Canon Production Printing Netherlands 3010105668 rfid module User Manual rfid hardware REV4

Oce Display Graphics Inc rfid module rfid hardware REV4

USERS MANUAL

ENGINEERING SPECIFICATION DOCUMENT Project: CALGARY rfid-hardware_REV4.doc CONFIDENTIAL Page 1 of 16   Design Specification Radio Frequency Identification Board  Department: R&D Richmond  Document#: 301010xxxx  Authors:  Kevin Deane-Freeman Yanchun Zhang Darren Rafferty  Current Revision: 4  Revision Description  Author  Date 1  Initial Need/Want documentation  Kevin Deane-Freeman Yan chun Zhang, Darren Rafferty  27/02/07 10/05/07 2  Added RF Output plots, revised features table  Kevin Deane-Freeman  19/06/07 3  Simply some logic implementation  Yan chun Zhang, Darren Rafferty   09/07/07 4  Add Compliance Statements  Colin Soutar  12/14/2007    Océ Display Graphics Systems  Richmond Office 13231 Delf Place, #501 Richmond, BC V6V 2C3 Canada Phone: 604-232-2310 or              604-232-2328
ENGINEERING SPECIFICATION DOCUMENT Project: CALGARY rfid-hardware_REV4.doc CONFIDENTIAL Page 2 of 16  1.0 Compliance Statements ..........................................................................................................4 Compliance Standards ................................................................................................................4 2.0 Communication Protocol .........................................................................................................5 2.1 Addressing.............................................................................................................................5 RFID Board PCI Shadow Memory Address Map ........................................................................5 2.2 Hardware Capabilities..........................................................................................................6 Planned Features ........................................................................................................................6 RF Output Characteristics ...........................................................................................................7 3.0 Hardware Control.....................................................................................................................7 CODE1 Label IC Memory Definition............................................................................................8 4.0 Register Definition ...................................................................................................................9 Registers Initialization for Communication ..................................................................................9 Access the Reader Internal Registers .......................................................................................10 I.CODE1 Commands.................................................................................................................11 2.1.6 Access Label IC memory..................................................................................................11 5.0 Appendix................................................................................................................................15
ENGINEERING SPECIFICATION DOCUMENT Project: CALGARY rfid-hardware_REV4.doc CONFIDENTIAL Page 3 of 16  Figure 1.1 RFID PCI Address Map ..................................................................................................5 Figure 1.2 Features Table................................................................................................................6 Figure 1.3 TX1 Output, No Load......................................................................................................7 Figure 1.4 TX2 Output, No Load......................................................................................................7 Figure 2.1 I.CODE1 Label ICs EEPROM Memory...........................................................................8 Figure 2.2 Reader Registers Initialization......................................................................................10
ENGINEERING SPECIFICATION DOCUMENT Project: CALGARY rfid-hardware_REV4.doc CONFIDENTIAL Page 4 of 16 1.0 Compliance Statements  FCC Statement:  Any change or modification not expressly approved by the manufacturer could void the users authority to operate this equipment.  FCC Notice: Any change or modification not expressly approved by the manufacturer could void the users authority to operate this equipment.  This device complies with part 15 of the FCC Rules. Operation is subject to the following two conditions:  (1) This device may not cause harmful interference, and  (2) this device must accept any interference received, including interference that may cause undesired operation  Compliance Standards   The product is intended for a worldwide market.  ODGS tests to FCC and EU standards for CE marking.  Operational companies will test to local standards.  Compliance with the following standards should meet the requirements of all markets:  Immunity: Criterion A EN61000-4-2 EN61000-4-3 EN61000-4-4 EN61000-4-6  Emissions: Class B  EN 55022 CFR 47 FCC Part 15 Industry Canada RSS 210 EN300300-1 EN300330-2
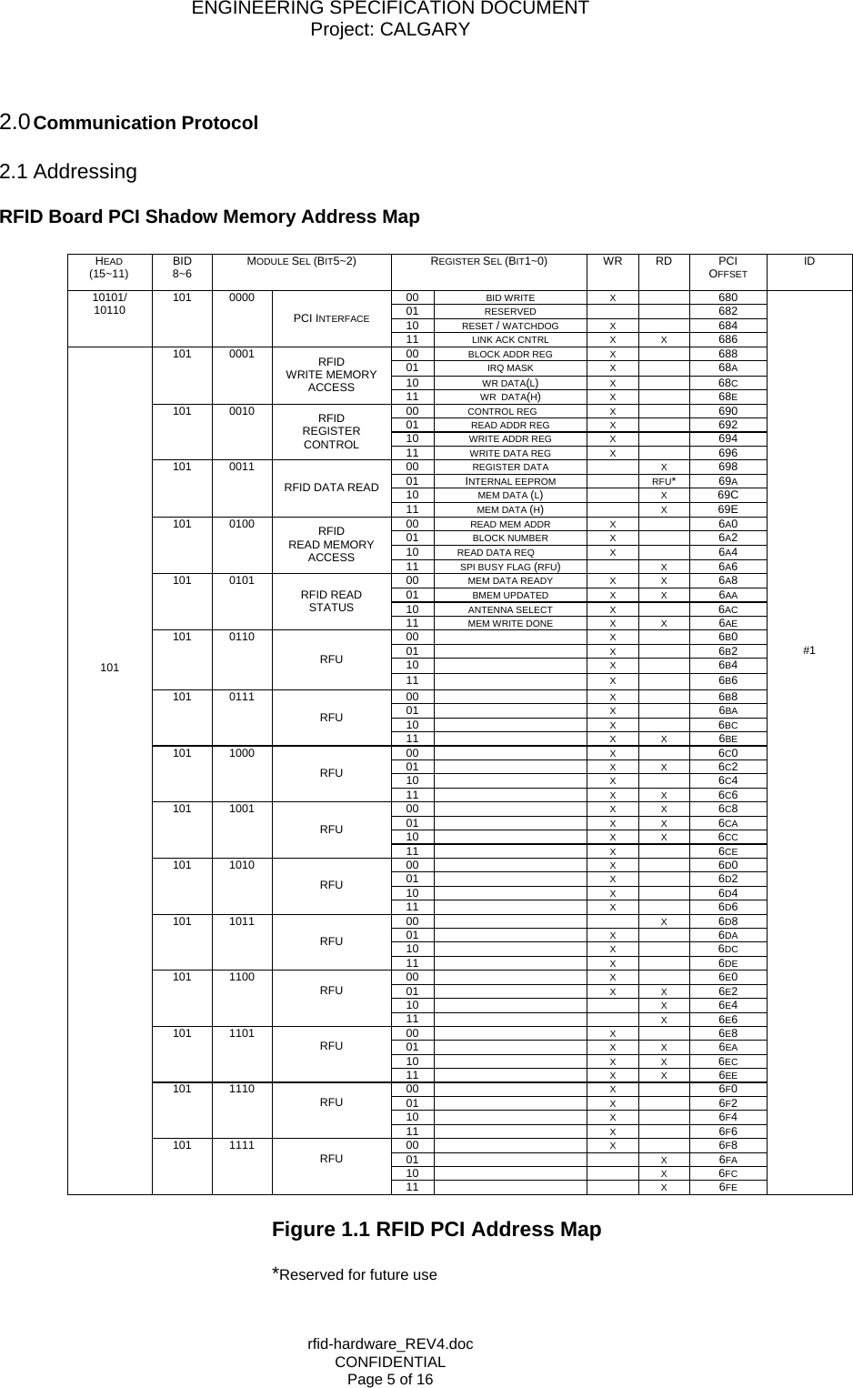
ENGINEERING SPECIFICATION DOCUMENT Project: CALGARY rfid-hardware_REV4.doc CONFIDENTIAL Page 5 of 16  2.0 Communication Protocol  2.1 Addressing  RFID Board PCI Shadow Memory Address Map  HEAD (15~11)  BID 8~6  MODULE SEL (BIT5~2) REGISTER SEL (BIT1~0) WR RD PCI OFFSET ID 00  BID WRITE X   680 01  RESERVED   682 10  RESET / WATCHDOG X   684 10101/ 10110  101 0000 PCI INTERFACE 11  LINK ACK CNTRL X X 686 00  BLOCK ADDR REG X   688 01  IRQ MASK X   68A 10  WR DATA(L)  X   68C 101 0001  RFID WRITE MEMORY ACCESS  11  WR  DATA(H)  X   68E 00           CONTROL REG X   690 01  READ ADDR REG X   692 10  WRITE ADDR REG X   694 101 0010  RFID REGISTER CONTROL  11  WRITE DATA REG X   696 00  REGISTER DATA  X 698 01 INTERNAL EEPROM   RFU* 69A 10  MEM DATA (L)     X 69C 101 0011 RFID DATA READ 11  MEM DATA (H)  X 69E 00  READ MEM ADDR X   6A0 01  BLOCK NUMBER X   6A2 10       READ DATA REQ X   6A4 101 0100  RFID READ MEMORY ACCESS  11  SPI BUSY FLAG (RFU)  X 6A6 00  MEM DATA READY X X 6A8 01  BMEM UPDATED X X 6AA 10  ANTENNA SELECT X   6AC 101 0101 RFID READ STATUS 11  MEM WRITE DONE X X 6AE 00   X   6B0 01   X   6B2 10   X   6B4 101 0110 RFU 11   X   6B6 00   X   6B8 01   X   6BA 10     X   6BC 101 0111 RFU 11   X X 6BE 00   X   6C0 01   X X 6C2 10   X   6C4 101 1000 RFU 11   X X 6C6 00   X X 6C8 01   X X 6CA 10   X X 6CC 101 1001 RFU 11   X   6CE 00   X   6D0 01   X   6D2 10   X   6D4 101 1010 RFU 11   X   6D6 00    X 6D8 01   X   6DA 10   X   6DC 101 1011 RFU 11   X   6DE 00   X   6E0 01   X X 6E2 10    X 6E4 101 1100   RFU 11    X 6E6 00   X   6E8 01   X X 6EA 10   X X 6EC 101 1101   RFU 11   X X 6EE 00   X   6F0 01   X   6F2 10   X   6F4 101 1110   RFU 11   X   6F6 00   X   6F8 01    X 6FA 10    X 6FC                         101 101 1111   RFU 11    X 6FE                            #1  Figure 1.1 RFID PCI Address Map  *Reserved for future use
ENGINEERING SPECIFICATION DOCUMENT Project: CALGARY rfid-hardware_REV4.doc CONFIDENTIAL Page 6 of 16     2.2 Hardware Capabilities  Planned Features  Feature Minimum Required Desired/Future Performance Reader Channels  5  6 Polling speed  1channel per second  1channel per < 200ms Ch. Read Range  1.25”  2” Ch. Write Range  As above  As above Write/Verify No  Yes Antenna Spacing  78mm  78mm     Figure 1.2 Features Table
ENGINEERING SPECIFICATION DOCUMENT Project: CALGARY rfid-hardware_REV4.doc CONFIDENTIAL Page 7 of 16  RF Output Characteristics    Figure 1.3 TX1 Output, No Load   Figure 1.4 TX2 Output, No Load     3.0 Hardware Control  CL RC 632 is a new family of highly integrated reader ICs for contactless communication at 13.56MHz, which includes 64 registers (8bits/each), 64 byte FIFO, as well as 32*16 byte EEprom. I.CODE1 Label IC is a dedicated 512 bit memory chip for electronic label applications such as detecting the presence of ink bag. RFID system operates in a so called “reader talks first” principle. The reader sends a command first, and the labels execute the instruction and send back their response to the buffer of the reader.
ENGINEERING SPECIFICATION DOCUMENT Project: CALGARY rfid-hardware_REV4.doc CONFIDENTIAL Page 8 of 16 Based on current Calgary structure, a RFID PCB board is designed to communicate with the Data Relay Card using the fourth SPI generic port. It is eventually intended to replace the third party board Smart RFID Multiplex Reader Board. There is only one single reader with five antennas and one CPLD on the PCB board. Due to current specific SPI interface is designed for the RFID board, the fourth SPI port cannot be used as a generic SPI communication port any more. CPLD is used to select which antenna will be communicated with the Reader. Serial data clock is 4.16MHz. The bit decoding of Label IC is fast mode with a 13.56Mhz carrier: each command consists of a start pulse (18.88us modulation), followed by one 8-bit instruction byte, five 8-bit parameter bytes, and two CRC bytes (16-bit CRC).  The basic rules for software accessing Label IC is that software is required to first select antenna, switch on the RF, enable CRC16, force the RFID reader state machine back to idle, clear the reader buffer, and finally to set block start address and block numbers which software needs read/write data from/to the Label IC. Once software gets data back from the Label IC, software may need to issue a switch off RF command so as to reduce the interference from RFID board, except when software needs to hold the Label IC in selected condition.  CODE1 Label IC Memory Definition  The 512 bit EEprom memory is divided into 16 blocks.  A block is the smallest access unit. Each block consists of 4 bytes. Bit 0 in each byte represents the LSB (least significant bit) and bit 7 the MSB (most significant bit). The following table shows the definition for each block.                                                   Byte0     Byte1      Byte2       Byte3                      Figure 3.1 I.CODE1 Label ICs EEPROM Memory      SNR0 SNR1  SNR2  SNR3 SNR4 SNR5  SNR6  SNR7 F0 FF  FF  FF x x  x  x x x  x  x x x  x  x x x  x  x x x  x  x x x  x  x x x  x  x x x  x  x x x  x  x x x  x  x x x  x  x x x  x  x x x  x  x Block 0 Block 1 Block 2 Block 3 Block 4 Block 5 Block 6 Block 7 Block 8 Block 9 Block 10 Block 11 Block 12 Block 13 Block 14 Block 15 Serial Number Write Access Conditions Special Functions (EAS/QUIET) User Data       .       .        .       .       .       .       .              .       .  User Data
ENGINEERING SPECIFICATION DOCUMENT Project: CALGARY rfid-hardware_REV4.doc CONFIDENTIAL Page 9 of 16 4.0 Register Definition  1.  Antenna Select Register  There is only one single reader with five antennas (five Label ICs) on the PCB RFID board; hence the defined antenna select register is used to select which antenna will be communicated with data relay card (only one bit for each command is allowed to be active). Allow 1ms for switch settling time.              Antenna Select Register Bit 7~5  4 3 2 1 0  RFU  Antenna  5  Antenna 4  Antenna       3  Antenna 2  Antenna  1    2. Reader Internal Registers  The RFID register control (Module Sel Addr:0010) used in this module include: CONTROL REG (12 bits): Command Register WRITE ADDR REG (6 bits): Write register address READ ADDR REG (6 bits):  Read register address WRITE DATA REG (8 bits): Write data register Control Register Bit 11  10  9  8  7~5  4 3 2 1  0  TX Start  Rst Quiet  Unsel Rd  EAS Test  RFU  Sel En  Reg Wr  Reg  Rd  Mem Wr  Mem  Sel Rd  Bit0 (Mem Sel Rd): Label IC Memory Selected Read  Bit1 (Mem Wr): Label IC Memory Write Block X  Bit2 (Reg Rd): Reader Register Read  Bit3 (Reg Wr): Reader Register Write  Bit4 (Mem Sel Rd): Label IC Anticollision/Select  Bit 5~7 (RFU): Reserved for future use   Bit8 (Mem Wr): Label IC EAS test  Bit9 (Unsel Rd): Label IC unselected memory read  Bit10 (Rst Quiet): Label IC Reset QUIET Bit  Bit11 (TX Start): Transmit Start, default should be set to high. It is used for debugging, and once this bit is set to zero, the data in reader buffer cannot be transmitted.  Registers Initialization for Communication  In order to enable the I.CODE1 functionality, the following table lists the reader register initial values.  Some of them may need change according to requirements with different RFID boards.
ENGINEERING SPECIFICATION DOCUMENT Project: CALGARY rfid-hardware_REV4.doc CONFIDENTIAL Page 10 of 16 Register Name  Register Address  Value Page 10 00 TxControl 11 58 CWConductance 12 3F ModConductance 13 01 CoderControl 14 35 ModWidth 15 3F ModWidthSOF 16 73 TypeBFraming 17 00 Page 18 00 RxControl1 19 8B DecoderControl 1A 00 BitPhase 1B 54 RxThreshold 1C 68 BPSKDemControl 1D 00 RXControl2 1E 41 ClockQControl 1F 00 Page 20 00 RxWait 21 08 ChannelRedundancy 22 0C CRCPresetLSB 23 FE CRCPresetMSB 24 FF TimeSlotPeriod 25 00 MFOUTSelect 26 00 PreSet27 27 00 Page 28 00 FIFOLevel 29 3E TimerClock 2A 0B TimerControl 2B 02 TimerReload 2C 00 IRQPinConfig 2D 02 PreSet2E 2E 00 PreSet2F 2F 00                                 Figure 2.2 Reader Registers Initialization    Access the Reader Internal Registers  (1). When writing data to the reader internal register, the following three data packets should be sent:  First data packet:      write 694 to register address Second data packet: write 696 to register data             Third data packet:     write 690 to 08 (write command)                 (2). When reading data from Reader internal register, the following three data packets should be sent:  First data packet:       write 692 to register address Second data packet:  write 690 to 04 (read command)                      Third data packet:      read register data from address 698
ENGINEERING SPECIFICATION DOCUMENT Project: CALGARY rfid-hardware_REV4.doc CONFIDENTIAL Page 11 of 16     I.CODE1 Commands   A selection of the Label IC is necessary for valid execution of the following commands:  •  Selected Read •  Write •  Halt (Reserved for future use) Once an I.CODE1 Label IC is selected, it does not respond to the following command: •  Anticollision/Select •  Unselected Read The following commands work for both the selected and unselected states: •  EAS •  Reset QUIET Bit After the Label IC has been selected, if the unselected command should be issued, you need to re-enter Label IC or switch off the RF.   2.1.6 Access Label IC memory  Communication normally begins with the software sending a command and the Label IC responding. Commands always initiate a response except Reset Quiet Bit command. Some commands have prerequisite parameters such as memory read/write.  Current RFID firmware code supports the following commands:   •  Reset QUIET Bit •  Unselected Read •  Anticollision/Select •  Write Block X •  Selected Read •  EAS Test Manufacturer delivers the Label IC with the following configuration: (1)  Serial number (block 0 and block 1) is unique, read only. (2)  Write Access Conditions determine if blocks 3 through 15 can be accessed for writing. For Byte 0 in block 2:         If set bit5 and bit4 to 1|1:  Write access enabled.         If set bit5 and bit4 to 0|0:  Write access disabled.          Be aware that writing of bit pairs 1|0 or 0|1 to block 2 is not allowed! Also the label   must not be moved out of the communication field of the antenna during writing operation! (3)  EAS test mode default setting is not defined.  If you want to do an EAS test, you have to enable EAS test first by writing 1|1 to bit1 and bit0 in byte 0 of block 3. (4)  Quiet mode default setting is not defined at delivery.  Reset Quiet Bit command should be executed on the Label IC first, otherwise the Label IC does not respond to any command
ENGINEERING SPECIFICATION DOCUMENT Project: CALGARY rfid-hardware_REV4.doc CONFIDENTIAL Page 12 of 16 (except EAS command if the EAS mode is enabled) if the two bits (bit2 and bit3 in byte0 of block 3) are set to one (quiet mode is enabled). (5)  Family Code/Application Identifier and User data memory is not defined.  In order to implement the above commands, an antenna select command should be issued first by software so that hardware knows which antenna should be communicated, and the data packages (See appendix) should be sent by sequence. Since the internal register setting of the reader is similar for each command, firmware FPGA will implement these setting packages (A, B, C, D, E, F, J/I) automatically when it receives a command as described below from software.  Also be aware that before you send a memory write command or an anticollision/select command, set Unselected Read command first, as the second byte of the serial number is used to calculate a quit value as a result of critical timing issue with SPI interface, this quit value is required when issuing an anticollision/select or memory write command.   (1) Reset QUIET Bit          Action:            QUIET bits are cleared for all I.CODE1 Label ICs in the antenna field, which are in QUIT mode.         Parameters:    None Commands:    N package              Response:      None    (2) Unselected Read  Before issuing an unselected read command, software needs to set read block start address and the number of blocks first.  The Label IC will respond with its required data bytes, which are stored to the buffer of the reader.  Action:             Each of the unselected I.CODE1 Label ICs responds with the      requested number of block  Parameters:     Required   block start address of data to be read                           Required   number of blocks to be read Commands:     G, K package       Response:        Data bits of X blocks, 16 bit CRC        There are 16*32bit dual port block memory locations for latching the data read from the reader memory. After sending these packages, software needs to read the busy flag status from the PCI shadow memory address 6A8. Once this bit has been set to one, software needs to send a read data command (6A4) and immediately clear the busy flag.  The read data command definition is as follows:                            Reading IC buffer data command (6A4) Bit 4  3~0 Read Command  Block number
ENGINEERING SPECIFICATION DOCUMENT Project: CALGARY rfid-hardware_REV4.doc CONFIDENTIAL Page 13 of 16 Once this command has been sent, the firmware will read 32 bits word data from internal block memory to PCI shadow memory responding to this command. When PCI shadow memory address 6AA (BMEM UPDATED) has been set to one, software can get the 32bits data from PCI shadow memory address 69C, and also software is required to clear this bit (BMEM UPDATED) as well. For whole memory data read requires at least 25ms.  (3) Anticollision/Select  When firmware receives the serial numbers after issuing an Anticollision/Select command, it will transmit a QUIT byte immediately. The Label IC will remain in the timeslot chosen at this command for all further commands, such as memory write and selected read, until it leaves (and re-enters) the RF field.          Action:              Each of the unselected the Label IC responds with its 64 bits serial number in different timeslots  Parameters:     None                           Commands:     M package      Response:        64 bit SNR (Serial Number), 16 bit CRC      (4) Write Block X  Remember that this command is required to a selection of the Label IC (Anticollision/Select). Before issuing a write command, software needs to set the block address and 4 bytes of data.  Once each of the selected Label IC responds with its 64 bit serial number, firmware will send a quit value immediately so that the given 4 bytes of data are written to the address block if Label IC receives a QUIT from the reader in its timeslot.    Action:             Given 4 bytes of data are written to the address block if Label IC     receives a QUIT from the reader in its timeslot.  Parameters:     Required   block address of data to be written                           Required   4 bytes data to be written Commands:     H, O package      Response:       64 bit SNR (Serial Number), 16 bit CRC  In addition, a minimum delay time of 4852.16 µs (included in ‘total time*’) is required before the starting of a new command or switching off the RF due to EEPROM programming in Label IC. After software issuing a memory write command, firmware will send memory write done flag (6AE) to inform software, this flag means that firmware already finished sending a QUIT value to Label IC, therefore, the waiting time should be considered by software.
ENGINEERING SPECIFICATION DOCUMENT Project: CALGARY rfid-hardware_REV4.doc CONFIDENTIAL Page 14 of 16 Total time: 18.88 + 2416.64 + n * (325.68 + 3020.8 + 269.04 + 311.52) + 4852.16 = 7287.68 + n * 3927.04 µs Here, n = number of timeslots   (5) Selected Read       The operation is similar to the Unselected Read except this command                 is required to a selection of the Label IC (Anticollision/Select).        Each Label IC has his own antenna, and also the space between any two antennas is big enough to prevent from the interference among them, therefore this command is no necessary for current application.                Action:           Each of the selected the Label IC responds with the given number of blocks in its timeslot at which the Label IC was fixed   with the Anticollision/ Select command   Parameters:   Required   block start address of data to be read                                           Required   number of blocks to be read                   Commands:   G, P package                        Response:     Data bits of X blocks, 16 bit CRC  (6) EAS Test  Once again, EAS test mode default setting is not defined by manufacture. Enable EAS test is required by writing 1|1 to bit1 and bit0 in byte 0 of block 3 before issuing EAS test.    Action:             I.CODE1 Label IC responds with a special predefined EAS    pattern (256bits)      Parameters:     None                           Commands:     Q package      Response:       256 bit special EAS response     After Label IC receives this command, the corresponding 32 bytes in hexadecimal notation as follows:  2F   B3   62   70   D5   A7   90   7F E8   B1   80   38   D2   81   49   76 82   DA   9A  86   6F   AF   8B   B0        F1   9C   D1  12   A5   72   37    EF
ENGINEERING SPECIFICATION DOCUMENT Project: CALGARY rfid-hardware_REV4.doc CONFIDENTIAL Page 15 of 16     5.0 Appendix    Antenna select should be issued first by software before the following package commands:      A package: switching on RF       Addr     Data       694       11 (16bits); Tx Control register address       696       4B (16bits);         690       08  (16bits); Write command        B package: Enable 16bits CRC           Addr      Data       694       22 (16bits);        696       0C (16bits);          690       08 (16bits);        C package: Preset LSB for the CRC register       Addr     Data       694       23  (16bits);          696       FE (16bits);       690       08 (16bits);        D package: Preset MSB for the CRC register       Addr     Data       694       24 (16bits);       696       FF (16bits);       690       08 (16bits);        E package: Force Reader back to idle state       Addr     Data       694       01 (16bits)       696       00 (16bits)          690       08 (16bits)          F package: Clear buffer       Addr     Data       694       09 (16bits)       696       01 (16bits)       690       08 (16bits)        G package: Set memory read start address and block numbers       Addr     Data       6A0       X (16bits); Set memory start block address (x-1=0…15)       6A2       y (16bits); Set number of blocks (0…15)         H package: Set memory write address and block number       Addr     Data       688       x (16bits); Set memory block address (0…15)       68C      x  (32bits); Set writing data to Label IC
ENGINEERING SPECIFICATION DOCUMENT Project: CALGARY rfid-hardware_REV4.doc CONFIDENTIAL Page 16 of 16       I package: Set time slot period        Addr     Data       694       25 (16bits);          696       5F (16bits);         690       08 (16bits);        J package: clear time slot period        Addr     Data       694       25 (16bits);          696       00 (16bits);         690       08 (16bits);        K package:  Sending unselected read command       Addr      Data  690        A0016bits);        L package: Switching off RF (preventing from interference)       Addr     Data       694       11 (16bits);          696       58 (16bits);         690       08 (16bits);          M package: Sending Anticollision/Select command       Addr     Data        690       810(16bits);        N package: Sending Reset Quiet Bit command (Respond, None)       Addr     Data 690     C00 (16bits);        O package: Sending write block x command        Addr     Data       690      802 (16bits);        P package: Sending selected read memory command (Responds memory data of numbers of blocks)         Addr     Data 690     801 (16bits);   Q package: Sending EAS test command (Corresponding 32 bytes data in       hexadecimal)         Addr     Data 690     900 (16bits);

Navigation menu