Chongqing Jinou Science and Technology Development JO-BLE02 JO Bluetooth Low Energy Module (BLE) User Manual manual
Chongqing JINOU Science and Technology Development JO Bluetooth Low Energy Module (BLE) manual
Users Manual

Chongqing Jinou Science & Technology Development Co., Ltd                        
JO-BLE02 
JO Bluetooth Low 
Energy Module
(BLE) 
Hardware 
Datasheet 
Rev 1.1 
Chongqing JINOU Science and Technology Development Co., Ltd.

Chongqing Jinou Science & Technology Development Co., Ltd                        
Page 1 of 1 
Contents 
1. Features ............................................................................................................................... 2 
2. Product Description ......................................................................................................... 3 
3. Applications .......................................................................................................................... 3 
4. Block Diagram ...................................................................................................................... 4 
5. Pin Descriptions ............................................................................................................... 4 
5.1  Device Terminal ........................................................................................................... 4 
5.2  Device Terminal Functions ....................................................................................... 4 
6. Electrical Specifications ........................................................................................................ 5 
6.1  ABSOLUTE MAXIMUM RATINGS ......................................................................................... 5 
6.2  RECOMMENDED OPERATING CONDITIONS ......................................................................... 6 
6.3  ELECTRICAL CHARACTERISTICS ..................................................................................... 6 
6.4  GENERAL CHARACTERISTICS ........................................................................................... 6 
6.6  RF RECEIVE SECTION ..................................................................................................... 7 
6.7  RF TRANSMIT SECTION ................................................................................................... 7 
6.8  ANALOG TEMPERATURE SENSOR ....................................................................................... 8 
6.9  ADC CHARACTERISTICS ................................................................................................... 8 
6.10  DC CHARACTERISTICS ................................................................................................. 10 
7. BLOCK DESCRIPTION .................................................................................................... 11 
8. Solder Profiles ..................................................................................................................... 13 
9. Physical Dimensions ........................................................................................................... 14 

Chongqing Jinou Science & Technology Development Co., Ltd                        
Page 1 of 14 
Document History 
Revision  Date  Change Reason 
1.0  2012-05-25 Original publication of this document. 
1.1  2014-11-07  Updates include: 
increase the length of module. 

Chongqing Jinou Science & Technology Development Co., Ltd                        
Page 2 of 14 
JO-BLE02 
1. Features 
· True Single-Chip BLE Solution: CC2540 Can Run Both Application and BLE Protocol Stack,              
Includes Peripherals to Interface With Wide Range of Sensors ,Etc. 
· Programmable Output Power Up to 4.5 dBm   
· IR Generation Circuitry 
· Powerful Five-Channel DMA 
· 12-Bit ADC With Eight Channels and Configurable Resolution  
· Two Powerful USARTs With Support for Several Serial Protocols  
· 19 General-Purpose I/O Pins   
· Low Power Mode: 
 Active Mode RX Down to 19.6 mA 
 Active Mode TX (-6dBm):24 mA 
 Power Mode 1 (3-ms Wake-Up): 235 uA   
 Power Mode 2 (Sleep Timer On): 0.9 uA  
 Power Mode 3 (External Interrupts): 0.4 uA  
· Wide Supply-Voltage Range (2 V–3.6 V) 
 Full RAM and Register Retention in All Power Modes 
· Nominal Supply Voltage at 3.3±0.1V 
· Surface-mount, Size: 24.1×14.5 (unit:mm  error = ±0.2mm) 

Chongqing Jinou Science & Technology Development Co., Ltd                        
Page 3 of 14 
2. Product Description 
The JO-BLE02 module (chip CC2540) is a cost-effective, low-power, true 
system-on-chip (SoC) for 
Bluetooth 
low energy applications. It enables 
robust  BLE  master  or  slave  nodes  to  be  built  with  very  low  total 
bill-of-material costs. The CC2540 combines an excellent RF transceiver 
with an industry-standard enhanced 8051 MCU, in-system programmable flash 
memory,  8-KB  RAM,  and  many  other  powerful  supporting  features  and 
peripherals. The CC2540 is suitable for systems where very low power 
consumption is required. Very low-power sleep modes are available. Short 
transition  times  between  operating  modes  further  enable  low  power 
consumption.  
The CC2540 comes in two different versions: CC2540F128/F256, with 128 and 
256 KB of flash memory, respectively.  
Combined with the 
Bluetooth 
low energy protocol stack from Texas 
Instruments, the CC2540F128/F256 forms the market’s most flexible and 
cost-effective single-mode 
Bluetooth 
low energy solution. 
3. Applications 
 2.4-GHz 
Bluetooth 
low energy Systems  
 Mobile Phone Accessories 
 Sports and Leisure Equipment 
 Consumer Electronics  
 Human Interface Devices(Keyboard,Mouse,Remote Control) 
 USB Dongles 
 Health Care and Medical 

Chongqing Jinou Science & Technology Development Co., Ltd                        
Page 4 of 14 
4. Block Diagram 
5. Pin Descriptions 
5.1  Device Terminal 
No.  Des    Des  No. 
1  P2_0 
A0 | P0_0  24 
2  P2_2 | DC  P0_1  23 
3  P2_1 | DD  RX | P0_2  22 
4  P1_7  TX | P0_3  21 
5  P1_6  CT | P0_4  20 
6  P1_3  RT | P0_5  19 
7  P1_4  RST  18 
8  P1_5  P0_6  17 
9  USB_N  P0_7  16 
10  USB_P  P1_0  15 
11  VCC  P1_1  14 
12  GND  P1_2  13 
5.2  Device Terminal Functions 
PIN  NAME  PIN   TYPE   DESCRIPTION 
1  P2_0  Digital I/O  Port 2.0  
2  P2_2 | DC  Digital I/O  Port 2.2  
Debug Clock  Debug data interface 
3  P2_1 | DD  Digital I/O  Port 2.1  
Debug Data  Debug data interface 
4  P1_7  Digital I/O  Port 1.7 
5  P1_6  Digital I/O  Port 1.6 

Chongqing Jinou Science & Technology Development Co., Ltd                        
Page 5 of 14 
6  P1_3  Digital I/O  Port 1.3 
7  P1_4  Digital I/O  Port 1.4 
8  P1_5  Digital I/O  Port 1.5 
9  USB_N  Digital I/O  USB N 
10  USB_P  Digital I/O  USB P 
11  Vcc  Power Supply  +3.3V Power Supply 
12  GND  Ground  Connect to GND 
13  P1-2  Digital I/O  Port 1.2  
14  P1-1  Digital I/O  Port 1.1 20-mA drive capability 
15  P1-0  Digital I/O  Port 1.0 20-mA drive capability 
16  P0-7  Digital I/O  Port 0.7  
17  P0-6  Digital I/O  Port 0.6 
18  RST  Digital input  Reset, active-low 
19  RT | P0_5  Digital O  UART request to send active low 
Digital I/O  Port 0.5 
20  CT | P0_4  Digital I  UART clear to send active low 
Digital I/O  Port 0.4 
21  TX | P0_3  Digital O  UART data output 
Digital I/O  Port 0.3 
22  RX | P0_2  Digital I  UART data input 
Digital I/O  Port 0.2 
23  P0_1  Digital I/O  Port 0.1 
24  A0 | P0_0  Analog I  ADC  
Digital I/O  Port 0.0 
6. Electrical Specifications 
6.1  ABSOLUTE MAXIMUM RATINGS 
   MIN MAX UNIT 
Supply voltage    All supply pins must have the same voltage    –0.3  3.9  V 
Voltage on any digital pin   –0.3 
VDD + 0.3, 
≤ 3.9 
V 
Input RF level    10 dBm 
Storage temperature 
range  
 –40 125  °C 
ESD(2)  
All pads, according to human-body model, JEDEC 
STD 22, method A114     2 kV 
According to charged-device model, JEDEC STD 22, 
method C101     500 V 
(1) Stresses beyond those listed under Absolute Maximum Ratings may cause permanent damage to the 

Chongqing Jinou Science & Technology Development Co., Ltd                        
Page 6 of 14 
device. These are stress ratings only, and functional operation of the device at these or any other 
conditions beyond those indicated under Recommended Operating Conditions is not implied. Exposure 
to absolute-maximum-rated conditions for extended periods may affect device reliability.   
(2) CAUTION: ESD-sensitive device. Precautions should be used when handling the device in order to 
prevent permanent damage.  
6.2  RECOMMENDED OPERATING CONDITIONS  
 MIN MAX UNIT 
Operating ambient temperature range, TA   –40  125   °C  
Operating supply voltage   2  3.6   V  
6.3  ELECTRICAL CHARACTERISTICS  
Measured on Texas Instruments CC2540 EM reference design with TA = 25°C and VDD = 3 V     
PARAMETER  TEST CONDITIONS   MIN   TYP   MAX   UNIT 
lcore 
Core 
current 
consum
ption 
Power mode 1. Digital regulator on; 16-MHz RCOSC and 
32-MHz crystal oscillator off; 32.768-kHz XOSC, POR, BOD 
and sleep timer active; RAM and register retention 
235  
uA  
Power mode 2. Digital regulator off; 16-MHz RCOSC and 
32-MHz crystal oscillator off; 32.768-kHz XOSC, POR, and 
sleep timer active; RAM and register retention   
0.9    
Power mode 3. Digital regulator off; no clocks; POR active; 
RAM and register retention 
 0.4    
Low MCU activity: 32-MHz XOSC running. No radio or 
peripherals. No flash access, no RAM access. 
 6.7     mA 
Iperi 
Peripheral Current Consumption (Adds to core current Icore for each peripheral unit activated)   
Timer 1  Timer running, 32-MHz XOSC used     90    mA 
Timer 2  Timer running, 32-MHz XOSC used     90    mA 
Timer 3  Timer running, 32-MHz XOSC used     60    mA 
Timer 4  Timer running, 32-MHz XOSC used     70    mA 
Sleep 
timer 
Including 32.753-kHz RCOSC     0.6    mA 
ADC When converting    1.2    mA 
6.4  GENERAL CHARACTERISTICS  
Measured on Texas Instruments CC2540 EM reference design with TA = 25°C and VDD = 3 V   
 TEST CONDITIONS MIN   TYP   MAX   UNIT 
WAKE-UP AND TIMING     
Power mode 1 → active 
Digital regulator on, 16-MHz RCOSC and 32-MHz crystal 
oscillator off. Start-up of 16-MHz RCOSC   
4    ms 
Power mode 2 or 3 → 
active  
Digital regulator off, 16-MHz RCOSC and 32-MHz crystal 
oscillator off. Start-up of regulator and 16-MHz RCOSC   
120    ms 
Active → TX or RX   
Crystal ESR = 16 Ω. Initially running on 16-MHz RCOSC, 
with 32-MHz XOSC OFF 
410    ms 

Chongqing Jinou Science & Technology Development Co., Ltd                        
Page 7 of 14 
With 32-MHz XOSC initially on     160   ms 
6.6  RF RECEIVE SECTION  
Measured on Texas Instruments CC2540 EM reference design with TA = 25°C, VDD = 3 V, fc = 2440 MHz   
1 Mbps, GFSK, 250-kHz deviation, Bluetooth low energy mode, and 0.1% BER(1) 
PARAMETER   TEST CONDITIONS   MIN   TYP   MAX UNIT 
Receiver sensitivity(2)   High-gain mode     –93   dBm 
Receiver sensitivity(2)   Standard mode     –87   dBm 
Saturation(3)     
6   dBm 
Co-channel rejection(3)     
–5   dB  
Adjacent-channel rejection(3)   ±1 MHz     5   dB  
Alternate-channel rejection(3)   ±2 MHz     30   dB  
Blocking(3)     
–30   dBm 
Frequency error tolerance(4)   Including both initial tolerance and drift    –250   250  kHz   
Symbol rate error 
tolerance(5)  
 –80  80 ppm 
Spurious emission. Only 
largest spurious emission 
stated within each band.   
Conducted measurement with a 50-Ωsingle-ended 
load. Complies with EN 300 328, EN 300 440 class 
2, FCC CFR47, Part 15 and ARIB STD-T-66   
 –75   dBm 
Current consumption   
RX mode, standard mode, no peripherals active, low 
MCU activity, MCU at 250 kHz     19.6  
mA  
RX mode, high-gain mode, no peripherals active, 
low MCU activity, MCU at 250 kHz     22.1  
  (1)  0.1% BER maps to 30.8% PER   
  (2)  The receiver sensitivity setting is programmable using a TI BLE stack 
vendor-specific API command. The default value is standard mode.   
  (3)  Results based on standard gain mode   
  (4)  Difference between center frequency of the received RF signal and local 
oscillator frequency   
  (5)  Difference between incoming symbol rate and the internally generated symbol 
rate  
6.7  RF TRANSMIT SECTION  
Measured on Texas Instruments CC2540 EM reference design with TA = 25°C, VDD = 3 V and 
 fc = 2440 MHz   
PARAMETER   TEST CONDITIONS   MIN  TYP  MAX  UNIT 
Output power   
Delivered to a single-ended 50-Ωload through a balun using 
maximum recommended output power setting   
4 
dBm 
Delivered to a single-ended 50-Ωload through a balun using 
minimum recommended output power setting   
–20 
Programmable output 
power range   
Delivered to a single-ended 50 Ωload through a balun   
24 
dB  

Chongqing Jinou Science & Technology Development Co., Ltd                        
Page 8 of 14 
Spurious emissions   
Conducted measurement with a 50-Ωsingle-ended load. 
Complies with EN 300 328, EN 300 440 class 2, FCC 
CFR47, Part 15 and ARIB STD-T-66(1)  
–41 dBm 
 TX mode, –23-dBm output power, no peripherals active, 
low MCU activity, MCU at 250 kHz   
21.1 
mA 
Current consumption   
TX mode, –6-dBm output power, no peripherals active, low 
MCU activity, MCU at 250 kHz   
23.8 
TX mode, 0-dBm output power, no peripherals active, low 
MCU activity, MCU at 250 kHz   
27 
 TX mode, 4-dBm output power, no peripherals active, low 
MCU activity, MCU at 250 kHz   
31.6 
Optimum load 
impedance  
Differential impedance as seen from the RF port (RF_P and 
RF_N) toward the antenna   
70 + j30  Ω  
(1) Designs with antenna connectors that require conducted ETSI compliance at 64 MHz 
should insert an LC resonator in front of the antenna connector. Use a 1.6-nH inductor in 
parallel with a 1.8-pF capacitor. Connect both from the signal trace to a good RF ground 
6.8  ANALOG TEMPERATURE SENSOR  
Measured on Texas Instruments CC2540 EM reference design with TA = 25°C and VDD = 3 V   
 TEST CONDITIONS MIN  TYP MAX UNIT  
Output at 25°C     1480 12-bit ADC 
Temperature coefficient     4.5 /1°C  
Voltage coefficient     1 /0.1 V  
Initial accuracy without calibration   
Measured using integrated ADC, using 
internal bandgap voltage reference and 
±10 °C  
Accuracy using 1-point calibration 
(entire temperature range)   
maximum resolution   
±5 °C  
Current consumption when enabled 
(ADC current not included)   
 0.5 mA  
6.9  ADC CHARACTERISTICS  
TA = 25°C and VDD = 3 V, unless otherwise noted.   
 PARAMETER TEST CONDITIONS MIN TYP MAX UNIT 
 Input voltage  VDD is voltage on AVDD5 pin 0   VDD  V 
 External reference 
voltage 
VDD is voltage on AVDD5 pin 0   VDD  V 
External 
reference 
voltage 
differential 
VDD is voltage on 
AVDD5 pin 
 0 
 VDD  V 
Input 
resistance, 
Using 4-MHz 
clock speed 
  197   kΩ 

Chongqing Jinou Science & Technology Development Co., Ltd                        
Page 9 of 14 
signal 
 Full-scale signal(1) 
Peak-to-peak, defines 0 
dBFS   2.97   V 
ENOB(1) 
Effective number 
of bits 
Single-ended input, 7-bit 
setting   5.7   
bits 
Single-ended input, 9-bit 
setting   7.5   
Single-ended input, 10-bit 
setting   9.3   
Single-ended input, 12-bit 
setting   10.8   
Differential input, 7-bit setting  6.5   
Differential input, 9-bit setting  8.3   
Differential input, 10-bit 
setting   10.0   
Differential input, 12-bit 
setting   11.5   
 Useful power 
bandwidth 
7-bit setting, both single and 
differential   0–20  kHz 
THD(1) 
Total harmonic 
distortion 
Single-ended input, 12-bit 
setting, –6 dBFS   –75.2  
dB 
Differential input, 12-bit 
setting, –6 dBFS   –86.6  
Signal to 
nonharmonic 
ratio(1) 
Single-ended input, 12-bit 
setting   70.2   
dB 
Differential input, 12-bit 
setting   79.3   
Single-ended input, 12-bit 
setting, –6 dBFS   78.8   
Differential input, 12-bit 
setting, –6 dBFS   88.9   
CMRR 
Common-mode 
rejection ratio 
Differential input, 12-bit 
setting, 1-kHz sine (0 dBFS), 
limited by ADC resolution 
 >84   dB 
 Crosstalk 
Single-ended input, 12-bit 
setting, 1-kHz sine (0 dBFS), 
limited by ADC resolution 
 >84   dB 
 Offset Midscale 
 –3   mV 
 Gain error    
0.68%   
DNL(1) 
Differential 
nonlinearity 
12-bit setting, mean   0.05   LSB 
12-bit setting, maximum   0.9   
INL(1) 
Integral 
nonlinearity 
12-bit setting, mean   4.6   LSB 
12-bit setting, maximum   13.3   
SINAD(1)  Signal-to-noise-an Single-ended input, 7-bit   35.4   dB 

Chongqing Jinou Science & Technology Development Co., Ltd                        
Page 10 of 14 
(–THD+N) d-distortion  setting 
Single-ended input, 9-bit 
setting   46.8   
Single-ended input, 10-bit 
setting   57.5   
Single-ended input, 12-bit 
setting   66.6   
Differential input, 7-bit setting  40.7   
Differential input, 9-bit setting  51.6   
Differential input, 10-bit 
setting   61.8   
Differential input, 12-bit 
setting   70.8   
 Conversion time 
7-bit setting   20   
ms 
9-bit setting   36   
10-bit setting   68   
12-bit setting   132   
 Power 
consumption    
1.2   mA 
 Internal reference 
voltage    
1.15   V 
 Internal reference 
VDD coefficient    
4   mV/V 
Internal reference 
temperature 
coefficient 
0.4   mV/10°C 
(1)  Measured with 300-Hz sine-wave input and VDD as reference.   
6.10  DC CHARACTERISTICS  
TA = 25°C, VDD = 3 V, unless otherwise noted.   
 TEST CONDITIONS MIN     TYP   MAX  UNIT 
Logic-0 input voltage               0.5  V  
Logic-1 input voltage      2.5  V   
Logic-0 input current    Input equals 0 V  -50              
50  nA  
Logic-1 input current   Input equals VDD  -50            50  nA  
I/O-pin pullup and pulldown resistors             20  kΩ  
Logic-0 output voltage, 4-mA pins    Output load 4 mA                  
0.5  V  
Logic-1 output voltage, 4-mA pins    Output load 4 mA  2.4  V   
Logic-0 output voltage, 20-mA pins    Output load 20 mA                  
0.5  V  
Logic-1 output voltage, 20-mA pins    Output load 20 mA  2.4  V   

Chongqing Jinou Science & Technology Development Co., Ltd                        
Page 11 of 14 
7. BLOCK DESCRIPTION 
CPU and Memory   
The  8051 CPU core is a single-cycle 8051-compatible core. It has three different memory 
access busses (SFR, DATA, and CODE/XDATA), a debug interface, and an 18-input 
extended interrupt unit.   
The memory arbiter is at the heart of the system, as it connects the CPU and DMA controller 
with the physical memories and all peripherals through the SFR bus. The memory arbiter has 
four memory-access points, access of which can map to one of three physical memories: an 
SRAM, flash memory, and XREG/SFR registers. It is responsible for performing arbitration and 
sequencing between simultaneous memory accesses to the same physical memory.   
The SFR bus is drawn conceptually in Figure 8 as a common bus that connects all hardware 
peripherals to the memory arbiter. The SFR bus in the block diagram also provides access to 
the radio registers in the radio register bank, even though these are indeed mapped into 
XDATA memory space.   
The  8-KB SRAM maps to the DATA memory space and to parts of the XDATA memory 
spaces. The SRAM is an ultralow-power SRAM that retains its contents even when the digital 
part is powered off (power modes 2 and 3).   
The 128/256 KB flash block provides in-circuit programmable non-volatile program memory 
for the device, and maps into the CODE and XDATA memory spaces.   
Peripherals   
Writing to the flash block is performed through a flash controller that allows page-wise 
erasure and 4-bytewise programming. See User Guide for details on the flash controller.   
A versatile five-channel DMA controller is available in the system, accesses memory using 
the XDATA memory space, and thus has access to all physical memories. Each channel 
(trigger, priority, transfer mode, addressing mode, source and destination pointers, and 
transfer count) is configured with DMA descriptors that can be located anywhere in memory. 
Many of the hardware peripherals (AES core, flash controller, USARTs, timers, ADC interface, 
etc.) can be used with the DMA controller for efficient operation by performing data transfers 
between a single SFR or XREG address and flash/SRAM.   
Each CC2540 contains a unique 48-bit IEEE address that can be used as the public device 
address for a Bluetooth device. Designers are free to use this address, or provide their own, as 
described in the Bluetooth specfication.  
The  interrupt controller services a total of 18 interrupt sources, divided into six interrupt 
groups, each of which is associated with one of four interrupt priorities. I/O and sleep timer 
interrupt requests are serviced even if the device is in a sleep mode (power modes 1 and 2) by 
bringing the CC2540 back to the active mode.   
The  debug interface implements a proprietary two-wire serial interface that is used for 
in-circuit debugging. Through this debug interface, it is possible to erase or program the entire 
flash memory, control which oscillators are enabled, stop and start execution of the user 
program, execute instructions on the 8051 core, set code breakpoints, and single-step through 

Chongqing Jinou Science & Technology Development Co., Ltd                        
Page 12 of 14 
instructions in the code. Using these techniques, it is possible to perform in-circuit debugging 
and external flash programming elegantly.   
The  I/O controller is responsible for all general-purpose I/O pins. The CPU can configure 
whether peripheral modules control certain pins or whether they are under software control, 
and if so, whether each pin is configured as an input or output and if a pullup or pulldown 
resistor in the pad is connected. Each peripheral that connects to the I/O pins can choose 
between two different I/O pin locations to ensure flexibility in various applications.   
The sleep timer is an ultralow-power timer that can either use an external 32.768-kHz crystal 
oscillator or an internal 32.753-kHz RC oscillator. The sleep timer runs continuously in all 
operating modes except power mode   
3. Typical applications of this timer are as a real-time counter or as a wake-up timer to get out 
of power modes 1 or 2.   
A built-in watchdog timer allows the CC2540 to reset itself if the firmware hangs. When 
enabled by software, the watchdog timer must be cleared periodically; otherwise, it resets the 
device when it times out. 
Timer 1 is a 16-bit timer with timer/counter/PWM functionality. It has a programmable 
prescaler, a 16-bit period value, and five individually programmable counter/capture channels, 
each with a 16-bit compare value. Each of the counter/capture channels can be used as a 
PWM output or to capture the timing of edges on input signals. It can also be configured in IR 
generation mode, where it counts timer 3 periods and the output is ANDed with the output of 
timer 3 to generate modulated consumer IR signals with minimal CPU interaction.   
Timer 2 is a 40-bit timer used by the Bluetooth low energy stack. It has a 16-bit counter with a 
configurable timer period and a 24-bit overflow counter that can be used to keep track of the 
number of periods that have transpired. A 40-bit capture register is also used to record the 
exact time at which a start-of-frame delimiter is received/transmitted or the exact time at which 
transmission ends. There are two 16-bit timer-compare registers and two 24-bit 
overflow-compare registers that can be used to give exact timing for start of RX or TX to the 
radio or general interrupts.   
Timer 3 and timer 4 are 8-bit timers with timer/counter/PWM functionality. They have a 
programmable prescaler, an 8-bit period value, and one programmable counter channel with 
an 8-bit compare value. Each of the counter channels can be used as PWM output.   
USART 0 and USART 1 are each configurable as either an SPI master/slave or a UART. They 
provide double buffering on both RX and TX and hardware flow control and are thus well 
suited to high-throughput full-duplex applications. Each USART has its own high-precision 
baud-rate generator, thus leaving the ordinary timers free for other uses. When configured as 
SPI slaves, the USARTs sample the input signal using SCK directly instead of using some 
oversampling scheme, and are thus well-suited for high data rates.   
The AES encryption/decryption core allows the user to encrypt and decrypt data using the 
AES algorithm with 128-bit keys. The AES core also supports ECB, CBC, CFB, OFB, CTR, 
and CBC-MAC, as well as hardware support for CCM.   
The ADC supports 7 to 12 bits of resolution with a corresponding range of bandwidths from 
30-kHz to 4-kHz, respectively. DC and audio conversions with up to eight input channels (I/O 

Chongqing Jinou Science & Technology Development Co., Ltd                        
Page 13 of 14 
controller pins) are possible. The inputs can be selected as single-ended or differential. The 
reference voltage can be internal, AVDD, or a single-ended or differential external signal. The 
ADC also has a temperature-sensor input channel. The ADC can automate the process of 
periodic sampling or conversion over a sequence of channels.   
The operational amplifier is intended to provide front-end buffering and gain for the ADC. 
Both inputs as well as the output are available on pins, so the feedback network is fully 
customizable. A chopper-stabilized mode is available for applications that need good accuracy 
with high gain.   
The ultralow-power analog comparator enables applications to wake up from PM2 or 
PM3 based on an analog signal. Both inputs are brought out to pins; the reference voltage 
must be provided externally. The comparator output is connected to the I/O controller 
interrupt detector and can be treated by the MCU as a regular I/O pin interrupt 
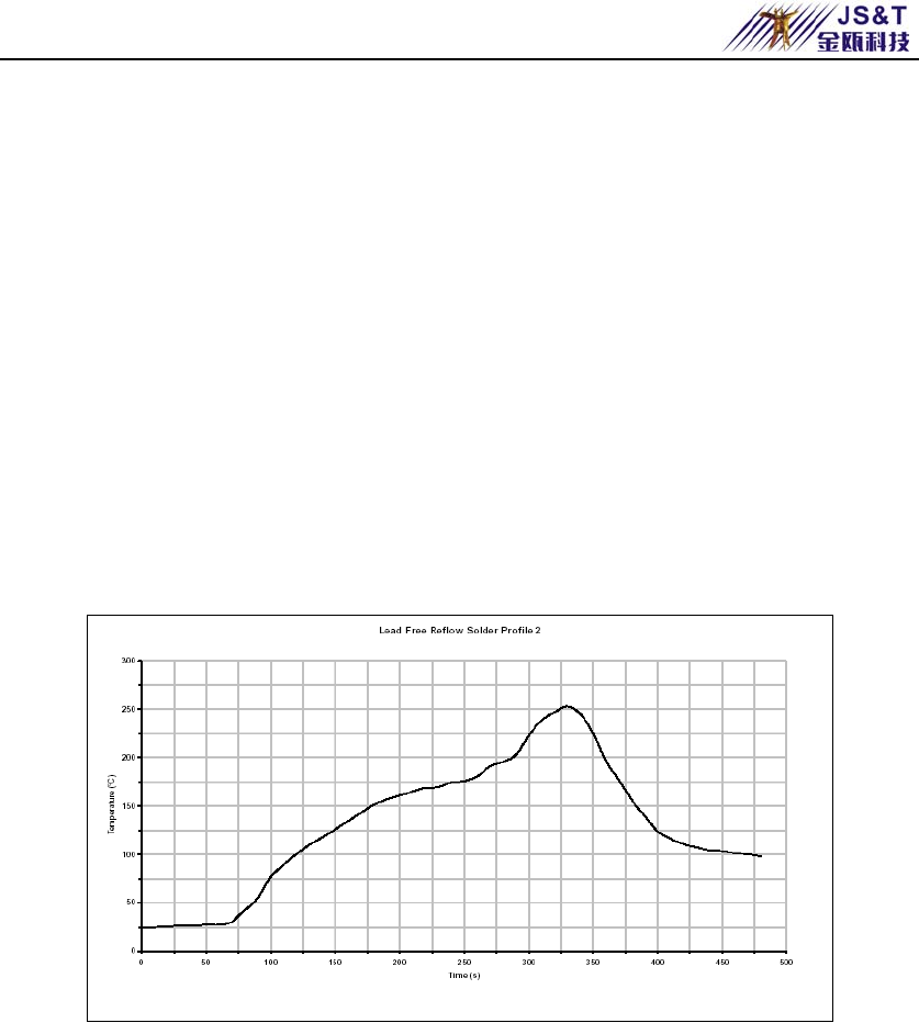
8. Solder Profiles 
Composition of the solder ball:  Sn 95.5%, Ag 4.0%, Cu 0.5% 
Typical Lead-Free Re-flow Solder Profile 
Key features of the profile:  
 Initial Ramp = 1-2.5°C/sec to 175°C±25°C equilibrium  
 Equilibrium time = 60 to 180 seconds  
 Ramp to Maximum temperature (250°C) = 3°C/sec max.  
 Time above liquidus temperature (217°C):  45-90 seconds  
 Device absolute maximum reflow temperature: 260°C  
Devices will withstand the specified profile. Lead-free devices will 
withstand up to three reflows to a maximum temperature of 260°C. 
Notes:They need to be baked prior to mounting。 

Chongqing Jinou Science & Technology Development Co., Ltd                        
Page 14 of 14 
9. Physical Dimensions 
A  B  C  D  E  F  G   
1.525  1.27  0.89  14.48  24.13  2.44  1.91  mm 
60  50  35  570  950  96  75  mil 
error:±0.2mm 
Recommend PCB Layout 

Chongqing Jinou Science & Technology Development Co., Ltd                        
Page 15 of 14 
A  B  C   
0.81  0.51  0.76  mm 
32  20  30  mil 
error:±0.1mm 
FCC ID statement  
This equipment complies with Part 15 of the FCC Rules.  
Operation is subject to the following two conditions:  
(1) This device may not cause harmful interference, and  
(2) This device must accept any interference received, including interference 
that may cause undesired operation.  
Any changes or modifications not expressly approved by the party responsible 
for compliance could void the user's authority to operate this equipment 
IC ID statement  
This device complies with industry Canada's licence-exempt RSSs.
Operation is subject to the following two conditions:  
(1) This device may not cause interference, and  
(2) This device must accept any interference, including interference that may 
cause undesired operation of the device. 
Le présent appareil est conforme aux CNR d'Industrie Canada applicables aux 
appareils radio exempts de licence. L'exploitation est autorisée aux deux conditions 
suivantes:  
(1) l'appareil ne doit pas produire de brouillage, et  
(2) l'utilisateur de l'appareil doit accepter tout brouillage radioélectrique subi, 
même si le  
brouillage est susceptible d'en compromettre le fonctionnement. 

Chongqing Jinou Science & Technology Development Co., Ltd                        
Page 16 of 14 
RF exposure warning  
This  equipment  must  be  installed  and  operated  in  accordance  with  provide 
instructions and the antenna used for this transmitter must be installed to 
provide a separation distance of at least 20 cm from all persons and must not 
be co-located or operation in conjunction with any other antenna or transmitter. 
End-users and installers must be provide with antenna installation instructions 
and transmitter operating conditions for satisfying RF exposure compliance. 
Information for the OEMs and Integrators  
The following statement must be included with all versions of this document 
supplied to an OEM or integrator, but should not be distributed to the end user.  
This device is intended for OEM integrators only.  
Please see the full grant of equipment document for other restrictions.  
Information to be supplied to the end user by the OEM or Integrator  
The following regulator and safety notices must be published in documentation 
supplied to the end user of the product or system incorporating an adapter in 
compliance with local regulation. Host system must be labeled as following:  
“Contains transmitter module FCC ID: SI8JO-BLE02, IC ID: 12627A-JOBLE02” 
Chongqing Jinou Science & Technology Development Co., Ltd 
Address: 12-2-1-1, Huaxuan Branch Road 108#, Yuzhou Road, Jiulongpqo District, Chongqing, 
400041, China, 
Tel: 86-23-68903066/68842136 
Fax: 86-23-68644164 
Web: www.oemblue.com    www.jinoux.com    
E-mail: info@oemblue.com   Lauren@oemblue.com  jinou_lisa@foxmail.com