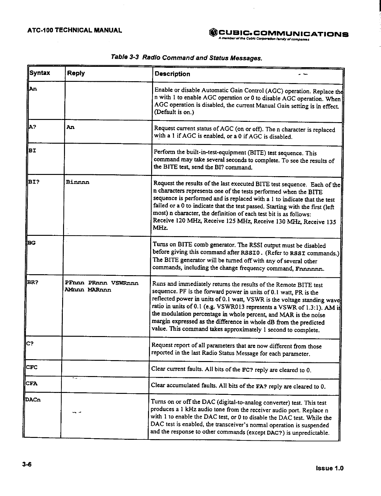
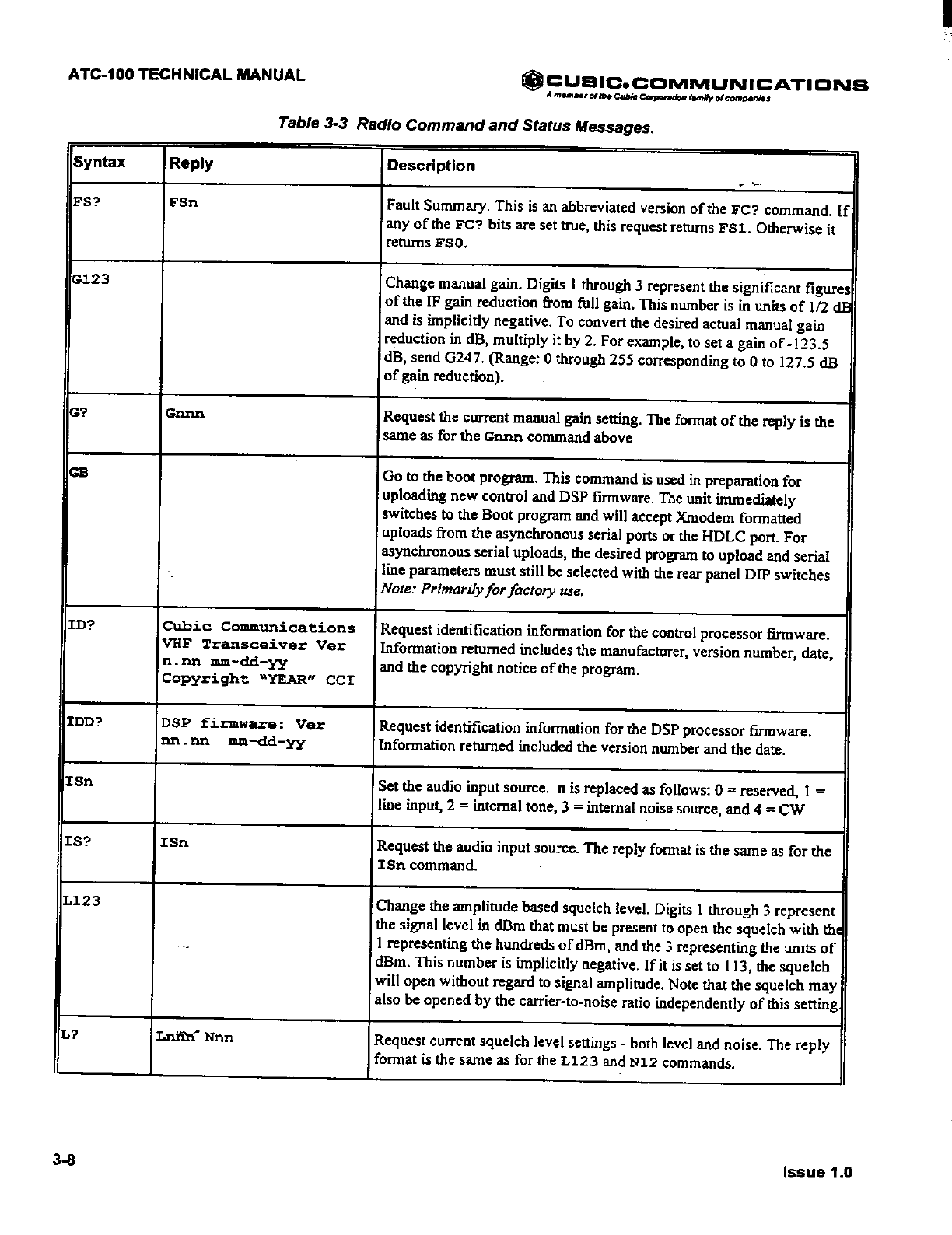
Cubic Communications ATC-100 TRANSCEIVER, MODEL ATC-100 User Manual MANUAL
Cubic Communications Inc TRANSCEIVER, MODEL ATC-100 MANUAL
UserManual.wiki
>
Cubic Communications
>
ATC 100 User Manual HTML Version
MANUAL
Navigation menu
Upload a User Manual
Namespaces
Wiki Guide
HTML
PDF
Info
Views
User Manual
Discussion / Help
Navigation