tool , the Rectangle Frame tool , or
the Polygon Frame tool .
2Draginthedocumentwindowtocreatethepathorframe.Todrawfromthecenterout,holddownAlt(Windows)
or Option (Mac OS).
To constrain a line to 45˚ angles, or to constrain the width and height of a path or frame to the same proportions,
hold down Shift as you drag.
Dragging to create a basic circle
Note: The result shown above displays a bounding box around the path. If the Selection tool was recently active, you’ll
see this bounding box. If the Direct Selection tool was more recently active, the path appears with anchor points
instead.
See also
“Selecting objects” on page 358
“Gallery of drawing and type tools” on page 29
Draw a placeholder shape
Aplaceholdershapeisanellipse,rectangle,orpolygonthatappearsinthedocumentwindowwithanX,indicating
that it should be replaced by text or an image later.
1In the toolbox, select the Ellipse Frame tool , the Rectangle Frame tool , or the Polygon Frame tool .
2Drag in the document window to create the path or frame. Hold down Shift to constrain the width and height of
the frame.
You can change the crop amount, reference point, and other fitting options for a placeholder frame by choosing
Object > Fitting > Frame Fitting Options.
Specify polygon settings
❖Double-click the Polygon tool , specify the following settings, and click OK:
•For Number of Sides, type a value for the number of sides you want for the polygon.

INDESIGN CS3
User Guide
302
•For Star Inset, type a percentage value to specify the length of a star’s spikes. The tips of the spikes touch the outer
edge of the polygon’s bounding box, and the percentage determines the depth of the depression between each
spike. Higher percentages create longer, thinner spikes.
Note: Polygon settings apply only to the next polygon you draw; you cannot apply them to a polygon you’ve already
created.
Change the shape of a path automatically
You can convert any path into a predefined shape. For example, you can convert a rectangle to a triangle. The stroke
settings for the original path remain the same for the new path. If the new path is a polygon, its shape is based on the
options in the Polygon Settings dialog box. If the new path has a corner effect, its radius size is based on the size
setting in the Corner Options dialog box.
1Select the path.
2Do any of the following:
•Choose Object > Convert Shape > [new shape].
•In the Pathfinder panel (Window > Object & Layout > Pathfinder), click a shape button in the Convert Shape area.
Drawing with the Pencil tool
Draw with the Pencil tool
The Pencil tool works primarily the same way in Adobe Illustrator and InDesign. It lets you draw open and closed
paths as if you were drawing with a pencil on paper. It is most useful for fast sketching or creating a hand-drawn look.
Once you draw a path, you can immediately change it if needed.
Anchor points are set down as you draw with the Pencil tool; you do not determine where they are positioned.
However, you can adjust them once the path is complete. The number of anchor points set down is determined by
the length and complexity of the path and by tolerance settings in the Pencil Tool Preferences dialog box. These
settings control how sensitive the Pencil tool is to the movement of your mouse or graphics-tablet stylus.
For a video on drawing with the Pencil tool in Illustrator, see www.adobe.com/go/vid0039.
Draw freeform paths with the Pencil tool
1Select the Pencil tool .
2Position the tool where you want the path to begin, and drag to draw a path. The Pencil tool displays a small
x to indicate drawing a freeform path.
As you drag, a dotted line follows the pointer. Anchor points appear at both ends of the path and at various points
along it. The path takes on the current stroke and fill attributes, and remains selected by default.
Draw closed paths with the Pencil tool
1Select the Pencil tool.
2Position the tool where you want the path to begin, and start dragging to draw a path.
3After you’ve begun dragging, hold down Alt (Windows) or Option (Mac OS). The Pencil tool displays a small
circle (and, in InDesign, a solid eraser) to indicate that you’re creating a closed path.

INDESIGN CS3
User Guide
303
4Whenthepathisthesizeandshapeyouwant,releasethemousebutton(butnottheAltorOptionkey).Afterthe
path closes, release the Alt or Option key.
You don’t have to position the cursor over the starting point of the path in order to create a closed path; if you release
the mouse button in some other location, the Pencil tool will close the shape by creating the shortest possible line
back to the original point.
Edit paths with the Pencil tool
You can edit any path using the Pencil tool and add freeform lines and shapes to any shape.
Add to a path with the Pencil tool
1Select an existing path.
2Select the Pencil tool.
3Position the pencil tip on an endpoint of the path.
You can tell you’re close enough to the endpoint when the small x next to the pencil tip disappears.
4Drag to continue the path.
Connect two paths with the Pencil tool
1Select both paths (Shift-click or drag around the two with the Selection tool).
2Select the Pencil tool.
3Position the pointer where you want to begin from one path, and start dragging toward the other path.
4After you begin dragging, hold down Ctrl (Windows) or Command (Mac OS). The Pencil tool displays a small
merge symbol to indicate you’re adding to the existing path.
5Drag onto the endpoint of the other path, release the mouse button, and then release the Ctrl or Command key.
Note: For best results, drag from one path to the other as if you were simply continuing the paths in the direction they
were created.
Reshape paths with the Pencil tool
1Select the path you want to change.
2Position the Pencil tool on or near the path to redraw.
You can tell you’re close enough to the path when the small x disappears from the tool.
3Drag the tool until the path is the desired shape.
Using the Pencil tool to edit a closed shape

INDESIGN CS3
User Guide
304
Note: Depending on where you begin to redraw the path and in which direction you drag, you may get unexpected
results. For example, you may unintentionally change a closed path to an open path, change an open path to a closed
path, or lose a portion of a shape.
Pencil tool options
Double-click the Pencil tool to set any of the following options:
Fidelity Controls how far you have to move your mouse or stylus before a new anchor point is added to the path.
The higher the value, the smoother and less complex the path. The lower the value, the more the curves will match
the pointer’s movement, resulting in sharper angles. Fidelity can range from 0.5 to 20 pixels.
Smoothness Controls the amount of smoothing applied when you use the tool. Smoothness can range from 0% to
100%. The higher the value, the smoother the path. The lower the value, the more anchor points are created, and the
more the line’s irregularities are preserved.
Fill New Pencil Strokes (Illustrator only) Applies a fill to pencil strokes you draw after selecting this option, but not
to existing pencil strokes. Remember to select a fill before you draw the pencil strokes.
Keep Selected Determines whether to keep the path selected after you draw it. This option is selected by default.
Edit Selected Paths Determines whether or not you can change or merge an existing path when you are within a
certain distance of it (specified with the next option).
Within: _ pixels Determines how close your mouse or stylus must be to an existing path in order to edit the path with
the Pencil tool. This option is only available when the Edit Selected Paths option is selected.
Drawing with the Pen tool
Draw straight line segments with the Pen tool
The simplest path you can draw with the Pen tool is a straight line, made by clicking the Pen tool to create two anchor
points. By continuing to click, you create a path made of straight line segments connected by corner points.
Clicking Pen tool creates straight segments.
1Select the Pen tool.
2PositionthePentoolwhereyouwantthestraightsegmenttobegin,andclicktodefinethefirstanchorpoint(do
not drag).
Note: The first segment you draw will not be visible until you click a second anchor point. (Select the Rubber Band option
in Photoshop to preview path segments.) Also, if direction lines appear, you’ve accidentally dragged the Pen tool; choose
Edit > Undo, and click again.
3
Click again where you want the segment to end (Shift-click to constrain the angle of the segment to a multiple of 45˚).

INDESIGN CS3
User Guide
305
4Continue clicking to set anchor points for additional straight segments.
The last anchor point you add always appears as a solid square, indicating that it is selected. Previously defined
anchor points become hollow, and deselected, as you add more anchor points.
5Complete the path by doing one of the following:
•To close the path, position the Pen tool over the first (hollow) anchor point. A small circle appears next to the Pen
tool pointer when it is positioned correctly. Click or drag to close the path.
Note: To close a path in InDesign, you can also select the object and choose Object > Paths > Close Path.
•To leave the path open, Ctrl-click (Windows) or Command-click (Mac OS) anywhere away from all objects.
To leave the path open, you can also select a different tool, or choose Select > Deselect in Illustrator or Edit > Deselect
All in InDesign.
Draw curves with the Pen tool
You create a curve by adding an anchor point where a curve changes direction, and dragging the direction lines that
shape the curve. The length and slope of the direction lines determine the shape of the curve.
Curves are easier to edit and your system can display and print them faster if you draw them using as few anchor
points as possible. Using too many points can also introduce unwanted bumps in a curve. Instead, draw widely
spaced anchor points, and practice shaping curves by adjusting the length and angles of the direction lines.
1Select the Pen tool.
2Position the Pen tool where you want the curve to begin, and hold down the mouse button.
The first anchor point appears, and the Pen tool pointer changes to an arrowhead. (In Photoshop, the pointer
changes only after you’ve started dragging.)
3Drag to set the slope of the curve segment you’re creating, and then release the mouse button.
In general, extend the direction line about one third of the distance to the next anchor point you plan to draw. (You
can adjust one or both sides of the direction line later.)
Hold down the Shift key to constrain the tool to multiples of 45˚.
Drawing the first point in a curve
A. Positioning Pen tool B. Starting to drag (mouse button pressed) C. Dragging to extend direction lines
4Position the Pen tool where you want the curve segment to end, and do one of the following:
•To create a C-shaped curve, drag in a direction opposite to the previous direction line. Then release the mouse
button.
A B C

INDESIGN CS3
User Guide
306
Drawing the second point in a curve
A. Starting to drag second smooth point B. Dragging away from previous direction line, creating a C curve C. Result after releasing mouse
button
•To create an S-shaped curve, drag in the same direction as the previous direction line. Then release the mouse
button.
Drawing an S curve
A. Starting to drag new smooth point B. Dragging in same direction as previous direction line, creating an S curve C. Result after releasing
mouse button
(Photoshop only) To change the direction of the curve sharply, release the mouse button, and then Alt-drag
(Windows) or Option-drag (Mac OS) the direction point in the direction of the curve. Release the Alt (Windows) or
Option (Mac OS) key and the mouse button, reposition the pointer where you want the segment to end, and drag in the
opposite direction to complete the curve segment.
5Continue dragging the Pen tool from different locations to create a series of smooth curves. Note that you are
placing anchor points at the beginning and end of each curve, not at the tip of the curve.
Alt-drag (Windows) or Option-drag (Mac OS) direction lines to break out the direction lines of an anchor point.
6Complete the path by doing one of the following:
•To close the path, position the Pen tool over the first (hollow) anchor point. A small circle appears next to the Pen
tool pointer when it is positioned correctly. Click or drag to close the path.
Note: To close a path in InDesign, you can also select the object and choose Object > Paths > Close Path.
•To leave the path open, Ctrl-click (Windows) or Command-click (Mac OS) anywhere away from all objects.
To leave the path open, you can also select a different tool, or choose Select > Deselect in Illustrator or Edit > Deselect
All in InDesign.
For a video on using the Pen tool in Illustrator, see www.adobe.com/go/vid0037.
Reposition anchor points as you draw
❖Afteryouclicktocreateananchorpoint,keepthemousebuttonpresseddown,holddownthespacebar,anddrag
to reposition the anchor point.
ABC
ABC

INDESIGN CS3
User Guide
307
Finish drawing a path
❖Complete a path in one of the following ways:
•To close a path, position the Pen tool over the first (hollow) anchor point. A small circle appears next to the Pen
tool pointer when it is positioned correctly. Click or drag to close the path.
Note: To close a path in InDesign, you can also select the object and choose Object > Paths > Close Path.
•To leave a path open, Ctrl-click (Windows) or Command-click (Mac OS) anywhere away from all objects.
To leave the path open, you can also select a different tool, or choose Select > Deselect in Illustrator or Edit > Deselect
All in InDesign.
Draw straight lines followed by curves
1Using the Pen tool, click corner points in two locations to create a straight segment.
2Position the Pen tool over the selected endpoint. In Illustrator and InDesign, a convert-point icon appears next to
the Pen tool when it is positioned correctly (In Photoshop, a small diagonal line, or slash, appears next to the Pen
tool). To set the slope of the curved segment you’ll create next, click the anchor point, and drag the direction line
that appears.
Drawing a straight segment followed by a curved segment (part 1)
A. Straight segment completed B. Positioning Pen tool over endpoint (the Convert Point icon appears only in Illustrator and InDesign)
C. Dragging direction point
3Position the pen where you want the next anchor point; then click (and drag, if desired) the new anchor point to
complete the curve.
Drawing a straight segment followed by a curved segment (part 2)
A. Positioning Pen tool B. Dragging direction line C. New curve segment completed
Draw curves followed by straight lines
1Using the Pen tool, drag to create the first smooth point of the curved segment, and release the mouse button.
2Reposition the Pen tool where you want the curved segment to end, drag to complete the curve, and release the
mouse button.
ABC
ABC

INDESIGN CS3
User Guide
308
Drawing a curved segment followed by a straight segment (part 1)
A. First smooth point of curved segment completed and Pen tool positioned over endpoint B. Dragging to complete the curve
3Position the Pen tool over the selected endpoint. A convert-point icon appears next to the Pen tool when it is
positioned correctly. Click the anchor point to convert the smooth point to a corner point.
4Reposition the Pen tool where you want the straight segment to end, and click to complete the straight segment.
Drawing a curved segment followed by a straight segment (part 2)
C. Positioning Pen tool over existing endpoint D. Clicking endpoint E. Clicking next corner point
Draw two curved segments connected by a corner
1Using the Pen tool, drag to create the first smooth point of a curved segment.
2Reposition the Pen tool and drag to create a curve with a second smooth point; then press and hold Alt (Windows)
or Option (Mac OS) and drag the direction line toward its opposing end to set the slope of the next curve. Release
the key and the mouse button.
This process converts the smooth point to a corner point by splitting the direction lines.
3Reposition the Pen tool where you want the second curved segment to end, and drag a new smooth point to
complete the second curved segment.
Drawing two curves
A. Dragging a new smooth point B. Pressing Alt/Option to split direction lines while dragging, and swinging direction line up C. Result after
repositioning and dragging a third time
AB
DE
C
AB C

INDESIGN CS3
User Guide
309
Editing paths
Select paths, segments, and anchor points
Before you can reshape or edit a path, you need to select the path’s anchor points, segments, or a combination of both.
Select anchor points
•If you can see the points, you can click them with the Direct Selection tool to select them. Shift-click to select
multiple points.
•Select the Direct Selection tool and drag a boundary around the anchor points. Shift-drag around additional
anchor points to select them.
•Make sure the path that contains the anchor points is not selected. Move the Direct Selection tool over the anchor
point until the pointer displays a hollow square, and then click the anchor point. Shift-click additional anchor
points to select them.
•(Illustrator only) Select the Lasso tool, and drag around the anchor points. Shift-drag around additional anchor
points to select them.
Select path segments
Do any of the following:
•Select the Direct Selection tool , and click within 2 pixels of the segment, or drag a marquee over part of the
segment. Shift-click or Shift-drag around additional path segments to select them.
•(Illustrator only) Select the Lasso tool , and drag around part of the path segment. Shift-drag around
additional path segments to select them.
Select all anchor points and segments in a path
1Select the Direct Selection tool or, in Illustrator, the Lasso tool.
2Drag around the entire path.
If the path is filled, you can also click inside the path with the Direct Selection tool to select all anchor points.
Copy a path
❖Select a path or segment with the Selection tool or Direct Selection tool and do one of the following:
•Use the standard menu functions to copy and paste paths within or between applications.
•Press and hold Alt (Windows) or Option (Mac OS) and drag the path to the desired position, and then release the
mouse button and Alt/Option key.
Adjust path segments
You can edit a path segment at any time, but editing existing segments is slightly different from drawing them. Keep
the following tips in mind when editing segments:
•If an anchor point connects two segments, moving that anchor point always changes both segments.
•When drawing with the Pen tool, you can temporarily activate the Direct Selection tool (InDesign and Photoshop)
so that you can adjust segments you’ve already drawn; press Ctrl (Windows) or Command (Mac OS) while
drawing. In Illustrator, pressing Ctrl or Command while drawing activates the last-used selection tool.

INDESIGN CS3
User Guide
310
•When you initially draw a smooth point with the Pen tool, dragging the direction point changes the length of the
direction line on both sides of the point. However, when you edit an existing smooth point with the Direct
Selection tool, you change the length of the direction line only on the side you’re dragging.
Move straight segments
1With the Direct Selection tool , select the segment you want to adjust.
2Drag the segment to its new position.
Adjust the length or angle of straight segments
1With the Direct Selection tool , select an anchor point on the segment you want to adjust.
2Drag the anchor point to the desired position. Shift-drag to constrain the adjustment to multiples of 45˚.
In Illustrator or InDesign, if you’re simply trying to make a rectangle wider or narrower, it’s easier to select it with
the Selection tool and resize it using one of the handles on the sides of its bounding box.
Adjust the position or shape of curved segments
1With the Direct Selection tool, select a curved segment, or an anchor point on either end of the curved segment.
Direction lines appear, if any are present. (Some curved segments use just one direction line.)
2Do any of the following:
•To adjust the position of the segment, drag the segment. Shift-drag to constrain the adjustment to multiples of 45˚.
Click to select the curve segment. Then drag to adjust.
•To adjust the shape of the segment on either side of a selected anchor point, drag the anchor point or the direction
point. Shift-drag to constrain movement to multiples of 45˚.
Drag the anchor point, or drag the direction point.
Note: You can also apply a transformation, such as scaling or rotating, to a segment or anchor point.
Delete a segment
1Select the Direct Selection tool , and select the segment you want to delete.

INDESIGN CS3
User Guide
311
2Press Backspace (Windows) or Delete (Mac OS) to delete the selected segment. Pressing Backspace or Delete
again erases the rest of the path.
Extend an open path
1Using the Pen tool, position the pointer over the endpoint of the open path you want to extend. The pointer
changes when it’s precisely positioned over the endpoint.
2Click the endpoint.
3Do one of the following:
•To create a corner point, position the Pen tool where you want to end the new segment, and click. If you are
extending a path that ends at a smooth point, the new segment will be curved by the existing direction line.
Note: In Illustrator, if you extend a path that ends in a smooth point, the new segment will be straight.
•To create a smooth point, position the Pen tool where you want to end the new curved segment, and drag.
Connect two open paths
1Using the Pen tool, position the pointer over the endpoint of the open path that you want to connect to another
path. The pointer changes when it’s precisely positioned over the endpoint.
2Click the endpoint.
3Do one of the following:
•To connect the path to another open path, click an endpoint on the other path. When you precisely position the
Pen tool over the other path’s endpoint, a small merge symbol appears next to the pointer.
•To connect a new path to an existing path, draw the new path near the existing path, and then move the Pen tool
to the existing path’s (unselected) endpoint. Click that endpoint when you see the small merge symbol that appears
next to the pointer.
Move or nudge anchor points or segments using the keyboard
1Select the anchor point or path segment.
Note: In Photoshop, you can move only anchor points in this manner.
2Click or hold down any of the arrow keys on the keyboard to move 1 pixel at a time in the direction of the arrow.
Hold down the Shift key in addition to the arrow key to move 10 pixels at a time.
Note: In Illustrator and InDesign, you can change the distance of a nudge by changing the Keyboard Increment
preference. When you change the default increment, holding down Shift nudges 10 times the specified distance.
Add or delete anchor points
Addinganchorpointscangiveyoumorecontroloverapathoritcanextendanopenpath.However,it’sagoodidea
not to add more points than necessary. A path with fewer points is easier to edit, display, and print. You can reduce
the complexity of a path by deleting unnecessary points.
The toolbox contains three tools for adding or deleting points: the Pen tool , the Add Anchor Point tool , and
the Delete Anchor Point tool .
Bydefault,thePentoolchangestotheAddAnchorPointtoolasyoupositionitoveraselectedpath,ortotheDelete
Anchor Point tool as you position it over an anchor point. (In Photoshop, you must select Auto Add/Delete in the
options bar to enable the Pen tool to automatically change to the Add Anchor Point or Delete Anchor Point tool.)

INDESIGN CS3
User Guide
312
You can select and edit multiple paths simultaneously in Photoshop and InDesign; however, you can add or delete
points to only one path at a time in Illustrator. In Photoshop and InDesign, you can reshape a path while adding
anchor points by clicking and dragging as you add.
Note: Don’t use the Delete, Backspace, and Clear keys or the Edit > Cut or Edit > Clear commands to delete anchor
points: these keys and commands delete the point and the line segments that connect to that point.
Add or delete anchor points
1Select the path you want to modify.
2Select the Pen tool, the Add Anchor Point tool, or the Delete Anchor Point tool.
3To add an anchor point, position the pointer over a path segment and click. To delete an anchor point, position
the pointer over an anchor point and click.
In Illustrator, you can add anchor points to a path by selecting the object and choosing Object > Path > Add Anchor
Points.
Disable or temporarily override automatic Pen tool switching
You can override automatic switching of the Pen tool to the Add Anchor Point tool or the Delete Anchor Point tool.
This is useful when you want to start a new path on top of an existing path.
•In Photoshop, deselect Auto Add/Delete in the options bar.
•In Illustrator or InDesign, hold down Shift as you position the Pen tool over the selected path or an anchor point.
(To prevent Shift from constraining the Pen tool, release Shift before you release the mouse button.)
•In Illustrator, choose Edit > Preferences > General (Windows) or Illustrator > Preferences > General (Mac OS),
and select Disable Auto Add/Delete.
Convert between smooth points and corner points
Paths can have two kinds of anchor points—corner points and smooth points. At a corner point, a path abruptly
changes direction. At a smooth point, path segments are connected as a continuous curve. The Convert Direction
Point tool . lets you change an anchor point from a corner point to a smooth point or visa versa.
1Using the Direct Selection tool , select the path you want to modify.
2Switch to the Convert Direction Point tool . (If necessary, position the pointer over the Pen tool and drag to
choose the Convert Direction Point tool.)
3Position the Convert Direction Point tool over the anchor point you want to convert, and do one of the following:
•To convert a corner point to a smooth point, drag direction lines out of the corner point.
Dragging direction lines out of corner point to create smooth point
•To convert a smooth point to a corner point without using direction lines, click a smooth point.

INDESIGN CS3
User Guide
313
Clicking smooth point to create corner point
•To convert a corner point without using direction lines to a corner point with independent direction lines, first
drag direction lines out of a corner point (making it a smooth point). Release the mouse button, and then drag
either direction line.
•To convert a smooth point to a corner point with independent direction lines, drag either direction line.
Converting smooth point to corner point
To temporarily switch from the Convert Direction Point tool to the Direct Selection tool, press Ctrl (Windows) or
Command (Mac OS).
See also
“About paths” on page 298
“About direction lines and direction points” on page 300
“Adjust path segments” on page 309
Split a path using the Scissors tool
You can split a path, graphics frame, or empty text frame at any anchor point or along any segment. When you split
a path, keep the following in mind:
•If you want to split a closed path into two open paths, you must slice in two places along the path. If you slice a
closed path only once, you get a single path with a gap in it.
•Any paths resulting from a split inherit the path settings of the original path, such as stroke weight and fill color.
You may need to reset stroke alignment from inside to outside.
1(Optional) Select the path to see its current anchor points.
2Select the Scissors tool and click the path where you want to split it. When you split the path in the middle of a
segment, the two new endpoints appear on top of the other, and one endpoint is selected.
3Use the Direct Selection tool to adjust the new anchor point or path segment.

INDESIGN CS3
User Guide
314
Smooth out paths
Use the Smooth tool to remove excess angles from an existing path or a section of a path. The Smooth tool retains
the original shape of the path as nearly as possible. Smoothed paths generally have fewer points, which can make
them easier to edit, display, and print.
Path before and after using Smooth tool
1Select the path.
2Select the Smooth tool.
Note: If the Pencil tool is selected, hold down Alt (Windows) or Option (Mac OS) to temporarily change the Pencil to the
Smooth tool.
3Drag the tool along the length of the path segment you want to smooth out.
4Continue smoothing until the stroke or path is of the desired smoothness.
5To change the amount of smoothing, double-click the Smooth tool and set the following options:
Fidelity Controls how far your curves can stray before you have to modify the path. With lower Fidelity values, the
curves will closely match the pointer’s movement, resulting in sharper angles. With higher Fidelity values, the path
will ignore small pointer movements, resulting in smoother curves. The pixel value range is 0.5 to 20 pixels.
Smoothness Controls the amount of smoothing applied when you use the tool. Smoothness can range from 0% to
100%; the higher the value, the smoother the path.
Keep Selected (InDesign only) Determines whether to keep the path selected after you smooth it.
Reshape closed paths or objects
1Using the Direct Selection tool , do one of the following:
•Drag around the anchor points you want to select.
•Hold down Shift as you click the anchor points you want to select.
2Position the pointer over the anchor point or path segment that you want to act as a focal point (that is, a point
that pulls the selected path segments), and click the anchor point or path segment.
3Drag the highlighted anchor points to adjust the path. The amount of movement of a given path segment is
relative to its distance from a highlighted point:
•Selected points that act as the focal point move with the selection tool during dragging.
•Selected points that aren’t the focal point move in tandem with the dragged focal point.
•Unselected anchor points are not affected by reshaping.

INDESIGN CS3
User Guide
315
Crop content using the Position tool
The Position tool in InDesign functions similarly to the Crop tool in Adobe PageMaker. The Position tool works
in conjunction with the Selection tool to help control the placement of content within a frame as well as change
the size of the frame.
The Position tool is dynamic, automatically changing to reflect different states. When it’s placed directly over a
graphic, it changes to the Hand tool, to indicate that you can drag the content within a frame. When it’s over a text
frame, it changes to an I-beam, to indicate a text insertion point.
You can also use the Position tool to adjust inline images and nonimage content, such as text frames and buttons.
1Put the pointer over the Direct Selection tool in the toolbox, and hold down the mouse button. When the
Position tool appears, select the tool.
Selecting the Position tool from the toolbox
2Select the frame of the graphic that you want to crop.
Important: Make sure you select the frame and not the graphic itself.
3Toresizethegraphicsframe,placethePositiontooloveranyhandleontheframe,anddraguntilonlythepartof
the graphic you want in your document remains. To show more of the graphic, drag away from the center of the
graphic.
Resizing a graphics frame
A. Increasing frame B. Decreasing frame
4To move the graphic within the frame, place the Position tool over the contents of the graphics frame, and drag
the contents. The Position tool automatically changes to the Hand tool when over the content of the frame.
B
A

INDESIGN CS3
User Guide
316
Moving an image within its frame
Set Position tool options
When using the Position tool to move a graphic, you can hold down the mouse button for a few seconds to
display a dynamic graphics preview (a ghosted-back image) of any part of the image that is outside of the frame. You
can control the display and delay of the preview.
1Double-click the Position tool in the toolbox.
2From the Show Masked Portion of Image menu, select the rate at which the entire image will appear while
dragging, or select to turn it off entirely.
Applying line (stroke) settings
Set strokes
You can apply strokes, or line settings, to paths, shapes, text frames, and text outlines. The Stroke panel provides
control over the weight and appearance of the stroke, including how segments join, start and end shapes, and options
for corners. You can also select stroke settings in the Control panel when a path or frame is selected.
Applying strokes
A. Stroke applied to text frame B. Stroke applied to text outline C. Stroke applied to circle
If you frequently use the same stroke settings, you can save the settings in an object style, and quickly apply the same
settings to any object. For more information, see “About object styles” on page 177.
1Select the path whose stroke you want to modify.
Note: When you select a path using the Selection tool , you activate a bounding box that encompasses the entire object.
If you want to see the actual path, select the path using the Direct Selection tool instead.
2Choose Window > Stroke to display the Stroke panel.
ABC

INDESIGN CS3
User Guide
317
3For Weight, choose a stroke weight in the menu, or type a value and press Enter or Return.
Note: Strokes thinner than 0.25 point may be too thin to see when printed on high-resolution output devices such as an
imagesetter. To remove the stroke, type a value of 0 (zero).
4If additional options are not visible, choose Show Options from the panel menu to display the other stroke
attributes.
5Change other stroke attributes as desired.
Note: If you want to change the stroke’s color, use the toolbox and Swatches panel. See “Apply color” on page 415.
See also
“Stroke panel options” on page 317
“Apply corner effects” on page 321
Stroke panel options
Miter Limit Specifies the limit of point length to stroke width before a mitered joint becomes a beveled square joint.
For example, a value of 9 requires the point length to be 9 times the stroke width before the point becomes beveled.
Type a value (between 1 and 500) and press Enter or Return. The Miter Limit does not apply to a round join.
Cap Select a cap style to specify the appearance of both ends of an open path:
•Butt cap Creates squared ends that abut (stop at) the endpoints.
•Round cap Creates semicircular ends that extend half the stroke width beyond the endpoints.
•Projecting cap Creates squared ends that extend half the stroke width beyond the endpoints. This option
makes the stroke weight extend evenly in all directions around the path.
Note: You can specify a cap option for a closed path, but the cap will not be visible unless the path is opened (for example,
by cutting with the Scissors tool). Also, cap styles are easier to see at thicker stroke weights.
Join Specify the appearance of the stroke at corner points:
•Miter join Creates pointed corners that extend beyond the endpoint when the miter’s length is within the miter
limit.
•Round join Creates rounded corners that extend half the stroke width beyond the endpoints.
•Bevel join Creates squared corners that abut the endpoints.
Note: You can specify miter options for a path that doesn’t use corner points, but the miter options will not apply until
you create corner points by adding them or by converting smooth points. Also, miters are easier to see at thicker stroke
weights.
Align Stroke Click an icon to specify the position of the stroke relative to its path.
Type Choose a stroke type in the menu. If you choose Dashed, a new set of options appears.
Start Choose for the beginning of the path.
End Choose for the end of the path.
Gap Color Specify a color to appear in the space between dashes, dots, or multiple lines in a patterned stroke.
Gap Tint Specify a tint (when a gap color is specified).

INDESIGN CS3
User Guide
318
Although you can define dashed strokes in the Stroke panel, it’s easier to create a dashed stroke using a custom stroke
style. For more information, see “Define custom stroke styles” on page 318.
Add start and end shapes
Keep the following guidelines in mind as you work with start and end shapes:
•You can’t edit the available start and end shapes, but if you’ve obtained plug-in software that adds more options,
the Start and End menus in the Stroke panel can include additional shapes.
•Start and end shapes are sized in proportion to the stroke weight. However, adding a start or end shape does not
change the length of the path.
•Start and end shapes automatically rotate to match the angle of an endpoint’s direction line.
•Startandendshapesappearatendpointsofopenpathsonly;theywon’tappearonindividualdashesofadashed
stroke.
•If you apply start and end shapes to a compound path that includes open subpaths, each open subpath will use the
same start and end shapes.
•You can apply start and end shapes to a closed path, but they won’t be visible unless you open the path.
Sample start and end shapes
Add start and end shapes
Use the Start and End menus in the Stroke panel to add an arrowhead or other shape to the end of an open path.
1Using any selection tool, select an open path.
2IntheStrokepanel,chooseastyleintheStartandEndmenus.TheStartmenuappliesashapetothefirstendpoint
of a path (as determined by the order in which the path’s points were drawn), and the End menu applies a shape to
the last endpoint.
Switch a path’s start and end shapes
1Using the Direct Selection tool , select an anchor point.
2Choose Object > Paths > Reverse Path.
Define custom stroke styles
You can create a custom stroke style using the Stroke panel. A custom stroke style can be dashed, dotted, or striped;
in the style, you can define the stroke’s pattern, cap, and corner attributes. You specify other stroke attributes, such
as weight, gap color, and start and end shapes, after the custom stroke style has been applied to an object.

INDESIGN CS3
User Guide
319
Custom stroke styles
A. Dashed B. Dotted C. Striped
Custom stroke styles can be saved and loaded into other InDesign documents.
1Choose Window > Stroke to display the Stroke panel.
2In the panel menu, choose Stroke Styles.
3Click New.
4Enter a name for the stroke style.
5For Type, select one of the following:
•Dash to define a style with dashes spaced at regular or varying intervals.
•Striped to define a style with one or more parallel lines.
•Dotted to define a style with dots spaced at regular or varying intervals.
The options in the dialog box change to match your selection.
6For Pattern Length, specify the length of the repeating pattern (dashed or dotted styles only). The ruler updates
to match the length you specify.
7To define the stroke pattern, do any of the following:
•Click the ruler to add a new dash, dot, or stripe.
•Drag a dash, dot, or stripe to move it.
•To adjust the width of a dash, move its ruler markers . You can also select the dash and then enter values for
Start (where the dash starts on the ruler) and Length.
•To adjust the position of a dot, move its ruler marker . You can also select the dot and then enter a value for
Center (where the center of the dot is positioned).
•To adjust the thickness of a stripe, move its ruler markers . You can also select the stripe and enter values for
Start and Width, both of which are expressed as a percentage of the stroke’s weight.
•To delete a dash, dot, or stripe, drag it out of the ruler window. (However, a custom stroke style must contain at
least one dash, dot, or stripe.)
A
B
C

INDESIGN CS3
User Guide
320
Creating a dashed line in New Stroke Style dialog box
A. Clicking to add a dash to the pattern B. Dragging a marker to make the dash wider C. Dragging the dash to adjust the white space between
dashes
8To preview the stroke at different line weights, specify a line weight using the Preview Weight option.
9For dashed and dotted patterns, use the Corners option to determine how dashes or dots are positioned to keep a
pattern regular around a corner.
10 For dashed patterns, select a style for Cap to determine the shape of the dashes. This setting overrides the Cap
setting in the Stroke panel.
11 Do one of the following:
•Click Add to save the stroke style and define another one. Click Done to exit the dialog box.
•Click OK to save the stroke style and exit the dialog box.
Save custom stroke styles
You can save custom stroke styles for use in other InDesign documents.
Save a custom stroke style
1In the Stroke panel menu, choose Stroke Styles.
2Select a custom stroke style and click Save.
Note: You cannot save or edit the default stroke styles (enclosed in square brackets).
3Specify a name and location for the stroke style (.inst) file, and click OK.
To load a custom stroke style
1In the Stroke panel menu, choose Stroke Styles.
2Click Load.
3Select stroke style (.inst) file that contains the custom stroke style you want to import, and click OK.
To apply a custom stroke style
❖With a path or frame selected, choose a custom stroke style from the Type menu in the Stroke panel.
A
B
C

INDESIGN CS3
User Guide
321
Apply corner effects
You can use the Corner Options command to quickly apply corner styles to any path. Available corner effects range
from simple, rounded corners to fancy ornamentation.
Effects of different line weights on corner shapes
A. Fancy corner effect with no stroke B. Same effect with 1-point stroke C. Same effect with 4-point stroke
Apply corner effects
1Using a selection tool, select a path.
2Choose Object > Corner Options.
3Choose a corner effect in the Effect menu.
4For Size, type a value to specify the radius by which the corner effect extends from each corner point.
5Select Preview if you want to see the results of the effect before applying it. Then click OK.
Tips for applying corner effects
Note the following:
•If you’ve obtained plug-in software that adds more effects, the Corner Options command in the Stroke panel can
include additional shapes.
•Corner effects appear on all of a path’s corner points, but never on smooth points. The effects change angles
automatically when you move a path’s corner points.
•If a corner effect significantly changes the path by, for example, creating a bulge inward or outward, it may affect
howaframeinteractswithitscontentsorwithotherpartsofthelayout.Increasingthesizeofacornereffectmay
push an existing text wrap or frame inset farther away from the frame.
•You can’t edit a corner effect, but you can change its appearance by changing the corner radius or modifying the
stroke.
•If you applied corner effects but can’t see them, make sure that the path uses corner points and that a stroke color
or gradient has been applied to it. Then increase the Size option in the Corner Options dialog box, or increase the
stroke weight in the Stroke panel.
Compound paths and shapes
About compound paths
You can combine several paths into a single object, called a compound path. Create a compound path when you want
to do any of the following:
•Add transparent holes to a path.
AB C

INDESIGN CS3
User Guide
322
•Preserve the transparent holes within some text characters, such as o and e, when you convert characters to
editable letterforms using the Create Outlines command. Using the Create Outlines command always results in
the creation of compound paths.
•Apply a gradient, or add contents that span multiple paths. Although you can also apply a gradient across multiple
objects using the Gradient tool, applying a gradient to a compound path is often a better method because you can
later edit the entire gradient by selecting any of the subpaths. With the Gradient tool, later editing requires
selecting all of the paths you originally selected.
Best practices for editing compound paths
Keep the following guidelines in mind as you edit compound paths:
•Changes to path attributes (such as stroke and fill) always alter all subpaths in a composite path—it doesn’t matter
which selection tool you use, or how many subpaths you select. To preserve the individual stroke and fill attributes
of the paths you want to combine, group them instead.
•In a compound path, any effect that is positioned relative to a path’s bounding box—such as a gradient, or an image
pasted inside—is actually positioned relative to the bounding box of the entire compound path (that is, the path
that encloses all of the subpaths).
•Ifyoumakeacompoundpath,thenchangeitspropertiesandreleaseit,usingtheReleasecommand,thereleased
paths inherit the compound path’s properties; they don’t regain their original properties.
•If your document contains compound paths with many smooth points, some output devices may have problems
printing them. If so, simplify or eliminate the compound paths, or convert them to bitmap images using a program
such as Adobe Photoshop.
•If you apply a fill to a compound path, holes sometimes don’t appear where you expect them to. For a simple path
likearectangle,theinside,ortheareayoucanfill,iseasytosee—it’stheareawithintheenclosedpath.However,
with a compound path, InDesign must determine whether the intersections created by a compound path’s
subpaths are inside (filled areas) or outside (holes). The direction of each subpath—the order in which its points
were created—determines whether the area it defines is inside or outside. If a subpath is filled when you want it
to be a hole, or vice versa, reverse the direction of that subpath.
Compound path containing two subpaths with same path directions (left) and opposite path directions (right)
Create a compound path
You can create a compound path from two or more open or closed paths. When you create a compound path, all of
the originally selected paths become subpaths of the new compound path. The selected paths inherit the stroke and
fill settings of the object farthest back in the stacking order.
Note: If one or more selected objects have contents, such as text or imported images, the attributes and contents of a
compound path are set by the attributes and contents of the object farthest back. Selected objects farther behind, without
contents, won’t affect the compound path.

INDESIGN CS3
User Guide
323
You can change the shape of any part of a compound path by using the Direct Selection tool to select an anchor
point on one subpath.
1Use the Selection tool to select all of the paths you want to include in the compound path.
2Choose Object > Paths > Make Compound Path. A hole appears wherever selected paths overlap.
Youcanfillaholecreatedbyasubpathorturnasubpathintoahole.UsingtheDirectSelectiontool,selectapoint
on the subpath you want to change. Then select Object > Paths > Reverse Path.
Change holes to fills in a compound path
The direction of each subpath—the order in which its points were created—determines whether the area it defines
is inside (filled areas) or outside (empty). If, in your compound path, holes sometimes don’t appear where you expect
them to, you can reverse the direction of that subpath.
Two separate closed paths (left) and two subpaths of the same compound path (right); the compound path uses the center circle as a hole
1In Illustrator, make sure that the compound path uses the nonzero winding fill rule.
2With the Direct Selection tool, select the part of the compound path to reverse (or a point on that part). Do not
select the entire compound path.
3Do one of the following:
•In Illustrator, in the Attributes panel, click the Reverse Path Direction Off button or the Reverse Path Direction
On button.
•In InDesign, choose Object > Paths > Reverse Path.
Break up a compound path
You can break up a compound path by releasing it, which turns each of its subpaths into an independent path.
1Using the Selection tool , select a compound path.
2Choose Object > Paths > Release Compound Path.
Note: The Release command is unavailable when the selected compound path is contained inside a frame, or when the
path contains text.
Change the holes in a compound path
You can eliminate a hole created by a subpath or fill a subpath that has created a hole by reversing its direction.
1Using the Direct Selection tool , select a point on the subpath you want to reverse. Don’t select the entire
compound path.
2Choose Object > Paths > Reverse Path.

INDESIGN CS3
User Guide
324
Create compound shapes
You create compound shapes using the Pathfinder panel (Window > Object & Layout > Pathfinder). Compound
shapes can be made up of simple or compound paths, text frames, text outlines, or other shapes. The appearance of
the compound shape depends on which Pathfinder button you choose.
Pathfinder panel
A. Original objects B. Add C. Subtract D. Intersect E. Exclude Overlap F. Minus Back
Add Traces the outline of all objects to create a single shape.
Subtract Objects in the front “punch holes” in the backmost object.
Intersect Creates a shape from overlapping areas.
Exclude Overlap Creates a shape from areas that do not overlap.
Minus Back Objects in the back “punch holes” in the frontmost object.
In most cases, the resulting shape adopts the attributes (fill, stroke, transparency, layer, and so on) of the frontmost
object. When you subtract shapes, however, objects in the front are deleted. The resulting shape takes on the
attributes of the backmost object instead.
When you include a text frame in a compound shape, the shape of the text frame changes, but the text itself stays the
same. To alter the text itself, create a compound path using text outlines.
Compound shape used as a text frame (left) compared to one created from a text outline (right)
See also
“Create paths from text outlines” on page 325
“About compound paths” on page 321
“Selecting objects” on page 358
BC D E F
ABC
DEF

INDESIGN CS3
User Guide
325
Create a compound shape
You can work with a compound shape as a single unit or release its component paths to work with each separately.
For example, you might apply a gradient fill to a part of the compound shape, but leave the rest of the shape unfilled.
Gradient applied to a compound shape (left) compared to gradient applied to one part of the compound shape (right)
1Choose Window > Object & Layout > Pathfinder to open the panel.
2Select the objects you want to combine in a compound shape.
3Click a button on the Pathfinder panel.
You can also choose a command from the Object > Pathfinder submenu.
Release paths in a compound shape
❖Select the compound shape. Choose Object > Paths > Release Compound Path. The compound shape is separated
into its component paths.
To regroup component paths without losing changes you’ve applied to individual paths, choose Group in the Object
menu, rather than Compound Paths > Make.
Create paths from text outlines
Use the Create Outlines command to convert selected text characters into a set of compound paths that you can edit
and manipulate as you would any other path. The Create Outlines command is useful for creating effects in large
display type, but it is rarely useful for body text or other smaller-size type.
If you simply want to apply a color stroke, or a gradient fill or stroke to text characters, you don’t need to convert the
text to outlines. You can use the toolbox and the Swatches, Color, or Gradient panels to apply colors and gradients
directly to the strokes or fills of selected characters.
The Create Outlines command gets its font outline information from the actual Type 1, TrueType, or OpenType files.
When you create outlines, characters are converted in their current positions, retaining all graphics formatting, such
as stroke and fill.
Note: Some font manufacturers block the information needed to create outlines. If you select such a protected font and
choose Type > Create Outlines, a message will explain that the font cannot be converted.
When you convert type to outlines, the type loses its hints—instructions built into outline fonts for adjusting their
shapes, so that your system displays or prints them optimally at small sizes. Therefore, type converted to outlines
may not display as well when rendered in small sizes or at low resolutions.
After converting type to outlines, you can do any of the following:
•Alter the letterforms by dragging individual anchor points using the Direct Selection tool .
•Copy the outlines and use the Edit > Paste Into command to mask an image by pasting it into the converted
outlines.

INDESIGN CS3
User Guide
326
•Use the converted outlines as text frames, so that you can type or place text in them.
•Change the stroke attributes of letterforms.
•Use text outlines to create compound shapes.
Working with text outlines
A. Type character before conversion to text outline B. Text outline with image pasted into it C. Text outline used as a text frame
Because converted text outlines become sets of compound paths, you can edit individual subpaths of converted
outlines by using the Direct Selection tool. You can also break the character outlines into independent paths by
releasing them from the compound path.
See also
“About compound paths” on page 321
Convert text outlines to paths
By default, creating outlines from type removes the original text. However, if you prefer, you can make outlines
appear over a copy of the original text, so that none of the text is lost.
When you select type characters in a text frame and convert them to outlines, the resulting outlines become anchored
(inline) objects that flow with the text. Because the converted text is no longer true type, you will no longer be able
to highlight and edit the characters using the Type tool. In addition, typographical controls will no longer apply.
Make sure that you’re satisfied with the typographic settings of the type you convert to outlines, and be sure to create
a copy of the original text.
1Use the Selection tool to select a text frame, or use the Type tool to select one or more characters.
2Choose Type > Create Outlines.
Convert a copy of text outlines to paths
1Use the Selection tool to select a text frame, or use the Type tool to select one or more characters.
2Hold down Alt (Windows) or Option (Mac OS) as you choose Type > Create Outlines. The copy is created exactly
on top of the original; use the Selection tool to drag it away, if you like.
&&&&&&&&
& & & & & & & &
& & & & & & & &
& & & & & & & &
& & & & & & & &
& & & & & & & &
& & & & & & & &
& & & & & & & &
&&&&&&&&

327
Chapter 12: Graphics
The versatile importing capabilities of Adobe InDesign CS3 make it a powerful tool for integrating graphics from
many other programs and file formats, including images from Adobe Photoshop and drawings from Adobe
Illustrator. You can even place pages from PDF files and other InDesign files in an InDesign document.
Understanding graphics formats
Choosing the right graphics format
InDesign can import a wide range of graphics file formats. Consult with the service providers who will help you
produce your document to clarify which formats to use. You can then plan your document around those formats and
the options that best apply to your project.
The following table summarizes what graphics formats would work best for the kind of document you’re designing.
About vector graphics
Vector graphics (sometimes called vector shapes or vector objects) are made up of lines and curves defined by mathe-
matical objects called vectors, which describe an image according to its geometric characteristics.
Example of a vector image at different levels of magnification
Final output Graphics type Format
High resolution (>1000 dpi) Vector drawings Illustrator, EPS, PDF
Bitmap images Photoshop, TIFF, EPS, PDF
Process-color separations Vector drawings Illustrator, EPS, PDF
Color bitmap images Photoshop, CMYK TIFF, DCS, EPS, PDF
Color-managed graphics Illustrator, Photoshop, RGB TIFF, RGB EPS, PDF
Low-resolution printing, or PDF for
online viewing
All Any (BMP images only)
Web All Any (InDesign converts graphics to JPEG and GIF when
exporting to HTML)
24:1
3:1

INDESIGN CS3
User Guide
328
You can freely move or modify vector graphics without losing detail or clarity, because they are resolution-
independent—they maintain crisp edges when resized, printed to a PostScript printer, saved in a PDF file, or
imported into a vector-based graphics application. As a result, vector graphics are the best choice for artwork, such
as logos, that will be used at various sizes and in various output media.
The vector objects you create using the drawing and shape tools in Adobe Creative Suite are examples of vector
graphics. You can use the Copy and Paste commands to duplicate vector graphics between Creative Suite compo-
nents.
See also
“About bitmap images” on page 328
About bitmap images
Bitmap images—technically called raster images—use a rectangular grid of picture elements (pixels) to represent
images. Each pixel is assigned a specific location and color value. When working with bitmap images, you edit pixels
rather than objects or shapes. Bitmap images are the most common electronic medium for continuous-tone images,
such as photographs or digital paintings, because they can more efficiently represent subtle gradations of shades and
color.
Bitmap images are resolution-dependent—that is, they contain a fixed number of pixels. As a result, they can lose
detail and appear jagged if they are scaled to high magnifications on-screen or if they are printed at a lower resolution
than they were created for.
Example of a bitmap image at different levels of magnification
Bitmap images sometimes require large amounts of storage space, and often need to be compressed to keep file sizes
down when used in certain Creative Suite components. For instance, you compress an image file in its original appli-
cation before you import it into a layout.
Note: In Adobe Illustrator, you can create bitmap effects in your artwork using filters, effects, and graphic styles.
See also
“About vector graphics” on page 327
Image resolution guidelines for final output
Bitmap images contain a fixed number of pixels, usually measured in pixels per inch (ppi). An image with a high
resolution contains more, and therefore smaller, pixels than an image of the same printed dimensions with a low
resolution. For example, a 1-inch-by-1-inch image with a resolution of 72 ppi contains a total of 5184 pixels (72
pixels wide x 72 pixels high = 5184). The same 1-inch-by-1-inch image with a resolution of 300 ppi would contain a
total of 90,000 pixels.
24:1
3:1

INDESIGN CS3
User Guide
329
For imported bitmap images, image resolution is determined by the source file. For bitmap effects, you can specify
a custom resolution. To determine the image resolution to use, consider the medium of final distribution for the
image. The following guidelines can help you determine your requirements for image resolution:
Commercial printing Commercial printing requires 150 to 300 ppi (or more) images, depending on the press (dpi)
and screen frequency (lpi) you’re using; always consult your prepress service provider before making production
decisions. Because commercial printing requires large, high-resolution images, which take more time to display
whileyou’reworkingwiththem,youmaywanttouselow-resolutionversionsforlayoutandthenreplacethemwith
high-resolution versions at print time.
In Illustrator and InDesign, you can work with low resolution versions by using the Links panel. In InDesign you can
choose either Typical or Fast Display from the View > Display Performance menu; in Illustrator you can choose
View > Outline, or change settings in the Display Performances preferences. Alternatively, if your service provider
supports Open Prepress Interface (OPI), they may provide low-resolution images to you.
Desktop printing Desktop printing usually requires images within the range of 72 ppi (for photographs printed on
a 300 ppi printer) to 150 ppi (for photographs printed on devices up to 1000 ppi). For line art (1-bit images), make
sure that the resolution of your graphics matches the resolution of the printer.
Web publishing Because online publishing generally requires images with pixel dimensions that fit the intended
monitor, the images are usually less than 500 pixels wide and 400 pixels tall, to leave room for browser window
controls or such layout elements as captions. Creating an original image at screen resolution—96 ppi for Windows–
based images, and 72 ppi for Mac OS–based images—lets you see the image as it will likely appear when viewed from
a typical web browser. When you’re publishing online, the only times you’re likely to need resolutions above those
ranges are when you want viewers to be able to zoom in for more detail in a PDF document, or when you’re
producing a document for printing on demand.
Importing files from Adobe applications
Importing Adobe Illustrator graphics
How you import Illustrator graphics depends on how much editing the graphics require after you import them. You
can import Illustrator graphics into InDesign in their native (.ai) format.
If you want to adjust layer visibility in InDesign...
Import the graphic using the Place command, and when you want to edit it, choose Edit > Edit Original to open the
graphic in Illustrator. For example, for a multilanguage publication, you can create a single illustration that includes
one text layer for each language. You can transform the illustration as a single object in InDesign but you cannot edit
the paths, objects, or text within the illustration.
Layered file with Spanish and English layers

INDESIGN CS3
User Guide
330
If you want to edit objects and paths in InDesign...
Copy the art from Illustrator and paste it into your InDesign document. For example, in a magazine, you might use
the same design element in each issue, but change its color every month. By pasting a graphic into InDesign, you can
change objects’ color, path, and transparency using the InDesign tools designed for that purpose.
See also
“Control graphics’ display performance” on page 347
“Control layer visibility in imported images” on page 343
Create a layered PDF in Adobe Illustrator
You can save an Illustrator graphic as a layered PDF and control the visibility of layers in InDesign. Adjusting layer
visibility in InDesign lets you vary an illustration depending on context. Rather than create multiple versions of the
same illustration, say for a multilanguage publication, you can place the same illustration where needed and adjust
the visibility of the layers as appropriate.
You can transform a PDF as a single object (you can rotate or resize it, for example), but you cannot edit the paths,
objects, or text within the illustration.
Note: Don’t place layers in nested layer sets if you want to adjust layers in InDesign.
1In Illustrator, choose File > Save As.
2In the Save As dialog box, type a filename and choose a location for the file.
3For Format, choose Adobe PDF (.pdf), and click Save.
4In the Adobe PDF Options dialog box, choose Acrobat 6 (1.5) or later for Compatibility.
5Select Create Acrobat Layers From Top-Level Layers, and click Save PDF.
See also
“Export to PDF” on page 473
“Control layer visibility in imported images” on page 343
Pasting Illustrator graphics into InDesign
When you paste a graphic from Illustrator 8.0 or later into an InDesign document, the artwork appears in InDesign
as a grouped collection of editable objects. For example, if you paste an Illustrator drawing of a soccer ball with
individually created patches into InDesign, the patches are pasted as a group, which can be ungrouped and edited
using tools in InDesign. You cannot change the visibility of layers within the illustration.
Illustration of soccer ball in Illustrator (left) and same illustration pasted into InDesign (right)

INDESIGN CS3
User Guide
331
Important: Before pasting a graphic, make sure that Illustrator is configured to copy as AICB (see Illustrator Help). In
InDesign, make sure that Prefer PDF When Pasting isn’t selected in the Clipboard Handling preferences. If these options
aren’t set properly, the Illustrator graphic cannot be edited in InDesign.
Issues you may encounter when pasting or dragging art from Illustrator to InDesign
Color Illustrator supports the Grayscale, RGB, HSB, CMYK, and Web Safe RGB color models. InDesign supports
LAB, CMYK and RGB. When you paste or drag artwork from Illustrator into InDesign, RGB and CMYK colors
convert in the expected color model. Grayscale colors are converted to the appropriate K value in a CMYK color in
InDesign. HSB and Web Safe RGB objects are converted to RGB color in InDesign. Colors in smooth shades and
gradients can be edited in InDesign.
Gradients Linear or radial gradients created in Illustrator can be modified using the Gradient tool or Gradient panel
in InDesign. Gradients with multiple spot colors or complex patterns may appear as non-editable items in InDesign.
If your illustration contains complex gradients, import it using the Place command instead.
Transparency Transparency is flattened when Illustrator art is pasted or dragged into InDesign.
Graphic styles Illustrator Graphic Styles don’t become InDesign Object Styles when art is pasted or dragged into
InDesign.
Patterns Illustrator objects filled or stroked with patterns become embedded EPS images when pasted or dragged
into InDesign.
Tex t If you drag text from Illustrator into InDesign, it’s converted to outlines and isn’t editable with the Text tool. If
you select text using the Text tool in Illustrator, and then copy it into a text frame in InDesign, the text loses its
formatting but is editable. If you drag the text into InDesign without a frame selected, the text loses all formatting
and isn’t editable.
When you paste text from Illustrator, the text is imported as one or more objects that can be transformed and
colorized in InDesign, but not edited. For example, if you create text on a path in Illustrator and paste it into
InDesign, the text can be colorized, rotated, and scaled, but it cannot be edited using the Type tool. If you want to
edit the text, use the Type tool and paste it into a text frame.
Artwork ArtworkcopiedfromIllustratorandpastedintoInDesignisembeddedintheInDesigndocument.Nolink
to the original Illustrator file is created.
See also
“About preferences and defaults” on page 36
“Paste or drag graphics” on page 345
Importing Adobe Photoshop (.PSD) files
You can place graphics created in Adobe Photoshop 4.0 and later directly into an InDesign layout.
Layers and layer comps You can adjust the visibility of the top-level layers in InDesign, as well as view different layer
comps. Changing layer visibility or layer comps in InDesign does not alter the original Photoshop file.
Paths, masks, or alpha channels If you save paths, masks, or alpha channels in a Photoshop file, InDesign can use
them to remove backgrounds, or to wrap text around graphics. Graphics that contain paths, masks, or alpha channels
act as transparent objects when imported.
ICC color management profile If you place a Photoshop image with an embedded ICC color management profile,
InDesign reads the embedded profile, provided that color management is active. You can override the embedded

INDESIGN CS3
User Guide
332
profile for the image using the Import Options dialog box or assign a different color profile to the graphic in
InDesign. Overriding the color profile in InDesign will not remove or alter the profile embedded in the Photoshop
image.
Spot-color channels Spot-color channels in Adobe Photoshop PSD or TIFF files appear in InDesign as spot colors
in the Swatches panel. If the image uses a spot color that InDesign does not recognize, the spot color may appear gray
in the InDesign document and print incorrectly as a composite. (The image will print correctly on color separations,
however.) To simulate the graphic as a composite, you can create a spot color with the correct color values, and then
alias the PSD color to this new spot color. The graphic will then print correctly as composite and display correctly
on-screen when Overprint Preview is turned on (choose View > Overprint Preview). Be sure to remove the alias
before printing separations, so that the image prints on the plate you expect.
See also
“Import options for graphics” on page 340
“Place (import) graphics” on page 337
“About color management in Adobe applications” on page 439
“Create an ink alias for a spot color” on page 584
Importing PDF pages
Using the Place command, you can specify which pages you want to import from a multipage PDF: You can place a
single page, a range of pages, or all pages. Multipage PDF files let designers combine illustrations for a publication
into a single file.
The page range options appear when you select Show Import Options in the Place dialog box. The dialog box
includes a preview, so you can view a thumbnail of the pages before you place them. As you place each page, InDesign
reloads the graphics icon with the next page, letting you place the pages one after the next. InDesign doesn’t import
movies, sound, links, or buttons when you place a PDF file.
Comparing screen and device resolution in placed PDF pages
A placed PDF page displays at the best resolution possible for the given scale and screen resolution. When printed
on a PostScript output device, a placed PDF page always prints at the resolution of the device. When printed on a
non-PostScript printer, a placed PDF page prints at the same resolution as the other InDesign objects in the
document. For example, vector (drawn) objects will print at the same resolution as other vector objects in the
document. Bitmap images will print at the best resolution supplied in the placed PDF.
Linking to placed PDFs
A placed PDF page appears in the InDesign document as an on-screen preview, which is linked to a specific page in
the original PDF. After placing a PDF page, you may break links by doing any of the following:
•If you add a password to the original PDF that has been placed in an InDesign document, and you update the link,
you’ll be prompted to enter the password.
•If you delete pages in the original PDF, the placed PDF page changes to the page that now falls on the originally
placed page number.
•If you reorder the pages in the original PDF file and update the link, the placed PDF page may be different from
what you expect. When that happens, place the page again.

INDESIGN CS3
User Guide
333
Color in placed PDF pages
InDesign preserves colors embedded in PDF pages, even if the color comes from a color library not installed with
InDesign (such as the PANTONE Hexachrome® library). In addition, any color traps included in a placed PDF page
are preserved.
When color management is active, InDesign displays the placed PDF using its embedded ICC or output intent profile
(PDF/X only). When color management is turned off, or when you place a PDF that doesn’t contain an ICC or output
intent profile, colors in the placed PDF are calibrated using the color profile in the InDesign document.
Whenyouexportorprintthedocument,youcanpreservetheICCprofileembeddedintheplacedPDForreplace
it with the document profile instead. Output intent profiles are used for display and are included when you export
as PDF/X; they aren’t used when you print the document, and they aren’t included when you export to any other
format.
Security settings in placed PDF pages
Because a placed PDF page is linked to the original PDF, the placed page also includes the security settings of the
original file. If someone later changes the security settings in the original file, the security settings are updated in the
placed PDF page when you update the links.
If you correctly enter a required master password when placing a PDF page, you override any restrictions in the PDF
page, enabling the placed PDF page to export as expected.
See also
“About Adobe PDF” on page 472
“Control layer visibility in imported images” on page 343
“Import options for graphics” on page 340
Importing InDesign (.indd) pages
Using the Place command, you can import pages from one InDesign document into another. You can import a page,
a page range, or all of the pages in the document. The pages are imported as objects (much the same way that PDFs
are imported).
Add pages in your document to hold the pages you want to import. After you choose File > Place and select an INDD
file, you can choose Show Import Options and then choose which pages to import, which layers to make visible, and
how to crop the imported pages. You can scroll in the Preview window to examine the thumbnail pages closely. The
page or pages you select are loaded in the graphics icon. As you click to import each page, InDesign loads the
graphics icon with the following page so you can import pages one after the other.
Note: The Links panel lists the names of each page you imported. If a page you imported contains a graphic or other item
that was imported into it, this item is listed as well in the Links panel. The names of these secondary imported items are
indented in the Links panel to distinguish them from imported pages.
See also
“Place (import) graphics” on page 337
“Control layer visibility in imported images” on page 343

INDESIGN CS3
User Guide
334
Importing other graphics formats
About other graphics formats
InDesign supports a variety of graphics formats, including bitmap formats such as TIFF, GIF, JPEG, and BMP, and
vector formats such as EPS. Other supported formats include DCS, PICT, WMF, EMF, PCX, PNG, and Scitex CT
(.sct). You can import an SWF file as a movie file.
See also
“Add movies and sound files to documents” on page 499
Using Adobe Stock Photos in InDesign
The Adobe Stock Photos area of Adobe Bridge allows you to search Adobe Stock Photo libraries and download
images directly into your InDesign document. (Click the Go To Bridge icon on the Control panel to open Bridge
from within InDesign.)
After downloading an image and placing it in an InDesign document, it appears in the Links panel with an Adobe
Stock Photos Comp icon . From the Links panel menu you can choose Purchase This Image to connect directly
to the purchase area of Bridge. Unpurchased Adobe Stock Photos appear in the Preflight dialog box as problem links.
You need to purchase the files before printing or packaging.
See also
“About Adobe Bridge” on page 93
“Links panel overview” on page 349
“Perform a preflight check” on page 562
TIFF (.tif) files
TIFF is a flexible bitmap image format supported by virtually all painting, image-editing, and page-layout applica-
tions. Also, virtually all desktop scanners can produce TIFF images.
The TIFF format supports CMYK, RGB, grayscale, Lab, indexed-color, and bitmap files with alpha and spot-color
channels. You can select an alpha channel when you place a TIFF file. Spot-color channels appear in InDesign as spot
colors in the Swatches panel.
You can use an image-editing program such as Photoshop to create a clipping path to create a transparent
background for a TIFF image. InDesign supports clipping paths in TIFF images and recognizes encoded OPI
comments.
See also
“Import options for graphics” on page 340

INDESIGN CS3
User Guide
335
Graphics Interchange Format (.gif) files
Graphics Interchange Format (GIF) is a standard for displaying graphics on the World Wide Web and other online
services. Because it compresses image data without losing detail, its compression method is called lossless. Such
compression works well with graphics that use a limited number of solid colors such as logos and charts; however,
GIF cannot display more than 256 colors. For this reason it is less effective for displaying photographs online (use
JPEG instead) and is not recommended for commercial printing. If an imported GIF file contains transparency, the
graphic interacts only where the background is transparent.
JPEG (.jpg) files
The Joint Photographic Experts Group (JPEG) format is commonly used to display photographs and other
continuous-tone images in HTML files over the web and in other online media. The JPEG format supports CMYK,
RGB, and grayscale color modes. Unlike GIF, JPEG retains all of the color information in an RGB image.
JPEG uses an adjustable, lossy compression scheme that effectively reduces file size by identifying and discarding
extra data not essential to the display of the image. A higher level of compression results in lower image quality; a
lower level of compression results in better image quality, but a larger file size. In most cases, compressing an image
using the Maximum quality option produces a result that is indistinguishable from the original. Opening a JPEG
image automatically decompresses it.
Note: JPEG encoding, which can be performed on an EPS or DCS file in an image-editing application such as Photoshop,
does not create a JPEG file. Instead, it compresses the file using the JPEG compression scheme explained above.
JPEG works well for photographs, but solid-color JPEG images (images that contain large expanses of one color) tend
to lose sharpness. InDesign recognizes and supports clipping paths in JPEG files created in Photoshop. JPEG can be
used for both online and commercially printed documents; work with your prepress service provider to preserve
JPEG quality in printing.
See also
“Export to JPEG format” on page 104
Bitmap (.bmp) files
BMP is the standard Windows bitmap image format on DOS and Windows-compatible computers. However, BMP
does not support CMYK, and its color support is limited to 1, 4, 8, or 24 bits. It is less than ideal for commercially
printed or online documents, and it is not supported by some web browsers. BMP graphics can provide acceptable
quality when printed on low-resolution or non-PostScript printers.
See also
“Import options for graphics” on page 340
Encapsulated PostScript (.eps) files
The Encapsulated PostScript (EPS) file format is used to transfer PostScript language artwork between applications,
and is supported by most illustration and page-layout programs. Typically, EPS files represent single illustrations or
tables that are placed into your layout, but an EPS file can also represent a complete page.

INDESIGN CS3
User Guide
336
Because they are based on the PostScript language, EPS files can contain both vector and bitmap graphics. Since
PostScript cannot normally be displayed on-screen, InDesign creates a bitmap preview for an EPS file for on-screen
display. If you print a page with an EPS file to a non-PostScript printer, only this screen-resolution preview will be
printed. InDesign recognizes clipping paths in Photoshop-created EPS files.
When you import an EPS file, any spot colors it contains are added to the Swatches panel in InDesign. EPS allows
for prepress-quality resolution, precision, and color. This format includes all of the color and image data required to
color-separate DCS images embedded in the EPS graphic. EPS isn’t ideal for online publishing in HTML, but it works
well for online publishing in PDF.
EPS files can contain Open Prepress Interface (OPI) comments, which let you use fast, low-resolution versions
(proxies) of images for positioning on a page. For final output, either InDesign or your prepress service provider can
automatically replace the proxies with high-resolution versions.
See also
“Import swatches” on page 424
“Import options for graphics” on page 340
Desktop Color Separations (.dcs) files
Desktop Color Separations (DCS), developed by Quark, is a version of the standard EPS format. The DCS 2.0 format
supports multichannel CMYK files with multiple spot channels. (These spot channels appear as spot colors in the
Swatches panel in InDesign.) The DCS 1.0 format supports CMYK files without spot channels. InDesign recognizes
clipping paths in Photoshop-created DCS 1.0 and DCS 2.0 files.
DCS files are intended to be used in a preseparated, host-based workflow. In most cases, color separations files
associated with a DCS image are excluded when you export or print a composite to a PDF, EPS, or PostScript file.
(The sole exception is made for 8-bit DCS files that were created in Photoshop and that do not contain vector
graphics.)
InDesign can rebuild a composite image from DCS 2.0 or 1.0 separations files, if the files were created in Photoshop.
For best results, do not include DCS 1.0 files or DCS 2.0 files created in programs other than Photoshop when you
are creating high-resolution color composite proofs or separating a document in-RIP or from a composite file.
Macintosh PICT (.pict) files
The Macintosh PICT (or Picture) format is widely used for Mac OS graphics and page-layout applications, and for
transferring files between applications. The PICT format is especially effective in compressing images that contain
large areas of solid color. InDesign for both Windows and Mac OS imports PICT files created from Mac OS screen-
shots and a variety of other applications, including clip art collections.
InDesign supports RGB PICT images with variable resolutions and embedded QuickTime images. PICT graphics
do not support color separations, are device-dependent, and are not recommended for high-resolution commercial
printing. The PICT format can provide acceptable quality only when printed on low-resolution or non-PostScript
printers.

INDESIGN CS3
User Guide
337
Windows Metafile Format (.wmf) and Enhanced Metafile Format (.emf) files
Windows Metafile Format (WMF) and Windows Enhanced Metafile Format (EMF) are native Windows formats
used primarily for vector graphics, such as clip art, shared between Windows applications. Metafiles may contain
raster image information; InDesign recognizes the vector information and provides limited support for raster opera-
tions. Color support is limited to 16-bit RGB, and neither format supports color separations. Metafile formats are
not an ideal choice for commercially printed or online documents; they provide acceptable quality only when printed
on low-resolution or non-PostScript printers from a Windows desktop.
PCX (.pcx) files
The PCX format is commonly used in Windows systems. Most Windows software supports version 5 of the PCX
format.
The PCX format supports RGB, indexed-color, grayscale, and bitmap color modes, as well as the RLE compression
method, which is lossless. It does not support alpha channels. Images can have a bit depth of 1, 4, 8, or 24 bits.
However, PCX is not ideal for commercially printed or online documents. PCX graphics can provide acceptable
quality only when printed on low-resolution or non-PostScript printers.
Portable Network Graphics (.png) files
The Portable Network Graphics (PNG) format uses adjustable, lossless compression to display 24-bit photographs
or solid-color images on the World Wide Web and in other online media. PNG was developed as a patent-free alter-
native to the GIF file format. It supports transparency in an alpha channel or a designated color. PNG is best used
for online documents, although its color support makes it better for printed documents than GIF. However, color
PNG graphics placed in an InDesign document are RGB bitmap images, so they print only as composites, not on
color separations.
See also
“Import options for graphics” on page 340
Scitex CT (.sct) files
The Scitex Continuous Tone (CT) format is used for high-end image processing on Scitex computers. Scitex CT files
often come from Scitex scanners, which produce high-quality scans for commercial printing. The Scitex CT format
supports CMYK, RGB, and grayscale files, but does not support alpha channels. Contact Scitex to obtain utilities for
transferring files saved in the Scitex CT format to a Scitex system.
Placing graphics
Place (import) graphics
The Place command is the primary method used to import graphics into InDesign because it provides the highest
level of support for resolution, file formats, multipage PDFs, and color. If you’re creating a document in which those
characteristics aren’t critical, you can copy and paste to import your graphic into InDesign. Pasting, however, embeds
a graphic in a document; the link to the original graphic file is broken, and you can’t update the graphic from the
original file.

INDESIGN CS3
User Guide
338
The options available to you when you place a graphics file depend on the type of graphic. These options appear
when you select Show Import Options in the Place dialog box. If you don’t select Show Import Options, InDesign
applies the default settings or the last settings used in placing a graphics file of that type.
The names of graphics you’ve placed (imported) appear in the Links panel.
Note: If you place or drag a graphic from a removable media, such as a CD-ROM, the link will break when you remove
that media from your system.
For a video on importing content into InDesign, see www.adobe.com/go/vid0067.
1Do one of the following:
•To import a graphic without first creating a frame, make sure that nothing in the document is selected.
•To import a graphic into an existing frame, select the frame. If the new image is larger than the frame, you can refit
the frame later by choosing Object > Fitting > [fitting command].
•To replace an existing image, select its graphics frame.
2Choose File > Place and select one or more graphics files of any available format.
If you select multiple files, you can click or drag in the document to place the selected files one at a time. (See “Place
multiple graphics” on page 339.)
To view Adobe Version Cue options, click Use Adobe Dialog.
3To replace an object you selected, select Replace Selected Item.
4To set format-specific import options, do one of the following:
•Select Show Import Options, and then click Open.
•Hold down Shift as you click Open or Shift-double-click a file name.
Note: When you place a graphic created in Illustrator 9.0 or later by using the Show Import Options dialog box, the
options are identical to those for PDFs. When you place an Illustrator 5.5–8.x graphic, the options are identical to those
for EPS files.
5If the Place dialog box appears (because you chose to set format-specific import options), select import options
and click OK. (See “Import options for graphics” on page 340.)
6Do one of the following:
•Toimportintoanewframe,clicktheloadedgraphicsicon inthelayoutattheplacewhereyouwanttheupper
left corner of the graphic to appear.
•To import into an existing, unselected frame, click the loaded graphics icon anywhere in that frame.
•To import into an existing selected frame, you don’t need to do anything. The image automatically appears in that
frame.
•To replace an existing graphic, hold down Alt (Windows) or Option (Mac OS) and click the loaded graphics icon
on the graphic you want to replace.
•To place all the specified pages of a multipage PDF at the same time, one overlapping another, hold down Alt
(Windows) or Option (Mac OS) and click the loaded graphics icon where you want the pages to appear.
If you accidently replace an existing graphic with an image you’re placing, press Ctrl+Z (Windows) or Command+Z
(Mac OS) to return the original image to the frame and display the loaded graphics icon.

INDESIGN CS3
User Guide
339
7To place the next graphic or the next page of a multipage PDF, click the loaded graphics icon in the layout where
desired. If necessary, you can scroll to a different location or change pages without losing the loaded graphics icon.
See also
“About links and embedded graphics” on page 349
“Choosing the right graphics format” on page 327
Place multiple graphics
The Place command lets you import more than one item at a time.
1Create frames for the graphics if you want to place some or all of them in frames.
2Choose File > Place, and select files.
You can select graphics files, text files, InDesign files, and other files you can add to InDesign documents.
3Optionally, select Show Import Options, click Open, and specify the import options for each file. (See “Import
options for graphics” on page 340.)
A thumbnail image of the first graphic you selected appears next to the loaded graphics icon. A number next to the
loaded graphics icon tells you how many graphics are ready for importing. The names of the graphics appear in the
Links panel, with the letters LP (for “loaded in place cursor”) next to the frontmost graphic.
Placing four files into placeholder frames
Press an arrow key to cycle through the graphics; press Esc to unload the frontmost graphic from the loaded graphics
icon without placing it in InDesign.
Note: You can keep thumbnail images from appearing in the loaded graphics icon if displaying the images slows down
your computer. In the Interface area of the Preferences dialog box, deselect Show Thumbnails On Place.
4Do one of the following:
•To import into a new frame, click the loaded graphics icon where you want the upper left corner of the graphic to
appear.
•To create a frame of a certain size and import the graphic into the frame, drag-click to define the frame.
•To import into an existing frame, click the loaded graphics icon in the frame.
•To import all the graphics in a cascade, Ctrl+Shift-click (Windows) Command+Shift-click (Mac OS).
Note: You can load more graphics by choosing File > Place while the graphics icon is displayed.

INDESIGN CS3
User Guide
340
Import options for graphics
The options for importing graphics vary depending on the type of image being imported.
Encapsulated PostScript (.eps) import options
When you place an EPS graphic (or a file saved with Illustrator 8.0 or earlier) and select Show Import Options in the
Place dialog box, you’ll see a dialog box containing these options:
Read Embedded OPI Image Links This option tells InDesign to read links from OPI comments for images included
(or nested) in the graphic.
Deselect this option if you’re using a proxy-based workflow and plan to have your service providers perform the
image replacement using their OPI software. When this option is deselected, InDesign preserves the OPI links but
does not read them. When you print or export, the proxy and the links are passed on to the output file.
Select this option if you’re using a proxy-based workflow and you want InDesign, instead of your service provider,
to perform image replacement when you output the final file. When you select this option, the OPI links appear in
the Links panel.
Also select this option when you import EPS files containing OPI comments that are not part of a proxy-based
workflow. For example, if you import an EPS file containing OPI comments for an omitted TIFF or bitmap image,
you’ll want to select this option so that InDesign can access the TIFF information when you output the file.
Apply Photoshop Clipping Path Select this option to apply a clipping path from a Photoshop EPS file. Not all the
paths you created in Photoshop appear when placing EPS files. Only one clipping path displays, so make sure you
convert the desired path to a clipping path in Photoshop before saving as EPS. (To preserve editable clipping paths,
save the file as a PSD instead.)
Proxy Generation This creates a low-resolution bitmap representation of an image when drawing the file to the
screen. The following settings control how the proxy will be generated:
•Use TIFF or PICT Preview Some EPS images contain an embedded preview. Select Use TIFF or PICT Preview to
generate the proxy image of the existing preview. If a preview does not exist, the proxy will be generated by rasterizing
the EPS to an offscreen bitmap.
•Rasterize the PostScript Select this option to ignore the embedded preview. This option is typically slower but
provides the highest-quality results.
Note: When your import more than one single file into the same document, all instances share the proxy setting of the
first instance of the imported file.
Bitmap import options
You can apply color-management options to individual imported graphics when using color-management tools with
a document. You can also import a clipping path or an alpha channel saved with an image created in Photoshop.
Doing so lets you directly select an image and modify its path without changing the graphic frame.
When you place a PSD, TIFF, GIF, JPEG, or BMP file and select Show Import Options in the Place dialog box, you’ll
see a dialog box containing these options:
Apply Photoshop Clipping Path If this option isn’t available, the image wasn’t saved with a clipping path, or the file
format doesn’t support clipping paths. If the bitmap image doesn’t have a clipping path, you can create one in
InDesign.
Alpha channel Select an alpha channel to import the area of the image saved as an alpha channel in Photoshop.
InDesignusesthealphachanneltocreateatransparentmaskontheimage.Thisoptionisavailableonlyforimages
that contain at least one alpha channel.

INDESIGN CS3
User Guide
341
Image imported without clipping path (left) and with clipping path (right)
Click the Color tab to view the following options:
Profile If Use Document Default is selected, leave this option unchanged. Otherwise, choose a color source profile
that matches the gamut of the device or software used to create the graphic. This profile enables InDesign to properly
translate its color to the gamut of the output device.
Rendering Intent Choose a method for scaling the color range of the graphic to the color range of the output device.
Typically, you’ll choose Perceptual (Images) because it accurately represents colors in photographs. The Saturation
(Graphics), Relative Colorimetric, and Absolute Colorimetric options are better for areas of solid color; they don’t
reproduce photographs well. Rendering Intent options aren’t available for bitmap, grayscale, and index-color mode
images.
Portable Network Graphics (.png) import options
WhenyouplaceaPNGimageandselectShowImportOptionsinthePlacedialogbox,you’llseeadialogboxwith
three sections of import settings. Two sections contain the same options available for other bitmap image formats.
The other section, PNG Settings, contains the following settings:
Use Transparency Information This option is enabled by default when a PNG graphic includes transparency. If an
imported PNG file contains transparency, the graphic interacts only where the background is transparent.
White Background If a PNG graphic does not contain a file-defined background color, this option will be selected
bydefault.However,itisonlyenabledifUseTransparencyInformationisactivated.Ifthisoptionisselected,white
is used as the background color when applying transparency information.
File Defined Background Color If a PNG graphic was saved with a non-white background color, and Use Trans-
parency Information is selected, this option is selected by default. If you don’t want to use the default background
color, click White Background to import the graphic with a white background, or deselect Use Transparency Infor-
mation to import the graphic without any transparency (displaying areas of the graphic that are currently trans-
parent). Some image-editing programs can’t specify a non-white background color for PNG graphics.
Apply Gamma Correction Select this option to adjust the gamma (midtone) values of a PNG graphic as you place it.
This option lets you match image gamma to the gamma of the device you will use to print or display the graphic (such
as a low-resolution or non-PostScript printer or computer monitor). Deselect this option to place the image without
applyinganygammacorrection.Bydefault,thisoptionisselectedifthePNGgraphicwassavedwithagammavalue.
Gamma Value This option, available only if Apply Gamma Correction is selected, displays the gamma value that was
saved with the graphic. To change the value, type a positive number from 0.01 to 3.0.
WhenPNGfilesareimported,thesettingsintheImageImportOptionsdialogboxarealwaysbasedontheselected
file, not on the default or last-used settings.
Acrobat (.pdf) import options
The layout, graphics, and typography in a placed PDF are preserved. As with other placed graphics, you cannot edit
aplacedPDFpagewithinInDesign.YoucancontrolthevisibilityoflayersinalayeredPDF.Youcanalsoplacemore
than one page of a multipage PDF.

INDESIGN CS3
User Guide
342
When you place a PDF that was saved with passwords, you’ll be prompted to enter the required passwords. If the PDF
file was saved with usage restrictions (for example, no editing or printing), but no passwords, you can place the file.
When you place a PDF (or a file saved with Illustrator 9.0 or later) and select Show Import Options in the Place dialog
box, you’ll see a dialog box containing the following options:
Show preview Preview a page in the PDF before you place it. If you’re placing a page from a PDF that contains
multiple pages, click the arrows, or type a page number under the preview image to preview a specific page.
Pages Specify the pages you want to place: the page displayed in the preview, all pages, or a range of pages.
Crop to Specify how much of the PDF page to place:
•Bounding box Places the PDF page’s bounding box, or the minimum area that encloses the objects on the page,
including page marks.
•Art Places the PDF only in the area defined by a rectangle that the author created as a placeable artwork (for
example, clip art).
•Crop Places the PDF only in the area that is displayed or printed by Adobe Acrobat.
•Trim Identifies the place where the final produced page will be physically cut in the production process, if trim
marks are present.
•Bleed Places only the area that represents where all page content should be clipped, if a bleed area is present. This
information is useful if the page is being output in a production environment. Note that the printed page may include
page marks that fall outside the bleed area.
•Media Places the area that represents the physical paper size of the original PDF document (for example, the
dimensions of an A4 sheet of paper), including page marks.

INDESIGN CS3
User Guide
343
Options for cropping placed PDFs
A. Media B. Content C. Bleed D. Trim E. Crop F. Art
Transparent Background Select this option to reveal text or graphics that fall beneath the PDF page in the InDesign
layout. Deselect this option to place the PDF page with an opaque white background.
If you make the background transparent in a frame containing a PDF graphic, you can make it opaque later by
adding a fill to the frame.
InDesign (.indd) import options
InDesign preserves the layout, graphics, and typography in a placed INDD file. However, the file is treated as an
object, and you can’t edit it, although you can control the visibility of layers and choose which pages of a multi-page
INDD file to import.
When you place an InDesign file and select Show Import Options in the Place dialog box, you’ll see a dialog box
containing the following options:
Show preview Preview a page before you place it. You can type a page number or click the arrows to preview a page
in a multi-page document.
Pages Specify the pages you want to place: the page displayed in the preview, all pages, or a range of pages.
Crop to Specify how much of the page or pages to place, the page itself or the bleed or slug areas on the pasteboard.
Control layer visibility in imported images
When you import Photoshop PSD files, layered PDFs, and INDD files, you can control the visibility of top-level
layers. Adjusting layer visibility in InDesign lets you vary an illustration depending on context. For example, in a
multilanguage publication, you can create a single illustration that includes one text layer for each language.
AB
CD
EF

INDESIGN CS3
User Guide
344
You can adjust layer visibility either when you place a file or by using the Object Layer Options dialog box. In
addition, if the Photoshop file contains layer comps, you can display the desired comp.
See also
“Importing Adobe Illustrator graphics” on page 329
“Create a layered PDF in Adobe Illustrator” on page 330
“Importing Adobe Photoshop (.PSD) files” on page 331
Set layer visibility
1Do one of the following:
•To import a graphic without first creating a frame, make sure that nothing in the document is selected.
•To import a graphic into an existing frame, select the frame.
•To replace an existing image, select the graphics frame.
2Choose File > Place and select a graphics file.
To view Version Cue options, click Use Adobe Dialog.
3To replace a selected object, select Replace Selected Item.
4Select Show Import Options, and then click Open.
5In the Image Import Options or Place dialog box, click the Layers tab.
6To view a preview of the image, click Show Preview.
7(PDFs only) If you’re placing a page from a multipage PDF, click the arrows, or type a page number under the
preview image to preview a specific page.
8(Photoshop PSD files only) If the image contains layer comps, choose the layer comp you want to display from the
Layer Comp pop-up menu.
9Do one of the following:
•To open or close a layer set, click the triangle to the left of the folder icon.
•To hide a layer or layer set, click the eye icon next to the layer or layer set.
•To display the layer or layer set, click the empty eye column next to the layer or layer set.
•To display only the content of a particular layer or layer set, Alt-click (Windows) or Option-click (Mac OS) its eye
icon. Alt-click or Option-click the eye icon again to restore the original visibility settings of the other layers.
•To change the visibility of multiple items, drag through the eye column.
10 Set the When Updating Link option as desired:
Use Photoshop’s/PDF’s Layer Visibility Matches the layer visibility settings to those of the linked file when you
update the link.
Keep Layer Visibility Overrides Maintains the layer visibility settings as specified in the InDesign document.
11 Click OK, and do one of the following:
•Toimportintoanewframe,clicktheloadedgraphicsicon inthelayoutattheplacewhereyouwanttheupper
left corner of the graphic to appear.

INDESIGN CS3
User Guide
345
•To import into an existing, unselected frame, click the loaded graphics icon anywhere in that frame.
•To import into an existing selected frame, you don’t need to do anything. The image automatically appears in that
frame.
If you accidently replace an existing graphic with an image you’re placing, press Ctrl+Z (Windows) or Command+Z
(Mac OS) to return the original image to the frame and display the loaded graphics icon.
Set layer visibility for placed AI, PSD, PDF, and INDD files
After you place a Photoshop PSD or layered PDF, an Illustrator AI file, or an InDesign INDD file, you can control
the visibility of its layers by using the Object Layer Options dialog box. If the Photoshop PSD file contains layer
comps, you can choose which comp you want to display. In addition, you can choose whether to maintain the
visibility settings or match the settings of the original file each time you update the link.
1Select the file in the InDesigndocument.
2Choose Object > Object Layer Options.
3To view a preview of the image, select Preview.
4(Photoshop PSD files only) If the image contains layer comps, choose the layer comp you want to display from the
Layer Comp pop-up menu.
5Do one of the following:
•To open or close a layer set, click the triangle to the left of the folder icon.
•To hide a layer or layer set, click the eye icon next to the layer or layer set.
•To display the layer or layer set, click the empty eye column next to the layer or layer set.
•To display only the content of a particular layer or layer set, Alt-click (Windows) or Option-click (Mac OS) its eye
icon. Alt-click or Option-click the eye icon again to restore the original visibility settings of the other layers.
•To change the visibility of multiple items, drag through the eye column.
6Set the Updating Link Options as desired:
Use Layer Visibility Matches the layer visibility settings to those of the linked file when you update the link.
Keep Layer Visibility Overrides Maintains the layer visibility settings as specified in the InDesign document.
7Click OK.
Paste or drag graphics
When you copy and paste or drag a graphic into an InDesign document, some attributes of the original object may
be lost, depending on the limitations of the operating system and the range of data types the other application makes
available for transfer, and the InDesign Clipboard preferences. Pasting or dragging Illustrator graphics lets you select
and edit paths within the graphic.
Copying and pasting or dragging between two InDesign documents, or within a single document, however,
preserves all of the graphics attributes that were imported or applied. For example, if you copy a graphic from one
InDesign document and paste it into another, the new copy will be an exact duplicate of the original, even including
the original’s link information, so that you can update the graphic when the file on disk changes.

INDESIGN CS3
User Guide
346
See also
“About links and embedded graphics” on page 349
“Pasting Illustrator graphics into InDesign” on page 330
Copy and paste graphics
When copying and pasting a graphic from another document into an InDesign document, InDesign does not create
a link to the graphic in the Links panel. The graphic may be converted by the system clipboard during the transfer,
so both image quality and print quality may be lower in InDesign than in the graphic’s original application.
1In InDesign or another program, select the original graphic, and choose Edit > Copy.
2Switch to an InDesign document window, and choose Edit > Paste.
Drag and drop graphics
The drag-and-drop method works like the Place command, with images appearing in the Links panel after they’re
imported. You cannot set import options for the files you drag and drop; however, you can drag and drop multiple
files at once (the files are loaded in the graphics icon when you drag and drop more than one).
Select a graphic from Adobe Illustrator, Adobe Bridge, Explorer (Windows), the Finder (Mac OS), or your desktop,
and drag it into InDesign. The image must be in a format that InDesign can import.
After dragging and dropping a file from any location other than Illustrator, it appears in the Links panel in InDesign.
Using the Links panel, you can control versions and update as necessary.
1Select the original graphic.
2Drag the graphic into an open InDesign document window.
Note: In Windows, if you try to drag an item from an application that does not support drag and drop, the pointer
displays the Prohibited icon.
To cancel dragging a graphic, drop the graphic onto any panel title bar or the document title bar.
Create snippets
Asnippet isafilethatholdsobjectsanddescribestheirlocationrelativetooneanotheronapageorpagespread.Use
snippets to conveniently reuse and position page objects. Create a snippet by saving objects in a snippet file, which
has the .INDS extension. When you place the snippet file in InDesign, you can determine whether the objects land
in their original positions or where you click. You can store snippets in the Object library and Adobe Bridge as well
as on your hard disk.
Snippets contents retain their layer associations when you place them. When a snippet contains resource definitions
andthesedefinitionsarealsopresentinthedocumenttowhichitiscopied,thesnippetusestheresourcedefinitions
in the document.
❖Do one of the following:
•Using a selection tool, select one or more objects, and then choose File > Export. From the Save As Type
(Windows) or Format (Mac OS) menu, choose InDesign Snippet. Type a name for the file and click Save.
•Using a selection tool, select one or more objects, and then drag the selection to your desktop. A snippet file is
created. Rename the file.
•Drag an item from Structure View to your desktop.

INDESIGN CS3
User Guide
347
See also
“About XML” on page 510
“Add an object or page to a library” on page 355
Add snippets to a document
1Choose File > Place.
2Select one or more snippet (*.INDS) files.
3Click the loaded snippet cursor where you want the upper left corner of the snippet file to be.
All objects remain selected after you place the snippet. By dragging, you can adjust the position of all objects.
4If you loaded more than one snippet, scroll and click the loaded snippet cursor to place the others.
You can drag a snippet file from your desktop into the InDesign document and click where you want the upper left
corner of the snippet to be.
Choose how to place snippets
Rather than place snippet objects according to where you click on a page, you can place them in their original
locations. For example, a text frame that appeared in the middle of a page when it was made part of a snippet can
appear in the same location when you place it as a snippet.
•In File Handling preferences, choose Position At Original Location to preserve objects’ original locations in
snippets; choose Position At Cursor Location to place snippets according to where you click a page.
YoucanpressAlt(Windows)orOption(Mac)tooverridethePositionsettingyouselectedforhandlingsnippets.For
example,ifyouselectedPositionAtCursorLocationbutyouwanttoplacesnippetobjectsintheiroriginallocations,
hold down the Alt/option key when you click the loaded snippet cursor on the page.
Control graphics’ display performance
You can control the resolution of graphics placed in your document. You can change the display settings for the entire
document or for individual graphics. You can also change a setting that either allows or overrides the display settings
for individual documents.
Change a document’s display performance
A document always opens using the default Display Performance preferences. You can change the display perfor-
mance of a document while it is open, but the setting won’t be saved with the document.
If you’ve set the display performance of any images separately, you can override the settings so all objects use the
same settings.
1Choose View > Display Performance, and select an option from the submenu.
2To force objects that you have set individually to display using the document setting, deselect View > Display
Performance > Allow Object-Level Display Settings. (A check mark indicates it is selected.)
Change an object’s display performance
1Topreservethedisplayperformanceforindividualobjectswhenthedocumentisclosedandreopened,makesure
Preserve Object-Level Display Settings is selected in Display Performance preferences.
2Choose View > Display Performance, and make sure Allow Object-Level Display Settings is selected.

INDESIGN CS3
User Guide
348
3With the Selection tool or Direct Selection tool , select an imported graphic.
4Do one of the following:
•Select Object > Display Performance, and choose a display setting.
•Right-click (Windows) or Control-click (Mac OS) the image, and choose a display setting from the Display
Performance submenu.
To remove an object’s local display setting, choose Use View Setting in the Display Performance submenu. To remove
local display settings for all graphics in the document, select Clear Object-Level Display Settings in the View >
Display Performance submenu.
Display performance options
These options control how graphics are displayed on the screen, but they do not affect the print quality or exported
output.
Use Display Performance preferences to set the default option used to open all documents, and customize the
settings that define those options. Each display option has separate settings for displaying raster images, vector
graphics, and transparencies.
Fast Draws a raster image or vector graphic as a gray box (default). Use this option when you want to quickly page
through spreads that have lots of images or transparency effects.
Typical Draws a low-resolution proxy image (default) appropriate for identifying and positioning an image or vector
graphic. Typical is the default option, and is the fastest way to display an identifiable image.
High Quality Draws a raster image or vector graphic at High Resolution (default). This option provides the highest
quality but the slowest performance. Use this option when you want to fine-tune an image.
Note: Image display options don’t affect output resolution when exporting or printing images within a document. When
printing to a PostScript device, exporting to XHTML, or exporting to EPS or PDF, the final image resolution depends on
the output options you choose when you print or export the file.
Set default display performance
TheDisplayPerformancepreferencesletyousetthedefaultdisplayoption,whichInDesignusesforeverydocument.
Youcanchangeadocument’sdisplayperformanceusingtheViewmenu,orchangethesettingforindividualobjects
usingtheObjectmenu.Forexample,ifyouworkonprojectsthatcontainnumeroushigh-resolutionphotos(suchas
a catalog), you may prefer to have all your documents open quickly. You can set the default display option to Fast.
When you want to see the images in more detail, you can switch the document view to Typical or High Quality
(leaving the preference set to Fast).
You can also choose to view or override display settings applied to individual objects. If Preserve Object-Level
Display Settings is selected, any settings applied to objects are saved with the document.
1Select Edit > Preferences > Display Performance (Windows) or InDesign > Preferences > Display Performance
(Mac OS).
2For Default View, select Typical, Fast, or High Quality. The display option you choose applies to all documents
you open or create.
3Do one of the following, and click OK:
•To save display settings applied to individual objects, select Preserve Object-Level Display Settings.
•To display all graphics using the default display option, deselect Preserve Object-Level Display Settings.

INDESIGN CS3
User Guide
349
4For Adjust View Settings, choose the display option you want to customize, and then move the slider for Raster
Images or Vector Graphics to the desired setting.
Each display option has separate settings for raster (bitmap) images, vector graphics, and transparency effects.
Managing graphics links
About links and embedded graphics
When you place a graphic, you will see a screen-resolution version of the file in the layout, so that you can view and
position it, but the actual graphic file may be either linked or embedded.
•Linkedartworkisconnectedto,butremainsindependentof,thedocument,resultinginasmallerdocument.You
can modify linked artwork using transformation tools and effects; however, you cannot select and edit individual
components in the artwork. You can use the linked graphic many times without significantly increasing the size
of the document; you can also update all links at once. When you export or print, the original graphic is retrieved,
creating the final output from the full resolution of the originals.
•Embedded artwork is copied into the document at full resolution, resulting in a larger document. You can control
versions and update the file whenever you like; as long as the artwork is embedded, your document is self-suffi-
cient.
To determine if artwork is linked or embedded, or change its status from one to the other, use the Links panel.
If the bitmap image you place is 48K or smaller, InDesign automatically embeds the full-resolution image instead of
the screen-resolution version in your layout. InDesign displays these images in the Links panel, so that you can
control versions and update the file whenever you like; however, the link is not necessary for optimal output.
Note: If you move a document to another folder or disk (for example, if you take it to a service provider), be sure you
alsomovethelinkedgraphicsfiles;theyarenotstoredinsidethedocument.Youcancopyallrelatedfilesautomatically,
using the Preflight and Package features.
See also
“Perform a preflight check” on page 562
“Package files” on page 563
Links panel overview
All files placed in a document are listed in the Links panel. This includes both local (on disk) files and assets that are
managedonaserver.However,filesthatarepastedfromawebsiteinInternetExplorerdonotdisplayinthispanel.
Note: If you’re working with files from an Adobe Version Cue project, the Links panel displays additional file infor-
mation.

INDESIGN CS3
User Guide
350
Links panel
A. Linked graphic file name B. Page containing linked graphic C. Embedded-link icon D. Modified-link icon E. Image from linked .indd file
F. Missing-link icon G. Layer Visibility Override icon H. Adobe Stock Photos Comp icon I. Relink button J. Go To Link button K. Update
Link button L. Edit Original button
A linked file can appear in the Links panel in any of the following ways:
Up-to-date An up-to-date file displays only the file’s name and its page in the document.
Modified This icon means that the version of the file on disk is more recent than the version in your document. For
example, this icon will appear if you import a Photoshop graphic into InDesign, and then another artist edits and
saves the original graphic in Photoshop.
Missing The graphic is no longer in the location from which it was imported, although it may still exist somewhere.
This can happen if someone moves the original file to a different folder or server after it’s been imported into an
InDesign document. You can’t know whether a missing file is up to date until its original is located. If you print or
export a document when this icon is displayed, the file may not print or export at full resolution.
Embedded Embedding the contents of a linked file suspends management operations for that link. If the selected
link is currently in an “edit in place” operation, this option is not enabled. Unembedding the file restores
management operations to the link.
See also
“Adobe Version Cue” on page 94
“Using Adobe Stock Photos in InDesign” on page 334
Use the Links panel
•To display the Links panel, Choose Window > Links. Each linked file and automatically embedded file is identified
by name.
•To select and view a linked graphic, select a link in the Links panel and then click the Go To Link button , or
choose Go To Link in the Links panel menu. InDesign centers the display around the selected graphic.
•To sort links in the panel, choose Sort By Status, Sort By Name, Sort By Page, or Sort By Type in the Links panel
menu or the context menu.
•To purchase a linked Adobe Stock Photo, select the photo and choose Purchase This Image from the Links panel
menu. Then follow the prompts in Adobe Bridge.
Display link information
The Link Information dialog box lists information about the selected linked file. The Date, Time, and Size sections
specify information about the linked file at the time it was last placed or updated.
IJKL
D
B
F
E
C
A
G
H

INDESIGN CS3
User Guide
351
The Link Needed section specifies whether a link to a full-resolution version of the file is needed. Files that are
automatically embedded at import (those under 48K and text files) don’t require links.
Note: If you work with files from an Adobe Version Cue project, the Links panel displays additional file information.
1Double-click a link, or select a link and choose Link Information from the Links panel menu.
2Do any of the following:
•To view the linked file in the document, click Go To Link.
•To replace or update the current file (listed under the Name option), click Relink, locate and select a file, and then
click OK.
•Click Next or Previous to see information for the other links in the Links panel.
3Click Done.
See also
“Adobe Version Cue” on page 94
View and save metadata via the Links panel
If a linked or embedded file contains metadata, you can view the metadata using the Links panel. You cannot edit or
replace metadata associated with a linked file; however, you can save a copy of the metadata in a template and apply
it to other files.
1Select a file in the Links panel and choose Link File Info from the panel menu.
2To save the metadata as a template, choose Save Metadata Template in the pop-up menu at the top of the dialog
box showing the metadata.
InInDesign,youcanalsoviewmetadataintheInfopanel.Selecttheobjectwhosemetadatayouwanttoview,and
choose File Info from the Info panel menu.
Embed an image within the document
Rather than link to a file that you’ve placed in a document, you can embed (or store) the file within the document.
When you embed a file, you break the link to the original. Without the link, the Links panel doesn’t alert you when
the original has changed, and you cannot update the file automatically.
Embedding a file increases the document file size.
1Select a file in the Links panel.
2Choose Embed File in the Links panel menu. The file remains in the Links panel marked with the embedded-link
icon .
Note: ForatextfilethatappearsintheLinkspanel,selectUnlinkintheLinkspanelmenu.Whenyouembedatextfile,
its name is removed from the Links panel.
Unembed a linked file
1Select one or more embedded files in the Links panel.
2Do one of the following:
•Select Unembed in the Links panel menu.

INDESIGN CS3
User Guide
352
•Click the Relink button or select Relink in the Links panel menu.
3Choose to link the file to the original file or to a folder InDesign creates from the embedded data stored in the
document.
Updating, restoring, and replacing links
Use the Links panel to check the status of any link, or to replace files with updated or alternate files.
When you update or reestablish (relink) a link to a file, any transformations performed in InDesign are preserved (if
you choose Relink Preserved Dimensions in the File Handling preferences). For example, if you import a square
graphic and rotate it 30˚, and then you relink it to an unrotated graphic, InDesign rotates it 30˚ to match the layout
of the graphic it’s replacing.
Note: Placed EPS files may contain OPI links, which will appear in the Links panel. Don’t relink OPI links to files other
than those originally intended by the creator of the EPS file; doing so can cause problems with font downloading and
color separations.
Choose how relinked graphics are scaled
When you relink to replace one graphic with a different source file, you can keep the image dimensions of the file
that’s being replaced or you can display the incoming file in its actual dimensions.
1Choose InDesign > Preferences > File Handling (Mac OS) or Edit > Preferences > File Handling (Windows).
2Choose Relink Preserves Dimensions if you want images to appear at the same size as the images they’re replacing;
deselect this option to have relinked images appear at their actual size.
Update modified links
1In the Links panel, do one of the following:
•To update specific links, select one or more links marked with the modified-link icon .
•To update all modified links, deselect all links by clicking the bottom of the Links panel.
2Click the Update Link button , or choose Update Link from the Links panel menu.
Replace a link with a different source file
1Select any link in the Links panel, and click the Relinkbutton orchooseRelinkfromtheLinkspanelmenu.
2Inthedialogboxthatappears,selectRelinkAllInstancesifmorethanonecopyofthesamefileisinthedocument
and you want to relink each copy to the same new source file.
3ChooseShowImportOptionsifyou’veselectedonlyonelinkandyouwanttocontrolhowthenewsourcefileis
imported.
4Locate and double-click the new source file.
5Choose import options if you clicked the Show Import options check box.(See “Import options for graphics” on
page 340.)
Note: Ifallofthemissingfilesareinthesamefolder,youcanrestoreallofthematonce.Firstselectallthemissinglinks
(or select nothing) and restore one link. All of the remaining missing links are restored automatically.
Restore a single missing link
1To restore a missing link, select any link marked with the missing link icon in the Links panel, and click the
Relink button .

INDESIGN CS3
User Guide
353
2In the dialog box that appears, locate and double-click a file.
Note: Ifallofthemissingfilesareinthesamefolder,youcanrestoreallofthematonce.Firstselectallthemissinglinks
(or select nothing) and restore one link. All of the remaining missing links are restored automatically.
Restore all missing links
1Do one of the following:
•Deselect all links by clicking the bottom of the Links panel.
•Select all missing links.
2Click the Relink button, or choose Relink from the Links panel menu.
3In the dialog box that appears, locate the file, and then click Open.
4Repeat step 3 for every file that you want to restore.
Replace an imported file using the Place command
1Do one of the following:
•To replace the contents of a graphics frame, such as an imported graphic, use the Selection tool to select the
frame.
•To replace the contents of a text frame, use the Type tool to click an insertion point in a text frame, and choose
Edit > Select All.
2Choose File > Place.
3Locate and select the new file.
4Make sure that Replace Selected Item is selected, and then click Open.
Edit original artwork
The Edit Original command lets you open most graphics in the application in which you created them so that you
canmodifyitasnecessary.Onceyousavetheoriginalfile,thedocumentinwhichyoulinkeditisupdatedwiththe
new version.
Note: In InDesign, if you check out and select a managed graphics frame (one that has been exported to InCopy), rather
than the graphic itself, the graphic opens in InCopy.
1Do any of the following:
•In the Links panel, select the link and click the Edit Original button . Alternatively, choose Edit Original from
the panel menu.
•Select the linked artwork on the page, and choose Edit > Edit Original.
•In Illustrator, select the linked artwork on the page, and click the Edit Original button in the Control panel.
2After making changes in the original application, save the file.

INDESIGN CS3
User Guide
354
Object libraries
About object libraries
Object libraries help you organize the graphics, text, and pages you use most often. You can also add ruler guides,
grids, drawn shapes, and grouped images to a library. You can create as many libraries as you need—for example, you
can create different object libraries for varied projects or clients.
Duringaworksession,youcanopenasmanylibrariesassystemmemorywillallow.Objectlibrariescanbeshared
across servers, and across platforms, but only one person can have the library open at a time. If an object library
includes text files, make sure that the file’s fonts are available and active on all systems that will access the library.
When you add a page element, such as a graphic, to an object library, InDesign preserves all attributes that were
imported or applied. For example, if you add a graphic from an InDesign document to a library, the library copy will
duplicate the original, including the original’s link information, so that you can update the graphic when the file on
disk changes.
If you delete the object from the InDesign document, the object’s thumbnail will still appear in the Library panel,
and all of the link information will remain intact. If you move or delete the original object, a missing link icon will
appear next to the object’s name in the Links panel the next time you place it in your document from the Library
panel.
Within each object library, you can identify and search for an item by title, by the date it was added to the library, or
by keywords. You can also simplify the view of an object library by sorting the library items and displaying their
subsets. For example, you can hide all items except EPS files.
Object library in Library panel
A. Object thumbnail and name B. Library Item Information button C. Show Library Subset button D. New Library Item button E. Delete
Library Item button
When adding an item to an object library, InDesign saves all page, text, and image attributes, and maintains interre-
lationships among library objects and other page elements in the following ways:
•Elements grouped in an InDesign document when dragged to the Library panel stay grouped when dragged out
of the Library panel.
•Text retains its formatting.
•Paragraph styles, character styles, and object styles that have the same name as styles used in the destination
document are converted to the destination document’s styles; those that have different names are added to the
document.
•The original layers of an object are preserved when the Paste Remembers Layers option is selected in the Layers
panel menu.
BCDE
A

INDESIGN CS3
User Guide
355
Create an object library
An object library exists as a named file on disk. When you create an object library, you specify where to store it. When
you open a library, it appears as a panel that you can group with any other panel; the object library’s file name appears
in its panel tab. Closing an object library removes it from the current session, but doesn’t delete its file.
You can add or remove objects, selected page elements, or an entire page of elements to or from an object library. You
can also add or move library objects from one library to another.
1Choose File > New > Library.
2Specify a location and name for the library, and click Save. Remember that the name you specify becomes the
name of the library’s panel tab.
Open an existing library
❖Do one of the following:
•If you’ve already opened a library in the current session (and haven’t closed it), choose the library file in the
Window menu.
•If you have not opened a library, choose File > Open, and select one or more libraries. In Windows, library files
use the INDL extension. InDesign converts newly opened libraries from previous versions of the program to the
new library format; you are asked to save these libraries under a new name.
Close a library
1Click the tab for the library you want to close.
2Do one of the following:
•Choose Close Library in the Object Library panel menu.
•Choose the library file name on the Window menu.
Delete a library
❖In Explorer (Windows) or Finder (Mac OS), drag a library file to the Recycle Bin (Windows) or Trash (Mac OS).
In Windows, library files have the INDL extension.
Add an object or page to a library
❖Do any of the following:
•Drag one or more objects from a document window to an active Object Library panel.
•Select one or more objects in a document window, and click the New Library Item button in the Object Library
panel.
•Select one or more objects in a document window, and choose Add Item in the Object Library panel menu.
•Choose Add Items On Page [number] As Separate Objects in the Object Library panel menu to add all the objects
as separate library objects.
•Choose Add Items On Page [number] in the Object Library panel menu to add all the objects as one library object.
•Drag an element from the Structure pane to an active Object Library panel.
If you hold down Alt (Windows) or Option (Mac OS) while you perform any of the above commands, the Item Infor-
mation dialog box appears as the item is added to the library.

INDESIGN CS3
User Guide
356
Add an object from a library to a document
❖Do one of the following:
•Drag an object from the Object Library panel to a document window.
•In the Object Library panel, select an object, and choose Place Item(s) in the Object Library panel menu. This
method places the object at its original X,Y coordinates.
•Drag an XML element to a parent element in the Structure pane or to the page.
Manage library objects
Use the Object Library panel to manage objects.
Update a library object with a new item
1In the document window, select the item you want to add to the Library panel.
2IntheLibrarypanel,selecttheobjectyouwanttoreplace,andthenchooseUpdateLibraryItemfromtheObject
Library panel menu.
Copy or move an object from one library to another
1Dragonelibrary’spaneltaboutoftheObjectLibrarypanelgrouptoseparatethem,soyoucanseebothlibraries
at the same time.
2Do one of the following:
•To copy an object from one library to another, drag an item from one Library panel tab to the other.
•To move an object out of one library into another, hold down Alt (Windows) or Option (Mac OS), and drag an
item from one Library panel tab to the other.
Delete an object from an object library
❖In the Object Library panel, select an object, and do one of the following:
•Click the Delete Library Item button.
•Drag the item to the Delete Library Item button.
•Choose Delete Item(s) in the Object Library panel menu.
Change the object library display
The object library displays objects as thumbnails or as a text list. You can sort the thumbnails or list by object name,
age, or type. The list view and sorting options work best if you’ve cataloged the objects.
❖Do any of the following:
•To view objects as thumbnails, choose Thumbnail View or Large Thumbnail View from the Object Library
panel menu.
•To view objects as a text list, choose List View from the Object Library panel menu.
•To sort the objects, choose Sort Items from the Object Library panel menu, and choose a sort method.
View all objects
❖Choose Show All in the Object Library panel menu.

INDESIGN CS3
User Guide
357
View, add, or edit library information
With large or numerous object libraries, library information can be cataloged using the display objects’ names, by
type of object, or words in a description.
1In the Object Library panel, do one of the following:
•Double-click any object.
•Select an object, and click the Library Item Information button.
•Select an object, and choose Item Information in the Object Library panel menu.
2View or change the Item Name, Object Type, or Description options as necessary, and click OK.
Find objects in a library
When you search for objects, all objects except the results of your search are hidden from view. You can also use the
search feature to show and hide specific categories of objects. For example, you can display only object items with
the word “star” in their names.
1Choose Show Subset in the Object Library panel menu, or click the Show Library Subset button.
2Do one of the following:
•To search all objects in the library, select Search Entire Library.
•To search only within the objects currently listed in the library (refining a previous search), select Search Currently
Shown Items.
3Choose a category in the first menu in the Parameters section.
4In the second menu, specify whether the category you chose in the first menu must be contained in or excluded
from the search.
5To the right of the second menu, type a word or phrase you want to search for within the category you specified.
6To add search criteria, click More Choices up to five times; each click adds one search term. To remove search
criteria, click Fewer Choices as necessary; each click removes one search term.
7Todisplayonlythoseobjectsthatmatchallsearchcriteria,selectMatchAll.Todisplayobjectsthatmatchanyof
the criteria, select Match Any One.
8Click OK to begin the search.
To show all objects again, choose Show All in the Object Library panel menu.

358
Chapter 13: Frames and objects
Laying out your artwork in Adobe InDesign CS3 is made easy using tools that let you select, stack, and transform
objects precisely. Create complex shapes and appearances by combining or masking objects.
Selecting objects
Overview of selection methods
InDesign provides the following selection methods and tools:
Selection tool Allows you to select text and graphics frames, and work with an object using its bounding box.
Direct Selection tool Allows you to select the contents of a frame, such as a placed graphic, or work directly with
editable objects, such as paths, rectangles, or type that has been converted to a text outline.
Type tool Allows you to select text in a text frame, on a path, or in a table.
Select submenu Allows you to select an object’s container (or frame) and its contents. The Select submenu also lets
you select objects based on their position relative to other objects. To view the Select submenu, choose Object >
Select. You can also right-click (Windows) or Control-click (Mac OS) an object to display its context menu, and then
choose Select.
Select buttons on the Control panel Lets you the select the content using the Select Content button or the
containerusingtheSelectContainerbutton .YoucanalsousetheSelectNextObjectorSelectPreviousObjectto
select the next or previous objects in a group or on a spread.
Position tool Allows you to resize an image, move an image within a frame, and move both the frame and the
image to a new location in the document.
Select All and Deselect All commands Allow you to select or deselect all objects on the spread and pasteboard,
depending on which tool is active and what is already selected. Choose Edit > Select All or Edit > Deselect All.
Double-click an object to switch between the selection tools. Double-click a text frame to place the insertion point
and switch to the Type tool.
See also
“Keys for selecting and moving objects” on page 635
Select objects
An object is any printable element on a page or on the pasteboard, such as a path or an imported graphic. A frame or
path is a shape you draw or a container for text or graphics. A bounding box is a rectangle with eight selection handles
that represents an objects vertical and horizontal dimensions. Before you can modify an object, you must select it
using a selection tool.
For a video on selecting objects, see www.adobe.com/go/vid0070.
There are two ways to select an object in InDesign:

INDESIGN CS3
User Guide
359
Path with bounding box selected (left), path selected (middle), and path with anchor point selected (right)
•You can use the Selection tool to select the object’s bounding box for performing general layout tasks, such as
positioning and sizing objects.
•
You can use the Direct Selection tool to select the contents of a container (such as an imported graphic) or
individual points on a path for tasks involving resizing imported graphics, drawing and editing paths, and editing text.
Note: An imported graphic is always contained within a frame. It’s possible to select the graphic and its frame, the graphic
only, or its frame only. The frame and bounding box of an imported graphic can be different sizes. To see how InDesign
indicates what’s selected, see “Modifying objects using graphics frames” on page 383.
Bounding box selected (left) compared to rectangular path selected (right)
With rectangular objects, it can be difficult to tell the difference between the object’s bounding box and the path of
the object itself. A bounding box always displays eight large hollow anchor points. A rectangular path always displays
four small anchor points (which can be hollow or solid).
See also
“About paths and frames” on page 75
“Understanding paths and shapes” on page 298
“Select ruler guides” on page 54
“Keys for selecting and moving objects” on page 635
Select a bounding box
For any object, you can select its bounding box—a rectangle that represents the object’s horizontal and vertical
dimensions. (For grouped objects, the bounding box is a dashed rectangle.) The bounding box makes it possible to
quickly move, duplicate, and scale the object without having to use any other tool. For paths, the bounding box
makesiteasytoworkwithanentireobjectwithoutaccidentallyalteringtheanchorpointsthatdetermineitsshape.

INDESIGN CS3
User Guide
360
Note: For more precise moving and scaling, and for other modifications such as rotation, use the Control panel or the
Transform panel.
❖Using the Selection tool , do one of the following:
•Click the object. If the object is an unfilled path, click its edge.
•Drag a dotted selection rectangle or marquee around part or all of the object.
•With a graphic object or nested content selected, click the Select Container button on the Control panel.
When you select one or more objects with the Selection tool, you see a bounding box that indicates the size of each
object. If you don’t see a bounding box when an object is selected, you may have selected the object using the Direct
Selection tool .
If you click a frame and it is not selected, the frame may be on a locked layer or master page. If the frame is on a
locked layer, a pencil icon appears. If the frame is on a master page, you can override it to select it.
Select a path or points on a path
Paths in InDesign are defined by anchor points, end points, and direction lines. You select anchor points and end
points using the Direct Selection tool.
A path with a single point selected (left) and multiple points selected (right)
1Using the Direct Selection tool , click the path to select it.
Notice how the tool changes when it’s above a path or a point .
2Do any of the following:
•To select an individual point, click it.
•To select multiple points on the path, press Shift as you click each point.
•To select all of a path’s points at once, click the point at the center of the object, or hold down Alt (Windows) or
Option (Mac OS) and click the path. If you direct-select any part of the object, the Select All command also selects
all the points.
Select text inside a frame
•To select text by dragging, click on a text frame using the Type tool. An insertion point appears.
•To create an insertion point in text, double-click a text frame using any selection tool. InDesign switches to the
Type tool automatically.

INDESIGN CS3
User Guide
361
Select an object inside a frame
❖Do any of the following:
•Click the object using the Direct Selection tool . The Direct Selection tool automatically changes to the Hand
tool when placed over a graphic object inside a frame (but not when placed over a non-graphic object, such as a
path).
•With a frame selected, choose Select > Content from the Object menu or the frame’s context menu.
•With a frame selected, click the Select Content button on the Control panel.
Select multiple objects
•To select all the objects in a rectangular area, use the Selection tool to drag a marquee over the objects you want
to select.
•To select nonadjacent objects, use the Selection tool to select an object and then press Shift as you click additional
objects. Clicking selected objects deselects them.
•To add more objects to a selection, press Shift as you use the Selection tool to drag a marquee over additional
objects. Dragging over selected objects deselects them.
You can use these same techniques with the Direct Selection tool to select objects nested inside groups or frames.
Select or deselect all objects
To deselect all objects on the spread and its pasteboard, choose Edit > Deselect All. Or, with the Selection tool or
Direct Selection tool, click at least 3 pixels away from any object.
The Select All command has a different effect depending on the situation:
•If the Selection tool is active, all paths and frames on the spread and pasteboard are selected, with their
bounding boxes active.
•If the Direct Selection tool is active and an object is direct-selected, Select All selects all the anchor points of
that object but does not select any other object. If nothing is selected, Select All selects all the path objects on the
spread and pasteboard.
•If the Type tool is active and there is an insertion point in a text frame (indicated by a flashing vertical line), Select
All selects all text in that text frame and any text frames threaded to it, but selects no other objects.
•If an object in a group is selected, Select All selects the rest of the objects in the group but no other objects on the
spread.
1Select the tool you want to use. If desired, select an object or place the insertion point in a text frame.
2Choose Edit > Select All.
Note: The Select All command doesn’t select nested objects, objects that are positioned on locked or hidden layers, master
pageitemsthatarenotoverriddenondocumentpages,orobjectsonotherspreadsandpasteboards(exceptforthreaded
text).
Select nested or overlapping objects
When a frame contains an object, the contained object is said to be nested inside a container, or frame. Three
common kinds of nesting are: paths inside frames, frames inside frames, and groups inside groups. Always be aware
of exactly which objects or object attributes you need to select, which ones are currently selected, and which selection
tools to use to modify selections.

INDESIGN CS3
User Guide
362
You control selections in nested groups using the Direct Selection and Selection tools, as well as the Select Content
and Select Container buttons. You can select text characters using the Type tool at any time, no matter how deeply a
text frame is nested.
Select nested, grouped, or overlapping objects
When you nest objects or place objects on top of each other on the same layer, it can be difficult to select a single
object or frame. The Object menu and context menu contain selection options to make it easier to select the object
you want.
Selecting nested objects
A. Image selected B. Path of the frame containing the image is selected C. Group containing frame selected
Opening the Info panel makes it easier to see which object is selected.
1Using the Direct Selection tool, click the nested or grouped object.
2If you can’t select the object you want, use one of the following techniques:
•Choose Object > Select, and choose one of the selection options.
•Position the pointer over the object you want to select and right-click (Windows) or Control-click (Mac OS) to
display the context menu. Then choose Select and the desired selection option.
Note: Selecting objects using the context menu commands is not the same as using the Object > Select menu commands.
From the context menu, the selections are based on the exact point where you clicked to display the context menu. This
means that the next object above or below the mouse click would be selected, rather than the next object in the stacking
order.
•Hold down Ctrl (Windows) or Command (Mac OS), and then click the same place repeatedly until you’ve selected
the frame or group you want. (Do not click an anchor point.)
•To select all objects in a group individually, use the Selection tool to select the group, click the Select Content
button on the Control panel, and then choose Select All.
3To progressively drill down or up through a stack of objects, do one of the following:
•Right-click (Windows) or Control-click (Mac OS), and then choose an option from the Select context menu.
Choose Object > Select > Next Object Below or Next Object Above repeatedly until the object you want is selected.
When you reach the beginning or end of the stack, the selection doesn’t change.
•Hold down Ctrl (Windows) or Command (Mac OS) and click the stack to drill down from the top of the stack.
When you reach the end of the stack, the selection starts over at the top of the stack. To drill up from the bottom
of the stack, hold down Alt+Ctrl (Windows) or Option+Command (Mac OS) and click the stack using the
Selection tool.
Note: The context menu options are sensitive to the location of the pointer.
C A B

INDESIGN CS3
User Guide
363
Select multiple nested objects
1Using the Direct Selection tool , click the nested object.
2Hold down Shift as you click each additional nested object you want to select.
Selection options
Options on the Select submenu (choose Object > Select or choose Select on the context menu) help you select
overlapping, nested, or grouped objects. The availability of some options depends on the type of objects you’re
working with. When using the context menu, the object selected depends on the position of the pointer.
First Object Above Selects the object at the top of the stack.
Next Object Above Selects the object just above the current object.
Next Object Below Selects the object just below the current object.
Last Object Below Selects the object at the bottom of the stack.
Content Selects the content of the selected graphics frame, or, if a group is selected, selects an object within the
group. You can also click the Select Content button in the Control panel.
Container Selectstheframeenclosingtheselectedobject,or,ifanobjectwithinagroupisselected,selectsthegroup
that contains it. You can also click the Select Container button in the Control panel.
Previous Object / Next Object Selects the next or previous object in the group if the selected object is part of a group,
or, if an ungrouped object is selected, selects the next or previous object on the spread. Shift-click to skip by five. Ctrl-
click (Windows) or Command-click (Mac OS) to select the first or last object in a stack.
Arrange objects in a stack
Overlapping objects are stacked in the order in which they are created or imported. You can use the Arrange
submenu to change the stacking order of objects.
Arranging objects is not the same as using the Layers panel. A separate stack of objects exists within each named
layer, and the Object > Arrange menu commands control stacking only within each named layer. If you haven’t
created any named layers, your document contains just one stack of objects on the single default layer. Objects on
masters exist at the back of each named layer.
Note: Grouping objects might change their stacking order (in relation to ungrouped objects).
1Select the object you want to move forwards or backwards in a stack.
2Do any of the following:
•To move a selected object to the front or back of a stack, choose either Object > Arrange > Bring to Front or
Object > Arrange > Send to Back.
•To move a selected object forward or backward past the next object in a stack, choose either Object > Arrange >
Bring Forward or Object > Arrange > Send Backward.

INDESIGN CS3
User Guide
364
Transforming objects
Transform panel overview
Use the Transform panel to view or specify geometric information for any selected object, including values for
position, size, rotation, and shearing. Commands in the Transform panel menu provide additional options and quick
ways to rotate or reflect objects.
Note: The buttons and panel menu commands in the Transform panel are also available in the Control panel.
Transform panel
A. Reference point locator B. Constrain Proportions icon C. Panel menu
Display the Transform panel
❖Choose Window > Object & Layout > Transform.
View geometric information about objects
When you select an object, its geometric information appears in the Transform and Control panels. If you select
multiple objects, the information represents all selected objects as a unit.
❖Select one or more objects, and display the Transform panel (Window > Object & Layout > Transform).
Positioninformationisrelativetotheruleroriginandthereferencepointoftheobject.Angleinformationisrelative
to the pasteboard, where a horizontal line has an angle of 0˚.
Change transformation settings
The Transform panel includes several options that determine how objects are transformed and how transformations
are displayed in the Transform and Control panels.
See also
“Keys for transforming objects” on page 636
Change the reference point for selected objects
All transformations originate from a fixed point on or near the object, called the reference point. The reference point
is marked by an icon when a transformation tool, such as the Scale tool, is active.
A
B
C

INDESIGN CS3
User Guide
365
Reference point moved to center (left), and object scaled (right)
❖Do one of the following:
•To specify a different reference point for the selected object, click any of the nine points on the reference point
locator in the Transform or Control panel.
As you click different reference points on the Transform or Control panel (top left and right), the reference point for the selected object changes
(bottom left and right).
•Tomovetheselectedobject’sreferencepointtoaspecificlocation,selecttheRotatetool ,theScaletool ,or
theSheartool ,positionthetooloverthereferencepointicon,andthendragittoanewlocation.Or,withone
of these tools selected, click anywhere on the object or page. The reference point moves to that location.
Note: When a transform tool is selected, clicking away from the object does not deselect it— it moves the reference point.
Choose Edit > Deselect All to deselect an object.
The last-selected reference point on the reference point locator becomes the new default reference point for all tools
and objects. If you drag an object’s reference point icon to a custom location (not on an anchor point), the panel
reference point returns to the default position once the current object is no longer selected. InDesign preserves the
default reference point position for new documents so you don’t have to reset it.
Change the information displayed for nested objects
The Transform panel orients an object to a spread’s pasteboard, where a horizontal line has a rotation angle of 0˚. By
default, this is true even if the object is nested inside a transformed container object (that is, if the object is part of a
transformed group or pasted inside a transformed frame). For example, if you paste an unrotated graphic inside a
frame, rotate the frame 10˚ with the graphic inside, and then select the graphic using the Direct Selection tool, the
Transform panel displays the graphic’s rotation angle as 10˚.

INDESIGN CS3
User Guide
366
Object’s rotation angle displayed relative to pasteboard
If you prefer, you can deselect the Transformations Are Totals command to see the same information relative to the
nested object’s container. In the example above, if you deselect Transformations Are Totals, the Transform panel
displays the graphic’s rotation angle as zero (the angle it has relative to its rotated container).
Object’s rotation angle displayed relative to container object
1Open the Transform panel or Control panel.
2In the Transform or Control panel menus, do one of the following:
•Leave Transformations Are Totals selected (the default) to display transformation values for nested objects relative
to the pasteboard.
•Deselect Transformations Are Totals to display rotate, scale, and shear values for nested objects relative to the
container object.
Measure the position of selected objects
The Show Content Offset command determines the appearance of the X and Y values in the Transform panel for
nested objects selected with the Direct Selection tool . The selected reference point in the reference point locator
of the Transform and Control panels determines which of the nine reference points on the selected object is being
compared to the zero point of the document or to the zero point of a container frame. The zero point of a container
frame is always its upper left corner.
The position of selected objects is measured from three positions:
•The position of the container frame in relation to the zero point of the document. With Show Content Offset
turned on or off, select the container frame using the Selection tool.
•The position of the nested object in relation to the zero point of the document. Turn off Show Content Offset and
select the nested object using the Direct Selection tool.
•The position of the nested object in relation to the zero point (upper-left corner) of its container frame. Turn on
Show Content Offset and select the nested object using the Direct Selection tool.
10
20

INDESIGN CS3
User Guide
367
Parent frame’s position displayed relative to zero point of document
Nested object’s position displayed relative to zero point of document
Nested object’s position displayed relative to container frame
IfShowContentOffsetisselected,theXandYvaluesoftheembeddedobjectappearrelativetothecontainerobject,
and the X/Y icons in the Transform panel change to X+/Y+. If this command is deselected, the nested object values
appear relative to the rulers.
❖In the Transform or Control panel menu, select or deselect Show Content Offset.
Include or exclude stroke weight in measurements
Strokeweightcanaffectanobject’ssizeandposition.Youcanchangethestroke’salignmentandthenchoosewhether
the Transform panel measures an object’s size and position from the center or from the edge of its stroke. For infor-
mation on changing stroke alignment, see “Stroke panel options” on page 317.

INDESIGN CS3
User Guide
368
Note: This option does not change how stroke weights are affected when scaling a frame, only whether any changes affect
measurements.
❖In the Transform or Control panel menu, do one of the following:
•Select Dimensions Include Stroke Weight when you want panel measurements to represent the outer edge of an
object’s stroke. For example, if one frame is 2 points shorter than the other, but the shorter frame’s stroke is 2 points
thicker, this setting will cause both frames to display the same height values in the Transform and Control panels.
•DeselectDimensionsIncludeStrokeWeightwhenyouwantthepanelmeasurementstorepresentanobject’spath
or frame regardless of its stroke weight. For example, two frames of the same height will display the same height
values in the Transform and Control panels, regardless of differences in their stroke weights.
Transform objects
You can modify an object’s size or shape, and change its orientation on the pasteboard, by using tools and commands.
The toolbox includes four transformation tools—the Rotate, Scale, Shear, and Free Transform tools. All transforma-
tions, with the addition of reflection, are available in the Transform and Control panels, where you can precisely
specify transformations.
Transformation tools (top) compared to Transform panel (bottom)
A. Rotation options B. Shearing options C. Scaling options
When transforming objects, note the following:
•The results of a transformation can differ significantly, depending on which selection tool you use. Use the
Selection tool to transform an entire path and its content; use the Direct Selection tool to transform just the
path without its content or the content without its path. To transform the content without its path, make sure that
all anchor points are selected.
•A transformation affects all selected objects as a single unit. For example, if you select multiple objects and rotate
them 30˚, they all rotate around one reference point. If you want to rotate each selected object 30˚ around its own
reference point, you must select and rotate them individually.
•When transforming type, you can use either of two selection methods: Use the Selection or Direct Selection tool
to select an entire text frame or text converted to outlines, and then use the transformation tools; or use the Type
tool to select text or to click an insertion point in a text frame, and then specify transformations in the Transform
panel, Control panel, or dialog boxes available when you double-click a tool. In both cases, the transformation
affects the entire text frame.
•When you rotate, skew, or scale a group, the settings apply to the entire group, as well as to the individual objects
in the group. For example, if you rotate a group 30˚, the rotation value in the Transform or Control panel is 30˚
whether you select the group itself or direct-select an object in the group.
For a video on working with objects, see www.adobe.com/go/vid0071.
C
A
C
C
B
A
B

INDESIGN CS3
User Guide
369
See also
“Change transformation settings” on page 364
“Gallery of transformation tools” on page 30
“Keys for transforming objects” on page 636
Transform objects with the Transform panel
InDesign no longer includes a Transform Content command. Instead, use the selection tools to determine whether
the content and frame are transformed together or separately.
1Choose Window > Object & Layout > Transform.
2Select an object to transform.
•To transform both the frame and its content, use the Selection tool to select the frame.
•To transform the content without transforming its frame, direct-select the object.
•To transform a frame without transforming the content, direct-select the frame, and select all the anchor points.
3In the Transform panel, specify the reference point for the transformation.
All values in the panel refer to the bounding boxes of the objects. X and Y values refer to the selected reference point
on the bounding box relative to the ruler origin.
4Do any of the following:
•Enter new values in the text boxes.
•Choose values from available pop-up menus.
•Choose commands from the panel menu.
Note: To maintain the object’s proportions when using the Scale X Percentage and Scale Y Percentage options, click the
Constrain Proportions icon in the panel. When the option is not selected, dots appear on both sides of the icon (like
a broken chain link).
5Press Tab, Enter (Windows), or Return (Mac OS) to apply the change.
Transform objects with the Free Transform tool
The Free Transform tool works the same way it does in Adobe Photoshopand Adobe Illustrator, by providing a way
to perform any transformation with just one tool. You can combine transformations, such as rotating and scaling,
while the Free Transform tool is active.
You can use keyboard shortcuts to instantly switch among the Free Transform tool (press E), the Selection tool (V),
and the Direct Selection tool (A).
1Using the appropriate selection tool, select the object or objects to transform.
2Select the Free Transform tool .
•To move objects, click anywhere within the bounding box, and then drag.
•To scale objects, drag any bounding box handle until the object is the desired size. Shift-drag the handle to
preserve the selection’s proportions.
•To scale objects from the center of the bounding box, Alt-drag (Windows) or Option-drag (Mac OS).
•To rotate objects, position the pointer anywhere outside the bounding box. When pointer changes to , drag
until the selection is at the desired angle of rotation.

INDESIGN CS3
User Guide
370
•To reflect objects, drag a handle of the bounding box past the opposite edge or handle, until the object is at the
desired level of reflection.
•To shear objects, begin dragging a handle, and then hold down Ctrl (Windows) or Command (Mac OS). Hold
down Alt+Ctrl (Windows) or Command+Option to shear from both sides of the object.
Rotate objects
You can rotate objects using any of several methods.
Rotate an object using the Rotate tool
1Select an object to rotate. To rotate both the frame and its content, use the Selection tool to select the frame. To
rotate the content without rotating its frame, direct-select the object. To rotate a frame without rotating the content,
direct-select the frame, and select all the anchor points.
2Select the Rotate tool .
3If you want to use a different reference point for the rotation, click where you want the reference point to appear.
4Position the tool away from the reference point, and drag around it. To constrain the tool to multiples of 45˚, hold
down Shift as you drag. For finer control, drag farther from the object’s reference point.
You can also rotate by using the Free Transform tool.
Rotate an object using the Transform or Control panel
1Select an object to rotate. To rotate both the frame and its content, use the Selection tool to select the frame. To
rotate the content without rotating its frame, direct-select the object. To rotate a frame without rotating the content,
direct-select the frame, and select all the anchor points.
2Do any of the following:
•To rotate clockwise or counterclockwise in 90˚ increments, click either of the Rotate buttons in the Control panel.
•To rotate by preset angle, choose an angle from the Rotation Angle pop-up menu in the Transform or Control
panel.
•In the Rotation Angle box on the Transform or Control panel, type a positive angle to rotate selected objects
counterclockwise, or type a negative angle to rotate selected objects clockwise, and then press Enter (Windows) or
Return (Mac OS).
•Tocreateacopyoftheobjectwiththenewrotationappliedtothecopy,typeavalueinthewidthorheightfields
on the Transform panel and then hold down Alt (Windows) or Option (Mac OS) as you press Enter.
Whenyourotateasingleobject,thespecifiedvalueremainsdisplayedintheTransformorControlpanel.Whenyou
rotate multiple objects, the Rotation Angle is reset to 0 degrees, even though the objects are rotated.
Rotate an object using the Rotate command
YoucanusetheRotatecommandtorotateanobjectbyaspecificamount.Thiscommandalsoletsyourotateacopy
of the selected object, leaving the original in place.
1Select an object to rotate. To rotate both the frame and its content, use the Selection tool to select the frame. To
rotate the content without rotating its frame, direct-select the object. To rotate a frame without rotating the content,
direct-select the frame, and select all the anchor points.

INDESIGN CS3
User Guide
371
2Do one of the following to open the Rotate dialog box:
•Choose Object > Transform > Rotate.
•Double-click the Rotate tool .
•Select the Rotate tool and Alt-click (Windows) or Option-click (Mac OS) on or near the object to select a new
reference point.
3Enter the rotation angle, in degrees, in the Angle box. Enter a negative angle to rotate the object clockwise; enter
a positive angle to rotate the object counterclockwise.
4Do one of the following:
•To preview the effect before you apply it, select Preview.
•To rotate the object, click OK.
•To rotate a copy of the object, click Copy.
Move objects
You can move objects by cutting them from one spot and pasting them into another, by entering new horizontal and
vertical coordinates, or by dragging them. Dragging also allows you to move a copy of an object or to copy objects
between software applications.
See also
“Transform objects” on page 368
“Create masters” on page 63
Move objects
UsetheSelectiontooltomoveboththeframeanditscontent;usetheDirectSelectiontooltomoveeithertheframe
or its content.
Note: For best results, use the Selection tool to move multiple objects. If you use the Direct Selection tool to select multiple
objects or paths, dragging moves only the selected graphic, path, or anchor points.
1Select an object to move. To move both the frame and its content, use the Selection tool to select the frame. To
move the content without moving its frame, direct-select the object. To move a frame without moving the content,
direct-select the frame, and select all the anchor points.
2Do one of the following:
•To paste the object (or a copy of it) in a new location, choose Edit > Cut or Edit > Copy. Target the destination
spread, and choose Edit > Paste. The objects appear in the center of the target spread.
•To paste a copy at the same position as the original, choose Edit > Copy. Then, choose Edit > Paste In Place. (To
offset the copy from the original, nudge it using the arrow keys.)
If you want an object to appear in the same position on many pages, consider creating a master page and paste the
object on it.
•To move an object to a specific numeric location, type a value for each of the X (horizontal) or Y (vertical) position
options in the Transform or Control panel. Then press Enter (Windows) or Return (Mac OS).
•To nudge an object slightly in one direction, press or hold an arrow key; to nudge an object ten times as far, hold
down Shift as you press an arrow key.

INDESIGN CS3
User Guide
372
•To move an object by dragging, drag the object to a new position. Shift-drag to constrain the movement of the
object horizontally, vertically, or diagonally (in multiples of 45˚).
Move objects by a precise amount
YoucanusetheMovecommandtomoveanobjectbyaspecificamount.Thiscommandalsoletsyoumoveacopy
of the selected object, leaving the original in place.
1Select an object to move. To move both the frame and its content, use the Selection tool to select the frame. To
move the content without moving its frame, direct-select the object. To move a frame without moving the content,
direct-select the frame, and select all the anchor points.
2Choose Object > Transform > Move, or double-click the icon for the Selection or Direct Selection tool in the
toolbox.
3In the Move dialog box, do one of the following:
•Enterthehorizontalandverticaldistancesthatyouwanttheobjecttomove.Positivevaluesmovetheobjectdown
and to the right of the x axis; negative values move the object up and to the left.
•Tomoveanobjectaprecisedistanceandangle,enterthedistanceandangleforthemove.Theangleyouenteris
calculated in degrees from the x axis. Positive angles specify a counterclockwise move; negative angles specify a
clockwise move. You can also enter values between 180˚ and 360˚; these values are converted to their corre-
sponding negative values (for example, a value of 270˚ is converted to –90˚).
4Do any of the following:
•To preview the effect before you apply it, select Preview.
•To move the object, click OK.
•To move a copy of the object, click Copy.
Move objects to a precise location
1Select an object to move.
2If you want to use a different reference point for the move, click where you want the reference point to appear.
Forexample,ifyouwanttomovetheobjecttotheupperleftcornerofthepage,selecttheupperleftreferencepoint.
3In the X and Y fields on the Transform panel, enter the coordinates where you want the selection to be moved.
Specify the distance objects move when nudged
1Choose Edit > Preferences > Units & Increments (Windows) or InDesign > Preferences > Units & Increments
(Mac OS).
2For Cursor Key, specify the distance you want each press of an arrow key to move selected objects, and then
click OK.
If you hold down Shift while moving a selection, the selection moves ten times the distance you specify here.

INDESIGN CS3
User Guide
373
Resize objects
When you drag the handle of a frame that includes contents, such as an imported graphic, you may expect the
contents to be resized as well. It’s important to understand that the content and the container frame are separate
items, each with its own bounding box. Simply dragging the frame of an imported graphic will either crop the
graphic or leave a blank space outside the graphic, depending on which direction you drag. Being able to modify the
frame apart from the contents adds flexibility, but it may take some time to get used to.
Note: There is a difference between resizing and scaling objects, even though the difference may not always be apparent.
Thebestwaytoseethedifferenceistoresizeandscaleatextframethathasastrokeappliedtoit.Whenyoudoublethe
size of the text frame, the text size and stroke weight remain the same. When you double the scale of the text frame, the
text size and stroke weight also double.
Resizing an imported graphic
A. Frame selected with Selection tool B. Frame resized C. Frame and content scaled
•To resize a frame, drag any handle using the Selection tool. If you hold down Ctrl (Windows) or Command
(Mac OS) while dragging, the frame and the content are scaled. Adding the Shift key scales proportionally.
•To resize the content of a graphics frame, use the Direct Selection tool, select the graphic, and then drag any of the
graphic frame handles.
•To resize a frame or its content to a precise size, select the object and enter the size in the width (W) or height (H)
fields on the Transform panel. (You can also use the Control panel.)
To maintain the original proportions of the object when using the Transform panel, make sure the Constrain Propor-
tions icon is selected.
•To resize a frame or its content to a percentage of its current size, select the object and enter the percentage in the
width or height fields on the Transform panel.
•To create a copy of the selected object with the new size applied to the copy, type a value in the width or height
fields on the Transform panel and then hold down Alt (Windows) or Option (Mac OS) as you press Enter.
After you resize a frame or object, you can use a fitting option (Object > Fitting) to fit the content to the frame or the
frame to the content.
See also
“Scale objects” on page 373
Scale objects
Scaling an object enlarges or reduces it horizontally (along the x axis), vertically (along the y axis), or both horizon-
tally and vertically, relative to the reference point you specify.
ABC

INDESIGN CS3
User Guide
374
By default, InDesign scales strokes. For example, if you scale a selected object with a 4-point stroke by 200%, the
Stroke panel indicates an 8-point stroke and the stroke visibly doubles in size. You can change the default stroke
behavior by deselecting Adjust Stroke Weight When Scaling in the Transform or Control panel menu. You can
change the default tracking behavior by selecting Adjust Scaling Percentage in General preferences.
See also
“Scale type” on page 220
“Keys for transforming objects” on page 636
Scale an object using the Selection tool
❖To scale the content and frame simultaneously, use the Selection tool and hold down Ctrl (Windows) or
Command (Mac OS). Add the Shift key to resize the object proportionally.
Scale an object using the Scale tool
1Select an object to scale. To scale both the frame and its content, use the Selection tool to select the frame. To scale
the content without scaling its frame, direct-select the object. To scale a frame without scaling the content, direct-
select the frame, and select all the anchor points.
2Select the Scale tool .
3Position the Scale tool away from the reference point and drag. To scale the x or y axis only, start dragging the
Scale tool along one axis only. To scale proportionally, hold down Shift as you drag the Scale tool. For finer control,
start dragging farther from the object’s reference point.
You can also scale by using the Free Transform tool.
Scale an object using the Transform panel
To maintain the original proportions of the object when using the Transform panel, make sure the Constrain Propor-
tions icon is selected.
1Select an object to scale. To scale both the frame and its content, use the Selection tool to select the frame. To scale
the content without scaling its frame, direct-select the object. To scale a frame without scaling the content, direct-
select the frame, and select all the anchor points.
2In the Transform or Control panel, do one of the following:
•Choose a preset percentage value in the Scale X Percentage or Scale Y Percentage pop-up menu.
•Type a percentage value, or a specific distance (such as 10p) in the Scale X Percentage or Scale Y Percentage box,
and then press Enter or Return.
If the Apply To Content preference option is selected in General preferences, scaling values are reset to 100% in the
Transformpanelaftertheobjectisscaled.IfAdjustScalingPercentageisselected,scalingvaluesremainasspecified
(such as 125%). With multiple objects selected, the scaling value will always display as 100%; however, you can select
objects individually to see the applied effect of the transform (such as 125%) if Adjust Scaling Percentage is selected.
Scale an object using the Scale command
1Select an object to scale. To scale both the frame and its content, use the Selection tool to select the frame. To scale
the content without scaling its frame, direct-select the object. To scale a frame without scaling the content, direct-
select the frame, and select all the anchor points.

INDESIGN CS3
User Guide
375
2Do one of the following to open the Scale dialog box:
•Choose Object > Transform > Scale.
•Double-click the Scale tool .
•Select the Scale tool and Alt-click (Windows) or Option-click (Mac OS) on or near the object to select a new
reference point.
3Type a percentage value in the Scale X or Scale Y box.
To maintain the original proportions of the object when using the Transform panel, make sure the Constrain Propor-
tions icon is selected is selected.
4Do any of the following:
•To preview the effect before you apply it, select Preview.
•To scale the object, click OK.
•To scale a copy of the object, click Copy.
Adjust stroke weight when objects are scaled
❖Select the Adjust Stroke Weight When Scaling option in the Transform or Control panel.
For example, if you scale a 4-point stroke by 200% when this option is turned on, the stroke weight becomes 8 points.
If you turn off this option, the object doubles in size but its stroke weight remains 4 points.
If this option is turned on and you scale an object disproportionally, InDesign applies the smallest stroke weight to
all sides. For example, suppose that you scale a selected object with a 4-point stroke only in the X direction by 200%.
Instead of applying an 8-point stroke in the X direction and a 4-point stroke in the Y direction, InDesign applies the
smaller value (4 points) to all sides.
Reset scaling value to 100%
In some cases, you may want to reset the Scale X and Scale Y values of an object to 100% without resizing the object.
For example, you may have opened a document from a previous version of InDesign that has non-100% scaling
values, or you may have scaled an object with the Adjust Scaling Percentage preference setting selected. When you
choose this command, the scaling values for all selected frames are reset to 100%. Choosing this command does not
change the size or appearance of objects.
1Select one or more objects that have a non-100% scaling values.
This command is dimmed if you direct-select an imported image or if an object has 100% scaling values.
2Choose Redefine Scaling As 100% from the Transform or Control panel menu.
Note: Choosing this command may result in unexpected behavior with objects in transformed groups.
Reflect (flip) objects
Reflecting an object flips the object across an invisible axis at the reference point you specify. (See “Change transfor-
mation settings” on page 364.)

INDESIGN CS3
User Guide
376
Original object (top) reflected using Flip Horizontal (middle) and Flip Vertical (bottom)
The flip/rotate indicator (P) in the middle of the Control panel appears white with a black outline if an object is
flipped. If the object is not flipped, the indicator is solid black.
1Select an object to flip. To flip both the frame and its content, use the Selection tool to select the frame. To flip the
content without its frame, direct-select the object. To flip a frame without its content, direct-select the frame, and
select all the anchor points.
2Do one of the following:
•To reflect using the reference point as a horizontal axis, click the Flip Horizontal button in the Control panel.
•To reflect using the reference point as a vertical axis, click the Flip Vertical button in the Control panel.
YoucanalsoreflectobjectsbyusingtheSelectiontoolorFreeTransformtooltopullonesideofanobject’sbounding
box past the opposite side, or by typing negative values into the Scale X Percentage or Scale Y Percentage options in
the Transform or Control panel.
Shear (skew) objects
Shearing an object slants or skews it along its horizontal or vertical axis, and can also rotate both of the object’s axes.
Shearing is useful for:
•Simulating some types of perspective, such as isometric projection.
•Slanting a text frame.
•Creating cast shadows when you shear a copy of an object.
See also
“Change transformation settings” on page 364
Shear an object
1Select an object to shear. To shear both the frame and its content, use the Selection tool to select the frame. To
shear the content without its frame, direct-select the object. To shear a frame without scaling the content, direct-
select the frame, and select all the anchor points.

INDESIGN CS3
User Guide
377
2Ifyouwanttouseadifferentreferencepointfortheshearing,clickwhereyouwantthereferencepointtoappear.
3Do one of the following:
•To shear selected objects by dragging, select the Shear tool . Then position the Shear tool away from the
reference point, and drag. Shift-drag to constrain shearing to a perpendicular vertical or horizontal axis. If you
start to drag at a non-perpendicular angle and then hold down the Shift key, shearing is constrained to that angle.
Object being sheared by dragging Shear tool with reference point placed in center
You can also shear by using the Free Transform tool.
•
To shear using a preset value, in the Transform or Control panel, choose an angle from the Shear pop-up menu.
•To shear using a specific value, in the Transform or Control panel, type a positive or negative angle in the
Shear box, and press Enter or Return.
•To create a copy of the object with the new shear applied to the copy, type a value in the width or height fields on
the Transform panel and then hold down Alt (Windows) or Option (Mac OS) as you press Enter.
When you shear a single object, the specified value remains displayed in the Transform or Control panel. When you
shear multiple objects, the Shear Angle value is reset to 0 degrees, even though the objects are sheared.
Shear an object using the Shear command
You can shear an object by a specific amount by using the Shear command. This command also lets you shear a copy
of the selected object, leaving the original in place.
1Select an object to shear. To shear both the frame and its content, use the Selection tool to select the frame. To
shear the content without its frame, direct-select the object. To shear a frame without scaling the content, direct-
select the frame, and select all the anchor points.
2Do one of the following to open the Shear dialog box:
•Select Object > Transform > Shear.
•Double-click the Shear tool .
•Select the Shear tool and Alt-click (Windows) or Option-click (Mac OS) to select a new reference point.
3Type a new shear angle.
The shear angle is the amount of slant to be applied to the object, relative to a line perpendicular to the shear axis.
(Shear angle is calculated clockwise from the current axis.)
4Specify the axis along which the object is to be sheared. You can shear an object along a horizontal, vertical, or
angled axis.
5Do any of the following:
•To preview the effect before you apply it, select Preview.

INDESIGN CS3
User Guide
378
•To shear the object, click OK.
•To shear a copy of the object, click Copy.
Repeat transformations
You can repeat transformations, such as moving, scaling, rotating, resizing, reflecting, shearing, and fitting. You can
repeat either a single transformation or a sequence of transformations, and you can apply those transformations to
more than one object at a time. InDesign remembers all transformations until you select a different object or perform
a different task.
Note: Not all transformations are recorded. For example, modifying a path or its points is not recorded as a transfor-
mation.
1Select one or more objects, and perform all the transformations you want to repeat.
2Select the object or objects to which you want to apply the same transformations.
3Choose Object > Transform Again and then select one of the following options:
Transform Again Applies the last single transform operation to the selection.
Transform Again Individually Applies the last single transform operation to each selected object individually, rather
than as a group.
Transform Sequence Again Applies the last sequence of transform operations to the selection.
Transform Sequence Again Individually Applies the last sequence of transform operations to each selected object
individually.
Clear transformations
1Select the object or objects that have been transformed.
2Choose Clear Transformations from the Transform or Control panel menu.
Unless all values are the default values, clearing transformations results in a change of appearance for the objects.
Note: If the Scale values were reset at 100%, clearing the transformations will not change the scale.
Aligning and distributing objects
Align panel overview
You use the Align panel (Window > Object & Layout > Align) to align or distribute objects horizontally or vertically
along the selection, margins, page, or spread. Consider the following when working with the Align panel:
•The Align panel doesn’t affect objects to which you’ve applied the Lock Position command, and doesn’t change
alignment of text paragraphs within their frames.
•Text alignment is not affected by the Align Objects options. (See “Align or justify text” on page 227.)
•You can use the Keyboard Shortcuts dialog box (Edit > Keyboard Shortcuts) to create custom align and distribute
shortcuts. (Under Product Area, select Object Editing.)

INDESIGN CS3
User Guide
379
Align panel
A. Vertical alignment buttons B. Vertical distribution buttons C. Use Spacing distribution D. Horizontal alignment buttons E. Horizontal
distribution buttons F. Alignment location options
See also
“Use keyboard shortcut sets” on page 25
Align or distribute objects
You can use the Align panel to align or space selected objects horizontally or vertically to the selection, margins,
page, or spread.
Objects distributed horizontally to selection (top) and to margins (bottom)
To show or hide additional panel options, choose Show Options or Hide Options from the panel menu.
1Select the objects to align or distribute.
2Choose Window > Object & Layout > Align to display the Align panel.
3From the menu at the bottom of the panel, specify whether you want to align or distribute objects based on the
selection, margins, page, or spread.
4Do one of the following:
•To align objects, click the button for the type of alignment you want.
•To distribute objects, click the button for the type of distribution you want. For example, if you click the Distribute
Left Edges button when Align To Selection is turned on, InDesign makes sure that there is an equal amount of
space from left edge to left edge of each selected object.
A
B
D
E
C
F

INDESIGN CS3
User Guide
380
Using the Distribute Horizontal Centers option for even spacing
A. Creates even spacing between the centers of each object B. Keeps the overall width the same as before the transformation
•To set the space between objects, either center to center or edge to matching edge, select Use Spacing under
Distribute Objects, and then type the amount of space you want to apply. Click a button to distribute the selected
objects along their horizontal or vertical axes.
Using the Distribute Horizontal Centers option and adding a value for Use Spacing
A. Spaces the objects evenly from their centers by a specified value B. Changes the overall width of the objects as a whole
•To set the space between objects (facing edge to facing edge), under Distribute Spacing, select Use Spacing and
type the amount of space you want between the objects. (If Distribute Spacing is not visible, choose Show Options
in the Align Panel menu.) Then, click the Distribute Spacing button to distribute the objects either along their
horizontal or vertical axes.
B
AAA
B
AA A

INDESIGN CS3
User Guide
381
Using the Distribute Horizontal Space option and adding a value for Use Spacing
A. Creates spaces of a specified value between each object B. Changes the overall width of the objects as a whole
When you use spacing with vertical distribution, selected objects are spaced from top to bottom, starting with the
top-most object. When you use spacing with horizontal distribution, selected objects are spaced from left to right,
starting from the left-most object.
Grouping, locking, and duplicating objects
Group or ungroup objects
Youcancombineseveralobjectsintoagroupsothattheyaretreatedasasingleunit.Youcanthenmoveortransform
the objects without affecting their individual positions or attributes. For example, you might group the objects in a
logo design so that you can move and scale the logo as one unit.
Grouped object
Groups can also be nested—grouped into subgroups within larger groups. Use the Selection, Direct Selection, and
Group Selection tools to select different levels of a nested group’s hierarchy.
If you’re working with a stack of overlapping objects, and you group some objects that aren’t adjacent in the stacking
order, the selected objects will be pulled together in the stacking order, right behind the frontmost selected object.
(Forexample,whenobjectsarestackedasA,B,C,Dfromfronttoback,andyougroupBandDtogether,thestacking
order becomes A, B, D, C.) If you group objects that exist on different named layers, all of the objects move to the
frontmostlayeronwhichyouselectedanobject.Also,theobjectsyouselectmusteitherbealllockedorallunlocked.
1Select multiple objects to be grouped or ungrouped. Selecting part of an object (for example, an anchor point) will
group the entire object.
2Choose either Object > Group or Object > Ungroup.
B
AA

INDESIGN CS3
User Guide
382
If you’re not sure if an object is part of a group, select it using the Selection tool and look at the Object menu. If
the Object > Ungroup command is available, you’ve selected a group.
See also
“Arrange objects in a stack” on page 363
“Select nested or overlapping objects” on page 361
Lock or unlock objects
You can use the Lock Position command to specify that you don’t want certain objects to move in your document.
Aslongasanobjectislocked,itcannotbemoved,althoughyoucanstillselectitandchangeotherattributessuchas
color. Locked objects stay locked when a document is saved, closed, and then reopened.
1Select the object or objects that you want to lock in place.
2Do one of the following:
•To lock the objects, choose Object > Lock Position.
•To unlock the objects, choose Object > Unlock Position.
You can also use the Layers panel to lock one or more layers. This locks the positions of all objects on a layer, and
also prevents them from being selected.
See also
“Lock or unlock layers” on page 74
Duplicate objects
You can duplicate objects using a number of different methods.
Duplicate an object using the Duplicate command
Use the Duplicate command to replicate a selected object instantly. The new copy appears on the layout slightly offset
down and to the right from the original.
❖Select an object or objects, and choose Edit > Duplicate.
Duplicate a selected object as you transform
You can duplicate an object each time you change its position, orientation, or proportions. For example, you can
create a flower by drawing one petal, setting its reference point at the base of the petal, and repeatedly rotating at
incremental angles, simultaneously duplicating to leave behind a new copy of the petal at each angle.
❖During a transformation, do one of the following:
•If you’re dragging the Selection tool , the Rotate tool , the Scale tool , or the Shear tool , start dragging,
and then hold down Alt (Windows) or Option (Mac OS) after you begin dragging. To constrain the duplicate’s
transformation, Alt+Shift-drag (Windows) or Option+Shift-drag (Mac OS).
•If you’re specifying a value in the Transform or Control panel, press Alt+Enter (Windows) or Option+Return
(Mac OS) after you’ve typed the value.
•If you’re pressing arrow keys to move objects, hold down Alt (Windows) or Option (Mac OS) as you press the keys.

INDESIGN CS3
User Guide
383
Duplicate objects into rows or columns
Use the Step and Repeat command to instantly create rows or columns of duplicates. For example, you can fill a page
with evenly spaced duplicates of a single business card design.
1Select the object or objects you want to duplicate.
2Choose Edit > Step and Repeat.
3For Repeat Count, specify how many duplicates you want to make, not counting the original.
4For Horizontal Offset and Vertical Offset, specify how far to shift the position of each new duplicate from the
previous duplicate along the x and y axes, respectively, and click OK.
To create a page full of duplicates, first use Step and Repeat with Vertical Offset set to 0 (zero); this will create one
row of duplicates. Then select the entire row and use Step and Repeat with Horizontal Offset set to 0; this will repeat
the row down the page.
Create nonprinting objects
You might want to create objects that appear onscreen, but will not be printed or appear in portable versions of the
document.
You can also use layers to selectively hide or show elements in a document, and you can assign layers a non-printing
status.
1Select the object or text frame that you don’t want to be printed.
2Open the Attributes panel (Window > Attributes).
3In the Attributes panel, select Nonprinting.
See also
“Set a layer as nonprinting” on page 74
Working with frames and objects
Modifying objects using graphics frames
Adobe InDesign objects include any item you can add or create in the document window, including open paths,
closed paths, compound shapes and paths, type, rasterized artwork, 3D objects, and any placed file, such as an image.
If a graphic exists inside a frame (as all imported graphics do), you can modify it by changing its relationship to its
frame, as in the following examples:
•Crop a graphic by making its frame smaller.
•Create various masking and layout effects by pasting an object into a frame.
•Add a keyline or outline to a graphic by changing the stroke weight and color of its frame.
•Center a graphic against a background rectangle by enlarging its frame and setting the frame’s fill color.
Paste an object into a frame
Use the Paste Into command to nest graphics within container frames. You can even nest graphics into nested frames.

INDESIGN CS3
User Guide
384
Background image pasted into a frame
1Do one of the following:
•To paste one object inside a frame, select the object.
•To paste two or more objects inside a frame, group them first, because a frame can contain only one object.
•To paste a text frame inside another frame and preserve its current appearance, select the entire text frame using
the Selection tool or Direct Selection tool , not the Type tool.
2Choose Edit > Copy (or Edit > Cut, if you don’t want to keep the original).
3Select a path or frame, and then choose Edit > Paste Into.
Remove a frame’s content
1Do one of the following:
•If you’re removing a graphic or a text frame, select the object with the Direct Selection tool .
•If you’re removing text characters, select them with the Type tool .
2Do one of the following:
•To permanently remove the content, press Delete or Backspace, or drag items to the Delete icon.
•Toplacethecontentelsewhereonthelayout,chooseEdit>Cut,deselecttheframe,andthenchooseEdit>Paste.
Note: An imported image cannot exist without a frame. If you cut an imported image from its frame and paste it
elsewhere within a document, a new frame will be created for it automatically.
Fit an object to its frame
Whenyouplaceorpasteanobjectintoaframe,itappearsattheupper-leftcorneroftheframebydefault.Iftheframe
and its content are different sizes, you can use the Fitting commands to achieve a perfect fit automatically.
Frame alignment options apply to frames that contain either a graphic or another text frame (text frames nested
within another frame), but they do not affect paragraphs inside a text frame—you control alignment and positioning
of text itself using the Text Frame Options command and the Paragraph, Paragraph Styles, and Story panels.
Note: Fitting commands are also available as buttons on the Control panel; use tool tips to view the names of the buttons.
1Select the frame of the object.
2Choose Object > Fitting and one of the following options:
Fit Content To Frame Resizes content to fit a frame and allows the content proportions to be changed. The frame will
not change, but the content may appear to be stretched if the content and the frame have different proportions.
Fit Frame To Content Resizes a frame to fit its content. The frame’s proportions are altered to match the content
proportions, if necessary. This is useful for resetting a graphics frame that you accidentally altered.

INDESIGN CS3
User Guide
385
To fit a frame to its content quickly, double-click any corner handle on the frame. The frame resizes away from the
point you click. If you click a side handle, the frame resizes only in that dimension.
Aligning an object within a graphics frame
A. Original B. Frame resized to fit content C. Content resized to fit frame
Center Content Centers content within a frame. The proportions of the frame and its content are preserved. The size
of the content and frame are unaltered.
Fit Content Proportionally Resizes content to fit a frame while preserving the content proportions. The frame’s
dimensions are not changed. If the content and the frame have different proportions, some empty space will result.
Fill Frame Proportionally Resizes content to fill the entire frame while preserving the content’s proportions. The
frame’s dimensions are not changed. If the content and the frame have different proportions, some of the content will
be cropped by the bounding box of the frame.
Note: The Fitting commands fit the outer edges of the content to the center of the frame’s stroke. If the frame has a thick
stroke weight, outer edges of the content will be obscured. You can adjust the frame’s stroke alignment to the center, inside,
or outside of a frame edge. (See “Set strokes” on page 316.)
Set frame fitting options
You can associate a fitting option to a placeholder frame so that whenever new content is placed in that frame, the
fitting command is applied.
1Select a frame.
2Choose Object > Fitting > Frame Fitting Options.
3Specify the following options, and then click OK:
Reference Point Specify a reference point for the cropping and fitting actions. For example, if you select the upper
right corner for a reference point and choose Fit Content Proportionally, the image may be cropped on either the left
or bottom side (away from the reference point).
Crop Amount Specify the location of the image’s bounding box in relation to the frame. Use positive values to crop
the image. For example, you may want to exclude a border that surrounds the placed image. Use negative values to
add space between the image’s bounding box and the frame. For example, you may want white space to appear
between the image and the frame.
If you enter crop values that cause the image not to be visible, those values are ignored, but the fitting option is still
implemented.
Fitting On Empty Frame Specify whether you want to fit the content to the frame (which may cause the image to be
skewed), fit the content proportionally (some empty space may result), or fill the frame proportionally (one or more
sides may be cropped).
The fitting action is applied only when content is placed into an empty frame. If you resize the frame, the fitting
option is not automatically reapplied.
ABC

INDESIGN CS3
User Guide
386
See also
“Using placeholders to design pages” on page 76
“Define object styles” on page 178
Move a graphics frame or its content
When you move a frame using the Selection tool, the frame’s content moves with it. The following techniques include
ways to move a frame or its content independent of each other. These techniques are useful for adjusting how a
graphic is cropped or masked by its frame. For information about using the Position tool, see “Crop content using
the Position tool” on page 315.
If a selection tool doesn’t work the way you expect it to, try deselecting everything first. Do this by pressing
Ctrl+Shift+A (Windows) or Command+Shift+A (Mac OS).
❖Do any of the following:
•To move a frame together with its content, use the Selection tool .
•To move imported content without moving the frame (that is, to pan content behind its frame), use the Direct
Selection tool . The Direct Selection tool automatically changes to the Hand tool when placed over an imported
graphic, but not when placed over text or vector graphics created in InDesign.
Moving the content, but not its frame
Note: Ifyouholddownthemousebuttononagraphicbeforeyoumoveit,adynamicgraphicspreview(aghosted-back
image) of the outside of the frame appears, but the preview of the image that moves inside the frame is not ghosted. This
makes it easier to see how you are positioning the entire image within a frame.
•To move a frame without moving its content, select the Direct Selection tool, click the frame, click its center point
to make all of the anchor points solid, and then drag the frame. Don’t drag any of the frame’s anchor points; doing
so changes the shape of the frame.
Moving the frame, but not its content
•To move multiple frames, use the Selection tool to select the objects, and then drag them. If you use the Direct
Selection tool to select multiple objects, only the item you drag is affected.

INDESIGN CS3
User Guide
387
Create a border or background
A graphics frame is ideally suited for use as a border or background for its content, because you can change the
frame’s stroke and fill independent of the content.
Adding borders to graphics frames
A. Photo in graphics frame B. Frame with stroke applied C. Frame enlarged with both stroke and fill applied
1Using the Selection tool , click an imported graphic to select its frame.
2To enlarge the frame without resizing the graphic, drag any bounding box handle outward. To maintain frame
proportions, hold down Shift as you drag.
3Use the Swatches panel and the toolbox to apply a stroke and fill color.
4Use the Stroke panel to adjust the frame’s stroke weight, style, or alignment.
YoucanquicklyenlargeaframeequallyaroundallsidesbyusingtheTransformorControlpanel.Selecttheframe
with the Direct Selection tool , set the panel reference point locator to the center point, and enter new values
for the width and height.
See also
“Set strokes” on page 316
“Apply color” on page 415
Crop or mask objects
Cropping and masking are both terms that describe hiding part of an object. In general, the difference is that cropping
uses a rectangle to trim the edges of an image, and masking uses an arbitrary shape to make an object’s background
transparent. A common example of a mask is a clipping path, which is a mask made for a specific image.
Use graphics frames to crop or mask objects. Because an imported graphic is automatically contained within a frame,
you can crop or mask it immediately without having to create a frame for it. If you haven’t created a frame for an
imported graphic manually, the frame is automatically created at the same size as the graphic, so it may not be
obvious that the frame is there.
Note: For efficient printing, only the data for the visible parts of cropped or masked images is sent when you output the
document. However, you will still save disk space and RAM if you crop or mask images to their desired shapes and sizes
before importing them into your document.
•To crop an imported image or any other graphic already inside a rectangular frame, click the object using the
Selection tool and drag any handle on the bounding box that appears. Press Shift as you drag to preserve the
frame’s original proportions.
CAB

INDESIGN CS3
User Guide
388
Cropping an image using a graphics frame
•To crop or mask any object, use the Selection or Direct Selection tool to select one object you want to mask.
Choose Edit > Copy, select an empty path or frame smaller than the object, and choose Edit > Paste Into.
•Tocropframecontentprecisely,selecttheframewiththeDirectSelectiontool,andusetheTransformorControl
panel to change the size of the frame.
•To specify crop settings for an empty placeholder frame, choose Object > Fitting > Frame Fitting Options, and
then specify the crop amount.
With an imported graphic, you can also create a mask by using the drawing tools to change the shape of the graphic’s
existing frame.
Clipping paths
Clipping paths
Clipping paths crop part of the artwork so that only a portion of the artwork appears through the shape or shapes you
create. You can create clipping paths to hide unwanted parts of an image, creating both a path for the image and a
frame for the graphic. By keeping the clipping path and graphics frame separate, you can freely modify the clipping
path without affecting the graphics frame by using the Direct Selection tool and other drawing tools in the toolbox.
You can create clipping paths in the following ways:
•Place already-saved graphics with paths or alpha (mask) channels, which InDesign can use automatically. You can
add paths and alpha channels to graphics using a program such as Adobe Photoshop.
•Use the Detect Edges option in the Clipping Path command to generate a clipping path for a graphic that was saved
without one.
•UsethePentooltodrawapathintheshapeyouwant,andthenusethePasteIntocommandtopastethegraphic
into the path.
When you use one of InDesign’s automatic methods to generate a clipping path, the clipping path is attached to the
image, resulting in an image that is clipped by the path and cropped by the frame.
Note: The graphic frame displays the color of the layer it appears on, and the clipping path is drawn in the inverse color
of the layer. For example, if the layer color is blue, the graphic frame will appear as blue, and the clipping path will appear
as orange.

INDESIGN CS3
User Guide
389
Crop using a graphic’s path or alpha channel
InDesign can crop an imported EPS, TIFF, or Photoshop graphic using the clipping path or alpha channel saved with
the file. When an imported graphic includes more than one path or alpha channel, you can choose which path or
alpha channel to use for the clipping path.
An alpha channel is an invisible channel that defines transparent areas of a graphic. It’s stored inside a graphic with
the RGB or CMYK channels. Alpha channels are commonly used in video-effects applications. InDesign automati-
cally recognizes Photoshop’s default transparency (the checkerboard background) as an alpha channel. If the graphic
hasanopaquebackground,youmustusePhotoshoptoremovethebackground,orcreateandsaveoneormorealpha
channels with the graphic. You can create alpha channels using background-removal features in Adobe Photoshop,
such as layer masks, the Channels panel, the Background Eraser, or the Magic Eraser.
Results of using alpha channels and embedded paths
A. Original graphic B. Alpha channel C. Placed graphic D. Original graphic E. Graphic with embedded path F. Placed graphic
When you place a Photoshop file, the Image Import Options dialog box lets you choose to use the default clipping
path or to select an alpha channel for clipping.
1Select an imported graphic, and choose Object > Clipping Path.
2In the Clipping Path dialog box, choose either Photoshop Path or Alpha Channel from the Type menu.
3Choose the desired path or alpha channel from either the Path or Alpha menu.
Note: If the Alpha Channel menu command is not available, no alpha channels were saved with the graphic.
4To inset the clipping path, specify a value for Inset Frame.
5To switch the visible and hidden areas, select Invert.
6If you chose an alpha channel, specify any other desired clipping path options, and click OK.
To turn off the clipping path, select the imported graphic, and choose Object > Clipping Path. Choose None in the
Type menu, and click OK.
Create a clipping path automatically
Ifyouwanttoremovethebackgroundfromagraphicthatwasn’tsavedwithaclippingpath,youcandoitautomat-
ically using the Detect Edges option in the Clipping Path dialog box. The Detect Edges option hides the lightest or
darkest areas of a graphic, so it works best when the subject is set against a solid white or black background.
CAB
FDE

INDESIGN CS3
User Guide
390
Good (left) and bad (right) candidates for automatic clipping path
1Select an imported graphic, and choose Object > Clipping Path.
2In the Clipping Path dialog box, choose Detect Edges in the Type menu. By default, the lightest tones are excluded;
to exclude the darkest tones, also select the Invert option.
3Specify the clipping path options, and click OK.
Clipping path options
Threshold Specifies the darkest pixel value that will define the resulting clipping path. Increasing this value makes
more pixels transparent by extending the range of lightness values added to the hidden area, starting from 0 (white).
For example, if you want to remove a very light drop shadow when using Detect Edges, try increasing the Threshold
until the shadow disappears. If light pixels that should be visible are invisible, the Threshold is too high.
Threshold levels at 25 (left) and 55 (right)
Tolerance Specifies how similar a pixel’s lightness value can be to the Threshold value before the pixel is hidden by
the clipping path. Increasing the Tolerance value is useful for removing unwanted bumps caused by stray pixels that
are darker than, but close to the lightness value of, the Threshold value. Higher Tolerance values usually create a
smoother, looser clipping path, by increasing the range of values near the Tolerance value within which stray darker
pixels are included. Decreasing the Tolerance value is like tightening the clipping path around smaller variations in
value. Lower Tolerance values create a rougher clipping path by adding anchor points, which may make it harder to
print the image.
Tolerance levels at 0 (left) and 5 (right)

INDESIGN CS3
User Guide
391
Inset Frame Shrinks the resulting clipping path relative to the clipping path defined by the Threshold and Tolerance
values. Unlike Threshold and Tolerance, the Inset Frame value does not take lightness values into account; instead,
it uniformly shrinks the shape of the clipping path. Adjusting the Inset Frame value slightly may help hide stray pixels
that could not be eliminated by using the Threshold and Tolerance values. Enter a negative value to make the
resulting clipping path larger than the clipping path defined by the Threshold and Tolerance values.
Inset frame at -0p1 (left) and 0p3 (right)
Invert Switches the visible and hidden areas, by starting the clipping path with the darkest tones.
Include Inside Edges Makes areas transparent if they exist inside the original clipping path, and if their lightness
values are within the Threshold and Tolerance ranges. By default, the Clipping Path command makes only the outer
areas transparent, so use Include Inside Edges to correctly represent “holes” in a graphic. This option works best
when the brightness levels of areas you want to make transparent don’t match any areas that must be visible. For
example, if you choose Include Inside Edges for a graphic of silver eyeglasses, and the lenses become transparent,
very light areas of the eyeglass frame may also become transparent. If areas become transparent when that wasn’t
your intent, try adjusting the Threshold, Tolerance, and Inset Frame values.
Restrict to Frame Createsaclippingpaththatstopsatthevisibleedgeofthegraphic.Thiscanresultinasimplerpath
when you use the graphic’s frame to crop the graphic.
Use High Resolution Image Calculates transparent areas using the actual file, for maximum precision. Deselect this
option to calculate transparency based on the screen display resolution, which is faster but less precise. This option
isn’t available if you chose Alpha Channel, because InDesign always uses an alpha channel at its actual resolution.
(See “About transparency” on page 392.)
Convert a clipping path to a graphic frame
•Choose Object > Clipping Path > Convert Clipping Path To Frame.

392
Chapter 14: Transparency effects
When you create an object in Adobe InDesign CS3, by default it appears solid; that is, it has an opacity of 100%. You
can apply effects to objects using opacity and blends. Overlap objects, add transparency to objects, or knock out
shapes behind objects.
Adding transparency effects
About transparency
Whenyoucreateanobjectorstroke,whenyouapplyafill,orwhenyouentertext,bydefaulttheseitemsappearsolid;
that is, they have an opacity of 100%. You can make the items transparent in a variety of ways. For example, you can
vary the opacity from 100% (completely opaque) to 0% (completely transparent). When you decrease opacity, the
underlying artwork becomes visible through the surface of the object, stroke, fill, or text.
You use the Effects panel to specify the opacity an object, its stroke, its fill, or its text, You can decide how the object
itself, its stroke, fill, or text blend with objects beneath. Where objects are concerned, you can choose to isolate
blending to specific objects so that only some objects in a group blend with objects below them, or you can have
objects knock out rather than blend with objects in a group.
For information on getting started with transparency (PDF), see www.adobe.com/go/learn_id_transparency_bp.
Areas of underlying objects appear through transparent object.
See also
“About flattening” on page 404
Effects panel overview
Use the Effects panel (Window > Effects) to specify the opacity and blending mode of objects and groups, isolate
blending to a particular group, knock out objects inside a group, or apply a transparency effect.

INDESIGN CS3
User Guide
393
Add and edit transparency effects in the Effects panel
A. Blending mode B. Levels C. FX icon D. Clear effects E. FX button
Blending Mode Specifies how colors in transparent objects interact with the objects behind them. (See “Specify how
colors blend” on page 401.)
Opacity Determines the opacity of an object, stroke, fill, or text. (See “Set the opacity of an object” on page 399.)
Level Tells you the Object, Stroke, Fill, and Text opacity settings of the object, as well as whether transparency effects
have been applied. Click the triangle to the left of the word Object (or Group or Graphic)tohideordisplaytheselevel
settings. The FX icon appears on a level after you apply transparency settings there, and you can double-click the FX
icon to edit the settings.
Isolate Blending Applies a blending mode to a selected group of objects. (See “Isolate blending modes” on page 402.)
Knockout Group Makes the opacity and blending attributes of every object in a group knock out, or block out,
underlying objects in the group. (See “Knock out objects within a group” on page 403.)
Clear All button Clears effects—stroke, fill, or text— from an object, sets the blend mode to Normal, and changes
the Opacity setting to 100% throughout the object.
FX button Displays a list of transparency effects. (See “Apply transparency effects” on page 393.)
Display Effects panel options
❖Choose Window > Effects and, if necessary, open the Effects panel menu and choose Show Options.
The Effects panel options are also available in the Effects dialog box (select an object and choose Object > Effects >
Transparency) and, in simplified form, on the Control panel.
Apply transparency effects
1Select an object. To apply effects to a graphic, select the graphic with the Direct Selection tool.
2Choose Window > Effects to display the Effects panel.
3Select a level to designate which parts or part of the object you want to change:
Object Affects the entire object—its stroke, fill, and text.
Graphic Affects only the graphic selected with the Direct Selection tool. Effects you apply to the graphic remain with
it when you paste the graphic to a different frame.
AA
B
C
DE

INDESIGN CS3
User Guide
394
Group Affects all objects and text in the group. (Use the Direct Selection tool to apply effects to objects within a
group.
Stroke Affects only the object’s stroke (including its gap color).
Fill Affects only the object’s fill.
Tex t Affects only text inside the object, not the text frame. Effects you apply to text affect all the text in the object;
you can’t apply an effect to individual words or letters.
You can also choose a level setting in the Control panel: Click the Apply Effect To Object button and select
Object, Stroke, Fill, or Text.
4Do any of the following to open the Effects dialog box:
•In the Effects panel or Control panel, click the FX button and choose an effect from the menu.
•From the Effects panel menu, choose Effects and then an effect name.
•From the context menu, choose Effects and then an effect name.
•Choose Object > Effects, and then choose an effect name.
•On the Effects panel, click the triangle to display level settings if necessary, and then double-click a level setting—
Object, Stroke, Fill, or Text—on the Effects panel. By double-clicking, you both open the Effects dialog box and
choose a level setting.
5Choose options and settings for the effect. (See “Common transparency settings and options” on page 398.)
6Click OK.
See also
“Set the opacity of an object” on page 399
Edit a transparency effect
1Do one of the following to open the Effects dialog box.
•On the Effects panel, double-click the FX icon. (You may need to click the triangle next to the word Object to
display the FX icon.)
•Select the level with the effect you want to edit, click the FX button in the Effects panel, and choose the name
of an effect.
2Edit the effect.
Copy transparency effects
❖Do any of the following to copy transparency effects:
•To copy effects between objects, select the object with the effect you want to copy, select the object’s FX icon
in the Effects panel, and drag the FX icon to the other object. You can drag and drop effects between objects only
to and from the same level.
•To copy effects between objects selectively, use the Eyedropper tool . To control which transparency stroke, fill,
and object settings are copied with the Eyedropper tool, double-click the tool to open the Eyedropper Options
dialog box. Then select or deselect options in the Stroke Settings, Fill Settings, and Object Settings areas.
•To copy effects from one level to another in the same object, Alt-drag (Windows) or Option-drag (Mac OS) the
FX icon from one level to another (Stroke, Fill, or Text) on the Effects panel.

INDESIGN CS3
User Guide
395
You can move effects from one level to another in the same object by dragging the FX icon.
Clear transparency effects from an object
❖Do any of the following:
•To clear all effects from an object as well as change the blending mode to Normal and the Opacity setting to 100%,
click the Clear All Effects button in the Effects panel or choose Clear All Transparency on the Effect panel menu.
•
To clear all effects but maintain the blending and opacity settings, select a level and choose Clear Effects on the
Effects panel menu or drag the FX icon from the Stroke, Fill, or Text level in the Effects panel to the Trash icon.
•To remove an individual effect from an object, open the Effects dialog box and deselect a Transparency effect.
Transparency effects
InDesign offers nine transparency effects. Many of the settings and options for creating these effects are similar.
Effects
A. Drop Shadow B. Inner Shadow C. Outer Glow D. Inner Glow E. Bevel and Emboss F. Satin G. Basic Feather H. Directional Feather
I. Gradient Feather
Drop Shadow Adds a shadow that falls behind the object, stroke, fill, or text.
Inner Shadow Adds a shadow that falls just inside the edges of the object, stroke, fill, or text, giving it a recessed
appearance.
Outer Glow and Inner Glow
Add glows that emanate from the outside or inside edges of the object, stroke, fill, or text.
Bevel and Emboss Adds various combinations of highlights and shadows to give text and images a three-dimen-
sional appearance.
Satin Adds interior shading that makes a satiny finish.
Basic Feather, Directional Feather, and Gradient Feather Soften the edges of an object by fading them to transparent.
ABC
DEF
GHI

INDESIGN CS3
User Guide
396
Note: In addition to the descriptions covered here, see “Common transparency settings and options” on page 398.
Drop Shadow
The Drop Shadow effect creates a three-dimensional shadow. You can offset the drop shadow along the x or y axis,
as well as vary the blending mode, color, opacity, distance, angle, and size of the drop shadow. Use these options to
determine how the drop shadow interacts with objects and transparency effects:
Object Knocks Out Shadow The object appears in front of the drop shadow that it casts.
Shadow Honors Other Effects The drop shadow factors in other transparency effects. For example, if the object is
featheredononeside,youcanmakethedrop-shadowdisregardthefeatheringsuchthattheshadowdoesn’tfadeout,
or make the shadow look feathered in the same way as the object is feathered.
Click the Drop Shadow button on the Control panel to quickly apply a drop shadow to or remove a drop shadow
from an object, a stroke, a fill, or text.
Toselectacolorforadropshadow,clicktheSetShadowColorbutton(nexttotheBlendingModemenu)andchoose
a color.
For a video on creating drop shadows, see www.adobe.com/go/vid0085.
Inner Shadow
The Inner Shadow effect places the shadow inside the object, giving the impression that the object is recessed. You
can offset the inner shadow along different axes and vary the blending mode, opacity, distance, angle, size, noise, and
choke of the shadow.
Outer Glow
The Outer Glow effect makes the glow emanate from under the object. You can set the blending mode, opacity,
technique, noise, size, and spread.
Inner Glow
The Inner Glow effect causes an object to glow from the inside out. Choose the blending mode, opacity, technique,
size, noise and choke settings, as well as the Source setting:
Source Specifies the source for the glow. Choose Center to apply a glow that emanates from the center; choose Edge
to apply a glow that emanates from the object’s boundaries.
Bevel and Emboss
Use the Bevel and Emboss effect to give objects a realistic, three-dimensional look. The Structure settings determine
the object’s size and shape:
Style Specifies the bevel style: Outer Bevel creates the bevel on the outside edges of the object; Inner Bevel creates
the bevel on the inside edges; Emboss simulates the effect of embossing the object against underlying objects; Pillow
Emboss simulates the effect of stamping the edges of the object into underlying objects.
Size Determines the size of the bevel or emboss effect.
Technique Determines how the edge of the bevel or emboss effect interacts with background colors: Smooth blurs
the edges slightly (and doesn’t preserve detailed features at larger sizes); Chisel Soft blurs the edges, but not as much
as the Smooth technique (it preserves detailed features better than the Smooth technique but not as well as the Chisel
Hard technique); Chisel Hard provides a harder, more conspicuous edge (it preserves detailed features better than
the Smooth or Chisel Soft techniques).

INDESIGN CS3
User Guide
397
Soften In addition to the Technique setting, blurs the effect to reduce unwanted artifacts and rough edges.
Direction Choose Up or Down to make the effect appear pushed up or down.
Depth Specifies the depth of the bevel or emboss effect.
The Shading settings determine how light interacts with the object:
Angle and Altitude Sets the height of the light source. A setting of 0 is equivalent to ground level; 90 is directly above
the object.
Use Global Light Applies the global light source as specified for all transparency effects. Choosing this option
overrides any Angle and Altitude settings.
Highlight and Shadow Specifies the blending mode for the bevel or emboss highlight and shadow.
Satin
Use the Satin effect to give objects a smooth, satin-like finish. Choose the blending mode, opacity, angle, distance,
and size settings, as well as whether to invert colors and transparencies:
Invert Select this option to reverse the colored and transparent areas of the object.
Basic Feather
The Feather effect softens (fades) the edges of an object over a distance that you specify:
Feather Width Sets the distance over which the object fades from opaque to transparent.
Choke Along with the Feather Width setting, determines how much of the softening glow is opaque and how much
is transparent; a large setting increases opacity and a small setting increases transparency.
Corners Choose Sharp, Rounded, or Diffused:
•Sharp Follows the outer edge of the shape, including sharp corners. This option is appropriate for star-like objects
and a special effect on a rectangular shape.
•Rounded Rounds the corner by the feather radius; essentially, the shape is first inset, then outset, to form the two
contours. This option works well with rectangles.
•Diffused Uses the Adobe Illustrator method, which makes the edges of the object fade from opaque to trans-
parent.
For a video on feathering, see www.adobe.com/go/vid0086.
Noise Specifies the amount of random elements in the softening glow. Use this option to soften the glow.
Directional Feather
The Directional Feather effect softens the edges of an object by fading the edges to transparent from directions that
you specify. For example, you can apply feathering to the top and bottom of the object, not the left or right side.
Feather Widths Setthedistanceoverwhichthetop,bottom,leftside,andrightsideoftheobjectfadetotransparent.
Select the Lock option to fade each side of the object by the same distance.
Noise Specifies the amount of random elements in the softening glow. Use this option to create a softer glow.
Choke Along with the Width settings, determines how much of the glow is opaque and how much is transparent;
large settings increase opacity and small settings increase transparency.
Shape Choose an option—First Edge Only, Leading Edges, or All Edges—to demarcate the object’s original shape.

INDESIGN CS3
User Guide
398
Angle Rotates the frame of reference for the feathering effect such that, as long as you don’t enter a multiple of 90
degrees, the feathering edges are skewed rather than parallel to the object.
Gradient Feather
Use the Gradient Feather effect to soften the areas of an object by fading them to transparent.
Gradient Stops Create one gradient stop for each gradation in transparency that you want for your object.
•To create a gradient stop, click below the Gradient Slider (drag a gradient stop away from the slider to remove a
stop).
•To adjust the position of a stop, drag it left or right, or select it and then drag the Location slider.
•To adjust the mid-point between two opacity stops, drag a diamond above the Gradient Slider. Where the
diamond is located determines how abrupt or gradual the transition between stops is.
Reverse Gradient Click to reverse the direction of the gradations. This box is located to the right of the Gradient
Slider.
Opacity Specifies the transparency between gradient points. Select a point and drag the Opacity slider.
Location Adjusts the position of a gradient stop. Select a gradient stop before dragging the slider or entering a
measurement.
Type Linear shades from the starting gradient point to the ending gradient point in a straight line; Radial shades
from the starting point to the ending point in a circular pattern.
Angle For linear gradients, establishes the angle of the gradation lines. At 90 degrees, for example, the lines run
horizontally; at 180 degrees, the lines run vertically.
Common transparency settings and options
Many transparency effect settings and options are the same across different effects. Common transparency settings
and options include the following:
Angle and Altitude Determine the lighting angle at which a lighting effect is applied. A setting of 0 is equivalent to
ground level; 90 is directly above the object. Click the angle radius or enter a degree measurement. Select Use Global
Light if you want a uniform lighting angle for all objects. Used by the Drop Shadow, Inner Shadow, Bevel and
Emboss, Satin, and Feather effects.
Blending Mode Specifies how colors in transparent objects interact with the objects behind them. Used by the Drop
Shadow, Inner Shadow, Outer Glow, Inner Glow, and Satin effects. (See “Specify how colors blend” on page 401.)
Choke Along with the Size setting, determines how much of the shadow or glow is opaque and how much is trans-
parent; large settings increase opacity and small settings increase transparency. Used by the Inner Shadow, Inner
Glow, and Feather effects.
Distance Specifies the offset distance for the Drop Shadow, Inner Shadow, or Satin effect.
Noise Specifies the amount of random elements in the opacity of a glow or shadow as you enter a value or drag the
slider. Used by the Drop Shadow, Inner Shadow, Outer Glow, Inner Glow, and Feather effects.
Opacity Determines the opacity of an effect; drag the slider or enter a percentage measurement. (See “Set the opacity
of an object” on page 399.) Used by the Drop Shadow, Inner Shadow, Outer Glow, Inner Glow, and Satin effects.
Size Specifies the amount of shadow or glow. Used by the Drop Shadow, Inner Shadow, Outer Glow, Inner Glow, and
Satin effects.

INDESIGN CS3
User Guide
399
Spread Determines the transparency of the blur within the shadow or glow effect as established by the Size setting.
A higher percentage makes the blur more opaque. Used by the Drop Shadow and Outer Glow.
Technique These settings determine how the edge of a transparency effect interacts with background colors. Softer
and Precise are available for the Outer Glow and Inner Glow effects:
•Softer Applies a blur to the edge of the effect. At larger sizes, doesn’t preserve detailed features.
•Precise Preserves the edge of the effect, including its corners and other sharp details. Preserves features better
than the Softer technique.
Use Global Light Applies the global light setting to the shadow. Used by the Drop Shadow, Bevel and Emboss, and
Inner Shadow effects.
X Offset and Y Offset Offsets the shadow on the x- or y-axis by the amount you specify. Used by the Drop Shadow
and Inner Shadow effects.
Use Global Light
You can apply a uniform lighting angle to transparency effects in which shading is a factor: Drop Shadow, Inner
Shadow, and Bevel and Emboss. When you choose Use Global Light with these effects, lighting is determined by the
global setting in the Global Light dialog box.
1Do any of the following to open the Global Light dialog box:
•Choose Global Light from the Effects panel menu.
•Choose Object > Effects > Global Light.
2Enter a value or drag the angle radius to set the Angle and Altitude, and click OK.
Set the opacity of an object
You can apply transparency to a single object or selected objects (including graphics and text frames), but not to
individual text characters or layers. However, imported graphics with those types of transparency effects will appear
and print correctly.
For videos on adding opacity, see www.adobe.com/go/vid0087 and www.adobe.com/go/vid0088.
1Select the object or objects.
The word mixed appears in the Effects panel if you select multiple objects and their opacity settings conflict. For
example, if the Fill opacity setting is different in objects you selected, the Transparency palette reads, “Fill: Opacity
(mixed).”
2Choose Object, Stroke, Fill, or Text with any of these techniques:
•Click the Apply Effects button on the Control panel and choose an option.
•Click an option on the Effects panel (click the triangle next to the word Object, if necessary, to see the options).
3On the Control panel or Effects panel, type a value for Opacity or click the arrow next to the Opacity setting and
drag the slider. As the opacity value of objects is reduced, the transparency increases.
Note: If you direct-select and cut or copy an object from a transparent group in InDesign, and then paste the object
somewhereelseinthedocument,thepastedobjectwon’tbetransparentunlessitwaspreviouslyselectedindividuallyand
had transparency applied.

INDESIGN CS3
User Guide
400
See also
“Synchronize color settings across Adobe applications” on page 441
“Applying transparency to groups” on page 400
Applying transparency to groups
Besides applying transparency effects to single objects, you can apply them to groups.
If you simply select objects and change their individual opacity settings, the selected objects’ opacity will change
relative to that of the others. Any overlapping areas will show an accumulated opacity.
In contrast, if you target a group that has been created with the Group command, and then change the opacity, the
group is treated as a single object by the Effects panel (the Effects panel shows only one level option—Group), and
theopacitieswithinthegroupdon’tchange.Inotherwords,objectswithinthegroupdon’tinteractwitheachother
in transparency.
Individual objects selected and set to 50% opacity (left) and group selected and set to 50% opacity (right)
Change the appearance of transparent artwork on-screen
Use the Display Performance dialog box to set transparency preferences. These preferences determine the on-screen
quality of transparent objects in new documents and in documents saved with modified preferences. You can also
set the preferences to turn on or off the display of transparency in the document. Turning off transparency in the
display preferences doesn’t turn off transparency when printing or exporting the file.
Note: Before you print a file containing transparency effects, make sure that you check the transparency preferences first.
Printing automatically flattens the artwork, and may affect the appearance of the transparency effects.
1Choose Edit > Preferences > Display Performance (Windows) or Adobe InDesign > Preferences > Display Perfor-
mance (Mac OS).
2Select an option (Fast, Typical, High Quality) in the Adjust View Settings section to determine the on-screen
resolution of any effect in the document. The settings you change apply only to the option you select here:
•Fast turns off transparency and sets the resolution to 24 dpi.
•Typical displays low-resolution effects and sets the resolution to 72 dpi.
•High Quality improves the display of effects, especially in PDF and EPS files, and sets the resolution to 144 dpi.
3Drag the Transparency slider. The default setting is Medium Quality, which displays drop shadows and feathering.
4Click OK.
5When inks overlap with blend modes, choose View > Overprint Preview. This option ensures that you can see on-
screen how any inks interact with transparency.
Use the View menu to quickly change transparency display between Fast Display, Typical Display, and High Quality
Display.

INDESIGN CS3
User Guide
401
See also
“Control graphics’ display performance” on page 347
Stop displaying transparency
To improve display performance, you can turn off the display of transparency. Turning off transparency on-screen
doesn’t turn off transparency for printing or exporting the file.
❖Choose View > Display Performance > Fast Display.
Blending colors
Specify how colors blend
Blend the colors between two overlapping objects by using blending modes. Blending modes let you vary the ways
in which the colors of stacked objects blend.
1Select one or more objects or a group.
2Do one of the following:
•In the Effects panel, choose a blending mode, such as Normal or Overlay, from the menu.
•In the Transparency area of the Effects dialog box, choose a blending mode from the menu.
Blending mode options
The blending modes control how the base color, the underlying color in the artwork, interacts with the blend color,
the color of the selected object or group of objects. The resulting color is the color resulting from the blend.
Normal Colors the selection with the blend color, without interaction with the base color. This is the default mode.
Multiply Multiplies the base color by the blend color. The resulting color is always a darker color. Multiplying any
color with black produces black. Multiplying any color with white leaves the color unchanged. The effect is similar
to drawing on a page with multiple magic markers.
Screen Multiplies the inverse of the blend and base colors. The resulting color is always a lighter color. Screening
with black leaves the color unchanged. Screening with white produces white. The effect is similar to projecting
multiple slide images on top of each other.
Overlay Multiplies or screens the colors, depending on the base color. Patterns or colors overlay the existing artwork,
preserving the highlights and shadows of the base color while mixing in the blend color to reflect the lightness or
darkness of the original color.
Soft Light Darkens or lightens the colors, depending on the blend color. The effect is similar to shining a diffused
spotlight on the artwork.
If the blend color (light source) is lighter than 50% gray, the artwork is lightened, as if it were dodged. If the blend
color is darker than 50% gray, the artwork is darkened, as if it were burned in. Painting with pure black or white
produces a distinctly darker or lighter area, but does not result in pure black or white.
Hard Light Multiplies or screens the colors, depending on the blend color. The effect is similar to shining a harsh
spotlight on the artwork.
If the blend color (light source) is lighter than 50% gray, the artwork is lightened, as if it were screened. This is useful
for adding highlights to artwork. If the blend color is darker than 50% gray, the artwork is darkened, as if it were

INDESIGN CS3
User Guide
402
multiplied. This is useful for adding shadows to artwork. Painting with pure black or white results in pure black or
white.
Color Dodge Brightens the base color to reflect the blend color. Blending with black produces no change.
Color Burn Darkens the base color to reflect the blend color. Blending with white produces no change.
Darken Selects the base or blend color—whichever is darker—as the resulting color. Areas lighter than the blend
color are replaced, and areas darker than the blend color do not change.
Lighten Selects the base or blend color—whichever is lighter—as the resulting color. Areas darker than the blend
color are replaced, and areas lighter than the blend color do not change.
Difference Subtracts either the blend color from the base color or the base color from the blend color, depending on
which has the greater brightness value. Blending with white inverts the base color values; blending with black
produces no change.
Exclusion Creates an effect similar to, but lower in contrast than, the Difference mode. Blending with white inverts
the base color components. Blending with black produces no change.
Hue Creates a color with the luminance and saturation of the base color and the hue of the blend color.
Saturation Creates a color with the luminance and hue of the base color and the saturation of the blend color.
Painting with this mode in an area with no saturation (gray) produces no change.
Color Creates a color with the luminance of the base color and the hue and saturation of the blend color. This
preserves the gray levels in the artwork, and is useful for coloring monochrome artwork and for tinting color
artwork.
Luminosity Creates a color with the hue and saturation of the base color and the luminance of the blend color. This
mode creates an inverse effect from that of the Color mode.
Note: Avoid applying the Difference, Exclusion, Hue, Saturation, Color, and Luminosity blending modes to objects with
spot colors; doing so can add unwanted colors to a document. For more information, see “Best practices when creating
transparency” on page 410.
Isolate blending modes
When you apply a blending mode to an object, its colors blend with all objects beneath it. If you want to limit the
blending to specific objects, you can group those objects and then apply the Isolate Blending option to the group.
The Isolate Blending option confines the blending to within the group, preventing objects beneath the group from
being affected. (It is useful for objects that have a blending mode other than Normal applied to them.)
Group (star and circle) with Isolate Blending option deselected (left) compared to selected (right)

INDESIGN CS3
User Guide
403
It is important to understand that you apply the blending modes to the individual objects, but apply the Isolate
Blending option to the group. The option isolates blending interactions within the group. It doesn’t affect blending
modes applied directly to the group itself.
1Apply the blending modes and opacity settings to the individual objects whose blending you want to isolate.
2Using the Selection tool, select the objects you want to isolate.
3Choose Object > Group.
4In the Effects panel, select Isolate Blending. (If the option is not visible, select Show Options in the Effects panel
menu.)
You can isolate the blending of objects in a PDF file that contains blending modes. First, place the PDF file with the
Transparent Background option selected in the Place PDF dialog box. Then apply the Isolate Blending option.
Knock out objects within a group
You use the Knockout Group option in the Effects panel to make the opacity and blending attributes of every object
in the selected group knock out—that is, visually block out—underlying objects in the group. Only objects within the
selected group are knocked out. Objects beneath the selected group are still affected by the blending or opacity that
you apply to objects within the group.
It is important to understand that you apply the blending modes and opacity to the individual objects, but apply the
Knockout Group option to the group.
Group with Knockout Group option deselected (left) compared to selected (right)
1Apply the blending modes and opacity settings to the individual objects that you want to knock out.
2Using the Selection tool, select the objects that you want to knock out.
3Choose Object > Group.
4In the Effects panel, select Knockout Group. (If the option is not visible, select Show Options in the Effects panel
menu.)
Specify a color space for blending transparent objects
To blend the colors of transparent objects on a spread, InDesign converts the colors of all objects to a common color
space using either the CMYK or RGB color profile for the document. This blending space enables objects of multiple
color spaces to blend when interacting transparently. To avoid color mismatches between different areas of the
objects on-screen and in print, the blending space is applied for screen and in the flattener.
The blending space is applied only to those spreads that contain transparency.
❖Choose Edit > Transparency Blend Space, and then choose one of the document’s color spaces.
Note: For a typical print workflow, choose the Document CMYK color space.

INDESIGN CS3
User Guide
404
See also
“About flattening” on page 404
Flattening transparent artwork
About flattening
If your document or artwork contains transparency, to be output it usually needs to undergo a process called
flattening. Flattening divides transparent artwork into vector-based areas and rasterized areas. As artwork becomes
more complex (mixing images, vectors, type, spot colors, overprinting, and so on), so does the flattening and its
results.
Flattening may be necessary when you print or when you save or export to other formats that don’t support trans-
parency. To retain transparency without flattening when you create PDF files, save your file as Adobe PDF 1.4
(Acrobat 5.0) or later.
You can specify flattening settings and then save and apply them as transparency flattener presets. Transparent
objects are flattened according to the settings in the selected flattener preset.
Note: Transparency flattening cannot be undone after the file is saved.
Overlapping art is divided when flattened.
For more information on transparency output issues, see the Print Service Provider Resources page of the Adobe
Solutions Network (ASN) (English only), available on the Adobe website.
About transparency flattener presets
If you regularly print or export documents that contain transparency, you can automate the flattening process by
saving flattening settings in a transparency flattener preset. You can then apply these settings for print output as well
as for saving and exporting files to PDF 1.3 (Acrobat 4.0) and EPS and PostScript formats. In addition, in Illustrator
you can apply them when saving files to earlier versions of Illustrator or when copying to the clipboard; in InDesign
you can also apply them when exporting to SVG format; in Acrobat, you can also apply them when optimizing PDFs.
These settings also control how flattening occurs when you export to formats that don’t support transparency.

INDESIGN CS3
User Guide
405
You can choose a flattener preset in the Advanced panel of the Print dialog box or of the format-specific dialog box
that appears after the initial Export or Save As dialog box. You can create your own flattener presets or choose from
the default options provided with the software. The settings of each of these defaults are designed to match the
quality and speed of the flattening with an appropriate resolution for rasterized transparent areas, depending on the
document’s intended use:
[High Resolution] is for final press output and for high-quality proofs, such as separations-based color proofs.
[Medium Resolution] is for desktop proofs and print-on-demand documents that will be printed on PostScript color
printers.
[Low Resolution] is for quick proofs that will be printed on black-and-white desktop printers and for documents that
will be published on the web or exported to SVG.
Apply a flattener preset for output
You can choose a flattener preset in the Print dialog box, or in the format-specific dialog box that appears after the
initial Export dialog box.
If you regularly export or print documents that contain transparency, you can automate the flattening process by
saving flattener settings in a transparency flattener preset.Youcanthenapplythesesettingswhenyouprintorexport
to PDF 1.3 (Acrobat 4.0), SVG, or EPS formats.
❖In the Advanced panel of the Print, Export EPS, or Export Adobe PDF dialog box, or in the SVG Options dialog
box, choose a custom preset or one of the following default preset:
[Low Resolution] Use for quick proofs that will be printed on black-and-white desktop printers, and for documents
that will be published on the web or exported to SVG.
[Medium Resolution] Use for desktop proofs and print-on-demand documents that will be printed on Adobe
PostScript color printers.
[High Resolution] Use for final press output, and for high-quality proofs such as separations-based color proofs.
Note: The flattening settings are used only if the artwork contains transparency or if Simulate Overprint is selected in
the Output area of the Export Adobe PDF dialog box.
Create or edit a transparency flattener preset
You can save transparency flattener presets in a separate file, making it easy to back them up or to make them
available to your service providers, clients, or others in your workgroup. In InDesign, transparency flattener preset
files have an .flst extension.
1Choose Edit > Transparency Flattener Presets.
2Do one of the following:
•To create a new preset, click New.
•To base a preset on a predefined preset, select one in the list and click New.
•To edit an existing preset, select the preset and click Edit.
Note: You can’t edit the default flattener presets.
3Set flattening options.
4Click OK to return to the Transparency Flattener Presets dialog box, and click OK again.

INDESIGN CS3
User Guide
406
Export and import a custom transparency flattener preset
You can export and import transparency flattener presets in order to share them with your service providers, your
clients, or others in your workgroup.
1Choose Edit > Transparency Flattener Presets.
2Select a preset in the list.
3Do one of the following:
•To export a preset to a separate file, click Save (InDesign) or Export (Illustrator), specify a name and location, and
then click Save.
Considersavingthepresetoutsideoftheapplication’spreferencesfolder.Thatway,itwon’tbelostifyoudeleteyour
preferences.
•To import presets from a file, click Load (InDesign) or Import (Illustrator). Locate and select the file containing
the preset you want to load, and then click Open.
Rename or delete a custom transparency flattener preset
1Choose Edit > Transparency Flattener Presets.
2Select a preset in the list.
3Do one of the following:
•To rename an existing preset, click Edit, type a new name, and then click OK.
•To delete a preset, click Delete, and then click OK to confirm the deletion.
Note: You cannot delete the default presets.
Flatten an individual spread
You can apply flattener settings to individual spreads in a document, overriding the flattener preset you’ve set for the
entire document or book. This is useful for controlling the flattening quality in documents with a mix of high-
resolution images with lots of transparency and low-resolution images. In this case, you can flatten the complex
spread at a high quality, and use a faster and lower-quality flattener preset on the other spreads.
At print or export time, you can revert to the flattener settings for the document or book.
1Display the spread in the Document window.
2Choose Spread Flattening in the Pages panel menu.
3Choose any of the following, and then click OK:
Default Uses the document flattening preset for this spread.
None (Ignore Transparency) Ignores transparency for the spread. This option is useful for troubleshooting by the
service provider.
Custom Opens the Custom Spread Flattener Settings dialog box for specifying settings.
Ignore the flattener preset on an individual spread
❖Select Ignore Spread Overrides from any of the following locations in InDesign:
•The Flattener Preview panel (Window > Output > Flattener).
•The Advanced area of the Print or Export Adobe PDF dialog box.

INDESIGN CS3
User Guide
407
•The SVG Options dialog box with More Options selected.
Transparency Flattener options
You can set Transparency Flattener options when creating, editing, or previewing flattener presets in Illustrator,
InDesign, or Acrobat.
Highlight (preview) options
None (Color Preview) Disables previewing.
Rasterized Complex Regions Highlights the areas that will be rasterized for performance reasons (as determined by
the Rasters/Vectors slider). Keep in mind that the boundary of the highlight area has a higher probability of
producing stitching problems (depending on the print-driver settings and the rasterization resolution). To minimize
stitching problems, select Clip Complex Regions.
Transparent Objects Highlights the objects that are sources of transparency, such as objects with partial opacity
(including images with alpha channels), objects with blending modes, and objects with opacity masks. In addition,
note that styles and effects may contain transparency, and overprinted objects may be treated as sources of trans-
parency if they are involved in transparency or if the overprint needs to be flattened.
All Affected Objects Highlights all objects that are involved in transparency, including transparent objects and
objects that are overlapped by transparent objects. The highlighted objects will be affected by the flattening process—
their strokes or patterns will be expanded, portions of them may get rasterized, and so on.
Affected Linked EPS Files (Illustrator only) Highlights all linked EPS files that are affected by transparency.
Affected Graphics (InDesign only) Highlights all placed content affected by transparency or transparency effects.
This option is useful for service providers who need to see graphics that require attention to print properly.
Expanded Patterns (Illustrator and Acrobat) Highlights all patterns that will be expanded if involved in trans-
parency.
Outlined Strokes Highlights all strokes that will be outlined if involved in transparency or because Convert All
Strokes To Outlines is selected.
Outlined Text (Illustrator and InDesign) Highlights all text that will be outlined if involved in transparency or
because Convert All Text To Outlines is selected.
Note: In the final output, outlined strokes and text may appear slightly different from native ones, especially very thin
strokes and very small text. However, the Flattener Preview doesn’t highlight this altered appearance.
Raster-Fill Text And Strokes (InDesign only) Highlights text and strokes that have rasterized fills as a result of
flattening.
All Rasterized Regions (Illustrator and InDesign) Highlights objects and intersections of objects that will be
rasterized because there is no other way of representing them in PostScript or because they are more complex than
the threshold specified by the Rasters/Vectors slider. For example, the intersection of two transparent gradients will
always be rasterized, even if the Rasters/Vectors value is 100. The All Rasterized Regions option also shows raster
graphics (such as Photoshop files) involved in transparency, and raster effects such as drop shadows and feathers.
Note that this option takes longer to process than the others.
Transparency Flattener Preset options
Name/Preset Specifies the name of the preset. Depending on the dialog box, you can type a name in the Name text
box or accept the default. You can enter the name of an existing preset to edit that preset. However, you can’t edit the
default presets.

INDESIGN CS3
User Guide
408
Raster/Vector balance Specifies the amount of vector information that will be preserved. Higher settings preserve
more vector objects, while lower settings rasterize more vector objects; intermediate settings preserve simple areas
in vector form and rasterize complex ones. Select the lowest setting to rasterize all the artwork.
Note: The amount of rasterization that occurs depends on the complexity of the page and the types of overlapping objects.
Line Art And Text Resolution Rasterizes all objects, including images, vector artwork, text, and gradients, to the
specified resolution. Acrobat and InDesign allow a maximum of 9600 pixels per inch (ppi) for line art, and 1200 ppi
for gradient mesh. Illustrator allows a maximum of 9600 ppi for both line art and gradient mesh. The resolution
affects the precision of intersections when flattened. Line Art and Text Resolution should generally be set to
600-1200 to provide high-quality rasterization, especially on serif or small point sized type.
Gradient And Mesh Resolution Specifies the resolution for gradients and Illustrator mesh objects rasterized as a
result of flattening, from 72 to 2400 ppi. The resolution affects the precision of intersections when flattened. Gradient
and mesh resolution should generally be set between 150 and 300 ppi, because the quality of the gradients, drop
shadows, and feathers do not improve with higher resolutions, but printing time and file size increase.
Convert All Text To Outlines Converts all type objects (point type, area type, and path type) to outlines and discards
all type glyph information on pages containing transparency. This option ensures that the width of text stays
consistent during flattening. Note that enabling this option will cause small fonts to appear slightly thicker when
viewed in Acrobat or printed on low-resolution desktop printers. It doesn’t affect the quality of the type printed on
high-resolution printers or imagesetters.
Convert All Strokes To Outlines Converts all strokes to simple filled paths on pages containing transparency. This
option ensures that the width of strokes stays consistent during flattening. Note that enabling this option causes thin
strokes to appear slightly thicker and may degrade flattening performance.
Clip Complex Regions Ensuresthattheboundariesbetweenvectorartworkandrasterizedartworkfallalongobject
paths. This option reduces stitching artifacts that result when part of an object is rasterized while another part of the
object remains in vector form. However, selecting this option may result in paths that are too complex for the printer
to handle.
Stitching, where rasters and vectors meet.
Note: Some print drivers process raster and vector art differently, sometimes resulting in color stitching. You may be able
to minimize stitching problems by disabling some print-driver specific color-management settings. These settings vary
with each printer, so see the documentation that came with your printer for details.
(Illustrator only) Select Preserve Alpha Transparency (Flatten Transparency dialog box only) Preserves the overall
opacity of flattened objects. With this option, blending modes and overprints are lost, but their appearance is
retained within the processed artwork, along with the level of alpha transparency (as when you rasterize artwork
using a transparent background). Preserve Alpha Transparency can be useful if you are exporting to SWF or SVG,
since both of these formats support alpha transparency.
(Illustrator only) Select Preserve Spot Colors And Overprints (Flatten Transparency dialog box only) Generally
preserves spot colors. It also preserves overprinting for objects that aren’t involved in transparency. Select this option

INDESIGN CS3
User Guide
409
when printing separations if the document contains spot colors and overprinted objects. Deselect this option when
saving files for use in page-layout applications. With this option selected, overprinted areas that interact with trans-
parency are flattened, while overprinting in other areas is preserved. The results are unpredictable when the file is
output from a page-layout application.
Preserve Overprint (Acrobat only) Blends the color of transparent artwork with the background color to create an
overprint effect.
Preview which areas of artwork will be flattened
Use the preview options in the Flattener Preview to highlight areas that are affected by flattening. You can use this
color-coded information to adjust flattening options.
Note: The Flattener Preview is not intended for precise previewing of spot colors, overprints, and blending modes.
Instead, use Overprint Preview mode for those purposes.
1Display the Flattener Preview panel (or dialog box):
•In Illustrator, choose Window > Flattener Preview.
•In Acrobat, choose Advanced > Print Production > Flattener Preview.
•In InDesign, choose Window > Output > Flattener Preview.
2From the Highlight menu, choose the kind of areas you want to highlight. The availability of options depends on
the content of the artwork.
3Select the flattening settings you want to use: Either choose a preset or, if available, set specific options.
Note: (Illustrator) If the flattening settings aren’t visible, select Show Options from the panel menu to display them.
4If the artwork contains overprinted objects that interact with transparent objects, in Illustrator, select an option
from the Overprints menu. You can preserve, simulate, or discard overprints. In Acrobat, choose Preserve Overprint
to blend the color of transparent artwork with the background color to create an overprint effect.
5At any time, click Refresh to display a fresh preview version based on your settings. Depending on the complexity
oftheartwork,youmayneedtowaitafewsecondsforthepreviewimagetoappear.InInDesign,youcanalsochoose
Auto Refresh Highlight.
In Illustrator and Acrobat, to magnify the preview, click in the preview area. To zoom out, Alt-click/Option-click in
the preview area. To pan the preview, hold down the spacebar and drag in the preview area.
See also
“About flattening” on page 404
Refresh the preview in the Flattener Preview panel
•To automatically update the display whenever it is out of date and idle, select Auto Refresh Highlight.
•To manually update the display, click Refresh.
In both cases, the display is updated in the document window according to the transparency flattening settings you
chose.

INDESIGN CS3
User Guide
410
Best practices when creating transparency
In most cases, flattening produces excellent results when you use an appropriate predefined flattener preset, or create
a preset with settings appropriate for your final output. For a complete reference and troubleshooting guide on how
transparency affects output, see the document “Achieving Reliable Print Output with Transparency” (English only)
on the Adobe website.
However, if your document contains complex, overlapping areas and you require high-resolution output, you can
achieve more reliable print output by following a few basic guidelines:
Important: If you’re applying transparency to documents intended for high-resolution output, be sure to discuss your
plans with your service provider. Good communication between you and your service provider will help you achieve the
results you expect.
Overprinting objects
Although flattened objects may look transparent, they are actually opaque and don’t allow other objects beneath
them to show through. However, if you don’t apply overprint simulation, the transparency flattener may be able to
preserve basic overprinting of objects when exporting to PDF or printing. In this case, recipients of the resulting PDF
file should select Overprint Preview in Acrobat 5.0 or later to accurately view the results of overprinting.
Conversely, if you apply overprint simulation, the transparency flattener provides a simulation of what the overprints
look like, and this simulation results in all opaque objects. In PDF output, this simulation converts spot colors to
process color equivalents. Therefore, Simulate Overprint should not be selected for output that will be color
separated later.
Spot colors and blending modes
Using spot colors with certain blending modes sometimes produces unexpected results. This is because InDesign
uses process color equivalents on-screen, but uses spot colors in print. In addition, isolated blending in an imported
graphic could create knockouts in the active document.
If you use blending, check your design periodically using Overprint Preview in the View menu. Overprint Preview
gives an approximation of how spot inks that overprint or interact with transparent objects will appear. If the visual
effect is not what you want, do any of the following:
•Use a different blending mode or no blending mode. Avoid these blending modes when working with spot colors:
Difference, Exclusion, Hue, Saturation, Color, and Luminosity.
•Use a process color where possible.
Blend space
If you apply transparency to objects on a spread, all colors on that spread convert to the transparency blend space
you’ve chosen (Edit > Transparency Blend Space), either Document RGB or Document CMYK, even if they’re not
involved with transparency. Converting all the colors results in consistency across any two same-colored objects on
a spread, and avoids more dramatic color behavior at the edges of transparency. Colors are converted “on the fly” as
you draw objects. Colors in placed graphics that interact with transparency are also converted to the blend space.
This affects how the colors appear on-screen and in print, but not how the colors are defined in the document.
Depending on your workflow, do one of the following:
•If you create documents for print only, choose Document CMYK for the blend space.
•If you create documents for web only, choose Document RGB.
•Ifyoucreatedocumentsforbothprintandweb,decidewhichismostimportant,andthenchoosetheblendspace
that matches the final output.

INDESIGN CS3
User Guide
411
•If you create a high-resolution print piece that you’ll also publish as a high-profile PDF document on a website,
you may need to switch the blending space back and forth before final output. In this case, be sure to reproof the
color on every spread that has transparency, and avoid using the Difference and Exclusion blend modes—these
modes can change the appearance dramatically.
Type
When type is close to transparent objects, it may interact with transparent objects in unexpected ways. For example,
typethatwrapsaroundatransparentobjectmaynotactuallyoverlaptheobject,buttheglyphsmaybecloseenough
to interact with the transparency. In this case, the flattener may convert the glyphs to outlines, resulting in thickened
stroke widths on the glyphs only.
If this happens, do either of the following:
•Move the text to the top of the stacking order. Use the Selection tool to select the text frame, and then choose
Object > Arrange > Bring to Front.
•Expand all text to outlines for a consistent effect throughout the document. To expand all text to outlines, select
Convert All Text To Outlines in the Transparency Flattener Preset Options dialog box. Selecting this option may
affect processing speed.
Image replacement
Theflattenerrequireshigh-resolutiondatatoaccuratelyprocessadocumentwithtransparency.However,inanOPI
proxy workflow, placeholder or proxy images are used, for later replacement with high-resolution versions by an OPI
server. If the flattener doesn’t have access to the high-resolution data, then no OPI comments are produced and only
the low-resolution proxy images are output, resulting in low-resolution images at final output.
If you work in an OPI workflow, consider using InDesign to substitute images before saving the document as
PostScript. To do this, you must specify settings both when you place the EPS graphic and when you output it. When
you place the EPS graphic, select Read Embedded OPI Image Links in the EPS Import Options dialog box. When
you output, select OPI Image Replacement in the Advanced area of either the Print or Export EPS dialog box.
Color conversions
If a transparent object overlaps a spot color object, undesirable results may occur when you export to EPS format,
andthenconvertspotcolorstoprocesscolorsuponprintingorcreatecolorseparationsinanapplicationotherthan
InDesign.
To prevent problems in these cases, use the Ink Manager to convert spot colors to process color equivalents as
necessary prior to exporting from InDesign. Another way to prevent problems is to make sure that your spot inks
are consistent in both the original application (for example, Adobe Illustrator) and InDesign. This may mean that
you’ll need to open an Illustrator document, convert a spot color to process color, export it again to EPS, and then
place the EPS file in your InDesign layout.
Adobe PDF files
Exporting to Acrobat 4.0 (Adobe PDF 1.3) always flattens a document with transparency, which may affect the
appearance of its transparent objects. Nontransparent content is not flattened unless Simulate Overprint is selected
in the Output area of the Export Adobe PDF dialog box. Therefore, when you export an InDesign document with
transparency to Adobe PDF, do any of the following:
•Whenever possible, choose Acrobat 5.0 (Adobe PDF 1.4), Acrobat 6.0 (Adobe PDF 1.5), or Acrobat 7.0
(Adobe PDF 1.6) compatibility in the Export Adobe PDF dialog box to preserve transparency in a live and fully
editable form. Make sure that your service provider can handle Acrobat 5.0, Acrobat 6.0, or Acrobat 7.0 files.

INDESIGN CS3
User Guide
412
•If you must use Acrobat 4.0 compatibility, your document contains spot colors, and you want to create a PDF file
for on-screen viewing (such as a client review), you may want to select the Simulate Overprint option in the
Output area of the Export Adobe PDF dialog box. This option properly simulates the spot and transparent areas;
recipients of the PDF file won’t have to select Overprint Preview in Acrobat to see how the document will look
when printed. However, the Simulate Overprint option converts all spot colors to process color equivalents in the
resulting PDF file, so be sure to deselect this option when you create the PDF for final production.
•Consider using the predefined [Press Quality] Adobe PDF preset. This preset contains flattener settings appro-
priate for complex documents intended for high-resolution output.
Trapping
Flattening may convert vectors to rasterized areas. Traps applied to artwork in Adobe Illustrator using strokes and
placed in InDesign will be preserved. Traps applied to vector artwork drawn in InDesign and then rasterized may
not be preserved.
To keep as many objects vector as possible, select the [High Resolution] transparency flattener preset in the
Advanced area of the Print or Export Adobe PDF dialog box.
See also
“About transparency flattener presets” on page 404
“Options for omitting graphics” on page 557
“Ink Manager overview” on page 583

413
Chapter 15: Color
Applying colors and gradients to paths, frames, and type is a common publishing task, whether you’re publishing in
print or exporting to the web. When applying color, keep in mind the final medium in which the artwork will be
published so that you can apply color using the most appropriate color mode.
Understanding spot and process colors
About spot and process colors
You can designate colors as either spot or process color types, which correspond to the two main ink types used in
commercial printing. In the Swatches panel, you can identify the color type of a color using icons that appear next
to the name of the color.
When applying color to paths and frames, keep in mind the final medium in which the artwork will be published,
so that you apply color using the most appropriate color mode.
If your color workflow involves transferring documents among devices, you may want to use a color-management
system (CMS) to help maintain and regulate colors throughout the process.
About spot colors
Aspot color is a special premixed ink that is used instead of, or in addition to, CMYK process inks, and that requires
its own printing plate on a printing press. Use spot color when few colors are specified and color accuracy is critical.
Spot color inks can accurately reproduce colors that are outside the gamut of process colors. However, the exact
appearanceoftheprintedspotcolorisdeterminedbythecombinationoftheinkasmixedbythecommercialprinter
andthepaperit’sprintedon,notbycolorvaluesyouspecifyorbycolormanagement.Whenyouspecifyspotcolor
values, you’re describing the simulated appearance of the color for your monitor and composite printer only (subject
to the gamut limitations of those devices).
Keep the following guidelines in mind when specifying a spot color:
•For best results in printed documents, specify a spot color from a color-matching system supported by your
commercial printer. Several color-matching system libraries are included with the software.
•Minimize the number of spot colors you use. Each spot color you create will generate an additional spot color
printing plate for a printing press, increasing your printing costs. If you think you might require more than four
colors, consider printing your document using process colors.
•If an object contains spot colors and overlaps another object containing transparency, undesirable results may
occur when exporting to EPS format, when converting spot colors to process colors using the Print dialog box,
or when creating color separations in an application other than Illustrator or InDesign. For best results, use the
Flattener Preview or the Separations Preview to soft proof the effects of flattening transparency before printing.
In addition, you can convert the spot colors to process colors by using the Ink Manager in InDesign before printing
or exporting.
•You can use a spot color printing plate to apply a varnish over areas of a process color job. In this case, your print
job would use a total of five inks—four process inks and one spot varnish.

INDESIGN CS3
User Guide
414
About process colors
Aprocess color is printed using a combination of the four standard process inks: cyan, magenta, yellow, and black
(CMYK). Use process colors when a job requires so many colors that using individual spot inks would be expensive
or impractical, as when printing color photographs.
Keep the following guidelines in mind when specifying a process color:
•For best results in a high-quality printed document, specify process colors using CMYK values printed in process
color reference charts, such as those available from a commercial printer.
•The final color values of a process color are its values in CMYK, so if you specify a process color using RGB (or
LAB, in InDesign), those color values will be converted to CMYK when you print color separations. These conver-
sions differ based on your color-management settings and document profile.
•Don’t specify a process color based on how it looks on your monitor, unless you are sure you have set up a color-
management system properly, and you understand its limitations for previewing color.
•Avoid using process colors in documents intended for online viewing only, because CMYK has a smaller color
gamut than that of a typical monitor.
•Illustrator and InDesign let you specify a process color as either global or non-global. In Illustrator, global process
colors remain linked to a swatch in the Swatches panel, so that if you modify the swatch of a global process color,
all objects using that color are updated. Non-global process colors do not automatically update throughout the
document when the color is edited. Process colors are non-global by default. In InDesign, when you apply a swatch
to objects, the swatch is automatically applied as a global process color. Non-global swatches are unnamed colors,
which you can edit in the Color panel.
Note: Global and non-global process colors only affect how a particular color is applied to objects, never how colors
separate or behave when you move them between applications.
Using spot and process colors together
Sometimes it’s practical to use process and spot inks in the same job. For example, you might use one spot ink to
print the exact color of a company logo on the same pages of an annual report where photographs are reproduced
using process color. You can also use a spot color printing plate to apply a varnish over areas of a process color job.
In both cases, your print job would use a total of five inks—four process inks and one spot ink or varnish.
In InDesign, you can mix process and spot colors together to create mixed ink colors.
Comparing colors in InDesign and Illustrator
Adobe InDesign and Adobe Illustrator use slightly different methods for applying named colors. Illustrator lets you
specify a named color as either global or nonglobal, and InDesign treats all unnamed colors as nonglobal, process
colors.
The InDesign equivalents to global colors are swatches. Swatches make it easier to modify color schemes without
having to locate and adjust each individual object. This is especially useful in standardized, production-driven
documents like magazines. Because InDesign colors are linked to swatches in the Swatches panel, any change to a
swatch affects all objects to which a color is applied.
The InDesign equivalents to nonglobal swatches are unnamed colors. Unnamed colors do not appear in the Swatches
panel, and they do not automatically update throughout the document when the color is edited in the Color panel.
You can, however, add an unnamed color to the Swatches panel later.

INDESIGN CS3
User Guide
415
Namedandunnamedcolorsonlyaffecthowaparticularcolorupdatesinyourdocument,neverhowcolorsseparate
or behave when you move them between applications.
Applying color
Apply color
Adobe InDesign CS3 provides a number of tools for applying color, including the Toolbox, the Swatches panel, the
Color panel, and the Color Picker.
1Select the object you want to color by doing one of the following:
•For a path or frame, use the Selection tool or the Direct Selection tool , as necessary.
•For a grayscale or monochrome (1-bit) image, use the Direct Selection tool. You can only apply two colors to a
grayscale or monochrome image.
•For text characters, use the Type tool to change the text color of a single word or the entire text within a frame.
To change the color of gaps in a dashed, dotted, or striped stroke, use the Stroke panel.
2In the Toolbox or in the Color or Swatches panels, select the Formatting Affects Text or Formatting Affects
Container to determine whether color is applied to the text or the text frame.
3In the Toolbox or in the Color or Swatches panels, select the Fill box or the Stroke box to specify the fill or stroke
of the object. (If you selected an image, the Stroke box has no effect.)
Fill and stroke area of the Toolbox
A. Fill box B. Stroke box
4Do one of the following:
•Select a color, tint, or gradient using the Swatches or Gradient panels.
•Double-click either the Fill or Stroke box in the Toolbox or the Color panel to open the Color Picker. Select the
desired color, and click OK.
You can apply color to any grayscale image, provided it does not contain alpha or spot channels. If you imported an
imagewithaclippingpath,selecttheclippingpathusingtheDirectSelectiontooltoapplycolortotheclippedareaonly.
Select a color with the Color Picker
The Color Picker lets you choose colors from a color spectrum or specify colors numerically. You can define colors
using the RGB, Lab, or CMYK color model.
1Double-click either the Fill or Stroke box in the Toolbox or the Color panel to open the Color Picker.
2To change the color spectrum displayed in the Color Picker, click a letter: R (Red), G (Green), or B (Blue); or L
(luminance), a (green-red axis), or b (blue-yellow axis).
B
A

INDESIGN CS3
User Guide
416
Color Picker
A. Previous color B. Current color C. Color spectrum D. Color slider triangles E. Color slider
3To define a color, do any of the following:
•Click or drag inside the color spectrum. Cross-hairs indicate the color’s position in the spectrum.
•Drag the triangles along the color slider or click inside the color slider.
•Enter values in any of the text boxes.
4To save the color as a swatch, click Add CMYK Swatch, Add RGB Swatch, or Add Lab Swatch. InDesign adds the
color to the Swatches panel, using the color values as its name.
5Click OK.
Apply the last used color
The Toolbox displays the last color or gradient you applied. You can apply this color or gradient directly from the
Toolbox.
1Select the object or text you want to color.
2In the Toolbox, click the Fill button or Stroke button depending on which portion of the text or object you want
to color.
3In the Toolbox, do one of the following:
•Click the Color button to apply the last selected solid color in the Swatches or Color panel.
•Click the Gradient button to apply the last selected gradient in the Swatches or Gradient panel.
•Click the None button to remove the object’s fill or stroke.
Remove fill or stroke color
1Select the text or object whose color you want to remove.
2In the Toolbox, click the Fill button or Stroke button depending on which portion of the text or object you want
to change.
CD E
A B

INDESIGN CS3
User Guide
417
3Click the None button to remove the object’s fill or stroke.
Applying colors by dragging and dropping
An easy way to apply colors or gradients is to drag them from a color source to an object or panel. Dragging and
dropping lets you apply colors or gradients to objects without first selecting the objects. You can drag the following:
•The Fill or Stroke box in the Toolbox or a panel.
•The Gradient box in the Gradient panel.
•Swatches from the Swatches panel.
•The last-used, in-gamut color swatch located next to the out-of-gamut icon in a panel.
You can drop colors or gradients on the following objects and panels:
•The fill or stroke of a path. To drop color on a fill or stroke, position the center of the drag icon precisely over the
path’s fill or stroke while you drag a color, and then release the mouse button.
•The Swatches panel.
If you drag one or more Swatches panel swatches, or the color swatch next to an out-of-gamut icon, you can drop
them into another InDesign document window, which adds the swatches to that document’s Swatches panel.
Apply a color or gradient swatch
1Using the Selection tool , select a text or object frame; or using the Text tool , select a range of text.
2If the Swatches panel is not open, choose Window > Swatches.
3In the Swatches panel, select the Fill box or the Stroke box.
4Do one of the following:
•To apply color to selected text, click the Text button .
•To apply color to a selected object or text container (such as a frame or a table), click the Object button .
5Click a color or gradient swatch. The selected color or gradient is applied to any selected text or object, and it
appears in the Color panel and in the Fill box or Stroke box in the Toolbox.
You can set the default fill or stroke colors the same way you set other InDesign defaults. Choose Edit > Deselect All
to make sure that no objects are selected, and then choose a color.
Apply color using the Color panel
Although the Swatches panel is the recommended panel for working with colors, you can also mix colors by using
the Color panel; you may be familiar with it if you use other Adobe products, such as Adobe Illustrator.
You can add the current Color panel color to the Swatches panel at any time. The Color panel is most useful for
mixing unnamed colors.
Note: If you select an object that currently uses a named swatch, editing its color using the Color panel will change the
color of that object only. If you want to edit the color throughout the document, double-click its swatch in the Swatches
panel.
Edit the fill or stroke color
1Select the object or text you want to change.
2If the Color panel is not displayed, choose Window > Color.

INDESIGN CS3
User Guide
418
3Select the Fill box or the Stroke box in the Color panel.
Color panel
A. Fill box B. Stroke box
4If you selected a text frame, select the Container box or Text box to change the color of either the fill or
text within the frame.
5Do one of the following:
•Adjust the Tint slider, which appears by default if the object uses a swatch from the Swatches panel.
•Choose a Lab, CMYK, or RGB color model in the Color panel menu, and use the sliders to change the color values.
You can also enter numeric values in the text boxes next to the color sliders.
•Position the pointer over the color bar, and click.
•Double-click the Fill or Stroke box, and select a color from the Color Picker. Then click OK.
6If an out-of-gamut alert icon appears, and you want to use the CMYK color values closest to the color you
originally specified, click the small color box next to the alert icon.
Create a swatch from a color in the Color panel
1In the Color panel, make sure that the active Fill or Stroke box displays the color you want to add.
2Choose Add To Swatches in the panel menu.
Cycle through color modes
❖Do one of the following:
•In the Color panel, Shift-click the color bar at the bottom of the panel.
•In the New Color Swatch or Swatch Options dialog box, Shift-click the color box.
•In the New Gradient or Gradient Options dialog box, select a gradient stop, make sure that RGB, LAB, or CMYK
is selected in the Stop Color menu, and then Shift-click the color box.
Apply colors using the Eyedropper tool
Use the Eyedropper tool to copy fill and stroke attributes, such as color, from any object in an InDesign file,
including an imported graphic. By default, the Eyedropper tool loads all available fill and stroke attributes of an
object and sets the default fill and stroke attributes of any new objects you draw. You can use the Eyedropper Options
dialog box to change the attributes the Eyedropper tool copies. You can also use the Eyedropper tool to copy type
and transparency attributes.
Note: If an attribute is not listed in the Eyedropper Options dialog box, it can’t be copied with the Eyedropper tool.
Apply colors using the Eyedropper tool
1Select one or more objects that have the fill and stroke attributes you want to change.
2Select the Eyedropper tool .
A
B

INDESIGN CS3
User Guide
419
3Click any object that has the fill and stroke attributes you want to sample. A loaded eyedropper appears , and
the selected objects are automatically updated with the fill and stroke attributes of the object you clicked.
4To change other objects to the same attributes, click the objects with the loaded eyedropper. If an object is stroked
and not filled, be sure to click the object’s outline.
Pick up new attributes when the Eyedropper tool is loaded
1Press Alt (Windows) or Option (Mac OS) while the Eyedropper tool is loaded. The Eyedropper tool reverses
direction, and appears empty , to indicate that it’s ready to pick up new attributes.
2Without releasing the Alt or Option key, click an object containing the attributes that you want to copy, and then
release the Alt or Option key so that you can drop the new attributes on another object.
Change Eyedropper tool settings
1In the Toolbox, double-click the Eyedropper tool .
2Choose Fill And Stroke Settings from the menu at the top of the Eyedropper Options dialog box.
3Select the fill and stroke attributes you want to copy with the Eyedropper tool, and then click OK.
To pick up only the fill or stroke color of an object and no other attributes, Shift-click the object with the Eyedropper
tool. When you apply the color to another object, only the fill or stroke color is applied, depending on whether the
stroke or fill is on top in the toolbar.
Working with swatches
Swatches panel overview
The Swatches panel (Window > Swatches) lets you create and name colors, gradients, or tints, and quickly apply
them to your document. Swatches are similar to paragraph and character styles; any change you make to a swatch
affects all objects to which the swatch is applied. Swatches make it easier to modify color schemes without having to
locate and adjust each individual object.
When the fill or stroke of selected text or an object contains a color or gradient applied from the Swatches panel, the
applied swatch is highlighted in the Swatches panel. Swatches you create are associated only with the current
document. Each document can have a different set of swatches stored in its Swatches panel.
When working with a prepress service provider, swatches let you clearly identify spot colors.
Six CMYK-defined colors appear in the default Swatches panel: cyan, magenta, yellow, red, green, and blue.
Note: When you print a book whose chapters contain conflicting swatches, you can instruct InDesign to synchronize
settings with the master document. (See “Synchronize book documents” on page 275.)
See also
“Understanding spot and process colors” on page 413
“Import swatches” on page 424
“Mixing inks” on page 433
“Create and edit tints” on page 427

INDESIGN CS3
User Guide
420
Swatch types
The Swatches panel stores the following types of swatches:
Colors Icons on the Swatches panel identify the spot and process color types, and LAB , RGB ,
CMYK , and Mixed Ink color modes.
Tints A percentage value next to a swatch in the Swatches panel indicates a tint of a spot or process color.
Gradients An icon on the Swatches panel indicates whether a gradient is radial or linear .
None The None swatch removes the stroke or fill from an object. You can’t edit or remove this swatch.
Paper Paper is a built-in swatch that simulates the paper color on which you’re printing. Objects behind a paper-
colored object won’t print where the paper-colored object overlaps them. Instead, the color of the paper on which
you print shows through. You can edit the Paper color to match your paper stock by double-clicking it in the
Swatches panel. Use the Paper color for previewing only—it will not be printed on a composite printer or in color
separations. You can’t remove this swatch. Do not apply the Paper swatch to remove color from an object. Use the
None swatch instead.
Note: If the Paper color is not working as described, and you are printing to a non-PostScript printer, try switching your
printer driver to Raster Graphics mode.
Black Black is a built-in, 100% process color black defined using the CMYK color model. You can’t edit or remove
this swatch. By default, all occurrences of Black overprint (print on top of) underlying inks, including text characters
at any size. You can disable this behavior.
Registration Registration is a built-in swatch that causes objects to print on every separation from a PostScript
printer. For example, registration marks use the Registration color, so that printing plates can be aligned precisely on
a press. You cannot edit or remove this swatch.
You can also add colors from any color library to the Swatches panel so that they are saved with your document.
Create color swatches
Swatches can include spot or process colors, mixed inks (process colors mixed with one or more spot colors), RGB
or Lab colors, gradients, or tints.
When you place an image that contains spot colors, the colors are automatically added as swatches to the Swatches
panel. You can apply these swatches to objects in your document, but you cannot redefine or delete the swatches.
The selected color or gradient appears in the Swatches panel and in the Fill box or Stroke box in the Toolbox, and is
applied to the fill or stroke of all selected objects.
See also
“Using colors from imported graphics” on page 435
Create a new color swatch
1Choose New Color Swatch in the Swatches panel menu.
2For Color Type, choose the method you’ll use to print document colors on a printing press.
3For Swatch Name, do one of the following:
•If you chose Process as the color type and you want the name always to describe the color values, make sure that
Name With Color Value is selected.

INDESIGN CS3
User Guide
421
•IfyouchoseProcessasthecolortypeandyouwanttonamethecoloryourself,makesurethatNameWithColor
Value is deselected, and type a Swatch Name.
•If you chose Spot, type a Swatch Name.
4ForColorMode,choosethemodeyouwanttouseindefiningthecolor.Avoidchangingthemodeafteryoudefine
a color.
5Do one of the following:
•Drag the sliders to change the color values. You can also enter numeric values in the text boxes next to the color
sliders.
•For spot colors, choose from color libraries in the Color Mode menu.
6If an out-of-gamut alert icon appears, and you want to use the in-gamut color closest to the color you origi-
nally specified, click the small color box next to the alert icon.
7Do one of the following:
•Click Add to add the swatch and define another one. Click Done when finished.
•Click OK to add the swatch and exit the dialog box.
To directly define a spot color using the New Swatch button in the Swatches panel, make sure that no swatches are
selected, and then hold down Alt+Ctrl (Windows) or Option+Command (Mac OS) as you click the New Swatch
button .
Create a swatch based on the color of an object
1Select the object.
2In the Toolbox or Swatches panel, select the Fill box or the Stroke box.
3In the Swatches panel, do one of the following:
•Click the New Swatch button and double-click the resulting new swatch.
•Choose New Color Swatch in the Swatches panel menu.
Add unnamed colors to the Swatches panel
While you can create colors using the Color panel or Color Picker, unnamed colors are more difficult to edit later
andtouseconsistently.UsetheAddUnnamedColorsoptiontosearchforunnamedcolorsappliedtoobjectswithin
the document, and then add them to the Swatches panel. Colors are automatically named according to their CMYK,
RGB, or Lab components.
❖In the Swatches panel, choose Add Unnamed Colors.
Edit the default colors in the Swatches panel
You can change the swatches that appear by default in new documents.
1Close all open documents.
2Edit the swatches you want to change in the Swatches panel.

INDESIGN CS3
User Guide
422
Duplicate a swatch
Duplicating swatches can be useful when you want to create a warmer or cooler variation of an existing color. Note
that duplicating a spot color will result in an additional spot color printing plate.
❖Do one of the following:
•Select a swatch, and choose Duplicate Swatch in the Swatches panel menu.
•Select a swatch, and click the New Swatch button at the bottom of the panel.
•Drag a swatch to the New Swatch button on the bottom of the panel.
Edit a swatch
You can change individual attributes of a swatch by using the Swatch Options dialog box. Additional options are
available when editing mixed ink swatches and mixed ink groups.
1In the Swatches panel, select a swatch, and do one of the following:
•Double-click the swatch.
•Choose Swatch Options in the Swatches panel menu.
2Adjust settings as desired, and click OK.
See also
“Mixing inks” on page 433
Control swatch names
By default, the name of a process color swatch is derived from the values of the color’s components. For example, if
you create a red process color using 10% cyan, 75% magenta, 100% yellow, and 0% black, its swatch will be named
C=10 M=75 Y=100 K=0 by default. This makes it easier to identify the composition of process colors.
By default, the name of a process color swatch automatically updates when you change its CMYK values; you can
switch this option off or on for individual swatches as needed. As with any swatch you define, you can change the
name of a process color swatch at any time.
1Double-click a process color in the Swatches panel.
2Do one of the following, and click OK:
•To let InDesign rename the swatch when you adjust its CMYK percentages, make sure that the Name With Color
Value option is selected.
•To rename a swatch when you adjust its CMYK values, make sure that the Name With Color Value option is
deselected.
Note: The new swatch is automatically renamed New Color Swatch (this has a number following it if more than one New
Color Swatch exists) when this option is deselected. You can change this name manually.
See also
“Edit a swatch” on page 422

INDESIGN CS3
User Guide
423
Customize swatch display
You can control the size of swatches and whether the name displays with the swatch.
1In the Swatches panel menu, choose one of the following:
•Name displays a small swatch next to the name of the swatch. The icons to the right of the name show the color
model (CMYK, RGB, and so on), and whether the color is a spot color, process color, registration color, or none.
•Small Name displays compacted swatch panel rows.
•Small Swatch or Large Swatch displays only the swatch. A triangle with a dot in the corner of the swatch indicates
that the color is a spot color. A triangle without a dot indicates a process color.
2To set what type of swatches display, click one of the following buttons at the bottom of the Swatches panel:
•Show All Swatches displays all color, tint, and gradient swatches.
•Show Color Swatches displays only process color, spot color, mixed ink color, and tint swatches.
•Show Gradient Swatches displays only gradient swatches.
Note: The None swatch is always displayed regardless of which button you click.
Delete swatches
When you delete a swatch that has been applied to an object in the document, InDesign prompts you for a
replacement swatch. You can designate an existing or unnamed swatch. If you delete a swatch used as the basis of a
tint or mixed ink, you will be prompted to choose a replacement.
Delete individual swatches
1Select one or more swatches.
2Do one of the following:
•Choose Delete Swatch in the Swatches panel menu.
•Click the Delete icon at the bottom of the Swatches panel.
Note: You cannot delete spot colors that are used by placed graphics in the document. To delete these colors, you must
first delete the graphic.
3InDesign asks you how to replace the swatch you’re deleting. Do one of the following, and click OK:
•To replace all instances of the swatch with another swatch, click Defined Swatch, and choose a swatch in the menu.
•To replace all instances of the swatch with an equivalent unnamed color, click Unnamed Swatch.
Delete all unused swatches
1Choose Select All Unused in the Swatches panel menu. Only swatches that are not currently used in the active file
will be selected.
2Click the Delete icon.
Save swatches for use in other documents
To use your color swatches in other files or to share them with other designers, you can save swatches in an Adobe
Swatch Exchange (.ase) file. InDesign, as well as Illustrator and Adobe Photoshop, can import swatches from a
Colorbook file.
1In the Swatches panel, select the swatches you want to save.

INDESIGN CS3
User Guide
424
2Choose Save Swatches For Exchange in the Swatches panel menu.
3Specify a name and location for the file, and click Save.
See also
“Import swatches” on page 424
Share swatches between applications
You can share the solid swatches you create in Photoshop, Illustrator, and InDesign by saving a swatch library for
exchange. The colors appear exactly the same across applications as long as your color settings are synchronized.
1In the Swatches panel, create the process and spot color swatches you want to share, and remove any swatches you
don’t want to share.
Note: You cannot share the following types of swatches between applications: patterns, gradients, and the Registration
swatch from Illustrator or InDesign; and book color references, HSB, XYZ, duotone, monitorRGB, opacity, total ink, and
webRGB swatches from Photoshop. These types of swatches are automatically excluded when you save swatches for
exchange.
2Select Save Swatches For Exchange from the Swatches panel menu, and save the swatch libraries in an easily acces-
sible location.
3Load the swatch library into the Swatches panel for Photoshop, Illustrator, or InDesign.
Importing swatches
Import swatches
You can import colors and gradients from other documents, adding either all or some of the swatches to the Swatches
panel. You can load swatches from InDesign files (.indd), InDesign templates (.indt), Illustrator files (.ai or .eps), and
Adobe Swatch Exchange files (.ase) created by InDesign, Illustrator, or Photoshop. Adobe Swatch Exchange files
contain swatches saved in the Adobe Swatch Exchange format.
InDesign also includes color libraries from other color systems, such as the PANTONE Process Color System®.
Note: Spot colors used by imported EPS, PDF, TIFF, and Adobe Photoshop (PSD) files are also added to the Swatches
panel.
Import selected swatches from a file
1Choose New Color Swatch from the Swatches panel menu.
2Choose Other Library from the Color Mode list, and then select the file from which you want to import swatches.
3Click Open (Windows) or Choose (Mac OS).
4Select the swatches you want import.
5Click OK.
Import all swatches from a file
1From the Swatches panel menu, choose Load Swatches.
2Double-click an InDesign document.

INDESIGN CS3
User Guide
425
Copy swatches between InDesign documents
You can copy or drag a swatch (or objects with a swatch applied) from one document to another. When you do so,
the swatch is added to the destination document’s Swatches panel. If you want to copy the swatch’s tints and gradients
as well, you need to copy the original object, not just the swatch.
❖Do one of the following:
•Copy an object into the current document using drag-and-drop or copy-and-paste.
•Select the swatches you want to copy and drag them from the Swatches panel to the document window of another
InDesign document.
Note: If you drag a swatch that has an identical name as an existing swatch (including capitalization) but has different
color values, InDesign renames the swatch “[original swatch name] 2.”
Load swatches from predefined custom color libraries
You can select from a range of color libraries—including the PANTONE Process Color System, Toyo™ Ink Electronic
Color Finder™ 1050, the Focoltone® color system, the Trumatch™ color swatch system, the DIC Process Color Note,
andlibrariescreatedespeciallyforwebuse.Beforeusingswatchesfromacolormatchingsystem,consultwithyour
prepress service providers to determine which ones they support.
1Choose New Color Swatch from the Swatches panel menu.
2Do one of the following:
•Choose the library file from the Color Mode list.
•Choose Other Library from the Color Mode list, locate the library file, and then click Open (Windows) or Choose
(Mac OS).
3Select one or more swatches from the library, and click Add. (To exit the dialog box without adding swatches,
click OK.)
4When you are done adding swatches, click Done.
Color libraries installed with InDesign
InDesign installs color libraries for the color matching systems described below. You can install additional color
libraries and load swatches from them in InDesign.
DIC Color Provides 1280 CMYK spot colors from the DIC Process Color Note. Colors may be matched against the
DIC Color Guide, published by Dainippon Ink & Chemicals, Inc. For more information, contact Dainippon Ink &
Chemicals, Inc., in Tokyo, Japan.
Focoltone Consists of 763 CMYK colors. You can use Focoltone colors to help avoid prepress trapping and regis-
tration problems by viewing the Focoltone charts that show the overprints that make up the colors.
A swatch book with specifications for process and spot colors, overprint charts, and a chip book for marking up
layouts are available from Focoltone. For more information, contact Focoltone International, Ltd., in Stafford, United
Kingdom.
HKS Use when your job specifies colors from the HKS color system, which is used in Europe.
PANTONE® PANTONE® Colors are the worldwide standards for spot color reproduction. In 2000, a major revision
was made to the PANTONE MATCHING SYSTEM® Color guides. 147 new solid colors and seven additional
metallic colors have been added to the System to now include a total of 1,114 colors. PANTONE Color guides and

INDESIGN CS3
User Guide
426
chip books are now printed on coated, uncoated, and matte paper stocks to ensure accurate visualization of the
printed result and better on-press control.
You can print a solid PANTONE Color in CMYK. To compare a solid PANTONE Color to its closest process color
match, use the PANTONE solid to process guide. The CMYK screen tint percentages are printed under each color.
The guide is now printed on a brighter coated stock and includes comparisons of the 147 new solid colors to CMYK.
PANTONE process guides let you choose from over 3,000 process combinations now printed on coated and
uncoated stocks. Displayed in chromatic order in fan-guide format, it's easy to select colors and specify CMYK
screen values.
For more information, contact Pantone, Inc., in Carlstadt, New Jersey, U.S.A.
System (Windows) Includes 256 colors of the Windows default 8-bit panel, which is based on a uniform sampling of
RGB colors.
System (Mac OS) Includes 256 colors of the Mac OS default 8-bit panel, which is based on a uniform sampling of
RGB colors.
Toyo Color Finder 1050 Consists of more than 1,000 colors based on the most common printing inks used in Japan.
The TOYO Color Finder 1050 Book containsprintedsamplesofToyocolorsandisavailablefromprintersandgraphic
arts supply stores. For more information, contact Toyo Ink Manufacturing Co., Ltd., in Tokyo, Japan.
Trumatch Provides predictable CMYK color matching with over 2000 achievable, computer-generated colors.
Trumatch colors cover the visible spectrum of the CMYK gamut in even steps. The Trumatch Color Finder displays
up to 40 tints and shades of each hue, each originally created in four-color process and each reproducible in four
colors on electronic imagesetters. In addition, four-color grays using different hues are included. For more infor-
mation, contact Trumatch Inc., in New York, New York, U.S.A.
Web Includes the 216 RGB web-safe colors most often used by web browsers to display 8-bit images. This library
helps you create artwork for the web using colors that display consistently across Windows and Macintosh systems.
Tints
About tints
Atint is a screened (lighter) version of a color. Tinting is an economical way to make additional spot color variations
without having to pay for additional spot color inks. Tinting is also a quick way to create lighter versions of process
colors, although it doesn’t reduce the cost of printing process colors. As with non-tinted colors, it’s best to name and
store tints in the Swatches panel so that you can easily edit all instances of that tint in your document.
Spot color and tints

INDESIGN CS3
User Guide
427
A tint of a spot color is printed on the same printing plate as the spot color. A tint of a process color multiplies each
of the CMYK process inks by the tint percentage; for example, an 80% tint of C10 M20 Y40 K10 results in C8 M16
Y32 K8.
Because colors and tints update together, if you edit a swatch, all objects that use a tint of that swatch update accord-
ingly. You can also edit the base swatch of a named tint using the Swatch Options command in the Swatches panel
menu; this updates any other tints based on the same swatch.
The tint range in Adobe Creative Suite 3 is 0% to 100%; the lower the number, the lighter the tint.
Create and edit tints
You can adjust the tint of an individual object, or create tints by using the Tint slider in the Swatches panel or Color
panel. The tint range is from 0% to 100%; the lower the number, the lighter the tint will be.
Because colors and tints update together, if you edit a swatch, all objects that use a tint of that swatch update accord-
ingly. You can also edit the base swatch of a named tint using the Swatch Options command in the Swatches panel
menu; this updates any other tints based on the same swatch.
Create a tint swatch using the Swatches panel
1In the Swatches panel, select a color swatch.
2Select the arrow next to the Tint box.
3DragtheTintslider,andclicktheNewSwatchbutton orselectNewTintSwatchintheSwatchespanelmenu.
The tint appears in the Swatches panel with the name of its base color and the percentage of the tint.
Create a tint swatch using the Color panel
1In the Swatches panel, select a swatch.
2In the Color panel, drag the Tint slider, or enter a tint value in the Percentage box.
3In the Color panel menu, click Add To Swatches.
Drag the Tint slider and then click Add To Swatches.
Create an unnamed tint
1In the Swatches panel, select the Fill box or the Stroke box.
2Drag the Tint slider, or enter a tint value in the percentage box.
Edit a tint or base color swatch
1In the Swatches panel, double-click the tint swatch.

INDESIGN CS3
User Guide
428
2Do one of the following, and click OK:
•To edit the tint, change the Tint value. This updates all objects using that tint swatch.
•Toeditthetint’sbasecolorswatch,changetheColorModeortheColorModevalues.Thisalsoupdatesallother
tints based on that same color swatch.
Gradients
About gradients
Agradient is a graduated blend between two or more colors or between two tints of the same color. The output device
you use affects how gradients color-separate.
Gradients can include Paper, process colors, spot colors, or mixed ink colors using any color mode. Gradients are
defined by a series of color stops in the gradient bar. A stop is the point at which a gradient changes from one color
to the next, and is identified by a color square under the gradient bar. By default, a gradient starts with two colors
and a midpoint at 50%.
Note: When you create a gradient using colors of different modes and then print or color separate the gradient, all colors
are converted to CMYK process colors. Because of the color mode change, colors may shift. For best results, specify
gradients using CMYK colors.
See also
“About printing” on page 541
Create a gradient swatch
You can create, name, and edit gradients using the same Swatches panel you use to work with solid colors and tints.
You can also create unnamed gradients using the Gradient panel.
1Choose New Gradient Swatch in the Swatches panel menu.
2For Swatch Name, type a name for the gradient.
3For Type, choose Linear or Radial.
4Select the first color stop in the gradient.

INDESIGN CS3
User Guide
429
First color stop
5For Stop Color, do one of the following:
•To choose a color that’s already in the Swatches panel, choose Swatches, and select a color from the list.
•To mix a new unnamed color for the gradient, choose a color mode, and enter color values or drag the sliders.
Note: By default, the first stop of the gradient is set to white. To make it transparent, apply the Paper swatch.
6To change the last color in the gradient, select the last color stop, and repeat step 5.
7To adjust the position of gradient colors, do one of the following:
•Drag the color stops located under the bar.
•Select a color stop under the bar, and enter a Location value to set the position of that color. This position repre-
sents the percentage of distance between the previous color and the next color.
8To adjust the midpoint between two gradient colors (the point at which the colors are at 50%), do one of the
following:
•Drag the diamond icon located above the bar.
•Select the diamond icon above the bar, and enter a Location value to set the position of that color. This position
represents the percentage of distance between the previous color and the next color.
9Click OK or Add. The gradient is stored in the Swatches panel with its name.
Apply an unnamed gradient using the Gradient panel
Although the Swatches panel is the recommended panel for creating and storing gradients, you can also work with
gradients by using the Gradient panel (Window > Gradient), with which you may be familiar if you also use Adobe
Illustrator. You can add the current gradient to the Swatches panel at any time. The Gradient panel is useful for
creating an unnamed gradient that won’t be used often.

INDESIGN CS3
User Guide
430
Gradient panel
A. Gradient fill B. Gradient type menu C. Reverse button D. Starting color stop E. Midpoint F. Ending color stop
Note: Ifyouselectanobjectthatcurrentlyusesanamedgradient,editingthegradientbyusingtheGradientpanelwill
change the color of that object only. To edit every instance of a named gradient, double-click its swatch in the Swatches
panel.
1Select the object or objects you want to change.
2Click the Fill or Stroke box in the Swatches panel or the Toolbox. (If the Gradient Fill box is not visible, choose
Show Options in the Gradient panel menu.)
3To open the Gradient panel, choose Window > Gradient, or double-click the Gradient tool in the Toolbox.
4To define the starting color of a gradient, click the leftmost color stop below the gradient bar, and then do one of
the following:
•Drag a swatch from the Swatches panel and drop it on the color stop.
•Alt-click (Windows) or Option-click (Mac OS) a color swatch in the Swatches panel.
•In the Color panel, create a color using the sliders or the color bar.
5To define the ending color of the gradient, click the rightmost color stop below the gradient bar. Then choose the
color you like, as described in the previous step.
6Select either Linear or Radial in the Type menu, and adjust color and midpoint positions as explained in “Create
a gradient swatch” on page 428.
Note: When you change the gradient type, it will reset the gradient’s starting and ending points to its original default for
the currently selected object.
7To adjust the gradient angle, type a value for Angle.
Modify gradients
You can modify gradients by adding colors to create multicolor gradients, and by adjusting color stops and
midpoints. It’s a good idea to fill an object with the gradient you plan to adjust, so that you can preview the effect on
the object while you adjust the gradient.
You can modify gradients pasted from Adobe Illustrator, provided that the gradient was pasted using AICB (Adobe
Illustrator Clipboard) format. (See “Pasting Illustrator graphics into InDesign” on page 330.) To select the gradient,
use the Direct Selection tool.
Note: If you edit a color swatch, any gradient stops that use that swatch will update accordingly, changing the gradient.
Add intermediate colors to a gradient
1Double-click a gradient swatch in the Swatches panel, or display the Gradient panel.
A
D
B
C
F
E

INDESIGN CS3
User Guide
431
2Clickanywherebelowthegradientbartodefineanewcolorstop.Thenewcolorstopisautomaticallydefinedby
the color values at that position along the existing gradient.
3Adjust the new color stop.
You can also drag a swatch from the Swatches panel onto the gradient bar in the Gradient panel to define a new color
stop.
Remove an intermediate color from a gradient
❖Select the intermediate color stop, and drag it to the edge of the panel.
Reverse a gradient’s color progression
1Activate a gradient.
2In the Gradient panel, click the Reverse button .
Adjust a gradient with the Gradient tools
Once you have filled an object with a gradient, you can modify the gradient by using the Gradient Swatch tool
or the Gradient Feather tool to “repaint” the fill by dragging along an imaginary line. The Gradient tools let you
change the direction of a gradient, change its beginning point and endpoint, and apply a gradient across multiple
objects. The Gradient Feather tool lets you soften the gradient in the direction in which you drag.
1In the Swatches panel or Toolbox, select the Fill box or the Stroke box, depending on where the original gradient
was applied.
2Select the Gradient Swatch or Gradient Feather tool, and position it at the place where you want to define the
beginning point of the gradient. Drag across the object in the direction you want the gradient to be applied. Hold
down Shift to constrain the tool to multiples of 45˚.
Dragging the Gradient Feather tool across the gradient progressively softens the colors in the gradient within the area
you drag.
3Release the mouse button at the place where you want to define the endpoint of the gradient.
Apply a gradient across multiple objects
1Make sure that all selected objects already use a gradient.
2In the Toolbox, select the Fill box or the Stroke box.
3Select the Gradient tool , and position it where you want to define the beginning point of the gradient. Drag
across the object in the direction you want the gradient to be applied. Hold down Shift to constrain the tool to
multiples of 45˚.
4Release the mouse button at the place where you want to define the endpoint of the gradient.
Default gradient fill (left) and gradient applied across objects (right)

INDESIGN CS3
User Guide
432
If a compound path with a gradient is selected, you can edit the gradient across all of its subpaths by using the
Gradient panel alone, without having to use the Gradient tool.
Applying gradients to text
Within a single text frame, you can create multiple ranges of gradient text alongside default black text and color text.
A gradient’s endpoints are always anchored in relation to the bounding box of the gradient’s path or text frame.
Individual text characters display the part of the gradient over which they are positioned. If you resize the text frame
or make other changes that cause text characters to reflow, the characters are redistributed across the gradient, and
the colors of individual characters change accordingly.
Working with gradient-filled text characters
A. Underlying gradient fill B. Text characters with gradient applied C. Text added, and text shifting position relative to gradient fill
If you want to adjust a gradient so that its complete color range spans a specific range of text characters, you have
two options:
•Use the Gradient tool to reset the gradient’s endpoints, so that they span only the characters you selected when
you applied the gradient.
•Select the text and convert it to outlines (editable paths), and then apply a gradient to the resulting outlines. This
is the best option for a short run of display type in its own text frame. The gradient will be permanently anchored
to the outlines, not the text frame, and the outlines will continue to flow with the rest of the text. However, the
outlines will function as a single inline graphic within the text frame, so you won’t be able to edit the text. Also,
typographic options will no longer apply; for example, text converted to outlines will not hyphenate.
By default, type that shifts position will change relative to its gradient (left); when type is converted to outlines, an applied gradient moves with
the type (right).
For information on converting text outlines to paths, see “Create paths from text outlines” on page 325.
See also
“Change the color and gradient of text” on page 217
ABC

INDESIGN CS3
User Guide
433
Multiple gradients in a single text frame
Within a single text frame, you can select different ranges of text and apply a unique gradient to each range. Each
gradient is added to the text frame and tracked separately with the characters you selected when you applied each
gradient. However, the endpoints of the gradient are still anchored to the text frame’s bounding box, not to individual
ranges of text.
Mixing inks
About mixing inks
When you need to achieve the maximum number of printed colors with the fewest number of inks, you can create
new ink swatches by mixing two spot inks or by mixing a spot ink with one or more process inks. Using mixed ink
colors lets you increase the number of colors available without increasing the number of separations used to print
the document.
You can create a single mixed ink swatch or use a mixed ink group to generate multiple swatches at once. A mixed
ink group contains a series of colors created from incremental percentages of different process and spot color inks.
For example, mixing four tints of process cyan (20%, 40%, 60%, and 80%) with five tints of a spot color (10%, 20%,
30%, 40%, and 50%) results in a mixed ink group that contains 20 different swatches.
Swatches panel with mixed ink swatches
A. Parent of mixed ink group B. Child in mixed ink group C. Mixed ink swatch (standalone)
Before you can create a mixed ink swatch or a mixed ink group, you must add at least one spot color to the Swatches
panel.
See also
“Create color swatches” on page 420
Create a mixed ink swatch
1FromtheSwatchespanelmenu,chooseNewMixedInkSwatch.(Thisoptionisdimmeduntilyouaddaspotcolor
to the Swatches panel.)
2Type a name for the swatch.
3To include an ink in the mixed ink swatch, click the empty box next to its name. An ink icon appears. A mixed
ink swatch must contain at least one spot color.
4Adjustthepercentageofeachinkincludedintheswatchbyusingthesliderbarortypingavalueinthepercentagebox.
5To add the mixed ink to the Swatches panel, click Add or OK.
Colors on a monitor often look different when they print. For best results, ask your commercial printer to output a
sample of any mixed inks you want to print.
B
A
C

INDESIGN CS3
User Guide
434
Create a mixed ink group
1From the Swatches panel menu, choose New Mixed Ink Group. (This option is dimmed until you add a spot color
to the Swatches panel.)
2Type a name for the Mixed Ink Group. Colors in the group will use this name followed by an incremented Swatch
suffix (Swatch 1, Swatch 2, and so on).
3To include an ink in the mixed ink group, click the empty box next to its name.
4For each ink you select, do the following:
•For Initial, enter the percentage of ink you want to start mixing to create the group.
•For Repeat, specify the number of times you want to increment the ink percentage.
•For Increment, specify the percentage of ink you want to add for each repetition.
5Click Preview Swatches to generate the swatches without closing the dialog box; you can then see whether your
current ink selections and values produce the results you want, and make adjustments if they don’t.
Note: An alert appears if the values you enter for Initial, Repeat, and Increment add up to more than 100% of any one
ink. If you decide to proceed anyway, InDesign caps the ink percentages at 100%.
6Click OK to add all inks in the mixed ink group to the Swatches panel.
Edit mixed ink swatches
You modify a mixed ink swatch using the same methods used to edit other swatches. As you edit a mixed ink swatch
or group, be aware of the following:
•If you use the Swatches panel to delete an ink that is used in a mixed ink swatch, InDesign prompts you for a
replacement. A mixed ink must contain at least one spot color, or it will be converted to a process color.
•Changes you make to the parent of a mixed ink group apply to all mixed inks in that group. (Changes you
make to a swatch in a mixed ink group apply to that swatch only.)
•Converting a mixed ink to a process or spot color removes its association with its mixed ink group.
•Deleting the parent of a mixed ink group deletes all swatches in the group.
1In the Swatches panel, double-click the parent of the mixed ink group you want to change.
2Do any of the following:
•Select a new ink to replace an existing component ink.
•Click the box next to an ink to exclude or include it as a component of the mixed ink group.
Note: You cannot change the initial percentages, repeats, or increments used to create the mixed ink group.
3Click OK.
See also
“Edit a swatch” on page 422
“Manage mixed ink groups” on page 434
Manage mixed ink groups
Use the Swatches panel to delete mixed ink groups, add swatches, and convert mixed ink swatches to process colors.

INDESIGN CS3
User Guide
435
Delete mixed ink groups
❖In the Swatches panel, select the parent of the mixed ink group you want to delete, and click the Delete button.
Add a swatch to a mixed ink group
1In the Swatches panel, select the parent of the mixed ink group.
2Choose New Color Swatch from the panel menu.
3Specify a name for the swatch, if desired.
4For each ink listed, specify the percentage you want in the mixed ink swatch. (You cannot add or delete inks.)
5Click OK.
Convert a single mixed ink swatch to a process color
You can convert mixed inks to process colors to reduce printing costs. When you convert the parent of a mixed ink
group to process, the parent swatch disappears, and the other swatches in the mixed ink group are converted to
process colors.
1Double-click the mixed ink swatch you want to convert.
2For Color Type, select Process, and then click OK.
Convert all inks in a mixed ink group to process
❖Double-click the parent of the mixed ink group, and select Convert Mixed Ink Swatches To Process in the
dialog box that appears.
Using colors from imported graphics
Using colors from imported graphics
InDesign provides various ways for you to sample and redefine colors from the graphics you import into your
document. Spot colors from placed PDF or EPS files and spot-color channels in Adobe Photoshop (PSD) and TIFF
filesappearasspotcolorsintheSwatchespanel.Youcanapplythesecolorstoobjectsinyourdocumentorconvert
them to process colors; however, you cannot redefine the color values or delete the imported swatches. If you delete
the placed graphic, the colors remain but are converted to native InDesign colors, which can then be edited or
deleted.
Using the Eyedropper tool to sample colors
You can use the Eyedropper tool to add colors from imported graphics to your document, or to apply them to
objects in your document. This is useful for coordinating layout colors with images.
For best results with color separations, you may want to make sure that color names, types (such as spot and process),
and models (such as RGB and CMYK) of the colors sampled in InDesign are consistent with the color definitions in
the imported graphics. If you’re not sure about the best settings to use, consult with your prepress service provider.
See also
“Apply colors using the Eyedropper tool” on page 418

INDESIGN CS3
User Guide
436
Working with spot-color channels in an Adobe Photoshop (PSD) file
When you place a native Photoshop file (PSD) or TIFF file in InDesign, any spot-color channels the file contains
appear in the Swatches panel as spot-color inks. You can select and apply these swatches to other objects in your
document; to delete these swatches, however, you must first delete the placed image.
If you import a file that has a spot-color channel with the same name as a spot color in your document, but with
different color values, you will be asked whether you want to use the color values in the placed file or the ones in the
document.
Working with colors from EPS or PDF files
When you place a PDF file, EPS graphic, or Adobe Illustrator (.AI) file, names of spot colors used in the graphic are
added to the Swatches panel in your document, so that you can be aware that they can cause additional printing costs
later, and also so that you can use the spot colors in your document.
If the graphic you are importing contains a spot color with the same name as a spot color in your document but
different color values, you will be asked whether you want to use the color values in the imported file or the ones in
the document.
Change an imported spot color to a process color
When you import an EPS, PSD, TIFF or PDF graphic containing a spot color (or a spot-color channel), InDesign
adds the spot color name and definition to the Swatches panel. You can change an imported spot color swatch to a
process color swatch. This provides flexibility for adapting colors—even those in imported graphics—to your
current output requirements.
1In the Swatches panel, double-click the swatch you want to edit.
2In the Swatch Options dialog box, choose Process in the Color Type menu.
Note: This changes the color type in the InDesign document only. To permanently change the color type of colors within
a graphic, open the graphic in the program in which it was created, and then edit the color in that program.

437
Chapter 16: Color management
A color management system reconciles color differences among devices so that you can be reasonably certain of the
colors your system ultimately produces. Viewing color accurately allows you to make sound color decisions
throughout your workflow, from digital capture through final output. Color management also allows you to create
output based on ISO, SWOP, and Japan Color print production standards.
Understanding color management
Why colors sometimes don’t match
No device in a publishing system is capable of reproducing the full range of colors viewable to the human eye. Each
device operates within a specific color space that can produce a certain range, or gamut, of colors.
A color model determines the relationship between values, and the color space defines the absolute meaning of those
values as colors. Some color models (such as CIE L*a*b) have a fixed color space because they relate directly to the
way humans perceive color. These models are described as being device-independent. Other color models (RGB,
HSL, HSB, CMYK, and so forth) can have many different color spaces. Because these models vary with each
associated color space or device, they are described as being device-dependent.
Because of these varying color spaces, colors can shift in appearance as you transfer documents between different
devices. Color variations can result from differences in image sources; the way software applications define color;
print media (newsprint paper reproduces a smaller gamut than magazine-quality paper); and other natural varia-
tions, such as manufacturing differences in monitors or monitor age.
Color gamuts of various devices and documents
A. Lab color space B. Documents (working space) C. Devices
What is a color management system?
Color-matching problems result from various devices and software using different color spaces. One solution is to
have a system that interprets and translates color accurately between devices. A color management system (CMS)
comparesthecolorspaceinwhichacolorwascreatedtothecolorspaceinwhichthesamecolorwillbeoutput,and
makes the necessary adjustments to represent the color as consistently as possible among different devices.
CMYK
RGB
A B
C

INDESIGN CS3
User Guide
438
A color management system translates colors with the help of color profiles. A profile is a mathematical description
of a device’s color space. For example, a scanner profile tells a color management system how your scanner “sees”
colors. Adobe color management uses ICC profiles, a format defined by the International Color Consortium (ICC)
as a cross-platform standard.
Because no single color-translation method is ideal for all types of graphics, a color management system provides a
choice of rendering intents, or translation methods, so that you can apply a method appropriate to a particular
graphics element. For example, a color translation method that preserves correct relationships among colors in a
wildlife photograph may alter the colors in a logo containing flat tints of color.
Note: Don’t confuse color management with color correction. A color management system won’t correct an image that
was saved with tonal or color balance problems. It provides an environment where you can evaluate images reliably in
the context of your final output.
See also
“About color profiles” on page 450
“About rendering intents” on page 458
Do you need color management?
Without a color management system, your color specifications are device-dependent. You might not need color
management if your production process is tightly controlled for one medium only. For example, you or your print
service provider can tailor CMYK images and specify color values for a known, specific set of printing conditions.
The value of color management increases when you have more variables in your production process. Color
management is recommended if you anticipate reusing color graphics for print and online media, using various
kinds of devices within a single medium (such as different printing presses), or if you manage multiple workstations.
You will benefit from a color management system if you need to accomplish any of the following:
•Get predictable and consistent color output on multiple output devices including color separations, your desktop
printer, and your monitor. Color management is especially useful for adjusting color for devices with a relatively
limited gamut, such as a four-color process printing press.
•Accurately soft-proof (preview) a color document on your monitor by making it simulate a specific output device.
(Soft-proofing is subject to the limitations of monitor display, and other factors such as room lighting conditions.)
•Accurately evaluate and consistently incorporate color graphics from many different sources if they also use color
management, and even in some cases if they don’t.
•Send color documents to different output devices and media without having to manually adjust colors in
documents or original graphics. This is valuable when creating images that will eventually be used both in print
and online.
•Print color correctly to an unknown color output device; for example, you could store a document online for
consistently reproducible on-demand color printing anywhere in the world.

INDESIGN CS3
User Guide
439
Creating a viewing environment for color management
Your work environment influences how you see color on your monitor and on printed output. For best results,
control the colors and light in your work environment by doing the following:
•View your documents in an environment that provides a consistent light level and color temperature. For example,
the color characteristics of sunlight change throughout the day and alter the way colors appear on your screen, so
keep shades closed or work in a windowless room. To eliminate the blue-green cast from fluorescent lighting, you
can install D50 (5000˚ Kelvin) lighting. You can also view printed documents using a D50 lightbox.
•View your document in a room with neutral-colored walls and ceiling. A room’s color can affect the perception of
both monitor color and printed color. The best color for a viewing room is neutral gray. Also, the color of your
clothing reflecting off the glass of your monitor may affect the appearance of colors on-screen.
•Remove colorful background patterns on your monitor desktop. Busy or bright patterns surrounding a document
interfere with accurate color perception. Set your desktop to display neutral grays only.
•View document proofs in the real-world conditions under which your audience will see the final piece. For
example, you might want to see how a housewares catalog looks under the incandescent light bulbs used in homes,
or view an office furniture catalog under the fluorescent lighting used in offices. However, always make final color
judgements under the lighting conditions specified by the legal requirements for contract proofs in your country.
Keeping colors consistent
About color management in Adobe applications
Adobe color management helps you maintain the appearance of colors as you bring images in from external sources,
edit documents and transfer them between Adobe applications, and output your finished compositions. This system
is based on conventions developed by the International Color Consortium, a group responsible for standardizing
profile formats and procedures so that consistent and accurate color can be achieved throughout a workflow.
By default, color management is turned on in color-managed Adobe applications. If you purchased the Adobe
Creative Suite, color settings are synchronized across applications to provide consistent display for RGB and CMYK
colors. This means that colors look the same no matter which application you view them in.

INDESIGN CS3
User Guide
440
Color settings for Adobe Creative Suite are synchronized in a central location through Adobe Bridge.
If you decide to change the default settings, easy-to-use presets let you configure Adobe color management to match
common output conditions. You can also customize color settings to meet the demands of your particular color
workflow.
Keep in mind that the kinds of images you work with and your output requirements influence how you use color
management. For example, there are different color-consistency issues for an RGB photo printing workflow, a
CMYK commercial printing workflow, a mixed RGB/CMYK digital printing workflow, and an Internet publishing
workflow.
Basic steps for producing consistent color
1. Consult with your production partners (if you have any) to ensure that all aspects of your color
management workflow integrate seamlessly with theirs.
Discuss how the color workflow will be integrated with your workgroups and service providers, how software and
hardware will be configured for integration into the color management system, and at what level color management
will be implemented. (See “Do you need color management?” on page 438.)
2. Calibrate and profile your monitor.
A monitor profile is the first profile you should create. Seeing accurate color is essential if you are making creative
decisions involving the color you specify in your document. (See “Calibrate and profile your monitor” on page 452.)
3. Add color profiles to your system for any input and output devices you plan to use, such as scanners and
printers.
The color management system uses profiles to know how a device produces color and what the actual colors in a
document are. Device profiles are often installed when a device is added to your system. You can also use third-party
software and hardware to create more accurate profiles for specific devices and conditions. If your document will be
commercially printed, contact your service provider to determine the profile for the printing device or press
condition. (See “About color profiles” on page 450 and “Install a color profile” on page 452.)

INDESIGN CS3
User Guide
441
4. Set up color management in Adobe applications.
The default color settings are sufficient for most users. However, you can change the color settings by doing one of
the following:
•If you use multiple Adobe applications, use Adobe® Bridge CS3 to choose a standard color management configu-
ration and synchronize color settings across applications before working with documents. (See “Synchronize color
settings across Adobe applications” on page 441.)
•If you use only one Adobe application, or if you want to customize advanced color management options, you can
change color settings for a specific application. (See “Set up color management” on page 441.)
5. (Optional) Preview colors using a soft proof.
After you create a document, you can use a soft proof to preview how colors will look when printed or viewed on a
specific device. (See “Soft-proofing colors” on page 446.)
Note: A soft proof alone doesn’t let you preview how overprinting will look when printed on an offset press. If you work
with documents that contain overprinting, turn on Overprint Preview to accurately preview overprints in a soft proof.
6. Use color management when printing and saving files.
Keeping the appearance of colors consistent across all of the devices in your workflow is the goal of color
management. Leave color management options enabled when printing documents, saving files, and preparing files
for online viewing. (See “Printing with color management” on page 448 and “Color-managing documents for online
viewing” on page 445.)
Synchronize color settings across Adobe applications
If you use Adobe Creative Suite, you can use Adobe Bridge to automatically synchronize color settings across appli-
cations. This synchronization ensures that colors look the same in all color-managed Adobe applications.
Ifcolorsettingsarenotsynchronized,awarningmessageappearsatthetopoftheColorSettingsdialogboxineach
application. Adobe recommends that you synchronize color settings before you work with new or existing
documents.
1Open Bridge.
To open Bridge from a Creative Suite application, choose File > Browse. To open Bridge directly, either choose Adobe
Bridge from the Start menu (Windows) or double-click the Adobe Bridge icon (Mac OS).
2Choose Edit > Creative Suite Color Settings.
3Select a color setting from the list, and click Apply.
If none of the default settings meet your requirements, select Show Expanded List Of Color Setting Files to view
additional settings. To install a custom settings file, such as a file you received from a print service provider, click
Show Saved Color Settings Files.
Set up color management
1Do one of the following:
•(Illustrator, InDesign, Photoshop) Choose Edit > Color Settings.
•(Acrobat) Select the Color Management category of the Preferences dialog box.
2Select a color setting from the Settings menu, and click OK.

INDESIGN CS3
User Guide
442
The setting you select determines which color working spaces are used by the application, what happens when you
open and import files with embedded profiles, and how the color management system converts colors. To view a
description of a setting, select the setting and then position the pointer over the setting name. The description
appears at the bottom of the dialog box.
Note: Acrobat color settings are a subset of those used in InDesign, Illustrator, and Photoshop.
In certain situations, such as if your service provider supplies you with a custom output profile, you may need to
customize specific options in the Color Settings dialog box. However, customizing is recommended for advanced
users only.
Note: If you work with more than one Adobe application, it is highly recommended that you synchronize your color
settings across applications. (See “Synchronize color settings across Adobe applications” on page 441.)
See also
“Customize color settings” on page 455
Change the appearance of CMYK black (Illustrator, InDesign)
Pure CMYK black (K=100) appears jet black (or rich black) when viewed on-screen, printed to a non-PostScript
desktop printer, or exported to an RGB file format. If you prefer to see the difference between pure black and rich
black as it will appear when printed on a commercial press, you can change the Appearance Of Black preferences.
These preferences do not change the color values in a document.
1Choose Edit > Preferences > Appearance Of Black (Windows) or [application name] > Preferences > Appearance
Of Black (Mac OS).
2Choose an option for On Screen:
Display All Blacks Accurately Displays pure CMYK black as dark gray. This setting allows you to see the difference
between pure black and rich black.
Display All Blacks As Rich Black Displays pure CMYK black as jet black (RGB=000). This setting makes pure black
and rich black appear the same on-screen.
3Choose an option for Printing/Exporting:
Output All Blacks Accurately When printing to a non-PostScript desktop printer or exporting to an RGB file format,
outputs pure CMYK black using the color numbers in the document. This setting allows you to see the difference
between pure black and rich black.
Output All Blacks As Rich Black When printing to a non-PostScript desktop printer or exporting to an RGB file
format, outputs pure CMYK black as jet black (RGB=000). This setting makes pure black and rich black appear the
same.
Managing process and spot colors
When color management is on, any color you apply or create within a color-managed Adobe application automati-
cally uses a color profile that corresponds to the document. If you switch color modes, the color management system
uses the appropriate profiles to translate the color to the new color model you choose.
Keep in mind the following guidelines for working with process and spot colors:
•Choose a CMYK working space that matches your CMYK output conditions to ensure that you can accurately
define and view process colors.

INDESIGN CS3
User Guide
443
•Select colors from a color library. Adobe applications come with several standard color libraries, which you can
load using the Swatches panel menu.
•(Acrobat, Illustrator, and InDesign) Turn on Overprint Preview to get an accurate and consistent preview of spot
colors.
•(Acrobat, Illustrator, and InDesign) Use Lab values (the default) to display predefined spot colors (such as colors
from the TOYO, PANTONE, DIC, and HKS libraries) and convert these colors to process colors. Using Lab values
provides the greatest accuracy and guarantees the consistent display of colors across Creative Suite applications. If
you want the display and output of these colors to match earlier versions of Illustrator or InDesign, use CMYK
equivalent values instead. For instructions on switching between Lab values and CMYK values for spot colors,
search Illustrator or InDesign Help.
Note: Color-managing spot colors provides a close approximation of a spot color on your proofing device and monitor.
However, it is difficult to exactly reproduce a spot color on a monitor or proofing device because many spot color inks
exist outside the gamuts of many of those devices.
Color-managing imported images
Color-managing imported images (Illustrator, InDesign)
How imported images are integrated into a document’s color space depends on whether or not the image has an
embedded profile:
•Whenyouimportanimagethatcontainsnoprofile,theAdobeapplicationusesthecurrentdocumentprofileto
define the colors in the image.
•When you import an image that contains an embedded profile, color policies in the Color Settings dialog box
determine how the Adobe application handles the profile.
See also
“Color management policy options” on page 457
Using a safe CMYK workflow
A safe CMYK workflow ensures that CMYK color numbers are preserved all the way to the final output device, as
opposed to being converted by your color management system. This workflow is beneficial if you want to incremen-
tally adopt color management practices. For example, you can use CMYK profiles to soft-proof and hard-proof
documents without the possibility of unintended color conversions occurring during final output.
Illustrator and InDesign support a safe CMYK workflow by default. As a result, when you open or import a CMYK
image with an embedded profile, the application ignores the profile and preserves the raw color numbers. If you want
your application to adjust color numbers based on an embedded profile, change the CMYK color policy to Preserve
Embedded Profiles in the Color Settings dialog box. You can easily restore the safe CMYK workflow by changing the
CMYK color policy back to Preserve Numbers (Ignore Linked Profiles).
You can override safe CMYK settings when you print a document or save it to Adobe PDF. However, doing so may
cause colors to be reseparated. For example, pure CMYK black objects may be reseparated as rich black. For more
information on color management options for printing and saving PDFs, search in Help.

INDESIGN CS3
User Guide
444
See also
“Color management policy options” on page 457
Preparing imported graphics for color management
Use the following general guidelines to prepare graphics for being color-managed in Adobe applications:
•Embed an ICC-compliant profile when you save the file. The file formats that support embedded profiles are
JPEG, PDF, PSD (Photoshop), AI (Illustrator), INDD (InDesign), Photoshop EPS, Large Document Format, and
TIFF.
•If you plan to reuse a color graphic for multiple final output devices or media, such as for print, video, and the web,
prepare the graphic using RGB or Lab colors whenever possible. If you must save in a color model other than RGB
or Lab, keep a copy of the original graphic. RGB and Lab color models represent larger color gamuts than most
output devices can reproduce, retaining as much color information as possible before being translated to a smaller
output color gamut.
See also
“Embed a color profile” on page 452
View or change profiles for imported bitmap images (InDesign)
InDesignallowsyoutoview,override,ordisableprofilesforimportedbitmapimages.Thismaybenecessarywhen
you are importing an image containing no profile or an incorrectly embedded profile. For example, if the scanner
manufacturer’s default profile was embedded but you have since generated a custom profile, you can assign the newer
profile.
1Do one of the following:
•If the graphic is already in layout, select it and choose Object > Image Color Settings.
•If you’re about to import the graphic, choose File > Place, select Show Import Options, select and open the file,
and then select the Color tab.
2For Profile, choose the source profile to apply to the graphic in your document. If a profile is currently embedded,
the profile name appears at the top of the Profile menu.
3(Optional) Choose a rendering intent, and then click OK. In most cases, it’s best to use the default rendering
intent.
Note: You can also view or change profiles for objects in Acrobat.
See also
“Convert document colors to another profile (Photoshop)” on page 454

INDESIGN CS3
User Guide
445
Color-managing documents for online viewing
Color-managing documents for online viewing
Color management for online viewing is very different from color management for printed media. With printed
media, you have far more control over the appearance of the final document. With online media, your document
will appear on a wide range of possibly uncalibrated monitors and video display systems, significantly limiting your
control over color consistency.
When you color-manage documents that will be viewed exclusively on the web, Adobe recommends that you use the
sRGB color space. sRGB is the default working space for most Adobe color settings, but you can verify that sRGB is
selected in the Color Settings dialog box (Photoshop, Illustrator, InDesign) or the Color Management preferences
(Acrobat). With the working space set to sRGB, any RGB graphics you create will use sRGB as the color space.
When working with images that have an embedded color profile other than sRGB, you should convert the image’s
colorstosRGBbeforeyousavetheimageforuseontheweb.Ifyouwanttheapplicationtoautomaticallyconvertthe
colors to sRGB when you open the image, select Convert To Working Space as the RGB color management policy.
(Make sure that your RGB working space is set to sRGB.) In Photoshop and InDesign, you can also manually convert
the colors to sRGB using the Edit > Convert To Profile command.
Note: In InDesign, the Convert To Profile command only converts colors for native, not placed, objects in the document.
See also
“About color working spaces” on page 455
“Color management policy options” on page 457
Color-managing PDFs for online viewing
When you export PDFs, you can choose to embed profiles. PDFs with embedded profiles reproduce color consis-
tently in Acrobat 4.0 or later running under a properly configured color management system.
Keep in mind that embedding color profiles increases the size of PDFs. RGB profiles are usually small (around 3 KB);
however, CMYK profiles can range from 0.5 to 2 MB.
See also
“Printing with color management” on page 448
Color-managing HTML documents for online viewing
Many web browsers do not support color management. Of the browsers that do support color management, not all
instances can be considered color-managed because they may be running on systems where the monitors are not
calibrated. In addition, few web pages contain images with embedded profiles. If you manage a highly controlled
environment, such as the intranet of a design studio, you may be able to achieve some degree of HTML color
management for images by equipping everyone with a browser that supports color management and calibrating all
monitors.
You can approximate how colors will look on uncalibrated monitors by using the sRGB color space. However,
because color reproduction varies among uncalibrated monitors, you still won’t be able to anticipate the true range
of potential display variations.

INDESIGN CS3
User Guide
446
Proofing colors
Soft-proofing colors
In a traditional publishing workflow, you print a hard proof of your document to preview how its colors will look
when reproduced on a specific output device. In a color-managed workflow, you can use the precision of color
profiles to soft-proof your document directly on the monitor. You can display an on-screen preview of how your
document’s colors will look when reproduced on a particular output device.
Keep in mind that the reliability of the soft proof depends upon the quality of your monitor, the profiles of your
monitor and output devices, and the ambient lighting conditions of your work environment.
Note: A soft proof alone doesn’t let you preview how overprinting will look when printed on an offset press. If you work
with documents that contain overprinting, turn on Overprint Preview to accurately preview overprints in a soft proof.
Using a soft proof to preview the final output of a document on your monitor
A. Document is created in its working color space. B. Document’s color values are translated to color space of chosen proof profile (usually the
output device’s profile). C. Monitor displays proof profile’s interpretation of document’s color values.
Soft-proof colors
1Choose View > Proof Setup, and do one of the following:
•Choose a preset that corresponds to the output condition you want to simulate.
•Choose Custom (Photoshop and InDesign) or Customize (Illustrator) to create a custom proof setup for a specific
output condition. This option is recommended for the most accurate preview of your final printed piece.
2Choose View > Proof Colors to toggle the soft-proof display on and off. When soft proofing is on, a check mark
appears next to the Proof Colors command, and the name of the proof preset or profile appears at the top of the
document window.
To compare the colors in the original image and the colors in the soft proof, open the document in a new window
before you set up the soft proof.
Soft-proof presets
Working CMYKCreates a soft proof of colors using the current CMYK working space as defined in the Color Settings
dialog box.
Document CMYK (InDesign) Creates a soft proof of colors using the document’s CMYK profile.
Working Cyan Plate, Working Magenta Plate, Working Yellow Plate, Working Black Plate, or Working CMY Plates
(Photoshop) Creates a soft proof of specific CMYK ink colors using the current CMYK working space.
Macintosh RGB or Windows RGB (Photoshop and Illustrator) Createsasoftproofofcolorsinanimageusingeithera
standard Mac OS or Windows monitor as the proof profile space to simulate. Both options assume that the simulated
device will display your document without using color management. Neither option is available for Lab or CMYK
documents.
AB C

INDESIGN CS3
User Guide
447
Monitor RGB (Photoshop and Illustrator) Creates a soft proof of colors in an RGB document using your current
monitor color space as the proof profile space. This option assumes that the simulated device will display your
document without using color management. This option is unavailable for Lab and CMYK documents.
Custom soft-proof options
Device To Simulate Specifies the color profile of the device for which you want to create the proof. The usefulness of
the chosen profile depends on how accurately it describes the device’s behavior. Often, custom profiles for specific
paper and printer combinations create the most accurate soft proof.
Preserve CMYK Numbers or Preserve RGB Numbers Simulates how the colors will appear without being converted to
the color space of the output device. This option is most useful when you are following a safe CMYK workflow.
Rendering Intent (Photoshop and Illustrator) When the Preserve Numbers option is deselected, specifies a
rendering intent for converting colors to the device you are trying to simulate.
Use Black Point Compensation (Photoshop) Ensures that the shadow detail in the image is preserved by simulating
the full dynamic range of the output device. Select this option if you plan to use black point compensation when
printing (which is recommended in most situations).
Simulate Paper Color Simulates the dingy white of real paper, according to the proof profile. Not all profiles support
this option.
Simulate Black Ink Simulates the dark gray you really get instead of a solid black on many printers, according to the
proof profile. Not all profiles support this option.
In Photoshop, if you want the custom proof setup to be the default proof setup for documents, close all document
windows before choosing the View > Proof Setup > Custom command.
Save or load a custom proof setup
1Choose View > Proof Setup > Custom.
2Do either of the following:
•To save a custom proof setup, click Save. To ensure that the new preset appears in the View > Proof Setup menu,
save the preset in the default location.
•To load a custom proof setup, click Load.
Soft-proof colors (Acrobat)
1Choose Advanced > Print Production > Output Preview.
2Choose the color profile of a specific output device from the Simulation Profile menu.
3Choose a soft-proof option:
Simulate Black Ink Simulates the dark gray you really get instead of a solid black on many printers, according to the
proof profile. Not all profiles support this option.
Simulate Paper Color Simulates the dingy white of real paper, according to the proof profile. Not all profiles support
this option.

INDESIGN CS3
User Guide
448
Color-managing documents when printing
Printing with color management
Color management options for printing let you specify how you want Adobe applications to handle the outgoing
image data so the printer will print colors consistent with what you see on your monitor. Your options for printing
color-managed documents depend on the Adobe application you use, as well as the output device you select. In
general, you have the following choices for handling colors during printing:
•Let the printer determine colors.
•Let the application determine colors.
•(Photoshop and InDesign) Do not use color management. In this workflow, no color conversion occurs. You may
also need to turn off color management in your printer driver. This method is useful primarily for printing test
targets or generating custom profiles.
Letting the printer determine colors when printing
In this workflow, the application does no color conversion, but sends all necessary conversion information to the
output device. This method is especially convenient when printing to inkjet photo printers, because each combi-
nation of paper type, printing resolution, and additional printing parameters (such as high-speed printing) requires
a different profile. Most new inkjet photo printers come with fairly accurate profiles built into the driver, so letting
the printer select the right profile saves time and alleviates mistakes. This method is also recommended if you are
not familiar with color management.
If you choose this method, it is very important that you set up printing options and turn on color management in
your printer driver. Search Help for additional instructions.
If you select a PostScript printer, you can take advantage of PostScript color management. PostScript color
managementmakesitpossibletoperformcolorcompositeoutputorcolorseparationsattherasterimageprocessor
(RIP)—a process called in-RIP separations—so that a program need only specify parameters for separation and let
thedevicecalculatethefinalcolorvalues.PostScriptcolor-managedoutputworkflowsrequireanoutputdevicethat
supports PostScript color management using PostScript Level 2 version 2017 or later, or PostScript Lanuage Level 3.
Letting the application determine colors when printing
In this workflow, the application does all the color conversion, generating color data specific to one output device.
Theapplicationusestheassignedcolorprofilestoconvertcolorstotheoutputdevice’sgamut,andsendstheresulting
values to the output device. The accuracy of this method depends on the accuracy of the printer profile you select.
Use this workflow when you have custom ICC profiles for each specific printer, ink, and paper combination.
If you choose this option, it is very important that you disable color management in your printer driver. Letting the
application and the printer driver simultaneously manage colors during printing results in unpredictable color.
Search Help for additional instructions.
Obtaining custom profiles for desktop printers
If the output profiles that come with your printer don’t produce satisfactory results, you obtain custom profiles in the
following ways:
•Purchase a profile for your type of printer and paper. This is usually the easiest and least expensive method.

INDESIGN CS3
User Guide
449
•Purchase a profile for your specific printer and paper. This method involves printing a profiling target on your
printer and paper, and providing that target to a company that will create a specific profile. This is more expensive
than purchasing a standard profile, but can provide better results because it compensates for any manufacturing
variations in printers.
•Create your own profile using a scanner-based system. This method involves using profile-creation software and
your own flatbed scanner to scan the profiling target. It can provide excellent results for matte surface papers, but
not glossy papers. (Glossy papers tend to have fluorescent brighteners in them that look different to a scanner than
they do in room light.)
•Create your own profile using a hardware profile-creation tool. This method is expensive but can provide the best
results. A good hardware tool can create an accurate profile even with glossy papers.
•Tweak a profile created using one of the previous methods with profile-editing software. This software can be
complex to use, but it lets you correct problems with a profile or simply adjust a profile to produce results more to
your taste.
See also
“Install a color profile” on page 452
Color-managing PDFs for printing
When you create Adobe PDFs for commercial printing, you can specify how color information is represented. The
easiest way to do this is using a PDF/X standard; however, you can also specify color-handling options manually in
the Output section of the PDF dialog box. For more information about PDF/X and how to create PDFs, search Help.
In general, you have the following choices for handling colors when creating PDFs:
•(PDF/X-3) Does not convert colors. Use this method when creating a document that will be printed or displayed
on various or unknown devices. When you select a PDF/X-3 standard, color profiles are automatically embedded
in the PDF.
•(PDF/X-1a) Converts all colors to the destination CMYK color space. Use this method if you want to create a
press-ready file that does not require any further color conversions. When you select a PDF/X-1a standard, no
profiles are embedded in the PDF.
•(Illustrator and InDesign) Converts colors that have embedded profiles to the destination color space, but
preserves the numbers for those colors without embedded profiles. You can manually select this option in the
Output section of the PDF dialog box. Use this method if the document contains CMYK images that aren’t color-
managed and you want to make sure that the color numbers are preserved.
Note: All spot color information is preserved during color conversion; only the process color equivalents convert to the
designated color space.
See also
“Using a safe CMYK workflow” on page 443

INDESIGN CS3
User Guide
450
Working with color profiles
About color profiles
Precise, consistent color management requires accurate ICC-compliant profiles of all of your color devices. For
example, without an accurate scanner profile, a perfectly scanned image may appear incorrect in another program,
simply due to any difference between the scanner and the program displaying the image. This misleading represen-
tation may cause you to make unnecessary, time-wasting, and potentially damaging “corrections” to an already satis-
factory image. With an accurate profile, a program importing the image can correct for any device differences and
display a scan’s actual colors.
A color management system uses the following kinds of profiles:
Monitor profiles Describehowthemonitoriscurrentlyreproducingcolor.Thisisthefirstprofileyoushouldcreate
because viewing color accurately on your monitor allows for critical color decisions in the design process. If what
you see on your monitor is not representative of the actual colors in your document, you will not be able to maintain
color consistency.
Input device profiles Describe what colors an input device is capable of capturing or scanning. If your digital camera
offers a choice of profiles, Adobe recommends that you select Adobe RGB. Otherwise, use sRGB (which is the default
for most cameras). Advanced users may also consider using different profiles for different light sources. For scanner
profiles, some photographers create separate profiles for each type or brand of film scanned on a scanner.
Output device profiles Describe the color space of output devices like desktop printers or a printing press. The color
management system uses output device profiles to properly map the colors in a document to the colors within the
gamut of an output device’s color space. The output profile should also take into consideration specific printing
conditions, such as the type of paper and ink. For example, glossy paper is capable of displaying a different range of
colors than matte paper.
Most printer drivers come with built-in color profiles. It’s a good idea to try these profiles before you invest in custom
profiles.
Document profiles Define the specific RGB or CMYK color space of a document. By assigning, or tagging, a
document with a profile, the application provides a definition of actual color appearances in the document. For
example, R=127, G=12, B=107 is just a set of numbers that different devices will display differently. But when tagged
with the Adobe RGB color space, these numbers specify an actual color or wavelength of light–in this case, a specific
color of purple.
When color management is on, Adobe applications automatically assign new documents a profile based on Working
Space options in the Color Settings dialog box. Documents without assigned profiles are known as untagged and
contain only raw color numbers. When working with untagged documents, Adobe applications use the current
working space profile to display and edit colors.

INDESIGN CS3
User Guide
451
Managing color with profiles
A. Profiles describe the color spaces of the input device and the document. B. Using the profiles’ descriptions, the color management system
identifies the document’s actual colors. C. The monitor’s profile tells the color management system how to translate the document’s numeric
values to the monitor’s color space. D. Using the output device’s profile, the color management system translates the document’s numeric values
to the color values of the output device so the correct appearance of colors is printed.
See also
“Calibrate and profile your monitor” on page 452
“Letting the printer determine colors when printing” on page 448
“Obtaining custom profiles for desktop printers” on page 448
“About color working spaces” on page 455
About monitor calibration and characterization
Profiling software can both calibrate and characterize your monitor. Calibrating your monitor brings it into
compliance with a predefined standard—for example, adjusting your monitor so that it displays color using the
graphics arts standard white point color temperature of 5000˚ K (Kelvin). Characterizing your monitor simply
creates a profile that describes how the monitor is currently reproducing color.
Monitor calibration involves adjusting the following video settings:
Brightness and contrast The overall level and range, respectively, of display intensity. These parameters work just as
they do on a television. A monitor calibration utility helps you set an optimum brightness and contrast range for
calibration.
Gamma The brightness of the midtone values. The values produced by a monitor from black to white are
nonlinear—if you graph the values, they form a curve, not a straight line. Gamma defines the value of that curve
halfway between black and white.
Phosphors The substances that CRT monitors use to emit light. Different phosphors have different color character-
istics.
White point The color and intensity of the brightest white the monitor can reproduce.
A
B
C
D

INDESIGN CS3
User Guide
452
Calibrate and profile your monitor
When you calibrate your monitor, you are adjusting it so it conforms to a known specification. Once your monitor
is calibrated, the profiling utility lets you save a color profile. The profile describes the color behavior of the
monitor—what colors can or cannot be displayed on the monitor and how the numeric color values in an image must
be converted so that colors are displayed accurately.
1Make sure your monitor has been turned on for at least a half hour. This gives it sufficient time to warm up and
produce more consistent output.
2Make sure your monitor is displaying thousands of colors or more. Ideally, make sure it is displaying millions of
colors or 24-bit or higher.
3Remove colorful background patterns on your monitor desktop and set your desktop to display neutral grays.
Busy patterns or bright colors surrounding a document interfere with accurate color perception.
4Do one of the following to calibrate and profile your monitor:
•In Windows, install and use a monitor calibration utility.
•In Mac OS, use the Calibrate utility, located on the System Preferences/Displays/Color tab.
•For the best results, use third-party software and measuring devices. In general, using a measuring device such as
a colorimeter along with software can create more accurate profiles because an instrument can measure the colors
displayed on a monitor far more accurately than the human eye.
Note: Monitor performance changes and declines over time; recalibrate and profile your monitor every month or so. If
you find it difficult or impossible to calibrate your monitor to a standard, it may be too old and faded.
Most profiling software automatically assigns the new profile as the default monitor profile. For instructions on how
to manually assign the monitor profile, refer to the Help system for your operating system.
Install a color profile
Colorprofilesareofteninstalledwhenadeviceisaddedtoyoursystem.Theaccuracyoftheseprofiles(oftencalled
generic profiles or canned profiles) varies from manufacturer to manufacturer. You can also obtain device profiles
from your service provider, download profiles from the web, or create custom profiles using professional profiling
equipment.
•In Windows, right-click a profile and select Install Profile. Alternatively, copy the profiles into the
WINDOWS\system32\spool\drivers\color folder.
•In Mac OS, copy profiles into the /Library/ColorSync/Profiles folder or the
/Users/[username]/Library/ColorSync/Profiles folder.
After installing color profiles, be sure to restart Adobe applications.
See also
“Obtaining custom profiles for desktop printers” on page 448
Embed a color profile
To embed a color profile in a document you created in Illustrator, InDesign, or Photoshop, you must save or export
the document in a format that supports ICC profiles.
1Save or export the document in one of the following file formats: Adobe PDF, PSD (Photoshop), AI (Illustrator),
INDD (InDesign), JPEG, Photoshop EPS, Large Document Format, or TIFF.

INDESIGN CS3
User Guide
453
2Select the option for embedding ICC profiles. The exact name and location of this option varies between applica-
tions. Search Adobe Help for additional instructions.
Embed a color profile (Acrobat)
YoucanembedacolorprofileinanobjectoranentirePDF.Acrobatattachestheappropriateprofile,asspecifiedin
theDestinationSpaceareaoftheConvertColorsdialogbox,totheselectedcolorspaceinthePDF.Formoreinfor-
mation, see the color conversion topics in Complete Acrobat Help.
Changing the color profile for a document
Thereareveryfewsituationsthatrequireyoutochangethecolorprofileforadocument.Thisisbecauseyourappli-
cation automatically assigns the color profile based on the settings you select in the Color Settings dialog box. The
only times you should manually change a color profile are when preparing a document for a different output desti-
nation or correcting a policy behavior that you no longer want implemented in the document. Changing the profile
is recommended for advanced users only.
You can change the color profile for a document in the following ways:
•Assign a new profile. The color numbers in the document remain the same, but the new profile may dramatically
change the appearance of the colors as displayed on your monitor.
•Remove the profile so that the document is no longer color-managed.
•(Acrobat, Photoshop and InDesign) Convert the colors in the document to the color space of a different profile.
The color numbers are shifted in an effort to preserve the original color appearances.
Assign or remove a color profile (Illustrator, Photoshop)
1Choose Edit > Assign Profile.
2Select an option, and click OK:
Don’t Color Manage This Document Removestheexistingprofilefromthedocument.Selectthisoptiononlyifyou
are sure that you do not want to color-manage the document. After you remove the profile from a document, the
appearance of colors is defined by the application’s working space profiles.
Working [color model: working space] Assigns the working space profile to the document.
Profile Lets you select a different profile. The application assigns the new profile to the document without
converting colors to the profile space. This may dramatically change the appearance of the colors as displayed on
your monitor.
See also
“Changing the color profile for a document” on page 453
Assign or remove a color profile (InDesign)
1Choose Edit > Assign Profiles.
2For RGB Profile and CMYK Profile, select one of the following:
Discard (Use Current Working Space) Removestheexistingprofilefromthedocument.Selectthisoptiononlyifyou
are sure that you do not want to color-manage the document. After you remove the profile from a document, the

INDESIGN CS3
User Guide
454
appearanceofcolorsisdefinedbytheapplication’sworkingspaceprofiles,andyoucannolongerembedaprofilein
the document.
Assign Current Working Space [working space] Assigns the working space profile to the document.
Assign Profile Lets you select a different profile. The application assigns the new profile to the document without
converting colors to the profile space. This may dramatically change the appearance of the colors as displayed on
your monitor.
3Choose a rendering intent for each type of graphic in your document. For each graphic type, you can choose one
of the four standard intents, or the Use Color Settings Intent, which uses the rendering intent currently specified in
the Color Settings dialog box. For more information on rendering intents, search in Help.
The graphic types include the following:
Solid Color Intent Sets the rendering intent for all vector art (solid areas of color) in InDesign native objects.
Default Image Intent Sets the default rendering intent for bitmap images placed in InDesign. You can still override
this setting on an image-by-image basis.
After-Blending Intent Sets the rendering intent to the proofing or final color space for colors that result from trans-
parency interactions on the page. Use this option when your document includes transparent objects.
4To preview the effects of the new profile assignment in the document, select Preview, and then click OK.
See also
“Changing the color profile for a document” on page 453
“View or change profiles for imported bitmap images (InDesign)” on page 444
Convert document colors to another profile (Photoshop)
1Choose Edit > Convert To Profile.
2Under Destination Space, choose the color profile to which you want to convert the document’s colors. The
document will be converted to and tagged with this new profile.
3Under Conversion Options, specify a color management engine, a rendering intent, and black point and dither
options (if available). (See “Color conversion options” on page 458.)
4To flatten all layers of the document onto a single layer upon conversion, select Flatten Image.
5To preview the effects of the conversion in the document, select Preview.
See also
“Changing the color profile for a document” on page 453
Convert document colors to another profile
YouconvertcolorsinaPDFusingtheConvertColorstoolonthePrintProductiontoolbar.Formoreinformation,
see the color conversion topics in Complete Acrobat Help.

INDESIGN CS3
User Guide
455
Color settings
Customize color settings
For most color-managed workflows, it is best to use a preset color setting that has been tested by Adobe Systems.
Changing specific options is recommended only if you are knowledgeable about color management and very
confident about the changes you make.
After you customize options, you can save them as a preset. Saving color settings ensures that you can reuse them
and share them with other users or applications.
•To save color settings as a preset, click Save in the Color Settings dialog box. To ensure that the application displays
the setting name in the Color Settings dialog box, save the file in the default location. If you save the file to a
different location, you must load the file before you can select the setting.
•To load a color settings preset that’s not saved in the standard location, click Load in the Color Settings dialog box,
select the file you want to load, and click Open.
Note: In Acrobat, you cannot save customized color settings. To share customized color settings with Acrobat, you must
create the file in InDesign, Illustrator, or Photoshop, and then save it in the default Settings folder. It will then be available
in the Color Management category of the Preferences dialog box. You can also add settings manually to the default
Settings folder.
About color working spaces
Aworking space is an intermediate color space used to define and edit color in Adobe applications. Each color model
has a working space profile associated with it. You can choose working space profiles in the Color Settings dialog box.
Aworkingspaceprofileactsasthesourceprofilefornewlycreateddocumentsthatusetheassociatedcolormodel.
For example, if Adobe RGB (1998) is the current RGB working space profile, each new RGB document that you
create will use colors within the Adobe RGB (1998) gamut. Working spaces also determine the appearance of colors
in untagged documents.
If you open a document embedded with a color profile that doesn’t match the working space profile, the application
uses a color management policy to determine how to handle the color data. In most cases, the default policy is to
preserve the embedded profile.
See also
“About missing and mismatched color profiles” on page 456
“Color management policy options” on page 457
Working space options
To display working space options in Photoshop, Illustrator and InDesign, choose Edit > Color Settings. In Acrobat,
select the Color Management category of the Preferences dialog box.
To view a description of any profile, select the profile and then position the pointer over the profile name. The
description appears at the bottom of the dialog box.
RGB Determines the RGB color space of the application. In general, it’s best to choose Adobe RGB or sRGB, rather
than the profile for a specific device (such as a monitor profile).

INDESIGN CS3
User Guide
456
sRGB is recommended when you prepare images for the web, because it defines the color space of the standard
monitor used to view images on the web. sRGB is also a good choice when you work with images from consumer-
level digital cameras, because most of these cameras use sRGB as their default color space.
Adobe RGB is recommended when you prepare documents for print, because Adobe RGB’s gamut includes some
printable colors (cyans and blues in particular) that can’t be defined using sRGB. Adobe RGB is also a good choice
when working with images from professional-level digital cameras, because most of these cameras use Adobe RGB
as their default color space.
CMYKDetermines the CMYK color space of the application. All CMYK working spaces are device-dependent,
meaning that they are based on actual ink and paper combinations. The CMYK working spaces Adobe supplies are
based on standard commercial print conditions.
Gray (Photoshop) or Grayscale (Acrobat) Determines the grayscale color space of the application.
Spot (Photoshop) Specifies the dot gain to use when displaying spot color channels and duotones.
Note: In Acrobat, you can use the color space in an embedded output intent instead of a document color space for
viewing and printing. Select Output Intent Overrides Working Spaces. For more information on output intents, see
Complete Acrobat Help.
Adobe applications ship with a standard set of working space profiles that have been recommended and tested by
Adobe Systems for most color management workflows. By default, only these profiles appear in the working space
menus. To display additional color profiles that you have installed on your system, select Advanced Mode (Illustrator
and InDesign) or More Options (Photoshop). A color profile must be bi-directional (that is, contain specifications
for translating both into and out of color spaces) in order to appear in the working space menus.
Note: In Photoshop, you can create custom working space profiles. However, Adobe recommends that you use a standard
working space profile rather than create a custom profile. For more information, see the Photoshop support knowl-
edgebase at www.adobe.com/support/products/photoshop.html.
About missing and mismatched color profiles
For a newly created document, the color workflow usually operates seamlessly: Unless specified otherwise, the
document uses the working space profile associated with its color mode for creating and editing colors.
However, some existing documents may not use the working space profile that you have specified, and some existing
documentsmaynotbecolor-managed.Itiscommontoencounterthefollowingexceptionstoyourcolor-managed
workflow:
•You might open a document or import color data (for example, by copying and pasting or dragging and dropping)
fromadocumentthatisnottaggedwithaprofile.Thisisoftenthecasewhenyouopenadocumentcreatedinan
application that either does not support color management or has color management turned off.
•You might open a document or import color data from a document that is tagged with a profile different from the
current working space. This may be the case when you open a document that was created using different color
management settings, or scanned and tagged with a scanner profile.
In either case, the application uses a color management policy to decide how to handle the color data in the
document.

INDESIGN CS3
User Guide
457
If the profile is missing or does not match the working space, the application may display a warning message,
depending on options you set in the Color Settings dialog box. Profile warnings are turned off by default, but you
can turn them on to ensure the appropriate color management of documents on a case-by-case basis. The warning
messages vary between applications, but in general you have the following options:
•(Recommended) Leave the document or imported color data as it is. For example, you can choose to use the
embedded profile (if one exists), leave the document without a color profile (if one doesn’t exist), or preserve the
numbers in pasted color data.
•Adjust the document or imported color data. For example, when opening a document with a missing color profile,
you can choose to assign the current working space profile or a different profile. When opening a document with
a mismatched color profile, you can choose to discard the profile or convert the colors to the current working
space. When importing color data, you can choose to convert the colors to the current working space in order to
preserve their appearance.
Color management policy options
Acolor management policy determines how the application handles color data when you open a document or import
an image. You can choose different policies for RGB and CMYK images, and you can specify when you want warning
messages to appear. To display color management policy options, choose Edit > Color Settings.
To view a description of a policy, select the policy and then position the pointer over the policy name. The description
appears at the bottom of the dialog box.
RGB, CMYK, And Gray Specifies a policy to follow when bringing colors into the current working space (either by
opening files or importing images into the current document). (The Grayscale option is available for Photoshop
only.) Choose from the following options:
•Preserve Embedded Profiles Always preserves embedded color profiles when opening files. This is the recom-
mended option for most workflows because it provides consistent color management. One exception is if you’re
concerned about preserving CMYK numbers, in which case you should select Preserve Numbers (Ignore Linked
Profiles) instead.
•Convert To Working Space Converts colors to the current working space profile when opening files and
importing images. Select this option if you want to force all colors to use a single profile (the current working space
profile).
•Preserve Numbers (Ignore Linked Profiles) This option is available in InDesign and Illustrator for CMYK.
Preserves color numbers when opening files and importing images, but still allows you to use color management to
view colors accurately in Adobe applications. Select this option if you want to use a safe CMYK workflow. In
InDesign, you can override this policy on a per-object basis by choosing Object > Image Color Settings.
•Off Ignores embedded color profiles when opening files and importing images, and does not assign the working
space profile to new documents. Select this option if you want to discard any color metadata provided by the original
document creator.
Profile Mismatches: Ask When Opening Displays a message whenever you open a document tagged with a profile
other than the current working space. You will be given the option to override the policy’s default behavior. Select
this option if you want to ensure the appropriate color management of documents on a case-by-case basis.
Profile Mismatches: Ask When Pasting Displays a message whenever color profile mismatches occur as colors are
imported into a document through pasting or dragging-and-dropping. You will be given the option to override the
policy’sdefaultbehavior.Selectthisoptionifyouwanttoensuretheappropriatecolormanagementofpastedcolors
on a case-by-case basis.

INDESIGN CS3
User Guide
458
Missing Profiles: Ask When Opening Displays a message whenever you open an untagged document. You will be
given the option to override the policy’s default behavior. Select this option if you want to ensure the appropriate
color management of documents on a case-by-case basis.
Color conversion options
Color conversion options let you control how the application handles the colors in a document as it moves from one
color space to another. Changing these options is recommended only if you are knowledgeable about color
management and very confident about the changes you make. To display conversion options, choose Edit > Color
Settings, and select Advanced Mode (Illustrator and InDesign) or More Options (Photoshop). In Acrobat, select the
Color Management category of the Preferences dialog box.
Engine Specifies the Color Management Module (CMM) used to map the gamut of one color space to the gamut of
another. For most users, the default Adobe (ACE) engine fulfills all conversion needs.
To view a description of an engine or intent option, select the option and then position the pointer over the option
name. The description appears at the bottom of the dialog box.
Intent (Photoshop, Illustrator, InDesign) Specifies the rendering intent used to translate one color space to another.
Differences between rendering intents are apparent only when you print a document or convert it to a different
working space.
Use Black Point Compensation Ensures that the shadow detail in the image is preserved by simulating the full
dynamic range of the output device. Select this option if you plan to use black point compensation when printing
(which is recommended in most situations).
Use Dither (Photoshop) Controls whether to dither colors when converting 8-bit-per-channel images between color
spaces.WhentheUseDitheroptionisselected,Photoshopmixescolorsinthedestinationcolorspacetosimulatea
missing color that existed in the source space. Although dithering helps to reduce the blocky or banded appearance
of an image, it may also result in larger file sizes when images are compressed for web use.
About rendering intents
Arendering intent determines how a color management system handles color conversion from one color space to
another. Different rendering intents use different rules to determine how the source colors are adjusted; for example,
colors that fall inside the destination gamut may remain unchanged, or they may be adjusted to preserve the original
range of visual relationships when translated to a smaller destination gamut. The result of choosing a rendering
intent depends on the graphical content of documents and on the profiles used to specify color spaces. Some profiles
produce identical results for different rendering intents.
In general, it is best to use the default rendering intent for the selected color setting, which has been tested by Adobe
Systems to meet industry standards. For example, if you choose a color setting for North America or Europe, the
default rendering intent is Relative Colorimetric. If you choose a color setting for Japan, the default rendering intent is
Perceptual.
You can select a rendering intent when you set color conversion options for the color management system, soft-proof
colors, and print artwork:
Perceptual Aims to preserve the visual relationship between colors so it’s perceived as natural to the human eye, even
though the color values themselves may change. This intent is suitable for photographic images with lots of out-of-
gamut colors. This is the standard rendering intent for the Japanese printing industry.

INDESIGN CS3
User Guide
459
Saturation Tries to produce vivid colors in an image at the expense of color accuracy. This rendering intent is
suitable for business graphics like graphs or charts, where bright saturated colors are more important than the exact
relationship between colors.
Relative Colorimetric Comparestheextremehighlightofthesourcecolorspacetothatofthedestinationcolorspace
and shifts all colors accordingly. Out-of-gamut colors are shifted to the closest reproducible color in the destination
color space. Relative Colorimetric preserves more of the original colors in an image than Perceptual. This is the
standard rendering intent for printing in North America and Europe.
Absolute Colorimetric Leaves colors that fall inside the destination gamut unchanged. Out-of-gamut colors are
clipped. No scaling of colors to destination white point is performed. This intent aims to maintain color accuracy at
the expense of preserving relationships between colors and is suitable for proofing to simulate the output of a
particular device. This intent is particularly useful for previewing how paper color affects printed colors.
Advanced controls in Photoshop
In Photoshop you display advanced controls for managing color by choosing Edit > Color Settings and selecting
More Options.
Desaturate Monitor Colors By Determines whether to desaturate colors by the specified amount when displayed on
the monitor. When selected, this option can aid in visualizing the full range of color spaces with gamuts larger than
that of the monitor. However, this causes a mismatch between the monitor display and the output. When the option
is deselected, distinct colors in the image may display as a single color.
Blend RGB Colors Using Gamma Controls how RGB colors blend together to produce composite data (for example,
when you blend or paint layers using Normal mode). When the option is selected, RGB colors are blended in the
color space corresponding to the specified gamma. A gamma of 1.00 is considered “colorimetrically correct” and
should result in the fewest edge artifacts. When the option is deselected, RGB colors are blended directly in the
document’s color space.
Note: When you select Blend RGB Colors Using Gamma, layered documents will look different when displayed in other
applications than they do in Photoshop.

460
Chapter 17: Trapping color
The quality of a printer’s work depends in large part on getting different inks to print exactly in register. To minimize
the effects of misregistration, commercial printers developed a technique called trapping.
Trapping documents and books
About ink trapping
When an offset printed document uses more than one ink on the same page, each ink must be printed in register
(perfectly aligned) with any other inks that it abuts, so that there is no gap where the different inks meet. However,
it’s impossible to ensure exact registration for every object on every sheet of paper running through a printing press,
so misregistration of inks can occur. Misregistration causes an unintended gap between inks.
You can compensate for misregistration by slightly expanding one object so that it overlaps an object of a different
color—a process known as trapping. By default, placing one ink over another knocks out, or removes, any inks under-
neath to prevent unwanted color mixing; but trapping requires that inks overprint,orprintontopofeachother,so
that at least a partial overlap is achieved.
Misregistration with no trap (left) and with trap (right)
Most traps employ spreading—expanding a light object into a dark object. Because the darker of two adjacent colors
defines the visible edge of the object or text, expanding the lighter color slightly into the darker color maintains the
visual edge.
Trapping methods
Trap a document using any combination of methods, including the following:
•Use process colors that don’t need trapping.
•Overprint black.
•Manually overprint strokes or fills.
•Use Adobe InDesign CS3 built-in trapping or Adobe In-RIP Trapping.
•Trap imported graphics using the trapping features in the illustration programs in which they were created. Refer
to the documentation for these applications.
Choose a trapping solution that complements the color output workflow you’re using, such as Adobe PostScript or PDF.

INDESIGN CS3
User Guide
461
Avoid the need for trapping by eliminating the possibility of misregistration in your use of color. Prevent misregis-
tration by making sure that abutting process colors have common inks. For example, if you specify a dark purple
strokewithavividredfill,theywillbothcontainasignificantpercentageofmagenta.Thestroke’sandfill’scommon
magenta will print as a single area, so that if misregistration occurs in the other process inks, the magenta printing
plate will make any resulting gap hard to see.
See also
“About overprinting” on page 577
About automatic trapping
InDesign can trap color documents with its built-in trapping engine, and can also take advantage of the Adobe
In-RIP Trapping engine available on Adobe PostScript output devices that support Adobe In-RIP Trapping.
Both trapping engines calculate adjustments to the edges of both type and graphics. They apply trapping techniques
to different parts of a single object, even if text or an InDesign object overlaps several different background colors.
Trapping adjustments are made automatically, and you can define trap presets to address the requirements of specific
page ranges. You only see the effects of trapping on color separations generated by a trapping engine; you cannot see
the results on-screen within InDesign.
The trapping engine detects contrasting color edges, and then creates traps based on the neutral densities (lightness
or darkness) of abutting colors, in most cases by spreading lighter colors into adjacent darker colors. The trapping
settings you specify in the Trap Presets panel modify the trapping engine’s results.
Automatic trapping requirements
To trap documents using the InDesign built-in engine, you need a PPD that supports separations.
To trap documents using the Adobe In-RIP Trapping engine, you need the following software and hardware:
•An Adobe PostScript Level 2 or later output device that uses a RIP that supports Adobe In-RIP Trapping. To find
out if a PostScript output device supports Adobe In-RIP Trapping, contact the manufacturer or your prepress
service provider.
•A PPD (PostScript Printer Description) file for a printer that supports Adobe In-RIP Trapping. You must select
this PPD when you install the printer.
See also
“About PPD files” on page 550
Differences between built-in trapping and Adobe In-RIP Trapping
Composite color workflow With built-in trapping, you can separate a document by using InDesign or in-RIP
separations. To use Adobe In-RIP Trapping, you must use In-RIP separations.
Trap widths Built-in trapping limits trap widths to 4 points, regardless of the value you enter for the trap widths. For
larger trap widths, use Adobe In-RIP Trapping.
Vector EPS graphics Built-in trapping cannot trap placed vector EPS graphics; Adobe In-RIP Trapping traps all
imported graphics.

INDESIGN CS3
User Guide
462
Trapping imported bitmap images
Built-in trapping can trap bitmap images, such as photographs, to text and graphics. Bitmap images must be saved
using a purely pixel-based file format that supports the color requirements of commercial printing. PSD (Photoshop)
and TIFF are the most appropriate formats for commercial printing jobs; before using other formats, consult with
your prepress service provider.
If you’re using an Open Prepress Interface (OPI) server, verify that it creates for-position-only (FPO) images using
TIFF or PSD formats. If the images are TIFF or PSD, it may be possible to use built-in trapping, as long as you don’t
select any Omit For OPI options at output time. (Omit For OPI options are located in the Advanced section of the
Print dialog box when a PostScript printer is targeted.)
Note: The behavior and precision of trapping within an OPI workflow depends on many factors, such as the downsam-
pling method the OPI server uses to generate FPO images. For best results, consult with your OPI vendor for information
about integrating Adobe trapping solutions with the vendor’s OPI server.
Trapping imported vector graphics
Both Adobe In-RIP Trapping and built-in trapping can trap text and graphics created with InDesign tools, and
placed vector PDF files. However, built-in trapping cannot trap placed vector EPS graphics.
The text, paths, and frames you create in InDesign won’t trap correctly if they overlap a frame containing a placed
graphic that built-in trapping won’t trap, such as vector EPS graphics. (However, those objects will trap correctly with
Adobe In-RIP Trapping.) You may be able to use built-in trapping with documents containing vector EPS graphics
if you adjust the graphic’s frame. If the placed EPS graphic isn’t rectangular, try reshaping the frame closer to the
graphic itself, and away from other objects. For example, you might choose Object > Clipping Path to fit the graphics
frame more tightly around the graphic.
InDesign text and graphics that overlap placed EPS graphics (left) won’t trap correctly; to achieve good trapping, reshape the frame so that it
doesn’t touch other objects (right).
Trapping text
Both the Adobe In-RIP and built-in trapping engines can trap text characters to other text and graphics. (Built-in
trapping requires that the text and graphics are created with InDesign, and aren’t contained in imported graphics.)
A text character overlapping different background colors traps accurately to all of the colors.
Adobe In-RIP Trapping can trap all types of fonts. In contrast, built-in trapping works best with Type 1, Open Type,
and Multiple Master fonts only; using TrueType fonts may result in inconsistent traps. If your document must use
TrueType fonts and you want to use built-in trapping, consider converting all TrueType text to outlines by selecting
thetextandchoosingType>CreateOutlines.ThetextwillbecomeInDesignobjectsthattrapreliably.Textcan’tbe
edited after you convert it to outlines.

INDESIGN CS3
User Guide
463
Maximizing trapping performance
Whether you use Adobe In-RIP trapping or built-in trapping, you can save time by not processing pages that don’t
need trapping, such as pages containing black text only. You can use trap presets to enable trapping only for the page
ranges that require it.
The speed with which built-in trapping is accomplished depends on the speed of your computer system. If you’re
trapping every page of a long document, use the fastest computer system you have. Built-in trapping also makes
extensive use of your computer’s hard disk, so a fast hard disk and data bus will benefit the built-in trapping engine.
To maximize the time your computers are available for other tasks, consider using Adobe In-RIP Trapping, which
processes all traps at the RIP, instead of at your computer.
Setting aside disk space for built-in trapping
To trap the edges of every color that requires trapping, the trapping engine creates a large number of paths that are
used only by the output device (the paths are not stored in your document). While Adobe In-RIP Trapping processes
and stores these additional paths at the RIP, built-in trapping uses your computer’s hard disk as a temporary storage
area for these trap paths. Before you use built-in trapping, make available as much hard disk space as possible.
The amount of disk space you’ll need depends on a wide range of factors, so it isn’t possible to predict exactly what
a particular trapping job will require. However, disk space requirements are most likely to increase when one or more
of the following characteristics of your document increase:
•Number of pages included in trapping page ranges.
•Number of overlapping color objects.
•Number of images that need to be trapped.
•Amount of text that needs to be trapped.
•Resolution of final output.
If the processing of a job that uses built-in trapping is interrupted or exhausts your disk space, trapping data may be
leftbehindonyourharddisk.Whennecessary,youcanexittheapplication,andthenfindanddeletetemporarydata
in the C:\Temp folder (Windows). In Mac OS, restart your computer.
Trap a document or book
Do not change the default trapping settings unless you’ve consulted with your prepress service provider, and you
understand how trapping options work in the context of your specific document and printing conditions.
When trapping multiple documents in a book, make sure that you assign any custom trap presets to page ranges
within the individual documents of the book. You cannot assign trapping settings to an entire book at once. However,
you can resolve conflicting presets in a document.
1If necessary, create a trap preset with custom settings for your document and press conditions.
2Assign the trap preset to a page range.
3Choose File > Print to open the Print dialog box.
4Select Output from the list on the left.
5For Color, choose either Separations or In-RIP Separations, depending on whether you’re creating on-host or
in-RIP separations.

INDESIGN CS3
User Guide
464
6For Trapping, choose one of the following options:
•Application Built-In, to use the trapping engine included with InDesign.
•Adobe In-RIP. This option works only when you target an output device that supports Adobe In-RIP Trapping.
7If your prepress service provider recommends changing ink settings, click Ink Manager. Select an ink, set the
options specified by your prepress service provider, and then click OK:
8Continue specifying other print options, and then click Print to print your document.
See also
“Create or modify a trap preset” on page 464
“About printing” on page 541
“Assign a trap preset to pages” on page 465
Trap presets
Trap Presets panel overview
Atrap preset is a collection of trapping settings you can apply to a page or range of pages in a document. The Trap
Presets panel provides an interface for entering trap settings and saving trap presets. You can apply trap presets to
any or all pages in the current document, or import the presets from another InDesign document. If you don’t apply
a trap preset to a trapping page range, that page range will use the [Default] trap preset.
See also
“About InDesign styles and presets” on page 37
View trap preset settings
1If the Trap Presets panel is not open, choose Window > Output > Trap Presets.
2Do one of the following in the Trap Presets panel:
•Double-click the preset.
•Select the preset and choose Preset Options in the panel menu.
Compress the trap presets list
❖In the Trap Presets panel, choose Small Panel Rows in the panel menu.
Identify unused trap presets
❖In the Trap Presets panel, choose Select All Unused in the panel menu. The trapping engine highlights all presets
(except [Default] and [No Trap Preset]) that have not been assigned to the current document. You can easily delete
these presets.
Create or modify a trap preset
1If the Trap Presets panel is not open, choose Window > Output > Trap Presets.
2Choose New Preset in the panel menu to create a preset, or double-click a preset to edit it.

INDESIGN CS3
User Guide
465
Note: Clicking the New Preset button at the bottom of the Trap Presets panel creates a preset based on the [Default] trap
preset settings.
3Specify the following options, and then click OK:
•Name. Type a name for the preset. You can’t change the name of the [Default] trap preset.
•Trap Width. Type values to specify the amount of overlap for inks.
•Trap Appearance. Specify options for controlling the shape of the traps.
•Images. Specify settings that determine how to trap imported bitmap images.
•Trap Thresholds. Type values to specify the conditions under which trapping occurs. Many variables affect the
values you’ll need to enter here. For more information, consult with your prepress service provider.
See also
“Trap preset options” on page 466
“Trapping imported bitmap images” on page 462
Duplicate a trap preset
❖Do one of the following:
•In the Trap Presets panel, select a preset and choose Duplicate Preset in the panel menu.
•Drag a preset to the New Preset button at the bottom of the panel.
Delete a trap preset
1In the Trap Presets panel, select the preset(s), and then do one of the following:
•Click the Delete button.
•Choose Delete Presets in the panel menu.
2If prompted to replace a trap preset, choose one in the Delete Trap Preset dialog box that appears. This dialog box
appears if at least one of the selected presets has been assigned to a page.
3Click OK to confirm the deletion.
Note: You cannot delete either of the two built-in presets: [Default] and [No Trap Preset].
Import presets from another InDesign document
1In the Trap Presets panel, choose Load Trap Presets in the panel menu.
2Select the InDesign file and click Open.
Assign a trap preset to pages
You can assign a trap preset to a document or to a range of pages in a document. Pages with no abutting colors will
print faster if you disable trapping on those pages. Trapping doesn’t actually occur until you print the document.

INDESIGN CS3
User Guide
466
Trap assignments list the presets you have applied to various pages; the trap assignments are updated each time you click Assign.
1In the Trap Presets panel, choose Assign Trap Preset in the panel menu.
2For Trap Preset, choose the preset you want to apply.
3Select the pages to which you want to apply the trap preset.
4Click Assign, and then click Done.
Note: If you click Done without clicking Assign, the dialog box closes without making any changes to the trap assign-
ments. Trap assignments previously made using the Assign button are preserved.
Set up trapping page ranges
1In the Trap Presets panel, choose Assign Trap Preset in the panel menu.
2For Trap Preset, choose the preset you want to apply to the page ranges.
3Select Range, and type one or more ranges in ascending sequence, using a hyphen for each range, and separating
pages and ranges with commas, or with commas and spaces. For example, 2-4, 6, 9-10, 12- is a valid range.
4Click Assign, and then click Done.
Disable a trapping page range
1In the Trap Presets panel, choose Assign Trap Preset in the panel menu.
2Type a page range and choose [No Trap Preset] in the Trap Preset menu.
3Click Assign, and then click Done.
Trap preset options
You can change trap preset options whenever you create or edit a trap preset. The same trap preset options are
available in Acrobat and InDesign. In Acrobat, you can view trap presets by choosing Tools > Print Production >
Trap Presets. In InDesign, choose Window > Output > Trap Presets.
Trap widths
Trap width is the amount of overlap for each trap. Differences in paper characteristics, screen rulings, and printing
press conditions require different trap widths. To determine the appropriate trap widths for each job, consult your
commercial printer.
Default Specifies the trap width in points for trapping all colors except those involving solid black. The default value
is 0p0.25.

INDESIGN CS3
User Guide
467
Black Indicates the distance that inks spread into solid black, or the holdback amount—the distance between black
edges and underlying inks for trapping rich blacks. The default value is 0p0.5. This value is often set to be 1.5 to 2
times the value of the default trap width.
In InDesign, the value you set for Black Color determines the value for a solid black or a rich black, a process black
(K) ink mixed with color inks for increased opacity and richer color.
Note: (InDesign) If you choose Application Built-In trapping, and you specify a Default trap width or Black trap width
larger than 4 points, the resulting trap width is limited to 4 points. However, the value you specified will continue to be
displayed, because if you switch to Adobe In-RIP Trapping, traps larger than 4 points are applied as you specified.
Trap appearance
Ajoin is where two trap edges meet at a common endpoint. You can control the shape of the outside join of two trap
segments and the intersection of three traps.
Join Style Controls the shape of the outside join of two trap segments. Choose from Miter, Round, and Bevel. The
default is Miter, which matches earlier trapping results to retain compatibility with previous versions of the Adobe
Trapping Engine.
Trap join examples, left to right: miter join, round join, bevel join
End Style Controls the intersection of three-way traps. Miter (the default) shapes the end of the trap to keep it away
from the intersecting object. Overlap affects the shape of the trap generated by the lightest neutral density object that
intersects with two or more darker objects. The end of the lightest trap is wrapped around the point where the three
objects intersect.
Close-up of trap end examples: miter (left) and overlap (right)
Trap thresholds
Step Specifies the color change threshold at which the trapping engine creates a trap. Some jobs need only the most
extreme color changes trapped, while others require traps for more subtle color changes. The Step value indicates the
degree to which components (such as CMYK values) of abutting colors must vary before trapping occurs.

INDESIGN CS3
User Guide
468
To change how much the component inks in abutting colors can vary before causing those colors to trap, increase or
decrease the value for Step in the New Trap Preset or Modify Trap Preset Options dialog box. The default is 10%. For
best results, use a value from 8% to 20%. Lower percentages increase sensitivity to color differences and result in
more traps.
Black Color Indicates the minimum amount of black ink required before the Black trap width setting is applied. The
default value is 100%. For best results, use a value no lower than 70%.
Black Density Indicates the neutral density value at or above which InDesign considers an ink to be black. For
example, if you want a dark spot ink to use the Black trap width setting, enter the neutral density value here. This
value is typically set near the default of 1.6.
Sliding Trap Determines when the trapping engine starts to straddle the centerline of the color boundary. The value
refers to the proportion of the lighter color’s neutral density value to a darker, abutting color’s neutral density value.
For example, setting the Sliding Trap value to 70% moves the point at which the trap begins to straddle the centerline
to where the lighter color exceeds 70% of the darker color in neutral density (lighter color’s neutral density divided
by darker color’s neutral density > 0.70). Colors of identical neutral density will always have their traps exactly
straddle the centerline, unless the Sliding Trap is set to 100%.
Trap Color Reduction Indicates the degree to which components from abutting colors are used to reduce the trap
color. This setting is useful for preventing certain abutting colors (such as pastels) from making an unsightly trap
that is darker than either color. Specifying a Trap Color Reduction lower than 100% begins to lighten the color of the
trap; a Trap Color Reduction value of 0% makes a trap with a neutral density equal to the neutral density of the darker
color.
Trapping imported graphics
You can create a trap preset to control traps within images, and to control traps between bitmap images (such as
photographs and those saved in raster PDF files) and vector objects (such as those from a drawing program and
vector PDF files). Each trapping engine handles imported graphics differently. It’s important to be aware of these
differences when setting trapping options.
Trap Placement Provides options for determining where the trap falls when you trap vector objects (including
objects drawn in InDesign) to bitmap images. All options except Neutral Density create a visually consistent edge.
Center creates a trap that straddles the edge between objects and images. Choke causes objects to overlap the
abutting image. Neutral Density applies the same trapping rules as used elsewhere in the document. Trapping an
object to a photograph with the Neutral Density setting can result in noticeably uneven edges as the trap moves from
one side of the edge to another. Spread causes the bitmap image to overlap the abutting object.
Trap Objects To Images Ensures that vector objects (such as frames used as keylines) trap to images, using the Trap
Placement settings. If vector objects don’t overlap images in a trapping page range, consider turning this option off
to speed trapping of that page range.
Trap Images To Images Turns on trapping along the boundary of overlapping or abutting bitmap images. This
feature is on by default.
Trap Images Internally Turns on trapping among colors within each individual bitmap image (not just where they
touch vector artwork and text). Use this option only for page ranges containing simple, high-contrast images, such
as screen shots or cartoons. Leave it unselected for continuous-tone and other complicated images, as it will create
bad traps. Trapping is faster when this option is unselected.
Trap 1-Bit Images Ensures that 1-bit images trap to abutting objects. This option doesn’t use the Image Trap
Placement settings, because 1-bit images use only one color. In most cases, leave this option selected. In some cases,
such as with 1-bit images where pixels are widely spaced, selecting this option may darken the image and slow the
trapping.

INDESIGN CS3
User Guide
469
Set sliding traps
1Choose New Preset in the panel menu to create a preset, or double-click a preset to edit it.
2In the Trap Thresholds section, for Sliding Trap, enter a percentage from 0 to 100, or use the default of 70%. At
0%, all traps default to centerline; at 100%, sliding traps are turned off, forcing one color to be spread fully into
another regardless of the neutral density relationship of the abutting colors.
About trapping black
When creating or editing presets, the value you type for Black Color determines what is considered solid black and
rich black. A rich black is any black color that uses a support screen—additional percentages of one or more process
inks to strengthen the black.
The Black Color setting is useful when you must compensate for extreme dot gain (as when using low-grade paper
stock). These situations cause black percentages lower than 100% to print as solid areas. By screening back blacks or
rich blacks (using tints of solid black) and decreasing the Black Color setting from its default of 100%, you can
compensate for dot gain and ensure that the trapping engine will apply the proper trap width and placement to black
objects.
When a color reaches the Black Color value, the Black trap width value is applied to all abutting colors, and keepaway
traps are applied to rich black areas using the Black trap width value.
If support screens extend all the way to the edge of a black area, any misregistration causes the edges of support
screens to become visible, creating an unwanted halo or distorting the edges of objects. The trapping engine uses a
keepaway, or a holdback, for rich blacks to keep support screens a specified distance away from edges of reversed-out
or light elements in the foreground, so that the light elements retain their sharpness. You control the distance of
support screens from the edges of black areas by specifying the Black trap width value.
Note: If the element you’re trapping is a thin element, such as a black keyline around graphics, the trapping engine
overrides the Black trap width setting and limits the trap to half the width of the thin element.
Set the trap width for colors next to black
1Choose New Preset in the panel menu to create a preset, or double-click a preset to edit it.
2In the Trap Width section, for Black, enter a distance (in points) for how far you want other colors to spread into
black, or for how far you want support screens choked back under black. Typically, the Black trap width is set to be
1.5 to 2 times the value of the Default trap width.
3For Black Color and Black Density, set values.
Note: To use black trapping features, a color area must use an ink with a neutral density greater than or equal to the
Black Density, and the ink must occur in percentages greater than or equal to the Black Color.
See also
“Trap Presets panel overview” on page 464
“Trap preset options” on page 466

INDESIGN CS3
User Guide
470
Printing books with conflicting trap presets
You can apply one trap preset to one sheet of output, such as one page. Normally this is not a concern. However, if
you print multiple documents in a book, and each document or page has a different trap preset, InDesign can resolve
some trap preset conflicts by synchronizing presets among documents:
•If documents in a book use different trap presets with the same name, InDesign assigns the trap preset used in the
master document, provided you’ve selected the Trap Preset option in the Synchronize Options dialog box.
•The synchronizing feature makes all the master document’s presets available to the other documents in the book,
but does not assign them; you have to assign trap presets in each document, or use the [Default] trap preset. The
presets appear in the Trap Preset menu of the document’s Assign Trap Presets dialog box.
Note: If different trap presets are applied to pages in a spread, InDesign honors each trap preset.
See also
“Synchronize book documents” on page 275
Adjusting ink options for trapping
Adjusting ink neutral density values
By adjusting the ink neutral density (ND) values that the selected trapping engine uses, you can determine the
precise placement of traps. The default ND values for process inks are based on the neutral density readings of
process ink swatches that conform to industry standards in different parts of the world. The language version deter-
mines which standard it conforms to. For example, the ND values for the U.S. English and Canadian versions
conform to the Specifications for Web Offset Publications (SWOP) solid ink density values published by the Graphic
Arts Technical Foundation of North America. You can adjust process ink neutral densities to match printing
industry standards in other parts of the world.
The trapping engine derives the ND values for a spot color from its CMYK equivalent. For most spot colors, the ND
values of their CMYK equivalents are accurate enough for proper trap creation. Spot inks that aren’t easily simulated
using process inks, such as metallic inks and varnishes, may need their ND values adjusted so that the trapping
engine can trap them correctly. By typing new values, you can ensure that an ink that is observably darker or lighter
is recognized that way by the trapping engine; the appropriate trap placement is then applied automatically.
You can get the appropriate neutral density value for a given ink by asking your commercial printer. The most
accurate method of determining an ink’s ND value is by measuring a swatch of the ink with a commercial densito-
meter. Read the “V” or visual density of the ink (don’t use process filters). If the value differs from the default setting,
type the new value in the ND text box.
Note: Changing the neutral density for a spot color affects only how that color will trap. It doesn’t change the appearance
of that color in your document.
Follow these guidelines when adjusting ND values:
Metallic and opaque inks Metallic inks are usually darker than their CMYK equivalents, while opaque inks obscure
any ink beneath them. In general, you should set the ND values for both metallic and opaque spot colors much
higher than their default values to ensure that these spot colors won’t spread.
Note: Setting an ink to Opaque or Opaque Ignore in the Type menu of the Ink Manager prevents an opaque ink from
spreading into other colors, unless another opaque ink has a higher ND value.
Pastel inks These inks are normally lighter than their process equivalents. You may want to set the ND value for
these inks lower than their default values to ensure that they spread into adjacent darker colors.

INDESIGN CS3
User Guide
471
Other spot inks Some spot colors, such as turquoise or neon orange, are significantly darker or lighter than their
CMYK equivalents. You can determine whether this is the case by comparing printed swatches of the actual spot inks
to printed swatches of their CMYK equivalents. You can adjust the spot ink’s ND value higher or lower as necessary.
Customize trapping for specialty inks
Using certain inks involves special trapping considerations. For example, if you are using a varnish on your
document, you don’t want the varnish to affect trapping. However, if you’re overprinting certain areas with a
completely opaque ink, you don’t need to create traps for items underneath. Ink options are available for these situa-
tions. It’s usually best not to change the default settings, unless your prepress service provider recommends changing
them.
Note: The speciality inks and varnishes used in the document may have been created by mixing two spot inks or by
mixing a spot ink with one or more process inks.
1Open the Ink Manager and select an ink that requires special treatment.
2For Type, choose one of the following options, and then click OK:
Normal Use for traditional process inks and most spot inks.
Transparent Use for clear inks to ensure that underlying items trap. Use this option for varnishes and dieline inks.
Opaque Use for heavy, nontransparent inks to prevent trapping of underlying colors but allow for trapping along
the ink’s edges. Use this option for metallic inks.
Opaque Ignore Use for heavy, nontransparent inks to prevent trapping of underlying colors and to prevent trapping
along the ink’s edges. Use this option for those inks, such as metallics and varnishes, that have undesirable interac-
tions with other inks.
See also
“Ink Manager overview” on page 583
“Mixing inks” on page 433
Adjust the trapping sequence
The trapping sequence (also called the trapping order) matches the order in which inks are printed at the press, but
it doesn’t match the order in which separations are produced at the output device.
The trapping sequence is particularly important when you’re printing with multiple opaque colors, such as metallic
inks. Opaque inks with lower sequence numbers are spread under opaque inks with higher sequence numbers. This
process prevents the last applied ink from being spread, and it still creates good traps.
Note: Don’t alter the default trapping sequence without first consulting with your prepress service provider.
1Open the Ink Manager. The current trapping sequence is displayed in the Sequence column of the inks list.
2Select an ink, type a new value for Trapping Sequence, and then press Tab. The sequence number of the selected
ink changes, and the other sequence numbers change accordingly.
3Repeat the previous step for as many inks as necessary, and then click OK.
See also
“Ink Manager overview” on page 583

472
Chapter 18: Creating Adobe PDF files
Export Adobe InDesign CS3 documents to PDF format, which preserves the look and content of the original
InDesigndocuments.PDFfilescanbeviewedinAdobeAcrobatorAdobeReader®onalmostanyplatform.Enhance
your PDFs by adding interactivity features such as bookmarks, hyperlinks, buttons, and media files.
Exporting to Adobe PDF
About Adobe PDF
Portable Document Format (PDF) is a universal file format that preserves the fonts, images, and layout of source
documents created on a wide range of applications and platforms. Adobe PDF is the standard for the secure, reliable
distribution and exchange of electronic documents and forms around the world. Adobe PDF files are compact and
complete, and can be shared, viewed, and printed by anyone with free Adobe Reader® software.
Adobe PDF is highly effective in print publishing workflows. By saving a composite of your artwork in Adobe PDF,
you create a compact, reliable file that you or your service provider can view, edit, organize, and proof. Then, at the
appropriate time in the workflow, your service provider can either output the Adobe PDF file directly, or process it
using tools from various sources for such post-processing tasks as preflight checks, trapping, imposition, and color
separation.
When you save in Adobe PDF, you can choose to create a PDF/X-compliant file. PDF/X (Portable Document Format
Exchange) is a subset of Adobe PDF that eliminates many of the color, font, and trapping variables that lead to
printing problems. PDF/X may be used wherever PDFs are exchanged as digital masters for print production—
whether at the creation or output stage of the workflow, as long as the applications and output devices support
PDF/X.
Adobe PDFs can solve the following problems associated with electronic documents:
Common problem Adobe PDF solution
Recipients can't open files
because they don't have the
applications used to create
the files.
Anyone, anywhere can open a
PDF. All you need is the free
Adobe Reader software.

INDESIGN CS3
User Guide
473
Export to PDF
Exporting a document or book to Adobe PDF is as simple as using the default High Quality Print settings, or as
customized as you need it to be to suit your task. The PDF export settings you specify are saved with the application,
and will apply to every new InDesign document or book you export to PDF until you change them again. To quickly
apply custom settings to PDF files, you can use presets.
You can export a document, a book, or selected documents in a book as a single PDF file. You can also copy content
from your InDesign layout to the Clipboard, and automatically create an Adobe PDF file of that content. (This is
useful for pasting a PDF file into another application, such as Adobe Illustrator.)
WhenyouexportanInDesignfiletoPDF,youcanpreservenavigationelementssuchastableofcontentsandindex
entries, and interactivity features such as hyperlinks, bookmarks, media clips, and buttons. You also have the option
of exporting hidden layers, nonprinting layers, and nonprinting objects to PDF. If you’re exporting a book, you can
merge identically named layers by using the Book panel.
See also
“Adobe PDF options” on page 478
“PDF compatibility levels” on page 478
Export an open document to PDF
1Choose File > Export.
2Specify a name and location for the file.
Note: To display Adobe Version Cue options in the Export dialog box, click the Use Adobe Dialog button.
3For Save As Type (Windows) or Format (Mac OS), choose Adobe PDF, and then click Save.
4Do one of the following:
•To use a predefined set of job options, choose a preset from the Adobe PDF Preset menu.
•To create a PDF/X file, either choose a PDF/X preset from the Adobe PDF Preset menu, or choose a predefined
PDF/X format from the Standard menu.
•To customize options, select a category from the list on the left and then set the options.
Combined paper and elec-
tronic archives are difficult to
search, take up space, and
require the application in
which a document was
created.
PDFs are compact and fully
searchable, and can be
accessed at any time using
Reader. Links make PDFs easy
to navigate.
Documentsappearincorrectly
on handheld devices.
Tagged PDFs allow text to
reflow for display on mobile
platforms such as Palm OS®,
Symbian™, and Pocket PC®
devices.
Documents with complex
formatting are not accessible
to visually impaired readers.
Tagged PDFs contain informa-
tion on content and structure,
which makes them accessible
on-screen readers.
Common problem Adobe PDF solution

INDESIGN CS3
User Guide
474
5For Compatibility, choose the lowest PDF version necessary to open the files you create.
6Click Export (Windows) or Save (Mac OS).
To reset options to the default, in the Adobe PDF Export dialog box, hold down Alt (Windows) or Option (Mac OS)
and click Reset. (The Cancel button changes to Reset.)
Prepare layers before exporting a book to PDF
When you export a book to PDF, you can show and hide InDesign layers in the PDF document. To avoid duplication
of layer names in the PDF, you can merge the layers on export.
If the Merge Identically Named Layers On Export option is selected, layer names appear under the same book name
in Acrobat or Reader. If this option is not selected, layer names appear separately under each document name.
1If you don’t want certain layers to be merged, give them unique names in each book document.
Layer names are case-sensitive, so “Art” and “art” layers are not merged.
2In the Book panel menu, select Merge Identically Named Layers On Export.
Note: When you export the book to PDF, make sure that Create Acrobat Layers is selected. To select this option, you must
use Acrobat 6 (PDF 1.5) or later compatibility.
Export a book to PDF
1Do one of the following:
•To create a PDF of the entire book, click in a blank area of the Book panel to deselect any selected documents, and
choose Export Book To PDF in the Book panel menu.
•To create a PDF of documents within a book, select the document or documents in the Book panel, and choose
Export Selected Documents To PDF in the Book panel menu.
2Specify a name and location for the PDF file, and then click Save.
3EitherchooseapresetfromtheAdobePDFPresetmenu,orselectacategoryfromthelistontheleftoftheExport
Adobe PDF dialog box, and then customize the options.
4Click Export (Windows) or Save (Mac OS).
Reducing the size of PDFs
For PDF files that are intended to be distributed for viewing purposes only, you may want to reduce the size of PDF
files when you export from InDesign. Here are some of the size reduction techniques you can use in the Export
Adobe PDF dialog box:
•Choose [Smallest File Size] from the Adobe PDF Preset menu.
•IntheCompressionarea,downsampleimagesto72pixelsperinch,selectautomaticcompression,andselecteither
low- or medium-image quality for color and grayscale images. When you work with photographic images, use
Automatic (JPEG 2000) compression; when you work with images that are mostly solid color, such as charts and
graphs, use ZIP compression.
•In the Output area, use the Ink Manager to convert spot colors to process colors.
To reduce the size of PDFs, simply open the PDF in Acrobat 8.0 or later, choose Document > Reduce File Size, and
then specify the compatibility level. For greater control, choose Advanced > PDF Optimizer.
For more information on reducing the size of PDF files, see Acrobat Help and the Adobe website.

INDESIGN CS3
User Guide
475
Adobe PDF presets
A PDF preset is a group of settings that affect the process of creating a PDF. These settings are designed to balance
file size with quality, depending on how the PDF will be used. Most predefined presets are shared across Adobe
Creative Suite components, including InDesign, Illustrator, Photoshop, and Acrobat. You can also create and share
custom presets for your unique output requirements.
A few of the presets listed below are not available until you move them—as needed—from the Extras folder (where
they are installed by default) to the Settings folder. Typically, the Extras and Settings folders are found in (Windows
Vista) ProgramData\Adobe\AdobePDF, (Windows XP) Documents and Settings\All Users\Application
Data\Adobe\Adobe PDF, or (Mac OS) Library/Application Support/Adobe PDF. Some presets are not available in
some Creative Suite components.
Review your PDF settings periodically. The settings do not automatically revert to the default settings. Applications
and utilities that create PDFs use the last set of PDF settings defined or selected.
High Quality Print Creates PDFs for quality printing on desktop printers and proofing devices. This preset uses PDF
1.4 (Windows) or PDF 1.6 (Mac OS), downsamples color and grayscale images to 300 ppi and monochrome images
to 1200 ppi, embeds subsets of all fonts, leaves color unchanged, and does not flatten transparency (for file types
capable of transparency). These PDFs can be opened in Acrobat 5.0 and Acrobat Reader 5.0 and later. In InDesign,
this preset also creates tagged PDFs.
Illustrator Default (Illustrator only) Creates a PDF in which all Illustrator data is preserved. PDFs created with this
preset can be reopened in Illustrator without any loss of data.
Oversized Pages (Acrobat only) Creates PDFs suitable for viewing and printing of engineering drawings larger than
200 x 200 inches. These PDFs can be opened in Acrobat and Reader 7.0 and later.
PDF/A-1b: 2005 (CMYK and RGB) (Acrobat only) Used for long-term preservation (archival) of electronic
documents. PDF/A-1b uses PDF 1.4 and converts all colors to either CMYK or RGB, depending on which standard
you choose. These PDFs can be opened in Acrobat and Reader versions 5.0 and later.
PDF/X-1a (2001 and 2003) PDF/X-1a requires all fonts to be embedded, the appropriate PDF bounding boxes to be
specified, and color to appear as CMYK, spot colors, or both. Compliant files must contain information describing
the printing condition for which they are prepared. PDF files created with PDF/X-1a compliance can be opened in
Acrobat 4.0 and Acrobat Reader 4.0 and later.
PDF/X-1a uses PDF 1.3, downsamples color and grayscale images to 300 ppi and monochrome images to 1200 ppi,
embeds subsets of all fonts, creates untagged PDFs, and flattens transparency using the High Resolution setting.
Note: The PDF/X1-a:2003 and PDF/X-3 (2003) presets are placed on your computer during installation but are not
available until you move them from the Extras folder to the Settings folder.
PDF/X-4 (2007) In Acrobat 8, this preset is called PDF/X-4 DRAFT to reflect the draft state of the ISO specification
at Acrobat ship time. This preset is based on PDF 1.4, which includes support for live transparency. PDF/X-4 has the
same color management and International Color Consortium (ICC) color specifications as PDF/X-3. You can create
PDF/X-4-compliant files directly with Creative Suite 3 components (Illustrator, InDesign, and Photoshop). In
Acrobat 8, use the Preflight feature to convert PDFs to PDF/X-4 DRAFT.
PDF files created with PDF/X-4 compliance can be opened in Acrobat 7.0 and Reader 7.0 and later.
Press Quality Creates PDF files for high-quality print production (for example, for digital printing or for separations
to an imagesetter or platesetter), but does not create files that are PDF/X-compliant. In this case, the quality of the
content is the highest consideration. The objective is to maintain all the information in a PDF file that a commercial
printer or print service provider needs in order to print the document correctly. This set of options uses PDF 1.4,

INDESIGN CS3
User Guide
476
converts colors to CMYK, downsamples color and grayscale images to 300 ppi and monochrome images to 1200 ppi,
embeds subsets of all fonts, and preserves transparency (for file types capable of transparency).
These PDF files can be opened in Acrobat 5.0 and Acrobat Reader 5.0 and later.
Note: Before creating an Adobe PDF file to send to a commercial printer or print service provider, find out what the
output resolution and other settings should be, or ask for a .joboptions file with the recommended settings. You might
need to customize the Adobe PDF settings for a particular provider and then provide a .joboptions file of your own.
Rich Content PDF Creates accessible PDF files that include tags, hyperlinks, bookmarks, interactive elements, and
layers. This set of options uses PDF 1.5 and embeds subsets of all fonts. It also optimizes files for byte serving. These
PDF files can be opened in Acrobat 6.0 and Adobe Reader 6.0 and later. (The Rich Content PDF preset is in the
Extras folder.)
Note: This preset was called eBook in earlier versions of some applications.
Smallest File Size Creates PDF files for displaying on the web or an intranet, or for distribution through an e-mail
system. This set of options uses compression, downsampling, and a relatively low image resolution. It converts all
colors to sRGB, and (for Distiller-based conversions) does not embed fonts. It also optimizes files for byte serving.
These PDF files can be opened in Acrobat 5.0 and Acrobat Reader 5.0 and later.
Standard (Acrobat only) Creates PDF files to be printed to desktop printers or digital copiers, published on a CD, or
sent to a client as a publishing proof. This set of options uses compression and downsampling to keep the file size
down, but also embeds subsets of all (allowed) fonts used in the file, converts all colors to sRGB, and prints to a
medium resolution. Note that Windows font subsets are not embedded by default. PDF files created with this settings
file can be opened in Acrobat 5.0 and Acrobat Reader 5.0 and later.
For more information about shared PDF settings for Creative Suite components, see the PDF Integration Guide on
the Creative Suite DVD.
Customize Adobe PDF presets
Although the default PDF presets are based on best practices, you may discover that your workflow, or perhaps your
printer’s workflow, requires specialized PDF settings that aren’t available via any of the built-in presets. If this is the
case, you or your service provider can create custom presets. Adobe PDF presets are saved as .joboptions files.
1Choose File > Adobe PDF Presets > Define.
2Do one of the following:
•To create a new preset, click New. If you want to base the new preset on an existing preset, select the preset first.
Set PDF options, and click OK. (See “Adobe PDF options” on page 478.)
•To edit an existing custom preset, select the preset and click Edit. (You cannot edit the default presets.) Set PDF
options, and click OK.
•To delete a preset, select it and click Delete.
•TosaveapresetinalocationotherthanthedefaultSettingsfolderintheAdobePDFfolder,selectitandclickSave
As. Specify a location and click Save.
Alternatively, you can create a custom preset when you save a PDF file by clicking Save Preset at the bottom of the
Export Adobe PDF dialog box. Enter a name for the preset and click OK.

INDESIGN CS3
User Guide
477
Load Adobe PDF presets
New PDF presets (.joboptions files) that you create are stored in the Settings folder in the following locations:
Windows XP Documents and Settings\[username]\Application Data\Adobe\[Version]\Adobe PDF (Windows)
Windows Vista Users\[username]\AppData\Roaming\Adobe\InDesign\[Version]\Adobe PDF
Mac OS[username]/Library/Application Support/Adobe/Adobe PDF (Mac OS)
These presets automatically appear in the Adobe PDF Presets menu.
Supplementary InDesign PDF presets are installed in the Adobe PDF\Extras folder. Use your system search utility
to locate additional .joboptions files. You may also receive custom PDF presets from service providers and
colleagues. For these presets to be listed in the Adobe PDF Presets menu, they must be moved to the Settings folder
either manually or by using the Load command.
Load PDF presets
The Load command is useful if you want to load PDF presets that someone sent you, or to load PDF presets from
InDesign CS2.
1Choose File > Adobe PDF Presets > Define.
2Click Load and select the .joboptions file you want to load.
The .joboptions file is copied to the Settings folder where new PDF presets are stored.
To make a .joboptions file available in the Adobe PDF Presets menu, you can also drag it to the Settings folder where
your PDF presets are stored.
Convert PDF presets from InDesign CS
InDesign CS and earlier export PDF presets with .pdfs extensions, while InDesign CS2 and later export PDF presets
with .joboptions extensions. Importing a PDFS file converts it to a .joboptions file, and overrides settings as
necessary. For example, if Monitor RGB was selected as the destination profile in the Output area in InDesign CS, it
is automatically changed to Document RGB in InDesign CS3.
1Choose File > Adobe PDF Presets > Define.
2Click Load.
3Choose Previous-version PDF Settings Files (.pdfs) from the Enable menu (Windows) or All Files from the Enable
menu (Macintosh).
4Double-click the file you want to convert.
The file becomes selected in the list of Adobe PDF presets.

INDESIGN CS3
User Guide
478
Adobe PDF options
Adobe PDF option categories
You can set PDF options when you export to PDF or when you create or edit PDF presets. Adobe PDF options are
divided into categories. The categories are listed on the left side of the Export Adobe PDF dialog box, with the
exception of the Standard and Compatibility options, which are at the top of the dialog box. When you’re exporting
to PDF, changing any of the options causes “modified” to appear at the end of the preset name.
Standard Specifies a PDF/X format for the file.
Compatibility Specifies a PDF version for the file.
General Specifies basic file options.
Compression
Specifies if artwork should be compressed and downsampled, and if so, which method and settings to use.
Marks and Bleeds Specifies printer’s marks and the bleed and slug areas. Although the options are the same as in the
Print dialog box, the calculations are subtly different because a PDF is not output to a known page size.
Output Controls how colors and PDF/X output intent profiles are saved in the PDF file.
Advanced Controls how fonts, OPI specifications, transparency flattening, and JDF instructions are saved in the
PDF file.
Security Adds security to the PDF file. Security options are not available when you create or edit a PDF preset.
Summary Displays a summary of the current PDF settings. You can click the arrow next to a category (for example,
General) to view individual settings. To save the summary as an ASCII text file, click Save Summary. A warning
icon appears with explanatory text if a setting in the selected preset cannot be honored and must be remapped.
For example, if a preset specifies source profiles that don’t match the current color settings file, then the profiles
specified by the color settings file will be used.
About PDF/X standards
PDF/X standards are defined by the International Organization for Standardization (ISO). PDF/X standards apply
to graphic content exchange. During PDF conversion, the file that is being processed is checked against the specified
standard. If the PDF will not meet the selected ISO standard, a message appears, asking you to choose between
canceling the conversion or going ahead with the creation of a non-compliant file. The most widely used standards
for a print publishing workflow are several PDF/X formats: PDF/X-1a, PDF/X-3, and (in 2007) PDF/X-4.
Note: For more information on PDF/X, see the ISO website and the Adobe website.
PDF compatibility levels
WhenyoucreatePDFs,youneedtodecidewhichPDFversiontouse.YoucanchangethePDFversionbyswitching
to a different preset or choosing a compatibility option when you save as PDF or edit a PDF preset.
Generally speaking, unless there’s a specific need for backward compatibility, you should use the most recent version
(in this case version 1.7). The latest version will include all the newest features and functionality. However, if you’re
creating documents that will be distributed widely, consider choosing Acrobat 5 (PDF 1.4) or Acrobat 6 (PDF 1.5)
to ensure that all users can view and print the document.
The following table compares some of the functionality in PDFs created using the different compatibility settings.

INDESIGN CS3
User Guide
479
General options for PDFs
Click the General category in the Export Adobe PDF dialog box to set the following options:
Description Displays the description from the selected preset, and provides a place for you to edit the description.
You can paste a description from the Clipboard.
All Exports all pages in the current document or book.
Range Specifies the range of pages to export in the current document. You can type a range by using a hyphen, and
separate multiple pages or ranges by using commas. This option is unavailable when you’re exporting books or
creating presets.
Spreads Exports pages together as if they were printed on the same sheet.
Important: Do not select Spreads for commercial printing; if you do, the service provider cannot impose the pages.
Embed Page Thumbnails Creates a thumbnail preview for each page being exported, or one thumbnail for each
spread if the Spreads option is selected. The thumbnail is displayed in the InDesign Open or Place dialog boxes.
Adding thumbnails increases the PDF file size.
Optimize For Fast Web View Reduces PDF file size, and optimizes the PDF file for faster viewing in a web browser
by restructuring the file for page-at-a-time downloading (byte serving). This option compresses text and line art,
regardless of the settings you have selected in the Compression category of the Export Adobe PDF dialog box.
Create Tagged PDF During export, automatically tags elements in the story based on a subset of the Acrobat tags
that InDesign supports. This includes recognition of paragraphs, basic text formatting, lists, and tables. (You can also
insert and adjust tags in the document before exporting to PDF. See “Adding structure to PDFs” on page 489.)
Acrobat 4 (PDF 1.3) Acrobat 5 (PDF 1.4) Acrobat 6 (PDF 1.5) Acrobat 7 (PDF 1.6) and
Acrobat 8 (PDF 1.7)
PDFs can be opened with
Acrobat 3.0 and Acrobat Reader
3.0 and later.
PDFs can be opened with
Acrobat 3.0 and Acrobat Reader
3.0 and later. However, features
specific to later versions may be
lost or not viewable.
Most PDFs can be opened with
Acrobat 4.0 and Acrobat Reader
4.0 and later. However, features
specific to later versions may be
lost or not viewable.
Most PDFs can be opened with
Acrobat 4.0 and Acrobat Reader
4.0 and later. However, features
specific to later versions may be
lost or not viewable.
Cannot contain artwork that
uses live transparency effects.
Any transparency must be flat-
tened prior to converting to PDF
1.3.
Supports the use of live trans-
parency in artwork. (The
Acrobat Distiller feature flattens
transparency.)
Supports the use of live trans-
parency in artwork. (The
Acrobat Distiller feature flattens
transparency.)
Supports the use of live trans-
parency in artwork. (The
Acrobat Distiller feature flattens
transparency.)
Layers are not supported. Layers are not supported. Preserves layers when creating
PDFs from applications that
support the generation of
layered PDF documents, such as
Illustrator CS and later or
InDesign CS and later.
Preserves layers when creating
PDFs from applications that
support the generation of
layered PDF documents, such as
Illustrator CS and later or
InDesign CS and later.
DeviceN color space with 8 colo-
rants is supported.
DeviceN color space with 8 colo-
rants is supported.
DeviceN color space with up to
31 colorants is supported.
DeviceN color space with up to
31 colorants is supported.
Multibyte fonts can be
embedded. (Distiller converts
the fonts when embedding.)
Multibyte fonts can be
embedded.
Multibyte fonts can be
embedded.
Multibyte fonts can be
embedded.
40-bit RC4 security supported. 128-bit RC4 security supported. 128-bit RC4 security supported. 128-bit RC4 and 128-bit AES
(Advanced Encryption Stan-
dard) security supported.

INDESIGN CS3
User Guide
480
Note: If Compatibility is set to Acrobat 6 (PDF 1.5) or later, tags are compressed for smaller file size. If the PDF is then
opened in Acrobat 4.0 or Acrobat 5.0, the tags will not be visible because those versions of Acrobat cannot decompress tags.
View PDF After Exporting Opens the newly-created PDF file in the default PDF viewing application.
Create Acrobat Layers Saves each InDesign layer as an Acrobat layer within the PDF. Also exports any printer’s
marks you’ve included to a separate marks and bleeds layer. The layers are fully navigable, which allows users of
Acrobat 6.0 and later to generate multiple versions of the file from a single PDF. For example, if a document will be
published in multiple languages, you can place the text for each language in a different layer. A prepress service
provider can then show and hide the layers to generate different versions of the document.
IfyouselecttheCreateAcrobatLayersoptionwhenyouexportabooktoPDF,identicallynamedlayersaremerged
by default.
Note: Create Acrobat Layers is available only when Compatibility is set to Acrobat 6 (PDF 1.5) or later.
Export Layers Determines whether visible layers and nonprinting layers are included in the PDF. You can use the
Layer Options settings to determine whether each layer is hidden or set as nonprinting. When exporting to PDF,
choose whether you want to export All Layers (including hidden and nonprinting layers), Visible Layers (including
nonprinting layers), or Visible & Printable Layers.
Bookmarks Creates bookmarks for table of contents entries, preserving the TOC levels. Bookmarks are created from
the information specified in the Bookmarks panel.
Hyperlinks Creates PDF hyperlink annotations for InDesign hyperlinks, table of contents entries, and index entries.
Visible Guides And Baseline Grids Exports margin guides, ruler guides, column guides, and baseline grids currently
visible in the document. Grids and guides export in the same color used in the document.
Non-Printing Objects Exports objects to which you have applied the Nonprinting option in the Attributes panel.
Interactive Elements Exports all movies, sounds, and buttons. Acrobat 4.0 and 5.0 require that sounds be embedded
and movies be linked. Acrobat 6.0 and later support linking and embedding of movies and sounds.
Multimedia Lets you specify how to embed or link movies and sounds:
•Use Object Settings Embeds movies and sounds according to the settings in the Sound Options and Movie
Options dialog box.
•Link All Linkssoundandmovieclipsplacedinthedocument.IfyouchoosenottoembedmediaclipsinthePDF
file, be sure to place the media clips in the same folder as the PDF.
•Embed All Embeds all movies and sounds, regardless of embed settings on individual objects.
Note: The Multimedia option is only available when Compatibility is set to Acrobat 6 (PDF 1.5) or later and Interactive
Elements is selected. When Compatibility is set to Acrobat 4 (PDF 1.3) or Acrobat 5 (PDF 1.4) and Interactive Elements
is selected, InDesign uses the settings in the Use Object Settings option in the Multimedia menu.
See also
“Export to PDF” on page 473
“Adding hyperlinks for PDFs” on page 494
“Including bookmarks in PDFs” on page 498
“Using movies and sounds in PDFs” on page 499
“Creating buttons for PDFs” on page 503

INDESIGN CS3
User Guide
481
Compression and downsampling options for PDFs
When exporting documents to Adobe PDF, you can compress text and line art, and compress and downsample
bitmap images. Depending on the settings you choose, compression and downsampling can significantly reduce the
size of a PDF file with little or no loss of detail and precision.
The Compression area of the Export Adobe PDF dialog box is divided into three sections. Each section provides the
following options for compressing and resampling color, grayscale, or monochrome images in your artwork.
Downsampling If you plan to use the PDF file on the web, use downsampling to allow for higher compression. If you
plan to print the PDF file at high resolution, check with your prepress service provider before setting compression
and downsampling options.
Youshouldalsoconsiderwhetherusersneedtomagnifyapage.Forexample,ifyouarecreatingaPDFdocumentof
a map, consider using a higher image resolution so that users can zoom in on the map.
Downsampling refers to decreasing the number of pixels in an image. To downsample color, grayscale, or
monochrome images, choose an interpolation method—average downsampling, bicubic downsampling, or subsam-
pling—and enter the desired resolution (in pixels per inch). Then enter a resolution in the For Images Above text
box. All images with resolution above this threshold will be downsampled.
The interpolation method you choose determines how pixels are deleted:
•Average Downsampling To Averages the pixels in a sample area and replaces the entire area with the average pixel
color at the specified resolution.
•Subsampling To Chooses a pixel in the center of the sample area and replaces the entire area with that pixel color.
Subsampling significantly reduces the conversion time compared with downsampling but results in images that are
less smooth and continuous.
•Bicubic Downsampling To Uses a weighted average to determine pixel color, which usually yields better results
than the simple averaging method of downsampling. Bicubic is the slowest but most precise method, resulting in the
smoothest tonal gradations.
Compression Determines the type of compression that is used:
•Automatic (JPEG) Determines automatically the best quality for color and grayscale images. For most files, this
option produces satisfactory results.
•JPEG Is suitable for grayscale or color images. JPEG compression is lossy,whichmeansthatitremovesimagedata
and may reduce image quality; however, it attempts to reduce file size with a minimal loss of information. Because
JPEG compression eliminates data, it can achieve much smaller files sizes than ZIP compression.
•ZIP Works well on images with large areas of single colors or repeating patterns, and for black-and-white images
that contain repeating patterns. ZIP compression can be lossless or lossy, depending on the Image Quality setting.
•JPEG 2000 Is the international standard for the compression and packaging of image data. Like JPEG
compression, JPEG 2000 compression is suitable for grayscale or color images. It also provides additional advantages,
such as progressive display. The JPEG 2000 option is only available when Compatibility is set to Acrobat 6 (PDF 1.5)
or later.
•Automatic (JPEG 2000) Determinesautomaticallythebestqualityforcolorandgrayscaleimages.TheAutomatic
(JPEG 2000) option is only available when Compatibility is set to Acrobat 6 (PDF 1.5) or later.
•CCITT And Run Length Are only available for monochrome bitmap images. CCITT (Consultative Committee on
International Telegraphy and Telephony) compression is appropriate for black-and-white images and any images
scanned with an image depth of 1 bit. Group 4 is a general-purpose method that produces good compression for

INDESIGN CS3
User Guide
482
most monochrome images. Group 3, used by most fax machines, compresses monochrome bitmaps one row at a
time. Run Length compression produces the best results for images that contain large areas of solid black or white.
Note: Grayscale images that have been colorized in InDesign are subject to the compression settings for Color Images.
However, grayscale images colorized with a spot color (and [None] applied to their frames) use the compression settings
for grayscale.
Image Quality Determines the amount of compression that is applied. For JPEG or JPEG 2000 compression, you
can choose Minimum, Low, Medium, High, or Maximum quality. For ZIP compression, only 8-bit is available.
Because InDesign uses the lossless ZIP method, data is not removed to reduce file size, so image quality is not
affected.
Tile Size Determines the size of the tiles for progressive display. This option is only available when Compatibility is
set to Acrobat 6 (1.5) and later, and Compression is set to JPEG 2000.
Compress Text And Line Art Applies Flate compression (which is similar to ZIP compression for images) to all text
and line art in the document, without loss of detail or quality.
Crop Image Data To Frames Mayreducefilesizebyexportingonlyimagedatathatfallswithinthevisibleportionof
the frame. Do not select this option if postprocessors might require the additional information (for repositioning or
bleeding an image, for example).
Marks and Bleeds options for PDFs
Bleed is the amount of artwork that falls outside of the printing bounding box, or outside the crop marks and trim
marks. You can include bleed in your artwork as a margin of error, to ensure that the ink extends all the way to the
edgeofthepageafterthepageistrimmedortoensurethatagraphiccanbestrippedintoakeylineinadocument.
You can specify the extent of the bleed and add a variety of printer’s marks to the file.
See also
“Specify printer’s marks” on page 550
Color management and PDF/X output options for PDFs
You can set the following options in the Output area of the Export Adobe PDF dialog box. Interactions between
Output options change depending on whether color management is on or off, whether the document is tagged with
color profiles, and which PDF standard is selected.
Note: For quick definitions of the options in the Output area, position the pointer over an option and read the
Description text box at the bottom of the dialog box.
Color Conversion Specifies how to represent color information in the Adobe PDF file. All spot color information is
preserved during color conversion; only the process color equivalents convert to the designated color space.
•No Color Conversion Preserves color data as is. This is the default when PDF/X-3 is selected.
•Convert to Destination Converts all colors to the profile selected for Destination. Whether the profile is included
or not is determined by the Profile Inclusion Policy.
•Convert to Destination (Preserve Numbers) Converts colors to the destination profile space only if they have
embedded profiles that differ from the destination profile (or if they are RGB colors, and the destination profile is
CMYK, or vice versa). Untagged color objects (those without embedded profiles) and native objects (such as line art
or type) are not converted. This option is not available if color management is off. Whether the profile is included or
not is determined by the Profile Inclusion Policy.

INDESIGN CS3
User Guide
483
Destination Describes the gamut of the final RGB or CMYK output device, such as your monitor or a SWOP
standard. Using this profile, InDesign converts the document’s color information (defined by the source profile in
the Working Spaces section of the Color Settings dialog box) to the color space of the target output device.
Profile Inclusion Policy Determines whether a color profile is included in the file. The options vary, depending on
the setting in the Color Conversion menu, whether one of the PDF/X standards is selected, and whether color
management is on or off.
•Don’t Include Profiles Does not create a color-managed document with embedded color profiles.
•Include All Profiles Creates a color-managed document. If the application or output device that uses the Adobe
PDF file needs to translate colors into another color space, it uses the embedded color space in the profile. Before
you select this option, turn on color management and set up profile information.
•Include Tagged Source Profiles Leaves device-dependent colors unchanged and preserves device-independent
colors as the nearest possible equivalent in PDF. This is a useful option for print shops that have calibrated all their
devices, used that information to specify color in the file, and are only outputting to those devices.
•Include All RGB And Tagged Source CMYK Profiles Includes any profiles for tagged RGB objects and tagged
CMYK objects, such as placed objects with embedded profiles. This option also includes the Document RGB profile
for untagged RGB objects.
•Include Destination Profile Assigns the destination profile to all objects. If Convert To Destination (Preserve
Color Numbers) is selected, untagged objects in the same color space are assigned the destination profile so that
color numbers don’t change.
Simulate Overprint Simulates the appearance of printing separations by maintaining the appearance of overprinting
in composite output. When Simulate Overprint is unselected, Overprint Preview must be selected in Acrobat to see
the effects of overlapping colors. When Simulate Overprint is selected, spot colors are changed to their process equiv-
alents, and overlapping colors display and output correctly, without Overprint Preview selected in Acrobat. With
Simulate Overprint on, and Compatibility (in the General area of the dialog box) set to Acrobat 4 (PDF 1.3), you can
soft-proof your document’s colors directly on the monitor before they are reproduced on a particular output device.
Ink Manager Controls whether spot colors are converted to process equivalents and specifies other ink settings. If
you make changes to your document using the Ink Manager (for example, if you change all spot colors to their
process equivalents), those changes will be reflected in the exported file and in the saved document, but the settings
won’t be saved with the Adobe PDF preset.
Output Intent Profile Name Specifies the characterized printing condition for the document. An output intent
profile is required for creating PDF/X-compliant files. This menu is only available if a PDF/X standard (or preset) is
selected in the General area of the Export Adobe PDF dialog box. The available options depend on whether color
management is on or off. For example, if color management is off, the menu lists only output profiles that match the
destination profile’s color space. If color management is on, the output intent profile is the same profile selected for
Destination (provided it is a CMYK output device).
Output Condition Name Describes the intended printing condition. This entry can be useful for the intended
receiver of the PDF document.
Output Condition Identifier Indicates a pointer to more information on the intended printing condition. The
identifier is automatically entered for printing conditions that are included in the ICC registry. This option is not
available when using either of the PDF/X-3 presets or standards, because the file would fail compliance when
inspected by the Preflight feature in Acrobat 7.0 Professional and later, or the Enfocus PitStop application (which is
a plug-in for Acrobat 6.0).
Registry Name Indicates the web address for more information on the registry. The URL is automatically entered for
ICC registry names. This option is not available when using either of the PDF/X-3 presets or standards, because the

INDESIGN CS3
User Guide
484
file would fail compliance when inspected by the Preflight feature in Acrobat 7.0 Professional and later, or the
Enfocus PitStop application (which is a plug-in for Acrobat 6.0).
Font, OPI, and flattening options for PDFs
You can set the following options in the Advanced area of the Export Adobe PDF dialog box.
Subset Fonts When Percent Of Characters Used Is Less Than Sets the threshold for embedding complete fonts based
on how many of the font’s characters are used in the document. If the percentage of characters used in the document
for any given font is exceeded, then that specific font is completely embedded. Otherwise, the font is subsetted.
Embedding complete fonts increases file size, but if you want to make sure you completely embed all fonts, enter 0
(zero). You can also set a threshold in the General Preferences dialog box to trigger font subsetting based on the
number of glyphs a font contains.
OPI Lets you selectively omit different imported graphics types when sending image data to a printer or file, leaving
only the OPI links (comments) for later handling by an OPI server.
Preset If Compatibility (in the General area of the dialog box) is set to Acrobat 4 (PDF 1.3), you can specify a preset
(or set of options) for flattening transparency. These options are only used when exporting spreads with trans-
parency in artwork.
Note: Acrobat 5 (PDF 1.4) and later automatically preserve transparency in artwork. As a result, the Preset and Custom
options are not available for these levels of compatibility.
Ignore Spread Overrides Applies the flattener settings to all spreads in a document or book, overriding the flattener
preset on an individual spread.
Create JDF File Using Acrobat Creates a Job Definition Format (JDF) file and starts Acrobat Professional for
processingtheJDFfile.AjobdefinitioninAcrobatcontainsreferencestothefilestobeprintedaswellasinstructions
and information for prepress service providers at the production site. This option is only available if Acrobat 7.0
Professional or later is installed on your machine. For more information, see Acrobat Help.
See also
“Options for omitting graphics” on page 557
Adding security to PDF files
When saving as PDF, you can add password protection and security restrictions, limiting not only who can open the
file, but also who can copy or extract contents, print the document, and more.
A PDF file can require passwords to open a document (document open password) and to change security settings
(permissions password). If you set any security restrictions in your file, you should set both passwords; otherwise,
anyone who opens the file could remove the restrictions. If a file is opened with a permissions password, the security
restrictions are temporarily disabled.
The RC4 method of security from RSA Corporation is used to password-protect PDF files. Depending on the
Compatibility setting (in the General category), the encryption level will be high or low.
Note: Adobe PDF presets don’t support passwords and security settings. If you select passwords and security settings in
the Export Adobe PDF dialog box, and then click Save Preset, the passwords and security settings won’t be preserved.

INDESIGN CS3
User Guide
485
Security options for PDFs
YoucansetthefollowingoptionswhenyoucreateaPDForwhenyouapplypasswordprotectiontoaPDF.Options
vary depending on the Compatibility setting. Security options are not available for PDF/X standards or presets.
Compatibility Sets the type of encryption for opening a password-protected document. The Acrobat 4 (PDF 1.3)
option uses a low encryption level (40-bit RC4), while the other options use a high encryption level (128-bit RC4 or
AES).
BeawarethatanyoneusinganearlierversionofAcrobatcannotopenaPDFdocumentwithahighercompatibility
setting. For example, if you select the Acrobat 7 (PDF 1.6) option, the document cannot be opened in Acrobat 6.0 or
earlier.
Require A Password To Open The Document Select this option to require users to type the password you specify to
open the document.
Document Open Password Specify the password that users must type to open the PDF file.
Note: If you forget a password, there is no way to recover it from the document. It’s a good idea to store passwords in a
separate secure location in case you forget them.
Use A Password To Restrict Printing, Editing And Other Tasks Restricts access to the PDF file’s security settings. If the
file is opened in Adobe Acrobat, the user can view the file but must enter the specified Permissions password in order
to change the file’s Security and Permissions settings. If the file is opened in Illustrator, Adobe Photoshop, or Adobe
InDesign, the user must enter the Permissions password, since it is not possible to open the file in a view-only mode.
Permissions Password Specify a password that is required to change the permissions settings. This option is
available on if the previous option is selected.
Printing Allowed Specifies the level of printing that users are allowed for the PDF document.
•None Prevents users from printing the document.
•Low Resolution (150 dpi) Lets users print at no higher than 150-dpi resolution. Printing may be slower because
each page is printed as a bitmap image. This option is available only if the Compatibility option is set to Acrobat 5
(PDF 1.4) or later.
•High Resolution Lets users print at any resolution, directing high-quality vector output to Adobe PostScript and
other printers that support advanced high-quality printing features.
Changes Allowed Defines which editing actions are allowed in the PDF document.
•None Prevents users from making any changes to the document that are listed in the Changes Allowed menu,
such as filling in form fields and adding comments.
•Inserting, Deleting, And Rotating Pages Lets users insert, delete, and rotate pages, and create bookmarks and
thumbnails. This option is only available for high (128-bit RC4 or AES) encryption.
•Filling In Form Fields And Signing Lets users fill in forms and add digital signatures. This option doesn’t allow
them to add comments or create form fields. This option is only available for high (128-bit RC4 or AES) encryption.
•Commenting, Filling In Form Fields, And Signing Lets users add comments and digital signatures, and fill in
forms. This option doesn’t allow users to move page objects or create form fields.
•Page Layout, Filling in Form Fields, and Signing Lets users insert, rotate, or delete pages and create bookmarks or
thumbnail images, fill out forms, and add digital signatures. This option doesn’t allow them to create form fields. This
option is only available for low (40-bit RC4) encryption.
•Any Except Extracting Pages Lets users edit the document, create and fill in form fields, and add comments and
digital signatures.

INDESIGN CS3
User Guide
486
Enable Copying Of Text, Images, And Other Content Lets users select and copy the contents of a PDF.
Enable Copying Of Content And Access For The Visually Impaired Lets visually impaired users use screen readers to
read and copy the document. This option is only available for low (40-bit RC4) encryption.
Enable Text Access For Screen Reader Devices For The Visually Impaired Lets visually impaired users read the
document with screen readers, but doesn’t allow users to copy or extract the document’s contents. This option is
available only for high (128-bit RC4 or AES) encryption.
Enable Plaintext Metadata Allows users to copy and extract content from the PDF. This option is only available
when Compatibility is set to Acrobat 6 (PDF 1.5) or later. Selecting this option allows storage/search systems and
search engines to access metadata stored in the document.
Font embedding and substitution
A font can be embedded only if it contains a setting by the font vendor that permits it to be embedded. Embedding
prevents font substitution when readers view or print the file, and ensures that readers see the text in its original font.
Embedding increases file size only slightly, unless the document uses CID fonts. a font format commonly used for
Asian languages. You can embed or substitute fonts in Acrobat or when you export an InDesign document to PDF.
You can embed the entire font, or just a subset of the characters used in the file. Subsetting ensures that your fonts
and font metrics are used at print time by creating a custom font name. That way, for example, your version of Adobe
Garamond®, not your service provider’s version, can always be used by the service provider for viewing and printing.
Type 1 and TrueType fonts can be embedded if they are included in the PostScript file, or are available in one of the
font locations that Distiller monitors and are not restricted from embedding.
Note: (Acrobat) In some cases, TrueType fonts that have gone through a PostScript driver can no longer be searched,
copied, cut, or pasted. To minimize this problem, use Acrobat on the same system on which the PostScript file was
created, and make sure that the TrueType fonts used in the file are available on the system.
When a font cannot be embedded because of the font vendor’s settings, and someone who opens or prints a PDF
does not have access to the original font, a Multiple Master typeface is temporarily substituted: AdobeSerifMM for
a missing serif font, and AdobeSansMM for a missing sans serif font.
The Multiple Master typeface can stretch or condense to fit, to ensure that line and page breaks in the original
document are maintained. The substitution cannot always match the shape of the original characters, however,
especially if the characters are unconventional ones, such as script typefaces.
Note: (Acrobat) For Asian text, Acrobat uses fonts from the installed Asian language kit or from similar fonts on the
user’s system. Fonts from some languages or with unknown encodings cannot be substituted; in these cases, the text
appears as bullets in the file.
If characters are unconventional (left), the substitution font will not match (right).
Preparing a document for on-screen viewing
With its small file sizes, platform independence, and online navigation, Adobe PDF is an ideal format for distributing
documents electronically and viewing them on-screen. You can send Adobe PDF documents to other users as e-mail
attachments, or you can distribute the documents on the web or on an intranet.

INDESIGN CS3
User Guide
487
The following guidelines apply to electronically distributed Adobe PDF files:
•Before putting Adobe PDF documents on a website, check to see that the text, artwork, and layout in the
documents are complete and correct.
•Make sure that table of contents entries, hyperlinks, and bookmarks are generated correctly. Table of contents
entries are generated automatically from information in the Bookmarks panel.
•Set up passwords and other security options.
•Use a file name of no more than eight characters, followed by an extension of up to three characters. Many
networks and e-mail programs shorten long file names.
•Make sure that the file name has a PDF extension if users will view the file on a Windows computer or on the
Internet.
•To apply predefined Adobe PDF export settings for on-screen viewing, choose Smallest File Size.
Note: Adobe PDF files exported from InDesign documents that contain overprints or transparency effects are best viewed
in Acrobat 5.0 and later, or Adobe Reader 7.0 and later, with the Overprint Preview option selected.
See also
“Customize Adobe PDF presets” on page 476
“General options for PDFs” on page 479
Preparing PDFs for service providers
About PDF print publishing tools
In some print publishing workflows, documents are distributed in the format of the authoring application (called the
native format). Once approved, the files are saved in PostScript or a proprietary format for prepress work and final
printing. Because applications generate PostScript in many different ways, PostScript files may be arbitrarily large
and complex. In addition, reliability problems such as missing fonts, corrupt files, missing graphic elements, and
unsupportedfeaturescanresultatoutputtime.Inresponse,Adobeanditspartnerscontinuetocreatereliable,PDF-
based publishing workflow solutions.
From InDesign, you can export your document to a composite PDF file called a digital master. These digital masters
are compact, reliable files that you or your service provider can view, edit, organize, and proof. Then, at the appro-
priate time in the workflow, your service provider can either output the PDF directly, or process it using tools from
various sources for post-processing tasks such as preflight checks, trapping, imposition, and color separation.
PDF files in the workflow
Many large publishers use PDFs to streamline their review and production cycles. For example, numerous magazines
and newspapers have adopted PDF as the standard format for delivering advertisements to local publishing offices
via satellite or ISDN lines. PDFs enable local publishers to instantly view an advertisement exactly as it was designed,
make late-stage text edits, and reliably print from any computer.

INDESIGN CS3
User Guide
488
PDF workflow technologies and requirements
Adobeiscontinuallyaddressingtheworkflowneedsofserviceproviders,andrecommendsthatyouvisittheAdobe
website at www.adobe.com oftenforthelatestdevelopments.Currently,Adobeaddressespublishingworkflowneeds
by providing an integrated system of several technologies:
•Adobe Acrobat 8, with its support for Adobe PDF version 1.7.
•Adobe PostScript 3 printing technology, for device-independent support, Adobe In-RIP Trapping, in-RIP color
separations, and smooth blends.
•Adobe InDesign CS3, with its high-resolution page layout capabilities and direct PDF processing.
•PDF/X, an ISO standard for graphic content exchange that eliminates many of the color, font, and trapping
variables that lead to printing problems.
A high-resolution composite PDF workflow typically includes a PostScript 3 output device whose RIP supports in-
RIP separations. Therefore, if your output device uses PostScript Level 2 or does not support in-RIP separations, use
a preseparated PostScript printing workflow.
See also
“About PDF/X standards” on page 478
Checking your document before exporting
Before creating a PDF for a service provider, make sure that the InDesign document meets your service provider’s
specifications. The following list offers some recommendations:
•Use the InDesign Preflight feature to ensure that image resolution and color spaces are correct, that fonts are
available and can be embedded, that graphics are up-to-date, and so on.
•View your Adobe PDF export settings prior to exporting, and then adjust them as necessary. The Summary area
includes a warning section that indicates when preset settings can’t be honored.
•If your artwork contains transparency (including overprints and drop shadows) and you require high-resolution
output, it’s a good idea to preview the effects of flattening using the Flattener Preview panel before saving the file.
•If your artwork contains transparency, ask your prepress service provider if they want to receive flattened or
unflattened PDF files. Flattening should be done as late in the workflow as possible, preferably by the service
provider. However, if your service provider wants you to flatten transparency, submit a PDF/X-1a compliant file.
•If your document will be separated, you can preview the separations and ink coverage limits using the Separations
Preview panel.
•Use only high-resolution images in your document.
•For best results, use only CMYK images in a four-color-process job. Alternatively, you can choose to convert RGB
images to CMYK in the Export Adobe PDF dialog box (Output category).
•You can exclude hidden or nonprinting layers from the exported PDF document. (See “Choose which layers are
printed or exported to PDF” on page 547.)
For detailed information about preparing InDesign documents for high-resolution PDF output, see the Adobe
InDesign CS3 Printing Guide for Prepress Service Providers on the Adobe InDesign CS3 DVD or on the Adobe
website.

INDESIGN CS3
User Guide
489
See also
“Perform a preflight check” on page 562
“Flattening transparent artwork” on page 404
“Previewing color separations” on page 581
Produce a print-ready Adobe PDF file
A service provider can use Acrobat 7.0 Professional and later to perform preflight checks and color separations.
Acrobat 8 Professional contains more advanced preflight tools, including the ability to make certain corrections
automatically. Various prepress applications and in-RIP technologies can also perform preflight checks, do trapping
and imposition, and make the color separations of the pages in the digital master.
If you choose to leave out the images when creating the Adobe PDF file, make sure that the service provider has
access to the original high-resolution images that are required for proper output. In addition, make sure that the
service provider has Acrobat 7.0 or later for accurate viewing of text and color graphics. For best viewing, they should
use Acrobat 8 Professional.
If you’re using a color-managed workflow, you can use the precision of color profiles to perform an on-screen
preview (a soft proof). You can examine how your document’s colors will look when reproduced on a particular
output device.
Note: Unless you are using a color management system (CMS) with accurately calibrated ICC profiles and are sure you
have properly calibrated your monitor, don’t rely on the on-screen appearance of colors.
1Prepare the document for exporting to Adobe PDF.
2Export using the .joboptions file provided by your service provider. If you don’t have a preferred .joboptions file,
use a PDF/X preset.
3Preflight the PDF in Acrobat 7.0 Professional or later.
4Proof and correct the PDF file.
5Hand off the press-ready PDF to the prepress service provider.
Structuring PDFs
Adding structure to PDFs
When you export to Adobe PDF with the Create Tagged PDF option selected in the General area of the Export Adobe
PDF dialog box, the exported pages are automatically tagged with a set of structure tags that describe the content,
identifying page items such as headlines, stories, and figures. To add additional tags or to fine-tune existing ones
before you export, you can use the Tags panel in InDesign. The Structure pane (View > Structure > Show Structure)
reflects the changes.
You can improve the accessibility and reuse of Adobe PDF documents by adding tags to the InDesign document
before you export. If your PDF documents don’t contain tags, Adobe Reader or Acrobat may attempt to automatically
tag the document when the user reads or reflows it, but the results may be disappointing. If you do not get the results
you want in the exported PDF file, you can use tools in Acrobat 6.0 Professional and later to edit the structure of
tagged PDF documents. For the most advanced tools, use Acrobat 8 Professional.

INDESIGN CS3
User Guide
490
When you apply tags to a document for PDF export, the tags do not control which content is exported to PDF, as is
the case with XML export. Instead, the tags give Acrobat more information about the document’s structural contents.
Advantages of using tags
By applying tags to your document before exporting to PDF, you can do the following:
•Map InDesign paragraph style names to Acrobat tagged Adobe PDF paragraph styles to create a reflowable PDF
file for viewing on handheld devices and other media.
•Mark and hide printing artifacts, text, and images so that they won’t appear when reflowed in Acrobat. For
example,ifyoutagapageitemasArtifact,thepageitemwillnotbedisplayedwhenyoureflowthecontentsofa
tagged Adobe PDF document on a handheld device, a small display, or a monitor at a large magnification.
•Add alternative text to figures so that the text can be read aloud to the visually impaired with screen-reading
software.
•Replace graphic letters, such as ornate drop-caps, with readable letters.
•Provide a title for a set of articles, or group stories and figures into articles.
•Order stories and figures to establish a reading order.
•Recognize tables, formatted lists, and tables of contents. Recognize which content blocks belong to the different
stories.
•Include text formatting information such as Unicode values of characters, spacing between words, and the recog-
nition of soft and hard hyphens.
See also
“Structure pane overview” on page 530
“Tag items” on page 525
How tags affect reuse and accessibility
The content of a Adobe PDF document can be reused for other purposes. For example, you might create an Adobe
PDF file of a report with text, tables, and images, and then use various formats to distribute it: for printing or reading
on a full-sized monitor, for viewing on a handheld device, for reading out loud by a screen reader, and for direct
access through a web browser as HTML pages. The ease and reliability with which you can reuse the content depends
on the underlying logical structure of the document.
To make sure that your Adobe PDF documents can be reused and accessed reliably, you must add tags to them.
Tagging adds an underlying organizational structure, or logical structure tree,tothedocument.Thelogicalstructure
tree refers to the organization of the document’s content, such as title page, chapters, sections, and subsection. It can
indicate the precise reading order and improve navigation—particularly for longer, more complex documents—
without changing the appearance of the PDF document.
Forpeoplewhoarenotabletoseeordecodethevisualappearanceofdocuments,assistivetechnologycanaccessthe
content of the document reliably by using the logical structure tree. Most assistive technology depends on this
structure to convey the meaning of content and images in an alternative format, such as sound. In an untagged
document, no such structure exists, and Acrobat must infer a structure, based on the reading order choices in the
preferences. This method is unreliable and often results in page items read in the wrong order or not read at all.

INDESIGN CS3
User Guide
491
ThetagsappearontheTagstabinAcrobat6.0andlater,wheretheyarenestedaccordingtotherelationshipdefini-
tions for the tagged elements. You cannot edit tags in Acrobat Standard. If your work requires you to work directly
with tags, you should upgrade to Acrobat 8 Professional. For more information, see Acrobat Help.
Logical structure tree on the Tags tab in Acrobat 8
Note: Tags used in Adobe PDF files can be compared to tags in HTML and XML files. To learn more about basic tagging
concepts, see any of the many references and text books available in bookstores, in libraries, and on the Internet.
Understanding and optimizing reflow
You can reflow a PDF document to read it on handheld devices, smaller displays, or standard monitors at large
magnifications, without having to scroll horizontally to read each line.
When you reflow an Adobe PDF document, some content carries into the reflowed document and some doesn’t. In
most cases, only readable text reflows into the reflowed document. Readable text includes articles, paragraphs, tables,
images, and formatted lists. Text that doesn’t reflow includes forms, comments, digital signature fields, and page
artifacts, such as page numbers, headers, and footers. Pages that contain both readable text and form or digital
signature fields don’t reflow. Vertical text reflows horizontally.
As an author, you can optimize your PDF documents for reflow by tagging them. Tagging ensures that text blocks
reflow and that content follows the appropriate sequences, so readers can follow a story that spans different pages
and columns without other stories interrupting the flow. The reading order is defined by the structure tree, which
you can change in the Structure pane.

INDESIGN CS3
User Guide
492
Headings and columns (top) reflow in a logical reading order (bottom).
See also
“Rearrange structured elements” on page 531
Tag page items
Youcantagtextframesandgraphicsautomaticallyormanually.Afteryoutagpageitems,youcanusetheStructure
pane to change the order of your page by dragging elements to a new location within the hierarchy. If you change the
order of the elements in the Structure pane, these changes are passed on to the Adobe PDF file. The order of the
elements becomes useful when the PDF file is saved from Acrobat as an HTML or XML file.
See also
“Structure pane overview” on page 530
“Tagging content for XML” on page 524
Tag page items automatically
When you choose the Add Untagged Items command, InDesign adds tags to the Tags panel, and applies the Story
and Figure tags to certain untagged page items. The Story tag is applied to any untagged text frames, and the Figure
tag is applied to any untagged graphics. You can then manually apply other tags to sections of text. However,
automatically tagging page items does not guarantee that the items will be structured accordingly in the exported
PDF file.
1Choose Window > Tags to display the Tags panel.
2Choose View > Structure > Show Structure to display the Structure pane, to the left of the Document window.

INDESIGN CS3
User Guide
493
3Choose Add Untagged Items from the Structure pane menu.
Tags in the Structure pane and Tags panel
Tag page items manually
1Choose Window > Tags to display the Tags panel.
2Choose View > Structure > Show Structure to display the Structure pane, to the left of the Document window.
3Choose Add Untagged Items from the Structure pane menu.
4Select a page item in the document.
5Select a tag in the Tags panel. Note the following suggested uses for certain imported tags:
Artifact The Artifact tag lets you hide page items, such as page numbers or unimportant objects, when viewing the
exported PDF file in Reflow view, which displays only tagged items; see your Adobe Acrobat documentation. This
is especially useful for viewing PDF files on a handheld device or in other PDF readers.
Cell Use this tag for table cells. For more information about tagging tables for export, see “Tag items” on page 525.
Figure Use this tag for placed graphics. The Figure tag is applied to all untagged graphics placed in your document
when you choose Add Untagged Items.
Paragraph tags (P, H, H1–H6) These tags have no effect on the exported PDF text when viewed in Reflow view.
However, they can be useful in some situations when exporting a PDF file to HTML format.
Story Use this tag for stories. The Story tag is applied to all untagged text frames when you choose Add Untagged
Items. For example, suppose you have an InDesign document formatted with three paragraph styles: Head1, Head2,
and Body. First, map these paragraph styles to the H1, H2, and P tags, respectively. Next, export to PDF. Finally, when
you export the PDF document to HTML or XML in Acrobat, the paragraphs tagged as H1, H2, and P will display
appropriately (such as with large bold letters in H1) in a web browser. For information on exporting the PDF
document to HTML or XML, see your Adobe Acrobat documentation.
Label graphics for use with screen-reader software
If you want screen readers to describe graphical elements that illustrate important concepts in the document, you
must provide the description. Figures and multimedia aren’t recognized or read by a screen reader unless you add
alternate text to the tag properties.

INDESIGN CS3
User Guide
494
The Alt text attribute lets you create alternate text that can be read in lieu of viewing an illustration. ActualText is
similar to Alt text in that it appears in lieu of an image. The ActualText attribute lets you substitute an image that is
part of a word, such as when a fancy image is used for a drop cap. In this example, the ActualText attribute allows the
drop cap letter to be read as part of the word.
When you export to Adobe PDF, the Alt text and Actual Text attribute values are stored in the PDF file and can be
viewed in Acrobat 6.0 and later. This alternate text information can then be used when the PDF file is saved from
Acrobat as an HTML or XML file. For more information, see your Adobe Acrobat documentation.
1If necessary, choose View > Show Structure to display Structure pane, and choose Window > Tags to display the
Tags panel.
2Choose Add Untagged Items from the Structure pane menu.
3To make sure the image is tagged as Figure, select the image, and then select Figure in the Tags panel.
4Select the Figure element in the Structure pane, and then choose New Attribute from the Structure pane menu.
5For Name, type either Alt or ActualText (this feature is case-sensitive).
6For Value, type the text that will appear instead of the image.
Group page items into an Article element
Use the Structure pane to logically group page items into an Article element. For example, if a set of stories spans
multiple pages, you can create an umbrella element that will contain these stories in a single group. These umbrella
elements are called structural elements. You can also name your grouped articles.
Note: You cannot tag grouped page items.
•To group page items, select New Element from the Structure pane menu, select the Article element in the Tags
panel, and then drag page elements underneath it in the Structure pane.
•To name grouped items, right-click the Article element in the Structure pane and choose New Attribute. For
Name, type Title. For Value, type the name of the article you want to use.
See also
“Structure pane overview” on page 530
Adding hyperlinks for PDFs
Create hyperlinks
You can create hyperlinks so that when you export to Adobe PDF, a viewer can click a link to jump to other locations
in the same PDF document, to other PDF documents, or to websites.
Asource is hyperlinked text, a hyperlinked text frame, or a hyperlinked graphics frame. A destination is the URL,
position in text, or page to which a hyperlink jumps. A source can jump to only one destination, but any number of
sources can jump to the same destination.

INDESIGN CS3
User Guide
495
Hyperlinks
A. Hyperlink source B. List of hyperlinks
To create a hyperlink to a position in text or to a page with specific view settings, you first create a destination, and
then you create the hyperlink that points to that location.
Note: It isn’t necessary to create a destination for hyperlinks that jump to an unnamed page, and you can create a
hyperlink from a URL that you’ve typed in your document without first creating a destination.
InDesign supports three kinds of hyperlink destinations:
Document page When you create a page destination, you can specify the zoom setting of the page being jumped to.
Text anchor A text anchor is any selected text or insertion-point location in a document.
URL destination A URL destination indicates the location of resources on the Internet, such as a web page, a movie,
or a PDF file. The name of a URL destination must be a valid URL address.
Hyperlink destinations do not appear in the Hyperlinks panel; they appear in the Destination section of the New
Hyperlink dialog box.
See also
“Add automatic page numbers for story jumps” on page 84
“Export to PDF” on page 473
Create a hyperlink
1If necessary, create a hyperlink destination.
2Select the text or graphic you want to be the hyperlink’s source.
3Choose Window > Interactive > Hyperlinks to display the Hyperlinks panel.
4Choose New Hyperlink in the Hyperlinks panel menu, or click the Create New Hyperlink button at the bottom of
the Hyperlinks panel.
5For Name, type the name of the hyperlink. The name you type will appear in the Hyperlinks panel.
6For Document, select the document containing the destination that you want to jump to. All open documents that
have been saved are listed in the pop-up menu. If the document you’re looking for isn’t open, select Browse in the
pop-up menu, locate the file, and then click Open.
7For Type, select Page, Text Anchor, or URL to display the available destinations for that category. To display all
destinations, select All Types.
8For Name (under Destination), do one of the following:
•To create a hyperlink to a destination you created, choose the destination name.
A
B

INDESIGN CS3
User Guide
496
•To create a hyperlink to an unnamed destination, choose Unnamed. If Page is selected for Type, specify the page
number and zoom setting. If URL is selected for Type, specify the URL you want to jump to.
•Select None to create a hyperlink with no destination.
9To specify the appearance of a hyperlink in InDesign and in the exported PDF file, do the following, and then
click OK:
•For Type, select Visible Rectangle or Invisible Rectangle.
•For Highlight, select Invert, Outline, Inset, or None. These options determine the appearance of the hyperlink in
the exported PDF file.
•For Color, select a color for the hyperlink rectangle.
•For Width, select Thin, Medium, or Thick to determine the thickness of the hyperlink rectangle.
•For Style, select Solid or Dashed to determine the appearance of the hyperlink rectangle.
To show or hide hyperlinks, choose View > Show Hyperlinks or Hide Hyperlinks.
Note: HyperlinksareincludedinexportedAdobePDFfileswhenIncludeHyperlinksisselectedintheExportAdobePDF
dialog box.
Create a hyperlink from a URL
1Using the Type tool, select a URL (such as http://www.adobe.com) that you’ve typed in your document.
2Choose New Hyperlink From URL in the Hyperlinks panel menu.
Set up a page destination
You can create a hyperlink to an unnamed page without first creating a destination. However, by creating a page
destination, you can name the page and specify a view setting.
1Choose Window > Interactive > Hyperlinks to display the Hyperlinks panel.
2Choose New Hyperlink Destination in the Hyperlinks panel menu.
3For Type, select Page.
4ForName,typeanameforthepagedestination.Toautomaticallyusethepagenumberasthename,selectName
With Page Number.
5For Page, specify the page number you want to jump to. (If you selected Name With Page Number, the Name
option updates automatically.)
6ForZoomSetting,dooneofthefollowingtoselecttheviewstateofthepagebeingjumpedto,andthenclickOK:
•Select Fixed to display the magnification level and page position that were in effect when you created the link.
•Select Fit View to display the visible portion of the current page as the destination.
•Select Fit In Window to display the current page in the destination window.
•Select Fit Width or Fit Height to display the width or height of the current page in the destination window.
•Select Fit Visible to display the page so that its text and graphics fit the width of the window, which usually means
that the margins are not displayed.
•Select Inherit Zoom to display the destination window at the magnification level the reader will use when the
hyperlink is clicked.

INDESIGN CS3
User Guide
497
Set up a text anchor destination
1Choose Window > Interactive > Hyperlinks to display the Hyperlinks panel.
2Inthedocument,usetheTypetooltoplacetheinsertionpoint,orselecttherangeoftext,thatyouwanttobethe
anchor. You cannot set up an anchor destination for text on a master page.
3Choose New Hyperlink Destination in the Hyperlinks panel menu.
4Choose Text Anchor in the Type pop-up menu.
5Type a name for the destination, and then click OK.
Set up a URL destination
1Choose Window > Interactive > Hyperlinks, to display the Hyperlinks panel.
2Choose New Hyperlink Destination in the Hyperlinks panel menu.
3Choose URL in the Type pop-up menu.
4Type or paste a URL, such as http://www.adobe.com. You can use any valid Internet resource protocol: http://,
file://, ftp://, or mailto://.
5Specify a name for the URL destination, and then click OK.
Manage hyperlinks
Use the Hyperlinks panel to edit, delete, reset, or locate hyperlinks.
Edit hyperlinks
1In the Hyperlinks panel, double-click the item you want to edit.
2Make changes to the hyperlink as necessary, and then click OK.
Delete hyperlinks
When you remove a hyperlink, the source text or graphic remains.
❖SelecttheitemoritemsyouwanttoremoveintheHyperlinkspanel,andthenclicktheDeletebuttonatthebottom
of the panel.
Edit or delete hyperlink destinations
1Open the document in which the destination appears.
2Choose Hyperlink Destination Options in the Hyperlinks panel menu.
3For Destination, select the name of the destination you want to edit.
4Do one of the following:
•Click Edit, and then make changes to the destination as necessary.
•Click Delete to remove the destination.
5When you are finished editing or deleting destinations, click OK.
Reset hyperlinks
1Select the range of text, the text frame, or the graphic frame that will act as the new hyperlink source.
2Select the hyperlink in the Hyperlinks panel.
3Choose Reset Hyperlink in the Hyperlinks panel menu.

INDESIGN CS3
User Guide
498
To update hyperlinks to external documents, choose Update Hyperlink in the Hyperlinks panel menu.
Go to a hyperlink source or anchor
•To locate a hyperlink source, select the item you want to locate in the Hyperlinks panel. Choose Go To Source in
the Hyperlinks panel menu. The text or frame will be selected.
•To locate a hyperlink destination, select the item you want to locate in the Hyperlinks panel. Choose Go To Desti-
nation in the Hyperlinks panel menu.
If the item is a URL destination, InDesign starts or switches to your web browser to display the destination. If the
item is a text anchor or page destination, InDesign jumps to that location.
Including bookmarks in PDFs
Create bookmarks
Abookmark is a type of link with representative text that makes it easier to navigate documents exported as Adobe
PDF. Bookmarks you create in the InDesign document appear in the Bookmarks tab on the left side of the Acrobat
or Adobe Reader window. Each bookmark jumps to a page, text, or graphic in your document.
Entries in a generated table of contents are automatically added to the Bookmarks panel. In addition, you can further
customize your document with bookmarks to direct a reader’s attention or make navigation even easier. Bookmarks
can be nested under other bookmarks.
1Choose Window > Interactive > Bookmarks, to display the Bookmarks panel.
2Click the bookmark under which you want to place the new bookmark. If you don’t select a bookmark, the new
bookmark is automatically added to the end of the list.
3Do one of the following to indicate where you want the bookmark to jump:
•Click an insertion point in text.
•Highlight text. (By default, the text you highlight becomes the bookmark label.)
•Select a graphic with the Selection tool .
•Double-click a page in the Pages panel to view it in the document window.
4Do one of the following to create the bookmark:
•Click the New icon on the Bookmarks panel.
•Choose New Bookmark from the panel menu.
Note: Whenyouupdatethetableofcontents,thebookmarksarereordered,causinganycustombookmarktoappearat
the end of the list.
See also
“General options for PDFs” on page 479
“Export to PDF” on page 473
Manage bookmarks
Use the Bookmarks panel to rename, delete, and arrange bookmarks.

INDESIGN CS3
User Guide
499
Rename a bookmark
❖Click the bookmark in the Bookmarks panel, and choose Rename Bookmark from the panel menu.
Delete a bookmark
❖Click a bookmark in the Bookmarks panel, and choose Delete Bookmark from the panel menu.
Arrange, group, and sort bookmarks
You can nest a list of bookmarks to show a relationship between topics. Nesting creates a parent/child relationship.
You can expand and collapse this hierarchical list as desired. Changing the order or nesting order of bookmarks does
not affect the appearance of your actual document.
❖Do one of the following:
•Toexpandandcollapsethebookmarkhierarchy,clickthetrianglenexttothebookmarkicontoshoworhideany
children it contains.
•To nest a bookmark under another bookmark, select the bookmark or range of bookmarks you want to nest, and
then drag the icon or icons onto the parent bookmark. Release the bookmark.
Thebookmarkorbookmarksyoudraggedarenestedundertheparentbookmark;however,theactualpageremains
in its original location in the document.
Bookmarks panel showing bookmarks being nested under a parent bookmark
•To move a bookmark out of a nested position, select the bookmark or range of bookmarks you want to move. Drag
theiconoriconsbelowandtotheleftoftheparentbookmark.Ablackbarappearsindicatingwherethebookmark
will be moved. Release the bookmark.
•To change the order of bookmarks, select a bookmark and move it to a new location. A black bar appears
indicating where the bookmark will be placed.
•To sort bookmarks, choose Sort Bookmarks from the Bookmarks panel menu. Bookmarks appear in the same
order as the pages they jump to.
Using movies and sounds in PDFs
Add movies and sound files to documents
You can add movies and sound clips to a document, or you can link to streaming video files on the Internet. Although
media clips cannot be played directly in the InDesign layout, they can be played when you export the document to
Adobe PDF or when you export the document to XML and repurpose the tags.
Aposter is the image that represents a media clip. Each movie or sound can appear with or without a poster. If the
poster in InDesign is larger than the movie, the poster is clipped to the size of the movie in the exported PDF
document.

INDESIGN CS3
User Guide
500
QuickTime 6.0 or later is required to work with movies in InDesign. You can add QuickTime, AVI, MPEG, and SWF
movies, and you can add WAV, AIF, and AU sound clips. InDesign supports only 8- or 16-bit WAV files that are not
compressed.
Keep track of the media files you add to an InDesign document during the production cycle. If you move a linked
media clip after adding it to the document, use the Links panel to relink it. If you send the InDesign document to
another person, include any media files you add.
Note: For other users to view media in a PDF document, they must have Acrobat 6.x or later to play MPEG and SWF
movies, or Acrobat 5.0 or later to play QuickTime and AVI movies.
See also
“Export to PDF” on page 473
Add a movie or a sound file
1Do any of the following:
•Choose File > Place, and then double-click the movie or sound file. Click where you want the movie to appear. (If
you drag to create the media frame, the movie boundary may appear cropped or skewed.)
•Drag the media file from Explorer (Windows) or Finder (Mac OS) into the document.
•To convert a frame into a media clip, select the frame and choose Object > Interactive > Movie Options or Sound
Options. This creates an empty movie or sound frame. (After you add a movie using this method, you may want
to choose Object > Fitting > Fit Frame To Content so that the frame is the same size as the movie.)
Note: When you place a movie or sound file, a media object appears in a frame. This media object links to the media
file. You can resize the media object to determine the size of the play area.
2To change movie, sound, or poster options, double-click the media object.
To preview a media file, hold down Alt (Windows) or Option (Mac OS) and double-click a movie or sound object
using the Selection tool.
3Export the document to Adobe PDF. Make sure that the Interactive Elements option is selected in the Export
Adobe PDF dialog box.
Select Interactive Elements so that media clips can be played in the PDF document.
Link to a movie on the Internet
You may want an object to link to a web URL that plays a streaming media file. After you export the document to
Adobe PDF or to a different format, clicking the object plays the movie, if an Internet connection is available.
1If necessary, draw a rectangle to be used as the play area. You can add a poster to this frame later.
2Select an object, and then choose Object > Interactive > Movie Options.
3Click Specify A URL, and then type or paste the URL.

INDESIGN CS3
User Guide
501
4Click Verify URL And Movie Size to make sure that the URL is valid. (You must have an Internet connection.)
5Specify any other options, and then click OK.
Movie options
You can edit movie options by double-clicking the movie play area using the Selection tool, or by selecting the movie
object and choosing Object > Interactive > Movie Options.
Description Type a description that appears if the movie cannot be played in Acrobat. This description also acts as
alternative text for visually impaired users.
Choose A File To specify a different movie clip, click the Browse (Windows) or Choose (Mac OS) button next to
Choose A File, and then double-click the new filename.
Embed Movie In PDF Embedding the media file increases the file size of the PDF document but frees you from
having to copy the media file to make it available to others. This option is not available if Specify A URL is selected.
You can override this setting by linking or embedding all media files, or you can use the settings for each object.
Embedded movies require Acrobat 6.0 and later, or Adobe Reader 6.0 and later.
Specify A URL To play a streaming video from a website, select Specify A URL, and then type or paste the URL.
Poster Specify the type of image that you want to appear in the play area.
Mode Determine whether the movie is played once and then closes (if it’s played in a floating window), played once
but stays open, or played in a continuous loop.
Play On Page Turn Play the movie when someone turns to the page of the PDF document on which the movie is
located.
Show Controller During Play Display a controller that lets users pause, start, and stop the movie.
Floating Window Play the movie in a separate window. If you select this option, specify the size ratio and position
on the screen. Increasing the size of the floating window may reduce image quality. The floating window scale is
based on the size of the original movie, not the size of the scaled movie in the document layout.
Sound options
You can edit sound options by double-clicking the sound play area using the Selection tool, or by selecting the sound
object and choosing Object > Interactive > Sound Options.
Description Type a description that appears if the sound cannot be played in Acrobat. This description also acts as
alternative text for visually impaired users.
File To specify a different sound clip, click the Browse (Windows) or Choose (Mac OS) button next to File, and then
double-click the new filename.
Poster Specify the type of image that you want to appear in the play area.
Play On Page Turn Play the sound clip when someone turns to the page of the PDF document on which the sound
is located.
Do Not Print Poster Select this option if you do not want the poster to print in InDesign.
Embed Sound In PDF Embedding the media file increases the file size of the PDF document but prevents you from
having to send or copy the media file along with the PDF document.
You can override this setting by linking or embedding all media files, or you can use the settings for each object.
Sounds must be embedded to be played in some earlier versions of Acrobat.

INDESIGN CS3
User Guide
502
Poster options
Youcannotsimplyuseaplacedimageasaposter.Instead,specifyanyofthefollowingtypesofposterimagesinthe
Movie Options or Sound Options dialog box:
None Showsnoposterforthemovieorsoundclip.Thisoptionisusefulifyouwantthemovieorsoundcliptonot
bevisibleonthepage.Forexample,youmaywantthemediatobeplayedonlywhenyouturnthepage,oryoumay
want a more complex design beneath the movie to show instead of the poster.
Standard Displays a generic movie or sound poster that isn’t based on the contents of the file.
To use a different standard poster, save an image as StandardMoviePoster.jpg or StandardSoundPoster.jpg, and
replace the existing file of the same name. (Use the system search utility to locate the existing poster files.)
Default Poster Displays the poster image packaged with the movie file. If the selected movie doesn’t have a frame
designated as the poster, the first frame of the movie is used as the poster image.
Choose Image As Poster Lets you select an image to use as the poster. Click Browse, and then double-click the image
you want to use. You can select bitmap graphics, not vector graphics, for posters.
To use an image as a poster, you can also use the Direct Selection tool to select the poster frame, and then use the
Place command to place a graphic inside the frame.
Choose Movie Frame As Poster Lets you select any video frame to use as the poster image. Supported formats
include AVI, MPEG, MOV, and SWF. Drag the slider or use the arrow keys to advance through the movie clip to the
desired frame, and then click OK.
Resize movie objects, posters, or frames
When you add a movie to the InDesign document, the movie object and poster appear in a frame. When you export
to PDF, the movie object’s boundary determines the size of the movie in the PDF document, not the frame size or
poster size.
For best results, keep the poster size and dimension the same as the movie. If you apply a clipping path or resize the
image, the exported PDF document may not include these changes.
If you want the PDF document to include a play area with feathering or other effects that may not export well when
applied to a poster, consider using a placed image for the play area, and then place a movie (without a poster) on top
of the placed image.
Resizing movie object
A. Poster B. Movie object C. Frame
❖Do any of the following:
•Toresizethemovieobject,poster,andframe,usetheScaletool anddragoneofthecornerhandles(holddown
Shift to maintain proportions).
•To resize only the frame, use the Selection tool to drag a corner handle.
A
B
C

INDESIGN CS3
User Guide
503
•To resize the poster or media object, use the Direct Selection tool to select the poster. Switch to the Selection
tool, and then drag a corner handle.
You can also use the Fitting commands (Object > Fitting) to resize a poster within a frame.
Choosing which PDF version to use with media files
When you export the InDesign document to Portable Document Format (PDF), you can determine which PDF
version is used. The PDF version determines which interactive options are available. Before you export, note the
following limitations:
If you export to PDF 1.3/1.4
•Non-RGB movie or sound posters aren’t visible in the exported PDF document.
•SWF and MPEG movies aren’t playable in the exported PDF document.
•Clipping paths applied to movie or sound posters don’t appear in the exported PDF document. Posters are resized
to match the movie page item.
•Movies cannot be embedded.
•Sounds cannot be linked.
If you export to PDF 1.5 or later
QuickTime is specified as the preferred player when exporting to PDF. To change the preferred player, you must edit
the rendition in Acrobat 6.0 or later.
If you export to any PDF version
•Non-rectangular media frames don’t appear in the exported PDF document.
•Hyperlinks applied to movies, sounds, or buttons are not active in the exported PDF document. However, you can
add those hyperlinks using Acrobat Professional.
•Rotated or sheared movies and posters may not appear correctly in the exported PDF document.
•Any masking applied to movie frames or posters is not supported.
See also
“Export to PDF” on page 473
Creating buttons for PDFs
Create buttons
You can create buttons that perform an action when the document is exported to PDF format. For example, you can
create a button that jumps to a different page of the PDF document or plays a movie clip.

INDESIGN CS3
User Guide
504
Button set up to play movie
After you create a button, you can do the following:
•Make the buttons interactive.
•Use the States panel to define the appearance the button takes in response to certain actions.
•Set the tab order of buttons on a page.
Note: If you set a hyperlink destination to a button, the hyperlink will have no effect in the exported PDF document.
Create buttons using the button tool
When you create a button using the Button tool, you can drag the button area, or you can click to specify the height
and width in a dialog box.
❖Select the Button tool in the Tools panel, and then do one of the following:
•Click where you want the upper left corner of the button to appear, specify the width and height in the Button
dialog box that appears, and then click OK.
•Drag across the area where you want the button to appear.
As with other Adobe drawing tools, you can hold down Alt (Windows) or Option (Mac OS) to draw from the center,
holddownShifttoconstraintheobjecttoasquare,orpressthespacebarafteryoubegindraggingtomovetheobject.
You may want to add navigation buttons (such as Next Page or Previous Page) to a master page. In the exported PDF
document, the button appears on all document pages to which the master is applied.
Convert an object to a button
1Use the Selection tool to select the image, shape, or text frame that you want to convert.
You cannot convert a movie, sound, or poster to a button.
2Choose Object > Interactive > Convert to Button.
Define button properties
1Do one of the following:
•Use the Selection tool to select the button, and then choose Object > Interactive > Button Options.
•Using the Selection tool, double-click the button. If the button contains text, double-click the frame border.
2Click the General tab, and then do the following:
Name Type a name that distinguishes the button from other buttons you create.
Description Type a description that appears when the mouse pointer passes over the button in Acrobat. The
description also acts as alternative text for visually impaired users.

INDESIGN CS3
User Guide
505
Visibility In PDF SpecifywhetheryouwantthebuttontobevisibleorinvisibleintheexportedPDFdocument,and
whether you want the button to be printed. You may want to hide the button so that you can display it only during
mouse rollover.
3Click the Behaviors tab, specify what happens when the button is acted on, and then click OK.
Convert a button to an object
1Use the Selection tool to select the button.
2Choose Object > Interactive > Convert From Button.
When you use the Convert From Button command, the contents of the button remain on the page without the button
properties.
Change the appearance of button states
Just as an image is contained in a graphics frame and text is contained in a text frame, a button appearance is
contained in a button frame. However, unlike other frames, a button frame can have multiple child objects that apply
to different states.
Each button can have as many as three states: Up, Rollover, and Down. The Up state appears unless the mouse pointer
moves into the area (Rollover) or the mouse button is clicked on the button area (Down). Different appearances can
be applied to each of these three states. You can select from a set of preset appearances, or you can create and define
new states.
By default, any button you create is defined with the Up state containing the button’s text or image. When you create
a new state, the appearance of the currently selected state is used. To distinguish a state from the others, you can then
addtextoranimage,oryoucandeletethestate’scontentsandaddnewcontents.Ifyouconvertanobjecttoabutton,
the contents become the Up state of the button.
Button states
A. Pointer not over button area (Up) B. Pointer enters button area (Rollover) C. Pointer clicks (Down)
Change the appearance of a button’s states
1Choose Window > Interactive > States to display the States panel.
2Using the Selection tool , select the button in the layout that you want to edit.
3Do one of the following:
•In the States panel, select a preset option from the Appearance menu. The preset options create slightly different
button appearances for the Up, Rollover, and Down states.
•From the States panel menu, choose New State to create the Rollover state. Choose New State again to create the
Down state. If the Up, Down, and Rollover states exist, the New State option is dimmed.
4To change the appearance of a state, do any of the following:
•To place a text file or image in the state, select the state in the States panel, and then either choose File > Place or
choose Place Content Into State from the States panel menu. Double-click the filename of the text or graphic.
AB C

INDESIGN CS3
User Guide
506
•To paste an image or a text frame, copy it to the Clipboard, select the state in the States panel, and then choose
Edit > Paste Into.
•To type text, select the state in the States panel. Using the Type tool, click the button and type the text. For buttons
converted from other objects such as placed images, choose Delete Content From States from the States panel
menu, click OK to delete the contents, and then use the Type tool to click on the button and enter the text.
Use the Control panel to format the text. Use the Text Frame Options dialog box to center the text within the button.
•To change the stroke and fill of the state’s contents (such as a text frame), select the state in the States panel and
use the Direct Selection tool to select the button contents. In the Swatches panel, select the Fill or Stroke icon
and specify whether the stroke applies to text or the frame, and then click a color in the Swatches panel. You can
also use the Stroke or Color panel to change the appearance.
Change the contents in button states
1Select the state in the States panel.
The state selected in the States panel determines the content that appears in the button frame on the InDesign page.
Thumbnail icons in the States panel display the content of each state.
2Do any of the following:
•To delete the contents of a state, choose Delete Content From State from the States panel menu.
•To add new contents to a state, choose Place Content Into State from the States panel menu.
•Todisableastatewithoutdeletingit,clickthecheckboxiconnexttothestatetodeselectit.Disabledstatesarenot
exported to the PDF file.
•To delete a state, click the Delete button.
Note: You cannot delete or disable the Up state.
Create button rollover effects
In some cases, you may want the button area to be invisible until the mouse pointer is moved over it. One way to
achieve this effect is to apply an image to the Rollover state in the States panel.
1Create the first button that will act as the hot spot.
2Createthesecondbuttonthatwillbedisplayedduringrollover.Youmaywanttoplaceanimageandthenconvert
it to a button.
You can also create a button that displays a second button. This is especially useful if you want one button to act as
a “hot spot” area that displays a larger image, or an image in a different area. For example, when you move a pointer
over a map, an image could be displayed that represents a region, and the image could disappear when the pointer
moves away from the region.
In the exported PDF, holding the pointer over a hot spot causes an image to appear.

INDESIGN CS3
User Guide
507
Making buttons interactive
You can create, edit, and manage interactive effects in InDesign. When the document is exported to Adobe PDF,
these interactive behaviors are active in the PDF document. For example, suppose you want to create a button that
causes a sound to play. You can place the sound file in an InDesign document, and then create a button that causes
the sound to play when you click the button in the PDF document.
In this example, clicking the mouse button is the event, and playing the sound is the behavior.
This button is set to play a sound when the mouse button is released.
Create interactive button behaviors
You can assign behaviors to different events. For example, you can specify a sound to play when the mouse pointer
enters the button area, and a movie to play when the mouse button is clicked and released. You can also assign
multiple behaviors to the same event. For example, you can create a behavior that plays a movie and sets the view
zoom to Actual Size.
1Create a button.
2Use the Selection tool to select the button, choose Object > Interactive > Button Options, and then click the
Behaviors tab.
3Choose an event, such as Mouse Up, that determines how behaviors are activated.
4Choose a behavior for when the event is activated, and specify the characteristics of the behavior.
5Click Add. The behavior appears under the event in the list box in the Button Options dialog box.
6Continue to add as many events and behaviors as needed. When you’re done, click OK.
To test the behaviors you add, make sure that the Interactive Elements option is selected when you export the
document to PDF, and then open the PDF document in Acrobat 6, or Adobe Reader 6.
Note: When creating behaviors, remember to click the Add button. If you just click OK to close the dialog box, the event
and behavior are not added.
Edit or delete a button behavior
1Use the Selection tool to select the button, choose Object > Interactive > Button Options, and then click the
Behaviors tab.
2Do any of the following, and then click OK:
•To expand or collapse events in the list box, click the triangle icons.
•To deactivate behaviors and events, deselect the check box next to the item. Deactivating events and behaviors can
be useful for testing purposes.
•To change the order, drag and drop behaviors and events. You can drag a behavior from one event to another.

INDESIGN CS3
User Guide
508
•To delete a behavior, select the behavior in the list box, and click Delete.
•To edit a behavior, select the behavior in the list box, change the settings, and then click Update. If you need to
replace a behavior for an existing event, delete the behavior, and then add the new behavior to the event.
Event types
Events determine how behaviors are activated in buttons when the document is exported to Adobe PDF. (In Acrobat,
events are called triggers.)
Mouse Up When the mouse button is released after a click. This is the most commonly used event, because it gives
the user one last chance to drag the cursor off the button and not activate the behavior.
Mouse Down Whenthemousebuttonisclicked(withoutbeingreleased).Unlessyouhaveaspecificreasonforusing
Mouse Down, it’s preferable to use Mouse Up so that users have a chance to cancel the behavior.
Mouse Enter When the mouse pointer enters the button area defined by the button’s bounding box.
Mouse Exit When the mouse pointer exits the button area.
On Focus When the button receives focus, either through a mouse action or pressing the Tab key.
On Blur When the focus moves to a different button or form field.
Behavior types
When you create a behavior, you specify the event that causes the behavior. (In Acrobat, behaviors are called actions.)
You can assign the following behaviors to occur when the event type is activated:
Close Closes the PDF document.
Exit Exits the application, such as Adobe Reader, in which the PDF document is open.
Go To Anchor Jumps to the specified bookmark or hyperlink anchor in the InDesign document you specify.
Go To [page] Jumpstothefirst,last,previous,ornextpageinthePDFdocument.SelectanoptionfromtheZoom
menu to determine how the page is displayed.
Go To Previous View
Jumps to the most recently viewed page in the PDF document, or returns to the last used zoom size.
Go To Next View Jumps to a page after going to the previous view. In the same way that a Forward button is available
in a web browser only after someone clicks the Back button, this option is available only if the user has jumped to a
previous view.
Go To URL Opens the web page of the specified URL.
Movie Lets you play, pause, stop, or resume the selected movie. Only movies that have been added to the document
appear in the Movie menu.
Open File Launches and opens the file that you specify. If you specify a file that is not PDF, the reader needs the
native application to open it successfully. Specify an absolute pathname (such as C:\docs\sample.pdf).
Show/Hide Fields Toggles between showing and hiding a field in a PDF document.
Sound Lets you play, pause, stop, or resume the selected sound clip. Only sound clips that have been added to the
document appear in the Sound menu.
View Zoom Displays the page according to the zoom option you specify. You can change the page zoom level (such
as Actual Size), the page layout (such as Continuous - Facing), or the rotation orientation.

INDESIGN CS3
User Guide
509
Create jumps to hyperlink anchors
If you create a bookmark or hyperlink anchor in an InDesign document, you can cause a button to jump to that
anchor, even if it’s in another InDesign document. Use the Bookmarks panel and Hyperlinks panel to add anchors.
1Create a button, and then double-click it using the Selection tool to display the Button Options dialog box.
2Click the Behaviors tab.
3For Event, choose Mouse Up or another option that will trigger the jump.
4For Behavior, choose Go To Anchor.
5Select one of the open InDesign documents, or click Browse and select the file.
6Specify an anchor that was created using the Bookmarks panel or Hyperlinks panel.
7Select an option from the Zoom menu to determine how the page is displayed.
8Click Add to add the behavior, and then click OK.
Note: If you specify an anchor in a different document, remember to export that target document to PDF, and use the
same filename as the InDesign document, replacing the INDD extension with PDF. Also, store the PDF documents in
the same folder to make sure that the links remain valid in Acrobat and Reader.
See also
“Create bookmarks” on page 498
“Create hyperlinks” on page 494
Set the button tab order
The tab order determines the next (or previous) field to receive focus when a user presses Tab (or Shift+Tab) in the
PDF document. The tab order includes buttons on hidden layers, but not buttons on master pages.
1Go to the page containing the buttons.
2Choose Object > Interactive > Set Tab Order.
3Selecteachbuttonyouwanttomoveanddragittoitsnewposition,orclicktheMoveUpandMoveDownbuttons.
When you’re done, click OK.
If you use Acrobat to add more form fields to the page, you may need to specify a new tab order in Acrobat.

510
Chapter 19: XML
Adobe InDesign CS3 is one of many applications that can produce and use XML. After you tag content in an
InDesign file, you save and export the file as XML so that it can be repurposed in another InDesign file or another
application. Similarly, you can import an XML file into InDesign and instruct InDesign to display and format the
XML data any way you want.
Working with XML
About XML
XML (Extensible Markup Language) is way to repurpose data in a file or automate the process of replacing the data
in one file with data from another file. XML employs tags to describe parts of a file—a heading or a story, for example.
These tags mark data so it can be stored in an XML file and handled appropriately when it is exported to other files.
Think of XML as a translation mechanism for data. XML tags label text and other content in a file so that applications
can recognize and present the data.
Extensible language
XML is considered an extensible language because individuals create their own XML tags—they can create one tag
for each type of information that they want to repurpose. XML tags don’t carry information about how data is
supposed to be displayed or formatted. XML tags are strictly for identifying content.
In InDesign, for example, you can create a Heading1 tag and assign it to each first-level heading in a document. After
you save the document as an XML file, the Heading1 content can be imported and put to use—by any application
that can read XML—as a web page, printed catalog, directory, price list, or database table.
InDesign is one of many applications that can produce and use XML. After you tag content in an InDesign file, you
save and export the file as XML so that it can be repurposed in another InDesign file or another application.
Similarly, you can import an XML file into InDesign and instruct InDesign to display and format the XML data any
way you want.
In InDesign, you can create XML tags and tag parts of a document even if you’re not experienced with XML.
InDesignhandles XML programming behind the scenes and creates the XML for you when you export a document
in XML format.
Important: Do not confuse XML tags with InDesign tagged text. For more information about tagged text, which is a
different method of exporting and importing InDesigncontent, see the Tagged Text PDF on the installation DVD.
XML data structure
The element is the building block of XML data; an element is data that has been tagged. In XML files, elements are
nested within other elements to create a hierarchical structure for the data.
You can see the structure of XML data in the Structure pane, which displays the hierarchy and sequence of elements.
In the XML structure, child elements are contained by parent elements, which in turn may also be child elements.
Or, seen from the other direction, parent elements contain child elements, and these child elements may in turn be
parent elements to other child elements.

INDESIGN CS3
User Guide
511
For example, in the following image, you can see a chapter elementthatcontains(istheparentof)severalrecipe
elements. Each recipe element, in turn, is the parent of elements called recipename,ingredients,instruc-
tions,notes,andservings. All elements are contained inside the Root element, which always appears at the top
of the Structure pane.
XML in InDesign Structure pane (left) and placed in layout (right)
For more information on using XML in InDesign, visit www.adobe.com/go/learn_id_XMLscript.
See also
“Structure pane overview” on page 530
“Place (import) text” on page 117
XML tools
InDesign provides the Structure pane and the Tags panel for working with XML content. The Structure pane displays
all the elements in the document and their hierarchical structure. To help you identify each element, InDesign
displays its element tag and an icon that indicates what type of content it holds. In addition, the Structure pane can
display the first few words of text in an element, called a snippet.
Structure pane (left) and Tags panel (right)
A. Triangles to expand or collapse elements B. Element (placed in layout) C. Element (not in layout) D. Text snippet E. Element tag
A
E
B C D

INDESIGN CS3
User Guide
512
The Structure pane lets you view, edit, and manage XML elements. You use the Structure pane in many ways when
working with XML. For example, to place imported XML content into the layout, you can drag elements from the
Structure pane directly to a page. You also use the Structure pane to adjust the hierarchy of the elements. You can
add elements, attributes, comments, and processing instructions by way of the Structure pane.
The Tags panel lists tags for elements. You can import, export, add, delete, and rename tags. You use the Tags panel
to apply element tags to content that you plan to export to XML, and to apply tags to frames before importing XML
content into them.
See also
“Structure pane overview” on page 530
About DTD files
To share XML data with others, you need to agree on a standard set of tag names and element attributes so that
everyone in your group uses and applies tags the same way. One method for handling the sharing of XML data is to
use a document type definition (DTD) file.
A DTD file provides a set of elements and attributes for members of the group to use. It also defines the rules about
where elements can appear in the structural hierarchy. For example, the DTD file may require the Title element to
be a child of the Story element because the title is supposed to appear inside the story; if you tag a title without
tagging the story it appears in, the DTD file marks the Title element as invalid. You can search for and flag invalid
structural errors in an InDesign file with a DTD file. This process is called validating.
To use a DTD file (if your document doesn’t already contain one), you load it into your document. This imports the
elementnamesfromtheDTDintotheTagspanel.OtherswhohaveloadedthesameDTDfilehavethesameelement
names, which ensures that everyone in the group uses the same elements. The imported elements are locked, which
means they can’t be deleted or renamed unless the DTD file is deleted from the document.
You may find that a DTD file created by a group or industry similar to yours includes tags and structures that meet
your needs. For a current list of registered DTDs, visit www.xml.com/pub/rg/DTD_Repositories (English only).
See also
“Use DTD files to validate XML” on page 536
XML rule sets
XML rule sets are sets of instructions written in a scripting language (such as JavaScript or AppleScript) that evaluate
XML data and take certain actions if that data meets certain conditions. Each rule consists of at least one condition
and at least one action. A rule evaluates the XML data against the conditions, and if a condition is met, then it takes
the appropriate action. For example, an XML rule can specify that whenever the Paragraph element appears under
the Subhead element (a condition), a specific style (an action) is applied; or that whenever the Product element (a
condition) appears, a new frame is created and a product image is imported (actions). XML rules are a means of
dynamically creating and formatting layouts based on XML.
For an in-depth look at using XML rule sets with InDesign, see www.adobe.com/go/learn_id_XMLrules and
www.adobe.com/go/learn_id_XMLscript.

INDESIGN CS3
User Guide
513
Importing XML
XML import and layout methods
After you import XML data, the imported content appears as elements (the basic building blocks of XML) in the
Structure pane. InDesign doesn’t create new frames or pages when you import XML.
Append or merge?
You can import XML using one of two modes: append or merge. The method you choose depends on your workflow
(manual or automated), how you want to handle existing content in your document, and whether you want advanced
options for handling the imported data.
Append mode When you append imported content, the existing structure and content of the document are left as
is; the new XML content is placed on the bottom of the Structure pane, in the form of elements.
Merge mode When you merge imported content, InDesign compares the incoming XML with the structure and
names of elements already in your document. If the elements match, imported data replaces existing document
content, and is merged into correctly tagged frames (or placeholders) in the layout. (Elements for which InDesign
can’t find a matching name and hierarchy rank are placed on the Structure pane so that you can place them
manually.) Merge mode not only makes automated layout possible, it provides more advanced import options,
including the ability to filter incoming text and clone elements for repeating data.
Content layout
After importing XML content, your next step is to place it in your document. You can place content manually,
automatically, or by using scripting. The method you choose depends on the content you’re importing, your
document’s layout, and your workflow process.
Place content manually With the manual method, you drag elements from the Structure pane onto the pages of your
document or into frames. This method requires little setup or planning. Use this method if the type of content you
import varies or if you acquire content from multiple sources.

INDESIGN CS3
User Guide
514
Manually placing imported XML content
Place content automatically By planning ahead, you can automate the process of placing XML data in your layout.
To place XML content automatically, you first prepare the document by creating tagged placeholder frames to hold
incoming XML. As long as the XML structure and tag names for incoming content matches the tag names and
structure of the placeholder frames, InDesign can place the imported XML automatically in your document.
InDesign can also clone elements to handle repeating data such as address lists and catalogue material. Use the
automatic layout method as part of a structured workflow process to speed production time and efficiency.
The selected placeholder frame (above) is tagged with the Story element. When XML data is imported (bottom), the Story element placeholder
frame is automatically populated with the Story element content.

INDESIGN CS3
User Guide
515
Note: InDesign recognizes special namespace attributes that can specify paragraph or character styles in XML. For more
information, see the XML technical reference guide and other resources at www.adobe.com/go/learn_id_XMLscript.
About merging
You can place XML data in a document using merge mode or append mode. Merging mode allows you to automate
the placement of content. You can also filter data in the XML file to place only certain parts of the content.
Merge incoming XML content when:
•The document contains placeholder frames and you want to fill them with imported XML content.
•The document contains XML content and you want to replace it with imported XML content.
•Thedocumentdoesn’tcontainanyXMLstructure,andyouwantInDesigntoreplacethedefaultrootwiththeroot
of the incoming XML file.
Merge mode compares incoming XML data to elements already in the document. It moves through the file, element
by element, comparing incoming elements to existing elements in the following manner:
1 InDesign begins comparing at the root element
•
If the root elements of the imported XML file and In Design document don’t match and the Structure pane contains
no existing structure, InDesign replaces the root of the XML file with the default root and imports the file.
•If the root elements don’t match and the Structure pane already contains elements, InDesign appends the file at
the end of the existing structure.
•If the root elements do match, the merge (and matching) process moves forward.
2 InDesign moves to the element under the root
Starting with the element just beneath the root in the incoming XML file, InDesign searches for a matching element
in the Structure pane. For a match to occur, the incoming XML element must have the same name as an existing
element in the Structure pane, and the two elements must exist at the same level in the hierarchy.
•If InDesign finds a matching element in the Structure pane, it replaces the element in the Structure pane with the
element from the incoming XML file.
•If InDesign doesn’t find a match, it inserts the incoming element in the Structure pane at the starting point of the
search. For example, if the search begins just below the root and a match isn’t found, the incoming element is
placed just below the root.
3 InDesign continues to compare elements
Element by element, InDesign continues to compare the incoming XML against the existing structure. The starting
point for the search in the Structure pane changes as the search progresses, with each search beginning just below
the last element inserted or replaced. InDesign always moves down from the current location; it never places
elements above the previous element it inserted or replaced.
Import and append XML data
When you import XML content, the new elements appear in the Structure pane. From there, you can drag elements
to place them in your document.
1Open an InDesign document or create a new document to receive the XML content.

INDESIGN CS3
User Guide
516
2Open the Structure pane. (Choose View > Structure > Show Structure, or click the splitter button at the
bottom of the document window.)
3Choose File > Import XML (or choose Import XML on the Structure pane menu) and select the XML file you
want to import.
4Select Show XML Import Options.
5Select Append Content, and then click Open.
6To link the XML content to the original XML file, select Create Link.
InDesign will list the XML file in the Links panel and display a yellow alert triangle in the panel if the XML file
changes.
7Click OK.
See also
“Link or embed imported text files” on page 121
“Import and merge XML” on page 522
Lay out XML manually
You can manually place XML content in your document layout by dragging elements from the Structure pane to the
pageortoexistingframes.Whenyouplaceanelement,itschildelements(andallchildelementsbelowthose,ifany)
are placed as well.
In the Structure panel, a structure-specific blue diamond appears on an element’s icon if the element has been placed
in the document; elements that haven’t been placed show an unplaced icon.
Note: If you imported XML using the Merge Content option, some elements may already be laid out. When you merge
imported content, InDesign automatically flows elements into existing frames if they are identically structured and
tagged.
1Open the Structure pane (View > Structure > Show Structure) and select the element that you want to lay out.
2Do either of the following for each element you want to place in your document:
•Drag the element onto the page. InDesign creates a frame for the element.
•
Drag the element onto an existing frame. If the frame contains content, it is replaced by content from the XML data.
3To format the items you lay out, do any of the following:
•Map XML tags to paragraph and character styles.
•Apply styles to elements.
•Format the selected content manually by choosing text options in the Control panel.
Map XML tags to styles
XML tags are merely data descriptions; they carry no formatting instructions. As such, you need to format XML
content after you import it and lay it out. One way to do that is to map XML tags to paragraph, character, table, or
cell styles. For example, the Byline tag could be mapped to the Author character style, so that all imported and
placed XML content that is tagged Byline is automatically assigned the Author character style. Mapping tags to
styles makes formatting imported XML content easier and less time-consuming.

INDESIGN CS3
User Guide
517
You don’t need to map every tag to a paragraph or character style. Some elements may not appear in the layout and
others may be easier to format one at a time. Moreover, child elements take on the paragraph or character style that
is assigned to their parent, which can cause confusion unless you are careful to map parent and child elements
separately.
Important: The Map Tags To Styles command reapplies styles throughout a document, sometimes with unwanted
results. When you map a tag to a style, text that was previously assigned to one style may be reassigned to another,
depending on its XML tag. If you’ve already formatted some text, you might prefer to apply styles manually to prevent
your paragraph and character style choices from being overridden.
1Choose Map Tags To Styles from the Tags panel menu or the Structure pane menu.
A menu of styles appears for each tag in the Map Tags To Styles dialog box
2Do any of the following:
•Toimportstyles,tags,andmappingdefinitionsfromanotherdocument,clickLoad,chooseadocument,andclick
Open.
•To map tags to styles individually, click the Style column adjacent to a tag, and choose a paragraph or character
style from the menu that appears. (The paragraph symbol identifies paragraph styles in the menu; an “A” identifies
character styles.) Repeat for each tag you want to map.
•To automatically map tags to styles with the same names, click Map By Name. Styles with names that are identical
totagnamesareselectedintheStylecolumn.Tomatch,atagandstylemustnotonlyhavethesamename,butthe
same case; H1 and h1, for example, are not considered a match. (If the same style name exists in two different style
groups, Map By Name doesn’t work and you are alerted to rename one of the styles.)
3Click OK.
See also
“Define paragraph and character styles” on page 166
“Create and load XML tags” on page 524
About automatic layout
Using InDesign, you can automatically place imported XML content into a layout. To do this, you first create place-
holder frames or tables, and tag them with the same tag names as the XML elements you want to place into them.
Then, you import XML content into the placeholders in Merge mode. When tags match by name and by structural
hierarchy, InDesign merges the XML content, replacing any existing content in the document.

INDESIGN CS3
User Guide
518
This technique is useful when you want to use the same layout for different sets of content. For example, a weekly
newsletter may have the same layout from week to week, but offer different content with each publication.
In order for imported XML to be merged directly into a layout, your document must meet these requirements:
•Frames (or tables) in the document must be tagged with identical tag names as elements in the XML file that you
intend to import.
•Thestructureofthedocument(asshownintheStructurepane)mustparallelthestructureoftheimportedXML
file. In other words, the identically named elements must be found in the same locations in the structure hierarchy
of both files. To achieve this parallel structure, you may have to rearrange and reorder elements (and their child
elements) in the Structure pane or use the Apply XSLT option when you import the XML file.
Note: InDesign flows merged XML content into existing frames only. Any element content that doesn’t fit in its frame (or
series of threaded frames) becomes overset text.
See also
“Thread text frames” on page 122
“Tag items” on page 525
“Rearrange structured elements” on page 531
Working with repeating data
XML is repeating if the same configuration of elements appears multiple times in a row, but the contains unique data
in each instance. For example, database records are repeating. Addresses in a database table contain repeated infor-
mation—name, street address, city, state, postal code—for a variety of individuals.
When you import repeating XML content, you can tell InDesign to clone the repeated elements in the structure.
Cloning allows you to merge repeating XML data into a document without having to create placeholder elements in
the Structure pane (or placeholder text in a frame) for every single record. For example, to import an XML address
list with 25 entries, create a matching element structure for one entry in the Structure pane. When you import the
complete list, InDesign clones that structure to create elements for all 25 entries.
RepeatingXMLcontentisflowedasasinglestorywhenitismergedintothedocument.Ifplaceholderframeshave
been threaded together, the content is flowed from one frame to the next. If there isn’t enough room in the place-
holder frame(s) to accommodate the XML content, you can autoflow the remaining content by creating and
threading more frames; you don’t have to manually drag elements from the Structure pane into individual frames.
Threaded placeholder in layout (left) and layout after import (right)

INDESIGN CS3
User Guide
519
Create placeholders for automatic layout
Create placeholder frames or tables in your document when you want InDesign to automatically merge imported
XML into your layout.
Note: InDesign flows merged XML content into existing frames only. Any content that doesn’t fit in the frames provided
becomes overset text.
You can also create placeholder text to ensure XML data is placed and formatted correctly on the page. Placeholder
text can also be used to include tabs, spacing, or labels (called static text), between the XML elements that will appear
in a frame.
Tagged placeholder text (left) and layout after import (right)
A. Returns and static text added between elements B. Placeholder text
For example, if you are importing and placing product information, you can separate the name, description, and
price of the product with a tab, and include labels such as “Product:” or “Price:” before the placeholder text entries
for those elements. When XML data is merged into the frame, static labels, spacing, and tabs are preserved between
the content elements.
Note: If you merge repeating XML data into your document and instruct InDesign to clone repeating elements, the static
text and spacing are also cloned for each instance of the data.
See also
“Thread text frames” on page 122
“Create and load XML tags” on page 524
“Rearrange structured elements” on page 531
“Tag items” on page 525
Create a placeholder frame
1Using the Type tool, create a text frame for the XML content.
If you want imported XML content to flow from one frame to another, create multiple frames and thread them
together.
2Open the Structure pane (View > Structure > Show Structure) and the Tags panel (Window > Tags).
A
B

INDESIGN CS3
User Guide
520
3If the Tags panel does not contain tags with names identical to the XML elements you plan to import, create the
tags or load the tags from the XML file.
4Tag the placeholder frame with the appropriate tag from the Tags panel. (When you tag a frame, any frames
threaded to it are assigned the same tag.)
5If necessary, arrange or add elements in the Structure pane to match the elements and structure of the XML you
will be importing.
Create a placeholder table
You can import XML elements into a placeholder table as well as a placeholder frame. In a table, each cell is repre-
sented by an element. InDesign places XML content into the table cell by cell, element by element, starting from the
top left corner of the table, matching the element to the tagged cell. When creating placeholder tables, you must tag
the table as well as each cell in the table. (Merged cells are considered a single cell.)
Because InDesign doesn’t distinguish between rows and columns when importing, the number of columns in the
placeholder must match the number of columns in the imported content. Also, all the table cell elements must be
contained within a single table element. In other words, the cells are all sibling elements under the same parent.
Placeholder table (above) and flow of XML content into placeholder table (below)
1Open the Tags panel (Window > Tags) and the Structure pane (View > Structure > Show Structure).
2If the Tags panel doesn’t contain tag names identical to the names of the XML table elements you plan to import,
either load tags from an existing document or create the tags.
Note: At a minimum you must have tags for the parent element of the table cells, the table cells, and the element in which
the table will reside.
3Create a table containing the appropriate number of columns for the XML content. You don’t need to create the
exact number of rows, as InDesign will add rows to the table if needed.
4Withaninsertionpointinthetable,chooseTable>Select>Table,andselecttheappropriatetagintheTagspanel.

INDESIGN CS3
User Guide
521
5Tag each cell of the table with the desired tag. Depending on the structure of your XML content, you can either
select and tag the cells individually, or you can select an entire row or column—for example, if you want to tag the
first, or heading row—and tag all the selected cells using the same tag.
6As necessary, rearrange and add elements in the Structure pane so that your document has the same elements and
structure as the XML file you will import.
Create placeholder structure for repeating data
The same rules for merging XML also apply when merging repeating XML: The structure of the elements in the
Structure pane must parallel the structure of the imported XML data, and any placeholder frames must be tagged
with the same tag names as the parent elements in the XML file.
Structure pane showing structure of placeholder text
A. Elementthatwillcontainallrepeatedelements B. Element that will be cloned as repeating XML content is imported C. Child elements for
data contained in the repeating element
1First, you will need a parent or root element that describes the collection of information, or records, you will
import.
For example, a Chapter element that will contain a series of recipes.
2Under that parent, create one element that describes the information (or record) that will repeat.
For example, under the Chapter element, you might create a Recipe element. This is the element that will be cloned
for each record in the imported XML.
3Under this element, create child elements to describe the units of information (or fields) that make up the record.
For example, under the Recipe element, you might create Recipename,Ingredients,Instructions,Notes,and
Serving elements.
To include labels, returns, or tabs between “field” elements in the repeating XML data, create placeholder elements
in the frame the imported content will be merged into. And add spacing or labels as needed between the placeholders.
Create placeholder text
1Open an existing document, or create a new document for the XML.
2Open the Tags panel (Window > Tags) and the Structure pane (View > Structure > Show Structure).
3Make sure the Tags panel contains tag names that are identical to the names of elements you will import with the
XML file, and create new tags or load the necessary tags if necessary.
Importing a sample of the XML content is the easiest way to obtain all the necessary tags and to ensure that the
document structure matches the XML file.
4Create placeholder frames (and thread them together) as needed for your XML content.
A
B
C

INDESIGN CS3
User Guide
522
5Using the Text tool, click in the first frame to create an insertion point, and type placeholder text for each element
you want to merge into that frame. Include any spacing you want between elements, as well as any static text.
Note: If you will be importing repeating data, you only need to create one instance of sample text for the elements that
will repeat.
6Format the text as you want it to appear in the final document.
7Tag the text frame with the tag for the parent element that will contain the elements (or repeating data) you want
to import into that frame.
8Position the insertion point in the placeholder text and choose Edit > Edit In Story Editor.
9Choose View > Structure > Show Tag Markers.
10 Choose Edit > Select All.
11 In the Tags panel, select Add Tag, and then click the tag you assigned to the frame.
InDesign wraps the placeholder text with the tag, and adds the element to the Structure pane.
12 Select the text representing the first child element and click its tag in the Tags panel. Repeat until you have tagged
all the child placeholder text.
Important: When tagging placeholder text, do not select any spacing or static text you want to keep between elements.
Tag only the text you want replaced with XML content.
13 In the Structure pane, review the hierarchy created by your tagging to ensure it matches the structure of the XML
content you will import.
Import and merge XML
After you have created and tagged placeholder frames, tables, and text—and made sure that your document and the
incoming XML file have the same tags and structure—you can import XML content into your layout.
You must use the Merge Content option to import XML into placeholders (or to replace existing content in your
document). When merging content, InDesign replaces identically tagged and structured elements in your document
with the imported XML elements. You can use additional import options to exclude imported (that is, filter) content
that doesn’t match the document structure, to delete document items that aren’t matched or replaced by the imported
XML, and to clone repeating XML elements.
If the imported XML file contains elements that are not found in the document, InDesign places these elements in
the Structure pane without laying them out in your document.
To successfully merge XML into placeholders, keep these rules in mind:
•Tag placeholders with the identical tag name as the XML element that will replace it (or be flowed into it).
•In placeholder text, make sure any spacing, returns, tabs or static text is outside the placeholder element tags, but
within the parent element for the story.
•When you import the XML, select Do Not Import Contents Of Whitespace-Only Elements. (This preserves
spacing and static text if the XML elements you import consist of white spaces only.)
Merge XML into existing content or placeholders
1Open the InDesign document that contains placeholders for the XML content.
2Open the Structure pane (View > Structure > Show Structure).

INDESIGN CS3
User Guide
523
3Choose File > Import XML (or choose Import XML on the Structure pane menu) and then select the XML file
you want to import.
4Select Show XML Import Options.
5Select Merge Content, and then click OK.
6To link the XML content to the original XML file, select Create Link.
InDesign will list the XML file in the Links panel and display a yellow alert triangle in the panel if the XML source
file changes.
7Select additional import options as needed:
Clone Repeating Text Elements If you are importing repeating XML, clones a single placeholder element to create a
container for each record in the file.
Only Import Elements That Match Existing Structure Filters the incoming XML, so that elements that do not exist in
the Structure pane are not imported.
Do Not Import Contents Of Whitespace-Only Elements Preserves any spacing or static text inserted between
elements in a placeholder frame.
Delete Elements, Frames, And Content That Do Not Match Imported XML AfterXMLhasbeenimported,deletesany
elements or placeholders in your document that were not matched (or replaced) by incoming data.
8Click OK.
InDesign merges content into the document starting with the first matching element in the XML file.
XML Import options
When importing and placing XML data using the Merge Content option, the XML Import Options dialog box offers
the following options:
Create Link Links to the XML file so that if the XML file is updated, you can update its XML data in your InDesign
document.
Apply XSLT Applies a stylesheet to define the transformation of the imported XML. Select Browse (Windows) or
Choose (Mac OS) to select an XSLT file (.xsl or .xslt) from the file system. Use Stylesheet From XML, the default
option, causes InDesign to use an XSLT processing instruction, if one is present in the XML file, to transform the
XML data.
Clone Repeating Text Elements Replicates the formatting applied to tagged placeholder text for repeating content.
Create one formatting instance (for example, an address), and then reuse its layout to create other instances automat-
ically. (See “Working with repeating data” on page 518.)
Only Import Elements That Match Existing Structure Filters the imported XML content so that only elements from
the imported XML file with matching elements in the document are imported.
Import Text Elements Into Tables If Tags Match Importselementsintoatableifthetagsmatchthetagsappliedtothe
placeholder table and its cells. For example, use this option to place database records into a table when generating
price lists or inventory sheets.
Do Not Import Contents Of Whitespace-only Elements Leaves any existing content in place if the matching XML
content contains only whitespace (such as a return or tab character). Use this option if you’ve included text between
elements in your placeholder frames and you want to preserve this text. For example, when laying out recipes
generated from a database, you might add labels such as “Ingredients” or “Instructions.” As long as the parent
element that wraps each recipe contains only whitespace, InDesign leaves the label in place.

INDESIGN CS3
User Guide
524
Delete Elements, Frames, and Content That Do Not Match Imported XML Removes elements from the Structure
pane and the layout of the document if they don’t match any elements in the imported XML file. Use this option to
filter data from the document. For example, when importing names and addresses, you might have placeholder text
for an element containing the company name. If one of the names doesn’t include the company element, InDesign
deletes the element containing the placeholder text.
Import CALS Tables As InDesign Tables Imports any CALS tables in the XML file as InDesign tables.
Tagging content for XML
Create and load XML tags
Before you tag page items, create (or load) tags to identify each content type or item in your document. You can create
tags from scratch or load them from another source, such as an InDesign document, InCopy document, or DTD file.
Use any of the following methods to create or load XML tags for your document:
•Create a tag with the New Tag command.
•Load tags from an XML file or another document.
•Import a DTD file.
•Import tags (and content) using the Import XML command.
The Tags panel with a list of available tags
See also
“About XML” on page 510
“About DTD files” on page 512
Create an XML tag
1Choose Window > Tags to open the Tags panel.
2Do one of the following:
•Choose New Tag from the Tags panel menu.
•Click the New Tag button on the Tags panel.
3Type a name for the tag. The name must conform to XML standards. If you include a space or an illegal character
in the tag name, an alert message appears.

INDESIGN CS3
User Guide
525
4Select a color for the tag if you created your tag from the Tags panel menu. (If you created your tag with the New
Tag button, you can choose a color by changing the color of the tag.)
Note: You can assign the same color to different tags. The color you select appears when you apply the tag to a frame and
choose View > Structure > Show Tagged Frames, or when you apply the tag to text within a frame and choose View >
Structure > Show Tag Markers. (Tag colors do not appear in exported XML files.)
5Click OK.
Load XML tags from another source
You can load tags from an XML file, an InDesign document, or an InCopy document.
Note: InDesignatically adds tags to the Tags panel when you load an XML file.
1Choose Load Tags from the Tags panel menu.
2Select the file containing the tags you want to load into the Tags panel, and then click Open.
Change tag name or color
1Double-click a tag name in the Tags panel or choose Tag Options in the Tags panel menu.
2Change the name or the color of the tag, and click OK.
Note: You cannot change the name of locked tags. InDesign automatically locks tags specified in a loaded DTD file. To
change the name of these tags, you must edit the DTD file and reload it into the document.
Tag items
Before you export content to an XML file, you must tag the text and other items (such as frames and tables) that you
want to export. You also need to tag items that you have created as placeholders for imported XML content. Items
that have been tagged appear as elements in the Structure pane.
Create (or load) tags to identify each content element that you want to export or import. Then tag text or page items
using one of these techniques:
Manual tagging Select a frame or text and then click a tag in the Tags panel, or simply drag a tag from the Tags panel
to a text or graphics frame.
Automatic tagging Select a text frame, table, table cells, or image, and then click the Autotag icon in the Tags panel.
Items are tagged according to your tagging preset options.
Map tags to styles Associatetagswithparagraph,character,table,orcellstyles,andthenapplytagsautomaticallyto
text, a table, table cells, and paragraphs that were assigned those styles.
When tagging page items, note the following:
•You can apply tags to stories as well as to text within stories. For example, you might want to apply an Article tag
to a story, and then apply more specific tags, such as Title and Body, to paragraphs within the story.
•You can apply only one tag to a story. When you tag a frame in a threaded story, all other frames in the story, along
with any overset text, are assigned the same tag.
•You can apply only one tag to a graphics frame. When you tag a graphics frame, InDesign records a reference to
the graphic’s location (on disk).
•You cannot tag a group of objects. To tag an item that’s part of a group, use the Direct Selection tool to select
the item.

INDESIGN CS3
User Guide
526
•When you tag text within a tagged element (such as a paragraph within a story), it appears as a child of the existing
element in the Structure pane.
•You can tag text or images on a master page, but only one instance of the corresponding element appears in the
Structure pane regardless of how many times the item appears on document pages. However, if you manually
override a master item and then tag it on a document page, the item will appear as a separate element in the
Structure pane.
•You can’t tag a footnote.
Note: Avoid tagging special characters, such as the Automatic Page Number character. When exporting, InDesign strips out
some special characters to comply with XML standards. InDesign warns you when characters cannot be encoded in XML.
See also
“Edit href attributes” on page 534
“Map XML tags to styles” on page 516
Tag frames manually
You can tag frames by using any of these methods.
•Drag a tag from the Tags panel onto a frame.
•Using a selection tool, select a frame, and then click a tag in the Tags panel.
If a frame is part of a group or nested within another frame, use the Direct Selection tool to select the frame.
•Open a frame’s context menu, choose Tag Frame, and then choose a tag.
•Using a selection tool, select an untagged text or graphics frame, drag the frame to the Structure pane, release the
mouse, and then select a tag name from the menu that appears.
Tag text within a text frame manually
When you tag text within a frame, the new element appears in the Structure pane as a child of the frame element in
which the text is located.
1Make sure that the story in which the text appears is tagged. (If a story isn’t tagged and you tag text within the
story, InDesign automatically tags the story using the tag specified in the Tagging Preset Options dialog box.)
2Using the Type tool, select text within the text frame.
3Click a tag in the Tags panel.
Note: You can’t tag footnotes.
Tag text frames, tables, table cells, and images automatically
By clicking the Autotag icon in the Tags panel, you can tag a text frame, table, table cells, or an image automatically.
To tag the item, InDesign applies a default tag that you specify in the Tagging Preset Options dialog box.
1Select the text frame, table, table cells, or image that you want to tag.
2In the Tags panel, click the Autotag icon .
InDesign adds the default tag’s name to the Tags panel after you click the Autotag icon.

INDESIGN CS3
User Guide
527
Tag content according to paragraph or character style
Paragraph styles and character styles you assign to text can be used as a means of tagging paragraphs and text for
XML. For example, a paragraph style called Caption can be associated with a tag called FigureName. Then, using the
MapStylesToTagscommand,youcanapplytheFigureName tag to all text in your document assigned the Caption
paragraph style. You can map more than one style to the same tag.
Important: The Map Styles To Tags command tags content automatically, including paragraphs and characters that are
tagged already. For example, if a paragraph assigned the Context style has been tagged with the Body tag, but you then
associate the Context style with the Expository tag, the paragraph is retagged; it is stripped of the Body tag and given
the Expository tag instead. If you want to retain existing tags, apply tags manually (or use the Map Styles To Tags
command very carefully).
1Choose Map Styles To Tags from the Tags panel menu.
2For each style in your document, specify the tag that you want it to be mapped to.
Map Styles To Tags dialog box
3To match style names to tag names, click Map By Name. Styles that are named identically to tag names are selected
in the dialog box. Map By Name is case-sensitive; Head1 and head1, for example, are treated as different tags.
4To use style mappings set up in another InDesign file, click Load and select the file.
5Select or deselect Include options:
Master Page Items Maps styles found on master page text frames to tags.
Pasteboard Items Mapsstylesfoundontextframesonthepasteboardtotags.(Deselectthisoptiontoavoidtagging
content on the pasteboard.)
Empty Frames Maps styles located on empty text frames to tags. (Deselect this option to avoid tagging empty
frames.)
6Click OK.
The new XML tags are applied throughout your document to paragraph and character styles that you specified in
the Map Styles To Tags dialog box.
Note: You cannot tag images with the Map Styles To Tags command. You need to manually tag images if you want to
include them in an XML file.

INDESIGN CS3
User Guide
528
Tag text in tables
When you tag a table for XML, you create a table element as well as one cell element for each cell in the table. The
cell elements are child elements of the table element, and are created automatically.
1Click in the table and choose Table > Select > Table.
2Select a tag for the table in the Tags panel.
InDesign creates a cell element for each cell in the table (you can display them in the Structure pane). The tag applied
to table cell elements depends on your Autotag default settings.
3If needed, tag table cells with a different tag.
For example, you can tag the first-row cells with a different tag to identify them as heading cells. To apply tags to
cells, select the actual table cells in your document, and then select a tag. (Selecting cells in the table also selects the
corresponding cell elements in the Structure pane.)
You can also tag a table by selecting it and then clicking the Autotag icon in the Tags panel. The Table tag (or another
tag of your choice) is applied immediately to the table, according to your Autotag default settings.
Specify Autotag defaults
When you select a text frame, table, table cells, or an image, and then click the Autotag icon in the Tags panel,
InDesign applies a default tag to the item you selected. You can specify these default tags in the Tagging Preset
Options dialog box.
Note: InDesign applies a default tag when you create an element that requires a parent element, but doesn’t yet have
one. For example, if you tag text within a text frame but the frame itself isn’t tagged, InDesign assigns the frame a tag
according to the Tagging Preset Options. The capability to apply default tags helps InDesign maintain correct XML
structure.
1Choose Tagging Preset Options from the Tags panel menu.
2Choose a default tag for text frames, tables, table cells, and images.
If the tag you need isn’t listed, you can choose New Tag from the menu and create a tag.
Show or hide tag markers and tagged frames
Tag markers are brackets that appear on the page around text that has been tagged. Show tag markers to see where
titles, headings, and other text has been tagged on a page. Tagged frames indicate where items such as text frames,
tables, and images have been tagged. The color assigned to a tag in the Tags panel determines the color of tag markers
and tagged frames. Tag markers and tagged frames only appear in Normal view.

INDESIGN CS3
User Guide
529
A tagged frame and, within it, tag markers.
❖Do any of the following:
•To display color-coded tagged frames, choose View > Structure > Show Tagged Frames.
•To hide the color-coding of tagged frames, choose View > Structure > Hide Tagged Frames.
•To display color brackets around tagged text, choose View > Structure > Show Tag Markers.
•To hide color brackets around tagged text, choose View > Structure > Hide Tag Markers.
To minimize the risk of accidentally deleting a tag marker, edit tagged text in Story Editor, where tag markers are
more visible.
See also
“Use the Story Editor” on page 130
“About markers” on page 297
Untag or retag items
Untaganitemtoremoveitstagbutretaintheassociatedcontent.Retaganitemtoreplacetheexistingtag(youdon’t
need to untag it first).
Untag an item
1Select the element in the Structure pane, or select the page item or tagged text in the document layout.
2Click Untag in the Tags panel.
Retag items
Use one of these techniques to retag an item:
•Using a selection tool, select a text frame, a graphics frame, or an element in the Structure pane, and then click a
different tag in the Tags panel.
•To retag a story, use the Type tool to place a insertion point anywhere in the story’s text. Select Retag in the Tags
panel, and then click a different tag.
•To retag a text block, use the Type tool to select the entire block of text. Select Retag in the Tags panel, and then
click a different tag. (If you select Add Tag and then click a different tag, a new child element appears in the
Structure pane.)

INDESIGN CS3
User Guide
530
Delete tags
•To delete a tag from the Tags panel, drag it to the Delete icon at the bottom of the panel. If the tag has been
applied to content, an alert message appears. Select another tag to replace the deleted tag and click OK.
•To delete all unused tags, choose Select All Unused Tags from the Tags panel menu, and then click the Delete icon
at the bottom of the panel.
Note: Tags that were loaded with a DTD file cannot be deleted until the DTD file is deleted.
Structuring documents for XML
Structure pane overview
The Structure pane displays, in hierarchical form, items in a document that have been marked with XML tags. These
items are called elements. You can move elements in the Structure pane to define the order and hierarchy of items.
An element consists of an icon indicating the element type and a tag name.
Structure pane
A. Triangles to expand or collapse elements B. Element C. Text snippet D. Attribute
Additionally, elements may provide this information:
Blue diamond A blue diamond on an element icon means that the element is attached to an item on the page; the
absence of a blue diamond means that the element has not been attached to a page item.
Underline The tag name is underlined if the item on the page to which the element corresponds is selected. For
example, if you select text to which you assigned the Title tag, the word Title in the text’s element is underlined in
the Structure pane. Underlining shows you whether selected items on the page and elements in the Structure pane
correspond.
Text snippet The first 32 characters of tagged text, called a text snippet, can appear to the right of the element. These
snippets help you identify the page item to which an element corresponds.
Dot and attribute Attributes provide metadata information about an element. If attributes are attached to an
element, a black dot along with attribute names and values appear below the element.
Use the Structure pane
•To open the Structure pane, choose View > Structure > Show Structure, or click the splitter button (at the
bottom of the document window).
A
D
B
C

INDESIGN CS3
User Guide
531
•To close the Structure pane, choose View > Structure > Hide Structure, or click the splitter button.
•To expand or collapse an element (and display or hide any of its child elements), click the triangle next to the
element.
•To adjust the size of the Structure pane, drag the splitter button.
•To expand or contract an element as well as all elements contained within it, hold down Ctrl (Windows) or
Command (Mac OS) while clicking the triangle next to the element.
•To show or hide text snippets, choose Show Text Snippets or Hide Text Snippets from the Structure pane menu.
Structure pane icons
The following icons appear in the Structure pane:
Rearrange structured elements
You can change the order and hierarchical rank of elements in the Structure pane. However, observe these rules:
•An XML document is required to have a single root element at the top of the structure. The root element contains
and is the parent to all other elements. Only the DTD (appearing as a DOCTYPE element), comments, and
processing instructions may appear above the root element in the Structure pane.
•Changes to the XML hierarchy structure may affect the appearance of tagged items on InDesign pages. For
example, making a text element the child of an element elsewhere in the structure also moves the text in the layout.
Icon Name Use
Root element Each document includes one root element at the top, which can be renamed but cannot be
moved or deleted.
Story element Represents tagged stories (one or more linked frames).
Text element Represents tagged text within a frame.
Graphic element Represents a tagged frame that includes a placed image. Each graphic element includes an
href attribute that defines the path or URL to the linked file.
Unplaced text element Unplaced text element not yet associated with a page item.
Unplaced graphic element Unplaced graphic element not yet associated with a page item.
Table element Represents a table.
Header cell element Represents a cell in the header row of a table.
Body cell element Represents a cell within the body of a table.
Footer cell element Represents a cell in the footer row of a table.
Empty element An empty frame is associated with this element.
Attribute Includes metadata, such as keywords or location of a linked image (HREF attribute).
Comment Includes comments that appear in the XML file, but not the InDesign document.
Processing instruction Includes an instruction that triggers an action in applications that can read processing
instructions.
DOCTYPE element Tells InDesign which DTD file to use when validating the XML file.

INDESIGN CS3
User Guide
532
•You cannot drag a table cell element into a table element or move elements into a table element.
❖In the Structure pane, do one of the following:
•To move an element, drag it to a new location within the structure. A line appears when you drag to indicate where
you are inserting the element. The width of the line marks the level within the hierarchy.
•To make an element a child of another element, either position it over the parent element to highlight it or place
it amongst the parent’s other child elements, and then release the mouse button.
•To demote an element by one level in the hierarchy, drag it just above another parent element and move it to the
left slightly until the line indicating its placement spans the width of the parent element.
•To copy or cut an element, select the element or elements in the Structure pane, and then choose Edit > Copy or
Edit > Cut. Select the element directly above where you want to insert the element, and choose Edit > Paste.
Note: When you cut an element, the element and contents are cut to the clipboard, but the frame remains intact.
See also
“Keys for working with XML” on page 642
Insert a parent element
Insert a parent element in the Structure pane to maintain the proper XML structure or organize content better.
Before you can insert a new parent element, you must select the elements that will be the children of the new parent.
When the new parent element is inserted, the selected child elements are demoted by one rank in the structural
hierarchy.
With child elements selected (left); a newly inserted parent element includes the child elements (right).
1IntheStructurepane,selecttheelementsthatwillbechildelementstothenewparentelementyouwanttoinsert.
Note the following:
•You can’t select the Root or a root-level element.
•The elements must be on the same level of the structural hierarchy.
•The elements must be contiguous.
•The selection must not include table cells or attributes.
2On the Structure pane menu, choose New Parent Element, or Control-click (Windows) or Command-click
(Mac OS) and choose New Parent Element.
3Select a tag for the new parent element and click OK.

INDESIGN CS3
User Guide
533
Insert a new parent element quickly by selecting Add Tag in the Tags panel and then clicking a tag in the panel. You
can also right-click (Windows) or Command-click (Mac OS) an element you selected in the Structure pane, choose
New Parent Element, and then choose an element.
Work with attributes
An attribute provides additional information about an XML element. Each attribute consists of a name and a value.
Attributes appear in the Structure pane; they are not placed in the document or used as content in the document.
Include attributes with elements for the benefit of files and applications that will use the XML files you create in
InDesign.
When you tag an image, InDesign automatically creates an href attribute with a value that defines the on-disk
location of the image file. This href attributeallowsotherfilesandapplicationstolocatetheimageondisksoitcan
be displayed.
An attribute includes a name (href, in this case) and a value.
You can add attributes to any element except the DOCTYPE element (a DTD file), comments, and processing
instructions. For example, to include keywords for searching in a downstream application, you can create an attribute
called keywords. You could also create attributes to indicate substituted text, track article titles, and record other
content-related information.
If you are using a DTD file, view its contents to see which attributes it allows. Attribute names, like tag names, must
conform to the DTD.
Note: InDesign recognizes special namespace attributes that can specify paragraph or character styles, tables and table
cell styles, as well as control whitespace. For more information, see the XML technical reference and other resources at
www.adobe.com/go/learn_id_XMLscript.
Add an attribute
1Select an element.
2Do one of the following:
•Click the Add An Attribute button .
•Choose New Attribute on the Structure pane menu.
•Right-click (Windows) or Command-click (Mac OS) the selected element and choose New Attribute.
3Specify a name and a value for the attribute, and then click OK.
Show or hide attributes in the Structure pane
❖Choose Show Attributes or Hide Attributes from the Structure pane menu.

INDESIGN CS3
User Guide
534
You may need to click the triangle icon next to an element to display its attributes.
Edit or delete an attribute
1Select an attribute in the Structure pane.
2Do one of the following:
•To edit the attribute, double-click it or choose Edit from the Structure pane menu.
•To delete the attribute, click the Delete icon or choose Delete from the Structure pane menu.
Edit href attributes
InDesign creates href attributes automatically to handle image files. The href attribute defines the on-disk location
of the image file so that the image file can be displayed. When you tag a placed image, InDesign creates an href
attribute value that lists the image’s path and filename.
The path can be an absolute link, a relative link to the same folder as the XML file, or a relative link to the Images
subfolder of the folder where the XML file is located. Relative paths are specific to the path where the document is
saved.
•An href attribute with an absolute link looks like the following (in Windows and the Mac OS):
href=file:///C:/Images/Meadow.psd
href=file:///Users/abhayc//Desktop/abc.jpg
•An href attribute to an image file in the same folder as the XML file looks like the following:
href=file:Meadow.psd
•An href attribute to an image file in the Images subfolder looks like the following:
href=file:///Images/Meadow.psd
Yo u c a n e d it t h e href attribute to specify a new link to an image. For example, you can edit an absolute link to make
it a relative link, thereby making the image file accessible when you export the file.
1In the Structure pane, double-click the href attribute. (You may need to click the triangle icon next to the image
element to display the attribute.)
2For Value, enter the new path to the image, and then click OK.
See also
“Export document content to XML” on page 538
Add comments and processing instructions
Using InDesign, you can include comments and processing instructions in an XML file. Enter a comment to include
descriptive information about an element. Comments can be viewed in web browsers and text editors. They help
others understand XML structure and XML tags. A processing instruction is a special, application-specific
command. For example, you can enter a page-break processing instruction so that an application to which you
export your XML file understands where to enter a page break. InDesign user-created processing instructions are
meant for use in other programs; InDesign itself does not act on processing instructions.

INDESIGN CS3
User Guide
535
Comments and processing instructions appear in the Structure pane. You can move, edit, and delete comments and
processing instructions as you can other elements in the Structure pane. They cannot, however, contain child
elements or attributes.
InDesign Structure pane with text snippets showing
A. Processing instruction B. Comment
See also
“Rearrange structured elements” on page 531
Add a comment
1Select the element about which you will comment.
Note: To add a comment to a table, select a table cell element. You can add comments to table cells, not tables.
2Choose New Comment in the Structure pane menu.
3Type the comment in the New Comment dialog box.
Add a processing instruction
1Select an element for the processing instruction.
Note: To add a processing instruction to a table, select a table cell element. You can add processing instructions to table
cells, not tables.
2Choose New Processing Instruction in the Structure pane menu.
3For Target, enter a name that identifies the processing instruction to an application that reads exported XML files.
4For Data, enter a value that tells the application what to do with the processing instruction.
View comments and processing instructions
❖Choose Show Comments or Show Processing Instructions in the Structure pane menu.
Edit comments and processing instructions
1Select the comment or processing instruction.
2Do any of the following:
•Double-click the comment or processing instruction.
•Choose Edit on the Structure pane menu.
3Edit the comment or processing instruction and click OK.
A
B

INDESIGN CS3
User Guide
536
Use DTD files to validate XML
Validating the XML in a document means to compare the structure, element tag names, and attributes against the
specifications of a DTD file. To validate against a DTD file, you must first load it into your document.
Note: Loading a DTD file imports tag names into the Tags panel. These imported tag names are locked; they can’t be
deleted or renamed except by deleting the DTD file from the document.
The DOCTYPE element appears at the top of the Structure pane if a DTD file has been loaded into your document.
(DTDs are sometimes loaded automatically when you import an XML file.) To replace the DTD file in a document,
delete the existing DTD and then load a new one.
Working with DTD files in InDesign
A. DOCTYPE element from the DTD file (Structure pane) B. Locked tag from an the DTD file (Tags panel)
See also
“About DTD files” on page 512
Load a DTD file
When you load a DTD file, InDesign embeds the file in the document.
1Do one of the following:
•In the Structure pane, choose Load DTD from the Structure menu.
•In the Tags panel, choose Load DTD from the menu.
2Select a DTD file to import, and click Open.
To view tags defined in the DTD file, open the Tags panel by choosing Window > Tags.
View a DTD file in InDesign
DTDs are written in ASCII text. They may contain embedded instructions and explanations that describe how to
apply tags and order elements correctly. In InDesign, you can only view a DTD that is loaded in a document.
A B

INDESIGN CS3
User Guide
537
DTD file opened for viewing in InDesign
❖Do one of the following:.
•In the Structure pane menu, choose View DTD.
•Double-click the DOCTYPE element in the Structure pane.
To print a DTD file, copy code from the View DTD window and paste it in a text editor.
Delete a DTD file
❖Choose Delete DTD from the Structure pane menu.
InDesign deletes the copy of the DTD file stored in the InDesign document, not the original DTD file. Tags that were
imported with the DTD file remain in the Tags panel but are unlocked.
Validate XML structure
When you validate your document, InDesign alerts you if the XML deviates from rules established by the DTD file.
It suggests ways to make the XML meet DTD file requirements. You can fix errors one at a time or view all errors in
a separate window.
Structure pane with Suggestions pane
A. Loaded DTD B. Error or invalidating condition C. Description of error with suggested fix D. Error count E. Validate button F. View all
errors in a separate window
1Choose View > Structure > Show Structure.
2In the Structure pane, click the Validate button .
A
B
C
DEF

INDESIGN CS3
User Guide
538
To change the root element from which InDesign validates, choose DTD Options in the Structure pane menu.
3To fix errors displayed in the Suggestion pane, either click a suggested fix to try it, or edit the XML structure and
tags directly using the Structure pane and the Tags panel.
4To view other errors, do one of the following:
•Click the left arrow or right arrow .
•Click the error window button to view all errors in a separate window.
•Choose View List Of Errors on the Structure pane menu.
Note: InDesign stops validating after detecting 250 errors. A plus sign in the Error Count box appears when this limit is
reached.
Exporting XML
Export document content to XML
Before you export content from an InDesign document to XML, you must have done the following:
•Created or loaded element tags.
•Applied tags to items on the pages of your document.
•Adjusted the hierarchy of tagged elements in the Structure pane, if needed.
You can export all or a portion of the XML content in your document. Only content that is tagged can be exported.
Important: If you are exporting a document that contains tables, you must tag the tables or InDesign will not export
them as part of the XML.
1If you want to export only a portion of the document, select the element in the Structure pane where you want
exporting to begin.
2Choose File > Export.
3For Save As Type (Windows) or Format (Mac OS), choose XML.
4Specify a name and location for the XML file, and then click Save.
5In the General tab of the Export XML dialog box, choose any of the following:
Include DTD Declaration Exports the reference to the DTD along with the XML file. This option is only available if
there is a DOCTYPE element in the Structure pane.
View XML Using Opens the exported file in a browser, XML editing application, or text editor. Choose the browser
or application from list.
Export From Selected Element Starts exporting from the element you selected in the Structure pane. This option is
only available if you selected an element before choosing File > Export.
Export Untagged Tables As CALS XML Exports untagged tables in CALS XML format. To be exported, the table must
be in a tagged frame, and the table must not be tagged.
Remap Break, Whitespace, And Special Characters Exports break, whitespace, and special characters as decimal
character entities rather than straight characters.

INDESIGN CS3
User Guide
539
Apply XSLT Applies a stylesheet to define the transformation of the exported XML to, for example, a modified XML
tree or HTML. Select Browse (Windows) or Choose (Mac OS) to select an XSLT from the file system. The default
setting, Use Stylesheet From XML, uses an XSLT transformation instruction if one is referenced in the XML that is
applied on export.
6Choose an encoding type from the Encoding menu.
7To specify export options for images, click the Images tab, and then select one or more of the following:
Original Images Places a copy of the original image files in an Images sub-folder.
Optimized Original Images Optimizes and compresses the original image files and places copies of the files in an
Images sub-folder.
Optimized Formatted Images Optimizes the original image files that contain applied transformation (such as
rotation or scaling) and places them in an Images sub-folder. For example, if the document contains two images, one
cropped and one not, only the cropped image is optimized and copied to the Images sub-folder.
8If you selected Optimized Original Images or Optimized Formatted Images in the previous step, choose options
for the optimizing the images.
9Click Export.
Note: Not all special characters are supported in XML (such as the Automatic Page Number character). InDesign warns
you if it cannot include a character in the exported XML file. This warning also appears if you didn’t tag a table.
See also
“Create and load XML tags” on page 524
“Tagging content for XML” on page 524
“Rearrange structured elements” on page 531
Optimized image export options
The following options are available when you choose Optimized Original Images or Optimized Formatted Images
in the Images tab of the Export XML dialog box.
Image Conversion Specifies which file format to use for the converted image. If you choose Automatic, InDesign
chooses the best file type based on the image. Hence, you may want to specify both GIF Options and JPEG Options.
GIF Options Specify the formatting for images that are converted to GIF format when exported to XML. You can set
the following options:
•Palette Specifies the color palette you want the image to conform to when converted. Choose the palette for the
final display format of the XML content. Adaptive (no dither) works well for images with primarily solid colors and
can be used when the final output will be to multiple formats.
•Interlace Downloads every other line of the image with each pass, instead of downloading the entire image in one
pass. Interlacing enables a preview of the image to download quickly, as each successive pass adds resolution until
the final quality is met.
JPEG Options Specify the formatting for images that are converted to JPEG format when exported to XML. You can
set the following options:
•Image Quality Specifies the quality of the converted image. The higher the quality setting, the larger the file size
and the longer it takes to download.

INDESIGN CS3
User Guide
540
•Format Method Specifies how the JPEG image is formatted for download. Baseline downloads the final quality
image in one pass, so that the file displays at its final quality as soon as it opens; this format may take longer to
download than a Progressive formatted image. Progressive downloads the image in a series of passes, with the first
pass a low-resolution version and each successive pass adding resolution to the image until the final quality is
attained.
Save tags only as XML
Save tags only so you can load the tags into an InDesigndocument and make use of them there.
1Choose Save Tags from the Tags panel menu.
2Type a name, specify a location, and then click Save.
The tags in your document, along with their assigned colors, are saved in an XML file.
Edit an exported XML file
After you’ve used InDesign to create and export an XML file, you can make changes to the XML using either of these
methods:
•To make changes directly in the XML file, open it in a text or XML editor.
•To make changes that will be preserved in the source document, open the InDesign file that the XML was exported
from. After you make changes to the content in InDesign, you can export it to XML again, using the original XML
filename if you want to replace the file.

541
Chapter 20: Printing
To make optimal decisions about printing, you should understand basic printing principles, including how the
resolution of your printer can affect the way your layout appears when printed. Contact your print service provider
to get information on color choices and make the best printing decisions.
Printing documents
About printing
Whether you are providing a multicolored document to an outside service provider, or just sending a quick draft of
a document to an inkjet or laser printer, knowing a few basics about printing will make the print job go more
smoothly, and help to ensure that the finished document appears as intended.
Types of printing
When you print a file, Adobe InDesign CS3 sends it to a printing device—either to be printed directly on paper or
to a digital printing press, or to be converted to a positive or negative image on film. In the latter case, the film can
then be used to create a master plate for printing by a commercial press.
Types of images
The simplest types of images, such as text, use only one color in one level of gray. A more complex image is one with
color tones that vary within the image. This type of image is known as a continuous-tone image. A photograph is an
example of a continuous-tone image.
Halftoning
To create the illusion of continuous tone, images are broken down into a series of dots. This process is called
halftoning. Varying the sizes and densities of the dots in a halftone screen creates the optical illusion of variations of
gray or continuous color in the printed image.
Color separation
Artwork that will be commercially reproduced and that contains more than a single color must be printed on
separate master plates, one for each color. This process is called color separation.
Getting detail
The detail in a printed image results from a combination of resolution and screen frequency. The higher an output
device’s resolution, the finer (higher) the screen frequency you can use.
Duplex printing
Printer-specific features such as duplex printing are available when you click the Printer button in the Print dialog
box. Duplex printing is available only if the printer supports it. For information on duplex printing, see your printer
documentation.

INDESIGN CS3
User Guide
542
Transparent objects
IftheartworkcontainsobjectswithtransparencyfeaturesthatyouaddedusingtheTransparencypanelortheDrop
Shadow or Feather commands, the transparent artwork will be flattened according to settings in the flattener preset
you choose. You can affect the ratio of rasterized images to vector images in the printed artwork.
For more information on printing, see the Adobe Print Resource Center at www.adobe.com/go/print_resource. To
troubleshoot printing problems, see www.adobe.com/go/learn_id_printtrouble.
See also
“About transparency flattener presets” on page 404
“Specify a halftone screen frequency and resolution” on page 586
Print a document or book
1Make sure that you’ve installed the correct driver and PPD for your printer.
2Open the Print dialog box:
•If you have individual documents open, choose File > Print. This opens the Print dialog box for the frontmost
open document.
•If you have either no documents or all documents selected in the Book panel, choose Print Book in the Book panel
menu. This will print all documents in a book.
•
IfyouhavesomedocumentsselectedintheBookpanel,choosePrintSelectedDocumentsintheBookpanelmenu.
3Specify the printer you’re using in the Printer menu. If a printer preset has the settings you want, choose it in the
Print Preset menu.
4In the General area, type the number of copies to print, choose whether to collate pages or print them in reverse
order, and indicate which pages you want printed.
Note: The Page Range option is unavailable if you’re printing a book.
5Indicate whether you want to print nonprinting objects, blank pages, or visible grids and baseline grids.
6Adjust settings as needed for each area of the Print dialog box.
7Click Print.
Settings you specify in the Print dialog box are saved with the document.
See also
“Create print presets” on page 560
“Specify paper size and page orientation” on page 544
Page printing options
You can print all pages, even or odd pages only, a series of individual pages, or a contiguous range.
Range Specifies the range of pages to print in the current document. Indicate numbers in a range by using a hyphen,
and indicate multiple pages or ranges by using commas or spaces. (See “Specifying pages to print” on page 544.)
Sequence ChooseAllPagestoprintallpagesofadocument.ChooseEvenPagesOnlyorOddPagesOnlytoprint
only those pages within the specified range. These options are unavailable when you are using the Spreads or Print
Master Pages options.

INDESIGN CS3
User Guide
543
Spreads Prints pages together, as if they were bound, or printed on the same sheet. You can print only one spread
persheet.Ifthenewpageislargerthanthecurrentlyselectedpapersize,InDesignprintsasmuchasitcan,butwon’t
automatically scale the page to fit the imageable area, unless you select Scale To Fit in the Setup area of the Print
dialog box. You may also want to specify landscape orientation.
Note: If different trapping styles are applied to pages in the spread, InDesign resolves the differences.
Print Master Pages Prints all master pages, rather than document pages. Selecting this option makes the Ranges
option unavailable.
Examples of page ranges
Options for printing objects
The General area of the Print dialog box contains options for printing elements usually visible only on-screen, such
as grids and guides. Choose from the following options:
Print Layers Determine which layers are printed. (See “Choose which layers are printed or exported to PDF” on
page 547.)
Print Non-printing Objects Prints all objects, regardless of your settings to selectively prevent individual objects
from printing.
Print Blank Pages Prints all pages in the specified page range, even if no text or objects appear on a page. This option
is unavailable when you are printing separations. If you are using Print Booklet for composite printing, use the Print
Blank Printer Spreads option to print blank spreads added to fill out composite signatures.
Print Visible Guides and Baseline Grids Prints visible guides and grids in the same color as shown in the document.
You can control which guides and grids are visible in the View menu. This option is unavailable when you are
printing separations.
Page range Pages printed
11- Page 11 to the last page of the document.
-11 All pages up to and including page 11.
+11 Page 11 only.
-+11 All pages up to and including page 11.
+11- All pages from the eleventh page to the
end of document.
1, 3-8, Page 1, plus pages 3 to 8.
+1, +3-+8, Page 1, plus pages 3 to 8.
Sec1 All pages in section labeled “Sec1”.
Sec2:7 Page numbered 7 (not necessarily the
seventh page of that section) in section
labeled “Sec2.”
PartB:7- Page numbered 7 in section labeled “PartB”
to last page of section.
Chap2:7-Chap3 Page 7 in section labeled “Chap2” to end of
section labeled “Chap3”.
Sec4:3-Sec4:6,
Sec3:7
Pages 3–6 in “Sec4” and page 7 in “Sec3”.

INDESIGN CS3
User Guide
544
Specifying pages to print
You can specify a page range using either absolute numbering (the page’s position in the current document) or
page/section numbering (the section and page numbers assigned to the page). By default, dialog boxes in InDesign
honor the format specified for Page Numbering in the Preferences dialog box.
•WhenAbsoluteNumberingisselected,numbersyouspecifyforpagesorpagerangescorrespondtotheabsolute
position of pages in your document. For example, to print the third page in the document, you would enter “3”
for Range in the Print dialog box.
•When Section Numbering is selected in the Preferences dialog box, you can enter pages and page ranges exactly
as they appear in your layout or using absolute numbering. For example, if the page labeled SecA:5 is the fifteenth
page in your document, you could print it by entering “SecA:5” in the Print dialog box or by entering “+15”. The
“+” sign indicates that you want to override the normal section and page numbering to use absolute page
numbering.
If you are unsure which format to use when entering page numbers in the Print dialog box, imitate the format used
in the page box at the bottom of the document window.
Specify paper size and page orientation
It’s important to distinguish between page size (as defined in the Document Setup dialog box for your document)
and paper size (the sheet of paper, piece of film, or area of the printing plate you’ll print on). Your page size might be
US Letter (8.5-by-11 inches), but you might need to print on a larger piece of paper or film to accommodate any
printer’s marks or the bleed and slug areas.
The list of paper sizes available to InDesign comes from the PPD (PostScript printers) or from the printer driver
(non-PostScript printers). If the printer and PPD you’ve chosen for PostScript printing support custom paper sizes,
you’ll see a Custom option in the Paper Size menu.
Most imagesetters can accommodate regular paper sizes, such as letter and tabloid, as well as transverse orientation,
where the regular page size is rotated 90˚ when printed. The transverse orientation is often a more efficient use of
imagesetter media.
Page size and orientations for imagesetters
A. Letter (tall orientation) B. Custom page size (tall orientation) C. Letter (transverse orientation)
Paper sizes are listed by familiar names (such as Letter). The dimensions define the limits of the imageable area—the
total paper size, less any unprintable border used by the printer or imagesetter. Most laser printers cannot print to
the exact edge of a page.
If you select a different paper size (for example, if you change from Letter to Legal), the document is rescaled in the
preview window. The preview window displays the entire imageable area of the selected page; when the preview size
is changed, the preview window automatically rescales to include the imageable area.
Note: The imageable area will vary by PPD file, even for the same paper size (for example, Letter), because different
printers and imagesetters define the sizes of their imageable areas differently.
ABC

INDESIGN CS3
User Guide
545
Comparison of printing a letter-size page on Letter, Letter.extra, or Tabloid paper
Note: ThepreviewinthelowerleftareaofthePrintdialogboxindicateswhetheryouhaveenoughspacetoincludeall
printer’s marks and the bleed and slug areas.
See also
“Specify printer’s marks” on page 550
“About PPD files” on page 550
Specify paper size and orientation
1Choose File > Print.
2In the Setup area of the Print dialog box, choose an option in the Paper Size menu.
Make sure that your paper size is large enough to contain your document, the bleed and slug areas (if included), and
any printer’s marks. To conserve imagesetter film or paper, however, select the smallest paper size that will accom-
modate your document and the necessary printing information.
3Click an Orientation button to rotate the document on the media.
In most cases, the page orientation specified in Document Setup (File > Document Setup) and the output orientation
specified in the Setup area of the Print dialog box should be the same (both portrait or both landscape), whether you
print normal or transverse. If you’re printing spreads, you may want to choose a different paper size and orientation
(such as landscape) to fit all pages of a spread on a single sheet.
Orientation buttons
A. Portrait B. Landscape C. Reverse Portrait D. Reverse Landscape
AB C D

INDESIGN CS3
User Guide
546
Specify a custom paper size
If you’re using a printer that accommodates various paper sizes, such as a high-resolution imagesetter, you can
specify a custom paper size when you print. InDesign makes the custom option available only if the selected PPD
supports custom paper sizes.
The largest custom paper size you can specify depends on the maximum imageable area of your imagesetter. For
more information, consult the documentation for your specific printer.
Note: Custom paper size options for non-PostScript printers is not accessible from the InDesign Print dialog box. To set
those printer-specific features, click Setup (Windows), Printer (Mac OS), or Page Setup (Mac OS) in the InDesign Print
dialog box. Check the documentation for your non-PostScript printer driver for details.
1Choose File > Print.
2If you are printing a PostScript file, choose PostScript for Printer in the General area of the Print dialog box. Then
select the PPD that supports custom paper sizes.
3In the Setup area of the Print dialog box, choose Custom in the Paper Size menu.
Note: If Custom is not available, the PPD you selected when you set up your printer does not support custom paper sizes.
4To specify width and height, do one of the following:
•To let InDesign determine the smallest paper size needed for your document’s contents, bleed and/or slug areas,
and any printer’s marks, select Auto for Width and Height. Auto, the default option, is also useful if you have
different sized pages in a book and you’re printing on continuous media, such as a roll of film or photosensitive
paper.
•To specify a paper size larger than the default, enter new dimensions in the Width and Height text boxes. Be sure
to increase the values; decreasing the default values may clip your document.
5To change the placement of the page on the film, enter a value for Offset.
The Offset value specifies the amount of space along the left side of the imageable area. For example, entering a value
of 30 points in the Offset option shifts your page 30 points to the right.
6To rotate both media and page contents, select Transverse and click OK.
You can conserve a considerable amount of film or paper by using Transverse in conjunction with Offset. Compare
the following examples of an image printed by InDesign with Transverse selected and deselected.
Transverse deselected (left) compared to Transverse selected (right)
A. Offset value B. Gap C. Film saved
7To specify the distance between individual pages when printing on continuous media, enter a value for Gap.
B
AA
B
C

INDESIGN CS3
User Guide
547
Choose which layers are printed or exported to PDF
1TorevieworchangetheShowLayerandPrintLayersettingsforyourdocument,selectalayerintheLayerspanel,
and then choose Layer Options from the panel menu. Specify layer options, and click OK.
2Do one of the following:
•Choose File > Print, and click General on the left side of the Print dialog box.
•Choose File > Export, specify Adobe PDF, and then click Save. On the left side of the Export Adobe PDF dialog
box, select General.
3From the Print Layers or Export Layers menu, choose which layers you want to print or include in the PDF:
All Layers Prints or outputs all layers in your document, even if they are hidden or set as nonprinting.
Visible Layers Prints or outputs all visible layers, even if they are set as nonprinting in Layer Options.
Visible & Printable Layers Prints or outputs only those layers that are set as both visible and printable.
See also
“Export to PDF” on page 473
Printing to non-PostScript language printers
You can print a document on a non-PostScript language printer. However, because PostScript is the standard page-
description language for professional publishing, many high-end color and graphics features, such as screen
frequencies or color separations, cannot be reproduced on non-PostScript printers. Most imported graphics file
formats print acceptably. In general, a document printed to a non-PostScript printer should look the way it appears
on-screen when you view the document using Preview Mode.
Some vendors sell software programs that add PostScript-language capability to a non-PostScript language printer.
Check with your software reseller for availability and compatibility.
Print as bitmap
When you print to a non-PostScript printer, you can choose to rasterize all artwork during printing. This option is
useful when printing documents that contain complex objects (such as objects with smooth shading or gradients)
because it reduces the possibility of errors.
1Choose File > Print.
2Select Advanced on the left side of the Print dialog box.
3Select Print As Bitmap.
This option is available only if the printer driver identifies the printer as non-PostScript. If this option is selected for
non-PostScript printers in Mac OS 10.3 or later, InDesign prints PostScript, which is then used by Mac OS and the
driver to render the page images. In Windows, the high-end color and graphics features may not be converted appro-
priately if this option is not selected.
4Specify a resolution for bitmap printing.
The output resolution may be limited by the printer driver’s resolution. To get the best quality output, set the non-
PostScript printer driver resolution to be equal or greater than the output resolution specified in the InDesign Print
dialog box.

INDESIGN CS3
User Guide
548
Preview documents
You can view how the document’s pages fit on the chosen paper size before you print to a PostScript printer. A
preview in the lower left area of the Print dialog box shows whether your paper and orientation settings will work
for your page size. When you select different options in the Print dialog box, the preview updates dynamically with
the combined effects of your print settings.
1Choose File > Print.
2Click the preview image in the lower left area of the Print dialog box.
The preview has three views:
Standard view Displays the relationship of a document page to the media. It shows the effects of various options
such as paper size to imageable area, bleed and slug areas, and page marks, as well as the effects of tiling and thumb-
nails.
Four different page-fit settings in Standard view
A. Default B. Spreads C. Orientation D. 2-by-2 Thumbnails
Text view Lists the numerical values for certain print settings.
Custom page/Cut sheet views Displays the effects of different print settings, depending on your page size. For
custom page sizes, the preview shows how the media fits on the custom output device; the maximum supported
media dimensions of the output device; and the settings for offset, gap, and transverse. For cut sheets, such as Letter
and Tabloid, the preview shows the relationship of the imageable area to the media size.
In both the custom page and cut sheet views, the preview also indicates the output mode using an icon:
Separations , Composite Grayscale , Composite CMYK , or Composite RGB .
AB
CD

INDESIGN CS3
User Guide
549
Custom page view (left) and cut sheet view (right)
A. Direction of media travel B. Transverse deselected C. Paper size D. Media E. Imageable area F. Media
Setting up a printer
Setting up a printer
InDesign supports printing to both PostScript® (Level 2 and 3) and non-PostScript language printers, using most
current printer drivers. When you print to a PostScript printer, InDesign uses information from a PostScript Printer
Description (PPD) file to determine which settings to display in the Print dialog box.
Follow these basic steps when setting up a printer:
•Install the latest printer driver for your output device. See your operating system documentation for instructions.
•For PostScript printing, select a PPD file when you set up your printer.
See also
“About printing” on page 541
“About PPD files” on page 550
About printer drivers
A printer driver lets you directly access printer features from applications on your computer. Having the correct
driver ensures that you have access to all of the features a particular printer supports.
Adobe recommends upgrading to the latest driver for your operating system.
For more information on recommended and supported PostScript printer drivers, including installation instruc-
tions, search the section on Adobe printer drivers on the Adobe website.
Accessing printer driver features
Printer drivers may support features that are not included in InDesign, such as duplex printing. Support for these
features varies depending on the printer driver you have. Check with your printer manufacturer for details.
If you want to specify settings for a specific printer, InDesign provides access to the printer driver through the
following buttons in the InDesign Print dialog box. (When you choose to print to a PostScript file, these options are
not available.)
Setup (Windows) This button opens the Windows Print dialog box.
A B C D
EF

INDESIGN CS3
User Guide
550
Page Setup (Mac OS) This button displays the standard Mac OS Page Setup dialog box.
Printer (Mac OS) This button displays the standard Mac OS Print dialog box.
Note: Some InDesign printing features appear in both the printer driver dialog boxes and the InDesign Print dialog box.
For best results, specify the settings in the InDesign Print dialog box only. If settings overlap, InDesign tries to synchronize
the settings, or to ignore the driver’s settings. Some printer driver features (for example, N-up printing, which prints the
same artwork multiple times on the same page) produce adverse printing results when used with InDesign features such
as separations.
About PPD files
A PPD (PostScript Printer Description) file customizes the behavior of the driver for your specific PostScript printer.
It contains information about the output device, including printer-resident fonts, available media sizes and orien-
tation, optimized screen frequencies, screen angles, resolution, and color output capabilities. It’s important to select
the correct PPD before you print. Selecting the PPD that corresponds to your PostScript printer or imagesetter
populates the Print dialog box with the available settings for the output device. You can switch to a different one to
suit your needs.
Applications use the information in the PPD file to determine which PostScript information to send to the printer
when printing a document. For example, the application assumes that the fonts listed in your PPD file reside in the
printer, so they are not downloaded when you print, unless you explicitly include them.
Forbestprintingresults,AdoberecommendsthatyouobtainthelatestversionofthePPDfileforyouroutputdevice
from the manufacturer. Many print service providers and commercial printers have PPDs for the imagesetters they
use. Be sure to store PPDs in the location specified by the operating system. For details, consult the documentation
for your operating system.
Select a PPD file
In Windows and in Mac OS, you select a PPD file in the same way you add a printer. The steps for selecting a PPD
file are different for each platform. See your operating system documentation for details.
Printer’s marks and bleeds
Specify printer’s marks
When you prepare a document for printing, a number of marks are needed to help the printer determine where to
trim the paper, align separation films when producing proofs, measure film for correct calibration and dot density,
and so on. Selecting any page-mark option expands the page boundaries to accommodate printer’s marks, bleed (the
parts of text or objects that extend past the page boundary to account for slight inaccuracy when trimming), or slug
area (an area outside the page and bleed that contains printer instructions or job sign-off information).
If you are setting crop marks and want the artwork to contain a bleed or slug area, make sure that you extend the
artwork past the crop marks to accommodate the bleed or slug. Also make sure that your media size is large enough
to contain the page and any printer’s marks, bleeds, or the slug area. If a document doesn’t fit the media, you can
control where items are clipped by using the Page Position option in the Setup area of the Print dialog box.

INDESIGN CS3
User Guide
551
Printer’s marks
A. Crop marks B. Registration mark C. Page information D. Color bars E. Bleed marks F. Slug area
1Choose File > Print.
2Click Marks and Bleed on the left side of the Print dialog box.
3Select either All Printer’s Marks or individual marks.
Print the bleed or slug areas
SpecifythebleedandslugareasintheDocumentSetupdialogbox.Thebleedandslugareasarediscardedwhenthe
document is trimmed to its final page size. Objects outside the bleed or slug area (whichever extends farthest) are
not printed.
Whenprinting,youcanoverridethedefaultlocationforbleedmarksintheBleedAndSlugareaoftheMarksAnd
Bleed area.
Files saved in PostScript file format allow capable post-processing programs to implement their own variable bleed.
1Choose File > Print.
2Click Marks And Bleed on the left side of the Print dialog box.
3Select either All Printer’s Marks or individual marks.
4To override bleed settings in the Document Setup dialog box, uncheck Use Document Bleed Settings and enter
values from 0 to 6 inches (or equivalents) for Top, Bottom, Left, and Right (for single-sided documents), or Top,
Bottom, Inside, and Outside (for double-sided documents with facing pages). To extend the offset evenly on all sides
of the page, click the Make All Settings The Same icon .
5Click Include Slug Area to print objects using the slug area defined in the Document Setup dialog box.
You can preview the bleed and slug areas before printing by clicking the Bleed Preview Mode or the Slug Preview
Mode icon at the bottom of the Toolbox. (These may be hidden by the Preview Mode icon .)
See also
“Creating PostScript and EPS files” on page 564
Marks and Bleed options
The Marks And Bleed area includes the following options:
All Printer’s Marks Selects all printer’s marks including crop marks, bleed marks, registration marks, color bars, and
page information.
A
D
E
F
C
B

INDESIGN CS3
User Guide
552
Crop Marks Adds fine (hairline) horizontal and vertical rules that define where the page should be trimmed. Crop
marks can also help register (align) one color separation to another. By using together with bleed marks, you can
select overlapped marks.
Bleed Marks Adds fine (hairline) rules that define the amount of extra area to image outside the defined page size.
Registration Marks Adds small “targets” outside the page area for aligning the different separations in a color
document.
Color Bars Adds small squares of color representing the CMYK inks and tints of gray (in 10% increments). Your
service provider uses these marks to adjust ink density on the printing press.
Page Information Prints the filename, page number, current date and time, and color separation name in 6-point
Helvetica in the lower left corner of each sheet of paper or film. The Page Information option requires 0.5 inches
(13mm) along the horizontal edge.
Type Lets you choose default printer’s marks or custom marks (for Japanese pages, for example). You can create
custom printer’s marks or use custom marks created by another company.
Weight Displays possible weights for crop and bleed mark lines.
Offset Specifies how far from the edge of the page (not the bleed) InDesign will draw printer’s marks. By default,
InDesign draws printer’s marks 6 points from the edge of the page. To avoid drawing printer’s marks on a bleed, be
sure to enter an Offset value greater than the Bleed value.
Change the page position on the media
When you print a document to a cut-sheet media size that is larger than the document size, you can control where
theslugandbleedareas,printer’smarks,andpagefallonthemediabyusingthePagePositionoptionsintheSetup
area of the Print dialog box. If a document doesn’t fit the media and needs to be clipped, you can specify which part
of the document is clipped. The preview image in the Print dialog box shows the results.
Note: To see the bleed and slug areas and printer’s marks, use the Scale To Fit option instead of Page Position; scaled
pages are always centered. The Page Position options are unavailable when Scale To Fit, Thumbnails, or Tile is selected.
❖In the Setup area of the Print dialog box, choose a position in the Page Position menu.
Printing thumbnails and oversized documents
Print thumbnails
Tofitmultiplepagesonasinglepage,youcancreatethumbnails—small preview versions of your document. Thumb-
nails are useful for verifying content and organization. Where appropriate, InDesign automatically changes the paper
orientation to provide the best fit of the page to the paper; however, you’ll need to reset the original orientation if
you deselect the Thumbnails option.
Note: When you print thumbnails, printer’s marks and any items in the bleed and/or slug areas are excluded.
1In the Setup area of the Print dialog box, select Thumbnails.
2In the menu, choose the number of thumbnails per page.

INDESIGN CS3
User Guide
553
Printing oversized documents
Although you can create InDesign documents as large as 18-by-18 feet, most desktop printers cannot print such large
pages.
To print an oversized document on your desktop printer, you can print each page of your document in pieces, called
tiles, and then trim and assemble those pieces. If you prefer, you can scale the document to fit the available paper size.
See also
“Tile a document” on page 553
“Scale type” on page 220
Tile a document
A document’s dimensions do not necessarily match the paper sizes used by printers. As a result, when you print,
InDesign divides the oversized document into one or more rectangles, or tiles, that correspond to the page size
available on the printer. You can then assemble the overlapping sections.
You can have InDesign tile a document automatically, or you can specify the tiles yourself. Tiling manually lets you
control the origin point for the upper-left corner of the tile, so that you determine where the page falls on the paper.
Oversized pages divided into printable tiles (left) and the overlapping sections in final assembly (right)
Tile a document automatically
1Choose File > Print.
2In the Setup area of the Print dialog box, select Tile.
3Choose one of the following options in the Tile menu:
Auto Automatically calculates the number of tiles required, including the overlap.
Auto Justified Increases the amount of overlap (if necessary) so that the right sides of the rightmost tiles are aligned
at the right edge of the document’s page, and the bottom sides of the bottommost tiles are aligned at the bottom edge
of the document’s page.
4For Overlap, type the minimum amount of duplicated information you want printed on each tile for ease in
assembly. The Overlap option uses the unit of measure specified for the document. The value should be greater than
the minimum nonprinting margins for the printer. You can specify up to half the size of the shortest side of the
document page to overlap. For example, tiles for a page that measures 11-by-17 inches (279.4mm-by-431.8mm) can
overlap up to 5.5 inches (139.7mm).

INDESIGN CS3
User Guide
554
Tile a document manually
While tiling a document automatically prints all the tiles at once, tiling a document manually requires you to print
each tile separately.
1If necessary, choose View > Show Rulers to display the rulers.
2Drag the intersection of the rulers to reset the zero point to the desired upper-left corner of the tile you want to
print. Remember to leave room for overlap and printer’s marks.
The size and shape of the area InDesign prints is determined by the current paper size and orientation.
3Choose File > Print, and then click Setup on the left.
4In the Setup area, select Tile, and then choose Manual in the Tile menu.
Scale documents
To fit an oversized document on a smaller piece of paper, you can scale the document’s width and height, either
symmetrically or asymmetrically. Asymmetric scaling is useful when, for example, you’re printing film for use on a
flexographic press: If you know in which direction the plate will be mounted on the press drum, scaling can
compensate for the 2% to 3% stretching of the plate that usually occurs. Scaling does not affect the size of the pages
in the document.
Note: When you print spreads, each spread is scaled separately.
Scale a document manually
1Choose File > Print.
2In the Setup area of the Print dialog box, select Width to activate the Width and Height boxes.
3To maintain current document width to height proportions, select Constrain Proportions. Otherwise, make sure
that this option is unselected.
4Type percentages from 1 to 1000 in the Width and Height boxes. If you selected Constrain Proportions, you need
to enter only one value; the other is updated automatically.
Scale a document automatically
1In the Setup area of the Print dialog box, make sure that the Tile and Thumbnail options are unselected. (When
these options are selected, the Scale To Fit option is unavailable.)
2Select Scale To Fit. The scaling percentage, which is determined by the imageable area defined by the selected
PPD, appears next to the Scale To Fit option.
Printing in color
Color output options for composites
In the Output area of the Print dialog box, you can determine how composite color in the document is sent to the
printer. When color management is enabled (the default), the Color setting defaults result in calibrated color output.
Spot color information is preserved during color conversion; only the process color equivalents convert to the desig-
nated color space. If you’re not sure which color choice to use, consult your prepress service provider.
Composite modes only affect rasterized images and objects created using InDesign; placed graphics (such as EPS
and Adobe PDF files) are not affected unless they overlap transparent objects.

INDESIGN CS3
User Guide
555
For more information on composite printing, see the Adobe Print Resource Center at
www.adobe.com/go/print_resource.
Note: The options available for non-PostScript printing depend on the color model the printer uses, which is usually RGB.
When you print as composite, automatic trapping is disabled; however, you can select the Simulate Overprint option
to proof overprinting for text, strokes, or fills.
The Output area in the Print dialog box includes the following Color options. Additional options may also be
available, depending on your printer.
Composite Leave Unchanged Sends a full-color version of specified pages to the printer, preserving all color values
in the original document. When this option is selected, Simulate Overprint is disabled.
Composite Gray Sends grayscale versions of specified pages to the printer when, for example, you are printing to a
monochrome printer without making separations.
Composite RGB Sends a full-color version of specified pages to the printer when, for example, you are printing to an
RGB color printer without making separations.
Composite CMYKSends a full-color version of specified pages to the printer when, for example, you are printing to
a CMYK color printer without making separations. (This option is available only for PostScript printers.)
Separations Creates PostScript information for each of the separations required for the document, and sends that
information to the output device. (This option is available only for PostScript printers.)
In-RIP Separations Sends separation information to the output device’s RIP. (This option is available only for
PostScript printers.)
Text As Black Select this option to print all text created in InDesign in black, unless it has the color None or Paper
or a color value that equals white. This option is useful when you’re creating content for both print and PDF distri-
bution. For example, if hyperlinks were blue in the PDF version, they would print black on a grayscale printer, rather
than in halftone patterns that would be difficult to read.
See also
“Preparing to print separations” on page 574
Printing graphics and fonts
Options for printing graphics
Choose from the following options in the Graphics area of the Print dialog box to specify how graphics are handled
during output.
Send Data Controls how much image data in placed bitmap images to send to the printer or file.
All Sends full-resolution data, which is appropriate for any high-resolution printing, or for printing grayscale or
color images with high contrast, as in black-and-white text with one spot color. This option requires the most disk
space.
Optimized Subsampling Sends just enough image data to print the graphic at the best possible resolution for the
output device. (A high-resolution printer will use more data than a low-resolution desktop model.) Select this option
when you’re working with high-resolution images but printing proofs to a desktop printer.

INDESIGN CS3
User Guide
556
Note: InDesign does not subsample EPS or PDF graphics, even when Optimized Subsampling is selected.
Proxy Sends screen-resolution versions (72 dpi) of placed bitmap images, thereby reducing printing time.
None Temporarily removes all graphics when you print and replaces them with graphics frames with crossbars,
thereby reducing printing time. The graphics frames are the same dimensions as the imported graphics and clipping
paths are maintained, so you can still check sizes and positioning. Suppressing the printing of imported graphics is
useful when you want to distribute text proofs to editors or proofreaders. Printing without graphics is also helpful
when you’re trying to isolate the cause of a printing problem.
Options for downloading fonts to a printer
Printer-resident fonts are stored in a printer’s memory or on a hard drive connected to the printer. Type 1 and
TrueType fonts can be stored either on the printer or on your computer; bitmap fonts are stored only on your
computer. InDesign downloads fonts as needed, provided they are installed on your computer’s hard disk.
Choose from the following options in the Graphics area of the Print dialog box to control how fonts are downloaded
to the printer.
None Includes a reference to the font in the PostScript file, which tells the RIP or a post-processor where the font
shouldbeincluded.Thisoptionisappropriateifthefontsresideintheprinter.TrueTypefontsarenamedaccording
to the PostScript name in the font; however, not all applications can interpret these names. To ensure that TrueType
fonts are interpreted correctly, use one of the other font downloading options.
Complete Downloads all fonts required for the document at the beginning of the print job. All glyphs and characters
in the font are included even if they’re not used in the document. InDesign automatically subsets fonts that contain
more than the maximum number of glyphs (characters) specified in the Preferences dialog box.
Subset Downloads only the characters (glyphs) used in the document. Glyphs are downloaded once per page. This
option typically results in faster and smaller PostScript files when used with single-page documents, or short
documents without much text.
Download PPD Fonts Downloads all fonts used in the document, even if those fonts reside in the printer. Use this
option to ensure that InDesign uses the font outlines on your computer for printing common fonts, such as Helvetica
and Times. Using this option can resolve problems with font versions, such as mismatched character sets between
your computer and printer or outline variances in trapping. Unless you commonly use extended character sets, you
don’t need to use this option for desktop draft printing.
See also
“About preferences and defaults” on page 36
PostScript printing options
Choose from the following options in the Graphics area of the Print dialog box to specify how PostScript information
is sent to the printer.
PostScript Specifies a level of compatibility with the interpreters in PostScript output devices.
Data Format Specifies how InDesign sends the image data from your computer to a printer. ASCII is sent as ASCII
text, which is compatible with older networks and parallel printers and is usually the best choice for graphics used
on multiple platforms. Binary exports as binary code, which is more compact than ASCII but may not be compatible
with all systems.

INDESIGN CS3
User Guide
557
Note: InDesign cannot always change the data format used by EPS or DCS graphics files. If you experience problems
sending data as Binary, try changing the data format of EPS or DCS graphics in the source application instead.
Options for omitting graphics
The OPI options in the Advanced area let you selectively omit different imported graphics types when sending image
data to a printer or file, leaving only the OPI links (comments) for later handling by an OPI server.
OPI Image Replacement Enables InDesign to replace low-resolution EPS proxies of graphics with high-resolution
graphics at output time. For OPI image replacement to work, the EPS file must contain OPI comments that link the
low-resolution proxy image to the high-resolution image. InDesign must have access to the graphics linked by the
OPI comments. If the high-resolution versions are not available, InDesign preserves the OPI links and includes the
low-resolution proxy in the export file. Deselect this option to have an OPI server replace OPI-linked graphics later
in the workflow.
Omit For OPI Lets you selectively omit different imported graphics types (EPS, PDF, and bitmap images) when
sending image data to a printer or file, leaving only the OPI links (comments) for later handling by an OPI server.
The comments contain the information needed to locate a high-resolution image on an OPI server. InDesign only
includes the comments; the service provider must have access to the original high-resolution image on a server at
replacement time. The Omit For OPI option doesn’t apply to embedded graphics.
See also
“Import options for graphics” on page 340
Managing color
Use color management when printing
When you print a color-managed document, you can specify additional color management options to keep color
consistent in the printer output. For example, suppose that your document currently contains a profile tailored for
prepress output, but you want to proof the document colors on a desktop printer. In the Print dialog box, you can
convertthedocument’scolorstothecolorspaceofthedesktopprinter;theprinterprofilewillbeusedinsteadofthe
current document profile. If you select the Proof color space and target an RGB printer, InDesign converts color data
to RGB values using the selected color profiles.
When printing to a PostScript printer, you also have the option of using PostScript color management. In this
instance, InDesign sends the document’s color data in a calibrated version of its original color space, along with the
document profile, directly to the PostScript printer and lets the printer convert the document to the printer color
space. The printer’s color space is stored at the device as a color rendering dictionary (CRD); this makes device-
independent output possible. CRDs are PostScript equivalents of color profiles. The exact results of the color
conversion can vary among printers. To use PostScript color management, you must have a printer that uses
PostScript Level 2 or higher; it is not necessary to install an ICC profile for the printer on your system.
1Make sure that you’ve installed the correct driver and PPD for your printer.
2Choose File > Print.
3If a printer preset has the settings you want, choose it in the Printer Preset menu at the top of the Print dialog box.
4Adjust settings as desired for this document.
5Click Color Management on the left side of the Print dialog box.

INDESIGN CS3
User Guide
558
6Under Print, select Document.
7For Color Handling, choose Let InDesign Determine Colors.
8For Printer Profile, select the profile for your output device.
The more accurately the profile describes the behavior of an output device and printing conditions (such as paper
type), the more accurately the color management system can translate the numeric values of the actual colors in a
document. (See “Working with color profiles” on page 450.)
9Select Preserve RGB Numbers or Preserve CMYK Numbers.
This option determines how InDesign handles colors that do not have a color profile associated with them (for
example, imported images without embedded profiles). When this option is selected, InDesign sends the color
numbersdirectlytotheoutputdevice.Whenthisoptionisdeselected,InDesignfirstconvertsthecolornumbersto
the color space of the output device.
Preserving numbers is recommended when you are following a safe CMYK workflow. (See “Using a safe CMYK
workflow” on page 443.) Preserving numbers is not recommended for printing RGB documents.
10 Press either Setup (Windows) or Printer (Mac OS) to access the printer driver dialog box.
11 Turn off color management for the printer, and click Print to return to the InDesign Print dialog box.
Every printer driver has different color management options. If it’s not clear how to turn off color management,
consult your printer documentation.
12 Click Print.
See also
“Understanding color management” on page 437
Print a hard proof
A hard proof (sometimes called a proof print or match print) is a printed simulation of what your final output on a
printing press will look like. A hard proof is produced on an output device that’s less expensive than a printing press.
Inrecentyearssomeinkjetprintershavetheresolutionnecessarytoproduceinexpensiveprintsthatcanbeusedas
hard proofs.
1Choose View > Proof Setup > Custom.
2In the Customize Proof Condition dialog box, select the device you want to simulate, and click OK.
3Select Preserve RGB Numbers or Preserve CMYK numbers, and click OK.
This option determines how InDesign handles colors that do not have a color profile associated with them (for
example, imported images without embedded profiles). When this option is selected, InDesign sends the color
numbersdirectlytotheoutputdevice.Whenthisoptionisdeselected,InDesignfirstconvertsthecolornumbersto
the color space of the output device.
Preserving numbers is recommended when you are following a safe CMYK workflow. (See “Using a safe CMYK
workflow” on page 443.) Preserving numbers is not recommended for printing RGB documents.
4Choose File > Print.
5If a printer preset has the settings you want, choose it in the Printer Preset menu at the top of the Print dialog box.
6Adjust settings as desired for this document.
7Click Color Management on the left side of the Print dialog box.

INDESIGN CS3
User Guide
559
8Under Print, select Proof. The profile should match the proof setup you specified.
9For Color Handling, choose Let InDesign Determine Colors.
10 Select Simulate Paper Color to simulate the specific shade of white exhibited by the print medium as defined by
a document’s profile (absolute colorimetric rendering intent). This option is not available for all profiles.
11 Press either Setup (Windows) or Printer (Mac OS) to access the printer driver dialog box.
12 Turn off color management for the printer, and click Print to return to the InDesign Print dialog box.
Every printer driver has different color management options. If it’s not clear how to turn off color management,
consult your printer documentation.
13 Click Print.
Printing gradients and color blends
Improving gradients and color blends in print
PostScript Level 2 and PostScript 3 output devices can print up to 256 shades of gray, and most PostScript desktop
laser printers are capable of printing approximately 32 to 64 shades, depending on the device resolution, specified
screen frequency, and halftoning method. Banding occurs when each available shade covers an area large enough for
you to see individual shades. Also, if you specify a gradient using two percentage values that differ by less than 50%,
you’re specifying a narrow range of shades that’s more likely to result in banding. If you have difficulty printing
smooth gradients without banding, try these techniques:
•Use a gradient that changes at least 50% between two or more process color components.
•Specify lighter colors, or shorten the length of dark gradients. Banding is most likely to occur between very dark
colors and white.
•Increase the percentage of change in the gradient.
•Decrease the screen frequency for the document (PostScript output devices only).
•If banding occurs in an imported graphic, such as an Adobe Illustrator® file, you might need to adjust the original
graphic.
•Print to a PostScript® 3 output device, which is capable of producing smoother gradients.
•Use shorter gradients. The optimum length depends on the colors in the gradient, but try to keep gradients shorter
than 7.5 inches.
See also
“About gradients” on page 428
“Specify a halftone screen frequency and resolution” on page 586
About halftone dots and printer dots
Most printers simulate gray by using halftone dots printed on a grid; the grid cells are called halftone cells, and the
grid rows are called lines or line screens. Each halftone dot is made up of printer dots. As the halftone cell fills up with
printer dots, the halftone dot gets larger, resulting in a darker shade of gray.

INDESIGN CS3
User Guide
560
Printer resolution determines the number of dots available to create the halftone dot. A printer with smaller dots can
produce a wider variety of halftone dot sizes, allowing more shades of gray. Screen frequency also plays a role: As
screen frequency increases, the halftone cell gets smaller, and so can hold fewer printer dots, resulting in fewer
possible shades of gray. As a result, there is a trade-off between the number of possible gray levels and image
coarseness.
Simulating continuous tone with printer dots
A. Continuous tone simulated by line screen B. Line screen consisting of halftone dots in rows C. Halftone dots consisting of printer dots
Print presets
Create print presets
If you regularly output to different printers or job types, you can automate print jobs by saving all output settings as
print presets. Using print presets is a fast, reliable way to print jobs that require consistently accurate settings for
many options in the Print dialog box.
You can save and load print presets, making it easy to back them up or to make them available to your service
providers, clients, or others in your workgroup.
You can create and review print presets in the Print Presets dialog box.
❖Do one of the following:
•Choose File > Print, adjust print settings, and click Save Preset. Type a name or use the default, and then click OK.
With this method, the preset is saved in the preferences file.
•Choose Edit > Print Presets (Illustrator) or File > Print Presets > Define (InDesign), and then click New. In the
dialog box that appears, type a new name or use the default, adjust print settings, and then click OK to return to
the Print Presets dialog box. Then click OK again.
Apply print presets
1Choose File > Print.
2Choose a print preset from the Print Preset menu. If you like, confirm the printer settings in the Print dialog box.
3Click Print.
Note: In InDesign, you can also print using a print preset by choosing one from the File > Print Presets menu.
A
BC

INDESIGN CS3
User Guide
561
Edit print presets
❖Do one of the following:
•ChooseFile>Print,adjustprintsettings,andclickSavePreset.IntheSavePresetdialogboxthatappears,either
type a name in the text box or use the current name. (If the current name is an existing preset, saving overwrites
that preset’s settings.) Click OK.
•Choose Edit > Print Presets (Illustrator) or File > Print Presets > Define (InDesign), select a preset from the list,
and then click Edit. Adjust print settings, and click OK to return to the Print Presets dialog box. Then click OK
again.
You can edit the default preset as you would any other using the steps outlined above.
Delete print presets
1Choose Edit > Print Presets (Illustrator) or File > Print Presets > Define (InDesign).
2Select one or more presets from the list and click Delete. Shift-click to select adjacent presets. Ctrl-click
(Windows) or Command-click (Mac OS) to select nonadjacent presets.
Export or import print presets
You can save print presets in separate files, making it easy to back them up or to make them available to your service
providers, clients, or others in your workgroup.
1Choose Edit > Print Presets (Illustrator) or File > Print Presets > Define (InDesign).
2Do one of the following:
•To export presets, select one or more presets in the list and click Export (Illustrator) or Save (InDesign). Shift-click
to select adjacent presets. Ctrl-click (Windows) or Command-click (Mac OS) to select nonadjacent presets.
Specify a name and location, and then click Save.
•To import presets, click Import (Illustrator) or Load (InDesign). Locate and click the file containing the presets
you want to load, and then click OK.
Consider saving presets outside of the preferences folder. That way, they won’t be lost if you ever delete your prefer-
ences.
Note: Printer styles created in previous versions of InDesign can be loaded into Adobe® InDesign® CS3 and saved as
printer presets.
View a summary of print settings/presets
Use the Summary panel of the Print dialog box to view your output settings prior to printing, and then adjust them
as necessary. For example, you can see if the document will omit certain graphics for OPI replacement by the service
provider.
1Choose File > Print.
2In the Print dialog box, click Summary.
3If you want to save the summary as a text file, click Save Summary.
4Accept the default filename or type another name for the text file, and click Save.

INDESIGN CS3
User Guide
562
Handing off files
Perform a preflight check
Before printing or handing off the document to a service provider, you can perform a quality check on the document.
Preflight is the industry-standard term for this process. The preflight utility warns of problems that may prevent a
document or book from imaging as desired, such as missing files or fonts. It also provides helpful information about
a document or book, such as the inks it uses, the first page a font appears on, and print settings.
Note: During preflight, InDesign cannot check the ICC profiles, color spaces, or images for placed PDF pages or placed
InDesign files.
For a video on preparing files for output, see www.adobe.com/go/vid0089. To view a printing guide for prepress
providers (PDF), see www.adobe.com/go/learn_id_prepress_wp.
1Do one of the following:
•For a document, choose File > Preflight.
•For a book, in the Book panel menu choose Preflight Book or Preflight Selected Documents, depending on
whether you want to check the entire book or only specific documents.
The preflight utility checks content on hidden and nonprinting layers as well. The utility ignores pasteboard items;
however, fonts applied to text on the pasteboard are included in the summary.
2Using the Summary area in the Preflight dialog box as a guide, check fonts, links, graphics, and other information.
An alert icon indicates problem areas.
The Summary area also displays the page number of any transparent object in a document, or the number of
documents with transparent objects in a book.
3To show information for all layers, including those for which Show Layer and Print Layer have been turned off,
select Show Data For Hidden And Non-Printing Document Layers on the Summary area.
4To list only missing or incomplete fonts, missing or modified links, and RGB graphics, select Show Problems Only
on either the Fonts area or the Links And Images area.
5Click Report at any time to save the current information in each of the preflight sections to a text file, which you
can open in a text editor.
Correct font errors during preflight
The Fonts area of the Preflight dialog box lists all fonts used in the document—including fonts applied to overset text
or text on the pasteboard, and fonts embedded in EPS files, native Adobe Illustrator files, and placed PDF pages—
and determines whether the font is installed on your computer and available. Selecting Show Problems Only shows
fonts that fit into the following categories:
Missing fonts Lists fonts that are used in the document but are not installed on the current computer.
Incomplete fonts Lists fonts that have a screen font on the current computer but not a corresponding printer font.
Protected fonts Lists fonts that cannot be embedded in PDF or EPS files due to license restrictions.
❖Do either of the following:
•Close the Preflight dialog box and install the fonts on your computer.
•Click Find Font in the Fonts area of the Preflight dialog box, and search for, list, and replace fonts used in your
document.

INDESIGN CS3
User Guide
563
Make sure that the fonts used in the document are licensed, installed, and activated either on your computer or on
the output device.
Repair links and images during preflight
The Links And Images area of the Preflight dialog box lists all links, embedded images, and placed InDesign files
used in the document, including DCS and OPI links from linked EPS graphics. Images embedded in EPS graphics
and placed InDesign files are not included as links in the preflight report. The preflight utility indicates missing or
out-of-date links, and any RGB images (which may not separate properly unless color management is on and set up
correctly).
Note: InDesign cannot detect RGB images embedded in placed EPS, Adobe Illustrator, Adobe PDF, FreeHand files, and
placed .INDD files. For best results, verify color data for placed graphics in their original applications.
1
To view only problem images, select Show Problems Only in the Links And Images area of the Preflight dialog box.
2To repair a link, do one of the following:
•Select the problem image and click either Update or Relink.
•Click Repair All.
3Locate the correct image files and click Open.
Package files
You can gather the files you’ve used, including fonts and linked graphics, for easy handoff to a service provider. When
you package a file, you create a folder that contains the InDesign document (or documents in a book file), any
necessary fonts, linked graphics, text files, and a customized report. This report, which is saved as a text file, includes
the information in the Printing Instructions dialog box; a list of all used fonts, links, and inks required to print the
document; and print settings.
You don’t need to perform a final preflight check before packaging. InDesign performs an up-to-date preflight check.
If problem areas are detected, a dialog box appears.
You can also give your service provider a composite PDF file made from your document or a PostScript file.
1Do one of the following to open the Package dialog box:
•Choose File > Package.
•In the Preflight dialog box, click Package.
•In the Book panel menu, choose Package Book or Package Selected Documents, depending on whether all, some,
or none of the documents are selected in the Book panel.
2If a dialog box appears alerting you to possible problems, do one of the following:
•ClickViewInfotoopenthePreflightdialogboxwhereyoucancorrectproblemsorgetfurtherinformation.When
you’re satisfied with the document, begin the packaging process again.
•Click Continue to begin packaging.
3Fill in the printing instructions. The filename you type is the name of the report that accompanies all other
packaging files.
4Click Continue, and then specify a location in which to save all packaging files.

INDESIGN CS3
User Guide
564
5Select the following, as needed:
Copy Fonts (Except CJK) Copies all necessary font files, not the entire typeface. Selecting this option does not copy
CJK (Chinese, Japanese, Korean) fonts.
Copy Linked Graphics Copies linked graphics files to package folder location.
Update Graphic Links In Package Changes graphic links to the package folder location.
Include Fonts And Links From Hidden And Non-Printing Layers Packages the objects located on hidden layers and
layers for which the Print Layer option is turned off.
View Report Opens the printing instructions report in a text editor immediately after packaging. To edit the printing
instructions before completing the packaging process, click the Instructions button.
6Do one of the following to specify how to handle hyphenation:
•To prevent the document from composing with the external user dictionary, and to prevent the document’s
hyphenation exceptions list from merging with the external user dictionary, select Use Document Hyphenation
Exceptions Only. You may want to select this option when packaging a document to be printed by someone
outside your workgroup, such as when you take the document to a service provider.
•To allow the external user dictionary (on the computer on which the file is opened) to merge with the document’s
hyphenation exceptions list, and to allow the document to compose using the exceptions lists stored in both the
external user dictionary and inside the current document, leave Use Document Hyphenation Exceptions Only
unselected.
7Click Package to continue packaging.
See also
“Link or embed imported text files” on page 121
“Creating PostScript and EPS files” on page 564
Creating PostScript and EPS files
Creating PostScript or EPS files
As an alternative to printing a document to a printer, you can save a PostScript-language description of the document
as a .PS file for printing on remote printers—for example, by a prepress service provider. A service provider can send
a .PS file directly to the imagesetter. The size of a PostScript file is usually larger than the original InDesign
document, because the graphics and fonts are embedded.
You can also export a document page or spread to an EPS (Encapsulated PostScript) file and place it in other appli-
cations.
Choosing the right method for creating a PostScript file
You can save your InDesign document or book in any of three types of PostScript files: device-independent, device-
dependent, or device- and driver-dependent.

INDESIGN CS3
User Guide
565
The following tables list recommended printer drivers and output methods for achieving the best results with post-
processing applications and InDesign. If your document will be processed by an OPI server, or by an imposition,
trapping, or other prepress application before it is printed by a RIP, choose PostScript® File in the Printer menu in
the InDesign Print dialog box. That way, InDesign has complete control over the DSC output. For desktop printing,
use any supported PostScript printer driver.
The tables use asterisks to indicate the relative suitability of each method for prepress work:
*** The PostScript file is fully DSC-compliant, and very suitable for use with a wide variety of post-processing appli-
cations, RIPs, and workflows. This method is the best all-round choice for applications that rely on DSC.
** The PostScript file is largely DSC-compliant, and generally suitable for use with a wide variety of post-processing
applications, RIPs, and workflows. Some compatibility issues may exist for certain types of applications that rely
heavily on DSC.
A printer driver isn’t used when the printer selection is “PostScript® File.”
The PPD used by the selected printer appears in the PPD text box at the top of the Print dialog box.
Create a device-independent PostScript file
Select PostScript File in the Printer menu, and select Device Independent in the PPD menu. A device-independent
PostScript file has the following characteristics:
•It is 100% DSC-compliant, making it ideal for such post-processing tasks as trapping and imposition.
•Alldeviceanddriverdependenciesareremoved,sothatthefilewillprinttoalmostanyoutputdevice.However,
special printer features found in PPD files, such as image exposure, available media sizes, and optimized screen
frequencies, aren’t available in device-independent output.
•The color output is always composite CMYK, but it also includes spot colors. As a result, it has to be separated in
post-processing software, or at the RIP using in-RIP separations.
•It cannot be trapped by InDesign; trapping must occur at the RIP, or in post-processing software.
•It can only be printed to file (not directly to a device or application) from InDesign.
Printer selection: PostScript® File
Operating system PPD Prepress suit-
ability
All platforms Device-independent ***
Device-dependent ***
Printer selection: <installed printer>
Operating system Printer driver Prepress suit-
ability
Mac OS 10.2 Built-in PS Driver for
Mac OS X
**
Windows 2000/XP Pscript 5 **

INDESIGN CS3
User Guide
566
A device-independent PostScript file is ideal for composite prepress workflows, where the file will be trapped and
separated later in the production process, such as during imposition, trapping, or at the RIP (if the output device
supports in-RIP separations).
1Choose File > Print.
2In the Print dialog box, for Printer, choose PostScript File.
3For PPD, choose Device Independent.
4View or change existing print settings. InDesign uses the current page range when creating the PostScript file.
5Click Save.
6Specify a name and location, and click Save.
Create a device-dependent PostScript file using InDesign
Select PostScript File in the Printer menu, and select a PPD. A device-dependent PostScript file has the following
characteristics:
•It is 100% DSC-compliant, making it ideal for such post-processing tasks as trapping and imposition.
•It contains a description of everything in your document, including information about linked files, optimized
screen frequencies, resolution, and available media sizes tailored to the currently selected output device.
•All driver dependencies are removed.
•It can be composite or separated. All of the color output methods that InDesign supports are available. (In-RIP
separations are available if the PPD and output device support them.)
•It can be trapped by InDesign (either by using Application Built-In or Adobe In-RIP Trapping).
•It can only be printed to file (not directly to a device or application) from InDesign.
A device-dependent PostScript file is ideally suited to pre-separation or trapping workflows, where the file will be
trapped using automatic or Adobe In-RIP Trapping features within InDesign.
1Choose File > Print.
2In the Print dialog box, for Printer, choose PostScript File.
3Choose the PPD for the final output device.
4View or change existing print settings. InDesign uses the current page range when creating the PostScript file.
5Click Save.
6Specify a name and location, and click Save.
About device- and driver-dependent PostScript files
Select a printer and a supported driver in the Printer menu. A device- and driver-dependent PostScript file has the
following characteristics:
•It is driver-dependent. The PostScript file will contain code generated by InDesign and by the driver. The InDesign
code is primarily responsible for the page content, including font downloading, and for setting basic device infor-
mation, such as media size, resolution, and screening. The driver is primarily responsible for setting special driver
features, such as watermarks, and for enabling or controlling special device features. Since InDesign doesn’t have
complete control over creating the PostScript file, the level of DSC compliance isn’t quite as high as it is with
driver-independent PostScript files. The level of DSC compliance, and therefore the PostScript file’s suitability for
prepress tasks, depends on the printer driver used.

INDESIGN CS3
User Guide
567
•It is device-dependent. It contains code for enabling and controlling specific device features, making it less
compatible with devices other than the target device.
•It can be composite or separated (all of the color output methods that InDesign supports are available).
•It can be trapped by InDesign (either by using Application Built-In or Adobe In-RIP Trapping).
•It can be printed directly to the device, or to file.
A device- and driver-dependent PostScript file is ideally suited for proofing (by the designer) to desktop PostScript
printers. It can also be used by service providers who don't plan to do any prepress tasks to the job outside of
InDesign or the RIP system. In other words, if trapping is done, it happens in InDesign or at the RIP.
See also
“Choosing the right method for creating a PostScript file” on page 564
“About printer drivers” on page 549
Create a PostScript file using a PostScript printer driver (Windows)
1Choose File > Print.
2In the InDesign Print dialog box, click the Setup button at the bottom of the dialog box.
3In the printer driver’s dialog box, select Print to File.
4Click the Layout tab, and then click the Advanced button.
5Click Document Options, click PostScript Options, and then choose Optimize For Portability in the PostScript
Output Option menu. Click OK.
6Click OK or Print to return to the InDesign Print dialog box.
7In the InDesign Print dialog box, click Print.
8Specify a name and location, and click Save.
Create a PostScript file using a PostScript printer driver (Mac OS)
1Choose File > Print.
2In the Print dialog box, choose PostScript File in the Printer menu, and click Save.
3In the Save PostScript File dialog box, specify a name and location for the PostScript file (.ps), and then click Save.
Export pages into EPS format
Use the Export command to export InDesign pages in EPS format, which you can import into another program. If
youexportmultiplepages,eachpageisexportedasaseparatefilewithanumberappendedtotheendofthefilename.
For example, if you export pages 3, 6, and 12, and specify the filename News.eps, InDesign will create three files
named News_3.eps, News_6.eps, and News_12.eps.
If you want to open InDesign pages in Illustrator or Adobe Photoshop, export pages as PDF or EPS files.
1Choose File > Export.
2Specify a location and a filename. Be sure to include the EPS extension.
3For Save As Type (Windows) or Format (Mac OS), choose EPS, and click Save.

INDESIGN CS3
User Guide
568
4Under Pages in the Export EPS dialog box, do one of the following:
•Select All Pages to export all pages in the document.
•Select Ranges and type a page range. You can type a range using a hyphen, and separate pages or ranges using
commas.
•Select Spreads to export facing pages as a single EPS file (one spread per EPS).
5Set additional options.
6Under Bleed, type a value between 0p0 and 36p0 to specify extra space for graphics that are positioned beyond
the edge of the page or trim area.
7Click Export.
See also
“Options for omitting graphics” on page 557
“About preferences and defaults” on page 36
“Apply a flattener preset for output” on page 405
“Ink Manager overview” on page 583
EPS export options
When you export to EPS, you can specify the following options:
Data Format Specifies how InDesign sends the image data from your computer to a printer: as ASCII or Binary data.
PostScript® Specifies a level of compatibility with the interpreters in PostScript output devices. Level 2 will often
improve the printing speed and output quality of graphics printed only on a PostScript Level 2 or greater output
device. Level 3 provides the best speed and output quality, but requires a PostScript 3 device.
Embed Fonts Specifies how to include fonts used in the pages you export.
•None Includes a reference to the font in the PostScript file that tells the RIP or a post-processor where the font
should be included.
•Complete Downloads all fonts required for the document at the beginning of the print job. All glyphs and
characters in a font are downloaded even if they don’t appear in the document. InDesign automatically subsets fonts
that contain more than the maximum number of glyphs (characters) specified in the Preferences dialog box.
•Subset Downloads only the characters (glyphs) used in the document.
Color Specifies how color is represented in the exported file. The options below are similar to the Color settings in
the Print dialog box.
•Leave Unchanged Leaves each image in its original color space. For example, if the document contains three RGB
images and four CMYK images, the resulting EPS file will contain the same RGB and CMYK images.
•CMYKCreates a separable file by representing all color values using the gamut of cyan, magenta, yellow, and black
process color inks.
•Gray Converts all color values to high-quality black-and-white images. The gray levels (shades) of the converted
objects represent the luminosity of the original objects.
•RGB Represents all color values using the red, green, and blue color space. An EPS file with RGB color definitions
is better suited for on-screen viewing.

INDESIGN CS3
User Guide
569
Preview Options Determines the characteristics of the preview image that is saved in the file. The preview image is
displayed in applications that cannot display EPS artwork directly. If you don’t want to create a preview image, choose
None in the format menu.
Images Specifies how much image data in placed bitmap images to include in the exported file.
•All Includes all available high-resolution image data in the exported file and requires the most disk space. Choose
this option if the file will be printed on a high-resolution output device.
•Proxy Includes only screen-resolution versions (72 dpi) of placed bitmap images in the exported file. Choose this
option in conjunction with the OPI Image Replacement option, or if the resulting PDF file will be viewed on-screen.
Omit For OPI Selectively omits imported graphics when sending image data to a printer or file, leaving only the OPI
links (comments) for later handling by an OPI server.
OPI Image Replacement Enables InDesign to replace low-resolution EPS proxies of graphics with high-resolution
graphics at output time.
Transparency Flattener Select a flattener preset in the Preset menu to specify how transparent objects appear in the
exported file. This option is the same as the Transparency Flattener option that appears in the Advanced area of the
Print dialog box.
Ink Manager Corrects any ink options without changing the design of the document.
Printing booklets
Impose a document for booklet printing
The Print Booklet feature lets you create printer spreads for professional printing. For example, if you’re editing an
8-page booklet, the pages appear in sequential order in the layout window. However, in printer spreads, page 2 is
positioned next to page 7, so that when the two pages are printed on the same sheet, folded, and collated, the pages
end up in the appropriate order.
Pages appear in sequence in the layout window, but are printed in a different order so that they appear correct when folded and bound.
1
6
5 4
8 1
7 2

INDESIGN CS3
User Guide
570
The process of creating printer spreads from layout spreads is called imposition. While imposing pages, you can
change settings to adjust spacing between pages, margins, bleed, and creep. The layout of your InDesign document
is not affected, because the imposition is all handled in the print stream. No pages are shuffled or rotated in the
document.
1Choose File > Print Booklet.
2If a printer preset has the settings you want, choose it in the Print Preset menu.
To use the print settings (as they appear in the Print dialog box) of the current document, choose Current Document
Settings from the Print Preset menu.
3If you don’t want the entire document to be imposed, select Range in the Setup area and specify which pages to
include in the imposition.
Use hyphens to separate consecutive page numbers, and commas for nonadjacent page numbers. For example,
typing 3-7, 16 imposes pages 3 through 7 and 16.
Note: If you have divided the document into sections of page numbers, you should enter section page numbers (such as
Sec2:11) in the Range field.
4To change settings such as printer’s marks and color output, click Print Settings. Using the options on the left,
change settings as needed, and then click OK.
5In the Print Booklet dialog box, specify other booklet setup options as appropriate, and then click Print.
See also
“Preview or view a summary of booklet printing” on page 573
Booklet types
You can choose three types of imposition: 2-up Saddle Stitch, 2-up Perfect Bound, and Consecutive.
2-up Saddle Stitch Creates two-page, side-by-side printer spreads. These printer spreads are appropriate for printing
on both sides, collating, folding, and stapling. InDesign adds blank pages as needed to the end of the finished
document. The Space Between Pages, Bleed Between Pages, and Signature Size options are dimmed when 2-up
Saddle Stitch is selected.
Creating printer spreads for a 24-page black-and-white newsletter using the 2-up Saddle Stitch style yields 12 spreads.
2-up Perfect Bound Creates two-page, side-by-side printer spreads that fit within the specified signature size. These
printer spreads are appropriate for printing on both sides, cutting, and binding to a cover with adhesive. If the
numberofpagestobeimposedisnotevenlydivisiblebythesignaturesize,InDesignaddsblankpagesasneededto
the back of the finished document.
16 1
215

INDESIGN CS3
User Guide
571
2-up Perfect Bound divided in four signatures
If a booklet has a color cover and black-and-white insides, you can create two separate impositions from the same
document:oneforthefrontcover,insidefrontcover,insidebackcover,andbackcover;andoneforthe24pagesinside
the booklet. To produce the color signature, click Range in the Pages area of the Setup area, and type 1-2, 27-28 (or
whatever the section page numbers are). To produce the black-and-white insides, type 3-26 in the Range text box.
28-page booklet with a color cover
A. Color signature for cover B. Black-and-white inside page
Consecutive Creates a two-, three-, or four-page panel appropriate to a foldout booklet or brochure. The Bleed
Between Pages, Creep, and Signature Size are dimmed when a Consecutive option is selected.
1
1
68
54
81
72
14
13 12
169
1510
16 1
215
A
B

INDESIGN CS3
User Guide
572
For example, if you want to create printer spreads for a traditional six-panel, trifold brochure, choose 3-up Consec-
utive. You may be accustomed to setting up trifolds as one page with three different columns. With InDesign
imposition, you can simply create pages that are the size of each panel.
3-Up Consecutive
Spacing, bleed, and margin options for booklet printing
You can change the following options in the Setup area of the Print Booklet dialog box.
Space Between Pages Specifies the gap between pages (the right side of the left page and the left side of the right
page). You can specify a Space Between Pages value for all the booklet types except Saddle Stitch.
For Perfect Bound documents, if you are creeping in (with a negative value), the minimum Space Between Pages
value is the width of the Creep value. If you’re manually creating signatures (for example, if there are different stocks
in the same document), you can enter a Space Between Pages value to specify a starting creep for spreads that belong
to different signatures.
Bleed Between Pages Specifies the amount of space used to allow page elements to encroach the gap in Perfect
Bound printer spread styles. This option is sometimes referred to as crossover.) The field accepts values between 0
and half the Space Between Pages value. You can specify this option only when 2-up Perfect Bound is selected.
Creep Specifies the amount of space necessary to accommodate paper thickness and folding on each signature. In
most cases, you’ll want to specify a negative value to create a push-in effect. You can specify Creep for 2-up Saddle
Stitch and 2-up Perfect Bound booklet types. (See “Understanding creep” on page 573.)
Signature Size Specifies the number of pages in each signature for 2-up Perfect Bound documents. If the number of
pages to be imposed is not evenly divisible by the Signature Size value, blank pages are added to the end of the
document as necessary.
Automatically Adjust To Fit Marks And Bleeds Lets InDesign calculate the margins to accommodate the bleeds and
the other printer mark options currently set. The fields under Margins are dimmed when this option is selected, but
they reflect the actual values that will be used to fit marks and bleeds. If you deselect this option, you can adjust the
margin values manually.
Margins Specifies the amount of space that surrounds the actual printer spread after trimming. To specify individual
values for Top, Bottom, Left, and Right, deselect Automatically Adjust To Fit Marks And Bleeds, and increase the
values to insert extra space beyond the default marks and bleeds. (Decreasing the values may result in clipping the
marks and bleeds.) You can specify margin values for all booklet printing types.
Print Blank Printer Spreads If the number of pages to be imposed is not evenly divisible by the Signature Size value,
blank pages or spreads are added to the end of the document. Use this option to determine whether those blank
spreadsattheendofthedocumentareprinted.Notethatprintingotherblankpagesinthedocumentiscontrolled
by the Print Blank Pages option in the Print dialog box.

INDESIGN CS3
User Guide
573
Understanding creep
Creep specifies the distance pages move away from the spine to accommodate paper thickness and folding in Saddle
Stitch and Perfect Bound documents. InDesign considers the “cover” of the final piece to be the outermost printer
spread,whilethe“centerfold”isconsideredtobetheinnermostprinterspread.Thetermsheet represents two printer
spreads: the front of the sheet and the back of the sheet. The creep increment is calculated by dividing the specified
creep value by the total number of sheets minus one.
For example, a 16-page InDesign document could yield eight printer spreads, or four sheets. The front of the first
sheet will consist of the first printer spread (pages 16 and 1) while the back of the first sheet will consist of the second
printer spread (pages 2 and 15).
If the creep value in this example is 24 points (an exaggerated amount for the sake of clarity), the creep increment
will be 8 points per sheet (24 divided by 3). The amount of creep applied to the outermost sheet will be 24 points,
the amount of creep applied to the second sheet will be 16 points, and the amount of creep applied to the third sheet
will be 8 points. No creep will be applied to the fourth and innermost sheet.
The amount of creep for each successive sheet is decreased by the creep increment. In summary, each page on the
outermost sheet is moved 12 points (half of the 24-point creep value for this sheet) away from the spine, each page
on the second sheet is moved 8 points (half of the 16-point creep value for this sheet) away from the spine, and each
page on the third sheet is moved 4 points (half of the 8-point creep value for this sheet) away from the spine.
Preview or view a summary of booklet printing
ThePreviewareaofthePrintBookletdialogboxletsyoureviewcolorthumbnailsoftheprinterspreadscreatedby
your selected imposition style. You can also see the printer’s marks you’ve specified in the Print dialog box.
1Choose File > Print Booklet.
2Do any of the following:
•Click Preview on the left side of the dialog box. To flip through the printer spreads, click the scroll arrows. Click
the left scroll arrow to go backwards from spread to spread. You can also drag the scroll box to change printer
spreads.
•Click Summary on the left side of the Print Booklet dialog box to view a summary of current booklet settings.
Check the bottom of the Summary area for any conflicting settings.
If you click Print Settings and change the settings in the Print dialog box, you can observe the effect of the modified
settings in the Preview area.

574
Chapter 21: Color separations
To produce high-quality separations, it helps to be familiar with the basics of printing, including line screens,
resolution,processcolors,andspotcolors.Ifaprintserviceproviderisproducingyourseparations,workcloselywith
them before beginning each job.
Preparing to print separations
Creating separations
To reproduce color and continuous-tone images, printers usually separate artwork into four plates—one plate for
each of the cyan (C), yellow (Y), magenta (M), and black (K) portions of the image. When inked with the appropriate
color and printed in register with one another, these colors combine to reproduce the original artwork. The process
of dividing the image into two or more colors is called color separating, and the films from which the plates are
created are called the separations.
Composite (left) and separations (right)
Separation workflows
Adobe InDesign CS3 supports two common PostScript workflows; the main difference is where separations are
created—at the host computer (the system using InDesign and the printer driver), or at the output device’s RIP (raster
image processor). Another alternative is a PDF workflow.
Host-based separations In the traditional host-based, preseparated workflow, InDesign creates PostScript infor-
mation for each of the separations required for the document, and sends that information to the output device.
In-RIP separations In the newer RIP-based workflow, a new generation of PostScript RIPs performs color separa-
tions,trapping,andevencolormanagementattheRIP,leavingthehostcomputerfreetoperformothertasks.This
approach takes less time for InDesign to generate the file, and minimizes the amount of data transmitted for any
given print job. For example, instead of sending PostScript information for four or more pages to print host-based
color separations, InDesign sends the PostScript information for a single composite PostScript file for processing in
the RIP.
For a video on preparing files for output, see www.adobe.com/go/vid0089. To view a printing guide for prepress
providers (PDF), see www.adobe.com/go/learn_id_prepress_wp.

INDESIGN CS3
User Guide
575
See also
“Print or save separations” on page 588
“Export to PDF” on page 473
Prepare your document for color separations
1Correct any color problems in your artwork.
2Set overprint options.
3Create trapping instructions to compensate for misregistration on press.
4Preview color separations on your screen.
Note: Steps 1–4 are recommended but not required in producing color separations.
5Choose File > Print to display the Print dialog box.
6If you’ve created a printer preset with the appropriate separation settings, select it in the Printer Presets menu at
the top of the Print dialog box.
7Choose a printer or PostScript file in the Printer menu.
8If you’re printing to a PostScript file, choose the PPD for the device that will output the separations.
9To view or change existing print options, click a section name on the left side of the Print dialog box.
10 Before you deliver your document to a service provider, proof the separations.
11 Print or save separations.
See also
“About overprinting” on page 577
“Previewing color separations” on page 581
“Proofing color separations” on page 587
“Print or save separations” on page 588
Outputting spot colors
You can use custom inks, called spot colors, in addition to, or in place of, process colors. For example, instead of using
the four process colors to reproduce artwork consisting of black text and bluish-green line drawings, you could use
two spot colors—one of black, and one representing the exact shade of green. You can also use spot color inks to
produce colors not reproducible by CMYK inks, such as varnishes or fluorescent and metallic colors. In addition,
you can mix two or more spot colors together or mix spot colors with process colors to create mixed inks.
You can color artwork with process colors, spot colors, or a combination of both. When printing separations, you
can convert spot colors to their process color equivalents so that they will be printed on the CMYK plates.
See also
“Separate spot colors as process” on page 584
“Mixing inks” on page 433

INDESIGN CS3
User Guide
576
View the process color equivalents of a spot color
1Select the spot color in the Swatches panel.
2Choose CMYK in the Color panel menu.
The CMYK equivalent values for the spot color are displayed in the Color panel.
You can also hold the pointer over the spot color in the Swatches panel. The formula for the color will appear in the
tool tip.
Print an object on all color plates
If you want an object to print on all plates in the printing process, including spot color plates, you can apply regis-
tration color to the object. Registration color is used for crop marks and trim marks. For composite output, objects
with registration color applied will print as C 100, M 100, Y 100, and K 100. For separations, these objects will print
as 100% on each plate.
1Select the objects to which you want to apply registration color.
2Choose Window > Swatches.
3In the Swatches panel, click the Registration color swatch .
See also
“Specify printer’s marks” on page 550
Printing gradients as separations
Consider the following when producing separations for documents with gradients:
•A gradient created in InDesign that contains a combination of spot and process colors will be separated onto both
the process and spot plates.
•A gradient that contains process colors will be separated onto the process plates.
•A gradient that contains two tints of the same spot color will be separated onto a single spot color plate.
•To create a gradient that separates on one piece of film between a spot color and white, create a gradient fill
between the spot color and the Paper swatch in the Swatches panel.
•If you create a gradient between two spot colors, you should assign different screen angles to those spot colors. If
twospotcolorshavethesamescreenangle,theywilloverprinteachother.Ifyou’renotsurewhattheanglesshould
be, consult with your prepress service provider.
See also
“About halftone screen frequency” on page 585
Printing a composite
You can print a color or grayscale composite proof to check colors in your document. A composite image can help
you design and proof your layout before you print final (and costly) separations.
When InDesign prints a composite, it prints all of the colors used in the file on one plate, regardless of whether any
individual colors are selected.

INDESIGN CS3
User Guide
577
Consider the following issues when printing composites:
•While no proof will give you an exact representation of your final output, you can greatly improve its accuracy by
calibrating all the devices you use to create a document (such as scanners, monitors, and printers). If the devices
are calibrated, the color management system can help you get predictable and consistent color.
•Any overprinting options that you’ve selected in the document will print correctly on a printer that supports
overprinting. Since most desktop printers don’t support overprinting, you can simulate the effects of overprinting
by selecting Simulate Overprint in the Output section of the Print dialog box.
Important: Selecting Simulate Overprint will convert spot colors to process colors for printing. If you intend to use a file
for separations on a RIP, or for final output, do not select this option.
•When you print to a black-and-white printer, InDesign produces a grayscale composite version of the pages. If the
document contains color, InDesign prints visually correct grays to simulate that color. For example, the gray that
simulates a 20% tint of yellow is lighter than a 20% tint of black, since yellow is visually lighter than black.
•When you print a book with chapters containing conflicting spot inks or trap styles, you can instruct InDesign to
synchronize settings with the master document.
•Ifyou’reusingcolormanagementwiththeBookfeature,makesurethateachdocumentinthebookusesthesame
color management settings in the Color Settings dialog box.
Note: Remember that, like monitors, color printers vary greatly in color reproduction quality; thus, proofs from your
service provider are the best way to verify how the finished piece will look.
See also
“Improving gradients and color blends in print” on page 559
“Synchronize book documents” on page 275
“Use color management when printing” on page 557
Overprinting
About overprinting
If you have not changed the transparency of your artwork with the Transparency panel, the fills and strokes in the
artwork will appear opaque, because the top color knocks out, or cuts out, the area underneath. You can prevent
knockout by using the Overprint options in the Attributes panel. After you’ve set your overprint options, you can
preview the overprinting effects on-screen.
Three overlapping circles without overprinting (left) compared to three overlapping circles with overprinting (right)

INDESIGN CS3
User Guide
578
InDesign also has overprint simulation, which is useful for simulating the effects of overprinting spot and process
inks on a composite printing device.
Black ink applied to text or native InDesign objects is overprinted by default to prevent misregistration of small
black-type characters positioned over color areas, or of color areas outlined with black lines. You can change black
ink settings using Appearance Of Black preferences.
Your design workflow may require a certain color to be set to overprint. For example, you want to print all the text
in your publication in a specific color. Consider the following options:
•Create an object style that uses the spot ink as the fill or stroke with a matching overprint fill or stroke.
•Create a separate layer for objects that contain your spot color and assign them to black.
•Create a composite PDF and change overprint settings within the PDF.
•Assign overprint settings in your RIP.
•Apply overprint settings to an image or object and add it to your library, or edit a placed file in its original appli-
cation.
See also
“Previewing color separations” on page 581
“Simulate overprinting of spot inks” on page 580
Determining when to overprint manually
Automatic trapping in InDesign—either as built-in trapping or Adobe In-RIP Trapping—nearly eliminates the need
for manual overprinting. However, manual overprinting can be an effective solution in the rare cases when you can’t
use automatic trapping.
Use the following guidelines to determine whether or not to use overprinting:
•Consult with your service provider to see if their output devices support manual overprinting.
•Overprint when the artwork doesn’t share common ink colors and you want to create a trap or overlaid ink effects.
When overprinting process color mixes or custom colors that don’t share common ink colors, the overprint color
is added to the background color. For example, if you print a fill of 100% magenta over a fill of 100% cyan, the
overlapping fills appear violet, not magenta.
•Don’t overprint when using a stroke to trap two process colors. Instead, you specify a CMYK stroke color that uses
the higher value from the corresponding inks in each original color.
•Make sure that you and your prepress service provider agree on when and how to overprint manually, because
doing so will significantly affect trapping options specified in the Print dialog box. Overprinting is supported by
most, but not all, PostScript Level 2 and PostScript 3 devices.
Overprint a stroke or fill
You can overprint strokes or fills of any selected paths using the Attributes panel. An overprinted stroke or fill doesn’t
need to be trapped, because overprinting covers any potential gaps between adjacent colors. You can also overprint
a stroke to simulate a trap (by overprinting a color you’ve manually calculated as the proper combination of two
adjacent colors).

INDESIGN CS3
User Guide
579
Keep the following guidelines in mind as you apply manual overprinting:
•If you use the Overprint Fill option on a 100% black stroke or fill, the black ink may not be opaque enough to
prevent the underlying ink colors from showing through. To eliminate the show-through problem, use a four-
color (rich) black instead of a 100% black. Consult with your service provider about the exact percentages of color
to add to the black.
•When using a stroke to trap objects (but not text characters), adjust the stroke alignment so the stroke falls outside
the path or object, rather than inside or centered on the path.
•Whenusingastroketotraptwospotcolorsoraspotandaprocesscolor,youusuallyapplythelightercolortothe
stroke, and overprint the stroke.
Use the Separations Preview panel to preview how colors will overprint.
1Select one or more paths with the Selection tool or the Direct Selection tool , or select text characters with
theTypetool.Tooverprintthestrokeofapaththatispastedinsideaframe,youmustfirstselectthenested(inner)
path using the Direct Selection tool.
Overprinting fills and strokes
A. Cyan (bottom layer) B. Magenta (middle layer) C. Yellow (top layer)
2Choose Window > Attributes.
3In the Attributes panel, do any of the following:
•To overprint the fill of selected objects, or to overprint unstroked type, select Overprint Fill.
•To overprint the stroke of selected objects, select Overprint Stroke.
•To overprint a color applied to the spaces in a dashed, dotted, or patterned line, select Overprint Gap.
See also
“Previewing color separations” on page 581
“Define custom stroke styles” on page 318
Overprint a paragraph rule
1Make sure a swatch exists for your overprint color.
2Using the Type tool, click an insertion point in a paragraph.
3In the Paragraph panel, choose Paragraph Rules in the Paragraph panel menu.
4In the pop-up menu at the top of the dialog box, choose the paragraph rule you want to overprint.
C
B
A

INDESIGN CS3
User Guide
580
5Select one of the following, then click OK.
•To overprint the stroke of the rule, select Overprint Stroke.
•To overprint a color applied to the spaces in a dashed, dotted, or patterned line, select Overprint Gap.
Note: The Overprint Stroke and Overprint Gap options in the Paragraph Rules dialog box can be saved as part of a
paragraph style.
Overprint rules above footnotes
InDesign can automatically insert a rule to separate footnotes from the body of the document. You can choose to
overprint the rule.
1Make sure a swatch exists for your overprint color.
2Choose Type > Document Footnote Options.
3In the Footnote Options dialog box, click the Layout tab.
4Select Overprint Stroke, and click OK.
See also
“Footnotes” on page 161
Simulate overprinting of spot inks
Overprint simulation is useful for simulating the effects of overprinting spot inks with different neutral density
values (for example, red and blue). When you print to a composite output device using overprint simulation, you can
see if the resulting color is one that you want to overprint or knock out.
1In the Output area of the Print dialog box, choose a composite option in the Color menu.
Note: You cannot simulate overprinting when Composite Leave Unchanged is selected.
2Select Simulate Overprint.
See also
“Adjusting ink neutral density values” on page 470
Change the black overprint setting
To knock out black objects in InDesign, you must prevent the black swatch from overprinting. Unlike most color
swatches, which knock out by default, the black swatch overprints by default, including all black strokes, fills, and
text characters. The 100% process black appears as [Black] in the Swatches panel. Knock out black objects by either
deselecting the overprint default in Preferences or by duplicating the default black swatch and applying the dupli-
cated swatch to color objects that knock out. If you disable the overprint setting in the Preferences dialog box, all
instances of Black knock out (remove underlying inks).
It can be cheaper and easier to have the print shop overprint process black on the press.
1Choose Edit > Preferences > Appearance Of Black (Windows) or InDesign > Preferences > Appearance Of Black
(Mac OS).
2Select or deselect Overprint [Black] Swatch at 100%.

INDESIGN CS3
User Guide
581
Note: Overprint [Black] Swatch at 100% does not affect tints of [Black], unnamed black colors, or objects that appear
black because of their transparency settings or styles. It affects only objects or text colored with the [Black] swatch.
See also
“Change the appearance of CMYK black (Illustrator, InDesign)” on page 442
Previewing color separations
Previewing color separations
You can preview color separations, ink coverage limits, and overprinting using the Separations Preview panel.
Previewing separations on your monitor lets you check the following:
Varnishes and other coatings Since varnishes are transparent, they can be difficult to preview on-screen. When you
preview a varnish separation by itself, the varnished areas appear in black.
Rich black Previewing separations lets you identify areas that will print as rich black, or process black (K) ink mixed
with color inks for increased opacity and richer color.
Ink coverage Too much ink on the paper can cause drying problems. Ask your commercial printer for the maximum
ink coverage of the press you will be printing on. You can then preview the document to identify areas where ink
coverage exceeds the press’s limit.
Overprinting You can preview how blending, transparency, and overprinting will appear in color-separated output.
Note: You can also see overprinting effects when you output to a composite printing device. This is useful for proofing
color separations.
While previewing separations on your monitor can help you detect problems without the expense of printing separa-
tions, it does not let you preview trapping, emulsion options, printer’s marks, and halftone screens and resolution.
Work with your commercial printer to verify these settings using integral or overlay proofs.
Note: Objects on hidden layers are not included in an on-screen preview.
See also
“Simulate overprinting of spot inks” on page 580
Preview separation plates
1Choose Window > Output > Separations Preview.
2For View, choose Separations.
3Do any of the following:
•To view a single separation and hide all others, click the name of the separation you want to view. By default, areas
of coverage appear in black. To change this, deselect Show Single Plates in Black on the panel menu.
•To view one or more separations, click the empty box to the left of each separation name. Each separation appears
in its assigned color.
•To hide one or more separations, click the eye icon to the left of each separation name.
•To view all process plates at once, click the CMYK icon .

INDESIGN CS3
User Guide
582
•To view all separations at once, click and drag the pointer across all of the eye icons (or empty boxes) next to the
separation names.
The Separations Preview panel can also be controlled using keyboard shortcuts.
Previewing a single separation (left) and multiple separations (right)
See also
“Keys for using the Separations Preview panel” on page 647
Preview ink coverage
1Choose Window > Output > Separations Preview.
2For View, choose Ink Limit. Enter a value for maximum ink coverage in the box that appears next to the View
menu. (Ask your commercial printer for the correct value to enter.)
3Verify ink coverage in the document preview. Areas that exceed the ink coverage limit are shown in shades of red
(dark red areas exceed the ink coverage limit by more than light red areas). All other areas appear in grayscale.
Areas that exceed the specified ink coverage limit are shown in red.
4To check ink coverage for a specific area, use the pointer to hover over that area in the document window. Ink
coverage percentages appear in the panel next to each ink name.
You can adjust ink coverage by converting some spot colors to process colors. To adjust ink coverage in placed
graphics, edit the graphics in their source applications.
See also
“Separate spot colors as process” on page 584

INDESIGN CS3
User Guide
583
Return to normal view
1Choose Window > Output > Separations Preview.
2For View, choose Off.
Inks, separations, and screen frequency
Ink Manager overview
The Ink Manager provides control over inks at output time. Changes you make using the Ink Manager affect the
output, not how the colors are defined in the document.
Ink Manager options are especially useful for print service providers. For example, if a process job includes a spot
color, a service provider can open the document and change the spot color to the equivalent CMYK process color. If
a document contains two similar spot colors when only one is required, or if the same spot color has two different
names, a service provider can map the two to a single alias.
In a trapping workflow, the Ink Manager lets you set the ink density for controlling when trapping takes place, and
it lets you set the correct number and sequence of inks.
Note: InDesign and Acrobat share the same Ink Manager technology. However, only InDesign has the Use Standard Lab
Values For Spots option.
Ink Manager
A. Process ink B. Aliased Spot ink C. Spot ink
Open the Ink Manager in Acrobat
Do one of the following:
•Choose Advanced > Print Production > Ink Manager.
•Select the Ink Manager tool on the Print Production toolbar.
•Choose Advanced > Print Production > Output Preview, and click Ink Manager.
•Choose File > Print, and click Advanced. In the Output panel of the Advanced Print Setup dialog box, click Ink
Manager.
A
B
C

INDESIGN CS3
User Guide
584
•Choose File > Save As, and choose PostScript or Encapsulated PostScript for the file type. Click Settings, and then
click Ink Manager.
Open the Ink Manager in InDesign
Do one of the following:
•From the Separations Preview panel menu (Window > Output > Separations Preview), choose Ink Manager.
•Choose File > Print, and click Output. In the Output section, click Ink Manager.
Specify which colors to separate
Each separation is labeled with the color name that InDesign assigned it. If an icon of a printer appears next to the
color name, InDesign creates a separation for the color. Any spot inks—including those defined and used in
imported PDF files or EPS graphics—also appear in the ink list.
1In the Output area of the Print dialog box, select Separations or, if you use a PPD file that supports in-RIP separa-
tions, select In-RIP Separations.
2Do one of the following:
•To create a separation, make sure that the printer icon is displayed next to the color name in the ink list.
•To choose not to create a separation, click the printer icon next to the color’s name. The printer icon disappears.
Separate spot colors as process
Using the Ink Manager, you can convert spot colors to process colors. When spot colors are converted to process
color equivalents, they are printed as separations rather than on a single plate. Converting a spot color is useful if
you’ve accidentally added a spot color to a process color document, or if the document contains more spot colors
than are practical to print.
1In the Ink Manager, do one of the following:
•To separate individual spot colors, click the ink-type icon to the left of the spot color or aliased spot color. A
process color icon appears. To change the color back to spot, click the icon again.
•To separate all spot colors, select Convert All Spots To Process. The icons to the left of the spot colors change to
process color icons. To restore the spot colors, deselect Convert All Spots To Process.
Note: Selecting Convert All Spots To Process removes any ink aliases you’ve set up in the Ink Manager and can also affect
overprinting and trapping settings in the document.
2(InDesign only) To use the Lab values of a spot color rather than CMYK definitions, choose Use Standard Lab
Values For Spots.
Create an ink alias for a spot color
You can map a spot color to a different spot or process color by creating an alias. An alias is useful if a document
contains two similar spot colors when only one is required, or if it contains too many spot colors. You can see the
effects of ink aliasing in the printed output, and you see the effects on-screen if Overprint Preview mode is on.
1In the Ink Manager, select the spot color ink you want to create an alias for.
2Choose an option in the Ink Alias menu. The ink type icon and ink description change accordingly.

INDESIGN CS3
User Guide
585
Display or output spot colors using Lab values
Some predefined spot colors, such as colors from the TOYO, PANTONE, DIC, and HKS libraries, are defined using
Lab values. For backward compatibility with previous versions of InDesign, colors from these libraries also include
CMYK definitions. Lab values, when used in conjunction with the correct device profiles, give you the most accurate
output across all devices. If color management is critical to your project, you might prefer to display, export, and print
spot colors using their Lab values. The Ink Manager option Use Standard Lab Values For Spots lets you control which
color mode InDesign uses for these predefined spot colors: Lab or CMYK. If you need the output to match earlier
versions of InDesign, you should use the CMYK equivalent values.
Note: To improve on-screen accuracy, InDesign uses the Lab values automatically if Overprint Preview is on. It also uses
Lab values when printing or exporting if you’ve selected Simulate Overprint in the Output area of either the Print or
Export Adobe PDF dialog box.
1Choose Ink Manager in the Separations Preview panel menu.
2Do one of the following:
•For Lab values, select Use Standard Lab Values For Spots.
•For CMYK values, deselect Use Standard Lab Values For Spots.
See also
“Ink Manager overview” on page 583
About halftone screen frequency
In commercial printing, continuous tone is simulated by dots (called halftone dots) printed in rows (called lines or
line screens). Lines are printed at different angles to make the rows less noticeable. The Screening menu in the Output
section of the Print dialog box displays the recommended sets of line screens in lines per inch (lpi), and resolution
in dots per inch (dpi), based on the currently selected PPD. As you select inks in the ink list, the values in the
Frequency and Angle boxes change, showing you the halftone screen frequency and angle for that ink.
A high line-screen ruling (for example, 150 lpi) spaces the dots closely together to create a finely rendered image on
the press; a low line-screen ruling (60 lpi to 85 lpi) spaces the dots farther apart to create a coarser image. The size of
the dots is also determined by the line screen. A high line-screen ruling uses small dots; a low line-screen ruling uses
large dots. The most important factor in choosing a line-screen ruling is the type of printing press your job will use.
Ask your service provider how fine a line screen its press can hold, and make your choices accordingly.

INDESIGN CS3
User Guide
586
Line screens
A. 65 lpi: Coarse screen for printing newsletters and grocery coupons B. 85 lpi: Average screen for printing newspapers C. 133 lpi: High-quality
screen for printing four-color magazines D. 177 lpi: Very fine screen for printing annual reports and images in art books
The PPD files for high-resolution imagesetters offer a wide range of possible screen frequencies, paired with various
imagesetter resolutions. The PPD files for low-resolution printers typically have only a few choices for line screens,
usually coarser screens of between 53 lpi and 85 lpi. The coarser screens, however, give optimum results on
low-resolution printers. Using a finer screen of 100 lpi, for example, actually decreases the quality of your image
when you use a low-resolution printer for final output.
Specify a halftone screen frequency and resolution
❖In the Output section of the Print dialog box, choose one of the following options:
•To select one of the preset screen frequencies and printer resolution combinations, choose an option in the
Screening menu.
•To specify a custom halftone screen frequency, select the plate to be customized, and then enter the lpi value in
the Frequency text box and a screen angle value in the Angle text box.
Note: Before creating your own halftone screens, check with your service provider for the preferred frequencies and
angles. Also, be aware that some output devices override the default frequencies and angles.
See also
“About halftone screen frequency” on page 585
About emulsion and image exposure
Depending on the type of printing press used and how information is transferred from the film to the printing plates,
you may need to give your service provider film negatives or positives, with emulsion side up or down. Emulsion
referstothephotosensitivelayeronapieceoffilmorpaper.Typically,printserviceprovidersrequirenegativefilm
in the United States and positive film in Europe and Japan. Check with your service provider to determine which
emulsion direction they prefer.
Totellwhetheryouarelookingattheemulsionsideorthenonemulsionside(alsoreferredtoasthebase), examine
the final film under a good light. One side appears shinier than the other. The dull side is the emulsion side; the shiny
side is the base.
B
D
A
C

INDESIGN CS3
User Guide
587
Emulsion options
A. Positive image B. Negative C. Negative with emulsion side down
Important: The emulsion and image exposure settings in the Print dialog box override any conflicting settings in the
printer driver. Always specify print settings using the Print dialog box.
Specify emulsion
1In the Output section of the Print dialog box, for Color, choose Composite Gray or a separation option.
2For Flip, select one of the following options:
None (the default) Makes no changes to the orientation of the imageable area. Type in the image is readable (that is,
right reading) when the photosensitive layer is facing you.
Horizontal Mirrors the imageable area across a vertical axis so that it is wrong reading.
Vertical Mirrors the imageable area across a horizontal axis so that it is upside down.
Horizontal & Vertical Mirrors the imageable area across the horizontal and vertical axes so that it is wrong reading.
Type is readable when the photosensitive layer is facing away from you. Images printed on film are often printed
Horizontal & Vertical.
Specify the image exposure
1In the Output section of the Print dialog box, for Color, choose Composite Gray or a separation option.
2Select or deselect the Negative option.
Checking separation and document settings
The Summary area of the Print dialog box displays a summary of color management information, printer’s marks
dimensions, and bleeds for the document. The section also indicates whether trapping has been enabled.
You can also perform a quality check before printing or handing off the document to a service provider.
See also
“Perform a preflight check” on page 562
Proofing color separations
Create a hard proof to verify that colors will print on the correct separations, or a soft proof to preview how your
document’s colors will look when reproduced on a particular output device.
Note: While no proof will give you an exact representation of your final output, you can greatly improve its accuracy by
calibrating all the devices you use to create a document (such as scanners, monitors, and printers). If the devices are
calibrated, the color management system can help you get predictable and consistent color.
AB C

INDESIGN CS3
User Guide
588
The hard proof represents your expectation of the way the final separations will appear, and helps the service
provider to verify that the output is correct. Be sure to print proofs on a PostScript printer; you cannot reliably proof
color separations printed from a non-PostScript printer.
For assurance that the file will print correctly, consider saving the separations as a PostScript file, converting the
PostScript file to Acrobat 8 PDF using Acrobat Distiller, and then viewing the PDF document in Acrobat. By viewing
the PDF document in Acrobat, you can inspect high-quality PostScript output on-screen at a high level of detail.
See also
“Previewing color separations” on page 581
“Soft-proofing colors” on page 446
“Print a hard proof ” on page 558
Producing in-RIP separations
To produce in-RIP separations, you need the following software and hardware:
•A PPD file that supports in-RIP separations.
•Any PostScript 3 output device, or a PostScript Level 2 device whose RIP supports in-RIP separations. If the
document contains duotones from Photoshop 5.0 or later, a PostScript 3 device is required to generate in-RIP
separations.
Note: Depending on the prepress software available, a service provider may be able to perform such prepress activities
astrapping,imposition,separating,andOPIreplacementattheoutputdevice’sRIP.Therefore,yourserviceprovidermay
prefer to receive a composite PostScript file of the document optimized for in-RIP separations, rather than a preseparated
PostScript file.
See also
“Creating PostScript and EPS files” on page 564
Print or save separations
1At the top of the Print dialog box, choose a preset in the Printer Preset menu, if one with the appropriate
separation settings exists.
2Do one of the following:
•To print to an output device, choose the device in the Printer menu.
•To print to a file, choose PostScript® File in the Printer menu. Then choose a PPD that supports the output device.
3Click General, and specify the pages to separate.
4Click Output, and do one of the following:
•To print to an output device, choose Separations to create the separations in InDesign.
•To print to a file, choose either Separations, or In-RIP Separations to save separation settings in a composite
PostScript file for processing in the RIP.
Note: To use Adobe In-RIP Trapping, you must be working with in-RIP rather than host-based separations. Otherwise,
the trapping feature won’t have access to all of the colors at once, and trapping won’t occur.

INDESIGN CS3
User Guide
589
5Click Graphics, and do the following:
•For Send Data, choose All.
•For Fonts, choose Complete or Subset, unless fonts will be inserted later (for example, at the RIP or by a post-
processing application).
•For PostScript®, select the PostScript level of the output device: Level 2 or Level 3.
6Click Advanced, and do any of the following:
•To replace low-resolution graphics embedded in placed EPS files with their high-resolution versions at output
time, make sure that Read Embedded OPI Image Links was selected when the EPS file was placed in the InDesign
document, and then select OPI Image Replacement in the Advanced area of the Print dialog box.
•To omit different imported graphics types for later replacement by an OPI server, select from the Omit For OPI
options.
•For Transparency Flattener Preset, choose [High Resolution] or an available custom style with high-resolution
settings.
7Choose any other print options.
8Do one of the following:
•To print to an output device, click Print.
•To print to a file, click Save and accept the default filename, or type another name for the file. Then click Save
again.
Note: Once you’ve created separations of the InDesign document, the settings you’ve chosen in the Print dialog box are
saved with the separated file. The file saves the separation settings, the PPD information, and any color conversions you
have specified in the Print dialog box.
See also
“Creating PostScript and EPS files” on page 564
“Encapsulated PostScript (.eps) files” on page 335
“Options for omitting graphics” on page 557

590
Chapter 22: Automation
Extend the capabilities of Adobe InDesign CS3 by using scripts and plug-ins that you or someone else has created.
Create form letters, envelopes, and mailing labels using Data Merge.
Scripting
Scripting in InDesign
Scripting is a great tool for performing a variety of tasks. A script can be as simple as an automated common task or
as complex as an entire new feature. You can create your own scripts, and you can run scripts that other people have
created. For more information on scripting, see the Scripting Guide in the Adobe InDesign Technical Info folder on
the InDesign DVD. You can also find the Scripting Guide, scripting requirements, and other resources at
www.adobe.com/go/scripting_id.
The Scripting Guide contains an introduction to scripting and tutorials. The Technical Info folder also includes a
number of useful scripts that you can run, such as a script that draws guides around the selected object. Some of these
scripts appear by default in the Scripts panel.
Scripts panel and Script Label panel overview
InDesign includes two panels for scripting: the Scripts panel and the Script Label panel.
The Scripts panel is where you run scripts without leaving InDesign. The Scripts panel displays the scripts that are
located in the Scripts folders in the InDesign application folder and in your Preferences folders. If you create or
receive a script, you can place it in the Scripts folder so that it shows up in the Scripts panel.
Mac OSUsers/[username]/Library/Preferences/Adobe InDesign/[version]/Scripts
Windows XP Documents and Settings\[username]\Application Data\Adobe\InDesign\[version]\Scripts
Windows Vista Users\[username]\AppData\Roaming\Adobe\InDesign\[Version]\Scripts
You can then double-click a script in the Scripts panel to run it, or you can run scripts using Quick Apply.
The Script Label panel lets you specify a label for a page item, such as a text frame or shape. Specifying labels for page
items is especially useful for writing scripts in which you need to identify an object.
For detailed information on adding, running, and editing scripts, see the Scripting Guide in the Adobe InDesign
Technical Info folder on the InDesign DVD or on the Adobe website at www.adobe.com/go/scripting_id.
See also
“Use Quick Apply” on page 183
Open the Scripts panel
❖Choose Window > Automation > Scripts.
Open the Script Label panel
❖Choose Window > Automation > Script Label.

INDESIGN CS3
User Guide
591
Enable scripts attached to menus
Script writers can use a special command that allows scripts to be attached to menu commands. For security
purposes, InDesign includes a preference that determines whether attached scripts are allowed. If you trust the
source of an InDesign document, you can select Enable Attached Scripts so that scripts run whenever you choose
the commands to which they’re attached.
1Choose Edit > Preferences > General (Windows) or InDesign > Preferences > General (Mac OS).
2Select Enable Attached Scripts.
Important: Before opening an InDesign document from a source you don’t trust, deselect the Enable Attached Scripts
option.
Plug-ins
Install plug-ins
The InDesign plug-in modules are software programs developed by Adobe Systems, and by other software devel-
opers working in conjunction with Adobe, to add features to Adobe software. A number of importing, exporting,
automation, and special-effects plug-ins come with your program and are automatically installed in the Plug-Ins
folder. In fact, most of the features you see in InDesign are provided by plug-ins.
Once installed, plug-in modules appear as options on menus, in dialog boxes, or in panels.
1If an installer is provided, use it to install the plug-in module. Otherwise, drag a copy of the module into the
Plug-Ins folder inside the InDesign application folder.
2Follow any installation instructions that come with the plug-in.
Note: You can use any commercial plug-in designed for use with InDesign. Adobe Technical Support can help you isolate
problems related to plug-ins. However, if it has been determined that the problem is directly related to a plug-in created
by another company, you will need to contact that company for further support.
Configure plug-ins
Use the Configure Plug-ins dialog box to inspect and customize the set of installed plug-ins. For example, you can
get detailed information about installed plug-ins, create custom plug-in sets for different tasks or workgroups, and
isolate plug-ins when troubleshooting problems.
In the Configure Plug-ins dialog box, icons identify different kinds of plug-ins:
•Enabled plug-ins were loaded when you started the current InDesign session, and will stay loaded until you exit
InDesign.
•Adobe plug-ins are provided by Adobe.
•Required plug-ins must be present for InDesign to start.
Note: You cannot edit, rename, or delete the All Plug-ins, Adobe Plug-ins, or Required Plug-ins sets. To change any of
those sets, first duplicate the set, and then edit the duplicate.
1Choose Help > Configure Plug-ins (Windows) or InDesign > Configure Plug-ins (Mac OS).
2Do any of the following, and then click OK:
•To change the active set of plug-ins, choose one in the Set menu.

INDESIGN CS3
User Guide
592
•To disable or enable a plug-in, make sure that a custom set is active, and then click to hide or show the check mark
at the far left of the plug-in listing.
Note: When you enable or disable plug-ins or choose a different plug-in set, the change doesn’t take effect until you exit
and restart InDesign.
•To change the plug-ins list display, select or deselect any option in the Display section. Changing options in this
section affects the list display only, not the actual status of plug-ins.
•To create a new plug-in set from a duplicate of the active set, click Duplicate, name the set, and then click OK. The
set you create becomes the active set.
•To rename the active set of plug-ins, click Rename, name the set, and then click OK.
•To permanently remove the active set, click Delete, and then click OK when an alert message appears.
•To import a file of plug-in sets, click Import, locate and select the file containing the sets you want to import, and
then click OK. If the file you import contains a set that has the same name as an existing set, the imported set will
be renamed as a copy. The first set in the file you import becomes the active set.
Note: (Windows only) When importing plug-in sets, if you select Plug-in Manager Import Files in the Files Of Type menu
in the Open A File dialog box, plug-in set files will appear only if the files are named with a file name extension .pset.
•To export all custom plug-in sets to one file, click Export, go to the folder in which you want to store the file, select
Export All Sets, and then click Save. Plug-in sets are exported with the file name extension .pset.
•To see detailed information about a plug-in, select the plug-in and click Show Info. In addition to viewing such
information as a plug-in’s version, you can find out if it depends on other plug-ins. When you’re finished, click OK
to close the Plug-in Information dialog box.
You can also view plug-in details by double-clicking a plug-in in the list.
Data merge
About data merge
To create form letters, envelopes, or mailing labels, you merge a data source file with a target document.
The data source file contains the information that varies in each iteration of the target document, such as the names
and addresses of the recipients of a form letter. A data source file is made up of fields and records.Fields are groups of
specific information, such as company names or postal codes, whereas records are rows of complete sets of infor-
mation, such as a company’s name, street address, city, state, and postal code. A data source file can be a comma-
delimited file (.csv) or a tab-delimited (.txt) file in which each piece of data is separated by a comma or a tab, respec-
tively.
The target document is an InDesign document that contains the data-field placeholders, plus all the boilerplate
material, text, and other items that remain the same in each iteration of the merged document.
The merged document is the resulting InDesign document that contains the boilerplate information from the target
document, repeated as many times as it takes to accommodate each record from the data source.

INDESIGN CS3
User Guide
593
Data merge
A. Data source file B. Target document C. Merged document
Basic steps for merging data
1. Make plans to determine which data fields you’ll be using in your source and target documents.
Determine how you want the final document to look, so that you know which fields are necessary to accomplish the
merge. For example, if you are creating a postcard that will be mailed to customers, you might want to use the
following data fields:
<<Company Name>><<Address>><<City>>, <<State>><<Postal Code>>
Your spreadsheet or database might look like this:
Sample data file
2. Save the data source file—usually a spreadsheet or database file—as a comma-delimited (.csv) or tab-
delimited (.txt) text file.
Make sure that your data source file is structured in such a way that you can include the appropriate fields in your
target document. For example, the top row of a spreadsheet should contain the field names that you’ll use in the
target document, such as “Company” and “Address.”
For more information, see “About data source files” on page 594.
3. Create a target document that includes text and other items that remain the same in each version of the
target document.
For more information, see “About target documents” on page 595.
4. Select the data source using the Data Merge panel.
For more information, see “Select a data source” on page 595.
A
B
C
Empowered Writing
17404 NE 25th Street
Vancouver, WA 98684
dotPS Document Production Services
6365 Santana Row
San Diego, CA 92110
Adobe Systems, Inc.
345 Park Avenue
San Jose, CA 95110
<<Company Name>>
<<Address>>
<<City>>, <<State>> <<Postal Code>>

INDESIGN CS3
User Guide
594
5. Insert fields from the Data Merge panel into the target document.
Youcanadddatafieldstoeitheradocumentpageoramasterpage.Ifyouadddatafieldstoamasterpage,youhave
additional options.
For more information, see “Insert data fields” on page 596 and “Adding data field placeholders to master pages” on
page 597.
6. Preview the records to make sure that the target document will look the way you intend.
For more information, see “Preview records in the target document” on page 598.
7. Merge the target document with the data source file.
For more information, see “Merge records” on page 599.
About data source files
The data source typically originates from a spreadsheet or database application, but you can create your own data
source file using InDesign or any text editor. Data source files should be saved in a comma-delimited (.csv) or tab-
delimited (.txt) text format. Check your source application’s user guide for more information on exporting to these
formats.
In a comma- or tab-delimited text file, records are separated by paragraph breaks; fields are separated by commas or
tabs. The data source file can also include text or paths that refer to images on disk.
Example of comma-delimited data source file
Name,Company Name,State
Bill Tucker,CoreVent Labs,Nevada
Dat Nguyen,"Brady, Hunt, and Baxter, Inc",Delaware
Maria Ruiz,"Brinquist Enterprises, Inc.",California
If you want to include a comma or quotation mark in a comma-delimited file, enclose the text within quotation
marks, such as “Brady, Hunt, and Baxter, Inc.”. If you do not include the quotation marks, each name is treated as
a separate field.
Add image fields in the data source file
By adding image fields to the data source file, you can allow a different image to appear on each merged record. For
example, when you merge documents that include information from various companies, you may want to include
an image of each company’s logo as part of the merge.
1Open the data source file.
2At the beginning of the data field name, type an “at” symbol (@) to insert text or paths that refer to image files.
The @ symbol is required only in the first line; subsequent lines should include the image paths. Paths, which are
case-sensitive, must follow the naming conventions of the operating system in which they’re stored.
If you get an error message when you type the @ symbol at the beginning of the field, type an apostrophe (') before
the @ symbol (such as '@Photos) to validate the function. Some applications, such as Microsoft Excel, reserve the @
symbol for functions.
(Windows) Example of image references in data source file

INDESIGN CS3
User Guide
595
(Mac OS) Example of image references in data source file
About target documents
Once your data source file is created, you need to set up the target document and insert the fields from the data
source file. The target document contains data-field placeholder text and graphics, such as the design that you want
to appear on every postcard.
The target document includes fields from the data source with field placeholder text shown.
When you merge data, InDesign creates a new document that replaces the fields with the data you designated in the
data source file. You can place data fields on either a master page or a document page.
Select a data source
Beforeyouinsertfieldsintoyourtargetdocument,selectadatasourceintheDataMergepanel.Youcanhaveonly
one data source file selected per target document.
1Create or open the document you’ll be using as the target document.
2Choose Window > Automation > Data Merge.
3Choose Select Data Source from the Data Merge panel menu.
4To change delimited text options, select Show Import Options.
InDesign automatically detects the type of delimiter and encoding used in the data source file, so showing the import
options usually isn’t necessary. However, you can specify different encoding and delimiter options if you think they
haven’t been correctly identified.
5Locate the data source file, and click Open.
6If you selected Show Import Options, change the delimiter and encoding options as necessary, and then click OK.
The data fields appear in the Data Merge panel.
Name Age @Photos
Bill Tucker 36 C:\Photos\BillTucker.jpg
Dat Nguyen 53 C:\MyDocuments\dat.gif
Maria Ruiz 26 C:\Photos\Ruiz.psd
Name Age @Photos
Bill Tucker 36 Mac HD:Photos:BillTucker.jpg
Dat Nguyen 53 Desktop:Family:dat.gif
Maria Ruiz 26 Mac HD:Photos:Ruiz.psd
<<Company Name>>
<<Address>>
<<City>>, <<State>> <<Postal Code>>
<<Photos>>

INDESIGN CS3
User Guide
596
Note: If an alert message indicates that it cannot open the file, or if incorrect fields appear in the list box, you may need
to edit the spreadsheet or database file and save it as a comma-delimited or text-delimited file.
OncethedatasourceisselectedandfieldsareloadedintheDataMergepanel,anychangesmadetothedatasource
are not reflected in the target document until you update the data source.
See also
“About data source files” on page 594
Insert data fields
Whenyouselectthedatasource,alistofdatafieldnamesappearsintheDataMergepanel.Thesenamesareidentical
tothecolumnheadsfromthedatasourcefile.Iconsindicatewhetherthefieldistextoranimage.Whendatafields
are added to your document, they become field placeholders, such as <<Company>>. You can select and format
these placeholders as you would any other text or graphic.
You can assign an image field to an existing frame to create a floating image. Or, if the insertion point is in a text
frame or if text is selected when you insert an image field, a small placeholder is inserted as an inline frame. You can
resize the image placeholder to determine the size of the merged images.
Once you insert a data field, InDesign remembers its data source. Any errors in the list of fields, such as typos, empty
fields, and unintended field types, must be corrected in the source application and then updated using the Data
Merge panel.
Insert a text data field in the target document
1Create a text frame on a document page or master page.
2Place the insertion point in the text frame where you want the field placeholder to appear, or select the text you
want to replace.
3To insert a field placeholder, do one of the following:
•Click a field in the Data Merge panel list.
•Drag a field name from the Data Merge panel list, and drop it onto the text frame to add the placeholder. If you
drag a text field onto an empty frame, the empty frame becomes a text frame.
Text field placeholders appear in the target application within double angle brackets (such as <<Name>>)usingthe
current formatting attributes (such as font and size).
Note: Youcannotcreateavalidfieldbysimplytypingthefieldnameoreditinganexistingfield.Youmustinsertitfrom
the Data Merge panel.
Insert an image data field in the target document
•To insert a new inline graphic placeholder, drag an image field onto a text frame, or place the insertion point in a
text frame and click the image field.
•To insert a new floating graphic, drag an image field onto an empty frame or existing graphics frame. If you drag
an image field onto an empty frame, the empty frame becomes a graphics frame.
•To insert a field into grouped items, table cells, or nested items, drag the image field onto the target.
Image field placeholders appear as frames containing the field name.

INDESIGN CS3
User Guide
597
Adding data field placeholders to master pages
If you insert data field placeholders on master pages, you have advantages that are not available when you insert
placeholders on document pages:
•The resulting merged document contains the original placeholders on its master pages and includes the merged
results on document pages as overridden master page items.
•The merged document maintains a connection to the data source, so if records in the data source are modified,
you can update the merged document contents by choosing Update Content In Data Fields. This option is
especiallyhelpfulifyouchangethelayoutinthemergeddocumentandthenneedtoaddnewdatafromthedata
source.
•The settings in the Create Merged Document dialog box are the same as those used in the target document, so you
can quickly re-create the current document with the same appearance. You can also use these shared settings to
create an identical document with a different data source, or create a new document with a slightly modified
layout.
Youcannotplacedatafieldsonbothmasterpagesanddocumentpages.Inordertomergeproperly,youmustapply
a master containing data fields to the first page of the document.
Important: If an error message indicates that InDesign cannot merge the document because no placeholders are present,
you may have added the placeholders to the left master page in a one-page document. Page 1 is based on the right master
page, so add the placeholders to the right master page.
See also
“Create masters” on page 63
“Merge records” on page 599
“Update data fields” on page 600
Update, remove, or replace data source files
•To update data source files, edit and save the data source file in comma- or tab-delimited format, and then choose
Update Data Source from the Data Merge panel.
The changes will be reflected in the Data Merge panel. If the changes are not reflected in the document after
updating, deselect Preview to turn it off, and then select Preview again to turn it back on.
•Toremovetheconnectiontothedatasourcefile,chooseRemoveDataSourcefromtheDataMergepanelmenu.
•Toswitchtoanewdatasourcefile,chooseSelectDataSourcefromtheDataMergepanelmenu,andthenspecify
the new data source file. InDesign may not recognize some of the fields. In this situation, it’s best to delete and
reinsert placeholder fields.
If you generate a merged document from a target document in which data fields appeared on master pages, you can
update the data fields in the merged document.
See also
“Update data fields” on page 600

INDESIGN CS3
User Guide
598
Preview records in the target document
Before you merge the target document and data source file, it’s a good idea to preview the records to make sure that
field data will appear properly when the information is merged. When you preview records, the Data Merge panel
displays actual data from the data source file instead of the field placeholders. For example, instead of seeing
<<Company>>, you might see Adobe Systems, Inc. You can use the navigation buttons on the Data Merge panel to
cycle through the records.
If you find problems with any of the records, such as typographical errors or extra spaces, it is recommended that
you edit the source file in its original application. (See “About data source files” on page 594.)
1Click Preview at the bottom of the Data Merge panel, or choose Preview from the Data Merge panel menu.
2Click the navigation buttons to cycle through data from different records.
To go to a specified record, click the navigation buttons at the bottom of the panel. You can also type the number of
the record you want to preview in the navigation text box at the bottom of the panel, and then press Enter or Return.
Switching preview on or off
Some issues may arise or correct themselves when you switch between previewing modes. Keep the following in mind:
•PlaceholdersreplacethepreviewcontentwhenthePreviewRecordoptionisnotselected.Ifyoudeleteanimage
as well as the frame containing the image, or delete a whole text string, when you deselect the Preview Record
option, the placeholders will not appear as they have also been removed.
•Changes in the Content Placement Options dialog box are not reflected until you click OK. Also, if the Preview
Record option is selected, the data will not reflect the updated placement settings until you deselect and select the
option again.
•If you try to save the document in preview mode, you will receive a message prompting you to turn off preview
mode before saving your document.
Edit data field placeholders
When you add a text data field to a document, the placeholder text for the field is entered using the formatting
attributes (such as font and size) active at the insertion point. You can then edit the placeholder text’s attributes to
control the look of the actual data.
❖Do one of the following:
•To change placeholder attributes, select the placeholder text, and then change the formatting attributes as you
would with other text.
•To change a placeholder, select the placeholder or the actual data, and select a different field name in the Data
Merge panel.
•To delete a placeholder, select the placeholder and press Backspace or Delete.
Note: In Story Editor view, text placeholders are displayed in the same way as hyperlinks. Some Data Merge panel
options are not available in Story Editor view.

INDESIGN CS3
User Guide
599
Set content placement options
Use the Content Placement Options dialog box to specify the default settings for the current document or for all
future data merge projects. You can specify how the image is placed, whether images are linked or embedded,
whether blank lines are removed for empty fields, and the maximum number of records for each merged document.
1Do one of the following:
•To affect only the current document, open the target document.
•To affect all future documents you create, close all documents.
2Choose Window > Automation > Data Merge.
3Choose Content Placement Options from the Data Merge panel menu.
4Change the content placement options. (See “Content placement options” on page 601.)
5Click OK.
Merging records
Merge records
Afteryouformatthetargetdocumentandinsertfieldsfromthedatasourcefile,you’rereadytoofficiallymergethe
information from the data source with the target document. When you merge, InDesign creates a new document
based on the target document, and replaces the fields in the target document with the appropriate information from
the data source file.
Whenyoumergeadocumentthatincludesdatafieldplaceholdersonmasterpages,thosemasterpageitemswillbe
copied into the master pages in the newly generated document. If placeholders appear on a master page, any blank
master page is ignored during the merge.
Merge single or multiple records
1With the target document open, choose Create Merged Document from the Data Merge panel menu, or click the
Create Merged Document button .
2OntheRecordstab,forRecordsToMerge,selectAllRecordstomergealltherecordsinthedatasourcefile,select
Single Record to merge a specific record, or specify a Range of records to merge.
3For Records Per Document Page, do one of the following:
•Choose Single Record so that each record starts at the top of the next page.
•Choose Multiple Records to create more than one record per page. (For example, to print mailing labels.)
Youcannotmergemultiplerecordsifthedatafieldsappearonadocumentpageinadocumentwithmultiplepages,
or if data fields appear on multiple master pages.
4Select Generate Overset Text Report With Document Creation to automatically open a report that tracks overset
conditions created during the merge of the data into the InDesign document. (See “Overset text reports” on
page 600.)
5SelectAlertWhenImagesAreMissingtodisplayamissinglinkalertwhenoneormoreimagesarenotavailable.

INDESIGN CS3
User Guide
600
6If you selected Multiple Records on the Records tab, click the Multiple Record Layout tab, and specify the
following:
•For Margins, type values to specify the distance between margin guides and each edge of the page.
•For Layout Of Records, select either Rows First or Columns First, and then specify the spacing between the
columns and rows.
7If you selected Multiple Records, select Preview Multiple Record Layout to review changes made in the Create
Merge Records dialog box. You can select the Next/Previous and First/Last page buttons to navigate the records.
8Click the Options tab and specify the placement options. (See “Content placement options” on page 601.)
9When you’re finished, click OK.
Ifthedatasourcefilepointstoanyunsupportedfileformatsorimagesthatarenotavailable,youmayneedtocorrect
the data source file to point to a supported file, correct the path to any missing file, or simply move the file to the
correct folder so that InDesign can find it and place it.
Limitations for merging multiple records
You can choose Multiple Records to create more than one record per page. For example, if you are printing mailing
labels,you'llwanttoprintmorethanonelabelperpage.Thewaytherecordswillappearinthemergedpublication
depends mainly on the layout options. Here is a list of limitations you might encounter when using the Multiple
Records option:
•You cannot merge multiple records if the data fields appear on a document page in a document with multiple
pages, or if data fields appear on multiple master pages.
•The Data Merge allows for only one size of place holder.
•Deleting a record in the merged publication will not reflow the remaining records into the empty placeholder.
Update data fields
After merging a document with data placeholders on master pages, you can change the layout of the merged
documentandstillupdatethevaluesofdatafieldsinthedatasource.UsetheUpdateDataFieldstoupdatethedata
fields while maintaining the layout of the document. This option is available only in a merged document in which
data placeholders appear on master pages.
1Make any changes to the data source file, and then save and close the data source file.
2In the merged document, choose Update Data Fields.
The changes that have been made by updating the data fields appear in a log file.
This option works best when you simply edit or add records in the data source file. If you add placeholder fields, add
new fields to the data source, or change the settings in the Create Merged Document dialog box, use the Create
Merged Document option to generate a new merged document.
See also
“Update, remove, or replace data source files” on page 597
Overset text reports
The Overset Text Report appears if the Generate Overset Text Report option is selected in the Create Merged
Document dialog box, and if one or more fields include overset text after the data is merged.

INDESIGN CS3
User Guide
601
The report displays each overset instance in a numbered list showing the page number the text appears on, followed
by overset character/word count and a snippet of the overset text.
Content placement options
The following options appear in the Content Placement Options dialog box:
Fit Images Proportionally Maintains the image’s aspect ratio but scales the image to fit within the frame (default).
Fit Images To Frames Scales the image so that its aspect ratio is identical to the frame’s aspect ratio.
Fit Frames To Images Preserves the image size but adjusts the frame size to match it.
Preserve Frame And Image Sizes Places the image at its intrinsic size into the frame, aligned to the upper-left corner
of the frame. The image is cropped if too big for the frame.
Fill Frames Proportionally Places the image so that its height or width fills the frame, leaving the rest of the image
cropped.
Center In Frame Aligns the center of the image to the center of the frame.
Link Images Creates a link, or file path, to the original image file. If this option is not selected, all image data is
embedded in the InDesign document.
Remove Blank Lines For Empty Fields Remove paragraph returns inserted for empty fields. This is especially useful
for mailings in which you have an optional address field. This option ignores soft returns.
Record Limit Per Document Specifies the maximum number of records for each merged document. When the
threshold is reached, a new document is created with the number of pages necessary to hold the remaining records
being merged (up to the per-record limit). This option is available only when Single Record is selected.
Page Limit Per Document Specifies the maximum number of pages for each document. When the threshold is
reached, a new document is created with the number of pages necessary to hold the remaining records being merged
(up to the per-page limit). This option is available only when Multiple Records is selected from the Records Per
Document Page menu when merging.
See also
“Merge records” on page 599
“Set content placement options” on page 599

602
Chapter 23: Sharing content between
InCopy and InDesign
Adobe InCopy is a professional writing and editing program that integrates tightly with Adobe InDesign. Large-to-
medium publishers can acquire powerful editorial solutions based on InCopy and InDesign from systems integrators
and third-party developers. Smaller publishing groups can set up an affordable, flexible editorial workflow system
using a version of InCopy available directly from Adobe.
Understanding a basic managed-file workflow
Sharing content
The Adobe InCopy LiveEdit Workflow plug-ins let writers and editors develop copy in InCopy at the same time as
designers prepare layouts in Adobe InDesign. This workflow includes container files, called assignments, for
grouping related pieces of content, and file-locking and notification tools for sharing and updating files in InCopy
or InDesign over a shared network or in compressed packages that can be distributed via e-mail.
In the shared network workflow, InDesign users export text and graphics to a shared location on a file system, where
the files become available to InCopy users who will write and edit the content. Selected text frames and graphics
frames are either exported to the assignment or exported as separate InCopy files, where they become part of the
managed process and are linked to the InDesign document. These shared files are referred to as managed files.When
users work in the assignment file or in the InDesign file on a local server, changes to the associated layout or content
are communicated to all users involved in the workflow for that document.
Multiple InCopy or InDesign users can open the same content file simultaneously, and multiple InCopy users can
open the same assignment file simultaneously. However, only one user at a time can check out the InCopy file for
editing. Others can view the file on a read-only basis. The user who checks out a managed InCopy file can share his
or her work with other users by saving the file to the shared server or by returning the file to the InDesign user;
however, other users can’t make changes to the file until it’s checked back in. This system allows multiple users to
access the same file but prevents users from overwriting each other’s work.
For more information, see the InCopy LiveEdit Workflow guide (PDF) at www.adobe.com/go/learn_liveedit.
See also
“Managed files” on page 605
Ways to work with content in InCopy
Content is either a body of text that flows through one or more frames, or an imported graphic. There are five basic
ways to work on content in InCopy: open an assignment file, open an assignment package, open a linked InCopy
file, open an InDesign file that has linked InCopy files, or compose content entirely in InCopy.

INDESIGN CS3
User Guide
603
Open assignment files created in InDesign
InDesign users can create an assignment file and designate content for sharing. This method lets the InDesign user
associate related components (heading, body, graphics, captions, and so on), and then assign them to different
InCopy users for writing and editing. InCopy users open the assignment file and work on only the components
assigned to them. The live layout view shows how their edited copy relates to the InDesign layout, without opening
the entire InDesign document. However, if the layout changes, the InDesign user must update assignments to notify
InCopy users about the changes. You can share assignment files on a server or through assignment packages.
InDesign document (.indd) with assignment file (.inca) composed of three linked content files (.incx). Assignment and its components are listed
in Assignments panel and are opened in InCopy.
Open assignment packages
Theassignmentpackagesworkflowisespeciallyusefulwhendesignersandwritersareworkingonthesameproject
butdon’thaveaccesstoalocalserver.Insuchcases,theInDesignusercancreateoneormorepackagesandsendthe
compressed files to the assigned InCopy users via e-mail. InCopy users can open the assignment packages, edit the
contents, and return the packages to the InDesign user, who can then update the document.

INDESIGN CS3
User Guide
604
Open linked InCopy files exported from InDesign
In certain workflows, InDesign users might export text and graphics as separate files, rather than wrapping them
inside an assignment file. Exporting separate files is useful if you work on unrelated graphics or bodies of text.
However, InCopy users aren’t able to see how the content fits within the InDesign layout.
InDesign document (.indd) with three linked but unassigned content files (.incx) opened in InCopy
Open InDesign documents that have linked InCopy files
To see all page items in the context of an entire layout, InCopy users can open and edit an InDesign document in
InCopy.Thisapproachcanbeusefulforeditingandcopyfittingifseeingtheoveralllayoutisimportant,orforediting
most of the stories in a document rather than a few. After the InCopy user edits the stories, the InDesign user can
then update the links to the modified files. If the InDesign user changes the layout, the InCopy user is notified when
the InDesign document is saved.

INDESIGN CS3
User Guide
605
Compose content entirely in InCopy
You can create content in InCopy that isn’t associated with an InDesign file. In these stand-alone documents, you
can type text, assign fonts and styles, and import graphics from other applications (such as Adobe Illustrator and
AdobePhotoshop)toenhancethetext.YoucanalsoassigntagsforfutureXMLuse.Thisapproachisagoodoption
in an editorial workflow where the content precedes the design. You can also set up and modify the text area, page
size, and orientation for stand-alone InCopy documents. But if the story is later linked to an InDesign document,
the InDesign settings override the settings used in InCopy.
See also
“Export content as separate InCopy files (InDesign)” on page 613
Managed files
For a file to be managed, it must be added to an assignment file, exported from InDesign as InCopy content, or
placed as InCopy content into InDesign. Managed files communicate both content status and ownership. With
managed files, you can:
•Lock and unlock stories to help preserve file integrity.
•Notify InCopy users when the associated InDesign layout is outdated.
•Identify the user working on a file.
•Notify users when an InCopy content file is outdated, being used by someone, or available for editing. Notification
methods include alert messages, frame icons, status icons in the Links panel, and status icons in the Assignments
panel.
Read-only files
Once a content file becomes managed, it’s read-only toallusersintheworkflowatalltimes,excepttothepersonwho
has checked it out. The software creates a lock file (*.idlk) when a user checks out a content file, giving that user
exclusive editing control. Read-only files have the following characteristics:
•An InCopy user cannot manually format the text in it. However, if text has been assigned character or paragraph
styles, an InDesign user can change the definition of those styles, thereby changing the formatting of the text even
when the file is checked out to someone else. These style definition changes are reflected in the text once the
InDesign user updates the file.
•In general, neither an InCopy nor InDesign user can change objects, such as text and applied styles, in locked
InCopy content. Some objects, such as character and paragraph styles, are only used by the content. For example,
you can’t change how a character style is applied to objects in locked content, but you can change the character
style itself, thereby changing the appearance of the text.
•An InDesign user can change the margins and columns of the text content as well as the shape, location, and
number of text frames the story occupies.
•An InDesign user can change the geometry and formatting of a graphics frame without checking out the graphic.
An InCopy user cannot change a graphics frame or any formatting on the frame. However, both InDesign and
InCopy users have to check out the graphics frame in order to modify the graphic itself (for example, to rotate or
scale it).

INDESIGN CS3
User Guide
606
Best practices for working with managed files
Use the following practices to make sure that you work with the most up-to-date content and don’t overwrite
someone else’s work:
•Store assignment files on a server where all team members have access. If team members don’t have access to a
server, you can create and distribute assignment packages.
•When you create an assignment, a special folder is created to hold the assignment file and the content. Use these
assignment folders to maintain assignment and content files. They simplify managing the shared files across a
workgroup and help ensure that users open the correct files. If a file is moved from one assignment to another, its
content file is moved to that assignment's folder.
•InInCopy,opentheassignmentfileinsteadofanindividualInCopystory.Thatway,youcanseethecopyfitand
layout information in Galley and Layout views. If you export content without using assignment files, you can see
copyfit and layout information only by opening the InDesign file.
•As soon as you open an assignment file, open an InDesign document, or check out content in either InDesign or
InCopy,makesurethatframeedgesareshowing(View>ShowFrameEdges)sothatyoucanseetheframeicons
when they appear.
•In InDesign, if you must remove files from the workflow (because of a production deadline, for example), you can
unlink them or cancel an assignment package.
See also
“Unlink content files (InDesign)” on page 625
Managed-file workflow examples
When you establish workflow management between InCopy and InDesign, writers and editors can compose,
rewrite, expand, and edit documents at the same time that designers prepare the layout. Common workflows include
managing files on a local server, sharing files via e-mail packages, or using some combination of the two methods.
These workflows assume that you have a basic InDesign template with layout geometries, styles, and placeholder
text. Layout geometries include page dimensions as well as text and graphics frames. InCopy uses these items to show
proper copyfit information.
Local server workflow
1. In InDesign, create assignments and add content to them.
This step incorporates exported text and graphics frames into the managed process, where they become available to
InCopy users for writing and editing.
2. Make the assignment files available to InCopy users.
Save the files to a server that all workflow users have access to.
3. In InCopy, open the assignment file, and check out and edit a story or graphic.
InInCopy,thefilescontainingcontentassignedtoyouappearintheAssignmentspanel.Wheneveryousavethefile
onalocalserver,thechangesaresavedonthefilesystemandanyoneworkingonthatdocument(theInDesignlayout
or another managed content file in the document) receives notification of the changes. Those users can update the
content to view the latest changes. The content remains checked out to you until you check it in.

INDESIGN CS3
User Guide
607
4. In InDesign, work on the layout.
Regardless of whether the content files are being edited in InCopy, InDesign users can work on the document layout;
they don’t have to check out the document. Whenever the InCopy user saves the checked-out content, the InDesign
user can update that content within the layout to see the latest revisions.
5. In InCopy, continue working.
When finished with your edits, check in the content. Other users are then able to check out the content and work on it.
If a user is modifying the layout in InDesign simultaneously, you can update and view the layout geometry as you work.
6. In InDesign, make sure that all the content is checked in.
The managed workflow makes it possible to know who has checked out files. After content files are checked in,
InDesign users can check out the files to finalize the layout as necessary.
E-mail package workflow
1. In InDesign, create and send assignment packages.
Create assignment packages and assign contents to the appropriate InCopy users, and then send the packages to the
InCopy users. The packaged files are automatically checked out to help avoid editing conflicts.
2. In InCopy, open the assignment package, and check out and edit a story or graphic.
If you receive an assignment package in e-mail, double-click the package to open it in InCopy.
3. In InDesign, work on the layout.
Regardless of whether the content files are being edited in InCopy, InDesign users can work on the document layout;
theydon’thavetocheckoutthedocument.Ifyouneedtoupdatethelayoutorassignments,youcansendanupdated
package to the InCopy users.
4. In InCopy, return the edited package.
When finished with your edits, check in the content and return the modified package. Other users are then able to
check out the content and work on it.
5. In InDesign, make sure that all the content is checked in.
The managed workflow makes it possible to know who has checked out files. After assignment packages are
returned, stories in assignment packages are checked in. InDesign users can check out the files to finalize the layout
as necessary.
Enter user identification
All users in the workflow must have a user name. This identification reveals who has checked out a particular file
and makes this information available to other users. It’s also required in order to check out a file for editing.
Ifyou’vealreadyspecifiedausernameandwanttochangeit,youmustcheckinanycontentyouhavecheckedout.
Otherwise, changing user identification during an editing session would forfeit your ability to edit content that you
have checked out—it would be checked out to you under a different name.
User identification is application-specific; no single user can have multiple user identifications per application.

INDESIGN CS3
User Guide
608
Note: The InCopy Notes and Track Changes features also use the specified name to identify the author of a note or a
tracked change.
1Do either of the following:
•Choose File > User.
•Choose User from the Assignments panel menu (Window > Assignments).
2Type a unique name and click OK.
If you forget to specify a user name using this method, you’re prompted to enter one when you attempt your first
workflow action.
Note: The Color pop-up menu in this dialog box is for identifying editorial notes and tracked changes. You can choose
the color now if you want, but it doesn’t affect anything you do in a managed workflow.
Workflow icons
Icons can appear on text and graphics frames, in the Links panel, the Assignments panel, and in the story bar
(InCopy only). Edit status icons appear next to the managed file in the Links panel and Assignments panel, and
communicate content status. Text frame icons appear on a text frame that contains a linked InCopy story (in the
Layout view in both InDesign and InCopy). These icons also communicate content status and can be used to differ-
entiate between managed and unmanaged content. The associated tool tip indicates editing status and ownership. To
view the text frame icons, make sure that frame edges are showing in InDesign and InCopy (View > Show Frame
Edges).
Note: (InDesign) The InDesign document window must be in Normal Mode for the frame edges to show. (Click the
Normal Mode button at the lower left of the toolbox.)
Icon Name Location
Available Links panel (InDesign), Assign-
ments panel (InDesign and
InCopy), text frames, and
graphics frames
In Use By [name] Assignments panel, text frames,
and graphics frames
Editing Assignments panel, text frames,
and graphics frames
Available And
Out Of Date
Text and graphics frames
In Use By name
And Out Of Date
Text and graphics frames
Editing And Out
Of Date
Text and graphics frames
Out Of Date Assignments panel
Text Content Out
Of Date
Assignments panel and text
frames
Text Content Up
To Date
Assignments panel and text
frames

INDESIGN CS3
User Guide
609
Note: TheOutOfDateiconontheAvailable,InUse,Editing,TextContent,andGraphicsContenticonsindicatesthat
the content is out of date; that is, the version on the file system is newer than the version displayed on your computer.
Sharing content
Exporting content from InDesign
Exporting content from InDesign to InCopy establishes a link between the two applications. You export InDesign
text frames, graphics frames, and their contents to InCopy using either of two methods:
•Create a container file (*.inca)—called an assignment—and add related groupings of document items (such as the
text and graphics of a story) to the assignment so they can be worked on together. Content within assignments is
exported as *.incx files.
•Export text and graphics frames separately (including placeholder frames) using the Edit > InCopy > Export
menu commands. Exported content is saved as *.incx files.
After content is exported, small icons appear at the top left of exported frames in InDesign and InCopy, and in the
Assignments and Links panels. These icons indicate the status of managed frames and they differentiate managed
framesfromthosethataren’tpartoftheworkflow.AllexportedcontentappearsintheAssignmentspanel.Content
exported using the Export menu commands appears in the Unassigned InCopy Content section of the Assignments
panel list. While both methods establish a controlled connection between InCopy content and an InDesign
document, the primary method is to use assignment files.
Exporting content makes the content available for users to check out while maintaining a link to the original
InDesign document. (This link is made from within InDesign; you cannot create the link from InCopy.)
Once the content is exported, InCopy users can see (but not change) the page layouts, styles, and so forth as they
appear in the InDesign document.
Note: You can also create text or anchored graphics using InCopy and then place them in InDesign.
See also
“Assignment files” on page 611
“Assignments panel overview” on page 610
“Workflow icons” on page 608
“Placing InCopy files in InDesign documents” on page 625
Graphics Content
Out Of Date
Assignments panel and graphics
frames
Graphics Content
Up To Date
Assignments panel and graphics
frames
Packaged
Content
Assignments panel
Icon Name Location

INDESIGN CS3
User Guide
610
Assignments panel overview
The primary tool for working with assignments is the Assignments panel (Window > Assignments). The Assign-
ments panel displays the files exported from the currently active InDesign document, and an icon indicates their
status. The Assignments panel menu also contains commands that control import version and file-management
functions between InCopy and InDesign. When you open an assignment in InCopy, the assignment name and its
contents appear in the Assignments panel. You can double-click text and graphics frames in the Assignments panel
to select them in the document window.
Note: All content exported to InCopy or added to an assignment is also listed in the Links panel. Although you can do
some workflow management tasks, such as checking out and checking in content, the recommended panel for these tasks
is the Assignments panel.
InDesign Assignments panel
A. InCopy content names B. InDesign document name C. Assignment Out Of Date status D. AvailableAndGraphicUpToDatestatus E. In
Use And Text Out Of Date status F. Editing And Text Up To Date status G. Unassigned content H. User name I. Update Content button
J. Check Out/Check In Selection button K. New Assignment button L. Delete Selected Assignments/Remove button
InCopy Assignments panel
A. InCopy content names B. Assignment name C. Assignment Out Of Date status D. Available And Graphic Up To Date status E. In Use
And Text Out Of Date status F. Editing And Text Up To Date status G. Unassigned content H. User name I. Update Design button J. Update
Content button K. Check Out/Check In Selection button
See also
“Exporting content from InDesign” on page 609
“Assignment files” on page 611
B
C
A
D
E
F
G
H I J K
L
B
A
C
D
E
F
G
H I J K

INDESIGN CS3
User Guide
611
Assignment files
In InDesign, assignment files are containers for organizing collections of page items. For example, you might want
to select all the items in a story (headline, byline, copy, graphics, and captions), and then assign them to one InCopy
user. Adding those items to an assignment provides a convenient way for InCopy users to access only the content for
which they are responsible. Assignment files (*.inca) appear in the file system, in the InCopy story bar, and in status
messages. Only InDesign users can create assignment files; only InCopy users can open them.
When you create an assignment, a folder is created in the same location as the InDesign document by default. This
assignment folder includes the *.inca assignment files and a content subfolder that contains any exported InCopy story
files (in INCX format) that are part of images or other resources. Once the assignment is created, store the project folder
in a location where all users have access to it, or create and distribute an assignment package. If content is exported
before it’s added to an assignment, the files on disk are not moved to the content folder of the assignment file.
Assignment files include the following:
•Links or pointers to the associated page items, including placeholder frames. These elements let the InCopy user
open a single file in InCopy and have editorial access to multiple page items.
•Any transformations on the graphics included in the assignment, such as moving, scaling, rotating, or shearing.
•Page geometry, so InCopy users can see the layout of the frame and its content that they’re editing without opening
the entire InDesign file.
•Color-coding of assigned frames in the document.
Illustration of page in InCopy showing page geometry and color coding
Create assignments and add content (InDesign)
Only InDesign users can create assignments and add content to them. There are several ways to create assignments.
The method you choose usually depends on whether you have content to add at the time you create the assignment.
•Create empty assignment files. From your InDesign document, you can create a series of empty assignments to
act as templates for content to come later.
•Create assignments and add content at the same time.
•Add content to an existing assignment file. You can add linked content—text and graphics that have already been
exported as InCopy content—or you can add selected page items to become linked InCopy content. If one or more
of the selected frames already contain InCopy content files, and none are part of an assignment, you can add them
to a new or existing assignment file.
By default, the assignment folder you create is saved in the same folder as the InDesign document. You can then place
this folder on a server or create and send a package.
Note: If you don’t want InCopy users to place and fit graphics, don’t add graphics frames to an assignment.

INDESIGN CS3
User Guide
612
See also
“Relink missing assignment files (InDesign)” on page 624
“Best practices for working with managed files” on page 606
Create empty assignment files (InDesign)
1In InDesign, save the document.
2In the Assignments panel (Window > Assignments), choose New Assignment from the panel menu.
3In the New Assignment dialog box, specify assignment file options and click OK.
Simultaneously create assignments and add content (InDesign)
1In InDesign, create a document that has one or more text frames, graphics frames, or placeholder items, and then
save the document.
2Select the text and graphics frames you want to add.
3Do one of the following:
•From the Assignments panel menu, choose Add To Assignment, and then select New.
•Choose Edit > InCopy > Add [option] To Assignment > New.
4In the New Assignment dialog box, specify assignment file options and click OK.
The newly created assignment file includes any frames selected in the document window.
Add content to existing assignments (InDesign)
1Save the InDesign document.
2Select the text and graphics frames you want to add.
3Do one of the following:
•From the Assignments panel menu, choose Add To Assignment, and then select the assignment.
•Drag content from the Unassigned InCopy Content section of the Assignments panel into an existing assignment.
•Select page items with the Selection tool and drag them to an existing Assignment in the Assignments panel.
•Choose Edit > InCopy > Add [option] To Assignment, and then select the assignment.
4Choose Update All Assignments from the Assignments panel menu to make the content files available to InCopy
users.
Note: You can add content only to assignments in the same document. However, you can import the same content into
multiple documents and add it to an assignment in each of those documents.
Assignment file options (InDesign)
When you create or modify an assignment file, you can set the following options:
Assignment Name The unique identification of the assignment in the Assignments panel, for example “Ocean
article.” This name must conform to the filenaming conventions of the operating system.
Assigned To The unique identification of the user assigned to the files. The user’s name appears in parentheses
following the assignment name in the Assignments panel. Entering a name here is for informational purposes only;
it doesn’t grant special rights or permissions to the user.

INDESIGN CS3
User Guide
613
Color Displays a list of colors for adding a distinctive highlight to the frames of the current assignment in the
document window, and to the assignment names in the Assignments panel. This color coding differentiates frames
that belong to one assignment from frames that belong to another, and it differentiates from unassigned frames. To
toggle the display of this color coding, choose View > Show/Hide Assigned Frames. In InCopy, the color coding is
visible only in Layout view.
Note: If toggling the display of assigned frames produces unexpected results, those frames might be tagged for XML and
View>Structure>ShowTaggedFramesmightbeenabled.Youcannotshowassignedframesandtaggedframesatthe
same time.
Change Click the Change button to specify the location of the assignments folder. By default, the assignments folder
is created in the same location as the InDesign file.
Placeholder Frames Lets InCopy users see the text and graphics frames in the assignment as well as boxes (or other
shapes) representing all other frames on those InDesign pages. All frames and placeholders accurately reflect the
size, shape, and location of the InDesign originals. Placeholder frames are empty shapes that don’t show any of the
content in the InDesign document. The Placeholder Frames option provides the least amount of fidelity, and
therefore provides the fastest performance. In InCopy, the placeholder frames are visible only in Layout view, and
they’re gray so users can distinguish them from empty frames in their assignment. InCopy users cannot check out
and edit placeholder frames.
Assigned Spreads Lets InCopy users see all assigned frames, as well as the entire contents of other frames that aren’t
partoftheassignment,onthesamespread.InInCopy,contentinframesoutsideanassignmentisn’teditableandis
visible only in Layout view.
All Spreads Exports all content in the InDesign document to the assignment file. This option provides the maximum
amount of fidelity; it also provides the slowest performance because the assignment file displays the design and
layout of every page, including pages not relevant to the section a user is editing.
Linked Image Files When Packaging Includes a copy of linked images in the assignment package. Selecting this
option gives InCopy users access to images but increases the package’s file size. InCopy users can include images
while returning a package. If this option is not selected, InDesign users won’t get images that InCopy users add to
placeholder frames.
Export content as separate InCopy files (InDesign)
If your workgroup prefers working with separate files rather than using assignments, you can export InCopy content
without using an assignments file. Compared with creating a single assignment file with references to multiple
content files and layout information, this method creates a separate file (.incx) for each text or graphics frame you
specify in the document. To see the context of the content you are editing, you must also open the associated
InDesign document (.indd).
Note: A quick way to export content as separate InCopy files is to use the Selection tool to drag selected frames into the
Unassigned InCopy Content in the Assignments panel.
1In InDesign, create a document with one or more text frames, graphics frames, or placeholder items.
2Do either of the following:
•Select the text or graphics frame of a single story, or Shift-click to select multiple frames.
•Click an insertion point in a story, or select some text in a text frame.
3Choose Edit > InCopy > Export, and then choose one of the following options:
Selection Exports all selected text and graphics frames.

INDESIGN CS3
User Guide
614
Layer Exports all content on the selected layer.
All Stories Exports every story that has not been exported already.
All Graphics Exports every graphic that has not been exported already.
All Graphics And Stories Exports every story and graphic that has not been exported already.
If you export all content in the document, and then add more text or graphics frames to the same document, you can
save time exporting the new ones by using the Export > All Stories (or All Graphics or All Graphics And Stories)
command again. InDesign exports only the new content.
4Enter a name and location for the files, and then click Save.
The file name you specify is used as a prefix for identifying each exported content file in the file system. If you export
multiple text frames, the first several characters of the text are automatically appended to the file name; for example,
“mystory-Upcoming cycling events.incx.” For multiple graphics frames, the file names are formed as “mystory-
graphic,” “mystory-graphic-1,” and so on. The file name appears in the file system, in the InCopy story bar, and in
status messages.
5When prompted, click OK to save the content as managed InCopy files, in the InCopy Interchange Format (.incx).
Also when prompted, save your InDesign file.
The InCopy content is now managed, and is available to be checked out and edited by other users in the workflow.
Shared content appears in the Links panel just like imported graphics. If you move a shared file manually, you can
use the Links panel to update its link.
When you export content, you see the Available icon on the text frame (InDesign and InCopy), and in the Assign-
ments panel (InCopy). The word [Available] appears in the story bar (InCopy).
Export stories for use in InCopy CS (InDesign)
To open an InCopy CS3 document in InCopy CS, you must save the document to the InCopy CS Story format
(INCD), the format used by InCopy CS. Be aware that stories created using functionality specific to InCopy CS3
might be modified or omitted when you open the file in InCopy CS.
1In InDesign, do either of the following:
•Select the text frame of a single story, or Shift-click to select multiple frames.
•Click an insertion point in a story, or select some text in a text frame.
2Choose Edit > InCopy > Export, and then choose one of the following options:
•Choose Selection to export all selected text frames.
•Choose All Stories to export every story that hasn’t been exported already.
If you export all content in the document, and then add more text frames to the same document, you can save time
exporting the new ones by using the Export > All Stories command again. InDesign exports only the new content.
3From the Save As Type menu (Windows) or Format menu (Mac OS), choose InCopy CS Document.
4Enter a location and name for the files, and click Save.
5Specify the following options in the Adobe InCopy Export Options dialog box, and click OK.
Include Style Table Embeds character and paragraph styles into a story.
Include Swatch List Embeds swatches into a story.
Include XMP Information Embeds Adobe XMP (Extensible Metadata Platform) information into a story.

INDESIGN CS3
User Guide
615
Encoding Allows selection of either UTF8 or UTF16 unicode encoding, which is required as a new InCopy file is
created. The InCopy format is based on XML and requires this encoding for XML file creation.
•UTF8 Contains all the characters needed for the language structure of HTML in 8-bit characters, which are the
same as those in ASCII.
•UTF16 Is easier for software writers to use and is more efficient for world languages. Generally, software that
supports world languages uses UTF16 internally.
6Save your InDesign file.
The InCopy story is now managed, and it’s available to be checked out and edited by other users in the workflow.
Assignment packages
Create and send packages (InDesign)
Underidealcircumstances,allInDesignandInCopyusersontheteamhaveaccesstoaserverwhereassignmentfiles
are stored. However, if one or more users don’t have access to a common server, you can create and distribute
compressed assignment packages. After working on the assignment, the InCopy user repackages the assignment and
returns it to be integrated into the InDesign document. Package files created in InDesign include the .incp extension;
the return package files created in InCopy include the .indp extension.
There are two commands for packaging files: Package and Package And Email. Use Package to create a compressed
package that you can distribute manually; use Package And Email to create a compressed package that is attached
automatically to an e-mail message.
Create a package for manual distribution
1Create an assignment and add the content you want to include in the package.
Only content that is checked in can be included in the packaged assignment.
2In the Assignments panel, select the assignment and choose Package For InCopy from the panel menu.
3Specify a name and location for the package file, and click Save.
You can attach the package file to an e-mail message, upload it to an FTP server, or copy it to a disk or other external
media.
Note: ChoosingEdit>Undoafteryoucreateapackagecancelsthepackageandunlockstheitemsintheassignment,but
it doesn’t delete the package file from your computer or unsend the e-mail.
Create a package for e-mail (InDesign)
1Create an assignment and add the content you want to include in the package.
Only content that is checked in is included in the packaged assignment. If any content is checked out, you’re
prompted to check in content.
2IntheAssignmentspanel,selecttheassignmentandchoosePackageForInCopyAndEmailfromthepanelmenu.
A compressed assignment package is created and attached to an e-mail message of your default e-mail application.
Note: If you want to use a different e-mail application, change the default e-mail application. See your system documen-
tation for details.
3Edit the e-mail message by adding a recipient and providing any instructions. Send the message.

INDESIGN CS3
User Guide
616
All items in the assignment are checked out to the assigned user. However, the contents of the package itself aren’t
locked, so anyone can open the package and edit them.
Cancel a package
In some cases, the package you send isn’t returned. For example, the message may have gotten lost, or the recipient
may no longer work on the project. In such a situation, you can cancel a package.
1In the Assignments panel, select the packaged assignment, and choose Cancel Package from the panel menu.
2Click Yes to cancel the package.
Canceling a package doesn’t remove the package file from your computer.
When a package is cancelled, the package’s contents are available for editing. Be aware that if someone returns a
package that has been cancelled, conflicts may occur.
Update a package
After you create a package, you may want to add, remove, or resize items.
1Add, remove, or resize one or more stories to the packaged assignment.
2Do one of the following:
•Choose Update Package from the Assignments panel menu. Specify the name and location of the file. Make the
updated package available to users by placing it on a shared server or by e-mail. Remember to notify InCopy users
that the package has been updated.
•Choose Update Package And Email from the Assignments panel menu, and then send the message.
When InCopy users open the updated package, only new content is added automatically to the assignment; InCopy
users can decide whether to overwrite existing content, allowing them to preserve previous edits.
Receive packages (InCopy)
You may receive a package from an InDesign user who created the package or from an InCopy user who forwarded
the package to you. When you open an assignment package, the package is decompressed, and the contents are
copied to a new subfolder in an InCopy Assignments folder.
See also
“Check in content” on page 621
“Save changes (InCopy)” on page 623
Open a package (InCopy)
❖To open an InCopy package (*.incp), do any of the following:
•Launch the package using the e-mail application. For example, double-click the attachment file.
•Use Explorer or Finder to open the file. For example, double-click the file or drag it to the InCopy application icon.
•In InCopy, choose File > Open, and double-click the packaged assignment file.
•In InCopy, choose Open Package from the Assignments panel menu, and then double-click the package file.
You can now edit the stories in the package. When you begin editing a story, you’re prompted to check out the
contents of the frame. When you’ve finished editing, save all content and return or forward the package.

INDESIGN CS3
User Guide
617
Return or forward a package (InCopy)
After you open and edit a package, you can send it to another InCopy user or you can return it to the InDesign user
who created the package. Package files created for other InCopy users include the .incp extension; return package
files created for InDesign users include the .indp extension.
1Edit and check in the content you want to include in the package.
2From the Assignments panel menu, choose one of the following:
Forward For InCopy Create a package for another InCopy user. Specify the name and location of the package file, and
then make it available to the InCopy user.
Forward For InCopy And Email Create and send a package for another InCopy user via e-mail. The package appears
as an attachment in a new message in your default e-mail application. Specify the recipient, provide instructions, and
send the e-mail message.
Return For InDesign Create a package to return to the InDesign user.
Return For InDesign And Email Create and return a package to the Indesign user by e-mail. The package appears as
an attachment in a new message in your default e-mail application. Specify the recipient, provide instructions, and
send the e-mail message.
Receive return packages (InDesign)
❖To open an InDesign package (*.indp), do any of the following:
•Launch the package using the e-mail application. For example, double-click the attachment file.
•Use Explorer or Finder to open the file. For example, double-click the file or drag it to the InDesign application icon.
•In InDesign, choose File > Open, and double-click the package file.
•In InDesign, choose Open Package from the Assignments panel menu, and then double-click the package file.
You’re prompted to update all links when opening the package. If a story has been modified since the assignment
was packaged, you can determine whether to update or unlink the content in the InDesign file. When the stories in
the files are returned and checked in, you can check out and edit the content.
See also
“Update assignment files (InDesign)” on page 619
“Unlink content files (InDesign)” on page 625
Working with managed files
Open shared content
Only InCopy users can open assignment files (.inca). If an InCopy user opens an InDesign file that contains assign-
ments, the user will have access to all the managed content, regardless of assignments.
❖Do one of the following.
•In InCopy, choose File > Open, select an assignment file (.inca), and click Open.
•In InDesign or InCopy, choose File > Open, select an InDesign file (.indd) that contains assigned content, and
click Open.

INDESIGN CS3
User Guide
618
•Open an assignment package. See “Receive packages (InCopy)” on page 616.
The assignment names and their contents appear in the Assignments panel.
See also
“Assignment files” on page 611
“Managed files” on page 605
Check out content
When you check out an item, a hidden lock file (.idlk) is placed on the file system. Once the content is checked out,
you have exclusive control over its content, and others are locked out from making changes. You can check out
InCopy content only; you cannot check out InDesign documents with layout information.
If you attempt to close an InDesign document containing one or more InCopy content files that are checked out to
you, an alert message appears, prompting you to check in all content. If you close the document without checking in
the content files, they will still be checked out to you the next time you open the InDesign document. Saving the
InDesign document automatically saves every editable InCopy content file.
See also
“Managed files” on page 605
Check out content (InDesign)
❖Do one of the following:
•In the layout, select the text or graphics frames to edit and choose Edit > InCopy > Check Out.
•In the Assignments panel, select the files and choose Check Out from the panel menu.
When you check out available content in InDesign, you see the Editing icon on the InDesign frame. In InCopy,
theInUseicon appearsontheInCopyframeandintheAssignmentspaneliftheassignmentfilesarestoredon
a local server.
Check out content (InCopy)
1Do one of the following:
•If the content you want is part of an assignment, choose File > Open and select the assignment file (.inca).
•If the content you want was exported as individual files, choose File > Open and select the InCopy file (.incx). To
see the layout so you can do copyfitting, select the InDesign document.
2Do one of the following:
•To check out a single InCopy content file, choose File > Check Out.
•To check out all content in an assignment at once, select the assignment in the Assignments panel, and choose
Check Out from the panel menu.
•To check out individual items in an assignment, open the assignments list in the Assignments panel, select an item
or multiple items, and choose Check Out from the panel menu.
The Editing icon appears next to the item or items in the Assignments panel, indicating that the content is
checked out to you for your exclusive use.
3If prompted to update the content with changes, click OK.

INDESIGN CS3
User Guide
619
When you check out available content in InCopy, you see the Editing icon on the InCopy frame, and in the
Assignments panel. In InDesign, the In Use icon appears on the InDesign frame.
Opening managed files (InCopy)
Opening a managed content file (.incx) directly in InCopy and working with it in Story view may be more appro-
priate for quick writing and editing. You do not have to check out an individual managed file to edit it; InCopy
automaticallychecksitout.Whenyousaveandclosethefile,InCopyautomaticallychecksinthecontent.TheSave
commands are different when you open individual files.
See also
“Managed files” on page 605
“Save changes (InDesign)” on page 622
Update assignment files (InDesign)
You can save changes to assignments manually or when you close the current document. Updating an assignment
file is the only way to make layout changes available to InCopy users.
❖Do one of the following:
•To update selected assignments, select them in the Assignments panel and choose Update Selected Assignments
from the Assignments panel menu.
•To update all out-of-date assignments in the current document, choose Update All Assignments from the Assign-
ments panel menu. Only assignments that are out of date are updated.
Note: If an InCopy user has an assignment open when you update the assignment, the Out Of Date icon appears
next to the assignment in the InCopy Assignments panel.
See also
“Update content” on page 619
“Create and send packages (InDesign)” on page 615
Update content
To make sure that you’re always working on the most up-to-date content, be sure to watch for Out Of Date icons in
the Assignments panel, and then update content accordingly. Updating an InCopy assignment file and its contents
orupdatingindividualcontentfilescopiesdatafromthelatestfilesystemcopysothattheversiondisplayedonyour
computer matches the one on the file system. Updating does not require checking in or out and does not give you
editing rights. However, updating can cause problems if another user has deleted your lock.
Note: Updating content does not update content in assignment packages that have not been returned.
A typical updating workflow is as follows:
1The InCopy user opens an assignment file or checks out an individual content file and edits the content.
2The InCopy user saves the content file, which updates the copy on the file system, and continues working.
3The InDesign user sees the Out Of Date icon in both the Assignments panel and the Links panel next to the
selection, and the In Use and Text Content Out Of Date icon or Graphics Content Out Of Date icon
on the associated frame.

INDESIGN CS3
User Guide
620
Assignments panel with In Use and Out Of Date icons (left) and Layout with out-of-date content (right)
4The InDesign user updates the content.
See also
“Accidentally updating your work” on page 621
“Links panel overview” on page 349
Update content while opening a managed document (InDesign)
1Choose File > Open, locate the file you want to open, and click Open.
2Click Yes when prompted to update the document with the modified content on the file system.
3Do one of the following:
•To let InDesign update the links, click Fix Links Automatically.
•To fix links manually, click Don’t Fix, and then, in the Links panel, select the file to update and choose Update Link
from the panel menu.
Update content while working (InDesign)
❖Do one of the following:
•Select the text or graphics frames in the layout and choose Edit > InCopy > Update Content.
•Select the text or graphics frames in the Links panel, and click the Update Link button or choose Update Link
from the Assignments panel menu.
Update content while working (InCopy)
❖Do one of the following:
•Click an insertion point in the text frame to select it, and then choose File > Update Content.
•Select the content in the Assignments panel, and then click the Update Content button or choose Update
Content from the Assignments panel menu.
You can also update content using the Links panel.

INDESIGN CS3
User Guide
621
Accidentally updating your work
In most cases, the update commands are disabled for content you have checked out, because that content would
always be up to date. However, an undesirable situation can occur if a different user deletes the lock on checked-out
content (by dragging the lock file [.idlk] to the Recycle Bin [Windows] or Trash [Mac OS]), and modifies the content.
In this case, the update commands can become enabled even while the content is checked out to you, essentially
allowing two people to edit the content at the same time. Updating the content result in lost work. For best results,
do not delete the lock files.
Update the InDesign layout
InDesign users can modify the layout (for example, change the size or location of the text frames of a story) and save
the changes while InCopy users are modifying the text of these text frames. In a shared server workflow, the way
InCopy users are notified about layout changes depends on whether they have opened an assignment file or have
checked out individual content files and also opened the linked InDesign file.
Consider the following:
•If an InDesign user changes the layout of frames in an assignment, the user must update the assignment to make
the design changes available to InCopy users. InDesign does not automatically update assignment files when the
document is saved.
•Once the InDesign user updates the assignment stored on a shared server, the Out Of Date icon appears next
to the assignment in the InCopy Assignments panel. The InCopy user must update the design to see the current
layout.
•IfanInDesignuserchangesthelayoutofexportedcontentthatisnotpartofanassignment,theOutOfDateicon
appears next to the InDesign document name in the Assignments panel and in the document title bar. InCopy
users can update the currently active InDesign document with the latest layout and style changes.
Updating the layout in InCopy is useful for copyfitting tasks, because the latest appearance and line breaks are visible
in Layout and Galley views.
❖Do one of the following:
•If you have an assignment file open and the Assignments panel shows the Out Of Date icon next to the
assignment name, click the Update Design button , or choose File > Update Design. You cannot undo this
command.
•IfyouarenotworkingwithassignmentfilesandyouhavemorethanoneInDesigndocumentopen,selecttheone
you want to make active, and choose File > Update Design.
Check in content
Whenyoucheckinamanagedcontentfile,yousaveittoasharedlocationonafilesystemwhereitcanbechecked
out by others for editing or other changes. Exporting a text or graphics frame from InDesign also checks it in
automatically.
Although a checked-in file is available for editing, it is not actually editable until it is checked out (unless you edit
the content in stand-alone mode in InCopy). Checking in content relinquishes editing control, but does not close the
file. The content remains open on your screen, but in a read-only state.
The LiveEdit Workflow plug-ins do not create multiple file versions. Instead, files are overwritten when updated in
either InCopy or InDesign. (To gain file-versioning capabilities, as well as many other features, use Adobe Version
Cue in InDesign or InCopy with a Version Cue Workspace. Version Cue is an authoring environment, which is
available only as part of Adobe Creative Suite 3.)

INDESIGN CS3
User Guide
622
If you are working on an assignment package, return or forward the assignment package after checking it in.
See also
“Exporting content from InDesign” on page 609
“Managed files” on page 605
Check in managed content (InDesign)
❖Do one of the following:
•Select the content in the layout and choose Edit > InCopy > Check In.
•In the Assignments panel, select the content and choose Check In from the panel menu.
Check in managed content (InCopy)
❖Do one of the following:
•Select the content in Layout view and choose File > Check In.
•In the Assignments panel, select the content and choose Check In from the panel menu.
Note: You can undo the most recent changes before you check in content.
When you check in a file, the Available icon appears on the text or graphics frame in the InDesign layout, in the
InCopy Layout view, in the Assignments panel, and in the story bar (InCopy).
Save changes (InDesign)
As you work on content you have checked out, you can save your changes and update the file-system copy.
❖Do one of the following:
•To save the selected content without saving changes to the InDesign document or any of its linked files, select the
content in the layout and choose Edit > InCopy > Save Content.
•To save every content file checked out to you, choose File > Save. This type of save does not automatically update
assignment files or checked-out content files in InCopy. However, the checked-out files in InCopy will show the
Out Of Date icon in the Assignments panel.
•To save the InDesign document under a new name with links to any existing InCopy files, choose File > Save As.
This type of save creates a situation in which one or more InCopy files are linked to two InDesign documents.
•Tosaveacopyofthecurrentlyactivedocument,chooseFile>SaveACopy.Youcanchoosetogivethecopyanew
name and location with links to any existing InCopy files.
Note: If you are working with a file managed by a Version Cue Workspace, a separate Check In command is available.
The Version Cue Workspace feature is available as part of the Adobe Creative Suite.
See also
“Update content” on page 619

INDESIGN CS3
User Guide
623
Save changes (InCopy)
❖Do one of the following:
•TosavetheInCopyfileunderthesamenameandlocationonthefilesystem,chooseFile>SaveContent.Thefile
is still checked out to you.
•TosavetheInCopycontentfileunderanewname,chooseFile>SaveContentAs.Thenewlycreatedcontentfile
isnotmanagedintheworkflow.TheSaveContentAscommandisavailableonlyifyouhaveopenedtheInCopy
content file (.incx) directly.
•TosaveacopyofthecurrentlyactiveInCopycontentfile,chooseFile>SaveContentCopy.Youcanchoosetogive
the copy a new name and location. The saved copy is not managed in the workflow. The Save Content Copy
command is available only if you have opened the InCopy content file (.incx) directly.
•To save all currently open and checked-out InCopy content files, choose File > Save All Content. This saves all files
to their current locations. The Save All Content command is available only if you have opened an assignment or
InDesign file.
Note: The Save A Version command is available only if you are working with a file managed by a Version Cue
Workspace. The Version Cue Workspace feature is available as part of Adobe Creative Suite.
Adjusting your workflow
Move content between assignments (InDesign)
InDesign users can move content between existing assignments as well as from the Unassigned InCopy Content
section of the Assignments panel. You can also create a new assignment and move content to it.
1Save the InDesign document.
2In the Assignments panel, click the arrow to the left of the assignment name to display the contents of the
assignment.
3Select an item in an assignment.
4Do one of the following:
•Drag the content from one assignment to another.
•To move content to an existing assignment, choose Add To Assignment from the Assignments panel menu, and
then select the desired assignment.
•To create a new assignment as you move content, from the Assignments panel menu, choose Add To
Assignment > New, and then specify options in the New Assignment dialog box.
5Choose Update All Assignments from the Assignments panel menu.
If the assignment lists are short, you might prefer dragging content items to and from assignments and the
Unassigned InCopy Content section.
See also
“Unlink content files (InDesign)” on page 625
Delete assignments (InDesign)
❖In the Assignments panel, select one or more assignments and choose Delete Assignment in the panel menu.

INDESIGN CS3
User Guide
624
Deleting assignments accomplishes the following:
•Removes the assignment data from the document.
•Deletes the assignment file from the file system.
•Removes the assignment name from the list.
•Moves any InCopy content to the Unassigned InCopy Content section in the Assignments panel.
Note: If an InCopy user has an assignment open when it is deleted in InDesign, an alert message notifies the InCopy user
that the assignment has been deleted. However, the content files are not deleted and can be updated without loss of
changes.
See also
“Unlink content files (InDesign)” on page 625
Relink missing assignment files (InDesign)
Ifyoumoveordeleteanassignmentfilefromdisk,andthenopentheInDesigndocumentfromwhichitwascreated,
InDesign won’t know where the assignment file is located. You need to re-create the assignment file so InDesign can
find it.
See also
“Updating, restoring, and replacing links” on page 352
Re-create the assignment file in the original location
❖In the Assignments panel, do one of the following:
•Select the missing assignment (it will still be listed in the panel) and choose Update Selected Assignments from
the panel menu.
•Choose Update All Assignments from the panel menu.
Change the assignment location
❖To re-create the assignment file in a new location, do one of the following in the Assignments panel:
•Select the assignment and choose Change Assignment Location from the panel menu. Specify a location and name
for the new file.
•Double-click the assignment name. In the Assignment Options dialog box, click Change and specify a location
and name for the new file.
Correct mistakes
Ifyoumakeamistake,youcandiscardchangesmadesincethelastSavecommandandrestorethecontentfromthe
file system.
Because InDesign automatically saves every editable InCopy content file when you save the InDesign document, the
Cancel Checkout command restores only versions since the last time the document was changed.
❖Do one of the following:
•To undo the most recent change, choose Edit > Undo [action].
•To undo all changes made since the last time you saved the document, choose File > Revert Content.

INDESIGN CS3
User Guide
625
•To undo changes since the last saved version and remove the lock file, select the content in the Assignments panel
and choose Cancel Check Out from the panel menu. This action checks in the file.
Overriding locked files (InDesign)
Users might not immediately realize how their actions affect others in the workflow, and might accidentally create
situations where conflicts exist between content status and ownership. If necessary, the InDesign user can resolve
conflicts by unlinking a locked file checked out to a different user and taking control over the file. Unlinking a file
stores the content in the InDesign document, but the content is no longer shared with InCopy.
If you edit a story that has been checked out in InCopy, you’re prompted to embed the story so that the original file’s
location is remembered but the file is unlocked for editing. You can later unembed and link to the original file, or
you can link to another file.
See also
“Unlink content files (InDesign)” on page 625
“Accidentally updating your work” on page 621
Unlink content files (InDesign)
If necessary (because of a production deadline, for example), InDesign users can remove a content file from the
managed workflow and from the Links panel by unlinking it. If you want to make the content available again for
editing, you must reexport it as InCopy content using a different file name. This ensures that the old lock file won’t
prevent users from editing the file.
Note: Unlinkingyourownchecked-outfileremovesitfromtheworkflowanddeletesthelockfilefromdisk.Youcanre-
export the content and overwrite the file name without conflict.
❖To unlink an InCopy content file, select the file (.incx extension) in the Links panel and choose Unlink from the
panel menu. Unlinking embeds the content into the document and removes the link to the InCopy file on disk.
To relink the file, choose Edit > Undo Unlink.
You can also unlink by deleting a frame, or using the InDesign Links panel to relink a content file to another file.
Placing InCopy files in InDesign documents
Although a typical workflow begins in InDesign, where the basic layout and text and graphics placeholders are
defined and exported to InCopy, a different workflow can start with a stand-alone InCopy content file (.incx or .incd)
that you place in InDesign using the File > Place command.
Consider the following dependencies when you place InCopy content files in an InDesign document:
Styles If the InCopy text file has styles applied, they are added to the InDesign list of styles for the document. In the
event of a style-name conflict, InDesign overwrites the imported style with its existing style.
Layout You can create the basic layout geometry for the content in InDesign, and then create or import the text and
styles from a word-processing application. (Text files placed within InCopy are embedded in the InCopy document
and are not linked to any external file.)

INDESIGN CS3
User Guide
626
Placing/Duplicating IfyouplaceanInCopycontentfilemorethanonce,eachinstanceofthecontentappearsinthe
InDesignLinkspanel,buttheyareallmanagedasonecontentfile.Thesameistrueforanyexactcopiesofacontent
file (by any means of duplication).
Note: If you copy and paste some, but not all, of the text in a managed InCopy content file, the result is a new content
file that is not connected to the original and has no link to any external file (InCopy or otherwise). The original and the
pasted portions can be edited independently of each other.
Updates/Management OncemultipleinstancesofamanagedcontentfilearepresentinanInDesigndocument,they
behave as if they were open in two applications. For example, checking out one instance of the content file locks all
other instances so that you can edit only the checked-out instance. In this case, you would use the appropriate Update
command to refresh the other (open) instances of the content.
Adding editorial notes and tracking changes in InDesign
The Notes and Track Changes features in InDesign use the workflow user names to identify the author of a note or
a tracked change. Notes and tracked changes are color-coded for each user as defined in Notes preferences in
InDesign or the User dialog box in InCopy (File > User).
When you add editorial notes to managed content in InDesign, these notes become available to others in the
workflow.
When tracked changes are turned on in InCopy, and an InDesign user makes text or graphics changes in managed
content, those changes are tracked and recorded in InDesign, but are visible only in InCopy.
See also
“Enter user identification” on page 607

627
Chapter 24: Comparison of PageMaker
and InDesign menus
Browse through these tables to learn where Adobe PageMaker commands are found in AdobeInDesign CS3.
PageMaker menu commands
PageMaker File menu commands
PageMaker command InDesign equivalent Additional information
File > New File > New > Document
File > Open File > Open
File > Recent Publications File > Open Recent (Windows®)
File > Close File > Close
File > Save File > Save There is no preference in InDesign to Save
Smaller or Save Faster. Use Save to perform
a fast save and Save As to compact a docu-
ment to the smallest possible size.
File > Save As File > Save As See note above.
File > Revert File > Revert InDesign does not revert to “mini-saved”
versions of a document as PageMaker does;
instead, InDesign offers unlimited levels of
Undo.
File > Place File > Place
File > Acquire No equivalent Scan images using the software that came
with your scanner, and then place the
images in InDesign.
File > Export File > Export
File > Links Manager Window > Links
File > Document Setup File > Document Setup
File > Printer Styles File > Print Presets
File > Print File > Print
File > Preferences > General Edit > Preferences (Windows) or InDesign >
Preferences (Mac OS)
Equivalent settings can be found in Compo-
sition, Units & Increments, Guides & Paste-
board, and Display Performance prefer-
ences.
File > Preferences > Online No equivalent You can drag objects from a web browser to
InDesign without configuring a proxy.

INDESIGN CS3
User Guide
628
PageMaker Edit menu commands
PageMaker Layout menu commands
File > Preferences > Layout Adjustment Layout > Layout Adjustment You specify layout adjustment options and
enable layout adjustment at the same time.
Settings in InDesign match those in
PageMaker almost exactly. Ruler guides
follow their associated column or margin
guides by default. To change this, deselect
Allow Ruler Guides To Move.
File > Preferences > Trapping Window > Output > Trap Presets To specify trapping preferences, create a
new Trap preset.
File > Exit (Windows) or File > Quit (Mac OS) File > Exit (Windows) or InDesign > Quit
InDesign (Mac OS)
PageMaker command InDesign equivalent Additional information
Edit > Undo Edit > Undo InDesign allows unlimited levels of Undo.
Edit > Cut Edit > Cut
Edit > Copy Edit > Copy
Edit > Paste Edit > Paste InDesign does not support OLE; however,
you can set similar options in the Links
panel.
Edit > Clear Edit > Clear
Edit > Select All Edit > Select All
Edit > Deselect All Edit > Deselect All
Edit > Editions (Mac OS) No equivalent InDesign does not support
Publish/Subscribe; however, you can set
similar options in the Links panel.
Edit > Paste Multiple Edit > Step And Repeat
Edit > Paste Special Edit > Paste Without Formatting
Edit > Insert Object (Windows) File > Place
Edit > Edit Story Edit > Edit In Story Editor
Edit > Edit Original Edit > Edit Original You can also choose Edit Original in the
Links panel menu.
Edit > Show Clipboard (Mac OS) No equivalent
PageMaker command InDesign equivalent Additional information
Layout > Go To Page Layout > Go To Page You can also double-click a page icon in the
Pages panel to jump to that page.
Layout > Insert Pages Layout > Pages > Insert Pages
Layout > Remove Pages Layout > Pages > Delete Pages
PageMaker command InDesign equivalent Additional information

INDESIGN CS3
User Guide
629
PageMaker Type menu commands
Layout > Sort Pages Window > Pages Click and drag pages in the Pages panel to
sort them.
Layout > Go Back Layout > Go Back
Layout > Go Forward Layout > Go Forward
Layout > Column Guides Layout > Margins And Columns
Layout > Copy Master Guides No equivalent InDesign master guides from any given
master are always copied to pages that use
that master.
Layout > Autoflow Press Shift when a loaded text icon is
displayed.
You can flow text manually, automatically
(with autoflow), or semi-automatically.
PageMaker command InDesign equivalent Additional information
Type > Font Type > Font
Type > Size Type > Size
Type > Leading Type > Character or Control panel in Char-
acter mode (Window > Control)
InDesign uses baseline leading by default,
as opposed to proportional leading, which
is PageMaker’s default.
Type > Type Style Type > Character or Control panel in Char-
acter mode (Window > Control)
InDesign displays the type styles available
for the selected font. You can also use Quick
Apply.
Type > Expert Kerning Type > Character or Control panel in Char-
acter mode (Window > Control)
Expert kerning in PageMaker is similar to
optical kerning in InDesign.
Type > Horizontal Scale Control panel in Character mode
(Window > Control)
Type > Character Type > Character
Type > Paragraph Type > Paragraph
Type > Indents/Tabs Type > Tabs
Type > Hyphenation Type > Paragraph Choose Hyphenation from the Paragraph
panel menu.
Type > Alignment Type > Paragraph or Control panel in Para-
graph mode (Window > Control)
Type > Style Type >Paragraph Styles or Type >Character
Styles
InDesign supports both paragraph and
character styles.
Type > Define Styles Type > ParagraphStyles or Type >Character
Styles
Choose New Paragraph Style in the Para-
graph Styles panel to create a paragraph
style. Choose New Character Style in the
Character Styles panel to create a character
style.
PageMaker command InDesign equivalent Additional information

INDESIGN CS3
User Guide
630
PageMaker Element menu commands
PageMaker command InDesign equivalent Additional information
Element > Fill Window > Swatches or Window > Color InDesign does not support patterned fills.
The Swatches panel in InDesign is equiva-
lent to the Colors palette in PageMaker.
Element > Stroke Window > Stroke Choose a stroke style in the Stroke panel or
define a custom stroke style.
Element > Fill And Stroke Window > Swatches, Window > Stroke, and
Window > Attributes
Create tints using the Swatches panel.
Specify overprinting in the Attributes panel.
Element > Frame > Attach Content No equivalent InDesign automatically creates a frame for
text files or graphics you import. To paste
content into an existing frame, select the
frame, and then place or paste the content
into it.
Element > Frame > Frame Options Object > Text Frame Options (text frames
only) or Object > Fitting
For text frames, specify columns, vertical
alignment, and inset spacing in the Text
Frame Options dialog box. Set horizontal
alignment in the Paragraph panel (Type >
Paragraph). For graphics and text frames,
use subcommands on the Object > Fitting
menu to fit content to a frame (or vice
versa).
Element > Frame > Change To Frame Object > Content > [content type]
Element > Frame > Next Frame View > Show Text Threads
Element > Frame > Previous Frame View > Show Text Threads
Element > Frame > Remove From Threads Double-click the in port or out port to break
a thread.
Element > Frame > Delete Content Select content in the frame, and then press
Delete.
Select text with the Type tool. Select
graphics with the Direct Selection tool.
Element > Arrange Object > Arrange
Element > Align Objects (Windows) or
Element > Align (Mac OS)
Window > Object & Layout > Align
Element > Text Wrap Window > Text Wrap
Element > Group Object > Group
Element > Ungroup Object > Ungroup
Element > Lock Position Object > Lock Position
Element > Unlock Object > Unlock Position
Element > Mask Object > Clipping Path You can also mask a graphic by creating the
masking shape, copying the image you
want to mask, and then pasting it into the
shape (Edit > Paste Into), or by adjusting its
graphics frame.
Element > Unmask Object > Clipping Path See note above.

INDESIGN CS3
User Guide
631
PageMaker Utilities menu commands
Element > Image > Image Control No equivalent Use the Edit Original command to change
image control settings in the original appli-
cation.
Element > Image > CMS Source Object > Image Color Settings
Element > Image > Photoshop Effects Object > Effects
Element > Polygon Settings Double-click the Polygon tool in the
Toolbox
Element > Rounded Corners Object > Corner Options
Element > Link Info Window > Links Choose Link Information on the Links panel
menu.
Element > Link Options Type Preferences or Window > Links In Type Preferences, select or deselect
Create Links When Placing Text And Spread-
sheet Files. Or, on the Links panel menu,
choose Unlink.
Element > Non-Printing Window > Attributes
Element > Remove Transformation No equivalent
PageMaker command InDesign equivalent Additional information
Utilities > Plug-ins Help > Configure Plug-ins (Windows) or
InDesign > Configure Plug-ins (Mac OS)
Utilities > Find Edit > Find/Change You can performFind/Changeoperations in
Layout view or Story Editor.
Utilities > Find Next Edit > Find Next See note above.
Utilities > Change Edit > Find/Change See note above.
Utilities > Spelling Edit > Spelling > Check Spelling You can check spelling in Layout view or
Story Editor.
Utilities > Book File > New > Book You add, delete, and sort documents in a
book using the Book panel.
Utilities > Index Entry Window > Type & Tables > Index To add an index entry, click the New button
in the Index panel.
Utilities > Show Index Index panel in Reference mode (Window >
Type & Tables > Index)
Utilities > Create Index Window > Type & Tables > Index Choose Generate Index on the Index panel
menu.
Utilities > Create TOC Layout > Table Of Contents
Utilities > Define Colors Window > Swatches Choose New Color Swatch in the Swatches
panel menu.
PageMaker command InDesign equivalent Additional information

INDESIGN CS3
User Guide
632
PageMaker View menu commands
PageMaker command InDesign equivalent Additional information
View > Display Master Items Choose Hide/Show Master Items from the
Pages panel menu
View > Display Non-Printing Items Select Normal View Mode in the
Toolbox to view nonprinting items. To hide
nonprinting items, select Preview
Mode .
You can also create a layer for objects you
do not want to print, and then show or hide
that layer when you print or export.
View > Zoom In View > Zoom In
View > Zoom Out View > Zoom Out
View > Actual Size View > Actual Size
View > Fit In Window View > Fit Page In Window or View > Fit
Spread In Window
View > Entire Pasteboard View > Entire Pasteboard
View > Zoom To Choose a magnification level from the
Zoom menu at the bottom of the document
window.
View > Hide/Show Rulers View > Hide/Show Rulers
View > Snap To Rulers No equivalent
View > Zero Lock Right-click (Windows) or Control-click
(Mac OS) the zero point, and then choose
Lock Zero Point from the context menu that
appears.
View > Hide/Show Guides View > Grids & Guides > Hide/Show Guides
View > Snap To Guides View > Grids & Guides > Snap To Guides
View > Lock Guides View > Grids & Guides > Lock Guides And
View > Grids & Guides > Lock Column
Guides
View > Clear Ruler Guides Using InDesign keyboard shortcuts, Press
Ctrl+Alt+G (Windows) or
Command+Option+G (Mac OS) to select all
guides on the current spread, and then
press Delete.
View > Send Guides To Back Edit > Preferences > Guides & Pasteboard
(Windows) or InDesign > Preferences >
Guides & Pasteboard (Mac OS)
View > Hide/Show Scroll Bars No equivalent

INDESIGN CS3
User Guide
633
PageMaker Window menu commands
PageMaker command InDesign equivalent Additional information
Window > Arrange Icons (Windows) No equivalent
Window > Tile Window > Arrange > Tile Horizontally or
Tile > Vertically
Window > Cascade Window > Arrange > Cascade
Window > Hide/Show Tools Window > Tools
Window > Hide/Show Control Palette Window > Control
Window > Hide/Show Colors Window > Swatches or Window > Color
Window > Hide/Show Styles Window > Type & Tables > Paragraph Styles
or Window > Type & Tables > Character
Styles
Window > Hide/Show Layers Window > Layers
Window > Hide/Show Master Pages Window > Pages
Window > Hide/Show Hyperlinks Window > Interactive > Hyperlinks
Window > Plug-in Palettes No equivalent Plug-ins appear as added options in
InDesign menus or panels, or in InDesign
dialog boxes.
Window > [name of open document] Window > [name of open document]

634
Chapter 25: Keyboard shortcuts
Adobe InDesign CS3 provides shortcuts to help you quickly work in documents without using the mouse. Many
keyboard shortcuts appear next to the command names in menus. You can use the default InDesign shortcut set, the
QuarkXPress 4.0 or Adobe PageMaker 7.0 shortcut set, or a shortcut set that you create. You can share shortcut sets
with others using InDesign on the same platform.
Default keyboard shortcuts
Keys for tools
This table isn’t a complete list of keyboard shortcuts. It lists only those shortcuts that aren’t displayed in menu
commands or tool tips.
Tool Windows Mac OS
Selection tool V, Esc V, Esc
Direct Selection tool A A
Position tool Shift+A Shift+A
Toggle Selection and Direct Selection tool Ctrl+Tab Command+Control+Tab
Pen tool P P
Add Anchor Point tool = =
Delete Anchor Point tool - -
Convert Direction Point tool Shift+C Shift+C
Type tool T T
Type On A Path tool Shift+T Shift+T
Pencil tool (Note tool) N N
Line tool \ \
Rectangle Frame tool F F
Rectangle tool M M
Ellipse tool L L
Rotate tool R R
Scale tool S S
Shear tool O O
Free Transform tool E E
Eyedropper tool I I
Measure tool K K

INDESIGN CS3
User Guide
635
See also
“Use keyboard shortcut sets” on page 25
Keys for selecting and moving objects
This table isn’t a complete list of keyboard shortcuts. It lists only those shortcuts that aren’t displayed in menu
commands or tool tips.
Gradient tool G G
Button tool B B
Scissors tool C C
Hand tool H H
Temporarily selects Hand tool Spacebar(Layout mode), Alt (Text mode), or
Alt+Spacebar (both)
Spacebar (Layout mode), Option (Text
mode), or Option+Spacebar (both)
Zoom tool Z Z
Temporarily selects Zoom In tool Ctrl+Spacebar Command+Spacebar
Toggle Fill and Stroke X X
Swap Fill and Stroke Shift+X Shift+X
Toggle between Formatting Affects
Container and Formatting Affects Text
JJ
Apply Color , [comma], [comma]
Apply Gradient . [period]. [period]
Apply No Color / /
Switch between Normal View and Preview
Mode
WW
Gradient Feather tool Shift+G Shift+G
Result Windows Mac OS
Temporarily select Selection or Direct Selec-
tion tool (last used)
Any tool (except selection tools)+Ctrl Any tool (except selection tools)+
Command
Temporarily select Group Selection tool Direct Selection tool+Alt; or Pen, Add
Anchor Point, or Delete Anchor Point
tool+Alt+Ctrl
Direct Selection tool+Option; or Pen, Add
Anchor Point, or Delete Anchor Point
tool+Option+Command
Add to or subtract from a selection
of multiple objects
Selection, Direct Selection, or Group Selec-
tion tool+Shift–click (to deselect, click
center point)
Selection, Direct Selection, or Group Selec-
tion tool+Shift–click (to deselect, click
center point)
Duplicate selection Selection, Direct Selection, or Group Selec-
tion tool+Alt–drag*
Selection, Direct Selection, or Group Selec-
tion tool+ Option–drag*
Duplicate and offset selection Alt+Left Arrow, Right Arrow, Up Arrow, or
Down Arrow key
Option+Left Arrow, Right Arrow, Up Arrow,
or Down Arrow key
Tool Windows Mac OS

INDESIGN CS3
User Guide
636
See also
“Use keyboard shortcut sets” on page 25
Keys for transforming objects
This table isn’t a complete list of keyboard shortcuts. It lists only those shortcuts that aren’t displayed in menu
commands or tool tips.
Duplicate and offset selection by 10 times** Alt+Shift+Left Arrow, Right Arrow, Up
Arrow, Down Arrow key
Option+Shift+Left Arrow, Right Arrow, Up
Arrow, Down Arrow key
Move selection** Left Arrow, Right Arrow, Up Arrow, Down
Arrow key
Left Arrow, Right Arrow, Up Arrow, Down
Arrow key
Move selection by 10th** Ctrl+Shift+Left Arrow, Right Arrow, Up
Arrow, Down arrow key
Command+Shift+Left Arrow, Right Arrow,
Up Arrow, Down arrow key
Move selection by 10 times** Shift+Left Arrow, Right Arrow, Up Arrow,
Down Arrow key
Shift+Left Arrow, Right Arrow, Up Arrow,
Down Arrow key
Select master page item from
document page
Selection or Direct Selection
tool+Ctrl+Shift–click
Selection or Direct Selection tool+
Command+Shift–click
Select next object behind or in front Selection tool+Ctrl–click, or Selection
tool+Alt+Ctrl–click
Selection tool+Command–click or Selec-
tion tool+Option+ Command–click
Select next or previous frame in story Alt+Ctrl+Page Down/Page Up Option+Command+Page Down/Page Up
Select first or last frame in story Shift+Alt+Ctrl+Page Down/Page Up Shift+Option+Command+Page
Down/Page Up
*Press Shift to constrain movement to 45˚ angles.
**Amount is set in Edit > Preferences > Units & Increments (Windows) or InDesign > Preferences > Units & Increments (Mac OS).
Result Windows Mac OS
Duplicate and transform selection Transformation tool+Alt–drag*Transformation tool+Option–drag*
Display Transform tool dialog box Select object+double-click Scale tool,
Rotate tool, or Shear tool in Toolbox
Select object+double-click Scale tool,
Rotate tool, or Shear tool in Toolbox
Decrease size/scale by 1% Ctrl+, Command+,
Decrease size/scale by 5% Ctrl+Alt+, Command+Option+,
Increase size/scale by 1% Ctrl+. Command+.
Increase size/scale by 5% Ctrl+Alt+. Command+Option+.
Resize frame and content Selection tool+Ctrl–drag Selection tool+Command–drag
Resize frame and content proportionately Selection tool+Shift Selection tool+Shift
Result Windows Mac OS

INDESIGN CS3
User Guide
637
See also
“Use keyboard shortcut sets” on page 25
Keys for editing paths and frames
This table isn’t a complete list of keyboard shortcuts. It lists only those shortcuts that aren’t displayed in menu
commands or tool tips.
See also
“Use keyboard shortcut sets” on page 25
Keys for tables
This table isn’t a complete list of keyboard shortcuts. It lists only those shortcuts that aren’t displayed in menu
commands or tool tips.
Constrain proportion Ellipse tool, Polygon tool, or Rectangle
tool+Shift–drag
Ellipse tool, Polygon tool, or Rectangle
tool+Shift–drag
Switch image from High Quality Display to
Fast Display
Shift+Esc Shift+Esc
*After you select a transformation tool, hold down the mouse button, and then hold down Alt (Windows) or Option (Mac OS) and drag.
Press Shift to constrain movement to 45˚ angles.
Result Windows Mac OS
Temporarily select Convert Direction Point
tool
Direct Selection tool+Alt+Ctrl, or Pen
tool+Alt
Direct Selection tool+Option+ Command,
or Pen tool+Option
Temporarily switch between Add Anchor
Point and Delete Anchor Point tool
Alt Option
Temporarily select Add Anchor Point tool Scissors tool+Alt Scissors tool+Option
Keep Pen tool selected when pointer is over
path or anchor point
Pen tool+Shift Pen tool+Shift
Move anchor point and handles while
drawing
Pen tool+spacebar Pen tool+spacebar
Display the Stroke panel F10 Command+F10
Result Windows Mac OS
Insert or delete rows or columns while drag-
ging
Begin dragging row or column border, and
then hold down Alt as you drag
Begin dragging row or column border, and
then hold down Option as you drag
Resize rows or columns without changing
the size of the table
Shift–drag interior row or column border Shift–drag interior row or column border
Resize rows or columns proportionally Shift–drag right or bottom table border Shift–drag right or bottom table border
Move to next/previous cell Tab/Shift+Tab Tab/Shift+Tab
Move to first/last cell in column Alt+Page Up/Page Down Option+Page Up/Page Down
Result Windows Mac OS

INDESIGN CS3
User Guide
638
See also
“Use keyboard shortcut sets” on page 25
Keys for finding and changing text
This table isn’t a complete list of keyboard shortcuts. It lists only those shortcuts that aren’t displayed in menu
commands or tool tips.
See also
“Use keyboard shortcut sets” on page 25
Keys for working with type
This table isn’t a complete list of keyboard shortcuts. It lists only those shortcuts that aren’t displayed in menu
commands or tool tips.
Move to first/last cell in row Alt+Home/End Option+Home/End
Move to first/last row in frame Page Up/Page Down Page Up/Page Down
Move up/down one cell Up Arrow/Down Arrow Up Arrow/Down Arrow
Move left/right one cell Left Arrow/Right Arrow Left Arrow/Right Arrow
Select cell above/below the current cell Shift+Up Arrow/Down Arrow Shift+Up Arrow/Down Arrow
Select cell to the right/left of the current cell Shift+Right Arrow/Left Arrow Shift+Right Arrow/Left Arrow
Start row on next column Enter (numeric keypad) Enter (numeric keypad)
Start row on next frame Shift+Enter (numeric keypad) Shift+Enter (numeric keypad)
Toggle between text selection and cell
selection
Esc Esc
Result Windows Mac OS
Insert selected text into Find What box Ctrl+F1 Command+F1
Insert selected text into Find What box
and finds next
Shift+F1 Shift+F1
Find next occurrence of Find What text Shift+F2 or Alt+Ctrl+F Shift+F2 or Option+Command+F
Insert selected text into Change To box Ctrl+F2 Command+F2
Replace selection with Change To text Ctrl+F3 Command+F3
Result Windows Mac OS
Bold Shift+Ctrl+B Shift+Command+B
Italic Shift+Ctrl+I Shift+Command+I
Normal Shift+Ctrl+Y Shift+Command+Y
Underline Shift+Ctrl+U Shift+Command+U
Result Windows Mac OS

INDESIGN CS3
User Guide
639
Strikethrough Shift+Ctrl+/ Shift+Command+/
All caps (on/off) Shift+Ctrl+K Shift+Command+K
Small caps (on/off) Shift+Ctrl+H Shift+Command+H
Superscript Shift+Ctrl+(+) [plus sign]Shift+Command+(+) [plus sign]
Subscript Shift+Alt+Ctrl+(+) [plus sign]Shift+Option+Command+(+) [plus sign]
Straight quotes (single and double) without
turning off smart quotes
Alt+’, Ctrl+Alt+’ Control+’, Control+Shift+’
Reset horizontal or vertical scale to 100% Shift+Ctrl+X or Shift+Alt+Ctrl+X Shift+Command+X or
Shift+Option+Command+X
Align left, right, or center Shift+Ctrl+L, R, or C Shift+Command+L, R, or C
Justify all lines Shift+Ctrl+F (all lines) or J (all but last line) Shift+Command+F(all lines)or J(all butlast
line)
Increase or decrease point size*Shift+Ctrl+> or < Shift+Command+> or <
Increase or decrease point size by five
times*
Shift+Ctrl+Alt+> or < Shift+Command+ Option+> or <
Increase or decrease leading (horizontal
text)*
Alt+Up Arrow/Down Arrow Option+Up Arrow/Down Arrow
Increase or decrease leading by five times
(horizontal text)*
Alt+Ctrl+Up Arrow/Down Arrow Option+Command+Up Arrow/Down Arrow
Select or deselect preferences setting
for typographer’s marks
Shift+Alt+Ctrl+“ [quote]Shift+Option+Command+“ [quote]
Auto leading Shift+Alt+Ctrl+A Shift+Option+Command+A
Align to grid (on/off) Shift+Alt+Ctrl+G Shift+Option+Command+G
Auto-hyphenate (on/off) Shift+Alt+Ctrl+H Shift+Option+Command+H
Increase or decrease kerning and tracking
(horizontal text)
Alt+Left Arrow/Right Arrow Option+Left Arrow/Right Arrow
Increase or decrease kerning and tracking
by five times (horizontal text)
Alt+Ctrl+Left Arrow/Right Arrow Option+Command+Left Arrow/Right
Arrow
Increase kerning between words*Alt+Ctrl+\ Option+Command+\
Decrease kerning between words*Alt+Ctrl+Backspace Option+Command+Delete
Clear all manual kerning and reset tracking
to 0
Alt+Ctrl+Q Option+Command+Q
Increase or decrease baseline shift** (hori-
zontal text)
Shift+Alt+Up Arrow/Down Arrow Shift+Option+Up Arrow/Down Arrow
Increase or decrease baseline shift by five
times (horizontal text)
Shift+Alt+Ctrl+Up Arrow/Down Arrow Shift+Option+Command+Up Arrow/Down
Arrow
Automatically flow story Shift–click loaded text icon Shift–click loaded text icon
Semi-automatically flow story Alt–click loaded text icon Option–click loaded text icon
Result Windows Mac OS

INDESIGN CS3
User Guide
640
See also
“Use keyboard shortcut sets” on page 25
Keys for navigating through and selecting text
This table isn’t a complete list of keyboard shortcuts. It lists only those shortcuts that aren’t displayed in menu
commands or tool tips.
Recompose all stories Alt+Ctrl+/ Option+Command+/
Insert current page number Alt+Ctrl+N Option+Command+N
*Press Shift to increase or decrease kerning between words by five times.
**Amount is set in Edit > Preferences > Units & Increments (Windows) or InDesign > Preferences > Units & Increments (Mac OS).
Result Windows Action Mac OS Action
Move to right or left one character Right Arrow/Left Arrow Right Arrow/Left Arrow
Move up or down one line Up Arrow/Down Arrow Up Arrow/Down Arrow
Move to right or left one word Ctrl+Right Arrow/Left Arrow Command+Right Arrow/Left Arrow
Move to start or end of line Home/End Home/End
Move to previous or next paragraph Ctrl+Up Arrow/Down Arrow Command+Up Arrow/Down Arrow
Move to start or end of story Ctrl+Home/End Command+Home/End
Select one word Double-click word Double-click word
Select one character right or left Shift+Right Arrow/Left Arrow Shift+Right Arrow/Left Arrow
Select one line above or below Shift+Up Arrow/Down Arrow Shift+Up Arrow/Down Arrow
Select start or end of line Shift+Home/End Shift+Home/End
Select one paragraph Triple-click or quadruple-click paragraph,
depending on Text Preferences setting
Triple-click or quadruple-click paragraph,
depending on Text Preferences setting
Select one paragraph before or after Shift+Ctrl+Up Arrow/Down Arrow Shift+Command+Up Arrow/Down Arrow
Select current line Shift+Ctrl+\ Shift+Command+\
Select characters from insertion point Shift–click Shift–click
Select start or end of story Shift+Ctrl+Home/End Shift+Command+Home/End
Select all in story Ctrl+A Command+A
Select first/last frame Shift+Alt+Ctrl+Page Up/Page Down Shift+Option+ Command+Page Up/Page
Down
Select previous/next frame Alt+Ctrl+Page Up/Page Down Option+Command+Page Up/Page Down
Delete word in front of insertion point
(Story Editor)
Ctrl+Backspace or Delete Command+Delete or Del (numeric keypad)
Update missing font list Ctrl+Alt+Shift+/ Command+Option+Shift+/
Result Windows Mac OS

INDESIGN CS3
User Guide
641
See also
“Use keyboard shortcut sets” on page 25
Keys for viewing documents and document workspaces
This table isn’t a complete list of keyboard shortcuts. It lists only those shortcuts that aren’t displayed in menu
commands or tool tips.
Result Windows Mac OS
Temporarily select Hand tool Spacebar (with no text insertion point), Alt-
drag (with text insertion point), or
Alt+spacebar (in both text and non-text
modes)
Spacebar (with no text insertion point),
Option–drag (with text insertion point), or
Option+spacebar (in both text and nontext
modes)
Temporarily select Zoom In tool Ctrl+spacebar Command+spacebar
Temporarily select Zoom Out tool Alt+Ctrl+spacebar or Alt+Zoom In tool Option+Command+spacebar or
Option+Zoom In tool
Zoom to 50%, 200%, or 400% Ctrl+5, 2, or 4 Command+5, 2, or 4
Redraw screen Shift+F5 Shift+F5
Open new default document Ctrl+Alt+N Command+Option+N
Switch between current and previous zoom
levels
Alt+Ctrl+2 Option+Command+2
Switch to next/previous document window Ctrl+~ [tilde]/Shift+Ctrl+F6 or Ctrl+Shift+~
[tilde]
Command+F6 or Command+~ [tilde]/
Command+Shift+~ [tilde]
Scroll up/down one screen Page Up/Page Down Page Up/Page Down
Go back/forward to last-viewed page Ctrl+Page Up/Page Down Command+Page Up/Page Down
Go to previous/next spread Alt+Page Up/Page Down Option+Page Up/Page Down key
Fit spread in window Double-click Hand tool Double-click Hand tool
Activate the Go To command Ctrl+J Command+J
Fit selection in window Ctrl+Alt+(+) [plus sign]Command+Option+(+) [plus sign]
Go to master page while \ panel is closed Ctrl+J, type prefix of master, press Enter Command+J, type prefix of master, press
Return
Select magnification box in
document window
Alt+Ctrl+5 (main keyboard) Option+Command+5 (main keyboard)
Cycle through units of measurement Shift+Alt+Ctrl+U Shift+Option+Command+U
Snap guide to ruler increments Shift–drag guide Shift–drag guide
Switch between page and spread guides
(creation only)
Ctrl–drag guide Command–drag guide
Create vertical and horizontal ruler guides
for the spread
Ctrl–drag from zero point Command–drag from zero point
Select all guides Alt+Ctrl+G Option+Command+G
Lock or unlock zero point Right-click zero point and choose an option Control–click zero point and choose an
option

INDESIGN CS3
User Guide
642
See also
“Use keyboard shortcut sets” on page 25
Keys for working with XML
This table isn’t a complete list of keyboard shortcuts. It lists only those shortcuts that aren’t displayed in menu
commands or tool tips.
See also
“Use keyboard shortcut sets” on page 25
Keys for indexing
This table isn’t a complete list of keyboard shortcuts. It lists only those shortcuts that aren’t displayed in menu
commands or tool tips.
Use current magnification for view
threshold of new guide
Alt–drag guide Option–drag guide
Select buttons in alert dialog boxes Press first letter of button name, if under-
lined
Press first letter of button name
Show information on installed plug-ins and
InDesign components
Ctrl+Help > About Design Command+InDesign menu > About
InDesign
Result Windows Mac OS
Expand/Collapse element Right Arrow/Left Arrow Right Arrow/Left Arrow
Expand/Collapse element and child
elements
Alt+Right Arrow/Left Arrow Option+Right Arrow/Left Arrow
Extend XML selection up/down Shift+Up Arrow/Down Arrow Shift+Up Arrow/Down Arrow
Move XML selection up/down Up Arrow/Down Arrow Up Arrow/Down Arrow
Scroll structure pane up/down one screen Page Up/Page Down Page Up/Page Down
Select first/last XML node Home/End Home/End
Extend selection to first/last XML node Shift+Home/End Shift+Home/End
Go to previous/next validation error Ctrl+Left Arrow/Right Arrow Command+Left Arrow/Right Arrow
Automatically tag text frames and tables Ctrl+Alt+Shift+F7 Command+Option+Shift+F7
Result Windows Mac OS
Create index entry without dialog box Shift+Ctrl+Alt+[Shift+Command+Option+[
Open index entry dialog box Ctrl+U Command+U
Create proper name index entry (last name,
first name)
Shift+Ctrl+Alt+]Shift+Ctrl+Alt+]
Result Windows Mac OS

INDESIGN CS3
User Guide
643
See also
“Use keyboard shortcut sets” on page 25
Keys for panels
This table isn’t a complete list of keyboard shortcuts. It lists only those shortcuts that aren’t displayed in menu
commands or tool tips.
See also
“Use keyboard shortcut sets” on page 25
Keys for the Control panel
This table isn’t a complete list of keyboard shortcuts. It lists only those shortcuts that aren’t displayed in menu
commands or tool tips.
Result Windows Mac OS
Delete without confirmation Alt-click Delete icon Option-click Delete icon
Create item and set options Alt-click New button Option-click New button
Apply value and keep focus on option Shift+Enter Shift+Enter
Activate last-used option in last-used panel Ctrl+Alt+~ [tilde]Command+Option+~ [tilde]
Select range of styles, layers, links, swatches,
or library objects in a panel
Shift-click Shift-click
Select nonadjacent styles, layers, links,
swatches, or library objects in a panel
Ctrl-click Command-click
Apply value and select next value Tab Tab
Move focus to selected object, text, or
window
Esc Esc
Show/Hide all panels, Toolbox, and Control
panel (with no insertion point)
Tab Tab
Show/Hide all panels except the Toolbox
and Control panel (docked or not)
Shift+Tab Shift+Tab
Open or close all stashed panels Ctrl+Alt+Tab Command+Option+Tab
Stash a panel group Alt+drag any panel tab (in the group) to
edge of screen
Option+drag any panel tab (in the group) to
edge of window
Select item by name Alt+Ctrl-click in list, and then use keyboard
to select item by name
Option+Command-click in list and then use
keyboard to select item by name
Open the Drop Shadow panel Alt+Ctrl+M Command+Option+M

INDESIGN CS3
User Guide
644
See also
“Use keyboard shortcut sets” on page 25
Keys for the Character and Paragraph panels
This table isn’t a complete list of keyboard shortcuts. It lists only those shortcuts that aren’t displayed in menu
commands or tool tips.
See also
“Use keyboard shortcut sets” on page 25
Result Windows Mac OS
Toggle focus to/from Control panel Ctrl+6 Command+6
Toggle Character/Paragraph text attributes
mode
Ctrl+Alt+7 Command+Option+7
Change reference point when proxy has
focus
Any key on the numeric keypad or keyboard
numbers
Any key on the numeric keypad or keyboard
numbers
Display the pop-up menu that has focus Alt+Down Arrow
Open Units & Increments Preferences Alt-click Kerning icon Option-click Kerning icon
Open the Text Frame Options dialog box Alt-click Number Of Columns icon Option-click Number of Columns icon
Open the Move dialog box Alt-click X or Y icon Option-click X or Y icon
Open the Rotate dialog box Alt-click Angle icon Option-click Angle icon
Open the Scale dialog box Alt-click X or Y Scale icon Option-click X or Y Scale icon
Open the Shear dialog box Alt-click Shear icon Option-click Shear icon
Open Text Preferences Alt-click Superscript, Subscript, or Small
Caps button
Option-click Superscript, Subscript, or Small
Caps button
Open the Underline Options dialog box Alt-click Underline button Option-click Underline button
Open the Strikethrough Options dialog box Alt-click Strikethrough button Option-click Strikethrough button
Open the Grids Preferences Alt-click Align To Baseline Grid, or Do Not
Align To Baseline Grid button
Option-click Align To Baseline Grid, or Do
Not Align To Baseline Grid button
Open the Drop Caps & Nested Styles dialog
box
Alt-click Drop Cap Number Of Lines, or Drop
Cap One Or More Characters icon
Option-click Drop Cap Number Of Lines, or
Drop Cap One Or More Characters icon
Open the Justification dialog box Alt-click Leading icon Option-click Leading icon
Result Windows Mac OS
Open Justification dialog box Alt+Ctrl+Shift+J Option+Command+Shift+J
Open Paragraph Rules dialog box Alt+Ctrl+J Option+Command+J
Open Keep Options dialog box Alt+Ctrl+K Option+Command+K
Activate Character panel Ctrl+T Command+T
Activate Paragraph panel Ctrl+Alt+T Command+Option+T

INDESIGN CS3
User Guide
645
Keys for the character and paragraph styles
This table isn’t a complete list of keyboard shortcuts. It lists only those shortcuts that aren’t displayed in menu
commands or tool tips.
See also
“Use keyboard shortcut sets” on page 25
Keys for the Tabs panel
This table isn’t a complete list of keyboard shortcuts. It lists only those shortcuts that aren’t displayed in menu
commands or tool tips.
See also
“Use keyboard shortcut sets” on page 25
Keys for the Layers panel
This table isn’t a complete list of keyboard shortcuts. It lists only those shortcuts that aren’t displayed in menu
commands or tool tips.
See also
“Use keyboard shortcut sets” on page 25
Result Windows Mac OS
Make character style definition match text Select text and press Shift+Alt+Ctrl+C Select text and press
Shift+Option+Command+C
Make paragraph style definition match text Select text and press Shift+Alt+Ctrl+R Select text and press
Shift+Option+Command+R
Change options without applying style Shift+Alt+Ctrl-double-click style Shift+Option+Command-double-click style
Remove style and local formatting Alt-click paragraph style name Option-click paragraph style name
Clear overrides from paragraph style Alt+Shift-click paragraph style name Option+Shift-click paragraph style name
Show/hide Paragraph and Character Styles
panels, respectively
F11, Shift+F11 Command+F11, Command+Shift+F11
Result Windows Mac OS
Activate Tabs panel Shift+Ctrl+T Shift+Command+T
Switch between alignment options Alt-click tab Option-click tab
Result Windows Mac OS
Select all objects on layer Alt-click layer Option-click layer
Copy selection to new layer Alt-drag small square to new layer Option-drag small square to new layer

INDESIGN CS3
User Guide
646
Keys for the Pages panel
This table isn’t a complete list of keyboard shortcuts. It lists only those shortcuts that aren’t displayed in menu
commands or tool tips.
See also
“Use keyboard shortcut sets” on page 25
Keys for the Links panel
This table isn’t a complete list of keyboard shortcuts. It lists only those shortcuts that aren’t displayed in menu
commands or tool tips.
See also
“Use keyboard shortcut sets” on page 25
Keys for the Color panel
This table isn’t a complete list of keyboard shortcuts. It lists only those shortcuts that aren’t displayed in menu
commands or tool tips.
See also
“Use keyboard shortcut sets” on page 25
Result Windows Mac OS
Apply master to selected page Alt-click master Option-click master
Base another master page on selected
master
Alt-click the master you want to base the
selected master on
Option-click the master you want to base
the selected master on
Create master page Ctrl-click Create New Page button Command-click Create New Page button
Display Insert Pages dialog box Alt-click New Page button Option-click New Page button
Add new page after last page Shift+Ctrl+P Shift+Command+P
Result Windows Mac OS
Go to the linked item Alt-double-click link file name Option-double-click link file name
Select all file names Ctrl-double-click link file name Command-double-click link file name
Result Windows Mac OS
Move color sliders in tandem Shift-drag slider Shift-drag slider
Select a color for the nonactive fill or stroke Alt-click color bar Option-click color bar
Switch between color modes (CMYK, RGB,
LAB)
Shift-click color bar Shift-click color bar

INDESIGN CS3
User Guide
647
Keys for using the Separations Preview panel
This table isn’t a complete list of keyboard shortcuts. It lists only those shortcuts that aren’t displayed in menu
commands or tool tips.
See also
“Use keyboard shortcut sets” on page 25
Keys for the Swatches panel
This table isn’t a complete list of keyboard shortcuts. It lists only those shortcuts that aren’t displayed in menu
commands or tool tips.
See also
“Use keyboard shortcut sets” on page 25
Keys for the Transform panel
This table isn’t a complete list of keyboard shortcuts. It lists only those shortcuts that aren’t displayed in menu
commands or tool tips.
Result Windows Action Mac OS Action
Turn on Overprint preview Ctrl+Alt+Shift+Y Command+Option+Shift+Y
Show all plates Ctrl+Alt+Shift+~ [tilde]Command+Option+Shift+~ [tilde]
Show Cyan plate Ctrl+Alt+Shift+1 Command+Option+Shift+1
Show Magenta plate Ctrl+Alt+Shift+2 Command+Option+Shift+2
Show Yellow plate Ctrl+Alt+Shift+3 Command+Option+Shift+3
Show Black plate Ctrl+Alt+Shift+4 Command+Option+Shift+4
Show 1st Spot plate Ctrl+Alt+Shift+5 Command+Option+Shift+5
Show 2nd Spot plate Ctrl+Alt+Shift+6 Command+Option+Shift+6
Show 3rd Spot plate Ctrl+Alt+Shift+7 Command+Option+Shift+7
Result Windows Mac OS
Create new swatch based on the current
swatch
Alt-click New Swatch button Option-click New Swatch button
Create spot color swatch based on the
current swatch
Alt+Ctrl-click New Swatch button Option+Command-click New Swatch
button
Change options without applying swatch Shift+Alt+Ctrl-double-click swatch Shift+Option+Command-double-click
swatch
Result Windows Mac OS
Apply value and copy object Alt+Enter Option+Enter
Apply width, height, or scale value propor-
tionally
Ctrl+Enter Command+Enter

INDESIGN CS3
User Guide
648
See also
“Use keyboard shortcut sets” on page 25
Keys for resolving conflicts between Mac OS 10.3x and 10.4
This table isn’t a complete list of keyboard shortcuts. It lists only those shortcuts that aren’t displayed in menu
commands or tool tips.
See also
“Use keyboard shortcut sets” on page 25
Result Mac OS
Open Preferences dialog box Command+K
Open Paragraph Styles panel Command+F11
Open Character Styles panel Command+Shift+F11
Open Swatches panel F5
Open Pages panel Command+F12
Minimize active application window Command+M
Hide application Command+H

649
Index
A
accessibility
of Help 4
Acrobat. See Adobe Acrobat
activation of software 1
Adobe Acrobat
See also PDF files
comparing versions 478
presets for exporting to 475
structure tags 491
Adobe Bridge
about 93
Adobe Stock Photos and 334
Creative Suite color settings 439,
441
metadata in 98
Adobe Design Center 9
Adobe Help 2
Adobe Illustrator
creating layered PDF images 330
metadata in 97
pasting graphics into InDesign 330
working with images from 329
Adobe InCopy
See also InCopy content
InCopy LiveEdit Workflow plug-
ins 602
integrating with Adobe
InDesign 602
techniques for working in 602
updating content in 620
updating page layout 621
Adobe InDesign
converting 1.x/2.0 documents 93
exporting content to InCopy 609
integrating with Adobe
InCopy 602
metadata in 97
workflow issues 90
Adobe PageMaker
conversion issues 101
converting publications 92, 100
keyboard shortcuts 25
menu equivalents 627, 628, 629,
630, 631, 632, 633
Adobe Paragraph Composer 247
Adobe PDF conversion settings 475
Adobe Photoshop
See also PSD files
clipping images 389
controlling layers on import 343
import options for images 340, 341
importing PSD files 331
metadata in 97
trapping images 462
Adobe RGB color space 456
Adobe Single-Line Composer 247
Adobe Stock Photos 334
Adobe Version Cue
about 94
accessing commands in status
bar 21
Adobe Video Workshop 5
AI files
creating layered PDF 330
importing colors from 436
pasting 330
AI files. See Adobe Illustrator files
Align panel 378
aligning
characters on optical margin 226
multiple objects 379
paragraphs to baseline grid 227
text 227
text vertically in a frame 229
all caps. See case
alpha channels
See also clipping paths
cropping images 389
importing from Photoshop 331
wrapping text around 196
alternate glyphs
displaying 149
inserting 149
OpenType fonts 208
anchor points
about 298
adding or deleting 311
moving and nudging 310, 311
rules for adjusting 309
selecting 309
showing and hiding 300
types of 300
anchored objects
above line options 188
adding to type on a path 199, 203
creating 187
placeholders for 187
positioning 187, 191, 193, 194
releasing 194
resizing 194
selecting and copying 193
text outlines as 326
text wrap and 198
viewing anchors 193
anti-aliasing 34
arranging objects in stack 363
arrowheads 318
ASE files
saving for color exchange 423
Asian text
entering 115
Assign Profile command 453
assignment package files
canceling 616
creating 615
receiving 616
receiving return 617
updating 616
assignments
See also package files
about 611
creating 611
deleting 623
moving content between 623
opening 617
relinking missing 624
updating 619
updating layout design 621
Assignments panel 610
audio files. See sound clips
Autocorrect spell-checking 154

INDEX 650
B
banding. See gradients
base (nonemulsion side) 586
baseline grid
about aligning to 227
aligning paragraphs to 227
aligning table text to 263
for text frames 128
setting up 50
bevel and emboss effect 396
bitmap files 335
See also bitmap graphics
bitmap graphics
embedding and linking 349
import options for 340
bitmap images
about 328
print quality of 585
publishing online 329
trapping 462
black point compensation 458
bleed area
about 550
printing 551
blending modes
and object groups 402
blend space color 403, 410
knockout (block out) groups 403
options 401
spot colors and 410
blends. See gradients
boilerplates. See templates, master
pages, presets
book files
about 274
converting from previous
versions 277
creating 274
exporting to PDF 279
managing 275
numbering pages in 79, 277
printing 279, 542
synchronizing documents in 275
book list. See book files
Book panel 275
booklets. See print booklets
bookmarks
creating 498
managing 498
bounding boxes
cropping to 342
defined 358
selecting 359
wrapping text around 195
breaks 129
Bridge Home 8
Bridge. See Adobe Bridge
brightness
adjusting in Illustrator 16
browser-safe colors. See web-safe
colors
built-in trapping, disk space
requirements 463
bulleted lists
See also numbered lists
about 237
converting to text 246
creating 237
defining 241
editing bullet characters 239
formatting 238
multi-level 243
paragraph styles for 243
removing bullets 240
removing from paragraph
styles 172
Button tool 504
buttons
as hyperlinks 509
behaviors (triggers) 508
converting objects to 504
converting to objects 505
creating 503
event types 508
making interactive 507
rollover effects 506
states 505
tab order of 509
C
CALS tables, importing 524
cap styles, in strokes 317
capitalization. See case
case
all caps 219
changing 219
size of small caps 220
small caps 219
cell styles
about 268
applying 271
basing on other styles 271
breaking link with text 273
creating 270
deleting 272
editing 271
overriding formatting 272
redefining 272
Cell Styles panel 269
cells
See also cell styles
about 252
adding strokes and fills 265
cutting, copying and pasting 260
inset spacing 262
merging and splitting 263
overset text and images 264
rotating text in 263
tab spaces in 263
center point 299
channels. See alpha channels
chapter numbering
inserting chapter number 80
restarting 81
character counts
in stories 114
character formatting. See formatting
characters
character spacing
kerning 212
character styles
about 165
applying 169
basing on other styles 167
breaking link with text 172
converting bullets and numbering
to text 172
deleting 171
duplicating 183
editing 170
finding and changing 173
grouping 184
importing from another
document 167
importing from Word 168
locating with Quick Apply 183
nested 174
overriding formatting 171

INDEX 651
redefining 170
sorting 185
Character Styles panel 165
checking in InCopy content 621
checking out InCopy content 618
checking spelling. See spell-checking
choking. See trapping
clipping paths
See also alpha channels
converting to frames 391
converting to graphic frames 388
creating 388
creating automatically 389
cropping images 389
importing from Photoshop 340
Close Path command in
InDesign 305, 306, 307
closed paths
about 298
creating with Pen tool 307
creating, with Pencil tool 302
CMS. See color matching systems
CMYK
blending spaces 403
and Lab 585
in alpha channels 389
CMYK spot colors 413
color blending. See blending modes
color gamuts 437
color libraries 425
color management
See also color profiles, color
settings
about 437, 438, 439
color settings reference 455
considerations for importing
images 443, 444
considerations for printing
documents 448
considerations for process and
spot colors 442
creating a viewing
environment 439
for online graphics 445
for PDFs 445, 449
setting up 440
soft-proofing colors 446, 447
synchronizing color settings 441
color matching systems 425
color model working space 453
Color Picker 415
color profiles
about 450
assigning and removing 453
assigning and removing from
documents 453
converting 454
for desktop printers 448
for imported images 443, 444
for monitors 451, 452
installing 452
warning messages for 456
color separations
about 574
adjusting ink density values 470
checking 587
dot gain control 469
gradients and 576
handing off to service provider 588
preparing for 575
previewing 581
previewing ink coverage 582
previewing separation plates 581
problems with spot colors and
transparent artwork 413
proofing 587
registration color 576
color settings
See also color management
color conversions 458
color management policies 456
customizing 455
for Adobe applications 441
presets for 455
rendering intents 458
synchronizing with other
applications 441
working spaces 455
colors
See also color libraries, swatches,
tints, color separations
See also color management, color
model
applying 415, 416, 417
applying to text 217
changing spot to process 436
comparing in InDesign and
Illustrator 414
copying from other document 425
creating new swatch 418, 420
cycling through modes 418
importing 424
mixing in Color panel 417
mixing spot and process inks 414,
433
naming 422
print options 554
printing 557
removing 416
sampling 435
saving for file exchange 423
spot 413
tints 426, 427
web-safe 110
column guides. See guides
columns
breaking 130
See also tables, editing
size and number of 43
unequal widths 43
Command bar 23
composite fonts
previewing in Font menu 208
composites
printing 542
composition
about 246
choosing method 247
methods of 247
preferences 247
compound paths
See also text outlines
about 321
breaking up 323
changing holes to fills 323
creating 322
guidelines for 322
printing problems 322
removing holes 323
transparency and 322
compound shapes
creating 324
fill and stroke attributes 324
releasing paths in 325
text outlines and 326
compression
PDF output 481
connecting text frames. See threaded
text frames

INDEX 652
context menus 23
continued on page. See jump lines
Control panel
about 22
keyboard shortcuts for 643
conversion settings
presets 475
Convert Direction Point tool 312
Convert To Profile command 454
converting
Adobe InDesign 1.x/2.0 files 93
Adobe PageMaker documents 100
clipping paths to frames 391
QuarkXPress documents 92
QuarkXPress files 98
shapes 302
converting smooth points to corner
points 308
copying
See also pasting
layers 73
master pages 64
objects 382
pages and spreads 61
corner options 321
corner points 312
creative effects. See transparency
effects
Crop tool. See Position tool
cropping
See also clipping paths
objects 387
with paths or alpha channels 389
cross-media export
XHTML / Digital Editions 108
XHTML / Dreamweaver 106
curly quotes. See quotation marks
curves
and anchor points 312
drawing, with Pen tool 305, 307
reshaping 298, 309, 310
customizing
application settings 37
keyboard shortcuts 25
menus 24
D
dashed lines. See strokes
data merge
basics of 593
content placement options 599,
601
data source file 592, 597
data source file types 594
fields 592, 596
image fields 594, 596
master page placeholders in 597
merging limitations 600
merging records 599
overset text and 600
placeholders 598
previewing records 598
records in 592
selecting source files 595
target document 592, 595
updating data fields 600
data recovery 38
data source file 592
DCS files 336
default workspace
restoring 15
defaults, changing and restoring 37
Design Center 9
Desktop Color Separations files. See
DCS files
desktop printers, color profiles
for 448
detaching objects from master
pages 67
dictionaries
adding words to 158
choosing default 157
creating and adding 156
editing 158
importing word lists 159
preferences 159
removing and relinking 157
workgroups and 160
Digital Editions, exporting to 108
digital masters 472, 487
Direct Selection tool 309, 358
activating temporarily 309
selecting with 309
direction lines and points
about 298, 300
moving 310
showing and hiding 300
directional feather effect 397
Disable Auto Add/Delete
command 312
display performance 347
distributing
assignment package files 615
objects 379
dithering 107, 109
DOCTYPE. See DTD files
document grid
setting up 51
snapping objects to 52, 56
document presets 44
document profiles. See color profiles
document window
about 41
documents
See also book files
adding pages 59
controlling display
performance 347
creating 40
creating from preset 45
opening and closing 91
previewing before print 548
printing 542
recovering 38
saving 95
setting up 40, 42
specifying language for 160
starting with two-page spread 58
dot gain, compensating for 469
double-byte fonts 486
downloads 10
updates, plug-ins, and tryouts 10
downsampling, PDF files 481
drag and drop text 116
drawing
See also Smooth tool, Pen tool,
Pencil tool, Erase tool
See also Smooth tool, Pen tool,
Pencil tool, Eraser tool
basic lines and shapes 301
paths, with Pen tool 304, 305, 307
paths, with Pencil tool 302

INDEX 653
placeholder shapes 301
polygons 301
drawing tools
creating paths 298
gallery 29
drop caps
applying styles to 173
creating 223
removing 223
ways of creating 173
drop shadow effect 396
DTD files
about 512
deleting 537
validing XML with 536
viewing 536
E
Edit In Story Editor command 130
Edit Original command 353
Effects panel 392
effects. See transparency effects
Ellipse Frame tool 301
Ellipse tool 301
ellipsis 152
em dash 152
em space 152
embedding
embedded vs. linked files 349
fonts in PDFs 486
graphics 351
unembedding 351
EMF files
about 337
flattening 404
emulsion options 586, 587
en dash 152
en space 152
Encapsulated PostScript files. See EPS
files
endpoints
connecting 311
of paths 298
EPS files
about 335, 564
cropping 389
export options 568
exporting 567
import options for 340
importing colors from 436
OPI information 352
problems with spot colors and
transparent artwork 413
events, button 507
exporting
content as JPEG file 104
content as XHTML 105
content for display on web 105
content to GoLive 109
InDesign content to InCopy 609
plug-in modules 592
SVG files 103
text from stories 102
to PDF file. See PDF files,
exporting
to XHTML / Digital Editions 108
XML content 105
Extensible Metadata Platform
(XMP) 97
Extras 7
Eyedropper tool
copying fill and stroke
attributes 419
copying options 206
for copying type attributes 205
handling colors 418, 419
sampling colors with 435
F
facing pages. See spreads
fields, in data merges 592
File Info command 351
file types
AI 329
APLN 591
INCA 609
INCD 614
INCP 615
INCX 609, 613
INDB 274
INDD 91, 617
INDL 91
INDP 615
INDT 91
JOBOPTIONS (PDF presets) 476
PDF 330
PSD 331
RPLN 591
fills
applying color to 417
in tables 264
overprinting 578
film negatives 586
finding and changing
about 132
fonts 145
formatting attributes 134
glyphs 144
GREP expressions 136
metacharacters for 140
object attributes 144
options for 135
queries 146
styles 173
text 133
tips and techniques for 135
first line indents 231
fitting
content to frames 384
frames to text 113
setting placeholder options 385
flattening
about 404
best practices 410
flattener presets 405
ignoring presets 406
individual spreads 406
presets for 404
presets, creating and editing 405
presets, exporting and
importing 406
presets, working with 406
preview refresh 409
previewing 409
flipping objects 375
flowing text. See threaded text frames
or text wrap
font installation 2
fonts
See also OpenType fonts,
composite fonts
applying to text 207
correcting errors at preflight 562
downloading to printer 556
embedding and substitution,
PDFs 486
finding and changing 145
font families 206

INDEX 654
in PDFs 486
installing 206
multiple master 211
OpenType 208
previewing 207
substituting missing fonts 210
footers. See headers and footers
footnotes
creating 161
deleting 163
layout options 163
numbering and format
options 162
tips for using 164
formatting characters
baseline shift 215
superscript and subscript 216
underline 216
underline and strikethrough
options 216
formatting methods 204
fountains. See gradients
frame grids
See also text frames
frames
about 75
adding borders to 316
aligning tables in 255
as placeholders 76
corner effects 321
creating for drawings 301
fitting to content 113
moving independently from
objects 386
nesting objects in 383
removing content 384
selecting 358
showing and hiding 76
splitting 313
using as border or background 387
using to crop and mask 387
front matter, numbering 79
G
gamuts 437
General preferences
Disable Auto Add/Delete 311, 312
GIF file format
trapping 462
GIF files
See also bitmap graphics
about 335
global light effect 399
glyph sets
creating and editing 150
deleting 151
saving and loading 151
viewing 151
glyphs
alternate in text 150
deleting from glyph set 151
displaying OpenType
attributes 149
finding and changing 144
in OpenType fonts 208
inserting 148
inserting alternate glyph 149
scaling 250
spacing of 250
Glyphs panel 147
GoLive. See Adobe GoLive
gradient feather effect 398
Gradient Feather tool 430
Gradient panel 429, 430
Gradient Swatch tool 430
gradients
applying 417, 431, 432, 433
applying to text 217
color separations and 576
creating in Gradient panel 430
creating swatch 428
feathering 430
modifying 430
multicolor 430
printing 559
removing intermediate color 431
reversing colors 431
in tables 266
Graphic Arts Technical Foundation
of North America (GATF) 470
graphics
choosing formats 327
controlling display
performance 347
embedding 351
formats supported by
InDesign 334
import options for 340
importing 337, 345
importing multiple 339
linked vs. embedded 349
methods of importing 337
object libraries and 354
optimizing when printing 555
placeholders for 76
transforming 383
wrapping text around 196
graphics frames. See frames
greeking text 35
GREP search 136
grids
showing and hiding 52
snapping objects to 56
grouping objects 381
guides
See also grids, ruler guides
customizing 42
showing and hiding 54
H
hair space 152
halftone screens
specifying 585
halftones 559
handing off files
correcting font errors 562
packaging 563
preflight check 562
repairing links and images 563
hanging indents 231
hard proof 558
headers and footers
creating 82
in tables 256
text variables in 88
headlines, balancing 228
Help
about 2
hidden characters 129
High Quality Print, PDF preset 475
holdback (trapping) 467, 469
href attribute (XML) 534
HTML
exporting content as 105
hyperlinks
about 494
buttons as 509
creating 495

INDEX 655
editing and deleting 497
finding in documents 498
showing and hiding 496
to document pages 496
to places in documents 497
hyphenating
manual and automatic 248
options for automatic 249
preventing words from 249
I
ICC profiles
See also color profiles
icons
panels as 20
Illustrator. See Adobe Illustrator
image exposure, specifying 587
images, trapping 462
images. See graphics
imagesetting
bitmap graphics and 329
halftone screens 585
importing
See also text importing
clipping paths 340
colors 424, 436
dictionary word lists 159
graphics 337
InCopy content 625
InDesign pages 333
multiple files 339
objects from object libraries 356
objects styles 182
paragraph and character styles 167
PDF files 332
plug-in modules 592
swatches 424
tables 253
text files 117
text variables 89
toc settings 282
trap presets 465
Word styles 168
XML 515
importing master pages 68
InCopy content
checking in 621
checking out and in 618
discarding changes 624
exporting 614
exporting to InDesign 613
locking 605
locking files 625
placing in Adobe InDesign 625
saving in InCopy 623
saving in InDesign 622
tracking changes to 626
undo updating 621
unlinking 625
updating 619
updating in InDesign 620
INDB files. See book files
INDD files. See documents
Indent To Here special character 232,
233
indents
See also tabs
about 230
first line 231
hanging 231
last line right indents 232
setting 231
InDesign files, opening in
InCopy 613, 617
InDesign. See Adobe InDesign
index entries
automatic 291
capitalizing 295
creating 288
editing 288, 291
expanding or collapsing 287
finding 296
keyboard shortcuts for 642
shortcuts for creating 290
with cross-references 292
with page ranges 289, 291
Index panel 286, 287
indexes
about 285
creating 286, 287
editing 295
formatting options 294
generating 293
page range options 291
previewing 287
sort order 295
topic lists 287, 296
INDL files. See object libraries
INDT files. See templates
Info panel
about 49
measuring objects with 48
Ink Manager 583
ink sequence (trapping order) 471
inks
See also mixed inks
aliasing 584
converting all inks to mixed ink
group 435
mixing spot and process 433
printing one at a time 584
screen angle and frequency 585,
586
specialty 470
inline objects. See anchored objects
inner glow effect 396
inner shadow effect 396
input device profiles 450, 452
INST files. See stroke styles
installing
plug-in modules 591
International Color Consortium
(ICC) 439
island spread. See spreads
isolating blending modes 402
J
JPEG files 335
See also bitmap graphics
trapping 462
jump lines 84
justified text, adjusting spacing 250
justifying text 227
K
keepaway traps 469
kerning
about 212
applying to text 214
between words 215
changing increment value 214
highlighting in text 215
turning off 214
keyboard shortcuts
about 634
changing active set 25
creating set 25
customizing 25

INDEX 656
for character and paragaraph
styles 645
for character and paragraph
panels 644
for Color panel 646
for Control panel 643
for finding and changing text 638
for indexing 642
for Layers panel 645
for Links panel 646
for Mac OS version conflicts 648
for navigating 640
for Pages panel 646
for panels 643
for paths and frames 637
for selecting and moving 635
for Separations Preview panel 647
for Swatches panel 647
for tables 637
for Tabs panel 645
for tools 634
for Transform panel 647
for transforming objects 636
for viewing documents 641
for working with type 638
for XML 642
in Help 4
list of 25
viewing 25
keylines. See strokes
knockouts
colors 460
preventing 577
L
Lab spot colors 584, 585
languages
assigning to text 219
specifying for documents 160
Lasso tool
selecting anchor points with 309
selecting with 309
layers
adding objects 71
changing color of 71
creating 70
deleting 74
duplicating 73
locking and unlocking 74
master pages and 69
merging or flattening 74
moving and copying objects to 72
options for setup 70
pasting objects to 72
preserving in Adobe Acrobat 480
printing 547
printing and 74
rearranging 73
ruler guides and 55
showing and hiding 73
layout adjustment 77, 78
leading
about 211
changing 212
default percentage 212
letter spacing 250
ligatures, applying to letter pairs 217
line spacing. See leading
line styles. See strokes
Line tool 301
line weight. See strokes
lines
adding to, with Pencil tool 303
adjusting angle and length 310
breaking 130
connecting, with Pencil tool 303
drawing, with Pen tool 304, 305,
307
drawing, with Pencil tool 302
moving 310
reshaping 298, 303, 309
rules above paragraphs 223
See also strokes; rules
linked files
color management
considerations 443
editing original file 353
links
linked vs. embedded files 349
replacing using Place
command 353
replacing with new source file 352
restoring 352
restoring all missing 353
updating 352
viewing link information 350
viewing metadata 351
Links panel 349
lists
See also bulleted lists, numbered
lists
defining for bullets and
numbers 241
of figures and tables 278
table of contents 279
LiveDocs 2
lock files, deleting 621
locking
InCopy content 605
layers 74
objects 382
ruler guides 55
long documents. See book files
loose lines, highlighting 251
lowercase. See case
M
Mac OS
keys for resolving version
conflicts 648
macros. See scripting
managed files
about 602
best practices 606
opening in InCopy 619
using 605
margin guides. See guides
margins
pages 43
text frames 127
markers
about 297
page number 79
selecting 297
masking
changing frame shape 388
objects 387
master page items
overriding and detaching 67
overriding master items 66
preventing overrides 68
master pages
See also master page items
about 62
adding text frames to 113
altering layout of 66
applying to pages and spreads 65
basing on other master 64

INDEX 657
copying 64
creating 63
deleting 66
editing 66
importing from other
documents 68
in data merges 600
keyboard shortcuts for 646
layers and 69
margin and column settings 43
reapplying 68
synchronizing in books 276
viewing 57
match print. See hard proof
Measure tool 48
menus, customizing 24
merging. See data merge
metadata
about 97
in documents 95
saving as template or XML file 98
viewing 351
metallic inks, trapping 470
Microsoft Excel
importing as table 253
Microsoft Word
importing styles 168
importing tables from 253
missing fonts 210
mixed inks 433
mixed ink group 434, 435
swatches and 433, 434, 435
mobile devices, preparing documents
for 491
monitor profiles 450, 451, 452
movies
about 499
adding 500
exporting to PDF 503
linking to web 500
options for 501
poster options for 502
resizing frames 502
moving
drag and drop text 116
layers 72
objects 371
pages 61
Multiple Master fonts 208, 211, 486
N
navigation shortcuts, in Adobe
Help 4
navigation tools 30
Navigator panel 32
ND. See neutral density
negatives
printing 586
nested objects
about 361
reference point 365
nested styles
about 174
creating 175
ending 177
options for 176
removing formatting 177
neutral density
adjusting 470
Black Density and 468
measuring 470
nonbreaking hyphens 249
nonbreaking spaces 152, 249
nonprinting characters. See hidden
characters
notification tools 30
nudging anchor points and path
segments 311
numbered lists
about 237
converting to text 246
creating 237
defining 241
formatting 238
multi-level 243
number styles 240
paragraph styles for 243
removing from paragraph
styles 172
restarting and continuing 245
running captions for 245
numbering pages. See page numbers
O
object libraries
about 354
adding objects from 356
adding objects to 355
creating new 355
finding objects in 357
managing 356
opening and closing 355
Object Library panel 354
object styles
about 177
applying 179
breaking link to object 182
categories of 179
creating 178
default 180
deleting 181
editing 181
importing 182
overriding formatting 180
redefining 182
renaming 181
Object Styles panel 178
objects
See also transforming objects
adding to library 355
aligning and distributing 379
anchored 186
and document grid 52
arranging in stack 363
automatic adjustment for new
layout 77
combining 324
deselecting 361
duplicating 382
duplicating to create series 383
finding and changing 144
fitting in frames 384
fitting options 385
flipping 375
grouping and ungrouping 381
keyboard shortcuts for
transforming 636
layers and 71
locking and unlocking 382
moving 371
moving independently of
frames 386
nesting into frames 383
onscreen only 383
printing 543
removing from frames 384
resizing 373
rotating 370
scaling 373
selecting 358

INDEX 658
selecting in frames 361
selecting nested (overlapping) 361
setting opacity 399
shearing 376
snapping to guides and document
grid 56
techniques for selecting 358
viewing geometric
information 364
wrapping text around 195
online resources 7
opacity
about 392
setting for objects 399
opaque inks, trapping 470
open passwords, in PDFs 484
open paths
about 298
creating, with Pen tool 307
creating, with Pencil tool 302
opening
documents and templates 91
PageMaker documents 100
QuarkXPress files 98
OpenType fonts
about 208
applying attributes 209
installing 208
previewing 207
OPI (Open Prepress Interface),
trapping 462
orphans 225
output device profiles 448, 450, 452
overprinting 460
See also trapping
about 577
black objects 580
footnote rules 580
guidelines for 578
paragraph rules 579
previewing effects of 581
strokes or fills 578
overriding
default ruler units 47
master page items 66, 67
object styles 180
paragraph and character styles 171
table and cell styles 272
overset text
about 122
in tables 264
Oversized Pages, PDF preset 475
P
packaging files. See handing off files
or assignment package files
page guides. See ruler guides
page layout
See also master pages
margins and columns 43
saving settings as a preset 44
page numbers
absolute vs. section 84
chapter numbers in 80
formatting 79
in books 277
in indexes 288
in jump lines 84
in sections 80, 81
in tables of contents 279
number display of 83
options for 81
page size
creating custom 44
page spread. See spreads
PageMaker toolbar. See Command
bar
PageMaker. See Adobe PageMaker
pages
adding to document 59
applying masters 65
breaking 130
controlling layers on import 343
copying 61
copying between documents 333
deleting 60
duplicating 59
exporting as JPEG 104
exporting as SVG file 103
going to different page 33
moving 61
object libraries and 354
options for copying 343
rearranging 59
scrolling 33
selecting and targeting 58
viewing 57
Pages panel
page display 57
page number display 84
paginating. See page numbers
palettes
See also panels
about 15
panel menu, displaying 16
panels
See also palettes
about 15
collapsing to icons 20
docking 17
grouping 18
moving 18
showing and hiding 16
stacking 19
paragraph styles
about 165
applying 169
applying to multiple
paragraphs 169
basing on other styles 167
breaking link with text 172
clearing overrides 172
converting bullets and numbering
to text 172
deleting 171
duplicating 183
editing 170
finding and changing 173
grouping 184
importing from other
documents 167
importing from Word 168
for lists 243
locating with Quick Apply 183
overriding formatting 171
redefining 170
sorting 185
table of contents and 281
Paragraph Styles panel 165
paragraphs
aligning to baseline grid 227
balancing 228
breaking 130
controling breaks 225
keeping on same page 225
right-indenting last line 232
rules between 223

INDEX 659
spacing between 222
word and letter spacing 250
passwords, in PDFs 484
pasteboard
customizing 42
fitting in window 32
pastel inks, trapping 470
pasting
adjusting spacing
automatically 116
frames within frames 383
Illustrator graphics 330
in place 371
text 116
without formatting 116
path segments
nudging 311
Pathfinder panel 324, 325
paths
See also anchor points, lines,
shapes, clipping paths
about 75, 298
adding to 303
adjusting angle and length 310
anchor points in 312
changing shape of 302
closing 305, 306, 307
combining 311
connecting 303, 311
converting text characters to 325
copying 309
copying segment of 309
curved segments 299, 307
deleting 310
direction lines and points on 300
drawing, with Pen tool 304, 305,
307
drawing, with Pencil tool 302
editing 314
leaving open 307
moving 310
reshaping 298, 303, 309, 310
selecting 309, 360
smoothing 314
splitting and joining 313
straight segments 299, 307
types of 298
PCX file format 462
PCX files 337
PDF conversion settings 475
PDF files
and flattening 411
controlling layers on import 343
creating 473
distributing 486
handing off to service provider 488
importing colors from 436
marks and bleeds 482
placing pages from 332
preparing for printing 487, 489
saving, with layers 480
security options for 485
PDF files, exporting
about 473
advanced options 484
buttons 503
compliance with PDF/X
standard 478
compressing and
downsampling 481
general options 479
grouping page items 494
media files and 503
output options 482
preserving layers in 480
reducing file size 474
standard and compatibility
options 478
tagged content 491
PDF files, tagging
about 489
alternate text for graphics 493
for repurposing content 491
for reuse and accessibility 490
page items 492
PDF presets
about 475
creating 475
customizing 476
loading and converting 477
PDF version capabilities 478
PDF/X-compliant files
about 478
color management
considerations 449
PDFs
color management
considerations 445, 449
compatibility levels 478
exporting 472
security 484
transparency in 404
Pen tool
drawing curves 305, 308
drawing curves and lines 307
drawing straight lines 304
override automatic switching 312
overriding switching 311
Pencil tool
about 302
adding to paths 303
connecting paths 303
drawing with 302
options for 304
reshaping paths 303
permissions passwords
in PDFs 484
Photoshop. See Adobe Photoshop
PICT files 462
about 336
flattening 404
pixels
about 328
placeholder shapes 301
placeholder text 115
placeholders
See also frames, master pages
printing graphics as 555
reassigning 77
using frames as 76
placing. See importing
PLN files. See plug-in modules
plug-in modules
configuring 591
importing and exporting 592
installing 591
plug-ins 7
in Adobe Store 10
PNG files
about 337
import options for 341
trapping 462
point size 207
points on a path
types of 299
Polygon Frame tool 301
Polygon tool 301
Position tool 315
posters (media files) 499, 502

INDEX 660
PostScript files
about 564
creating 567
types of 564
PostScript printers
drivers for 549
PPD files
about 550
preferences
about 36
composition 247
dictionaries 159
display performance 348
document previews 97
guides and pasteboard 42
measurement units 45
moving objects 372
rulers 48
setting general 36
spell checking 153
story editor 132
text wrap 199
toolbox layout 28
transparency 400
preflighting
checking files 562
correcting font errors 562
images and links 563
prepress
PDF files 489
preflight check 562
prepress, Ink Manager options 583
presets
for converting files 475
document 44
flattening 404
in InDesign 37
PDF export 475
printer 560
transparency flattener 405, 407
Press Quality, PDF presets 475
previewing
bleed and slug areas 551
color separations 575, 581
colors. See soft-proofing
data merge records 598
documents 548
documents before printing 548
indexes 287
overprinting 581
print booklets 573
templates 96
previews, including in saved
documents 96
print booklets
controlling creep 573
creating 569
previewing 573
setup options 572
types of 570
printer drivers
about 549
specifying settings 549
printer styles 560
printer’s marks
printing options 551
specifying 550
printers
drivers 549
fonts and 556
selecting PPD file for 550
setting up 549
printing
See also printers, print booklets
about 541
as bitmap 547
book files 279
color blends 559
color management 557
color management
considerations 448
color options 554
composites 576
documents 542
gradients 559
graphics 555
halftones 559
hard proof 558
layers 547
negatives 586
objects 543
omitting graphics 557
on cut-sheet media 552
options for 542
oversized documents 553, 554
page orientation 545
page size 545
paper size and 544
PostScript options 556
preflight check 562
previewing 548
specifying pages 544
thumbnails 552
tiling 553
to non-PostScript language
printers 547
transparent artwork 404
process colors
See also color matching systems
about 413, 414
color management
considerations 442
printing 574
spot color equivalents 576
tips for using 414
using with spot colors 414
vs. spot colors 575
proof print. See hard proof
Proof Setup command 446
PS files. See PostScript files
PSD files
clipping 389
controlling layers on import 343
import options for 340, 341
importing 331
importing colors from 436
PSET files. See plug-in modules
publications. See documents
Q
QuarkXPress
converting documents 92, 98
Desktop Color Separations
(DCS) 336
keyboard shortcuts 634
quotation marks 152
R
raster images. See bitmap images
read me file 2
records, in data merges 592
recovering data 38
Rectangle Frame tool 301
Rectangle tool 301
reference point 364
reflecting. See flipping objects
registration
color 576

INDEX 661
registration of software 1
rendering intents 458
requirements, system 1
resizing
See also scaling
glyphs 248
objects and frames 373
RGB color space, Adobe 455
Rich Content PDF setting 476
RIPs (raster image processors)
in-RIP separations 588
printing color management 574
rotating
See also flipping
objects 370
rounded corners 321
rows. See tables, editing
RPLN files. See plug-in modules
ruler guides
creating 52
customizing 55
deleting 55
locking and unlocking 55
positioning 55
selecting 54
showing and hiding 54
stacking order 56
rulers
changing measurement units 46
changing zero point 47
configuring 45
overriding default units 47
preferences 48
showing and hiding 45
rules
lines above paragraphs 223
XML rule sets 512
runaround text. See text wrap
running list 243
S
satin effect 397
saving
See also exporting
backwards to previous InDesign
version 96
documents 95
glyph sets 151
InCopy content 623
metadata 98
PDFs 473
stroke styles 320
swatches and colors 423
templates 94
transparent artwork 404
workspaces 21
XML tags 540
Scalable Vector Graphics. See SVG
files
scaling
adjusting stroke weight 374
glyphs 250
objects 373
relinked graphics 352
resetting to 100% 375
to print oversized documents 554
type 220
Scissors tool 313
scripting
about 590
enabling attached scripts 591
Quick Apply 183
Script Label panel 590
Scripts panel 590
XML rule sets 512
SCT files 337
search and replace. See finding and
changing
sections
about 80
page numbering in 81
security, PDF files 484
segments, path 298
selecting
anchor points 309
bounding boxes 359
pages or spreads 58
paths 309, 360
PPD files 550
tables 257
techniques for 358
text 128, 360
selecting objects
deselecting 361
inside frames 361
multiple objects 361
nested and grouped 361
Selection tool 358
server. See Adobe Version Cue
shapes
See also compound shapes
converting 302
drawing, with Pen tool 304
drawing, with Pencil tool 302
types of 298
shearing
objects 376
type 222
sidecar files 97
Simulate Ink Black option 447
Simulate Paper White option 447
skewing. See shearing
slanting. See shearing
sliding traps 468
slug area
about 550
printing 551
small caps. See case
Smallest File Size PDF setting 476
smooth points 312
Smooth tool 314
snippets
adding to documents 347
creating 346
soft-proofing
about 446
in Acrobat 447
in Photoshop, Illustrator and
InDesign 446
software
activation 1
downloads 10
registration 1
sound clips
about 499
adding 500
exporting to PDF 503
options for 501
poster options for 502
resizing frames 502
spaces. See white space characters
spacing
before and after paragraphs 222
between words 246
between words and letters 250
in footnotes 163
gutters between columns 43

INDEX 662
inset 127
kerning 212
in table cells 262
text composition 246
special characters 152
in OpenType fonts 208
Specifications for Web Offset
Publications. See SWOP
standards
spell-checking
about 153
as you type 154
dictionaries for 155
documents 154
preferences 153
with context menu 155
spelling dictionaries
adding words 158
creating dictionaries 156
default dictionary 157
spot colors
about 413, 575
changing to process 436
CMYK equivalents 583, 584
color management
considerations 442
converting to process 583, 584
displaying Lab values 585
overprinting 580
problems exporting 413
specialty inks 470
using with process colors 414
spread guides. See ruler guides
spreading. See trapping
spreads
about 57
controlling pagination 60
copying 61
deleting 60
displaying 57
duplicating 59
fitting in window 32
for print booklets 569
multipage 60
rearranging 59
redistributing and shuffling 61
selecting and targeting 58
starting a document with 58
sRGB color space 445, 456
status bar 21
stories
exporting 102
optical margin alignment 226
threading text frames 124
story editor
editing text in 130
preferences 132
Story structure tag (PDF) 493
strikethrough type
applying 216
options for 216
stroke styles
applying 320
creating 318
loading 320
saving 320
strokes
See also stroke styles
adjusting weight when scaling 374
applying color to 417
corner effects 321
in tables 264
modifying 316
options for 317
overprinting 578
start and end shapes 318
Structure pane
about 511
icons in 531
rearranging elements in 531
showing and hiding attributes 533
using 530
style source 274, 275
styles
See also cell styles, character styles,
paragraph styles, and table styles
synchronizing in books 275
table of contents and 281
subscript 216
superscript 216
support screens 469
SVG files
CSS and 104
SVGZ format. See SVG files
swatches
See also gradients, inks, tints
adding to a mixed ink group 435
changing defaults 421
changing display of 423
converting to process 435
copying from other document 425
creating new 420, 421
deleting 423
duplicating 422
editing 422
editing in mixed ink group 434
gradient swatch 428
importing 424, 425
mixed ink, creating 433
naming 422
saving for exchange 423
sharing between applications 424
types of 420
web-safe colors 110
Swatches panel
adding unnamed colors to 421
changing display of 423
keyboard shortcuts for 647
mixed ink group and 434, 435
SWOP standards 470
symbols. See special characters
system requirements 1
T
tab leaders 284
table cells. See cells 252
table of contents
creating 280
editing 285
formatting options 282
importing settings 282
including hidden layers 283
sorting entries in 283
styles and 281
tab leaders in 284
updating 284
table styles
about 268
applying 271
basing on other styles 271
breaking link with text 273
creating 270
deleting 272
editing 271
overriding formatting 272
redefining 272
Table Styles panel 269

INDEX 663
tables
See also tables, editing; tables,
formatting; tables, strokes and
fills; and table styles
about 252
adding text before 262
aligning in frames 255
before and after spacing 261
borders 265
breaking across frames 262
combining 255
converting to text 255
creating 252
deleting 259
embedding in other tables 253
entering text 254
graphics in 254
header and footer rows 256
importing from other
applications 253
moving 260
moving cursor in 255
resizing 261
tables, editing
cutting and pasting in 260
deleting rows and columns 259
inserting rows and columns 258
inserting tabs 263
selecting parts of 257
tables, formatting
about 260
resizing columns and rows 260
text in table 262
tables, strokes and fills
about 264
adding to cells 265
alternate 267
borders 265
diagonal lines 266
options for 267
tabs
See also indents
about 233
adding leaders 236
changing 235
decimal 236
entering 234
inserting in tables 263
right indent 236
setting up 233
using tab stops 235
Tags panel 511
templates
about 94
editing 95
opening 95
previews of 96
saving document as 94
text
See also text importing, formatting
characters
aligning 227
aligning vertically 229
applying color to 217, 417
as placeholder 115
changing case 219
composition 246
dragging and dropping 116
entering in documents 114
exporting 102
finding and changing 133
flowing through frames 124
formatting 204
hyphenating 248
scaling 220, 221
selecting 128, 360
selecting in covered frames 129
skewing or slanting 222
specifying language for 160
trapping 462
text boxes. See text frames
text characters
See also text outlines
converting to paths 325, 326
reshaping 325
text formatting
See also fonts, character styles,
paragraph styles
Roman or plain 206
text frames
See also frames, threaded text
frames
about 111
applying strokes to 316
baseline grids 128
breaking 130
compound shapes 324
creating 111
creating columns in 126
first baseline offset options 127
fitting to text 113
inset spacing 127
moving and resizing 112
on master pages 113
scaling 221
settings for 126
text importing
about 117
files 117
from Excel 120
from tagged-text format 121
from text files 120
from Word 118
linking to source 121
saving Word presets 121
text on paths. See type on paths
text outlines
See also compound paths
about 325
creating 326
using in compound shapes 326
text variables
creating and editing 85
deleting, converting, and
importing 89
for headers and footers 88
inserting 88
Quick Apply 183
types of 86
text wrap
about 195
choosing shape of 195, 197
ignoring in text frame 199
imported graphics and 196
inverting 197
master page items and 198
preferences 199
suppressing on hidden layers 198
with anchored objects 198
threaded text frames
adding frame to sequence 123
creating 122
cutting and deleting 124
flowing text in 124
unthreading 123
thumbnails (printing) 552

INDEX 664
TIFF files 334
See also bitmap graphics
cropping 389
tints 427
toolbox 26
tools
about 26
categories of 28
displaying hidden 28
drawing and type 29
navigation 30
notification 30
options for 28
transformation 30
Tools panel, configuring 17
topics. See indexes, index entries
tracking
about 212
choosing numeric value for 215
trademark symbols 152
Transform panel 364
transformation tools 30
transforming objects
about 364
clearing 378
content offset 366
reference point 364
repeating transformations 378
stroke weight measurements 367
transformation settings 364
while duplicating 382
transparency
See also flattening
about 392
best practices 410
display preferences 400
flattener presets 407
flattening for output 404
turning off display 401
transparency effects
about 395
applying 393
applying to groups 400
applying to text 218
bevel and emboss 396
clearing 395
common settings and options 398
directional feather 397
drop shadow 396
feather 397
global light 399
gradient feather 398
inner glow 396
inner shadow 396
outer glow 396
satin 397
Transparency Flattener Presets
command 405
trap appearance
end style 467
holdback amount 467
join 467
width 466, 467, 469
trap presets
about 464, 469
applying to page ranges 466
applying to pages 465
creating and modifying 464
deleting 465
disable page range 466
duplicating 465
for colors next to black 469
importing 465
synchronizing across
documents 470
Trap Presets panel 464
trap styles. See trap presets
trapping
See also trap presets
about 460
automatic 461
avoiding with process colors 461
built-in vs. Adobe In-RIP 461
choking 468
CMYK values and step limit 467
compensating for dot gain 469
controlling ink density 583
dark spot colors as black 468
documents and books 463
imported graphics 462, 468
imported vector graphics 462
keep away traps 469
keylines to images 468
methods of 460
preventing dark traps 468
requirements for automatic 461
sequence or order 471
spreading 460
text 462
thresholds for 468
using black or rich black 469
triggers, button 507
TrueType fonts 207
tryouts 10
type
style of 206
Type 1 fonts 207
type on paths
about 199
adding anchored objects to 203
applying effects to 202
changing start or end position 201
creating 199
deleting type 200
editing characters 200
flipping type 202
sliding type 201
tightening character spacing 201
Type tool 358
type tools 29
type, formatting
fonts 207
OpenType fonts 208
size 207
spacing between words 250
type. See text, text frames
typeface. See fonts
typographer’s quotes. See quotation
marks
U
underline type
applying 216
options for 216
undoing and redoing 39
updates 10
uppercase. See case
Use Adobe Dialog option 94
V
values
calculating in panels and dialog
boxes 35
entering in panels and dialog
boxes 36
variables. See text variables
vector graphics
about 327

INDEX 665
Video Workshop 5
videos. See movies
viewing
additional windows 34
anchors 193
different page 33
document window 21
hidden elements 129
hidden markers 297
hyperlinks 297
pages and spreads 32
tagged text 297
threaded text frames 122
vignettes. See gradients
W
web graphics
color management
considerations 445
web graphics, color management
considerations 445
web-safe colors 110
white space characters
about 152
flush space 251
nonbreaking spaces 249
widows 225
WMF files 337
flattening 404
word counts 114
word list 93
word spacing 250
work area
about 15
workflow management
about 602
basics 606
checking content out and in 618
icons 608
identifying users 607
version control and 621
working spaces, color 455
workspace
fitting pages and spreas 32
saving customized 21
zooming in and out 31
World Wide Web
graphics for 327
wrapping text. See text wrap
X
XHTML
exporting content as 105
exporting content for Digital
Editions 108
XML
See also XML tags, XML elements,
XML importing, XML exporting
about 510
attributes 533
child and parent elements 510
comments and processing
instructions 534
laying out automatically 517
laying out manually 516
mapping tags to styles 516
repeating content 518
Root element 531
rules 512
saving tags 540
Structure pane 511
tag markers 528
tagged frames 528
tagging items 525
validating 536
XML elements
about 530
child vs. parent 510
icons on 531
inserting parent element 532
reordering 531
Root 531
XML exporting
data to file 538
editing exported file 540
optimizing images 539
tags only 540
XML importing
about merging 515
appending 515
appending vs. merging 513
merging 522
options for 523
placeholders for automatic
layout 519
XML tags
about 510
applying 525
creating and loading 524
deleting 530
editing 525
mapping styles to 516
saving 540
showing and hiding 528
specifying defaults 528
untagging and retagging 529
XMP (Extensible Metadata
Platform) 97
XMP Software Development Kit 97
XSLT files 523
Z
zooming 31