Adobe Using Adobe® OnLocation™ CS4 On Location Instruction Manual Onlocation En
User Manual: adobe Adobe OnLocation - CS4 - Instruction Manual Free User Guide for Adobe OnLocation Software, Manual
Open the PDF directly: View PDF 
.
Page Count: 58
- Contents
 - Chapter 1: Resources
 - Chapter 2: Workspace
 - Chapter 3: Creating projects and setting up cameras
 - Chapter 4: Analyzing lighting, exposure, and color
 - Chapter 5: Checking framing and focus
 - Chapter 6: Organizing and logging shots
- Organizing the Shot List
 - Viewing and editing XMP metadata
 
 - Chapter 7: Recording, reviewing, and transferring clips
 - Chapter 8: Keyboard shortcuts
 - Index
 

Using 
ADOBE® ONLOCATION™ CS4
ug.book  Page i  Thursday, February 5, 2009  6:37 PM
Updated 5 February, 2009

Copyright
© 2008 Adobe Systems Incorporated. All rights reserved.
Using Adobe® OnLocation™ CS4 for Windows® and Mac OS.
If this guide is distributed with software that includes an end user agreement, this guide, as well as the software described in it, is furnished under license and 
may be used or copied only in accordance with the terms of such license. Except as permitted by any such license, no part of this guide may be reproduced, stored 
in a retrieval system, or transmitted, in any form or by any means, electronic, mechanical, recording, or otherwise, without the prior written permission of Adobe 
Systems Incorporated. Please note that the content in this guide is protected under copyright law even if it is not distributed with software that includes an end 
user license agreement. 
The content of this guide is furnished for informational use only, is subject to change without notice, and should not be construed as a commitment by Adobe 
Systems Incorporated. Adobe Systems Incorporated assumes no responsibility or liability for any errors or inaccuracies that may appear in the informational 
content contained in this guide. 
Please remember that existing artwork or images that you may want to include in your project may be protected under copyright law. The unauthorized 
incorporation of such material into your new work could be a violation of the rights of the copyright owner. Please be sure to obtain any permission required 
from the copyright owner.
Any references to company names in sample templates are for demonstration purposes only and are not intended to refer to any actual organization.
This work is licensed under the Creative Commons Attribution Non-Commercial 3.0 License. To view a copy of this license, visit 
http://creativecommons.org/licenses/by-nc/3.0/us/
Adobe, the Adobe logo, Adobe OnLocation, Adobe Premiere, After Effects, Creative Suite, Photoshop, Soundbooth are either registered trademarks or 
trademarks of Adobe Systems Incorporated in the United States and/or other countries. 
Windows is either a registered trademark or a trademark of Microsoft Corporation in the United States and/or other countries. Macintosh and Mac OS are 
trademarks of Apple Inc., registered in the United States and other coutries. All other trademarks are the property of their respective owners.
This product contains either BSAFE and/or TIPEM software by RSA Security, Inc.
This Program was written with MacApp®: ©1985-1988 Apple Computer, Inc.
Flash 9 video compression and decompression is powered by On2 TrueMotion video technology. © 1992-2005 On2 Technologies, Inc. All Rights Reserved. 
http://www.on2.com.
This product includes software developed by the OpenSymphony Group (http://www.opensymphony.com/).
Sorenson Spark™ video compression and decompression technology licensed from Sorenson Media, Inc.
Adobe Systems Incorporated, 345 Park Avenue, San Jose, California 95110, USA.
Notice to U.S. Government End Users. The Software and Documentation are “Commercial Items,” as that term is defined at 48 C.F.R. §2.101, consisting of 
“Commercial Computer Software” and “Commercial Computer Software Documentation,” as such terms are used in 48 C.F.R. §12.212 or 48 C.F.R. §227.7202, 
as applicable. Consistent with 48 C.F.R. §12.212 or 48 C.F.R. §§227.7202-1 through 227.7202-4, as applicable, the Commercial Computer Software and 
Commercial Computer Software Documentation are being licensed to U.S. Government end users (a) only as Commercial Items and (b) with only those rights 
as are granted to all other end users pursuant to the terms and conditions herein. Unpublished-rights reserved under the copyright laws of the United States. 
Adobe Systems Incorporated, 345 Park Avenue, San Jose, CA 95110-2704, USA. For U.S. Government End Users, Adobe agrees to comply with all applicable 
equal opportunity laws including, if appropriate, the provisions of Executive Order 11246, as amended, Section 402 of the Vietnam Era Veterans Readjustment 
Assistance Act of 1974 (38 USC 4212), and Section 503 of the Rehabilitation Act of 1973, as amended, and the regulations at 41 CFR Parts 60-1 through 60-60, 
60-250, and 60-741. The affirmative action clause and regulations contained in the preceding sentence shall be incorporated by reference.
Part Number: 90094197 (10/08)
ug.book  Page ii  Thursday, February 5, 2009  6:37 PM
Updated 5 February, 2009

iii
Contents
Chapter 1: Resources
Installation and registration  . . . . . . . . . . . . . . . . . . . . . . . . . . . . . . . . . . . . . . . . . . . . . . . . . . . . . . . . . . . . . . . . . . . . . . . . . . . . . . . . . . . . . . . . . . . .  1
Help and support  . . . . . . . . . . . . . . . . . . . . . . . . . . . . . . . . . . . . . . . . . . . . . . . . . . . . . . . . . . . . . . . . . . . . . . . . . . . . . . . . . . . . . . . . . . . . . . . . . . . . . .  2
Services, downloads, and extras  . . . . . . . . . . . . . . . . . . . . . . . . . . . . . . . . . . . . . . . . . . . . . . . . . . . . . . . . . . . . . . . . . . . . . . . . . . . . . . . . . . . . . . . .  3
New features in Adobe OnLocation CS4  . . . . . . . . . . . . . . . . . . . . . . . . . . . . . . . . . . . . . . . . . . . . . . . . . . . . . . . . . . . . . . . . . . . . . . . . . . . . . . . .  4
Chapter 2: Workspace
Customizing the workspace   . . . . . . . . . . . . . . . . . . . . . . . . . . . . . . . . . . . . . . . . . . . . . . . . . . . . . . . . . . . . . . . . . . . . . . . . . . . . . . . . . . . . . . . . . . .  7
Managing workspaces  . . . . . . . . . . . . . . . . . . . . . . . . . . . . . . . . . . . . . . . . . . . . . . . . . . . . . . . . . . . . . . . . . . . . . . . . . . . . . . . . . . . . . . . . . . . . . . . . 11
Chapter 3: Creating projects and setting up cameras
Creating, opening, and moving projects   . . . . . . . . . . . . . . . . . . . . . . . . . . . . . . . . . . . . . . . . . . . . . . . . . . . . . . . . . . . . . . . . . . . . . . . . . . . . . . 13
Setting up cameras  . . . . . . . . . . . . . . . . . . . . . . . . . . . . . . . . . . . . . . . . . . . . . . . . . . . . . . . . . . . . . . . . . . . . . . . . . . . . . . . . . . . . . . . . . . . . . . . . . . . 14
Chapter 4: Analyzing lighting, exposure, and color
Evaluating brightness with zebras   . . . . . . . . . . . . . . . . . . . . . . . . . . . . . . . . . . . . . . . . . . . . . . . . . . . . . . . . . . . . . . . . . . . . . . . . . . . . . . . . . . . . 19
Evaluating brightness and color with waveform monitors  . . . . . . . . . . . . . . . . . . . . . . . . . . . . . . . . . . . . . . . . . . . . . . . . . . . . . . . . . . . . . . 20
Evaluating brightness and color with histograms  . . . . . . . . . . . . . . . . . . . . . . . . . . . . . . . . . . . . . . . . . . . . . . . . . . . . . . . . . . . . . . . . . . . . . .  22
Analyzing color with the Vectorscope  . . . . . . . . . . . . . . . . . . . . . . . . . . . . . . . . . . . . . . . . . . . . . . . . . . . . . . . . . . . . . . . . . . . . . . . . . . . . . . . . .  23
Maintaining consistent color for background keying  . . . . . . . . . . . . . . . . . . . . . . . . . . . . . . . . . . . . . . . . . . . . . . . . . . . . . . . . . . . . . . . . . . .  24
Video and audio alerts  . . . . . . . . . . . . . . . . . . . . . . . . . . . . . . . . . . . . . . . . . . . . . . . . . . . . . . . . . . . . . . . . . . . . . . . . . . . . . . . . . . . . . . . . . . . . . . . .  24
Checking continuity  . . . . . . . . . . . . . . . . . . . . . . . . . . . . . . . . . . . . . . . . . . . . . . . . . . . . . . . . . . . . . . . . . . . . . . . . . . . . . . . . . . . . . . . . . . . . . . . . . . 26
Chapter 5: Checking framing and focus
Aesthetic framing   . . . . . . . . . . . . . . . . . . . . . . . . . . . . . . . . . . . . . . . . . . . . . . . . . . . . . . . . . . . . . . . . . . . . . . . . . . . . . . . . . . . . . . . . . . . . . . . . . . . .  29
Frame with the grid   . . . . . . . . . . . . . . . . . . . . . . . . . . . . . . . . . . . . . . . . . . . . . . . . . . . . . . . . . . . . . . . . . . . . . . . . . . . . . . . . . . . . . . . . . . . . . . . . . . 29
Display and adjust the action-safe margin  . . . . . . . . . . . . . . . . . . . . . . . . . . . . . . . . . . . . . . . . . . . . . . . . . . . . . . . . . . . . . . . . . . . . . . . . . . . . . 30
Preview different aspect ratios  . . . . . . . . . . . . . . . . . . . . . . . . . . . . . . . . . . . . . . . . . . . . . . . . . . . . . . . . . . . . . . . . . . . . . . . . . . . . . . . . . . . . . . . . 30
Zooming, underscan, and overscan   . . . . . . . . . . . . . . . . . . . . . . . . . . . . . . . . . . . . . . . . . . . . . . . . . . . . . . . . . . . . . . . . . . . . . . . . . . . . . . . . . . .  31
Chapter 6: Organizing and logging shots
Organizing the Shot List   . . . . . . . . . . . . . . . . . . . . . . . . . . . . . . . . . . . . . . . . . . . . . . . . . . . . . . . . . . . . . . . . . . . . . . . . . . . . . . . . . . . . . . . . . . . . . . 33
Viewing and editing XMP metadata  . . . . . . . . . . . . . . . . . . . . . . . . . . . . . . . . . . . . . . . . . . . . . . . . . . . . . . . . . . . . . . . . . . . . . . . . . . . . . . . . . . . 38
Chapter 7: Recording, reviewing, and transferring clips
Recording clips  . . . . . . . . . . . . . . . . . . . . . . . . . . . . . . . . . . . . . . . . . . . . . . . . . . . . . . . . . . . . . . . . . . . . . . . . . . . . . . . . . . . . . . . . . . . . . . . . . . . . . . .  41
Reviewing recorded clips   . . . . . . . . . . . . . . . . . . . . . . . . . . . . . . . . . . . . . . . . . . . . . . . . . . . . . . . . . . . . . . . . . . . . . . . . . . . . . . . . . . . . . . . . . . . . . 46
Transferring clips to other applications  . . . . . . . . . . . . . . . . . . . . . . . . . . . . . . . . . . . . . . . . . . . . . . . . . . . . . . . . . . . . . . . . . . . . . . . . . . . . . . . . 48
Chapter 8: Keyboard shortcuts
Finding and customizing shortcuts  . . . . . . . . . . . . . . . . . . . . . . . . . . . . . . . . . . . . . . . . . . . . . . . . . . . . . . . . . . . . . . . . . . . . . . . . . . . . . . . . . . . . 51
Common shortcuts  . . . . . . . . . . . . . . . . . . . . . . . . . . . . . . . . . . . . . . . . . . . . . . . . . . . . . . . . . . . . . . . . . . . . . . . . . . . . . . . . . . . . . . . . . . . . . . . . . . . 52
Index  ................................................................................................................ 53
ug.book  Page iii  Thursday, February 5, 2009  6:37 PM
Updated 5 February, 2009

ug.book  Page iv  Thursday, February 5, 2009  6:37 PM
Updated 5 February, 2009

1
Chapter 1: Resources
Before you begin working with your software, take a few moments to read an overview of installation and the many 
resources available to users. You have access to instructional videos, plug-ins, templates, user communities, seminars, 
tutorials, RSS feeds, and much more.
Installation and registration
Help with installation
For help with installation issues, see the Installation Support Center at www.adobe.com/go/cs4install.
Register
Register your product to receive complimentary installation support, notifications of updates, and other services.
❖To register, follow the on-screen instructions in the Registration dialog box, which appears after you install the 
software. 
If you postpone registration, you can register at any time by choosing Help > Registration.
Adobe Product Improvement Program
After you use your Adobe software a certain number of times, a dialog box may appear asking whether you want to 
participate in the Adobe Product Improvement Program.
If you choose to participate, data about your use of Adobe software is sent to Adobe. No personal information is 
recorded or sent. The Adobe Product Improvement Program only collects information about which features and tools 
you use and how often you use them.
You can opt in to or out of the program at any time:
•To participate, choose Help > Adobe Product Improvement Program and click Yes, Participate.
•To stop participating, choose Help > Adobe Product Improvement Program and click No, Thank You.
ReadMe
A ReadMe file for your software is available online and on the installation disc. Open the file to read important 
information about topics such as the following:
•System requirements
•Installation (including uninstalling the software)
•Activation and registration
•Font installation
•Troubleshooting
•Customer support
ug.book  Page 1  Thursday, February 5, 2009  6:37 PM
Updated 5 February, 2009

2CHAPTER 1
Resources
•Legal notices
Help and support
Community Help
Community Help is an integrated environment on Adobe.com that gives you access to community-generated content 
moderated by Adobe and industry experts. Comments from users help guide you to an answer.
Community Help draws on a number of resources, including:
•Videos, tutorials, tips and techniques, blogs, articles, and examples for designers and developers.
•Complete online product Help, which is updated regularly by the Adobe documentation team.
•All other content on Adobe.com, including knowledgebase articles, downloads and updates, Developer 
Connection, and more.
Choose Help > product name Help in the application to access the Help and Support page, the portal to all of the 
Community Help content for your product. You can also use the Help search field in some Creative Suite 4 
applications, or press F1 (Windows), to access Community Help for your product.
The sites searched by the default Community Help search engine are hand-selected and reviewed for quality by Adobe 
and Adobe Community Experts. Adobe experts also work to ensure that the top search results include a mixture of 
different kinds of content, including results from online product Help.
For more information on using Community Help, see http://help.adobe.com/en_US/CommunityHelp/.
For a video overview of Community Help, see www.adobe.com/go/lrvid4117_xp.
Product Help
Adobe provides a comprehensive user guide for each product in several formats, including online product Help, PDF, 
and printed book. Results from online product Help are included in your results whenever you search Community Help.
If you’re connected to the Internet, the Help menu within the product opens the product Help and Support page by 
default. This page is a portal to all of the Community Help content for the product. If you want to consult or search 
online product Help only, you can access it by clicking the product Help link in the upper-right corner of the Help and 
Support page. Be sure to select the This Help System Only option before you do your search.
If you’re not connected to the Internet, the Help menu within the product opens local Help, a subset of the content 
available in online product Help. Because local Help is not as complete or up-to-date as online product Help, Adobe 
recommends that you use the PDF version of product Help if you want to stay offline. A downloadable PDF of 
complete product Help is available from two places:
•The product’s Help and Support page (upper-right corner of the page)
•Local and web Help (top of the Help interface)
For more information on accessing product help, see http://help.adobe.com/en_US/CommunityHelp/.
If you are working in Adobe InDesign, Photoshop, Illustrator, Flash, Fireworks, or Dreamweaver, and you want to turn 
off Community Help so that local Help opens by default, do the following:
1Open the Connections panel (Window > Extensions > Connections).
2From the Connections panel menu  , select Offline Options.
ug.book  Page 2  Thursday, February 5, 2009  6:37 PM
Updated 5 February, 2009

3
USING ADOBE ONLOCATION CS4
3Select Keep Me Offline and click OK.
Note: When you disable web services from the Connections panel, all other web services (such as Adobe Kuler and Adobe 
ConnectNow) are also disabled.
Printed resources
Printed versions of the complete online product Help are available for the cost of shipping and handling at 
www.adobe.com/go/store.
Support resources
Visit the Adobe Support website at www.adobe.com/support to learn about free and paid technical support options.
Services, downloads, and extras
You can enhance your product by integrating a variety of services, plug-ins, and extensions in your product. You can 
also download samples and other assets to help you get your work done.
Adobe creative online services
Adobe® Creative Suite® 4 includes new online features that bring the power of the web to your desktop. Use these 
features to connect with the community, collaborate, and get more from your Adobe tools. Powerful creative online 
services let you complete tasks ranging from color matching to data conferencing. The services seamlessly integrate 
with desktop applications so you can quickly enhance existing workflows. Some services offer full or partial 
functionality when you’re offline too.
Visit Adobe.com to learn more about available services. Some Creative Suite 4 applications include these initial 
offerings:
Kuler™ panel  Quickly create, share, and explore color themes online. 
Adobe® ConnectNow  Collaborate with dispersed working teams over the web, sharing voice, data, and multimedia.
Resource Central  Instantly access tutorials, sample files, and extensions for Adobe digital video applications.
For information on managing your services, see the Adobe website at www.adobe.com/go/learn_creativeservices_en.
Adobe Exchange
Visit the Adobe Exchange at www.adobe.com/go/exchange to download samples as well as thousands of plug-ins and 
extensions from Adobe and third-party developers. The plug-ins and extensions can help you automate tasks, 
customize workflows, create specialized professional effects, and more.
Adobe downloads
Visit www.adobe.com/go/downloads to find free updates, tryouts, and other useful software. 
ug.book  Page 3  Thursday, February 5, 2009  6:37 PM
Updated 5 February, 2009

4CHAPTER 1
Resources
Adobe Labs
Adobe Labs at www.adobe.com/go/labs gives you the opportunity to experience and evaluate new and emerging 
technologies and products from Adobe. At Adobe Labs, you have access to resources such as these:
•Prerelease software and technologies
•Code samples and best practices to accelerate your learning
•Early versions of product and technical documentation
•Forums, wiki-based content, and other collaborative resources to help you interact with like-minded users.
Adobe Labs fosters a collaborative software development process. In this environment, customers quickly become 
productive with new products and technologies. Adobe Labs is also a forum for early feedback. The Adobe 
development teams use this feedback to create software that meets the needs and expectations of the community.
Adobe TV
Visit Adobe TV at http://tv.adobe.com to view instructional and inspirational videos.
Extras
The installation disc contains a variety of extras to help you make the most of your Adobe software. Some extras are 
installed on your computer during the setup process; others are located on the disc.
To view the extras installed during the setup process, navigate to the application folder on your computer.
•Windows®: [startup drive]\Program Files\Adobe\[Adobe application]
•Mac OS®: [startup drive]/Applications/[Adobe application]
To view the extras on the disc, navigate to the Goodies folder in your language folder on the disc. Example:
• /English/Goodies/
New features in Adobe OnLocation CS4
Adobe OnLocation™ CS4 is powerful cross-platform, direct-to-disk recording and monitoring software that helps you 
shoot better and faster. Designed to run on a laptop or workstation, Adobe OnLocation CS4 gives you an impressive 
array of production tools to quickly and easily manage shots, review content, and add metadata. Save time and money 
on-set, in postproduction, and through delivery with XMP metadata support and tight integration with Adobe® 
Premiere® Pro.
For a video overview of Adobe OnLocation features, see www.adobe.com/go/lrvid4080_ol
Cross-platform  Work on the platform of your choice. Adobe OnLocation CS4 runs natively in Windows and Mac OS, 
letting you take advantage of the full power of the application on either platform.
Familiar, customizable Adobe user interface  Get working quickly and efficiently with a user interface that looks and 
operates like the Adobe video and audio applications you already know. In Adobe OnLocation CS4, all functions are 
visible on a standard laptop screen, eliminating the need to scroll and search through menus. (See “Customizing the 
workspace” on page 7.)
ug.book  Page 4  Thursday, February 5, 2009  6:37 PM
Updated 5 February, 2009

5
USING ADOBE ONLOCATION CS4
Comprehensive XMP metadata  Adobe OnLocation CS4 provides complete support for XMP metadata. Use the Shot 
List and Metadata panels to view, find, and add metadata to assets. Because the data is stored in XMP format, it flows 
automatically to other Adobe audio and video applications. (See “Viewing and editing XMP metadata” on page 38.)
Workflow integration with Adobe Premiere Pro  Move content from Adobe OnLocation to Adobe Premiere Pro 
quickly and easily, while retaining metadata entered during shooting, speeding up the editing process. (See 
“Transferring clips to other applications” on page 48.)
Fast logging  Log shots in the Shot List using a tabular interface that works like a spreadsheet. Navigate through the 
most commonly used data fields using the keyboard. This fast, efficient method of data entry ensures that you gather 
more useful information at the time of the shoot, enabling greater efficiency later, in postproduction. (See “Organizing 
the Shot List” on page 33.)
Shot List with multiple takes  Use Adobe OnLocation to manage your video shoot. Before shooting, create placeholder 
shots in the Shot List, complete with metadata. Adobe OnLocation can automatically create new takes each time you 
record, with each take inheriting metadata from the master shot. (See “Select shot- or take-recording mode” on 
page 33.)
Search for content in the Shot List  Find the content you need quickly in the Shot List using the inline search feature. 
Type the first few letters of a keyword, and the list of files is filtered as you type so that only relevant items are shown. 
Search across all data fields or specify a particular field. (See “Edit, copy, or search shot properties” on page 36.)
Customizable keyboard shortcuts   Adobe OnLocation CS4 can be driven almost completely with keyboard shortcuts. 
This approach promotes fast, efficient operation while on-set. Customize keyboard shortcuts throughout the 
application so that it works the way you want. Save and recall shortcut sets to make it easy to move from system to 
system. (See “Finding and customizing shortcuts” on page 51.)
Comment markers  Use comment markers to add notes during recording or playback. Comments are attached to exact 
timecode, making it easy to review specific parts of clips while still at the shoot. (See “Comment markers” on page 47.)
ug.book  Page 5  Thursday, February 5, 2009  6:37 PM
Updated 5 February, 2009

ug.book  Page 6  Thursday, February 5, 2009  6:37 PM
Updated 5 February, 2009

7
Chapter 2: Workspace
Customizing the workspace
About workspaces
Adobe video and audio applications provide a consistent, customizable workspace. Although each application has its 
own set of panels (such as Project, Metadata, and Timeline), you move and group panels in the same way across 
products.
The main window of a program is the application window. Panels are organized in this window in an arrangement 
called a workspace. The default workspace contains groups of panels as well as panels that stand alone.
You customize a workspace by arranging panels in the layout that best suits your working style. As you rearrange 
panels, the other panels resize automatically to fit the window. You can create and save several custom workspaces for 
different tasks—for example, one for editing and one for previewing.
You can use floating windows to create a workspace more like those in previous versions of Adobe applications, or to 
place panels on multiple monitors. 
Example workspace
A. Application window  B. Grouped panels  C. Individual panel  
Dock, group, or float panels
You can dock panels together, move them into or out of groups, and undock them so they float above the application 
window. As you drag a panel, drop zones—areas onto which you can move the panel—become highlighted. The drop 
zone you choose determines where the panel is inserted, and whether it docks or groups with other panels.
Docking zones
Docking zones exist along the edges of a panel, group, or window. Docking a panel places it adjacent to the existing 
group, resizing all groups to accommodate the new panel.
BC
A
ug.book  Page 7  Thursday, February 5, 2009  6:37 PM
Updated 5 February, 2009

8CHAPTER 2
Workspace
Dragging panel (A) onto docking zone (B) to dock it (C)
Grouping zones
Grouping zones exist in the middle of a panel or group, and along the tab area of panels. Grouping a panel stacks it 
with other panels.
Dragging panel (A) onto grouping zone (B) to group it with existing panels (C)
Dock or group panels
1If the panel you want to dock or group is not visible, choose it from the Window menu.
2Do one of the following:
•
To move an individual panel, drag the gripper area in the upper-left corner of a panel’s tab onto the desired drop zone.
C
B 
A 
B
C
A
ug.book  Page 8  Thursday, February 5, 2009  6:37 PM
Updated 5 February, 2009

9
USING ADOBE ONLOCATION CS4
Drag panel gripper to move one panel
•To move an entire group, drag the group gripper in the upper-right corner onto the desired drop zone.
Drag group gripper to move entire group
The application docks or groups the panel, according to the type of drop zone.
Undock a panel in a floating window
When you undock a panel in a floating window, you can add panels to the window and modify it similarly to the 
application window. You can use floating windows to make use of a secondary monitor, or to create workspaces like 
those in earlier versions of Adobe applications. 
❖Select the panel you want to undock (if it’s not visible, choose it from the Window menu), and then do one of the 
following:
•Choose Undock Panel or Undock Frame from the panel menu. Undock Frame undocks the panel group. 
•Hold down Ctrl (Windows®) or Command (Mac OS®), and drag the panel or group from its current location. 
When you release the mouse button, the panel or group appears in a new floating window.
•Drag the panel or group outside the application window. (If the application window is maximized, drag the 
panel to the Windows taskbar.)
Resize panel groups
When you position the pointer over dividers between panel groups, resize icons appear. When you drag these icons, 
all groups that share the divider are resized. For example, suppose your workspace contains three panel groups stacked 
vertically. If you drag the divider between the bottom two groups, they are resized, but the topmost group doesn’t 
change.
ug.book  Page 9  Thursday, February 5, 2009  6:37 PM
Updated 5 February, 2009

10 CHAPTER 2
Workspace
To quickly maximize a panel beneath the pointer, press the tilde (~) key. (Do not press Shift.) Press the tilde key again 
to return the panel to its original size. 
1Do either of the following:
•To resize either horizontally or vertically, position the pointer between two panel groups. The pointer becomes a 
double-arrow .
•To resize in both directions at once, position the pointer at the intersection between three or more panel groups. 
The pointer becomes a four-way arrow  .
2Hold down the mouse button, and drag to resize the panel groups.
Dragging divider between panel groups to resize them horizontally
A. Original group with resize icon  B. Resized groups  
Open, close, and scroll to panels
Even if a panel is open, it may be out of sight, beneath other panels. Choosing a panel from the Window menu brings 
it to the front. Likewise, if a panel group is very narrow, a scroll bar above the group reveals all the panel tabs.
When you close a panel group in the application window, the other groups resize to make use of the newly available 
space. When you close a floating window, the panels within it close, too.
•To open or close a panel, choose it from the Window menu. 
•To close a panel or window, click its Close button  .
•To see all the panel tabs in a narrow panel group, drag the horizontal scroll bar.
Drag horizontal scroll bar to see all panels in narrow group
A
B
ug.book  Page 10  Thursday, February 5, 2009  6:37 PM
Updated 5 February, 2009

11
USING ADOBE ONLOCATION CS4
Working with multiple monitors
To increase the available screen space, use multiple monitors. When you work with multiple monitors, the application 
window appears on one monitor, and you place floating windows on the second monitor. Monitor configurations are 
stored in the workspace.
For more information, see “Dock, group, or float panels” on page 7.
Brighten or darken the interface
If panels, windows, and dialog boxes are too light or dark for your work environment, adjust workspace brightness.
1Choose Edit > Preferences > Appearance (Windows) or OnLocation > Preferences > Appearance (Mac OS).
2Drag the Brightness slider. (To return to the original setting, click Reset to Default.)
Managing workspaces
Choose a workspace
Each Adobe video and audio application includes several predefined workspaces that optimize the layout of panels for 
specific tasks. When you choose one of these workspaces, or any custom workspaces you’ve saved, the current 
workspace is redrawn accordingly.
❖Open the project you want to work on, choose Window > Workspace, and select the desired workspace.
Predefined workspaces in Adobe OnLocation
In the Window > Workspace submenu, Adobe OnLocation provides the following predefined workspaces: 
Calibration  Prominently displays panels that help you calibrate cameras before recording.
Full Screen  Expands panels to fill the screen, so you can more easily monitor them at a distance. To switch between 
panels, click the tabs in the upper-left corner of the screen.
Pre-Production  Expands the Shot List and Metadata panels, so you can easily enter descriptive properties for shot 
placeholders.
Production  Optimizes the workspace layout for recording, reviewing, and analyzing clips.
For more information, see “Organizing and logging shots” on page 33.
Save, reset, or delete workspaces
Save a custom workspace
As you customize a workspace, the application tracks your changes, storing the most recent layout. To store a specific 
layout more permanently, save a custom workspace. Saved custom workspaces appear in the Workspace menu, where 
you can return to and reset them. 
❖Arrange the frames and panels as desired, and then choose Window > Workspace > New Workspace. Type a name 
for the workspace, and click OK.
ug.book  Page 11  Thursday, February 5, 2009  6:37 PM
Updated 5 February, 2009

12 CHAPTER 2
Workspace
Note: If a project saved with a custom workspace is opened on another system, the application looks for a workspace with 
a matching name. If it can’t find a match (or the monitor configuration doesn’t match), it uses the current local 
workspace.
Reset a workspace
Reset the current workspace to return to its original, saved layout of panels.
❖Choose Window > Workspace > Reset workspace name.
Delete a workspace
1Choose Window > Workspace > Delete Workspace.
2Choose the workspace you want to delete, and then click OK.
Note: You cannot delete the currently active workspace.
ug.book  Page 12  Thursday, February 5, 2009  6:37 PM
Updated 5 February, 2009

13
Chapter 3: Creating projects and setting up 
cameras
Creating, opening, and moving projects
Adobe OnLocation stores related files in a project folder. Each project consists of a *.olproj file that references recorded 
video in the Clips folder. Any still images you grab from those clips appear in the Grabbed Stills folder.
You can store Adobe OnLocation projects on any local drive, internal or external. For external drives, both FireWire 
and USB 2.0 are sufficient for Adobe OnLocation. For DVCPro HD, Adobe strongly recommends that you use a 7200-
rpm drive and defragment it regularly.
Create a project
1From either the start screen or the File menu, select New Project.
2Specify a name and location for the project.
Use a descriptive name that includes the name of the project or client, or a job number.
3Click Save. 
Open a project
1From either the start screen or the File menu, select Open Project.
2Navigate to the project folder, and select the [project name].olproj file.
3Click Open. Adobe OnLocation opens the project, populating the Shot List with its clips.
Moving projects between computers
To access a project from a different computer, do either of the following:
•Move an external drive, or copy the entire project folder. Because all paths are relative within the project folder, you 
must move the project folder as a unit without moving or deleting any subfolders or files.
•Connect over a network.
Note: Adobe recommends against recording video to a network location. Latency in the network might drop data.
For more information, see “Transferring clips to other applications” on page 48.
ug.book  Page 13  Thursday, February 5, 2009  6:37 PM
Updated 5 February, 2009

14 CHAPTER 3
Creating projects and setting up cameras
Setting up cameras
About IEEE 1394 ports and cables
Adobe OnLocation communicates with cameras and other OHCI-compliant devices using the IEEE 1394 standard, 
which is also known as FireWire and i.Link. If the computer has no IEEE 1394 ports or too few for your purposes, add 
one or more FireWire cards (PCI cards for a desktop computer, PCMCIA or ExpressCard for a laptop).
Before buying a cable, check whether you need a 4-pin to 4-pin or 4-pin to 6-pin type cable. Most 1394-compatible 
cameras have a 4-pin port. Computers have 4-pin or 6-pin ports.
With DV and HDV cameras, you can use cables up to 25 meters (80 feet) in length. The maximum cable length for 
DVCPro HD is 4.5 meters (15 feet) because the data rate is much higher. You can use repeaters to daisy-chain up to 
16 cables.
Note: For the latest information on troubleshooting digital video capture in Adobe OnLocation, visit the Adobe 
knowledgebase at www.adobe.com/support/onlocation/
Step 1: Connect a camera
Adobe ® OnLocation™ works with NTSC or PAL DV cameras, as well as HDV and DVCPro cameras. The application 
automatically detects the camera’s video standard and format, so you don’t have to change any switches or project 
properties.
Note: Adobe OnLocation does not support camcorders that record onto DVDs, hard disks, or flash memory unless they 
output DV or HDV over a FireWire connection.
1Plug one end of a 1394 cable into a FireWire port on the computer.
2With the camera turned off, plug the other end of the cable into the camera’s FireWire port.
Important: Although some IEEE 1394 devices may be hot-swappable, FireWire ports might be damaged if you plug 
in a cable when the camera is turned on. Adobe recommends that you turn off the camera before connecting the cable.
3Turn on the camera, and set it to the Record or Camera mode.
4If the Field Monitor displays a previously recorded clip rather than video from the camera, click the panel menu 
icon  , and choose View Camera.
To switch to another camera, close Adobe OnLocation, disconnect the current camera, connect the next camera, and 
restart the application. If you want to ensure that video has a common appearance, see “Check continuity between 
multiple cameras” on page 27.
Step 2: Set the monitor aspect ratio
The aspect ratio of a rectangular image describes frame dimensions in width relative to height. By default, the Field 
Monitor automatically reflects the aspect ratio of the video stream. You can also manually control the aspect ratio.
Aspect ratios are typically represented as ratios such as 16:9. However, you can also specify a decimal value, which 
equals the first value in the ratio divided by the second. For example, the value of 1.333 equals 4 divided by 3, or 4:3.
1In the upper-right corner of the Field Monitor, click the panel menu icon  , and choose Monitor Settings.
2In the Monitor Aspect Ratio section, select one of the following:
Automatic  Automatically matches the video’s aspect ratio.
4:3  Specifies the aspect ratio used by conventional television.
ug.book  Page 14  Thursday, February 5, 2009  6:37 PM
Updated 5 February, 2009

15
USING ADOBE ONLOCATION CS4
16:9  Specifies the aspect ratio used by high-definition television (HDTV).
Custom  Lets you set a ratio ranging from 1.000 (1:1, a square) to 2.400 (12:5).
If you’re not sure what this setting should be, point the camera at a circular image that’s parallel to the plane of 
the lens. If the shape looks circular in the Field Monitor, the setting is correct. If not, change the setting until the 
shape is circular. If you can’t achieve a circular shape, make sure the Letterbox Mask is disabled. (See “Preview 
different aspect ratios” on page 30.)
Step 3: Calibrate the Field Monitor
The built-in color bars calibrate the computer screen to display levels of brightness, white, and color to match what the 
camera records. This step ensures that what you see in the Field Monitor accurately reflects what you will see in 
postproduction. 
Adobe recommends that you recalibrate the screen whenever the lighting around the computer changes significantly. 
Position the computer screen at an angle that reduces the amount of glare. When shooting in direct sunlight, you might 
want to consider using a computer screen sunshade for better visibility. 
Note: Calibrating the Field Monitor affects only what you see within Adobe OnLocation. It has no effect on the brightness 
and color of recorded clips.
Because the various calibration settings interact with one another, it’s important to perform the steps below in order.
1Below the preview in the Field Monitor, click the Calibrate Field Monitor button  .
2Drag the Chroma setting to zero, eliminating all color and reducing the bars to shades of gray.
3Locate the set of three narrow, dark bars below the second and third bars from the right. These pluge bars are used 
to calibrate the contrast. Adjust the Contrast value until the center and left bars are identical and the bar on the right 
is faintly lighter.
To adjust values in fractional increments, Ctrl-drag (Windows) or Command-drag (Mac OS).
4Locate the set of three narrow, white bars below the second and third bars from the left. Adjust the Brightness value 
until the two bars on the left are indistinguishable and the bar on the right is slightly darker.
5Click Blue Filter. The bars turn shades of blue.
6Adjust the Chroma value until the tall section at the top of each outer bar is the same shade as the small block just 
below it.
7
If necessary, adjust the Phase value until the third and fifth bars are the same shade as the small blocks just below them.
ug.book  Page 15  Thursday, February 5, 2009  6:37 PM
Updated 5 February, 2009

16 CHAPTER 3
Creating projects and setting up cameras
A. Adjust Chroma until tall outer bars match adjacent small blocks.  B. Adjust Phase until third and fifth tall blocks match adjacent small 
blocks.  
8Click OK.
To return all values to original settings, click Defaults.
Step 4: Calibrate the camera with SureShot
The best, most expensive cameras won’t record high quality images unless you accurately set focus and exposure. 
Conversely, if focus is crisp, white balance is correct, and exposure and lighting yield maximum dynamic range, you 
can achieve high quality video even with a modest camera. To help you achieve the best results, the SureShot panel 
analyzes the image and provides graphical feedback that takes the guesswork out of calibrating cameras and adjusting 
lighting.
Although the Waveform Monitor, Vectorscope, and Field Monitor provide analytical tools that allow you to assess 
focus, exposure, and white balance, SureShot has several advantages. First, it presents data in meters that are easy to 
read. Second, it analyzes only a defined region of the frame (the specific area where you place the SureShot card).
Note: SureShot requires the Focus & Exposure Chart that comes with the boxed version of Adobe OnLocation and is 
optional with the downloadable version.
1Disable the camera’s automatic controls, particularly auto-focus, auto-white balance, and auto-iris.
2Frame and light the scene.
3Choose Window > SureShot Camera Setup.
4Select Enable.
ug.book  Page 16  Thursday, February 5, 2009  6:37 PM
Updated 5 February, 2009

17
USING ADOBE ONLOCATION CS4
5Place the Focus & Exposure Chart next to your primary subject, and adjust the card so it’s receiving the same light. 
If necessary, tilt the card down to avoid reflected glare.
6Frame the chart using the Percentage Of Frame slider in the SureShot panel. 
To reposition the target area in the Field Monitor, drag the cross-hairs in the center.
7Adjust your camera’s focus control until the Focus meter in the SureShot panel is as high as possible.
8To maximize highlights and shadows (the upper and lower Exposure meters in the SureShot panel), do any of the 
following:
•Reposition, add, or remove lights.
•Adjust camera settings such as iris, shutter speed, exposure, or gain.
9Flip the chart over to the blank, white side. Then set the white balance control on your camera to maximize the 
White Balance meters in the SureShot panel.
Step 5: Set audio levels
The Audio panel provides meters that help you optimize audio levels before recording and analyze levels during 
playback.
ug.book  Page 17  Thursday, February 5, 2009  6:37 PM
Updated 5 February, 2009

18 CHAPTER 3
Creating projects and setting up cameras
To precisely determine audio amplitude, hover the pointer over the meters. A tool tip displays the decibel level.
1If you’re monitoring audio without sealed headphones, select Mute Camera in the Audio panel to prevent feedback.
2While watching the meters in the Audio panel, adjust the position of your microphones and the audio input level 
on the camera. 
The meters should stay mostly in the yellow region, and audio-pop alerts   should be rare. If audio-clipping 
alerts   occur, significantly adjust microphone position or lower input level.
To clear clipping alerts in the Audio panel, click them.
For more information, see “Video and audio alerts” on page 24.
ug.book  Page 18  Thursday, February 5, 2009  6:37 PM
Updated 5 February, 2009

19
Chapter 4: Analyzing lighting, exposure, 
and color
Evaluating brightness with zebras
Adobe OnLocation provides two adjustable zebras in the Field Monitor. These zebras overlay a pattern of diagonal 
stripes on areas of the video that exceed the specified brightness or darkness threshold. By default, the threshold is 96% 
for Zebra 1 and 75% for Zebra 2. 
Use Zebra 1 at its default setting to identify areas that will lose all detail from overexposure and may cause video 
clipping and distortion. Use Zebra 2 at its default setting to identify areas of faces, or other main subjects, that are 
bright enough to show satisfactory detail. 
The complexion of the faces, the overall ambiance of the scene, or the intended artistic mood can dictate different 
brightness thresholds. Some videographers prefer to expose faces at under 70%, and those creating a film look might 
use a threshold of 60% or even less. You can change zebra Threshold settings from the defaults to any of these values.
To monitor the levels of shadow areas, you can also change a zebra from its default Bright mode to Dark. For example, 
in Dark mode a zebra with a Threshold of 20% displays stripes across all areas below that level.
Enable or disable a zebra
❖In the Field Monitor, click the Zebra 1   or Zebra 2   button. 
Only one zebra can be active at a time, so enabling Zebra 1 disables Zebra 2, and vice versa.
Set a zebra to identify highlights or shadows
1In the upper-right corner of the Field Monitor, click the panel menu icon  , and choose Zebra Settings. Or, press 
Alt+Z.
2From the Mode menu for either zebra, choose Bright to identify highlights or Dark to identify shadows.
To contrast with the area they're painted over, zebra stripes are black in Bright mode and white in Dark mode. 
Set zebra thresholds
A 0% threshold represents a brightness value of 16; 100% represents 235. (The values 16 and 235 are the brightness 
limits for broadcast.)
1In the upper-right corner of the Field Monitor, click the panel menu icon  , and choose Zebra Settings.
2Set the Brightness or Darkness Threshold, and click OK.
Preserving shadows with dark zebras
Dark shadows in a scene can meet many different cinematic goals. But it can be particularly challenging to create a 
dark, moody ambiance in DV format because it’s unforgiving when shadows become too dark. Undesirable image 
noise often occurs, which postproduction cannot address.
ug.book  Page 19  Thursday, February 5, 2009  6:37 PM
Updated 5 February, 2009

20 CHAPTER 4
Analyzing lighting, exposure, and color
Fortunately, many DV cameras can deliver remarkably compelling images of dark scenes. The margin for error is 
narrow, however, so objectively monitoring shadow areas is crucial.
This situation is especially difficult when using the flip-out screen on many DV camcorders. In these small screens, 
any region that is close to black often appears entirely black. Additionally, the flip-out screen does not show the effect 
of DV compression on the live video. Neither do high-end external analog monitors. To really see what you’re 
recording with either of these displays, first play back the tape. In these situations, the native DV, HDV, and DVCPro 
Field Monitor in Adobe OnLocation is invaluable, because it displays the compressed image in real time as you make 
adjustments.
With OnLocation, a dark zebra lets you introduce strong shadows into a scene with the confidence that enough image 
detail remains. For example, rich feature shadows on a face can be dramatic, but it looks unprofessional if no detail 
appears in the shadow area. In other situations, you might want to ensure that the darkest parts of a shadow area, such 
as the recesses of a corner, reach pure black. Doing so maximizes the dynamic range of the image and provides greater 
flexibility if you post-process the scene in an editing application.
When setting dark zebra thresholds, the values you should use vary depending on the camera and the look you’re 
trying to achieve.
For more information, see “About video dynamic range” on page 20.
Evaluating brightness and color with waveform 
monitors
Waveform monitors convert video signals to waveforms representing brightness and saturation levels. These tools are 
valuable at a shoot because you can’t always trust your eyes. Your eyes adjust to what you see, making you overly 
forgiving of lighting problems. By representing brightness graphically, waveform monitors take the subjectivity out of 
image assessment. They provide a scientific foundation for the art of cinematic lighting, helping you capture video that 
uses the full dynamic range without clipping.
In Adobe OnLocation, waveform monitors can use either the YCbCr or RGB color model. These models display color 
data on different scales:
•YCbCr monitors show brightness (Y) values on a scale running from 16 to 235. Chroma values (Cb and Cr) appear 
on scales running from –0.5 to +0.5, with broadcast limits of –0.437 and +0.437.
•The RGB scale runs from 0 to 255 for each color.
Choose YCbCr if you want to evaluate brightness separately from color. Choose RGB to evaluate the brightness of each 
color channel.
About video dynamic range
Dynamic range describes the difference between the smallest and largest possible video brightness, or luma, values. 
With a wider dynamic range, video becomes more vivid and lifelike. DV, for example, has a scale of luma values 
ranging from 16 to 235. That range of values indicates how dark or bright each pixel is.
When comparing video from high-end and prosumer camcorders, you might assume that high-end camcorders 
produce better quality because they provide more dynamic range. But the biggest difference between high-end and 
prosumer camcorders is how fully they utilize the available dynamic range. 
ug.book  Page 20  Thursday, February 5, 2009  6:37 PM
Updated 5 February, 2009

21
USING ADOBE ONLOCATION CS4
In many cases, a prosumer camera can achieve results comparable to a high-end camera if you set up the shot using 
the objective monitoring tools available in Adobe OnLocation. Tools such as the Waveform Monitor and SureShot 
panel let you maximize the signal to fill the available dynamic range. The expanded dynamic range must be captured 
when shooting by adjusting the camera, lighting, and composition. You can't recover information that wasn't captured 
in the first place. Trying to make major corrections in postproduction invariably produces unsightly artifacts.
Using as much dynamic range as possible also provides more latitude for image processing in postproduction. For 
example, if you want a shot to be dark and moody, you'll produce better results by shooting a brightly lit scene and 
darkening it in postproduction than by shooting with dark lighting.
To make use of the full dynamic range, leave the darkest shadows sitting at the bottom of the scale on the Waveform 
Monitor; light the brightest areas so they reach the top, and create lots of grayscale steps in between.
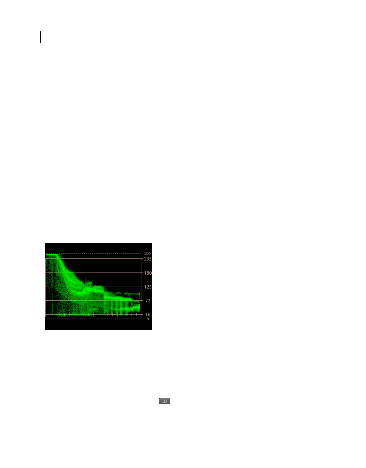
About the waveform
The Waveform Monitor displays brightness values from 0 to 255, with the broadcast limits of 16 and 235 clearly 
delineated. The horizontal position in the signal corresponds to the horizontal position in the image. For example, if 
a spike occurs in the signal about one-third of the way from the left side, a bright spot exists in the image at the same 
relative position.
A. Test image  B. As seen through camera  
The graphic above shows a test image and the waveform that it produces. You can clearly see the correspondence 
between the horizontal position of the shapes in the image and the signal. The gray background produces the 
horizontal swath that ranges from approximately 80–125 Y. The dark triangle and light oval account for the bands at 
approximately 45–65 and 165–180 Y, respectively. Because the vertical white line extends all the way from top to 
bottom, it cuts a full slice out of the background swath, whereas the black line takes only a bite out of that swath because 
it’s just half the height of the image.
The two shapes on the right side of the test image are the hardest to interpret, because they are geometrically complex 
and contain gradients rather than solid colors. The sine wave produces an angled line because the gradient runs 
sideways. With the gradient running vertically in the scalloped shape, the signal roughly reflects the shape.
Configure waveform monitors
Display waveform monitors
You can display multiple waveform monitors, each measuring a different color component.
•To add a new monitor, choose Window > Waveform Monitor > New Waveform Monitor.
•To display an existing monitor, choose Window > Waveform Monitor > [color component].
AB
ug.book  Page 21  Thursday, February 5, 2009  6:37 PM
Updated 5 February, 2009

22 CHAPTER 4
Analyzing lighting, exposure, and color
Select the color component you want to evaluate
In the upper-right corner of the Waveform Monitor panel, click the menu button   to select from the following 
options:
YCbCr options  Display brightness values if you select Y, or chroma values if you choose Cb or Cr. To display all three 
simultaneously, with brightness values on the left of the graph and chroma on the right, choose Parade.
RGB options  Displays the Red, Green, or Blue channels individually, or together with the Parade option.
Switch from Full to Line mode
❖To switch from analyzing the full image to a single line of the video, select Line. Then drag across the value to scroll 
up and down the frame. 
When you switch to Line mode, the Field Monitor displays the current line in white. To hide the line, click a panel 
other than the Waveform Monitor.
Adjust Intensity and Illumination for your working environment
To better evaluate video data in a variety of lighting conditions, adjust the following settings:
Intensity  Controls the brightness of the waveform display.
Illumination  Controls the brightness of the scale.
Evaluating brightness and color with histograms
Histograms analyze the entire image and count the number of pixels at each brightness or color value. The value that 
has the most pixels appears as a spike that reaches all the way to the top of the graph. All other values are relative to 
that peak. For example, if a given value reaches the 40 line, there are 40% as many pixels at that value as there are at 
the peak. 
The vertical dimension of the scale represents the relative number of pixels at each brightness value. The horizontal 
dimension represents the brightness scale, from dark on the left to bright on the right.
If you’re familiar with Adobe® Photoshop®, the Levels view displays a similar histogram.
Display histograms
You can display multiple histograms, each measuring a different color component.
•To add a new histogram, choose Window > Histogram > New Histogram.
•To display an existing histogram, choose Window > Histogram > [color component].
Select the color component you want to evaluate
In the upper-right corner of the Histogram panel, click the menu button   to select from the following options:
YCbCr: Y  Displays overall brightness values.
RGB options  Displays the Red, Green, or Blue channels individually, or together with the Parade option.
Adjust Intensity and Illumination for your working environment
To better evaluate video data in a variety of lighting conditions, adjust the following settings:
Intensity  Controls the brightness of the histogram display.
ug.book  Page 22  Thursday, February 5, 2009  6:37 PM
Updated 5 February, 2009

23
USING ADOBE ONLOCATION CS4
Illumination  Controls the brightness of the scale.
Analyzing color with the Vectorscope
The Vectorscope represents pixel color in a circular graticule divided into sectors by chrominance. A signal on or near 
the center of the graticule represent pixels with little or no color—black, white, and grays. The greater the distance from 
the center, the more saturated the color.
The outer circle of the Vectorscope represents the boundary for legal color values in the broadcast industry. If the 
signal extends outside the circle, television stations might not be able to broadcast the video.
The Vectorscope can analyze either the full frame or a single horizontal line. In Full mode, the scope is additive in 
nature; a point is added to the signal for each pixel. The brightness of the signal in any given region reflects the number 
pixels in that region. Bright areas like those near the green and blue targets in the following example indicate that the 
frame has many pixels of similar colors. The Gain and Intensity settings also directly affect the brightness of the signal.
A. Red  B. Magenta  C. Yellow  D. Green  E. Cyan  F. Blue  
If you prefer a traditional, green vector display, select Monochrome in the Appearance section of the Preferences dialog 
box.
For more information, see “Evaluating brightness and color with waveform monitors” on page 20.
Checking white balance, continuity, and key color with the Vectorscope
The Vectorscope can benefit you in many ways, particularly if the only alternative is the camera’s small LCD flip-out 
screen. Flip-out screens often overemphasize saturation, particularly for primary colors. If the SureShot white balance 
card is placed in front of the camera, the Vectorscope indicates how far the white balance is off, and in which direction.
If you toggle the Field Monitor between clips and cameras, the Vectorscope can help you maintain color continuity 
between them. For example, you can address a shift in skin tone from a subtle lighting change or match the hue from 
two different camera angles. Maintaining color continuity during a shoot prevents more difficult color correction in 
postproduction.
If you’re shooting against a greenscreen or bluescreen, the Vectorscope helps ensure that the background color is 
sufficiently saturated for easy and effective keying. For more information, see “Maintaining consistent color for 
background keying” on page 24.
C
D
FE
BA
ug.book  Page 23  Thursday, February 5, 2009  6:37 PM
Updated 5 February, 2009

24 CHAPTER 4
Analyzing lighting, exposure, and color
Configure the Vectorscope
The following settings appear at the top of the Vectorscope:
Gain  Changes the brightness of the point painted for each pixel in the image. By decreasing the gain, you emphasize 
only colors that are common in the image. Conversely, increasing the gain accentuates the display for colors that 
appear only sparsely in the image.
Intensity and Illumination  Control the brightness of the vector display and the brightness of the graticule, respectively.
Line mode and Full mode  Switch between analyzing the full image and a single line of video. In Line mode, drag across 
the value to scroll up and down the frame; a white line appears in the Field Monitor indicating the current line.
 To hide the line in the Field Monitor, click a panel other than the Vectorscope.
Maintaining consistent color for background keying
When you shoot footage against a colored background that will be keyed out in postproduction, use the Vectorscope 
and Waveform Monitor to ensure consistent results. The goal is to maximize the purity and saturation of the 
background as much as possible, without negatively impacting the foreground subject.
•The Vectorscope assesses the consistency and saturation of the background color. With nothing in front of the 
background, look for a tight signal concentrated out near the target for the color of the background. The tighter the 
signal, the more consistent the background. The farther the signal is from the center of the scope, the more 
saturated it is.
•The Waveform Monitor assesses the consistency of the brightness across the background. An ideally lit background 
shows a thin, straight line across the graph.
If you are continuing an previous shoot, use these tools to ensure that the color balance and brightness of the 
background hasn’t changed significantly. Confirming background consistency saves time in the editing application, 
letting you use the same keying settings for all clips.
Video and audio alerts
About alerts
Alerts indicate where video brightness exceeds a threshold you specify, and where audio clipping and pops occur. 
Video alerts
If brightness levels are too high, digital video becomes clipped, causing problems that you can’t correct in 
postproduction. With the SureShot panel, Waveform Monitor, and zebras, you can achieve camera settings and 
lighting that place most brightness levels safely below the clipping point. However, you can still encounter unexpected 
problems, such as transient flashes of reflected sun. Video alerts help you identify these issues.
ug.book  Page 24  Thursday, February 5, 2009  6:37 PM
Updated 5 February, 2009

25
USING ADOBE ONLOCATION CS4
In the Field Monitor, video alerts appear as broad white bands in the waveform wherever brightness exceeds a specified 
level, area, and duration. To set these parameters, see “Adjust or disable alerts” on page 26.
Note: Video alerts appear during and after recording. They are unavailable during live setup.
Audio popping alerts
Popping alerts identify sudden surges in sound that aren’t loud enough to cause audio clipping, but are likely to create 
unpleasant and possibly unusable audio. A plosive sound at the beginning or end of a word is a common source of such 
pops. A slight adjustment in the position of a microphone can often reduce this problem.
In the Audio panel, popping alerts appear as yellow icons   above the meters. In the Field Monitor, they appear as 
yellow tick marks above and below the centerline of the audio waveform. 
Popping alerts in the Field Monitor
In the Field Monitor, audio alerts above the centerline are for the left channel, and alerts below are for the right.
Audio clipping alerts
Clipping alerts indicate sounds that exceed the amplitude range of the current audio bit depth. Brief audio clipping 
may not be audible on location, but it produces distortion that can cause problems when editing. To avoid clipping, 
see “Step 5: Set audio levels” on page 17.
In the Audio panel, clipping alerts appear as red lines   at the top of the meters. In the Field Monitor, they appear as 
bright red tick marks at the extreme top and bottom of the waveform. 
Clipping alerts in the Field Monitor
To clear clipping alerts in the Audio panel, click them.
Navigate to alerts
After recording a clip, navigate to alerts to evaluate potential video and audio issues they identify.
❖In the Field Monitor, click the Previous Alert   or Next Alert   button.
OnLocation shuttles the clip to the alert.
To add notes at specific time points, see “Comment markers” on page 47.
ug.book  Page 25  Thursday, February 5, 2009  6:37 PM
Updated 5 February, 2009

26 CHAPTER 4
Analyzing lighting, exposure, and color
Adjust or disable alerts
If OnLocation flags unproblematic video or audio, or misses genuine problems, adjust alert thresholds. If video or 
audio quality isn’t critical for a particular project and you find alerts distracting, disable them.
1Choose Edit > Preferences (Windows) or OnLocation > Preferences (Mac OS).
2In the Quality Monitoring section, do any of the following:
•For video clipping alerts, adjust the Brightness, Area, and Duration thresholds.
•For audio pop alerts, adjust the Magnitude threshold.
•Disable or enable specific alerts.
Checking continuity
To check the continuity of lighting, exposure, and composition from one shot or camera to another, enable the Split 
Screen option. This option freezes the current frame from a recorded clip or live camera, letting you define the size and 
position of the frozen region.
To check compositional continuity, adjust opacity so the split region becomes semi-transparent. If you want to assess 
the entire frame, maximize the region.
To check the continuity of lighting and exposure, make the split region fully opaque, and maximize it to the full height 
of the frame so the Waveform Monitor can provide complete information. If the framing between the reference frame 
and the current image is identical, the waveform display should be well aligned.
Split screen revealing misaligned waveforms
In the example above, luma values from 72 to 125 are misaligned. If the left side is the live camera and the right side is 
the recorded clip that you’re trying to match, reduce the lighting on the scene or stop down the camera's iris.
Enable and adjust the split screen
Split the screen
In the Field Monitor, click the Split Screen button  . A frame appears defining the split region.
Move the split region
Drag the cross-hairs in the center of the region.
ug.book  Page 26  Thursday, February 5, 2009  6:37 PM
Updated 5 February, 2009

27
USING ADOBE ONLOCATION CS4
Resize the split region
Drag a corner or side handle of the region.
Maximize or restore the split region
To expand the split region to full screen, double-click the cross-hairs. To return to the previous size and position, 
double-click the cross-hairs again.
Adjust the split region’s opacity
To adjust the transparency of the frozen image in the split screen, do the following:
1In the upper-right corner of the Field Monitor, click the panel menu icon  .
2Choose Monitor Settings.
3Adjust the Split Screen Opacity value.
To toggle the split region between the value above and full opacity, press Alt+O (Windows) or Option+O (Mac OS). 
To assign additional shortcuts for increasing and decreasing opacity, see “Customize shortcuts” on page 51.
Check continuity between a live camera and a previously recorded clip
To check continuity between a live camera and a recorded clip, display a frame from the clip in the split region, and 
make the camera the active source.
1Scrub to an appropriate frame in a recorded clip.
2In the Field Monitor, click the Split Screen button.
3To switch the active source to the live camera feed, click Stop, or press the Esc key.
Check continuity between multiple cameras
The Split Screen option is useful for comparing and calibrating multiple cameras to give video from all of them a 
common appearance.
1Plug both cameras into the computer, adjust the manual settings on one of them, and record a small clip to the hard 
drive.
2Switch to the second camera, and enable the Split Screen option between the recorded clip from camera one and 
the live feed from camera two. 
3Adjust iris, white balance, and other settings so that the image from the second camera has good continuity with 
the image from the first.
For more information, see “Setting up cameras” on page 14.
ug.book  Page 27  Thursday, February 5, 2009  6:37 PM
Updated 5 February, 2009

ug.book  Page 28  Thursday, February 5, 2009  6:37 PM
Updated 5 February, 2009

29
Chapter 5: Checking framing and focus
Adobe OnLocation provides numerous tools that help you perfectly frame the picture.
Aesthetic framing
A key part of setting up a shot is aesthetic or stylistic framing that delivers precisely the impression you’re trying to 
convey. Without proper framing, the subject might be lost in the shot, or unnecessary elements might distract the 
viewer and make the image visually confusing.
To achieve aesthetic framing, consider the following:
•As you frame the shot, question everything in the shot and where it’s positioned. Is everything in the frame there 
for a reason? For example, will a logo on the back wall be visible to viewers? If you have more than one subject, do 
their positions in the shot support the scene?
•Aesthetic framing is as important as properly adjusting the camera. For example, a wide, expansive shot might be 
appropriate if you’re emphasizing a specific location, but not if you’re trying to establish an intimate one-on-one 
talk with the audience. Framing the subject too tightly can give the audience a sense of apprehension or 
claustrophobia, which may or may not be desirable depending on the desired effect.
Frame with the grid
Use the grid to divide the screen into thirds, which can help you determine framing and composition. 
1In the upper-right corner of the Field Monitor, click the panel menu icon  , and choose Monitor Settings.
2In the Grid section, select Enable.
3For Mode, choose either of the following:
Tick  Displays short lines at the edges of the Field Monitor. This is the default setting.
Line  Draws the grid all the way across the frame.
4To control the position of the grid markings, adjust the Scale setting.
By default, the grid scale is set to 33.3%, which divides the frame into thirds. The rule of thirds states that 
compositions benefit when a key element aligns with an imaginary line that’s one-third from the top, bottom, or 
side of the frame. To draw the greatest attention to a key element, place it at an intersection of these lines.
ug.book  Page 29  Thursday, February 5, 2009  6:37 PM
Updated 5 February, 2009

30 CHAPTER 5
Checking framing and focus
In the following example, the subject is framed so that the eyes are one-third of the way from the top of the frame. 
In a full-body shot, you might want to frame the subject’s body along one of the vertical lines.
The rule of thirds is only a guideline, not a hard rule. The most important rule is to keep the audience’s attention.
Display and adjust the action-safe margin
If you typically view the Field Monitor in the Fit mode (reflecting underscan), Adobe recommends that you display 
the action-safe margin. This option superimposes a white line around the true center of the picture. 
At the default setting of 90%, the safe margin represents the area visible on all televisions. However, Adobe OnLocation 
lets you adjust the area from 50% to 100% of the frame. 
Display the action-safe margin
❖In the Field Monitor, click the Safe Margins button  .
Adjust the size of the safe margin
1In the upper-right corner of the Field Monitor, click the panel menu icon  , and choose Monitor Settings.
2Adjust the Safe Margin Size value.
For more information, see “Zooming, underscan, and overscan” on page 31.
Preview different aspect ratios
The Letterbox Mask option shows how the video frame would look if cropped to a different aspect ratio. The mask 
appears either above and below the image, or on the sides, depending on how the mask’s aspect ratio relates to the 
current video aspect ratio.
Note: The Letterbox Mask simply crops the image to provide a preview. To stretch or squish the image to display it in 
different proportions, change the monitor aspect ratio. (See “Step 2: Set the monitor aspect ratio” on page 14.) 
ug.book  Page 30  Thursday, February 5, 2009  6:37 PM
Updated 5 February, 2009

31
USING ADOBE ONLOCATION CS4
Mask at top and bottom of frame previews different aspect ratio
1In the upper-right corner of the Field Monitor, click the panel menu icon  , and choose Monitor Settings.
2In the Letterbox section, select Enable.
3For Mode, choose one of the following:
Shadow  Displays a semitransparent gray filter.
Black  Displays opaque black bars.
White  Displays opaque white bands.
4Select an aspect ratio:
4:3  Specifies the aspect ratio used by conventional television.
16:9  Specifies the aspect ratio used by high-definition television (HDTV).
Custom  Lets you set a ratio ranging from 1.000 (1:1, a square) to 2.400 (12:5).
Zooming, underscan, and overscan
In addition to zoom settings that reflect traditional underscan and overscan, the Field Monitor lets you magnify the 
image up to ten times. At higher zoom settings, use the scroll bars to navigate to different image areas.
Zoom the image
❖At the bottom of the Field Monitor, select one of the following from the Zoom Level menu:
Fit  Displays the full video frame, reflecting the picture visible on video projectors, wide-screen TVs, and computer 
monitors. This zoom setting, which reflects the traditional underscan mode, reveals content on the edges that DV 
cameras record but don’t show on their flip-out LCDs. Look for light stands, microphones, and other unwanted 
objects on the edges of the frame. 
ug.book  Page 31  Thursday, February 5, 2009  6:37 PM
Updated 5 February, 2009

32 CHAPTER 5
Checking framing and focus
Overscan  Zooms to 90%, reflecting the default safe margin setting and the area visible on all televisions.
100 to 1,000%  Zooms from 1:1 resolution (where each line in the Field Monitor reflects one line of video) to 10:1 
resolution (where each line is magnified ten times).
Note: Use the 100% setting to accurately check focus.
About underscan and overscan
In the early days of television, the on-screen image shrank as TV sets aged because the electron gun that created the 
picture moved more and more poorly. As a result, a black border appeared around the edges of the picture. The 
electron gun could be recalibrated to fill the whole screen, but that was time consuming and costly. The TV industry 
settled upon a solution that made the electron guns of new picture tubes paint the image beyond the borders of the 
picture tube. Then, as a TV set aged, more of the image would be visible rather than black bands appearing.
Although this remedy worked, it created the following problems:
•The broadcast industry coined the terms underscan and overscan and gave them counterintuitive meanings. 
Overscan was defined as the central part of the image that you can see on a standard TV. Underscan was defined as 
the full frame, which is visible only on a production monitor. So the underscan actually shows more of the picture 
than the overscan.
•The underscan solution frustrates videographers and graphic designers because the visible area of the frame differs 
on each TV set. They must ensure that everything essential to the scene is visible within the action-safe margin and 
nothing extraneous appears in the overscan margin.
For more information, see “Display and adjust the action-safe margin” on page 30.
ug.book  Page 32  Thursday, February 5, 2009  6:37 PM
Updated 5 February, 2009

33
Chapter 6: Organizing and logging shots
Organizing the Shot List
Understanding the shot- and take-recording modes
Adobe OnLocation provides separate recording modes that address two different working styles. To toggle from one 
mode to the other, see “Select shot- or take-recording mode” on page 33. If you don’t know which mode is best for a 
project, consider these guidelines:
•If a project is more spontaneous and each shot is unique, select shot-recording mode. 
•If you add detailed placeholder shots in preproduction and record multiple takes of each shot, select take-recording 
mode.
After you select a recording mode, follow the related workflow below:
Shot-recording workflow
1To create each shot, start recording. Repeat this step until you’ve recorded all the needed shots.
If a particular shot merits a second take, create a take placeholder and record into it. (See “Add take placeholders 
in shot-recording mode” on page 34.)
2Any time after recording, edit descriptive properties in the Shot List. 
Take-recording workflow
In preproduction, do the following:
1Add placeholders to the Shot List, and enter any descriptive metadata needed for production, postproduction, and 
distribution. (See “Add or duplicate shot placeholders” on page 34.)
2Adjust the numbers in the Sequence column to reflect the shooting schedule. When Sequence numbers are 
accurate, you can sort by other columns and later restore the shooting order by clicking the Sequence header. (See 
“Arrange the shooting sequence” on page 35.)
In production, do the following:
1Select the first placeholder in the Shot List, and start recording. To create additional takes, start recording again. 
2After you have all the takes you want for a shot, select the next placeholder and record into it. Repeat this step until 
you've recorded all your content.
To add an unexpected shot, create a placeholder for it, and assign an appropriate Sequence number.
For more information, see “Edit, copy, or search shot properties” on page 36 and “Recording clips” on page 41.
Select shot- or take-recording mode
1In the upper-right corner of the Shot List, click the panel menu icon  .
ug.book  Page 33  Thursday, February 5, 2009  6:37 PM
Updated 5 February, 2009

34 CHAPTER 6
Organizing and logging shots
2Select one of the following:
Shot-Recording Mode  For each recorded clip, creates a shot with entirely unique metadata properties (such as Clip 
Name, Location, and Scene).
Take-Recording Mode  For each recorded clip, creates a take that inherits metadata properties from the currently 
selected shot. For example, if the currently selected shot includes “Downtown” for Location, newly recorded takes 
reflect that metadata. The clip name matches too, except for a parenthetical number that identifies each take within 
a shot family. 
Parenthetical numbers in clip name identify additional takes in a shot family. All takes in a family share an identical Sequence number.
For more information, see “Understanding the shot- and take-recording modes” on page 33 and “Recording clips” on 
page 41.
Add take placeholders in shot-recording mode
If you use shot-recording mode for a spontaneous shooting schedule, but a particular shot merits a second take, do the 
following:
1In the Shot List, select the desired shot.
2In the lower-left corner of the panel, click the Add Take Placeholder button  .
A take placeholder appears, reflecting the selected shot’s clip name, with the addition of a parenthetical take 
number. Copied metadata includes Sequence, Good, and Rating.
For more information, see “Understanding the shot- and take-recording modes” on page 33 and “Edit, copy, or search 
shot properties” on page 36.
Organize shots in take-recording mode
The following tasks are designed primarily for take-recording mode. But if a more spontaneous shoot can benefit from 
greater organization, you’ll occasionally find these tasks helpful in shot-recording mode too.
To determine which mode is best for a project, see “Understanding the shot- and take-recording modes” on page 33.
Add or duplicate shot placeholders
To create shot placeholders, do either of the following:
•For an entirely unique shot, click the Add Shot Placeholder button   in the lower-left corner of the Shot List. A 
shot placeholder appears with blank metadata properties.
ug.book  Page 34  Thursday, February 5, 2009  6:37 PM
Updated 5 February, 2009

35
USING ADOBE ONLOCATION CS4
•For a shot based on another, right-click the similar shot, and select Make Duplicate Placeholder. A shot placeholder 
appears with copied metadata properties.
Note: The same icon identifies placeholders and missing recorded clips. To identify the latter, look for filename 
extensions in the Clip Name column.
Shot placeholders in the Shot List.
Organize shots by day
1Create a complete list of shot placeholders.
2For each placeholder, enter Shot Day numbers that reflect the shooting schedule. (For example, enter 1 for the first 
day, 2 for the second day, and so on.)
3Click the header of the Shot Day column to sort shots based on that property.
4To arrange the shooting sequence within each day, complete the procedure below.
Arrange the shooting sequence
In the Shot List, you adjust numbers in the Sequence column to reflect the shooting schedule. To best synchronize an 
entire production crew, copy each shot’s Sequence number to the script.
1Create a complete list of shot placeholders.
2Adjust the Sequence numbers to reflect the shooting schedule: 
•For projects with less than 100 shots, enter 01 for the first, 02 for the second, and so on.
•For projects with over 100 shots, enter 001 for the first, 002 for the second, and so on.
3Click the header of the Sequence column to sort shots based on that property.
4In the upper-right corner of the Shot List, click the panel menu icon  , and select Renumber Sequence Column.
Values in the Sequence column are replaced by multiples of 10, giving you flexibility to insert unplanned shots or 
renumber shots without duplicating numbers.
Important: Only use the Renumber Sequence Column command after sorting by the Sequence column. Otherwise, the 
generated values won’t reflect your shooting sequence.
Move a take to a different shot family
If you inadvertently recorded a take in the wrong shot family, do the following:
1Right-click the misplaced take, and select Move From This Shot.
ug.book  Page 35  Thursday, February 5, 2009  6:37 PM
Updated 5 February, 2009

36 CHAPTER 6
Organizing and logging shots
2Right-click any take or placeholder in the correct shot family, and select Move To This Shot.
All properties but Comment, Good, and Rating automatically update to reflect the new shot family.
For more information, see “Edit, copy, or search shot properties” on page 36 and “Recording clips” on page 41.
Edit, copy, or search shot properties
For both placeholders and recorded clips, the Shot List lets you view and edit several descriptive properties like 
Location and Scene. Most Shot List properties are reflected in the Metadata panel’s Dynamic Media schema. That 
panel, however, provides access to many additional properties optimized for specific workflows.
In both the Shot List and Metadata panel, properties are based on Extensible Metadata Platform (XMP), so they appear 
throughout Adobe video and audio applications. This shared metadata streamlines your production process. For more 
information, see “Viewing and editing XMP metadata” on page 38.
Edit shot properties
•To edit a text property like Clip Name or Description, click once to select a shot. Then click the property, and type.
• To edit a numeric property like Rating, drag across it.
• To enable or disable an option like Good, click it.
To add descriptive text at specific time points, see “Comment markers” on page 47. These markers appear only in 
Adobe OnLocation.
Copy properties from one shot to another
Copied properties include all metadata, except for Clip Name, Sequence, Good, Rating, and Comments. (Excluding 
the Clip Name and Sequence properties maintains the current family of the shot you paste into.)
1In the Shot List, right-click a shot, and choose Copy Metadata.
2Right-click another clip, and choose Paste Metadata.
To create an entirely new shot based on the properties of an existing one, see “
Add or duplicate shot placeholders
” on 
page 34.
Search shot properties
The Shot List provides search features like those found in the Metadata panel.
1In the upper left of the Shot List, enter text in the search box. 
The list collapses to reveal only shots with properties that contain the text.
2To limit the search to a specific property column, select it from the In menu.
3To exit the search mode and return to the full list of shots, click the close button   to the right of the search box.
Remove shot properties from output files
By default, Adobe OnLocation embeds Shot List properties in output files, ensuring that these properties are visible in 
other Adobe video applications. In most cases, you should leave this default setting unchanged. If you prefer to define 
clip properties in another video application, however, you can disable embedded properties in Adobe OnLocation.
1Choose Edit > Preferences > Recording (Windows) or OnLocation > Preferences > Recording (Mac OS).
ug.book  Page 36  Thursday, February 5, 2009  6:37 PM
Updated 5 February, 2009

37
USING ADOBE ONLOCATION CS4
2Deselect Include Source XMP Metadata In Output.
For more information, see “Customize the Shot List” on page 38 and “Setting buffer length and drive space thresholds” 
on page 42.
Change the default shot name
The default shot name determines the filename prefix for newly added shots. As you add shots, the number at the end 
of the name increases. For example, the first shot is default name 01, and the second is default name 02.
1Choose Edit > Preferences > File Handling (Windows) or OnLocation > Preferences > File Handling (Mac OS).
2In the Base Name For New Shots section, select one of the following:
Project Name  Uses the name of the project that contains the shot.
Current Shot  Uses the name of the selected shot.
Custom  Uses the name you type in the box.
For more information, see “Delete or import clips” on page 37 and “Grabbing still images” on page 43.
Delete or import clips
Delete clips
1In the Shot List, select the clips.
2Click the trash icon  .
Note: This procedure deletes recorded clips only from the Shot List. To remove them from your hard drive, navigate to 
the Deleted Clips folder inside the project folder, and delete files from your system.
Import clips
You can import any clip recorded by Adobe OnLocation. Importing lets you return deleted clips to their original 
project or copy clips to another project. 
❖In Windows or Mac OS, navigate to the video file, and drag it to the Shot List.
Note: To recover the audio display, comment markers, and alerts for a deleted clip, its SMVP file must still exist in the 
project’s Clip Info folder.
Set revision rights for imported clips
If you’re using an imported clip in multiple projects, revision rights help you prevent unexpected changes to clip 
properties. (Such changes apply across projects.)
1Choose Edit > Preferences > File Handling (Windows) or OnLocation > Preferences > File Handling (Mac OS).
2From the Revision Rights For Imported Clips menu, select one of the following:
Filename Protected  Retains the filename but allows changes to all other clip properties.
Full   Allows changes to all clip properties.
Blocked  Prevents changes to clip properties.
For more information, see “Change the default shot name” on page 37 and “Transferring clips to other applications” 
on page 48.
ug.book  Page 37  Thursday, February 5, 2009  6:37 PM
Updated 5 February, 2009

38 CHAPTER 6
Organizing and logging shots
Customize the Shot List
Show or hide property columns
1In the upper-right corner of the Shot List, click the panel menu icon  .
2Choose Select Columns.
3Select the properties you want to show, and deselect those you want to hide.
Rearrange columns
❖In the Shot List, drag column headers to the left or right.
Change the size of video thumbnails
1In the upper-right corner of the Shot List, click the panel menu icon  .
2Choose Thumbnail Size > Small, Medium, or Large.
For more information, see “Edit, copy, or search shot properties” on page 36 and “Viewing and editing XMP 
metadata” on page 38.
Viewing and editing XMP metadata
About the Metadata panel and XMP
To streamline your workflow and organize your files, use metadata. Metadata is a set of descriptive information about 
a file. Video and audio files automatically include basic metadata properties, such as date, duration, and file type. You 
can add details with properties such as location, director, copyright, and much more.
With the Metadata panel, you can share this information about assets throughout Adobe video and audio applications. 
Unlike conventional clip properties, which are limited to only one application’s Project or Files panel, metadata 
properties are embedded in source files, so the data automatically appears in other applications. This sharing of 
metadata lets you quickly track and manage video assets as they move through your production workflow.
Note: Properties in the Metadata panel also appear in Adobe Bridge, providing additional details that help you quickly 
browse assets.
For a video about the Metadata panel, see www.adobe.com/go/lrvid4104_xp
Understanding schemas and properties
A metadata schema is a collection of properties specific to a given workflow. The Dynamic Media schema, for example, 
includes properties like Scene and Shot Location that are ideal for digital video projects. EXIF schemas, by contrast, 
include properties tailored to digital photography, like Exposure Time and Aperture Value. More general properties, 
like Date and Title, appear in the Dublin Core schema. To display different properties, see “Show or hide metadata” 
on page 39.
For information about a specific schema and property, hover the pointer over it in the Metadata panel. For most 
items, a tool tip appears with details.
ug.book  Page 38  Thursday, February 5, 2009  6:37 PM
Updated 5 February, 2009

39
USING ADOBE ONLOCATION CS4
About the XMP standard
Adobe applications store metadata using the Extensible Metadata Platform (XMP). XMP is built on XML, which 
facilitates the exchange of metadata across a variety of applications and publishing workflows. Metadata in most other 
formats (such as EXIF, GPS, and TIFF) automatically transfers to XMP so you can more easily view and manage it. 
In most cases, XMP metadata is stored directly in source files. If a particular file format doesn’t support XMP, however, 
metadata is stored in a separate sidecar file.
Project assets without corresponding files don’t support XMP. Examples from Adobe Premiere Pro include Bars and 
Tone, Universal Counting Leader, Color Matte, Titles, Black Video, and Transparent Video.
To customize the creation and exchange of metadata, use the XMP Software Development Kit. For more information, 
visit the Adobe website.
Show or hide metadata
To optimize the Metadata panel for your workflow, show or hide entire schemas or individual properties, displaying 
only those that you need. 
1From the options menu   for the Metadata panel, select Metadata Display.
2To show or hide schemas or properties, select or deselect them from the list.
Save, switch, or delete metadata sets
If you use multiple workflows, each requiring different sets of displayed metadata, you can save sets and switch 
between them.
1From the options menu   for the Metadata panel, select Metadata Display.
2Do any of the following:
•To save a customized set of displayed metadata, click Save Settings. Then enter a name, and click OK.
•To display a previously saved set of metadata, select it from the pop-up menu.
•To delete a previously saved set of metadata, select it from the pop-up menu, and click Delete Settings.
Create schemas and properties
If you have a unique, customized workflow that the default metadata options don’t address, create your own schemas 
and properties.
1From the options menu    for the Metadata panel, select Metadata Display.
2Click New Schema, and enter a name. (Skip this step if you’re adding properties to the standard schema, Premiere 
Project Metadata.)
3In the list, click Add Property to the right of the schema name. 
4Enter a property name, and select one of the following for Type:
Integer  Displays whole numbers that you drag across or double-click to replace.
Real  Displays fractional numbers that you drag across or double-click to replace.
Text  Displays a text box (for properties similar to Location).
Boolean  Displays a check box (for On or Off properties).
ug.book  Page 39  Thursday, February 5, 2009  6:37 PM
Updated 5 February, 2009

40 CHAPTER 6
Organizing and logging shots
Edit metadata
In Adobe video applications, similarly named properties are linked in the Metadata and Project panels. However, the 
Metadata panel provides more extensive properties and lets you edit them for multiple files simultaneously.
Note: Instead of a Project panel, Adobe OnLocation uses the Shot List and Soundbooth uses the Files panel.
1In the workspace, select the desired files or clips. (To apply similar metadata to multiple related files, Shift- or Ctrl-
click them.)
2In the Metadata panel, edit text or adjust values as needed.
If you selected multiple items, the panel displays properties as follows:
•If a property matches for all items, the matching entry appears.
•If a property differs, <Multiple Values> appears. To apply matching values, click the text box, and type.
Search metadata
1In the workspace, select the files or clips you want to search.
2In the search box at the top of the Metadata panel, enter the text you want to find. 
The list of metadata collapses to reveal only properties that contain your search string. 
3(Adobe Premiere Pro only) To navigate through the search results, click the Previous and Next buttons     to 
the right of the search box, or press Tab.
4
To exit the search mode and return to the full list of metadata, click the close button   to the right of the search box.
Metadata panel
A. Before search, all properties appear   B. After search, only properties with search string appear. In Adobe Premiere Pro, Previous and Next 
buttons navigate through search results.  
A B
ug.book  Page 40  Thursday, February 5, 2009  6:37 PM
Updated 5 February, 2009

41
Chapter 7: Recording, reviewing, and 
transferring clips
Recording clips
Adobe OnLocation records clips straight to the hard drive. Recorded clips appear in the Shot List, where you can scrub 
through clips digitally, which is faster than reviewing tape in the camera. With one click, you can jump to frames that 
you want to review, identify quality alerts, and then make improvements by adjusting the camera or lighting. 
Note: Adobe OnLocation records only two channels of audio, even if the camera supports additional channels. Both 
channels must pass from the camera to Adobe OnLocation via the FireWire cable.
Setting the recording format
Set the recording format for DV and DVCPro cameras
Adobe OnLocation does not change the recorded video stream, but the application does define the video format. The 
format options vary depending on the type of video stream. Select the file format that is native to your video editor and 
other postproduction applications.
If you don’t know which format to use, select AVI Type 2, the preferred format for Adobe Premiere Pro. Most editing 
applications support this file type because it’s the most common format for DV files. If that format doesn’t import 
properly, record test clips in other formats, and drag them to the video application. If a clip imports properly and 
doesn’t require re-rendering to preview, the format is a good choice.
1In the upper-right corner of the Field Monitor, click the panel menu icon  , and choose Recording File Format.
2Select one of the following:
AVI Type 1  Available only for DV cameras, this format records audio and video in one embedded stream.
AVI Type 2 (All Frames)  Records audio and video in separate streams. This is the preferred format for Adobe® 
Premiere® Pro.
AVI Type 2 (Flagged Frames Only)  Available only for DVCPro 720p cameras, at all frame rates, this format also 
records audio and video in separate streams.
Quick Time (All Frames)  Creates files in MOV format.
QuickTime (Flagged Frames Only)  Available only for DVCPro 720p cameras, at all frame rates, this format creates 
MOV files.
To minimize file size when recording from DVCPro 720p cameras, select one of the Flagged Frames Only options. If 
you plan to export to tape, select an All Frames option.
About the M2T format for HDV cameras
When you record from HDV cameras, Adobe OnLocation uses M2T (MPEG-2 Transport stream) format. This is the 
native format for HDV cameras, but most video-editing applications must transcode this file type. This format 
preserves timecode from the tape and certain other metadata. For information about optimizing performance with this 
format, see “Recording HDV” on page 43.
For more information, see “Understanding the shot- and take-recording modes” on page 33.
ug.book  Page 41  Thursday, February 5, 2009  6:37 PM
Updated 5 February, 2009

42 CHAPTER 7
Recording, reviewing, and transferring clips
Setting buffer length and drive space thresholds
Set the pre-roll buffer
Whenever a camera is connected, Adobe OnLocation continually writes the last few seconds of video to a buffer. By 
default, the application buffers five seconds of incoming content to RAM. When you start recording, Adobe 
OnLocation adds the buffered content to the beginning of the clip, ensuring that you capture action that occurs while 
recording begins. 
1Choose Edit > Preferences > Recording (Windows) or OnLocation > Preferences > Recording (Mac OS).
2In the Pre-Roll Buffer section, deselect Enable if you want clips to begin precisely when you start recording. Or, 
select this option to include a buffer, and then specify the number of seconds. 
Note: If insufficient RAM is available, the number of seconds buffered will be less than the amount specified above.
Set drive space thresholds
During recording, digital video files can grow very large, occupying a large percentage of available drive space. If drive 
space becomes low, your system may behave unpredictably. 
In the Field Monitor, Adobe OnLocation warns you about low drive space in the red message area above the audio 
waveform. When drive space becomes dangerously low, the application stops recording.
1Choose Edit > Preferences > Recording (Windows) or OnLocation > Preferences > Recording (Mac OS).
2In the Hard Drive section, specify thresholds at which to display drive space warnings and stop recording.
For more information, see “Remove shot properties from output files” on page 36.
Controlling recording from Adobe OnLocation or a camera
You can initiate recording with either Adobe OnLocation or your camera. Regardless of how you start recording, 
Adobe OnLocation adds a new clip to the Shot List with properties such as clip name, date, and duration.
Control recording from Adobe OnLocation
1To begin recording, either click the Record button   in the Field Monitor, or press F2.
At any time while recording, you can start a new clip by again clicking the Record button or pressing F2. Adobe 
OnLocation closes the current clip and starts a new one. (If you’re recording HDV, the recorder waits until the end 
of the current Group of Pictures before starting a new clip.)
2To stop recording, click the Stop button   in the Field Monitor, or press Escape.
Control recording from a camera
If you have a tape or P2 card in your camera, you can start and stop recording with the camera’s controls. 
1In the Field Monitor, click the Remote Control Toggle button  .
2To record clips, start and stop recording using the camera’s controls.
Note: For long recordings that require you to change the tape in the camera, deselect the Remote Control Toggle button. 
Disabling this option ensures that Adobe OnLocation continues recording when a tape runs out. 
ug.book  Page 42  Thursday, February 5, 2009  6:37 PM
Updated 5 February, 2009

43
USING ADOBE ONLOCATION CS4
Timecode for recorded clips
When you control recording from a camera, the timecode on tape matches the timecode in the Adobe OnLocation 
clip. When you control recording from Adobe OnLocation, the timecode depends on whether tape was rolling in the 
camera. If tape was rolling or the camera was generating run-free timecode, the clip adopts the timecode from the 
camera. If not, the timecode starts at 0:00:00.
For more information, see “Understanding the shot- and take-recording modes” on page 33.
Grabbing still images
The Still Image Grabber saves the current frame of video as a JPEG, PNG-24, or BMP file. From live video or recorded 
clips, you can quickly grab high-resolution stills and save them to the hard drive. You can edit the resulting images in 
graphics editing applications such as Photoshop®.
Note: With an HDV stream, the MPEG Resolution option affects the size of grabbed images. If you set this option to Half, 
the resulting picture is one-quarter the size of a full-resolution still because resolution drops by half in both dimensions. 
For more information, see “Adjust MPEG decompression” on page 44.
Grab a still image
To grab an image of the current frame, click the Still Image Grabber button   in the Field Monitor.
Set the filename and format for grabbed images
Grabbed image files receive a base name you specify. Numbers following the base name indicate the order in which 
you grabbed the images.
1Choose Edit > Preferences > Still Images (Windows) or OnLocation > Preferences > Still Images (Mac OS).
2For stills grabbed from the camera, either select Project Name, or select Custom and type a name in the box.
3
For stills grabbed from previously recorded clips, either select Clip Name, or select Custom and type a name in the box.
4For the image format, select one of the following:
JPEG  Produces compressed, 24-bit files that are compatible with a broad range of applications and web browsers.
PNG-24  Produces compressed, 24-bit files with higher image quality than JPEG. A slightly smaller range of 
applications and browsers support this format, however.
BMP  Produces uncompressed files in a common Windows format.
Accessing grabbed images
Image files are stored in the Grabbed Stills folder within the project folder. You can browse to these files in Windows 
or Mac OS, or from graphics, video-editing, or e-mail applications. 
To drag and drop files from the project to another application, choose File > Open Project Folder. This command 
provides quick access to project contents in Windows Explorer and the Mac OS Finder.
For more information, see “Creating, opening, and moving projects” on page 13.
Recording HDV
Recording HDV in real time requires a powerful system with settings optimized for maximum performance.
ug.book  Page 43  Thursday, February 5, 2009  6:37 PM
Updated 5 February, 2009

44 CHAPTER 7
Recording, reviewing, and transferring clips
Balancing video quality and system resources
Everyone wants to see the highest resolution and frame rate possible, but some computers cannot process all the data. 
Maximizing the quality of images requires the computer to analyze more video data, which directly increases CPU 
usage. If CPU usage rises to 100% when you are recording HDV, frames can be dropped. With HDV, frames aren’t 
dropped individually, but in groups of pictures (GOPs), which consist of up to 15 frames depending on the camera.
Capturing frame-complete recordings should be your highest priority. If necessary, reduce the demand on the CPU 
by making some compromises in the resolution and frame rate of the Field Monitor and analysis panels. These settings 
affect only what you see in Adobe OnLocation; the recorded HDV data stream is not compromised in any way.
Display all or half the video lines
By default, the Field Monitor displays all the video lines. To improve system performance or remove interlacing 
artifacts seen during rapid movement, display half the lines. Though displaying half the lines is primarily helpful for 
processor-intensive HDV streams, this setting affects video display from both DV and HDV cameras.
1In the upper-right corner of the Field Monitor, click the panel menu icon  , and choose Monitor Settings.
2From the Visible Lines menu, select one of the following:
All  Displays both fields for the highest quality. 
Odd or Even  Lowers CPU usage by displaying only one of the two fields.
Adjust MPEG decompression
Decompressing an HDV camera’s MPEG stream for display and analysis is resource intensive, much more so than for 
a DV stream. If Adobe OnLocation maximizes CPU usage, transient rectangular artifacts and dropped frames may 
occur. To avoid these issues, fine-tune MPEG decompression for your system.
1In the upper-right corner of the Field Monitor, click the panel menu icon  , and choose MPEG Decompression.
2Set the following options:
Resolution  Controls how much brightness (Y) and color (UV) data is used for each frame.
•Full  Uses all of the YUV data for higher image quality.
•Half  Uses half of the YUV data for significantly lower CPU usage.
Note: The Half setting also reduces the dimensions of grabbed stills to one-quarter of the full-resolution size. (See 
“Grabbing still images” on page 43.)
Frames Displayed  Controls which frames are displayed and analyzed, effectively changing the frame rate. MPEG 
frames use three types of compression: I-frames are self-contained, P-frames are encoded with reference to the 
preceding I-frame, and B-frames are encoded with reference to the other two frames.
•All  Displays all three frame types, producing a full frame rate and high quality.
•I + P  Displays only I- and P-frames for moderate quality and CPU usage. This setting produces roughly 15 
frames per second (fps) in NTSC and 12 fps in PAL.
•I Only  Displays only I-frames for the lowest CPU usage and quality. The resulting frame rate ranges from 2 to 5 
fps, depending on the HDV camera.
Choosing the best combination of HDV display settings
The combination of Visible Lines and MPEG Decompression settings you choose depends primarily on the speed of 
the system. Adobe recommends that you test different combinations to see what best meets your needs. 
ug.book  Page 44  Thursday, February 5, 2009  6:37 PM
Updated 5 February, 2009

45
USING ADOBE ONLOCATION CS4
As you test combinations, keep the following in mind:
•Because HDV has a much higher native resolution than the Field Monitor, you’re not likely to notice a great 
difference when you reduce either resolution-related setting (Visible Lines and MPEG Resolution). However, if you 
reduce both of these settings, the effects are much more noticeable.
•Consider using different combinations of settings in different circumstances. For example, when you’re setting up 
a shot and checking levels and focus, the value of full resolution and frame rate might outweigh the cost of image 
artifacts.
To determine how different settings affect performance, observe CPU usage in the Mac OS Activity Monitor or the 
Performance Tab of the Windows Task Manager. (To locate the Activity Monitor, choose Go > Utilities in the Finder. 
To open the Task Manager, press Ctrl+Shift+Esc.)
Tradeoff between CPU usage, frame rate, and resolution with all possible combinations of settings.
For more information, see “Setting buffer length and drive space thresholds” on page 42.
Recording DVCPro HD
To record DVCPro HD, the computer must rapidly process large amounts of data. A hard drive spinning at 7200 rpm 
should be able to process the 100 Mbit/s flowing from DVCPro HD sources, unless the drive must often pause to seek 
empty space. If the drive pauses for too many of these seeks, the result might be dropped frames when recording and 
choppy performance during playback.
To minimize the number of seeks, Adobe strongly recommends that you regularly defragment the hard drive used for 
video capture. For the best results, dedicate a hard drive to video projects and start each project with nothing on the 
drive. (Reformat the drive after you offload all the old content.)
MPEG Frames
MPEG Resolution
Visible Lines
MPEG Frames
MPEG Resolution
Visible Lines
MPEG Frames
MPEG Resolution
Visible Lines
MPEG Frames
MPEG Resolution
Visible Lines
I Only
Full
All
I Only
Full
Odd/Even
I Only
Half
All
I Only
Half
Odd/Even
I + P
Full
All
I + P
Full
Odd/Even
I + P
Half
All
I + P
Half
Odd/Even
All
Full
All
All
Full
Odd/Even
All
Half
All
All
Half
Odd/Even
Lowest CPU Usage
Lowest Image Quality
Highest CPU Usage
Highest Image Quality
ug.book  Page 45  Thursday, February 5, 2009  6:37 PM
Updated 5 February, 2009

46 CHAPTER 7
Recording, reviewing, and transferring clips
Identifying performance issues with DVCPro HD
When monitoring and reviewing DVCPro HD, you might see the following issues if CPU usage reaches 100%:
•When monitoring the live stream from the camera, Adobe OnLocation skips frames that it doesn’t have time to 
process. For 1080i video in particular, the application can also fall behind the live action. A latency of six to seven 
frames is unavoidable because of the required processing, but with an over-worked CPU, that can increase to over 
20 frames.
•When playing a DVCPro HD clip, Adobe OnLocation displays every frame as fast as it can (up to real time). If CPU 
usage is at the maximum, playback might occur in slow motion.
Improving performance with DVCPro HD
•Quit other applications, including anti-virus software.
•Hide any panels that you’re not using. The Waveform Monitor and Vectorscope use the most CPU resources.
•In the Field Monitor menu, change the Visible Lines option to Odd or Even. (See “Display all or half the video lines” 
on page 44.)
•Use a faster computer. Adobe OnLocation runs most efficiently on dual-core processors.
Note: Adobe OnLocation does not support the 24pN and 30pN formats from Panasonic cameras.
For more information, see “Setting buffer length and drive space thresholds” on page 42.
Reviewing recorded clips
Review recorded clips to confirm that video looks as you expect and add comments for future reference. Adobe 
OnLocation plays clips in real time based on the camera’s frame rate during recording. 
When monitoring live signals, Adobe OnLocation drops frames to conserve system resources for recording. When 
reviewing recorded clips, however, Adobe OnLocation plays every frame. If the CPU isn’t fast enough, the playback 
speed is slower than real time. For information about optimizing performance, see “Recording HDV” on page 43 and 
“Recording DVCPro HD” on page 45.
Note: If audio is scrambled, drops out, or doesn’t play smoothly, that doesn’t indicate a problem with a recorded clip. 
Instead, it indicates that the system can’t keep up with the data stream or the hard drive is fragmented. 
Loading and playing clips from the Shot List
From the Shot List, you can load a clip in the Field Monitor and either display a paused frame or instantly begin 
playback.
Load a clip to a paused frame
1If you are currently monitoring a camera, select the clip name from the pop-up menu in the upper-left corner of 
the Field Monitor.
2In the Shot List, click once to select the clip.
Load and play a clip
❖Double-click the clip in the Shot List.
If the Field Monitor is currently monitoring a camera, it automatically switches to clip-monitoring mode.
For more information, see “Common shortcuts” on page 52.
ug.book  Page 46  Thursday, February 5, 2009  6:37 PM
Updated 5 February, 2009

47
USING ADOBE ONLOCATION CS4
Playback controls in the Field Monitor
For more information, see “Navigate to alerts” on page 25.
Scrubbing and navigating clips
•To jump directly to any point in a clip, click the audio waveform in the Field Monitor. 
•To scrub a clip, drag across the audio waveform.
•To jump to the beginning or end of a clip, press the Home key or the End key.
For more information, see “Navigate to alerts” on page 25.
Comment markers
Add comment markers to create text notes at specific time points. For example, a comment with text like “Actor 
accidentally spills water” can help you locate a problematic moment in a clip.
You can insert comment markers during recording or playback, but you can edit marker text only when playback is 
paused.
Note: Comment markers appear only in Adobe OnLocation and After Effects. To add clip information that appears in 
all Adobe video applications, see “Edit shot properties” on page 36.
Add a comment marker
❖In the Field Monitor, click the Set Or Edit Comment Marker button  .
Edit or remove a comment marker
1While playback is paused, do either of the following:
•Double-click the marker’s icon in the audio waveform.
•Click the Go To Previous Comment   or Go To Next Comment   button. Then click the Set Or Edit 
Comment Marker button.
2Do one of the following:
•Type in the comment box. To close the box and save changes, press Enter. To discard your changes, press 
Escape.
Button Description
Play. Click the button or press the spacebar.
Pause. Click the button or press the spacebar. The current frame remains displayed in the Field 
Monitor.
Step forward one frame. Click the button or press the right arrow key. 
Step back one frame. Click the button or press the left arrow key. 
Stop and return to the camera feed. Click the button or press Escape. Adobe OnLocation returns to the 
camera feed, if one exists. If not, a message in the Field Monitor indicates that no camera can be found.
ug.book  Page 47  Thursday, February 5, 2009  6:37 PM
Updated 5 February, 2009

48 CHAPTER 7
Recording, reviewing, and transferring clips
•Choose Marker > Remove Marker.
When you navigate to a comment marker, a box appears where you edit text.
For more information, see “Viewing and editing XMP metadata” on page 38.
Transferring clips to other applications
Transfer clips to another video application
Access the OnLocation project directly from the video application
When you finish recording and logging clips in an Adobe OnLocation project, do either of the following:
•Use the Import command in the video application to access clips in the OnLocation project folder.
•In Adobe OnLocation, choose File > Open Project Folder, and drag and drop files from the project to the video 
application. 
To ensure that Adobe OnLocation can find project assets, avoid renaming clips in other applications.
Copy selected clips to a separate folder
For easier file management with large projects, you may prefer to copy only selected clips to a separate folder on an 
external or network drive. This transfer method leaves the OnLocation project intact, in case you want to revisit it.
1Choose File > Export, and then select one of the following:
All Clips  Copies every clip in the project.
Clips Marked Good  Copies only clips marked Good in the Shot List.
Selected Clips  Copies clips currently selected in the Shot List.
2Specify a location for the copied files, and click Save.
Adobe OnLocation notifies you when the copying process is complete. The copied files appear in a Clips folder at the 
location you specified.
Note: You can discard the generated XML file, which is a by-product of the export process.
For more information, see “Edit shot properties” on page 36 and “Viewing and editing XMP metadata” on page 38.
ug.book  Page 48  Thursday, February 5, 2009  6:37 PM
Updated 5 February, 2009

49
USING ADOBE ONLOCATION CS4
Working with DVCPro HD clips in Adobe Premiere Pro
Before transferring DVCPro HD clips to Adobe Premiere Pro, ensure that sequence settings reflect your footage.
1In Adobe Premiere Pro, choose File > New > New Sequence.
2In the Available Presets list, expand the DVCPRO HD folder. Then select a preset that reflects your footage.
For information about additional sequence settings, see Adobe Premiere Pro Help.
Note: Due to a limitation of the QuickTime format, DVCPro clips captured in the QuickTime format cannot be played 
on a PC outside Adobe OnLocation. These clips can be played only on a Macintosh computer.
ug.book  Page 49  Thursday, February 5, 2009  6:37 PM
Updated 5 February, 2009

ug.book  Page 50  Thursday, February 5, 2009  6:37 PM
Updated 5 February, 2009

51
Chapter 8: Keyboard shortcuts
Keyboard shortcuts help you work more efficiently.
Finding and customizing shortcuts
Find shortcuts
❖To find shortcuts, do any of the following:
•For menu commands, look to the right of command names.
•For tools, look to the right of tool tips. (To display tool tips, hold the pointer over a tool.)
•For a complete list of shortcuts, choose Edit > Keyboard Shortcuts.
Customize shortcuts
You can customize nearly all default keyboard shortcuts and add shortcuts for other commands.
1Choose Edit > Keyboard Shortcuts.
2In the Command column, select the command you want to customize.
3If you want to replace or remove an existing shortcut, choose it from the Shortcuts For Command menu.
4Do any of the following:
•To create a shortcut, click inside the Press Shortcut box, and press the desired key combination. Then click Assign.
•To remove a shortcut, click Remove.
Note: If you enter a key combination that’s already in use, Adobe OnLocation displays an alert. Click Yes to transfer the 
shortcut to a different command, or No to retain the existing assignment.
5When you finish making changes, click OK.
Save or delete custom sets of shortcuts
1Choose Edit > Keyboard Shortcuts.
2Do either of the following:
•To save a custom set, click Save As, enter a name, and click OK.
•To delete a custom set, choose it from the Set menu, and then click Delete.
Switch to a different set of shortcuts
1Choose Edit > Keyboard Shortcuts.
2From the Set pop-up menu, select the shortcuts you want to use.
To restore the original shortcuts, select Default Set.
ug.book  Page 51  Thursday, February 5, 2009  6:37 PM
Updated 5 February, 2009

52 CHAPTER 8
Keyboard shortcuts
Common shortcuts
This partial list includes the shortcuts that Adobe OnLocation experts find most useful. For a complete list, choose 
Edit > Keyboard Shortcuts.
Action Keyboard shortcut 
Record F2
Play clip Spacebar
Pause recording or playback Spacebar
Stop recording, or stop playback (return to live camera) Escape
Previous frame Left Arrow
Next frame Right Arrow
Jump to beginning of clip Home key
Jump to end of clip End key
Previous alert Ctrl+Left Arrow (Windows) or Command+Left Arrow 
(Mac OS)
Next alert Ctrl+Right Arrow (Windows) or Command+Left Arrow 
(Mac OS)
Previous clip Up Arrow
Next clip Down Arrow
Adjust values in 10-unit increments Shift-drag
Adjust values in fractional increments Ctrl-drag (Windows) or Command-drag (Mac OS)
Display color bars Alt+C (Windows) or Option+C (Mac OS)
Grab still image Ctrl+S (Windows) or Command+S (Mac OS)
ug.book  Page 52  Thursday, February 5, 2009  6:37 PM
Updated 5 February, 2009

53
Index
A
action-safe area 30
Adobe Exchange 3
Adobe OnLocation, new features in CS4 4
Adobe Premiere Pro, sequence settings 49
Adobe Product Improvement Program 1
aspect ratio
previewing 30
setting 14
audio
clipping alerts 25
levels, setting 17
popping alerts 25
B
brightness of interface 11
C
calibrating
cameras 16
Field Monitor 15
cameras, connecting 14
clips
deleting 37
importing 37
playing 47
recording 41
reviewing 46
scrubbing 47
transferring to other applications 48
comment markers 47
Community help 2
Community search engine 2
continuity, checking 26
CPU usage 44
customizing keyboard shortcuts 51
D
default settings
workspaces 11
deleting clips 37
docking panels 7
downloads
updates, plug-ins, and tryouts 3
drive space warnings 42
dropped frames, avoiding 44
DVCPro HD, recording 45
E
Exchange 3
exporting clips 48
Extensible Metadata Platform (XMP) 38
Extras 4
F
Field Monitor
action-safe area 30
aspect ratio 14
calibrating 15
display quality 44
Letterbox Mask option 30
zooming 31
file format for recording 41
FireWire, connecting with 14
floating windows 7
font installation 1
framing 29
G
grid, displaying in Field Monitor 29
H
HDV
display settings, optimizing 44
recording 44
Histogram 22
I
IEEE 1394, connecting with 14
importing clips 37
K
keyboard shortcuts
common 52
customizing 51
default, restoring 51
finding 51
saving and deleting sets 51
switching sets 51
keying, consistent color for 24
L
Letterbox Mask option 30
M
markers, for comments 47
metadata
about 38
creating 39
editing 40
searching 40
showing and hiding 39
MPEG display resolution 44
multiple monitors 11
N
navigating clips 47
new features in Adobe OnLocation CS4 4
O
online resources 4
Overscan mode 31
P
panels
See individual panel names
docking and grouping 7
opening and closing 10
resizing 9
playback controls 47
plug-ins
in Adobe Store 3
projects, opening and moving 13
R
read me file 1
recording
about 41
controlling with camera 42
DVCProHD 45
file format 41
HDV 44
pre-roll buffer 42
shot and take modes 33
timecode 43
ug.book  Page 53  Thursday, February 5, 2009  6:37 PM
Updated 5 February, 2009

INDEX54
reviewing clips 46
rule of thirds 29
S
scrubbing clips 47
shortcuts. See keyboard shortcuts
Shot List
customizing 38
default shot name 37
organizing 34
properties 36
shot-recording mode 33
sidecar files 38
software
downloads 3
Split Screen option 26
Still Image Grabber 43
SureShot, calibrating with 16
T
take-recording mode 33
timecode for recording 43
tool tips, in shortcuts 51
transport controls 47
tryouts 3
U
Underscan mode 31
updates 3
V
Vectorscope 23
video
clipping alerts 24
dynamic range 20
video-safe area. See action-safe area
Visible Lines option 44
W
Waveform Monitor 20
windows
floating 7
opening and closing 10
workspaces
about 7
choosing 11
deleting 12
docking and grouping 7
drop zones 7
floating windows 7
multiple monitors 11
predefined 11
resetting 12
resizing panel groups 9
saving custom layouts 11
X
XMP (Extensible Metadata Platform)
about 38
Software Development Kit 39
Z
zebras 19
zooming in Field Monitor 31
ug.book  Page 54  Thursday, February 5, 2009  6:37 PM
Updated 5 February, 2009