Baron Weather XDD-350C X-TREME DIGITAL DEFINITION C-BAND DOPPLER WEATHER User Manual Operational Manual
Baron Services Inc X-TREME DIGITAL DEFINITION C-BAND DOPPLER WEATHER Operational Manual
Contents
- 1. OPERATIONAL MANUAL PART 1 OF 3
- 2. OPERATIONAL MANUAL X BAND BLOCK DIAGRAM PART 2 OF 3
- 3. OPERATIONAL MANUAL C BAND BLOCK DIAGRAM PART 3 OF 3
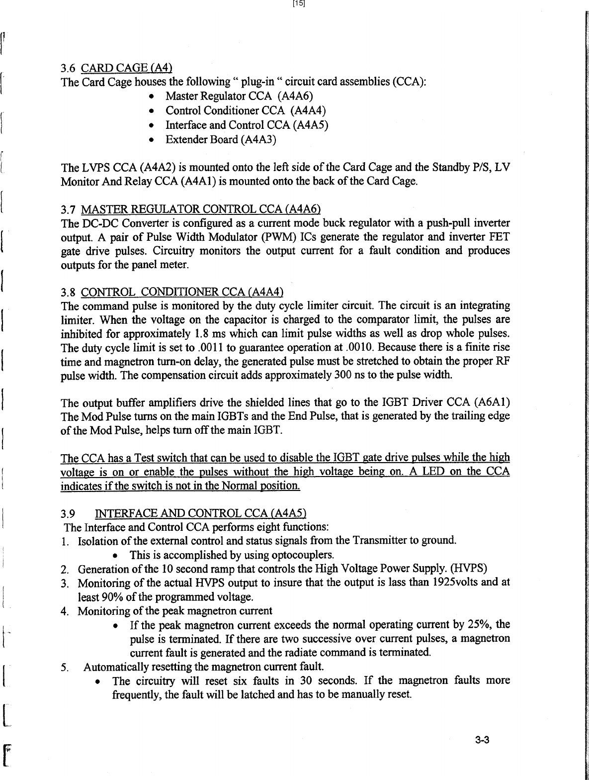
OPERATIONAL MANUAL PART 1 OF 3

![[2]](https://usermanual.wiki/Baron-Weather/XDD-350C.OPERATIONAL-MANUAL-PART-1-OF-3/User-Guide-37849-Page-2.png)
![[3]](https://usermanual.wiki/Baron-Weather/XDD-350C.OPERATIONAL-MANUAL-PART-1-OF-3/User-Guide-37849-Page-3.png)
![[4]](https://usermanual.wiki/Baron-Weather/XDD-350C.OPERATIONAL-MANUAL-PART-1-OF-3/User-Guide-37849-Page-4.png)
![[5]](https://usermanual.wiki/Baron-Weather/XDD-350C.OPERATIONAL-MANUAL-PART-1-OF-3/User-Guide-37849-Page-5.png)
![[6]](https://usermanual.wiki/Baron-Weather/XDD-350C.OPERATIONAL-MANUAL-PART-1-OF-3/User-Guide-37849-Page-6.png)
![[7]](https://usermanual.wiki/Baron-Weather/XDD-350C.OPERATIONAL-MANUAL-PART-1-OF-3/User-Guide-37849-Page-7.png)
![[8]](https://usermanual.wiki/Baron-Weather/XDD-350C.OPERATIONAL-MANUAL-PART-1-OF-3/User-Guide-37849-Page-8.png)
![[9]](https://usermanual.wiki/Baron-Weather/XDD-350C.OPERATIONAL-MANUAL-PART-1-OF-3/User-Guide-37849-Page-9.png)
![[10]](https://usermanual.wiki/Baron-Weather/XDD-350C.OPERATIONAL-MANUAL-PART-1-OF-3/User-Guide-37849-Page-10.png)
![[11]](https://usermanual.wiki/Baron-Weather/XDD-350C.OPERATIONAL-MANUAL-PART-1-OF-3/User-Guide-37849-Page-11.png)
![[12]](https://usermanual.wiki/Baron-Weather/XDD-350C.OPERATIONAL-MANUAL-PART-1-OF-3/User-Guide-37849-Page-12.png)
![[13]](https://usermanual.wiki/Baron-Weather/XDD-350C.OPERATIONAL-MANUAL-PART-1-OF-3/User-Guide-37849-Page-13.png)
![[14]](https://usermanual.wiki/Baron-Weather/XDD-350C.OPERATIONAL-MANUAL-PART-1-OF-3/User-Guide-37849-Page-14.png)
![[15]](https://usermanual.wiki/Baron-Weather/XDD-350C.OPERATIONAL-MANUAL-PART-1-OF-3/User-Guide-37849-Page-15.png)
![[16]](https://usermanual.wiki/Baron-Weather/XDD-350C.OPERATIONAL-MANUAL-PART-1-OF-3/User-Guide-37849-Page-16.png)
![[17]](https://usermanual.wiki/Baron-Weather/XDD-350C.OPERATIONAL-MANUAL-PART-1-OF-3/User-Guide-37849-Page-17.png)
![[18]](https://usermanual.wiki/Baron-Weather/XDD-350C.OPERATIONAL-MANUAL-PART-1-OF-3/User-Guide-37849-Page-18.png)
![[19]](https://usermanual.wiki/Baron-Weather/XDD-350C.OPERATIONAL-MANUAL-PART-1-OF-3/User-Guide-37849-Page-19.png)
![[20]](https://usermanual.wiki/Baron-Weather/XDD-350C.OPERATIONAL-MANUAL-PART-1-OF-3/User-Guide-37849-Page-20.png)
![[21]](https://usermanual.wiki/Baron-Weather/XDD-350C.OPERATIONAL-MANUAL-PART-1-OF-3/User-Guide-37849-Page-21.png)
![[22]](https://usermanual.wiki/Baron-Weather/XDD-350C.OPERATIONAL-MANUAL-PART-1-OF-3/User-Guide-37849-Page-22.png)
![[23]](https://usermanual.wiki/Baron-Weather/XDD-350C.OPERATIONAL-MANUAL-PART-1-OF-3/User-Guide-37849-Page-23.png)
![[24]](https://usermanual.wiki/Baron-Weather/XDD-350C.OPERATIONAL-MANUAL-PART-1-OF-3/User-Guide-37849-Page-24.png)
![[25]](https://usermanual.wiki/Baron-Weather/XDD-350C.OPERATIONAL-MANUAL-PART-1-OF-3/User-Guide-37849-Page-25.png)
![[26]](https://usermanual.wiki/Baron-Weather/XDD-350C.OPERATIONAL-MANUAL-PART-1-OF-3/User-Guide-37849-Page-26.png)
![[27]](https://usermanual.wiki/Baron-Weather/XDD-350C.OPERATIONAL-MANUAL-PART-1-OF-3/User-Guide-37849-Page-27.png)
![[28]](https://usermanual.wiki/Baron-Weather/XDD-350C.OPERATIONAL-MANUAL-PART-1-OF-3/User-Guide-37849-Page-28.png)
![[29]](https://usermanual.wiki/Baron-Weather/XDD-350C.OPERATIONAL-MANUAL-PART-1-OF-3/User-Guide-37849-Page-29.png)
![[30]](https://usermanual.wiki/Baron-Weather/XDD-350C.OPERATIONAL-MANUAL-PART-1-OF-3/User-Guide-37849-Page-30.png)
![[31]](https://usermanual.wiki/Baron-Weather/XDD-350C.OPERATIONAL-MANUAL-PART-1-OF-3/User-Guide-37849-Page-31.png)
![[32]](https://usermanual.wiki/Baron-Weather/XDD-350C.OPERATIONAL-MANUAL-PART-1-OF-3/User-Guide-37849-Page-32.png)