DRS Tactical Systems 633ANH Intel Centrino Ultimate-N 6300 User Manual FCC Part 15
DRS Tactical Systems, Inc. Intel Centrino Ultimate-N 6300 FCC Part 15
Manual

3998 FAU Blvd. Suite 310 Boca Raton, FL 33431 Tel: 561-961-5585 Fax: 561-961-5587
Certification Exhibit
FCC ID: UGL633ANH
IC: 7888B-633ANH
FCC Rule Part: 15C, 15E
IC Radio Standards Specification: RSS-210
ACS Project Number: 11-2044
Manufacturer: DRS Tactical Systems
Model: 633ANHMW
User Manual

9711-26020-0001
Export Controlled – See Page 3
Rev D
FRONT MATTER
CONTENT
Page 2 of 234
ARMOR X10gx Tablet Computer
To learn more about ARMOR accessories, please call 1-888-872-1100
RF
DOCK
BATTERY
CHARGER
DESK DOCK
BREAKOUT BOX
VEHICLE
POWER SUPPLY
UNIVERSAL DOCK WITH
KEYBOARD TRAY
COMPACT
KEYBOARD

9711-26020-0001
REV D
FRONT MATTER
CONTENT
Page 3 of 234
ARMOR X10gx Tablet Computer
Trade Compliance Statement
THIS DOCUMENT CONTAINS TECHNOLOGY CONTROLLED UNDER THE U.S. EXPORT ADMINISTRATION REGULATIONS
(EAR) AND MAY NOT BE EXPORTED OR TRANSFERRED TO ANY FOREIGN PERSON, FOREIGN COUNTRY OR FOREIGN
ENTITY, BY ANY MEANS, WITHOUT PRIOR WRITTEN APPROVAL FROM THE U.S. DEPARTMENT OF COMMERCE,
BUREAU OF INDUSTRY AND SECURITY (BIS) AND DRS TECHNOLOGIES.
THE INFORMATION DISCLOSED IN THIS DOCUMENT IS PROPRIETARY DATA OF DRS TACTICAL SYSTEMS, INC., AND
MAY NOT BE REPRODUCED, USED, OR DISCLOSED WITHOUT THE PRIOR WRITTEN AUTHORIZATION OF DRS
TACTICAL SYSTEMS, INC.
DISTRIBUTION AUTHORIZED FOR USE PER DOCUMENT NUMBER 9120-02737-0100. VALIDATION REQUIRED FOR
PLANNING, TESTING, INSPECTION, MANUFACTURING, PROCUREMENT AND QUOTES.
Other Compliance:
United States
• NOTE: This equipment has been tested and found to comply with the limits for a Class B digital
device, pursuant to Part 15 of the FCC Rules. These limits are designed to provide reasonable
protection against harmful interference in a residential installation. This equipment generates,
uses and can radiate radio frequency energy and, if not installed and used in accordance with
the instructions, may cause harmful interference to radio communications. However, there is no
guarantee that interference will not occur in a particular installation. If this equipment does
cause harmful interference to radio or television reception, which can be determined by turning
the equipment off and on, the user is encouraged to try to correct the interference by one or
more of the following measures:
- Reorient or relocate the receiving antenna.
- Increase the separation between the equipment and receiver.
- Connect the equipment into an outlet on a circuit different from that to which the
receiver is connected.
-
Consult the dealer or an experienced radio/TV technician for help.
• This device complies with Part 15 of the FCC Rules. Operation is subject to the following two
conditions: (1) this device may not cause harmful interference, and (2) this device must accept
any interference received, including interference that may cause undesired operation.
•
CAUTION: Changes or modifications not expressly approved by DRS Tactical
Systems could void the user’s authority to operate the equipment.
• For body-worn operation, this computer has been tested and meets the FCC RF exposure
guidelines set forth for a portable device in an uncontrolled environment when used with
ARMOR supplied accessories, or accessories designed specifically for this product. Use of
other accessories may not ensure compliance with FCC RF exposure guidelines.
• When used with an external antenna, the antenna should have an impedance of 50 ohms and
a gain not to exceed +5dBi. To comply with FCC RF exposure requirements, separation
distance of at least 20 cm (8 in) should be maintained between the external antenna and all
persons.
• Within the 5.15 – 5.25 GHz band, operation is restricted to indoors operations.
•
Canada
• This Class B digital apparatus complies with Canada ICES-003, Issue 4 June 7, 2004 and
license-exempt RSS standards RSS-210, Issue No 8 (December 2010), RSS-132 Issue No. 2
(September 2005), and RSS-133 Issue No. 5 (February 2009). Operation is subject to the
following two conditions: (1) this device may not cause interference, and (2) this device must
accept any interference that may cause undesired operation of the device.

9711-26020-0001
Export Controlled – See Page 3
Rev D
FRONT MATTER
CONTENT
Page 4 of 234
ARMOR X10gx Tablet Computer
• Cet appareil numérique de classe B est conforme à Industrie Canada ICES-003, numéro 4 Juin
7, 2004 et exempts de licence normes RSS RSS-210, Issue n ° 8 (Décembre 2010), CNR-132
fascicule n o 2 (Septembre 2005), et RSS-133 fascicule n ° 5 (Février 2009). Son
fonctionnement est soumis aux deux conditions suivantes: (1) cet appareil ne peut pas
provoquer d'interférences et (2) cet appareil doit accepter toute interférence pouvant causer un
fonctionnement indésirable de l'appareil.
• This product is restricted to indoor use when operating in the 5.15 to 5.25-GHz frequency
range. Industry Canada requires this product to be used indoors to reduce the potential for
harmful interference to co-channel mobile satellite systems.
• Operation in the 2.4 GHz band: To prevent radio interference to the licensed service, this
device is intended to be operated indoors and away from windows to provide maximum
shielding. Equipment (or its transmit antenna) that is installed outdoors is subject to licensing.
• Pour empêcher que cet appareil cause du brouillage au service faisant l'objet d'une licence, il
doit être utilisé a l'intérieur et devrait être placé loin des fenêtres afinde fournir un écran de
blindage maximal. Si le matériel (ou son antenne d'émission) est installé à l'extérieur, il doit
faire l'objet d'une licence.
• Be advised that high-power radars are allocated as primary users (i.e. priority users) of the
bands 5250 – 5350 MHz and 5650 – 5850 MHz and that these radars could cause interference
and/or damage to WLAN devices.
• Under Industry Canada regulations, the WLAN radio transmitter may only be operated using an
antenna of a type and maximum gain approved for the transmitter by Industry Canada. To
reduce potential radio interference to other users, the antenna type and its gain should be so
chosen that the equivalent isotropically radiated power (EIRP) is not more than that necessary
for successful communication.
• This radio transmitter 7888B-633ANH has been approved by Industry Canada to operate with
the antenna types listed below with the maximum permissible gain and required antenna
impedance for each antenna type indicated. Antenna types not included in this list, having a
gain greater than the maximum gain indicated for that type, are strictly prohibited for use with
this device.
o Mobile Mark SMW-301-xxxx, MGW-301-xxxx
Gain: =5dBi in 2.4 GHz and 5 GHz bands
Impedance: 50 ohms
Europe
•
This X10gx tablet computer has been tested for compliance with ATEX directive 94/9/EC.
• This equipment complies with the essential requirements of the European
Union directive 1999/5/EC
•
• This equipment may be operated in AT, BE, BG, CY, CZ, DK, EE, FI, FR, DE, GR, HU, IS,
IE, IT, LV, LT, LU, MT, NL, NO, PL, PT, RO, SK, SI, ES, SE, CH, LE, UK, HR, MK, TR.
•
The frequency band 5150 – 5350 MHz is restricted to indoor use
•
FR: The 2400 – 2483.5 MHz frequency band is restricted to indoor use
• IT: For private use, a general authorization is required if RLAN is used outside of own
premises. For public use, a general authorization is required.
• NO: 2400 – 2483.5 MHz band use is not allowed within the geographical area within a
radius of 20 km from the centre of Ny-Ålesund.

9711-26020-0001
Export Controlled – See Page 3
Rev D
FRONT MATTER
CONTENT
Page 5 of 234
ARMOR X10gx Tablet Computer
ENERGY STAR® Compliance
DRS Tactical Systems is proud to be an ENERGY STAR partner with the US Environmental
Protection Agency. We are dedicated to helping you conserve energy whenever you use this
product. Your ARMOR X10gx has power management settings that will reduce its overall
energy use. By using energy more efficiently, you will extend the life of your batteries and your
computer. Not only will you save money, but far more importantly, you will help reduce the
overall demand for energy and benefit not only our economy but our environment as well.
For instructions on how to select a power plan that fits your operating needs but also helps
conserve energy, please refer to How to Optimize Energy Use. For a description of the default
power management settings for this computer, see The Default Power Plan for your X10gx.
NOTE
The default power management settings for this computer comply
with the ENERGY STAR program recommendations for optimum
energy savings.
If you would like more information about the ENERGY STAR program, please visit
www.energystar.gov/powermanagement.

9711-26020-0001
Export Controlled – See Page 3
Rev D
FRONT MATTER
CONTENT
Page 6 of 234
ARMOR X10gx Tablet Computer

9711-26020-0001
Export Controlled – See Page 3
Rev D
FRONT MATTER
CONTENT
Page 7 of 234
ARMOR X10gx Tablet Computer
NOTICE
Information contained herein is for reference only and does not constitute a commitment on the
part of the manufacturer or any subsequent vendor. They are in no way responsible for any loss
or damage resulting from the use (or misuse) of this publication.
We at DRS strive to make this document as accurate as possible. However, errors do occur and
product information and settings may become out of date as a result of hardware changes or
software updates. DRS Tactical Systems, Inc. reserves the right to revise this publication or to
change its content without notice. Please contact DRS Technical Support for information
concerning updates to this document.
COPYRIGHT NOTICE
Brand and product names mentioned in this publication may or may not be registered
trademarks of their respective companies but should be treated as such. They are mentioned
for identification purposes only and are not intended as an endorsement of that product or its
manufacturer. All reproductions of company logos, product images, software applications,
quoted text, illustrations, etc. are copyrighted by their respective owners. All Rights Reserved.
This publication and any accompanying software may not, in whole or in part, be copied,
photocopied, translated or reduced to any machine-readable form without prior consent from
DRS Tactical Systems, Inc, except for copies kept by the purchaser for backup purposes.
Copyright 2010-2011, DRS Tactical Systems, Inc., Melbourne, Florida. All Rights Reserved

9711-26020-0001
Export Controlled – See Page 3
Rev D
FRONT MATTER
CONTENT
Page 8 of 234
ARMOR X10gx Tablet Computer
This device is a Class I, Division 2, Groups A-D, T5 product. The ARMOR X10gx complies with
all applicable industrial health and safety requirements. However there are certain safety
considerations such as battery safety that you need to be aware of. Please read and comply
with all warnings and cautions in this guide and in all other X10gx documentation.
WARNING SUMMARY
A “ Warning!” notice indicates a condition or action that could possibly result in injury or
death to the user. A “ Caution!” notice indicates a condition or action that could result in
loss of data or damage to equipment.
WARNING!
EXPLOSION HAZARD – DO NOT CONNECT OR DISCONNECT ANY
EXTERNAL CABLE OR POWER CONNECTOR, OR DOCK OR
UNDOCK TABLET, UNLESS AREA IS KNOWN TO BE NON-
HAZARDOUS.
AVERTISSEMENT - RISQUE D'EXPLOSION -
NE PAS CONNECTER
OU DÉCONNECTER UN DÉCODEUR PAR CÂBLE OU
CONNECTEUR D'ALIMENTATION, OU DOCK OU TABLET
UNDOCK, SAUF ZONE EST CONNUE POUR ÊTRE D'AUCUN
DANGER.
WARNING!
EXPLOSION HAZARD – DO NOT DISCONNECT WHILE CIRCUIT IS
LIVE UNLESS AREA IS KNOWN TO BE NON-HAZARDOUS.
AVERTISSEMENT-RISQUE D'EXPLOSION. NE PAS DÉBRANCHER
TANT QUE LE CIRCUIT EST SOUS TENSION, À MOINS QU'IL NE
S'AGISSE D'UN EMPLACEMENT NON DANGEREUX.
WARNING!
EXPLOSION HAZARD – BATTERIES MUST ONLY BE CHANGED IN
AN AREA KNOWN TO BE NON-HAZARDOUS.
AVERTISSEMENT-RISQUE D'EXPLOSION - AFIN D'ÉVITER TOUT
RISQUE D'EXPLOSION, S'ASSURER QUE L'EMPLACEMENT EST
DÉSIGNÉ NON DANGEREUX AVANT DE CHANGER LA BATTERIE.

9711-26020-0001
Export Controlled – See Page 3
Rev D
FRONT MATTER
CONTENT
Page 9 of 234
ARMOR X10gx Tablet Computer
WARNING!
FOR HAZARDOUS LOCATIONS, USE ONLY THE 2400 MAH
BATTERY P/N 0300-15663-2400 THAT CAME WITH YOUR
COMP UTER
.
WARNING!
Do not drop or mishandle the batteries, immerse them in water, or
subject them
to high heat. Doing so could increase the risk of
explosion or leakage, and possibly cause injury.
WARNING!
The lithium-
ion batteries used in this equipment contain material
that is hazardous to your health. If battery contents come in contact
with
the eyes, IMMEDIATELY flush the affected area with clean
water for 15 minutes and have someone else summon medical
attention for you. Unaffected persons should assist the affected
individual in the vital first flushing of the eyes.
WARNING!
If battery material comes in contact with the skin, flush the affected
area with clean water and seek immediate medical treatment.
WARNING!
Disposed lithium-
ion batteries that are not fully discharged contain
active salts that can result in an explosion if
suddenly exposed to
moisture or water in the environment. To prevent possible injury to
someone finding the battery, please ensure it is fully discharged
before disposing in a domestic or commercial garbage receptacle.
WARNING!
Do not
disable the power switching function if the X10gx will be
used in a hazardous location (HAZLOC), regardless of the docking
station used.

9711-26020-0001
Export Controlled – See Page 3
Rev D
FRONT MATTER
CONTENT
Page 10 of 234
ARMOR X10gx Tablet Computer
WARNING!
Changes or modifications not performed by, or expressly authorized
by, DRS Tactical Systems, Inc
could be hazardous to your health,
could cause damage to the equipment, could void your warranty or
could result in all of the above.
WARNING!
Place all shipping bags and packing materials safely out of the reach
of small children, especially infants and toddlers. These items may
pose a choking or suffocation hazard.
CAUTION!
Use this product only in vehicles that can supply a constant source
voltage of 11 to 28 VDC (16 VDC nominal) ± 2% at 6 amps. Voltage
sources outside this range could cause unstable operation or result
in permanent damage to the computer.
CAUTION!
DO NOT connect the DC power supply from a Rapid Battery Charger
into the computer or docking mechanism. This power supply is 24
VDC and will cause permanent damage to the computer.
CAUTION!
DO NOT connect the computer to more than one power source at a
time such as with the AC adapter connected to the computer and
vehicle power connected to the docking station. Permanent damage
to the X10gx batteries or to the computer itself may result.
CAUTION!
Use only the battery originally supplied with your ARMOR X10gx or
one recommended by DRS. The use of any other battery could
create a hazardous condition and possibly damage your computer.
Dispose of used batteries according to the instructions in Disposing
Of Your Used Batteries.

9711-26020-0001
Export Controlled – See Page 3
Rev D
FRONT MATTER
CONTENT
Page 11 of 234
ARMOR X10gx Tablet Computer
CAUTION!
Recharging batteries must only be carried out in a non-hazardous
area using the supplied AC adapter. The definition of hazardous
areas can be found in Standard EN 60079-10.
CAUTION!
DO NOT use this unit in classified areas unsuitable for its safety
ratings.
NE PAS
UTILISER CETTE UNITÉ EN ZONES AINSI CLASSÉES
IMPROPRES À SA COTE DE SÉCURITÉ
CAUTION!
When using IEEE 802.11a wireless LAN [in Canada], this product is
restricted to indoor use due to its operation in the 5.15- to 5.25-
GHz frequency range. Industry Canada requires this product to be
used indoors for the frequency range of 5.15 GHz to 5.25 GHz to
reduce the potential for harmful interference to co-channel mobile
satellite systems. High power radar is allocated as the primary
user of the 5.25- to 5.35-GHz and 5.65 to 5.85-GHz bands. These
radar stations can cause interference with and/or damage to this
device.

9711-26020-0001
Export Controlled – See Page 3
Rev D
FRONT MATTER
CONTENT
Page 12 of 234
ARMOR X10gx Tablet Computer
Quick Links: Section 1 2 3 4 5 6 7 8 9 10 A List of Figures List of Tables Acronyms Glossary
Table of Contents
WARNING SUMMARY .............................................................................................................................. 8
1. WELCOME AND INTRODUCTION ...................................................... 21
Your ARMOR X10gx Purchase ............................................................................................................... 22
About This Guide ..................................................................................................................................... 23
Viewing, Navigating, and Printing this Guide .......................................................................................... 23
Viewing the X10gx Quick Start Guide ..................................................................................................... 23
Please Help Us Maintain Top Quality Documentation ............................................................................ 23
2. LEARNING ABOUT YOUR ARMOR X10GX ....................................... 25
Front and Top Panel Features ................................................................................................................ 26
Display ................................................................................................................................................. 27
Controls ................................................................................................................................................ 27
Indicator Panel ..................................................................................................................................... 30
Ambient Light Sensor (ALS) ................................................................................................................ 31
Speakers .............................................................................................................................................. 31
Microphones ........................................................................................................................................ 31
Rear Panel Features ............................................................................................................................... 32
Battery Compartments ......................................................................................................................... 33
Webcam ............................................................................................................................................... 34
Docking Connectors ............................................................................................................................. 34
Left Side Panel Features ......................................................................................................................... 35
Right Side Panel Features....................................................................................................................... 36
Removable Card Support .................................................................................................................... 36
Bottom Panel Features ............................................................................................................................ 37
Included Components, Accessories and Support ................................................................................... 38
Batteries ............................................................................................................................................... 38
Solid State Drive (SSD) ....................................................................................................................... 38
RAM Memory Module .......................................................................................................................... 39
Active Pen with Tether ......................................................................................................................... 39
AC Adapter .......................................................................................................................................... 40
Display Cloth ........................................................................................................................................ 40
Shoulder Strap ..................................................................................................................................... 40
Subscriber Identity Module (SIM) Card Support .................................................................................. 41
Secure Digital (SD) Card Reader Support ........................................................................................... 41
Smart Card Support ............................................................................................................................. 41
ExpressCard® Support ........................................................................................................................ 42

9711-26020-0001
Export Controlled – See Page 3
Rev D
FRONT MATTER
CONTENT
Page 13 of 234
ARMOR X10gx Tablet Computer
Flexspace™ Expansion ....................................................................................................................... 43
Optional Add-ons and Accessories for Your X10gx ................................................................................ 47
Gobi® Wireless Wide Area Network (WWAN) Radio .......................................................................... 47
u-blox® GPS Satellite Receiver ........................................................................................................... 47
PC/PCMCIA Card Support .................................................................................................................. 47
Compact Keyboard .............................................................................................................................. 47
Two-Bay External Battery Charger ...................................................................................................... 47
Vehicle Power Supplies ....................................................................................................................... 48
Screen Protector .................................................................................................................................. 48
Docking Stations .................................................................................................................................. 49
X10gx Specifications ............................................................................................................................... 55
3. GETTING STARTED ........................................................................... 59
Installing the Batteries ............................................................................................................................. 59
Turning on your X10gx for the First Time ................................................................................................ 63
Turning the X10gx On Normally .............................................................................................................. 64
Turning the Computer Off Normally ........................................................................................................ 64
Emergency Shutdown ............................................................................................................................. 64
Putting the Computer into Sleep Mode ................................................................................................... 65
Indications that your X10gx is Asleep .................................................................................................. 65
Putting the Computer into Hibernate Mode ............................................................................................. 65
Indicator State Summary ......................................................................................................................... 66
Configuring and Controlling your Wireless Radios .................................................................................. 68
Configuring your Audio System ............................................................................................................... 69
Operating the X10gx Display ................................................................................................................... 71
Selecting the Display Mode ................................................................................................................. 71
Adjusting Screen Brightness ................................................................................................................ 73
Working with the Pen Screen .............................................................................................................. 75
Working with the Touch Screen ........................................................................................................... 77
Entering Data Using the Input Panel ....................................................................................................... 79
Accessing Input Panel in Windows 7 ................................................................................................... 79
Accessing Input Panel in Windows XP ................................................................................................ 81
Entering Data using Other Virtual Input Devices ................................................................................. 82
Using the Fingerprint Sensor (FPS) ........................................................................................................ 83
Installing the FPS Software ................................................................................................................. 83
Using the Fingerprint Sensor ............................................................................................................... 83
Using the TrueSuite Application .......................................................................................................... 83
TrueSuite Options and Settings ........................................................................................................... 84
Uninstalling your Fingerprint Software ................................................................................................. 84
Using the Webcam .................................................................................................................................. 85

9711-26020-0001
Export Controlled – See Page 3
Rev D
FRONT MATTER
CONTENT
Page 14 of 234
ARMOR X10gx Tablet Computer
Capturing Images and Video ............................................................................................................... 85
Scanning a Barcode............................................................................................................................. 86
Screen Magnifier ..................................................................................................................................... 90
Tips for Proper Use and Care Of Your X10gx ......................................................................................... 91
4. NETWORKING .................................................................................... 93
Managing your Wi-Fi Connections .......................................................................................................... 94
Managing your Bluetooth Connections ................................................................................................... 96
Managing your Ethernet Connection ....................................................................................................... 99
Activating the Optional Gobi® WWAN Radio ........................................................................................ 101
Using the OneClickInternet Application ............................................................................................. 101
Using the Network Driver Interface Specification (NDIS) .................................................................. 101
Important Notes about Using NDIS: .................................................................................................. 102
Activating the Optional GPS Receiver ................................................................................................... 103
The u-center GPS Application Window ............................................................................................. 104
u-center User’s Guide ........................................................................................................................ 104
Assisted GPS ..................................................................................................................................... 104
Enabling and Disabling Your Wireless Radios ...................................................................................... 106
Wireless Signal Quality .......................................................................................................................... 107
Using your Radios with an RF Vehicle Dock ......................................................................................... 108
Using an ARMOR Legacy Dock ........................................................................................................ 109
5. YOUR ARMOR X10GX SOFTWARE ................................................. 111
ARMORutils™ Application..................................................................................................................... 111
Starting ARMORutils .......................................................................................................................... 111
Opening ARMORutils......................................................................................................................... 112
Exiting from ARMORutils ................................................................................................................... 112
ARMORutils Main Window ................................................................................................................ 113
Backlight Setup Dialog .......................................................................................................................... 114
Wireless Setup Dialog........................................................................................................................ 116
Radios ON/OFF Toggle Button .......................................................................................................... 116
Buttons Setup Dialog ......................................................................................................................... 118
Configuration Dialog .......................................................................................................................... 121
Battery Monitor Dialog ....................................................................................................................... 124
Screen Setup Dialog .......................................................................................................................... 129
Diagnostics Dialog ............................................................................................................................. 131
ARMORutils About Window ............................................................................................................... 135
Getting Started with Windows 7 ............................................................................................................ 136
Help for Windows ............................................................................................................................... 136
Windows Display Utilities ....................................................................................................................... 137
Pen and Touch Utility ......................................................................................................................... 137

9711-26020-0001
Export Controlled – See Page 3
Rev D
FRONT MATTER
CONTENT
Page 15 of 234
ARMOR X10gx Tablet Computer
Tablet PC Settings Utility ................................................................................................................... 142
Pen Tablet Properties Utility .............................................................................................................. 145
Tablet and Pen Settings Utility (Windows XP Only) .......................................................................... 152
Touch Settings Utility (Windows XP Only) ......................................................................................... 155
TrueSuite™ Fingerprint Recognition Software ...................................................................................... 156
Using the TrueSuite Application ........................................................................................................ 156
Realtek® HD Audio Manager Application ............................................................................................. 157
Picasa 3® Image Capture ..................................................................................................................... 158
Virtual Magnifying Glass™ .................................................................................................................... 159
6. TROUBLESHOOTING ....................................................................... 161
Isolating the Problem ............................................................................................................................. 161
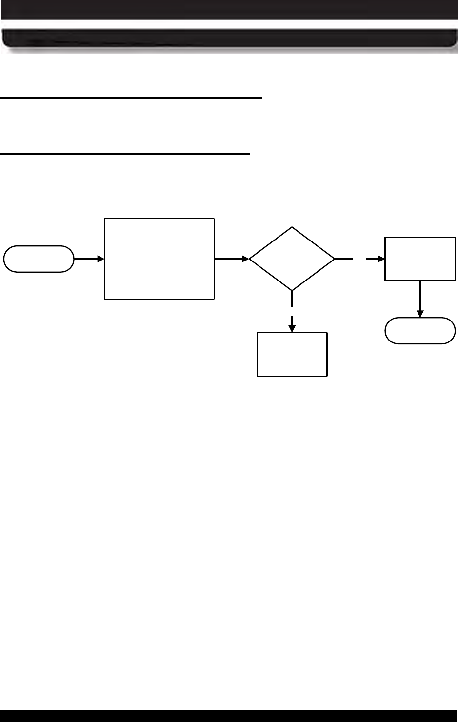
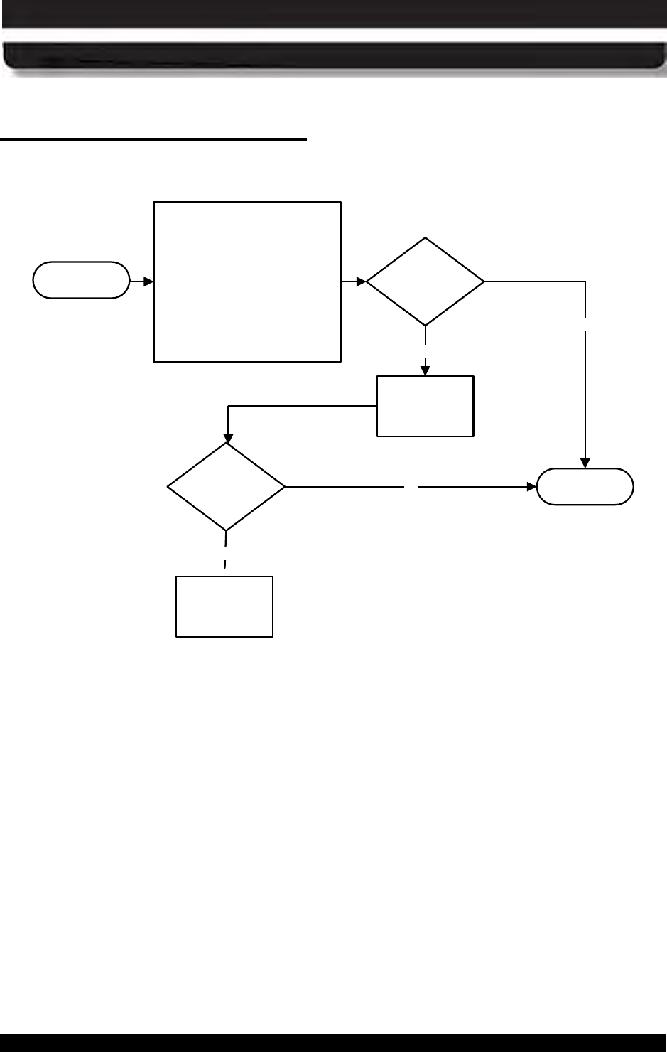
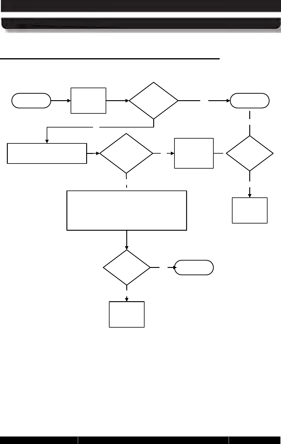
Troubleshooting Flowcharts .................................................................................................................. 164
TS01 Tablet will not Power Up .......................................................................................................... 164
TS02 Tablet Will Not Start Boot Process ........................................................................................... 165
TS03 Tablet Will Not Boot into Windows ........................................................................................... 166
TS-04 Tablet will not recognize a battery .......................................................................................... 167
TS-05 Tablet is locked up .................................................................................................................. 168
TS-06 Cannot connect to wireless network ...................................................................................... 169
7. MAINTAINING YOUR ARMOR X10GX ............................................. 171
Replacing the Solid-State Drive (SSD) .................................................................................................. 171
Removing and Replacing the Batteries ................................................................................................. 173
Installing a SIM Card ............................................................................................................................. 175
Removing and Replacing a Memory Module ........................................................................................ 177
Changing the BIOS Settings ................................................................................................................. 180
Returning the BIOS to its Default Settings......................................................................................... 182
Setting the X10gx for Power Operation with Legacy Docks .................................................................. 182
Changing the Power Button Default Action ........................................................................................... 184
Creating an Event Log ........................................................................................................................... 186
Caring For the Display Screen .............................................................................................................. 188
Cleaning the Tablet Case ...................................................................................................................... 188
8. DISPLAY MANAGEMENT ................................................................. 189
Adjusting the Brightness ........................................................................................................................ 189
Automatic Brightness Adjustment ...................................................................................................... 189
Manual Brightness Adjustment .......................................................................................................... 189
Calibrating the Display ........................................................................................................................... 191
Rotating the Screen ............................................................................................................................... 192
Using the Intel Graphics Options ....................................................................................................... 192
Using the Intel Graphics and Media Control Panel ............................................................................ 193
Using a Keyboard “Hot Key” Combination ......................................................................................... 194

9711-26020-0001
Export Controlled – See Page 3
Rev D
FRONT MATTER
CONTENT
Page 16 of 234
ARMOR X10gx Tablet Computer
9. BATTERY MANAGEMENT ............................................................... 195
Safety and Handling Considerations for your Batteries ........................................................................ 195
When to Charge a Battery ..................................................................................................................... 197
New Batteries ..................................................................................................................................... 197
Currently Installed Batteries ............................................................................................................... 197
Removed Batteries ............................................................................................................................ 197
Depleted Batteries ............................................................................................................................. 197
Fully Depleted and Overly Discharged Batteries ............................................................................... 198
Un-recoverable Batteries ................................................................................................................... 198
Avoiding Overly Discharging Your Batteries ...................................................................................... 198
What to Do for an Overly Discharged Battery ................................................................................... 199
How to Charge Your Batteries ............................................................................................................... 200
Charging Time ................................................................................................................................... 200
Charging Temperatures ..................................................................................................................... 200
Setting the Charging Policy ............................................................................................................... 200
How to Tell When Batteries Have Finished Charging ........................................................................... 202
Battery Operating Time ......................................................................................................................... 202
Operating Under Low Battery Conditions .............................................................................................. 203
Low Battery Level Alarm .................................................................................................................... 203
Reserved Battery Level Alarm ........................................................................................................... 203
Critical Battery Level Alarm ............................................................................................................... 204
What to Do if You Get a Low Battery Alert ........................................................................................ 204
Fully Depleted (Overly Discharged) Batteries ................................................................................... 204
Avoiding Overly Discharging Your Batteries ...................................................................................... 205
Battery Capacity and Charge ................................................................................................................ 205
Maximum Capacity ............................................................................................................................ 205
Checking your Battery’s Capacity ...................................................................................................... 205
Discharge/Recharge Cycles .................................................................................................................. 206
How to Optimize Energy Use ................................................................................................................ 207
Selecting a Power Plan ...................................................................................................................... 207
Changing Power Plan Settings .......................................................................................................... 208
Monitoring Battery Status ...................................................................................................................... 210
Using the Desktop Battery Monitor Window ...................................................................................... 210
Using the ARMORutils Battery Monitor Dialog .................................................................................. 211
Generating an Event Log ................................................................................................................... 212
Battery Conditioning/Calibration ............................................................................................................ 213
When to Replace a Battery.................................................................................................................... 216
Nominal Usage .................................................................................................................................. 216
Heavy Usage ..................................................................................................................................... 216

9711-26020-0001
Export Controlled – See Page 3
Rev D
FRONT MATTER
CONTENT
Page 17 of 234
ARMOR X10gx Tablet Computer
Determining a Battery’s Age .............................................................................................................. 216
Before you Dispose of a Battery ........................................................................................................ 216
Your Battery’s Warranty ........................................................................................................................ 217
Where to Purchase Replacement Batteries .......................................................................................... 217
How to Store Batteries When Not in Use .............................................................................................. 217
Short-Term Storage ........................................................................................................................... 217
Long-Term Storage ............................................................................................................................ 217
Battery Tips for Best Performance ........................................................................................................ 218
Disposing Of Your Used Batteries ......................................................................................................... 218
Disposal ............................................................................................................................................. 218
Recycling ........................................................................................................................................... 218
10. DRS TECHNICAL SUPPORT ........................................................ 221
Before You Contact Us .......................................................................................................................... 221
How to Return a Product to DRS .......................................................................................................... 221
If You Need Information ......................................................................................................................... 223
How to Find and Interpret your Unit’s Serial Number ........................................................................ 224
ACRONYMS ........................................................................................... 225
GLOSSARY ........................................................................................... 226
Warranty Information ............................................................................................................................. 227
General Information ........................................................................................................................... 227
Length of Warranty ............................................................................................................................ 227
Terms and Conditions ........................................................................................................................ 227
Additional Information ........................................................................................................................ 228
APPENDIX A .......................................................................................... 229
Explanation of Active Pen Side Button Options ................................................................................. 229

9711-26020-0001
Export Controlled – See Page 3
Rev D
FRONT MATTER
CONTENT
Page 18 of 234
ARMOR X10gx Tablet Computer
Quick Links: Section 1 2 3 4 5 6 7 8 9 10 A Table of Contents List of Tables Acronyms Glossary
List of Figures
Figure 1. Front Panel Features .................................................................................................................. 26
Figure 2. X10gx Control Panel ................................................................................................................... 27
Figure 3. Indicator Panel ............................................................................................................................ 30
Figure 4. Rear Panel Features ................................................................................................................... 32
Figure 5. Battery Fuel Gauge Indicators ..................................................................................................... 33
Figure 6. Built-in Camera ........................................................................................................................... 34
Figure 7. X10gx Docking Connectors ........................................................................................................ 34
Figure 8. Left Side Panel Features ........................................................................................................... 35
Figure 9. Right Side Panel Features .......................................................................................................... 36
Figure 10. Bottom Panel Features ............................................................................................................. 37
Figure 11. ARMOR X10gx Battery ............................................................................................................. 38
Figure 12. X10gx 32 GB and Optional 80 GB Solid-State Hard Drives ..................................................... 38
Figure 13. RAM Memory Module ............................................................................................................... 39
Figure 14. The ARMOR X10gx Pen ............................................................................................................ 39
Figure 15. AC Adapter ............................................................................................................................... 40
Figure 16. Microfiber Display Cloth ............................................................................................................ 40
Figure 17. Shoulder Strap .......................................................................................................................... 40
Figure 18. SIM Card Example .................................................................................................................... 41
Figure 19. SD Card Example ..................................................................................................................... 41
Figure 20. Smart Card Example ................................................................................................................ 42
Figure 21. ExpressCard Examples ............................................................................................................ 42
Figure 22. X10gx Flexspace™ Concepts .................................................................................................. 43
Figure 23. Internal Flexspace with SSD Removed .................................................................................... 44
Figure 24. Internal Flexspace with the SSD and Flexboard Removed ...................................................... 45
Figure 25. Right Side Panel Flexspace ....................................................................................................... 46
Figure 26. ARMOR X10gx Desk Dock ....................................................................................................... 49
Figure 27. X10gx RF Dock, Breakout Box and Cable ............................................................................... 50
Figure 28. X10gx Vehicle Dock on a Ball Mount Assembly ....................................................................... 51
Figure 29. X10gx Docking Station Attached to Ball Mount Assembly ....................................................... 51
Figure 30. ARMOR Legacy Vehicle Docks ................................................................................................ 52
Figure 31. X10gx Mounted in a Universal Dock with Keyboard Tray and Keyboard ................................. 53
Figure 32. ARMOR X10gx Battery Compartments .................................................................................... 60
Figure 33. Battery Positioned for Insertion .................................................................................................. 61
Figure 34. Realtek HD Audio Manager - Speakers Main Tab ................................................................... 69
Figure 35. Microphone Main Tab ............................................................................................................... 70
Figure 36. ARMORutils Screen Setup ....................................................................................................... 72
Figure 37. ARMORutils Backlight Setup Dialog Window ........................................................................... 73
Figure 38. Location of the Input Panel ....................................................................................................... 79
Figure 39. Input Panel Keyboard Opened on Desktop .............................................................................. 79
Figure 40. Input Panel with No Mode Showing (for illustration purposes only) .......................................... 81
Figure 41. Writing Pad Mode ...................................................................................................................... 81
Figure 42. Character Pad Mode .................................................................................................................. 81
Figure 43. On-Screen Keyboard Mode ....................................................................................................... 82
Figure 44. TrueSuite Application Window .................................................................................................. 83
Figure 45. Picasa Application Window ....................................................................................................... 86
Figure 46. Sample Linear Barcode ............................................................................................................ 87
Figure 47. Webcam Barcode Scanner® Barcode Scanner Application Window ....................................... 87
Figure 48. Sample 2D Barcode .................................................................................................................. 88
Figure 49. QuickMark® Barcode Scanner Application Window ................................................................. 88
Figure 50. A Captured 2D Barcode ............................................................................................................ 89
Figure 51. Virtual Magnifying Glass at Work ............................................................................................... 90
Figure 52. Windows Network and Sharing Center ..................................................................................... 95
Figure 53. Currently Connected and Available Wi-Fi Networks ................................................................. 96

9711-26020-0001
Export Controlled – See Page 3
Rev D
FRONT MATTER
CONTENT
Page 19 of 234
ARMOR X10gx Tablet Computer
Figure 54. Devices and Printers Window .................................................................................................... 97
Figure 55. Bluetooth Settings Window ....................................................................................................... 98
Figure 56. Internet Service Provider Information Window ....................................................................... 100
Figure 57. Sierra® OneClickInternet™ Connection Manager ................................................................. 101
Figure 58. U-Center GPS Application Window ........................................................................................ 104
Figure 59. u-center AssistNow Online Window ........................................................................................ 106
Figure 60. ARMORutils Wireless Setup Dialog ........................................................................................ 109
Figure 61. Systray with Overflow Menu Displayed ................................................................................... 112
Figure 62. ARMORutils Main Menu Window ........................................................................................... 113
Figure 63. ARMORutils Backlight Setup Dialog ....................................................................................... 114
Figure 64. ARMORutils Wireless Setup Dialog ........................................................................................ 116
Figure 65. ARMORutils Buttons Setup Dialog Window ............................................................................ 118
Figure 66. ARMORutils Programmable Button Options Menu ................................................................ 119
Figure 67. ARMORutils Configuration Dialog Window ............................................................................ 121
Figure 68. User Access Settings Dialog .................................................................................................. 122
Figure 69. Example of the ARMORutils Main Screen with Options Disabled .......................................... 123
Figure 70. ARMORutils Battery Monitor Dialog Window ......................................................................... 124
Figure 71. ARMORutils Battery Information Window ................................................................................ 125
Figure 72. ARMORutils Charger Control Settings Window ..................................................................... 126
Figure 73. Battery Conditioning Window .................................................................................................. 128
Figure 74. ARMORutils Screen Setup Dialog Window ............................................................................ 129
Figure 75. Screen Setup Dialog with Touch Screen Only Enabled ......................................................... 130
Figure 76. ARMORutils Diagnostics Dialog ............................................................................................. 131
Figure 77. ARMORUtils Event Recorder Window .................................................................................... 132
Figure 78. Sample Event Log File ............................................................................................................. 134
Figure 79. ARMORutils About Window .................................................................................................... 135
Figure 80. Windows 7 Welcome Page ..................................................................................................... 136
Figure 81. Pen and Touch Utility .............................................................................................................. 137
Figure 82. Pen and Touch Utility – Flicks Tab ......................................................................................... 139
Figure 83. Pen and Touch Utility – Handwriting Tab ............................................................................... 139
Figure 84. Pen and Touch Utility – Touch Tab ........................................................................................ 140
Figure 85. Touch Tab Virtual Mouse Pointer ........................................................................................... 141
Figure 86. Tablet PC Settings – Display Tab ............................................................................................ 143
Figure 87. Tablet PC Settings Utility – Other Tab .................................................................................... 144
Figure 88. WACOM Pen Tablet Properties Window – Pen Tab ............................................................... 145
Figure 89. Settings and Options Supported by the ARMOR X10gx Active Pen ....................................... 146
Figure 90. Side Button Menu Options ....................................................................................................... 147
Figure 91. Pen Tablet Properties - Advanced Settings Window .............................................................. 148
Figure 92. Pen Tablet Properties – Pop-up Menu Tab ............................................................................ 149
Figure 93. Pop-up Menu Add Options ..................................................................................................... 150
Figure 94. Pen Tablet Properties Window – Calibrate Tab ..................................................................... 151
Figure 95. Tablet and Pen Settings Window – Settings Tab .................................................................... 152
Figure 96. Tablet and Pen Settings Window – Display Tab .................................................................... 153
Figure 97. Tablet and Pen Settings Panel – Pen Options Tab ................................................................ 154
Figure 98. Touch Settings Utility Window ................................................................................................. 155
Figure 99. AutenTec TrueSuite Application Window ............................................................................... 156
Figure 100. Realtek HD Audio Manager Application ............................................................................... 157
Figure 101. Picasa 3 Image Capture Application .................................................................................... 158
Figure 102. Virtual Magnifying Glass Application .................................................................................... 159
Figure 103. SSD Location ........................................................................................................................ 172
Figure 104. Battery Positioned for Insertion .............................................................................................. 174
Figure 105. Hard Drive Compartment ...................................................................................................... 176
Figure 106. Memory Module Compartment ............................................................................................. 178
Figure 107. Memory Module Ready for Removal .................................................................................... 179
Figure 108. Power Button Settings Options ............................................................................................. 185
Figure 109. Diagnostics Event Recorder Window ................................................................................... 187

9711-26020-0001
Export Controlled – See Page 3
Rev D
FRONT MATTER
CONTENT
Page 20 of 234
ARMOR X10gx Tablet Computer
Figure 110. ARMORutils Backlight Setup Dialog ..................................................................................... 190
Figure 111. Intel Graphics Screen Rotation Options (from icon tray) ...................................................... 192
Figure 112. Intel Graphics and Media Control Panel ............................................................................... 193
Figure 113. Intel Graphics Panel Hot Key Manager ................................................................................ 194
Figure 114. Low Battery Alert Message ................................................................................................... 203
Figure 115. Reserved Battery Alert message .......................................................................................... 204
Figure 116. Power Options Window ........................................................................................................ 207
Figure 117. Edit Plan Settings Window .................................................................................................... 208
Figure 118. Advanced Power Settings Window ....................................................................................... 209
Figure 119. Windows Desktop Battery Window Examples – Batteries Discharging ............................... 210
Figure 120. Windows Desktop Battery Window Examples – Batteries Charging .................................... 211
Figure 121. ARMORutils Battery Monitor Dialog ..................................................................................... 212
Figure 122. ARMORutils Battery Conditioning Window ........................................................................... 214
Figure 123. Battery Conditioning Start Alert Message ............................................................................. 215
Figure 124. ARMOR X10gx Battery Label ............................................................................................... 216
Figure 125. ARMOR X10gx Unit Serial Number Location ....................................................................... 224
Quick Links: Section 1 2 3 4 5 6 7 8 9 10 A Table of Contents List of Figures Acronyms Glossary
List of Tables
Table 1. Power Button Actions ................................................................................................................... 29
Table 2. Installing an X10gx Battery .......................................................................................................... 61
Table 3. Performing the Microsoft Out-of-Box-Experience (OOBE) ........................................................... 63
Table 4. LED Indication Summary ............................................................................................................. 66
Table 5. Configuring the Speakers ............................................................................................................ 69
Table 6. Configuring your Microphones ..................................................................................................... 70
Table 7. Pen Screen Actions ...................................................................................................................... 75
Table 8. Fingertip Actions .......................................................................................................................... 77
Table 9. Capturing a Still Image or Video ................................................................................................... 85
Table 10. Scan UPC-10, EAN-13 and ISBN Barcodes in Windows 7 ........................................................ 87
Table 11. Scan Datamatrix and QR Format Barcodes in Windows 7 ......................................................... 88
Table 12. View and Manage Network Connections ................................................................................... 94
Table 13. View and Manage Bluetooth Devices ........................................................................................ 96
Table 14. Setting up an Ethernet Connection ............................................................................................ 99
Table 15. Configuring the Sierra OneClick Application to Use NDIS ....................................................... 102
Table 16. Configuring the u-Center Com Port ......................................................................................... 103
Table 17. Obtaining the AGPS Password from u-blox ............................................................................. 105
Table 18. Enabling and Disabling Your Wireless Radios ........................................................................ 107
Table 19. Configuring the X10gx to use External Antennas .................................................................... 108
Table 20. ARMOR X10gx Trouble Symptoms ......................................................................................... 161
Table 21. Remove and Replace the Solid-State Drive ............................................................................ 171
Table 22. Remove and Replace a Battery ............................................................................................... 173
Table 23. Installing a SIM Card ................................................................................................................ 175
Table 24. Replacing a Memory Module ................................................................................................... 177
Table 25. Access the BIOS Setup Utility. .................................................................................................. 180
Table 26. Record Bios Changes Here ..................................................................................................... 181
Table 27. Return the BIOS to Its Default State ........................................................................................ 182
Table 28. Setting the Dock Power Switch for Legacy Operation .............................................................. 183
Table 29. Changing the Power Button Actions ........................................................................................ 184
Table 30. Creating an Event Log ............................................................................................................. 186
Table 31. Recover an Overly Discharged Battery. ................................................................................... 199
Table 32. Select How to Charge the Batteries ......................................................................................... 201
Table 33. Conditioning a Battery .............................................................................................................. 214

9711-26020-0001
Export Controlled – See Page 3
Rev D
SECTION 1
WELCOME AND INTRODUCTION
Page 21 of 234
ARMOR X10gx Tablet Computer
Table of Contents List of Figures List of Tables Acronyms Glossary
1. WELCOME AND INTRODUCTION
Thank you for purchasing the ARMOR X10gx Rugged Tablet with Intel® Core Duo™ Mobile
technology. Your X10gx is the latest addition to the ARMOR line of durable, reliable, and easy-
to-use tablet computers.
The X10gx is housed in our new magnesium alloy chassis and has sealed external connectors
that are rated IP 67 level protection from dust, dirt, water and other damaging elements. Its hot-
swappable battery access means you can change the batteries without the need for tools and
without interrupting normal computer operations. In addition, you now have the functionality of
both a touch screen and an active pen screen at your fingertips.
The ARMOR X10gx gives you the power of a desktop computer in a rugged portable tablet
computer. The X10gx can be mounted in a vehicle or it can be used on a desktop, on the
ground, held on the lap, or held in the crook of the arm. You can write and perform operations
directly on the screen, work with a virtual on-screen keyboard, or attach a USB keyboard
(compact keyboard, standard-sized USB keyboard, or Bluetooth keyboard).
We take pride in providing high-quality products and superior customer service. Thank
you for choosing the ARMOR X10gx Tablet Computer, and for your trust in the ARMOR line
of products.
The ARMOR Team

9711-26020-0001
Export Controlled – See Page 3
Rev D
SECTION 1
WELCOME AND INTRODUCTION
Page 22 of 234
ARMOR X10gx Tablet Computer
Your purchase includes the items and accessories shown below. Please confirm that all of
these items are present and in good condition. NOTE: Your hard drive is shipped already
installed in the computer.
Your ARMOR X10gx Purchase
Contact your ARMOR sales representative if any item is missing or damaged.
ARMOR X10gx Included Components and Accessories
TABLET
COMPUTER
QUICK START GUIDE
AC ADAPTER
BATTERY (1 OR 2)
ACTIVE PEN WITH
TETHER
ARMOR
CLOTH
SHOULDER
STRAP

9711-26020-0001
Export Controlled – See Page 3
Rev D
SECTION 1
WELCOME AND INTRODUCTION
Page 23 of 234
ARMOR X10gx Tablet Computer
This user’s guide contains virtually all of the information required to setup and maintain your
ARMOR X10gx tablet computer. However, should you need additional technical information,
please visit our web site at:
About This Guide
www.drsarmor.com, or call DRS Technical Support toll-free at 1-
888-872-1100.
This guide is written for the Windows 7® operating system except where noted.
This User’s Guide is installed on your ARMOR X10gx solid-state drive in PDF format. It is
primarily designed for on-screen viewing but it can also be printed in 2-sided book format. The
pdf file is located in C:/Guides.
Viewing, Navigating, and Printing this Guide
Double-click on the ARMOR X10gx User’s Guide icon on the desktop to open the guide in
your Adobe® PDF Reader™. The latest version of Adobe PDF Reader is available for
downloading free from www.adobe.com.
While viewing this guide, you can click on any Figure or Table reference and on any blue
underlined text
NOTE: Blue underlined links to websites may change color after visiting depending on your,
browser settings; internal blue underlined links will not change color.
to navigate within the guide or to access resources on the Internet.
A pdf version of the printed Quick Start Guide that was packed with your computer is also
included in C:/Guides for reference purposes. Double-click on the file to open it. NOTE:
Because this document is designed for printing in a special format, the last page appears first
and upside down.
Viewing the X10gx Quick Start Guide
This user’s guide was produced with the latest information available and verified for accuracy at
the time of its release. However, mistakes are still possible and product updates may supersede
the information in this guide.
Please Help Us Maintain Top Quality
Documentation
We encourage you to contact DRS Technical Support toll-free at 1-888-872-1100 for information
on how to obtain the latest version of this document, or if you have corrections or suggestions to
improve this guide.

9711-26020-0001
Export Controlled – See Page 3
Rev D
SECTION 1
WELCOME AND INTRODUCTION
Page 24 of 234
ARMOR X10gx Tablet Computer
This Page Intentionally Left blank

9711-26020-0001
Export Controlled – See Page 3
Rev D
SECTION 2
GETTING TO KNOW YOUR ARMOR X10GX
Page 25 of 234
ARMOR X10gx Tablet Computer
Table of Contents List of Figures List of Tables Acronyms Glossary
2. LEARNING ABOUT YOUR ARMOR X10GX
The X10gx is the latest addition to the ARMOR line of full-size rugged, reliable, and easy-to-use
tablet computers. It is housed in our new lower-weight magnesium alloy chassis and has sealed
external connectors that are rated IP 67 level protection from dust, dirt, water and other
damaging elements.
Its hot-swappable battery access means you can change the batteries without the need for tools
and without interrupting normal computer operations. In addition, you now have the functionality
of both a touch screen and an active pen screen at your fingertips.
The following paragraphs describe the principal components, controls, indicators, connectors
and accessories of the ARMOR X10gx.

9711-26020-0001
Export Controlled – See Page 3
Rev D
SECTION 2
GETTING TO KNOW YOUR ARMOR X10GX
Page 26 of 234
ARMOR X10gx Tablet Computer
NOTE
Front and Top Panel Features
All references to front/back, top/bottom and left/right are relative to the
face-on view as shown in Figure 1.
Figure 1. Front Panel Features
CONTROL
PANEL
HIGH-BRIGHTNESS
DUAL MODE
DISPLAY
OPTIONAL GPS
ANTENNA (BEHIND
COVER)
LED INDICATOR
PANEL
ACTIVE PEN
WITH TETHER
NOISE CANCELLING
MICROPHONES
(2 SETS)
AMBIENT
LIGHT
SENSOR
(ALS)
SPEAKER #1
(INSIDE CASE)
SPEAKER #2
(INSIDE CASE)
PRIMARY WI-FI
ANTENNA (BEHIND
COVER)

9711-26020-0001
Export Controlled – See Page 3
Rev D
SECTION 2
GETTING TO KNOW YOUR ARMOR X10GX
Page 27 of 234
ARMOR X10gx Tablet Computer
The X10gx display is a high-brightness, high-contrast LCD display with anti-glare filtering that
ensures your screen can be clearly viewed even in bright sunlight. A replaceable screen
protector is attached at the factory to reduce glare and protect the touch screen surface.
Dis play
The X10gx comes equipped with a dual display that has both an active pen (digitizer) screen
and a touch screen as standard; an optional pen-only version is also available. The pen digitizer
screen permits precise data entry and accurate handwriting conversion while the touch screen
provides quick and accurate operation using just a fingertip. A passive stylus (not supplied) will
provide even more precision with the touch screen. If you have the standard display, you can
choose to operate with both screens (Dual Mode) or with only one screen (Touch Only or Pen
Only). Both screens have the same clear, crisp viewing quality in any lighting situation.
In Dual Mode, the touch screen is normally enabled and the pen screen is disabled. When the
active pen is detected within about ¼ inch of the screen, the touch screen is disabled and the
pen screen is enabled. When the active pen is moved away from the screen, the pen screen is
disabled and the touch screen is enabled. Switching between the two screens is automatic and
instantaneous.
There are 6 buttons and a fingerprint sensor located on the control panel on the right side of the
X10gx display, as shown in
Controls
Figure 2.
Figure 2. X10gx Control Panel
FINGERPRINT
SENSOR
WINDOWS SECURITY
KEY BUTTON
POWER
BUTTON
FUNCTION
BUTTON
PROGRAMMABLE
BUTTON P1
PROGRAMMABLE
BUTTON P2
PROGRAMMABLE
BUTTON P3

9711-26020-0001
Export Controlled – See Page 3
Rev D
SECTION 2
GETTING TO KNOW YOUR ARMOR X10GX
Page 28 of 234
ARMOR X10gx Tablet Computer
The PBs can be programmed to activate different functions such as controlling brightness,
changing volume level or activating an application with just a single press. Refer to the
Programmable Buttons (PBs ) P1, P2, P3
Buttons
Setup Dialog for information on how to program available options. These buttons are also used
to manually activate the battery fuel gauges (see Manually Activating the Fuel Gauges). NOTE:
The PB functions are only available while ARMORutils is running.
Each programmable button has a built-in LED that varies in intensity with the screen brightness.
The fingerprint sensor is used with security software to allow you to log into your account on this
computer or secure your access to specific applications and online websites. Refer to
Fingerprint Sensor (FPS)
TrueSuite™ Fingerprint Recognition Software for instructions on how to setup and use the FPS.
This button is used with PBs P1, P2 and P3 (button “combos”) to activate three additional
functions. Press and release the Fn button and then press and release P1, P2 or P3 to activate
the combo function. Refer to
Fn (Function) Button
Buttons Setup Dialog for information on how to program available
functions for each button and button combo.
The Fn button has a built-in LED that lights for approximately 5 seconds when the button is
pressed.
Pressing this button invokes the CTRL-ALT-DEL command, which opens a menu on the
desktop. From this menu, you have the following options:
Windows Security Key Button
• Lock this computer
• Switch User
• Log off
• Change password
• Start Task Manager
The Windows security key button is also known as the Security Attention Sequence (SAS)
button and the OEM Button.
The Power button is primarily used to turn the computer on, but it also performs other functions
when the computer is running and when the computer is in sleep or hibernate mode.
Power Button
Table 1
lists the default actions of the power button when you first receive your X10gx.
NOTE: To turn the computer off, refer to the instructions in Turning the Computer Off Normally
and Emergency Shutdown.

9711-26020-0001
Export Controlled – See Page 3
Rev D
SECTION 2
GETTING TO KNOW YOUR ARMOR X10GX
Page 29 of 234
ARMOR X10gx Tablet Computer
Table 1. Power Button Actions
Operating State
Power Button Action
Result
Computer powered off
Press and hold for at least
1 second and then release
Computer turns on and boots up
into new Windows session.
Computer powered on and
awake
Press and release
Computer goes into Sleep mode
and saves your current session
to memory.
Computer in Sleep mode
(powered on)
Press and hold for at least 1
second and then release
Computer wakes up and
restores your current session.
Computer in Hibernate mode
(powered off)
Press and hold for at least 1
second and then release
Computer turns on and restores
your previous session.
Computer powered on and
awake
To shut down the
computer normally, select
Start
à
Shut down from
the Windows desktop.
The computer will perform a
normal shutdown.
Computer powered on and
awake
Press and hold for 5 or
more seconds (emergency
shutdown)
Computer shuts down
immediately and does not save
your session.
Computer off and batteries
exhausted
Press and hold for at least
1 second and then release
Charging/Fault indicator blinks 5
times to indicate batteries
exhausted.
When you receive your X1, the default action for pressing the Power button during normal
operation is to put the computer in Sleep mode. You can change the default actions of the
Power button through the Power Options settings in Windows Control Panel. The actions
that are available are: Do Nothing, Sleep, Hibernate or Shut Down. Refer to
Changing the Default Power Button Action
Changing the
Power Button Default Action for instructions.
NOTE: This change will only affect the action of the Power button during the operating
Table 1 state;
it will still works the same as described in when the computer is powered off or is in
sleep or hibernate mode.

9711-26020-0001
Export Controlled – See Page 3
Rev D
SECTION 2
GETTING TO KNOW YOUR ARMOR X10GX
Page 30 of 234
ARMOR X10gx Tablet Computer
There are six LED status indicators located on the indicator panel at the upper right of the
X10gx display as shown in
Indicator Panel
Figure 3 (NOTE: The seventh object to the far right of the panel is
the ambient light sensor (ALS), not an LED). The functions of these indicators and the function
of the ALS are described below (see Indicator State Summary for a complete description of
each indicator state).
Figure 3. Indicator Panel
A blue LED that indicates when the WI-FI radio is connected to a network
WI-FI Indicator
A blue LED that indicates when the GPS module is powered on and enabled.
GPS Indicator
A blue LED that is on steady when the WWAN radio is connected to a network.
Wireless Wide Area Network (WWAN) Indicator
A blue LED that is on intermittently when any storage media such as the solid-state drive or an
optional flash drive is accessed.
Storage Indicator
This amber/red LED has the following conditions:
Charging/Fault Indicator
• Off when the tablet is powered up and external power is not connected.
• On steady amber when external power is connected and batteries are fully charged.
• Flashing amber at a 1-second rate when either or both batteries are charging.
• On steady red if a power system error occurs, such as an overvoltage, undervoltage or
overcurrent condition or a battery failure.
A blue LED that indicates when the X10gx is in the powered on state. It also flashes slowly in
sync with the Power button LED when the tablet is in Sleep mode.
Power On Indicator
WI-FI
GPS
WWAN
STOR
C/F
PWR
ALS

9711-26020-0001
Export Controlled – See Page 3
Rev D
SECTION 2
GETTING TO KNOW YOUR ARMOR X10GX
Page 31 of 234
ARMOR X10gx Tablet Computer
When the X10gx display is in automatic brightness mode, the ALS senses changes in
surrounding light levels and adjusts the display brightness accordingly. If the ambient light level
increases, the display brightness will increase proportionally; if the light level decreases, the
display brightness will decrease proportionally.
Ambient Light Sensor (ALS)
The X10gx has two sealed internal speakers located under the antenna covers at the top of the
computer (see
Speakers
Figure 1). The speakers broadcast audible alerts generated by the operating
system and application software and can be used to play back music or video sound tracks,
although at a considerably reduced sound quality.
If a headset or external speakers are plugged into the right-side panel audio jack (Figure 9), the
internal speakers are disabled. The sound quality through a pair of headset speakers or external
speakers meets the Microsoft Windows 7 requirements for a PC audio system.
The X10gx is equipped with two sets of noise-cancelling microphones (see
Microphones
Figure 1). These
microphones support simultaneous analog and 4-channel digital recording. They are activated
in pairs depending on the orientation of the screen. In the landscape (default) position, the tablet
is oriented with the long axes of the screen horizontal and the short axes vertical. In this
position, the two active microphones will be at the top or bottom of the long axis. If you rotate
the screen to the portrait mode, the active pair on the short axis will be active.
If you plug an external microphone into the audio jack on the right side of the computer, the
internal microphones are disabled.

9711-26020-0001
Export Controlled – See Page 3
Rev D
SECTION 2
GETTING TO KNOW YOUR ARMOR X10GX
Page 32 of 234
ARMOR X10gx Tablet Computer
The rear panel of the X10gx houses compartments for two batteries, a solid-state drive, wireless
and custom cards, and 1 or 2 RAM memory modules, as shown in
Rear Panel Features
Figure 4. There is also a
built-in webcam, a 50-pin docking connector and two RF docking connectors to connect external
wireless and/or GPS antennas through the X10gx docking station.
Figure 4. Rear Panel Features
DOCKING
CONNECTOR
(POWER, DATA
AND VIDEO)
BATTERY
FUEL GAUGES
FLEXSPACE
COMPARTMENT
(SSD, SIM CARD,
CUSTOM CARDS)
RF DOCKING CONNECTORS
(EXTERNAL GPS AND WI-
FI/WWAN ANTENNAS)
MEMORY MODULE
COMPARTMENT
BUILT-IN
WEBCAM BATTERY #2
BATTERY #1
RIGHT
PANEL
FLEXSPACE

9711-26020-0001
Export Controlled – See Page 3
Rev D
SECTION 2
GETTING TO KNOW YOUR ARMOR X10GX
Page 33 of 234
ARMOR X10gx Tablet Computer
There are two battery compartments on the rear panel, as indicated in
Battery Compartments
Figure 5. These
compartments are sealed against moisture and dirt and provide quick and easy access for
battery replacement. A battery “fuel” gauge (LED array) is provided for each battery to indicate
the current charge level.
Figure 5. Battery Fuel Gauge Indicators
Each fuel gauge array consists of 5 LEDs and each LED represents approximately 20% of the
total charge of the battery as follows:
Fuel Gauge LEDs
LED #5 81-100%
#4 61-80%
#3 41-60%
#2 21-40%
#1 01-20%
The fuel gauge LEDs are active whenever power is applied to the tablet and the tablet is not in
sleep or hibernation mode. The LEDs in each array turn on from left to right as the charge
increases. When all five LEDs are on steady, the battery is fully charged. If a battery is not
installed, the fuel gauge for that battery will be off.
As the battery is used, the LEDs will turn off from right to left. If the battery charge drops below
10%, LEDs 2-5 will be off and LED #1 will flash.
BATTERY #1
FUEL GAUGE
BATTERY #2
FUEL GAUGE
1 2 3 4 5
BATTERY
COMPARTMENT
#1
BATTERY
COMPARTMENT
#2

9711-26020-0001
Export Controlled – See Page 3
Rev D
SECTION 2
GETTING TO KNOW YOUR ARMOR X10GX
Page 34 of 234
ARMOR X10gx Tablet Computer
When the tablet is powered up and in a normal operating state, the fuel gauges are always
active. When the tablet is turned off or is in low-power mode (sleep/standby) and external power
is not connected, the fuel gauge LEDs are not normally active. When the tablet is in one of
these states, you can manually activate the gauges for a period of 5 seconds by pressing and
releasing any of the programmable buttons (P1 – P3) on the control panel.
Manually Activating the Fuel Gauges
Manual fuel gauge activation can only occur when the tablet is powered off or is in sleep mode.
This activation is independent of any programmable functions assigned to the buttons.
The X10gx has a built-in 2-megapixel camera located on the back side of the top left antenna
cover (
Webcam
Figure 6). The camera is equipped with an autofocus lens and can be used to capture
still images, movies and barcodes. The camera saves still images in JPEG format at
1280x1024, 800x600 and 640x480 pixel resolutions. Movies are saved in Windows Media Video
(.wmv) format.
For information on using the webcam to capture still and video images or for reading bar codes,
refer to Using the Webcam.
Figure 6. Built-in Camera
The X10gx can be connected to a number of docking stations including desk docks and vehicle
docks. While docked, the tablet receives external power and data through the 50-pin docking
connector shown in
Docking Connectors
Figure 7. Two RF docking connectors are provided to connect external GPS
and/or WWAN antennas through a vehicle dock to the tablet. NOTE: This external antenna
support is only available with the X10gx RF vehicle dock shown in Figure 27.
Figure 7. X10gx Docking Connectors
WEBCAM
LENS
POWER AND
DATA DOCKING
CONNECTOR
RF DOCKING
CONNECTORS

9711-26020-0001
Export Controlled – See Page 3
Rev D
SECTION 2
GETTING TO KNOW YOUR ARMOR X10GX
Page 35 of 234
ARMOR X10gx Tablet Computer
On the left side of the tablet, support for a second display is provided with a DisplayPort®
connector. There is also an RJ-45 10/100/1000 Ethernet port and two USB 2.0 ports. A DC
power input jack is provided to connect an external power source.
Left Side Panel Features
Figure 8. Left Side Panel Features
DC POWER
INPUT JACK
USB
PORTS
ETHERNET
PORT
SECONDARY WI-FI OR
CUSTOM
FLEXSPACE
ANTENNAS (BEHIND
COVER)
DISPLAYPORT
CONNECTOR

9711-26020-0001
Export Controlled – See Page 3
Rev D
SECTION 2
GETTING TO KNOW YOUR ARMOR X10GX
Page 36 of 234
ARMOR X10gx Tablet Computer
On the right side of the tablet, there is an audio jack that can accommodate a pair of
headphones, a pair of external speakers or an external microphone. There is also a 9-pin serial
port connector for RS-232 serial data and a standard USB connector.
Right Side Panel Features
The bottom cover opens to reveal a compartment for three different types of removable digital
cards: a 26-pin 34/54 mm ExpressCard, an ISO/IEC 7810 FIPS 201 compliant Smart Card and
a high capacity Secure Digital (SDHC) card. As a factory installed option, a single Type I/II
PC/PCMCIA card slot can be substituted for the ExpressCard slot.
Removable Card Support
Figure 9. Right Side Panel Features
USB
PORT
HEADPHONE/
SPEAKER/
MICROPHONE
JACK
SECONDARY WI-FI
ANTENNA
(BEHIND COVER)
RS-232
SERIAL
PORT
EXPRESSCARD
SLOT
COVER
RELEASE
LATCHES
SMART CARD
SLOT
SECURE DIGITAL
(SD/SDHC) CARD
SLOT

9711-26020-0001
Export Controlled – See Page 3
Rev D
SECTION 2
GETTING TO KNOW YOUR ARMOR X10GX
Page 37 of 234
ARMOR X10gx Tablet Computer
The bottom panel of the tablet houses two docking station mount points and the Bluetooth
antenna.
Bottom Panel Features
Figure 10. Bottom Panel Features
DOCKING
STATION MOUNT
POINTS
BLUETOOTH ANTENNA
(BEHIND BOTTOM
PLATE)

9711-26020-0001
Export Controlled – See Page 3
Rev D
SECTION 2
GETTING TO KNOW YOUR ARMOR X10GX
Page 38 of 234
ARMOR X10gx Tablet Computer
Included Components, Accessories and Support
The ARMOR X10gx ships with two 2400 mAh rechargeable batteries (P/N 0300-15663-2400). A
single battery is shown in
Batteries
Figure 11. These are high efficiency lithium-ion batteries that are “hot
swappable.” That is, if you have two batteries installed, you can replace one battery while the
tablet operates on the other battery. With this capability, you do not have to shut down the
computer or interrupt your current operating session in order to replace a battery.
The X10gx can operate as long as 4 hours on two fully charged batteries and up to 2.5 hours on
a single battery.
Figure 11. ARMOR X10gx Battery
Your ARMOR X10gx normally comes equipped with a 32 GB 1.8” solid-state drive (P/N
0000F49855-0032) that is mounted inside the sealed Flexspace compartment (see
Solid State Drive (SSD)
Figure 4 for
location). An optional 80 GB drive (P/N 0000F49855-0080) is also available. Both drives are
shown in Figure 12.
Figure 12. X10gx 32 GB and Optional 80 GB Solid-State Hard Drives

9711-26020-0001
Export Controlled – See Page 3
Rev D
SECTION 2
GETTING TO KNOW YOUR ARMOR X10GX
Page 39 of 234
ARMOR X10gx Tablet Computer
Your X10gx contains 2 GB of random-access memory (RAM) in a single 2 GB 200-pin mini
SODIMM module (P/N 4000F49878-0002) located in a separate compartment on the rear panel
(see
RAM Memory Module
Figure 4). An additional memory module can be added for a total of 4 GB of RAM memory.
A single memory module is shown in Figure 13.
Figure 13. RAM Memory Module
The active pen (P/N 0000F49968-0000) that comes with your X10gx (
Active Pen with Tether
Figure 14) has circuitry
that interacts with the digitizer assembly built into the tablet display. The digitizer detects the
pen tip close to the screen and activates certain functions like steering the cursor or performing
a right click action if the pen is allowed to hover for a few seconds. Pressing the tip to the screen
activates a tip switch that performs a left-click action.
The pen also has a side button that can be programmed for a number of different functions
(refer to Pen Tablet Properties Utility). It’s default function is right-click. The pen is stored in the
tablet’s carrying handle and is secured to the handle by a flexible tether (P/N 0000F48456-
0000).
Figure 14. The ARMOR X10gx Pen
SIDE BUTTON
TIP SWITCH
TETHER

9711-26020-0001
Export Controlled – See Page 3
Rev D
SECTION 2
GETTING TO KNOW YOUR ARMOR X10GX
Page 40 of 234
ARMOR X10gx Tablet Computer
The AC Adapter (P/N 5700F50075-0000) is a +15 VDC, 4.8A power supply (
AC Adapter
Figure 15) that is
primarily used to recharge the batteries but can be used to power your X10gx with the batteries
removed. It consists of a power supply, a DC power cable and an AC power cord. The model
shown has a US-type power cord. A European power cord is also available.
Figure 15. AC Adapter
This microfiber cloth (P/N 0410F49938-0000) is specially designed to clean the display screen
of dust and fingerprints. See
Dis play Cloth
Caring For the Display Screen for important information about
using this cloth with the X10gx display.
Figure 16. Microfiber Display Cloth
Shoulder Strap
A sturdy nylon shoulder strap (P/N 5650F16779-0000) is included with your X10gx. This strap is
adjustable and attaches to either of the two “D” rings sewn into the carrying handle.
Figure 17. Shoulder Strap

9711-26020-0001
Export Controlled – See Page 3
Rev D
SECTION 2
GETTING TO KNOW YOUR ARMOR X10GX
Page 41 of 234
ARMOR X10gx Tablet Computer
The X10gx is equipped with a SIM card socket for use with some WWAN network providers. A
SIM card is a small electronic card that contains your GSM subscriber ID, billing information,
and network permissions. The card allows you to easily transport your subscriber information to
another computer or subscriber device. SIM cards are used by GSM-based networks such as
AT&T® and T-Mobile®, as well as most European WWAN providers.
Subscriber Identity Module (SIM) Card Support
Figure 18 shows the size of the SIM card compared to a quarter (NOTE: The SIM card shown is
blank - a valid card has the customer’s account code printed on it).
You must have a SIM card installed in order to use your Gobi radio to connect to a GSM WWAN
network in Europe and to certain providers in the United States. To install your SIM card, refer
to Installing a SIM Card.
Figure 18. SIM Card Example
The ARMOR X10gx also provides a card reader for a micro SD or SDHC card in capacities of 8,
16, or 32 GB. These cards are about half the size of a SIM card and are used as removable
flash drives. The socket for the micro SD card is located inside the X10gx case, as shown in
Secure Digital (SD) Card Reader Support
Figure 19 . The Windows operating system recognizes the card as a removable drive, just like a
USB memory stick.
Figure 19. SD Card Example
Your X10gx also has a slot for an embedded chip smart card, as shown in
Smart Card Support
Figure 20. A smart
card has an embedded computer or memory chip that stores transaction data. The cards can be
used for applications such as banking, healthcare, entertainment and transportation.

9711-26020-0001
Export Controlled – See Page 3
Rev D
SECTION 2
GETTING TO KNOW YOUR ARMOR X10GX
Page 42 of 234
ARMOR X10gx Tablet Computer
Figure 20. Smart Card Example
The X10gx also has a slot for an ExpressCard®.
ExpressCard® Support
Figure 21 shows two examples of express
cards. These hot-pluggable cards can be used for many different functions including adding
memory, wireless communications, multimedia and security enhancements and many more.
Figure 21. ExpressCard Examples

9711-26020-0001
Export Controlled – See Page 3
Rev D
SECTION 2
GETTING TO KNOW YOUR ARMOR X10GX
Page 43 of 234
ARMOR X10gx Tablet Computer
NOTE
Flexspace™ Expansion
This section provides general information about the potential use and
capabilities of the X10gx Flexspace. Please contact DRS Tactical Systems
toll free at 800-872-1100 for detailed information and engineering assistance.
The X10gx contains two dedicated areas equipped with special I/O connectors to allow the
installation of custom cards and modules: an internal flexspace located inside the upper right
rear panel, and the right side panel flexspace, located inside the upper right side panel (see
Figure 4).
Custom modules for the X10gx might include a radio frequency identity (RFID) tag reader,
contactless card reader, or an additional smart card reader. Two of these custom concepts are
shown in Figure 22.
Figure 22. X10gx Flexspace™ Concepts
The internal flexspace normally houses the solid-state drive (SSD), Wi-Fi card and embedded
Bluetooth module that come standard with the X10gx. But it also has provisions for an optional
WWAN card and GPS module. The internal flexspace interface provides:
Internal Flexspace
• Three PCIe card slots
o 1x Full Function PCIe
o 2x Power & USB 2.0
• Three USB 2.0 Ports
o Routed to PCIe card slots
o One routed to 4-pin Molex if card slot not used
• Six GPIO to Docking connector
• Two GPIO to EC Processor allowing custom triggers & sense
• DOCK_PRESENT and DOCK_ENABLED discrete
• +5V, 1A & +3.3V, 1A power for active modules
ADDITIONAL
SMART CARD
READER
RFID TAG
READER OR
CONTACTLESS
CARD READER

9711-26020-0001
Export Controlled – See Page 3
Rev D
SECTION 2
GETTING TO KNOW YOUR ARMOR X10GX
Page 44 of 234
ARMOR X10gx Tablet Computer
The current flexspace devices are mounted on an interface board called the “flexboard.” This
board has connections to accept the included and optional X10gx wireless cards or it can
accept other custom cards that fit the PCI and mini-PCI connectors. The entire flexboard can be
redesigned or it can be replaced with a customer-designed card that fits the interface connector.
Figure 23 shows the flexboard with included Wi-Fi radio card, an optional GPS card and the SIM
card socket. The optional Gobi® WWAN card mounts in a PCIe slot on the back of the
flexboard. Figure 24 shows the internal flexspace with the flexboard removed.
Figure 23. Internal Flexspace with SSD Removed
SIM CARD
SOCKET
WI-FI
MINI-PCIE
CARD
OPTIONAL
GPS
MINI-PCIE
CARD
FLEXBOARD
200-PIN
INTERFACE
FLEXBOARD
CONNECTOR

9711-26020-0001
Export Controlled – See Page 3
Rev D
SECTION 2
GETTING TO KNOW YOUR ARMOR X10GX
Page 45 of 234
ARMOR X10gx Tablet Computer
Figure 24. Internal Flexspace with the SSD and Flexboard Removed
Figure 25
Right Side Panel Flexspace
shows the flexspace area inside the upper right side panel. The flexspace interface
provides:
• +5V at 1A
• +3.3V at 1A
• One USB 2.0 Port
• One RS-232 Port, with full hardware handshaking
• Stereo Audio Output Port
• Microphone Input
• 5V/Ground/Open GPIO Discretes to EC Processor
• Six spare discretes wired to the FlexBoard
Any custom module will plug into an interface adapter which then plugs into the interface
connector. Currently, this flexspace area is occupied with a custom connector module.
The right side flexspace antenna is currently the secondary Wi-Fi antenna. This antenna can be
replaced with a custom antenna.

9711-26020-0001
Export Controlled – See Page 3
Rev D
SECTION 2
GETTING TO KNOW YOUR ARMOR X10GX
Page 46 of 234
ARMOR X10gx Tablet Computer
Figure 25. Right Side Panel Flexspace
CUSTOM
CONNECTOR
MODULE
SECONDARY
WI-FI
ANTENNA
INTERFACE
CONNECTOR

9711-26020-0001
Export Controlled – See Page 3
Rev D
SECTION 2
GETTING TO KNOW YOUR ARMOR X10GX
Page 47 of 234
ARMOR X10gx Tablet Computer
There are a number of optional add-ons and accessories that extend the capabilities of the
X10gx or make it easier for you to use.
Optional Add-ons and Accessories for Your
X10gx
We offer the Gobi 2000 WWAN radio. This wireless networking device communicates over cell
phone networks and can provide internet or company-specific coverage while on the road or in
areas that don’t provide Wi-Fi access. It can be used in the US or overseas. Adding WWAN
service to your imbedded Wi-Fi capability means you have 24/7 connection to the internet
virtually anywhere in the world.
Gobi® Wireless Wide Area Network (WWAN) Radio
The u-blox® GPS receiver is capable of downloading position data from the GPS or Galileo
satellite networks and enables you to pinpoint your position anywhere in the world within 2.0 –
2.5 meters.
u-blox® GPS Satellite Receiver
The ExpressCard slot included with your X10gx can be replaced at our factory with a Type I/II
PC/PCMCIA card slot. Please contact DRS Tactical Systems toll free at 1-888-872-1100 for
information about this conversion.
PC/PCMCIA Card Support
A reduced-size USB keyboard is available for use with
the ARMOR X10gx computer. The keyboard is
approximately half the size of a standard keyboard and
can be mounted on a special platform for use with a
vehicle docking station or connected to a desk docking
station to conserve space on a table or desktop.
Compact Keyboard
Charger
Two-Bay External Battery
A two-bay battery charger is available for faster and
more convenient battery charging. Each battery bay has
a charging time of approximately 2.5 hours. The
external charger is also handy for recharging spare
battery packs or batteries kept in storage.
Two types of external battery chargers are available
from DRS: a standard sequential charger and a SM-
BUS “smart” charger with a calibration (conditioning)
feature.

9711-26020-0001
Export Controlled – See Page 3
Rev D
SECTION 2
GETTING TO KNOW YOUR ARMOR X10GX
Page 48 of 234
ARMOR X10gx Tablet Computer
A European power cord is available for both types, and a DC power cable is also available for
use in a vehicle or other mobile environments.
Two styles of regulated vehicle power supplies are available from
DRS for use in the United States: a hard-wired version (P/N
0000F46675-0000) that can be directly connected to the vehicle
fuse panel, and a plug-in version (P/N 0000F46675-1000) that
can be plugged into the lighter socket.
Vehicle Power Supplies
These power supplies convert 11-16 VDC vehicle power to a
regulated 15VDC, 5 amp output.
A flexible but tough screen protector is available that
reduces glare and protects the touch screen surface from
wear and scratching. It is also resistant to a wide variety of
toxic chemicals including acetone, toluene, ethyl acetate,
gasoline and concentrated hydrochloric acid. NOTE: This
screen protector may slightly reduce outdoor viewability.
Screen Protector
Screen protectors are available in a package of 5 (DRS
P/N 9850F48847-0000).

9711-26020-0001
Export Controlled – See Page 3
Rev D
SECTION 2
GETTING TO KNOW YOUR ARMOR X10GX
Page 49 of 234
ARMOR X10gx Tablet Computer
There are a number of new docking stations available to support and enhance the X10gx, either
for the desktop or for use in a vehicle.
Docking Stations
NOTE
The parallel port is not supported by the X10gx on any docking
station.
The X10gx desk dock holds the X10gx at a comfortable viewing angle on a desktop or table.
The computer can be quickly undocked for portable use. Two types of desk docks are available,
as shown in
Des k Dock
Figure 26: one with a top locking clamp to secure the X10gx tablet, and one without
the clamp. Either can be ordered with or without a breakout box. The breakout box is mounted
on the back of each type and provides the following additional capabilities:
• One VGA connector
• Three USB 2.0 ports
• Three RS-232 serial ports (one with handshake)
• An RJ-45 connector for a 10/100 LAN connection
• An audio jack for headphones or speakers
• A microphone jack
• An external DC power jack
Figure 26. ARMOR X10gx Desk Dock
DOCKING
STATION
WITH TOP
CLAMP
KEY LOCK
AND CLAMP
RELEASE
DOCKING
STATION
WITHOUT TOP
CLAMP
BREAKOUT
BOX

9711-26020-0001
Export Controlled – See Page 3
Rev D
SECTION 2
GETTING TO KNOW YOUR ARMOR X10GX
Page 50 of 234
ARMOR X10gx Tablet Computer
Two vehicle docks are available that are specially designed for the X10gx: an RF dock (P/N
9800F26200-0000) and a Non-RF dock (P/N 9800F26200-1000). The RF dock is equipped
with two RF docking connectors to allow the X10gx to use an external WWAN antenna and an
external GPS antenna. The non-RF dock does not have the RF connectors. Both vehicle docks
utilize a remote breakout box that provides external cable connections.
ARMOR X10gx Vehicle Docks
Figure 27 shows the X10gx RF dock, breakout box (P/N 9800F45795-0000) and six-foot 50-pin
cable (P/N 8900F51236-0000). The breakout box separates the various signal lines from the
docking connector and routes them to standard interface connectors on the box. It is connected
by the cable to the docking connector at the back of the vehicle dock. Two RF cables are
connected to two RF docking ports on the face of the dock. These cables are then connected to
external antennas in a vehicle.
The X10gx dock can be mounted on a vehicle cab wall, console or on a ball mount assembly.
There are four mounting holes in the dock that meet the VESA 100 mm hole pattern, as shown
in Figure 27. There is also a mounting bracket (DRS P/N 0410F49462-0000) that can be
attached to the back of the dock so it can be mounted vertically on a horizontal surface or on a
ram ball plate, as shown in Figure 28 and Figure 29.
Figure 27. X10gx RF Dock, Breakout Box and Cable
EXTERNAL
ANTENNA
DOCKING
CONNECTORS
BREAKOUT
BOX
VESA 100 MM
PATTERN
MOUNTING
HOLES (X4)
50-PIN
CABLE
RF DOCKING
CABLES

9711-26020-0001
Export Controlled – See Page 3
Rev D
SECTION 2
GETTING TO KNOW YOUR ARMOR X10GX
Page 51 of 234
ARMOR X10gx Tablet Computer
Figure 28. X10gx Vehicle Dock on a Ball Mount Assembly
Figure 29. X10gx Docking Station Attached to Ball Mount Assembly
BALL PLATE
HORIZONTAL
BALL PLATE
VERTICAL
OPTIONAL MOUNTING
BRACKET P/N
0410F49462-0000

9711-26020-0001
Export Controlled – See Page 3
Rev D
SECTION 2
GETTING TO KNOW YOUR ARMOR X10GX
Page 52 of 234
ARMOR X10gx Tablet Computer
The X10gx can also be used with the Universal, Swivel and Aviation docks (
ARMOR Legacy Vehicle Docks
Figure 30) that were
designed for the original ARMOR X10 tablet. However, these docks do not provide connections
to external RF antennas.
The Universal dock can be equipped with a platform to support a compact keyboard and/or
joystick to make it easier to perform functions while operating in a vehicle. A variety of mounting
systems are also available. Figure 31 shows the X10gx mounted in a universal dock on a ball
mount assembly with keyboard tray attached.
Figure 30. ARMOR Legacy Vehicle Docks
UNIVERSAL DOCK
AVIATION
DOCK
SWIVEL
DOCK

9711-26020-0001
Export Controlled – See Page 3
Rev D
SECTION 2
GETTING TO KNOW YOUR ARMOR X10GX
Page 53 of 234
ARMOR X10gx Tablet Computer
Figure 31. X10gx Mounted in a Universal Dock with Keyboard Tray and Keyboard
For information on these and any other ARMOR X10gx accessories, please contact your
ARMOR sales representative or call DRS Tactical Systems toll free at 1-888-872-1100.

9711-26020-0001
Export Controlled – See Page 3
Rev D
SECTION 2
GETTING TO KNOW YOUR ARMOR X10GX
Page 54 of 234
ARMOR X10gx Tablet Computer
This Page Intentionally Left Blank

9711-26020-0001
Export Controlled – See Page 3
Rev D
SECTION 2
GETTING TO KNOW YOUR ARMOR X10GX
Page 55 of 234
ARMOR X10gx Tablet Computer
NOTE: These specifications are subject to change. Please contact DRS Tactical Systems toll free at 1-888-872-1100
for updates of a particular specification.
X10gx Specifications
General Specifications
Operating
System Windows® 7™ Ultimate or Windows 7 Professional, 64 bit.
NOTE: Due to new Microsoft restrictions on providing XP operating system software, DRS can
only provide driver support for Windows XP.
Processor Intel® Core 2 Duo, ultra low-voltage SU9300, 1.2 GHz, Montevina chipset, 3 MB L2 Cache
(U9300), 800 MHz front side bus (FSB), 64-bit instruction set
Memory
Supports up to 4GB with two 2GB DDR3 800 MHz SODIMM modules
Storage Device 80 GB Intel® Mainstream SATA 1.8 inch solid-state drive; support for optional SD flash memory
card
Display DRS ® 10.4 inch (diag.) high brightness transmissive color TFT LCD display model
HX104X01-211 with optically bonded pen digitizer and touch screen
Dual screen (active pen and touch screen) or optional pen-only display
XGA (1024 x 768) and SVGA (800 x 600) @ 6 bpp resolution;
<5nits to 700nits (manual or automatic brightness control); Direct sunlight viewable;
External digital video available at DisplayPort connector, external analog RGB video available
only with a docking device
Hor 90°; Vert 90° up and 90° down viewing angle
Graphics Support Supports Intel’s Generation 5 GMA graphics as provided by the Intel Gx4x Express Chipset,
Microsoft® DirectX10 support, Supports both LVDS and VGA video standards, Internal
resolutions of 1024x768 @ 6 bpp and 800x600 pixels @ 32bpp with color depth
External graphics support is available at the DisplayPort connector or through the docking
connector to a VGA connector on the docking station breakout box. The following resolutions
are supported with at least 32bpp color depth:
SVGA (800x600)
XGA (1024x768)
WXGA (1280x720, 1280x800)
SXGA (1280x1024)
WXGA+ (1440x900)
WSXGA+ (1680x1050)
UXGA (1600x1200)
WUXGA (1920x1200)
Audio Meets Microsoft Windows 7 requirements for PC audio system
Two internal speakers @ 8 ohms ± 15%; Response: 100Hz – 20kHz; Distortion: <10% at
1.5kHz, 0.3w
External audio support through the external headphone/microphone/speaker jack or at a
docking station breakout box.
Two pair of noise-cancelling microphones; each pair activated according to screen rotation
(portrait/landscape); THD+N: <= -65 dB FS; Dynamic range: >= -80 dB FS A-weight @ 20-
20kHz
Keyboard
Support
Supports any standard size or compact USB keyboard (optional); on-screen (virtual) keyboard
included with Microsoft Windows
Cursor Control Touch screen controlled by passive stylus or fingertip; pen screen controlled by inductive
(active) pen; supports an external USB mouse (optional)

9711-26020-0001
Export Controlled – See Page 3
Rev D
SECTION 2
GETTING TO KNOW YOUR ARMOR X10GX
Page 56 of 234
ARMOR X10gx Tablet Computer
Fingerprint
Scanner AuthenTec® AES1660 fingerprint sensor with TrueNav™ cursor and menu navigation;
Interface: USB 2.0 full speed, fully encrypted, suspend and remote wakeup, selective suspend
support;
Camera 2.0 mega-pixel camera, SXGA 4:3 format, 1280 x 1024 pixels resolution, F2.0 lens, auto-focus
with enable/disable, still pin interface for high speed still image capture; Sensitivity: 0.7 V/lux-sec
minimum
Frame rates: (ambient light @ 250 nits): SXGA (1280 x 1024) - 25 fps, SVGA (800 x 600) - 30
fps, VGA (640 x 480) - 35+ fps; Interface: USB 2.0 with selective suspend; Output formats:
JPEG (still), MPEG (movie)
Expansion Slots Single ExpressCard® 26-pin 34/54 mm slot or optional (factory installed) single PC/PCMCIA
Type I/II card slot
Single ISO/IEC 7810 compatible Smart Card slot. Supports ISO/IEC 7816 interface protocol and
PC/SC specification version 2.0.1.5. Driver software certifiable to Microsoft WHQL, EMV 2000,
USB CCIE and ISO 7816 standards (Door designed to close with standard card inserted.)
Single Secure Digital (SD) card reader accepting industry standard cards with capacities up to
32GB.
TPM Module
Support Supports installation of a TPM controller module that meets the requirements of the Trusted
Computing Group (TCG) Trusted Platform Module Specification 1.2. Supports the TPM 1.2
solutions provided by Intel and Infineon.
External
Interface One (1) Power Input jack: 12.0 – 28VDC (16VDC nominal); can be powered through external
DC power jack or input power pins on the docking connector
Three (3) USB 2.0 external port connectors (three additional USB ports available through
optional docking device); supports externally powered 4-port hub
One (1) 10/100/100 Gigabit Ethernet LAN RJ45 external connector
One (1) external RS-232 serial port D-Sub 9-pin connector
One (1) DisplayPort video output connector
One (1) headphone/microphone/external speaker jack
Docking
Interface One (1) Power Input : 12.0 – 28VDC (16VDC nominal)
One (1) Power Output: 5VDC ± 5% to power downstream devices
Two (2) ground/open discrete GPIO inputs pulled up to 5V inside the X10gx and wired to GPIO
on the EC controller to allow for custom applications requiring discrete input; source impedance
<10k and no more than 100k; both pins ESD protected
Three (3) USB 2.0 ports
Six (6) Flex I/O bi-directional discrete wired directly to the Flexboard inside the X10gx to be used
for custom applications; all pins are ESD protected
One (1) VGA port
One (1) RS-232 serial port
One (1) RJ-45 Ethernet port
One (1) microphone input line
One (1) audio jack with Left and right channel audio outputs
Two (2) discrete coaxial RF connectors - one for an external GPS antenna and one for an
external wireless antenna; 50ohm female BMMA-style push on/pull off connectors
Flexspace™
Interface Flexible I/O for custom circuit cards and modules; space available in the rear flexspace
compartment and the right side panel. Refer to the “ARMOR X10gx Flexspace Utilization
Guide”, P/N 9711-26020-0100 for detailed information.
Power
Internal: One or two 11.1 VDC 2400 mAh lithium-ion rechargeable batteries; approximately 4

9711-26020-0001
Export Controlled – See Page 3
Rev D
SECTION 2
GETTING TO KNOW YOUR ARMOR X10GX
Page 57 of 234
ARMOR X10gx Tablet Computer
hours operating time with two fully charged batteries; up to 2.5 hours with 1 battery; battery
charging time is approximately three hours with two batteries, 1 year warranty
External : 12 – 28VDC (19VDC nominal), AC adapter or vehicle power source
Weight and
Dimensions Weight: 2.4 kg (5.3 lbs) with 1 battery installed
Dimensions: See Dimensional drawing at end of sheet.
Wireless*
Wi-Fi®
(WLAN) Integrated Intel® Centrino® Ultimate-N6300 Wi-Fi (WLAN) PCIe mini card (IEEE 802.11a/b/g/n,
802.11d, 802.11e, 802.11i, 802.11h), with MIMO 3x3 integrated antennas on two different planes;
2.4GHz and 5GHz card for US and European operation
Bluetooth® Class 2 Bluetooth 2.1 installable module with EDR, piconet and scatternet capability; interface is
HCI USB compliant; Max output power: +4 dBm; -80 dBm @ 1% BER, 10 meters Sensitivity:
Ethernet
LAN
Embedded Atheros® AR8131 PCIe 10/100/1000 Gigabit Ethernet LAN controller; Supports IEEE
P802.3 1000BASE-T, 100BASE-T and 10BASE-T connection speeds; Meets IEEE P802.3 signal
requirements when driving 100 meter of Category 5 Enhanced (CAT 5e) or Category 6 (CAT 6)
cable
Port access via external RJ45 connector on tablet and at vehicle dock breakout box
Optional
WWAN Qualcomm® Gobi™ 2000 Wireless WAN (WWAN), mini-PCIe card, UICC compliant to GSM
TS11.11, GSM 11.12 and ISO/IEC 7816 standards; Sierra® OneClickInternet™ connection
manager; Interface: USB 2.0 High Speed; Supports the following frequency bands:
• HSPA/UMTS – 800/850/900/1900/2100 MHz
• Quad-band EDGE/GPRS/GSM – 850/900/1800/1900 MHz
• Dual-band EV-DO/CDMA – 800/1900 MHz
Optional
GPS
Advantech® GPS-107HE half-size mini-PCIe card with u-blox® NEO-5 GPS receiver module with
50 channels and 2.0-2.5 m accuracy; receives GPS and Galileo signals; Supports: WAAS,
EGNOS, MSAS, GAGAN; integrated GPS antenna or external GPS antenna support through
optional RF vehicle dock
*Wireless connectivity and some features may require the purchase of additional software, services, or external hardware. Wireless
availability and options may vary by country.
Environmental Specifications
Operating and
Storage
Temperatures
Operating: -20°C to +60°C IAW MIL-STD-810F Method 501.4 (High Temp), Method 502.4
(Low Temp)
Storage: -40°C to +70°C IAW MIL-STD-810F Methods 501.4, Method 501.4 (High Temp),
Method 502.4 (Low Temp)
NOTE: Using this product in a high-temperature environment may cause non-uniform
brightness.
Thermal Shock -40°C to +70°C, >10°C / minute transition IAW MIL-STD-810F, Method 503.4.
Solar Radiation 50°C, 1120 ± 47 W/m² IAW MIL_STD_810F, Method 505.4, Procedure II
Humidity +5ºC to +60ºC, IAW MIL-STD_810F, Method 507.4
With docking station: 15 days Cycle B3 (Natural) and 15 days Cycle B3 (Induced) IAW MIL-
STD_810G, Tables I and II

9711-26020-0001
Export Controlled – See Page 3
Rev D
SECTION 2
GETTING TO KNOW YOUR ARMOR X10GX
Page 58 of 234
ARMOR X10gx Tablet Computer
SPECIAL TEST – Tablet soaked at +40ºC, 95% RH for a period of at least 4 hours in the
OFF condition. The tablet was then booted to the OS. At the completion of system boot, the
tablet was removed from the high humidity environment and moved to a -10ºC environment
for a period of 30 minutes.
Altitude 20,000 feet for both operating and non-operating (storage) IAW MIL-STD-810F, Method
500.4
Shock Operating: 30g, 11ms, 3 pulses per axis (3), per direction +/- pulse, total pulses 18 IAW
MIL_STD_810F, Method 516.5, Procedure I.
Non-operating: 50g, 11ms, 3 pulses per axis (3), per direction +/- pulse, total pulses 18 IAW
MIL-STD-810F, Method 516.5, Procedure I
Crash Hazard Shock 75g, SRS IAW MIL_STD_810F, Method 516.6, Procedure V, Figure 516.6-8
Transit Drop Shock 4 feet to plywood over concrete IAW MIL-STD-810F, Method 516.4
Vibration Operating: IAW MIL-STD-810F, Method 514.4, Figure 514.5C-3 Composite Wheeled Vehicle
Storage: MIL-STD-810F, Method 514.5, Figure 514.5C-17 Minimum Integrity and Figure
514.5-C2, Composite Two Wheeled Trailer
Dust and
Waterproofing Meets IP67 dust and water ingress protection IAW IEC 60529 with all seals in place
Compatibility with
Fluids Complies with MIL-STD-810F, Method 504, Table 504.1-I
ESD Withstands a contact discharge of ±8 kV and an air discharge of ±22 kV, docked or
undocked IAW IEC/EN 61000-4-
Hazardous Location
(HAZLOC) Option
X10gx can be optionally configured to meet the Hazardous Location requirements of the
following:
UL 1604 for Class I, Division 2, Groups A, B, C, and D
CSA C22.2 No. 213-M1987
EN60079-0:2006, EN60079-15:2005; Group II, Equip Category 3, Explosive
atmosphere G
Regulatory
Compliance The X10gx is certified to the following regulations:
• UL/TUV
• CSA
• FCC Part 15
• CE Mark
• E-Mark
• ENERGY STAR
®
• EPEAT (Silver Level)
• HAZARDOUS LOCATION/ATEX
Reliability Calculated Mean-Time-Between-Failures (MTBF) of 4000 Hrs IAW ANSI/VITA 51.1

9711-26020-0001
Export Controlled – See Page 3
Rev D
SECTION 3
GETTING STARTED
Page 59 of 234
ARMOR X10gx Tablet Computer
Table of Contents List of Figures List of Tables Acronyms Glossary
3. GETTING STARTED
The information in this section will help you get your X10gx set up and configured for operation.
Please read all warnings, cautions and notes prior to each procedure or step.
CAUTION!
Use this product only in vehicles with a regulated voltage supply of
+11-28 VDC ± 2%. Voltages outside this range could cause unstable
operation or result in permanent damage to the computer.
CAUTION!
Use only the external AC Adapter provided with your ARMOR
X10gx or an equivalent model approved by DRS. Attempting to use
a different model power supply could result in equipment damage.
CAUTION!
DO NOT
connect the computer to more than one power source at a
time (such as both an AC adapter and docking station) or
permanent damage to the battery and/or computer may result.
Ins talling the Batteries
CAUTION!
When using your AC adapter, the maximum safe ambient operating
temperature is 40°C.
NOTE
If your X10gx has only one battery pack, it can be installed in either
compartment.

9711-26020-0001
Export Controlled – See Page 3
Rev D
SECTION 3
GETTING STARTED
Page 60 of 234
ARMOR X10gx Tablet Computer
The first step to getting your X10gx operating is to install and charge the batteries. If you do not
plan to use your computer immediately, we recommend you store the batteries in a safe place
until needed (see How to Store Batteries When Not in Use).
The battery compartments are located on the rear of the unit, as shown in Figure 32. Follow the
procedure in Table 2 to install the batteries.
Figure 32. ARMOR X10gx Battery Compartments
BATTERY
COMPARTMENT
#1
BATTERY
COMPARTMENT
#2

9711-26020-0001
Export Controlled – See Page 3
Rev D
SECTION 3
GETTING STARTED
Page 61 of 234
ARMOR X10gx Tablet Computer
Table 2. Installing an X10gx Battery
STEP ACTION COMMENTS
1.
Locate the latch between the two
battery compartments on the back of
the unit, as shown in Figure 33 .
Battery #2’s latch is the top latch. The
battery can be installed in either
compartment.
2.
Press in and hold the button while
sliding the latch down.
CAUTION!
Do not force the battery into
position. If the battery will not
slip easily onto the connector,
pull it slightly toward the center
wall and press in gently.
3. Insert the first battery with the rounded
edge under the compartment lip and
gently press down on the battery until
the connector seats.
Figure 33. Battery Positioned for Insertion
BATTERY #1
LATCH
COMPARTMENT
LIP

9711-26020-0001
Export Controlled – See Page 3
Rev D
SECTION 3
GETTING STARTED
Page 62 of 234
ARMOR X10gx Tablet Computer
STEP ACTION COMMENTS
4.
Slide the latch up until the button pops
out. The battery is now locked in place.
5.
If your X10gx has only one battery, go to
Step 9.
6.
If your X10gx has two battery packs,
slide the top latch open.
7.
Install the second battery and press
down until the connector seats.
8.
Slide the latch down until the button
pops out.
9.
Connect the AC adapter to the DC
power input jack on the left side of the
tablet and allow the batteries to charge
until all fuel gauge LEDs are on steady
and the Charging/Fault LED on the front
panel is on steady. This will take from 2–
4 hours.
You can power up and operate the X10gx
while the batteries
charge, but the total
charging time may be longer depending
on the initial charge of the batteries and
the power demands of the computer.

9711-26020-0001
Export Controlled – See Page 3
Rev D
SECTION 3
GETTING STARTED
Page 63 of 234
ARMOR X10gx Tablet Computer
Follow the procedure in
Turning on your X10gx for the First Time
Table 3 to configure your Windows operating system.
Table 3. Performing the Microsoft Out-of-Box-Experience (OOBE)
STEP ACTION COMMENTS
1. If you have a USB keyboard available,
connect it to any USB port at this time. If you do not have an external keyboard
connected, you will need to activate the
on-
screen keyboard later in the OOBE
setup procedure.
2. Press and hold the Power
button on
the control panel for 1-2 seconds and
then release.
When the computer boots up, the
Microsoft Out of Box Experience (OOBE)
screen will open.
NOTE: If a Sysprep window opens, click
on the down arrow and select Microsoft
Out-of-Box-Experience.
NOTE
Touch
and pen screen
calibration will degrade
slightly during OOBE but will
return to normal after the
OOBE process is complete.
3.
Follow the OOBE instructions. If you
need to use the on-
screen keyboard,
wait until the OOBE process reaches
the User Account setup screen, then
click on the Accessibility icon in the
lower left corner and select Start On-
Screen Keyboard.
Once the keyboard is started, you can
use it like a regular keyboard to select
options and enter data. If you have any
questions about using the virtual
keyboard, click on the Options key.
NOTE
If you used the OOBE on-
screen keyboard, you must
manually turn it off or it will
appear each time you restart
the computer.

9711-26020-0001
Export Controlled – See Page 3
Rev D
SECTION 3
GETTING STARTED
Page 64 of 234
ARMOR X10gx Tablet Computer
STEP ACTION COMMENTS
4.
Once you finish the OOBE, if you do
not want the on-
screen keyboard to
appear each time you log on, click on
the virtual keyboard Options
key and
Select Control whether the On-
Screen Keyboard starts when I log
on.
5.
Un-check Use the On-Screen
keyboard.
Turn the computer on by pressing the Power button for 1-2 seconds and releasing it. The
ARMOR X10gx will perform self-checking routines during the start-up process. All units are
configured at the factory to automatically boot to the Microsoft Windows desktop unless a
custom configuration has been requested.
Turning the X10gx On Normally
To turn the computer off normally, select Start à Shut Down from the Windows desktop. The
computer will perform a normal shutdown. NOTE: There is a 5-10 second delay before you can
restart the computer after a complete shutdown.
Turning the Computer Off Normally
NOTE
Unless you have changed the default action of the Power button, pressing
the Power button when the computer is running will not cause it to shut
down but will put the computer into Sleep mode and the screen will go dark.
This could be mistaken for a power off condition while the computer is
actually still running and consuming battery power. When the computer is in
sleep mode, the blue Power LED on the indicator panel will flash slowly.
You can re-program the power button to shut down the computer when pressed while the
computer is running. Refer to Changing the Power Button Default Action.
If an emergency condition occurs where the computer needs to be shut down immediately,
press and hold the Power button for more than 5 seconds. The computer will bypass the normal
Windows shutdown sequence and turn off.
Emergency Shutdown

9711-26020-0001
Export Controlled – See Page 3
Rev D
SECTION 3
GETTING STARTED
Page 65 of 234
ARMOR X10gx Tablet Computer
This procedure should only be used in emergencies because improperly shutting down
Windows may result in corruption of the operating system and/or the loss of data.
To put the computer into Sleep mode (also called “Standby”), press and release the Power
button while the tablet is operating. NOTE: This is the default action of the Power button when
you first receive your X10gx, but this can be changed in Windows Control Panel (see
Putting the Computer into Sleep Mode
Changing
the Power Button Default Action for instructions).
You can also put the computer into Sleep mode from the Windows desktop. Click on the Start
button and click the down arrow next to the Shut down button in the lower right corner of the
Start menu, then select Sleep from the drop-down menu.
To “wake up" the computer, press and hold the Power button for 1-2 seconds and then release.
This will take you back to the desktop and you can resume your session where you left off.
In Sleep mode, your session is saved to RAM memory and the screen is turned off. All LEDs will
initially be off (except for the Charging/Fault LED if external power is applied). Once the session
has been suspended by the computer, the Power indicator LED and the Power button LED will
flash in sync at a 1 sec on/2 sec off rate to indicate you are in sleep mode.
Indications that your X10gx is Asleep
From the Windows 7 desktop, click on the Start button and then click on the down arrow next
to the Shut down button in the lower right corner of the Start menu, then select “Hibernate”
from the drop-down menu.
Putting the Computer into Hibernate Mode
When you place the computer in hibernate mode, your current session is saved to your solid-
state drive or mSATA memory and the computer is powered down. There are no visual
indications that the computer is in hibernation; the computer is powered down and all led’s will
be off, with the exception of the Charging/Fault indicator if you have external power connected.
To wake up the computer, press and hold the Power button for 1-2 seconds and then release.
This time, the computer will wake up to the locked user account selection screen. Click on the
current icon to resume your previous session. You may have to enter a password or swipe your
fingerprint, depending on how you have your login set up.

9711-26020-0001
Export Controlled – See Page 3
Rev D
SECTION 3
GETTING STARTED
Page 66 of 234
ARMOR X10gx Tablet Computer
Table 4
Indicator State Summary
lists all states for the various X10gx indicators. NOTE: Indications involving battery
power are the same for one or two batteries.
Table 4. LED Indication Summary
LED IF THE
INDICATION
IS:
AND THE
POWER
MODE IS:
AND
EXTERNAL
POWER IS:
AND
BATTERY
IS:
THIS MEANS:
Wi-Fi
Activity
(blue)
On steady Power on N/A Installed Radio is connected
to a network
Flashing at
1/2 sec on/4
sec off
Power off N/A Installed Radio is trying to
connect to network
Off Power on N/A N/A No valid network in
range, tablet is in
Sleep mode or radio
is disabled in
ARMORutils
GPS
Enabled
(blue)
On steady Power on N/A N/A Radio is connected
to a network
Off Power on N/A N/A Tablet is in Sleep
mode or radio is
disabled in
ARMORutils
WWAN
Activity
(blue)
On steady Power on N/A N/A Radio is connected
to a network
Flashing at
1/2 sec on/4
sec off
Power off N/A N/A Radio is trying to
connect to network
Off Power on N/A N/A No valid network in
range, tablet is in
Sleep mode or radio
is disabled in
ARMORutils
Storage
Activity
(blue)
Flashing
intermittently Power on N/A N/A Processor is
accessing a storage
device
Charging/
Fault Off Power on Disconnected Installed External power is
disconnected

9711-26020-0001
Export Controlled – See Page 3
Rev D
SECTION 3
GETTING STARTED
Page 67 of 234
ARMOR X10gx Tablet Computer
LED IF THE
INDICATION
IS:
AND THE
POWER
MODE IS:
AND
EXTERNAL
POWER IS:
AND
BATTERY
IS:
THIS MEANS:
(amb/red)
On steady
amber N/A Connected Installed Battery is fully
charged
Flashing
amber at 1
sec rate
N/A Connected Installed Battery is charging
Flashing amber
at 1/2 sec rate Power on or
off Connected Installed Battery charging has
been suspended due
to extreme battery
temperature (above
45°C or below 0°C).
Charging will resume
when temperature is
between 0°C and
45°C.
On steady red Power on or
off Connected Installed Power system fault
(overvoltage,
undervoltage or
overcurrent condition
or battery failure).
NOTE: The LED will
turn off
Power
On/Off
(blue)
when the fault
condition is removed.
On steady Power on N/A N/A Power is on
Flashing 1
sec on/2 sec
off.
Power on N/A N/A Tablet is in Sleep
mode
Off Power off N/A N/A Power is off
Flashes 5
times when
Power button
is pressed
Power off Disconnected Installed Battery is fully
depleted (overly
discharged).
Fuel
Gauge
(green)
Single LED
on steady Power on Disconnected Installed Total charge is
maximum for that
level
Single LED
on steady Power off Connected Installed Total charge is
maximum at that
level
Single LED
off Power on N/A Installed Total charge is less
than half for this
level

9711-26020-0001
Export Controlled – See Page 3
Rev D
SECTION 3
GETTING STARTED
Page 68 of 234
ARMOR X10gx Tablet Computer
LED IF THE
INDICATION
IS:
AND THE
POWER
MODE IS:
AND
EXTERNAL
POWER IS:
AND
BATTERY
IS:
THIS MEANS:
LED # 1 (far
left) blinking
at 1 second
rate
Power on Disconnected Installed Battery is below
10% charge level
(depleted).
Recharge or replace
immediately
All LEDs off Power off Disconnected Installed No status
NOTE: Press any of
the PBs to activate
the fuel gauge LEDs
for 5 seconds
All LEDs off Power on
or off Disconnected Installed Battery is fully
depleted (overly
discharged).
For instructions on configuring and controlling your wireless radios, including the optional
WWAN radio and optional GPS receiver, refer to Section 4,
Configuring and Controlling your Wireless
Radios
Networking. You will also find
instructions for connecting to a cabled LAN.

9711-26020-0001
Export Controlled – See Page 3
Rev D
SECTION 3
GETTING STARTED
Page 69 of 234
ARMOR X10gx Tablet Computer
Follow the procedure in
Configuring your Audio System
Table 5 to configure your speakers. Follow the procedure in Table 6 to
configure your microphones.
Table 5. Configuring the Speakers
STEP ACTION COMMENTS
1. Double-click on the orange The Realtek® HD Audio Manager window
opens with the Speakers main tab (top of
page) open and the Speaker
Configuration sub-
tab displayed, as
shown in
speaker
icon in the systray.
Figure 34
2.
Adjust your speaker/headset volumes
as desired.
3. Select the Sound Effects sub-
tab to
select special effects.
4. Select the Default Format sub-tab to
choose your default sound format.
.
Figure 34. Realtek HD Audio Manager - Speakers Main Tab

9711-26020-0001
Export Controlled – See Page 3
Rev D
SECTION 3
GETTING STARTED
Page 70 of 234
ARMOR X10gx Tablet Computer
Table 6. Configuring your Microphones
STEP ACTION COMMENTS
1. Click on the Microphone main tab at
the top of the page. The Microphone main tab opens with the
Microphone Effects sub-
tab displayed,
as shown in Figure 35.
2.
Set up and adjust your microphones.
3. Click on the Default Format sub-tab
to select a default sound format for
your microphones.
Figure 35. Microphone Main Tab

9711-26020-0001
Export Controlled – See Page 3
Rev D
SECTION 3
GETTING STARTED
Page 71 of 234
ARMOR X10gx Tablet Computer
Operating the X10gx Display
If you have the 32-bit version of Windows 7, your X10gx has the capability to operate with both
a touch screen and a pen screen enabled (Dual mode), or you can select Touch screen only or
Pen screen only mode. The default display mode is “Dual Mode”.
Selecting the Display Mode
NOTE
If you have the Windows 7 64-bit operating system, you will not be able
to select Touch Only or Pen Only mode due to a conflict in the WACOM
drivers for the display. DRS is working to correct this problem. Please
contact DRS Technical Support toll free at 1-800-872-1100 for current
status and a possible fix.
To select touch or pen screen only operation, click on the ARMORutils icon in the systray
menu, then select the Screen Setup option from the Main screen. The Screen Setup dialog will
open as shown in Figure 36.
CAUTION!
If you change to Pen Only mode using the touch screen and then save
this as the default configuration, and you do not have an active pen
, you
will not be able to access the screen or switch back to Dual or Touch
Only modes unless you attach an external USB mouse or obtain an
active pen. Restarting the computer will not change anything.
Click on Touch Only to deactivate the pen screen, or click on Pen Only to deactivate the touch
screen. The screen option that is selected will appear grayed out with a line around it. Click on
Dual to re-enable both screens.
NOTE: Any change you make will only affect the current session unless you click on SAVE AS
DFLT to make the latest change the new default display configuration.

9711-26020-0001
Export Controlled – See Page 3
Rev D
SECTION 3
GETTING STARTED
Page 72 of 234
ARMOR X10gx Tablet Computer
Figure 36. ARMORutils Screen Setup

9711-26020-0001
Export Controlled – See Page 3
Rev D
SECTION 3
GETTING STARTED
Page 73 of 234
ARMOR X10gx Tablet Computer
The brightness of the LCD display is controlled by adjusting the backlight intensity either
automatically or manually. When you first receive your ARMOR X10gx, the brightness mode is
set to Automatic. To switch to Manual brightness control, or switch back to Automatic mode,
open ARMORutils and click on the Backlight Setup option in the ARMORutils Main dialog
window. This will open the Backlight Setup dialog window shown in
Adjusting Screen Brightness
Figure 37.
Figure 37. ARMORutils Backlight Setup Dialog Window
In Automatic mode, the backlight level is controlled by the ambient light sensor (ALS) located on
the indicator panel. If the surrounding light decreases, the brightness will decrease
proportionally; if the surrounding light increases, the brightness will increase proportionally.
Automatic Brightness Adjustment

9711-26020-0001
Export Controlled – See Page 3
Rev D
SECTION 3
GETTING STARTED
Page 74 of 234
ARMOR X10gx Tablet Computer
NOTE
You must
keep the ALS uncovered to allow proper automatic
brightness adjustment.
You can tailor the automatic brightness adjustment by selecting one of the 5 pre-configured
brightness profiles. DRS has researched typical lighting environments and has created
these adjustment profiles that respond more precisely to changing light levels within a
particular environment.
Selecting an Automatic Mode Profile
For example, if the automatic brightness doesn’t keep the display bright enough for you
under surrounding lighting conditions, you can select the Dusk, Daylight or Sunlight profile to
increase the brightness range proportionally. Similarly, if the normal brightness control
results in light levels that are consistently too bright, you can select the Office or Dark profile
to reduce the brightness range.
Click on the Manual button to change to manual brightness mode. You can manually adjust
screen brightness in two ways: by using pre-programmed buttons (PBs) P1, P2 and P3 or by
using options and buttons in the Backlight Setup dialog.
Manual Brightness Adjustment
When you first receive your X10gx, the P1 button is programmed to increase screen
brightness in 10% steps, P2 is programmed to decrease brightness in 10% steps and P3 is
programmed to toggle the display off and on.
Using P1, P2 and P3 to Adjust Brightness
Press and release P1 repeatedly to increase the brightness to its maximum level (100%);
press P2 repeatedly to decrease the brightness to its minimum level (10%). Press P3 to turn
the screen completely off; press it again to turn the screen back on to it’s previously set
level.
NOTE
When handling the tablet, it is easy to accidentally hit the P3
button, which will turn off the display and it may appear that the
tablet is in Sleep mode. Before pressing the Power button, check
if the wireless indicators are active. If they are, your tablet is not
asleep. Press the P3 button to restore the display.
P1, P2 and P3 are initially programmed to adjust screen brightness; however, you can
change each button’s programming as described in Buttons Setup Dialog.
Drag the slider or press the UP or DOWN buttons repeatedly with the pen or a fingertip to
move the slider and adjust the brightness level. The % brightness is displayed in a field on
the right. You can also use the up and down arrows next to this field to adjust the slider.
Using the Backlight Setup Dialog to Adjust Brightness

9711-26020-0001
Export Controlled – See Page 3
Rev D
SECTION 3
GETTING STARTED
Page 75 of 234
ARMOR X10gx Tablet Computer
When the pen screen is active, you can steer the cursor and perform many functions by simply
hovering close to the screen without actually touching it. Other functions are initiated by
pressing the tip to the screen surface to activate the tip switch or by pressing the side button
switch (see
Working with the Pen Screen
Table 7).
The pen that comes with your X10gx (
Your X10gx Pen
Figure 14) is stored in the tablet’s carrying handle and
has circuitry that interacts with the digitizer assembly built into the pen screen. The digitizer
detects the pen tip close to the screen and activates certain functions like steering the cursor or
performing a right click action if the pen is allowed to hover for a few seconds.
The pen also has a side button that can be programmed for a number of different functions. It’s
default function is right-click.
NOTE
The actual actions of the active pen may vary slightly depending
on the current version of the pen drivers.
Table 7
Using the X10gx Pen with the Pen Screen
lists mouse-type objectives you can perform using the X10gx pen with the pen screen.
NOTE
This description assumes the side button is programmed for the
right-click function. Refer to Pen Tablet Properties Utility to learn
how to re-program the side button.
Table 7. Pen Screen Actions
MOUSE OBJECTIVE PEN ACTION
Select option or tab or open submenus.
Fill selection boxes.
Activate buttons.
Deselect highlighted objects (touch next to the
object).
Tap once
Select multiple objects. Touch pen tip to display and drag box around
objects
Highlight the object or option. Hover over object or option

9711-26020-0001
Export Controlled – See Page 3
Rev D
SECTION 3
GETTING STARTED
Page 76 of 234
ARMOR X10gx Tablet Computer
MOUSE OBJECTIVE PEN ACTION
Move an object on the desktop. Touch an object and move it with the pen.
Start an application or open a folder. Tap twice
Open menu options (right-click). Press and hold pen tip to screen until a circle
appears, then release – or -
Press side switch and touch object or option
You can change attributes related to use of the pen (e.g. side switch action, enabling a click
sound, etc.). Refer to the
Pen Adjustments
Pen Tablet Properties Utility for an explanation of these attributes.
After a period of normal usage, the screen may need to be calibrated with the pen to ensure the
pen tip is aligned with the cursor over the entire screen area. To perform this calibration, refer to
Pen Screen Calibration
Calibrating the Display.

9711-26020-0001
Export Controlled – See Page 3
Rev D
SECTION 3
GETTING STARTED
Page 77 of 234
ARMOR X10gx Tablet Computer
When the touch screen is active, the pressure of a stylus tip or fingertip against the screen is
used to duplicate actions with a two-button mouse.
Working with the Touch Screen
NOTE
Tapping with a passive stylus requires
only light to moderate
pressure. It is possible to damage the display by pounding the tip
against the surface with too much force.
Table 8
Using a Fingertip or Passive Stylus with the Touch Screen
lists mouse-type objectives you can perform using a fingertip or passive stylus with the
touch screen.
Table 8. Fingertip Actions
MOUSE OBJECTIVE STYLUS ACTION
Select tabs or open sub-menus.
Highlight a label or option.
Fill selection boxes.
Activate buttons.
Deselect highlighted objects or release multiple
objects
Tap once
Tap outside the object(s)
Start an application or open a folder. Tap twice
Move an object on the desktop. Press over an object, hold contact with
display, drag fingertip and release
pressure.
Open menu options. Press over icon or option and hold contact
with display without moving fingertip.
Select multiple objects. Press and hold contact with display, drag
box around objects.

9711-26020-0001
Export Controlled – See Page 3
Rev D
SECTION 3
GETTING STARTED
Page 78 of 234
ARMOR X10gx Tablet Computer
You can change touch attributes related to use of the pen (e.g. touch area and tap speed.).
Refer to the descriptions in
Touch Screen Adjustments
Windows Display Utilities for an explanation of these attributes.
NOTE
Touch Screen Calibration
You will not be able to use the pen that came with your X10gx to
calibrate the touch screen since the calibration routine will detect
the active pen tip and not allow you to proceed. Use your
fingertip or a passive stylus designed for touch screens.
After a period of normal usage, the touch screen may need to be calibrated with the fingertip to
ensure the cursor matches the actual touch point. To perform this calibration, refer to Calibrating
the Display.

9711-26020-0001
Export Controlled – See Page 3
Rev D
SECTION 3
GETTING STARTED
Page 79 of 234
ARMOR X10gx Tablet Computer
Entering Data Using the Input Panel
The input panel is a virtual keyboard and handwriting entry tool that is located on your desktop.
It is hidden just off the top left or right side of the display. The edge appears in the upper left
corner when you move the active pen close to the screen or tap anywhere on the screen with a
fingertip or passive stylus, as shown in
Accessing Input Panel in Windows 7
Figure 38. When the edge is visible, tap on it twice to
fully open it on the desktop, as shown in Figure 39.
Figure 38. Location of the Input Panel
Figure 39. Input Panel Keyboard Opened on Desktop
The input panel has two modes: handwriting and keyboard entry. These are selectable by the
two mode icons at the upper left corner. NOTE: The panel will always re-open in the last mode
used. Click on the Tools menu for handwriting options and for information on how to set up and
use Input Panel.
Operating Modes
MODE
ICONS
OPTIONS AND
HELP
EDGE OF HIDDEN
INPUT PANEL

9711-26020-0001
Export Controlled – See Page 3
Rev D
SECTION 3
GETTING STARTED
Page 80 of 234
ARMOR X10gx Tablet Computer
When you tap on an open text document such as a Word document, a keyboard icon will
appear on the screen. Tap on this icon to open the input panel.
Editing Documents
The Input Panel Options window is where you can change a wide variety of Input panel display
and operating features. There are two ways to get to this window:
Configuring Input Panel Options
1. Click on Control Panel à Hardware and Sound à Tablet PC Settings and select the
Other tab, then click on Go to Input Panel Settings.
2. With the Input Panel keyboard open on the desktop, click on the down arrow next to the
Tools button and select Options.
Click on the link Learn More About Opening and Moving Input Panel at the bottom of the
options window to access a Windows help tutorial about opening and positioning the Input
Panel.
You can also use a side-to-side gesture to open the input panel. Select Start à Control Panel
à Hardware and Sound à Pen and Touch, then highlight Start Tablet PC Input Panel in the
Pen Actions panel and click on Settings.
Opening Input Panel with a Gesture
When the Start Input Panel Gesture Settings window opens, check the Enable Start Input
Panel gesture option. Follow the instructions to test and adjust your gesture.

9711-26020-0001
Export Controlled – See Page 3
Rev D
SECTION 3
GETTING STARTED
Page 81 of 234
ARMOR X10gx Tablet Computer
Tap on the Input Panel icon in the task bar to open the Input Panel frame, as illustrated in
Accessing Input Panel in Windows XP
Figure 40.
Figure 40. Input Panel with No Mode Showing (for illustration purposes only)
Using the Input Panel, you can write notes in your own handwriting or enter data one character
at a time with the digital pen or the stylus.
The Input Panel has three modes for entering data: On-Screen Keyboard mode, Character
Pad mode and Writing Pad mode. Each mode has a button on the left side of the panel. The
Input Panel will always open in the last mode that was selected or used.
Pressing the top mode button opens the Writing Pad (
Writing Pad
Figure 41) within the Input Panel. In this
mode, you can enter text by using the stylus in your own handwriting, or “ink”. The Writing Pad
is especially useful for tasks such as taking notes or adding text to an existing text file. As you
write, the Input Panel expands to accommodate more text as needed. If you want to convert ink
to text, the Input Panel does so dynamically.
Figure 41. Writing Pad Mode
Pressing the middle button opens the Character Pad (
Character Pad
Figure 42). The character pad can also
convert your ink to text so that it can be inserted into a program, but this mode is used to enter
one letter at a time using the stylus. The Character Pad is particularly useful when you need
high accuracy—for example, when you’re entering an email address or a URL. The characters
that you enter into the character pad are immediately converted to text, so you can spot errors
immediately.
Figure 42. Character Pad Mode
Mode
Buttons
Configuration
Options and Help

9711-26020-0001
Export Controlled – See Page 3
Rev D
SECTION 3
GETTING STARTED
Page 82 of 234
ARMOR X10gx Tablet Computer
Use the on-screen keyboard (
On-screen Keyboard
Figure 43) when you don’t want to use ink but you do want to use
the pen, or when you’re using a Tablet Computer without an attached keyboard. Simply tap the
letters on the keyboard to form words. The Input Panel enters the text directly in the field or at
the insertion point of the active program. The on-screen keyboard is especially useful for
entering small amounts of text, such as passwords and file names.
Figure 43. On-Screen Keyboard Mode
You can customize the Input Panel based on your personal preferences, such as automatic text
insertion, changing the ink thickness, and adjusting the amount of space between lines in the
writing area. Click on the icon to open a submenu and select Options.
Customizing the Input Panel
There are a number of on-screen keyboards offered by companies other than Microsoft, such as
the
Entering Data using Other Virtual Input Devices
My-T-Pen® Onscreen Virtual Keyboard Utility and the Comfort® On-Screen Keyboard for
Windows.
There are also other types of software and hardware input devices besides virtual keyboards
that can be used for viewing and entering data, such as hand gesture recognition software and
infrared tracking devices.

9711-26020-0001
Export Controlled – See Page 3
Rev D
SECTION 3
GETTING STARTED
Page 83 of 234
ARMOR X10gx Tablet Computer
Using the Fingerprint Sensor (FPS)
To initially set up your FPS software, double-click on the TrueSuite icon on the desktop and
click on Get Started to begin. This will take you through the steps to enroll, or register, your
fingerprint(s). The fingerprint sensor is located on the right side of the tablet in the middle of the
row of buttons.
Installing the FPS Software
Once you have enrolled your fingerprints, you will need to swipe in each time you restart the
computer.
To use the fingerprint sensor, swipe your finger or thumb from side to side at medium speed
across the sensor.
Using the Fingerprint Sensor
Open the TrueSuite application by double-clicking on the TrueSuite icon on the desktop or by
selecting Start à All Programs and clicking on the TrueSuite folder in the programs list (you
may have to scroll down to see it). Click on the TrueSuite option to open the application, as
shown in
Using the TrueSuite Application
Figure 44. There are five user panels available. Click on the navigation icon in the
upper right corner to open a panel.
Figure 44. TrueSuite Application Window

9711-26020-0001
Export Controlled – See Page 3
Rev D
SECTION 3
GETTING STARTED
Page 84 of 234
ARMOR X10gx Tablet Computer
A complete description of the options and settings of the TrueSuite software is beyond the
scope of this user’s guide. Click on the “?” in the upper right corner of the window to access the
application’s help resources for detailed descriptions and instructions.
TrueSuite Options and Settings
Should you decide to uninstall your fingerprint software, be sure to use the uninstall program
provided with the AuthenTec software rather than through Control Panel.
Uninstalling your Fingerprint Software
Click on Start à All Programs à TrueSuite à Uninstall TrueSuite.

9711-26020-0001
Export Controlled – See Page 3
Rev D
SECTION 3
GETTING STARTED
Page 85 of 234
ARMOR X10gx Tablet Computer
Using the Webcam
Image and video capture is performed using the built-in webcam and image capture software.
Your X10gx is provided with a complementary version of Picasa 3™ to demonstrate the image
capture process, or you may wish to download and install your own camera application.
Capturing Images and Video
Follow the procedure in Table 9 to capture and save a still image or movie using the Picasa 3
software.
NOTE
Remove the blue protective film from the webcam lens before
using the camera.
Table 9. Capturing a Still Image or Video
STEP ACTION COMMENTS
1.
Double-click on the Picasa 3 icon on the
desktop. The Picasa application window will open
as shown in Figure 45.
2.
Click on the “
Capture photos or
video…” button in the options bar (see
Figure 45).
A Capture dialog window will open
displaying the current webcam image.
3.
To capture the image as a still image,
click on the camera
button below the
image.
Each capture will appear as a thumbnail
at the bottom of the window.
4.
When finished, click on the Done button
to access editing and correction options
or to save or upload your images.
5.
To capture moving video, click on the
Record button below the image. The capture window will
change to a
viewer with options to view, save and
upload your captured video.
6.
To return to the main window, click on
the Back to Library button.
7.
Refer to the Picasa Help resources for
detailed instructions.

9711-26020-0001
Export Controlled – See Page 3
Rev D
SECTION 3
GETTING STARTED
Page 86 of 234
ARMOR X10gx Tablet Computer
Figure 45. Picasa Application Window
The built-in webcam and application software of your choice allow you to scan various types of
barcodes and incorporate them in to your documents. We have included two simple applications
to demonstrate the barcode scanning capabilities of the X10gx.
Scanning a Barcode
NOTE
Ensure that adequate light can reach the barcode to be scanned.
Figure 46
Linear Barcodes Such as UPC-10, EAN-13 and ISBN
shows a sample of a linear barcode. Follow the procedure in Table 10 to scan a linear
barcode.
CAPTURE
BUTTON

9711-26020-0001
Export Controlled – See Page 3
Rev D
SECTION 3
GETTING STARTED
Page 87 of 234
ARMOR X10gx Tablet Computer
Figure 46. Sample Linear Barcode
Table 10. Scan UPC-10, EAN-13 and ISBN Barcodes in Windows 7
STEP ACTION COMMENTS
1.
Double-click on the
Webcam Barcode
Scanner icon on the desktop. The application window opens as shown
in Figure 47.
2.
Hold the barcode to be scanned 2-3”
from the camera and hold it steady. A tone will announce successful barcode
capture, and the barcod
e number will
appear at the bottom of the window. The
captured barcode is stored in the
Windows clipboard.
3.
To use a barcode in an application, place
the pointer in the application and paste.
Figure 47. Webcam Barcode Scanner® Barcode Scanner Application Window

9711-26020-0001
Export Controlled – See Page 3
Rev D
SECTION 3
GETTING STARTED
Page 88 of 234
ARMOR X10gx Tablet Computer
A sample 2D barcode is shown in
2D Barcodes in Datamatrix or QR format
Figure 48. Follow the procedure in Table 11 to scan a
barcode.
Figure 48. Sample 2D Barcode
Table 11. Scan Datamatrix and QR Format Barcodes in Windows 7
STEP ACTION COMMENTS
1.
Double-click on the QuickMark icon on
the desktop.
The QuickMark® application window
opens as shown in Figure 49.
2.
Hold the barcode to be scanned 2-3” from
the camera, An audible signal will sound upon capture
and the barcode information will be
displayed in the application window, as
shown in Figure 50.
3.
To return to the camera mode, click on
the door icon at the lower right corner of
the window.
Figure 49. QuickMark® Barcode Scanner Application Window

9711-26020-0001
Export Controlled – See Page 3
Rev D
SECTION 3
GETTING STARTED
Page 89 of 234
ARMOR X10gx Tablet Computer
Figure 50. A Captured 2D Barcode

9711-26020-0001
Export Controlled – See Page 3
Rev D
SECTION 3
GETTING STARTED
Page 90 of 234
ARMOR X10gx Tablet Computer
Some text and images on a tablet computer can be so small they are difficult to see clearly.
Your X10gx has a handy application that will magnify a portion of the screen and help you see
more effectively. The program is called Virtual Magnifying Glass™.
Screen Magnifier
To start the application, click on the Virtual Magnifying Glass icon on the desktop or select
Start > Programs > Virtual Magnifying Glass.
Use the Scroll wheel to increase or decrease magnification. The application will return to the last
magnification when restarted. Left click to close the magnifier.
To configure the magnifier, right-click on the icon in the task bar. A magnified example is shown
in Figure 51.
Figure 51. Virtual Magnifying Glass at Work

9711-26020-0001
Export Controlled – See Page 3
Rev D
SECTION 3
GETTING STARTED
Page 91 of 234
ARMOR X10gx Tablet Computer
There are certain precautions you should take to ensure that your ARMOR X10gx Tablet
Computer continues to provide you with reliable service:
Tips for Proper Use and Care Of Your X10gx
• Do not subject the computer to heat by placing it on the dashboard of a vehicle with the
display facing the sun.
• Do not store the computer in temperatures below -40 degrees C.
• Do not pile tools or heavy objects on top of the computer.
• Avoid severe impacts, especially to the display.
• Do not try to take the computer apart. Disassembly of the unit by unauthorized personnel
may void your warranty.
• Do not use excessive force when inserting removable cards. They are keyed to go in
only one way and inserting a card incorrectly or using excessive force could result in
damage to the card or the computer.
• Keep your screen clean and calibrated.

9711-26020-0001
Export Controlled – See Page 3
Rev D
SECTION 3
GETTING STARTED
Page 92 of 234
ARMOR X10gx Tablet Computer
This Page Intentionally Left Blank

9711-26020-0001
Export Controlled – See Page 3
Rev D
SECTION 4
NETWORKING
Page 93 of 234
ARMOR X10gx Tablet Computer
Table of Contents List of Figures List of Tables Acronyms Glossary
4. NETWORKING
Your ARMOR X10gx comes configured with two wireless network capabilities: Wi-Fi™ (wireless
fidelity) and Bluetooth®. The Wi-Fi network is primarily used for higher bandwidth connections
such as Internet or a company LAN. The Bluetooth network is used for connecting wireless
devices such as a wireless router, printer or scanner to your computer.
The X10gx can also accommodate an optional factory-installed WWAN radio and/or GPS
receiver. These wireless devices are described in

9711-26020-0001
Export Controlled – See Page 3
Rev D
SECTION 4
NETWORKING
Page 94 of 234
ARMOR X10gx Tablet Computer
Optional Add-ons and Accessories for Your X10gx. Please contact DRS Technical Support for
information about installing these options.
Your X10gx can be connected to a cabled LAN using the Ethernet connector on the side of the
tablet or through the breakout box on a desk or vehicle dock.
Managing your Wi-Fi Connections
Your Wi-Fi (WLAN) radio is already configured and operating when your computer starts. Refer
to Table 12 for instructions on how to manage your WLAN connections.
NOTE
The Windows Network and Sharing Center utility in Control Panel
will show you all of the networks you can select or manage. If
you have an optional Gobi WWAN card, it is best to let the Sierra
OneClick Internet connection manager application control your
WWAN network connection. For instructions, please refer to
Activating the Optional Gobi® WWAN Radio.
Table 12. View and Manage Network Connections
STEP ACTION COMMENTS
1. Select Start
à
Control Panel
à
Network and Internet
à
Network
and Sharing Center.
The window shown in Figure 52 opens.
2. Click on the “Connect to a network”
link to open the window shown in
Figure 53. Click outside this window to
close it.
The label “Connected” will appear beside
each network you are currently
connected
to. Any other available
networks are also listed.
The green signal bars indicate the
relative strength of the wireless signal. A
yellow shield indicates those sites that do
not have security enabled. Use caution
when connecting to these sites.
3. To connec
t to a network, click on the
network name and select Connect. To
disconnect from an active network,
click on the name and select
Disconnect.

9711-26020-0001
Export Controlled – See Page 3
Rev D
SECTION 4
NETWORKING
Page 95 of 234
ARMOR X10gx Tablet Computer
STEP ACTION COMMENTS
4.
For more detailed information on the
options and settings for these
windows, click on the Help icon
Figure 52. Windows Network and Sharing Center

9711-26020-0001
Export Controlled – See Page 3
Rev D
SECTION 4
NETWORKING
Page 96 of 234
ARMOR X10gx Tablet Computer
Figure 53. Currently Connected and Available Wi-Fi Networks
Managing your Bluetooth Connections
Your X10gx comes equipped with Bluetooth® networking. However, to utilize this feature, you
must “associate” your computer with the Bluetooth devices you want to connect. To see what
Bluetooth devices are available and to add or remove devices, follow the procedure in Table 13.
Table 13. View and Manage Bluetooth Devices
STEP ACTION COMMENTS
1. Select Start
à
Control Panel
à
Hardware and Sound
à
Devices
and Printers.
The Devices and Printers window opens
(Figure 54) showing any peripherals that
are in range or are already connected
(including cabled devices).
2. Right-
click on the icon for your
computer and select Bluetooth
settings from the menu.
The Bluetooth Settings window opens, as
shown in Figure 55.
3.
Check the “Allow
Bluetooth devices
to find this computer” option.
4.
Check the “
Allow Bluetooth devices
to connect to this computer” option.

9711-26020-0001
Export Controlled – See Page 3
Rev D
SECTION 4
NETWORKING
Page 97 of 234
ARMOR X10gx Tablet Computer
STEP ACTION COMMENTS
5.
To add a device, click on the “
Add a
device” option in the toolbar.
6.
To remove a device, click on the
“Remove a device” option
in the
toolbar.
7. For additional information about these
windows, click on the Help icon.
Figure 54. Devices and Printers Window

9711-26020-0001
Export Controlled – See Page 3
Rev D
SECTION 4
NETWORKING
Page 98 of 234
ARMOR X10gx Tablet Computer
Figure 55. Bluetooth Settings Window

9711-26020-0001
Export Controlled – See Page 3
Rev D
SECTION 4
NETWORKING
Page 99 of 234
ARMOR X10gx Tablet Computer
Managing your Ethernet Connection
Your X10gx supports a cabled 10/100/1000 Ethernet connection through the RJ45 connector on
the left side of the tablet or a 10/100 Ethernet connection through a desk dock or a vehicle dock
breakout box. An RJ45 Ethernet connector is provided at the vehicle dock breakout box for
physical connection to the Ethernet LAN.
Once your X10gx is cabled into the network, follow the procedure in Table 14 to connect to the
LAN.
Table 14. Setting up an Ethernet Connection
STEP ACTION COMMENTS
1.
Contact your IT department or internet
provider to obtain a user name and
password.
If necessary, your internet provider will
give you an IP address as well.
Otherwise, the IP address will be
provided automatically by the network
once you are physically c
onnected and
the X10gx is running.
2.
Click on Start
à
Control Panel
à
Network and Internet
à
Network and
Sharing Center.
This will open the Network and Sharing
Center window as shown in Figure 52.
3.
Click on the
Change Adapter Settings
link in the left-hand navigation panel. This will open the Network Connections
window.
4.
If no red “X” appears next to the Local
Area Connection
icon, your external
LAN connection is established and you
can open an internet browser to access
the internet.
If there is a red “X” showing, go to Step
5.
5.
Click on the “back” arrow to return to the
Network and Sharing Center window.
6.
In the Change Your Network Settings
panel, click on the
Set Up a New
Connection or Network link.
7.
Highlight the Connect to the Internet
option and click on Next. The Connect to the Internet window will
open.

9711-26020-0001
Export Controlled – See Page 3
Rev D
SECTION 4
NETWORKING
Page 100 of 234
ARMOR X10gx Tablet Computer
8.
Click on the Broadband connection
option. An information dialog window will open
with entry fields for your service provider,
as shown in Figure 56.
9.
Enter your user name and password in
the fields provided. Click on the
Remember this Password option if you
don’t want to have to enter the password
each time you access the network.
10.
Enter the IP address provided by your IT
department or internet service provider
in the Connection Name field.
If the address is already showing, you do
not have to enter it again.
11.
Click on the Connect button. A message window will pop up stating
that your connection was successful.
Figure 56. Internet Service Provider Information Window

9711-26020-0001
Export Controlled – See Page 3
Rev D
SECTION 4
NETWORKING
Page 101 of 234
ARMOR X10gx Tablet Computer
Activating the Optional Gobi® WWAN Radio
If you have the Gobi® WWAN radio installed, your hardware is already configured. However, for
certain providers, you must install a valid SIM card (Figure 18) before you can connect to their
network. The SIM card is obtained from your WWAN service provider and is installed in a socket
located inside the X10gx. Once you obtain your SIM card, follow the procedure in Installing a
SIM Card.
Once your SIM card is installed, or if you don’t need one, click on the OneClickInternet icon on
the desktop to open the connection manager, as shown in Figure 57.
Figure 57. Sierra® OneClickInternet™ Connection Manager
Using the OneClickInternet Application
For instructions on how to use the OneClickInternet connection manager, click on the
OneClickInternet application Help button.
Using the Network Driver Interface Specification
(NDIS)
NDIS is an application programming interface (API) that provides an additional layer of control
to your Sierra® OneClickInternet™ connection manager. It allows your Gobi radio to
automatically connect to your provider after powering up the computer without starting the
OneClick Internet application and before you log in. However, when you first receive your
ARMOR X10gx, NDIS is not automatically available and must be manually configured in order
to use it.
Follow the procedure in Table 15 to enable NDIS in your Sierra OneClick Internet connection
manager.

9711-26020-0001
Export Controlled – See Page 3
Rev D
SECTION 4
NETWORKING
Page 102 of 234
ARMOR X10gx Tablet Computer
CAUTION!
Before uninstalling
the OneClickInternet application with NDIS enabled,
make sure that the “Gobi NDIS Auto Connect” option is unchecked in the
Settings/General tab. Otherwise the module will always connect
automatically on the next start up. Without the OneClickInternet application
installed, you cannot disable this feature.
NOTE
It is recommended that you test the profile that you will use with the NDIS
auto connect feature to ensure that it works prior to enabling NDIS.
Table 15. Configuring the Sierra OneClick Application to Use NDIS
STEP ACTION
1.
If open, close the OneClick connection manager.
2.
Use Windows Explorer to navigate to the C:\Program Files (x86)\OneClickInternet
folder.
3.
Double-click on the Config.ini file to open the file with Notepad (you can use any
text editor).
4.
Add the following line: AutoNDISConnect=1
5.
Save the file and exit.
6.
In the Sierra OneClickInternet application, click on the Settings button and select
the General tab. Check the “Gobi NDIS Auto Connect” option.
Important Notes about Using NDIS:
• NDIS turns the WWAN radio on even before the OS starts. This is not always a
desirable state, so choose NDIS only if you need this functionality.
• NDIS enables the Gobi WWAN hardware to connect, reconnect and roam automatically,
so these connection options on the Settings page are ignored if chosen in conjunction
with NDIS.
• If you reboot the computer, NDIS will maintain your connection during the reboot.
• Selecting the “Auto Launch” option on the Settings page when NDIS is selected is not
recommended as this will launch the OneClickInternet application upon reboot which will
restart your connection.

9711-26020-0001
Export Controlled – See Page 3
Rev D
SECTION 4
NETWORKING
Page 103 of 234
ARMOR X10gx Tablet Computer
Activating the Optional GPS Receiver
The u-blox ® u-center™ GPS control application is bundled with your X10gx software suite.
Before you can use the application, however, you must manually obtain and enter the
communications (COM) port that was assigned to the u-center program by Windows when the
operating system was installed. To do this, follow the procedure in Table 16.
Table 16. Configuring the u-Center Com Port
Step Action Comment
1. From the Windows desktop, select the
Start button and select
Control Panel
à
Hardware and Sound
à
Devices
and Printers
à
Device Manager
The Device Manager dialog window will
open.
2. Open the Ports (COM & LPT) option
and scroll down to “u-blox 5 GPS and
GALILEO Receiver”
and record the
COM port number in parentheses.
Example: “u-
blox 5 GPS and GALILEO
Receiver (COM6)
”. The COM port
number is COM6.
3. Close the Control Panel and open the u-
center application by double-clicking on
the u-center desktop icon or selecting
the u-center option from the All
Programs list.
The u-
center application window opens
as shown in Figure 58. NOTE: The
application workspace is configurable
and may not look exactly as in the figure.
4. Select the Receiver
menu in the
application tool bar and click on the
Port option.
5. Choose the COM port that you recorded
from Control Panel.
Your GPS receiver will automatically
begin searching for satellites.

9711-26020-0001
Export Controlled – See Page 3
Rev D
SECTION 4
NETWORKING
Page 104 of 234
ARMOR X10gx Tablet Computer
The u-center GPS Application Window
The diagram in the center shows the approximate positions of satellites relative to your location
that are within range of the receiver. The graph at the bottom of the page shows the signal
strength of each satellite. A green bar indicates acceptable signal strength; a blue bar indicates
marginal reception. You must have at least four satellites with acceptable signal strength to
generate reliable position data.
u-center User’s Guide
A complete description of the u-center software is beyond the scope of this manual. However,
an online User’s Guide is provided with your u-blox installation. To access the user’s guide,
select Start à Computer à Local Disk (C:) à Program Files (x86) à u-blox à u-center à
Documentation à User’s Guides and double-click on the u-Center_User_Guide pdf file.
NOTE: We recommend you create a shortcut to this file on the desktop.
Figure 58. U-Center GPS Application Window
Assisted GPS
Assisted GPS (AGPS) is an option that uses your wireless network connection to quickly
download the GPS almanac and ephemeris information your system needs to compute a first fix
on your location. This greatly reduces the time to first fix (TTFF).
With AGPS, your system can acquire an accurate fix in less than 30 seconds. Without AGPS,
the TTFF can take as long as 15 minutes depending on surrounding structures and the strength
of the satellite signals.

9711-26020-0001
Export Controlled – See Page 3
Rev D
SECTION 4
NETWORKING
Page 105 of 234
ARMOR X10gx Tablet Computer
However, AGPS depends on an internet connection so it is limited to areas where wireless
network coverage is available.
Activating Assisted GPS
AGPS is free with your purchase of your ARMOR X10gx but you must obtain the necessary
AGPS password from u-blox by following the procedure in Table 17.
Table 17. Obtaining the AGPS Password from u-blox
Step Action Comment
1.
Send an email with no subject or
content to agps-account@u-blox.com Within 24 hours, u-
blox will return a
password via your email account.
2. Once you have your password, click on
the u-center icon on the desktop.
The u-
center application window opens
as illustrated in Figure 58.
3. Locate the thermometer icon with a red
cross and click on it.
The AssistNow Online™ window opens,
as shown in Figure 59.
4. Enter your email address in the User
field.
5.
Enter your AGPS password in the
Password field.
6. Click OK to save and exit.
7.
When you want to use the assisted
GPS capability, ensure you have a valid
wireless connection to the internet and
click on the thermometer icon with the
red cross .

9711-26020-0001
Export Controlled – See Page 3
Rev D
SECTION 4
NETWORKING
Page 106 of 234
ARMOR X10gx Tablet Computer
Figure 59. u-center AssistNow Online Window
Enabling and Disabling Your Wireless Radios
You may wish to turn off one or more of your radios to save power, to avoid interfering with
other radio systems, or just to ensure your privacy. Or you may want to turn off all of your
installed radios at one time but keep working on your computer, as when travelling on an
aircraft.
Follow the procedure in Table 18 to enable or disable your wireless radios.
NOTE
If you exit ARMORutils completely or shut down your system with the
Radios ON/OFF Toggle set to OFF, all radios will be off the next time you
restart ARMORutils or turn on your computer. This is done for safety
reasons to prevent your wireless radios from being accidentally re-
activated during flight.
You will need to re-enable each radio with its Radio ON/OFF button when
you reach your destination.
ENTER YOUR
EMAIL ADDRESS
HERE
ENTER YOUR
AGPS
PASSWORD
HERE

9711-26020-0001
Export Controlled – See Page 3
Rev D
SECTION 4
NETWORKING
Page 107 of 234
ARMOR X10gx Tablet Computer
Table 18. Enabling and Disabling Your Wireless Radios
Step Action Comment
1.
Click on the ARMORutils icon on the
desktop and select the Wireless Setup
option.
This will open the Wireless Setup dialog
window, as shown in Figure 64.
2. Click on the ON or Off
button to
enable/disable each installed radio that
you want to control then click the Save
Settings
button to save your
configuration.
3. Click on the Radios ON/OFF Toggle
button to turn off all enabled radios at
one time. Click it again to turn them all
back on.
Wireles s Signal Quality
Wireless signal quality is affected by several conditions:
• Distance from a Wi-Fi access point.
• Access rights (set up through an administrator).
• Your security settings.
• Orientation of the wireless antennas.
If you are having difficulty connecting to your network, try the following steps:
1. Open the Wireless Setup page in ARMORutils and verify that the radio is enabled.
2. If your tablet is not locked in a vehicle mount, try turning the unit in various directions to
improve signal quality.
3. Try to get closer to the access point.
4. Move away from obstacles such as trees and metal objects which may be between you
and the Access Point.
5. Verify that the Wi-Fi access point is operating.
6. If none of these actions solves the problem, contact your Network Administrator for
assistance.

9711-26020-0001
Export Controlled – See Page 3
Rev D
SECTION 4
NETWORKING
Page 108 of 234
ARMOR X10gx Tablet Computer
Using your Radios with an RF Vehicle Dock
If you have the X10gx RF vehicle dock (DRS P/N 9800F26200-0000) and the optional GPS
receiver and/or WWAN radios, you can switch to externally mounted vehicle antennas for
improved operation. By using external antennas, you can reduce the attenuating effects of the
vehicle cab and the constantly changing direction of the internal antennas.
When configured in ARMORutils, the RF multiplexer in the X10gx will switch the radios to the
external antennas whenever the tablet is docked and switch them back to the internal antennas
when the tablet is undocked.
Follow the instructions in Table 19 to configure your X10gx to use external antennas.
NOTE
If you have a Non-RF dock or you have an RF dock but are not
connected to external antennas, you must set the Dock RF Sw in
the ARMORutils Wireless Setup dialog window to “Disable” in
order to use the tablet’s internal antennas.
Table 19. Configuring the X10gx to use External Antennas
STEP ACTION COMMENTS
1. Place the X10gx in the docking cradle
and press down on the top clamp until
it locks.
2.
Double-
click on the ARMORutils icon
on the desktop. The ARMORutils Main Window opens.
3.
Click on the Wireless Setup option. The Wireless Setup dialog window opens
as shown in Figure 60.
4. In the Dock RF MUX
panel, select
GPS Only, WWAN Only or Both
When the tablet is docked, only the
antennas that are selected will be
switched.
5. Press the Docking RF Sw Enable
button to enable switching of the
antenna configuration that is selected
in the Dock RF Mux panel.
When the Docking RF Sw is set to
“Disable”, the tablet will utilize it’s internal
antennas.
6.
To remove the X10gx, press on the
clamp locking mechanism until the top
clamp snaps up.

9711-26020-0001
Export Controlled – See Page 3
Rev D
SECTION 4
NETWORKING
Page 109 of 234
ARMOR X10gx Tablet Computer
Figure 60. ARMORutils Wireless Setup Dialog
Using an ARMOR Legacy Dock
There are also a number of legacy vehicle docks that can be used with the X10gx (see ARMOR
Legacy Vehicle Docks); however, power must always be available at the tablet docking
connector pins with these docks. If you are using a legacy vehicle dock, set the Dock Power
Sw to ALWAYS ON.

9711-26020-0001
Export Controlled – See Page 3
Rev D
SECTION 4
NETWORKING
Page 110 of 234
ARMOR X10gx Tablet Computer
This Page Intentionally Left Blank

9711-26020-0001
Export Controlled – See Page 3
Rev D
SECTION 5
YOUR ARMOR X10GX SOFTWARE
Page 111 of 234
ARMOR X10gx Tablet Computer
Table of Contents List of Figures List of Tables Acronyms Glossary
5. YOUR ARMOR X10GX SOFTWARE
Your ARMOR X10gx comes with a variety of software applications. Many of these are standard
with your particular operating system, some are necessary to configure and operate your
system, some are required for specific devices or functions and some are complementary
applications provided by DRS to enhance your X10gx experience.
The following paragraphs provide an overview of the key programs and utilities necessary to
configure and operate your X10gx computer. Some of these applications are required for
specific devices or functions and some are complementary applications provided by DRS to
enhance your X10gx experience. Many of these are standard with the Windows 7 operating
system.
NOTE
A detailed description of each application’s settings and options (with the
exception of the ARMORutils application provided by DRS) is beyond the
scope of this manual. Please refer to the help resources provided with each
software application or to the Windows Help resources.
ARMORutils ™ Application
The ARMORutils application is provided to help you configure and manage your X10gx
computer. It contains settings and information about screen setup, wireless configuration,
battery status and much more. The following descriptions are based on the Windows 7
operating system.
NOTE
The screen images in this section are used for reference only and
may not reflect the actual configuration of your X10gx.
Starting ARMORutils
With Windows 7, ARMORutils starts automatically when you boot up your computer and places
an icon in the system application (systray) area located in the lower right corner of the task
bar (see Figure 61). An icon is also provided on the desktop and ARMORutils appears in the
Windows Start menu All Programs list so you can restart ARMORutils should you exit it for
any reason.

9711-26020-0001
Export Controlled – See Page 3
Rev D
SECTION 5
YOUR ARMOR X10GX SOFTWARE
Page 112 of 234
ARMOR X10gx Tablet Computer
Figure 61. Systray with Overflow Menu Displayed
Opening ARMORutils
To open the ARMORutils Main dialog window (Figure 62), right-click on the ARMORutils icon in
the systray and select Restore (NOTE: If the icon is not visible in the systray, click on the “up”
arrow icon to access the overflow menu).
NOTE
Armor Utilities must be run by a user with Administrator
privileges due to the User Account Code restrictions in Windows
7. If you are not using an account with administrator privileges,
Windows will display a password entry window when you try to
run ARMORutils. You must enter the Administrator password to
proceed.
Exiting from ARMORutils
When you click on the CLOSE button on the ARMORutils main window or click on the red “X” at
the upper right corner, you are only closing the main window – you are not exiting from the
utility. ARMORutils continues to run in the background.
To exit from the application completely, right-click on the ARMORutils icon in the systray and
select Exit ARMORutils. You can restart the application by clicking on the ARMORutils icon
on the desktop or select the ARMORutils option in the Start menu Programs list.
NOTE
If you exit ARMORutils completely, you will lose programmable button
functionality. Restart ARMORutils to reactivate the PBs.
SYSTRAY
OVERFLOW
MENU
SYSTRAY
ARMORUTILS
EXIT OPTION
SYSTRAY
MENU UP
ARROW

9711-26020-0001
Export Controlled – See Page 3
Rev D
SECTION 5
YOUR ARMOR X10GX SOFTWARE
Page 113 of 234
ARMOR X10gx Tablet Computer
ARMORutils Ma in Window
The ARMORutils main window is shown in Figure 62. Eight options provide access to dialog or
information windows. Click on an option to access one of these windows. Those options that are
not available will be grayed out. NOTE: The Screen Setup option will not be available if your
tablet has a pen screen only display.
Figure 62. ARMORutils Main Menu Window

9711-26020-0001
Export Controlled – See Page 3
Rev D
SECTION 5
YOUR ARMOR X10GX SOFTWARE
Page 114 of 234
ARMOR X10gx Tablet Computer
Backlight Setup Dialog
The Backlight Setup dialog window allows you to adjust the screen brightness manually or
automatically and to select from a series of preset profiles to automatically restrict the
brightness range under specific lighting conditions.
Figure 63. ARMORutils Backlight Setup Dialog
Automatic Brightness Mode
The Automatic brightness mode is initially activated by default. Automatic brightness adjustment
is controlled by the ambient light sensor (ALS) located on the indicator panel on the front of your
X10gx tablet. The ALS monitors the surrounding (ambient) light level and automatically adjusts
the backlight level to maintain the same relative screen brightness. For example, if you are
working in an office near a window and someone opens the blinds, the surrounding light will
suddenly increase. The ALS will measure the increase in light level and automatically increase
your screen and indicator brightness to compensate.
Unlike Manual mode, where you can vary the brightness across a much larger adjustment
range, in Automatic mode, the total range of brightness adjustment is smaller and is determined
by the selected Automatic Mode Profile.

9711-26020-0001
Export Controlled – See Page 3
Rev D
SECTION 5
YOUR ARMOR X10GX SOFTWARE
Page 115 of 234
ARMOR X10gx Tablet Computer
Automatic Brightness Mode Profiles
Everyone’s eyes react differently to changes in light levels and there may be times when the full
range of automatic brightness adjustment is uncomfortable for you.
You can tailor the automatic brightness adjustment by selecting one of the 5 pre-configured
brightness profiles: Dark, Office, Dusk, Daylight, and Sunlight. These profiles control the range
of brightness levels to values based on typical surroundings or times of day.
For example, if you typically work in an office environment but the automatic brightness doesn’t
make the display bright enough for you, you can select the Dusk, Daylight or Sunlight profile to
increase the brightness range proportionally. Similarly, if the normal brightness control results in
displays that are too bright, you can select the Office or Dark profile to reduce the brightness
range.
When you first start ARMORutils, the system defaults to the Office profile. Once you select a
different profile, the tablet will continue to use that profile until you select another.
Manual Brightness Mode
Click on the Manual button to activate the manual brightness control mode. To manually adjust
screen brightness, click repeatedly on the UP or DOWN buttons in the Manual Brightness
Setting panel or drag the slider. The current brightness level is displayed as a percentage in the
window to the right of the UP button. You can also adjust the brightness by clicking on the up
and down arrows next to the percentage readout.
The manual controls change the brightness from 0% to 100% of the total available adjustment
range for Manual mode. At the 0% point, the brightness is low but the screen is not totally dark.
Switching Between Brightness Modes
If you are in Manual mode and you click on one of the automatic profile settings, the brightness
mode will switch to Automatic mode. Conversely, if you are in Automatic mode and click on the
Manual mode UP or DOWN button, or one of the up/down arrows, the brightness mode will
switch to Manual mode.
Light Sensor Bar
The Light Sensor bar provides a visual indication that the ALS circuit is functioning correctly.
Screen brightness changes in response to the changing ambient light level occur gradually to
allow your eyes to adjust and may not be readily apparent, but the Light Sensor bar gives an
immediate indication that the ALS is controlling the screen brightness. The Light Sensor bar will
continue to operate even when the backlight mode is set to Manual.

9711-26020-0001
Export Controlled – See Page 3
Rev D
SECTION 5
YOUR ARMOR X10GX SOFTWARE
Page 116 of 234
ARMOR X10gx Tablet Computer
Wireles s Setup Dialog
The Wireless Setup dialog allows you to enable or disable all of the installed wireless devices in
your ARMOR X10gx. It also provides controls for external antennas connected through an
X10gx vehicle dock.
Figure 64. ARMORutils Wireless Setup Dialog
Radios ON/OFF Toggle Button
Click on the Radios ON/OFF Toggle button to turn off or turn on all radios currently enabled by
the Radio ON/OFF buttons. This is particularly handy if you’re on a commercial aircraft and you
want to continue working with the computer without interfering with the aircraft electronic
systems.
When you arrive at your destination, just click on the Radios ON/OFF button again to turn on
your enabled radios.

9711-26020-0001
Export Controlled – See Page 3
Rev D
SECTION 5
YOUR ARMOR X10GX SOFTWARE
Page 117 of 234
ARMOR X10gx Tablet Computer
Radio ON/OFF Buttons
There is an ON and Off button for each radio that is installed or supported. When you first start
your ARMOR X10gx, all installed radios are ON or enabled (default condition). Each radio can
then be disabled by pressing its OFF button and re-enabled by pressing its ON button.
NOTE: Radios that are available but not installed appear here also and will not be grayed out.
Dock RF Switch
The Dock RF Sw button enables or disables the antenna configuration that is selected by the
Dock RF Mux switch. The initial setting for the Dock RF Sw is “Enable”. If the button is set to
“Disable”, the tablet will use its internal antennas.
Dock Power Switch
In earlier X10 series tablets, the 5 VDC power pins in the docking connector were always active
to ensure power to the docking stations. This is not necessary with the new X10gx docking
stations due to an automatic sensing circuit that turns off power to the docking connector
whenever the X10gx is undocked.
The initial setting for the Dock Power Sw is “Auto” to enable dock sensing. However, to use the
X10gx with some ARMOR legacy docks, the Dock Power Sw must be set to “Always On” (refer
to Setting the X10gx for Power Operation with Legacy Docks).
Dock RF MUX Switch
Your X10gx contains an RF multiplexer circuit that is configured by the Dock RF Mux switch.
There are two RF coaxial docking connectors on the X10gx dock: one for an external WWAN
antenna and one for an external GPS antenna (see ARMOR X10gx Vehicle Docks). Depending
on how it is configured, the RF multiplexer will automatically switch your GPS and/or WWAN
antennas to external antennas mounted on the vehicle whenever you dock the tablet.
You can select GPS only, WWAN only, or Both antennas. If only one external antenna is
selected, the other radio will operate on its internal antenna. The initial default setting for the
Dock RF MUX is “Both”.
Save Settings Button
Regardless of how you configure your radios and the Dock RF Switch during your session, they
will return to their default settings the next time you restart the computer unless you save your
settings using the Save Settings button.
Once you configure each radio and the RF switch to suit the way you normally use them (ON or
OFF), you can press the Save Settings button to save the current configuration as your new
default settings.
NOTE
If you exit ARMORutils completely or shut down your system with the
Radios ON/OFF Toggle set to OFF, this will be saved as the default setting
and the radios will all be off the next time you start your computer.

9711-26020-0001
Export Controlled – See Page 3
Rev D
SECTION 5
YOUR ARMOR X10GX SOFTWARE
Page 118 of 234
ARMOR X10gx Tablet Computer
Buttons Setup Dialog
The Buttons Setup dialog window is shown in Figure 65. It allows you to assign two different
functions for each programmable button (PB) labeled P1, P2 and P3. These buttons are located
on the X10gx control panel (see Figure 2).
The first function is activated by pressing and releasing the PB (P1, P2 or P3). The second
function is a combo function activated by first pressing and releasing the Fn button and then
pressing and releasing a PB (Fn+P1, Fn+P2, Fn+P3). This provides a total of 6 individual
functions that can be activated using the PBs. The function currently programmed is shown in
the field next to the PB or the PB combo.
NOTE
If you exit ARMORutils completely, you will lose programmable button
functionality. Restart ARMORutils to reactivate the PBs.
Figure 65. ARMORutils Buttons Setup Dialog Window
PB
PB
COMBO

9711-26020-0001
Export Controlled – See Page 3
Rev D
SECTION 5
YOUR ARMOR X10GX SOFTWARE
Page 119 of 234
ARMOR X10gx Tablet Computer
Selecting a Function
Click on the menu arrow next to the PB or PB combo and select the desired function, then click
on the OK button to save your setting. Figure 66 shows a menu opened for the P3 button.
Figure 66. ARMORutils Programmable Button Options Menu
Available PB Functions
The currently available PB functions are listed below along with a brief description of their
purpose (additional functions may be added in future releases of ARMORutils). You can assign
any of these functions to any PB or PB combo.
• Set to Default – Returns the setting to its factory default function.
• Disabled – Disables the button or button combo.
• Backlight Increase 10% - Increases screen and indicator brightness in steps.
• Backlight Decrease 10% - Decreases screen and indicator brightness in steps.
• Backlight Toggle ON/OFF – Toggles the screen on and off.
• Radios Toggle ON/OFF – Toggles all enabled radios on and off.
FUNCTION
MENU
MENU
ARROW

9711-26020-0001
Export Controlled – See Page 3
Rev D
SECTION 5
YOUR ARMOR X10GX SOFTWARE
Page 120 of 234
ARMOR X10gx Tablet Computer
• Volume Increase – Increases sound volume in steps.
• Volume Decrease – Decreases sound volume in steps.
• Volume Mute – Toggles volume ON or OFF.
• Rotate Screen 90 degrees – Rotates the screen 90 degrees clockwise with each press.
• Video Output Cycle – Not currently supported.
• Sleep/Hibernate – Will place the tablet in Sleep or Hibernate mode.
• Launch User-Specified Application – Allows you to select and launch an installed
application or utility.
• <ENTER> key – Replicates pressing the keyboard “Enter” key
• <UP> key – Replicates pressing the keyboard “Up Arrow” key
• <DOWN> key – Replicates pressing the keyboard “Down Arrow” key
• <PAGE UP> key – Replicates pressing the keyboard “Page Up” key
• <PAGE DOWN> key – Replicates pressing the keyboard “Page Down” key
“Set to Default” Function
Select this function to return a PB or PB combo’s programming to its factory default settings.
“Launch User-Specified Application” Function
Selecting this function enables the User-specified application panel at the bottom of the PB
window. This function allows you to select an executable file to launch an installed application or
utility using a PB or PB combo. You can manually type in the path to the file or hit the BROWSE
button and search for the file in Windows Explorer.
To launch the application, press the assigned PB or PB combo.

9711-26020-0001
Export Controlled – See Page 3
Rev D
SECTION 5
YOUR ARMOR X10GX SOFTWARE
Page 121 of 234
ARMOR X10gx Tablet Computer
Configuration Dialog
The Configuration Dialog window provides visual confirmation of those wireless radios that are
installed in your X10gx. If a radio is installed and available, the associated icon and status will
appear in dark contrast. The status of the installed radios is displayed in parentheses next to the
word “Installed”. When the radio is enabled, the status is “ON”. If the radio is disabled, this
status will change to “OFF”.
If a radio is not installed, the status will be “Not Detected” or “Not Installed” and the icon and text
will be grayed out, as illustrated in Figure 67.
The bottom panel of the dialog window lists the current versions of your system BIOS,
ARMORutils and operating system, as well as the ARMOR model number and the unit serial
number.
Figure 67. ARMORutils Configuration Dialog Window

9711-26020-0001
Export Controlled – See Page 3
Rev D
SECTION 5
YOUR ARMOR X10GX SOFTWARE
Page 122 of 234
ARMOR X10gx Tablet Computer
Administration Button
The Administration button is normally hidden from view. To see this button, hold down the Fn
key on the right control panel and click on the Configuration option on the ARMORutils Main
Menu. The Configuration dialog window will re-open with the Administration button visible. Click
on the Administration button to open the User Access Settings window shown in Figure 68.
User Access Settings Window
This window allows an administrator to deny access by users to a particular dialog window or
function. Uncheck the applicable box and click OK to disable user access. The disabled dialog
window button will appear grayed out in the user’s ARMORutils Main window, as illustrated in
Figure 69. Here, the Screen Setup and Button Setup options are disabled.
Figure 68. User Access Settings Dialog
Disables access to the
Backlight Setup dialog.
Disables access to the Charger
Settings and Conditioning Menu
windows.
Disables access to the
Buttons Setup dialog.
Disables access to the Screen
Setup dialog.
Disables access to the Event
Recorder window in the
Diagnostics dialog.
Disables access to the
Wireless Setup dialog.

9711-26020-0001
Export Controlled – See Page 3
Rev D
SECTION 5
YOUR ARMOR X10GX SOFTWARE
Page 123 of 234
ARMOR X10gx Tablet Computer
Figure 69. Example of the ARMORutils Main Screen with Options Disabled

9711-26020-0001
Export Controlled – See Page 3
Rev D
SECTION 5
YOUR ARMOR X10GX SOFTWARE
Page 124 of 234
ARMOR X10gx Tablet Computer
Battery Monitor Dialog
The Battery Monitor dialog window is shown in Figure 70. This window provides the following
information about each battery:
• Current charge level (% of the maximum energy capacity)
• Current status – whether the battery is CHARGING, DISCHARGING, FULLY
CHARGED, FULLY DISCHARGED, READY or NOT READY. A READY status indicates
a waiting state, such as the batteries are fully charged and waiting to discharge or a
second battery is waiting for the first battery to reach a particular charge level.
NOTE: If the status is NOT READY, the system cannot read the battery status and a
fault condition exists.
• Estimated time to 90% of full charge
• Estimated time to full charge (if external power is connected) or the estimated remaining
operating time (if on batteries only)
There are also four buttons on this window that open additional dialogs or information windows:
Battery 1 Details, Battery 2 Details, Charger Settings and Conditioning Menu. The
functions of these buttons are described in the following paragraphs.
Figure 70. ARMORutils Battery Monitor Dialog Window

9711-26020-0001
Export Controlled – See Page 3
Rev D
SECTION 5
YOUR ARMOR X10GX SOFTWARE
Page 125 of 234
ARMOR X10gx Tablet Computer
Battery 1 and Battery 2 Details Buttons
Select a Battery Details button to open a Battery Information window. Figure 71 shows a
typical window for the #1 battery. This window provides the same % charge and status
information as the Battery Monitor window but it also provides more detailed information about
the battery including:
• the battery’s serial number
• its current voltage, operating current and dissipated power in watts.
• the battery’s remaining energy capacity in mAh
• it’s maximum energy capacity in mAh
• the battery’s design energy capacity in mAh
• it’s accumulated cycle count
NOTE: A negative sign (-) next to a charge value indicates a battery is discharging. The
absence of a sign indicates the battery is charging or is fully charged.
Figure 71. ARMORutils Battery Information Window

9711-26020-0001
Export Controlled – See Page 3
Rev D
SECTION 5
YOUR ARMOR X10GX SOFTWARE
Page 126 of 234
ARMOR X10gx Tablet Computer
Remaining Capacity – This is the current energy level expressed in mAh instead of % of
charge.
Maximum Capacity – This is the current maximum energy capacity that the battery can
achieve. This value is determined primarily by the battery’s age, operating temperature history
and total number of accumulated charge cycles.
Design Capacity – This is the maximum capacity that the battery was designed to hold.
Charge Cycles Count – This is the total number of times the battery has been discharged
below the 30% level and then recharged.
Est. Cycles Remaining – This is a rough estimate of the number of remaining cycles before
your battery reaches it’s 80% capacity, at which point it is a candidate for replacement. This
estimate is based on an industry average of 400 cycles under nominal usage. When the
remaining cycles count reaches 0, you should consider replacing the battery.
Charger Settings Button
Click on the Charger Settings button to open the Charger Control Settings window shown in
Figure 72. In this window, you can decide what charging policy the system will use when two
batteries are installed.
Figure 72. ARMORutils Charger Control Settings Window
Charge Both
If you select Charge Both, both batteries will charge at the same time regardless of
individual battery charge level. The total charge level indicated is determined by adding the
charge of both batteries and dividing this sum by 2.

9711-26020-0001
Export Controlled – See Page 3
Rev D
SECTION 5
YOUR ARMOR X10GX SOFTWARE
Page 127 of 234
ARMOR X10gx Tablet Computer
Charge Lowest First
If you choose Charge Lowest First, the battery with the lowest charge will be charged to
80%, followed by the next lowest battery. Once both are at 80%, the first charged battery will
be charged to 100%, followed by the second charged battery.
Click on OK to save the new default setting. Select CANCEL to exit without changing the
policy.
Conditioning Menu Button
Click on the Conditioning Menu button to open the Battery Conditioning window shown in
Figure 73. This window will display the conditioning cycle information for each battery. It also
allows you to select a single battery to condition, or to select both batteries.
Your X10gx batteries are self conditioning/calibrating and do not normally require conditioning.
NOTE
Conditioning, or calibration, should only be performed if you notice
that the levels reported by Windows or ARMORutils are
consistently different from actual battery performance, as this adds
to the total cycle count of the battery.
The conditioning process consists of first charging the battery to a full charge, then drawing the
charge down to its minimum, followed by charging the battery back to a full charge. The entire
conditioning process takes about 8 hours for two batteries.

9711-26020-0001
Export Controlled – See Page 3
Rev D
SECTION 5
YOUR ARMOR X10GX SOFTWARE
Page 128 of 234
ARMOR X10gx Tablet Computer
Figure 73. Battery Conditioning Window
Start Cycle Button
Click on the START CYCLE button to begin the conditioning process.
Terminate Cycle Button
Click on the TERMINATE CYCLE button at any time to stop the conditioning process. NOTE: If
you terminate the conditioning process, you will have to start again from the beginning.

9711-26020-0001
Export Controlled – See Page 3
Rev D
SECTION 5
YOUR ARMOR X10GX SOFTWARE
Page 129 of 234
ARMOR X10gx Tablet Computer
Screen Setup Dialog
NOTE
If you have a pen screen only display, this dialog will not be accessible
from the ARMORutils Main window.
The Screen Setup dialog (Figure 74) is used to select the current display mode and to access
calibration routines for both the touch and pen screens. There are three display modes: Dual,
Touch Only and Pen Only. The example below shows the system is in Dual Mode (Dual mode
option grayed out), which means both the Touch Only and Pen Only modes are available.
Figure 74. ARMORutils Screen Setup Dialog Window
Screen Mode Options
These options allow you to select the current display mode. For example, click on the Touch
Only button to enable only the touch screen and disable the pen screen. Click OK to change to
the new mode. The Touch Only mode option will become grayed, as illustrated in Figure 75.

9711-26020-0001
Export Controlled – See Page 3
Rev D
SECTION 5
YOUR ARMOR X10GX SOFTWARE
Page 130 of 234
ARMOR X10gx Tablet Computer
The Touch Only option is grayed out because it is the mode that is enabled and is not available
for selection. The Dual Mode and Pen Only options are contrasted, indicating that these two
modes are available.
Click on the Pen Only option to enable the pen screen and disable the touch screen, or click on
Dual Mode to enable both screens.
Click on SAVE AS DFLT to activate the new display mode. The button will change to a darker
color to indicate the change was saved.
Figure 75. Screen Setup Dialog with Touch Screen Only Enabled
NOTE
You can also find options to change the display mode through pen and touch
utilities in Windows Control Panel. However, you should only use
ARMORutils to change the display mode since ARMORutils will override any
screen mode options selected in the Windows utilities.
Calibration Options
To calibrate a screen, click on TOUCH or PEN option in the Calibration panel. Follow the on-
screen instructions. If one of the screen calibration options is grayed out, it is not available with
the current mode setting.

9711-26020-0001
Export Controlled – See Page 3
Rev D
SECTION 5
YOUR ARMOR X10GX SOFTWARE
Page 131 of 234
ARMOR X10gx Tablet Computer
Diagnos tics Dialog
The Diagnostics window displays the following internal temperatures of the X10gx tablet, as
shown in the example in Figure 76:
• CPU core temperature (DTS and Diode)
• CPU Mainboard temperature
• Battery #1 temperature
• Battery #2 temperature
This temperature information can be used by DRS to diagnose possible system problems.
Figure 76. ARMORutils Diagnostics Dialog
Event Recorder Button
Click on the Event Recorder button to open the Event Recorder window shown in Figure 77.
This window provides entry fields and options to create a log file of temperature variations and
battery status over time. For instructions on how to use the Event Recorder function, refer to
Creating an Event Log.

9711-26020-0001
Export Controlled – See Page 3
Rev D
SECTION 5
YOUR ARMOR X10GX SOFTWARE
Page 132 of 234
ARMOR X10gx Tablet Computer
Figure 77. ARMORUtils Event Recorder Window
Log Filename
The filename that appears in the Log Filename field when you first open the Event Recorder
window is the default log file in the ARMORutils application folder. You can use this default
log filename or enter a new filename. You can also click on the BROWSE button to select
from other stored files or create a different folder to store your files.
“Overwrite Existing File” Option
If you start a new logging session, the data will be appended to the existing file shown in the
Log Filename field by default. If you want to save your logging as a different file, enter the
new filename. If you want your new log file to overwrite a displayed filename, check the
Overwrite Existing File option. You can browse to select a file already created or you can
create a new file and/or folder.
“Record Only When Data Changes” Option
The Event Recorder program normally logs a line of data every 6 seconds. This can result in
a very large file if the logging runs for long periods of time. The file size can be reduced
TIME
REMAINING
APPEARS
HERE

9711-26020-0001
Export Controlled – See Page 3
Rev D
SECTION 5
YOUR ARMOR X10GX SOFTWARE
Page 133 of 234
ARMOR X10gx Tablet Computer
considerably by checking the Record only when data changes option. With this option
selected, the recorder will only enter a line of data when any data point changes.
Your Event Recorder is pre-configured from the factory with this option checked. Uncheck it
if you want to record data continuously.
Status
The Status panel displays the time the logging was started, the time remaining (if Auto
Logging is used) and the time logging was stopped (either at the end of an auto-timed
period or when the STOP LOGGING button was selected).
Timer
Here you can set the duration of your logging session by typing in the number of hours
directly or by using the up/down arrows. The current maximum auto-timed logging duration
is 168 hours (1 week).
Start Timed Button
Click on this button to start the timed logging period.
Start Manual Button
Click on this button to manually start the logging process. The logging process will continue
until you select the STOP LOGGING button or the computer is turned off.
Stop Logging Button
Click on this button to stop logging either in auto-timed or manual mode. NOTE: In manual
mode, the logging will continue until you stop it or turn power off to the computer.
Close Button
Click on this button to close the Event Recorder window. Your logging session will continue
in the background.
Using the Event Log File
In addition to temperature change, the event log also records other key information about
the batteries, such as their manufacturer, model number, serial numbers and a history of
their charging and discharging during the logging period. A sample event log printout is
shown in Figure 78. The battery status codes and column headings are defined in the
header.
You can open and view the log file in any text application. The file can be printed out or
exported to a database program like Microsoft Excel or Access and converted to a graph or
chart.

9711-26020-0001
Export Controlled – See Page 3
Rev D
SECTION 5
YOUR ARMOR X10GX SOFTWARE
Page 134 of 234
ARMOR X10gx Tablet Computer
Figure 78. Sample Event Log File
DEFINITIONS

9711-26020-0001
Export Controlled – See Page 3
Rev D
SECTION 5
YOUR ARMOR X10GX SOFTWARE
Page 136 of 234
ARMOR X10gx Tablet Computer
Getting Started with Windows 7
Click on Start à Getting Started to open the Windows welcome page (Figure 80) and access
a number of helpful links and resources. NOTE: Screen content and layout may vary depending
on your version of Windows 7 and any added service packs or updates.
Figure 80. Windows 7 Welcome Page
Help for Windows
For information on using Microsoft Window’s features, options, applications and utilities, refer to
the Microsoft help files and tutorials by clicking on the Start button and selecting Help and
Support.

9711-26020-0001
Export Controlled – See Page 3
Rev D
SECTION 5
YOUR ARMOR X10GX SOFTWARE
Page 137 of 234
ARMOR X10gx Tablet Computer
Windows Dis play Utilities
The following paragraphs provide a brief description of key Windows display utilities to help you
configure and begin using your X10gx. A detailed description of all of the functions and
capabilities of these and other Windows utilities is beyond the scope of this manual. Refer to the
Windows Help Resources for in-depth descriptions and tutorials.
NOTE: Windows utilities and the way you get to them may vary depending on the version of
your Windows operating system.
Pen and Touch Utility
The Pen and Touch utility provides settings that effect how the pen works for both the active
pen screen and the touch screen.
To open this utility, select Start à Control Panel à Hardware and Sound à Pen and Touch.
The Pen and Touch utility opens, as shown in Figure 81.
Figure 81. Pen and Touch Utility

9711-26020-0001
Export Controlled – See Page 3
Rev D
SECTION 5
YOUR ARMOR X10GX SOFTWARE
Page 138 of 234
ARMOR X10gx Tablet Computer
Pen Options Tab
The Pen Options tab opens by default and provides settings that are applicable to the pen
screen only.
Pen Actions Panel
Highlight an action from the Pen Actions list and click on the Settings button (if active) to
open a settings window, then select options or make adjustments.
Pen Buttons Panel
Use the Pen button as a right-click equivalent option – This option is overridden by the
pen button options in the Pen tab of the Pen Tablet Properties utility, regardless of whether
it is checked or not.
Use the top of the pen to erase ink option – The erase function is not supported in the
X10gx from any utility option.
Flicks Tab
The Flicks tab provides settings that are applicable to both the pen and touch screens. Flicks
are short quick gestures either up, down, left or right that produce common actions such as
scrolling through a document, dragging an object, or opening a folder. Click on the Practice
using flicks link at the bottom of the window to access a tutorial.

9711-26020-0001
Export Controlled – See Page 3
Rev D
SECTION 5
YOUR ARMOR X10GX SOFTWARE
Page 139 of 234
ARMOR X10gx Tablet Computer
Figure 82. Pen and Touch Utility – Flicks Tab
Handwriting Tab
The Handwriting tab provides settings that are applicable to both the pen and touch screens.
The options on this tab allow you to enable or disable the automatic handwriting learning
feature. Click on the “Learn about handwriting personalization link at the bottom of the window
for information about automatic learning and how to train your tablet to recognize your personal
handwriting style.
Figure 83. Pen and Touch Utility – Handwriting Tab

9711-26020-0001
Export Controlled – See Page 3
Rev D
SECTION 5
YOUR ARMOR X10GX SOFTWARE
Page 140 of 234
ARMOR X10gx Tablet Computer
Touch Tab
The Touch tab provides settings that are applicable to the touch screen only. The options on
this tab affect how the pen, or your finger, interacts with the touch screen.
Check the “Use your finger as an input device” option to use either the pen or your finger
with the touch screen.
Figure 84. Pen and Touch Utility – Touch Tab

9711-26020-0001
Export Controlled – See Page 3
Rev D
SECTION 5
YOUR ARMOR X10GX SOFTWARE
Page 141 of 234
ARMOR X10gx Tablet Computer
Touch Actions
Highlight a touch action and click on the Settings button to open an adjustment window.
Touch Pointer
Select this option to place a cursor at the touch point. A virtual mouse image will also appear
next to the cursor, as shown in Figure 85 . You can then click on the left or right mouse
button to produce the appropriate mouse action.
Click on the Advanced Options button to open a window where you can adjust the touch
pointer position, appearance and behavior.
Figure 85. Touch Tab Virtual Mouse Pointer

9711-26020-0001
Export Controlled – See Page 3
Rev D
SECTION 5
YOUR ARMOR X10GX SOFTWARE
Page 142 of 234
ARMOR X10gx Tablet Computer
Tablet PC Settings Utility
If you have a second display with a touch or pen screen, you can use this tab to calibrate or
change the screen orientation.
Dis play Tab
The Display tab provides links to initiate screen calibration. Other display options are not used.
Configure your pen and touch displays
This option is not supported by the X10gx. Use the Screen Setup dialog in ARMORutils to
change display modes.
Display Options
This option is not supported by the X10gx. Select Control Panel à Hardware and Sound
à Display à Change Display settings to change settings for multiple displays.
Calibrate Button
Click on the Calibrate button and select Pen input or Touch input to calibrate a screen.
Reset Button
Click on this button if you want to remove the calibration you just performed.
Go to Orientation
This option is not supported by the X10gx.

9711-26020-0001
Export Controlled – See Page 3
Rev D
SECTION 5
YOUR ARMOR X10GX SOFTWARE
Page 143 of 234
ARMOR X10gx Tablet Computer
Figure 86. Tablet PC Settings – Display Tab

9711-26020-0001
Export Controlled – See Page 3
Rev D
SECTION 5
YOUR ARMOR X10GX SOFTWARE
Page 144 of 234
ARMOR X10gx Tablet Computer
Other Tab
This tab allows you to change where an on-screen menu appear when you activate the pen or
touch displays so that your hand does not block your view of the menu. For example, if you are
left-handed, check the Left-handed option to have the menus appear to the right of the cursor.
It also provides a link to configure settings for the Input Panel.
Figure 87. Tablet PC Settings Utility – Other Tab

9711-26020-0001
Export Controlled – See Page 3
Rev D
SECTION 5
YOUR ARMOR X10GX SOFTWARE
Page 145 of 234
ARMOR X10gx Tablet Computer
Pen Tablet Properties Utility
The following paragraphs briefly describe the purpose and actions of the Pen Tablet Properties
utility. To open the Pen Tablet Properties window, select Start à Control Panel à Hardware
and Sound and click on the Pen Tablet Properties icon to open the Pen Tablet Properties
window shown in Figure 88 (in Windows 7 Pro, click on the ISD Tablet Properties icon).
Figure 88. WACOM Pen Tablet Properties Window – Pen Tab
NOTE
The pen that comes with your ARMOR X10gx has only one side
button and no eraser (see Your X10gx Pen).
Pen Tab
The Pen tab is displayed by default when the Pen Tablet Properties window opens (Figure 88 ).
The pen pictured in the tab is a WACOM™ pen that is normally used in advanced drawing
tablets. Its functionality far exceeds what is practical for your X10gx tablet. Consequently, we
have provided a simpler active pen.

9711-26020-0001
Export Controlled – See Page 3
Rev D
SECTION 5
YOUR ARMOR X10GX SOFTWARE
Page 146 of 234
ARMOR X10gx Tablet Computer
Supported Options
Figure 89 and Figure 90 highlight those functions and options that are supported by your
ARMOR X10gx pen.
NOTE
Options not supported by the X10gx pen are grayed out in Figure
89 and Figure 90
for illustration purposes only. They are not
grayed out on the actual application screen image.
Figure 89. Settings and Options Supported by the ARMOR X10gx Active Pen
Click Sound
Check the Click Sound option to enable a clicking sound when you perform an action with
the pen.
Eraser
The X10gx does not support the Erase function.

9711-26020-0001
Export Controlled – See Page 3
Rev D
SECTION 5
YOUR ARMOR X10GX SOFTWARE
Page 147 of 234
ARMOR X10gx Tablet Computer
Side Button Menu Options
The side button can be set to perform different functions that are selected from the pull
down menu shown in Figure 90. The default function is “Right Click”.
Only the lower button menu is used with the X10gx pen. Refer to Explanation of Side Button
Options in the Appendix for a description of each menu option.
NOTE
Some side switch settings may work differently in different
software applications.
Figure 90. Side Button Menu Options
Default Button
Click on the Default button to return the Pen tab settings to their default values.

9711-26020-0001
Export Controlled – See Page 3
Rev D
SECTION 5
YOUR ARMOR X10GX SOFTWARE
Page 148 of 234
ARMOR X10gx Tablet Computer
Advanced Button
Click on the Advanced button to open the Advanced Settings window, as shown in Figure
91. The two options in this window allow you to set the way the side switch will be used to
perform a right click action. Click & Tap is the default action.
Figure 91. Pen Tablet Properties - Advanced Settings Window

9711-26020-0001
Export Controlled – See Page 3
Rev D
SECTION 5
YOUR ARMOR X10GX SOFTWARE
Page 149 of 234
ARMOR X10gx Tablet Computer
Pop-up Menu Tab
The Pop-up Menu tab is shown in Figure 92. This tab allows you to add additional functionality
to the side button. These functions will be displayed in a pop-up menu when the side button is
pressed while in an application or working on the desktop. If only one function has been
selected, only that function will be available.
NOTE
To use the functions set in the pop-up menu, you must select the
“Pop-up Menu” option from the side button menu in the Pen tab.
Figure 92. Pen Tablet Properties – Pop-up Menu Tab

9711-26020-0001
Export Controlled – See Page 3
Rev D
SECTION 5
YOUR ARMOR X10GX SOFTWARE
Page 150 of 234
ARMOR X10gx Tablet Computer
Click on the down arrow in the Add field to open a list of available functions then select and
configure the desired function. Those functions that are selected will appear in the Pop-up
Items panel to the right of the Add field. Click on the Remove button to delete a function.
When you are using the pen in an application or on the desktop and you press the side button, a
small menu is displayed with the options you have configured.
Figure 93. Pop-up Menu Add Options
OPTIONS
MENU

9711-26020-0001
Export Controlled – See Page 3
Rev D
SECTION 5
YOUR ARMOR X10GX SOFTWARE
Page 151 of 234
ARMOR X10gx Tablet Computer
Calibrate Tab
The Calibrate tab is shown in Figure 94. Click on the Calibrate button to access the screen
calibration routine. Follow the on-screen instructions.
Figure 94. Pen Tablet Properties Window – Calibrate Tab

9711-26020-0001
Export Controlled – See Page 3
Rev D
SECTION 5
YOUR ARMOR X10GX SOFTWARE
Page 152 of 234
ARMOR X10gx Tablet Computer
Tablet and Pen Settings Utility (Windows XP Only)
Windows XP Tablet lets you customize the tablet and the pen settings to suit the way you work
with an active pen. To open the Tablet and Pen Settings window, select Start à Control Panel
à Tablet and Pen Settings. Refer to the Windows Help resources for instructions on using
these settings.
Settings Tab
The Settings tab is shown in Figure 95. With this tab, you can select whether you want to use
the pen with the left hand or right hand, select menu positions, and calibrate the screen.
Figure 95. Tablet and Pen Settings Window – Settings Tab

9711-26020-0001
Export Controlled – See Page 3
Rev D
SECTION 5
YOUR ARMOR X10GX SOFTWARE
Page 153 of 234
ARMOR X10gx Tablet Computer
Dis play Tab
The Display tab is shown in Figure 96. With this tab, you can preset the primary and secondary
screen orientations.
The Screen Brightness settings are not available from this window. To adjust the screen
brightness, refer to Display Management.
Figure 96. Tablet and Pen Settings Window – Display Tab

9711-26020-0001
Export Controlled – See Page 3
Rev D
SECTION 5
YOUR ARMOR X10GX SOFTWARE
Page 154 of 234
ARMOR X10gx Tablet Computer
Pen Options Tab
The Pen Options tab is shown in Figure 97. Use this tab to adjust pen settings such as double-
click, right-click, hover, and launch Input Panel.
Figure 97. Tablet and Pen Settings Panel – Pen Options Tab

9711-26020-0001
Export Controlled – See Page 3
Rev D
SECTION 5
YOUR ARMOR X10GX SOFTWARE
Page 155 of 234
ARMOR X10gx Tablet Computer
Touch Settings Utility (Windows XP Only)
The Touch Settings window is shown in Figure 98. This window provides options to enable or
disable the touch screen, hide the cursor, enable a touch sound and access the screen
calibration routine.
Figure 98. Touch Settings Utility Window

9711-26020-0001
Export Controlled – See Page 3
Rev D
SECTION 5
YOUR ARMOR X10GX SOFTWARE
Page 156 of 234
ARMOR X10gx Tablet Computer
TrueSuite™ Fingerprint Recognition Software
Your X10gx comes pre-loaded with the AuthenTec® TrueSuite™ Premium fingerprint
recognition software. This application enables you to secure your computer login, access to
specific folders or loaded applications, and your logins to remote websites so that only you can
access them with a swipe of your finger or thumb.
Open the application by selecting Start à All Programs and open the TrueSuite folder in the
programs list (you may have to scroll down to see it). There are three options in this folder:
TrueSuite, TrueSuite Tray, and Uninstall TrueSuite. Click on the TrueSuite option to open
the TrueSuite window, as shown in Figure 99. You can also click on the TrueSuite Tray option
to place a TrueSuite icon in the systray where it will remain during your current session.
Mousing over this icon will open a menu where you can start the TrueSuite application. You can
also change the touch controls and access help options without opening the TrueSuite
application.
The application window opens with the My Settings panel displayed. There are four other panel
options available: Website Log On, File and Folder Lock, QuickLaunch, and Enrollment.
Click on the navigation icon in the upper right corner of any of these options to open the
panel.
Figure 99. AutenTec TrueSuite Application Window
Using the TrueSuite Application
You must install the TrueSuite application in order to initially register your finger and/or thumb
print. Refer to Using the Fingerprint Sensor (FPS) for installation and setup instructions.

9711-26020-0001
Export Controlled – See Page 3
Rev D
SECTION 5
YOUR ARMOR X10GX SOFTWARE
Page 157 of 234
ARMOR X10gx Tablet Computer
Realtek® HD Audio Manager Application
This application allows you to configure your speakers, adjust headset audio and microphone levels and
create sound effects. Refer to Configuring your Audio System for instructions.
Figure 100. Realtek HD Audio Manager Application

9711-26020-0001
Export Controlled – See Page 3
Rev D
SECTION 5
YOUR ARMOR X10GX SOFTWARE
Page 158 of 234
ARMOR X10gx Tablet Computer
Picasa 3® Image Capture
Picasa 3 is an image capture program that allows you to use the webcam for taking still pictures
and movies and for capturing barcodes. A brief tutorial is given in Using the Webcam. Refer to
the Picasa 3 Help resources for detailed instructions on how to use this application.
Figure 101. Picasa 3 Image Capture Application

9711-26020-0001
Export Controlled – See Page 3
Rev D
SECTION 5
YOUR ARMOR X10GX SOFTWARE
Page 159 of 234
ARMOR X10gx Tablet Computer
Virtual Magnifying Glas s ™
This handy utility allows you to magnify portions of the screen that are too small to see clearly. It
projects a virtual magnifying glass over a portion of the screen, as shown in Figure 102. Refer to
Screen Magnifier for a brief tutorial on how activate and use this application. For detailed
configuration and operating instructions, start the application and then right-click on the
magnifier icon in the systray and click on the “Help” option.
Figure 102. Virtual Magnifying Glass Application

9711-26020-0001
Export Controlled – See Page 3
Rev D
SECTION 5
YOUR ARMOR X10GX SOFTWARE
Page 160 of 234
ARMOR X10gx Tablet Computer
This Page Intentionally Left Blank

9711-26020-0001
Export Controlled – See Page 3
Rev D
SECTION 6
TROUBLESHOOTING
Page 161 of 234
ARMOR X10gx Tablet Computer
Table of Contents List of Figures List of Tables Acronyms Glossary
6. TROUBLESHOOTING
This section addresses only those problems that can be corrected by replacing a removable
component such as a hard drive or battery, by replacing or reseating an external cable, or by
changing a configuration setting. Any other failure will require the tablet be returned to DRS
Tactical Systems.
For each problem that occurs with your ARMOR X10gx computer, there are specific steps that
will isolate the problem to a failed component or to a configuration option that may be set
incorrectly. In many cases, a single action step will isolate or correct the problem. In others, a
troubleshooting flowchart with multiple actions may be needed.
Isolating the Problem
Table 20 lists some possible symptoms pointing to problems with your ARMOR X10gx. It then
provides actions to correct a problem. In some cases, you will be directed to a troubleshooting
flow chart to further isolate the problem.
Use the Symptom and Problem Area columns to identify the problem you are having, then
follow any directions in the Action column or go to the indicated troubleshooting flowchart to
begin troubleshooting.
NOTE
Table 20 is written primarily for the Windows 7 operating
system. References may vary depending on your version of
Windows.
Table 20. ARMOR X10gx Trouble Symptoms
PROBLEM
AREA SYMPTOM ACTION FLOW
CHART
Display (touch
or pen
screen)
Tapping with the pen or
stylus does not select or
activate an option, or the
cursor does not align
with stylus or pen point.
1. Follow the instructions in
Calibrating the Display to
calibrate the screen. Repeat up
to 5 times if necessary.
2. If the screen still does not
calibrate correctly, send the
tablet in for repair.
Display Display is off but wireless
indicators are still active
Press P3 to toggle the display
backlight on.

9711-26020-0001
Export Controlled – See Page 3
Rev D
SECTION 6
TROUBLESHOOTING
Page 162 of 234
ARMOR X10gx Tablet Computer
PROBLEM
AREA SYMPTOM ACTION FLOW
CHART
Display Backlight goes on and
off. 1. Default the BIOS.
2. If not fixed, flash H8.
3. If not fixed, send tablet in for
repair.
Display Pen does not right-click
when held against the
screen.
1. Select Start
à
Control Panel
à
Hardware and Sound
à
Pen and Touch.
2. Highlight the Press and hold
option in the Pen Actions panel
and click on Settings.
3. Ensure the Enable press and
hold for right clicking option
is checked.
4. If problem is not fixed, replace
pen.
Display Pen does not right click
when side button is
pressed (default setting).
1. Select Start
à
Control Panel
à
Hardware and Sound
à
Pen Tablet Properties.
2. Verify/change setting to Right
Click in bottom side button
menu.
Display Pen not working in center
of display.
Send tablet in for repair.
Display Pen opens and closes
folders and programs
without touching screen.
Send tablet in for repair.
Battery Tablet will not recognize
a battery.
TS-04
Battery Battery will not hold a
charge. Perform the procedure in
What to Do for an Overly
Discharged Battery.
Battery Battery consistently
shows a full charge but
does not meet typical
operating times.
Perform the procedure in Battery
Conditioning/Calibration.
NOTE:
If the battery still shows
poor performance, replace it.

9711-26020-0001
Export Controlled – See Page 3
Rev D
SECTION 6
TROUBLESHOOTING
Page 163 of 234
ARMOR X10gx Tablet Computer
PROBLEM
AREA SYMPTOM ACTION FLOW
CHART
Power
System or
Battery
Charging/Fault LED
(indicator panel) is on
steady red.
The red LED will turn off when the
fault condition is removed.
Try removing external power (if
connected).
If the fault occurs on batteries only,
connect external power and
remove each battery one at a time.
If the fault persists, return the tablet
for repair.
Power
System or
Battery
Tablet will not power up. TS-01
Run Tablet is locked up. TS-05
Run Screen rolls, flashes, and
then tablet freezes up. 1. Remove both batteries and
connect AC adapter.
2. Reboot the tablet.
3. If tablet works normally,
reinstall one battery at a time
and reboot until problem
reoccurs.
4. Replace one or both batteries
as applicable.
Run Tablet shuts down on its
own. 1. Start
à
Control Panel
à
Power Options and check if
the computer has a shut down
setting to save power.
2. If no shut down option is
enabled, return tablet for repair.
Boot Up Tablet will not start boot
process. Power ok. TS-02
Boot Up Tablet will not boot into
Windows.
TS-03
Wireless Cannot connect to a
wireless network.
TS-06
Ethernet/USB Ethernet or USB ports
not working.
Perform the procedure in
Returning the BIOS to its Default
Settings to reset the BIOS.

9711-26020-0001
Export Controlled – See Page 3
Rev D
SECTION 6
TROUBLESHOOTING
Page 164 of 234
ARMOR X10gx Tablet Computer
Troubleshooting Flowcharts
TS01 Tablet will not Power Up
Start
1. Remove both
batteries and connect
tablet to docking
station or connect AC
adapter.
2. Attempt to power up.
Does tablet
power up? Yes
Exit
Replace
batteries.
No
Send tablet in
for repair.

9711-26020-0001
Export Controlled – See Page 3
Rev D
SECTION 6
TROUBLESHOOTING
Page 165 of 234
ARMOR X10gx Tablet Computer
TS02 Tablet Will Not Start Boot Process
Start Is tablet
docked? Yes Undock tablet
and attempt to
boot up.
No
1. Remove both
batteries and connect
tablet to docking station
or connect DC power
supply.
2. Attempt to boot up.
Did tablet
boot up? Yes
No
Send tablet
in for repair.
Does
tablet
boot up? Yes
No
Replace
batteries.
Temporarily
replace HD with
another HD.
Does
tablet
boot up? Yes
No
Re-image
HDD.
Send tablet
in for repair.

9711-26020-0001
Export Controlled – See Page 3
Rev D
SECTION 6
TROUBLESHOOTING
Page 166 of 234
ARMOR X10gx Tablet Computer
TS03 Tablet Will Not Boot into Windows
Does boot
process halt at
white flashing
cursor?
Yes Verify correct
boot device in
BIOS.
No
Does tablet
boot up?
No
Does tablet boot to
blue screen or does
screen go black? Yes
No
Temporarily
replace HD with
another HD.
Does
tablet
boot up? Yes
No
Send tablet
in for repair.
Send tablet
in for repair.
Exit
Yes
Re-image or
replace HDD.
Start

9711-26020-0001
Export Controlled – See Page 3
Rev D
SECTION 6
TROUBLESHOOTING
Page 167 of 234
ARMOR X10gx Tablet Computer
TS-04 Tablet will not recognize a battery
Start Does tablet
recognize
battery?
Yes
Exit
No
Recharge/
replace the
battery.
Flash the bios
Send tablet in
for repair.
Does tablet
recognize
battery?
Yes
No
Re-image/
replace the
hard drive.
Does tablet
recognize
battery?
No
Yes
No
Flash H8
Does tablet
recognize
battery?
Yes

9711-26020-0001
Export Controlled – See Page 3
Rev D
SECTION 6
TROUBLESHOOTING
Page 168 of 234
ARMOR X10gx Tablet Computer
TS-05 Tablet is locked up
Start
1. Shut down tablet.
2. Disconnect external
power.
3. Remove both batteries and
allow tablet to sit un-
powered for 5 minutes.
4. Re-insert batteries and/or
connect external power.
5. Reboot tablet.
Does tablet
Lock up?
No
Exit
Yes
Re-image/
replace HD.
Does tablet
Lock up?
No
Yes
Send tablet
in for repair.

9711-26020-0001
Export Controlled – See Page 3
Rev D
SECTION 6
TROUBLESHOOTING
Page 169 of 234
ARMOR X10gx Tablet Computer
TS-06 Cannot connect to wireless network
Shut down and
reboot the
tablet.
Does tablet
Connect to
network?
No
Click on Start à Control Panel à
Network and Sharing Center.
Is a
red “X” present on
a connection
icon?
No
Yes
1. Click on Troubleshoot Problems.
2. Select Network Adapter.
3. Click on Next.
4. Select the network adapter to troubleshoot
5. Follow the on-screen instructions.
5. Reboot the tablet.
Exit
Yes
Start
Send tablet in
for repair.
Does tablet
Connect to
network?
No
Open
ARMORUtils and
click on the
Wireless Setup
option.
Exit
Yes
Send tablet in
for repair.
Is the
problem radio
disabled?
No
Yes

9711-26020-0001
Export Controlled – See Page 3
Rev D
SECTION 6
TROUBLESHOOTING
Page 170 of 234
ARMOR X10gx Tablet Computer
This Page Intentionally Left Blank

9711-26020-0001
Export Controlled – See Page 3
Rev D
SECTION 7
MAINTAINING YOUR ARMOR X10GX
Page 171 of 234
ARMOR X10gx Tablet Computer
Table of Contents List of Figures List of Tables Acronyms Glossary
7. MAINTAINING YOUR ARMOR X10GX
Replacing the Solid-State Drive (SSD)
The SSD is located in the Flexspace compartment in the back of the tablet (see Figure 4).
Follow the procedure in Table 21 to remove and replace the drive.
NOTE
The SSD should only be removed or installed by a qualified technician in a
controlled environment.
Table 21. Remove and Replace the Solid-State Drive
STEP ACTION
1.
Power down the tablet and disconnect any external power.
2.
Remove the 12 Philips screws securing the Flexspace compartment cover and
remove the cover to expose the drive, as shown in Figure 103.
3.
Disconnect and remove the drive.
4.
Install and connect the replacement drive.
5.
Replace the Flexspace compartment cover and secure with the 12 Philips
screws.
6.
Torque each screw to 3 kg-cm (2.6 lb-in).

9711-26020-0001
Export Controlled – See Page 3
Rev D
SECTION 7
MAINTAINING YOUR ARMOR X10GX
Page 172 of 234
ARMOR X10gx Tablet Computer
Figure 103. SSD Location

9711-26020-0001
Export Controlled – See Page 3
Rev D
SECTION 7
MAINTAINING YOUR ARMOR X10GX
Page 173 of 234
ARMOR X10gx Tablet Computer
Removing and Replacing the Batteries
CAUTION!
Only one battery at a time can be removed and replaced during
operation without causing a sudden
system shutdown. Connect
external power first before removing both batteries.
Table 22. Remove and Replace a Battery
STEP ACTION COMMENTS
1.
Locate the battery latch between the
two battery compartments on the
back of the unit, as shown in
Figure 104
. The bottom latch is for
battery #1, the top latch is for battery
#2.
2. Press in and hold the button on either
latch while sliding the latch
to the
open position.
3.
Pry up the battery and remove it.
CAUTION!
Do not force the battery into
position. If the battery will not
slip easily onto the connector,
pull it slightly toward the center
compartment wall and press in
gently.
4.
Position the fresh battery as shown in
Figure 104 and gently press down on
the battery until the connector seats.
NOTE: The X10gx can operate on a
single battery installed in either
compartment.

9711-26020-0001
Export Controlled – See Page 3
Rev D
SECTION 7
MAINTAINING YOUR ARMOR X10GX
Page 174 of 234
ARMOR X10gx Tablet Computer
Figure 104. Battery Positioned for Insertion
STEP ACTION COMMENTS
5.
Slide the latch up until the button
pops out. The battery is now locked
in place.
BATTERY #1
LATCH

9711-26020-0001
Export Controlled – See Page 3
Rev D
SECTION 7
MAINTAINING YOUR ARMOR X10GX
Page 175 of 234
ARMOR X10gx Tablet Computer
Ins talling a SIM Card
Follow the procedure in Table 23 to install your SIM card.
CAUTION!
Circuit boards containing electrostatic discharge (ESD) sensitive
devices are exposed in this compartment. Static-free handling
and processing is required to prevent possible damage to the
components.
CAUTION!
Use care when operating the X10gx
with the cooling register
removed. Internal voltages are exposed to possible short circuit.
NOTE
This procedure should only be performed by a qualified
technician in a controlled environment.
Table 23. Installing a SIM Card
STEP ACTION condition or indication
1.
Power down the tablet and disconnect
any external power.
2.
Remove the batteries.
3.
Remove the 12 Philips screws securing
the hard drive cover and remove the
cover to expose the hard drive, as shown
in Figure 105.
4.
Disconnect and remove the hard drive to
expose the SIM card socket, also shown
in Figure 105.

9711-26020-0001
Export Controlled – See Page 3
Rev D
SECTION 7
MAINTAINING YOUR ARMOR X10GX
Page 176 of 234
ARMOR X10gx Tablet Computer
Figure 105. Hard Drive Compartment
STEP ACTION
5.
Place a fingertip in the notch on the left
side of the cover and slide the cover to
the right until you feel an indent, then lift
up.
6.
Insert the SIM card with the corner notch
to the lower left.
7.
Gently press the cover down and slide to
the left to lock in place.
8.
Install the compartment cover with 12
Philips screws and torque each screw to
3 kg-cm (2.6 lb-in).
HARD
DRIVE
SIM CARD
SOCKET

9711-26020-0001
Export Controlled – See Page 3
Rev D
SECTION 7
MAINTAINING YOUR ARMOR X10GX
Page 177 of 234
ARMOR X10gx Tablet Computer
9.
Reinstall the batteries and reconnect
external power if desired.
Removing and Replacing a Memory Module
Two 2GB memory modules are located in a sealed compartment at the lower left rear corner of
the tablet, as indicated in Figure 4. Follow the procedure in Table 24 to replace a module.
NOTE
This procedure should
only be performed by a qualified
technician in a controlled environment.
CAUTION!
These modules contain electrostatic discharge (ESD) sensitive
devices. Static-
free handling and processing is required to
prevent possible damage to the components.
Table 24. Replacing a Memory Module
STEP ACTION condition or indication
1.
Power down the tablet, remove the
batteries and disconnect any external
power.
2.
Place the tablet face down on a clean
surface and remove the 10 Philips screws
securing the hard drive cover, then
remove the cover to expose the memory
modules, as shown in Figure 106.

9711-26020-0001
Export Controlled – See Page 3
Rev D
SECTION 7
MAINTAINING YOUR ARMOR X10GX
Page 178 of 234
ARMOR X10gx Tablet Computer
STEP ACTION condition or indication
3.
Spread the two spring clips securing the
top module and lift at the outer edge, as
indicated.
NOTE
A small piece of cushioning tape is
sandwiched between the two
modules and may make the top
module appear to be stuck. Pry up
at the edges to release the module
from the tape.
The module will swing up to a 45° angle,
as shown in Figure 107.
4.
Remove the module and replace it with a
new one.
5.
Replace the module cover and torque
screws to 3 kg-cm (2.6 lb-in).
Figure 106. Memory Module Compartment
MEMORY
MODULES
SPRING
CLIPS
LIFT HERE

9711-26020-0001
Export Controlled – See Page 3
Rev D
SECTION 7
MAINTAINING YOUR ARMOR X10GX
Page 179 of 234
ARMOR X10gx Tablet Computer
Figure 107. Memory Module Ready for Removal

9711-26020-0001
Export Controlled – See Page 3
Rev D
SECTION 7
MAINTAINING YOUR ARMOR X10GX
Page 180 of 234
ARMOR X10gx Tablet Computer
Changing the BIOS Settings
Follow the procedure in Table 25 to access the BIOS setup utility and verify settings or make
changes. You can use the active pen (not a stylus or fingertip) to navigate the setup screens
and select options, or you can connect an external keyboard to one of the USB ports.
Contact DRS Technical Support if you have any questions about the BIOS settings for your
ARMOR X10gx.
CAUTION!
Incorrectly setting the BIOS options could cause the X10gx to
become unstable or render it completely inoperable. Move carefully
through the menus and use caution when making changes. Read
the description of each change in the right-
hand column before
making any adjustments.
NOTE
If you make permanent changes as a result of an upgrade or
addition of new equipment, be sure to keep a record of the
changes. Table 26 provides a handy place to record these changes.
Always record the previous value in case you have to return to that
value.
Table 25. Access the BIOS Setup Utility.
STEP ACTION COMMENTS
1.
Start the computer and as soon as the
DRS logo appears tap on the screen until
you hear a beep.
The Information tab of the Setup Utility
will be displayed.
2.
Click on a tab at the top of the screen to
select a different menu page.
3.
A listed menu option with a triangle to the
left of it indicates an available submenu.
Double-click on this option to open the
sub-menu.
4.
Click once on a bracketed setting
[XXXXX] to select that menu option. A selected option will change to white
text. If an item does not have a bracketed
setting, there are no setting options
available.

9711-26020-0001
Export Controlled – See Page 3
Rev D
SECTION 7
MAINTAINING YOUR ARMOR X10GX
Page 181 of 234
ARMOR X10gx Tablet Computer
5.
Click again on the bracketed setting to
change that option’s setting. Click
repeatedly to cycle through a list of
available settings.
6.
Select the Exit Submenu tab at the top
of the screen.
7.
When all changes have been made,
select the Exit tab to open a list of exit
options.
8.
Click on the desired option to select it,
then click it again to implement the option
and exit the Setup Utility.
Table 26. Record Bios Changes Here
SETTING PREVIOUS
VALUE NEW
VALUE DATE
CHANGED

9711-26020-0001
Export Controlled – See Page 3
Rev D
SECTION 7
MAINTAINING YOUR ARMOR X10GX
Page 182 of 234
ARMOR X10gx Tablet Computer
Returning the BIOS to its Default Settings
When your X10gx was shipped to you, the BIOS settings were set to a “default” state for your
particular configuration. To return the BIOS to this default state, follow the procedure in Table
27.
NOTE
Defaulting the BIOS will change the brightness control to the
“Automatic” adjustment mode. To change the adjustment to
manual, open the Backlight Setup in ARMORutils and select Manual
mode.
Table 27. Return the BIOS to Its Default State
STEP ACTION
1.
Access the BIOS Setup Utility (see Table 25 for instructions).
2.
Press F9 to load the default BIOS configuration.
3.
Press F10 to save your changes and exit.
Setting the X10gx for Power Operation with
Legacy Docks
The 5V DC power required by an ARMOR docking station is supplied by the tablet through the
docking connector. Unlike previous ARMOR tablets, the X10gx has circuitry that senses when
the tablet is undocked and automatically switches off 5V power to the power pins in the tablet
docking connector. The power is switched back on when the tablet is docked again. This power
switching feature is controlled by the Dock Power Sw in the ARMORutils Wireless Setup
dialog.
WARNING!
Do not set the Dock Power Sw in ARMORutils
Wireless Setup
Dialog to “Always On” if the X10gx will be used in a hazardous
location (HAZLOC), regardless of the docking station used.

9711-26020-0001
Export Controlled – See Page 3
Rev D
SECTION 7
MAINTAINING YOUR ARMOR X10GX
Page 183 of 234
ARMOR X10gx Tablet Computer
CAUTION!
With the Dock Power Sw set to “Always On”, there is a slight risk
of accidentally causing an arc since the exposed power pins on
the docking connector will be ‘live’ while undocked. Do not insert
any metallic object into the docking connector while the X10gx is
powered up.
NOTE
When the Dock Power Sw is changed to “Always On”, the comm
ports on the breakout box are remapped as follows:
Serial 1
à
X10Gx side port (with RTS/CTS support)
Serial 2
à
Dock Com 2 (no RTS/CTS support)
Serial 3
à
Dock Com 1 (with RTS/CTS support)
Serial 4
à
Dock Com 3 (no RTS/CTS support)
Table 28. Setting the Dock Power Switch for Legacy Operation
STEP ACTION COMMENTS
1.
Open ARMORutils and select the
Wireless Setup dialog. The Wireless Setup dialog window opens
as shown in Figure 64.
2.
Change the Dock Power Sw to ALWAYS
ON.
3.
Click on Save Settings

9711-26020-0001
Export Controlled – See Page 3
Rev D
SECTION 7
MAINTAINING YOUR ARMOR X10GX
Page 184 of 234
ARMOR X10gx Tablet Computer
Changing the Power Button Default Action
Follow the procedure in Table 29 to change the default action of the Power button.
NOTE
This change will only affect the action of the Power button during
the operating state; it will still work the same as described in Error!
Reference source not found. when the computer is powered off or is
in sleep or hibernate mode.
Table 29. Changing the Power Button Actions
STEP ACTION COMMENTS
1.
Select Start
à
Control Panel
à
Hardware & Sound
à
Power Options The Power Options dialog window is
displayed.
2.
From the left panel, select Choose what
the power buttons do.
The Systems Settings window opens as
shown in Figure 108.
NOTE
The X10gx does not have a Sleep
button so ignore the bottom set
of options.
3.
Click on the pull-down menus in the On
battery and Plugged in columns and
select the desired action.
The pull-down menu options are shown in
Figure 108.
4.
Click on the Save Changes button at
the bottom of the window.

9711-26020-0001
Export Controlled – See Page 3
Rev D
SECTION 7
MAINTAINING YOUR ARMOR X10GX
Page 185 of 234
ARMOR X10gx Tablet Computer
Figure 108. Power Button Settings Options

9711-26020-0001
Export Controlled – See Page 3
Rev D
SECTION 7
MAINTAINING YOUR ARMOR X10GX
Page 186 of 234
ARMOR X10gx Tablet Computer
Creating an Event Log
If you are experiencing problems and suspect that they are temperature or battery related, you
can create a log of the internal temperature and battery status of the X10gx over time using the
Event Recorder function in the ARMORutils Diagnostics window. Follow the procedure in Table
30 to create an event log.
Table 30. Creating an Event Log
STEP ACTION CONDITION OR INDICATION
1.
Open ARMORutils and select the
Diagnostics option. The Diagnostics dialog window opens, as
illustrated in Figure 76.
NOTE
If the Event Recorder button is
grayed out, you must enable it in the
User Access Settings window. Refer
to the description of the User
Access Settings Window for
instructions.
2.
Click on the EVENT RECORDER button
at the bottom of the window. The Event Recorder window opens as
shown in Figure 109. NOTE: The initial
status will reflect the start and stop times
recorded with the last logging. These will
update when you start your new event
log.
3.
If you wish to change the current file log
name, edit it at this time. Click on the
BROWSE button to navigate to a
different file or folder.
4.
For Auto-Timed logging, enter the hours
directly in the Timer menu window or use
the up/down arrows to select the time and
then click on START (TIMED).
5.
For Manual logging, click on START
(MANUAL).
6.
To stop the logging process in either
Auto-Timed or Manual mode, click on the
STOP LOGGING button.
A sample event log is shown in Figure 78.

9711-26020-0001
Export Controlled – See Page 3
Rev D
SECTION 7
MAINTAINING YOUR ARMOR X10GX
Page 187 of 234
ARMOR X10gx Tablet Computer
Figure 109. Diagnostics Event Recorder Window

9711-26020-0001
Export Controlled – See Page 3
Rev D
SECTION 7
MAINTAINING YOUR ARMOR X10GX
Page 188 of 234
ARMOR X10gx Tablet Computer
Caring For the Display Screen
The following tips will help you keep your display clean and healthy:
CAUTION!
Use only canned compressed air to clean your screen. Do not use
an air compressor. Damage to the screen surface could result.
CAUTION!
Do not attempt to remove stuck particles with a fingernail or other
hard object as this can permanently damage the touch screen
surface.
• Do not use an abrasive or metallic pointer on the screen surface as this may damage the
screen. Use the pen included with your X10gx, a passive stylus designed for touch
screens (not included) or your fingertip.
• Use alcohol or a plastic cleaner such as Plexus™ to clean the pen tip.
• Be careful not to let sand or grit stay on the screen as this can scratch the surface when
wiped with a cloth. Use canned compressed air or a soft bristle brush to remove loose
particles before wiping with a cloth.
• Use the special ARMOR cloth that came with your X10gx to wipe away dust and
fingerprints.
• For stubborn residue, clean the surface with plain water or water with a few drops of dish
soap added and pat dry with a clean paper towel or cloth, then use the special ARMOR
cloth that came with your tablet to remove any remaining residue.
• Use a cotton swab with plain water, soapy water, alcohol or glass cleaner to gently
remove particles stuck to the surface.
Cleaning the Tablet Case
• Use a clean cloth dampened with water to wipe down the case.
• For stubborn dirt or contaminants, use a cloth dipped in plain or soapy water. Remove
any soap residue with a clean cloth dampened in plain water.
• Wipe out battery compartments using a clean dry cloth. Use a soft bristle brush or
canned air to remove loose particles.
• Batteries can be cleaned in the same way.

9711-26020-0001
Export Controlled – See Page 3
Rev D
SECTION 8
DISPLAY MANAGEMENT
Page 189 of 234
ARMOR X10gx Tablet Computer
Table of Contents List of Figures List of Tables Acronyms Glossary
8. DISPLAY MANAGEMENT
Adjusting the Brightness
The brightness of an LCD display is controlled by adjusting the backlight intensity level. The
backlight level for the X10gx can be controlled either manually or automatically. When you first
receive your X10gx, the brightness mode is set to “Automatic”.
Automatic Brightness Adjustment
Open the Backlight Setup dialog in ARMORutils. In Automatic mode, the backlight level is
controlled by the ambient light sensor (ALS) located on the Indicator panel. If the surrounding
light decreases, the brightness will also decrease proportionally; if the surrounding light
increases, the brightness will increase proportionally.
NOTE
You must keep the ALS uncovered to allow proper automatic
brightness adjustment.
Automatic Brightness Mode Profiles
Select one of the profiles that best controls the range of backlight levels to suit your work
environment. Refer to Automatic Brightness Mode Profiles for an explanation of these profiles.
Manual Brightness Adjustment
Click on the Manual button to change to manual brightness mode. You can manually adjust
screen brightness in two ways: by using programmable buttons (PBs) P1, P2 and P3 or by
using options and buttons in the Backlight Setup dialog in ARMORutils.
Using the PBs
NOTE: ARMORutils must be running in order to use these programmable buttons (see Starting
ARMORutils).
Repeatedly press P1 to increase screen brightness. Repeatedly press P2 button to decrease
screen brightness. Press P3 to toggle the screen on and off.
Using the ARMORutils Backlight Setup Dialog
Open ARMORutils and select the Backlight Setup button. The Backlight Setup dialog opens as
shown in Figure 110.

9711-26020-0001
Export Controlled – See Page 3
Rev D
SECTION 8
DISPLAY MANAGEMENT
Page 190 of 234
ARMOR X10gx Tablet Computer
Figure 110. ARMORutils Backlight Setup Dialog
Press the UP or DOWN buttons repeatedly or use the pen or a fingertip to move the slider and
adjust the backlight level. The % brightness is displayed in a field on the right. You can also use
up and down arrows next to this field to adjust the slider.

9711-26020-0001
Export Controlled – See Page 3
Rev D
SECTION 8
DISPLAY MANAGEMENT
Page 191 of 234
ARMOR X10gx Tablet Computer
Calibrating the Dis play
To access both touch screen and pen screen calibration routines, open ARMORutils and click
on the Screen Setup option. If the display is set to Dual mode, both calibration options will be
available (contrasted). If the display mode is touch or pen only, only that screen calibration
option will be available.
To Calibrate the Touch Screen
Select the Touch option in the Calibration panel to open the Touch Settings window then click
on the Calibrate button to open the calibration screen. Follow the on-screen instructions.
To Calibrate the Pen Screen
Select the Pen option in the Calibration panel to open the Pen Tablet Properties window. Select
the Calibrate tab and click on the Calibrate button to open the calibration screen. Follow the
on-screen instructions.

9711-26020-0001
Export Controlled – See Page 3
Rev D
SECTION 8
DISPLAY MANAGEMENT
Page 192 of 234
ARMOR X10gx Tablet Computer
Rotating the Screen
The ARMOR X10gx supports the Windows function of rotating the screen between Landscape
and Portrait layout mode. In landscape mode (default orientation), the long axis of the screen is
along the top and bottom of the display. In portrait mode, you turn the tablet 90° and the long
axis of the screen is along the left and right sides of the display.
There are three ways to rotate the screen:
• By using the Intel Graphics options via the desktop task tray
• By using the Intel Graphics and Media Control panel
• By using a hot key combination
NOTE
If you lose calibration when rotating the screen and cannot use the
pen to return to the default orientation, attach an external keyboard
and press Ctrl+Alt+Up Arrow.
This will return the display to the
default landscape orientation.
Using the Intel Graphics Options
Right click anywhere on the desktop or click on the Intel Graphics icon in the icon tray (you
may have to show hidden icons) and select Graphics Options à Rotation. Then select one of
the four rotation angles as shown in Figure 111. NOTE: The “Normal” position is the default
landscape orientation.
You can rotate the screen clockwise in four 90° steps, alternating between portrait and
landscape orientation, or you can rotate it 180° or 270°.
Figure 111. Intel Graphics Screen Rotation Options (from icon tray)

9711-26020-0001
Export Controlled – See Page 3
Rev D
SECTION 8
DISPLAY MANAGEMENT
Page 193 of 234
ARMOR X10gx Tablet Computer
Us ing the Intel Graphics and Media Control Panel
Right-click anywhere on the desktop or click on the Intel Graphics icon in the icon tray and
select Graphics Properties to open the Intel Graphics and Media Control Panel, as shown in
Figure 112. Select the rotation angle and click OK. The Intel Graphics Control Panel in
Windows XP has similar options.
Figure 112. Intel Graphics and Media Control Panel

9711-26020-0001
Export Controlled – See Page 3
Rev D
SECTION 8
DISPLAY MANAGEMENT
Page 194 of 234
ARMOR X10gx Tablet Computer
Using a Keyboard “Hot Key” Combination
Open the Intel Graphics and Media Control Panel and select Options and Support à Hot Key
Manager. A list of pre-assigned (default) hot key combinations is displayed in the right panel, as
shown in Figure 113. You can use these default combinations or specify a combination of your
own.
To use a hot key combination, open the Input Panel keyboard or connect a USB keyboard and
enter the combination.
Figure 113. Intel Graphics Panel Hot Key Manager

9711-26020-0001
Export Controlled – See Page 3
Rev D
SECTION 8
ARMOR X10gx Tablet Computer
SECTION 9
BATTERY MANAGEMENT
Page 195 of 234
ARMOR X10gx Tablet Computer
Table of Contents List of Figures List of Tables Acronyms Glossary
9. BATTERY MANAGEMENT
The Lithium Ion batteries used in your ARMOR X10gx computer offer the best technology
available today. These ‘Smart Batteries’ provide ARMOR X10gx users with the greatest power
density and the most accurate “fuel gauge” possible. To achieve the best possible performance
from your batteries, we recommend using and maintaining the batteries in accordance with the
instructions provided in this section.
Safety and Handling Considerations for your
Batteries
WARNING!
Do not drop or mishandle the batteries, immerse them in water, or
subject
them to high heat. Doing so could increase the risk of
explosion or leakage, and possibly cause injury.
WARNING!
The lithium-
ion batteries used in this equipment contain material
that is hazardous to your health. If battery contents come in contact
with the eyes, IMMEDIATELY flush the affected area with clean
water for 15 minutes and have someone else summon medical
attention for you. Unaffected persons should assist the affected
individual in the vital first flushing of the eyes.
WARNING!
If battery material comes in contact with the skin, flush the affected
area with clean water and seek immediate medical treatment.
NOTE
Newer DRS batteries such as those included with your X10gx have
greater capacity
and functionality compared to older or legacy
batteries. Legacy batteries can still be used in the ARMOR X10gx
but their performance may be substantially reduced.

9711-26020-0001
Export Controlled – See Page 3
Rev D
SECTION 8
ARMOR X10gx Tablet Computer
SECTION 9
BATTERY MANAGEMENT
Page 196 of 234
ARMOR X10gx Tablet Computer
Please use the following safety rules when handling and using lithium-Ion batteries.
• Do not expose the batteries to very high temperatures such as an open flame.
• Do not short circuit the battery contacts or reverse their polarity.
• Do not let children play with the batteries.
• Do not crush, dent or allow any deformation of the batteries.
• Do not disassemble or open the batteries or try to alter or bypass the internal safety
circuits.
• Avoid exposing the batteries to wet or extremely humid conditions.
• Avoid exposing the batteries to electrostatic discharge.
• Avoid dropping the batteries.
• Do not use in, or connect the batteries to, any other devices.
• Do not allow removed batteries to remain discharged for more than 1 week

9711-26020-0001
Export Controlled – See Page 3
Rev D
SECTION 8
ARMOR X10gx Tablet Computer
SECTION 9
BATTERY MANAGEMENT
Page 197 of 234
ARMOR X10gx Tablet Computer
When to Charge a Battery
New Batteries
Due to current regulations regarding shipment of lithium Ion batteries, your X10gx batteries are
shipped to you in a partially charged condition, typically with a maximum charge of 30%-50%.
DRS recommends that you fully charge your batteries before using them for the first time in your
computer.
If you do not plan to use your computer immediately, be aware that the batteries can discharge
as much as 4% in 24 hours if left in the computer with the power turned off. For this reason, we
recommend that computers with the batteries installed that will not be used for an extended
period of time be connected to external power, either using the AC adapter provided with your
computer or through a docking station using vehicle power.
Currently Installed Batteries
Your ARMOR X10gx will alert you when your batteries need charging. When the remaining
charge drops below 10%, an alert message like the one shown in Figure 114 will pop up on the
desktop. You should connect external power to recharge the batteries or replace them as soon
as possible.
To check the current charge level of your installed batteries, view each battery’s fuel gauge on
the back of the tablet (refer to Fuel Gauge LEDs) or click on the battery icon in the systray.
This will open a desktop battery window like the one shown in Figure 114. NOTE: the battery
icon will change to a battery with plug icon when external power is connected).
You can also select the Battery Monitor button on ARMORutils main page. This will open the
Battery Monitor dialog window (Figure 70) where you can check the current status and the
remaining charge of your batteries.
Removed Batteries
Removed batteries will continue to self-discharge even when disconnected from the computer.
The lower the charge level, the sooner the battery will approach the fully depleted state. DRS
recommends you recharge removed batteries as soon as possible.
Depleted Batteries
When an installed battery’s charge drops below 10%, a warning message, similar to the one in
Figure 114 will appear on the desktop. At this point, the battery is in a “depleted” charge state
(between 10% and 5%). When the total charge drops below 7%, another warning message
(Figure 115) will be displayed advising you to connect external power immediately. If the total
charge drops below 5%, the computer is programmed to automatically enter the hibernate state.
Your Windows session will be saved to the SSD and the computer will shut down to conserve
power.
To avoid having your computer unexpectedly enter the hibernate mode, you should connect
external power to recharge your batteries as soon as you see the low battery warning message,
or replace them immediately with fresh batteries. You should also arrange to recharge any
depleted batteries as soon as practical.

9711-26020-0001
Export Controlled – See Page 3
Rev D
SECTION 8
ARMOR X10gx Tablet Computer
SECTION 9
BATTERY MANAGEMENT
Page 198 of 234
ARMOR X10gx Tablet Computer
Depleted Batteries Left in the Computer
Lithium ion batteries left in a computer with the power off will discharge at approximately 4%
over a 24 hour period. Therefore, a depleted battery can become fully depleted or possibly
overly discharged in about two days.
Depleted Batteries Removed from the Computer
A lithium battery that is not installed in the X10gx will self discharge at the rate of about 0.3% in
a 24 hour period or about 3% every 10 days (faster in higher temperature conditions). A
depleted battery that is removed is therefore in danger of becoming fully depleted, or possibly
overly discharged, in about 30 days.
Fully Depleted and Overly Discharged Batteries
A lithium battery is considered fully depleted when its charge level falls below 3%. When a
battery becomes fully depleted, the LEDs on the fuel gauge may not light but it is still possible to
recover the battery if you recharge it immediately. If a fully depleted battery is not recharged
soon enough (generally within 24 hours), it can enter an overly discharged state in which it may
not respond to normal efforts to recharge it (see
What to Do for an Overly Discharged Battery.
Un-recoverable Batteries
If the charge level is allowed to drop to around 0% and the battery is not soon recharged, a
safety circuit inside the battery can activate and render the battery un-recoverable. To avoid this
possibility, DRS recommends you recharge any battery that reaches the fully depleted state
(<3% charge) as soon as possible.
CAUTION!
Batteries that are allowed to continue discharging after reaching
the 3% charge level may become un-
recoverable and have to be
discarded.
Avoiding Overly Discharging Your Batteries
The following suggestions will help avoid an overly discharged condition.
• Do not store the X10gx for long periods with the batteries installed without connecting
external power. Even when the unit is powered off, the tablet still draws a small amount
of power from the batteries.
• Do not store X10gx batteries in a fully depleted condition for long periods of time. The
X10gx batteries will further self-discharge over time at a rate of about 3% every 10 days
or about 10% a month. For long-term storage, the batteries should be recharged to at
least 40% of full charge every 3-4 months of storage.

9711-26020-0001
Export Controlled – See Page 3
Rev D
SECTION 8
ARMOR X10gx Tablet Computer
SECTION 9
BATTERY MANAGEMENT
Page 199 of 234
ARMOR X10gx Tablet Computer
What to Do for an Overly Dis charged Battery
The X10gx has an internal Level 2 smart battery charger. One of the features of this charger is
that it will attempt to recover a battery that has been too deeply discharged (<3%). This is done
by applying a trickle current of 80 milliamps for about 3 minutes. This process normally injects
enough energy into the battery to allow normal re-charging to begin. If the recovery process is
successful, the 20% LED will begin flashing or be on steady. Allow the battery to charge
normally.
If the 20% LED fails to start flashing, perform the recovery procedure in Table 31.
Table 31. Recover an Overly Discharged Battery.
STEP ACTION
1.
Remove the battery and wait 5 seconds.
2.
Reinstall the battery and allow it to charge.
3.
If the battery does not respond, repeat the above steps up to a maximum of five
times.
4. If the battery still fails to start charging, it will have to be replaced.

9711-26020-0001
Export Controlled – See Page 3
Rev D
SECTION 8
ARMOR X10gx Tablet Computer
SECTION 9
BATTERY MANAGEMENT
Page 200 of 234
ARMOR X10gx Tablet Computer
How to Charge Your Batteries
The X10gx batteries automatically begin charging when installed in the ARMOR Tablet and
external power is applied. To recharge the batteries, plug the circular connector of the AC
adapter into the DC power input jack on the left side of the ARMOR X10gx, or into the PWR
connector on a desk dock unit. If your X10gx is installed in a vehicle dock, the batteries will
charge whenever vehicle battery power is available.
Don’t be alarmed if batteries feel warm to the touch during the charging process. Your X10gx
batteries are protected from being overcharged by internal safety circuits.
Charging Time
The charging time for one or two depleted batteries (<10% charge) when the batteries are
installed in the X10gx is 2.5-4 hours, depending on the following factors:
• power demands on the system (screen brightness setting, wireless and GPS radio
activity, utility and software applications currently running, etc.)
• temperature extremes
• number of batteries (1 or 2)
• total remaining capacity of each battery
•
NOTE
The charging cycle is not linear and the last 20% of charge can take
proportionally longer to complete than the first 80% of charge time.
Charging Temperatures
DRS has included temperature sensors in the battery circuit to protect the cells when an
excessively high or low temperature condition occurs. Your batteries will charge normally in the
X10gx computer so long as the internal temperature remains above 0°C (32°F) and does not
exceed 45°C (113°F). If the internal temperature moves outside these limits during charging, the
computer will suspend the charging cycle until the temperature returns to a value within the
normal temperature range.
If the charging cycle is suspended due to temperature, the Charging/Fault indicator will flash at
a ½-second rate.
Setting the Charging Policy
Follow the procedure in Table 32 to set the charging policy and decide if both batteries will
charge at the same time regardless of charge level or the battery with the lowest charge will be
charged first. Refer to Charger Settings Button for a description of this function.

9711-26020-0001
Export Controlled – See Page 3
Rev D
SECTION 8
ARMOR X10gx Tablet Computer
SECTION 9
BATTERY MANAGEMENT
Page 201 of 234
ARMOR X10gx Tablet Computer
Table 32. Select How to Charge the Batteries
STEP ACTION COMMENTS
1.
Double-click on the ARMORutils icon on
the desktop and select the Battery
Monitor dialog page from the Main
screen.
The Battery Monitor dialog page
opens.
2.
Click on the Charger Settings button. The Charger Control Settings window
opens.
NOTE
If total system current exceeds 5
amps while charging both
batteries, the charger will switch
to charging to lowest first.
3.
Select Charge Both or Charge Lowest
First.
4.
Click OK to save the setting.

9711-26020-0001
Export Controlled – See Page 3
Rev D
SECTION 8
ARMOR X10gx Tablet Computer
SECTION 9
BATTERY MANAGEMENT
Page 202 of 234
ARMOR X10gx Tablet Computer
How to Tell When Batteries Have Finished
Charging
While the batteries are charging, the fuel gauge LEDs will light to indicate the current level of
charge and the amber Charging/Fault LED will flash at a 1-second rate. When the batteries are
fully charged, all five fuel gauge LEDs will be on steady and the Charging/Fault LED will be on
steady.
Battery Operating Time
Your ARMOR X10gx can operate on one or two batteries and can operate with a single battery
installed in either bay. The length of time your X10gx can operate on batteries alone before
needing a recharge is primarily determined by the following:
• screen brightness (backlight) setting
• wireless and GPS radio activity
• utility and software applications that are currently running
• battery temperature extremes
• number of batteries (1 or 2)
• remaining battery capacity
The total operating time for the ARMOR X10gx with two fully charged 2400 mAh batteries at a
nominal room temperature is approximately 4 hours. For a single battery, the operating time is
approximately 2.5 hours. Legacy batteries with lower capacity will have correspondingly shorter
operating times.
Battery Discharge
When two batteries are installed, the system draws power from the highest charged battery first
until it reaches the 10% charge level, and then switches to the second battery. When the
second discharged battery reaches the 10% level, the system switches back to the first
discharged battery.
NOTE
The total remaining % charge for two installed batteries is
determined by the following formula: Batt #1 % + Batt #2 % / 2.
When the total remaining charge of both batteries reaches the 5% level, Windows forces the
computer into hibernation to save your session and protect your batteries from becoming fully
depleted.
Any time you return and find your computer has shut itself down (placed itself in hibernation), it’s
a good idea to check the remaining battery charge level as soon as you power up to be sure
your batteries are not exhausted. If they are exhausted, the Charging/Fault indicator will flash 5
times when you press the Power button.

9711-26020-0001
Export Controlled – See Page 3
Rev D
SECTION 8
ARMOR X10gx Tablet Computer
SECTION 9
BATTERY MANAGEMENT
Page 203 of 234
ARMOR X10gx Tablet Computer
Operating Under Low Battery Conditions
CAUTION!
The battery critical alarm and action points are preset at the factory
and should not be changed unless directed by DRS Technical
Support. Incorrectly setting the battery alarm points could result in
the X10gx shutting down unexpectedly and causing the loss of work
in progress or corrupting your hard drive. DRS is not responsible for
any loss of data or damage to the system as a result of changes to
battery alarm point settings.
NOTE
Warning icons and alert windows may differ slightly depending on
your version of the Windows operating system.
Low Battery Level Alarm
Your ARMOR X10gx is designed to operate even when the battery is depleted (<10% charge).
When the total charge drops below 10% (low battery level), the bottom-most LED in the fuel
gauge (20% indicator) will flash and a low battery alert message will be displayed, as shown in
Figure 114. At this point, DRS recommends you connect external power to recharge the
batteries or replace one or both batteries with fresh batteries.
Figure 114. Low Battery Alert Message
Reserved Battery Level Alarm
When the remaining charge reaches 7% (reserved battery level), a second battery alert
message will be displayed, as shown in Figure 115, and the battery icon in the task tray will
display a red “X”. At this point, you need to save your work and then connect external power,
replace the batteries or shut down the computer.

9711-26020-0001
Export Controlled – See Page 3
Rev D
SECTION 8
ARMOR X10gx Tablet Computer
SECTION 9
BATTERY MANAGEMENT
Page 204 of 234
ARMOR X10gx Tablet Computer
Figure 115. Reserved Battery Alert message
Critical Battery Level Alarm
When the remaining charge reaches 5% (critical battery level), Windows will automatically place
your computer into hibernate mode. Hibernation is a low-power mode that first saves your
current session to storage and then performs an orderly shutdown. You should replace your
depleted batteries or connect external power before restarting your computer.
When you restart your computer, you will resume your session where you left off.
CAUTION!
Normally, the automatic hibernation at the 5% point will prevent the
loss of your session, but heavy demands on the batteries could
cause the battery charge to drop too quickly for the computer to
react and perform a safe shutdown. To avoid a sudden shut down
and loss of your current session, connect external power or
replace your batteries as soon as you see one of the above alert
messages.
What to Do if You Get a Low Battery Alert
DRS recommends you do one of the following immediately should you get a low battery alert:
• Connect external power and begin recharging the batteries
• Replace one or both of the batteries with a fully charged battery.
• Save your work and perform a normal system shutdown.
Fully Depleted (Overly Discharged) Batteries
If a battery continues to discharge until the total charge reaches the 3% level, it is fully depleted.
At this point, it can usually be recovered (see

9711-26020-0001
Export Controlled – See Page 3
Rev D
SECTION 8
ARMOR X10gx Tablet Computer
SECTION 9
BATTERY MANAGEMENT
Page 205 of 234
ARMOR X10gx Tablet Computer
What to Do for an Overly Discharged Battery). However, if the battery continues to discharge,
the internal battery circuits may permanently disable the battery for safety reasons and you will
not be able to recover it.
Avoiding Overly Discharging Your Batteries
The following suggestions will help avoid an overly discharged condition.
• Do not store the X10gx for long periods with the batteries installed. Even when the unit is
powered off, the tablet still draws a small amount of power from the batteries.
• Do not store X10gx batteries in a fully depleted condition for long periods of time. The
X10gx batteries will further self-discharge over time at a rate of about 10% a month or
3% every 10 days. The batteries should be recharged to 40% of full charge every 3-4
months of storage.
Battery Capacity and Charge
A battery’s “capacity” is it’s ability to deliver a specified amount of energy in the form of electrical
current to the system over a one-hour period, measured in milliamps per hour or mAh. A
battery’s “charge” is the percentage of this capacity that has been restored to the battery. A fully
charged battery is one that can supply 100% of its current maximum capacity. NOTE: The %
charge is based on the current maximum capacity, not the design capacity.
Maximum Capacity
The maximum capacity of a new battery is at or very close to its design capacity. However,
maximum capacity gradually decreases over time due to chemical aging, temperature extremes
and usage. Once a battery’s maximum capacity drops below 80% of its design capacity, it is
considered to be at the end of it’s life and is normally replaced. For example, a 2400 mAh
battery should be replaced when it’s maximum capacity drops below approximately 2399 mAh.
NOTE
While some batteries may still be usable below the minimum
capacity level (<80% of design capacity), the risk for battery failure
and/or unexpected shutdown increases dramatically.
Checking your Battery’s Capacity
You can check a battery’s design capacity, maximum capacity and remaining capacity (current
charge level in mAh) by opening ARMORutils and selecting the Battery Monitor option from
the Main window and then selecting either Battery 1 Details or Battery 2 Details (see Battery
Monitor Dialog for a description of these windows).

9711-26020-0001
Export Controlled – See Page 3
Rev D
SECTION 8
ARMOR X10gx Tablet Computer
SECTION 9
BATTERY MANAGEMENT
Page 206 of 234
ARMOR X10gx Tablet Computer
CAUTION!
Permanent battery capacity loss is greatest at elevated temperatures
with the batteries fully charged. Do not leave batteries installed in
your X10gx in high temperature surroundings with external power
connected for days or weeks at a time. Remove the batteries and
store them in a cool place.
Discharge/Recharge Cycles
Lithium ion batteries do not need to be deeply discharged periodically to maintain capacity like
certain other types of rechargeable batteries. In fact, deep discharges have a negative effect on
a lithium ion battery’s capacity and operating life.
Each time a lithium ion battery is deeply discharged (<30%) and then recharged (either during
normal operation or conditioning), the battery records the event as a “cycle.” Each of these
deep discharge/recharge cycles has a small cumulative effect on the overall capacity and life of
the battery and (on average) after approximately 300-400 cycles at nominal room temperature,
the battery is a candidate for replacement (sooner if used primarily in high temperature
environments).
A battery’s accumulated cycles are displayed in the Charge Cycles Count field of each Battery
Information window in ARMORutils (see Figure 71).

9711-26020-0001
Export Controlled – See Page 3
Rev D
SECTION 8
ARMOR X10gx Tablet Computer
SECTION 9
BATTERY MANAGEMENT
Page 207 of 234
ARMOR X10gx Tablet Computer
How to Optimize Energy Us e
You can help ensure the maximum performance of your batteries and reduce energy
consumption when on batteries or external power by optimizing your computer’s power
management features. For some suggested ways to do this, select Start à Control Panel à
Hardware and Sound and click on the Power Options icon. The Power Options window will
open, as shown in Figure 116.
Figure 116. Power Options Window
Selecting a Power Plan
There are three power plan options initially available: Balanced, Power Saver and High
Performance (NOTE: You must click on the “Show additional plans” option to see the High
Performance plan).
Click on the Tell me more about power plans option for an explanation of power plans and
what the various settings can do for you.

9711-26020-0001
Export Controlled – See Page 3
Rev D
SECTION 8
ARMOR X10gx Tablet Computer
SECTION 9
BATTERY MANAGEMENT
Page 208 of 234
ARMOR X10gx Tablet Computer
Changing Power Plan Settings
Once you’ve selected a power plan, you can customize these plans by clicking on the Change
plan settings option. This will open the Edit Plan Settings window, as shown in Figure 117. The
settings shown are the default settings for the Balanced power plan.
In this window, you can change the time intervals for dimming the display, turning off the display
completely and putting the computer to sleep when operating on batteries and external power.
You can also set a temporary brightness level
Figure 117. Edit Plan Settings Window
The Default Power Plan for your X10gx
Your X10gx is preset to the Balanced power plan. The settings preset for this plan (Figure 117)
have been carefully selected to maximize performance while minimizing energy use. DRS
recommends that you use the Balanced plan with its default settings as this provides the
optimum power management for your X10gx.
Advanced Power Settings
Click on the Change advanced power settings option to open the Advanced Settings screen
shown in Figure 118. This window includes the power settings in the Edit Plan Settings window
plus additional settings such as setting a time to turn off your hard disk or to turn off your radios

9711-26020-0001
Export Controlled – See Page 3
Rev D
SECTION 8
ARMOR X10gx Tablet Computer
SECTION 9
BATTERY MANAGEMENT
Page 209 of 234
ARMOR X10gx Tablet Computer
or manage your processor power consumption. NOTE: You may need administrator privileges
to access these settings.
Figure 118. Advanced Power Settings Window
Creating Your Own Power Plan
In addition to the three plans initially provided with your computer, you also can create your own
power plan. Click on the Create a power plan option in the navigation panel to learn how to do
this. NOTE: You can delete any power plan you create, but you cannot delete any of the three
power plans initially provided.

9711-26020-0001
Export Controlled – See Page 3
Rev D
SECTION 8
ARMOR X10gx Tablet Computer
SECTION 9
BATTERY MANAGEMENT
Page 210 of 234
ARMOR X10gx Tablet Computer
Monitoring Battery Status
You can monitor the status of each battery (current charge level, whether charging or
discharging, etc.) in three ways:
1) By clicking on the Battery icon in the systray to open a desktop battery monitor
window. NOTE: The battery icon will change to a battery with plug icon when external
power is connected.
2) By selecting the Battery Monitor Dialog in ARMORutils.
3) By generating an Event Log.
Each of these methods is described in the following paragraphs.
Using the Desktop Battery Monitor Window
Click on the Battery icon in the Windows systray to open the desktop battery monitor window,
Figure 119 shows three examples of the battery window when the X10GX is operating on
batteries alone. The example on the far left shows the battery symbol and remaining charge
when the total charge is greater than 10%. The other two examples demonstrate a low battery
condition.
Figure 120 shows two examples of the battery symbol and remaining charge when external
power is connected. The left example shows less than full charge and the right example shows
the batteries fully charged.
NOTE
You must restart the Windows desktop battery window to see any
recent changes, such as that resulting from removing a battery or
plugging in external power, or changes in the charge or discharge
level. To close the window, click outside the window on the desktop.
Figure 119. Windows Desktop Battery Window Examples – Batteries Discharging

9711-26020-0001
Export Controlled – See Page 3
Rev D
SECTION 8
ARMOR X10gx Tablet Computer
SECTION 9
BATTERY MANAGEMENT
Page 211 of 234
ARMOR X10gx Tablet Computer
Figure 120. Windows Desktop Battery Window Examples – Batteries Charging
NOTE
There may be a slight disparity in % charge between what
ARMORutils reports as fully charged and what Windows reports.
When the Charging/Fault indicator changes from flashing to on
steady, the batteries are fully cha
rged regardless of the final %
indicated.
Using the ARMORutils Battery Monitor Dialog
Double-click on the ARMORutils icon on the desktop and select the Battery Monitor button to
open the Battery Monitor dialog window, as shown in Figure 121. This window shows each
battery’s current status and its charge level. It also gives an estimated time to 90% charged and
to fully (100%) charged.
For more detailed information about each battery, click on the Battery 1 Details or the Battery
2 Details button to open a Battery Information window.

9711-26020-0001
Export Controlled – See Page 3
Rev D
SECTION 8
ARMOR X10gx Tablet Computer
SECTION 9
BATTERY MANAGEMENT
Page 212 of 234
ARMOR X10gx Tablet Computer
Figure 121. ARMORutils Battery Monitor Dialog
Generating an Event Log
The Event Log is generated from the Event Recorder option on the ARMORutils Diagnostics
dialog. The Event Log allows you to record the changes in system temperatures and battery
status over time. Refer to Creating an Event Log for instructions on using this feature.

9711-26020-0001
Export Controlled – See Page 3
Rev D
SECTION 8
ARMOR X10gx Tablet Computer
SECTION 9
BATTERY MANAGEMENT
Page 213 of 234
ARMOR X10gx Tablet Computer
Battery Conditioning/Calibration
Your ARMOR X10gx batteries are self-calibrating and do not normally require the conditioning
process. The only time DRS recommends conditioning/calibrating a battery is if you notice that
the charge levels reported by Windows or ARMORutils, or displayed by the battery gauge, are
consistently different from actual battery performance. This is because conditioning adds to the
charge cycle count of the battery.
Battery conditioning is a 3-step process consisting of an initial full charge, followed by a full
discharge and finally followed by a full recharge. Each step is documented in the Conditioning
Status panel of the ARMORutils Battery Conditioning window (see Figure 122).
Read the following cautions and notes carefully and follow the procedure in Table 33 to
condition a battery.
CAUTION!
If the internal battery temperature exceeds 45°C or drops below 0°C
during conditioning, the system will abort the conditioning process.
Do not restart conditioning until the internal battery temperature is
well within the above temperature limits to avoid another possible
abort.
CAUTION!
Ensure external power remains connected until conditioning is
complete. If you disconnect
external power during the discharge
cycle, conditioning will not abort immediately but will continue until
the battery reaches the 3% charge level, and then abort. If you are
operating on only one battery or the other battery is also low in
charge, you could risk an unexpected shutdown of the tablet.
NOTE
You must have external power connected to condition a battery.
NOTE
The conditioning process can take 10 or more hours
with two
batteries
. Ensure that external power remains connected for the
duration of the conditioning period.

9711-26020-0001
Export Controlled – See Page 3
Rev D
SECTION 8
ARMOR X10gx Tablet Computer
SECTION 9
BATTERY MANAGEMENT
Page 214 of 234
ARMOR X10gx Tablet Computer
NOTE
Conditioning batteries while the computer is in use can cause
excessive heating inside the X10gx
. It is recommended that you
decrease the screen brightness as much as possible and close any
unneeded applications during the conditioning process to help
reduce heat buildup.
Table 33. Conditioning a Battery
STEP ACTION CONDITION OR INDICATION
1. Connect external power to the tablet,
either with the included AC adapter or
through a docking station.
2. Select Start à ARMORutils à Battery
Monitor and click on the Conditioning
Menu button.
The Battery Conditioning window opens,
as shown in Figure 122.
NOTE:
The term “Ready” means the
battery is in a waiting state. It’s next state
may be charging or discharging.
Figure 122. ARMORutils Battery Conditioning Window

9711-26020-0001
Export Controlled – See Page 3
Rev D
SECTION 8
ARMOR X10gx Tablet Computer
SECTION 9
BATTERY MANAGEMENT
Page 215 of 234
ARMOR X10gx Tablet Computer
STEP ACTION COMMENTS
3. Select #1 Only, #2 Only or Both NOTE: If only one battery is installed,
selecting that battery will cause the
START CYCLE option to appear in dark
text; if you select the missing battery or
BOTH, the START CYCLE option will
appear in grayed out text.
4. Select START CYCLE. An alert window will appear as shown in
Figure 123.
NOTE: To reduce internal heating during
the conditioning cycle, DRS recommends
you turn down the backlight (brightness)
level as much as practical.
NOTE: If the internal battery temperature
drops below 0°C or exceeds 45°C, the
computer will abort the conditioning
process.
5.
Click on Yes to proceed or No to
cancel the conditioning. The first charge cycle will begin.
6.
To terminate the conditioning process
at any time, click on Terminate Cycle.
Figure 123. Battery Conditioning Start Alert Message

9711-26020-0001
Export Controlled – See Page 3
Rev D
SECTION 8
ARMOR X10gx Tablet Computer
SECTION 9
BATTERY MANAGEMENT
Page 216 of 234
ARMOR X10gx Tablet Computer
When to Replace a Battery
Battery life is affected by the age of the battery, its operating temperature history and the
number of deep discharge/recharge cycles that it goes through over time.
Nominal Usage
Industry surveys report that “average daily use” (8 hours or less at nominal room temperature)
equates to approximately 300-400 full discharge/recharge cycles per year. Batteries operating
at this level of usage that are properly cared for can last as long as two years or even longer. Be
advised, however, that a battery that is more than 2 years old is likely to already be in need of
replacement.
Heavy Us age
A battery that is in constant use (24/7), exposed frequently to temperature extremes such as in
a hot vehicle, or is subjected to frequent deep discharging will deteriorate more rapidly. Under
these operating conditions, DRS recommends a battery be replaced after 1 year to prevent a
possible sudden drop in performance.
Determining a Battery’s Age
To determine the age of the battery, check the lot number on the battery label (see figure
below). This number is the date (mm/yy) the battery was shipped from the manufacturer to
DRS.
Figure 124. ARMOR X10gx Battery Label
Before you Dispose of a Battery
If the battery is less than a year old or has less than 300 cycles, and you find that it consistently
fails to perform as it should, try conditioning the battery before you send it in for warranty
replacement or dispose of it. On rare occasions, an offset can build up between the true battery
charge and what the battery reports. This can lead to the battery’s being charged to a lower
level than what ARMORutils indicates.
To condition a battery, follow the procedure in Battery Conditioning/Calibration.
SHIPPING DATE

9711-26020-0001
Export Controlled – See Page 3
Rev D
SECTION 8
ARMOR X10gx Tablet Computer
SECTION 9
BATTERY MANAGEMENT
Page 217 of 234
ARMOR X10gx Tablet Computer
Your Battery’s Warranty
Your X10gx battery is warranted against all defects in material and workmanship for a period of
1 year from the date of shipment from DRS.
NOTE: Because of the many variables associated with usage and aging, DRS is not
responsible for battery capacity performance except as affected by factory defects or
workmanship in the battery.
Where to Purchase Replacement Batteries
Your ARMOR X10gx uses long lasting Lithium Ion batteries that are custom made for DRS
Tactical Systems, Inc. If you need to purchase replacement batteries, notify your sales
representative, authorized reseller or contact DRS Technical Support.
Do not substitute any other batteries. Substituting non-DRS batteries could damage the X10gx
and may void your computer warranty.
How to Store Batteries When Not in Use
The following storage tips will help you optimize the capacity and performance of your batteries
while in storage.
Short-Term Storage
• If your X10gx will powered off for 7-30 days with no external power connected, it is
recommended that the batteries first be fully charged and then removed from the
computer for short-term storage.
• DRS recommends you store your batteries in a cool dry place at room temperature
(25°C/77°F) or below. NOTE: Your batteries can be stored at temperatures up to 35ºC
(95ºF); however, we recommend you not store fully charged batteries at temperatures
above 29°C/85°F as this can decrease battery life. Reduce the charge to 30-50% before
storing at temperatures above 29°C/85°F.
• Protect battery contacts from accidentally touching metal objects to avoid a short circuit
and possible arcing or explosion.
• To accurately check a battery’s remaining charge, insert it in your X10gx and select the
Battery Monitor button from the ARMORutils main window.
Long-Term Storage
• If your X10gx batteries will not be used for 30-90 days or longer, they should be placed
in storage at a temperature below 32°C (90°F), preferably at room temperature
(25°C/77°F) or below to prevent capacity loss.
• Install the batteries in the computer to charge or discharge them to 30-50%.
• Protect battery contacts from accidentally touching metal objects to avoid a short circuit
and possible arcing or explosion.

9711-26020-0001
Export Controlled – See Page 3
Rev D
SECTION 8
ARMOR X10gx Tablet Computer
SECTION 9
BATTERY MANAGEMENT
Page 218 of 234
ARMOR X10gx Tablet Computer
• Lithium ion batteries self discharge at the rate of about 10% per month. While in long-
term storage, you should recharge the batteries every 3-4 months to a charge level of
30-50%.
• To check a battery’s remaining charge, insert it in the X10gx, power up the unit and
select the Battery Monitor button from the ARMORutils Main window.
Battery Tips for Best Performance
• Recharge a battery within 24 hours of a full discharge. Batteries remaining in a fully
discharged state longer than 24 hours may deteriorate more quickly.
• Battery charging should be done at temperatures between 32°F (0°C) to 95°F (35°C),
but preferably at room temperature. The battery could deteriorate more quickly when
charged at high temperatures.
• When operating your ARMOR X10gx on external power for extended periods of time (1
week or longer), it’s best to remove the batteries and store them in a cool place until
needed.
• If possible, allow a battery to warm or cool to the temperature of your surroundings
before installing it in the tablet.
Disposing Of Your Us ed Batteries
Disposal
You can dispose of your X10gx batteries in a normal waste receptacle. However, they contain
recyclable materials that can be extracted and used again. Please see the section on recycling
below.
WARNING!
Disposed lithium-ion batteries that are not fully discharged contain
active salts that can result in an explosion if suddenly exposed to
moisture or water in the environment. To prevent possible injury to
someone finding the battery, please ensure it is fully discharged
before disposing in a domestic or commercial garbage receptacle.
Recycling
Lithium-ion batteries are fully recyclable and should not be simply thrown away. Please help
protect our environment by turning in your defective batteries to an authorized recycler, or send
them back to DRS.
DRS Tactical Systems supports recycling of batteries and will take back your batteries using a
Returned Material Authorization (RMA) form. Please contact the DRS Technical Support center
toll-free at 1-888-872-1100 for more information.
Follow these precautions when handling or returning used batteries:
• Insulate the battery contacts with tape.

9711-26020-0001
Export Controlled – See Page 3
Rev D
SECTION 8
ARMOR X10gx Tablet Computer
SECTION 9
BATTERY MANAGEMENT
Page 219 of 234
ARMOR X10gx Tablet Computer
• Do not disassemble the batteries.
• Package the batteries so that they cannot move around or make contact with each other.
• Follow the procedure in How to Return a Product to DRS to generate an RMA.

9711-26020-0001
Export Controlled – See Page 3
Rev D
SECTION 8
ARMOR X10gx Tablet Computer
SECTION 9
BATTERY MANAGEMENT
Page 220 of 234
ARMOR X10gx Tablet Computer
This Page Intentionally Left Blank

9711-26020-0001
Export Controlled – See Page 3
Rev D
SECTION 10
DRS TECHNICAL SUPPORT
Page 221 of 234
ARMOR X10gx Tablet Computer
Table of Contents List of Figures List of Tables Acronyms Glossary
10. DRS TECHNICAL SUPPORT
DRS Tactical Systems is committed to providing you best product support and the fastest turn
around service possible.
Before You Contact Us
Please have your technical personnel check for network or custom software problems before
contacting DRS Technical Support with a problem.
NOTICE
DRS Tactical Systems, Inc. reserves the right to charge a No Fault
Found (NFF) fee for any unit returned for repair that is found to be
fully operational.
How to Return a Product to DRS
Before proceeding, please read the Warranty Information.
1. Immediately notify DRS.
Inform DRS of your problem at one of the numbers below, or notify an authorized DRS Reseller.
In North America, call: (888) 872-1100 or (321) 309-0599 – 24 hrs, 7 days a week
In Europe, call: 49-2246-915-99-77
2. Obtain a Return Merchandise Authorization (RMA) Number.
If it is determined that your product needs to be returned for replacement or repair, a customer
service representative will give you an RMA number. The RMA number is required to return any
product to DRS, regardless of the reason for the return.
3. If you want to use our online RMA service, please ask for a Username and Password.
To access our online RMA service:
1) Go to www.drsarmor.com.
2) Click on the Support tab and select Online RMA.
3) At the login screen, enter your Username and Password.
4) Click on Send.
5) Fill out the online form.
6) Print a copy of the form for your records.

9711-26020-0001
Export Controlled – See Page 3
Rev D
SECTION 10
DRS TECHNICAL SUPPORT
Page 222 of 234
ARMOR X10gx Tablet Computer
7) Select Send.
4. Include the Following Required Information with Your Product(s):
• Company name, address and telephone number.
• RMA number received from DRS (if applicable).
• Serial number of the product (see How to Find and Interpret your Unit’s Serial Number.
• Date of purchase.
• Your ship-to address and any special shipping requirements.
• A detailed description of the problem.
5. Prepare your Products for Shipment.
• Back up any important data.
• Remove SIM or SD cards.
• Use the original shipping container if possible to return your product.
• Remove the batteries and package them separately.
• If the original container is not available, wrap each item securely with bubble wrap or
suitable cushioning material.
• Enclose a copy of the RMA form.
• Enclose a description of the problem and any special notes for the repair technician.
6. Ship Your Product(s).
Ship your products to one of the addresses listed below:
NOTE
Transportation and insurance costs must be prepaid. DRS is not
responsible for loss or damage which may occur in transit.
NOTE
Before you ship any product(s) to DRS, be sure to back up the data on
the X10gx storage media. Remove any confidential, proprietary or
personal information and any removable media such as floppy disks,
CDs or PC Cards. DRS is not responsible for any lost confidential,
proprietary or personal information, removable media or for corrupted
data.
In North America, ship to: DRS Tactical Systems, Inc.
1110 West Hibiscus Boulevard
Melbourne, Florida 32901 USA
ATTN: Service

9711-26020-0001
Export Controlled – See Page 3
Rev D
SECTION 10
DRS TECHNICAL SUPPORT
Page 223 of 234
ARMOR X10gx Tablet Computer
In Europe, ship to: DRS Tactical Systems
Rathausstr. 10
53797 Lohmar, Germany
ATTN: Service Center Technician
Once your product(s) are repaired or replaced under the terms specified in the warranty, DRS
will return your product(s), with shipping pre-paid, to the address included with your RMA.
If You Need Information
Please call us, fax us, email us, or visit our website.
Call us: In North America, call: (888) 872-1100 or (321) 309-0599
In Europe, call: 49-2246-915-99-77
Fax us: In North America, fax: 321-725-0496
In Europe, fax: 49-2246-915-99-78
Email us:
For Support: In North America: support@drs-ts.com
In Europe: sales@drsarmor.eu
For Sales and Information
In North America: Sales@drsarmor.com
In Europe, email: Sales@drsarmor.eu
Or Visit our website at: www.drsarmor.com
For translation in German, click on “Deutsch” at the top of
the page.

9711-26020-0001
Export Controlled – See Page 3
Rev D
SECTION 10
DRS TECHNICAL SUPPORT
Page 224 of 234
ARMOR X10gx Tablet Computer
How to Find and Interpret your Unit’s Serial Number
Your X10gx serial number is printed on a label located on the bottom left rear panel of the
tablet, as shown in Figure 125. This serial number indicates to DRS the unique configuration of
your tablet and its manufacturing history.
Figure 125. ARMOR X10gx Unit Serial Number Location
The serial number is broken down as follows:
8 1 4 G M 0 1 0 0 8 G 0 2 4 0 0 8 B 0 M 0 0 0
Year & week manufactured (YWW)
Production code (five digits) (SSSSS)
Manufacturing code (LL)
Engineering version (VV)
Manufacturing assembly
number (PPPPPPPPPP)
Lead-free
SERIAL
NUMBER

9711-26020-0001
Export Controlled – See Page 3
Rev D
REAR MATTER
ACRONYMS AND GLOSSARY
Page 225 of 234
ARMOR X10gx Tablet Computer
Table of Contents List of Figures List of Tables Glossary
ACRONYMS
ACRONYM
DEFINITION
AC alternating current
ALS
ambient light sensor
BIOS basic input/output system
CD-ROM compact disk – read only memory
CDMA
code division multiple access
CPU central processing unit
DC
direct current
DVD digital video disk
EDGE enhanced data rates for GSM evolution
EVDO
evolution data only/evolution data optimized
GB gigabytes
GPRS
general packet radio service
GPS global positioning system
GSM global system for mobile communications
HDD
hard disk drive
HSDPA high-speed downlink packet access
I/O
Input/Output
LCD liquid-crystal display
LED light-emitting diode
OEM
original equipment manufacturer
PC personal computer
PCMCIA
personal computer memory card international association
RAM random access memory
SAS security attention sequence
SD
secure digital
SIM subscriber identity module
SmBus
system management bus
SODIMM small outline dual in-line memory module
SSHD solid-state hard drive
SVGA
super VGA (maximum of 800 x600 pixels)
TFT thin-film transistor
USB
universal serial bus
VAC volts AC
VDC volts DC
VGA
video graphics array
WLAN wireless local area network
WWAN
wireless wide area network
XGA extended VGA (1024 x 768 pixels)

9711-26020-0001
Export Controlled – See Page 3
Rev D
REAR MATTER
ACRONYMS AND GLOSSARY
Page 226 of 234
ARMOR X10gx Tablet Computer
Table of Contents List of Figures List of Tables Acronyms
GLOSSARY
TERM DEFINITION
ambient temperature The temperature of the air surrounding an object
fully depleted battery A lithium-ion battery that has discharged to a level of 3 % or below.
fully charged battery A lithium-ion battery that has reached 100% of charge as indicated
by a steady 100% LED on the Battery Gauge on the Control Panel.
fully discharged battery A lithium-ion battery that has discharged to a level between 10%
and 3% of charge, as indicated by a flashing 10% LED on the
Battery Gauge.
flexspace A special compartment with a flexible communications interface for
custom circuit cards or modules.

9711-26020-0001
Export Controlled – See Page 3
Rev D
REAR MATTER
ACRONYMS AND GLOSSARY
Page 227 of 234
ARMOR X10gx Tablet Computer
Warranty Information
DRS TACTICAL SYSTEMS, INC.
LIMITED WARRANTY – HARDWARE
ARMOR PRODUCTS
General Information
DRS Tactical Systems, Inc. (“DRS”) warrants for the duration of this warranty that the DRS ARMOR product(s) (“Product(s)”)
produced by DRS will be free from defects in material and workmanship under normal use and service, subject to the terms and
conditions set forth herein. This warranty applies to the Products only and excludes, but is not limited to, all other products and
accessories supplied and/or distributed but not manufactured by DRS.
This warranty extends only to the original purchaser of Products from DRS or a DRS Authorized Reseller (“Original Purchaser”). It
is not transferable to anyone who subsequently purchases or obtains the Products from the Original Purchaser.
Length of Warranty
The warranty is valid for a period of three (3) years from the original date of the packing slip from DRS and/or an Authorized
Reseller. During this period, DRS will, at its option and expense, either repair or replace with new or reconditioned (of equal or
better quality) parts of any of the Products which prove to be defective, provided that such Products are returned in accordance with
the terms of this warranty. All exchanged parts and Products replaced under this warranty will become the property of DRS. If
repair or replacement is not feasible, DRS will, at its option, refund the purchase price of the Product(s) on a three year straight line
depreciation basis. Any replacement part or Product will be warranted for the remainder of the original warranty period or ninety (90)
days, whichever is longer.
Terms and Conditions
This warranty covers defects in materials and workmanship in the Products, as follows:
Term 3 years standard
Technical Assistance
Yes
Shipping Costs
Shipping costs of a Product to DRS are not included as part of this Warranty. Shipping
costs of a Product to the Original Purchaser after a warranty repair is included as part of this
warranty. If after receipt of a Product for repair under this warranty, it is later determined to
be a non-warranted repair, all shipping costs are to be paid by the Original Purchaser.
This warranty does not cover:
Non-DRS ARMOR products (accessories) under the original manufacturer’s warranty including, but not limited to, the carrying
case, PCMCIA cards, etc. Non-DRS ARMOR branded products are not covered under an extended warranty period.
Software, including the operating system and software added to the DRS ARMOR hardware products through our factory-
integration system, third-party software, or the reloading of software;
Scratches or abrasions to the Product’s LCD screen/display, and abusive wear of the LCD screens;
Consumables and High Wear Items. Batteries, Keyboards, Touch Pad, Touch Screen, AC Adaptor, and liquid crystal display
(LCD) are covered under the Limited Warranty for one (1) year.
Problems that result from external causes such as accident, fire, floods, or acts of God; abuse; misuse; or problems with
electrical power; servicing not authorized by DRS; failure to follow the Product instructions or failure to perform preventative
maintenance; problems caused by using accessories, parts, or components not supplied by DRS; improper installation (to
include the absence of surge protection in vehicle installations), testing, operation, use or handling of the Product; or
unauthorized alteration of Products
Products with missing or altered service tags or serial numbers.
Products for which DRS has not received payment.
DRS is not responsible for and shall not be liable for transportation and insurance charges incurred in or damages resulting
from transporting the Products, Accessories and/or Replacement Products to DRS for warranty service.

9711-26020-0001
Export Controlled – See Page 3
Rev D
REAR MATTER
ACRONYMS AND GLOSSARY
Page 228 of 234
ARMOR X10gx Tablet Computer
DRS is not responsible for any third-party software created for use in the integration and/or operation of any Products,
Accessories and/or Replacement Products whether or not such third party software was installed by DRS. Maintenance and
support service for third-party software is the sole responsibility of the creator thereof.
Additional Information
The agents, dealers, DRS Authorized Resellers and employees of DRS are not authorized to make any modifications to this
warranty, or additional warranties binding on DRS about or for Products, Accessories and/or products sold or supplied by DRS.
Additional statements, whether oral or written, except signed written statements from an officer of DRS, do not constitute warranties
and should not be relied upon.
The Product is not designed or certified for use in high risk applications including, but not limited to, the operation of nuclear
facilities, aircraft navigation or air traffic control systems, communications systems in which a failure thereof could cause death or
serious injury or property damage (e.g., emergency or 911 communications systems), medical systems, life support, weapons
systems or any other potentially life critical uses. Original Purchaser understands and agrees that DRS makes no assurances or
warranties that the Product is suitable for any such high-risk uses.
DRS’ SOLE LIABILITY, AND ORIGINAL PURCHASER’S SOLE REMEDY, FOR ANY MALFUNCTIONS AND DEFECTS IN THE
PRODUCTS IS LIMITED TO REPAIR AND REPLACEMENT AS SET FORTH IN THIS WARRANTY STATEMENT. EXCEPT AS
OTHERWISE EXPRESSLY STATED HEREIN, DRS DISCLAIMS ALL OTHER WARRANTES, WHETHER EXPRESS OR IMPLIED,
INCLUDING BUT NOT LIMITED TO ANY IMPLIED WARRANTIES OF MERCHANTABILITY AND FITNESS FOR A PARTICULAR
PURPOSE, AND ANY IMPLIED WARRANTIES OTHERWISE ARISING FROM COURSE OF DEALING OR TRADE. NO
WARRANTIES WILL APPLY AFTER THE WARRANTY PERIOD HAS EXPIRED.
DRS HEREBY DISCLAIMS, AND THE ORIGINAL PURCHASER HEREBY AGREES, THAT DRS DOES NOT ACCEPT LIABILITY
BEYOND THE REMEDIES PROVIDED FOR IN THIS WARRANTY OR FOR ANY INDIRECT, CONSEQUENTIAL, PUNITIVE,
SPECIAL, OR INCIDENTAL DAMAGES, INCLUDING, WITHOUT LIMITATION, ANY LIABILITY FOR THIRD PARTY CLAIMS FOR
DAMAGES, FOR PRODUCTS NOT BEING AVAILABLE FOR USE, OR FOR LOST DATA OR LOST SOFTWARE.
NOTWITHSTANDING ANYTHING CONTAINED HEREIN, DRS’ TOTAL LIABILITY FOR ANY ALLEGED OR ACTUAL BREACH OF
WARRANTY WILL BE NO MORE THAN THE AMOUNT PAID FOR THE PRODUCT THAT IS THE SUBJECT OF ANY SUCH
CLAIM. THIS IS THE MAXIMUM AMOUNT FOR WHICH DRS SHALL BE RESPONSIBLE.

9711-26020-0001
REV D
REAR MATTER
ACRONYMS AND GLOSSARY
Page 229 of 234
ARMOR X10gx Tablet Computer
Table of Contents List of Figures List of Tables Acronyms Glossary
APPENDIX A
Explanation of Active Pen Side Button Options
4th Click (Back) Duplicates a 4th mouse button click – usually the Back command in
browser application.
5th Click (Forward) Duplicates a 5th mouse button click – usually the Forward command in
browser application.
Click Duplicates a left mouse button click.
Click Lock Duplicates holding an object with the left mouse button; good for
dragging objects or selecting text or groups of objects. Press button to
grab, press to release.
Default Sets the switch function to Right Click
Disabled Disables the side switch.
Double Click Generates a double-click action with a single press of the side switch.
Erase Enables the pen tip to act like an eraser in handwriting applications
and in some paint and imaging editing programs.
Journal
Opens Microsoft Journal™ (only with versions of Windows that
include Microsoft Journal).
Keystroke… Enables you to define special keystrokes. This function can also be
made available using the Pop-up Menu option (must be defined in the
Pop-up Menu tab of the Pen Tablet Properties dialog.
Middle Click Duplicates pressing the middle scroll button on a mouse.
Mode Toggle… Toggles between Pen and Mouse mode if pre-configured in the Pop-
Up Menu tab of the Pen Tablet Properties dialog (see Windows
Control Panel).
Modifier… Enables you to duplicate a shift, ctrl, alt or click function.
Open/Run… Opens or runs a pre-selected application. This function can also be
made available using the Pop-up Menu option.
Pan/Scroll… Enables you to use the pen like a hand to move a document or image
in any direction within an active window.
Pop-up Menu Makes available selections enabled in the Pop-up Menu tab of the
Pen Tablet Properties dialog (see Windows Control Panel).
Pressure Hold Primarily used with painting programs to maintain the pressure of a

9711-26020-0001
REV D
REAR MATTER
ACRONYMS AND GLOSSARY
Page 230 of 234
ARMOR X10gx Tablet Computer
brush stroke.
Right Click Duplicates a right mouse button click.
Tablet PC Defined Uses the pen settings defined in the Pen Options tab of the Pen and
Touch dialog window.
Tablet PC Input Panel Opens the Tablet PC input panel (only with versions of Windows that
support Tablet PC).

9711-26020-0001
REV D
REAR MATTER
ACRONYMS AND GLOSSARY
Page 231 of 234
ARMOR X10gx Tablet Computer
Table of Contents List of Figures List of Tables Acronyms Glossary
RECORD OF CHANGES
Rev ECO # Description Of Change
- 81874 Initial Release.
A 81995 Pg. 63, 1st sentence – Changed “WLAN” to “WWAN”; Pg 185 –
Changed item 3 to read: “If you prefer to use our online RMA service,
please ask for a Username and Password. To access our online RMA
service:”
B 82450 Removed references to port replicator. Revised sections 2, 3, 5, 7
and 9.
C 85196 User’s guide extensively revised.
D 85607 Added ENERGY STAR® page; Revised Sections 1, 2, 3, 4, 5, 8, 9
and 10; added “ALS” to acronym list.

9711-26020-0001
REV D
REAR MATTER
ACRONYMS AND GLOSSARY
Page 232 of 234
ARMOR X10gx Tablet Computer
This Page Intentionally Left Blank

