Analytics In A Big Data World Bart Baesens The Essential Guide To Science And Its Applicati
Bart%20Baesens%20Analytics%20in%20a%20Big%20Data%20World%20The%20Essential%20Guide%20to%20Data%20Science%20and%20its%20Applicati
User Manual:
Open the PDF directly: View PDF
.
Page Count: 252 [warning: Documents this large are best viewed by clicking the View PDF Link!]
- Analytics in a Big Data World
- Wiley & SAS Business Series
- Contents
- Preface
- Acknowledgments
- CHAPTER 1 Big Data and Analytics
- CHAPTER 2 Data Collection, Sampling, and Preprocessing
- CHAPTER 3 Predictive Analytics
- CHAPTER 4 Descriptive Analytics
- CHAPTER 5 Survival Analysis
- CHAPTER 6 Social Network Analytics
- CHAPTER 7 Analytics: Putting It All to Work
- CHAPTER 8 Example Applications
- CHURN PREDICTION
- RECOMMENDER SYSTEMS
- WEB ANALYTICS
- SOCIAL MEDIA ANALYTICS
- BUSINESS PROCESS ANALYTICS
- NOTES
- About the Author
- INDEX


Analytics in a Big
Data World

Wiley & SAS
Business Series
The Wiley & SAS Business Series presents books that help senior‐level
mana
g
ers with their critical mana
g
ement decisions.
Tit
l
es in t
h
e Wi
l
e
y
& SAS Business Series inc
l
u
d
e:
A
ctivity‐Base
d
Mana
g
ement
f
or Financia
l
Institutions: Drivin
g
Bottom‐
L
ine
R
esults
b
y
Brent Bahnub
Bank Fraud: Using Technology to Combat Losse
s
by Revathi Subramanian
Big Data Analytics: Turning Big Data into Big Money b
y
Frank Ohlhorst
Branded! How Retailers En
g
a
g
e Consumers with Social Media and Mobil-
it
y
by Bernie Brennan and Lori Schafer
Business Analytics for Customer Intelligence b
y
Gert Laursen
Business Analytics for Mana
g
ers: Takin
g
Business Intelli
g
ence beyond
Reporting by Gert Laursen and Jesper Thorlund
The Business Forecasting Deal: Exposing Bad Practices and Providing
Practical Solutions by Michael Gilliland
Business Intelligence Applied: Implementing an Effective Information and
Communications Technolo
g
y Infrastructure b
y
Michael Gendron
Business Intelligence in the Cloud: Strategic Implementation Guide by
Michael S. Gendron
Business Intelli
g
ence Success Factors: Tools for Ali
g
nin
g
Your Business in
the Global Economy by Olivia Parr Rud
CIO Best Practices: Enabling Strategic Value with Information Technology,
secon
d
e
d
ition
b
y Joe Stenze
l
Connectin
g
Or
g
anizationa
l
Si
l
os: Ta
k
in
g
Know
l
e
dg
e F
l
ow Mana
g
ement to
t
h
e
N
ext Leve
l
wit
h
Socia
l
Me
d
ia
by
Fran
k
Leistner
Cre
d
it Ris
k
Assessment: T
h
e New Len
d
ing System
f
or Borrowers, Len
d
ers,
and
I
nvestors
by
C
l
ar
k
A
b
ra
h
ams an
d
Min
gy
uan Z
h
an
g
Cre
d
it Ris
k
Scorecar
d
s: Deve
l
opin
g
an
d
Imp
l
ementin
g
Inte
ll
i
g
ent Cre
d
it
Scoring b
y
Naeem Siddi
q
i
The Data Asset: How Smart Companies Govern Their Data for Business
Success by Tony Fisher
Delivering Business Analytics: Practical Guidelines for Best Practice by
Evan Stubbs
Demand‐Driven Forecasting: A Structured Approach to Forecasting,
S
ec-
ond Edition by Charles Chase
Demand‐Driven Inventory Optimization and Replenishment: Creating a
M
ore E
f
cient Supp
l
y C
h
ain
b
y Ro
b
ert A. Davis
T
h
e Executive’s Gui
d
e to Enterprise Socia
l
Me
d
ia Strategy: How Socia
l
Net-
works Are Radically Transformin
g
Your Busines
s
b
y
David Thomas and
Mike Barlo
w
Economic and Business Forecastin
g
: Analyzin
g
and Interpretin
g
Econo-
metric Results b
y
John Silvia, Azhar I
q
bal, Ka
y
l
y
n Swankoski, Sarah
Watt
,
and Sam Bullard
Executive’s Guide to Solvency II
by David Buckham, Jason Wahl, and
I
St
uar
t
Rose
Fair Lendin
g
Compliance: Intelli
g
ence and Implications for Credit Risk
Management
by Clark R. Abrahams and Mingyuan Zhang
t
Forei
g
n Currency Financial Reportin
g
from Euros to Yen to Yuan: A Guide
to Fundamental Conce
p
ts and Practical A
pp
lications b
y
Robert Rowan
Health Analytics: Gainin
g
the Insi
g
hts to Transform Health Car
e
by Jason
Burke
Heuristics in Analytics: A Practical Perspective of What In uences Ou
r
Analytical World
by Carlos Andre Reis Pinheiro and Fiona McNeill
d
Human Capital Analytics: How to Harness the Potential of Your Or
g
aniza
-
t
i
on’s
G
reatest Asse
t
by Gene Pease, Boyce Byerly, and Jac Fitz‐enz
t
Imp
l
ement, Improve an
d
Expan
d
Your Statewi
d
e Longitu
d
ina
l
Data Sys-
tem: Creating a Cu
l
ture o
f
Data in E
d
ucation
b
y Jamie McQuiggan an
d
Armistea
d
Sa
pp
In
f
ormation Revo
l
ution: Using t
h
e In
f
ormation Evo
l
ution Mo
d
e
l
to Grow
Your Bus
in
es
s
by
Jim Davis, G
l
oria J. Mi
ll
er, an
d
A
ll
an Russe
ll
Killer Analytics: Top 20 Metrics Missing from Your Balance Sheet
b
y
Mark
t
B
ro
w
n
M
anufacturin
g
Best Practices: Optimizin
g
Productivity and Product Qual-
it
y
by Bobby Hull
M
arketing Automation: Practical Steps to More Effective Direct Marketing
b
y Jeff LeSueur
M
astering Organizational Knowledge Flow: How to Make Knowledge
Sharing Work
by Frank Leistner
k
The New Know: Innovation Powered by Analytics by Thornton May
Per
f
ormance Management: Integrating Strategy Execution, Met
h
o
d
o
l
ogies,
Ris
k
, an
d
Ana
l
ytics
b
y Gary Co
k
ins
Predictive Business Analytics: Forward‐Lookin
g
Capabilities to Improve
Business Per
f
ormance b
y
Lawrence Maisel and Gar
y
Cokins
Retail Analytics: The Secret Weapon by Emmett Cox
Social Network Anal
y
sis in Telecommunications b
y
Carlos Andre Reis
Pinh
e
ir
o
Statistical Thinkin
g
: Improvin
g
Business Performance
,
second edition by
Ro
g
er W. Hoerl and Ronald D. Snee
Tamin
g
the Bi
g
Data Tidal Wave: Findin
g
Opportunities in Hu
g
e Data
Streams with Advanced Analytics by Bill Franks
Too Bi
g
to I
g
nore: The Business Case for Bi
g
Dat
a
b
y
Phil Simon
The Value of Business Analytics: Identifyin
g
the Path to Pro tabilit
y
b
y
Evan Stubbs
Visual Six Si
g
ma: Makin
g
Data Analysis Lea
n
b
y
Ian Cox, Marie A.
Gaudard, Philip J. Ramsey, Mia L. Stephens, and Leo Wright
Win with Advanced Business Analytics: Creatin
g
Business Value from
Your
Data
b
y
Jean Paul Isson and Jesse Harriott
For more in
f
ormation on an
y
o
f
t
h
e a
b
ove tit
l
es,
pl
ease visit ww
w
.wi
l
e
y
.com .

Analytics in a Big
Data World
The Essential
G
uide to Data
S
cience
and Its Application
s
B
ar
t
Baesen
s
Cover ima
g
e: ©iStoc
kph
oto/v
l
astos
Cover desi
g
n: Wile
y
Co
py
ri
gh
t © 2014
by
Bart Baesens. A
ll
ri
gh
ts reserve
d
.
Pu
bl
is
h
e
d
by
Jo
h
n Wi
l
e
y
& Sons, Inc., Ho
b
o
k
en, New Jerse
y
.
Published simultaneousl
y
in Canada.
No part o
f
t
h
is pu
bl
ication may
b
e repro
d
uce
d
, store
d
in a retrieva
l
system,
or transmitte
d
in any
f
orm or
b
y any means, e
l
ectronic, mec
h
anica
l
,
photocopying, recording, scanning, or otherwise, except as permitted under
Section 107 or 108 of the 1976 United States Copyright Act, without either the
prior written permission of the Publisher, or authorization through payment
of the appropriate per-copy fee to the Copyright Clearance Center, Inc., 222
Rosewood Drive, Danvers, MA 01923, (978) 750-8400, fax (978) 646-8600, or
on the Web at www.copyright.com. Requests to the Publisher for permission
should be addressed to the Permissions Department, John Wiley & Sons, Inc.,
111 River Street, Hoboken, NJ 07030,
(
201
)
748-6011, fax
(
201
)
748-6008, or
online at http://www.wiley.com/go/permissions.
Limit of Liability/Disclaimer of Warranty: While the publisher and author have
used their best efforts in preparing this book, they make no representations
or warranties with respect to the accuracy or completeness of the contents of
this book and s
p
eci call
y
disclaim an
y
im
p
lied warranties of merchantabilit
y
or tness for a
p
articular
p
ur
p
ose. No warrant
y
ma
y
be created or extended
by
sales re
p
resentatives or written sales materials. The advice and strate
g
ies
contained herein ma
y
not be suitable for
y
our situation. You should consult
with a
p
rofessional where a
pp
ro
p
riate. Neither the
p
ublisher nor author shall
b
e liable for an
y
loss of
p
ro t or an
y
other commercial dama
g
es, includin
g
but
not limited to s
p
ecial, incidental, conse
q
uential, or other dama
g
es.
For
g
eneral information on our other
p
roducts and services or for technical
su
pp
ort,
p
lease contact our Customer Care De
p
artment within the United
States at
(
800
)
762-2974, outside the United States at
(
317
)
572-3993 or
fax (317) 572-4002.
Wile
y
p
ublishes in a variet
y
of
p
rint and electronic formats and b
y
p
rint-on
-
demand. Some material included with standard
p
rint versions of this book
ma
y
not be included in e-books or in
p
rint-on-demand. If this book refers to
media such as a CD or DVD that is not included in the version
y
ou
p
urchased,
y
ou ma
y
download this material at htt
p
://booksu
pp
ort.wile
y
.com. For more
information about Wile
y
p
roducts, visit www.wile
y
.com.
Library of Congress Cataloging-in-Publication Data:
Baesens
,
Bart.
Anal
y
tics in a bi
g
data world : the essential
g
uide to data science and its
applications / Bart Baesens.
1 online resource. — (Wile
y
& SAS business series
)
Descri
p
tion based on
p
rint version record and CIP data
p
rovided b
y
p
ublisher;
resource not viewe
d
.
ISBN 978-1-118-89271-8
(
ebk
)
; ISBN 978-1-118-89274-9
(
ebk
)
;
ISBN 978-1-118-89270-1 (c
l
ot
h
) 1. Big
d
ata. 2. Management—Statistica
l
met
h
o
d
s. 3. Mana
g
ement—Data
p
rocessin
g
. 4. Decision ma
k
in
g
—Data
processing. I. Tit
l
e.
HD
30.215
658.4’038
d
c23
2014004
7
28
Printe
d
in t
h
e Unite
d
States o
f
America
1
0
9
8
7
6
5
4
3
2
1
T
o m
y
won
d
er
f
u
l
wi
f
e, Katrien, an
d
m
y
k
i
d
s,
A
nn-So
ph
ie, Victor, an
d
Hanne
l
ore.
To my parents an
d
parents-in-
l
aw
.

ix
Contents
Preface xii
i
Acknowledgments xv
C
h
apter 1 B
i
g Data an
d
Ana
l
yt
i
cs
1
E
xam
pl
e
Appli
cat
i
ons 2
Basic
No
m
e
n
cla
t
u
r
e
4
A
na
ly
t
i
cs
P
rocess
M
o
d
e
l
4
Job
P
r
o
les
I
nv
ol
v
ed
6
A
na
ly
t
i
cs
7
A
na
ly
t
i
ca
l
M
o
d
e
l
R
e
q
u
i
rements
9
No
t
es
1
0
Chapter 2 Data Collection, Sampling,
an
d
Preprocess
i
ng 13
Typ
es of Data
S
ources 13
S
ampling 1
5
T
ypes o
f
D
ata
El
ements 17
Vi
sua
l
D
ata
E
x
pl
orat
i
on an
d
E
x
pl
orator
y
S
tatistical Anal
y
sis 1
7
Mi
ss
i
ng
V
a
l
ues 1
9
Ou
tli
e
r D
e
t
ec
ti
o
n
a
n
d
Tr
ea
tm
e
nt 2
0
S
tandardizin
g
Data 2
4
C
ate
g
orization 2
4
Wei
g
hts of Evidence
C
odin
g
28
V
ariable
S
election 2
9
x
▸
CO
NTENT
S
S
egmentation 3
2
N
otes 3
3
Chapter 3 Predictive Analytics 35
T
arget De nition 35
Linear Regression 3
8
Logistic Regression 3
9
D
ec
i
s
i
o
n Tr
ees
4
2
N
eu
r
a
l N
e
tw
o
rk
s
4
8
S
u
pp
ort Vector Machines 5
8
En
se
m
b
l
e
M
e
th
ods
6
4
Multiclass Classi cation Techni
q
ues 67
E
va
l
uat
i
ng
P
re
di
ct
i
ve
M
o
d
e
l
s 7
1
No
t
es
8
4
Chapter 4 Descriptive Analytics 87
Associa
t
io
n
Rules
87
S
e
q
uence Rules 9
4
S
egmentation 9
5
No
t
es
1
0
4
Chapter 5 Survival Analysis 10
5
S
urvival Anal
y
sis Measurements 106
K
a
pl
an
M
e
i
er
A
na
ly
s
i
s 109
Parametric Survival Anal
y
sis 111
P
roport
i
ona
l
H
azar
d
s
R
egress
i
on 114
Extensions of
S
urvival Anal
y
sis Models 116
Evaluating Survival Analysis Models 11
7
No
t
es
11
7
Chapter 6 Social Network Analytics 11
9
Soc
i
a
l N
e
tw
o
rk D
e
niti
o
n
s
11
9
Soc
i
a
l N
e
tw
o
rk M
e
tri
cs
121
S
ocial Network Learnin
g
12
3
Relational Nei
g
hbor
C
lassi er 124
C
ONTENTS ◂x
i
Probabilistic Relational Nei
g
hbor
C
lassi er 12
5
R
e
l
at
i
ona
l
L
og
i
st
i
c
R
egress
i
on 126
Collective Inferencing 12
8
E
gonets 12
9
Bigraphs 130
N
o
t
es
1
32
Chapter 7 Anal
y
tics: Puttin
g
It All to Work 13
3
Backtesting Analytical Models 134
Benchmarking 146
Data
Q
ualit
y
14
9
So
ftw
a
r
e
1
53
P
r
i
vac
y
15
5
M
o
d
e
l
D
es
i
gn an
d
D
ocumentat
i
on 15
8
Cor
p
orate Governance 159
No
t
es
1
59
Cha
p
ter 8 Exam
p
le A
pp
lications 161
Credit Risk Modeling 16
1
F
r
aud
De
t
ec
t
io
n 1
65
N
et
Lif
t
R
esponse
M
o
d
e
li
ng 16
8
C
h
u
rn Pr
ed
i
c
ti
o
n 17
2
Recommender
Sy
stems 176
W
e
b
A
na
ly
t
i
cs 18
5
S
ocial Media Anal
y
tics 195
B
us
i
ness
P
rocess
A
na
ly
t
i
cs 204
No
t
es
22
0
About the Author 223
In
de
x 22
5

x
iii
Preface
C om
p
anies are bein
g
ooded with tsunamis of data collected in a
multichannel business environment, leavin
g
an unta
pp
ed
p
oten
-
tia
l
f
or ana
ly
tics to
b
etter un
d
erstan
d
, mana
g
e, an
d
strate
g
ica
lly
ex
pl
oit t
h
e com
pl
ex
dy
namics o
f
customer
b
e
h
avior. In t
h
is
b
oo
k
, we
wi
ll
d
iscuss
h
ow ana
ly
tics can
b
e use
d
to create strate
g
ic
l
evera
g
e an
d
identif
y
new business o
pp
ortunities.
The focus of this book is not on the mathematics or theor
y
, but on
the practical application. Formulas and equations will only be included
when absolutel
y
needed from a
p
ractitioner’s
p
ers
p
ective. It is also not
our aim to
p
rovide exhaustive covera
g
e of all anal
y
tical techni
q
ues
previously developed, but rather to cover the ones that really provide
added value in a business settin
g
.
The book is written in a condensed, focused wa
y
because it is tar
-
geted at the business professional. A reader’s prerequisite knowledge
should consist of some basic ex
p
osure to descri
p
tive statistics (e.
g
.,
mean, standard deviation, correlation, con dence intervals, hypothesis
testing), data handling (using, for example, Microsoft Excel, SQL, etc.),
and data visualization (e.
g
., bar
p
lots,
p
ie charts, histo
g
rams, scatter
plots). Throughout the book, many examples of real‐life case studies
will be included in areas such as risk mana
g
ement, fraud detection,
customer relationshi
p
mana
g
ement, web anal
y
tics, and so forth. The
author will also integrate both his research and consulting experience
throu
g
hout the various cha
p
ters. The book is aimed at senior data ana
-
l
ysts, consu
l
tants, ana
l
ytics practitioners, an
d
P
h
D researc
h
ers starting
to ex
pl
ore t
h
e
e
ld
.
C
h
a
p
ter 1
d
iscusses
b
i
g
d
ata an
d
ana
ly
tics. It starts wit
h
some
examp
l
e app
l
ication areas,
f
o
ll
owe
d
b
y an overview o
f
t
h
e ana
l
ytics
p
rocess mo
d
e
l
an
d
j
o
b
p
ro
l
es invo
l
ve
d
, an
d
conc
l
u
d
es
by
d
iscussin
g
k
e
y
ana
ly
tic mo
d
e
l
re
q
uirements. C
h
a
p
ter 2
p
rovi
d
es an overview o
f
x
iv
▸
P
REFA
C
E
data collection, sam
p
lin
g
, and
p
re
p
rocessin
g
. Data is the ke
y
in
g
redi-
ent to an
y
anal
y
tical exercise, hence the im
p
ortance of this cha
p
ter.
It discusses sampling, types of data elements, visual data exploration
and exploratory statistical analysis, missing values, outlier detection
and treatment, standardizing data, categorization, weights of evidence
coding, variable selection, and segmentation. Chapter 3 discusses pre
-
dictive analytics. It starts with an overview of the target de nition
and then continues to discuss various analytics techniques such as
linear regression, logistic regression, decision trees, neural networks,
su
pp
ort vector machines, and ensemble methods (ba
gg
in
g
, boost
-
ing, ran
d
om
f
orests). In a
dd
ition, mu
l
tic
l
ass c
l
assi
cation tec
h
niques
are covere
d
, suc
h
as mu
l
tic
l
ass
l
ogistic regression, mu
l
tic
l
ass
d
eci
-
sion trees, mu
l
tic
l
ass neura
l
networ
k
s, an
d
mu
l
tic
l
ass support vector
machines. The chapter concludes by discussing the evaluation of pre
-
dictive models. Cha
p
ter 4 covers descri
p
tive anal
y
tics. First, association
rules are discussed that aim at discoverin
g
intratransaction
p
atterns.
This is followed by a section on sequence rules that aim at discovering
intertransaction
p
atterns. Se
g
mentation techni
q
ues are also covered.
Cha
p
ter 5 introduces survival anal
y
sis. The cha
p
ter starts b
y
introduc
-
ing some key survival analysis measurements. This is followed by a
discussion of Ka
p
lan Meier anal
y
sis,
p
arametric survival anal
y
sis, and
p
ro
p
ortional hazards re
g
ression. The cha
p
ter concludes b
y
discussin
g
various extensions and evaluation of survival analysis models. Chap
-
ter 6 covers social network anal
y
tics. The cha
p
ter starts b
y
discussin
g
exam
p
le social network a
pp
lications. Next, social network de nitions
and metrics are given. This is followed by a discussion on social network
learnin
g
. The relational nei
g
hbor classi er and its
p
robabilistic variant
together with relational logistic regression are covered next. The chap-
ter ends by discussing egonets and bigraphs. Chapter 7 provides an
overview of ke
y
activities to be considered when
p
uttin
g
anal
y
tics to
wor
k
. It starts wit
h
a reca
p
itu
l
ation o
f
t
h
e ana
ly
tic mo
d
e
l
re
q
uirements
an
d
t
h
en continues wit
h
a
d
iscussion o
f
b
ac
k
testin
g
,
b
enc
h
mar
k
in
g
,
d
ata qua
l
ity, so
f
tware, privacy, mo
d
e
l
d
esign an
d
d
ocumentation, an
d
cor
p
orate
g
overnance. C
h
a
p
ter 8 conc
l
u
d
es t
h
e
b
oo
k
by
d
iscussin
g
var
-
ious exam
pl
e a
ppl
ications suc
h
as cre
d
it ris
k
mo
d
e
l
in
g
,
f
rau
d
d
etection,
net
l
i
f
t response mo
d
e
l
ing, c
h
urn pre
d
iction, recommen
d
er systems,
we
b
ana
ly
tics, socia
l
me
d
ia ana
ly
tics, an
d
b
usiness
p
rocess ana
ly
tics.

xv
Acknowledgments
I would like to acknowled
g
e all m
y
collea
g
ues who contributed to
this text: Se
pp
e vanden Broucke, Alex Seret, Thomas Verbraken,
Aimée Backiel, Véroni
q
ue Van Vlasselaer, Helen Mo
g
es, and Barbara
D
er
g
ent.

Analytics in a Big
Data World
1
C
HAPTER
1
Big Data and
Analytics
D ata are ever
y
w
h
ere. IBM
p
ro
j
ects t
h
at ever
y
d
a
y
we
g
enerate 2.5
quinti
ll
ion
b
ytes o
f
d
ata.
1
In re
l
ative terms, t
h
is means 90 percent
o
f
t
h
e
d
ata in t
h
e wor
ld
h
as
b
een create
d
in t
h
e
l
ast two
y
ears.
Gartner
p
ro
j
ects t
h
at
by
2015, 85
p
ercent o
f
Fortune 500 or
g
anizations
wi
ll
b
e una
bl
e to exp
l
oit
b
ig
d
ata
f
or competitive a
d
vantage an
d
a
b
out
4.4 mi
ll
ion
j
o
b
s wi
ll
b
e create
d
aroun
d
b
i
g
d
ata.
2
A
l
t
h
ou
gh
t
h
ese esti
-
mates s
h
ou
ld
not
b
e inter
p
rete
d
in an a
b
so
l
ute sense, t
h
e
y
are a stron
g
in
d
ication o
f
t
h
e u
b
iquity o
f
b
ig
d
ata an
d
t
h
e strong nee
d
f
or ana
l
ytica
l
s
k
i
ll
s an
d
resources
b
ecause, as t
h
e
d
ata
p
i
l
es u
p
, mana
g
in
g
an
d
ana
ly
z-
in
g
t
h
ese
d
ata resources in t
h
e most o
p
tima
l
wa
y
b
ecome critica
l
suc
-
cess
f
actors in creating competitive a
d
vantage an
d
strategic
l
everage.
Fi
g
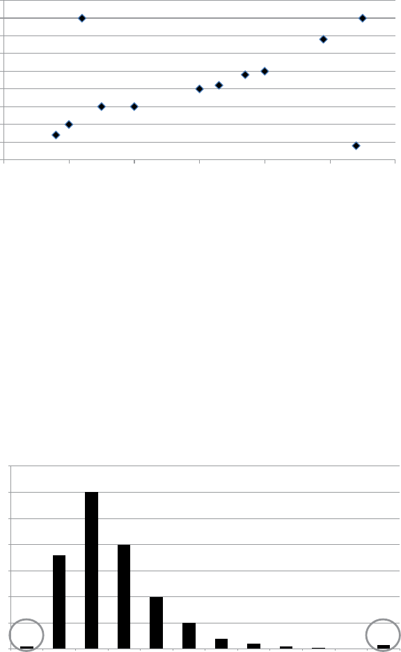
ure 1.1 s
h
ows t
h
e resu
l
ts o
f
a KDnu
gg
ets
3
p
o
ll
con
d
ucte
d
d
ur
-
in
g
A
p
ri
l
2013 a
b
out t
h
e
l
ar
g
est
d
ata sets ana
ly
ze
d
. T
h
e tota
l
num
b
er
o
f
respon
d
ents was 322 an
d
t
h
e num
b
ers per category are in
d
icate
d
b
etween
b
rac
k
ets. T
h
e me
d
ian was estimate
d
to
b
e in t
h
e 40 to 50
g
i
g
a
-
by
te (GB) ran
g
e, w
h
ic
h
was a
b
out
d
ou
bl
e t
h
e me
d
ian answer
f
or a simi
-
l
ar
p
o
ll
run in 2012 (20 to 40 GB). T
h
is c
l
ear
ly
s
h
ows t
h
e
q
uic
k
increase
in size of data that analysts are working on. A further regional break-
down of the
p
oll showed that U.S. data miners lead other re
g
ions in bi
g
data, with about 28% of them workin
g
with terab
y
te (TB) size databases.
A main obstacle to fully harnessing the power of big data using ana-
l
y
tics is the lack of skilled resources and “data scientist” talent re
q
uired to

2
▸ANALYTI
CS
IN A BI
G
DATA W
O
RL
D
ex
pl
oit
b
i
g
d
ata. In anot
h
er
p
o
ll
ran
by
KDnu
gg
ets in Ju
ly
2013, a stron
g
nee
d
emerge
d
f
or ana
l
ytics/
b
ig
d
ata/
d
ata mining/
d
ata science e
d
uca
-
tion.
4
It is t
h
e
p
ur
p
ose o
f
t
h
is
b
oo
k
to tr
y
an
d
ll
t
h
is
g
a
p
by
p
rovi
d
in
g
a
concise an
d
f
ocuse
d
overview o
f
ana
ly
tics
f
or t
h
e
b
usiness
p
ractitioner.
EXAMPLE APPLICATIONS
Ana
l
ytics is everyw
h
ere an
d
strong
l
y em
b
e
dd
e
d
into our
d
ai
l
y
l
ives. As I
am writin
g
t
h
is
p
art, I was t
h
e su
bj
ect o
f
various ana
ly
tica
l
mo
d
e
l
s to
d
a
y
.
W
h
en I c
h
ec
k
e
d
my p
h
ysica
l
mai
lb
ox t
h
is morning, I
f
oun
d
a cata
l
ogue
sent to me most
p
ro
b
a
bly
as a resu
l
t o
f
a res
p
onse mo
d
e
l
in
g
ana
ly
tica
l
exercise t
h
at in
d
icate
d
t
h
at,
g
iven m
y
c
h
aracteristics an
d
p
revious
p
ur
-
c
h
ase
b
e
h
avior, I am
l
i
k
e
l
y to
b
uy one or more pro
d
ucts
f
rom it. To
d
ay,
I was t
h
e su
bj
ect o
f
a
b
e
h
aviora
l
scorin
g
mo
d
e
l
o
f
m
y
nancia
l
institu
-
tion. T
h
is is a mo
d
e
l
t
h
at wi
ll
l
oo
k
at, among ot
h
er t
h
ings, my c
h
ec
k-
in
g
account
b
a
l
ance
f
rom t
h
e
p
ast 12 mont
h
s an
d
m
y
cre
d
it
p
a
y
ments
d
urin
g
t
h
at
p
erio
d
, to
g
et
h
er wit
h
ot
h
er
k
in
d
s o
f
in
f
ormation avai
l
a
bl
e
to my
b
an
k
, to pre
d
ict w
h
et
h
er I wi
ll
d
e
f
au
l
t on my
l
oan
d
uring t
h
e
next
y
ear. M
y
b
an
k
nee
d
s to
k
now t
h
is
f
or
p
rovisionin
g
p
ur
p
oses. A
l
so
to
d
a
y
, m
y
te
l
e
ph
one services
p
rovi
d
er ana
ly
ze
d
m
y
ca
ll
in
g
b
e
h
avior
Fi
g
ure 1.1 Results
f
rom a KDnu
gg
ets Poll about Lar
g
est Data Sets Anal
y
ze
d
S
ource: www.
kd
nuggets.com/po
ll
s/2013/
l
argest‐
d
ataset‐ana
l
yze
d
‐
d
ata‐m
i
ne
d
‐2013.
h
tm
l
.
Less than 1 MB (12) 3.7%
1.1 to 10 MB (8) 2.5%
11 to 100 MB (14) 4.3%
101 MB to 1 GB (50) 15.5%
1.1 to 10 GB (59)
18%
11 to 100 GB (52) 16%
101 GB to 1 TB
(59) 18%
1.1 to 10 TB (39) 12%
11 to 100 TB (15) 4.7%
101 TB to 1 PB (6) 1.9%
1.1 to 10 PB (2) 0.6%
11 to 100 PB (0) 0%
Over 100 PB (6) 1.9%

B
I
G
DATA AND ANALYTI
CS
◂
3
an
d
m
y
account in
f
ormation to
p
re
d
ict w
h
et
h
er I wi
ll
c
h
urn
d
urin
g
t
h
e
next three months. As I lo
gg
ed on to m
y
Facebook
p
a
g
e, the social ads
appearing there were based on analyzing all information (posts, pictures,
my friends and their behavior, etc.) available to Facebook. My Twitter
posts will be analyzed (possibly in real time) by social media analytics to
understand both the subject of my tweets and the sentiment of them.
As I checked out in the supermarket, my loyalty card was scanned rst,
followed by all my purchases. This will be used by my supermarket to
analyze my market basket, which will help it decide on product bun
-
dlin
g
, next best offer, im
p
rovin
g
shelf or
g
anization, and so forth. As I
ma
d
e t
h
e payment wit
h
my cre
d
it car
d
, my cre
d
it car
d
provi
d
er use
d
a
f
rau
d
d
etection mo
d
e
l
to see w
h
et
h
er it was a
l
egitimate transaction.
W
h
en I receive my cre
d
it car
d
statement
l
ater, it wi
ll
b
e accompanie
d
b
y
various vouchers that are the result of an analytical customer segmenta
-
tion exercise to better understand m
y
ex
p
ense behavior.
To summarize, the relevance, im
p
ortance, and im
p
act of anal
y
tics
are now bigger than ever before and, given that more and more data
are bein
g
collected and that there is strate
g
ic value in knowin
g
what
is hidden in data, anal
y
tics will continue to
g
row. Without claimin
g
to
b
e exhaustive, Table 1.1 presents some examples of how analytics is
a
pp
lied in various settin
g
s.
Ta
bl
e 1.1 Examp
l
e Ana
l
yt
i
cs App
li
cat
i
ons
Marketing Risk
Management Government Web Logistics Other
R
es
p
onse
m
odelin
g
C
redit ris
k
modelin
g
T
ax avo
id
anc
e
W
e
b
ana
ly
t
i
c
s
D
eman
d
forecastin
g
T
ext
anal
y
tic
s
Net li
f
t
m
odelin
g
M
ar
k
et r
i
s
k
modelin
g
Social
s
ecurity
f
rau
d
Social media
analytic
s
Supply chain
analytic
s
B
us
i
ness
process
analytic
s
R
e
t
e
nti
o
n
m
o
d
e
li
n
g
O
p
erational
r
i
s
k
mo
d
e
li
n
g
M
one
y
l
aun
d
er
i
n
g
Mu
ltiv
a
ri
a
t
e
t
est
i
n
g
Ma
r
ke
t
baske
t
a
na
l
ys
is
F
r
aud
d
etect
i
o
n
Te
rr
o
r
is
m
d
etect
i
o
n
R
eco
mm
e
n
de
r
s
y
stem
s
Cus
t
o
m
e
r
se
g
mentat
i
o
n
4
▸ANALYTI
CS
IN A BI
G
DATA W
O
RL
D
It is the
p
ur
p
ose of this book to discuss the underl
y
in
g
techni
q
ues
and ke
y
challen
g
es to work out the a
pp
lications shown in Table 1.1
using analytics. Some of these applications will be discussed in further
detail in Chapter 8 .
BASIC NOMENCLATURE
In order to start doing analytics, some basic vocabulary needs to be
de ned. A rst important concept here concerns the basic unit of anal
-
y
sis. Customers can be considered from various
p
ers
p
ectives. Customer
l
i
f
etime va
l
ue (CLV) can
b
e measure
d
f
or eit
h
er in
d
ivi
d
ua
l
customers
or at t
h
e
h
ouse
h
o
ld
l
eve
l
. Anot
h
er a
l
ternative is to
l
oo
k
at account
b
e
h
avior. For examp
l
e, consi
d
er a cre
d
it scoring exercise
f
or w
h
ic
h
the aim is to predict whether the applicant will default on a particular
mort
g
a
g
e loan account. The anal
y
sis can also be done at the transac
-
tion level. For exam
p
le, in insurance fraud detection, one usuall
y
p
er-
forms the analysis at insurance claim level. Also, in web analytics, the
b
asic unit of anal
y
sis is usuall
y
a web visit or session.
It is also im
p
ortant to note that customers can
p
la
y
different roles.
For example, parents can buy goods for their kids, such that there is
a clear distinction between the
p
a
y
er and the end user. In a bankin
g
settin
g
, a customer can be
p
rimar
y
account owner, secondar
y
account
owner, main debtor of the credit, codebtor, guarantor, and so on. It
is ver
y
im
p
ortant to clearl
y
distin
g
uish between those different roles
when de nin
g
and/or a
gg
re
g
atin
g
data for the anal
y
tics exercise.
Finally, in case of predictive analytics, the target variable needs to
b
e a
pp
ro
p
riatel
y
de ned. For exam
p
le, when is a customer considered
to be a churner or not, a fraudster or not, a responder or not, or how
should the CLV be appropriately de ned?
ANALYTICS PROCESS MODEL
Figure 1.2 gives a
h
ig
h
‐
l
eve
l
overview o
f
t
h
e ana
l
ytics process mo
d
e
l
.
5
As a
rst ste
p
, a t
h
orou
gh
d
e
nition o
f
t
h
e
b
usiness
p
ro
bl
em to
b
e
so
l
ve
d
wit
h
ana
ly
tics is nee
d
e
d
. Next, a
ll
source
d
ata nee
d
to
b
e i
d
enti-
e
d
t
h
at cou
ld
b
e o
f
potentia
l
interest. T
h
is is a very important step, as
d
ata is t
h
e
k
e
y
in
g
re
d
ient to an
y
ana
ly
tica
l
exercise an
d
t
h
e se
l
ection o
f
B
I
G
DATA AND ANALYTI
CS
◂
5
data will have a deterministic im
p
act on the anal
y
tical models that will
b
e built in a subse
q
uent ste
p
. All data will then be
g
athered in a sta
g-
ing area, which could be, for example, a data mart or data warehouse.
Some basic exploratory analysis can be considered here using, for
example, online analytical processing (OLAP) facilities for multidimen
-
sional data analysis (e.g., roll‐up, drill down, slicing and dicing). This
will be followed by a data cleaning step to get rid of all inconsistencies,
such as missing values, outliers, and duplicate data. Additional trans-
formations may also be considered, such as binning, alphanumeric to
numeric codin
g
,
g
eo
g
ra
p
hical a
gg
re
g
ation, and so forth. In the anal
y
t-
ics step, an ana
l
ytica
l
mo
d
e
l
wi
ll
b
e estimate
d
on t
h
e preprocesse
d
an
d
trans
f
orme
d
d
ata. Di
ff
erent types o
f
ana
l
ytics can
b
e consi
d
ere
d
h
ere
(e.g., to
d
o c
h
urn pre
d
iction,
f
rau
d
d
etection, customer segmentation,
market basket analysis). Finally, once the model has been built, it will
b
e inter
p
reted and evaluated b
y
the business ex
p
erts. Usuall
y
, man
y
trivial
p
atterns will be detected b
y
the model. For exam
p
le, in a market
b
asket analysis setting, one may nd that spaghetti and spaghetti sauce
are often
p
urchased to
g
ether. These
p
atterns are interestin
g
because
the
y
p
rovide some validation of the model. But of course, the ke
y
issue
here is to nd the unexpected yet interesting and actionable patterns
(sometimes also referred to as knowled
g
e diamond
s
) that can
p
rovide
added value in the business settin
g
. Once the anal
y
tical model has
b
een appropriately validated and approved, it can be put into produc-
tion as an anal
y
tics a
pp
lication (e.
g
., decision su
pp
ort s
y
stem, scorin
g
en
g
ine). It is im
p
ortant to consider here how to re
p
resent the model
output in a user‐friendly way, how to integrate it with other applica-
tions (e.
g
., cam
p
ai
g
n mana
g
ement tools, risk en
g
ines), and how to
make sure the analytical model can be appropriately monitored and
b
acktested on an ongoing basis.
It is im
p
ortant to note that the
p
rocess model outlined in Fi
g
-
ure 1.2 is iterative in nature, in t
h
e sense t
h
at one ma
y
h
ave to
g
o
b
ac
k
to
p
revious ste
p
s
d
urin
g
t
h
e exercise. For exam
pl
e,
d
urin
g
t
h
e ana
ly
t-
ics step, t
h
e nee
d
f
or a
dd
itiona
l
d
ata may
b
e i
d
enti
e
d
, w
h
ic
h
may
necessitate a
dd
itiona
l
c
l
eanin
g
, trans
f
ormation, an
d
so
f
ort
h
. A
l
so, t
h
e
most time consumin
g
ste
p
is t
h
e
d
ata se
l
ection an
d
p
re
p
rocessin
g
ste
p
;
t
h
is usua
ll
y ta
k
es aroun
d
80% o
f
t
h
e tota
l
e
ff
orts nee
d
e
d
to
b
ui
ld
an
ana
ly
tica
l
mo
d
e
l
.

6
▸ANALYTI
CS
IN A BI
G
DATA W
O
RL
D
JOB PROFILES INVOLVED
Anal
y
tics is essentiall
y
a multidisci
p
linar
y
exercise in which man
y
different
j
ob
p
ro les need to collaborate to
g
ether. In what follows, we
will discuss the most important job pro les.
The database or data warehouse administrator (DBA) is aware of
all the data available within the rm, the stora
g
e details, and the data
de nitions. Hence, the DBA plays a crucial role in feeding the analyti
-
cal modelin
g
exercise with its ke
y
in
g
redient, which is data. Because
anal
y
tics is an iterative exercise, the DBA ma
y
continue to
p
la
y
an
important role as the modeling exercise proceeds.
Another ver
y
im
p
ortant
p
ro le is the business ex
p
ert. This could,
for exam
p
le, be a credit
p
ortfolio mana
g
er, fraud detection ex
p
ert,
b
rand manager, or e‐commerce manager. This person has extensive
b
usiness experience an
d
b
usiness common sense, w
h
ic
h
is very va
l
u-
able. It is
p
recisel
y
this knowled
g
e that will hel
p
to steer the anal
y
tical
mo
d
e
l
in
g
exercise an
d
inter
p
ret its
k
e
y
n
d
in
g
s. A
k
e
y
c
h
a
ll
en
g
e
h
ere
is t
h
at muc
h
o
f
t
h
e expert
k
now
l
e
d
ge is tacit an
d
may
b
e
h
ar
d
to e
l
icit
at t
h
e start o
f
t
h
e mo
d
e
l
in
g
exercise.
Le
g
a
l
ex
p
erts are
b
ecomin
g
more an
d
more im
p
ortant
g
iven t
h
at
not a
ll
d
ata can
b
e use
d
in an ana
l
ytica
l
mo
d
e
l
b
ecause o
f
privacy,
Fi
g
ure 1.2 The Anal
y
tics Process Model
Understanding
what data is
needed for the
application
Data Cleaning
Interpretation
and
Evaluation
Data
Transformation
(binning, alpha to
numeric, etc.)
Analytics
Data
Selection
Source
Data
Analytics
Application
Preprocessed
Data
Transformed
Data
Patterns
Data Mining
Mart
Dumps of Operational Data
B
IG DATA AND ANALYTICS ◂
7
discrimination, and so forth. For exam
p
le, in credit risk modelin
g
, one
can t
yp
icall
y
not discriminate
g
ood and bad customers based u
p
on
gender, national origin, or religion. In web analytics, information is
typically gathered by means of cookies, which are les that are stored
on the user’s browsing computer. However, when gathering informa-
tion using cookies, users should be appropriately informed. This is sub-
j
ect to regulation at various levels (both national and, for example,
European). A key challenge here is that privacy and other regulation
highly vary depending on the geographical region. Hence, the legal
ex
p
ert should have
g
ood knowled
g
e about what data can be used
w
h
en, an
d
w
h
at regu
l
ation app
l
ies in w
h
at
l
ocation.
T
h
e
d
ata scientist,
d
ata miner, or
d
ata ana
l
yst is t
h
e person respon
-
si
bl
e
f
or
d
oing t
h
e actua
l
ana
l
ytics. T
h
is person s
h
ou
ld
possess a t
h
or
-
ough understanding of all techniques involved and know how to
im
p
lement them usin
g
the a
pp
ro
p
riate software. A
g
ood data scientist
should also have
g
ood communication and
p
resentation skills to re
p
ort
the analytical ndings back to the other parties involved.
The software tool vendors should also be mentioned as an
im
p
ortant
p
art of the anal
y
tics team. Different t
yp
es of tool vendors can
b
e distinguished here. Some vendors only provide tools to automate
s
p
eci c ste
p
s of the anal
y
tical modelin
g
p
rocess (e.
g
., data
p
re
p
rocess-
in
g
). Others sell software that covers the entire anal
y
tical modelin
g
process. Some vendors also provide analytics‐based solutions for spe-
ci c a
pp
lication areas, such as risk mana
g
ement, marketin
g
anal
y
tics
and cam
p
ai
g
n mana
g
ement, and so on.
ANALYTICS
A
nal
y
tics is a term that is often used interchan
g
eabl
y
with
d
ata science
,
data mining, knowledge discovery
,
and others. The distinction between
all those is not clear cut. All of these terms essentiall
y
refer to extract-
ing use
f
u
l
b
usiness patterns or mat
h
ematica
l
d
ecision mo
d
e
l
s
f
rom a
p
re
p
rocesse
d
d
ata set. Di
ff
erent un
d
er
ly
in
g
tec
h
ni
q
ues can
b
e use
d
f
or
t
h
is
p
ur
p
ose, stemmin
g
f
rom a variet
y
o
f
d
i
ff
erent
d
isci
pl
ines, suc
h
as:
■ Statistics (e.g.,
l
inear an
d
l
ogistic regression)
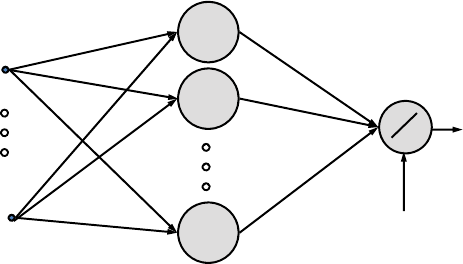
■ Mac
h
ine
l
earnin
g
(e.
g
.,
d
ecision trees)

8
▸ANALYTI
CS
IN A BI
G
DATA W
O
RL
D
■ Biolo
gy
(e.
g
., neural networks,
g
enetic al
g
orithms, swarm intel
-
l
i
g
ence)
■ Kernel methods (e.
g
., su
pp
ort vector machines)
Basically, a distinction can be made between predictive and descrip
-
tive analytics. In predictive analytics, a target variable is typically avail
-
able, which can either be categorical (e.g., churn or not, fraud or not)
or continuous (e.g., customer lifetime value, loss given default). In
descriptive analytics, no such target variable is available. Common
exam
p
les here are association rules, se
q
uence rules, and clusterin
g
.
Figure 1.3 provi
d
es an examp
l
e o
f
a
d
ecision tree in a c
l
assi
cation
pre
d
ictive ana
l
ytics setting
f
or pre
d
icting c
h
urn.
More t
h
an ever
b
e
f
ore, ana
l
ytica
l
mo
d
e
l
s steer t
h
e strategic ris
k
decisions of companies. For example, in a bank setting, the mini-
mum e
q
uit
y
and
p
rovisions a nancial institution holds are directl
y
determined b
y
, amon
g
other thin
g
s, credit risk anal
y
tics, market risk
analytics, operational risk analytics, fraud analytics, and insurance
risk anal
y
tics. In this settin
g
, anal
y
tical model errors directl
y
affect
p
ro tabilit
y
, solvenc
y
, shareholder value, the macroeconom
y
, and
society as a whole. Hence, it is of the utmost importance that analytical
F
i
gure 1.3 Example o
f
Classi
cation Predictive Analytics
Customer Age Recency Frequency Monetary Churn
John 35 5 6 100 Yes
Sophie 18 10 2 150 No
Victor 38 28 8 20 No
Laura 44 12 4 280 Yes
Analytics
Software
Age < 40
Yes
Yes
Churn No Churn Churn No Churn
Yes
No
No No
Recency < 10 Frequency < 5
B
I
G
DATA AND ANALYTI
CS
◂
9
models are develo
p
ed in the most o
p
timal wa
y
, takin
g
into account
various re
q
uirements that will be discussed in what follows.
ANALYTICAL MODEL REQUIREMENTS
A good analytical model should satisfy several requirements, depend-
ing on the application area. A rst critical success factor is business
relevance. The analytical model should actually solve the business
problem for which it was developed. It makes no sense to have a work
-
in
g
anal
y
tical model that
g
ot sidetracked from the ori
g
inal
p
roblem
statement. In or
d
er to ac
h
ieve
b
usiness re
l
evance, it is o
f
k
ey impor-
tance t
h
at t
h
e
b
usiness pro
bl
em to
b
e so
l
ve
d
is appropriate
l
y
d
e
ne
d
,
qua
l
i
e
d
, an
d
agree
d
upon
b
y a
ll
parties invo
l
ve
d
at t
h
e outset o
f
t
h
e
analysis.
A second criterion is statistical
p
erformance. The model should
have statistical si
g
ni cance and
p
redictive
p
ower. How this can be mea-
sured will depend upon the type of analytics considered. For example,
in a classi cation settin
g
(churn, fraud), the model should have
g
ood
discrimination
p
ower. In a clusterin
g
settin
g
, the clusters should be as
homogenous as possible. In later chapters, we will extensively discuss
various measures to
q
uantif
y
this.
De
p
endin
g
on the a
pp
lication, anal
y
tical models should also be
interpretable and justi able. Interpretability refers to understanding
the
p
atterns that the anal
y
tical model ca
p
tures. This as
p
ect has a
certain de
g
ree of sub
j
ectivism, since inter
p
retabilit
y
ma
y
de
p
end on
the business user’s knowledge. In many settings, however, it is con
-
sidered to be a ke
y
re
q
uirement. For exam
p
le, in credit risk modelin
g
or medical diagnosis, interpretable models are absolutely needed to
get good insight into the underlying data patterns. In other settings,
such as res
p
onse modelin
g
and fraud detection, havin
g
inter
p
retable
mo
d
e
l
s ma
y
b
e
l
ess o
f
an issue.
J
usti
a
b
i
l
it
y
re
f
ers to t
h
e
d
e
g
ree to
w
h
ic
h
a mo
d
e
l
corres
p
on
d
s to
p
rior
b
usiness
k
now
l
e
dg
e an
d
intu
-
i
t
i
on.
6
For examp
l
e, a mo
d
e
l
stating t
h
at a
h
ig
h
er
d
e
b
t ratio resu
l
ts
in more cre
d
itwort
hy
c
l
ients ma
y
b
e inter
p
reta
bl
e,
b
ut is not
j
usti
-
a
bl
e
b
ecause it contra
d
icts
b
asic
nancia
l
intuition. Note t
h
at
b
ot
h
interpreta
b
i
l
ity an
d
justi
a
b
i
l
ity o
f
ten nee
d
to
b
e
b
a
l
ance
d
against
statistica
l
p
er
f
ormance. O
f
ten one wi
ll
o
b
serve t
h
at
h
i
gh
p
er
f
ormin
g
10
▸
A
NALYTI
CS
IN A BI
G
DATA W
O
RL
D
anal
y
tical models are incom
p
rehensible and black box in nature.
A
p
o
p
ular exam
p
le of this is neural networks, which are universal
approximators and are high performing, but offer no insight into the
underlying patterns in the data. On the contrary, linear regression
models are very transparent and comprehensible, but offer only
limited modeling power.
Analytical models should also be
operationally ef cient
. This refers to
t
the efforts needed to collect the data, preprocess it, evaluate the model,
and feed its outputs to the business application (e.g., campaign man-
a
g
ement, ca
p
ital calculation). Es
p
eciall
y
in a real‐time online scorin
g
environment (e.g.,
f
rau
d
d
etection) t
h
is may
b
e a crucia
l
c
h
aracteristic.
Operationa
l
e
f
ciency a
l
so entai
l
s t
h
e e
ff
orts nee
d
e
d
to monitor an
d
b
ac
k
test t
h
e mo
d
e
l
, an
d
reestimate it w
h
en necessary.
Another key attention point is the
e
co
n
omic cos
t
needed to set up
t
the anal
y
tical model. This includes the costs to
g
ather and
p
re
p
rocess
the data, the costs to anal
y
ze the data, and the costs to
p
ut the result-
ing analytical models into production. In addition, the software costs
and human and com
p
utin
g
resources should be taken into account
here. It is im
p
ortant to do a thorou
g
h cost–bene t anal
y
sis at the start
of the project.
Finall
y
, anal
y
tical models should also com
p
l
y
with both local and
in
t
erna
t
ional re
g
ulation and le
g
islation . For exam
p
le, in a credit risk set
-
ting, the Basel II and Basel III Capital Accords have been introduced
to a
pp
ro
p
riatel
y
identif
y
the t
yp
es of data that can or cannot be used
to build credit risk models. In an insurance settin
g
, the Solvenc
y
II
Accord plays a similar role. Given the importance of analytics nowa
-
da
y
s, more and more re
g
ulation is bein
g
introduced relatin
g
to the
development and use of the analytical models. In addition, in the con-
text of privacy, many new regulatory developments are taking place at
various levels. A
p
o
p
ular exam
p
le here concerns the use of cookies in
a we
b
ana
ly
tics context.
NOTES
1. IBM, www.i
b
m.com/
b
i
g
‐
d
ata/us/en , 2013.
2. www.
g
artner.com/tec
h
no
l
o
gy
/to
p
ics/
b
i
g
‐
d
ata.
j
s
p
.
3. www.
kd
nu
gg
ets.com/
p
o
ll
s/2013/
l
ar
g
est‐
d
ataset‐ana
ly
ze
d
‐
d
ata‐mine
d
‐2013.
h
tm
l
.
4. www.
kd
nu
gg
ets.com/
p
o
ll
s/2013/ana
ly
tics‐
d
ata‐science‐e
d
ucation.
h
tm
l
.
BI
G
DATA AND ANALYTI
CS
◂
11
5. J. Han an
d
M. Kam
b
er, Data Minin
g
: Concepts an
d
Tec
h
niques
,
2n
d
e
d
. (Mor
g
an
Kaufmann, Waltham, MA, US, 2006); D. J. Hand, H. Mannila, and P. Sm
y
th, Prin-
ciples of Data Minin
g
(MIT Press, Cambrid
g
e
,
Massachusetts, London, En
g
land, 2001);
P. N. Tan, M. Steinbach, and V. Kumar, Introduction to Data Mining (Pearson, Upper
Saddle River, New Jerse
y
, US, 2006).
6. D. Martens, J. Vanthienen, W. Verbeke, and B. Baesens, “Performance of Classi ca
-
tion Models from a User Perspective.” Special issue,
D
ecision Support System
s
51, no. 4
(
2011
)
: 782–793.
13
C
HAPTER
2
Data Collection,
Sampling, and
Preprocessing
D ata are
k
ey ingre
d
ients
f
or any ana
l
ytica
l
exercise. Hence, it is
im
p
ortant to t
h
orou
ghly
consi
d
er an
d
l
ist a
ll
d
ata sources t
h
at are
o
f
p
otentia
l
interest
b
e
f
ore startin
g
t
h
e ana
ly
sis. T
h
e ru
l
e
h
ere is
t
h
e more
d
ata, t
h
e
b
etter. However, rea
l
l
i
f
e
d
ata can
b
e
d
irty
b
ecause
o
f
inconsistencies, incom
pl
eteness,
d
u
pl
ication, an
d
mer
g
in
g
p
ro
bl
ems.
T
h
rou
gh
out t
h
e ana
ly
tica
l
mo
d
e
l
in
g
ste
p
s, various
d
ata
l
terin
g
mec
h
a
-
nisms wi
ll
b
e app
l
ie
d
to c
l
ean up an
d
re
d
uce t
h
e
d
ata to a managea
bl
e
an
d
re
l
evant size. Wort
h
mentionin
g
h
ere is t
h
e
g
ar
b
a
g
e in,
g
ar
b
a
g
e
out (GIGO)
p
rinci
pl
e, w
h
ic
h
essentia
lly
states t
h
at mess
y
d
ata wi
ll
y
ie
ld
messy ana
l
ytica
l
mo
d
e
l
s. It is o
f
t
h
e utmost importance t
h
at every
d
ata
p
re
p
rocessin
g
ste
p
is care
f
u
lly
j
usti
e
d
, carrie
d
out, va
l
i
d
ate
d
, an
d
d
oc
-
umente
d
b
e
f
ore
p
rocee
d
in
g
wit
h
f
urt
h
er ana
ly
sis. Even t
h
e s
l
i
gh
test
mista
k
e can ma
k
e t
h
e
d
ata tota
ll
y unusa
bl
e
f
or
f
urt
h
er ana
l
ysis. In w
h
at
f
o
ll
ows, we wi
ll
e
l
a
b
orate on t
h
e most im
p
ortant
d
ata
p
re
p
rocessin
g
steps t
h
at s
h
ou
ld
b
e consi
d
ere
d
d
uring an ana
l
ytica
l
mo
d
e
l
ing exercise.
TYPES OF DATA SOURCES
As previously mentioned, more data is better to start off the analysis.
Data can ori
g
inate from a variet
y
of different sources, which will be
ex
p
lored in what follows.
1
4
▸
A
NALYTI
CS
IN A BI
G
DATA W
O
RL
D
Transactions are the rst im
p
ortant source of data. Transactional
data consist of structured, low‐level, detailed information ca
p
turin
g
the key characteristics of a customer transaction (e.g., purchase, claim,
cash transfer, credit card payment). This type of data is usually stored
in massive online transaction processing (OLTP) relational databases.
It can also be summarized over longer time horizons by aggregating it
into averages, absolute/relative trends, maximum/minimum values,
and so on.
Unstructured data embedded in text documents (e.g., emails, web
p
a
g
es, claim forms) or multimedia content can also be interestin
g
to
ana
l
yze. However, t
h
ese sources typica
ll
y require extensive preprocess
-
ing
b
e
f
ore t
h
ey can
b
e success
f
u
ll
y inc
l
u
d
e
d
in an ana
l
ytica
l
exercise.
Anot
h
er important source o
f
d
ata is qua
l
itative, expert‐
b
ase
d
data. An expert is a person with a substantial amount of subject mat-
ter ex
p
ertise within a
p
articular settin
g
(e.
g
., credit
p
ortfolio mana
g
er,
b
rand mana
g
er). The ex
p
ertise stems from both common sense and
b
usiness experience, and it is important to elicit expertise as much as
p
ossible before the anal
y
tics is run. This will steer the modelin
g
in the
ri
g
ht direction and allow
y
ou to inter
p
ret the anal
y
tical results from
the right perspective. A popular example of applying expert‐based
validation is checkin
g
the univariate si
g
ns of a re
g
ression model. For
exam
p
le, one would ex
p
ect a
p
rior
i
that higher debt has an adverse
i
impact on credit risk, such that it should have a negative sign in the
nal scorecard. If this turns out not to be the case (e.
g
., due to bad
data
q
ualit
y
, multicollinearit
y
), the ex
p
ert/business user will not be
tempted to use the analytical model at all, since it contradicts prior
ex
p
ectations.
Nowadays, data poolers are becoming more and more important
in the industry. Popular examples are Dun & Bradstreet, Bureau Van
Di
j
ck, and Thomson Reuters. The core business of these com
p
anies
is to
g
at
h
er
d
ata in a
p
articu
l
ar settin
g
(e.
g
., cre
d
it ris
k
, mar
k
etin
g
),
b
ui
ld
mo
d
e
l
s wit
h
it, an
d
se
ll
t
h
e out
p
ut o
f
t
h
ese mo
d
e
l
s (e.
g
., scores),
possi
bl
y toget
h
er wit
h
t
h
e un
d
er
l
ying raw
d
ata, to intereste
d
custom
-
ers. A
p
o
p
u
l
ar exam
pl
e o
f
t
h
is in t
h
e Unite
d
States is t
h
e FICO score,
w
h
ic
h
is a cre
d
it score ran
g
in
g
b
etween 300 an
d
850 t
h
at is
p
rovi
d
e
d
b
y t
h
e t
h
ree most important cre
d
it
b
ureaus: Experian, Equi
f
ax, an
d
Transunion. Man
y
nancia
l
institutions use t
h
ese FICO scores eit
h
er
D
ATA
CO
LLE
C
TI
O
N
,
S
AMPLIN
G,
AND PREPR
OC
E
SS
IN
G
◂
15
as their nal internal model, or as a benchmark a
g
ainst an internall
y
develo
p
ed credit scorecard to better understand the weaknesses of
the latter.
Finally, plenty of publicly available data can be included in the
analytical exercise. A rst important example is macroeconomic data
about gross domestic product (GDP), in ation, unemployment, and so
on. By including this type of data in an analytical model, it will become
possible to see how the model varies with the state of the economy.
This is especially relevant in a credit risk setting, where typically all
models need to be thorou
g
hl
y
stress tested. In addition, social media
d
ata
f
rom Face
b
oo
k
, Twitter, an
d
ot
h
ers can
b
e an important source
o
f
in
f
ormation. However, one nee
d
s to
b
e care
f
u
l
h
ere an
d
ma
k
e sure
t
h
at a
ll
d
ata gat
h
ering respects
b
ot
h
l
oca
l
an
d
internationa
l
privacy
regulations.
SAMPLING
The aim of sam
p
lin
g
is to take a subset of
p
ast customer data and use
that to build an anal
y
tical model. A rst obvious
q
uestion concerns the
need for sampling. With the availability of high performance comput-
in
g
facilities (e.
g
.,
g
rid/cloud com
p
utin
g
), one could also directl
y
ana-
l
y
ze the full data set. However, a ke
y
re
q
uirement for a
g
ood sam
p
le
is that it should be representative of the future customers on which
the anal
y
tical model will be run. Hence, the timin
g
as
p
ect becomes
im
p
ortant because customers of toda
y
are more similar to customers
of tomorrow than customers of yesterday. Choosing the optimal time
window for the sam
p
le involves a trade‐off between lots of data (and
hence a more robust analytical model) and recent data (which may be
more representative). The sample should also be taken from an aver-
a
g
e business
p
eriod to
g
et a
p
icture of the tar
g
et
p
o
p
ulation that is as
accurate as
p
ossi
bl
e.
It s
p
ea
k
s
f
or itse
lf
t
h
at sam
pl
in
g
b
ias s
h
ou
ld
b
e avoi
d
e
d
as muc
h
as possi
bl
e. However, t
h
is is not a
l
ways straig
h
t
f
orwar
d
. Let’s ta
k
e
t
h
e exam
pl
e o
f
cre
d
it scorin
g
. Assume one wants to
b
ui
ld
an a
ppl
ica-
tion scorecar
d
to score mort
g
a
g
e a
ppl
ications. T
h
e
f
uture
p
o
p
u
l
ation
t
h
en consists o
f
a
ll
customers w
h
o come to t
h
e
b
an
k
an
d
app
l
y
f
or
a mort
g
a
g
e—t
h
e so‐ca
ll
e
d
t
h
rou
gh
‐t
h
e‐
d
oor (TTD)
p
o
p
u
l
ation. One

16
▸
A
NALYTI
CS
IN A BI
G
DATA W
O
RL
D
then needs a subset of the historical TTD population to build an ana
-
l
ytica
l
mo
d
e
l
. However, in t
h
e past, t
h
e
b
an
k
was a
l
rea
d
y app
l
ying
a cre
d
it po
l
icy (eit
h
er expert
b
ase
d
or
b
ase
d
on a previous ana
l
ytica
l
mo
d
e
l
). T
h
is imp
l
ies t
h
at t
h
e
h
istorica
l
TTD popu
l
ation
h
as two su
b
sets:
the customers that were acce
p
ted with the old
p
olic
y
, and the ones that
were re
j
ected (see Fi
g
ure 2.1 ). Obviousl
y
, for the latter, we don’t know
the target value since they were never granted the credit. When build
-
in
g
a sam
p
le, one can then onl
y
make use of those that were acce
p
ted,
which clearl
y
im
p
lies a bias. Procedures for re
j
ect inference have been
suggested in the literature to deal with this sampling bias problem.
1
Unfortunatel
y
, all of these
p
rocedures make assum
p
tions and none of
them works
p
erfectl
y
. One of the most
p
o
p
ular solutions is bureau
‐
based inference, whereby a sample of past customers is given to the
credit bureau to determine their tar
g
et label (
g
ood or bad
p
a
y
er).
When thinkin
g
even closer about the tar
g
et
p
o
p
ulation for credit
scoring, another forgotten subset are the withdrawals. These are
the customers who were offered credit but decided not to take it
(
des
p
ite the fact that the
y
ma
y
have been classi ed as
g
ood b
y
the
old scorecard). To be representative, these customers should also be
included in the develo
p
ment sam
p
le. However, to the best of our
knowled
g
e, no
p
rocedures for withdrawal inference are t
yp
icall
y
a
pp
lied in the industr
y
.
In strati
e
d
samp
l
ing, a samp
l
e is ta
k
en accor
d
ing to pre
d
e
ne
d
strata. Consi
d
er,
f
or exam
pl
e, a c
h
urn
p
re
d
iction or
f
rau
d
d
etection
context in w
h
ic
h
d
ata sets are t
yp
ica
lly
ver
y
s
k
ewe
d
(e.
g
., 99
p
ercent
nonc
h
urners an
d
1 percent c
h
urners). W
h
en strati
f
ying accor
d
ing to
t
h
e tar
g
et c
h
urn in
d
icator, t
h
e sam
pl
e wi
ll
contain exact
ly
t
h
e same
p
ercenta
g
es o
f
c
h
urners an
d
nonc
h
urners as in t
h
e ori
g
ina
l
d
ata.
Figure 2.1 The Reject Inference Problem in Credit Scoring
Through-the-Door
Rejects Accepts
Bads Goods ? Bads ? Goods
D
ATA COLLECTION, SAMPLING, AND PREPROCESSING ◂
17
TYPES OF DATA ELEMENTS
It is important to appropriately consider the different types of data ele
-
ments at the start of the anal
y
sis. The followin
g
t
yp
es of data elements
can be considered:
■ Continuous: These are data elements that are de ned on an
interval that can be limited or unlimited. Examples include
income, sales, RFM (recency, frequency, monetary).
■ Categorical
■ Nomina
l
: T
h
ese are
d
ata e
l
ements t
h
at can on
l
y ta
k
e on a
l
imite
d
set o
f
va
l
ues wit
h
no meaning
f
u
l
or
d
ering in
b
etween.
Examp
l
es inc
l
u
d
e marita
l
status, pro
f
ession, purpose o
f
l
oan.
■ Ordinal: These are data elements that can onl
y
take on a lim
-
ited set of values with a meaningful ordering in between.
Exam
p
les include credit ratin
g
; a
g
e coded as
y
oun
g
, middle
aged, and old.
■ Binar
y
: These are data elements that can onl
y
take on two
values. Examples include gender, employment status.
A
pp
ro
p
riatel
y
distin
g
uishin
g
between these different data elements
is of ke
y
im
p
ortance to start the anal
y
sis when im
p
ortin
g
the data
into an analytics tool. For example, if marital status were to be incor-
rectl
y
s
p
eci ed as a continuous data element, then the software would
calculate its mean, standard deviation, and so on, which is obviousl
y
meaningless.
VISUAL DATA EXPLORATION AND EXPLORATORY
STATISTICAL ANALYSIS
Visual data ex
p
loration is a ver
y
im
p
ortant
p
art of
g
ettin
g
to know
y
our
d
ata in an “in
f
orma
l
” wa
y
. It a
ll
ows
y
ou to
g
et some initia
l
insig
h
ts into t
h
e
d
ata, w
h
ic
h
can t
h
en
b
e use
f
u
ll
y a
d
opte
d
t
h
roug
h
out
t
h
e mo
d
e
l
in
g
. Di
ff
erent
pl
ots/
g
ra
ph
s can
b
e use
f
u
l
h
ere. A
rst
p
o
p
u-
l
ar exam
pl
e is
p
ie c
h
arts. A
p
ie c
h
art re
p
resents a varia
bl
e’s
d
istri
b
u
-
tion as a pie, w
h
ere
b
y eac
h
section represents t
h
e portion o
f
t
h
e tota
l
p
ercent ta
k
en
by
eac
h
va
l
ue o
f
t
h
e varia
bl
e. Fi
g
ure 2.2 re
p
resents a
p
ie
c
h
art
f
or a
h
ousin
g
varia
bl
e
f
or w
h
ic
h
one’s status can
b
e own, rent, or

1
8
▸
A
NALYTI
CS
IN A BI
G
DATA W
O
RL
D
for free (e.
g
., live with
p
arents). B
y
doin
g
a se
p
arate
p
ie chart anal
y
sis
for the goods and bads, respectively, one can see that more goods own
their residential
p
ro
p
ert
y
than bads, which can be a ver
y
useful start
-
in
g
insi
g
ht. Bar charts re
p
resent the fre
q
uenc
y
of each of the values
(
either absolute or relative) as bars. Other handy visual tools are histo
-
g
rams and scatter
p
lots. A histo
g
ram
p
rovides an eas
y
wa
y
to visualize
the central tendency and to determine the variability or spread of the
data. It also allows you to contrast the observed data with standard
known distributions (e.
g
., normal distribution). Scatter
p
lots allow
y
ou
to visua
l
ize one varia
bl
e a
g
ainst anot
h
er to see w
h
et
h
er t
h
ere are an
y
corre
l
ation
p
atterns in t
h
e
d
ata. A
l
so, OLAP‐
b
ase
d
mu
l
ti
d
imensiona
l
d
ata ana
l
ysis can
b
e use
f
u
ll
y a
d
opte
d
to exp
l
ore patterns in t
h
e
d
ata.
A next ste
p
a
f
ter visua
l
ana
ly
sis cou
ld
b
e ins
p
ectin
g
some
b
asic
statistica
l
measurements, suc
h
as avera
g
es, stan
d
ar
d
d
eviations, mini-
mum, maximum, percenti
l
es, an
d
con
d
ence interva
l
s. One cou
ld
ca
l
cu
l
ate t
h
ese measures se
p
arate
ly
f
or eac
h
o
f
t
h
e tar
g
et c
l
asses
Fi
g
ure 2.2 Pie Charts
f
or Explorator
y
Data Anal
y
sis
Total Population
Own
Rent
For Free
Goods
Own
Rent
For Free
Bads
Own
Rent
For Free
D
ATA
CO
LLE
C
TI
O
N
,
S
AMPLIN
G,
AND PREPR
OC
E
SS
IN
G
◂
19
(e.
g
.,
g
ood versus bad customer) to see whether there are an
y
interest-
in
g
p
atterns
p
resent (e.
g
., whether bad
p
a
y
ers usuall
y
have a lower
average age than good payers).
MISSING VALUES
Missing values can occur because of various reasons. The information
can be nonapplicable. For example, when modeling time of churn,
this information is only available for the churners and not for the non-
churners because it is not applicable there. The information can also
b
e un
d
isc
l
ose
d
. For examp
l
e, a customer
d
eci
d
e
d
not to
d
isc
l
ose
h
is or
h
er income
b
ecause o
f
privacy. Missing
d
ata can a
l
so originate
b
ecause
o
f
an error
d
uring merging (e.g., typos in name or ID).
Some anal
y
tical techni
q
ues (e.
g
., decision trees) can directl
y
deal
with missin
g
values. Other techni
q
ues need some additional
p
re
p
ro-
cessing. The following are the most popular schemes to deal with miss-
in
g
values:
2
■ Replace (impute). This implies replacing the missing value
with a known value (e.
g
., consider the exam
p
le in Table 2.1 ).
One could im
p
ute the missin
g
credit bureau scores with the
average or median of the known values. For marital status, the
mode can then be used. One could also a
pp
l
y
re
g
ression‐based
im
p
utation whereb
y
a re
g
ression model is estimated to model
a target variable (e.g., credit bureau score) based on the other
information available (e.
g
., a
g
e, income). The latter is more
sophisticated, although the added value from an empirical view
-
point (e.g., in terms of model performance) is questionable.
■
Delete.
This is the most straightforward option and consists of
deletin
g
observations or variables with lots of missin
g
values. This,
of course, assumes that information is missin
g
at random and has
no meanin
gf
u
l
inter
p
retation an
d
/or re
l
ations
h
i
p
to t
h
e tar
g
et.
■
K
ee
p
. Missing va
l
ues can
b
e meaning
f
u
l
(e.g., a customer
d
i
d
not
d
isc
l
ose
h
is or
h
er income
b
ecause
h
e or s
h
e is current
ly
unem
pl
o
y
e
d
). O
b
vious
ly
, t
h
is is c
l
ear
ly
re
l
ate
d
to t
h
e tar
g
et
(e.g., goo
d
/
b
a
d
ris
k
or c
h
urn) an
d
nee
d
s to
b
e consi
d
ere
d
as a
se
p
arate cate
g
or
y
.

20
▸
A
NALYTI
CS
IN A BI
G
DATA W
O
RL
D
As a
p
ractical wa
y
of workin
g
, one can rst start with statisticall
y
testing whether missing information is related to the target variable
(
usin
g
, for exam
p
le, a chi‐s
q
uared test, discussed later). If
y
es, then we
can ado
p
t the kee
p
strate
gy
and make a s
p
ecial cate
g
or
y
for it. If not,
one can, depending on the number of observations available, decide to
either delete or im
p
ute.
OUTLIER DETECTION AND TREATMENT
Outliers are extreme observations that are very dissimilar to the rest of
the
p
o
p
ulation. Actuall
y
, two t
yp
es of outliers can be considered:
1. Valid observations (e.g., salary of boss is $1 million)
2. Invalid observations (e.
g
., a
g
e is 300
y
ears)
Both are univariate outliers in the sense that they are outlying on
one dimension. However
,
outliers can be hidden in unidimensional
views of the data. Multivariate outliers are observations that are outl
y
-
in
g
in mu
l
ti
pl
e
d
imensions. Fi
g
ure 2.3
g
ives an exam
pl
e o
f
two out
ly
-
in
g
o
b
servations consi
d
erin
g
b
ot
h
t
h
e
d
imensions o
f
income an
d
a
g
e.
Two important steps in
d
ea
l
ing wit
h
out
l
iers are
d
etection an
d
treat
-
ment. A
rst o
b
vious c
h
ec
k
f
or out
l
iers is to ca
l
cu
l
ate t
h
e minimum
an
d
maximum va
l
ues
f
or eac
h
o
f
t
h
e
d
ata e
l
ements. Various
g
ra
ph
ica
l
T
able
2.1 Dea
li
ng w
i
t
h
M
i
ss
i
ng Va
l
ues
ID Age Income Marital
Status Credit Bureau
Score Class
1
34 1,80
0
?
62
0
Churne
r
2
28 1
,
20
0
Sin
g
l
e
?
Nonchurne
r
3
22
1,000
Sin
g
l
e
?
No
n
chu
rn
er
4
60
2
,
200
Wid
owe
d
7
00
Churne
r
5
58 2,00
0
M
arr
i
e
d
?
N
onc
h
urne
r
6
44
?
?
?
N
o
n
c
h
u
rn
er
7
22 1,20
0
Singl
e
?
N
onc
h
urne
r
8
2
6
1,50
0
Ma
rri
ed
350
N
o
n
c
h
u
rn
er
9
3
4
?
Sin
g
l
e
?
C
h
u
rn
er
1
0
50
2,10
0
Div
o
r
ced
?
N
o
n
c
h
u
rn
er

D
ATA COLLECTION, SAMPLING, AND PREPROCESSING ◂
21
tools can be used to detect outliers. Histo
g
rams are a rst exam
p
le.
Fi
g
ure 2.4
p
resents an exam
p
le of a distribution for a
g
e whereb
y
the
circled areas clearly represent outliers.
Another useful visual mechanism are box plots. A box plot repre
-
sents three ke
y
q
uartiles of the data: the rst
q
uartile (25
p
ercent of
the observations have a lower value), the median (50 percent of the
observations have a lower value), and the third
q
uartile (75
p
ercent
of the observations have a lower value). All three
q
uartiles are re
p-
resented as a box. The minimum and maximum values are then also
Fi
g
ure 2.3 Multivariate
O
utliers
0
500
1,000
1,500
2,000
2,500
3,000
3,500
4,000
4,500
10 20 30 40 50 60 70
Income and Age
Figure 2.4 Histograms
f
or Outlier Detection
0
500
1,000
1,500
2,000
2,500
3,000
3,500
0–5 20–25 25–30 30–35 35–40 40–45 45–50 50–55 55–60 60–65 65–70 150–200
Age
Frequency

22
▸
A
NALYTICS IN A BIG DATA WORL
D
added unless they are too far away from the edges of the box. Too
far away is then quanti ed as more than 1.5 * Interquartile Range
(
IQR = Q
3
−
Q
1 ). Figure 2.5 gives an examp
l
e o
f
a
b
ox p
l
ot in w
h
ic
h
t
hree ou
t
liers can be seen.
Another wa
y
is to calculate z‐scores, measurin
g
how man
y
stan
-
dard deviations an observation lies awa
y
from the mean, as follows:
=−μ
σ
zx
i
i
where
μ
represents the average of the variable and
σ
its standard devi
-
ation. An exam
p
le is
g
iven in Table 2.2 . Note that b
y
de nition, the
z
‐scores will have 0 mean and unit standard deviation.
z
A
p
ractical rule of thumb then de nes outliers when the absolute
v
alue of the
z
‐
sco
r
e
z
|
z
|
is bi
gg
er than 3. Note that the
z
‐score relies on
z
t
he normal dis
t
ribu
t
ion.
The above methods all focus on univariate outliers. Multivariate
outliers can be detected b
y
ttin
g
re
g
ression lines and ins
p
ectin
g
the
Table 2.2 Z‐Scores
f
or Outlier Detection
ID Age Z ‐Score
13
0
(
30 − 40
)
/10 = −
1
2
50
(50 − 40)/10 = +
1
3
1
0
(
10 − 40
)
/10 = −
3
4
40
(40 − 40)
/
10 =
0
5
6
0
(
60 − 40
)
/10 = +
2
6
80
(80 − 40)
/
10 = +
4
…
…
…
μ
μ
= 4
0
σ
=
1
0
μ
μ
=
0
σ
=
1
Fi
g
ure 2.5 Box Plots for
O
utlier Detection
Min Q1Q3
M
1.5 * IQR
Outliers

D
ATA COLLECTION
,
SAMPLING
,
AND PREPROCESSING ◂
23
o
b
servations wit
h
l
arge errors (using,
f
or examp
l
e, a resi
d
ua
l
p
l
ot).
A
l
ternative met
h
o
d
s are c
l
ustering or ca
l
cu
l
ating t
h
e Ma
h
a
l
ano
b
is
d
is-
tance. Note, however, that although potentially useful, multivariate
outlier detection is t
yp
icall
y
not considered in man
y
modelin
g
exer-
cises due to the t
yp
ical mar
g
inal im
p
act on model
p
erformance.
Some analytical techniques (e.g., decision trees, neural net
-
works, Su
pp
ort Vector Machines (SVMs)) are fairl
y
robust with
res
p
ect to outliers. Others (e.
g
., linear/lo
g
istic re
g
ression) are more
s
ensitive to them. Various schemes exist to deal with outliers. It
hi
g
hl
y
de
p
ends on whether the outlier re
p
resents a valid or invalid
observation. For invalid observations (e.
g
., a
g
e is 300
y
ears), one
could treat the outlier as a missing value using any of the schemes
discussed in the
p
revious section. For valid observations (e.
g
.,
income is $1 million), other schemes are needed. A popular scheme
is truncation/capping/winsorizing. One hereby imposes both a
lower and u
pp
er limit on a variable and an
y
values below/above
are brought back to these limits. The limits can be calculated using
t
he
z
‐scores (see Figure 2.6 ), or the IQR (which is more robust than
z
t
he
z
‐scores), as follows:
z
Upper/lower limit M 3s, with M median and s IQR/(2 0.6745).3
=± = = ×
A si
g
moi
d
trans
f
ormation ran
g
in
g
b
etween 0 an
d
1 can a
l
so
b
e
use
d
f
or capping, as
f
o
ll
ows:
=+−
fx ex
() 1
1
μ + 3σμ – 3σ μ
F
i
gure 2.6 Using the Z‐Scores for Truncation

2
4
▸
A
NALYTI
CS
IN A BI
G
DATA W
O
RL
D
In addition, ex
p
ert‐based limits based on business knowled
g
e and
/
or ex
p
erience can be im
p
osed.
STANDARDIZING DATA
Standardizing data is a data preprocessing activity targeted at scaling
variables to a similar range. Consider, for example, two variables: gen
-
der (coded as 0/1) and income (ranging between $0 and $1 million).
When building logistic regression models using both information ele-
ments, the coef cient for income might become very small. Hence, it
cou
ld
ma
k
e sense to
b
ring t
h
em
b
ac
k
to a simi
l
ar sca
l
e. T
h
e
f
o
ll
owing
stan
d
ar
d
ization proce
d
ures cou
ld
b
e a
d
opte
d
:
■ Min
/
max s
t
andardiza
t
ion
■ =−
−−+XXX
XX
newmax newmin newmin
new
old old
old old
min( )
max( ) min( )(),
whereby newmax and newmin are the newly imposed maxi-
m
um and minimum (e.
g
., 1 and 0).
■
Z
‐score standardization
Z
■
C
alcula
t
e
t
he
z
‐scores (see the previous section)
z
■ Decimal scalin
g
■ Dividin
g
b
y
a
p
ower of 10 as follows: =XX
new
old
n
10
,
with
n
t
he
n
umber of digits of the maximum absolute value.
A
g
ain note that standardization is es
p
eciall
y
useful for re
g
ression
‐
b
ased approaches, but is not needed for decision trees, for example.
CATEGORIZATION
Cate
g
orization (also known as coarse classi cation, classin
g
,
g
rou
p
in
g
,
b
innin
g
, etc.) can
b
e
d
one
f
or various reasons. For cate
g
orica
l
vari-
a
bl
es, it is nee
d
e
d
to re
d
uce t
h
e num
b
er o
f
cate
g
ories. Consi
d
er,
f
or
examp
l
e, t
h
e varia
bl
e “purpose o
f
l
oan”
h
aving 50
d
i
ff
erent va
l
ues.
W
h
en t
h
is varia
bl
e wou
ld
b
e
p
ut into a re
g
ression mo
d
e
l
, one wou
ld
nee
d
49
d
umm
y
varia
bl
es (50 − 1
b
ecause o
f
t
h
e co
ll
inearit
y
), w
h
ic
h
wou
ld
necessitate t
h
e estimation o
f
49 parameters
f
or on
l
y one vari-
a
bl
e. Wit
h
cate
g
orization, one wou
ld
create cate
g
ories o
f
va
l
ues suc
h

D
ATA COLLECTION
,
SAMPLING
,
AND PREPROCESSING ◂
25
that fewer
p
arameters will have to be estimated and a more robust
model is ob
t
ained.
For continuous variables, categorization may also be very bene
-
cial. Consider, for exam
p
le, the a
g
e variable and its risk as de
p
icted in
Fi
g
ure 2.7 . Clearl
y
, there is a nonmonotonous relation between risk
and age. If a nonlinear model (e.g., neural network, support vector
machine) were to be used, then the nonlinearit
y
can be
p
erfectl
y
mod-
eled. However, if a re
g
ression model were to be used (which is t
yp
i
-
cally more common because of its interpretability), then since it can
onl
y
t a line, it will miss out on the nonmonotonicit
y
. B
y
cate
g
orizin
g
the variable into ran
g
es,
p
art of the nonmonotonicit
y
can be taken
into account in the regression. Hence, categorization of continuous
variables can be useful to model nonlinear effects into linear models.
Various methods can be used to do categorization. Two very basic
methods are equal interval binning and equal frequency binning.
Consider, for exam
p
le, the income values 1,000, 1,200, 1,300, 2,000,
1,800, and 1,400. Equal interval binning would create two bins with
the same ran
g
e—Bin 1: 1,000, 1,500 and Bin 2: 1,500, 2,000—whereas
e
q
ual fre
q
uenc
y
binnin
g
would create two bins with the same num-
b
er o
f
o
b
servations—Bin 1: 1,000, 1,200, 1,300; Bin 2: 1,400, 1,800,
2,000. However,
b
ot
h
met
h
o
d
s are
q
uite
b
asic an
d
d
o not ta
k
e into
account a target varia
bl
e (e.g., c
h
urn,
f
rau
d
, cre
d
it ris
k
).
C
h
i‐s
q
uare
d
ana
ly
sis is a more so
ph
isticate
d
wa
y
to
d
o coarse c
l
as
-
si
cation. Consi
d
er t
h
e exam
pl
e
d
e
p
icte
d
in Ta
bl
e 2.3
f
or coarse c
l
as
-
si
f
ying a resi
d
entia
l
status varia
bl
e.
0
5
10
15
20
25
30
16 26 38 51 64 75
F
i
gure 2.7 Default Risk versus Age

26
▸
A
NALYTICS IN A BIG DATA WORL
D
Suppose we want t
h
ree categories an
d
consi
d
er t
h
e
f
o
ll
owing
opt
i
ons:
■ Option 1: owner, renters, ot
h
ers
■ O
p
tion 2: owner, with
p
arents, others
Both options can now be investigated using chi‐squared analysis.
The
p
ur
p
ose is to com
p
are the em
p
iricall
y
observed with the inde
p
en-
dence fre
q
uencies. For o
p
tion 1, the em
p
iricall
y
observed fre
q
uencies
are depicted in Table 2.4 .
The inde
p
endence fre
q
uencies can be calculated as follows. The
number of
g
ood owners,
g
iven that the odds are the same as in the
whole population, is 6,300/10,000
×
9
,
000/10
,
000
×
10
,
000 = 5
,
670.
O
ne
t
hen ob
t
ains Table 2.5 .
The more the numbers in both tables differ, the less inde
p
endence,
hence better dependence and a better coarse classi cation. Formally,
one can calculate the chi‐s
q
uared distance as follows:
χ= −+−+−+−
+−+−=
(6000 5670)
5670
(300 630)
630
(1950 2241)
2241
(540 249)
249
(1050 1089)
1089
(160 121)
121 583
222 22
22
Ta
bl
e 2.3 Coarse Classi
f
ying the Residential Status Variable
Attribute Owner Rent
Unfurnished Rent
Furnished With
Parents Other No
Answer Total
6
,00
0
1
,60
0
3
5
0
9
5
0
9
0
1
0
9
,00
0
B
ads
30
0
4
0
0
14
0
10
0
5
0
1
0
1,
00
0
Goo
d:
b
a
d
odds
20
:
1
4
:
1
2
.
5
:
1
9
.
5
:
1
1
.
8
:
1
1
:
1
9
:
1
Source
:
L. C. Thomas
,
D. Edelman
,
and J. N. Crook
,
Credit Scoring and its Applications
(Society for Industrial and Applied
s
Mathematics, Philadelphia, Penn., 2002).
T
able
2.4 Empirical Frequencies Option 1
f
or Coarse Classi
fy
in
g
Residential Status
Attribute Owner Renters Others Total
G
ood
s
6,00
0
1,95
0
1
,05
0
9
,00
0
B
a
ds
300
5
40
160
1
,
000
Tota
l
6
,
30
0
2
,
49
0
1,
21
0
1
0
,
00
0

D
ATA
CO
LLE
C
TI
O
N,
S
AMPLIN
G
, AND PREPR
OC
E
SS
IN
G
◂
2
7
T
able
2.
5
Independence Frequencies Option 1 for Coarse Classif
y
in
g
Residential Status
Attribute Owner Renters Others Total
G
ood
s
5,67
0
2,24
1
1,08
9
9
,00
0
B
ads
630
24
9
12
1
1
,
00
0
T
ota
l
6
,30
0
2,49
0
1,21
0
1
0,00
0
Ta
bl
e 2.6 Coarse Classifying the Purpose Variable
Customer ID Age Purpose … G/B
C
1
44 Ca
r
G
C2
20
Cash
G
C3
58
Tr
a
v
el
B
C
42
6
Car
G
C5
30
Stud
y
B
C
6
32
H
ous
e
G
C
74
8
Cash
B
C
8
60
C
a
r
G
…
…
…
Likewise, for option 2, the calculation becomes
:
χ= −+−+−+−
+−+−=
(6000 5670)
5670
(300 630)
630
(950 945)
945
(100 105)
105
(2050 2385)
2385
(600 265)
265 662
22222
22
So, based u
p
on the chi‐s
q
uared values, o
p
tion 2 is the better cat
-
egorization. Note that formally, one needs to compare the value with
a chi‐s
q
uared distribution with
k
− 1 degrees of freedom with
k
k
being
k
the number of
v
alues of the characteristic.
Many analytics software tools have built‐in facilities to do catego
-
rization usin
g
chi‐s
q
uared anal
y
sis. A ver
y
hand
y
and sim
p
le a
pp
roach
(available in Microsoft Excel) is
p
ivot tables. Consider the exam
p
le
shown in Table 2.6
.
One can then construct a
p
ivot table and calculate the odds as
sho
w
n in Table 2.7
.

2
8
▸
A
NALYTI
CS
IN A BI
G
DATA W
O
RL
D
We can then categorize the values based on similar odds. For
example, category 1 (car, study), category 2 (house), and category 3
(
cash, travel).
WEIGHTS OF EVIDENCE CODING
Categorization reduces the number of categories for categorical vari
-
ables. For continuous variables, cate
g
orization will introduce new
variables. Consider a re
g
ression model with a
g
e (4 cate
g
ories, so 3
parameters) and purpose (5 categories, so 4 parameters) characteris-
tics. The model then looks as follows:
YAge Age Age Purp
Purp Purp Purp
01 12 23 34 1
526374
=β +β +β +β +β
+β +β +β
Des
p
ite havin
g
onl
y
two characteristics, the model still needs 8
p
arameters to be estimated. It would be hand
y
to have a monotonic
transformation
f
(
.) such that our model could be rewritten as follows:
f
f
=β +β +βYf f(Age , Age , Age ) (Purp , Purp , Purp , Purp )
01 1 2 3 2 1 2 3 4
The transformation should have a monotonically increasing or
decreasing relationship with
Y
. Weights‐of‐evidence coding is one
exam
p
le of a transformation that can be used for this
p
ur
p
ose. This is
illus
t
ra
t
ed in Table 2.8 .
The WOE is calculated as: ln(Distr. Good/Distr. Bad). Because of
t
h
e
l
ogarit
h
mic trans
f
ormation, a positive (negative) WOE means
Distr. Goo
d
> (<) Distr. Ba
d
. T
h
e WOE trans
f
ormation t
h
us im
pl
e
-
ments a trans
f
ormation monotonica
lly
re
l
ate
d
to t
h
e tar
g
et varia
bl
e.
T
h
e mo
d
e
l
can t
h
en
b
e re
f
ormu
l
ate
d
as
f
o
ll
ows
:
YWOE WOE
0 1 age 2 purpose
=β +β +β
Table 2.7 Pivot Table for Coarse Classifying the Purpose Variable
Car Cash Travel Study House …
G
ood
1
,00
0
2
,00
0
3,00
0
10
0
5
,00
0
B
ad
50
0
1
0
0
20
0
80 80
0
Odds
2
20
1
5
1.2
5
6
.2
5

D
ATA
CO
LLE
C
TI
O
N
,
S
AMPLIN
G,
AND PREPR
OC
E
SS
IN
G
◂
29
T
h
is gives a more concise mo
d
e
l
t
h
an t
h
e mo
d
e
l
wit
h
w
h
ic
h
we
started this section. However, note that the interpretability of the
model becomes somewhat less strai
g
htforward when WOE variables
are bein
g
used.
VARIABLE SELECTION
Many analytical modeling exercises start with tons of variables, of
which t
yp
icall
y
onl
y
a few actuall
y
contribute to the
p
rediction of
the tar
g
et variable. For exam
p
le, the avera
g
e a
pp
lication/behavioral
scorecard in credit scoring has somewhere between 10 and 15 vari-
ables. The ke
y
q
uestion is how to nd these variables. Filters are a
very handy variable selection mechanism. They work by measuring
univariate correlations between each variable and the target. As such,
the
y
allow for a
q
uick screenin
g
of which variables should be retained
for further analysis. Various lter measures have been suggested in the
literature. One can categorize them as depicted in Table 2.9.
The Pearson correla
t
ion ρPis calculated as follo
w
s:
∑
∑∑
ρ= −−
−−
=
==
XXYY
XX YY
P
i
i
n
i
i
i
n
i
i
n
()()
() ()
1
2
1
2
1
varies
b
etween −1 an
d
+1. To app
l
y it as a
l
ter, one cou
ld
se
l
ect a
ll
varia
bl
es
f
or w
h
ic
h
t
h
e Pearson corre
l
ation is si
g
ni
cant
ly
d
i
ff
erent
Ta
bl
e 2.8 Calculating Weights o
f
Evidence (WOE)
Age Count Distr.
Count Goods Distr.
Good Bads Distr.
Bad WOE
50 2.50
%
4
2
2
.33
%
8
4
.12
%
−
57.28
%
18–2
2
20
0
10.00
%
15
2
8
.42
%
4
8
2
4.74
%
−107.83
%
23
–
26
300
1
5.
00%
246
13
.
62%
5
4
2
7.
84%
−
7
1
.
4
7
%
2
7–
29
4
5
0
22
.5
0%
405
22
.
43%
45
23
.
20%
−3
.
38%
3
0–3
5
50
0
25.00
%
47
5
26.30
%
2
5
1
2.89
%
71.34
%
35
–4
4
350
17.
50%
339
1
8
.77
%
11
5
.
6
7
%
11
9
.71
%
44
+
1
5
0
7
.50
%
14
7
8
.14
%
3
1
.55
%
166.08
%
2,00
0
1
,80
6
1
94

30
▸
A
NALYTI
CS
IN A BI
G
DATA W
O
RL
D
from 0 (according to the
p
‐value), or, for example, the ones where
|ρ
P
|
>
0.50.
The Fisher score can be calculated as follo
w
s
:
−
+
22
XX
ss
GB
GB
,
w
here XGXB
()
re
p
resents the avera
g
e value of the variable for the
Goods (Bads) and sG
2sB
()
2 the corresponding variances. High values of
the Fisher score indicate a predictive variable. To apply it as a lter,
one could, for exam
p
le, kee
p
the to
p
10
p
ercent. Note that the Fisher
score may generalize to a well‐known analysis of variance (ANOVA) in
case a variable has multi
p
le cate
g
ories.
The information value (IV) lter is based on wei
g
hts of evidence
and is calculated as follows:
∑
=−
=
IV Dist Good Dist Bad WOE
ii
i
k
i
()*
1
k
represents the number of categories of the variable. For the
k
example discussed in Table 2.8 , the calculation becomes as depicted in
Table 2.10 .
The followin
g
rules of thumb a
pp
l
y
for the information value:
■ < 0.02: unpredictive
■ 0.02–0.1: weak
p
redictive
■ 0.1–0.3: me
d
ium pre
d
ictive
■ > 0.3: stron
g
p
re
d
ictive
Note t
h
at t
h
e in
f
ormation va
l
ue assumes t
h
at t
h
e varia
bl
e
h
as
b
een cate
g
orize
d
. It can actua
lly
a
l
so
b
e use
d
to a
dj
ust/steer t
h
e cat-
e
g
orization so as to o
p
timize t
h
e IV. Man
y
so
f
tware too
l
s wi
ll
p
rovi
d
e
T
able
2.9 Filters
f
or Variable Selection
Continuous Target
(e.g., CLV, LGD) Categorical Target (e.g.,
churn, fraud, credit risk)
C
o
ntinu
o
us variabl
e
Pearson correlatio
n
Fisher scor
e
Cate
g
orical variabl
e
Fisher score/ANOV
A
Information value
(
IV
)
Cramer’s V
Gain/entrop
y

D
ATA COLLECTION, SAMPLING, AND PREPROCESSING ◂
31
interactive support to
d
o t
h
is, w
h
ere
b
y t
h
e mo
d
e
l
er can a
d
just t
h
e
categories and gauge the impact on the IV. To apply it as a lter, one
can calculate the information value of all (cate
g
orical) variables and
onl
y
kee
p
those for which the IV > 0.1 or, for exam
p
le, the to
p
10%.
Another lter measure based upon chi‐squared analysis is Cramer’s
V. Consider the contin
g
enc
y
table de
p
icted in Table 2.11 for marital
status versus
g
ood/bad.
Similar to the example discussed in the section on categorization,
the chi‐s
q
uared value for inde
p
endence can then be calculated as
follo
w
s
:
χ= −+−+−+−=
(500 480)
480
(100 120)
120
(300 320)
320
(100 80)
80 10.41
222 22
k
− 1 degrees of free-
k
dom
,
with
k
being the number of classes of the characteristic. The
k
Cramer’s V measure can then be calculated as follows:
Cramer s V n0.10,
2
′=χ=
Ta
bl
e 2.10 Calculating the In
f
ormation Value Filter Measure
Age Count Distr.
Count Goods Distr.
Good Bads Distr.
Bad WOE IV
M
issin
g
50
2
.50
%
4
2
2
.33
%
8
4.12
%
−
57.28
%
0.010
3
1
8–2
2
20
0
1
0.00
%
15
2
8
.42
%
4
8 24.74
%
−107.83
%
0.176
0
23
–
26
300
1
5.
00%
246
13
.
62%
54
2
7.
84%
−
7
1
.
4
7
%
0
.
1016
27–2
9
45
0
2
2.50
%
4
0
5
22.43
%
4
5 23.20
%
−3.38
%
0.000
3
3
0–3
5
50
0
2
5.00
%
4
7
5
26.30
%
2
5 12.89
%
7
1.34
%
0.095
7
3
5–4
4
35
0
1
7.50
%
33
9
18.77
%
1
1 5.67
%
119.71
%
0.156
8
4
4
+
15
0
7
.50
%
14
7
8
.14
%
3 1.55
%
166.08
%
0.109
5
I
nf
o
rm
a
ti
o
n V
a
l
ue
0
.
6502
T
ab
l
e
2.11 Contin
g
enc
y
Table for Marital Status versus Good/Bad Customer
Good Bad Total
Ma
rri
ed
500
1
00
600
N
ot
M
arr
i
e
d
3
0
0
10
0
40
0
T
ota
l
8
0
0
2
0
0
1,00
0
32
▸
A
NALYTI
CS
IN A BI
G
DATA W
O
RL
D
w
ith
n
bein
g
the number of observations in the data set. Cramer’s V
is alwa
y
s bounded between 0 and 1 and hi
g
her values indicate bet
-
ter predictive power. As a rule of thumb, a cutoff of 0.1 is commonly
adopted. One can then again select all variables where Cramer’s V is
b
igger than 0.1, or consider the top 10 percent. Note that the informa-
tion value and Cramer’s V typically consider the same characteristics
as most important.
Filters are very handy because they allow you to reduce the num
-
b
er of dimensions of the data set early in the analysis in a quick way.
Their main drawback is that the
y
work univariatel
y
and t
yp
icall
y
do
not consi
d
er,
f
or examp
l
e, corre
l
ation
b
etween t
h
e
d
imensions in
d
i
-
vi
d
ua
ll
y. Hence, a
f
o
ll
ow-up input se
l
ection step
d
uring t
h
e mo
d
e
l
ing
p
h
ase wi
ll
b
e necessary to
f
urt
h
er re
ne t
h
e c
h
aracteristics. A
l
so wort
h
mentioning here is that other criteria may play a role in selecting vari
-
ables. For exam
p
le, from a re
g
ulator
y
com
p
liance view
p
oint, some
variables ma
y
not be used in anal
y
tical models (e.
g
., the U.S. E
q
ual
Credit Opportunities Act states that one cannot discriminate credit
b
ased on a
g
e,
g
ender, marital status, ethnic ori
g
in, reli
g
ion, and so on,
so these variables should be left out of the anal
y
sis as soon as
p
ossible).
Note that different regulations may apply in different geographical
re
g
ions and hence should be checked. Also, o
p
erational issues could
b
e considered (e.
g
., trend variables could be ver
y
p
redictive but ma
y
require too much time to be computed in a real‐time online scoring
environment).
SEGMENTATION
Sometimes the data is segmented before the analytical modeling
starts. A rst reason for this could be strategic (e.g., banks might
want to ado
p
t s
p
ecial strate
g
ies to s
p
eci c se
g
ments of customers).
It cou
ld
a
l
so
b
e motivate
d
f
rom an o
p
erationa
l
view
p
oint (e.
g
., new
customers must
h
ave se
p
arate mo
d
e
l
s
b
ecause t
h
e c
h
aracteristics
in t
h
e stan
d
ar
d
mo
d
e
l
d
o not ma
k
e sense operationa
ll
y
f
or t
h
em).
Se
g
mentation cou
ld
a
l
so
b
e nee
d
e
d
to ta
k
e into account si
g
ni
cant
varia
bl
e interactions (e.
g
., i
f
one varia
bl
e stron
gly
interacts wit
h
a
num
b
er o
f
ot
h
ers, it mig
h
t
b
e sensi
bl
e to segment accor
d
ing to t
h
is
varia
bl
e).
D
ATA COLLECTION
,
SAMPLING
,
AND PREPROCESSING ◂
33
The se
g
mentation can be conducted usin
g
the ex
p
erience and
knowled
g
e from a business ex
p
ert, or it could be based on statistical
analysis using, for example, decision trees (see Chapter 3 ), k‐means, or
self‐organizing maps (see Chapter 4 ).
Segmentation is a very useful preprocessing activity because one
can now estimate different analytical models each tailored to a speci c
segment. However, one needs to be careful with it because by seg-
menting, the number of analytical models to estimate will increase,
which will obviously also increase the production, monitoring, and
main
t
enance cos
t
s.
NOTES
1. J. Banasik, J. N. Crook, and L. C. Thomas, “Sam
p
le Selection Bias in Credit Scor
-
in
g
Models” in Proceedin
g
s of the Seventh Conference on Credit Scorin
g
and Credit Control
(Edinbur
g
h Universit
y
, 2001).
2. R. J. A. Little and D. B. Rubin
,
Statistical Analysis with Missin
g
Data (Wile
y
-Inter
-
science, Hoboken, New Jerse
y
, 2002).
3. T. Van Gestel and B. Baesens
,
C
redit Risk Mana
g
ement: Basic Concepts: Financial Risk
Components, Ratin
g
Analysis, Models, Economic and Re
g
ulatory Capital, Oxford Universit
y
Press, Oxford, En
g
land, ISBN 978-0-19-954511-7, 2009.
35
C
HAPTER
3
Predictive
Analytics
I n
p
re
d
ictive ana
ly
tics, t
h
e aim is to
b
ui
ld
an ana
ly
tica
l
mo
d
e
l
p
re-
d
icting a target measure o
f
interest.
1
T
h
e target is t
h
en typica
ll
y
use
d
to steer t
h
e
l
earnin
g
p
rocess
d
urin
g
an o
p
timization
p
roce
d
ure.
Two t
yp
es o
f
p
re
d
ictive ana
ly
tics can
b
e
d
istin
g
uis
h
e
d
: re
g
ression an
d
c
l
assi
cation. In regression, t
h
e target varia
bl
e is continuous. Popu
-
l
ar exam
pl
es are
p
re
d
ictin
g
stoc
k
p
rices,
l
oss
g
iven
d
e
f
au
l
t (LGD), an
d
customer
l
i
f
etime va
l
ue (CLV). In c
l
assi
cation, t
h
e tar
g
et is cate
g
ori-
ca
l
. It can
b
e
b
inary (e.g.,
f
rau
d
, c
h
urn, cre
d
it ris
k
) or mu
l
tic
l
ass (e.g.,
p
re
d
ictin
g
cre
d
it ratin
g
s). Di
ff
erent t
yp
es o
f
p
re
d
ictive ana
ly
tics tec
h
-
ni
q
ues
h
ave
b
een su
gg
este
d
in t
h
e
l
iterature. In w
h
at
f
o
ll
ows, we wi
ll
d
iscuss a se
l
ection o
f
tec
h
niques wit
h
a particu
l
ar
f
ocus on t
h
e practi-
tioner’s
p
ers
p
ective.
TARGET DEFINITION
Because t
h
e tar
g
et varia
bl
e
pl
a
y
s an im
p
ortant ro
l
e in t
h
e
l
earnin
g
p
rocess, it is o
f
k
e
y
im
p
ortance t
h
at it is a
pp
ro
p
riate
ly
d
e
ne
d
. In w
h
at
follows, we will give some examples.
In a customer attrition settin
g
, churn can be de ned in vari
-
ous wa
y
s. Active churn im
p
lies that the customer sto
p
s the relation-
ship with the rm. In a contractual setting (e.g., postpaid telco),

36
▸
A
NALYTI
CS
IN A BI
G
DATA W
O
RL
D
this can be easil
y
detected when the customer cancels the contract.
In a noncontractual settin
g
(e.
g
., su
p
ermarket), this is less obvious
and needs to be operationalized in a speci c way. For example, a
customer churns if he or she has not purchased any products during
the previous three months. Passive churn occurs when a customer
decreases the intensity of the relationship with the rm, for exam
-
ple, by decreasing product or service usage. Forced churn implies
that the company stops the relationship with the customer because
he or she has been engaged in fraudulent activities. Expected churn
occurs when the customer no lon
g
er needs the
p
roduct or service
(
e.g.,
b
a
b
y pro
d
ucts).
In cre
d
it scoring, a
d
e
f
au
l
ter can
b
e
d
e
ne
d
in various ways. For
examp
l
e, accor
d
ing to t
h
e Base
l
II/Base
l
III regu
l
ation, a
d
e
f
au
l
ter
is de ned as someone who is 90 days in payment arrears. In the
United States, this has been chan
g
ed to 180 da
y
s for mort
g
a
g
es and
q
ualif
y
in
g
revolvin
g
ex
p
osures, and 120 da
y
s for other retail ex
p
o
-
sures. Other countries (e.g., the United Kingdom) have made similar
ad
j
ustments.
In fraud detection, the tar
g
et fraud indicator is usuall
y
hard to
determine because one can never be fully sure that a certain transac-
tion (e.
g
., credit card) or claim (e.
g
., insurance) is fraudulent. T
yp
icall
y
,
the decision is then made based on a le
g
al
j
ud
g
ment or a hi
g
h sus
p
i-
cion by a business expert.
2
In res
p
onse modelin
g
, the res
p
onse tar
g
et can be de ned in vari
-
ous wa
y
s. Gross res
p
onse refers to the customers who
p
urchase after
having received the marketing message. However, it is more interest-
in
g
to de ne the tar
g
et as the
n
et res
p
onse
,
bein
g
the customers who
purchase because of having received the marketing message, the so‐
called swingers.
Customer lifetime value (CLV) is a continuous tar
g
et variable and
is usua
lly
d
e
ne
d
as
f
o
ll
ows:
3
∑
=−
+
=
CLV RCs
d
ttt
t
i
n()
(1 )
1
w
h
ere
n
re
p
resents t
h
e time
h
orizon consi
d
ere
d
(t
yp
ica
lly
two to t
h
ree
years
)
,
R
t
the revenue at time
t
t
(both direct and indirect),
t
C
t
C
the costs
t
incurre
d
a
t
t
ime
t
(both direct and indirect),
t
s
t
the survival probability
t

P
REDI
C
TIVE ANALYTI
CS
◂
3
7
a
t
t
ime
t
(see Chapter 5 ), and
t
d
the discounting factor (typically the
d
weighted average cost of capital [WACC]). De ning all these param
-
eters is b
y
no means a trivial exercise and should be done in close
collaboration with the business ex
p
ert. Table 3.1
g
ives an exam
p
le of
calculating CLV.
Loss
g
iven default (LGD) is an im
p
ortant credit risk
p
arameter in a
Basel II/Basel III setting.
4
It represents the percentage of the exposure
likely to be lost upon default. Again, when de ning it, one needs to
decide on the time horizon (t
yp
icall
y
two to three
y
ears), what costs
to inc
l
u
d
e (
b
ot
h
d
irect an
d
in
d
irect), an
d
w
h
at
d
iscount
f
actor to a
d
o
p
t
(t
yp
ica
lly
t
h
e contract rate).
Be
f
ore starting t
h
e ana
l
ytica
l
step, it is rea
ll
y important to c
h
ec
k
t
h
e ro
b
ustness an
d
sta
b
i
l
it
y
o
f
t
h
e tar
g
et
d
e
nition. In cre
d
it scorin
g
,
one common
ly
a
d
o
p
ts ro
ll
rate ana
ly
sis
f
or t
h
is
p
ur
p
ose as i
ll
ustrate
d
in Figure 3.1 . T
h
e purpose
h
ere is to visua
l
ize
h
ow customers move
f
rom one
d
e
l
in
q
uenc
y
state to anot
h
er
d
urin
g
a s
p
eci
c time
f
rame. It
T
ab
l
e
3
.1 Exam
p
le CLV Calculation
Month t Revenue in
Month t ( R
t ) Cost in Month
t ( C
t )
Survival
Probability in
Month t ( s
t ) ( R
t − C
t ) *
s
t / (1 + d )
t
115
0
5 0.9
4
135.2
2
210
0
10 0.9
2
82.80
3
12
0
5 0.8
8
101.2
0
4
100
0
0
.
84
84
.
00
5
13
0
10 0.8
2
98.40
6
14
0
5
0
.7
4
99
.
90
7
80
1
5
0
.
7
4
5.5
0
8
10
0
10 0.6
8
61.20
9
12
0
1
0
0
.
66
72.
60
10
90
20
0
.
6
42
.
00
11 1
00
0
0
.
55
55
.
00
12
130
10
0
.
5
60
.
00
C
LV
93
7.
82
Y
earl
y
WAC
C
1
0
%
Monthl
y
WAC
C
1
%

38
▸
A
NALYTI
CS
IN A BI
G
DATA W
O
RL
D
can be easil
y
seen from the
p
lot that once the customer has reached
90 or more da
y
s of
p
a
y
ment arrears, he or she is unlikel
y
to recover.
LINEAR REGRESSION
Linear regression is a baseline modeling technique to model a continu
-
ous tar
g
et variable. For exam
p
le, in a CLV modelin
g
context, a linear
re
g
ression model can be de ned to model CLV in terms of the RFM
(
recency, frequency, monetary value) predictors as follows:
=β +β +β +βCLV R F M
01 2 3
The β parameters are then typically estimated using ordinary least
squares (OLS) to minimize the sum of squared errors. As part of the
estimation, one then also obtains standard errors,
p
‐values indicatin
g
varia
bl
e im
p
ortance (remem
b
er im
p
ortant varia
bl
es
g
et
l
ow
p
‐va
l
ues),
an
d
con
d
ence interva
l
s. A
k
e
y
a
d
vanta
g
e o
f
l
inear re
g
ression is t
h
at it
is simp
l
e an
d
usua
ll
y wor
k
s very we
ll
.
Note t
h
at more so
ph
isticate
d
variants
h
ave
b
een su
gg
este
d
in t
h
e
l
iterature (e.
g
., ri
dg
e re
g
ression,
l
asso re
g
ression, time series mo
d
-
e
l
s [ARIMA, VAR, GARCH], mu
l
tivariate a
d
aptive regression sp
l
ines
[MARS]).
Fi
g
ure3.1 Roll Rate Anal
y
sis
S
ource
:
N. S
iddiqi
, Cre
di
t R
i
s
k
Scorecar
d
s: Deve
l
op
i
ng an
d
Imp
l
ement
i
ng Inte
lli
gent Cre
di
t Scor
i
n
g
(Ho
b
o
k
en, NJ: Jo
h
n W
il
ey & Sons, 2005).
100%80%60%40%20%0%
Worst—Next 12 Months
Curr/x day
30 day
60 day
90+
Worst—Previous 12 Months
Roll Rate
Curr/x day 30 day 60 day 90+

P
REDI
C
TIVE ANALYTI
CS
◂
39
LOGISTIC REGRESSION
Consider a classi cation data set for response modeling as depicted in
Table 3.2 .
When modeling the response using linear regression, one gets
:
=β +β +β +βYAge Income Gende
r
01 2 3
When estimating this using OLS, two key problems arise:
1. The errors/target are not normally distributed but follow a
Bernoulli dis
t
ribu
t
ion.
2. T
h
ere is no guarantee t
h
at t
h
e target is
b
etween 0 an
d
1, w
h
ic
h
wou
ld
b
e
h
an
d
y
b
ecause it can t
h
en
b
e interprete
d
as a pro
b
-
abilit
y
.
Consider now the following bounding function:
=+−
fz ez
() 1
1
which can be seen in Figure 3.2 .
For ever
y
p
ossible value of z
,
the outcome is alwa
y
s between
0 and 1. Hence, b
y
combinin
g
the linear re
g
ression with the boundin
g
function, we get the following logistic regression model:
P response yes age income gender e
(|,,) 1
1( age income gender)
01 2 3
==
+− β +β +β +β
The outcome of the above model is alwa
y
s bounded between 0
and 1, no matter what values of age, income, and gender are being
used, and can as such be inter
p
reted as a
p
robabilit
y
.
Table3.2 Exam
p
le Classi cation Data Set
Customer Age Income Gender . . . Response Y
J
o
hn
30
1
,
200
M
No
0
S
ara
h
25
8
0
0
F
Yes
1
S
ophi
e
5
2
2
,20
0
F
Yes
1
D
av
id
48
2
,
000
M
No
0
Pe
t
er
3
4
1,
80
0
M
Y
es
1

40
▸
A
NALYTI
CS
IN A BI
G
DATA W
O
RL
D
T
h
e genera
l
f
ormu
l
ation o
f
t
h
e
l
ogistic regression mo
d
e
l
t
h
en
b
ecomes
:
PY X X e
nXX
NN
(1|,,) 1
1,
1()
011
=…=
+−β+β + +β
or, a
l
ternate
l
y,
PY X X PY X X
ee
NN
XX XX
NN N
N
(0|,,)1(1|,,)
11
1
1
1
11
()(
011 011
=…=−=…
=−+=+
− β +β + +β β +β + +β
Hence,
b
ot
h
=…PY X X
N
(1|,,)
1 an
d
=…PY X X
N
(0|,,)
1 are
b
oun
d
e
d
b
etween 0 an
d
1.
Re
f
ormu
l
ating in terms o
f
t
h
e o
dd
s, t
h
e mo
d
e
l
b
ecomes:
PY X X
PY X X e
N
N
XX
NN
(1|,,)
(0|,,)
1
1
()
011
=…
=…=β+β + +β
or, in terms of lo
g
odds (lo
g
it)
,
=…
=…
⎛
⎝
⎜⎞
⎠
⎟=β +β + +β
PY X X
PY X X XX
N
N
NN
ln (1|,,)
(0|,,)
1
1
011
Fi
g
ure3.2 Boundin
g
Function for Lo
g
istic Re
g
ression
0
0.1
0.2
0.3
0.4
0.5
0.6
0.7
0.8
0.9
1
7531–1–3–5–7

P
REDI
C
TIVE ANALYTI
CS
◂
41
The
β
i
parameters of a logistic regression model are then estimated
i
by
o
p
timizin
g
a maximum likelihood function. Just as with linear
re
g
ression, the o
p
timization comes with standard errors,
p
‐values for
variable screening and con dence intervals.
Since lo
g
istic re
g
ression is linear in the lo
g
odds (lo
g
it), it basicall
y
estimates a linear decision boundar
y
to se
p
arate both classes. This is
illustrated in Figure 3.3 .
To inter
p
ret a lo
g
istic re
g
ression model, one can calculate the odds
ratio. Suppose variable
X
i
XX
increases with one unit with all other vari-
i
ables being kept constant (
c
eteris paribus
)
, then the new logit becomes
the old lo
g
it with
β
i
added. Likewise, the new odds become the old
i
odds multi
p
lied b
y
e
β
i
. The latter represents the odds ratio, that is, the
i
multiplicative increase in the odds when
X
i
XX
increases by 1 (
i
c
eteris pari-
bus ). Hence,
■
β
i
> 0 implies
e
β
i
> 1 and the odds and probability increase with
X
i
X
X
■
β
i
< 0 im
p
lies e
β
i
< 1 and the odds and
p
robabilit
y
decrease
with
X
i
XX
Anot
h
er way o
f
interpreting a
l
ogistic regression mo
d
e
l
is
b
y ca
l-
cu
l
atin
g
t
h
e
d
ou
bl
in
g
amount. T
h
is re
p
resents t
h
e amount o
f
c
h
an
g
e
re
q
uire
d
f
or
d
ou
bl
in
g
t
h
e
p
rimar
y
outcome o
dd
s. It can
b
e easi
ly
seen that for a particular variable
X
i
XX
, t
h
e
d
ou
bl
ing amount equa
l
s
l
o
g
(2)
/
β
i
.
Figure3.3 Decision Boundary of Logistic Regression
Income
Age
G
G
GG
G
G
G
G
G
G
G
G
G
GG
GGG
G
G
GG
GG
G
G
G
G
G
G
G
GG
B
B
G
G
G
GG
G
G
G
G
G
GG
G
B
B
B
B
B
BB
B
BB
G
G
G
B
B
B
G
B

4
2
▸
A
NALYTI
CS
IN A BI
G
DATA W
O
RL
D
Note that next to the
f
(
f
f
z
) transformation discussed above, other
z
transformations also have been su
gg
ested in the literature. Po
p
ular
examples are the probit and cloglog transformation as follows:
∫
=π−∞
−
fz e dt
zt
() 1
2
2
2
=−−
fz eez
() 1
The probit transformation was used in Moody’s RiskCalc tool for
predicting probability of default for rms.
5
Note, however, that empiri
-
ca
l
evi
d
ence suggests t
h
at a
ll
t
h
ree trans
f
ormations typica
ll
y per
f
orm
equa
ll
y we
ll
.
DECISION TREES
Decision trees are recursive partitioning algorithms (RPAs) that come
u
p
with a tree-like structure re
p
resentin
g
p
atterns in an underl
y
in
g
da
t
a se
t
.
6
Fi
g
ure 3.4
p
rovides an exam
p
le of a decision tree.
The top node is the root node specifying a testing condition
of which the outcome corres
p
onds to a branch leadin
g
u
p
to an
internal node. The terminal nodes of the tree assi
g
n the classi ca
-
t
ions and are also referred
t
o as
t
he leaf nodes
.
Many algorithms
have been su
gg
ested to construct decision trees. Amon
g
st the most
p
o
p
ular are: C4.5 (See5),
7
CART
,
8
and
C
HAID.
9
These al
g
orithms
differ in their way of answering the key decisions to build a tree,
w
hich are:
■ S
p
littin
g
decision: Which variable to s
p
lit at what value (e.
g
.,
age < 30 or not, income < 1,000 or not; marital status = married
or not)
■ Sto
pp
in
g
decision: When to sto
p
g
rowin
g
a tree?
■ Assi
g
nment decision: What class (e.
g
.,
g
ood or bad customer) to
assi
g
n to a
l
ea
f
no
d
e?
Usua
lly
, t
h
e assi
g
nment
d
ecision is t
h
e most strai
gh
t
f
orwar
d
to
ma
k
e since one t
yp
ica
lly
l
oo
k
s at t
h
e ma
j
orit
y
c
l
ass wit
h
in t
h
e
l
ea
f
no
d
e to ma
k
e t
h
e
d
ecision. T
h
e ot
h
er two
d
ecisions to
b
e ma
d
e are
l
ess
strai
gh
t
f
orwar
d
an
d
are e
l
a
b
orate
d
on in w
h
at
f
o
ll
ows.

P
REDI
C
TIVE ANALYTI
CS
◂
43
In or
d
er to answer t
h
e sp
l
itting
d
ecision, one nee
d
s to
d
e
ne t
h
e
concept o
f
impurity or c
h
aos. Consi
d
er,
f
or examp
l
e, t
h
e t
h
ree
d
ata sets
o
f
Figure 3.5 , eac
h
o
f
w
h
ic
h
contains goo
d
(un
ll
e
d
circ
l
es) an
d
b
a
d
( lled circles) customers. Minimal impurity occurs when all customers
are either
g
ood or bad. Maximal im
p
urit
y
occurs when one has the same
number of
g
ood and bad customers (i.e., the data set in the middle).
Decision trees will now aim at minimizing the impurity in the data.
In order to do so a
pp
ro
p
riatel
y
, one needs a measure to
q
uantif
y
im
p
u
-
rit
y
. Various measures have been introduced in the literature, and the
most popular are:
■ Entro
py
: E(S) = −
p
G
lo
g
2
(
p
G
)−
p
B
lo
g
2
(
p
B
) (C4.5/See5)
■ Gini: Gini(S) = 2p
G
p
B
(CART)
■ Chi‐s
q
uared anal
y
sis (CHAID)
with p
G
(p
B
) being the proportions of good and bad, respectively. Both
measures are de
p
icted in Fi
g
ure 3.6 , where it can be clearl
y
seen that
the entropy (Gini) is minimal when all customers are either good or bad,
and maximal in the case of the same number of good and bad customers.
F
ig
ure3.4 Exam
pl
e Dec
i
s
i
on Tree
Income > $50,000
Employed Age < 40
No
No No
Respond
Yes
Not Respond
Yes
Not RespondRespond
Yes
F
i
gure3.5 Example Data Sets
f
or Calculating Impurity
Minimal ImpurityMinimal Impurity Maximal Impurity

44
▸
A
NALYTI
CS
IN A BI
G
DATA W
O
RL
D
In answerin
g
the s
p
littin
g
decision, various candidate s
p
lits will
now be evaluated in terms of their decrease in im
p
urit
y
. Consider, for
exam
p
le, a s
p
lit on a
g
e as de
p
icted in Fi
g
ure 3.7 .
The ori
g
inal data set had maximum entro
py
. The entro
py
calcula
-
t
ions become:
■ Entro
py
to
p
node = −1/2 × lo
g
2
(1/2) – 1/2 × lo
g
2
(
1/2
)
= 1
■ Entro
py
left node = −1/3 × lo
g
2
(1/3) – 2/3 × lo
g
2
(
2/3
)
= 0.91
■ Entro
py
ri
g
ht node = −1 × lo
g
2
(1) – 0 × lo
g
2
(0) = 0
Figure3.6 Entropy versus Gini
0
0.1
0.2
0.3
0.4
0.5
0.6
0.7
0.8
0.9
1
10.90.80.70.60.50.40.30.20.10
Entropy
Gini
F
i
gure3.7 Calculating the Entropy
f
or Age Split
BG
GBGB
Age Age < 30 ≥ 30
400 400
200 400 200 0

P
REDI
C
TIVE ANALYTI
CS
◂
45
The weighted decrease in entropy, also known as the
gain,
can
then be calculated as follo
w
s:
=− × − ×=Gain 1 (600/800) 0.91 (200/800) 0 0.32
It speaks for itself that a larger gain is to be preferred. The decision
tree algorithm will now consider different candidate splits for its root
node and adopt a greedy strategy by picking the one with the biggest
gain. Once the root node has been decided on, the procedure contin-
ues in a recursive way to continue tree growing.
The third decision relates to the stopping criterion. Obviously, if the
tree continues to sp
l
it, it wi
ll
b
ecome very
d
etai
l
e
d
wit
h
l
ea
f
no
d
es con
-
taining on
l
y a
f
ew o
b
servations. In ot
h
er wor
d
s, t
h
e tree wi
ll
start to
t
t
h
e s
p
eci
cities or noise in t
h
e
d
ata, w
h
ic
h
is a
l
so re
f
erre
d
to as over
t
-
tin
g.
In order to avoid this, the data will be s
p
lit into a trainin
g
sam
p
le
and a validation sample. The training sample will be used to make the
sp
littin
g
decision. The validation sam
p
le is an inde
p
endent sam
p
le, set
aside to monitor the misclassi cation error (or an
y
other
p
erformance
metric). One then typically observes a pattern as depicted in Figure 3.8 .
The error on the trainin
g
sam
p
le kee
p
s on decreasin
g
as the s
p
lits
b
ecome more and more s
p
eci c toward it. On the validation sam
p
le,
the error will initially decrease, but at some point it will increase back
a
g
ain since the s
p
lits become too s
p
eci c for the trainin
g
sam
p
le as the
tree starts to memorize it. Where the
v
alidation set cur
v
e reaches its
minimum, the procedure should be stopped or over tting will occur.
Note that besides classi cation error, one mi
g
ht also use accurac
y
or
F
i
gure3.8 Us
i
ng a Va
lid
at
i
on Set to Stop Grow
i
ng a Dec
i
s
i
on Tree
Validation set
Training set
Minimum
Misclassification error
STOP growing tree!
Number of tree nodes

46
▸
A
NALYTI
CS
IN A BI
G
DATA W
O
RL
D
p
ro t based measures on the Y‐axis to make the sto
pp
in
g
decision.
Also note that, sometimes, sim
p
licit
y
is
p
referred above accurac
y
, and
one can select a tree that does not necessarily have minimum valida
-
tion set error, but a lower number of nodes.
In the example of Figure 3.4 , every node had only two branches.
The advantage of this is that the testing condition can be implemented
as a simple yes/no question. Multiway splits allow for more than two
b
ranches and can provide trees that are wider but less deep. In a read
once decision tree, a particular attribute can be used only once in a
certain tree
p
ath. Ever
y
tree can also be re
p
resented as a rule set since
every pat
h
f
rom a root no
d
e to a
l
ea
f
no
d
e ma
k
es up a simp
l
e i
f
/t
h
en
ru
l
e. T
h
ese ru
l
es can t
h
en
b
e easi
l
y imp
l
emente
d
in a
ll
k
in
d
s o
f
so
f
t-
ware pac
k
ages (e.g., Microso
f
t Exce
l
).
Decision trees essentially model decision boundaries orthogonal to
the axes. This is illustrated in Fi
g
ure 3.9 for an exam
p
le decision tree.
Decision trees can also be used for continuous tar
g
ets. Consider
the example in Figure 3.10 of a regression tree for predicting LGD.
Other criteria need now be used to make the s
p
littin
g
decision
b
ecause the im
p
urit
y
will need to be measured in another wa
y
. One
way to measure impurity in a node is by calculating the mean squared
error (MSE) as follows:
∑−
=
nYY
i
i
n
1(),
2
1
where
n
represents the number of observations in a leave node, Yi
t
he
v
alue of obser
v
ation i
,
and Y
,
the avera
g
e of all values in the leaf node.
F
i
gure3.9 Decision Boundary o
f
a Decision Tree
G
G
GG
B
B
B
B
B
B
BB
B
BBB
G
G
GG
GGG
G
G
GG
GG
GG
GG GG G
G
GG
G
GGGG
G
G
GG
GGG
G
GGG
1,200
30
Age
Income
Age
G
Income
GB
1,200 1,200
30 30

P
REDI
C
TIVE ANALYTI
CS
◂
4
7
Anot
h
er wa
y
is
by
con
d
uctin
g
a sim
pl
e ana
ly
sis o
f
variance
(ANOVA) test and calculate an F‐statistic as follows:
=−
−−−
∼FSS B
SS n B F
between
within
nBB
/( 1)
/( ) ,
,1
whereb
y
∑
=−
=
SS n Y Y
between b
b
B
b
()
1
2
∑∑
=−
==
SS Y Y
within bi b
i
n
b
Bb
()
2
11
with
B
bein
g
the number of branches of the s
p
lit, nb
t
he number of
observations in branch b
,
Yb the avera
g
e in branch b
,
Ybi the
v
alue of
observation
i
in branch
i
b
,
and Y the overall average. Good splits will
then result in a hi
g
h
F
value, or low corresponding p‐value.
F
The stopping decision can be made in a similar way as for classi
-
cation trees, but using a regression‐based performance measure (e.g.,
mean s
q
uared error, mean absolute deviation,
R
‐s
q
uared) on the
Y
‐
Y
Y
axis. T
h
e assi
g
nment
d
ecision can
b
e ma
d
e
by
assi
g
nin
g
t
h
e mean (or
me
d
ian) to eac
h
l
ea
f
no
d
e. Note a
l
so t
h
at con
d
ence interva
l
s ma
y
b
e
compute
d
f
or eac
h
o
f
t
h
e
l
ea
f
no
d
es.
Decision trees can
b
e use
d
f
or various
p
ur
p
oses in ana
ly
tics. First,
t
h
e
y
can
b
e use
d
f
or in
p
ut se
l
ection
b
ecause attri
b
utes t
h
at occur at t
h
e
top o
f
t
h
e tree are more pre
d
ictive o
f
t
h
e target. One cou
ld
a
l
so sim-
ply
ca
l
cu
l
ate t
h
e
g
ain o
f
a c
h
aracteristic to
g
au
g
e its
p
re
d
ictive
p
ower.
F
i
gure3.10 Example Regression Tree
f
or Predicting LGD
Loan Collateral
LGD = 18%
LGD = 30%
Geographic Region LGD = 72%
Known Client
LGD = 42% LGD = 55%
None
Cash
Real Estate
EU
United
States No
Yes

48
▸
A
NALYTI
CS
IN A BI
G
DATA W
O
RL
D
Next, the
y
can also be used for initial se
g
mentation. One then t
yp
icall
y
b
uilds a tree of two or three levels dee
p
as the se
g
mentation scheme
and then uses second stage logistic regression models for further
re nement. Finally, decision trees can also be used as the nal analyti
-
cal model to be used directly into production. A key advantage here is
that the decision tree gives a white box model with a clear explanation
b
ehind how it reaches its classi cations. Many software tools will also
allow you to grow trees interactively by providing a splitting option at
each level of the tree (e.g., a top ve, or more, of splits amongst which
the modeler can choose). This allows us to choose s
p
lits not onl
y
based
upon impurity re
d
uction,
b
ut a
l
so on t
h
e interpreta
b
i
l
ity an
d
/or com-
putationa
l
comp
l
exity o
f
t
h
e sp
l
it criterion.
NEURAL NETWORKS
A rst
p
ers
p
ective on the ori
g
in of neural networks states that the
y
are mathematical representations inspired by the functioning of the
human brain. Another more realistic
p
ers
p
ective sees neural networks
as
g
eneralizations of existin
g
statistical models. Let’s take lo
g
istic
regression as an example:
PY X X e
NXX
NN
(1|,,) 1
1,
1()
011
=…=
+−β+β + +β
This model can be seen in Fi
g
ure 3.11 .
The processing element or neuron in the middle basically per
-
forms two o
p
erations: it takes the in
p
uts and multi
p
lies them with the
weights (including the intercept term
β
0
,
which is called the bias term
F
i
gure3.11 Neural Network Representation o
f
Logistic Regression
X1
X2
X
N–1
XN
...
1
1–( 0 + 1X1 + ... + NXN)
+
1
),...,|( N
e
XXYP =
N–1
N
0
β
β
β
β
β
β
β
β
1
2

P
REDI
C
TIVE ANALYTI
CS
◂
49
in neural networks) and then
p
uts this into a nonlinear transforma
-
tion function similar to the one we discussed in the section on lo
g
istic
regression. So, logistic regression is a neural network with one neuron.
Similarl
y
, we could visualize linear re
g
ression as a one neuron neural
network with the identity transformation
f
(
ff
z
) =
z
. We can now gener-
z
alize the above picture to a multilayer perceptron (MLP) neural net-
work b
y
addin
g
more la
y
ers and neurons as shown in Fi
g
ure 3.12 .
1
0
The exam
p
le in Fi
g
ure 3.12 is an MLP with one in
p
ut la
y
er, one
hidden layer, and one output layer. The hidden layer has a nonlinear
transformation function
f
(
f
f
.
) and the out
p
ut la
y
er a linear transforma
-
tion function. The most
p
o
p
ular transformation functions (also called
squashing, activation functions) are:
■ Lo
g
istic, =+−
fz ez
() 1
1
,
ran
g
in
g
between 0 and 1
■ Hyperbolic tangent, =−
+
−
−
fz ee
ee
zz
zz
() , ranging between –1 and +1
■ Linear
,
=fz z() , ranging between −∞ and +∞
For classi cation (e.
g
., churn, res
p
onse, fraud), it is common
p
rac
-
tice to a
d
o
p
t a
l
o
g
istic trans
f
ormation in t
h
e out
p
ut
l
a
y
er, since t
h
e
out
p
uts can t
h
en
b
e inter
p
rete
d
as
p
ro
b
a
b
i
l
ities.
1
1
For re
g
ress
i
on tar
-
gets (e.g., CLV, LGD), one cou
ld
use any o
f
t
h
e trans
f
ormation
f
unc
-
tions
l
iste
d
a
b
ove. T
yp
ica
lly
, one wi
ll
use
hyp
er
b
o
l
ic tan
g
ent activation
f
unctions in t
h
e
h
i
dd
en
l
a
y
er.
In terms o
f
h
i
dd
en
l
ayers, t
h
eoretica
l
wor
k
s
h
ave s
h
own t
h
at
neura
l
networ
k
s wit
h
one
h
i
dd
en
l
a
y
er are universa
l
a
pp
roximators,
F
i
gure3.12 A Mu
l
t
il
ayer Perceptron (MLP) Neura
l
Networ
k
b1
b2
b3
b4
h1
h2
h3
v1
v3
v2
x
1
x2
W
11
W
23
z = Σvjhj + b4
j = 1
3
hj = f(Σxiwij + bj)
i = 1
2

50
▸
A
NALYTICS IN A BIG DATA WORL
D
ca
p
able of a
pp
roximatin
g
an
y
function to an
y
desired de
g
ree of accu-
rac
y
on a com
p
act interval.
12
Onl
y
for discontinuous functions (e.
g
., a
saw tooth pattern), it could make sense to try out more hidden layers,
although these patterns rarely occur in real‐life data sets.
For simple statistical models (e.g., linear regression), there exists a
closed‐form mathematical formula for the optimal parameter values.
However, for neural networks, the optimization is a lot more com
-
plex and the weights sitting on the connections need to be estimated
using an iterative algorithm. The algorithm then optimizes a cost func-
tion, which ma
y
be similar to linear re
g
ression (mean s
q
uared error)
or
l
ogistic regression (maximum
l
i
k
e
l
i
h
oo
d
b
ase
d
). T
h
e proce
d
ure
typica
ll
y starts
f
rom a set o
f
ran
d
om weig
h
ts t
h
at are t
h
en iterative
l
y
a
d
juste
d
to t
h
e patterns in t
h
e
d
ata using an optimization a
l
gorit
h
m.
Popular optimization algorithms here are backpropagation learning,
con
j
u
g
ate
g
radient, and Levenber
g
‐Mar
q
uardt.
13
A ke
y
issue to note
here is the curvature of the ob
j
ective function, which is not convex
and may be multimodal as illustrated in Figure 3.13 . The error func
-
tion can thus have multi
p
le local minima but t
yp
icall
y
onl
y
one
g
lobal
minimum. Hence, if the startin
g
wei
g
hts are chosen in a subo
p
timal
way, one may get stuck in a local minimum. One way to deal with this
is to tr
y
out different startin
g
wei
g
hts, start the o
p
timization
p
rocedure
for a few ste
p
s, and then continue with the best intermediate solution.
The optimization procedure then continues until the error function
shows no further
p
ro
g
ress, the wei
g
hts sto
p
chan
g
in
g
substantiall
y
, or
after a xed number of o
p
timization ste
p
s (also called e
p
och
s
).
Figure3.13 Local versus Global Minima
w
E
Local minimum!
Global minimum!

P
REDICTIVE ANALYTIC
S
◂
51
Althou
g
h multi
p
le out
p
ut neurons could be used (
p
redictin
g
, for
exam
p
le, churn and CLV simultaneousl
y
), it is hi
g
hl
y
advised to use
only one. The hidden neurons, however, should be carefully tuned
and depend on the nonlinearity in the data. More complex, nonlinear
patterns will require more hidden neurons. Although various proce-
dures (e.g., cascade correlation, genetic algorithms, Bayesian methods)
have been suggested in the scienti c literature to do this, the most
straightforward yet ef cient procedure is as follows:
1
4
■ Split the data into a training, validation, and test set.
■ Vary t
h
e num
b
er o
f
h
i
dd
en neurons
f
rom 1 to 10 in steps o
f
1
or
more
.
■ Train a neura
l
networ
k
on t
h
e training set an
d
measure t
h
e per
-
formance on the validation set (ma
y
be train multi
p
le neural
networks to deal with the local minimum issue).
■ Choose the number of hidden neurons with o
p
timal validation
set
p
erformance.
■ Measure the
p
erformance on the inde
p
endent test set.
Neural networks can model ver
y
com
p
lex
p
atterns and decision
b
oundaries in the data and, as such, are very powerful. In fact, they
are so
p
owerful that the
y
can even model the noise in the trainin
g
data, which is somethin
g
that de nitel
y
should be avoided. One wa
y
to avoid this over tting is by using a validation set in a similar way as
with decision trees. This is illustrated in Fi
g
ure 3.14 . The trainin
g
set
is used here to estimate the weights and the validation set is again an
independent data set used to decide when to stop training. Another
scheme to
p
revent a neural network from over ttin
g
is wei
g
ht re
g
u-
larization, whereby the idea is to keep the weights small in absolute
Figure3.14 Using a Validation Set for Stopping Neural Network Training
Validation set
Training set
Minimum
Error
STOP training!
Training steps
52
▸
A
NALYTICS IN A BIG DATA WORL
D
sense because otherwise the
y
ma
y
be ttin
g
the noise in the data. This
is t
h
en im
pl
emente
d
by
a
dd
in
g
a wei
gh
t size term (e.
g
., Euc
l
i
d
ean
norm) to the objective function of the neural network.
15
Although neural networks have their merits in terms of modeling
power, they are commonly described as black box techniques because
they relate the inputs to the outputs in a mathematically complex, non-
transparent, and opaque way. In application areas where interpretabil
-
ity may not be required (e.g., fraud detection, response modeling), they
can be very successfully adopted as high‐performance analytical tools.
However, in a
pp
lication areas where ex
p
lanation is im
p
ortant
(
e.g., cre
d
it ris
k
, me
d
ica
l
d
iagnosis), one nee
d
s to
b
e care
f
u
l
wit
h
neu-
ra
l
networ
k
s
b
ecause insig
h
t an
d
compre
h
ensi
b
i
l
ity in t
h
e un
d
er
l
ying
patterns is crucia
l
.
1
6
Two ways to open up t
h
e neura
l
networ
k
bl
ac
k
b
ox are rule extraction and two‐stage models.
The
p
ur
p
ose of rule extraction is to extract if/then classi cation
rules mimickin
g
the behavior of the neural network.
17
Two im
p
or
-
tant approaches here are decompositional and pedagogical techniques.
Decom
p
ositional rule extraction a
pp
roaches decom
p
ose the network’s
internal workin
g
s b
y
ins
p
ectin
g
wei
g
hts and/or activation values. A
typical ve‐step approach here could be:18
1. Train a neural network and
p
rune it as much as
p
ossible in
t
erms of connec
t
ions.
2. Cate
g
orize the hidden unit activation values usin
g
clusterin
g
.
3. Extract rules that describe the network outputs in terms of the
cate
g
orized hidden unit activation values.
4. Extract rules that describe the categorized hidden unit activa
-
tion values in terms of the network in
p
uts.
5. Merge the rules obtained in steps 3 and 4 to directly relate the
in
p
uts to the out
p
uts.
T
h
is is i
ll
ustrate
d
in Fi
g
ure 3.15 .
Note t
h
at ste
p
s 3 an
d
4 can
b
e
d
one simu
l
taneous
ly
by
b
ui
ld
in
g
a
d
ecision tree re
l
ating t
h
e networ
k
outputs to t
h
e
h
i
dd
en unit acti
-
vation va
l
ues. Fi
g
ure 3.16
g
ives an exam
pl
e o
f
a
pply
in
g
a
d
ecom
p
o
-
sitiona
l
neura
l
networ
k
ru
l
e extraction a
pp
roac
h
in a cre
d
it scorin
g
sett
i
n
g
.

Fi
g
ure3.15 Decom
p
ositional A
pp
roach for Neural Network Rule Extraction
Response
…GenderIncomeAgeCustomer
NoF1,00028Emma
YesM1,50044Will
NoM1,20030Dan
YesM2,40058Bob
Response
h3h2h1h3h2h1GenderIncomeAgeCustomer
F28Emma 231
232M44Will
M30Dan 213
M
1,000
1,500
1,200
2,40058Bob
2.34
1.22
–0.18
0.8
–1.20
0.78
2.1
–0.1
No
Yes
No
Yes121
0.66
0.82
0.16
–2.34
If h1 = 1 and h2 = 3, then response = No
If h2 = 2, then response = Yes
If age < 28 and income < 1,000, then h1 = 1
If gender = F, then h2 = 3
If age > 34 and income > 1,500, then h2 = 2
If age < 28 and income < 1,000 and gender = F then response = No
If age > 34 and income > 1,500 then response = Yes
Step 1: Start from original data.
Step 2: Build a neural network
(e.g, 3 hidden neurons).
Step 3: Categorize hidden unit activations.
Step 4: Extract rules relating network outputs
to categorized hidden units.
Step 5: Extract rules relating categorized
hidden units to inputs.
Step 6: Merge both rule sets
53

Fi
g
ure3.16 Exam
p
le of Decom
p
ositional Neural Network Rule Extraction
Economical sector = sector C
Term > 12 Months
Purpose = cash provisioning
Purpose = second hand car
Income > 719 Euro
Savings account > 12.40 Euro
Years client > 3 years
Property = No
–0.202
–0.287
–0.102
0.278
–0.081
–0.162
0.137
–0.289
0.457
–0.453
0.611
0.380
Applicant = good
Applicant = bad
If term > 12 months and purpose = cash provisioning and savings account ≤ 12.40
Euro and years client ≤ 3, then applicant = bad
If term > 12 months and purpose = cash provisioning and owns property = no and
savings account ≤ 12.40 Euro and years client ≤ 3, then applicant = bad
If purpose = cash provisioning and income > 719 and owns property = no and savings
account ≤ 12.40 Euro and years client ≤ 3, then applicant = bad
If purpose = secondhand car and income > 719 Euro and owns property = no and
savings account ≤ 12.40 Euro and years client ≤ 3, then applicant = bad
If savings account ≤ 12.40 Euro and economical sector = sector C, then
applicant = bad
Default class: applicant = good
5
4

P
REDICTIVE ANALYTIC
S
◂
55
Peda
g
o
g
ical rule extraction techni
q
ues consider the neural net
-
wor
k
as a
bl
ac
k
b
ox an
d
use t
h
e neura
l
networ
k
p
re
d
ictions as in
p
ut
to a white box analytical technique such as decision trees.
1
9 This is
illustrated in Figure 3.17 .
In this approach, the learning data set can be further augmented
with arti cial data, which is then labeled (e.g., classi ed or predicted)
b
y the neural network, so as to further increase the number of obser-
vations to make the splitting decisions when building the decision tree.
When using either decompositional or pedagogical rule extraction
a
pp
roaches, the rule sets should be evaluated in terms of their accurac
y
,
conciseness (e.g., num
b
er o
f
ru
l
es, num
b
er o
f
con
d
itions per ru
l
e), an
d
d
e
l
ity. T
h
e
l
atter measures to w
h
at extent t
h
e extracte
d
ru
l
e set per-
f
ect
l
y mimics t
h
e neura
l
networ
k
an
d
is ca
l
cu
l
ate
d
as
f
o
ll
ows:
Neural Network Classification
R
u
l
e set
classi cati
on
G
ood
B
a
d
Good
a
b
B
ad
c
d
=+ +Fidelity (a d)/(b c).
It is a
l
so im
p
ortant to a
l
wa
y
s
b
enc
h
mar
k
t
h
e extracte
d
ru
l
es/trees
wit
h
a tree
b
ui
l
t
d
irect
ly
on t
h
e ori
g
ina
l
d
ata to see t
h
e
b
ene
t o
f
g
oin
g
t
h
rou
gh
t
h
e neura
l
networ
k
.
Anot
h
er approac
h
to ma
k
e neura
l
networ
k
s more interpreta
bl
e
is
by
usin
g
a two‐sta
g
e mo
d
e
l
setu
p
.
20
T
h
e i
d
ea
h
ere is
t
o es
t
ima
t
e an
eas
y
to un
d
erstan
d
mo
d
e
l
rst (e.
g
.,
l
inear re
g
ression,
l
o
g
istic re
g
res
-
sion). T
h
is wi
ll
g
ive us t
h
e inter
p
reta
b
i
l
it
y
p
art. In a secon
d
sta
g
e, a
n
eura
l
networ
k
is use
d
to
p
re
d
ict t
h
e errors ma
d
e
by
t
h
e sim
pl
e mo
d
e
l
usin
g
t
h
e same set o
f
p
re
d
ictors. Bot
h
mo
d
e
l
s are t
h
en com
b
ine
d
in an
a
dd
itive wa
y
,
f
or exam
pl
e, as
f
o
ll
ows:
■
Target = linear regression (
X
1
,
X
2
XX
, …
X
N
X
) + neural network
N
(
X
1
,
X
2
XX
, …
X
N
X
)
N
■
Score = logistic regression (
X
1
,
X
2
XX
, …
X
N
X
) + neural network
N
(
X
1
,
X
2
XX
, …
X
N
X
)
N
This setu
p
p
rovides an ideal balance between model inter
p
retabil
-
i
t
y
(which comes from the rst
p
art) and model
p
erformance (which
comes from the second
p
art). This is illustrated in Fi
g
ure 3.18 .

Fi
g
ure3.17 Peda
g
o
g
ical Approach for Rule Extraction
Response…GenderIncomeAgeCustomer
1,00028Emma
1,50044Will
1,20030Dan
No
Yes
No
Yes
F
M
M
M2,40058Bob
GenderIncomeAgeCustomer
Network
Prediction Response
1,00028Emma
1,50044Will
1,20030Dan
No
Yes
No
Yes
No
Yes
Yes
Yes
F
M
M
M2,40058Bob
Step 1: Start from original data.
Step 2: Build a neural network.
Step 3: Get the network predictions and
add them to the data set.
Step 4: Extract rules relating network
predictions to original inputs. Generate
additional data where necessary.
Income > 1,500
Gender = Female Age < 30
No
No No
Network prediction
response = yes
Network prediction
response = no
Network prediction
response = yes
Yes
Network prediction
response = no
Yes
Yes

F
i
gure 3.18 Two‐Stage Mo
d
e
l
s
ResponseGenderIncomeAgeCustomer
No1,00028Emma
Yes1,50044Will
No1,20030Dan
Yes
F
M
M
M2,40058Bob
ResponseIncome GenderAgeCustomer
Logistic
Regression
Output
1,00028Emma 0.44
1,50044Will 0.76
1,20030Dan 0.18
0.88
No(=0)
Yes(=1)
No(=0)
Yes (=1)
F
M
M
M2,40058Bob
Income Gender Response…AgeCustomer
Logistic
Regression
Output Error
28Emma 0.44
44Will 0.76
30Dan 0.18
−0.44
0.24
−0.18
0.120.88
No(=0)
Yes(=1)
No(=0)
Yes (=1)
F
M
M
M
1,000
1,500
1,200
2,40058Bob
Income GenderCustomer Age
Logistic
Regression
Output NNOutput
Final
Output
0.68F1,00028Bart −0.32 0.36
Step 1: Start from original data.
Step 2: Build logistic regression model.
Step 3: Calculate errors from logistic
regression model.
Step 4: Build NN predicting errors from
logistic regression model.
Step 5: Score new observations by adding up
logistic regression and NN scores.
…
…
…
5
7

58
▸
A
NALYTICS IN A BIG DATA WORL
D
SUPPORT VECTOR MACHINES
Two key shortcomings of neural networks are the fact that the objective
function is nonconvex (and hence ma
y
have multi
p
le local minima)
and the effort that is needed to tune the number of hidden neurons.
Support vector machines (SVMs) deal with both of these issues.
21
The origins of classi cation SVMs date back to the early dates of
linear programming.
22 Consider the following linear program (LP) for
classi cation
:
+++ ++ee e e
ng nb
min 12
su
b
ject t
o
wx wx wx c e i n
ii nini g
,1
11 2 2 +++≥−≤≤
+ + + ≤+ +≤≤ +wx wx wx c e n i n n
ii ninig gb
,1
11 2 2
≥ei0
The LP assi
g
ns the
g
ood customers a score above the cut‐off value
c,
and the bad customers a score below
c. n
g
n
and
n
b
represent the number
of
g
oods and bads, res
p
ectivel
y
. The error variables
e
i
are needed to be
i
able to solve the
p
ro
g
ram because
p
erfect se
p
aration will t
yp
icall
y
not be
possible. Linear programming has been very popular in the early days of
credit scorin
g
. One of its bene ts is that it is eas
y
to include domain or
b
usiness knowled
g
e b
y
addin
g
extra constraints to the model.
A key problem with linear programming is that it can estimate
multi
p
le o
p
timal decision boundaries, as illustrated in Fi
g
ure 3.19 , for
a
p
erfectl
y
linearl
y
se
p
arable case.
SVMs add an extra objective to the analysis. Consider, for exam
-
p
le, the situation de
p
icted in Fi
g
ure 3.20 . It has two h
yp
er
p
lanes sit-
tin
g
at the ed
g
es of both classes and a h
yp
er
p
lane in between, which
wi
ll
serve as t
h
e c
l
assi
cation
b
oun
d
ar
y
. T
h
e
p
er
p
en
d
icu
l
ar
d
istance
f
rom t
h
e
rst
h
yperp
l
ane H1 to t
h
e origin equa
l
s
|
b
−1
|
/
||
w
||, whereby
w
||
w
|| represents the Euclidean norm of
w
w
calculated as
w
www|| || 1
2
2
2
=+
.
Li
k
ewise, t
h
e
p
er
p
en
d
icu
l
ar
d
istance
f
rom H2 to t
h
e ori
g
in e
q
ua
l
s
|
b
+
1
|
/
||
w
||. Hence, the margin between both hyperplanes equals 2/||
w
w
||.
w
SVMs wi
ll
now aim at maximizin
g
t
h
is mar
g
in to
p
u
ll
b
ot
h
c
l
asses as
f
ar a
p
art as
p
ossi
bl
e. Maximizin
g
t
h
e mar
g
in is simi
l
ar to minimizin
g

P
REDI
C
TIVE ANALYTI
CS
◂
59
||
w
||, or minimizing
w
∑
=
wi
i
N
1
2
2
1
. In case of
p
erfect linear se
p
aration, the
SV
M classi er
t
hen
becomes
i
1
as follo
w
s.
Consider a trainin
g
set: ∈∈−+
=
{,} with and {1;1}
1
xy x R y
kkk
n
k
N
k
The
g
oods (e.
g
., class +1) should be above h
yp
er
p
lane H1, and the
b
ads (e.
g
., class−1) below h
yp
er
p
lane H2, which
g
ives:
wx b ify
T
kk
1, 1+≥ =+
wx b ify
T
kk
1, 1+≤ =−
F
i
gure3.19 Mu
l
t
i
p
l
e Separat
i
ng Hyperp
l
anes
x
x
x
xx
x
x
x
++
+
+
+
+
+
+
Class1
Class2
x1
x
2
F
i
gure3.20 SVM Classi
er
f
or the Per
f
ectly Linearly Separable Case
x1
x
x
x
xx
x
x
x
++
+
+
+
+
+
+
Class 1
Class 2
x2
H1: wTx + b = + 1
H0: wTx + b = 0
H2: wTx + b = –1
2/||w||

60
▸
A
NALYTI
CS
IN A BI
G
DATA W
O
RL
D
Both can be combined as follo
w
s:
+≥ywx b
k
T
k
()1
The optimization problem then becomes
:
∑
=
Minimize wi
i
N
1
2
2
1
s
ubject to ywx b k n
k
T
k
()1,1…+≥ =
This quadratic programming (QP) problem can now be solved
usin
g
La
g
ran
g
ian o
p
timization.
2
3
It is im
p
ortant to note that the
optimization pro
bl
em
h
as a qua
d
ratic cost
f
unction, giving a convex
optimization pro
bl
em wit
h
no
l
oca
l
minima an
d
on
l
y one g
l
o
b
a
l
mini-
mum. Training points t
h
at
l
ie on one o
f
t
h
e
h
yperp
l
anes H1 or H2 are
called
support vectors
and are essen
t
ial
t
o
t
he classi ca
t
ion. The classi -
cation h
yp
er
p
lane itself is H0 and, for new observations, it needs to be
checked whether the
y
are situated above H0, in which case the
p
re-
diction is +1 or below (prediction −1). This can be easily accomplished
using the sign operator as follows:
y
(
x
) = sign (
x
w
T
x + b
T
).
The SVM classi er discussed thus far assumed
p
erfect se
p
aration is
possible, which will of course rarely be the case for real‐life data sets.
In case of overla
pp
in
g
class distributions (as illustrated in Fi
g
ure 3.21 ),
the SVM classi er can be extended
w
ith error terms as follo
w
s
:
∑∑
+
==
Minimize w C e
i
i
N
i
i
n
1
2
2
11
F
i
gure3.21 SVM Classi
er in Case o
f
Overlapping Distributions
x
x
x
xx
x
x
x
++
+
+
+
+
+
+
Class 1
Class 2
x
22/||w||
x
+
x1
H1: wTx + b = + 1
H0: wTx + b = 0
H2: wTx + b = –1

P
REDICTIVE ANALYTIC
S
◂
6
1
sub
j
ect to ywx b ek n
k
T
kk
()1,1…+≥− =
≥ek0.
The error variables
e
k
are needed to allow for misclassi cations.
k
Th
e
C
hyperparameter in the objective function balances the impor-
C
tance of maximizing the margin versus minimizing the error on the
data. A hi
g
h (low) value of
C
implies a higher (lower) risk of over t-
C
ting. We will come back to it in due course. Note that again a qua
-
dratic programming (QP) problem is obtained that can be solved using
La
g
ran
gi
an o
p
t
i
m
i
zat
i
on.
Fina
lly
, t
h
e non
l
inear SVM c
l
assi
er wi
ll
rst ma
p
t
h
e in
p
ut
d
ata
to a
h
i
gh
er
d
imensiona
l
f
eature s
p
ace usin
g
some ma
pp
in
g
x().ϕ T
h
is
is illustrated in Fi
g
ure 3.22 .
The SVM problem formulation now becomes
:
∑∑
+
==
Minimize w C e
i
i
N
i
i
n
1
2
2
11
sub
j
ect to yw x b ek n
k
T
kk
(())1,1…ϕ+≥− =
≥ek0.
When workin
g
out the La
g
ran
g
ian o
p
timization,
24
it turns out that
the ma
pp
in
g
ϕx()
is never ex
p
licitl
y
needed, but onl
y
im
p
licitl
y
b
y
means of the kernel function
K
de ned as follows:
K
=ϕ ϕKx x x x
kl k
T
l
(,) ()()
.
Fi
g
ure3.22 The Feature Space Mappin
g
X
X
X
X
XX
X
OOO
O
OO
X
X
O
Input Space
XX
X
X
X
X
X
XX
X
X
X
X
O
O
O
O
O
O
O
O
O
O
O
O
O
Feature Space
K(x1,x2) = (x1)T
φ
φ
(x2)
φ
φ
WT(xi) + b = 0
φ
φ
x →(x)
φ
φ

62
▸
A
NALYTI
CS
IN A BI
G
DATA W
O
RL
D
Hence, the feature s
p
ace does not need to be ex
p
licitl
y
s
p
eci ed. The
nonlinear
SV
M classi er
t
hen becomes
:
∑
=α +
⎡
⎣
⎢⎤
⎦
⎥
=
y x sign y K x x b
k
k
n
kk
() (, )
1
whereby αk are the Lagrangian multipliers stemming from the optimi
-
zation. Support vectors will have nonzero αk since they are needed to
construct the classi cation line. All other observations have zero αk
,
which is often referred to as the
sparseness property
of SVMs. Different
types of kernel functions can be used. The most popular are:
■ Linear
k
erne
l
: =Kxx x x
kk
T
(, )
■ Po
l
ynomia
l
k
erne
l
:=+Kxx x x
kk
Td
(, ) (1 )
■ Radial basis function (RBF) kernel: Kxx x x
kk
(, ) exp{ || ||/ }
22
=−− σ
Empirical evidence has shown that the RBF kernel usually per
-
forms best, but note that it includes an extra
p
arameter
σ
t
o be
t
uned.
25
An SVM classi er can be ver
y
easil
y
re
p
resented as a neural net
-
work, as depicted in Figure 3.23 .
The hidden la
y
er uses, for exam
p
le, RBF activation functions,
whereas the out
p
ut la
y
er uses a linear activation function. Note that
the number of hidden neurons now corresponds to the number of
su
pp
ort vectors and follows automaticall
y
from the o
p
timization. This
is in stron
g
contrast to neural networks where the number of hidden
neurons needs to be tuned manually.
F
i
gure3.23 Representing an SVM Classi
er as a Neural Network
xn
x1
b
α
α
ns
α
α
2
α
α
1
K(x,xns)
K(x,x2)
K(x,x1)

P
REDICTIVE ANALYTIC
S
◂
63
A ke
y
q
uestion to answer when buildin
g
SVM classi ers is the tun-
in
g
of the h
yp
er
p
arameters. For exam
p
le, su
pp
ose one has an RBF
S
VM that has two hyperparameters, C and
σ
. Both can be tuned using
the following procedure:
26
■ Partition the data into 40/30/30 percent training, validation,
and test data.
■ Build an RBF SVM classi er for each (
σ
,
C
) combination from
C
the sets
σ
∈ {0.5, 5, 10, 15, 25, 50, 100, 250, 500} and
C
∈
{
0.01,
0.05, 0.1, 0.5, 1, 5, 10, 50, 100, 500}.
■ C
h
oose t
h
e
(
σ
,
C
) combination with the best validation set per-
C
f
ormance.
■ Bui
ld
an RBF SVM c
l
assi
er wit
h
t
h
e o
p
tima
l
(
σ
,
C
) combination
C
on the combined trainin
g
+ validation data set.
■ Calculate the
p
erformance of the estimated RBF SVM classi er
on
t
he
t
es
t
se
t
.
In case of linear or polynomial kernels, a similar procedure can be
ado
p
ted.
SVMs can also be used for re
g
ression a
pp
lications with a continu
-
ous target. The idea here is to nd a function
f
(
f
f
x
) that has at most
x
ε
deviation from the actual targets
y
i
for all the training data, and is at
i
the same time as at as
p
ossible. Hence, errors less (hi
g
her) than
ε
w
ill
b
e tolerated (penalized). This is visualized in Figure 3.24 .
Consider a trainin
g
set: xy x R y R
kkk
n
k
N
k
{,}with and
1∈∈
=
SVMs
f
or Re
g
ression
x
x
x
x
x
x
x
x
x
x
x
x
x
x
x
+ε–ε
ε
ε
Loss
function

64
▸
A
NALYTI
CS
IN A BI
G
DATA W
O
RL
D
The
SV
M formula
t
ion
t
hen becomes
:
∑∑
+ε+ε
==
Minimize w C
i
i
N
kk
i
n
1
2()
2
1
*
1
subject t
o
−ϕ −≤ε+εywx b
k
T
kk
()
ϕ+−≤ε+εwx by
T
kkk
() *
εε ε ≥
kk
,, 0.
*
T
h
e
h
yperparameter
C
determines the trade‐off between the at-
C
ness of
f
and the amount to which deviations larger than
f
ε
are
t
o
l
er
-
ate
d
. Note t
h
e
f
eature space mapping ϕx(), w
h
ic
h
is a
l
so use
d
h
ere.
Using Lagrangian optimization, t
h
e resu
l
ting non
l
inear regression
func
t
ion becomes:
∑
=α−α +
=
fx Kx x b
kk
i
n
k
() ( )( ,) ,
*
1
whereb
y
αk
a
n
d
αk
* re
p
resent the La
g
ran
g
ian multi
p
liers. The h
yp
er
-
parameters
C
and
C
ε
can be tuned using a procedure similar to the one
ou
t
lined for classi ca
t
ion
SV
Ms.
Just as with neural networks, SVMs have a universal a
pp
roxima-
tion property. As an extra bene t, they do not require tuning of the
number of hidden neurons and are characterized b
y
convex o
p
timiza-
tion. However, the
y
are also ver
y
com
p
lex to be used in settin
g
s where
interpretability is important. Since an SVM can be represented as a
neural network (see Fi
g
ure 3.23 ), one could use an
y
of the rule extrac
-
tion methods (decompositional, pedagogical) discussed in the section
on neural networks to make them more comprehensible.
27 Also
,
two
‐
sta
g
e models could be used to achieve this aim, whereb
y
a second‐
stage SVM is estimated to correct for the errors of a simple (e.g., linear
or lo
g
istic re
g
ression) model.
ENSEMBLE METHODS
Ensem
bl
e met
h
o
d
s aim at estimatin
g
mu
l
ti
pl
e ana
ly
tica
l
mo
d
e
l
s
instea
d
o
f
using on
l
y one. T
h
e i
d
ea
h
ere is t
h
at mu
l
tip
l
e mo
d
e
l
s can
cover
d
i
ff
erent
p
arts o
f
t
h
e
d
ata in
p
ut s
p
ace an
d
, as suc
h
, com
pl
ement
eac
h
ot
h
er’s
d
e
ciencies. In or
d
er to success
f
u
lly
accom
pl
is
h
t
h
is, t
h
e

P
REDI
C
TIVE ANALYTI
CS
◂
65
anal
y
tical techni
q
ue needs to be sensitive to chan
g
es in the underl
y
in
g
d
ata. T
h
is is es
p
ecia
lly
t
h
e case
f
or
d
ecision trees, an
d
t
h
at’s w
hy
t
h
e
y
are commonly used in ensemble methods. In what follows, we will
discuss bagging, boosting, and random forests.
Bagging
Bagging (bootstrap aggregating) starts by taking B bootstraps from the
underlying sample.
2
8 Note that a bootstrap is a sample with replacement
(see section on evaluatin
g
p
redictive models). The idea is then to build
a c
l
assi
er (e.g.,
d
ecision tree)
f
or every
b
ootstrap. For c
l
assi
cation, a
new o
b
servation wi
ll
b
e c
l
assi
e
d
b
y
l
etting a
ll
B c
l
assi
ers vote, using,
f
or
examp
l
e, a majority voting sc
h
eme w
h
ere
b
y ties are reso
l
ve
d
ar
b
itrari
l
y.
For regression, the prediction is the average of the outcome of the B mod
-
els (e.
g
., re
g
ression trees). Also note that here a standard error, and thus
con dence interval, can be calculated. The number of bootstra
p
s B can
either be xed (e.g., 30) or tuned via an independent validation data set.
The ke
y
element for ba
gg
in
g
to be successful is the instabilit
y
of the
anal
y
tical techni
q
ues. If
p
erturbin
g
the data set b
y
means of the boot-
strapping procedure can alter the model constructed, then bagging will
im
p
rove the accurac
y
.
2
9
Boosting
Boosting works by estimating multiple models using a weighted sample
of
t
he da
t
a.
30
Starting from uniform weights, boosting will iteratively
rewei
g
ht the data accordin
g
to the classi cation error, whereb
y
mis
-
classi ed cases get higher weights. The idea here is that dif cult obser
-
vations should get more attention. Either the analytical technique can
directl
y
work with wei
g
hted observations or, if not, we can
j
ust sam
p
le
a new
d
ata set accor
d
in
g
to t
h
e wei
gh
t
d
istri
b
ution. T
h
e
na
l
ensem
bl
e
mo
d
e
l
is t
h
en a wei
gh
te
d
com
b
ination o
f
a
ll
t
h
e in
d
ivi
d
ua
l
mo
d
e
l
s.
A popu
l
ar imp
l
ementation o
f
t
h
is is t
h
e a
d
aptive
b
oosting/a
d
a
b
oost
p
roce
d
ure, w
h
ic
h
wor
k
s as
f
o
ll
ows:
1. Given the following observations: (
x
1
,
y
1
), …, (
x
n
x
,
y
n
) where
x
i
is
i
t
h
e attri
b
ute vector o
f
o
b
servation
i
and
i
y
i
∈
{
1,−1
}
2. Initia
l
ize t
h
e wei
gh
ts as
f
o
ll
ows:
W
1
WW
(
i
)=1/
i
n, i
= 1, …,
i
n

66
▸
A
NALYTI
CS
IN A BI
G
DATA W
O
RL
D
3. F
o
r
t
= 1…
t
T
a. Train a weak classi er (e.
g
., decision tree) usin
g
the wei
g
hts
W
t
WW
b
. Get weak classi er
C
t
CC
with classi cation error
t
ε
t
c. Choose t
t
t
1
2ln 1
α= −ε
ε
⎛
⎝
⎜⎞
⎠
⎟
d. Update the weights as follows:
i
.
Wi Wi
ZeifCxy
t
t
t
ti
t
() () ()
1==
+−α
ii
.
Wi Wi
ZeifCx y
t
t
t
ti
t
() () ()
1=≠
+α
4. Output t
h
e
na
l
ensem
bl
e mo
d
e
l
: E x sign C x
t
T
tt
() ( ())
1
∑
=α
⎛
⎝
⎜⎞
⎠
⎟
=
Note that in the above
p
rocedure,
T
represents the number of boost-
T
in
g
runs,
α
t
measures the importance that is assigned to classi er
t
C
t
CC
and
t
increases as
ε
t
gets smaller,
t
Z
t
is a normalization factor needed to make
t
sure that the wei
g
hts in ste
p
t
make up a distribution and as such sum to
t
1
,
and Cx
t()
re
p
resents the classi cation of the classi er built in ste
p
t
for
t
observation
x
. Multiple loss functions may be used to calculate the error
x
ε
t
, although the misclassi cation rate is undoubtedly the most popular.
t
In subste
p
i of ste
p
d, it can be seen that correctl
y
classi ed observa
-
tions get lower weights, whereas substep ii assigns higher weights to
the incorrectl
y
classi ed cases. A
g
ain, the number of boostin
g
runs
T
can be xed or tuned usin
g
an inde
p
endent validation set. Note that
various variants of this adaboost procedure exist, such as adaboost.M1,
adaboost.M2 (both for multiclass classi cation), and adaboost.R1 and
adaboost.R2 (both for regression).31 A key advantage of boosting is that
it is really easy to implement. A potential drawback is that there may be
a risk of over ttin
g
to the hard (
p
otentiall
y
nois
y
) exam
p
les in the data,
which will get higher weights as the algorithm proceeds.
Random Forests
Ran
d
om
f
orests was
rst intro
d
uce
d
by
Breiman.
32
It creates a
f
orest o
f
d
ecision trees as
f
o
ll
ows:
1. Gi
v
en a
d
ata set
w
it
h
n
o
b
ser
v
ations an
d
N
inputs
N
2
.
m
= constant c
h
osen on
b
e
f
ore
h
an
d
P
REDI
C
TIVE ANALYTI
CS
◂
6
7
3. F
o
r
t
= 1,…,
t
T
a. Take a bootstra
p
sam
p
le with
n
obser
v
ations
b
. Build a decision tree whereby for each node of the tree,
randomly choose m inputs on which to base the splitting
decision
c. Split on the best of this subset
d. Fully grow each tree without pruning
Common choices for
m
are 1, 2, or oor(log
2
(
N
) + 1), which is rec-
N
ommended. Random forests can be used with both classi cation trees
an
d
regression trees. Key in t
h
is approac
h
is t
h
e
d
issimi
l
arity amongst
t
h
e
b
ase c
l
assi
ers (i.e.,
d
ecision trees), w
h
ic
h
is o
b
taine
d
b
y a
d
opting
a
b
ootstrapping proce
d
ure to se
l
ect t
h
e training samp
l
es o
f
t
h
e in
d
i-
vidual base classi ers
,
the selection of a random subset of attributes
at each node, and the stren
g
th of the individual base models. As such,
the diversit
y
of the base classi ers creates an ensemble that is su
p
erior
in performance compared to the single models.
More recentl
y
, an alternative to random forests was
p
ro
p
osed:
rotation forests. This ensemble techni
q
ue takes the idea of random
forests one step further. It combines the idea of pooling a large num-
b
er of decision trees built on a subset of the attributes and data
,
with
the a
pp
lication of
p
rinci
p
al com
p
onent anal
y
sis
p
rior to decision tree
b
uilding, explaining its name. Rotating the axes prior to model build-
in
g
was found to enhance base classi er accurac
y
at the ex
p
ense of los
-
in
g
the abilit
y
of rankin
g
individual attributes b
y
their im
p
ortance.
3
3
Empirical evidence has shown that random forests can achieve excel
-
lent
p
redictive
p
erformance at the cost of decreased com
p
rehensibilit
y
.
MULTICLASS CLASSIFICATION TECHNIQUES
A
ll
o
f
t
h
e tec
h
ni
q
ues
p
revious
ly
d
iscusse
d
can
b
e easi
ly
exten
d
e
d
to a
mu
l
tic
l
ass settin
g
, w
h
ere
by
more t
h
an two tar
g
et c
l
asses are avai
l
a
bl
e.
Multiclass Logistic Regression
W
h
en estimating a mu
l
tic
l
ass
l
ogistic regression mo
d
e
l
, one
rst nee
d
s
to
k
now w
h
et
h
er t
h
e tar
g
et varia
bl
e is nomina
l
or or
d
ina
l
. Exam
pl
es

68
▸
A
NALYTI
CS
IN A BI
G
DATA W
O
RL
D
of nominal tar
g
ets could be
p
redictin
g
blood t
yp
e and
p
redictin
g
votin
g
behavior. Exam
p
les of ordinal tar
g
ets could be
p
redictin
g
credit ratin
g
s
and predicting income as high, medium, or low.
For nominal target variables, one of the target classes (say class
K
)
K
will be chosen as the base class as follows:
PY X X
PY K X X e
N
N
XX X
NN
(1|,,)
(|,,)
1
1
0
1
1
1
12
1
2
1
=…
=…
=
()
β+β +β + β
PY X X
PY K X X e
N
N
XX X
NN
(2|,,)
(|,,)
1
1
0
2
1
2
12
2
2
2
=…
=…
=
()
β+β +β + β
.
.
.
PY K X X
PY K X X e
N
N
XX X
KK K
N
K
N
(1|,,)
(|,,)
1
1
0
1
1
1
12
1
2
1
=− …
=… =
()
β+β +β +β
−− − −
Usin
g
the fact that all
p
robabilities must sum to 1, one can obtain
the followin
g:
PY X X e
e
N
XX X
XX X
k
K
NN
kk k
N
k
N
(1|,,)
1
1
1
1
0
1
1
1
12
1
2
1
01122
∑
=…=
+
()
()
β+β +β + β
β+β +β + β
=
−
PY X X e
e
N
XX X
XX X
k
K
NN
kk k
N
k
N
(2|,,)
1
1
1
1
0
2
1
2
12
2
2
2
01122
∑
=…=
+
()
()
β+β +β + β
β+β +β + β
=
−
PY K X X
e
NXX X
k
Kkk k
N
k
N
(|,,) 1
1
1
1
101122
∑
=…=
+
()
β+β +β + β
=
−
The β parameters are then usually estimated using maximum
aposteriori estimation, which is an extension of maximum likelihood
estimation. As with binar
y
lo
g
istic re
g
ression, the
p
rocedure comes
with standard errors, con dence intervals, and p‐values.
In case of ordinal targets, one could estimate a cumulative logistic
re
g
ression as follows:
PY eXX
NN
(1) 1
1111
≤=
+−θ +β + +β
PY eXX
NN
(2) 1
1211
≤=
+−θ +β + +β
PY K eXX
KNN
(1) 1
1111
≤−=
+−θ +β + +β
−

P
REDI
C
TIVE ANALYTI
CS
◂
69
or,
PY
PY eXX
NN
(1)
1( 1)
111
≤
−≤
=−θ +β + +β
PY
PY eXX
NN
(2)
1( 2)
211
≤
−≤
=−θ +β + +β
.
. .
PY K
PY K eXX
KNN
(1)
1( 1)
111
≤−
−≤−
=−θ +β + +β
−
Note t
h
at since ≤=PY K()1
,
θ=+∞
K
.
T
h
e in
d
ivi
d
ua
l
pro
b
a
b
i
l
ities can t
h
en
b
e o
b
taine
d
as
f
o
ll
ows:
== ≤PY PY(1)(1)
== ≤− ≤PY PY PY(2)(2)(1)
.
. .
==− ≤−PY K PY K()1( 1)
Also for this model
,
the β parameters can be estimated using a
maximum likelihood
p
rocedure.
Multiclass Decision Trees
Decision trees can be easil
y
extended to a multiclass settin
g
. For the
splitting decision, assuming
K
classes, the impurity criteria become:
K
∑
=−
=
Entropy S p log p
k
k
K
k
() ( )
1
2
∑
=−
=
Gini S p p
k
k
K
k
() (1 )
1
The sto
pp
in
g
decision can be made in a similar wa
y
as for binar
y
target decision trees by using an independent validation data set. The
assi
g
nment decision then looks for the most
p
revalent class in each of
t
h
e
l
ea
f
no
d
es.
Multiclass Neural Networks
A straig
h
t
f
orwar
d
option
f
or training a mu
l
tic
l
ass neura
l
networ
k
fo
r
K
classes, is to create
K
K
output neurons, one for each class. An
K

7
0
▸
A
NALYTI
CS
IN A BI
G
DATA W
O
RL
D
observation is then assi
g
ned to the out
p
ut neuron with the hi
g
hest
activation value (winner take all learnin
g
). Another o
p
tion is to use a
s
oftmax activation function.
34
Multiclass Support Vector Machines
A common practice to estimate a multiclass support vector machine is
to map the multiclass classi cation problem to a set of binary classi ca
-
tion problems. Two well‐known schemes here are one‐versus‐one and
one‐versus‐all codin
g
.
35
For
K
classes, one‐versus‐one coding estimates
K
K
(
K
K
− 1)/2 binary
K
SVM c
l
assi
ers contrasting every possi
bl
e pair o
f
c
l
asses. Every c
l
as
-
s
i
er as suc
h
can cast a vote on t
h
e target c
l
ass an
d
t
h
e
na
l
c
l
assi-
cation is then the result of a (weighted) voting procedure. Ties are
resolved arbitraril
y
. This is illustrated in Fi
g
ure 3.25 .
F
o
r
K
classes, one‐versus‐all coding estimates
K
K
binary SVM clas-
K
s
i ers each time contrasting one particular class against all the other
ones. A classi cation decision can then be made b
y
assi
g
nin
g
a
p
ar
-
ticular observation to the class for which one of the binar
y
classi ers
assigns the highest posterior probability. Ties are less likely to occur
with this scheme. This is illustrated in Fi
g
ure 3.26 .
N
ote that one‐versus‐one and one‐versus‐all are meta schemes
that can be used with other base classi ers as well.
F
i
gure3.25 One‐versus‐One Coding
f
or Multiclass Problems
x1
x
2
a) or :
b) or :
c) or :
Class is !

P
REDICTIVE ANALYTIC
S
◂
71
EVALUATING PREDICTIVE MODELS
In this section, we will discuss how to evaluate the performance of
predictive models. First, we will discuss how to split up the data set.
This will be followed b
y
a discussion of
p
erformance metrics.
Splitting Up the Data Set
When evaluating predictive models, two key decisions need to be
made. A rst decision concerns the data set s
p
lit u
p
, which s
p
eci es
on what
p
art of the data the
p
erformance will be measured. A second
decision concerns the performance metric. In what follows, we will
elaborate on both.
The decision how to s
p
lit u
p
the data set for
p
erformance mea
-
surement depends upon its size. In case of large data sets (say more
than 1,000 observations), the data can be s
p
lit u
p
into a trainin
g
and
a test sam
p
le. The trainin
g
sam
p
le (also called
development
o
r
t
estimation
s
am
pl
e) wi
ll
b
e use
d
to
b
ui
ld
t
h
e mo
d
e
l
, w
h
ereas t
h
e test sam
pl
e (a
l
so
ca
ll
e
d
t
h
e
h
o
ld
out samp
l
e ) wi
ll
b
e use
d
to ca
l
cu
l
ate its per
f
ormance (see
Fi
g
ure 3.27 ). T
h
ere s
h
ou
ld
b
e a strict se
p
aration
b
etween trainin
g
an
d
test sam
pl
e. Note t
h
at in case o
f
d
ecision trees or neura
l
networ
k
s, t
h
e
va
l
i
d
ation samp
l
e s
h
ou
ld
b
e part o
f
t
h
e training samp
l
e
b
ecause it is
active
ly
b
ein
g
use
d
d
urin
g
mo
d
e
l
d
eve
l
o
p
ment (i.e., to ma
k
e t
h
e sto
p
-
p
in
g
d
ecision).
Figure3.26 One‐versus‐All Coding for Multiclass Problems
a) or other; p( ) = 0.92
b) or other; p( ) = 0.18
c) or other; p( ) = 0.30
Class is !
x
2
x1

7
2
▸
A
NALYTI
CS
IN A BI
G
DATA W
O
RL
D
In the case of small data sets (sa
y
, less than 1,000 observations),
s
pecia
l
sc
h
emes nee
d
to
b
e a
d
opte
d
. A very popu
l
ar sc
h
eme is cross‐
validation (see Fi
g
ure 3.28 ). In cross‐validation, the data is s
p
lit into
K
folds (e.g., 10). A model is then trained on
K
K
− 1 training folds and
K
teste
d
on t
h
e remaining va
l
i
d
ation
f
o
ld
. T
h
is is repeate
d
f
or a
ll
possi
bl
e
va
l
i
d
ation
f
o
ld
s resu
l
tin
g
in
K
performance estimates that can then be
K
avera
g
e
d
. Note a
l
so t
h
at a stan
d
ar
d
d
eviation an
d
/or con
d
ence inter
-
va
l
can
b
e ca
l
cu
l
ate
d
i
f
d
esire
d
. Common c
h
oices
f
or
K
are 5 and 10. In
K
its most extreme case
,
cross‐validation becomes leave‐one‐out cross‐
validation whereb
y
ever
y
observation is left out in turn and a model is
estimated on the remaining
K
− 1 observations. This gives
K
K
analytical
K
models in total. In strati ed cross‐validation, s
p
ecial care is taken to
make sure the
g
ood/bad odds are the same in each fold.
F
i
gure3.27 Training versus Test Sample Set Up for Performance Estimation
Data
Build Model
Apply
Model
Target…Good/BadGenderIncomeAgeCustomer
0BadM1,20030John
1GoodF80025Sarah
1GoodF2,20052Sophie
0BadM2,00048David
1GoodM1,80034Peter
ScoreGood/Bad…GenderIncomeAgeCustomer
0.44GoodF1,00028Emma
0.76BadM1,50044Will
0.18GoodM1,20030Dan
0.88GoodM2,40058Bob
Train Data
Test Data
1
1
−(0.10+0.50age+0.0034income +...)
+e
P(Good | age,income,...) =
F
i
gure3.28 Cross‐Validation
f
or Per
f
ormance Measurement
Validation fold
Training fold
.
.
.

P
REDICTIVE ANALYTIC
S
◂
73
A
k
e
y
q
uestion to answer w
h
en
d
oin
g
cross‐va
l
i
d
ation is w
h
at
should be the nal model that is bein
g
out
p
ut from the
p
rocedure.
Because cross‐validation gives multiple models, this is not an obvi-
ous question. Of course, one could let all models collaborate in an
ensemble setup. A more pragmatic answer would be to, for example,
do leave‐one‐out cross‐validation and pick one of the models at ran-
dom. Because the models differ up to one observation, they will be
quite similar anyway. Alternatively, one may also choose to build one
nal model on all observations but report the performance coming out
of the cross‐validation
p
rocedure as the best inde
p
endent estimate.
For sma
ll
samp
l
es, one may a
l
so a
d
opt
b
ootstrapping proce
d
ures.
In
b
ootstrapping, one ta
k
es samp
l
es wit
h
rep
l
acement
f
rom a
d
ata set D
(see F
i
gure 3.29 ).
The probability that a customer is not sampled equals 1/
n
,
with
n
b
ein
g
the number of observations in the data set. Assumin
g
a bootstra
p
w
ith
n
sam
p
les, the fraction of customers that is not sam
p
led e
q
uals
:
n
n
11.−
⎛
⎝
⎜⎞
⎠
⎟
We then have:
−
⎛
⎝
⎜⎞
⎠
⎟==
→∞
−
ne
n
n
lim 1 10.368
1
whereby the approximation already works well for small values of
n
. So
,
0.368 is the
p
robabilit
y
that a customer does not a
pp
ear in the sam
p
le
and 0.632 is the
p
robabilit
y
that a customer does a
pp
ear. If we then take
the bootstrap sample as the training set, and the test set as all samples in
D but not in the bootstra
p
, we can calculate the
p
erformance as follows
:
Error estimate 0.368 error(training) 0.632 error(test),=+
whereb
y
obviousl
y
a hi
g
her wei
g
ht is bein
g
p
ut on the test set
p
erfor-
mance.
Figure3.29 Bootstrapping
C3 C3 C5 C3 C2C2
Bootstrap 1
D
C1
C2
C4
C5
C1 C2 C1 C2C4
Bootstrap 2

7
4
▸
A
NALYTICS IN A BIG DATA WORL
D
Performance Measures for Classi cation Models
Consi
d
er,
f
or examp
l
e, t
h
e
f
o
ll
owing c
h
urn pre
d
iction examp
l
e
f
or
a
ve customer
d
ata set. T
h
e
rst co
l
umn in Ta
bl
e 3.3
d
epicts t
h
e
true status
,
whereas the second column is the churn score as it
comes from a logistic regression, decision tree, neural network, and
so on.
One can now ma
p
the scores to a
p
redicted classi cation label b
y
assuming a default cutoff of 0.5 as shown in Figure 3.30 .
A confusion matrix can now be calculated and is shown in
T
ab
l
e
3.4 .
Based upon this matrix, one can now calculate the following per
-
formance measures:
■ Classi cation accurac
y
= (TP + TN)/(TP + FP + FN + TN) = 3/5
■ Classi cation error = (FP + FN)/(TP + FP + FN + TN) = 2/5
■ Sens
i
t
i
v
i
ty = TP/(TP + FN) = 1/2
■ S
p
eci cit
y
= TN/(FP + TN) = 2/3
However, note that all these classi cation measures depend on
the cut‐off. For exam
p
le, for a cut off of 0 (1), classi cation accurac
y
Ta
bl
e3.3 Exam
p
le Data Set
f
or Per
f
ormance Calculation
Churn Score
J
o
hn
Y
es 0.7
2
Sophi
e
N
o
0.5
6
D
av
id
Y
es 0.4
4
E
mm
a
No
0.1
8
B
o
b
No
0.3
6
Figure3.30 Calculating Predictions Using a Cut‐Of
f
Cutoff = 0.50
Churn Score
John Yes 0.72
Sophie No 0.56
David Yes 0.44
Emma No 0.18
Bob No 0.36
Churn Score Predicted
John Yes 0.72 Yes
Sophie No 0.56 Yes
David Yes 0.44 No
Emma No 0.18 No
Bob No 0.36 No

P
REDICTIVE ANALYTIC
S
◂
75
T
able
3
.4 The Con
f
usion Matrix
Actual Status
Positive (churn) Negative (no churn)
Pred
i
cted statu
s
Positive
(
churn
)
T
rue positive
(
John
)
False positive
(
Sophie
)
Ne
g
ative
(
no churn
)
F
a
l
se ne
g
at
i
ve
(D
av
id)
T
rue ne
g
at
i
ve
(E
mma,
B
o
b)
Table3.5 ROC Anal
y
sis
Cutoff Sensitivity Specificity 1−Specificity
0
1
0
1
0
.
01
0
.
02
…
.
0
.
99
1
0
1
0
b
ecomes 40 percent (60 percent), the error 60 percent (40 percent),
the sensitivity 100 percent (0), and the speci city 0 (100 percent).
It would be nice to have a performance measure that is indepen
-
d
ent
f
rom t
h
e cut‐o
ff
. One cou
ld
construct a ta
bl
e wit
h
t
h
e sensi
-
tivity, speci
city, an
d
1−speci
city
f
or various cut-o
ff
s as s
h
own in
Ta
bl
e 3.5 .
The receiver operating characteristic (ROC) curve then plots the
sensitivit
y
versus 1−s
p
eci cit
y
as illustrated in Fi
g
ure 3.31 .
3
6
Note that a
p
erfect model has a sensitivit
y
of 1 and a s
p
eci cit
y
of
1, and is thus represented by the upper left corner. The closer the curve
a
pp
roaches this
p
oint, the better the
p
erformance. In Fi
g
ure 3.31 ,
scorecard A has a better
p
erformance than scorecard B. A
p
roblem
arises
,
however
,
if the curves intersect. In this case
,
one can calcu
-
late the area under the ROC curve (AUC) as a
p
erformance metric.
The AUC
p
rovides a sim
p
le
g
ure‐of‐merit for the
p
erformance of
the constructed classi er. The higher the AUC, the better the per-
formance. The AUC is alwa
y
s bounded between 0 and 1 and can be
inter
p
reted as a
p
robabilit
y
. In fact, it re
p
resents the
p
robabilit
y
that a
randomly chosen churner gets a higher score than a randomly chosen
nonchurner.
3
7 Note that the dia
g
onal re
p
resents a random scorecard
whereby sensitivity equals 1−speci city for all cut off points. Hence, a

7
6
▸
A
NALYTI
CS
IN A BI
G
DATA W
O
RL
D
g
ood classi er should have an ROC above the dia
g
onal and AUC bi
g
-
g
er than 50%. Table 3.6
p
resents some AUC benchmarks for various
analytics applications.
38
A lift curve is another im
p
ortant
p
erformance metric. It starts b
y
sortin
g
the
p
o
p
ulation from low score to hi
g
h score. Su
pp
ose now
that in the top 10% lowest scores there are 60 percent bads, whereas
the total
p
o
p
ulation has 10% bads. The lift value in the to
p
decile
then becomes 60/10
p
ercent or 6. In other words, the lift value re
p-
resents the cumulative percentage of bads per decile, divided by the
overall
p
o
p
ulation
p
ercenta
g
e of bads. Usin
g
no model, or a random
sortin
g
, the bads would be e
q
uall
y
s
p
read across the entire ran
g
e and
the lift value would always equal 1. Obviously, the lift curve always
decreases as one considers bi
gg
er deciles, until it will reach 1. This is
illustrated in Figure 3.32 . Note that a lift curve can also be expressed
in a noncumulative way, and is also often summarized as the top
decile lif
t
.
T
ab
l
e
3
.
6
Performance Benchmarks in Terms of AUC
Application Number of
Characteristics AUC Ranges
A
pplication credit scorin
g
1
0
–1
5
70
–
85%
Behavioral credit scorin
g
1
0
–1
5
80
–
90%
C
hurn detection (telco
)
6
–
10
70
–
90%
Fraud detection (insurance
)
10–1
5
7
0–90
%
F
i
gure3.31 T
h
e Rece
i
ver Operat
i
ng C
h
aracter
i
st
i
c Curve
0
0.2
0.4
0.6
0.8
1
0 0.2 0.4 0.6 0.8 1
Sensitivity
(1–Specificity)
ROC Curve
Scorecard A Random Scorecard B

P
REDI
C
TIVE ANALYTI
CS
◂
77
T
h
e cumu
l
ative accurac
y
p
ro
l
e (CAP), Lorenz, or
p
ower curve is
very c
l
ose
l
y re
l
ate
d
to t
h
e
l
i
f
t curve (see Figure 3.33 ). It a
l
so starts
b
y
sortin
g
t
h
e
p
o
p
u
l
ation
f
rom
l
ow score to
h
i
gh
score an
d
t
h
en measures
t
h
e cumu
l
ative
p
ercenta
g
e o
f
b
a
d
s
f
or eac
h
d
eci
l
e on t
h
e Y‐axis. T
h
e
per
f
ect mo
d
e
l
gives a
l
inear
l
y increasing curve up to t
h
e samp
l
e
b
a
d
rate an
d
t
h
en
attens out. T
h
e
d
ia
g
ona
l
a
g
ain re
p
resents t
h
e ran
d
om
mo
d
e
l
.
T
h
e CAP curve can
b
e summarize
d
in an Accuracy Ratio (AR) as
d
e
p
icte
d
in Fi
g
ure 3.34 .
T
h
e accuracy ratio is t
h
en
d
e
ne
d
as
f
o
ll
ows:
(Area
b
e
l
ow
p
ower curve
f
or current mo
d
e
l
−Area
b
e
l
ow
p
ower
curve
f
or ran
d
om mo
d
e
l)
/
(Area
b
e
l
ow
p
ower curve
f
or
p
er
f
ect mo
d
e
l
−Area
b
e
l
ow
p
ower
curve
f
or ran
d
om mo
d
e
l
)
A per
f
ect mo
d
e
l
wi
ll
t
h
us
h
ave an AR o
f
1 an
d
a ran
d
om mo
d
e
l
an
AR o
f
0. Note t
h
at t
h
e accurac
y
ratio is a
l
so o
f
ten re
f
erre
d
to as t
h
e
G
ini
coe
f
cient. T
h
ere is a
l
so a
l
inear re
l
ation
b
etween t
h
e AR an
d
t
h
e AUC
as
f
o
ll
ows: AR = 2 * AUC−1.
Figure3.32 The Li
f
t Curve
0
1
2
3
4
5
6
10 20 30 40 50 60 70 80 90 100
% of Sorted Population
Scorecard
Baseline

0 0.1 0.2 0.3 0.4 0.5 0.6 0.7 0.8 0.9 1
Scorecard 0 0.3 0.5 0.65 0.78 0.85 0.9 0.95 0.97 0.99 1
Random model 0 0.1 0.2 0.3 0.4 0.5 0.6 0.7 0.8 0.9 1
Perfect Model 01111111111
0
0.2
0.4
0.6
0.8
1
1. 2
Percentage of Bads
Percentage of sorted population
Scorecard
Random model
Perfect Model
Fi
g
ure3.33 The Cumulative Accurac
y
Pro le
78

P
REDICTIVE ANALYTIC
S
◂
79
The Kolmo
g
orov‐Smirnov distance is a se
p
aration measure calcu
-
latin
g
the maximum distance between the cumulative score distribu-
tions P(s | B) and P(s | G) de ned as follows (see Fi
g
ure 3.35 ):
∑
=
≤
PsG pxG
xs
(| ) ( | )
∑
=
≤
PsB pxB
xs
(| ) ( | )
Note that by de nition
P
(
P
s
|
G
) equals 1−sensitivity, and
P
(
P
s
|
B
)
e
q
uals the s
p
eci cit
y
. Hence, it can easil
y
be veri ed that the KS dis
-
tance can also be measured on an ROC graph. It fact, it is equal to the
maximum vertical distance between the ROC curve and the dia
g
onal.
B
A
AR = B/(A + B)
Current model
Perfect model
F
i
gure3.34 Ca
l
cu
l
at
i
ng t
h
e Accuracy Rat
i
o
Fi
g
ure3.35 The Kolmo
g
orov‐Smirnov Statistic
0
0.1
0.2
0.3
0.4
0.5
0.6
0.7
0.8
0.9
1
Score
P(s|G)
P(s|B)
KS distance

80
▸
A
NALYTI
CS
IN A BI
G
DATA W
O
RL
D
Anot
h
er
p
er
f
ormance measure is t
h
e Ma
h
a
l
ano
b
is
d
istance
b
etween the score distributions
,
de ned as follows:
MGB
||
,=μ−μ
σ
w
h
ere
b
yμG
(
μB) represents t
h
e mean score o
f
t
h
e goo
d
s (
b
a
d
s) an
d
σ the
p
ooled standard deviation. Obviousl
y
, a hi
g
h Mahalanobis
d
istance is pre
f
erre
d
b
ecause it means
b
ot
h
score
d
istri
b
utions are
we
ll
se
p
arate
d
. C
l
ose
ly
re
l
ate
d
is t
h
e
d
iver
g
ence metric, ca
l
cu
l
ate
d
as follo
w
s:
DGB
GB
()
1
2()
2
22
=μ−μ
σ+σ
b
e a
d
o
p
te
d
. Fi
g
ure 3.36
p
resents an exam
pl
e o
f
a mu
l
tic
l
ass con
f
usion
ma
t
r
i
x.
T
h
e on‐
d
ia
g
ona
l
e
l
ements re
p
resente
d
in
g
ra
y
corres
p
on
d
to t
h
e
correct classi cations. Off‐dia
g
onal elements re
p
resent errors. Note,
however, that not all errors have equal impact. Given the ordinal
nature o
f
t
h
e tar
g
et varia
bl
e, t
h
e
f
urt
h
er awa
y
f
rom t
h
e
d
ia
g
ona
l
,
the bi
gg
er the im
p
act of the error. For exam
p
le, in Fi
g
ure 3.36 ,
t
h
ere are 34 C+ o
b
servations pre
d
icte
d
as C, w
h
ic
h
is not as
b
a
d
as
t
h
e one C+
p
re
d
icte
d
as D. One cou
ld
summarize t
h
is in a notc
h
d
i
f-
ference graph that depicts the cumulative accuracy for increasing
notc
h
d
i
ff
erences. Figure 3.37 gives an examp
l
e o
f
a notc
h
d
i
ff
er
-
ence
g
ra
p
h.
At the 0 notch difference level, the performance equals about
35
p
ercent, w
h
ic
h
ma
y
not seem ver
y
g
oo
d
. However,
by
a
ll
owin
g
for a one‐notch difference, the
p
erformance almost doubles to around
75percent, w
h
ic
h
is a
l
ot
b
etter!
T
h
e AUC can
b
e genera
l
ize
d
to t
h
e mu
l
tic
l
ass setting
b
y p
l
ot
-
ting an ROC grap
h
f
or eac
h
c
l
ass against a
ll
ot
h
er c
l
asses, ca
l
cu
l
ating
t
h
e AUC, an
d
ta
k
ing t
h
e overa
ll
average. Anot
h
er option is to ca
l-
cu
l
ate an AUC
f
or eac
h
possi
bl
e c
l
ass comparison an
d
t
h
en ta
k
e t
h
e
a
v
erage
.
39

A+ A A– B+ B B– C+ C C– D+ D D– E+ E E–
A+ 000000000000000
A0140400000000000
A– 000200000000000
B+ 0705000550100000
B 0225401258170510100
B– 0006061060100000
C+ 0001303993401110000
C0105013715111240000
C– 000200383400000
D+ 0001007202131240310
D0001002913212201370
D– 000000000002100
E+ 000000040122603750
E0000000404905480
E– 000000000000000
Predicted
True
F
i
gure3.36 Confusion Matrix for a Multiclass Example
8
1

F
i
gure3.37 A Cumulative Notch Di
ff
erence Graph
0
10
20
30
40
50
60
70
80
90
100
0123456
Cumulative Accuracy (%)
Notch Difference

P
REDICTIVE ANALYTIC
S
◂
83
Performance Measures for Regression Models
Mu
l
tip
l
e measures exist to ca
l
cu
l
ate t
h
e per
f
ormance o
f
regression
models. A rst key metric is the
R
‐squared, de ned as follows:
Ryy
yy
ii
i
n
i
i
n
1(ˆ)
()
,
2
2
1
2
1
∑
∑
=− −
−
=
=
whereby yi is the true value, yi
ˆ the predicted value, and y the average.
The R2 always varies between 0 and 1, and higher values are to be pre
-
ferred. Two other popular measures are the mean squared error (MSE)
an
d
mean a
b
so
l
ute
d
eviation (MAD),
d
e
ne
d
as
f
o
ll
ows:
∑
=−
=
MSE yy
n
ii
i
n(ˆ)2
1
a visual re
p
resentation of model
p
erformance (see Fi
g
ure 3.38 ). The
more the
p
lot a
pp
roaches a strai
g
ht line throu
g
h the ori
g
in, the better
the performance of the model. It can be summarized by calculating the
Pearson correla
t
ion coef cien
t
.
∑
=−
=
MAD yy
n
i
n
ii
|ˆ|
1
0
5
10
15
20
25
30
35
40
45
50
0 5 10 15 20 25 30 35 40 45
P
r
e
d
i
c
t
e
d
C
L
V
CLV
Figure3.38 Scatter Plot for Measuring Model Performance

8
4▸
A
NALYTICS IN A BIG DATA WORL
D
NOTES
1. T. Hastie, R. Ti
b
s
h
irani, an
d
J. Frie
d
man, E
l
ements o
f
Statistica
l
Learning: Data Mining,
Inference and Prediction (Springer‐Verlag, Berlin, Germany, 2001).
2. S. Viaene et al., “A Comparison of State‐of‐the‐Art Classi cation Techniques for
Expert Automobile Insurance Fraud Detection.” Special issue, Journal of Risk and
In
sura
n
ce 69, no. 3
(
2002
)
: 433–443.
3. S. Gupta et al., “Modeling Customer Lifetime Value,”
J
ournal of Service Researc
h
9,
no. 2 (2006): 139–155; N. Glady, C. Croux, and B. Baesens, “Modeling Churn Using
Customer Lifetime Value,” European Journal of Operational Researc
h
197, no. 1
(
2009
)
:
402–411.
4. T. Van Gestel and B. Baesens, Credit Risk Management: Basic Concepts: Financial Risk
Components, Rating Analysis, Models, Economic and Regulatory Capital
(Oxford University
l
Press, 2009); G. Loterman et al., “Benchmarking Regression Algorithms for Loss
Given Default Modeling,”
I
nternational Journal of Forecasting 28, no. 1
(
2012
)
: 161
–
170; E. Tobback et al., “Forecasting Loss Given Default Models: Impact of Account
Characteristics and the Macroeconomic State,” Journal of the Operational Research
Societ
y,
forthcomin
g
2014.
5. D. W. Dwyer, A. Kocagi
l
, an
d
R. Stein, T
h
e Moo
d
y’s KMV EDF™ Ris
k
Ca
l
c™ v3.1 Mo
d
e
l
Next Generation Technology for Predicting Private Firm Credit Risk
(W
h
ite
p
a
p
er, 2004).
k
6. R. O. Du
d
a
,
P. E. Hart
,
an
d
D. G. Stor
k,
Pattern C
l
assi
cation (Jo
h
n Wi
l
e
y
& Sons,
Ho
b
o
k
en, New Jerse
y
, US, 2001).
7. J. R. Quin
l
an, C4.5 Programs
f
or Mac
h
ine Learning (Mor
g
an Kau
ff
man Pu
bl
is
h
ers,
Bur
l
ington, Massac
h
usetts, Unite
d
States, 1993).
8. L. Breiman et a
l
., C
l
assi
cation an
d
Regression Trees (Monterey, CA: Wa
d
swort
h
&
Broo
k
s/Co
l
e A
d
vance
d
Boo
k
s & So
f
tware, 1984
)
.
9. J. A. Harti
g
an, C
l
usterin
g
A
lg
orit
h
ms (New Yor
k
: Jo
h
n Wi
l
e
y
& Sons, 1975).
10. C. M. Bis
h
o
p
, Neura
l
Networ
k
s
f
or Pattern Reco
g
nitio
n
(Ox
f
or
d
Universit
y
Press, Ox
f
or
d
,
En
gl
an
d
, 1995); J. M. Zura
d
a,
I
ntro
d
uction to Arti
cia
l
Neura
l
S
y
stems
(
Boston: PWS
Pu
bl
is
h
in
g
, 1992).
11. B. Baesens et a
l
., “Ba
y
esian Neura
l
Networ
k
Learnin
g
f
or Re
p
eat Purc
h
ase Mo
d
e
l
-
l
in
g
in Direct Mar
k
etin
g
,” Euro
p
ean Journa
l
o
f
O
p
erationa
l
Researc
h
138, no. 1
(
2002
)
:
191–211.
12. K. Horni
k
, M. Stinc
h
com
b
e, an
d
H. W
h
ite, “Mu
l
ti
l
a
y
er Fee
df
orwar
d
Networ
k
s Are
Universa
l
A
pp
roximators,” Neura
l
Networ
ks
2, no. 5
(
1989
)
: 359–366.
13. See C. M. Bis
h
o
p
,
N
eura
l
Networ
k
s
f
or Pattern Recognitio
n
(Ox
f
or
d
Universit
y
Press,
Ox
f
or
d
, En
gl
an
d
, 1995)
f
or more
d
etai
l
s.
14. J. Moo
dy
an
d
J. Utans. “Arc
h
itecture Se
l
ection Strate
g
ies
f
or Neura
l
Networ
k
s:
A
ppl
ication to Cor
p
orate Bon
d
Ratin
g
Pre
d
iction,” in
N
eura
l
Networ
k
s in t
h
e Ca
p
ita
l
M
ar
k
ets, A. N. Re
f
enes (e
d
itor) (New Yor
k
: Jo
h
n Wi
l
e
y
& Sons, 1994).
15. P. L. Bart
l
ett, “For Va
l
i
d
Genera
l
ization, t
h
e Size o
f
t
h
e Wei
gh
ts Is More Im
p
ortant
than the Size of the Network,” in
Advances in Neural Information Processing Systems 9,
e
d
. M. C, Mozer, M. I. Jor
d
an, an
d
T. Petsc
h
e (Cam
b
ri
d
ge, MA: MIT Press, 1997),
134
–
140.
16. B. Baesens, D. et a
l
., “W
h
ite Box Non
l
inear Pre
d
iction Mo
d
e
l
s.” Specia
l
issue,
IEEE
Transactions on Neura
l
Networ
k
s 22, no. 12
(
2011
)
: 2406–2408.
17. B. Baesens, “Deve
l
o
p
in
g
Inte
ll
i
g
ent S
y
stems
f
or Cre
d
it Scorin
g
usin
g
Mac
h
ine Learn-
ing Tec
h
niques” (P
h
D t
h
esis, Kat
h
o
l
ie
k
e Universiteit Leuven, 2003); B. Baesens et a
l
.,

P
REDI
C
TIVE ANALYTI
CS
◂
85
“Usin
g
Neura
l
Networ
k
Ru
l
e Extraction an
d
Decision Ta
bl
es
f
or Cre
d
it‐Ris
k
Eva
l
ua-
tion
,
”
Management Science
49, no. 3
(
2003
)
: 312–329; R. Setiono, B. Baesens, and C.
Mues, “A Note on Knowled
g
e Discover
y
Usin
g
Neural Networks and Its A
pp
lication
to Credit Card Screening,” European Journal of Operational Research 192, no. 1 (2009):
326–332.
18. H. Lu, R. Setiono, and H. Liu, “NeuroRule: A Connectionist Approach to Data
Mining,” in
P
roceedings of 21st International Conference on Very Large Data Base
s
(Zurich,
Switzerland, Morgan Kaufmann, 1995), 478–489.
19. M. Craven and J. Shavlik, “Extracting Tree‐Structured Representations of Trained
Networks,” in
Advances in Neural Information Processing Systems
(Cambridge, MA: MIT
Press, 1996
)
.
20. T. Van Gestel et al., “Linear and Nonlinear Credit Scoring by Combining Logistic
Regression and Support Vector Machines,”
Journal of Credit Risk
1, no. 4
(
2005
)
; T.
k
Van Gestel et al., “A Process Model to Develop an Internal Rating System: Sovereign
Credit Ratings,” Decision Support Systems 42, no. 2
(
2006
)
: 1131–1151.
21. N. Cristianini and J. S. Taylor,
An Introduction to Support Vector Machines and Other
Kernel‐based Learning Method
s
(Cambridge University Press, 2000); B. Schölkopf and
A. Smola
,
Learning with Kernels (Cambrid
g
e, MA: MIT Press, 2001); V. Va
p
nik, T
he
Nature of Statistical Learnin
g
Theory (New York: S
p
rin
g
er‐Verla
g
, 1995).
22. O. L. Man
g
asarian, “Linear and Non‐linear Se
p
aration of Patterns b
y
Linear Pro
-
g
rammin
g
,” O
p
erations Researc
h
13, Ma
y
‐June (1965): 444–452.
23. N. Cristianini and J. S. Taylor,
An Introduction to Support Vector Machines and Other
Kernel‐based Learnin
g
Method
s
(Cambrid
g
e Universit
y
Press, 2000); B. Schölko
p
f and
A. Smola
,
Learnin
g
with Kernels (Cambrid
g
e, MA: MIT Press, 2001); V. Va
p
nik, T
he
Nature of Statistical Learnin
g
Theory (New York: S
p
rin
g
er‐Verla
g
, 1995).
24. N. Cristianini and J. S. Taylor,
An Introduction to Support Vector Machines and Other
Kernel‐based Learnin
g
Method
s
(Cambrid
g
e Universit
y
Press, 2000); B. Schölko
p
f and
A. Smola
,
Learnin
g
with Kernels (Cambrid
g
e, MA: MIT Press, 2001); V. Va
p
nik, T
he
Nature of Statistical Learnin
g
Theory (New York: S
p
rin
g
er‐Verla
g
, 1995).
25. T. Van Gestel et al., “Benchmarkin
g
Least S
q
uares Su
pp
ort Vector Machine Classi
-
ers,”
Machine Learning
54, no. 1
(
2004
)
: 5–32.
26. I
b
i
d
.
27. D. Martens et al., “Com
p
rehensible Credit Scorin
g
Models Usin
g
Rule Extraction
From Su
pp
ort Vector Machines,” Euro
p
ean Journal o
f
O
p
erational Research 183
(
2007
)
:
1466–1476; D. Martens, B. Baesens, and T. Van Gestel, “Decompositional Rule
Extraction from Su
pp
ort Vector Machines b
y
Active Learnin
g
,” IEEE T
ransactions
on
Knowledge and Data Engineering 21, no. 1,
(
2009
)
: 178–191.
28. L. Breiman, “Bagging Predictors,”
Machine Learning
24, no. 2
(
1996
)
: 123–140.
29. Ibid.
30. Y. Freund and R. E. Scha
p
ire, “A Decision‐Theoretic Generalization of On‐Line
Learnin
g
an
d
an A
ppl
ication to Boostin
g
,” Journa
l
o
f
Com
p
uter an
d
S
y
stem Sciences
55, no. 1 (1997): 119–139; Y. Freun
d
an
d
R. E. Sc
h
apire, “A S
h
ort Intro
d
uction
to Boost
i
ng,” Journa
l
o
f
Japanese Society
f
or Arti
cia
l
Inte
ll
igenc
e
14, no. 5
(
1999
)
:
7
71–7
80.
31. See Y. Freun
d
an
d
R. E. Sc
h
a
p
ire, “A Decision‐T
h
eoretic Genera
l
ization o
f
On‐Line
Learning an
d
an App
l
ication to Boosting,” Journa
l
o
f
Computer an
d
System Sciences
55, no. 1 (1997): 119–139, an
d
Y. Freun
d
an
d
R. E. Sc
h
apire, “A S
h
ort Intro
d
uc
-
tion to Boostin
g
,”
J
ourna
l
o
f
Japanese Society
f
or Arti
cia
l
Inte
ll
igence 14, no. 5 (1999):
7
71–780,
f
or more
d
etai
l
s.

86
▸
A
NALYTI
CS
IN A BI
G
DATA W
O
RL
D
32. L. Breiman, “Random Forests,”
Machine Learning
45, no. 1
(
2001
)
: 5–32.
33. J. J. Rodri
g
uez, L. I. Kuncheva, and C. J. Alonso, “Rotation Forest: A New Classi er
Ensemble Method
,
” IEEE Transactions on Pattern Analysis and Machine Intelligenc
e
28
,
no. 10
(
2006
)
: 1619–1630.
34. C. M. Bishop, Neural Networks for Pattern Recognitio
n
(Oxford University Press, Oxford,
England, 1995).
35. T. Van Gestel, “From Linear to Kernel Based Methods for Classi cation, Modelling
and Prediction” (PhD Thesis, Katholieke Universiteit Leuven, 2002).
36. T. Fawcett, “ROC Graphs: Notes and Practical Considerations for Researchers,”
H
P
Labs Tech Report HPL‐2003–4 , HP Laboratories, Palo Alto, US
(
2003
)
.
37. E. R. Delong, D. M. Delong, and D. L. Clarke‐Pearson, “Comparing the Areas Under
T
wo or More Correlated Receiver Operating Characteristic Curves: A Nonparamet-
ric Approach,”
Biometrics
44 (1988): 837–845; J. A, Hanley and B. J. McNeil, “The
Meaning and Use of Area under the ROC Curve,”
R
adiology 143
(
1982
)
: 29–36.
38. B. Baesens et al., “Benchmarking State of the Art Classi cation Algorithms for
Credit Scoring,” Journal of the Operational Research Societ
y
54, no. 6
(
2003
)
: 627–635;
W. Verbeke et al., “New Insi
g
hts into Churn Prediction in the Telecommunication
Sector: A Pro t Driven Data Minin
g
A
pp
roach,”
E
uro
p
ean Journal o
f
O
p
erational
R
esearch
218, no. 1
(
2012
)
: 211–229.
39. D. Hand and R. J. Till, “A Sim
p
le Generalization of the Area under the ROC Curve to
Multiple Class Classi cation Problems,”
Machine Learning
45, no. 2
(
2001
)
: 171–186.
8
7
C
HAPTER
4
Descriptive
Analytics
I n
d
escri
p
tive ana
ly
tics, t
h
e aim is to
d
escri
b
e
p
atterns o
f
customer
b
e
h
avior. Contrary to pre
d
ictive ana
l
ytics, t
h
ere is no rea
l
target
v
aria
bl
e (e.
g
., c
h
urn or
f
rau
d
in
d
icator) avai
l
a
bl
e. Hence,
d
escri
p
tive
ana
ly
tics is o
f
ten re
f
erre
d
to as
u
nsupervise
d
l
earnin
g
b
ecause t
h
ere is no
target varia
bl
e to steer t
h
e
l
earning process. T
h
e t
h
ree most common
t
yp
es o
f
d
escri
p
tive ana
ly
tics are summarize
d
in Ta
bl
e 4.1 .
ASSOCIATION RULES
In t
h
is section, we wi
ll
a
dd
ress
h
ow to mine association ru
l
es
f
rom
d
ata. First, t
h
e
b
asic setting wi
ll
b
e
d
iscusse
d
. T
h
is wi
ll
b
e
f
o
ll
owe
d
b
y a
d
iscussion o
f
su
pp
ort an
d
con
d
ence, w
h
ic
h
are two
k
e
y
measures
f
or
association ru
l
e minin
g
. Next, we wi
ll
zoom into t
h
e association ru
l
e
mining process. T
h
e
l
i
f
t measure wi
ll
t
h
en
b
e intro
d
uce
d
. T
h
e section
wi
ll
b
e conc
l
u
d
e
d
by
d
iscussin
g
p
ost
p
rocessin
g
, extensions, an
d
vari-
ous a
ppl
ications o
f
association ru
l
es.
Basic Setting
Association rules t
yp
icall
y
start from a database of transactions,
D
. Each
transaction consists of a transaction identi er and a set of items (e.g.,

88
▸
A
NALYTI
CS
IN A BI
G
DATA W
O
RL
D
p
roducts, Web
p
a
g
es, courses) {
i
1
,
i
2
,
…
,
i
n
} selected from all
p
ossible
items (
I
). Table 4.2 gives an example of a transactions database in a
I
su
p
ermarket settin
g
.
An association rule is then an implication of the form
X
⇒
Y
,
Y
Y
whereby
X
⊂
I
,
I
Y
⊂
I
and
I
X
∩
Y
=
Y
∅
.
X
is referred to as the rule
X
Ta
bl
e 4.2 Examp
l
e Transact
i
on Data Set
Transaction Identifier Items
1
Beer, milk, diapers, baby
f
oo
d
2
Coke, beer, dia
p
er
s
3
Ci
g
arettes, diapers, baby foo
d
4 Chocolates, dia
p
ers, milk, a
pp
le
s
5
T
omatoes, water, app
l
es,
b
eer
6
Spaghetti, diapers, baby food, bee
r
7
Water, beer, baby foo
d
8
Diapers, baby
f
ood, spaghett
i
9
Baby
f
ood, beer, diapers, mil
k
10
A
pples, wine, baby foo
d
Ta
bl
e 4.1 Examples o
f
Descriptive Anal
y
tics
Type of Descriptive
Analytics Explanation Example
A
ssoc
i
at
i
on ru
l
e
s
Detect frequently
occurr
i
n
g
patterns between
item
s
Detectin
g
what products are frequently purchased
t
o
g
et
h
er
i
n a supermar
k
et contex
t
Detectin
g
what words frequently co‐occur in a
t
ext documen
t
Detectin
g
what elective courses are frequently
chosen to
g
ether in a university settin
g
Sequence rule
s
D
etect
se
q
uences of
event
s
Detecting sequences of purchase behavior in a
s
u
p
ermarket contex
t
Detecting sequences of web page visits in a web
mi
n
i
ng contex
t
Detecting sequences of words in a text documen
t
C
lusterin
g
Detect
h
omogeneous
segments of
o
b
servat
i
on
s
Di
ff
erentiate between brands in a marketing
p
ortfoli
o
S
egment customer population for targeted
m
ar
k
et
i
n
g

DESCRIPTIVE ANALYTIC
S
◂
89
antecedent
,
whereas
Y
is referred to as the rule consequent. Examples
Y
of associa
t
ion rules are:
■ If a customer has a car loan and car insurance
,
then the cus-
tomer has a checking account in 80% of the cases.
■ If a customer buys spaghetti, then the customer buys red wine
in 70 percent of the cases.
■ If a customer visits web page A, then the customer will visit web
page B in 90% of the cases.
It is hereby important to note that association rules are stochastic
in nature, w
h
ic
h
means t
h
ey s
h
ou
ld
not
b
e interprete
d
as a univer
-
sa
l
trut
h
an
d
are c
h
aracterize
d
b
y statistica
l
measures quanti
f
ying t
h
e
strengt
h
o
f
t
h
e association. A
l
so, t
h
e ru
l
es measure corre
l
ationa
l
asso-
ciations and should not be inter
p
reted in a causal wa
y
.
Support and Con dence
Su
pp
ort and con dence are two ke
y
measures to
q
uantif
y
the stren
g
th
of an association rule. The support of an item set is de ned as the per
-
centa
g
e of total transactions in the database that contains the item set.
Hence, the rule
X
⇒
Y
has support (
Y
s
) if 100
s
%
of the transactions in
D
contain
X
∪
Y
. It can be formally de ned as follows:
Y
Y
∪= ∪
support X Y number of transactions supporting X Y
total number of transactions
() ()
When considerin
g
the transaction database in Table 4.2 , the association
rule baby food and diapers
⇒
beer has support 3/10 or 30 percent.
A frequent item set is one for which the support is higher than a
threshold (minsu
p
) that is t
yp
icall
y
s
p
eci ed u
p
front b
y
the business
user or data analyst. A lower (higher) support will obviously generate
more (less) fre
q
uent item sets. The con dence measures the stren
g
th of
the association and is de ned as the conditional
p
robabilit
y
of the rule
consequent, given the rule antecedent. The rule
X
⇒
Y
has con dence
Y
(
c
) if 100
c
c
% of the transactions in
c
D
that contain
X
also contain
X
Y
.
Y
Y
It can
b
e
f
orma
ll
y
d
e
ne
d
as
f
o
ll
ows
:
→= = ∪
confidence X Y P Y X support X Y
support X
()(|) ()
()
90
▸
A
NALYTI
CS
IN A BI
G
DATA W
O
RL
D
A
g
ain, the data anal
y
st has to s
p
ecif
y
a minimum con dence (min
-
conf) in order for an association rule to be considered interestin
g
.
When considering Table 4.2 , the association rule baby food and
diapers ⇒ beer has con dence 3/5 or 60 percent.
Association Rule Mining
Mining association rules from data is essentially a two‐step process as
follows:
1. Identi cation of all item sets having support above minsup (i.e.,
“
f
requent” item sets)
2. Discovery o
f
a
ll
d
erive
d
association ru
l
es
h
aving con
d
ence
a
b
ove mincon
f
As said before, both minsu
p
and minconf need to be s
p
eci ed
b
eforehand b
y
the data anal
y
st. The rst ste
p
is t
yp
icall
y
p
erformed
using the Apriori algorithm.
1
The basic no
t
ion of a prior
i
states that every
i
subset of a fre
q
uent item set is fre
q
uent as well or, conversel
y
, ever
y
su
p
erset of an infre
q
uent item set is infre
q
uent. This im
p
lies that can-
didate item sets with
k
items can be found by pairwise joining frequent
k
item sets with
k
− 1 items and deleting those sets that have infrequent
k
subsets. Thanks to this
p
ro
p
ert
y
, the number of candidate subsets to
b
e evaluated can be decreased, which will substantially improve the
p
erformance of the al
g
orithm because fewer databases
p
asses will be
re
q
uired. The A
p
riori al
g
orithm is illustrated in Fi
g
ure 4.1 .
Once the frequent item sets have been found, the association rules
can be
g
enerated in a strai
g
htforward wa
y
, as follows:
■ For each frequent item set k
,
generate all nonempty subsets of
k
■
For every nonempty subset
s
of
k,
output the rule
s
⇒
k
−
k
s
if
t
he
con dence > minconf
Note t
h
at t
h
e con
d
ence can
b
e easi
ly
com
p
ute
d
usin
g
t
h
e su
pp
ort
va
l
ues t
h
at were o
b
taine
d
d
urin
g
t
h
e
f
re
q
uent item set minin
g
.
For t
h
e
f
requent item set {
b
a
b
y
f
oo
d
,
d
iapers,
b
eer}, t
h
e
f
o
ll
owing
association ru
l
es can
b
e
d
eri
v
e
d
:
d
iapers,
b
eer
⇒
b
a
b
y
f
oo
d
[
conf
= 75
%
]
f
b
a
by
f
oo
d
,
b
eer
⇒
d
ia
p
ers [
conf
= 75
%]
f

D
E
SC
RIPTIVE ANALYTI
CS
◂
91
b
a
b
y
f
oo
d
,
d
iapers
⇒
b
eer
[
conf
= 60
%]
f
b
eer
⇒
b
a
b
y
f
oo
d
an
d
d
iapers [
conf
= 50
%
]
f
b
a
b
y
f
oo
d
⇒
d
iapers an
d
b
eer [
conf
= 43
%
]
f
d
iapers
⇒
b
a
b
y
f
oo
d
an
d
b
eer [
conf
= 43
%]
f
I
f
t
h
e mincon
f
is set to 70 percent, on
l
y t
h
e
rst two association
ru
l
es wi
ll
b
e
k
ept
f
or
f
urt
h
er ana
l
ysis.
The Lift Measure
Ta
bl
e 4.3 provi
d
es an examp
l
e
f
rom a supermar
k
et transactions
d
ata
-
b
ase to i
ll
ustrate t
h
e
l
i
f
t measure.
Let’s now consi
d
er t
h
e association ru
l
e tea
⇒
co
ff
ee. T
h
e support
o
f
t
h
is ru
l
e is 100/1,000, or 10 percent. T
h
e con
d
ence o
f
t
h
e ru
l
e is
Ta
bl
e 4.3 The Li
f
t Measure
Tea Not Tea Total
Co
ff
ee
1
50
750
900
Not co
ff
e
e
5
0
5
0
100
T
o
t
a
l 2
00
800
1
,
00
0
Fi
g
ure 4.1 The Apriori Al
g
orithm
ItemsTID
1, 3, 4100
2, 3, 5200
1, 2, 3, 5300
2, 5400
SupportItemsets
2/4{1, 3}
2/4{2, 3}
3/4{2, 5}
2/4{3, 5}
L2
SupportItemsets
1/4{1, 2}
2/4{1, 3}
1/4{1, 5}
2/4{2, 3}
3/4{2, 5}
2/4{3, 5}
C2
SupportItemsets
2/4{2, 3, 5}
C3
Result = {{1},{2},{3},{5},{1,3},{2,3},{2,5},{3,5},{2,3,5}}
SupportItemsets
2/4{2, 3, 5}
L3
Minsup = 50%
Database SupportItemsets
2/4{1}
3/4{2}
3/4{3}
3/4{5}
L1
{1,3} and {2,3} give
{1,2,3}, but because {1,2}
is not frequent, you do not
have to consider it!

92
▸
A
NALYTI
CS
IN A BI
G
DATA W
O
RL
D
150/200, or 75
p
ercent. At rst si
g
ht, this association rule seems ver
y
a
pp
ealin
g
g
iven its hi
g
h con dence. However, closer ins
p
ection reveals
that the prior probability of buying coffee equals 900/1,000, or 90 per-
cent. Hence, a customer who buys tea is less likely to buy coffee than a
customer about whom we have no information. The lift, also referred
to as the
i
nterest
i
ngness measure
,
takes this into account by incorporating
the prior probability of the rule consequent, as follows:
→= ∪
i
Lift X Y support X Y
support X support Y
() ()
() ()
A
l
i
f
t va
l
ue
l
ess (
l
arger) t
h
an 1 in
d
icates a negative (positive)
d
epen
d
ence or su
b
stitution (comp
l
ementary) e
ff
ect. In our examp
l
e,
t
h
e
l
i
f
t va
l
ue equa
l
s 0.89, w
h
ic
h
c
l
ear
l
y in
d
icates t
h
e expecte
d
su
b
sti-
tution effect between coffee and tea.
Post Processing Association Rules
Typically, an association rule mining exercise will yield lots of associa
-
tion rules such that
p
ost
p
rocessin
g
will become a ke
y
activit
y
. Exam-
p
le ste
p
s that can be considered here are:
■ Filter out the trivial rules that contain already known patterns
(e.
g
., bu
y
in
g
s
p
a
g
hetti and s
p
a
g
hetti sauce). This should be done
in collaboration with a business ex
p
ert.
■ Perform a sensitivit
y
anal
y
sis b
y
var
y
in
g
the minsu
p
and min
-
conf values. Es
p
eciall
y
for rare but
p
ro table items (e.
g
., Rolex
w
atches), it could be interesting to lower the minsup value and
nd the interestin
g
associations.
■ Use appropriate visualization facilities (e.g., OLAP based) to nd
the unex
p
ected rules that mi
g
ht re
p
resent novel and actionable
b
ehavior in the data.
■ Measure the economic im
p
act (e.
g
.,
p
ro t, cost) of the associa
-
t
ion ru
l
es.
Association Rule Extensions
Since t
h
e intro
d
uction o
f
association ru
l
es, various extensions
h
ave
b
een
p
ro
p
ose
d
. A
rst extension wou
ld
b
e to inc
l
u
d
e item
q
uantities

DESCRIPTIVE ANALYTIC
S
◂
93
and/or price. This can be easily accomplished by adding discretized
q
uantitative variables (e.
g
., three bottles of milk) to the transaction
data set and mine the fre
q
uent item sets usin
g
the A
p
riori al
g
orithm.
Another extension is to also include the absence of items. Also
,
this
can be achieved b
y
addin
g
the absence of items to the transactions
data set and a
g
ain mine usin
g
the A
p
riori al
g
orithm. Finall
y
, multilevel
association rules mine association rules at different concept levels of a
p
roduct taxonom
y
, as illustrated in Fi
g
ure 4.2 .
2
A similar a
pp
roach can
a
g
ain be followed here b
y
addin
g
taxonom
y
information to the trans-
actions data set. Note that different support levels may have to be set
for different levels of the
p
roduct taxonom
y
.
Applications of Association Rules
The most popular application of association rules is market basket
anal
y
sis. The aim here is to detect which
p
roducts or services are
fre
q
uentl
y
p
urchased to
g
ether b
y
anal
y
zin
g
market baskets. Findin
g
t
h
ese associations can
h
ave im
p
ortant im
pl
ications
f
or tar
g
ete
d
mar-
k
etin
g
(e.
g
., next
b
est o
ff
er),
p
ro
d
uct
b
un
dl
in
g
, store an
d
s
h
e
lf
l
a
y
out,
an
d
/or cata
l
og
d
esign.
Anot
h
er
p
o
p
u
l
ar a
ppl
ication is recommen
d
er s
y
stems. T
h
ese are
t
h
e s
y
stems a
d
o
p
te
d
by
com
p
anies suc
h
as Amazon an
d
Net
ix to
g
ive
a recommen
d
ation
b
ase
d
on
p
ast
p
urc
h
ases an
d
/or
b
rowsin
g
b
e
h
avior.
Fi
g
ure 4.2 A Product Taxonom
y
for Association Rule Minin
g
. . .
Beverages
Non-Gassy
Drinks Milk Carbonated
Drinks Beer
UHT Milk Fresh Milk
Strawberry
Milk
Chocolate
Milk
Vanilla
Milk Plain
Milk

94
▸
A
NALYTI
CS
IN A BI
G
DATA W
O
RL
D
SEQUENCE RULES
Given a database
D
of customer transactions, the problem of mining
s
e
q
uential rules is to nd the maximal se
q
uences amon
g
all se
q
uences
that have certain user‐speci ed minimum support and con dence. An
example could be a sequence of web page visits in a web analytics
setting, as follows:
Home page ⇒ Electronics
⇒
Cameras and Camcorders ⇒ Digital
C
ameras ⇒ Shopping cart ⇒ Order con rmatio
n
⇒
Return to shopping
It is important to note t
h
at a transaction time or sequence
e
ld
wi
ll
now
b
e inc
l
u
d
e
d
in t
h
e ana
l
ysis. W
h
ereas association ru
l
es are
concerne
d
a
b
out w
h
at items appear toget
h
er at t
h
e same time (intra-
transaction
p
atterns), se
q
uence rules are concerned about what
items appear at different times (intertransaction patterns). To mine
the se
q
uence rules, one can a
g
ain make use of the
a priori
property
i
b
ecause if a sequential pattern of length
k
is infrequent, its supersets of
k
length
k
+ 1 cannot be frequent.
k
Consider the followin
g
exam
p
le of a transactions data set in a web
analytics setting (see Table 4.4 ). The letters A, B, C, … refer to web pages.
Ta
bl
e 4.4 Example Transactions Data Set
f
or Sequence Rule Minin
g
Session ID Page Sequence
1
A
1
1
B
2
1
C
3
2
B
1
2
C
2
3
A
1
3
C
2
3
D
3
4
A
1
4
B
2
4
D
3
5
D
1
5
C
1
5
A
1
D
ESCRIPTIVE ANALYTIC
S
◂
95
A se
q
uential version can then be obtained as follows:
Sess
i
on 1: A, B, C
Session 2: B
,
C
Session 3: A, C, D
Session 4: A, B, D
Session 5: D, C, A
One can now calculate the support in two different ways. Con
-
sider, for example, the sequence rule A
⇒
C. A rst approach would
b
e to ca
l
cu
l
ate t
h
e support w
h
ere
b
y t
h
e consequent can appear in any
su
b
sequent stage o
f
t
h
e sequence. In t
h
is case, t
h
e support
b
ecomes
2/5 (40%). Anot
h
er approac
h
wou
ld
b
e to on
l
y consi
d
er sessions in
which the conse
q
uent a
pp
ears ri
g
ht after the antecedent. In this case,
the su
pp
ort becomes 1/5 (20%). A similar reasonin
g
can now be fol-
lowed for the con dence, which can then be 2/4 (50%) or 1/4 (25%),
res
p
ectivel
y
.
Remember
t
ha
t
t
he con dence of a rule A
1
⇒
A
2
is de ned as
t
he
probability P(A
2
|
A
1
) = support(A
1
∪
A
2
)/support(A
1
). For a rule with
multi
p
le items, A
1
⇒
A
2
⇒
…
A
n
–
1
⇒
A
n
,
the con dence is de ned as
P(A
n
|
A
1
,
A
2
,
…
,
A
n
–
1
), or su
pp
ort(A1
∪
A
2
∪
…
∪
A
n
–
1
∪
A
n
)/su
pp
ort
(A
1
∪
A
2
∪
…
∪
A
n
–
1
).
SEGMENTATION
The aim of se
g
mentation is to s
p
lit u
p
a set of customer observa
-
tions into segments such that the homogeneity within a segment is
maximized (cohesive) and the heterogeneity between segments is
maximized (se
p
arated). Po
p
ular a
pp
lications include:
■ Understanding a customer population (e.g., targeted marketing
or advertisin
g
[mass customization])
■ E
f
cient
ly
a
ll
ocatin
g
mar
k
etin
g
resources
■ Di
ff
erentiating
b
etween
b
ran
d
s in a port
f
o
l
io
■ I
d
enti
fy
in
g
t
h
e most
p
ro
ta
bl
e customers
■ I
d
enti
fy
in
g
s
h
o
pp
in
g
p
atterns
■ I
d
enti
fy
in
g
t
h
e nee
d
f
or new
p
ro
d
ucts

96
▸
A
NALYTI
CS
IN A BI
G
DATA W
O
RL
D
Various types o
f
c
l
ustering
d
ata can
b
e use
d
, suc
h
as
d
emograp
h
ic,
lifest
y
le, attitudinal, behavioral, RFM, ac
q
uisitional, social network,
a
n
d
so
o
n.
Clustering techniques can be categorized as either hierarchical or
nonhierarchical (see Fi
g
ure 4.3 ).
Hierarchical Clustering
In what follows, we will rst discuss hierarchical clusterin
g
. Divisive
hierarchical clustering starts from the whole data set in one clus
-
ter, and then breaks this u
p
in each time smaller clusters until one
observation
p
er cluster remains (ri
g
ht to left in Fi
g
ure 4.4 ). A
gg
lom
-
erative clustering works the other way around, starting from all
Figure 4.3 Hierarchical versus Nonhierarchical Clustering Techniques
Clustering
NonhierarchicalHierarchical
DivisiveAgglomerative k‐means SOM
Divisive versus A
gg
lomerative Hierarchical Clusterin
g
Step 4Step 3Step 2Step 0 Step 1
C2
C3
C4
C5
C1
C2
C3
C4
C5
C4
C5
C1
C2
C3
C4
C5
Step 0Step 2Step 3 Step 1Step 4
Agglomerative
Divisive
C1

DE
SC
RIPTIVE ANALYTI
CS
◂
9
7
o
b
servations in one c
l
uster an
d
continuing to merge t
h
e ones t
h
at
are most simi
l
ar unti
l
a
ll
o
b
servations ma
k
e up one
b
ig c
l
uster (
l
e
f
t to
rig
h
t in Figure 4.4 ).
In order to decide on the merger or splitting, a similarity rule is
needed. Exam
p
les of
p
o
p
ular similarit
y
rules are the Euclidean distance
and Manhattan (cit
y
block) distance. For the exam
p
le in Fi
g
ure 4.5 ,
b
oth are calculated as follows:
−+−=Euclidean : (50 30) (20 10) 22
22
⎢−⎢+⎢−⎢=Manhattan: 50 30 20 10 30
It is obvious that the Euclidean distance will alwa
y
s be shorter
t
han
t
he Manha
tt
an dis
t
ance.
Various schemes can now be ado
p
ted to calculate the distance
b
etween two clusters (see Figure 4.6 ). The single linkage method
Figure 4.5 E
uc
li
dea
n v
e
r
sus
M
a
nh
atta
n Di
sta
n
ce
Manhattan
Manhattan
5030
10
20
Monetary
Recency
F
i
gure 4.6 Ca
l
cu
l
at
i
ng D
i
stances
b
etween C
l
usters
Single linkage
Complete linkage
Average linkage
Centroid method

98
▸
A
NALYTI
CS
IN A BI
G
DATA W
O
RL
D
de nes the distance between two clusters as the shortest possible
distance, or the distance between the two most similar ob
j
ects. The
com
p
lete linka
g
e method de nes the distance between two clusters as
the biggest distance, or the distance between the two most dissimilar
ob
j
ects. The avera
g
e linka
g
e method calculates the avera
g
e of all
p
os-
sible distances. The centroid method calculates the distance bet
w
een
the centroids of both clusters. Finally, Ward’s method merges the pair
of clusters that leads to the minimum increase in total
w
ithin‐cluster
variance after merging.
In order to decide on the optimal number of clusters, one could
use a dendro
g
ram or scree
p
lot. A dendro
g
ram is a tree‐like dia
g
ram
t
h
at recor
d
s t
h
e se
q
uences o
f
mer
g
es. T
h
e vertica
l
(or
h
orizonta
l
sca
l
e) t
h
en
g
ives t
h
e
d
istance
b
etween two c
l
usters ama
lg
amate
d
. One
can t
h
en cut t
h
e
d
en
d
rogram at t
h
e
d
esire
d
l
eve
l
to
n
d
t
h
e optima
l
c
l
usterin
g
. T
h
is is i
ll
ustrate
d
in Fi
g
ure 4.7 an
d
Fi
g
ure 4.8
f
or a
b
ir
d
s
c
l
usterin
g
exam
pl
e. A scree
pl
ot is a
pl
ot o
f
t
h
e
d
istance at w
h
ic
h
c
l
us
-
ters are merge
d
. T
h
e e
lb
ow point t
h
en in
d
icates t
h
e optima
l
c
l
ustering.
T
h
is is i
ll
ustrate
d
in Fi
g
ure 4.9 .
Fi
g
ure 4.7 Example for Clusterin
g
Birds
1
6
2
4
3
5
Chicken
Duck
Pigeon
Parrot
Owl
Eagle
Canary
The
num
b
ers
i
n
di
cate t
h
e c
l
uster
i
ng steps
.

DE
SC
RIPTIVE ANALYTI
CS
◂
99
K‐Means Clustering
K
‐means clustering is a nonhierarchical procedure that works along
the followin
g
ste
p
s:
1. Select
k
observations as initial cluster centroids (seeds).
k
2. Assi
g
n each observation to the cluster that has the closest cen
-
troid (for example, in Euclidean sense).
3. When all observations have been assi
g
ned, recalculate the
p
osi-
tions of the
k
centroids.
k
4. Re
p
eat until the cluster centroids no lon
g
er chan
g
e.
A key requirement here is that the number of clusters,
k,
needs to
be s
p
eci ed before the start of the anal
y
sis. It is also advised to tr
y
out
different seeds to verif
y
the stabilit
y
of the clusterin
g
solution.
F
ig
ure 4.8 Dendro
g
ram for Birds Example
PigeonChicken Duck Owl Eagle
CanaryParrot
1
2
3
4
5
6
F
i
gure 4.9 Scree Plot
f
or Clustering
Number ofClusters
Distance
T
he
bl
ac
k
li
ne
i
n
di
cates t
h
e opt
i
ma
l
c
l
uster
i
ng
.

1
00
▸ANALYTI
CS
IN A BI
G
DATA W
O
RL
D
Self‐Organizing Maps
A self‐organizing map (SOM) is an unsupervised learning algorithm
that allows
y
ou to visualize and cluster hi
g
h‐dimensional data on a
low‐dimensional grid of neurons.
3
An SOM is a feedforward neural
network with two layers. The neurons from the output layer are usu-
ally ordered in a two‐dimensional rectangular or hexagonal grid (see
Figure 4.10 ). For the former, every neuron has at most eight neigh
-
b
ors, whereas for the latter every neuron has at most six neighbors.
Each input is connected to all neurons in the output layer with
weig
h
ts
w
= [
w
w
1
,
…,
w
N
w
], with
N
N
N
the number of variables. All weights
N
are randomly initialized. When a training vector
x
is presented, the
x
weig
h
t vector
w
c
of each neuron
c
c
is compared with
c
x
,
using,
f
or
examp
l
e, t
h
e Euc
l
i
d
ean
d
istance metric (
b
eware to stan
d
ar
d
ize t
h
e
data rst):
dxw x w
cici
i
N
(, ) ( )
2
1
∑
=−
=
x
in Euclidean sense is called
x
the best matchin
g
unit (BMU). The wei
g
ht vector of the BMU
and its neighbors in the grid are then adapted using the following
learnin
g
rule:
wt wt h t xt wt
iici i
( 1) ( 1) () () ()
[]
+= ++ −
whereb
y
t
represents the time index during training and
t
h
ci
(
i
t
) de nes
t
the nei
g
hborhood of the BMU
c,
s
p
ecif
y
in
g
the re
g
ion of in uence. The
F
ig
ure 4.10 Rectan
g
u
l
ar versus Hexa
g
ona
l
SOM Gr
id
RectangularSOMGrid HexagonalSOMGrid

DE
SC
RIPTIVE ANALYTI
CS
◂1
0
1
nei
g
hborhood function
h
ci
(
i
t
) should be a nonincreasing function of
t
time and the distance from the BMU. Some
p
o
p
ular choices are:
=α − −
σ
⎛
⎝
⎜⎞
⎠
⎟
ht t rr
t
ci
ci
() ()exp 2()
2
2
=α − ≤ht t r r
ci c i
( ) ( ) if threshold,0 otherwise,
2
whereb
y
r
c
and
c
r
i
represent the location of the BMU and neuron
i
i
on
i
t
h
e map,
σ
2
(
t
) represents the decreasing radius, and 0 ≤
t
α
(
t
) ≤ 1, the
t
l
earning rate (e.g.,
α
(
t
) =
t
A
/
(
t
+
t
B
)
,
α
(
t
) = exp(–
t
At
–
)). The decreasing
t
l
earning rate an
d
ra
d
ius wi
ll
give a sta
bl
e map a
f
ter a certain amount
of training. Training is stopped when the BMUs remain stable, or after
a xed number of iterations (e.
g
., 500 times the number of SOM neu-
rons). The neurons will then move more and more toward the in
p
ut
observations and interesting segments will emerge.
SOMs can be visualized b
y
means of a U‐matrix or com
p
onent
p
lane.
■ A U (uni ed distance)‐matrix essentially superimposes a height
Z
dimension on top of each neuron visualizing the average dis-
Z
tance between the neuron and its nei
g
hbors, whereb
y
t
yp
icall
y
dark colors indicate a large distance and can be interpreted as
clus
t
er boundaries.
■ A component plane visualizes the weights between each spe
-
ci c in
p
ut variable and its out
p
ut neurons, and as such
p
rovides
a visual overview of the relative contribution of each input attri-
b
ute to the output neurons.
Fi
g
ure 4.11
p
rovides an SOM exam
p
le for clusterin
g
countries
b
ase
d
on a corru
p
tion
p
erce
p
tion in
d
ex (CPI). T
h
is is a score
b
etween 0
(
h
i
ghly
corru
p
t) an
d
10 (
h
i
ghly
c
l
ean) assi
g
ne
d
to eac
h
countr
y
in t
h
e
wor
ld
. T
h
e CPI is com
b
ine
d
wit
h
d
emograp
h
ic an
d
macroeconomic
in
f
ormation
f
or t
h
e
y
ears 1996, 2000, an
d
2004. U
pp
er case countries
(e.
g
., BEL)
d
enote t
h
e situation in 2004,
l
owercase (e.
g
.,
b
e
l
) in 2000,
an
d
sentence case (e.g., Be
l
) in 1996. It can
b
e seen t
h
at many o
f
t
h
e
Euro
p
ean countries are situate
d
in t
h
e u
pp
er ri
gh
t corner o
f
t
h
e ma
p
.

102
▸ANALYTICS IN A BIG DATA WORL
D
Fi
g
ure 4.12
p
rovides the com
p
onent
p
lane for literac
y
whereb
y
darker
regions score worse on literacy. Figure 4.13 provides the component
p
lane for
p
olitical ri
g
hts whereb
y
darker re
g
ions corres
p
ond to better
p
olitical ri
g
hts. It can be seen that man
y
of the Euro
p
ean countries
score good on both literacy and political rights.
SOMs are a ver
y
hand
y
tool for clusterin
g
hi
g
h‐dimensional data
sets because of the visualization facilities. However
,
since there is no
real objective function to minimize, it is harder to compare various
SOM solutions a
g
ainst each other. Also, ex
p
erimental evaluation and
ex
p
ert inter
p
retation are nee
d
e
d
to
d
eci
d
e on t
h
e o
p
tima
l
size o
f
t
h
e
SOM. Un
l
i
k
e
k
‐means c
l
usterin
g
, an SOM
d
oes not
f
orce t
h
e num
b
er
o
f
c
l
usters to
b
e equa
l
to t
h
e num
b
er o
f
output neurons.
Using and Interpreting Clustering Solutions
In or
d
er to use a c
l
usterin
g
sc
h
eme, one can assi
g
n new o
b
servations
to t
h
e c
l
uster
f
or w
h
ic
h
t
h
e centroi
d
is c
l
osest (e.
g
., in Euc
l
i
d
ean or
Fi
g
ure 4.11 Clusterin
g
Countries Usin
g
SOMs
sgp
SGP
SWE
nor
Nor
NOR Fin
Usa
usa
USA
fin
swe
FIN
SWE
NID
Nld
AUT
BEL
JPN
NLD
GBR
Gbr
FRA
DEU Dnk
dnk
DNK
frabel
ITA Fra
deu
GRC
Bel
ESP
Aut
aut
CHE
Che
che
jpn
Aus
CAN
AUS
Can
aus
Hkg
hkg
HKG Nzl
nzl
NZL
can
TWN
Tw n
twn ISR CHL
irl
IRL
ita
esp Ita
Esp
Prt
hun
HUN
POL
Hun
Pol
Rus
rus
RUS
IND
KOR
Kor
kor
Chl
chl
ARG THA
Arg
arg BRA tha
Tha
TUR
MEX
jor
JOR Mys
MYS Mex mex
Ven ECU
COL
bra
Bra
ZafBOLPHL
Col
col
mys
VEN
IDNven
idn
Idn
EGY Tu r
Chn
CHN chn
Ecu
ecu
Phl
phl
bol
Jor Bol
Egy
egy
Ken
ken
pak
PA K Pak
Bgd
nga
NGA
Uga
uga
UGA
Cmr
Nga
cmh
CMR
ind Ind KENtur
bgd
BGD
zaf
ZAF
CZE
CZe
cze
pol
Irl
Jpn prt
Deu
PRT
Grc
grc
gbrsgp ISR
iSR

Fi
g
ure 4.12 Component Plane
f
or Literac
y
Figure 4.13 Component Plane for Political Rights
1
0
4▸ANALYTICS IN A BIG DATA WORL
D
Manhattan sense). To facilitate the inter
p
retation of a clusterin
g
solu-
tion, one could do the followin
g
:
■ Compare cluster averages with population averages for all vari
-
ables using histograms, for example.
■ Build a decision tree with the cluster ID as the target and the
clustering variables as the inputs (can also be used to assign new
observations to clusters).
It is also important to check cluster stability by running different
clusterin
g
techni
q
ues on different sam
p
les with different
p
arameter
settings an
d
c
h
ec
k
t
h
e ro
b
ustness o
f
t
h
e so
l
ution.
NOTES
1. R. A
g
rawal, T. Imielinski, and A. Swami, “Minin
g
Association Rules between Sets of
I
tems in Massive Databases
,
” in Proceedin
g
s of the ACM SIGMOD International Confer-
ence on Mana
g
ement of Data (Washin
g
ton, DC, ACM, 1993).
2. R. Srikant and R. A
g
rawal, “Minin
g
Generalized Association Rules,” in Proceedin
g
s of
the 1995 International Conference on Very Lar
g
e Data Base
s
(
Zurich, 1995
)
.
3. T. Kohonen, “Self‐Or
g
anized Formation of To
p
olo
g
icall
y
Correct Feature Ma
p
s,”
Bio
-
lo
g
ical Cybernetic
s
43 (1982): 59–69; J. Hu
y
smans et al., “Usin
g
Self Or
g
anizin
g
Ma
p
s
for Credit Scorin
g
,” S
p
ecial issue on Intelli
g
ent Information S
y
stems for Financial
En
g
ineerin
g
, Ex
p
ert S
y
stems With A
pp
lications, 30, no. 3 (2006): 479–487; A. Seret
et al., “A New SOM‐Based Method for Pro le Generation: Theor
y
and an A
pp
lica
-
tion in Direct Marketin
g
,” Euro
p
ean Journal o
f
O
p
erational Researc
h
220, no. 1 (2012):
1
99
–2
09.
105
C
HAPTER
5
Survival Analysis
S urviva
l
ana
l
ysis is a set o
f
statistica
l
tec
h
niques
f
ocusing on t
h
e
occurrence an
d
timin
g
o
f
events.
1
As t
h
e name su
gg
ests, it ori
g
i-
n
ates
f
rom a me
d
ica
l
context w
h
ere it was use
d
to stu
d
y surviva
l
times o
f
p
atients t
h
at
h
a
d
receive
d
certain treatments. In
f
act, man
y
c
l
assi
cation ana
ly
tics
p
ro
bl
ems we
h
ave
d
iscusse
d
b
e
f
ore a
l
so
h
ave a
time aspect inc
l
u
d
e
d
, w
h
ic
h
can
b
e ana
l
yze
d
using surviva
l
ana
l
ysis
tec
h
ni
q
ues. Some exam
pl
es are:
2
■ Pre
d
ict w
h
en customers c
h
urn
■ Pre
d
ict w
h
en customers ma
k
e t
h
eir next
p
urc
h
ase
■ Pre
d
ict w
h
en customers
d
e
f
au
l
t
■ Pre
d
ict w
h
en customers
p
a
y
o
ff
t
h
eir
l
oan ear
ly
■ Pre
d
ict w
h
en customer wi
ll
visit a we
b
site next
Two t
yp
ica
l
p
ro
bl
ems com
pl
icate t
h
e usa
g
e o
f
c
l
assica
l
statistica
l
tec
h
niques suc
h
as
l
inear regression. A
rst
k
ey pro
bl
em is censoring.
Censorin
g
re
f
ers to t
h
e
f
act t
h
at t
h
e tar
g
et time varia
bl
e is not a
l
wa
y
s
k
nown
b
ecause not a
ll
customers may
h
ave un
d
ergone t
h
e event yet at
the time of the anal
y
sis. Consider, for exam
p
le, the exam
p
le de
p
icted
i
n F
ig
ure 5.1 . At t
i
me T
,
Laura an
d
Jo
h
n
h
ave not c
h
urne
d
y
et an
d
t
h
us
have no value for the tar
g
et time indicator. The onl
y
information avail
-
able is that the
y
will churn at some later date after T
.
Note also that
Sophie is censored at the time she moved to Australia. In fact, these are
all exam
p
les of ri
g
ht censorin
g
. An observation on a variable
T
is right
T
censored if all
y
ou know about
T
is that it is greater than some value
T
c.

1
06
▸ANALYTI
CS
IN A BI
G
DATA W
O
RL
D
Li
k
ewise, an o
b
servation on a varia
bl
e
T
is left censored if all you know
T
a
b
out
T
is that it is smaller than some value
T
c.
An exam
pl
e
h
ere cou
ld
b
e a stu
dy
investi
g
atin
g
smo
k
in
g
b
e
h
avior an
d
some
p
artici
p
ants at
a
g
e 18 a
l
rea
dy
b
e
g
an smo
k
in
g
b
ut can no
l
on
g
er remem
b
er t
h
e exact
date. Interval censorin
g
means the onl
y
information available on
T
is
T
that it belongs to some interval a <
T
<
T
b.
Returning to the previous
smokin
g
exam
p
le, one could be more
p
recise and sa
y
14 <
T
< 18. Cen-
T
sorin
g
occurs because man
y
databases onl
y
contain current or rather
recent customers for whom the behavior has not yet been completely
observed, or because of database errors when, for exam
p
le, the event
dates are missin
g
. Usin
g
classical statistical anal
y
sis techni
q
ues such as
linear regression, the censored observations would have to be left out
from the anal
y
sis, since the
y
have no value for the tar
g
et time vari
-
a
bl
e. However, wit
h
surviva
l
ana
l
ysis, t
h
e partia
l
in
f
ormation avai
l
a
bl
e
for the censored observations giving either a lower and/or an upper
b
ound on the timin
g
of the event will be included in the estimation.
Time‐varying covariates are variables that change value during the
course of the stud
y
. Exam
p
les are account balance, income, and credit
scores. Survival anal
y
sis techni
q
ues will be able to accommodate this
in the model formulation
,
as will be discussed in what follows.
SURVIVAL ANALYSIS MEASUREMENTS
A
rst im
p
ortant conce
p
t is t
h
e event time
d
istri
b
ution
d
e
ne
d
as a
continuous pro
b
a
b
i
l
ity
d
istri
b
ution, as
f
o
ll
ows:
=≤<+Δ
Δ
Δ→
ft Pt T t T
t
t
( ) lim ()
0
Example o
f
Right Censoring
f
or Churn Prediction
Bart
John
Sophie
Victor
Laura Churn
Churn
Churn
Moves to
Australia
Churn
Time
T

SU
RVIVAL ANALY
S
I
S
◂
10
7
The corres
p
ondin
g
cumulative event time distribution is then
de ned as follo
w
s
:
∫
=≤=Ft PT t fudu
t
() ( ) ( )
0
Closely related is the survival function
:
∫
=− = > =
∞
St Ft PT t f udu
t
() 1 () ( ) ( )
(
S
t
) is a monotonically decreasing function with
t
S
(0)
S
=
1 and
S
(
S
∞)
=
0.
T
h
e
f
o
ll
owing re
l
ations
h
ips
h
o
ld
:
==−ft dF t
dt
dS t
dt
() () ()
Figure 5.2 provides an example of a discrete event time distri
-
bution, with the corres
p
ondin
g
cumulative event time and survival
distribution de
p
icted in Fi
g
ure 5.3 .
Another important measure in survival analysis is the hazard func
-
tion
,
de ned as follows
:
=≤<+Δ ≥
Δ
Δ→
ht Pt T t T T t
t
t
() lim (|)
0
The hazard function tries to
q
uantif
y
the instantaneous risk that
an event will occur at time
t,
given that the individual has survived up
t
o
t
ime t
.
Hence, it tries to measure the risk of the event occurring at
time
p
oint
t
. The hazard function is closel
y
related to the event time
F
i
gure 5.2 Example o
f
a Discrete Event Time Distribution
0%
10%
20%
30%
40%
50%
60%
87654321
Frequency
Month

1
08
▸ANALYTI
CS
IN A BI
G
DATA W
O
RL
D
distribution u
p
to the conditionin
g
on Tt≥
.
That is wh
y
it is often also
referred
t
o as a conditional density
.
Fi
g
ure 5.4
p
rovides some exam
p
les of hazard sha
p
es, as follows:
■ Constant hazard, whereb
y
the risk remains the same at all times.
■ Increasin
g
hazard, re ectin
g
an a
g
in
g
effect.
■ Decreasing hazard, re ecting a curing effect.
■ Convex bathtub sha
p
e, which is t
yp
icall
y
the case when stud
y-
ing human mortality, since mortality declines after birth and
infanc
y
, remains low for a while, and increases with elder
y
ears.
It is also a
p
ro
p
ert
y
of some mechanical s
y
stems to either fail
soon after operation, or much later, as the system ages.
The probability density function
f
(
f
f
t
), survivor function
t
S
(
t
), and the
t
hazard func
t
ion
h
(
t
) are mathematically equivalent ways of describing
t
a continuous probability distribution with the following relationships:
=ht ft
St
() ()
()
=−ht dlogS t
dt
() ()
∫
=−
⎛
⎝
⎜⎞
⎠
⎟
St hudu
t
( ) exp ( )
0
Cumulative Distribution and Survival Function for the Event Time
D
i
str
ib
ut
i
on
i
n F
i
gure 5.2
0%
10%
20%
30%
40%
50%
60%
70%
80%
90%
100%
987654321
Frequency
Month
Survivalfunction
Cumulativedistribution

S
URVIVAL ANALY
S
I
S
◂
109
KAPLAN MEIER ANALYSIS
A rst t
yp
e of survival anal
y
sis is Ka
p
lan Meier (KM) anal
y
sis, which
is also known as the product limit estimator or nonparametric maxi
-
mum likelihood estimator for
S
(
S
t
). If no censoring is available in the data
t
set
,
the KM estimator for
S
(
S
t
) is just the sample proportion with event
t
times greater than
t
. If censoring is present, the KM estimator starts with
t
orderin
g
the event times in ascendin
g
order
t
1
<
t
2
t
<
…
<
t
k
t
.
k
At each time
t
j
t
, there are
j
n
j
n
individuals who are at risk of the event. At risk means that
j
they have not undergone the event, nor have they been censored prior
to
t
j
t
. Let
j
d
j
d
be the number of individuals who die (e.g., churn, respond,
j
default) at
t
j
t
. The KM estimator is then de ned as follows:
j
ii
∏
=−
⎛
⎝
⎜⎞
⎠
⎟=− −
⎛
⎝
⎜⎞
⎠
⎟=− −
≤
ˆ() 1 ˆ(1)1 ˆ(1)(1 ())
:
St d
nSt d
nSt ht
j
j
jt t
t
t
j
f
or
t
1
≤
t
≤
t
t
k
t
. The intuition of the KM estimator is very straightforward
k
b
ecause it
b
asica
ll
y states t
h
at in or
d
er to survive time
t,
one must
surv
i
ve t
i
me
t
− 1 and cannot die during time
t
t.
Fi
g
ure 5.5
g
ives an exam
pl
e o
f
Ka
pl
an Meier ana
ly
sis
f
or c
h
urn
pre
d
iction.
F
i
gure 5.4 Examp
l
e Hazar
d
S
h
apes

110
▸
A
NALYTICS IN A BIG DATA WORL
D
I
f
t
h
ere are man
y
uni
q
ue event times, t
h
e KM estimator can
b
e
a
d
juste
d
b
y using t
h
e
l
i
f
e ta
bl
e (a
l
so
k
nown as
actuarial
) method to
l
g
rou
p
event times into interva
l
s as
f
o
ll
ows:
∏
=−
−
⎡
⎣
⎢⎤
⎦
⎥
≤
ˆ() 1 /2
:
St d
nc
j
jj
jt t
j
w
h
ic
h
b
asica
lly
assumes t
h
at censorin
g
occurs uni
f
orm
ly
across
t
h
e time interva
l
, suc
h
t
h
at t
h
e average num
b
er at ris
k
equa
l
s (
n
j
n
+
j
(
n
j
n
−
j
c
j
c
))/2 or
j
n
j
n
−
j
c
j
cc
/
2.
Ka
pl
an Meier ana
ly
sis can a
l
so
b
e exten
d
e
d
wit
h
hyp
ot
h
esis test
-
ing to see w
h
et
h
er t
h
e surviva
l
curves o
f
d
i
ff
erent groups (e.g., men
versus women, em
pl
o
y
e
d
versus unem
pl
o
y
e
d
) are statistica
lly
d
i
ff
er-
ent. Popu
l
ar test statistics
h
ere are t
h
e
l
og‐ran
k
test (a
l
so
k
nown as t
h
e
Mantel‐Haenzel test
), the Wilcoxon test, and the likelihood ratio statistic,
t
w
h
ic
h
are a
ll
rea
d
i
ly
avai
l
a
bl
e in an
y
commercia
l
ana
ly
tics so
f
tware.
KM ana
l
ysis is a goo
d
way to start
d
oing some exp
l
oratory surviva
l
ana
ly
sis. However, it wou
ld
b
e nice to
b
e a
bl
e to a
l
so
b
ui
ld
p
re
d
ictive
surviva
l
ana
ly
sis mo
d
e
l
s t
h
at ta
k
e into account customer
h
etero
g
eneit
y
by
inc
l
u
d
in
g
p
re
d
ictive varia
bl
es or covariates.
Figure 5.5 Kaplan Meier Example
Customer TimeofChurnor
Censoring
Churnor
Censored
Churn6C1
Censored3C2
Churn12C3
Censored15C4
Censored18C5
Churn12C6
Churn3C7
Churn12C8
Censored9C9
Churn15C10
Time CustomersatRisk
att(n )
t
Customers
Churned att(dt)
CustomersCensored
attS(t)
100100
0.91110
0.9* 7/8 = 0.79018
6
0.79* 7/7 = 0.791079
0.79* 3/6 = 0.3903612
0.39* 2/3 = 0.2611315
0.26* 1/1 = 0.2610118
3

SU
RVIVAL ANALY
S
I
S
◂
111
PARAMETRIC SURVIVAL ANALYSIS
As the name suggests, parametric survival analysis models assume a
p
arametric sha
p
e for the event time distribution. A rst
p
o
p
ular choice
is an exponential distribution, de ned as follows
:
=λ −λ
ft e t
()
Using the relationships de ned earlier, the survival function then
b
ecomes
:
=−λ
St e t
()
an
d
th
e
h
azar
d
ra
t
e
==λht ft
St
() ()
()
It is worth notin
g
that the hazard rate is inde
p
endent of time such
that the risk always remains the same. This is often referred to as the
memoryless property of an exponential distribution. Figure 5.6 shows an
exam
p
le of an ex
p
onential event time distribution to
g
ether with its
cumulative distribution and hazard function.
When takin
g
into account covariates, the model becomes:
=μ+β +β + βlog( ( , )) 11 2 2
ht x x x x
iiiNiN
Ex
p
onential Event Time Distribution, with Cumulative Distribution and
H
a
z
a
r
d
F
u
n
ct
i
o
n
0
0.1
0.2
0.3
0.4
0.5
0.6
0.7
0.8
0.9
1
109876543210
Hazard
S(t)
f(t)

112
▸ANALYTI
CS
IN A BI
G
DATA W
O
RL
D
Note t
h
at t
h
e
l
o
g
arit
h
mic trans
f
orm is use
d
h
ere to ma
k
e sure t
h
at
the hazard rate is alwa
y
s
p
ositive.
The Weibull distribution is another popular choice for a parametric
survival analysis model. It is de ned as follows
:
=κρρ −ρ
κ− κ
ft t t() () exp[()]
1
The survival function then becomes
:
=−ρ
κ
St t( ) exp[ ( ) ]
and
t
he hazard ra
t
e
==κρρ
κ−
ht ft
St t() ()
() ()1
Note that in this case the hazard rate does de
p
end on time and can
be either increasin
g
or decreasin
g
(de
p
endin
g
u
p
on κ
a
n
d
ρ).
When including covariates, the model becomes
:
()
=μ+α +β +β + βlog (, ) log( ) 11 2 2
ht x tx x x
iii NiN
Other
p
o
p
ular choices for the event time distribution are the
g
amma, lo
g
‐lo
g
istic, and lo
g
‐normal distribution.
3
Parametric survival analysis models are typically estimated using
maximum likelihood
p
rocedures. In case of no censored observations,
t
he likelihood func
t
ion becomes:
∏
=
=
Lft
i
n
i
()
1
When censorin
g
is
p
resent, the likelihood function becomes:
LftSt
i
n
ii
ii
∏
()
=
=
δ−δ
()
1
1
i
δ e
q
uals 0 if observation
i
is censored, and 1 if the observa-
i
t
ion dies a
t
t
ime t
i
.
i
It is im
p
ortant to note here that the censored obser
-
vations
d
o enter t
h
e
l
i
k
e
l
i
h
oo
d
f
unction an
d
, as suc
h
,
h
ave an im
p
act
on t
h
e estimates. For exam
pl
e,
f
or t
h
e ex
p
onentia
l
d
istri
b
ution, t
h
e
l
i
k
e
l
i
h
oo
d
f
unction
b
ecomes:
Lee
t
i
n
t
ii i i
∏
=λ
−λ δ
=
−λ −δ
[][]
1
1

SURVIVAL ANALYSI
S
◂11
3
This maximum likelihood function is then t
yp
icall
y
o
p
timized b
y
further takin
g
the lo
g
arithm and then usin
g
a Newton Ra
p
hson o
p
ti
-
mization procedure.
A key question concerns the appropriate event time distribution
for a given set of survival data. This question can be answered both in
a graphical and a statistical way.
In order to solve it graphically, we can start from the following
relationships:
=−ht dlogS t
dt
() ()
or
∫
−=St hudu
t
log( ( )) ( )
0
Because of this relationshi
p
, the lo
g
survivor function is commonl
y
referred
t
o as
t
he cumulative hazard
f
unction, deno
t
ed as
Λ
t()
. I
t
can be
interpreted as the sum of the risks that are faced when going from time
0
t
o
t
ime t. If the survival times are ex
p
onentiall
y
distributed, then
the hazard is constant
,
=λht()
,
hence Λ=λtt() and a
p
lot of –lo
g
(
S
(
t
))
t
versus
t
should yield a straight line through the origin at 0. Similarly,
t
it can be shown that if the survival times are Weibull distributed
,
then a
p
lot of lo
g
(−lo
g
(
S
(
t
)) versus log(
t
t
) should yield a straight line
t
(not through the origin) with a slope of κ. These plots can typically
b
e asked for in an
y
commercial anal
y
tics software im
p
lementin
g
sur-
vival analysis. Note, however, that this graphical method is not a very
precise method because the lines will never be perfectly linear or go
throu
g
h the ori
g
in.
A more precise method for testing the appropriate event time
distribution is a likelihood ratio test. In fact
,
the likelihood ratio
test can be used to com
p
are models if one model is a s
p
ecial case of
anot
h
er (neste
d
mo
d
e
l
s). Consi
d
er t
h
e
f
o
ll
owin
g
g
enera
l
ize
d
g
amma
d
istri
b
ution
:
ft t
te
kt
=β
Γθθ
⎛
⎝
⎜⎞
⎠
⎟
β− −θ
⎛
⎝
⎜⎞
⎠
⎟
β
() ()
1

114
▸ANALYTI
CS
IN A BI
G
DATA W
O
RL
D
Let’s now use the followin
g
shortcut notations: k
σ=β
1
a
n
d
k
δ= 1, then the Weibull, exponential, standard gamma, and log
‐
normal model are all special versions of the generalized gamma model,
as follows:
■ σ=δ
: standard gamma
■ δ=1: Weibull
■ σ=δ=1
:
exponential
■ δ=0: lo
g
‐normal
L
e
t
L
ful
l
now
b
e t
h
e
l
i
k
e
l
i
h
oo
d
o
f
t
h
e
f
u
ll
mo
d
e
l
(e.
g
.,
g
enera
l
ize
d
g
amma) an
d
L
re
d
b
e t
h
e
l
i
k
e
l
i
h
oo
d
o
f
t
h
e re
d
uce
d
(s
p
ecia
l
ize
d
) mo
d
e
l
(
e.g., exponentia
l
). T
h
e
l
i
k
e
l
i
h
oo
d
ratio test statistic t
h
en
b
ecomes:
−⎛
⎝
⎜⎞
⎠
⎟χ∼
L
Lk
red
full
2log ( )
2
whereb
y
the de
g
rees of freedom
k
depends on the number of parame-
k
ters that need to be set to
g
o from the full model to the reduced model.
In other words
,
it is set as follows:
■ Ex
p
onential versus Weibull: one de
g
ree of freedom
■ Exponential versus standard gamma: one degree of freedom
■ Exponential versus generalized gamma: two degrees of freedom
■ Weibull versus
g
eneralized
g
amma: one de
g
ree of freedom
■ Log‐normal versus generalized gamma: one degree of freedom
■ Standard gamma versus generalized gamma: one degree of
freedom
Th
e
χ
2
‐test statistic can then be calculated to
g
ether with the cor-
responding
p
‐value and a decision can be made about what is the most
a
pp
ro
p
riate event time distribution.
PROPORTIONAL HAZARDS REGRESSION
T
h
e proportiona
l
h
azar
d
s mo
d
e
l
is
f
ormu
l
ate
d
as
f
o
ll
ows:
=β+β++β
…
ht x h t x x x
iiiNiN
(, ) ()exp( )
01122

SU
RVIVAL ANALY
S
I
S
◂
115
so the hazard of an indi
v
idual
i
with characteristics
i
x
i
a
t
t
ime
t
is the
t
p
roduct of a baseline hazard function
h
t
()
0 and a linear func
t
ion of a se
t
of xed covariates, which is exponentiated. In fact,
h
0
(
t
) can be consid-
t
ered as the hazard for an individual with all covariates equal to 0. Note
that if a variable
j
increases with one unit and all other variables keep
j
their values ( ceteris paribus ), then the hazards for all
t
increase with
t
exp( j
β), which is called the hazard ratio (HR). If
j
β > 0 then HR > 1,
j
β < 0 then HR < 1; j
β = 0 then HR = 1. This is one of the most popular
models for doing survival analysis.
The name
proportional hazards
s
t
ems from
t
he fac
t
t
ha
t
t
he hazard
o
f
any in
d
ivi
d
ua
l
is a
xe
d
proportion o
f
t
h
e
h
azar
d
o
f
any ot
h
er
in
d
ivi
d
ua
l
.
=β−+β−++β−
ht
ht xx xx x x
i
j
ij i j niNjN
()
() exp( ( ) ( ) ( )).
11 1 12 2
Hence, the sub
j
ects most at risk at an
y
one time remain the sub
-
jects most at risk at any one other time (see also Figure 5.7 ).
Takin
g
lo
g
arithms from the ori
g
inal
p
ro
p
ortional hazards model
g
ives:
=α +β +β + +βlog ( , ) ( ) 11 2 2
ht x t x x x
iiiNiN
N
ote that if one chooses α=αt()
,
one
g
ets the ex
p
onential model,
whereas if α=αtt() log()
,
the Weibull model is obtained. A nice prop-
ert
y
of the
p
ro
p
ortional hazards model is that, usin
g
the idea of
p
artial
likelihood
,
the sβ can be estimated without having to explicitly specify
t
he baseline hazard func
t
ion
h
t
()
0.
4
This is useful if one is only inter-
ested in anal
y
zin
g
the im
p
act of the covariates on the hazard rates and/
or survival probabilities. However, if one wants to make predictions
F
i
gure 5.7 T
h
e Proport
i
ona
l
Hazar
d
s Mo
d
e
l
Logh(t)
Subjecti
Subjectj
11
6
▸ANALYTI
CS
IN A BI
G
DATA W
O
RL
D
with the
p
ro
p
ortional hazards model, the baseline hazard needs to be
ex
p
licitl
y
s
p
eci ed.
The survival function that comes with the proportional hazards
model looks like this:
∫
=− β+β++β
⎡
⎣
⎢
⎢
⎤
⎦
⎥
⎥
(, ) exp ( )exp( ) ,
0
0
11 2 2
St x h u x x x du
i
t
ii NiN
or
=β+β ++β
(, ) () ,
0exp( )
1122
St x S t
ixx x
ii NiN with
∫
=−
⎛
⎝
⎜⎞
⎠
⎟
St hudu
t
( ) exp ( )
00
0
S
0
(
t
) is referred to as the
t
b
ase
l
ine survivor
f
unction
,
t
h
at is, t
h
e survivor
f
unction
f
or an in
d
ivi
d
ua
l
w
h
ose covariates are a
ll
0. Note t
h
at i
f
a
variable
j
increases with one unit (
j
ceteris paribus ), the survival proba
-
b
ilities are raised to the
p
ower ex
p
(j
β), which is the hazard ratio (HR).
EXTENSIONS OF SURVIVAL ANALYSIS MODELS
A rst extension of the models we
p
reviousl
y
discussed is the inclu
-
sion of time‐varying covariates. These are variables that change value
throu
g
hout the course of the stud
y
. The model then becomes:
=β+β++β(, ) ()exp( () () ())
01122
ht x h t x t x t x t
iiiNiN
Note that the proportional hazards assumption here no longer
holds because the time‐var
y
in
g
covariates ma
y
chan
g
e at different
rates for different subjects, so the ratios of their hazards will not remain
cons
t
an
t
.
O
ne could also le
t
t
he β parameters vary in time, as follows:
=β+β++β(, ) ()exp( () () () () () ())
01122
ht x h t t x t t x t t x t
iiiNiN
T
h
e
p
artia
l
l
i
k
e
l
i
h
oo
d
estimation met
h
o
d
re
f
erre
d
to ear
l
ier can
easi
ly
b
e exten
d
e
d
to accommo
d
ate t
h
ese c
h
an
g
es in t
h
e mo
d
e
l
f
or-
mu
l
ation, suc
h
t
h
at t
h
e coe
f
cients can a
l
so
b
e estimate
d
wit
h
out
ex
pl
icit
ly
s
p
eci
fy
in
g
t
h
e
b
ase
l
ine
h
azar
d
ht()
0
.
Anot
h
er extension is t
h
e i
d
ea o
f
com
p
etin
g
ris
k
s.
5
O
f
ten, an
o
b
servation can experience any o
f
k
competing events. In medicine,
k
customers ma
y
d
ie
b
ecause o
f
cancer or a
g
ein
g
. In a
b
an
k
settin
g
, a

SU
RVIVAL ANALY
S
I
S
◂
11
7
customer can default,
p
a
y
off earl
y
, or churn at a
g
iven time. As lon
g
as a customer has not under
g
one an
y
of the events, he or she remains
at risk for any event. Once a customer has undergone the event, he or
she is no longer included in the population at risk for any of the other
risk groups, hence he or she becomes censored for the other risks.
Although the ideas of time‐varying covariates and competing risks
seem attractive at rst sight, the number of successful business applica-
tions of both remains very limited, due to the extra complexity intro-
duced in the model(s).
EVALUATING SURVIVAL ANALYSIS MODELS
A surviva
l
ana
l
ysis mo
d
e
l
can
b
e eva
l
uate
d
b
y
rst consi
d
ering t
h
e sta
-
tistical signi cance of both the model as a whole and the individual
covariates. (Remember: Signi cant covariates have low
p
‐values.) One
could also
p
redict the time of the event when the survival curve
S
(
S
t
)
t
drops below 0,50 and compare this with the real event time. Another
o
p
tion is to take a sna
p
shot of the survival
p
robabilities at a s
p
eci c time
t
(e.g., 12 months), compare this with the event time indicator, and cal-
t
culate the corresponding ROC curve and its area beneath. The AUC will
then indicate how well the model ranks the observations for a s
p
eci c
timestam
p
t
. Finall
y
, one could also evaluate the inter
p
retabilit
y
of the
survival analysis model by using univariate sign checks on the covari
-
ates and seein
g
whether the
y
corres
p
ond to business ex
p
ert knowled
g
e.
The survival anal
y
sis models we have discussed in this cha
p
ter are
classical statistical models. Hence, some important drawbacks are that
the functional relationshi
p
remains linear or some mild extension
thereof, interaction and nonlinear terms have to be speci ed ad hoc,
extreme hazards may occur for outlying observations, and there is the
assum
p
tion of
p
ro
p
ortional hazards that ma
y
not alwa
y
s be the case.
Ot
h
er met
h
o
d
s
h
ave
b
een
d
escri
b
e
d
in t
h
e
l
iterature to tac
kl
e t
h
ese
s
h
ortcomin
g
s,
b
ase
d
on,
f
or exam
pl
e, s
pl
ines an
d
neura
l
networ
k
s.
6
NOTES
1. P. D. A
ll
ison, Surviva
l
Ana
l
ysis Using t
h
e SAS System (SAS Inst
i
tute Inc., Cary, NC, US,
1995); D. R. Cox, “Regression Mo
d
e
l
s an
d
Li
f
e Ta
bl
es,”
J
ourna
l
o
f
t
h
e Roya
l
Statistica
l
Societ
y
, series B (1972); D. R. Cox and D. Oakes,
Analysis of Survival Data
(C
h
a
p
man

118
▸ANALYTI
CS
IN A BI
G
DATA W
O
RL
D
an
d
Ha
ll
, 1984
)
; D. Ka
lb
eisc
h
an
d
R. L. Prentice,
Th
e Statistica
l
Ana
ly
sis o
f
Fai
l
ure
T
ime
D
ata
(New York: Wile
y
, 2003).
2. J. Banasik
,
J. N. Crook
,
and L. C. Thomas
,
“Not If but When Borrowers Will Default
,
”
Journal of the Operational Research Society 50, no. 12
(
1999
)
: 1185–1190; L. C. Thomas
an
d
M. Stepanova, “Surviva
l
Ana
l
ysis Met
h
o
d
s
f
or Persona
l
Loan Data,” Operat
i
ons
Researc
h
50 (2002): 277–289.
3. P. D. Allison,
S
urvival Analysis using the SAS Syste
m
(SAS Inst
i
tute Inc., Cary, NC, US,
1995).
4. P. D. Allison, Survival Analysis Using the SAS System (SAS Institute Inc., Cary, NC,
US,1995); D. R. Cox, “Regression Models and Life Tables,” Journal of the Royal
Statistical Society
, series B (1972); D. R. Cox and D. Oakes,
Analysis of Survival Data
(Chapman and Hall, 1984); D. Kalb eisch and R. L. Prentice,
T
he Statistical Analysis of
F
ailure
T
ime
D
ata
(New York: Wiley, 2003).
5. M. J. Crowder,
C
lassical Competing Risks (London: Chapman and Hall, 2001).
6. B. Baesens et al., “Neural Network Survival Analysis for Personal Loan Data.” Spe-
cial issue, Journal of the Operational Research Society 59, no. 9 (2005): 1089–1098.
1
1
9
C
HAPTER
6
Social Network
Analytics
M an
y
t
yp
es o
f
socia
l
networ
k
s exist. T
h
e most
p
o
p
u
l
ar are
un
d
ou
b
te
dl
y Face
b
oo
k
, Twitter, Goog
l
e+, an
d
Lin
k
e
d
In. How
-
ever, socia
l
networ
k
s are more t
h
an t
h
at. It cou
ld
b
e an
y
set o
f
no
d
es (a
l
so re
f
erre
d
to as
vertices
) connecte
d
by
e
dg
es in a
p
articu
l
ar
b
usiness setting. Examp
l
es o
f
socia
l
networ
k
s cou
ld
b
e:
■ We
b
p
a
g
es connecte
d
by
hyp
er
l
in
k
s
■ Emai
l
tra
f
c
b
etween peop
l
e
■ Researc
h
p
a
p
ers connecte
d
by
citations
■ Te
l
e
ph
one ca
ll
s
b
etween customers o
f
a te
l
co
p
rovi
d
er
■ Ban
k
s connecte
d
b
y
l
iqui
d
ity
d
epen
d
encies
■ S
p
rea
d
o
f
i
ll
ness
b
etween
p
atients
T
h
ese examp
l
es c
l
ear
l
y i
ll
ustrate t
h
at socia
l
networ
k
ana
l
ytics can
b
e a
ppl
ie
d
in a wi
d
e variet
y
o
f
d
i
ff
erent settin
g
s.
SOCIAL NETWORK DEFINITIONS
A social network consists of both nodes (vertices) and edges. Both
need to be clearl
y
de ned at the outset of the anal
y
sis. A node (vertex)
could be de ned as a customer (
p
rivate/
p
rofessional), household
/
family, patient, doctor, paper, author, terrorist, web page, and so forth.
An ed
g
e can be de ned as a friend relationshi
p
, a call, transmission

12
0
▸ANALYTI
CS
IN A BI
G
DATA W
O
RL
D
o
f
a
d
isease, re
f
erence, an
d
so on. Note t
h
at t
h
e e
dg
es can a
l
so
b
e
weig
h
te
d
b
ase
d
on interaction
f
requency, importance o
f
in
f
ormation
exc
h
an
g
e, intimac
y
, an
d
emotiona
l
intensit
y
. For exam
pl
e, in a c
h
urn
pre
d
iction setting, t
h
e e
d
ge can
b
e weig
h
te
d
accor
d
ing to t
h
e time two
customers ca
ll
e
d
eac
h
ot
h
er
d
uring a speci
c perio
d
. Socia
l
networ
k
s
can
b
e re
p
resente
d
as a socio
g
ram. T
h
is is i
ll
ustrate
d
in Fi
g
ure 6.1 ,
w
h
ere
by
t
h
e co
l
or o
f
t
h
e no
d
es corres
p
on
d
s to a s
p
eci
c status (e.
g
.,
churner or nonchurner
)
.
Socio
g
rams are
g
ood for small‐scale networks. For lar
g
er‐scale
networks, the network will t
yp
icall
y
be re
p
resented as a matrix, as
illustrated in Table 6.1 . These matrices will be s
y
mmetrical and t
yp
i
-
call
y
ver
y
s
p
arse (with lots of zeros). The matrix can also contain the
wei
g
hts in case of wei
g
hted connections.
Fi
g
ure 6.1 Example Socio
g
ram

SOC
IAL NETW
O
RK ANALYTI
CS
◂
121
T
able
6
.1 Matrix Re
p
resentation o
f
a Social Networ
k
C1 C2 C3 C4
C1 —1
1
0
C2 1
—
0
1
C3 10—
0
C4
0
1
0
—
Table 6.2 Network Centralit
y
Measures
Geodes
i
c
S
hortest
p
ath between two
no
d
es
i
n t
h
e networ
k
Degre
e
N
u
m
be
r
of
co
nn
ec
ti
o
n
s
of
a
node (in‐ versus out‐degree i
f
t
he connections are directed
)
Closenes
s
The avera
g
e distance o
f
a
n
ode
t
o
a
ll
o
th
e
r n
odes
in
t
he network (reciprocal o
f
f
arness
)
dnn
g
j
g
ij
∑
⎡
⎣
⎢
⎢
⎤
⎦
⎥
⎥
=
−
()
1
1
B
etweennes
s
C
ounts the number of times
a
n
ode
o
r
co
nn
ec
ti
o
n li
es
o
n
t
he shortest
p
ath between
an
y
two nodes in the networ
k
gn
g
jk i
jk
jk
∑
<
()
Gra
p
h theoretic cente
r
The
n
ode
w
i
t
h
t
he
s
m
alles
t
m
a
x
i
m
u
m
dis
t
a
n
ce
t
o
all
o
t
he
r n
odes
i
n t
he
n
e
tw
o
r
k
SOCIAL NETWORK METRICS
A socia
l
networ
k
can
b
e c
h
aracterize
d
b
y various socia
l
networ
k
metrics. T
h
e most important centra
l
ity measures are
d
epicte
d
in
Table 6.2 . Assume a network with
g
no
d
es
n
i
, i
= 1, …,
g
.
g
jk
g
repre
-
sents the number of geodesics from node
j
t
o node k
,
whereas
g
jk
g
(
n
i
)
represents the number of geodesics from node
j
to node k pass
i
ng
throu
g
h node
n
i
. The formulas each time calculate the metric for
node
n
i
.
These metrics can now be illustrated with the well‐known Kite
networ
k
d
epicte
d
in Figure 6.2 .
Ta
bl
e 6.3 reports t
h
e centra
l
ity measures
f
or t
h
e Kite networ
k
.
Base
d
on
d
egree, Diane
h
as t
h
e most connections. S
h
e wor
k
s as a

122
▸ANALYTICS IN A BIG DATA WORL
D
connector or hub. Note, however, that she onl
y
connects those
already connected to each other. Fernando and Garth are the closest
to all others. The
y
are the best
p
ositioned to communicate messa
g
es
that need to ow
q
uickl
y
throu
g
h to all other nodes in the network.
Heather has the highest betweenness. She sits in between two impor
-
tant communities (Ike and Jane versus the rest). She
p
la
y
s a broker
role between both communities but is also a sin
g
le
p
oint of failure.
Note that the betweenness measure is often used for community
T
ab
l
e
6
.
3
Centralit
y
Measures for the Kite Networ
k
Degree Closeness Betweenness
6
Di
a
n
e
0
.
64
F
e
rn
a
n
do
14 H
ea
th
er
5
F
e
rn
a
n
do
0
.
64
Ga
rt
h
8
.
33
F
e
rn
a
n
do
5
Gart
h
0
.
6
Di
an
e
8
.
33
G
art
h
4
A
n
d
r
e
0
.
6
Hea
t
her
8
Ike
4
B
ever
ly
0
.
53
A
n
d
r
e
3
.
6
7
Dia
n
e
3
C
aro
l
0
.5
3
B
ever
ly
0
.
83
A
n
d
r
e
3
E
d
0
.
5
Ca
r
ol
0
.
83
Beverl
y
3
H
ea
th
er
0
.
5
E
d
0
Ca
r
ol
2
Ike
0.4
3
Ike
0
Ed
1 Jan
e
0.3
1
J
an
e
0
J
an
e
JaneIkeHeather
Fernando
Beverly
Garth
Ed
Carol
Diane
Andre
Fi
g
ure 6.2 The Kite Network
SOC
IAL NETW
O
RK ANALYTI
CS
◂12
3
minin
g
. A
p
o
p
u
l
ar tec
h
ni
q
ue
h
ere is t
h
e Girvan‐Newman a
lg
orit
h
m,
w
hich
w
orks as follo
w
s:
1
1. The betweenness of all existing edges in the network is calcu-
lated rst.
2. The edge with the highest betweenness is removed.
3. The betweenness of all edges affected by the removal is
recalculated.
4. Steps 2 and 3 are repeated until no edges remain.
T
h
e resu
l
t o
f
t
h
is proce
d
ure is essentia
ll
y a
d
en
d
rogram, w
h
ic
h
can
t
h
en
b
e use
d
to
d
eci
d
e on t
h
e optima
l
num
b
er o
f
communities.
SOCIAL NETWORK LEARNING
In social network learning, the goal is within‐network classi cation to
com
p
ute the mar
g
inal class membershi
p
p
robabilit
y
of a
p
articular node
g
iven the other nodes in the network. Various im
p
ortant challen
g
es arise
when learning in social networks. A rst key challenge is that the data are
not inde
p
endent and identicall
y
distributed (IID), an assum
p
tion often
made in classical statistical models (e.
g
., linear and lo
g
istic re
g
ression).
The correlational behavior between nodes implies that the class mem-
b
ershi
p
of one node mi
g
ht in uence the class membershi
p
of a related
node. Next, it is not eas
y
to come u
p
with a se
p
aration into a trainin
g
set for model development and a test set for model validation, since the
whole network is interconnected and cannot
j
ust be cut into two
p
arts.
Also, there is a strong need for collective inferencing procedures because
inferences about nodes can mutually in uence one another. Moreover,
man
y
networks are hu
g
e in scale (e.
g
., a call
g
ra
p
h from a telco
p
ro
-
vider), and ef cient computational procedures need to be developed to
do the learnin
g
.2 Finall
y
, one should not for
g
et the traditional wa
y
of
doin
g
anal
y
tics usin
g
onl
y
node‐s
p
eci c information because this can
sti
ll
p
rove to
b
e ver
y
va
l
ua
bl
e in
f
ormation
f
or
p
re
d
iction as we
ll
.
Given t
h
e a
b
ove remar
k
s, a socia
l
networ
k
l
earner wi
ll
usua
lly
consist o
f
t
h
e
f
o
ll
owing components:
3
■ A
l
oca
l
mo
d
e
l
: T
h
is is a mo
d
e
l
usin
g
on
ly
no
d
e‐s
p
eci
c c
h
arac
-
teristics, t
yp
ica
lly
estimate
d
usin
g
a c
l
assica
l
p
re
d
ictive ana
ly
tics
mo
d
e
l
(e.
g
.,
l
o
g
istic re
g
ression,
d
ecision tree).

124
▸ANALYTI
CS
IN A BI
G
DATA W
O
RL
D
■ A net
w
ork model: This is a model that
w
ill make use of the con
-
nections in the network to do the inferencin
g
.
■ A collective inferencin
g
p
rocedure: This is a
p
rocedure to deter
-
mine how the unknown nodes are estimated together, hereby
in uencing each other.
In order to facilitate the computations, one often makes use of the
Markov property, stating that the class of a node in the network only
depends on the class of its direct neighbors (and not of the neighbors
of the nei
g
hbors). Althou
g
h this assum
p
tion ma
y
seem limitin
g
at rst
s
ig
h
t, empirica
l
eva
l
uation
h
as
d
emonstrate
d
t
h
at it is a reasona
bl
e
assumption to
b
e ma
d
e.
RELATIONAL NEIGHBOR CLASSIFIER
The relational nei
g
hbor classi er makes use of the homo
p
hil
y
assum
p-
tion, which states that connected nodes have a propensity to belong to the
same class. This idea is also referred to as
guilt by association.
If two nodes
are associated, the
y
tend to exhibit similar behavior. The
p
osterior class
probability for node
n
to belong to class
c
is then calculated as follows:
c
Pcn Zwnn
n Neighborhood class n c
j
jnj
∑
=
∈=
(|) 1(, )
{|()}
whereb
y
Nei
g
hborhood
n
re
p
resents the nei
g
hborhood of node
n
,
w
(
w
n
,
n
j
n
) the weight of the connection between
j
n
a
n
d
n
j
n
, and
j
Z
is a
Z
normalization factor to make sure all probabilities sum to one.
For exam
p
le, consider the network de
p
icted in Fi
g
ure 6.3 , whereb
y
C
and
C
N
C
represent churner and nonchurner nodes, respectively.
C
C
?
NC
NC
NC
C
Figure 6.3 Example Social Network
f
or Relational Neighbor Classi
er

SOC
IAL NETW
O
RK ANALYTI
CS
◂
125
The calcula
t
ions
t
hen become:
PC =+Z(|?) 1/(11)
Z
PNC =++( |?) 1/(111)
Since both probabilities have to sum to 1,
Z
equals 5, so the prob-
Z
abilities become:
PC =( |?) 2/5
PNC =( |?) 3/5
PROBABILISTIC RELATIONAL NEIGHBOR CLASSIFIER
extension of the relational nei
g
hbor classi er, whereb
y
the
p
osterior
class
p
robabilit
y
for node
n
to belon
g
to class
c
is calculated as follows:
c
Pcn Zwnn Pcn
n Neighborhood
jj
jn
∑
=
{}
∈
(|) 1(, )(| )
Note that the summation now ranges over the entire neighbor
-
hood of nodes. The
p
robabilities Pc n
j
(| ) can be
t
he resul
t
of a local
model or of a
p
reviousl
y
a
pp
lied network model. Consider the net-
work of Figure 6.4 .
The calcula
t
ions
t
hen become:
PC Z Z= ++++ =( |?) 1/ (0.25 0.80 0.10 0.20 0.90) 2.25/
PNC Z Z= ++++ =( |?) 1/ (0.75 0.20 0.90 0.80 0.10) 2.75/
C
?
NC
NC
NC
C
P(C) = 0.80
P(NC) = 0.20
P(C) = 0.25
P(NC) = 0.75
P(C) = 0.10
P(NC) = 0.90
P(C) = 0.20
P(NC) = 0.80
P(C) = 0.90
P(NC) = 0.10
F
i
gure 6.4 Example Social Network for Probabilistic Relational Neighbor Classi er

126
▸ANALYTI
CS
IN A BI
G
DATA W
O
RL
D
Since both
p
robabilities have to sum to 1,
Z
equals 5, so the prob-
Z
abili
t
ies become:
PC ==( |?) 2.25/5 0.45
PNC ==( |?) 2.75/5 0.55
RELATIONAL LOGISTIC REGRESSION
Relational logistic regression was introduced by Lu and Getoor.
4
It
b
asica
ll
y starts o
ff
f
rom a
d
ata set wit
h
l
oca
l
no
d
e‐speci
c c
h
aracteris
-
tics an
d
a
dd
s networ
k
c
h
aracteristics to it, as
f
o
ll
ows:
■ Most
f
requent
l
y occurring c
l
ass o
f
neig
hb
or (mo
d
e‐
l
in
k
)
■ Fre
q
uenc
y
of the classes of the nei
g
hbors (count‐link)
■ Binar
y
indicators indicatin
g
class
p
resence (binar
y
‐link)
This is illustrated in Fi
g
ure 6.5
.
A logistic regression model is then estimated using the data set
with both local and network characteristics.
N
ote that there is some
correlation between the network characteristics added
,
which should
be ltered out during an input selection procedure (e.g., using step
-
wise lo
g
istic re
g
ression). This idea is also referred to as featuriza
-
tion, since the network characteristics are basicall
y
added as s
p
ecial
Mode …Income Age CID
link
Frequency
no churn
Frequency
churn
Binary no
churn
Binary
churn
1 1 2 3 NC 1,000 33 Bart
C
?
NC
NC
NC
C
F
i
gure 6.5 Re
l
at
i
ona
l
Log
i
st
i
c Regress
i
on

SOC
IAL NETW
O
RK ANALYTI
CS
◂127
features to the data set. These features can measure the behavior of
the nei
g
hbors in terms of the tar
g
et variable (e.
g
., churn or not) or in
terms of the local node‐s
p
eci c characteristics (e.
g
., a
g
e,
p
romotions,
RFM). Figure 6.6 provides an example, whereby features are added
describin
g
the tar
g
et behavior (i.e., churn) of the nei
g
hbors. Fi
g
ure 6.7
p
rovides an exam
p
le, whereb
y
features are added describin
g
the local
node behavior of the neighbors.
RecencyAgeCustomer Number of
contacts
Contactswith
churners
Contacts with
contactsof
churners
Churn
Yes9318535John
No6171018Sophie
No51112838Victor
Yes7091244Laura
Local variables Network variables
First-order
network variable
Second-order
network variable
Fi
g
ure 6.6 Example of Featurization with Features Describin
g
Tar
g
et Behavior of
Nei
g
hbors
AgeCustomer Average
duration
Average
revenue
Promotions
Average
age
friends
Average
duration
friends
Average
revenue
friends
Promotions
friends
Churn
YesX2505520X1235025John
NoY664418Y556535
Sophie
X,Y503350None851250
Victor No
NoX1895565X2306618
Laura
Example of Featurization with Features Describin
g
Local Node Behavior of
Ne
ighb
ors
12
8
▸ANALYTI
CS
IN A BI
G
DATA W
O
RL
D
COLLECTIVE INFERENCING
Given a network initialized by a local model and a relational model, a
collective inference
p
rocedure infers a set of class labels/
p
robabilities
for the unknown nodes by taking into account the fact that inferences
about nodes can mutually affect one another. Some popular examples
of collective inferencing procedures are:
■ Gibbs sampling5
■ Iterative classi cation
6
■ Re
l
axation
l
a
b
e
l
ing
7
■ Loopy
b
e
l
ie
f
propagation
8
As an example, Gibbs sampling works as follows:
1. Given a network with known and unknown nodes
,
initialize
every unknown node using the local classi er to obtain the
(local)
p
osterior
p
robabilities
P
(
P
c
=
c
k
),
k
k
= 1, …,
k
m
(
m
= number
of classes).
2. Sam
p
le the class value of each node accordin
g
to the
p
robabili
-
t
i
es
P
(
P
c
=
c
k
).
k
3. Generate a random orderin
g
for the unknown nodes.
4. For each node
i
in the ordering
i
a. Apply the relational learner to node
i
to obtain new posterior
i
p
robabilities
P
(
P
c
=
c
k
).
k
b
. Sample the class value of each node according to the new
p
robabilities
P
(
P
c
=
c
k
).
k
5. Repeat step 5 during 200 iterations without keeping any statis
-
tics (burnin
g
p
eriod).
6. Repeat step 5 during 2,000 iterations counting the number
o
f
times eac
h
c
l
ass is assigne
d
to a particu
l
ar no
d
e. Norma
l
izing
these counts
g
ives us the nal class
p
robabilit
y
estimates.
Note,
h
owever, t
h
at em
p
irica
l
evi
d
ence
h
as s
h
own t
h
at co
ll
ective
in
f
erencin
g
usua
lly
d
oes not su
b
stantia
lly
a
dd
to t
h
e
p
er
f
ormance o
f
a
socia
l
networ
k
l
earner.

SOC
IAL NETW
O
RK ANALYTI
CS
◂12
9
EGONETS
While real‐life networks often contain billions of nodes and millions
of links, sometimes the direct nei
g
hborhood of nodes
p
rovides enou
g
h
information on which to base decisions. An ego‐centered network,
or egonet
,
represents the one‐hop neighborhood of the node of inter
-
est. In other words, an egonet consists of a particular node and its
immediate neighbors. The center of the egonet is the ego, and the sur-
rounding nodes are the alters. An example of an egonet is illustrated
in Figure 6.8 . Especially when networks are highly characterized by
h
omop
h
i
l
y, egonets can
b
e very use
f
u
l
. Homop
h
i
l
y is t
h
e ten
d
ency o
f
peop
l
e to associate wit
h
ot
h
ers w
h
om t
h
ey perceive as
b
eing simi
l
ar
to t
h
emse
l
ves in some way.9 In suc
h
h
omop
h
i
l
ic networ
k
s, t
h
e in
u
-
ences o
f
t
h
e
d
irect neig
hb
or
h
oo
d
are so intense t
h
at t
h
ey
d
iminis
h
t
h
e
effect of the rest of the network. Restrictin
g
the anal
y
sis to the e
g
onet
already gives a good indication of the behavior and interests of the sur
-
veyed individual: If all of John’s friends have a amboyant personality
what does this sa
y
about John? The same reasonin
g
holds in fraud
networks: If all of Mary’s friends are fraudsters, what kind of behavior
d
o you expect
f
rom Mary?
John
Charlie
Elise
Lauren
Bart
Victor
Fi
g
ure 6.8 John’s E
g
onet: The Center o
f
the E
g
onet Is the E
g
o, the Surroundin
g
Nodes
Are the Alters of the E
g
onet

130
▸ANALYTI
CS
IN A BI
G
DATA W
O
RL
D
BIGRAPHS
Nodes in networks represent real‐life objects, such as customers,
p
atients, Internet routers, com
p
anies, and so forth. These ob
j
ects are
connected to each other through links. As in real‐life applications,
some of these relationships are stronger than others. This is re ected in
the weight of the link. In call behavior data for example, two users are
more closely related when they call each other more often. Authors
who write various papers together have a stronger connection. Com-
panies rely more on each other when they share more resources. All
t
h
is in
f
ormation can
b
e summarize
d
in a networ
k
representation con-
necting no
d
es
d
irect
l
y to eac
h
ot
h
er an
d
weig
h
ing t
h
e
l
in
k
s
b
etween
th
em. T
h
is is a unipartit
e
grap
h
, as t
h
e grap
h
on
l
y contains one type
o
f
no
d
es. A unipartite grap
h
f
or t
h
e aut
h
or networ
k
is i
ll
ustrate
d
in
Fi
g
ure 6.9 . The wei
g
hts between nodes are re
p
resented b
y
the thick
-
ness of the lines connecting the two nodes. Tina is more closely con
-
nected to Peter and Monique than Louis. In some applications, it can
b
e interestin
g
to
g
ather more detailed information about the ob
j
ect
that connects these nodes. In the author network, authors are explic-
itl
y
connected with each other throu
g
h
p
a
p
ers. For the com
p
an
y
net-
work, a relationshi
p
between com
p
anies onl
y
exists when the
y
utilize
a common resource. Adding a new type of node to the network does
not onl
y
enrich the ima
g
inative
p
ower of
g
ra
p
hs, but also creates new
insi
g
hts in the network structure and
p
rovides additional information
F
i
gure 6.9 Aut
h
or Networ
k
Louis
Peter
Tina
Monique

SOC
IAL NETW
O
RK ANALYTI
CS
◂
131
ne
g
lected before. However, includin
g
a second t
yp
e of nodes results in
an increasing complexity for analysis.
If a network consists of two t
yp
es of nodes, we call the network a
bi
p
artite
g
ra
p
h or a bi
g
raph . For exam
p
le, in an author–
p
a
p
er network,
there are two types of nodes: authors and papers. This is illustrated
in Fi
g
ure 6.10 . Mathematicall
y
, a bi
p
artite
g
ra
p
h is re
p
resented b
y
a
matrix
M
with
M
n
ro
w
s and
m
columns. The rows refer to the t
yp
e‐one
nodes, while the columns specify the type‐two nodes. The correspond
-
in
g
matrix of Fi
g
ure 6.10 is
g
iven in Fi
g
ure 6.11 .
Louis
Peter
Tina
Monique
Text Mining
Paper
SNA Paper
Fraud
Detection
Paper
Fi
g
ure 6.10 Re
p
resentation o
f
a Small Author–Pa
p
er Network
FDSNATM
1Louis ––
111Tina
1Peter – 1
Monique – 11
Paper
Author
F
i
gure 6.11 Mathematical Representation o
f
the Author–Paper Networ
k

132
▸
A
NALYTICS IN A BIG DATA WORL
D
While the wei
g
ht of the links in the uni
p
artite
g
ra
p
h was used to
re
p
resent the fre
q
uenc
y
that both nodes were associated to a similar
object (e.g., the number of papers written together), the bipartite graph
allows one to include additional information in the link weight, like
the recency, intensity, and information exchange. For example, in the
author–paper network, instead of using a binary link (0/1 or writer
/
nonwriter) to specify relationships between authors and papers, the
link weight can now represent the contributions of each author to the
paper. When analyzing the in uence of one node on another, the link
wei
g
hts should refer to the recenc
y
of the relationshi
p
. Authors will
h
ave muc
h
l
ess in
uence on eac
h
ot
h
er i
f
t
h
ey wrote a paper toget
h
er
severa
l
years ago t
h
an i
f
t
h
ey
h
a
d
written t
h
e paper on
l
y yester
d
ay.
NOTES
1. M. Girvan and M. E. J. Newman, “Communit
y
Structure in Social and Biolo
g
ical
Networks
,
” in
P
roceedin
g
s of the National Academy of Sciences
(
2002
)
, 7821–7826.
2. W. Verbeke, D. Martens, and B. Baesens, “Social Network Anal
y
sis for Customer
Churn Prediction,”
Applied Soft Computing,
forthcomin
g
, 2014.
3. S. A. Macskass
y
and F. Provost, “Classi cation in Networked Data: A Toolkit and
a Univariate Case Stud
y
,” Journal of Machine Learnin
g
Research 8 (2007): 935–983;
W. Verbeke, D. Martens, and B. Baesens, “Social Network Anal
y
sis for Customer
Churn Prediction,” A
pp
lied Soft Com
p
utin
g
, forthcomin
g
, 2014; T. Verbraken et al.,
“Predictin
g
Online Channel Acce
p
tance Usin
g
Social Network Data,” Decision Su
pp
ort
S
y
stems, forthcomin
g
, 2014.
4.
Q
. Lu and L. Getoor, “Link‐based Classi cation,” in
P
roceedin
g
s of the Twentieth Confer-
ence on Machine Learnin
g
(ICML‐2003) (Washin
g
ton, DC, 2003).
5. S. Geman and D. Geman
,
“Stochastic Relaxation
,
Gibbs Distributions
,
and the
Ba
y
esian Restoration of Ima
g
es,”
I
EEE Transactions on Pattern Anal
y
sis and Machine
Intelligence 6
(
1984
)
: 721–741.
6.
Q
. Lu and L. Getoor, “Link‐based Classi cation,” in
P
roceedings of the Twentieth Confer-
ence on Machine Learnin
g
(ICML‐2003) (Washin
g
ton, DC, 2003).
7. S. Chakrabarti, B. Dom, and P. Ind
y
k, “Enhanced H
yp
ertext Cate
g
orization Usin
g
H
yp
erlinks,” in Proceedings of the 1998 ACM SIGMOD International Conference on Man-
agement of Dat
a
(1998), ACM, Seattle, WA, US, 307–319.
8. J. Pear
l
, Pro
b
a
b
i
l
istic Reasonin
g
in Inte
ll
i
g
ent Systems (Mor
g
an Kau
f
mann, 1988).
9
. M. E. J. Newman, Networ
k
s: An Intro
d
uction (Ox
f
or
d
Universit
y
Press, 2010).
133
C
HAPTER
7
Analytics: Putting
It All to Work
I n C
h
a
p
ter 1 , we
d
iscusse
d
t
h
e
f
o
ll
owin
g
k
e
y
re
q
uirements o
f
ana
ly
ti-
ca
l
mo
d
e
l
s:
■ Business re
l
evance
■ Statistica
l
per
f
ormance
■ Inter
p
reta
b
i
l
it
y
an
d
j
usti
a
b
i
l
it
y
■ O
p
erationa
l
e
f
cienc
y
■ Economica
l
cost
■ Re
g
u
l
ator
y
com
pl
iance
W
h
en on
l
y consi
d
ering statistica
l
per
f
ormance as t
h
e
k
ey o
b
jec
-
tive, ana
ly
tica
l
tec
h
ni
q
ues suc
h
as neura
l
networ
k
s, SVMs, an
d
ran-
d
om
f
orests are amon
g
t
h
e most
p
ower
f
u
l
. However, w
h
en inter
-
preta
b
i
l
ity an
d
justi
a
b
i
l
ity are t
h
e goa
l
, t
h
en
l
ogistic regression an
d
d
ecision trees s
h
ou
ld
b
e consi
d
ere
d
. O
b
vious
ly
, t
h
e i
d
ea
l
mix o
f
t
h
ese
re
q
uirements
l
ar
g
e
ly
d
e
p
en
d
s on t
h
e settin
g
in w
h
ic
h
ana
ly
tics is to
b
e use
d
. For exam
pl
e, in
f
rau
d
d
etection, res
p
onse an
d
/or retention
modeling, interpretability, and justi ability are less of an issue. Hence,
it is common to see techni
q
ues such as neural networks, SVMs, and/or
random forests a
pp
lied in these settin
g
s. In domains such as credit risk
modeling and medical diagnosis, comprehensibility is a key require
-
ment. Techni
q
ues such as lo
g
istic re
g
ression and decision trees are

134
▸ANALYTICS IN A BIG DATA WORL
D
ver
y
p
o
p
ular here. Neural networks and/or SVMs can also be a
pp
lied
if the
y
are com
p
lemented with white box ex
p
lanation facilities usin
g
,
for example, rule extraction and/or two‐stage models, as explained in
Chapter 3 .
BACKTESTING ANALYTICAL MODELS
Backesting is an important model monitoring activity that aims at
comparing ex‐ante made predictions with ex‐post observed num
-
b
ers.
1
For example, consider the example in Table 7.1 of a churn pre
-
d
iction mo
d
e
l
. T
h
e purpose
h
ere is to
d
eci
d
e w
h
et
h
er t
h
e o
b
serve
d
c
h
urn rates
d
i
ff
er signi
cant
l
y
f
rom t
h
e estimate
d
pro
b
a
b
i
l
ity o
f
c
h
urn.
Durin
g
model develo
p
ment, one t
yp
icall
y
p
erforms out‐of
‐
sam
p
le validation. This means that the trainin
g
set and test set basi
-
cally stem from the same underlying time period. Backtesting is
done usin
g
an out‐of‐sam
p
le/out‐of‐time data set, as illustrated in
Fi
g
ure 7.1 . Out of universe validation refers to testin
g
the model
on another population. An example of this could be a model devel
-
o
p
ed on Euro
p
ean customers that is bein
g
validated on American
cus
t
omers.
Many challenges arise during backtesting. Different reasons could
b
e behind the differences between the
p
redicted and observed churn
rates re
p
orted in Table 7.1 . A rst reason could be sam
p
le variation.
This is the variation due to the fact that the predictions are typically
b
ased on a limited sam
p
le. Su
pp
ose one onl
y
considers sam
p
le varia-
tion and the churn rate for a cluster is 1 percent, and one wants to be
95 percent con dent that the actual churn rate is no more than 20
Table 7.1 Backtestin
g
a Churn Prediction Model
Cluster
Estimated
Probability of
Churn No. of Customers
Observed No. of Churners
Observed Observed
Churn Rate
A
2
%
1,00
0
3
03%
B
4
%
2,00
0
12
0
6%
C
10%
4
,
000
5
00
12
.5
%
D
30
%
2,00
0
75
0
3
7.5
%

ANALYTI
CS
: P
U
TTIN
G
IT ALL T
O
W
O
RK ◂
135
b
asis
p
oints off from that estimate. The number of observations needed
w
ould be:
()
=−
⎛
⎝
⎜⎞
⎠
⎟=
1.96 1
0.002 9,500
2
nPP
When dealin
g
with lar
g
e data sets, this number can be easil
y
obtained. However, for smaller data sets (as is typically the case in
credit risk modelin
g
), a lower number of observations mi
g
ht be avail-
able, hereb
y
in atin
g
the standard errors and makin
g
the uncertaint
y
on the predictions bigger.
External effects could also be a reason for the difference bet
w
een
predicted and observed churn rates. A typical example here is the
impact of macroeconomic up‐ or downturns.
Finall
y
, internal effects could also
p
la
y
a role. Exam
p
les here are a
strategy change or a merger and/or acquisition. Both have an impact
on the com
p
osition of the data sam
p
les and, as such, also on the
o
b
serve
d
c
h
urn rates.
W
h
en
b
ac
k
testin
g
ana
ly
tica
l
mo
d
e
l
s, one o
f
ten a
d
o
p
ts a tra
f
c
l
i
gh
t
in
d
icator a
pp
roac
h
to enco
d
e t
h
e outcome o
f
a
p
er
f
ormance metric or
test statistic. A green tra
f
c
l
ig
h
t means t
h
at t
h
e mo
d
e
l
pre
d
icts we
ll
an
d
no c
h
an
g
es are nee
d
e
d
. A
y
e
ll
ow
l
i
gh
t in
d
icates an ear
ly
warnin
g
t
h
at a
p
otentia
l
p
ro
bl
em ma
y
arise soon. An oran
g
e
l
i
gh
t is a more
Figure 7.1 Out‐of‐Sample versus Out‐of‐Sample/Out‐of‐Time Validation
Out of Sample/Out of TimeOut of Sample
Out of Universe/Out of Time Out of Universe
: Training Set :Test Set
Time

136
▸ANALYTI
CS
IN A BI
G
DATA W
O
RL
D
severe warnin
g
t
h
at a
p
ro
bl
em is ver
y
l
i
k
e
ly
to arise. A re
d
l
i
gh
t t
h
en
indicates a serious
p
roblem that needs immediate attention and action.
Depending on the implementation, more or fewer traf c lights can be
adopted.
Backtesting Classi cation Models
When backtesting classi cation models, one should rst clearly state
whether the goal of the classi cation model is scoring/ranking or provid
-
in
g
well-calibrated
p
osterior class
p
robabilities. In res
p
onse and/or reten
-
tion mo
d
e
l
ing, one is typica
ll
y intereste
d
in scores/ran
k
ing customers,
w
h
ereas in cre
d
it ris
k
mo
d
e
l
ing, we
ll
‐ca
l
i
b
rate
d
pro
b
a
b
i
l
ities are nee
d
e
d
.
W
h
en t
h
e mo
d
e
l
purpose is scoring,
b
ac
k
testing s
h
ou
ld
c
h
ec
k
b
ot
h
d
ata
stability and model ranking. When the model is aimed at providing well
‐
calibrated
p
robabilities, the calibration itself should also be backtested.
When validatin
g
data stabilit
y
, one should check whether inter
-
nal or external environmental changes will impact the classi cation
model. Exam
p
les of external environmental chan
g
es are new devel
-
o
p
ments in economic,
p
olitical, or le
g
al environment; chan
g
es in
commercial law; or new bankruptcy procedures. Examples of inter
-
nal environmental chan
g
es are chan
g
es of business strate
gy
, ex
p
lora
-
tion of new market se
g
ments, or chan
g
es in or
g
anizational structure
(
internal). A two‐step approach can be suggested as follows:
1. Check whether the
p
o
p
ulation on which the model is currentl
y
b
eing used is similar to the population that was used to develop
t
he model.
2. If differences occur in step 1, verify the stability of the individual
variables.
For ste
p
1, a s
y
stem stabilit
y
index (SSI) can be calculated as
f
o
ll
ows:
.
()ln
1
SSI observed expected observed
expected
ii
i
ki
i
∑
=−
=
T
h
is is i
ll
ustrate
d
in Ta
bl
e 7.2
.
Note t
h
at t
h
e system sta
b
i
l
ity in
d
ex is a
l
so re
f
erre
d
to as t
h
e
d
evia-
tion
index
. It is i
d
entica
l
to t
h
e in
f
ormation
v
a
l
ue measure
d
iscusse
d

ANALYTI
CS
: PUTTIN
G
IT ALL T
O
W
O
RK ◂1
3
7
in Cha
p
ter 2 for variable screenin
g
. A rule of thumb can be de ned
as follows:
■ SSI < 0.10: no si
g
ni cant shift (
g
reen traf c li
g
ht)
■ 0.10 ≤ SSI < 0.25: moderate shift (yellow traf c light)
■ SSI ≥ 0.25: si
g
ni cant shift (red traf c li
g
ht)
It is also recommended to monitor the SSI through time as illus-
t
ra
t
ed in Table 7.3 .
When
p
o
p
ulation instabilit
y
has been dia
g
nosed, one can then
verify the stability of the individual variables. Again, a system stability
index can be calculated at the
v
ariable le
v
el as illustrated in Table 7.4 .
Note also that histograms and/or
t
‐tests can be used for this purpose.
t
Backtesting model ranking veri es whether high (low) scores are
assi
g
ned to
g
ood (bad) customers. Rankin
g
is then t
yp
icall
y
used in
com
b
ination wit
h
p
ro
t measures to
d
eci
d
e on t
h
e
d
esire
d
action (e.
g
.,
w
h
o to mai
l
in a
d
irect mai
l
in
g
cam
p
ai
g
n). Per
f
ormance measures
common
l
y a
d
opte
d
h
ere
h
ave
b
een
d
iscusse
d
in C
h
apter 3 : ROC, CAP,
l
i
f
t, an
d
/or Ko
l
mo
g
orov‐Smirnov curves. In terms o
f
area un
d
er t
h
e
ROC curve, one can a
d
o
p
t t
h
e tra
f
c
l
i
gh
t in
d
icator a
pp
roac
h
g
iven in
Ta
bl
e 7.5 . Note t
h
at an AUC o
f
b
igger t
h
an 0.95 can
b
e regar
d
e
d
as too
g
oo
d
to
b
e true an
d
mi
gh
t
b
e a si
g
n t
h
at somet
h
in
g
h
as
g
one wron
g
in
T
able
7.2 Ca
l
cu
l
at
i
ng t
h
e System Sta
bili
ty In
d
ex (SSI)
Score Range Expected
(Training) % Observed
(Actual) % SSI
0–16
9
6%
7
% 0.001
5
17
0
–17
9
1
0%
8%
0
.
00
4
5
180–18
9
9%
7
% 0.005
0
190–19
9
12
%
9
% 0.008
6
2
00
–2
09
12
%
11
%
0
.
0009
210–21
9
8
%11
%
0.009
6
220–22
9
7
%10
%
0.010
7
230–23
9
8
%12
%
0.016
2
240–24
9
12
%
11
%
0.000
9
2
50+
1
6%
14
%
0
.
00
2
7
100%
100%
0
.
060
5

138
▸ANALYTICS IN A BIG DATA WORL
D
Ta
bl
e 7.4 Calculating the SSI
f
or Individual Variables
Range Expected
(Training)% Observed
(Actual)% at t Observed (Actual)
% at t + 1
I
ncom
e
0
–
1,000
16%
18%
10%
1
,
001
–
2
,
000
23%
25%
12%
2
,
001
–
3
,
000
22%
20%
20%
3,
001–4
,
00
0
1
9%
1
7
%
25%
4,001–5,00
0
1
5%
1
2
%
20%
5,000
+
5% 8%
1
3
%
SS
I Re
f
erenc
e
0.02
9
0.20
8
SS
I
t −
1
0
.
238
Y
ea
r
s
c
l
ie
n
t
U
nkn
o
wn
c
li
e
n
t
15%
10%
5%
0–2
y
ear
s
2
0%
25%
15%
2–5
y
ear
s
2
5%
30%
40%
5–
10
year
s
30%
30%
20%
10+ year
s
1
0%
5%
20%
SS
I Re
f
erenc
e
0
.
0
7
5
0
.
304
SS
I
t
− 1
t
0
.
362
Ta
bl
e 7.3 Mon
i
tor
i
ng t
h
e SSI t
h
roug
h
T
i
me
Score Range Expected
(Training) % Observed
(Actual) % at t Observed
(Actual) % at t + 1
0–16
9
6% 7%
6
%
170–17
9
10
%
8%
7
%
180
–
189
9%
7
%
10%
190
–
199
12%
9%
11%
200–20
9
12
%
11
%
10
%
21
0
–21
9
8%
11
%
9%
220–22
9
7
%10
%
11
%
2
30
–2
39
8%
12
%
11
%
24
0
–24
9
12
%
11
%
1
0%
2
50+
1
6%
14
%
1
5%
SSI versus
Ex
p
ecte
d
0
.
0605
0
.
0494
SSI versus
t
− 1
t
0
.
0260

ANALYTI
CS
: P
U
TTIN
G
IT ALL T
O
W
O
RK ◂
139
the setup of the model (e.g., information about the dependent variable
was use
d
in one o
f
t
h
e in
d
epen
d
ent varia
bl
es).
One can t
h
en monitor t
h
e AUC or accuracy ratio (AR) t
h
roug
h
time using a report as
d
epicte
d
in Ta
bl
e 7.6 . A ru
l
e o
f
t
h
um
b
t
h
at cou
ld
b
e app
l
ie
d
h
ere is t
h
at a
d
ecrease o
f
l
ess t
h
an 5% in terms o
f
AR is
considered green (normal script), between 5% and 10% yellow (bold
face), and more than 10% red (bold face and underlined).
For backtestin
g
p
robabilit
y
calibration, one can rst use the Brier
score de ned as follows
:
nPii
i
n
∑−θ
=
1(ˆ)2
1
Table 7.5 Tra
f
c Li
g
ht Codin
g
o
f
AUC
Area under the ROC Curve Quality
0 < AUC ≤ 0.5
N
o discriminatio
n
0.5 < AUC ≤ 0.7
P
oor discriminatio
n
0
.7 < A
UC
≤
0
.
8
A
cceptable discriminatio
n
0.8 < AU
C
≤ 0.9
E
xce
ll
ent
di
scr
i
m
i
nat
i
o
n
0.9 < AUC ≤ 1
E
xcept
i
ona
l
Table 7.6 Monitorin
g
Accurac
y
Ratio (AR) throu
g
h Time
Number of
Observations Number of
Defaulters AR
A
R m
odel
5,
86
6
105
0
.
85
A
R 2
0
1
2
5
,67
7
9
7
0
.
81
A
R 201
1
5
,46
2
1
0
8
0
.8
0
AR
201
0
5
,23
4
1
1
1
0
.8
3
A
R 2
009
5,260
123
0
.7
9
A
R 2
008
5
,
365
113
0
.7
9
AR
2
007
5
,35
4
1
2
0
0
.7
5
AR
200
6
5
,
306
119
0
.
82
A
R 200
5
4,97
0
9
8
0
.7
8
AR
2
004
4,50
1
6
2
0
.
80
AR
200
3
3
,
983
60
0
.
83
A
vera
g
e AR
5,
179.
8
10
1.
5
0
.
8

140
▸ANALYTI
CS
IN A BI
G
DATA W
O
RL
D
whereb
y
n
is the number of customers
,
Pi
ˆ the calibrated
p
robabilit
y
for cus
t
omer
i,
a
n
d
i
θ
is 1 if the event of interest (e.
g
. churn, fraud,
default) took place and 0 otherwise. The Brier score always varies
b
etween 0 and 1, and lower values indicate a better calibration ability.
Another very popular test for measuring calibration performance
is the binomial test. The binomial test assumes an experiment with
only two outcomes (e.g., head or tail), whereby the experiment is
repeated multiple times and the individual outcomes are independent.
Although the last assumption is not always nicely ful lled because of,
for example, social network effects, the binomial test is often used as a
h
euristic
f
or ca
l
i
b
ration. It wor
k
s as
f
o
ll
ows:
H
0
HH
: T
h
e estimate
d
pro
b
a
b
i
l
ity o
f
t
h
e event (e.g., c
h
urn,
f
rau
d
,
d
e
f
au
l
t), P
ˆ , equa
l
s t
h
e true pro
b
a
b
i
l
ity
P
.
P
H
A
H
: T
h
e estimate
d
pro
b
a
b
i
l
ity o
f
t
h
e event P
ˆ is
b
igger/sma
ll
er/not
e
q
ua
l
to t
h
e true
p
ro
b
a
b
i
l
it
y
.
Note t
h
at t
h
e estimate
d
pro
b
a
b
i
l
ity
P
ˆ is typica
ll
y t
h
e pro
b
a
b
i
l
ity wit
h
in
a
p
articu
l
ar customer se
g
ment or
p
oo
l
. De
p
en
d
in
g
on t
h
e ana
ly
tica
l
tec
h
-
ni
q
ue, t
h
e
p
oo
l
can
b
e o
b
taine
d
in various wa
y
s. It cou
ld
b
e a
l
ea
f
no
d
e
o
f
a
d
ecision tree, or a c
l
ustere
d
range output
f
rom a
l
ogistic regression.
Assumin
g
a ri
gh
t‐tai
l
e
d
test an
d
g
iven a si
g
ni
cance
l
eve
l
, α
,
(e.
g
.,
α=99% ),
H
0
HH
is re
j
ecte
d
i
f
t
h
e num
b
er o
f
events is
g
reater t
h
an or
equa
l
to
k
*, which is obtained as follows:
k
kk
n
kPP
ik
n
ii
∑
=⎛
⎝
⎜⎞
⎠
⎟−≤−α
⎧
⎨
⎪
⎩
⎪
⎫
⎬
⎪
⎭
⎪
=
min | ˆ(1 ˆ)1 .
*
For
l
ar
g
e
n
,
nP >
ˆ5
a
n
d
nP−>(1 ˆ) 5, t
h
e
b
inomia
l
d
istri
b
ution can
b
e approximate
d
b
y a norma
l
d
istri
b
ution as
N
(
N
nP
ˆ
,
nP P−
ˆ(1 ˆ)) .
H
ence,
one o
b
tains:
Pz knP
nP P
≤−
−
⎛
⎝
⎜
⎜
⎞
⎠
⎟
⎟=α
ˆ
ˆ(1 ˆ)
,
*
with
z
a standard normally distributed variable. The critical value,
z
k
*,
k
can then be obtained as follows:
knPN nP P=+ α −
−
ˆ() ˆ(1 ˆ)
*1

ANALYTI
CS
: P
U
TTIN
G
IT ALL T
O
W
O
RK ◂
141
w
ith α
−
N()
1 the in
v
erse cumulati
v
e standard normal distribution. In
terms of a critical event rate,
p
*, one t
h
en
h
as
:
=+ α −
−
pPN PP
n
*ˆ() ˆ(1 ˆ)
1
H
0
can then be rejected at signi cance level
α
, if the observed
event rate is higher than
p
*. Remember that the binomial test
assumes that all observations are independent. If the observations
are correlated, then the binomial test has a higher probability to
erroneousl
y
re
j
ect
H
0 (t
yp
e I error), so that’s wh
y
it is often used
as an ear
l
y warning system. It can
b
e co
d
e
d
using tra
f
c
l
ig
h
ts, as
f
o
ll
ows:
■ Green (norma
l
f
ont): no statistica
l
d
i
ff
erence at 90 percent
■ Yellow (italics): statistical difference at 90
p
ercent but not at
95
p
ercent
■ Oran
g
e (bold face): statistical difference at 95
p
ercent but not
at 99
p
ercent
■ Red
(
bold face and underlined
)
: statistical difference at
99
p
ercent
Table 7.7 shows an example of using the binomial test for backtest
-
in
g
calibrated
p
robabilities of default (PDs) a
g
ainst observed default
rates
(
DRs
)
. It can be seen that from 2001 onwards, the calibration is
no longer satisfactory.
The Hosmer‐Lemeshow test is a closel
y
related test that will test
calibrated versus observed event rates across multi
p
le se
g
ments/
p
ools
simultaneously. It also assumes independence of the events, and the
test statistic is de ned as follo
w
s:
knP
nP P
ii i
ii i
i
k
∑
χ= −θ
−
=
() (ˆ)
ˆ(1 ˆ)
22
1
whereb
y
ni is the number of observations in
p
ool i
,
Pi
ˆ is the estimated
p
robabilit
y
of the event for
p
ool
i,
a
n
d
i
θ is the number of obser
v
ed
events. The test statistic follows a chi‐s
q
uared distribution with
k
degrees
k
of freedom. It can be coded usin
g
traf c li
g
hts in a similar wa
y
as for the
b
inomial test.

Table 7.7 The Binomial Test for Backtesting PDs versus DRs
PD Baa1 Baa2 Baa3 Ba1 Ba2 Ba3 B1 B2 B3 Caa‐C Av
0
.26%
0
.17%
0
.42%
0
.53%
0
.54%
1
.36%
2
.46% 5.76% 8.76%
2
0.89% 3.05%
DR
Baa
1
Baa
2
Baa3
Ba
1
Ba
2
Ba3
B1
B
2
B3
Caa
‐
C
Av
1993
0
.
00%
0
.
00%
0
.
00%
0
.
83%
0
.
00%
0
.7
6%
3
.
24%
5
.
04%
11.29
%
28.57
%
3
.
24%
1
99
4
0
.
00%
0
.
00%
0
.
00%
0
.
00%
0
.
00%
0
.
59%
1.
88%
3
.7
5%
7.
95%
5
.1
3%
1
.
88%
1995
0
.
00%
0
.
00%
0
.
00%
0
.
00%
0
.
00%
1
.7
6%
4.35
%
6
.
42%
4
.
06%
11
.57
%
2
.5
1%
1996
0
.
00%
0
.
00%
0
.
00%
0
.
00%
0
.
00%
0
.
00%
1
.
1
7
%
0
.
00%
3
.
28%
13
.
99%
0
.7
8%
199
7
0
.
00%
0
.
00%
0
.
00%
0
.
00%
0
.
00%
0
.
4
7
%
0
.
00%
1
.
54%
7.
22%
14
.
6
7
%
1
.
41%
1998
0
.
00%
0
.
31%
0
.
00%
0
.
00%
0
.
62%
1
.
12%
2
.
11%
7.55
%
5
.
52%
15
.
09%
2
.
83%
1
999
0
.
00%
0
.
00%
0
.
3
4
%
0
.47
%
0
.
00%
2
.
00%
3.28
%
6.91
%
9
.
63%
2
0
.44
%
3.35
%
2
000
0
.28
%
0.00% 0.97
%
0.94
%
0
.63
%
1
.04% 3.24
%
4.10% 10.88
%
19.65%
3
.01%
2
001
0
.27
%
0
.27
%
0.00% 0.51%
1
.38
%
2.93
%
3.19
%
11.07
%
16.38
%
34.45
%
5.48
%
200
2 1.26
%
0.72
%
1
.78
%
1.58
%
1.41
%
1.
58%
2.
00%
6.81
%
6
.
86%
29.45
%
3.70
%
Av
0
.2
6%
0
.17
%
0
.42
%
0
.
53%
0
.
5
4
%
1
.
36%
2.4
6%
5
.7
6%
8
.7
6%
2
0
.
9%
3
.
05%
1
42

ANALYTI
CS
: PUTTIN
G
IT ALL T
O
W
O
RK ◂
143
Backtesting Regression Models
In backtesting regression models, one can also make a distinction
b
etween model ranking and model calibration. When predicting
CLV, one might especially be interested in model ranking, since it is
typically hard to accurately quantify CLV. However, in the majority
of the cases, the aim is model calibration. For ranking, one could rst
consider a s
y
stem stabilit
y
index (SSI), as discussed before, a
pp
lied
to the categorized output. Also
t
‐tests and/or histograms can be used
t
here. For rankin
g
, one could create a scatter
p
lot and summarize it
into a Pearson correlation coef cient (see Cha
p
ter 3 ). For calibra
-
tion, one can ca
l
cu
l
ate t
h
e
R
‐s
q
uare
d
, mean s
q
uare
d
error (MSE),
or mean a
b
so
l
ute
d
eviation (MAD) as a
l
so
d
iscusse
d
in C
h
a
p
ter 3 .
Table 7.8
g
ives an exam
p
le of a table that can be used to monitor
t
he M
S
E.
Backtesting Clustering Models
When backtestin
g
clusterin
g
models, one can rst check the data
stabilit
y
b
y
com
p
arin
g
the number of observations
p
er cluster dur
-
ing model design with the number observed now and calculate a
s
y
stem stabilit
y
index (SSI) across all clusters. One can also measure
how the distance/
p
roximit
y
measures have chan
g
ed on new obser-
vations by creating histograms of distances per cluster and compare
the histo
g
rams of the model desi
g
n data with those of new data. The
Table 7.8 Monitorin
g
Model Calibration Usin
g
MSE
MSE Number of
Observations Number of
Events Traffic Light
MS
E m
odel
M
SE
y
ear
t
MS
E year
t
+ 1
t
M
SE
y
ear
t
+ 2
t
…
A
vera
g
e MSE period 1
A
verage M
S
E period 2
144
▸ANALYTI
CS
IN A BI
G
DATA W
O
RL
D
distances can then be statisticall
y
tested usin
g
, for exam
p
le, a
t
‐test.
t
One can also statisticall
y
com
p
are the intracluster similarit
y
with the
intercluster similarity using an F‐test to see whether reclustering is
needed.
Developing a Backtesting Framework
In order to setup a backtesting framework, one needs to decide on the
following:
■ Diagnose
b
ac
k
testing nee
d
s
■ Wor
k
out
b
ac
k
testing activities
■ Desi
g
n timetable for backtestin
g
activities
■ Specify tests and analyses to be performed
■ De ne actions to be taken in res
p
onse to ndin
g
s
■ Identif
y
wh
y
/what/who/how/when
All of the above should be described in a backtesting policy.
Fi
g
ure 7.2
p
resents an exam
p
le of a di
g
ital dashboard a
pp
lication that
could be develo
p
ed for backtestin
g
classi cation models. Note also that
qualitative checks are included that are based on a judgment made by
one or more business ex
p
erts. These sub
j
ective evaluations are consid-
ered to be ver
y
im
p
ortant.
Once a backtesting framework has been developed, it should be
com
p
lemented with an action
p
lan. This
p
lan will s
p
ecif
y
what to do
in res
p
onse to what ndin
g
of the backtestin
g
exercise. Fi
g
ure 7.3
gives an example of this. If the model calibration is okay, one can
continue to use the model. If not, one needs to verif
y
the model
discrimination or rankin
g
. If this is oka
y
, then the solution mi
g
ht be
to sim
p
l
y
recalibrate the
p
robabilities u
p
ward or downward usin
g
a sca
l
ing
f
actor. I
f
not, t
h
e next step is to c
h
ec
k
t
h
e
d
ata sta
b
i
l
ity. I
f
t
h
e
d
ata sta
b
i
l
it
y
is sti
ll
o
k
a
y
, one ma
y
consi
d
er twea
k
in
g
t
h
e mo
d
e
l
.
Note t
h
at t
h
is is,
h
owever, not t
h
at strai
gh
t
f
orwar
d
an
d
wi
ll
o
f
ten
b
oi
l
d
own to reestimating t
h
e mo
d
e
l
(as is t
h
e case w
h
en t
h
e
d
ata
stabilit
y
is not oka
y
)
.

ANALYTI
CS
: P
U
TTIN
G
IT ALL T
O
W
O
RK ◂
145
F
i
gure 7.2 A Backtesting Digital Dashboard
f
or Classi
cation Models
Level0:Data
Quantitative
RedYellowGreen
SSI(currentversus
trainingsample)
SSI<0.10 0.10< SSI<0.25 SSI>0.25
SSIattribute level SSI<0.10 0.10< SSI<0.25 SSI>0.25
t-test attributelevel p-value >0.10 p-valuebetween
0.10and0.01
p-value<0.01
Qualitative
NochangeCharacteristic
analysis
Moderate
change
Majorchange
Attributehistogram Noshift Moderateshift Majorshift
Level2:
Calibration
Quantitative
RedYellowGreen
significantNotBinomial
at95%level
Significantat
95%butnot at
99%level
Hosmer-Lemeshow Notsignificant
at95%level
Significantat
95%butnotat
99%level
Vasicek Notsignificant
at95%level
Significantat
95%butnotat
99%level
Significant at99%
level
Significant at99%
level
Significant at99%
level
Significant at99%
level
NotsignificantNormal
at95%level
Significantat
95%butnotat
99%level
Qualitative
Portfoliodistribution Minorshift Moderateshift Majorshift
UnderestimationOverestimationCorrectDifference
MinorstabilityPortfolio
migrations
Moderate
migrations
Majormigrations
Level1:
Discrimination
Quantitative
RedYellowGreen
AR differencewith
referencemodel
<5% Between5%
and 10%
>10%
AUCdifferencewith
referencemodel
<2.5% Between2.5%
and5%
>5%
Modelsignificance p-value <0.01 p-valuebetween
0.01and0.10
p-value>0.10
Qualitative
Preprocessing
(missingvalues,
outliers)
PartiallyConsidered
considered
Ignored
Coefficientsigns Allasexpected Minor
exceptions
exceptionsMajor
Numberofoverrides MajorModerateMinor
MinorissuesSufficientDocumentation Majorissues

146
▸ANALYTI
CS
IN A BI
G
DATA W
O
RL
D
BENCHMARKING
The idea of benchmarkin
g
is to com
p
are the out
p
ut and
p
erformance
of the anal
y
tical model with a reference model or benchmark. This is
needed as an extra validity check to make sure that the current analyt-
ical is the o
p
timal one to be used. The benchmark can be externall
y
or
internall
y
develo
p
ed. A
p
o
p
ular exam
p
le of an external benchmark in
credit risk modeling could be the FICO score. This is a credit score that
ran
g
es between 300 and 850 and is develo
p
ed b
y
Ex
p
erian, E
q
uifax,
and Transunion in the United States. It is often used as a benchmark to
compare application and/or behavioral credit scoring models. A closely
related score is the Vanta
g
e score, also available in the United States.
Credit ratin
g
a
g
encies (e.
g
., Mood
y
’s, S&P, and Fitch) could also be
considered as benchmarking partners. These agencies typically provide
in
f
ormation on cre
d
it ratings an
d
d
e
f
au
l
t pro
b
a
b
i
l
ities t
h
at are very
useful in a credit risk modelin
g
context.
Note t
h
at a
l
t
h
ou
gh
externa
l
b
enc
h
mar
k
in
g
ma
y
seem a
pp
ea
l
in
g
at
rst sig
h
t, one s
h
ou
ld
b
e aware o
f
potentia
l
pro
bl
ems,
f
or examp
l
e,
un
k
nown
q
ua
l
it
y
o
f
t
h
e externa
l
b
enc
h
mar
k
,
d
i
ff
erent un
d
er
ly
in
g
d
ata
sam
pl
es an
d
/or met
h
o
d
o
l
o
g
ies,
d
i
ff
erent tar
g
et
d
e
nitions, an
d
l
e
g
a
l
constraints. One s
h
ou
ld
a
l
so
b
e vigi
l
ant
f
or c
h
erry‐pic
k
ing, w
h
ere
b
y
Model
calibration
Model
discrimination
Continueusing
model
Datastability Recalibrate
model
Reestimate
model
Tweak
model
Okay
Not Okay
Okay
Not Okay
OkayNot Okay
Figure 7.3 Example Backtesting Action Plan

ANALYTI
CS
: PUTTIN
G
IT ALL T
O
W
O
RK ◂147
the external benchmark is selected so as to corres
p
ond as closel
y
as
p
ossible to the internal model.
The benchmark can also be internally developed, either statisti
-
cally or expert based. For example, one could benchmark a logis
-
tic regression model against a neural network benchmark to see
whether there are any signi cant nonlinearities in the data. If it
turns out that this is indeed the case, then nonlinear transforma-
tions and/or interaction terms can be added to the logistic regres
-
sion model to come as close as possible to the neural network per
-
formance. An ex
p
ert-based benchmark is a
q
ualitative model based
on expert experience an
d
/or common sense. An examp
l
e o
f
t
h
is
cou
ld
b
e an expert committee ran
k
ing a set o
f
sma
ll
‐ an
d
me
d
ium
‐
size
d
enterprises (SMEs) in terms o
f
d
e
f
au
l
t ris
k
b
y mere
l
y inspect
-
ing their balance sheet and nancial statement information in an
ex
p
ert‐based, sub
j
ective wa
y
.
When benchmarkin
g
, one commonl
y
ado
p
ts a cham
p
ion–
challenger approach. The current analytical model serves as the
cham
p
ion and the benchmark as the challen
g
er. The
p
ur
p
ose of the
challen
g
er is to nd the weaknesses of the cham
p
ion and to beat it.
Once the benchmark outperforms the champion, one could consider
makin
g
it the new cham
p
ion, and the old cham
p
ion then becomes the
new benchmark. The
p
ur
p
ose of this a
pp
roach is to continuousl
y
chal-
lenge the current model so as to continuously perfect it.
Po
p
ular a
g
reement statistics for benchmarkin
g
are S
p
earman’s
rank order correlation
,
Kendall’s τ
,
and the Goodman‐Kruskal γ
.
Spearman’s rank order correlation measures the degree to which a
monotonic relationshi
p
exists between the scores or ratin
g
s
p
rovided
b
y an internal scoring system and those from a benchmark. It starts by
assigning 1 to the lowest score, 2 to the second lowest score, and so
on. In case of tied scores, the avera
g
e is taken. S
p
earman’s rank order
corre
l
ation is t
h
en com
p
ute
d
as
f
o
ll
ows:
d
nn
s
i
i
n
∑
ρ=− −
=
16
(1)
2
1
2
w
h
ere
by
n
is t
h
e num
b
er o
f
o
b
servations an
d
d
i
the difference between
i
t
h
e scores. Spearman’s ran
k
or
d
er corre
l
ation a
l
ways ranges
b
etween
−1 (
p
er
f
ect
d
isa
g
reement) an
d
+1 (
p
er
f
ect a
g
reement).

14
8
▸ANALYTI
CS
IN A BI
G
DATA W
O
RL
D
K
e
n
da
ll’
s
τ works b
y
rst calculatin
g
the concordant and discor
-
dant
p
airs of observations. Two observations are said to be concor
-
dant if the observation that has a higher score assigned by the internal
model also has a higher score assigned by the external model. If there
is disagreement in the scores, then the pair is said to be discordant.
Note that if the pair is neither concordant nor discordant, it is tied,
meaning the two observations have identical scores assigned by the
internal model, or b
y
the benchmark, or b
y
both. Kendall’s τ is then
calculated as follo
w
s:
AB
nn
τ= −
−
1
2(1)
,
whereby
n
is the number of observations,
A
the number of concordant
pairs, an
d
B
t
h
e num
b
er o
f
d
iscor
d
ant pairs. Note t
h
at t
h
e
d
enomina-
tor gives a
ll
possi
bl
e pairs
f
or
n
o
b
servations. Ken
d
a
ll
’s τ is 1
f
or per
f
ect
agreement an
d
−1
f
or per
f
ect
d
isagreement.
Ken
d
a
ll
’s τ
b
asica
ll
y
l
oo
k
s at a
ll
possi
bl
e pairs o
f
o
b
servations. T
h
e
Goo
d
man‐Krus
k
a
l
γ wi
ll
on
l
y consi
d
er t
h
e untie
d
pairs (i.e., eit
h
er
concor
d
ant or
d
iscor
d
ant), as
f
o
ll
ows:
AB
AB
γ= −
+
T
h
e Goo
d
man‐Krus
k
a
l
γis +1 i
f
t
h
ere are no
d
iscor
d
ant pairs (per-
f
ect agreement), −1 i
f
t
h
ere are no concor
d
ant pairs (per
f
ect
d
isagree-
ment), an
d
0 i
f
t
h
ere are equa
l
num
b
ers o
f
concor
d
ant an
d
d
iscor
d
ant
pa
i
rs.
For examp
l
e, consi
d
er t
h
e examp
l
e in Ta
bl
e 7.9 .
Spearman’s ran
k
or
d
er corre
l
ation t
h
en
b
ecomes −0.025. T
h
e con
-
cor
d
ant pairs are as
f
o
ll
ows: C1,C3; C1,C4; C3,C4; C3,C5; an
d
C4,C5.
T
h
e
d
iscor
d
ant pairs are: C1,C2; C2,C3; C3,C4; an
d
C2,C5. T
h
e pair
C1,C5 is a tie. Ken
d
a
ll
’s
τ t
h
us
b
ecomes: (5 − 4)/10 or 0.1 an
d
t
h
e
G
oo
d
man‐Krus
k
a
l
γ
b
ecomes (5 − 4)/(5 + 4) or 0.11.
In case of disagreement between the current analytical model
and the benchmark, it becomes interestin
g
to see which is the best
model overall, or whether there are certain se
g
ments of observa
-
tions where either the internal model or benchmark proves to be
su
p
erior. Based on this anal
y
sis, it can be decided to further
p
erfect

ANALYTICS: PUTTING IT ALL TO WORK ◂
149
the current analytical model or simply proceed with the benchmark
as the new model.
DATA QUALITY
Cor
p
orate information s
y
stems consist of man
y
databases linked
b
y real-time and batch data feeds.
2
The databases are continuously
u
p
dated, as are the a
pp
lications
p
erformin
g
data exchan
g
e. This
d
y
namism has a ne
g
ative im
p
act on data
q
ualit
y
(DQ), which is ver
y
disadvantageous since DQ determines the value of the data to the ana
-
l
y
tical techni
q
ue. Information and communication technolo
gy
can be
used to further improve intrinsic value. Hence, high-quality data in
combination with good technology gives added value, whereas poor
-
q
ualit
y
data with
g
ood technolo
gy
is a bi
g
p
roblem (remember the
garbage in, garbage out idea discussed in Chapter 2 ). Decisions made
b
ased on bad data can create hi
g
h losses for com
p
anies. Poor DQ
im
p
acts or
g
anizations in man
y
wa
y
s. At the o
p
erational level, it has
an im
p
act on customer satis
f
action, increases o
p
erationa
l
ex
p
enses,
an
d
wi
ll
l
ea
d
to
l
owere
d
em
pl
o
y
ee
j
o
b
satis
f
action. Simi
l
ar
ly
, at t
h
e
strategic
l
eve
l
, it a
ff
ects t
h
e qua
l
ity o
f
t
h
e (ana
l
ytica
l
)
d
ecision ma
k-
in
g
p
rocess.
3
Poor DQ are o
f
ten ex
p
erience
d
in ever
yd
a
y
l
i
f
e. For exam
-
pl
e, t
h
e mista
k
en
d
e
l
iver
y
o
f
a
l
etter is o
f
ten associate
d
wit
h
Ta
bl
e 7.9 Example
f
or Calculating Agreement Statistics
Customer Internal
Credit Score FICO Rank Internal
Score
Rank
External
Score d
i
2
068
0
2
.
5
3
0.2
5
2
35
5
8
0
5
1
16
3
15
640
1
2
1
4
2
5
720
4
5
1
5
2
0
7
0
0
2
.
5
4
2.2
5
di
i
n
2
1
∑
=
2
0
.
5
1
50
▸ANALYTI
CS
IN A BI
G
DATA W
O
RL
D
malfunctionin
g
p
ostal services. However, one of the causes of this
mistaken deliver
y
can be an error in the address. Similarl
y
, two
similar emails sent to the same recipient can be an indication of a
duplication error.
Moreover, the magnitude of DQ problems is continuously growing
following the exponential increase in the size of databases. This cer-
tainly quali es DQ management as one of the most important business
challenges in today’s information‐based economy.
Data quality is often de ned as “ tness for use,” which implies
the relative nature of the conce
p
t.
4
Data with
q
ualit
y
for one use
may not
b
e appropriate
f
or anot
h
er use. For instance, t
h
e extent
to w
h
ic
h
d
ata is require
d
to
b
e comp
l
ete
f
or accounting tas
k
s may
not
b
e require
d
f
or ana
l
ytica
l
sa
l
es pre
d
iction tas
k
s. More genera
ll
y,
data that are of acceptable quality in one decision context may be
p
erceived to be of
p
oor
q
ualit
y
in another decision context, even
by
the same individual. This is mainl
y
because DQ is a multidi
-
mensional concept in which each dimension represents a single
as
p
ect or construct of data items and also com
p
rises both ob
j
ec
-
tive and sub
j
ective as
p
ects. Some as
p
ects are inde
p
endent while
others depend on the type of task and/or experience of the data
user. Therefore, it is useful to de ne D
Q
in terms of its dimensions.
Table 7.10 shows the different DQ dimensions, their cate
g
ories, and
de ni
t
ions.
5
Accurac
y
indicates whether the data stored are the correct val
-
ues. For exam
p
le if m
y
birthdate is Februar
y
27, 1975, for a data
-
b
ase that expects dates in USA format, 02/27/1975 is the correct
value. However, for a database that ex
p
ects a Euro
p
ean re
p
resen
-
tation
,
the date 02/27/1975 is incorrect
;
instead 27/02/1975 is the
correct value.
6
Another interestin
g
dimension concerns the com
p
leteness of data.
T
h
e com
pl
eteness
d
imension can
b
e consi
d
ere
d
f
rom
d
i
ff
erent
p
er-
s
p
ectives. Sc
h
ema com
pl
eteness re
f
ers to t
h
e extent to w
h
ic
h
entities
an
d
attri
b
utes are not
l
ac
k
ing
f
rom t
h
e sc
h
ema. Co
l
umn comp
l
eteness
veri
es w
h
et
h
er a co
l
umn o
f
a ta
bl
e
h
as missin
g
va
l
ues or not. Fina
lly
,
p
o
p
u
l
ation com
pl
eteness re
f
ers to t
h
e
d
e
g
ree to w
h
ic
h
mem
b
ers o
f
t
h
e popu
l
ation are not present. As an examp
l
e, popu
l
ation comp
l
ete-
ness is
d
e
p
icte
d
in Ta
bl
e 7.11 .
7

ANALYTI
CS
: P
U
TTIN
G
IT ALL T
O
W
O
RK ◂1
5
1
Ta
bl
e 7.10 Data Qua
li
ty D
i
mens
i
ons
Category Dimension Definition: The Extent to Which . . .
Intrinsi
c
A
ccurac
y
D
ata are re
g
ar
d
e
d
as correc
t
Believabilit
y
Data are accepted or re
g
arded as true, real, and
credibl
e
Objectivit
y
D
ata are un
bi
ase
d
an
d
i
mpart
i
a
l
Reputatio
n
Data are trusted or highly regarded in terms o
f
their
s
ource an
d
conten
t
Co
nt
e
xt
ual
Va
l
ue
‐
added
Data are bene cial and provide advanta
g
es for
t
heir us
e
C
ompletenes
s
D
ata va
l
ues are presen
t
R
e
l
evanc
y
Data are a
pp
licable and use
f
ul
f
or the task at han
d
A
ppropr
i
ate
a
m
ou
nt
of
da
t
a
T
he quantity or volume o
f
available data is appropriat
e
Re
p
resentat
i
ona
l
I
nter
p
reta
bili
t
y
D
ata are
i
n appropr
i
ate
l
anguage an
d
un
i
t an
d
t
h
e
d
ata de
nitions are clear
E
ase
of
un
d
erstan
di
n
g
Data are clear without ambiguity and easily
com
p
re
h
en
d
e
d
Access
i
b
i
l
i
t
y
Accessibilit
y
Data are available or easil
y
and
q
uickl
y
retrieve
d
S
ecurit
y
A
ccess to data can be restricted and hence kept
secu
r
e
Table 7.11 Po
p
ulation Com
p
leteness
ID Name Surname Birth Date Email
1
Mo
n
ica
S
mit
h
0
4
/
1
0/
1
9
7
8
s
mith
@abc
.i
t
2
Y
u
ki
T
usno
da
04
/
03
/
196
8
N
u
ll
a
3
Rose
Da
v
id
0
2
/0
1
/
1
937
Null
b
4
J
o
hn
Ed
war
d
1
4/12/195
5
N
u
ll
c
a
N
ot ex
i
st
i
ng
b
E
x
i
st
i
ng
b
ut un
k
nown
c
Not known i
f
existing
152
▸ANALYTI
CS
IN A BI
G
DATA W
O
RL
D
Tu
p
le 2: Since the
p
erson re
p
resented b
y
tu
p
le 2 has no email
address, we can sa
y
that the tu
p
le is com
p
lete.
Tuple 3: Since the person represented by tuple 3 has an email, but
its value is not known, we can say that the tuple is incomplete.
Tuple 4: If we do not know the person represented by tuple 4 has
an email or not, incompleteness may not be the case.
A next data quality dimension is believability, which is the extent
to which data is regarded as true and credible.
Accessibility refers to how easy the data can be located and
retrieve
d
. From a
d
ecision ma
k
ing viewpoint, it is important t
h
at t
h
e
d
ata can
b
e accesse
d
an
d
d
e
l
ivere
d
on time, so as to not nee
dl
ess
l
y
d
e
l
a
y
im
p
ortant
d
ecisions.
The dimension of consistenc
y
can be considered from various
p
er
-
spectives. A rst example is the presence of redundant data (e.g. name,
address, …) in multi
p
le data sources.
Another
p
ers
p
ective is the consistenc
y
between related data attri-
b
utes. For example, city name and zip code should be corresponding.
Another consistenc
y
p
ers
p
ective concerns the data format used. For
exam
p
le,
g
ender can be encoded as male/female, M/F, or 0/1. It is of
key importance that a uniform coding scheme is adopted so as to have
a consistent cor
p
orate wide data re
p
resentation.
The timeliness dimension re ects how u
p
‐to‐date the data is with
respect to the task for which it is used.
There are different DQ
p
roblem causes such as:
■ Multiple data sources: Multiple sources of the same data may
produce duplicates; a consistency problem.
■ Subjective judgment: Subjective judgment can create data bias;
ob
j
ectivit
y
p
roblem.
■ Limite
d
com
p
utin
g
f
aci
l
ities: Lac
k
o
f
su
f
cient com
p
utin
g
f
aci
l
i
-
ties
l
imits
d
ata access; accessi
b
i
l
it
y
p
ro
bl
em.
■ Size o
f
d
ata: Bi
g
d
ata can
g
ive
h
i
gh
res
p
onse times; accessi
b
i
l
it
y
p
ro
bl
em.
Data qua
l
ity can
b
e improve
d
t
h
roug
h
a tota
l
d
ata qua
l
ity manage
-
ment
p
ro
g
ram. It consists o
f
t
h
e
f
our
ph
ases, as s
h
own in Fi
g
ure 7.4 .
8

ANALYTI
CS
: P
U
TTIN
G
IT ALL T
O
W
O
RK ◂
153
SOFTWARE
Different t
yp
es of software can be used for doin
g
anal
y
tics. A rst dis
-
tinction can be made between open source and commercial software.
Po
p
ular o
p
en source anal
y
tical workbenches are Ra
p
idMiner (for-
merl
y
Yale), R, and Weka. Es
p
eciall
y
the latter has
g
ained in im
p
or
-
tance and usage nowadays. In the commercial area, SAS, SPSS, Mat-
lab, and Microsoft are well‐known vendors of anal
y
tical software.
Man
y
of these vendors actuall
y
p
rovide anal
y
tical solutions tar
g
eted
at speci c industries (e.g., churn prediction in telco, fraud detection
in insurance) and hereb
y
p
rovide full covera
g
e of the whole ran
g
e of
anal
y
tical activities needed in the s
p
eci c business settin
g
.
Table 7.12
p
resents an overview of a KDnu
gg
ets
p
oll askin
g
about
so
f
tware use
d
in 2012 an
d
2013.
Base
d
on Ta
bl
e 7.12 , it can
b
e conc
l
u
d
e
d
t
h
at Rapi
d
Miner an
d
R,
two open source so
f
tware so
l
utions, are t
h
e most popu
l
ar too
l
s
f
or
ana
l
ytics. T
h
e
d
istinction
b
etween open source an
d
commercia
l
is get-
ting more an
d
more
d
i
f
cu
l
t to ma
k
e, since ven
d
ors
l
i
k
e Rapi
d
Miner
h
ave a
l
so starte
d
provi
d
ing commercia
l
versions o
f
t
h
eir so
f
tware.
Fi
g
ure 7.4 Data Qualit
y
Mana
g
ement Pro
g
ram
• Analyze• Improve
• Assess• Define
Identifying
importantDQ
dimensions
Assessing/
measuringDQ
levelusingthe
importantDQ
dimensions
Investigating
DQproblems
andanalyzing
theirmajor
causes
Suggesting
improvement
actions

1
54
▸
A
NALYTI
CS
IN A BI
G
DATA W
O
RL
D
Table 7.12 Results o
f
KDnuggets Poll on So
f
tware Tools Used in Analytics in 2012 and 2013.
Legend: Bold: Free/Open Source tools
Normal case: Commercial tools First bar: % users in 2013
Second bar: % users in 2012
Rapid‐I RapidMiner/RapidAnalytics free
editi
on
(
737
)
, 30.9% a
l
on
e
39.2%
26.7%
R
(
704
)
, 6.5% alone 37.4
%
30.7%
E
xce
l
(
527
)
, 0.9% a
l
on
e
28.0%
29
.
8%
Weka/Pentaho
(
269
)
, 5.6% a
l
on
e
14.3
%
14
.
8%
P
y
thon with an
y
of num
py
/sci
py/
pandas/iPython package
s
(
250
)
, 0% a
l
one
13.3
%
14.9
%
Ra
p
id‐I Ra
p
idAnal
y
tics/Ra
p
idMiner
Commercial Edition (225), 52.4% alon
e
12.
0%
SAS (202), 2.0% alon
e
10
.7
%
12
.7
%
MATLAB
(
186
)
, 1.6% alone 9.9
%
1
0
.
0%
S
tat
S
oft
S
tatistica (170), 45.9% alon
e
9
.
0%
14
.
0%
IBM
S
P
SS
S
tatistics (164), 1.8% alon
e
8.7
%
7.8
%
Microsoft
SQ
L
S
erver (131), 1.5% alon
e
7.
0%
5
.
0%
Tableau (118), 0% alon
e
6
.
3%
4
.
4%
IBM
S
P
SS
Modeler
(
114
)
, 6.1% alon
e
6
.
1%
6
.
8%
KNIME
f
ree editio
n
(
110
)
, 1.8% a
l
one 5.
9%
21.8
%
SAS Enterprise Miner (110), 0% alon
e
5
.
9%
5
.
8%
Rattl
e
(84), 0% alone
4
.
5%
JMP
(
77
)
, 7.8% a
l
on
e
4
.
1%
4.
0%
Oran
ge
(
67
)
, 13.4% a
l
one
3
.
6%
5.3
%
O
ther
f
ree analytics
/
data mining
so
ftw
a
r
e
(
64
)
, 3.1% alon
e
3
.4
%
4.
9%
G
nu Octav
e
(
54
)
, 0% a
l
on
e
2
.
9%
Source:
www.kdnuggets.com/polls/2013/analytics‐big‐data‐mining‐data‐science‐software.html.
:
ANALYTI
CS
: PUTTIN
G
IT ALL T
O
W
O
RK ◂1
55
In addition, Microsoft Excel is still
q
uite
p
o
p
ular for doin
g
anal
y
tics.
The avera
g
e number of tools used was 3.
PRIVACY
The introduction of new technology, such as data analytics, brings
new privacy concerns. Privacy issues can arise in two ways.
9
First, data
about individuals can be collected without these individuals being
aware of it. Second, people may be aware that data is collected about
them, but have no sa
y
in how the data is bein
g
used. Furthermore, it
is important to note t
h
at
d
ata ana
l
ytics
b
rings extra concerns regar
d
ing
privacy as compare
d
to simp
l
e
d
ata co
ll
ection an
d
d
ata retrieva
l
f
rom
d
ata
b
ases.
Data analytics entails the use of massive amounts of data—possibly
combined from several sources, includin
g
the Internet—to mine for
hidden
p
atterns. Hence, this technolo
gy
allows for the discover
y
of
previously unknown relationships without the customer and com-
p
an
y
bein
g
able to antici
p
ate this knowled
g
e. Consider an exam
p
le in
which three inde
p
endent
p
ieces of information about a certain cus-
tomer lead to the customer being classi ed as a long‐term credit risk,
whereas the individual
p
ieces of information would never have led to
this conclusion. It is exactl
y
this kind of discover
y
of hidden
p
atterns
that forms an additional threat to citizens’ privacy.
Moreover,
p
revious work has shown that it is
p
ossible to construct
p
artial
p
ro les of a
p
erson b
y
crawlin
g
the web for small amounts of
nonsensitive information that is publicly available; often this informa
-
tion is voluntaril
y
p
ublished b
y
individuals throu
g
h social networkin
g
si
t
es.
1
0
Also, the individual pieces of nonsensitive information are not
harmful for one’s privacy. However, when all information is aggre
-
g
ated into a
p
artial
p
ro le, this information can be used for crimi-
na
l
activities—suc
h
as sta
lk
in
g
,
k
i
d
na
pp
in
g
, i
d
entit
y
t
h
e
f
t,
ph
is
h
in
g
,
scams—or
f
or
d
irect mar
k
etin
g
by
l
e
g
itimate com
p
anies. It is a
g
ain
important to note t
h
at t
h
is use o
f
d
ata is not anticipate
d
b
y citizens,
h
ence
p
rivac
y
issues arise.
As i
ll
ustrate
d
by
t
h
e
p
revious exam
pl
es,
d
ata ana
ly
tics is more t
h
an
just
d
ata co
ll
ection an
d
in
f
ormation retrieva
l
f
rom vast
d
ata
b
ases. T
h
is
is reco
g
nize
d
by
t
h
e
d
e
nition o
f
d
ata minin
g
in severa
l
g
overnment
1
56
▸ANALYTI
CS
IN A BI
G
DATA W
O
RL
D
re
p
orts. For exam
p
le, the U.S. Government Accountabilit
y
Of ce
11
de ned data minin
g
as:
the application of database technology and techniques—
such as statistical analysis and modeling—to uncover hidden
patterns and subtle relationships in data and to infer rules
that allow for the prediction of future results.
In the August 2006 Survey of DHS Data Mining Activities, the
Department of Homeland Security (DHS) Of ce of the Inspector Gen-
eral (OIG) de ned data minin
g
as:
1
2
t
h
e process o
f
k
now
l
e
d
ge
d
iscovery, pre
d
ictive mo
d
e
l
ing,
an
d
ana
l
ytics. Tra
d
itiona
ll
y, t
h
is invo
l
ves t
h
e
d
iscovery o
f
patterns an
d
re
l
ations
h
ips
f
rom structure
d
d
ata
b
ases o
f
his
t
orical occurrences.
Several other de nitions have been given, and generally these def
-
initions im
p
l
y
the discover
y
of hidden
p
atterns and the
p
ossibilit
y
for
p
redictions. Thus, sim
p
l
y
summarizin
g
historical data is not considered
data mining.
There are several re
g
ulations in
p
lace in order to
p
rotect an individ
-
ual’s
p
rivac
y
. The Fair Information Practice Princi
p
les (FIPPs), which
were stated in a report of the U.S Department of Health, Education
and Welfare in 1973
,
1
3
have served as the main ins
p
iration for the Pri
-
vac
y
Act of 1974. In 1980, the Or
g
anization for Economic Coo
p
eration
and Development (OECD) de ned its “Guidelines on the Protection of
Privac
y
and Transborder Flows of Personal Data.” The followin
g
basic
principles are de ned to safeguard privacy:
14
■ Collection limitation principle: Data collection should be done
lawfull
y
and with knowled
g
e and consent of the data sub
j
ect.
■ Data
q
ualit
y
p
rinci
p
le: The data should be relevant for the
p
ur
-
p
ose it is collected for, accurate, com
p
lete, and u
p
‐to‐date.
■ Pur
p
ose s
p
eci
cation
p
rinci
pl
e: T
h
e
p
ur
p
oses o
f
t
h
e
d
ata s
h
ou
ld
b
e speci
e
d
b
e
f
ore
d
ata co
ll
ection an
d
t
h
e use s
h
ou
ld
b
e
l
imite
d
to t
h
ese
p
ur
p
oses.
■ Use
l
imitation princip
l
e: T
h
e
d
ata s
h
ou
ld
not
b
e use
d
f
or ot
h
er
p
ur
p
oses t
h
an s
p
eci
e
d
, neit
h
er s
h
ou
ld
it
b
e
d
isc
l
ose
d
to ot
h
er
ANALYTI
CS
: PUTTIN
G
IT ALL T
O
W
O
RK ◂1
5
7
p
arties without consent of the data sub
j
ect (or b
y
the authorit
y
of law
)
.
■ Safet
y
safe
g
uards
p
rinci
p
le: The data should be
p
rotected a
g
ainst
risks of loss
,
unauthorized access
,
use
,
modi cation
,
or disclo-
sure of data.
■ Openness principle: There should be a policy of openness about
the developments, practices, and policies with respect to per-
sonal data.
■ Individual participation principle: An individual has the right
to o
b
tain con
rmation w
h
et
h
er
d
ata exists a
b
out
h
im or
h
er, to
receive t
h
e
d
ata, to c
h
a
ll
enge
d
ata re
l
ating to
h
im or
h
er an
d
to
h
ave it erase
d
or comp
l
ete
d
s
h
ou
ld
t
h
e c
h
a
ll
enge
b
e success
f
u
l
.
■ Accountability principle: A data controller can be held account
-
able for com
p
liance with the above
p
rinci
p
les.
These
g
uidelines are widel
y
acce
p
ted, have been endorsed b
y
the
U.S. Department of Commerce, and are the foundation of privacy laws
in man
y
other countries (e.
g
., Australia, Bel
g
ium).
Given the increasin
g
im
p
ortance and awareness of
p
rivac
y
in
the context of analytics, more and more research is being conducted
on
p
rivac
y
p
reservin
g
data minin
g
al
g
orithms. The
p
arties that are
t
yp
icall
y
involved are: the record owner, the data
p
ublisher, and
the data recipient.1
5
A data publisher can be untrusted, in which case
the collection of records needs to be done anon
y
mousl
y
. When the
data
p
ublisher is trusted, the record owners are willin
g
to share their
information with the data publisher, but not necessarily with third
p
arties, and it is necessar
y
to anon
y
mize the data. This can be further
complicated when the data publisher is a nonexpert in the sense that
he or she is not aware that (and how) the data recipient can mine
t
he da
t
a.
T
h
e
p
rivac
y
o
f
an in
d
ivi
d
ua
l
is
b
reac
h
e
d
w
h
en an attac
k
er can
l
earn an
y
t
h
in
g
extra a
b
out a recor
d
owner,
p
ossi
bly
wit
h
t
h
e
p
res
-
ence o
f
any
b
ac
k
groun
d
k
now
l
e
d
ge
f
rom ot
h
er sources.
1
6
Consi
d
er an
exam
pl
e in w
h
ic
h
ex
pl
icit i
d
enti
ers are remove
d
f
rom a
d
ata set,
b
ut
t
h
ere is a com
b
ination o
f
a num
b
er o
f
varia
bl
es (e.
g
., a
g
e, zi
p
co
d
e,
gen
d
er), w
h
ic
h
serves as a quasi‐i
d
enti
er (QID). T
h
is means t
h
at it
is
p
ossi
bl
e to
l
in
k
t
h
e recor
d
owner,
by
means o
f
t
h
e QID, to a recor
d

158
▸ANALYTI
CS
IN A BI
G
DATA W
O
RL
D
owner in another data set. To
p
reserve
p
rivac
y
, there should be several
recor
d
s in t
h
e
d
ata set wit
h
t
h
e same QID.
T
h
ere are severa
l
c
l
asses o
f
met
h
o
d
s to anonymize
d
ata.
1
7
A
rs
t
c
l
ass o
f
met
h
o
d
s is genera
l
ization an
d
suppression. T
h
ese met
h
o
d
s wi
ll
remove information from the quasi‐identi ers, until the records are
not individually identi able, as illustrated in Figure 7.5
.
Another
g
rou
p
of techni
q
ues consists of anatomization and
p
er
-
mutation, which groups and shuf es sensitive values within a QID
group, in order to remove the relationship between the QID and sensi-
tive attributes. Perturbation methods chan
g
e the data b
y
addin
g
noise,
swapping values, creating synthetic data, and so forth, based on the
statistical
p
ro
p
erties of the real data.
18
MODEL DESIGN AND DOCUMENTATION
Some exam
p
le
q
uestions that need to be answered from a model
design perspective are:
■ When was the model desi
g
ned, and b
y
who?
■ What is the perimeter of the model (e.g., counterparty types,
g
eo
g
ra
p
hical re
g
ion, industr
y
sectors)?
■ What are the stren
g
ths and weaknesses of the model?
■ What data were used to build the model? How was the sam
p
le
constructe
d
? W
h
at is t
h
e time
h
orizon o
f
t
h
e sam
pl
e?
■ Is
h
uman
j
u
dg
ment use
d
, an
d
h
ow?
It is im
p
ortant t
h
at a
ll
o
f
t
h
is is a
pp
ro
p
riate
ly
d
ocumente
d
. In
f
act,
a
ll
steps o
f
t
h
e mo
d
e
l
d
eve
l
opment an
d
monitoring process s
h
ou
ld
b
e
a
d
e
q
uate
ly
d
ocumente
d
. T
h
e
d
ocumentation s
h
ou
ld
b
e trans
p
arent
Age Gender Zip Code Age Gender
26 M 836** 2* M
23 M 836** 2* M
Zip Code
83661
83659
83645 58 F 836** 5* F
Example of Generalization and Suppression to Anonymize Data
ANALYTI
CS
: P
U
TTIN
G
IT ALL T
O
W
O
RK ◂
159
and com
p
rehensive. It is advised to use document mana
g
ement s
y
s-
tems with a
pp
ro
p
riate versionin
g
facilities to kee
p
track of the differ-
ent versions of the documents. An ambitious goal here is to aim for a
documentation test, which veri es whether a newly hired analytical
team could use the existing documentation to continue development
or production of the existing analytical model(s).
CORPORATE GOVERNANCE
From a corporate governance perspective, it is also important that the
owners
h
ip o
f
t
h
e ana
l
ytica
l
mo
d
e
l
s is c
l
ear
l
y c
l
aime
d
. A goo
d
practice
h
ere is to
d
eve
l
op mo
d
e
l
b
oar
d
s t
h
at ta
k
e
f
u
ll
responsi
b
i
l
ity o
f
one
or more ana
l
ytica
l
mo
d
e
l
s in terms o
f
t
h
eir
f
unctioning, interpreta
-
tion, and follow-u
p
. Also, it is of ke
y
im
p
ortance that the board of
directors and senior mana
g
ement are involved in the im
p
lementa
-
tion and monitoring processes of the analytical models developed.
Of course, one cannot ex
p
ect them to know all underl
y
in
g
technical
details, but the
y
should be res
p
onsible for sound
g
overnance of the
analytical models. Without appropriate management support, analyti
-
cal models are doomed to fail. Hence, the board and senior mana
g
e
-
ment should have a
g
eneral understandin
g
of the anal
y
tical models.
They should demonstrate active involvement on an ongoing basis,
assi
g
n clear res
p
onsibilities, and
p
ut into
p
lace or
g
anizational
p
roce-
dures and
p
olicies that will allow the
p
ro
p
er and sound im
p
lementa
-
tion and monitoring of the analytical models. The outcome of the
monitorin
g
and backtestin
g
exercise must be communicated to senior
management and, if needed, accompanied by appropriate (strategic)
response. Given the strategic importance of analytical models nowa
-
da
y
s, one sees a stron
g
need to add a Chief Anal
y
tics Of cer (CAO) to
the board of directors to oversee analytic model development, imple-
mentation, and monitorin
g
.
NOTES
1. E. Lima, C. Mues, an
d
B. Baesens, “Monitorin
g
an
d
Bac
k
testin
g
C
h
urn Mo
d
e
l
s,”
Expert Systems wit
h
App
l
ication
s
38, no. 1 (2010): 975–982; G. Castermans et a
l
., “An
Overview an
d
Framewor
k
f
or PD Bac
k
testing an
d
Benc
h
mar
k
ing.” Specia
l
issue,
Journa
l
o
f
t
h
e O
p
erationa
l
Researc
h
Societ
y
61 (2010): 359–373.

160
▸ANALYTI
CS
IN A BI
G
DATA W
O
RL
D
2. H. T. Mo
g
es et a
l
., “A Mu
l
ti
d
imensiona
l
Ana
ly
sis o
f
Data Qua
l
it
y
f
or Cre
d
it Ris
k
Mana
g
ement: New Insi
g
hts and Challen
g
es,”
I
nformation and Management, 50:1
,
43–58
,
2014.
3. A. Maydanchik,
Data Quality Assessment
(Bradley Beach, NJ: Technics Publications,
t
2007), 20–21.
4. R. Y. Wang and D. M. Strong, “Beyond Accuracy: What Data Quality Means to Data
Consumers,” Journal of Management Information Systems 12, no. 4 (1996): 5–33.
5. Ibid.
6. Y. W. Lee, L. L. Pipino, J. D. Funk, and R. Y. Wang,
J
ourney to Data Quality (London:
MIT Press, 2006
)
, 67–108.
7. C. Batini and M. Scannapieco,
D
ata Quality: Concepts, Methodologies and Techniques
(New York: Springer, 2006), 20–50.
8. G. Shankaranarayanan, M. Ziad, and R. Y. Wang, “Managing Data Quality in
Dynamic Decision Environments: An Information Product Approach,”
J
ournal of
Database Management
14, no. 4
(
2003
)
: 14–32.
t
9. H. T. Tavani, “Informational Privacy, Data Mining, and the Internet,” Ethics and Infor-
mation Tec
h
no
l
og
y
1, no. 2
(
1999
)
: 137–145.
10. M. Pontual et al., “The Privac
y
in the Time of the Internet: Secrec
y
vs Trans
p
arenc
y
,”
in
Proceedin
g
s of the Second ACM Conference on Data and Application Security and Privacy
(ACM, 2012), ACM, New York, US, 133–140.
11. U.S. General Accountin
g
Of ce (GAO), “Data Minin
g
: Federal Efforts Cover a Wide
Ran
g
e of Uses,” GAO‐04‐548 (Ma
y
2004), www.
g
ao.
g
ov/new.items/d04548.
p
df.
12. U.S. De
p
artment of Homeland Securit
y
, Surve
y
of DHS Data Minin
g
Activities,
Au
g
ust 2006.
13. The re
p
ort is entitled “Records, Com
p
uters and the Ri
g
hts of Citizens.”
14. The documentation can be found at www.oecd.or
g
/internet/ieconom
y
/oecd
g
uideli
nesonthe
p
rotectionof
p
rivac
y
andtransborder owsof
p
ersonaldata.htm.
15. B. Fun
g
et al., “Privac
y
‐Preservin
g
Data Publishin
g
: A Surve
y
of Recent Develo
p-
ments
,
”
ACM Computing Surveys (CSUR)
42, no. 4
(
2010
)
: 14.
16. T. Dalenius, “Findin
g
a Needle in a Ha
y
stack—or Identif
y
in
g
Anon
y
mous Census
Record
,
J
ournal o
f
O
f
cial Statistics 2, no. 3
(
1986
)
: 329–336.
17. B. Fun
g
et al., “Privac
y
‐Preservin
g
Data Publishin
g
: A Surve
y
of Recent Develo
p-
ments
,
”
ACM Computing Surveys (CSUR)
42, no. 4
(
2010
)
: 14.
18. For more details about the s
p
eci c techni
q
ues, the reader is referred to overview
papers such as J. Wang et al., “A Survey on Privacy Preserving Data Mining,” in
F
irst
International Workshop on Database Technolo
g
y and Applications (IEEE, Washin
g
ton, DC,
US, 2009), 111–114; and B. Fun
g
et al., “Privac
y
‐Preservin
g
Data Publishin
g
: A Sur
-
vey of Recent Developments,”
ACM Computing Surveys (CSUR)
42, no. 4 (2010): 14.

16
1
C
HAPTER
8
Example
Applications
A na
ly
tics is
h
ot an
d
is
b
ein
g
a
ppl
ie
d
in a wi
d
e variet
y
o
f
settin
g
s.
Wit
h
out c
l
aiming to
b
e ex
h
austive, in t
h
is c
h
apter, we wi
ll
b
rie
y
zoom into some
k
e
y
a
ppl
ication areas. Some o
f
t
h
em
h
ave
b
een
aroun
d
f
or
q
uite some time, w
h
ereas ot
h
ers are more recent.
CREDIT RISK MODELING
T
h
e intro
d
uction o
f
com
pl
iance
g
ui
d
e
l
ines suc
h
as Base
l
II/Base
l
III
h
as
rein
f
orce
d
t
h
e interest in cre
d
it scorecar
d
s. Di
ff
erent t
yp
es o
f
ana
ly
tica
l
mo
d
e
l
s wi
ll
b
e
b
ui
l
t in a cre
d
it ris
k
setting.
1
A
rst examp
l
e are app
l
ica-
tion scorecar
d
s. T
h
ese are mo
d
e
l
s t
h
at score cre
d
it a
ppl
ications
b
ase
d
on t
h
eir cre
d
itwort
h
iness. T
h
e
y
are t
yp
ica
lly
constructe
d
by
ta
k
in
g
two
snaps
h
ots o
f
in
f
ormation: app
l
ication an
d
cre
d
it
b
ureau in
f
ormation
at
l
oan ori
g
ination an
d
d
e
f
au
l
t status in
f
ormation 12 or 18 mont
h
s
a
h
ea
d
. T
h
is is i
ll
ustrate
d
in Fi
g
ure 8.1 .
Ta
bl
e 8.1 provi
d
es an examp
l
e o
f
an app
l
ication scorecar
d
.
Lo
g
istic re
g
ression is a ver
y
p
o
p
u
l
ar a
ppl
ication scorecar
d
construction
techni
q
ue due to its sim
p
licit
y
and
g
ood
p
erformance.
2
For
t
he scorecard
in Table 8.1 , the followin
g
lo
g
istic re
g
ression with WOE codin
g
was used:
P Customer good age employment salary
eWOE WOE WOE
age employment salary
(|,,)
1
101 2 3
=
=+
()
− β +β +β +β

162
▸ANALYTI
CS
IN A BI
G
DATA W
O
RL
D
Typically, the model will then be re‐expressed in terms of the log
odds
,
as follows:
=
=
⎛
⎝
⎜⎞
⎠
⎟
=β +β +β +β
P Customer good age employment salary
P Customer bad age employment salary
WOE WOE WOE
age employment salary
log (|,,)
(|,,)
01 2 3
One then commonl
y
a
pp
lies a scorecard scalin
g
b
y
calculatin
g
a
score as a linear function of the lo
g
odds, as follows:
=+Score offset factor *log(odds)
Ta
bl
e 8.1 Examp
l
e App
li
cat
i
on Scorecar
d
Characteristic Name Attribute Points
A
ge
1
Up
to 2
6
1
0
0
A
ge
2
26
−
3
5
1
2
0
A
ge
3
35
−
3
7
185
Ag
e
4
3
7
+
2
2
5
Employment status
1
E
mploye
d
90
E
m
pl
o
y
ment status
2
U
nem
pl
o
y
e
d
180
S
alar
y
1
Up
to 50
0
1
2
0
S
alar
y
2
501
−
1
,
000
1
4
0
S
alary
3
1,00
1
−
1,50
0
1
6
0
S
alary
4
1,50
1
−
2
,00
0
2
0
0
S
alary
5
2,00
1
+
240
Fi
g
ure 8.1 Constructin
g
a Data Set for Application Scorin
g
Age
Income
Marital status
Savings amount
….
Bureau score
Delinquency history
Number of bureau checks
Number of outstanding credits
….
Application
Data
Credit
Bureau
Data
Snapshot 2Snapshot 1
t0t18
Good or Bad Payer?

EXAMPLE APPLICATION
S
◂1
63
Assume that we want a score of 600 for odds of 50:1
,
and a score
of 620 for odds of 100:1. This
g
ives the followin
g
:
=+600 offset factor * log(50)
=+620 offset factor * log(100)
The offset and factor then become
:
factor 20/ln 2=()
=−offset 600 factor * ln(50)
Once t
h
ese va
l
ues are
k
nown, t
h
e score
b
ecomes:
∑
=β+β
⎛
⎝
⎜⎞
⎠
⎟+
=
WOE
i
N
ii
Score ( * ) * factor offset
1
0
∑
=β+
β
⎛
⎝
⎜⎞
⎠
⎟
⎛
⎝
⎜⎞
⎠
⎟+
=
WOE N
ii
i
N
Score * * factor offset
0
1
∑
=β+
β
⎛
⎝
⎜⎞
⎠
⎟+
⎛
⎝
⎜⎞
⎠
⎟
=
WOE NN
ii
i
N
Score * * factor offset
0
1
Hence, the
p
oints for each attribute are calculated b
y
multi
p
l
y
in
g
the
wei
g
ht of evidence of the attribute with the re
g
ression coef cient of the
characteristic, then adding a fraction of the regression intercept, multi
-
p
l
y
in
g
the result b
y
the factor, and nall
y
addin
g
a fraction of the offset.
In addition to a
pp
lication scorecards, behavioral scorecards are
also typically constructed. These are analytical models that are used
to score the default behavior of an existin
g
p
ortfolio of customers. On
top of the application characteristics, behavioral characteristics, such
as trends in account balance or bureau score, delinquency history,
credit limit increase/decrease, and address chan
g
es, can also be used.
Because behavioral scorecards have more data available than applica-
tion scorecards, their
p
erformance (e.
g
., measured usin
g
AUC) will be
hi
g
her. Next to debt
p
rovisionin
g
, behavioral scorecards can also be
use
d
f
or mar
k
etin
g
(e.
g
., u
p
/
d
own/cross‐se
ll
in
g
) an
d
/or
p
roactive
d
e
b
t
co
ll
ection. Fi
g
ure 8.2
g
ives an exam
pl
e o
f
h
ow a
d
ata set
f
or
b
e
h
aviora
l
scoring is typica
ll
y constructe
d
.
Bot
h
a
ppl
ication an
d
b
e
h
aviora
l
scorecar
d
s are t
h
en use
d
to ca
l-
cu
l
ate t
h
e
p
ro
b
a
b
i
l
it
y
o
f
d
e
f
au
l
t (PD)
f
or a
p
ort
f
o
l
io o
f
customers. T
h
is

164
▸
A
NALYTI
CS
IN A BI
G
DATA W
O
RL
D
is done b
y
rst se
g
mentin
g
the scores into risk ratin
g
s and then cal-
culatin
g
a historicall
y
observed default rate for each ratin
g
, which is
then used to project the probability of default (PD) for (typically) the
u
p
comin
g
y
ear. Fi
g
ure 8.3
g
ives an exam
p
le of how credit risk models
are commonl
y
a
pp
lied in man
y
bank settin
g
s.
3
F
i
gure 8.2 Constructing a Data Set
f
or Behavioral Scoring
3000
2500
2000
1500
1000
500
0
0
Checking account
246
Month
81012
800
750
700
650
600
550
500
0
Bureau score
246
Month
81012
t0t12
Observation
Point
Good/Bad?
Snapshot
t24
Number of products purchased
Number of times changed home address
Delinquency history (all credits)
…
Fi
g
ure 8.3 Three Level Credit Risk Model
EXAMPLE APPLI
C
ATI
O
N
S
◂1
65
Ot
her measures
t
ha
t
need
t
o be calcula
t
ed in credi
t
risk model
-
in
g
are the loss
g
iven default (LGD) and ex
p
osure at default (EAD).
LGD measures the economic loss expressed as a percentage of the
outstanding loan amount and is typically estimated using linear regres
-
sion or regression trees. EAD represents the outstanding balance for
on‐ balance sheet items (e.g., mortgages, installment loans). For off‐
b
alance sheet items (e.g., credit cards, credit lines), the EAD is typically
calculated as follows: EAD
=
DRAW
N
+ CCF * (LIMIT−DRAWN),
whereby DRAWN represents the already drawn balance, LIMIT the
credit limit, and CCF the credit conversion factor, which is ex
p
ressed
as a percentage
b
etween 0 an
d
1. CCF is typica
ll
y mo
d
e
l
e
d
using eit
h
er
averages,
l
inear regression, or regression trees.
Once t
h
e PD, LGD, an
d
EAD
h
ave
b
een estimate
d
, t
h
ey wi
ll
b
e
input into a capital requirements formula provided in the Basel II/III
accord, calculatin
g
the necessar
y
amount of ca
p
ital needed to
p
rotect
a
g
ainst unex
p
ected losses.
FRAUD DETECTION
Fraud detection comes in many avors. Typical examples for which
fraud detection is relevant are: credit card fraud
,
insurance claim
fraud, mone
y
launderin
g
, tax evasion,
p
roduct warrant
y
fraud, and
click fraud. A rst important challenge in fraud detection concerns
the labelin
g
of the transactions as fraudulent or not. A hi
g
h sus
p
i-
cion does not mean absolute certaint
y
, althou
g
h this is often used to
do the labeling. Alternatively, if available, one may also rely on court
j
ud
g
ments to make the decision.
Supervised, unsupervised, and social network learning can be used
for fraud detection. In supervised learning, a labeled data set with fraud
transactions is available. A common
p
roblem here is the skewness of
t
h
e
d
ata set
b
ecause t
yp
ica
lly
on
ly
a
f
ew transactions wi
ll
b
e
f
rau
d
u
l
ent.
Hence, a
d
ecision tree a
l
rea
dy
starts
f
rom a ver
y
p
ure root no
d
e (sa
y
,
99 percent non
f
rau
d
u
l
ent/1 percent
f
rau
d
u
l
ent) an
d
one may not
b
e
a
bl
e to
n
d
an
y
meanin
gf
u
l
s
pl
its to
f
urt
h
er re
d
uce t
h
e im
p
urit
y
. Simi
-
l
ar
ly
, ot
h
er ana
ly
tica
l
tec
h
ni
q
ues ma
y
h
ave a ten
d
enc
y
to sim
ply
p
re
-
d
ict t
h
e majority c
l
ass
b
y
l
a
b
e
l
ing eac
h
transaction as non
f
rau
d
u
l
ent.
Common sc
h
emes to
d
ea
l
wit
h
t
h
is are over‐ an
d
un
d
ersam
pl
in
g
. In

1
66
▸ANALYTI
CS
IN A BI
G
DATA W
O
RL
D
oversam
p
lin
g
, the fraudulent transactions in the trainin
g
data set (not
the test data set!) are re
p
licated to increase their im
p
ortance. In under
-
sampling, nonfraudulent transactions are removed from the training
data set (not test data set!) to increase the weight and importance of the
fraudulent transactions. Both procedures are useful to help the analyti
-
cal technique in nding a discriminating pattern between fraudulent
and nonfraudulent transactions. Note that it is important to remember
that the test set remains untouched during this. However, if an analyti
-
cal technique is built using under‐ or oversampling, the predictions it
p
roduces on the test data set ma
y
be biased and need to be ad
j
usted.
One way to a
d
just t
h
e pre
d
ictions is as
f
o
ll
ows:
4
x
x
x
pC
pC
pC pC
pC
pC pC
i
i
ti
ti
j
tj
j
m
tj
()
()
()()
()
()
()
1
∑
⎢=⎢
⎢
=
whereb
y
C
i
re
p
resents the tar
g
et class (e.
g
.,
C
1
is fraudulen
t
and
C
2
C
is
nonfraudulent), xpC
ti
(|) re
p
resents the
p
robabilit
y
estimated on the
over‐ or undersampled training data set, pC
ti
()
is the prior probability of
class
C
i
CC
on the over‐ or undersampled training data set, and
i
pC
i
()
re
p
re-
sents the ori
g
inal
p
riors (e.
g
., 99/1
p
ercent). The denominator is intro
-
duced to make sure that the probabilities sum to one for all classes.
Unsu
p
ervised learnin
g
can also be used to detect clusters of outl
y-
in
g
transactions. The idea here is to build, for exam
p
le, a SOM and
look for cells containing only a few observations that might potentially
indicate anomalies re
q
uirin
g
further ins
p
ection and attention.
Finally, social network analysis might also be handy for fraud
detection. Although fraud may be hard to detect based on the avail-
able variables, it is often ver
y
useful to anal
y
ze the relationshi
p
s
b
etween
f
rau
d
sters. Rat
h
er t
h
an a stan
d
a
l
one
ph
enomenon,
f
rau
d
is
o
f
ten a care
f
u
lly
or
g
anize
d
crime. Ex
pl
oitin
g
re
l
ationa
l
in
f
ormation
provi
d
es some interesting insig
h
ts in crimina
l
patterns an
d
activities.
Fi
g
ure 8.4 i
ll
ustrates a
f
rau
d
networ
k
. Note t
h
at t
h
is networ
k
is con
-
structe
d
aroun
d
no
d
e 1 (in t
h
e center o
f
t
h
e
g
ure). No
d
es in t
h
e net-
wor
k
t
h
at are green are
l
egitimate no
d
es. Re
d
no
d
es are
f
rau
d
u
l
ent.
T
h
e networ
k
visua
l
ization
g
ives a
g
oo
d
im
p
ression o
f
t
h
e
d
i
ff
erence

EXAMPLE APPLI
C
ATI
O
N
S
◂1
6
7
in network structure between le
g
itimate and fraudulent nodes. While
legitimate nodes only sparsely connect to each other, fraudulent nodes
are characterized b
y
a dense structure, with man
y
links between all the
members. Such structures have been investi
g
ated b
y
Van Vlasselaer,
Meskens
,
Van Dromme
,
and Baesens
5
and are called
spider construc-
tio
ns
in the domain of social securit
y
fraud. The name s
p
ider construc-
tions is derived from their appearance: The fraudulent constructions
look like a dense web in which all nodes are closely connected to each
other. Based on the e
g
onet conce
p
t, discussed earlier, both local and
network variables are constructed to characterize each node. Local
variables de ne the node of interest usin
g
onl
y
individual characteris
-
tics, in
d
epen
d
ent o
f
its surroun
d
ing neig
hb
ors. Networ
k
varia
bl
es are
d
e
p
en
d
ent on t
h
e networ
k
structure, an
d
inc
l
u
d
e:
■ Frau
d
u
l
ent
d
e
g
ree. In t
h
e networ
k
d
omain, t
h
e
rst‐or
d
er
d
egree re
f
ers to t
h
e num
b
er o
f
imme
d
iate contacts a no
d
e
h
as.
T
he
n
‐
d
e
g
ree
d
e
nes t
h
e num
b
er o
f
no
d
es t
h
e surve
y
e
d
no
d
e
F
i
gure 8.4 Frau
d
Networ
k
.
L
i
g
ht
Gray Nodes Refer to Legitimate Individuals, While Dark Gray Nodes Represent Fraud
21
10
24
20
15
29
31
43
47
46
44
45
41
42
40
37
39
38
33
34
32
35
36
26
5
3
9
17
13
27
18
28
30
6
2
16
19
22
4
7
23
8
1
14
25
11
12
1
68
▸ANALYTI
CS
IN A BI
G
DATA W
O
RL
D
can reach in a
t
mos
t
n
ho
p
s. Instead of calculatin
g
the overall
de
g
ree, one can make a distinction based on the label of each of
the surrounding nodes. For the fraud domain, this means that
the fraudulent rst‐order degree corresponds to counting the
number of direct fraudulent neighbors.
■ Triangles. A triangle in a network is de ned as a structure in
w
hich three nodes of the network are connected to each other.
Especially triangles containing at least two fraudulent nodes are
a good indicator of potential suspicious activities of the third
node. Nodes that are involved in many suspicious triangles have
a
h
ig
h
er pro
b
a
b
i
l
ity to commit
f
rau
d
t
h
emse
l
ves.
■ C
l
iques. A c
l
ique is an extension o
f
a triang
l
e. Newman (2010)
de nes a cli
q
ue as the maximal subset of the vertices in an undi
-
rected network such that ever
y
member of the set is connected
b
y an edge to every other. While fraudulent triangles appear
re
g
ularl
y
in a network, fraudulent
k
‐cliques (with
k
k
> 3) will
k
a
pp
ear less often. However, such cli
q
ues are extremel
y
p
recise
indica
t
ors of fu
t
ure fraud.
Althou
g
h network variables as such can be ver
y
useful in detect
-
in
g
p
otential future fraud, these characteristics can also be converted
in aggregated variables characterizing each node (e.g., total number
of trian
g
les/cli
q
ues, avera
g
e de
g
ree wei
g
ht, avera
g
e trian
g
le/cli
q
ue
wei
g
ht). Afterward, these network variables should be enriched b
y
local variables as discussed before. Using all the available attributes,
standard learnin
g
techni
q
ues like lo
g
istic re
g
ression, random forests,
and neural networks are able to estimate future fraud based on both
network‐related information and personal information. Such a com-
b
ined a
pp
roach ex
p
loits all
p
otential information and returns the rel-
evance, in terms of variable weight, of each characteristic.
NET LIFT RESPONSE MODELING
In res
p
onse mo
d
e
l
in
g
, t
h
e
f
ocus
l
ies on
d
ee
p
enin
g
or recoverin
g
customer re
l
ations
h
i
p
s, or new customer ac
q
uisition
by
means o
f
targete
d
or win‐
b
ac
k
campaigns. T
h
e campaign can
b
e a mai
l
cata-
l
o
g
, emai
l
, cou
p
on, or A/B or mu
l
tivariate testin
g
. T
h
e
p
ur
p
ose is to

EXAMPLE APPLI
C
ATI
O
N
S
◂1
69
identif
y
the customers most likel
y
to res
p
ond based on the followin
g
informa
t
ion:
■ Demographic variables (e.g., age, gender, marital status)
■ Relationship variables (e.g., length of relationship, number of
products purchased)
■ Social network information
■ RFM variables
RFM has been popularized by Cullinan
6
as follows:
■ Recency: Time
f
rame (
d
ays, wee
k
s, mont
h
s) since
l
ast purc
h
ase
■ Frequency: Num
b
er o
f
purc
h
ases wit
h
in a given time
f
rame
■ Monetary: Do
ll
ar va
l
ue o
f
purc
h
ases
Each of these constructs can be operationalized in various ways;
for exam
p
le, one can consider the minimum/maximum/avera
g
e/most
recent monetar
y
value of
p
urchases. The constructs can be used se
p
a-
rately or combined into an RFM score by either independent or depen-
dent sortin
g
. For the former (see Fi
g
ure 8.5 ), the customer database
is sorted into inde
p
endent
q
uintiles based on RFM (e.
g
., recenc
y
quintile 1 is the 20 percent most ancient buyers). The nal RFM score
F
i
gure 8.5 Construct
i
ng an RFM Score (In
d
epen
d
ent Sort
i
ng)
Frequency score
5
4
3
2
1
Recency
score
5
4
3
2
1
Monetary score
5
4
3
2
1

17
0
▸ANALYTI
CS
IN A BI
G
DATA W
O
RL
D
(
e.
g
., 325) can then be used as a
p
redictor for the res
p
onse model. For
d
epen
d
ent sorting, t
h
e customer
d
ata
b
ase is
rst sorte
d
into quinti
l
es
b
ase
d
on recency (see Figure 8.6 ). Eac
h
recency quinti
l
e is t
h
en
f
urt
h
er
d
ivi
d
e
d
into
f
requency quinti
l
es an
d
t
h
en into monetary quinti
l
es.
This again yields an RFM score (e.g., 335) that can be used as a predic-
tor for a res
p
onse model.
A rst a
pp
roach to res
p
onse modelin
g
is b
y
s
p
littin
g
the
p
revi
-
ous campaign population into a test group and a control group (see
Fi
g
ure 8.7 ). The test
g
rou
p
receives the marketin
g
cam
p
ai
g
n and a
model is built on a trainin
g
subset and evaluated on a holdout subset.
Traditionally, the impact of such a marketing campaign is measured by
com
p
arin
g
the
p
urchase rate of a test
g
rou
p
a
g
ainst the
p
urchase rate
of a control
g
rou
p
. If the
p
urchase rate of the test
g
rou
p
exceeds the
purchase rate of the control group, the marketing campaign is said to
b
e effective. Althou
g
h such methods concentrate on maximizin
g
the
g
ross
p
urchase rate (i.e.,
p
urchase rate test
g
rou
p
minus
p
urchase rate
control group), they do not differentiate between different customers
and therefore i
g
nore the net or incremental im
p
act of the cam
p
ai
g
n.
In general, three types of customers can be distinguished. First, there
are those people who would never buy the product, whether they
are ex
p
osed to a marketin
g
offer or not. Tar
g
etin
g
these
p
eo
p
le would
not ma
k
e an
y
sense
b
ecause t
h
e
y
won’t
b
u
y
t
h
e
p
ro
d
uct an
y
wa
y
. A
secon
d
g
rou
p
o
f
customers is t
h
ose w
h
o a
l
wa
y
s
b
u
y
t
h
e
p
ro
d
uct. Tar
-
geting t
h
ese peop
l
e wi
ll
cause a pro
t
l
oss
b
ecause t
h
ey wi
ll
a
l
ways
b
u
y
t
h
e
p
ro
d
uct; t
h
ere
f
ore, o
ff
erin
g
t
h
em a mar
k
etin
g
incentive (e.
g
.,
a
d
iscount) wi
ll
re
d
uce t
h
e
p
ro
t mar
g
in. A
l
ast cate
g
or
y
o
f
customers
is t
h
e so‐ca
ll
e
d
swing c
l
ients. T
h
ese types o
f
customers wi
ll
not
b
uy
t
h
e
p
ro
d
uct s
p
ontaneous
ly
,
b
ut nee
d
to
b
e motivate
d
to ta
k
e action.
Fi
g
ure 8.6 Constructin
g
an RFM Score (Dependent Sortin
g
)
Frequency
score
35
34
33
32
31
Recency
score
5
4
3
2
1
Monetary
score
335
334
333
332
331

EXAMPLE APPLI
C
ATI
O
N
S
◂171
Because the
y
are still undecided on whether to bu
y
the
p
roduct, a
marketing campaign is especially effective for these people. Focusing
on onl
y
these customers will maximize the true im
p
act of the market-
in
g
cam
p
ai
g
n and is the
g
oal of net lift modelin
g
. Net lift modelin
g
tries to measure the true im
p
act b
y
the incremental
p
urchases, that is,
p
urchases that are onl
y
attributable to the cam
p
ai
g
n and that would
not be made other
w
ise.
7
Net lift modelin
g
aims at ndin
g
a model
such that the difference between the test
g
rou
p
p
urchase rate and the
control
g
rou
p
p
urchase rate is maximized so as to identif
y
the swin
g
clients (see Fi
g
ure 8.8 ). B
y
im
p
lementin
g
this methodolo
gy
, marketers
Fi
g
ure 8.7 Gross Lift Response Modelin
g
Previous campaign data
Control Tes t
Training
data
Holdout
data
Model
F
ig
ure 8.8 Net Lift Response Modelin
g
Previous campaign data
Control Tes t
Training
data
Holdout
data
Model

172
▸ANALYTICS IN A BIG DATA WORL
D
not on
l
y optimize t
h
e true
b
usiness o
b
jective—maximizing pro
t—
b
ut
also
g
ain a better insi
g
ht in the different customer se
g
ments.
In the test and control
g
rou
p
, the tar
g
et will then be observed as
indicated in Figure 8.9 .
One could then build a difference score model
,
as follows:
■ Build a lo
g
istic re
g
ression model estimatin
g
p
robabilit
y
of
p
ur
-
chase given marketing message,
P
(purchase|test).
P
■ Build a logistic regression model estimating probability of pur
-
chase given control,
P
(purchase|control).
P
■ Incremental score
=
P
(purchase|test)−
P
P
(purchase|control).
P
To further understand the im
p
act of the
p
redictors, one can then
re
g
ress the incremental lift scores on the ori
g
inal data.
Another option could be to build only one logistic regression model
with an additional binar
y
p
redictor s
p
ecif
y
in
g
whether an observation
b
elon
g
s to the control or test
g
rou
p
. The model can then also include
all possible interaction terms with this binary variable.
CHURN PREDICTION
Customer churn
,
also called
a
ttritio
n
or
defection, is
t
he loss of cus
t
om
-
ers. In saturated markets, there are limited o
pp
ortunities to attract new
customers, so retainin
g
existin
g
customers is essential to
p
ro tabilit
y
and stability. It is estimated that attracting a new customer costs ve to
Fi
g
ure 8.9 Observed Tar
g
et in Net Lift Modelin
g
Self-selectors
Converted
swing clients
No purchase
Self-selectors
Swing clients
No purchase
Test group
Control group
Y = 1
Y = 0
Y = 0
Y = 1
EXAMPLE APPLI
C
ATI
O
N
S
◂17
3
six times more than retainin
g
a customer.
8
Es
t
ablished cus
t
omers are
more
p
ro table due to the lower cost to serve them. In addition, brand
loyalty developed over time makes them less likely to churn. Satis ed
customers also serve as word‐of‐mouth advertisement, referring new
customers to the company.
Research on customer churn can take two perspectives: the over
-
all company level and the individual customer level. Identifying the
determinants of churn, or reasons why customers may churn, can
give insight into company‐level initiatives that may reduce the issues
that lead to hi
g
her churn. One such stud
y
9
p
erformed a surve
y
of the
Korean mo
b
i
l
e te
l
ep
h
one mar
k
et. Service attri
b
utes suc
h
as ca
ll
qua
l
-
ity an
d
tari
ff
l
eve
l
are negative
l
y corre
l
ate
d
wit
h
c
h
urn in t
h
at mar-
k
et. Natura
ll
y, i
f
it is possi
bl
e to improve ca
ll
qua
l
ity,
f
ewer customers
would be expected to churn. The results of this and similar studies
certainl
y
indicate that mana
g
ement must focus on the
q
ualit
y
of attri-
b
utes that are most im
p
ortant to customers.
1
0
However, continuall
y
improving in these areas may not always be feasible due to cost or
o
t
her limi
t
a
t
ions.
As a com
p
lementar
y
a
pp
roach, switchin
g
the focus to the individual
customer level can yield high returns for a relatively low investment.
It is
p
ossible to use churn
p
rediction models to identif
y
individual cus-
tomers who are likel
y
to churn and attem
p
t to
p
revent them from
leaving the company. These models assign each customer an expected
p
robabilit
y
of churn. Then it is relativel
y
strai
g
htforward to offer those
customers with the
g
reatest
p
robabilit
y
a discount or other
p
romo
-
tion to encourage them to extend their contract or keep their account
active. In the followin
g
section, several techni
q
ues and a
pp
roaches to
churn prediction will be discussed.
Churn Prediction Models
Man
y
we
ll
‐
k
nown an
d
l
ess common mo
d
e
l
s
h
ave
b
een a
ppl
ie
d
to
c
h
urn pre
d
iction, inc
l
u
d
ing
d
ecision trees,
l
ogistic regression, support
vector mac
h
ines, Ba
y
esian networ
k
s, surviva
l
ana
ly
sis, se
lf
‐ or
g
anizin
g
ma
p
s, an
d
re
l
ationa
l
c
l
assi
ers, amon
g
ot
h
ers. Bot
h
accurac
y
an
d
com-
pre
h
ensi
b
i
l
ity are crucia
l
f
or t
h
e
d
ecision‐ma
k
ing process, so care
f
u
l
consi
d
eration s
h
ou
ld
b
e use
d
w
h
en c
h
oosin
g
a tec
h
ni
q
ue. Accurate
174 ▸ANALYTI
CS
IN A BI
G
DATA W
O
RL
D
p
redictions are
p
erha
p
s the most a
pp
arent
g
oal, but learnin
g
the
reasons
,
or at least the indicators
,
for churn is also invaluable to the
company. Understanding why a model makes the predictions it does
serves several purposes. Comprehensibility allows for domain experts
to evaluate the model and ensure that it is intuitively correct. In this
way, it can be veri ed or con rmed by the business. More comprehen
-
sible models also offer insight into the correlation between customer
attributes and propensity to churn,
1
1 allowing management to address
the factors leading to churn in addition to targeting the customers
b
efore the
y
decide to churn. Finall
y
, understandable and intuitive
mo
d
e
l
s may
b
e more easi
l
y a
d
opte
d
wit
h
in a company. I
f
managers
are accustome
d
to ma
k
ing
d
ecisions
b
ase
d
on t
h
eir own experience
an
d
k
now
l
e
d
ge, t
h
ey wi
ll
b
e more inc
l
ine
d
to trust pre
d
ictions ma
d
e
b
y a model that is not only comprehensible but also in line with their
own reasonin
g
.
Lo
g
istic re
g
ression is a statistical classi cation model that is often
used for churn prediction, either as a model on its own or as a com
-
p
arison for other models. The coef cients for this model indicate the
correlation between the customer attributes and the
p
robabilit
y
of
churn. It is a well understood and accepted model both in research
and
p
ractice. It is both eas
y
to inter
p
ret and
p
rovides
g
ood results
when com
p
ared with other methods. It has been shown to out
p
er-
form more complex methods in many cases. Decision trees can also be
used for churn
p
rediction. The
y
also offer inter
p
retabilit
y
and robust-
ness. Neural networks and su
pp
ort vector machines have also been
applied to churn prediction; however, these methods are seen as black
b
oxes, offerin
g
little insi
g
ht into how the
p
redictions are made. Sur-
vival analysis offers the interpretability of logistic regression in the
form of hazard ratios that can be interpreted similarly to odds ratios in
lo
g
istic re
g
ression. In addition, the tar
g
et of interest is time‐to‐event
rat
h
er t
h
an a
b
inar
y
varia
bl
e. It is t
h
ere
f
ore
p
ossi
bl
e to ma
k
e
p
re
d
ic
-
tions a
b
out
h
ow
l
on
g
a customer wi
ll
remain active
b
e
f
ore t
h
e
y
c
h
urn.
Re
l
ationa
l
c
l
assi
ers can a
l
so
b
e use
d
f
or c
h
urn pre
d
iction. Homop
h
-
i
ly
in networ
k
s is
b
ase
d
on t
h
e i
d
ea t
h
at simi
l
ar in
d
ivi
d
ua
l
s are more
l
i
k
e
ly
to interact, an
d
f
rom t
h
at it is ex
p
ecte
d
t
h
at in
d
ivi
d
ua
l
s t
h
at are
connecte
d
in a networ
k
wi
ll
b
e
h
ave simi
l
ar
l
y. In c
h
urn pre
d
iction, i
f
customers are
l
in
k
e
d
wit
h
c
h
urners, t
h
e
y
ma
y
a
l
so
b
e
l
i
k
e
ly
to c
h
urn.

EXAMPLE APPLICATION
S
◂17
5
Socia
l
net
w
or
k
f
eatures can a
l
so
b
e use
d
in a tra
d
itiona
l
c
l
assi
er
l
i
k
e
l
o
g
istic re
g
ression or survival anal
y
sis. In order to do this, measures of
connectedness can be extracted from the network and used as input
features for the other model.
12
Churn Prediction Process
Regardless of the particular technique, churn prediction modeling fol
-
l
ows a standard classi cation process as illustrated in Figure 8.10 . The
rst ste
p
is to de ne churn for the
p
articular situation. This ma
y
be nat-
ura
ll
y present in t
h
e
d
ata: contract termination, service cance
ll
ation,
or nonrenewa
l
. In ot
h
er settings, it wi
ll
not
b
e so c
l
ear: A customer
n
o
l
onger s
h
ops at t
h
e store or we
b
site, or a customer stops purc
h
as
-
i
ng credits. In these cases, the analyst or researcher must choose a
de ni
t
ion of churn
t
ha
t
makes sense in
t
he con
t
ex
t
.
O
ne common
solution is to select an a
pp
ro
p
riate len
g
th of time of inactivit
y
on the
account. In the previous examples, a number of days or months with-
out a
p
urchase mi
g
ht de ne churn. Of course, a customer ma
y
not
b
u
y
somethin
g
within that time frame but still return a
g
ain at a later
date. Setting too short of a time period may lead to nonchurn cus-
tomers bein
g
tar
g
eted as
p
otential churners. Too lon
g
of a
p
eriod ma
y
mean churnin
g
customers are not identi ed in a timel
y
manner. In
most cases, a shorter time period may be preferable, if the cost of the
i
ntervention cam
p
ai
g
n is much lower than the cost of a lost customer.
After de nin
g
churn, the ori
g
inal set of customers should be
l
abeled according to their true churn status. The data set is split for
Fi
g
ure 8.10 The Churn Prediction Process
6
8
73
21
5
4
Define
Churn
TrainingSet
TestSet
Model
Unknown
Data
Predictions
Model
Performance
Retention
Campaign
No
Campaign
17
6
▸ANALYTI
CS
IN A BI
G
DATA W
O
RL
D
validation and the customer attributes from the trainin
g
set can be
used
t
o
t
rain
t
he selec
t
ed model. The cus
t
omer a
tt
ribu
t
es from
t
he
test set are then used to compare the model’s results with the actual
churn label. This allows for an evaluation of the model performance.
The model may also be evaluated by domain experts to gauge whether
the predictive attributes seem in line with business knowledge. If the
performance is acceptable, the attributes of current customers can be
entered into the model to predict their churn class. A group of custom-
ers with the highest predicted churn probability can then be contacted
with the retention cam
p
ai
g
n. Other customers who are less likel
y
to
c
h
urn are not contacte
d
wit
h
t
h
e promotion.
RECOMMENDER SYSTEMS
Peo
p
le are in uenced b
y
recommendations in their dail
y
decisions.
Salesmen tr
y
to sell us the
p
roduct we like, restaurants are bein
g
eval-
uated and rated, and so on. Recommender systems can support us in
our online commercial activities b
y
su
gg
estin
g
s
p
eci c items from a
wide ran
g
e of o
p
tions. A considerable number of different techni
q
ues
are available to build a recommender system, of which the following
are the most im
p
ortant: collaborative lterin
g
, content‐based lterin
g
,
demo
g
ra
p
hic lterin
g
, knowled
g
e‐based lterin
g
, and h
y
brid lter
-
ing. Case studies presenting all these techniques have greatly multi-
p
lied in recent
y
ears. A lot of these deal with movies,
13 tourism
,
1
4
and
res
t
auran
t
s.15
In this section, the ve main techniques are introduced and fol-
lowed b
y
some of their advanta
g
es and disadvanta
g
es. Some other
issues concerning recommender systems are then brie y discussed.
Collaborative Filtering
Collaborative ltering, also called
social ltering,
h
as
b
een t
h
e a
pp
roac
h
t
h
at is associate
d
t
h
e most wit
h
recommen
d
er systems. T
h
e main i
d
ea
is to recommen
d
items
b
ase
d
on t
h
e o
p
inions o
f
ot
h
er users. A
d
is
-
tinction can
b
e ma
d
e
b
etween user‐
b
ase
d
co
ll
a
b
orative
l
terin
g
an
d
item‐
b
ase
d
co
ll
a
b
orative
l
tering. In case o
f
user‐
b
ase
d
co
ll
a
b
orative
l
terin
g
, items wi
ll
b
e recommen
d
e
d
to a user
b
ase
d
on
h
ow simi
l
ar
EXAMPLE APPLI
C
ATI
O
N
S
◂177
users rated these items. When o
p
tin
g
for item‐based collaborative l-
terin
g
, items will be recommended to a user based on how this user
rated similar items. One way to calculate similarity between users or
items is to use a user‐item matrix that contains information on which
user bought what item. Any similarity measure can then be used to
create a similarity matrix (e.g., Pearson correlation and cosine).
To build a collaborative recommender system, ratings are required.
These ratings form the link between a user and an item.
16
A distinc
-
tion can be made between three types of ratings. A scalar rating can
b
e a number or an ordinal ratin
g
. A binar
y
ratin
g
consists of two
p
os-
si
b
i
l
ities, suc
h
as goo
d
or
b
a
d
. Fina
ll
y, unary ratings in
d
icate t
h
at a user
h
as
h
a
d
an interaction wit
h
an item, suc
h
as a c
l
ic
k
on an item or a
purc
h
ase.
1
7
We can
d
istinguis
h
b
etween two types o
f
met
h
o
d
s
f
or t
h
e
collection of ratings. Explicit ratings can be obtained by requesting a
user to rate a certain item. Im
p
licit ratin
g
s are obtained b
y
associatin
g
a ratin
g
with a certain action, such as bu
y
in
g
an item.
1
8
Typically, neighborhood‐based algorithms are applied, in which the
followin
g
three ste
p
s can be distin
g
uished.
19 First, a similarit
y
measure
is used to calculate similarit
y
between users (in case of a user‐based
algorithm) or items (in case of an item‐based algorithm). Second, a
subset of users or items is selected that functions as the nei
g
hborhood
of the active user or item. Third, the al
g
orithm
p
redicts a ratin
g
based
on the active user’s or item’s neighborhood, typically giving the high-
est wei
g
ht to the most similar nei
g
hbors.
As is often the case with anal
y
tics, different techni
q
ues can be
used to solve the same problem, with their respective advantages and
disadvanta
g
es. Three main advanta
g
es of collaborative recommender
systems are identi ed. First, collaborative ltering does not restrict the
type of items to be recommended. It is indeed enough to construct a
matrix linkin
g
items to users to start the recommendation. A second
a
d
vanta
g
e,
l
in
k
e
d
to t
h
e
rst, is t
h
at it mana
g
es to
d
e
l
iver recommen-
d
ations to a user even w
h
en it is
d
i
f
cu
l
t to
n
d
out w
h
ic
h
s
p
eci
c
f
eature o
f
t
h
e item ma
k
es it interesting to t
h
e user or w
h
en t
h
ere is no
eas
y
wa
y
to extract suc
h
a
f
eature automatica
lly
. A t
h
ir
d
a
d
vanta
g
e
h
as
to
d
o wit
h
nove
l
t
y
or seren
d
i
p
it
y
: Co
ll
a
b
orative
l
terin
g
is
b
e
l
ieve
d
to
recommen
d
more unexpecte
d
items (t
h
at are equa
ll
y va
l
ua
bl
e) t
h
an
content‐
b
ase
d
tec
h
ni
q
ues.
20
A
l
t
h
ou
gh
co
ll
a
b
orative
l
terin
g
met
h
o
d
s
1
7
8
▸ANALYTICS IN A BIG DATA WORL
D
are the most commonl
y
used techni
q
ues because of their
p
ower, some
disadvanta
g
es or weak
p
oints should be noted. First, s
p
arse data can
b
e a problem for such a technique. A critical mass of ratings is indeed
necessary in order to build meaningful similarity matrices. In cases in
which the items are not frequently bought by the users (e.g., recom-
mending mobile phones or apartments), it may indeed be dif cult to
obtain representative neighborhoods, hence lowering the power of the
technique. A second disadvantage is known as the cold start problem,
which means that new items cannot easily be recommended because
the
y
have not been rated
y
et; therefore, new users cannot easil
y
receive
recommen
d
ations
b
ecause t
h
ey
h
ave not yet rate
d
items. Some minor
d
isa
d
vantages are,
f
or examp
l
e, t
h
e
f
act t
h
at items purc
h
ase
d
a
l
ong
time ago may
h
ave a su
b
stantia
l
impact i
f
f
ew items
h
ave
b
een rate
d
,
which may lead to wrong conclusions in a changing environment.
Privac
y
could also be a
p
roblem because collaborative lterin
g
needs
data on users to
g
ive recommendations or could
g
enerate trust issues
b
ecause a user cannot question the recommendation.
Content‐Based Filtering
Content‐based recommender s
y
stems recommend items based on two
information sources: features of
p
roducts and ratin
g
s
g
iven b
y
users.
Different kinds of data can be encountered, requiring different strate-
g
ies to obtain usable in
p
ut. In the case of structured data, each item
consists of the same attributes and the
p
ossible values for these attri-
b
utes are known. It is then straightforward to apply content‐based
a
pp
roaches. When onl
y
unstructured data are available, such as text,
different techniques have to be used in order to learn the user pro les.
Because no standard attributes and values are available, typical prob-
lems arise, such as s
y
non
y
ms and
p
ol
y
semous words. Free text can
t
h
en
b
e trans
l
ate
d
into more structure
d
d
ata
by
usin
g
a se
l
ection o
f
f
ree text terms as attri
b
utes. Tec
h
ni
q
ues
l
i
k
e TF‐IDF (term
f
re
q
uenc
y/
inverse
d
ocument
f
requency) can t
h
en
b
e use
d
to assign weig
h
ts to
t
h
e
d
i
ff
erent terms o
f
an item. Sometimes,
d
ata is semistructure
d
, con-
sistin
g
o
f
some attri
b
utes wit
h
restricte
d
va
l
ues an
d
some
f
ree text.
One approac
h
to
d
ea
l
wit
h
t
h
is
k
in
d
o
f
d
ata is to convert t
h
e text into
s
t
ruc
t
ure
d
d
a
t
a.
21
EXAMPLE APPLI
C
ATI
O
N
S
◂17
9
When items can be re
p
resented in a usable wa
y
, machine learnin
g
techni
q
ues are a
pp
lied to learn a user
p
ro le. T
yp
icall
y
, a classi cation
algorithm is invoked for each user based on his or her ratings on items
and their attributes. This allows the recommender system to predict
whether a user will like an item with a speci c representation. As with
collaborative ltering methods, explicit or implicit ratings are required.
When explicit ratings are considered, the ratings are directly used for
the classi cation task, whereas implicit ratings can be obtained using
the item–user interactions.
The classi cation
p
roblem mentioned above can be im
p
lemented
using a
l
arge num
b
er o
f
d
i
ff
erent mac
h
ine
l
earning tec
h
niques. Some
examp
l
es are
l
ogistic regression, neura
l
networ
k
s,
d
ecision trees, asso-
ciation ru
l
es, an
d
Bayesian networ
k
s. Nearest neig
hb
or met
h
o
d
s can
also be used
t
o de
t
ermine
t
he labeled i
t
ems
t
ha
t
are mos
t
similar
t
o
a new unlabeled item in order to label this new item based on the
labels of the nearest nei
g
hbors. Concernin
g
the similarit
y
metric used
in nearest neighbor methods, Euclidean distance is often used when
data are structured, whereas cosine similarit
y
ma
y
p
rove its use when
the vector s
p
ace model is a
pp
lied. Other a
pp
roaches are linear classi-
ers, support vector machines, and Naïve Bayes.
22
A rst advanta
g
e of content‐based recommender s
y
stems is that
there is no cold start
p
roblem for new items. Indeed, new items
(which have not received ratings before) can be recommended,
which was not the case in a collaborative lterin
g
a
pp
roach. Sec
-
ond, items can also be recommended to users that have uni
q
ue
preferences. A third important advantage is the possibility to give
an ex
p
lanation to the user about his or her recommendations, for
example, by means of displaying a list of features that led to the
item being recommended. A fourth advantage is that only ratings
of the active user are used in order to build the
p
ro le, which is not
t
h
e case
f
or co
ll
a
b
orative recommen
d
er s
y
stems.
23
Concernin
g
t
h
e
d
isa
d
vanta
g
es, a
rst
l
imitation is t
h
at content‐
b
ase
d
tec
h
ni
q
ues are
on
l
y suita
bl
e i
f
t
h
e rig
h
t
d
ata are avai
l
a
bl
e. It is in
d
ee
d
necessary to
h
ave enou
gh
in
f
ormation a
b
out t
h
e items to
d
etermine w
h
et
h
er a
user wou
ld
l
i
k
e an item or not. T
h
e co
ld
start
p
ro
bl
em
f
or new users
f
orms a secon
d
l
imitation as we
ll
, as o
ld
ratings potentia
ll
y in
uence
t
h
e recommen
d
ation too muc
h
. Fina
lly
, over‐s
p
ecia
l
ization can
b
e a
1
80
▸ANALYTI
CS
IN A BI
G
DATA W
O
RL
D
p
roblem because such techni
q
ues will focus on items similar to the
p
reviousl
y
bou
g
ht items.
Demographic Filtering
Demographic ltering recommends items based on demographic infor
-
mation of the user. The main challenge is to obtain the data. This can
b
e explicitly done by asking for information from users such as age,
gender, address, and so on. If this approach is not possible, analytical
techni
q
ues could be used to extract information linked to the interac-
tions o
f
t
h
e users wit
h
t
h
e system. A user pro
l
e can t
h
en
b
e
b
ui
l
t an
d
use
d
t
o recommen
d
i
t
ems.
2
4
T
h
e main a
d
vantage o
f
d
emograp
h
ic recommen
d
er systems is t
h
at
there is not always a need for a history of user ratings of the type that is
re
q
uired in collaborative and content‐based a
pp
roaches. Se
g
ments can
b
e used in combination
w
ith user–item interactions in order to obtain
a high‐level recommender system. Some disadvantages are the cold
start
p
roblem for new users and new items, as well as the dif cult
y
in
ca
p
turin
g
the data, which is hi
g
hl
y
de
p
endent on the
p
artici
p
ation of
t
he users.
Knowledge‐Based Filtering
Com
p
ared with collaborative lterin
g
and content‐based recommender
s
y
stems, it is more dif cult to brie
y
summarize the characteristics of
knowledge‐based recommender systems. The main difference with
re
g
ard to the other techni
q
ues resides in the data sources used. With
this approach, additional inputs consisting of constraints or require-
ments are provided to the recommender system typically by allowing
a dialo
g
between the user and the s
y
stem. Knowled
g
e‐based recom
-
men
d
er s
y
stems can
b
e
d
ivi
d
e
d
in two main cate
g
ories: constraint
‐
b
ase
d
recommen
d
ers an
d
case‐
b
ase
d
recommen
d
ers. Constraint‐
b
ase
d
recommen
d
ers are systems meeting a set o
f
constraints impose
d
b
y
b
ot
h
users an
d
t
h
e item
d
omain. A mo
d
e
l
o
f
t
h
e customer re
q
uirements,
t
h
e
p
ro
d
uct
p
ro
p
erties, an
d
ot
h
er constraints t
h
at
l
imit t
h
e
p
ossi
bl
e
requirements is
rst constructe
d
an
d
f
orma
l
ize
d
. Any tec
h
nique can
t
h
en
b
e use
d
an
d
wi
ll
h
ave to meet t
h
e re
q
uirements, or at
l
east
EXAMPLE APPLI
C
ATI
O
N
S
◂1
8
1
minimize the violations. When dealin
g
with case‐based recommend
-
ers, the
g
oal is to nd the item that is most similar to the ones the
user requires. Similarity is then often based on knowledge of the item
domain. The system will then start with an example provided by the
user and will generate a user pro le based on it. Based on this user
pro le gathering information and additional knowledge sources, rec
-
ommendations can then be proposed.
2
5
A rst advantage of knowledge‐based recommender systems is
that they can be used when there is only limited information about
the user, hence avoidin
g
the cold start
p
roblem. Another advanta
g
e
is t
h
at expert
k
now
l
e
d
ge is use
d
in t
h
e recommen
d
er system. It is a
l
so
possi
bl
e to
f
unction in an environment wit
h
comp
l
ex, in
f
requent
l
y
b
oug
h
t items. In a
dd
ition, a constraint‐
b
ase
d
recommen
d
er system
can help customers actively, for example, by explaining products or
su
gg
estin
g
chan
g
es in case no recommendation is
p
ossible. Concernin
g
disadvanta
g
es, a knowled
g
e‐based recommender s
y
stem ma
y
re
q
uire
some effort concerning knowledge acquisition, knowledge engineer-
in
g
, and develo
p
ment of the user interface. A second disadvanta
g
e is
that it can be dif cult when the user is asked to
p
rovide the s
y
stem
with an example if the number of items in the recommendation sys-
tem is ver
y
hi
g
h. Similarl
y
, it ma
y
be dif cult or im
p
ossible for the user
to
p
rovide an exam
p
le that ts the user’s needs.
Hybrid Filtering
Hybrid recommender systems combine the advantages of content
‐
b
ased, knowled
g
e‐based, demo
g
ra
p
hic, and collaborative lterin
g
recommender systems. The main reason that hybrid recommender
systems have been developed is to avoid the cold start problem.
B
u
rk
e
26
ex
p
lains seven t
yp
es of h
y
brid techni
q
ues. A rst t
yp
e is
wei
gh
te
d
. In t
h
is case, t
h
e recommen
d
ation scores o
f
severa
l
recom-
men
d
ers are com
b
ine
d
by
a
pply
in
g
s
p
eci
c wei
gh
ts. Switc
h
in
g
is a sec
-
on
d
h
y
b
ri
d
tec
h
nique in w
h
ic
h
recommen
d
ations are ta
k
en
f
rom one
recommen
d
er at a time,
b
ut not a
l
wa
y
s t
h
e same one. A t
h
ir
d
t
yp
e o
f
hyb
ri
d
tec
h
ni
q
ue is mixe
d
. W
h
en suc
h
a
hyb
ri
d
tec
h
ni
q
ue is a
ppl
ie
d
,
recommen
d
ations
f
or mu
l
tip
l
e recommen
d
ers are s
h
own to t
h
e user.
Feature com
b
ination is a
f
ourt
h
t
yp
e o
f
hyb
ri
d
tec
h
ni
q
ue. In t
h
is case,
1
82
▸ANALYTI
CS
IN A BI
G
DATA W
O
RL
D
different knowled
g
e sources are used to obtain features, and these are
then
g
iven to the recommendation al
g
orithm. A fth t
yp
e is feature
augmentation: A rst recommender computes the features while the
next recommender computes the remainder of the recommendation.
For example, Melville, Mooney, and Nagarajan
2
7
use a content‐based
model to generate ratings for items that are unrated and then col-
laborative ltering uses these to make the recommendation. Cascade
is the sixth type of hybrid technique. In this case, each recommender
is assigned a certain priority and if high priority recommenders pro-
duce a different score, the lower
p
riorit
y
recommenders are decisive.
Fina
ll
y, a meta‐
l
eve
l
h
y
b
ri
d
recommen
d
er system consists o
f
a
rst
recommen
d
er t
h
at gives a mo
d
e
l
as output t
h
at is use
d
as input
b
y
t
h
e next recommen
d
er. For examp
l
e, Pazzani
2
8
d
iscusses a restaurant
recommender that rst uses a content‐based technique to build user
p
ro les. Afterward, collaborative lterin
g
is used to com
p
are each
user and identif
y
nei
g
hbors. Burke
29 states that a meta‐level h
y
brid is
different from a feature augmentation hybrid because the meta‐level
h
y
brid does not use an
y
ori
g
inal
p
ro le data; the ori
g
inal knowled
g
e
source is re
p
laced in its entiret
y
.
Evaluation of Recommender Systems
Two categories of evaluation metrics are generally considered:
30
t
he
g
oodness or badness of the out
p
ut
p
resented b
y
a recommender
s
y
stem and its time and s
p
ace re
q
uirements. Recommender s
y
stems
generating predictions (numerical values corresponding to users’ rat-
in
g
s for items) should be evaluated se
p
aratel
y
from recommender
systems that propose a list of
N
items that a user is expected to nd
N
interesting (top‐
N
recommendation). The rst category of evaluation
N
metrics that we consider is the
g
oodness or badness of the out
p
ut
p
re-
sente
d
by
a recommen
d
er s
y
stem. Concernin
g
recommen
d
er s
y
stems
t
h
at ma
k
e
p
re
d
ictions,
p
re
d
iction accurac
y
can
b
e measure
d
usin
g
statistica
l
accuracy metrics (o
f
w
h
ic
h
mean a
b
so
l
ute
d
eviation [MAD]
is t
h
e most
p
o
p
u
l
ar one) an
d
usin
g
d
ecision su
pp
ort accurac
y
met-
rics (o
f
w
h
ic
h
area un
d
er t
h
e receiver o
p
eratin
g
c
h
aracteristic curve
is t
h
e most popu
l
ar one). Coverage
d
enotes
f
or w
h
ic
h
percentage o
f
t
h
e items t
h
e recommen
d
er s
y
stem can ma
k
e a
p
re
d
iction. Covera
g
e

EXAMPLE APPLI
C
ATI
O
N
S
◂1
83
mi
g
ht decrease in case of data s
p
arsit
y
in the user–item matrix. Con-
cern
i
n
g
to
p
‐
N
recommendation, important metrics are recall pre-
N
cision–related measures. Data is rst divided in a training set and a
test set. The algorithm runs on the training set, giving a list of recom-
mended items. The concept of “hit set”
3
1
is considered, containing only
the recommended (top‐
N
) items that are also in the test set. Recall and
N
precision are then determined as follows:
=Recall size of hit set
size of test set
=N
Precision size of hit set
A pro
bl
em wit
h
reca
ll
an
d
precision is t
h
at usua
ll
y reca
ll
increases
as
N
is increased, while precision decreases as
N
N
is increased. There-
N
fore
,
the
F
1 metric combines both measures:
F
32
=+
F12 * recall * precision
recall precision
F
1 for each user and then taking the average gives the
F
score of the top‐
N
recommendation list.
N
The other cate
g
or
y
of evaluation metrics is dealin
g
with the
p
erformance of a recommender s
y
stem in terms of time and s
p
ace
requirements. Response time is the time that is needed for a system
to formulate a res
p
onse to a user’s re
q
uest. Stora
g
e re
q
uirements can
b
e considered in two wa
y
s: main memor
y
re
q
uirement (online s
p
ace
needed by the system) and secondary storage requirement (of ine
s
p
ace needed b
y
the s
y
stem).
Additional metrics can also be considered and will depend on
the type of recommender system faced and the domain in which it
is used. For exam
p
le, it is a common
p
ractice in a direct marketin
g
context to
b
ui
ld
a cumu
l
ative
l
i
f
t curve or ca
l
cu
l
ate t
h
e AUC. One
a
l
so
h
as to
d
eci
d
e w
h
et
h
er on
l
ine or o
f
ine eva
l
uations wi
ll
b
e ma
d
e.
A
l
t
h
oug
h
o
f
ine eva
l
uation is typica
ll
y app
l
ie
d
, it is o
f
ten mis
l
ea
d
ing
b
ecause t
h
e context o
f
t
h
e recommen
d
ation is not consi
d
ere
d
. Ho
w
-
ever, t
h
e costs
l
in
k
e
d
wit
h
on
l
ine eva
l
uations are t
yp
ica
lly
h
i
gh
er an
d
are accompanie
d
b
y
d
i
ff
erent ris
k
s (e.g.,
b
a
d
recommen
d
ations may
im
p
act customers’ satis
f
action).
184
▸
A
NALYTI
CS
IN A BI
G
DATA W
O
RL
D
Examples
Different cases applying recommendation techniques have been
re
p
orted,
p
rovidin
g
the
p
ractitioners with best
p
ractices and success
stories. Some references are provided in what follows, showing a small
subset of the available cases. A rst case that is relevant in the context
of collaborative ltering is Amazon.com. Linden, Smith, and York
33
describe the use of recommendation algorithms at Amazon.com.
They see recommendation systems as a type of targeted marketing
b
ecause the needs of the customer can be met in a personalized way.
A secon
d
case t
h
at is re
l
evant in t
h
e context o
f
co
ll
a
b
orative
l
ter
-
ing is PITTCULT, a cu
l
tura
l
event recommen
d
er
b
ase
d
on a networ
k
o
f
trust. In anot
h
er case, Mooney an
d
Roy
3
4 app
l
y a content‐
b
ase
d
approac
h
on
b
oo
k
recommen
d
ations. Semistructure
d
text is extracte
d
from web
p
a
g
es at Amazon.com and text cate
g
orization is then a
pp
lied
to it. Users rate books of the training set, which allows the system
to learn the user pro le using a Bayesian learning algorithm. A rst
case that is relevant in the context of knowled
g
e‐based recommender
systems is “virtual advisor,” the constraint‐based recommender sys-
tem
p
ro
p
osed b
y
Jannach, Zanker, and Fuchs.
3
5 Virtual advisor is a
knowled
g
e‐based tourism recommender s
y
stem that has been devel-
oped for a premium spa resort in Austria. The authors show that using
a dialo
g
, user re
q
uirements and
p
references are derived. Durin
g
the
dialo
g
, the internal user model is anal
y
zed and the next dialo
g
action
is determined. When enough information is gathered about the user’s
re
q
uirements and
p
references, the s
y
stem shows the items that meet
the user’s constraints. If necessar
y
, it shows which constraints have
to be relaxed. A second case that is relevant in the context of knowl-
ed
g
e‐based recommender s
y
stems is Intelli
g
ent Travel Recommender
(
ITR), discussed b
y
Ricci, Arslan, Mirzadeh, and Venturini.
3
6 ITR i
s
a
case‐based travel advisor
y
s
y
stem that recommends a travel
p
lan to a
user, starting
f
rom some wis
h
es an
d
constraints t
h
at t
h
is user enters in
t
h
e s
y
stem. T
h
e current session is consi
d
ere
d
a case an
d
it
h
as simi
l
ari
-
ties wit
h
cases o
f
ot
h
er users t
h
at are a
l
rea
dy
nis
h
e
d
. T
h
ese
p
revious
cases can
h
ave an impact on t
h
e recommen
d
ation to t
h
e users. One
a
d
vanta
g
e o
f
t
h
is a
pp
roac
h
is t
h
at users
d
o not nee
d
a
l
o
g
in
b
ecause
t
h
e set o
f
p
ast cases t
h
at in
uence t
h
e user’s recommen
d
ation is
b
ase
d

EXAMPLE APPLI
C
ATI
O
N
S
◂
185
on similarit
y
between the user’s case and
p
ast cases. A second advan-
ta
g
e is that a limited user
p
ro le is suf cient, which is not the case
when applying a content‐based approach (as it is then assumed that
users and products share features).
WEB ANALYTICS
The Digital Analytics Association (DAA) de nes web analytics as:
3
7
the measurement, collection, anal
y
sis, and re
p
ortin
g
o
f
Internet
d
ata
f
or t
h
e purposes o
f
un
d
erstan
d
ing an
d
optimizing We
b
usage.
In w
h
at
f
o
ll
ows, we
rst e
l
a
b
orate on we
b
d
ata co
ll
ection an
d
t
h
en
illustrate how this can be analyzed.
Web Data Collection
A ke
y
challen
g
e in web anal
y
tics is to collect data about web visits.
3
8
A
rst o
p
tion here is web server lo
g
anal
y
sis, which is essentiall
y
a server‐
side data collection technique making use of the web server’s logging
functionalit
y
. Ever
y
HTTP re
q
uest
p
roduces an entr
y
in one or more web
server lo
g
les. The lo
g
le can then be
p
arsed and
p
rocessed on a set
schedule to provide useful information. This is illustrated in Figure 8.11 .
Common lo
g
le formats are:
■ Apache/NCSA log formats: Common Log Format or Combined
L
og
F
ormat
■ W3C (World Wide Web Consortium) Extended Log File Format
and its Microsoft IIS implementation
Fi
g
ure 8.11 Web Server Lo
g
Anal
y
sis
User
Web server(s)
Log file(s)
HTTP request, for
example, get page
HTML code

186
▸ANALYTI
CS
IN A BI
G
DATA W
O
RL
D
A log entry (Apache combined log format) typically looks like
Figure 8.12 .
The data recorded includes:
■ Remote host: IP address or domain name; hel
p
s identif
y
the
g
eo
g
ra
ph
ica
l
l
ocation o
f
t
h
e c
l
ient com
p
uter
■ Remote
l
o
g
name (“‐”); user name (“‐” i
f
no aut
h
entication)
■ Date an
d
time (can inc
l
u
d
e o
ff
set
f
rom Greenwic
h
Mean Time)
■ HTTP request met
h
o
d
(GET or POST)
■ Resource requeste
d
■ Re
l
ative to t
h
e root
d
irectory
l
ocation on t
h
e we
b
server
■ Mig
h
t inc
l
u
d
e query string (parameters a
f
ter t
h
e ?) “GET
/
d
utc
h
/s
h
op/
d
etai
l
.
h
tm
l
?Pro
d
ID
=
112 HTTP
/
1.1
”
■ HTTP status co
d
e
■ 200 range: success
f
u
l
(200
f
or GET request means requeste
d
resource
h
as
b
een sent)
■ 300 range: re
d
irect
■ 400 range: c
l
ient error (404 means not
f
oun
d
)
■ 5
00
range: server error
■ Num
b
er o
f
b
ytes trans
f
erre
d
■ Re
f
errer: we
b
page
f
rom w
h
ic
h
user c
l
ic
k
e
d
on
l
in
k
to arrive
h
ere
■ “
h
ttp://www.msn.
b
e/s
h
opping/
f
oo
d
/“
■ “
h
ttp://www.goog
l
e.com/searc
h
?
q
=
b
uy&p
l
us;wine&
hl
=
en&
l
r
=
“
■ Browser and
p
latform (user a
g
ent)
■ Can also be a search bot, for exam
p
le, Goo
g
lebot
C
ookies can also be used for da
t
a collec
t
ion. A cookie is a small
text strin
g
that
Figure 8.12 Example Log Entr
y
EXAMPLE APPLI
C
ATI
O
N
S
◂1
8
7
■ A web server can send to a visitor’s web browser (as
p
art of its
HTTP res
p
onse)
■ The browser can store on the user’s hard disk in the form of a
small text le
■ The browser sends back unchanged to that server each time a
new request is sent to it (for example, when user visits another
page of the site)
A cookie typically contains a unique user ID along with other cus
-
tomized data, domain,
p
ath (s
p
ecif
y
in
g
from where it can be read),
an
d
expiration
d
ate (optiona
l
). Coo
k
ies can
b
e set an
d
rea
d
b
y (an
d
t
h
eir contents s
h
are
d
b
etween) c
l
ient‐si
d
e (e.g., JavaScript) as we
ll
as
server‐si
d
e (e.g., PHP) scripts. A we
b
server cannot retrieve coo
k
ies
from other sites (unless by exploiting vulnerabilities, i.e., cookie steal-
in
g
). Cookies are t
yp
icall
y
used for:
■ Implementing virtual shopping carts
■ Rememberin
g
user details or
p
rovidin
g
a customized user
ex
p
erience without havin
g
to lo
g
in each time
■ Gathering accurate information about the site’s visitors (session
identi cation, re
p
eat visitors)
■ Banner ad tracking
A distinction can be made between session and persistent cookies.
A session cookie is used to kee
p
state info for the duration of a visit
and disa
pp
ears after
y
ou close the session/browser. A
p
ersistent cookie
is saved to a le and kept long after the end of the session (until the
s
p
eci ed ex
p
iration date). Another distinction relates to the ori
g
inator
of the cookie. A rst‐party cookie is set from the same domain that
hosts the web page that is being visited. A third‐party cookie is set by
a web server from another domain, such as an ad network servin
g
b
anner a
d
s on t
h
e site t
h
at is
b
ein
g
visite
d
. T
h
ir
d
‐
p
art
y
coo
k
ies are
t
yp
ica
lly
use
d
to trac
k
users across mu
l
ti
pl
e sites an
d
f
or
b
e
h
aviora
l
target
i
ng.
Anot
h
er
d
ata co
ll
ection mec
h
anism in we
b
ana
ly
tics is
p
a
g
e ta
g-
g
in
g
. T
h
is is c
l
ient‐si
d
e
d
ata co
ll
ection an
d
usua
lly
invo
l
ves “ta
gg
in
g
” a
we
b
page wit
h
a co
d
e snippet re
f
erencing a separate JavaScript
l
e t
h
at
d
e
p
osits an
d
rea
d
s a coo
k
ie an
d
sen
d
s
d
ata t
h
rou
gh
to a
d
ata co
ll
ection

1
88
▸ANALYTICS IN A BIG DATA WORL
D
F
i
gure 8.13 Page Tagg
i
ng
User
Web server(s)
request page
HTML code with
JavaScript tag
Data collection
server(s)
When page is loaded, script is run
that collects and sends on data
F
ig
ure 8.14 Examp
l
e Goo
gl
e Ana
ly
t
i
cs Pa
g
e Ta
g
server. T
h
is is i
ll
ustrate
d
in Figure 8.13 . An examp
l
e Goog
l
e Ana
l
ytics
page tag
i
s g
i
ven
i
n F
i
gure 8.14 .
With
p
a
g
e ta
gg
in
g
, the anal
y
tics vendor often
p
rovides a hosted
service whereby the client is provided with a web interface to access
re
p
orts or run anal
y
ses. A
p
o
p
ular exam
p
le of this is Goo
g
le Anal
y
tics.
Tables 8.2 and 8.3 illustrate the advanta
g
es and disadvanta
g
es, res
p
ec
-
tively, of page tagging versus web log analysis.
Other techni
q
ues have also been su
gg
ested for web data collection
b
ut are less commonl
y
used, such as web beacons,
p
acket snif n
g
, web
server plug‐ins, and/or hybrid solutions.
Web KPIs
Once the data has been collected, it can be anal
y
zed and summarized
into various web key performance indicators (KPIs). Page views are

EXAMPLE APPLICATION
S
◂
189
the number of times a page (where
page
is an analyst‐de nable unit of
content) was viewed. It is an im
p
ortant buildin
g
block for other met-
rics, but it is not that meaningful on its own because we don’t know
whether the customer met his or her purpose after having visited a
p
a
g
e. Also, in toda
y
’s web environment, it mi
g
ht not be that strai
g
ht-
forward to de ne a web page unambiguously. The next step is iden
-
tif
y
in
g
and countin
g
visits or sessions. An exam
p
le of a visit could be:
index.h
t
ml
⇒
p
roducts.html
⇒
re
v
ie
w
s.html
⇒
exi
t
.
S
essioniza
t
ion
Ta
bl
e 8.2 Advantages o
f
Page Tagging versus Web Server Log Analysis
Page Tagging Web Server Log Analysis
■ Breaks through proxy servers and browser
cac
hi
n
g
■ Tracks client side events (JavaScript, Flash,
etc.
)
■ Easy client‐side collection o
f
outcome data
(custom tags on order con
rmation page)
■
F
ac
ili
tates rea
l
‐t
i
me
d
ata co
ll
ect
i
on an
d
processing
■ Often hosted service available: potential cost
a
d
vantages
■ Data capture separated from web design
/
programming: Java
S
cript code for data
co
ll
ect
i
on can
l
arge
l
y
b
e up
d
ate
d
b
y
i
n‐
h
ouse
ana
ly
sts or ana
ly
t
i
cs serv
i
ce
p
rov
id
er w
i
t
h
out
IT
department having to implement changes
■ More innovation e
ff
orts put in by web analytics
ven
d
ors
■ Proxy/caching inaccuracies
:
i
f a pa
g
e is cached, no record is
l
ogge
d
on your we
b
server
■
N
o c
li
ent‐s
id
e event trac
ki
ng
■ Most o
f
ten will choose to integrate
wi
t
h
anot
h
er
d
ata
b
ase to o
b
ta
i
n
addi
t
i
ona
l
d
ata
■ Log
les analyzed in batch (unless
s
erver p
l
ug‐
i
ns use
d)
■
I
n‐
h
ouse
d
ata co
ll
ect
i
on an
d
p
rocess
i
ng
■
L
arger re
li
ance on
IT
d
epartment to
i
mp
l
ement c
h
anges to capture more
d
ata
■ Extensive preprocessing required:
“stitch” together log
les
f
rom
d
i
ff
erent servers and
lter them
Table 8.3 Disadvanta
g
es of Pa
g
e Ta
gg
in
g
versus Web Server Lo
g
Anal
y
sis
Page tagging Web server log analysis
■ Not including correct tags, run‐time errors,
an
d
so on, mean
d
ata
i
s
l
ost; cannot go
bac
k
■ Firewalls and browser privacy/security
sett
i
ngs can
hi
n
d
er
d
ata co
ll
ect
i
on
■
C
annot track search engine bots
/
spiders
/
craw
l
ers
(b
ots
d
o not execute ta
g
s
)
■ Less straight
f
orward to capture technical
in
f
o such as errors, bandwidth, download
time, and so
f
orth
■ Loss of control if hosted
■ Hi
s
t
o
ri
ca
l
da
t
a
r
e
m
a
in
s
a
v
a
il
ab
l
e
fo
r
reprocess
i
ng
■ Server‐side data collected regardless of
client con
g
uration
■ Bots
/
spiders
/
crawlers show up in log
■
D
es
i
gne
d
to automat
i
ca
ll
y capture
tec
hni
ca
l in
fo
■
I
n‐
h
ouse so
l
ut
i
on
1
90
▸ANALYTI
CS
IN A BI
G
DATA W
O
RL
D
is a
p
rocedure for determinin
g
which
p
a
g
e views are
p
art of the same
visit. In de nin
g
sessions, one will make use of a combination of IP
address, user agent, cookies, and/or URI parameters. Once the sessions
have been de ned, one could start looking at the visitors. New visitors
are the unique visitors with activity including a rst‐ever visit to the
site during a reporting period. Return visitors are the unique visitors
during a reporting period who had also visited the site prior to that
period. This can be interesting to determine loyalty and af nity of visi-
tors. A next obvious question is how long/deep the visits were. This
can be measured with the followin
g
metrics:
■ Page views per visit (or a
l
so visit
d
ept
h
, page
l
oa
d
activity);
f
or
examp
l
e, t
h
e visitor
b
rowse
d
t
h
roug
h
t
h
ree
d
i
ff
erent pages
■ Time on page
■ Time on site (also called visit duration or len
g
th); for exam
p
le,
the visit lasted ve minutes in total
It is im
p
ortant to note that these metrics should be inter
p
reted in
the a
pp
ro
p
riate wa
y
. For exam
p
le, a su
pp
ort site mi
g
ht want to solve
the problem quickly and aim for a short time on site and/or call avoid
-
ance, whereas a content site mi
g
ht want to
g
et customers en
g
a
g
ed and
aim for a lon
g
er time on site.
Another very important metric is the bounce rate. It is de ned as
the ratio of visits where a visitor left instantl
y
after havin
g
seen the
rst
p
a
g
e. It can be further re ned as follows:
■ Bounce rate of the site: ratio of single page view visits (or
b
ounces) over total visits
■ Bounce rate of a speci c page: single page view visits of that
p
a
g
e over number of visits where that
p
a
g
e was the entr
y
p
a
g
e
It is also important to consider the referring web page URI because
it also includes search ke
y
words and ke
y
p
hrases for search en
g
ine
tra
f
c sources. Ot
h
er interesting measures are:
■ Most viewe
d
p
a
g
es (to
p
content,
p
o
p
u
l
ar
p
a
g
es)
■
T
op entry pages
■ To
p
exit
p
a
g
es (
l
ea
k
a
g
e)
■ To
p
d
estinations (exit
l
in
k
s)

EXAMPLE APPLICATION
S
◂1
9
1
Finall
y
, a ver
y
im
p
ortant metric is the conversion rate. A conver-
sion is a visitor
p
erformin
g
an action that is s
p
eci ed as a useful out-
come considering the purpose of the site. The conversion rate is then
de ned as the percentage of visits or of unique visitors for which we
observed the action (e.g., order received, lead collected, newsletter
sign up). It is hereby important to combine the conversion rate also
with other outcome data, such as sales price, revenue, ROI, and so on.
For a checkout process, one could consider the following metrics:
■ Cart abandonment rate
=
1
−
number of people who start
c
h
ec
k
out/tota
l
A
dd
to Cart c
l
ic
k
s
■
Ch
ec
k
ou
t
a
b
an
d
onmen
t
ra
t
e
=
1
−
num
b
er o
f
peop
l
e w
h
o
comp
l
ete c
h
ec
k
out/num
b
er o
f
peop
l
e w
h
o start c
h
ec
k
out
It is important to note that small improvements in these metrics
can usuall
y
lead to substantial revenue
g
ains.
The avera
g
e visits or da
y
s to
p
urchase is a
p
an‐session metric
g
iv
-
ing insight into how long it takes people to buy from your website (or
submit a lead).
Turning Web KPIs into Actionable Insights
Ultimatel
y
, it is the
p
ur
p
ose to transform the metrics discussed earlier
into actionable insights. Each metric should be compared in time to
see whether there are an
y
si
g
ni cant chan
g
es. For exam
p
le,
p
o
p
ular
referrers are disa
pp
earin
g
, new referrers come in, to
p
ve referrers
changed, top destinations changed, and so forth. Trend analysis is very
useful here. It is im
p
ortant to verif
y
whether there is an u
p
ward/down
-
ward trend, or any seasonalities or daily/weekly/monthly patterns to
observe. This is illustrated in Figure 8.15 for the conversion rate.
Dashboards will be used to effectivel
y
monitor and communicate
t
h
e we
b
KPIs. T
h
e
y
o
f
ten
p
rovi
d
e intuitive in
d
icators suc
h
as
g
au
g
es,
sto
pl
i
gh
ts, an
d
a
l
erts an
d
can
b
e
p
ersona
l
ize
d
.
Figure 8.15 Monitoring the Conversion Rate
KPI
Conversion rate
…
Last week
2.0%
This week
1.6%
Percent change
–20%

1
92
▸ANALYTI
CS
IN A BI
G
DATA W
O
RL
D
Benchmarkin
g
can also be ver
y
useful to com
p
are internal web
KPIs a
g
ainst industr
y
standards. Po
p
ular benchmark service
p
roviders
are Fireclick and Google Analytics’s benchmarking service.
Segmentation is also very important in order to turn web KPIs into
actionable insights. Any measure can be broken down into segments
of interest and aggregate (total, proportion, average) numbers can
b
e computed per segment. For example, one could segment bounce/
conversion rates by:
■ Top ve referrers
■
S
earc
h
t
ra
f
c or no
t
■ Geograp
h
ica
l
region
■ Ac
q
uisition strate
gy
(i.e.,
d
irect mar
k
etin
g
, PPC, SEO/or
g
anic
search, email marketin
g
, newsletter, af liates)
This can be very ef ciently supported by means of OLAP facilities
to
p
erform interactive anal
y
sis of lar
g
e volumes of web KPI data from
multi
p
le dimensions.
Site search reports are also very useful because they provide a basic
understandin
g
of the usa
g
e of the internal search en
g
ine. This is a basic
form of market research because the users tell
y
ou exactl
y
what the
y
are looking for. It is interesting to consider the following:
■ Site search usa
g
e
■ How much is the search function used?
■ What ke
y
words are used most?
■ Site search
q
ualit
y
■ Calculate bounce rate for site search (% search exits)
Navigation Analysis
Navi
g
ation ana
ly
sis a
ll
ows us to un
d
erstan
d
h
ow users navi
g
ate
t
h
roug
h
t
h
e we
b
site.
Pat
h
ana
ly
sis
g
ives insi
gh
t into
f
re
q
uent navi
g
ation
p
atterns. It
ana
ly
zes,
f
rom a
g
iven
p
a
g
e, w
h
ic
h
ot
h
er
p
a
g
es a
g
rou
p
o
f
users visit
next in
x
percent of the times. Note, however, that this assumes that
x
t
h
e users
f
o
ll
ow a
l
inear
p
at
h
, w
h
ic
h
is not a
l
wa
y
s t
h
e case.
EXAMPLE APPLI
C
ATI
O
N
S
◂1
93
A funnel
p
lot focuses on a
p
redetermined se
q
uence (e.
g
., a check
out
p
rocess) and measures entr
y
/abandonment at each sta
g
e.
A page overlay/click density analysis shows clicks or other metrics
(e.g., bounce/conversion rates) overlaid directly on actual pages such
that one can traverse through the website as a group of users typically
navigates through it. Heat maps then have colors indicating the click
frequencies.
Again, it is important to combine all these plots with segmentation
to give actionable insights.
Search Engine Marketing Analytics
Web anal
y
tics can also be used to measure the ef cienc
y
of search
en
g
ine marketin
g
. Two t
yp
es of search en
g
ine marketin
g
are search
engine optimization (SEO) and pay per click (PPC). In SEO, the
p
ur
p
ose is to im
p
rove or
g
anic search results in a search en
g
ine (e.
g
.,
Goo
g
le, Yahoo!) without
p
a
y
in
g
for it. This can be accom
p
lished b
y
carefully designing the website. In PPC, one pays a search engine for
a link/ad to the website to a
pp
ear in the search results. The link/ad is
then listed de
p
endin
g
on the search en
g
ine al
g
orithm, the bid, and the
competitor’s bids. Popular examples are Google AdWords and Yahoo!
Search Marketin
g
. SEO efforts can be measured as follows:
■ Inclusion ra
t
io
=
number of
p
a
g
es indexed/number of
p
a
g
es on
your website. Note that sometimes you do not want pages to be
indexed, to avoid users arrivin
g
too dee
p
within a website.
■ Robot/crawl statistics report. See how frequently your website
is bein
g
visited b
y
search en
g
ine robots and how dee
p
the
y
g
et.
Note that this should be done based on seb log analysis, since
robots do not run JavaScri
p
t
p
a
g
e ta
g
s.
■ Trac
k
in
b
oun
d
l
in
k
s
by
usin
g
www.m
y
site.com in Goo
gl
e.
■ Goog
l
e we
b
master too
l
s t
h
at s
h
ow,
f
or t
h
e most popu
l
ar searc
h
k
e
y
wor
d
s or
ph
rases t
h
at
h
ave returne
d
p
a
g
es
f
rom
y
our site,
t
h
e num
b
er o
f
im
p
ressions or user
q
ueries
f
or w
h
ic
h
y
our
we
b
site appeare
d
in t
h
e searc
h
resu
l
ts an
d
t
h
e num
b
er o
f
users
w
h
o actua
lly
c
l
ic
k
e
d
an
d
came to
y
our we
b
site.

1
9
4▸ANALYTICS IN A BIG DATA WORL
D
■ Track rankin
g
s for
y
our to
p
ke
y
words/ke
y
p
hrases.
■ See whether ke
y
words link to
y
our most im
p
ortant
p
a
g
es.
PPC efforts can be tracked as follo
w
s:
■ Reports that differentiate bid terms versus search terms when
users enter site through PPC campaign (e.g., bid term is “laptop”
but search term is “cheap laptops”)
■ Analyze additional data obtained about ad impressions, clicks,
cost
■ Keywor
d
position report (
f
or examp
l
e, A
d
Wor
d
s position report)
■ Speci
es position your a
d
was in w
h
en c
l
ic
k
e
d
■ Can s
h
ow any metric (e.g., unique visitors, conversion rate,
bounce rate) per position
A/B and Multivariate Testing
The
p
ur
p
ose here is to set u
p
an ex
p
eriment whereb
y
different
p
a
g
es
or
p
a
g
e elements are shown to randoml
y
sam
p
led visitors. Exam
p
le
pages that could be considered are landing page ( rst page of a visit),
p
a
g
e in checkout
p
rocess, most
p
o
p
ular
p
a
g
e(s), or
p
a
g
es with hi
g
h
b
ounce ra
t
es.
In A/B testing, one tests two alternative versions of a web page
on a random sam
p
le of visitors and com
p
ares a
g
ainst a control
g
rou
p
(who
g
ets the ori
g
inal
p
a
g
e). This is illustrated in Fi
g
ure 8.16 .
F
ig
ure 8.16 A/B Test
i
n
g
Conversion
rate
50%
25%
25%
Clicked
on link
to page
Original
Version
A
Version
B
Conversion
page
Random
sample
2.0%
1.9%
3.0%
Test significance!

EXAMPLE APPLI
C
ATI
O
N
S
◂1
95
Mu
l
tivariate testing aims at testing more t
h
an one e
l
ement on a
page at t
h
e same time (see Figure 8.17 ). Note t
h
at one can a
l
so test
price sensitivity or
d
i
ff
erent pro
d
uct
b
un
dl
es, w
h
ic
h
requires integra-
tion with back‐end data sources.
Parametric data anal
y
sis can then be used to understand the effect
of individual page elements and their interactions on a target measure
of interest (e.
g
., bounce or conversion rate). Also, techni
q
ues from
ex
p
erimental desi
g
n can be used to intelli
g
entl
y
decide on the various
page versions to be used.
SOCIAL MEDIA ANALYTICS
With the rising popularity of the web, people are closer connected to
each other than ever before. While it onl
y
has been a few
y
ears since
p
eo
p
le communicated with each other on the street, the demo
g
ra
p
hic
b
oundaries are fading away through the recently trending online
communication channels. The mar
g
inal effect of traditional word‐of‐
mouth advertising is replaced by the enormous spread of information
and in uence through the wires of the World Wide Web. Web users
have been
p
uttin
g
billions of data online on websites like Facebook
an
d
M
y
S
p
ace (socia
l
networ
k
sites), Twitter (micro
bl
o
g
site), YouTu
b
e
an
d
Dai
ly
Motion (mu
l
time
d
ia‐s
h
arin
g
), F
l
ic
k
r an
d
S
h
utterF
ly
(
ph
oto
s
h
aring), Lin
k
e
d
In an
d
ZoomIn
f
o (
b
usiness‐oriente
d
socia
l
networ
k
site), Wi
k
i
p
e
d
ia an
d
O
p
en Director
y
Pro
f
oun
d
(user‐
g
enerate
d
enc
y
-
c
l
o
p
e
d
ia), Re
dd
it (content votin
g
site), an
d
man
y
ot
h
ers.
Users are no
l
onger re
l
uctant to s
h
are persona
l
in
f
ormation a
b
out
t
h
emse
l
ves, t
h
eir
f
rien
d
s, t
h
eir co
ll
ea
g
ues, t
h
eir i
d
o
l
s, an
d
t
h
eir
p
o
l
itica
l
Figure 8.17 Multivariate Testing
X1: headline
X2: sales
copy
X4: button text
X3: image
(e.g., “hero
shot”)
1
96
▸ANALYTI
CS
IN A BI
G
DATA W
O
RL
D
p
references with an
y
bod
y
who is interested in them. Nowada
y
s, with
the boomin
g
rise of mobile a
pp
lications, web users are 24/7 connected
to all kinds of social media platforms, giving real‐time information
about their whereabouts. As such, a new challenging research domain
arises: social media analytics. While these data sources offer invaluable
knowledge and insights in customer behavior and enable marketers
to more carefully pro le, track, and target their customers, crawling
through such data sources is far from evident because social media
data can take immense magnitudes never seen before.
From a sales‐oriented
p
oint of view, social media offers advanta
g
es
f
or
b
ot
h
parties in t
h
e
b
usiness–consumer re
l
ations
h
ip. First, peop
l
e
s
h
are t
h
oug
h
ts an
d
opinions on we
bl
ogs, micro
bl
ogs, on
l
ine
f
orums,
an
d
review we
b
sites, creating a strong e
ff
ect o
f
d
igita
l
wor
d
‐o
f
‐mout
h
advertising. Web users can use others’ experience to gain informa-
tion and make
p
urchase decisions. As such, consumers are no lon-
g
er fallin
g
for trans
p
arent business tricks of a sales re
p
resentative, but
they are well‐informed and make conscious choices like true experts.
Public o
p
inions are volatile. Toda
y
’s zeroes are tomorrow’s heroes.
Com
p
anies are forced to kee
p
offerin
g
hi
g
h‐
q
ualit
y
p
roducts and ser-
vices, and only a small failure can have disastrous consequences for
the future. Kee
p
in
g
one ste
p
ahead of the com
p
etition is a tou
g
h and
intensive
p
rocess, es
p
eciall
y
when re
g
ional com
p
etitors are also able
to enter the game. On a large scale, the main competitors for an indus
-
tr
y
used to consists of the bi
g
p
la
y
ers of the market, while local busi-
nesses were too small and
p
la
y
in
g
to
g
ether with the bi
g
g
u
y
s re
q
uired
capital‐intensive investments. The Internet changed the competitive
environment drasticall
y
, and consumers can easil
y
com
p
are
p
roduct
and service characteristics of both local and global competitors.
Although the merciless power of the public cannot be underes
-
timated, com
p
anies should embrace and de
p
lo
y
social media data.
Peo
pl
e trust socia
l
me
d
ia
pl
at
f
orms wit
h
t
h
eir
p
ersona
l
d
ata an
d
inter-
ests, ma
k
in
g
it an inva
l
ua
bl
e
d
ata source
f
or a
ll
t
yp
es o
f
sta
k
e
h
o
ld
ers.
Mar
k
eters w
h
o are searc
h
ing
f
or t
h
e most promising an
d
pro
ta
bl
e
consumers to tar
g
et are now a
bl
e to ca
p
ture more concrete consumer
c
h
aracteristics, an
d
h
ence
d
eve
l
o
p
a
b
etter un
d
erstan
d
in
g
o
f
t
h
eir cus
-
tomers.
Z
eng
39
d
escri
b
e
d
socia
l
me
d
ia as an essentia
l
component o
f
t
h
e next‐
g
eneration
b
usiness inte
ll
i
g
ence
pl
at
f
orm. Po
l
iticians an
d
EXAMPLE APPLI
C
ATI
O
N
S
◂1
9
7
g
overnmental institutions can
g
et an im
p
ression of the
p
ublic o
p
inion
throu
g
h the anal
y
sis of social media. Durin
g
election cam
p
ai
g
ns, stud-
ies claim that political candidates with a higher social media engage-
ment got relatively more votes within most political parties.
4
0
Social
media analytics is a select tool to acquire and propagate one’s reputa-
tion. Also, nonpro t organizations such as those in the health sector
b
ene t from the dissemination power of social media, anticipating, for
example, disease outbreaks, identifying disease carriers, and setting up
a right vaccination policy.
4
1
Social media anal
y
tics is a multifaceted domain. Data available on
socia
l
me
d
ia p
l
at
f
orms contain
d
iverse in
f
ormation ga
l
ore, an
d
f
ocusing
on t
h
e re
l
evant pieces o
f
d
ata is
f
ar
f
rom o
b
vious an
d
o
f
ten un
f
easi
bl
e.
W
h
i
l
e certain socia
l
me
d
ia p
l
at
f
orms a
ll
ow one to craw
l
pu
bl
ic
l
y acces
-
sible data through their API (application programming interface), most
social networkin
g
sites are
p
rotective toward data sharin
g
and offer
b
uilt‐in advertisement tools to set u
p
p
ersonalized marketin
g
cam
-
paigns. This is brie y discussed in the rst subsection. The next subsec
-
tions introduce some basic conce
p
ts of sentiment and network anal
y
sis.
Social Networking Sites: B2B Advertisement Tools
A new business‐to‐business (B2B) billion‐dollar industr
y
is launched
b
y capturing users’ information in social network websites, enabling
p
ersonalized advertisin
g
and offerin
g
services for bud
g
et and im
p
act
mana
g
ement.
Facebook Advertising
42
is a far‐evolved marketing tool with an
extensive variet
y
of facilities and services (see Fi
g
ure 8.18 ). De
p
endin
g
on the goal of the advertising campaign, Facebook Advertising calcu-
lates the impact and spread of the digital word‐of‐mouth advertising.
Facebook Advertisin
g
not onl
y
su
pp
orts sim
p
le marketin
g
cam
p
ai
g
ns
suc
h
as increasin
g
t
h
e num
b
er o
f
c
l
ic
k
s to a we
b
site (c
l
ic
k
rate) or
p
a
g
e
l
i
k
es (
l
i
k
e rate) an
d
strivin
g
f
or more reactions on messa
g
es
p
oste
d
by
t
h
e user (comment an
d
s
h
are rate),
b
ut a
l
so more a
d
vance
d
options
l
i
k
e mo
b
i
l
e a
pp
en
g
a
g
ement (
d
own
l
oa
d
an
d
usa
g
e rate) an
d
we
b
site
conversion (conversion rate) are
p
rovi
d
e
d
. T
h
e conversion rate o
f
a
mar
k
eting campaign re
f
ers to t
h
e proportion o
f
peop
l
e w
h
o un
d
erta
k
e
a
p
re
d
e
ne
d
action. T
h
is action can
b
e an enro
ll
ment
f
or a news
l
etter,

198
▸ANALYTI
CS
IN A BI
G
DATA W
O
RL
D
l
eavin
g
an emai
l
a
dd
ress,
b
u
y
in
g
a
p
ro
d
uct,
d
own
l
oa
d
in
g
a tria
l
ver
-
sion, an
d
so on, an
d
is s
p
eci
c
f
or eac
h
mar
k
etin
g
cam
p
ai
g
n. Face
b
oo
k
measures conversion rates
b
y inc
l
u
d
ing a conversion‐trac
k
ing pixe
l
on t
h
e we
b
p
a
g
e w
h
ere conversion wi
ll
ta
k
e
pl
ace. A
p
ixe
l
is a sma
ll
p
iece o
f
co
d
e communicatin
g
wit
h
t
h
e Face
b
oo
k
servers an
d
trac
k
in
g
w
h
ic
h
users saw a we
b
page an
d
per
f
orme
d
a certain action. As suc
h
,
Face
b
oo
k
A
d
vertisin
g
matc
h
es t
h
e users wit
h
t
h
eir Face
b
oo
k
p
ro
l
e
an
d
p
rovi
d
es a
d
etai
l
e
d
overview o
f
customer c
h
aracteristics an
d
t
h
e
campa
i
gn
i
mpact.
Face
b
oo
k
A
d
vertisin
g
a
ll
ows users to create
p
ersona
l
ize
d
a
d
s an
d
tar
g
et a s
p
eci
c
p
u
bl
ic
by
se
l
ectin
g
t
h
e a
pp
ro
p
riate c
h
aracteristics in
terms o
f
d
emograp
h
ics, interests,
b
e
h
avior, an
d
re
l
ations
h
ips. T
h
is is
s
h
own in Fi
g
ure 8.19 . A
d
vertisements are
d
is
pl
a
y
e
d
accor
d
in
g
to a
b
i
d-
d
ing system, w
h
ere t
h
e most eye‐catc
h
ing spots o
f
a page are t
h
e most
expensive ones. W
h
en a user opens
h
is or
h
er Face
b
oo
k
page, a virtua
l
auction
d
eci
d
es w
h
ic
h
a
d
wi
ll
b
e
pl
ace
d
w
h
ere on t
h
e
p
a
g
e. De
p
en
d
in
g
on t
h
e ma
g
nitu
d
e an
d
t
h
e
p
o
p
u
l
arit
y
o
f
(a
p
art o
f
) t
h
e c
h
osen au
d
ience,
Face
b
oo
k
su
gg
ests a
b
i
dd
in
g
amount. A sa
f
er so
l
ution is to
x a maxi
-
mum
b
i
d
amount in a
d
vance. T
h
e
h
i
gh
er t
h
e amount o
f
t
h
e
b
i
d
, t
h
e
h
i
gh
er t
h
e
p
ro
b
a
b
i
l
it
y
o
f
g
ettin
g
a
g
oo
d
a
d
pl
acement. Notice,
h
owever,
t
h
at t
h
e winnin
g
b
i
d
d
oes not necessari
ly
h
ave to
p
a
y
t
h
e maximum
b
i
d
amount. On
ly
w
h
en man
y
a
d
s are com
p
etin
g
d
o a
d
p
rices rise
d
rasti
-
ca
lly
. As suc
h
, t
h
e
p
rice o
f
an a
d
d
i
ff
ers
d
e
p
en
d
in
g
on t
h
e tar
g
et user.
Figure 8.18 Determining Advertising Objective in Facebook Advertising

EXAMPLE APPLI
C
ATI
O
N
S
◂
199
The business‐oriented social networkin
g
site LinkedIn offers simi
-
lar services as Facebook. The LinkedIn Campaign Manager
43 allows
the marketer to create
p
ersonalized ads and to select the ri
g
ht custom
-
ers. Com
p
ared to Facebook, LinkedIn Cam
p
ai
g
n Mana
g
ers offers ser-
vices to target individuals based on the characteristics of the companies
the
y
are workin
g
at and the
j
ob function the
y
have (see Fi
g
ure 8.20 ).
While Facebook Advertisin
g
is
p
articularl
y
suitable for Business‐to
‐
Consumer (B2C) marketing, LinkedIn Campaign Manager is aimed at
advertisements for Business‐to Business (B2B) and Human Resource
Mana
g
ement (HRM)
p
ur
p
oses.
As most tools are self-explanatory, the reader must be careful when
d
ep
l
oying t
h
ese a
d
vertisement too
l
s since t
h
ey may
b
e so user
f
rien
dl
y
that the user no lon
g
er realizes what he/she is actuall
y
doin
g
with them.
Ma
k
e sure t
h
at
y
ou s
p
eci
fy
a maximum
b
u
dg
et an
d
c
l
ose
ly
monitor a
ll
activities an
d
a
d
vertisement costs,
d
e
nite
l
y at t
h
e start o
f
a mar
k
et
-
in
g
cam
p
ai
g
n. A sma
ll
error can resu
l
t in a cost o
f
t
h
ousan
d
s or even
mi
ll
ions o
f
d
o
ll
ars in on
ly
a
f
ew secon
d
s. Goo
d
k
now
l
e
dg
e o
f
a
ll
t
h
e
f
aci
l
ities is essentia
l
to pursue a
h
ea
l
t
h
y on
l
ine mar
k
eting campaign.
F
i
gure 8.19 Choosing the Audience
f
or Facebook Advertising Campaign

2
00
▸ANALYTI
CS
IN A BI
G
DATA W
O
RL
D
Sentiment Analysis
Certain social media platforms allow external servers to capture data
from a
p
ortion of the users. This
g
atewa
y
for external a
pp
lications is
called the API. An API has multiple functions. It offers an embedded
interface to other
p
ro
g
rams. For exam
p
le, the Twitter API
44
can be
used on other sites to identif
y
visitors b
y
their Twitter account. Inte
-
grated tweet elds and buttons on web pages allow users to directly
p
ost a reaction without leavin
g
the web
p
a
g
e. Like buttons are directl
y
connected to
y
our Facebook
p
a
g
e throu
g
h the Facebook API
45
a
n
d
immediately share the like with all of your friends. However, APIs
often
p
ermit external servers to connect and mine the
p
ublicl
y
avail-
a
bl
e
d
ata. Un
d
e
l
imite
d
user‐
g
enerate
d
content
l
i
k
e text,
ph
otos, music,
vi
d
eos, an
d
s
l
i
d
es
h
ows is not eas
y
to inter
p
ret
by
com
p
uter‐contro
ll
e
d
a
lg
orit
h
ms.
Sentiment ana
ly
sis an
d
o
p
inion minin
g
f
ocus on t
h
e ana
ly
sis o
f
text an
d
d
eterminin
g
t
h
e
gl
o
b
a
l
sentiment o
f
t
h
e text. Be
f
ore t
h
e
actua
l
sentiment o
f
a text
f
ra
g
ment can
b
e ana
ly
ze
d
, text s
h
ou
ld
b
e
Fi
g
ure 8.20 LinkedIn Campai
g
n Mana
g
er

EXAMPLE APPLICATION
S
◂2
0
1
preprocessed in terms of tag removal, tokenization, stopword removal,
and stemming. Afterward, each word is associated with a sentiment.
The dominant
p
olarit
y
of the text de nes the nal sentiment.
Because text contains many irrelevant words and symbols, unnec-
essar
y
ta
g
s are remove
d
f
rom t
h
e text, suc
h
as URLs an
d
p
unctua
-
tion mar
k
s. Fi
g
ure 8.21 re
p
resents an exam
pl
e o
f
a tweet. T
h
e
l
in
k
in
t
h
e tweet
d
oes not contain an
y
use
f
u
l
in
f
ormation, t
h
us it s
h
ou
ld
b
e
remove
d
f
or sentiment ana
ly
sis. T
h
e to
k
enization ste
p
converts t
h
e
text into a stream o
f
wor
d
s. For t
h
e tweet s
h
own in Figure 8.21 , t
h
is
wi
ll
resu
l
t in:
Data Science / roc
k
s / exce
ll
ent /
b
oo
k
/ written /
b
y / my / goo
d
/
f
rien
d
s / Foster Provost / an
d
/ Tom Fawcett / a / must / rea
d
In a next step, stopwor
d
s are
d
etecte
d
an
d
remove
d
f
rom t
h
e
sentence.
A
stopword
is a wor
d
in a sentence t
h
at
h
as no in
f
ormative
d
meaning,
l
i
k
e artic
l
es, conjunctions, prepositions, an
d
so
f
ort
h
. Using
a pre
d
e
ne
d
mac
h
ine‐rea
d
a
bl
e
l
ist, stopwor
d
s can easi
l
y
b
e i
d
enti
e
d
an
d
remove
d
. A
l
t
h
oug
h
suc
h
a stop
l
ist can
b
e constructe
d
manua
ll
y,
wor
d
s wit
h
an IDF (inverse
d
ocument
f
requency) va
l
ue c
l
ose to zero
are automatica
ll
y a
dd
e
d
to t
h
e
l
ist. T
h
ese IDF va
l
ues are compute
d
b
ase
d
on t
h
e tota
l
set o
f
text
f
ragments t
h
at s
h
ou
ld
b
e ana
l
yze
d
. T
h
e
more a wor
d
appears in t
h
e tota
l
text, t
h
e
l
ower its va
l
ue. T
h
is gives:
Data Science / roc
k
s / exce
ll
ent /
b
oo
k
/ written / goo
d
/
f
rien
d
s /
Foster Provost / Tom Fawcett / rea
d
Many variants o
f
a wor
d
exist. Stemming converts eac
h
wor
d
b
ac
k
to its stem or root: A
ll
conjugations are trans
f
orme
d
to t
h
e correspon
d-
in
g
verb, all nouns are converted to their sin
g
ular form, and adverbs
and ad
j
ectives are brou
g
ht back to their base form. A
pp
lied to the
p
re-
vious exam
p
le, this results in:
Data Science / rock / excellent / book /
w
rite / friend / Foster Pro
v
ost /
Tom Fa
w
cett / read
F
i
gure 8.21 Sentiment Analysis for Tweet
202
▸ANALYTICS IN A BIG DATA WORL
D
Each word has a
p
ositive
(
+
), ne
g
ative (−) or neutral (o)
p
olarit
y
.
A
g
ain, al
g
orithms use
p
rede ned dictionaries to assi
g
n a sentiment to
a word. The example contains many positive and neutral words, as
shown below
:
Data Scienc
e
/
r
oc
k
/
e
xcellen
t
/
b
oo
k
/ writ
e
/
f
rien
d
/
Foster Provos
t
/ Tom Fawcett
/
r
ea
d
o
+
+
o
o
+
o
o
o
The overall sentiment of the above tweet is thus positive. Although
this procedure could easily capture the sentiment of a text fragment,
more advanced analysis techniques merge different opinions from
mu
l
tip
l
e users toget
h
er an
d
are a
bl
e to summarize g
l
o
b
a
l
pro
d
uct or
service a
f
nity, as we
ll
as assign a genera
l
f
ee
l
ing towar
d
neutra
l
‐
po
l
arize
d
wor
d
s.
Network Analytics
Instea
d
o
f
ana
l
yzing user‐generate
d
content, networ
k
ana
l
ytics
f
ocuses
on t
h
e re
l
ations
h
ips
b
etween users on socia
l
me
d
ia p
l
at
f
orms. Many
socia
l
me
d
ia
pl
at
f
orms a
ll
ow t
h
e user to i
d
enti
fy
t
h
eir ac
q
uaintances.
Five types o
f
re
l
ations
h
ips can
b
e
d
istinguis
h
e
d
:
4
6
1.
Friends
.
T
h
ere is a mutua
l
p
ositive re
l
ations
h
i
p
b
etween two
users. Bot
h
users
k
now eac
h
ot
h
er, an
d
ac
k
now
l
e
dg
e t
h
e asso
-
ciation
b
etween t
h
em.
2
.
Admirers
.
A user receives reco
g
nition
f
rom anot
h
er user,
b
ut
t
h
e re
l
ations
h
ip is not reciproca
l
.
3.
Idols
.
A user ac
k
now
l
e
dg
es a certain
p
ositive connecte
d
ness
w
it
h
anot
h
er user,
b
ut t
h
e re
l
ations
h
ip is not reciproca
l
.
4
.
N
eutrals
.
T
w
o users
d
o not
k
no
w
eac
h
ot
h
er an
d
d
o not com-
municate wit
h
eac
h
ot
h
er.
5
. Enem
i
es. T
h
ere is a ne
g
ative re
l
ations
h
i
p
b
etween two users.
Bot
h
users
k
now eac
h
ot
h
er,
b
ut t
h
ere is a ne
g
ative s
ph
ere.
A
l
t
h
ou
gh
in most socia
l
networ
k
in
g
sites on
ly
f
rien
d
s
h
i
p
re
l
ation
-
s
h
i
p
s are ex
pl
oite
d
, Twitter incor
p
orates a
d
mirers (
f
o
ll
owers) an
d
i
d
o
l
s
(
f
o
ll
owees)
by
ena
bl
in
g
users to
d
e
ne t
h
e
p
eo
pl
e t
h
e
y
are intereste
d
in. A
d
mirers receive t
h
e tweets o
f
t
h
eir i
d
o
l
s. Enem
y
re
l
ations
h
i
p
s are
not common in socia
l
networ
k
in
g
sites, exce
p
t
f
or Enem
y
Gra
ph
.
4
7
T
h
e

EXAMPLE APPLI
C
ATI
O
N
S
◂
203
p
ower of social network sites de
p
ends on the true re
p
resentation of
rea
l
‐wor
ld
re
l
ations
h
i
p
s
b
etween
p
eo
pl
e. Lin
k
p
re
d
iction is one su
b
-
domain of network analytics where one tries to predict which neutral
links are actually friendship, admirer, or idol relationships. Tie strength
prediction is used to determine the intensity of a relationship between
t
wo users.
Homophily , a concept from sociology, states that people tend to
connect to other similar people and they are unlikely to connect with
dissimilar people. Similarity can be expressed in terms of the same
demo
g
ra
p
hics, behavior, interests, brand af nit
y
, and so on. As such,
in networ
k
s c
h
aracterize
d
b
y
h
omop
h
i
l
y, peop
l
e connecte
d
to eac
h
ot
h
er are more
l
i
k
e
l
y to
l
i
k
e t
h
e same pro
d
uct or service. Gat
h
ering t
h
e
true
f
rien
d
s
h
ip, a
d
mirer, an
d
i
d
o
l
re
l
ations
h
ips
b
etween peop
l
e ena
bl
es
marketers to make more informed decisions for customer acquisition
and retention. An individual surrounded b
y
man
y
lo
y
al customers
has a hi
g
h
p
robabilit
y
of bein
g
a future customer. Customer ac
q
ui-
sition projects should identify those high‐potential customers based
on the users’ nei
g
hborhoods and focus their marketin
g
resources on
them. This is shown in Fi
g
ure 8.22 (a). However, a customer whose
friends have churned to the competition is likely to be a churner as
well, and should be offered additional incentives to
p
revent him or her
Fi
g
ure 8.22 Social Media Anal
y
tics for Customer Acquisition (a) and Retention (b). Gre
y
nodes are in
f
avor o
f
a s
p
eci
c brand, black nodes are brand‐averse.
(a) (b)
2
0
4▸ANALYTI
CS
IN A BI
G
DATA W
O
RL
D
from leavin
g
. Similar to customer ac
q
uisition, these customers can be
detected usin
g
relational information available on social media
p
lat-
forms. This is shown in Figure 8.22 (b). In uence propagates through
the network. The aforementioned analysis techniques focus on the
properties of the direct neighborhood (one hop). Although direct asso-
ciates contain important information, more advanced algorithms focus
on in uence propagation of the whole network, revealing interesting
patterns impossible to detect with the bare eye.
Although social media analytics nowadays is indispensable in
com
p
anies’ market research
p
ro
j
ects, it is hi
g
hl
y
advised to verif
y
the
regiona
l
, nationa
l
, an
d
internationa
l
privacy regu
l
ations
b
e
f
ore start-
ing (see privacy section). In t
h
e past, some companies
d
i
d
not comp
l
y
wit
h
t
h
e prevai
l
ing privacy
l
egis
l
ation an
d
ris
k
e
d
very steep
nes.
BUSINESS PROCESS ANALYTICS
In recent years, the concept of business process management (BPM)
has been
g
ainin
g
traction in modern com
p
anies.
4
8
Broadl
y
p
ut, the
mana
g
ement eld aims to
p
rovide an encom
p
assin
g
a
pp
roach in order
to align an organization’s business processes with the concerns of every
involved stakeholder. A business
p
rocess is then a collection of struc-
tured
,
interrelated activities or tasks that are to be executed to reach a
particular goal (produce a product or deliver a service). Involved par-
ties in business
p
rocesses include, amon
g
others, mana
g
ers (“
p
rocess
owners”), who ex
p
ect work to be dele
g
ated swiftl
y
and in an o
p
timal
manner; employees, who desire clear and understandable guidelines
and tasks that are in line with their skillset
;
and clients who
,
natu-
rally, expect ef ciency and quality results from their suppliers. Fig
-
ure 8.23 gives an example business process model for an insurance
claim intake
p
rocess shown in the business
p
rocess modelin
g
lan
g
ua
g
e
(
BPMN) stan
d
ar
d
. Numerous visua
l
ization
f
orms exist to
d
esi
g
n an
d
mo
d
e
l
b
usiness
p
rocesses,
f
rom eas
y
owc
h
art‐
l
i
k
e
d
ia
g
rams to com-
p
l
ex
f
orma
l
mo
d
e
l
s.
Put t
h
is wa
y
, BPM is o
f
tentimes
d
escri
b
e
d
as a “
p
rocess o
p
timiza
-
tion” met
h
o
d
o
l
o
gy
an
d
is t
h
ere
f
ore mentione
d
to
g
et
h
er wit
h
re
l
ate
d
qua
l
ity contro
l
terms suc
h
as tota
l
qua
l
ity management (TQM), six
si
g
ma e
ff
orts, or continuous
p
rocess im
p
rovement met
h
o
d
o
l
o
g
ies.

Figure 8.23 Example Business Process Model
Claim
intake
Review
policy
Evaluate
claim
Propose
settlement
Close
claim
Calculate new
premium
Approve damage
payment
Reject claim
205

206
▸ANALYTI
CS
IN A BI
G
DATA W
O
RL
D
However, t
h
is
d
escription is somew
h
at
l
ac
k
ing. In
d
ee
d
, one signi
-
cant focal
p
oint of BPM is the actual im
p
rovement and o
p
timization of
p
rocesses, but the conce
p
t also encom
p
asses best
p
ractices toward the
design and modeling of business processes, monitoring (consider for
instance com
p
liance re
q
uirements), and
g
ainin
g
insi
g
hts b
y
unleash-
in
g
anal
y
tical tools on recorded business activities. All these activities
are grouped within the “business process lifecycle,” starting with the
desi
g
n and anal
y
sis of a business
p
rocess (modelin
g
and validation), its
con
g
uration (im
p
lementation and testin
g
), its enactment (execution
and monitoring), and nally, the evaluation, which in turn leads again
to the desi
g
n of new
p
rocesses (see Fi
g
ure 8.24 ).
Process Intelligence
It is mainly in the last part of the BPM life cycle (i.e., evaluation)
where the concepts of process analytics and process intelligence t in.
Just as with business intelli
g
ence (BI) in
g
eneral,
p
rocess intelli
g
ence
is a very broad term describing a plethora of tools and techniques, and
can include an
y
thin
g
that
p
rovides information to su
pp
ort decision
makin
g
.
As suc
h
,
j
ust as wit
h
tra
d
itiona
l
(“
at”)
d
ata‐oriente
d
too
l
s, man
y
ven
d
ors an
d
consu
l
tants
h
ave
d
e
ne
d
p
rocess inte
ll
i
g
ence to
b
e s
y
n-
onymous wit
h
process‐aware query an
d
reporting too
l
s, o
f
tentimes
com
b
ine
d
wit
h
sim
pl
e visua
l
izations in or
d
er to
p
resent a
gg
re
g
ate
d
overviews o
f
a
b
usiness’s actions. In man
y
cases, a
p
articu
l
ar s
y
stem
F
i
gure 8.24 Business Process Management Lifecycle
EXAMPLE APPLI
C
ATI
O
N
S
◂
20
7
will
p
resent itself as bein
g
a hel
p
ful tool toward
p
rocess monitorin
g
and im
p
rovement b
y
p
rovidin
g
KPI dashboards and scorecards, thus
presenting a “health report” for a particular business process. Many
process‐aware information support systems also provide online ana-
lytical processing (OLAP) tools to view multidimensional data from
different angles and to drill down into detailed information. Another
term that has become commonplace in a process intelligence context
is business activity monitoring (BAM), which refers to real‐time monitor
-
ing of business processes and immediate reaction if a process displays a
p
articular
p
attern.
Corporate performance management
(CPM) is another
t
popu
l
ar term
f
or measuring t
h
e per
f
ormance o
f
a process or t
h
e orga
-
nization as a w
h
o
l
e.
A
l
t
h
oug
h
a
ll
t
h
e too
l
s previous
l
y
d
escri
b
e
d
, toget
h
er wit
h
a
ll
t
h
e
three‐letter acronym jargon, are a ne way to measure and query many
as
p
ects of a business’s activities, most tools unfortunatel
y
suffer from
the
p
roblem that the
y
are unable to
p
rovide real insi
g
hts or uncover
meaningful, newly emerging patterns. Just as for non‐process‐related
data sets (althou
g
h re
p
ortin
g
,
q
uer
y
in
g
, a
gg
re
g
atin
g
and drillin
g
, and
ins
p
ectin
g
dashboard indicators are
p
erfectl
y
reasonable for o
p
era-
tional day‐to‐day management), these tools all have little to do with
real
p
rocess anal
y
tics. The main issues lies in the fact that such tools
inherentl
y
assume that users and anal
y
sts alread
y
know what to look
for. That is, writing queries to derive indicators assumes that one
alread
y
knows the indicators of interest. As such,
p
atterns that can
onl
y
be detected b
y
a
pp
l
y
in
g
real anal
y
tical a
pp
roaches remain hid-
den. Moreover, whenever a report or indicator does signal a problem,
users often face the issue of then havin
g
to
g
o on a scaven
g
er hunt
in order to pinpoint the real root cause behind the problem, working
all the way down starting from a high‐level aggregation toward the
source data. Fi
g
ure 8.25
p
rovides an exam
p
le of a
p
rocess intelli
g
ence
d
as
hb
oar
d
.
C
l
ear
ly
, a stron
g
nee
d
is emer
g
in
g
to
g
o
f
urt
h
er t
h
an strai
gh
t
f
orwar
d
reporting in to
d
ay’s
b
usiness processes an
d
to start a t
h
oroug
h
ana
l
ysis
d
irect
ly
f
rom t
h
e ava
l
anc
h
e o
f
d
ata t
h
at is
b
ein
g
l
o
gg
e
d
, recor
d
e
d
, an
d
store
d
an
d
is rea
d
i
ly
avai
l
a
bl
e in mo
d
ern in
f
ormation su
pp
ort s
y
stems,
l
ea
d
ing us to t
h
e areas o
f
process mining an
d
ana
l
ytics.

208
▸ANALYTICS IN A BIG DATA WORL
D
Process Mining and Analytics
In the
p
ast decade, a new research eld has emer
g
ed, denoted as “
p
rocess
minin
g
,” which
p
ositions itself between BPM and traditional data min
-
ing. The discipline aims to provide a comprehensive set of tools to pro
-
vide
p
rocess‐centered insi
g
hts and to drive
p
rocess im
p
rovement efforts.
Contrar
y
to business intelli
g
ence a
pp
roaches, the eld em
p
hasizes a
b
ottom‐up approach, starting from real‐life data to drive analytical tasks.
As
p
reviousl
y
stated,
p
rocess minin
g
builds on existin
g
a
pp
roaches,
such as data minin
g
and model‐driven a
pp
roaches, but is more than
j
ust the sum of these components. For example, as seen previously,
traditional existin
g
data minin
g
techni
q
ues are too data‐centric to
p
ro-
vide a solid understandin
g
of the end‐to‐end
p
rocesses in an or
g
aniza
-
tion, w
h
ereas
b
usiness inte
ll
i
g
ence too
l
s
f
ocus on sim
pl
e
d
as
hb
oar
d
s
an
d
reporting. It is exact
l
y t
h
is gap t
h
at is narrowe
d
b
y process mining
too
l
s, t
h
us ena
bl
in
g
true
b
usiness
p
rocess ana
ly
tics.
The most common task in the area of process mining is called
pro-
cess
d
iscovery
,
in w
h
ic
h
ana
l
ysts aim to
d
erive an as‐is process mo
d
e
l
startin
g
f
rom t
h
e
d
ata as it is recor
d
e
d
in
p
rocess‐aware in
f
ormation
su
pp
ort s
y
stems instea
d
o
f
startin
g
f
rom a to‐
b
e
d
escri
p
tive mo
d
e
l
, an
d
Figure 8.25 Example Process Intelligence Dashboard
S
ource: htt
p
://dashboardmd.net.

EXAMPLE APPLI
C
ATI
O
N
S
◂
209
tr
y
in
g
to ali
g
n the actual data to this model. A si
g
ni cant advanta
g
e of
p
rocess discover
y
is the fact that onl
y
a limited amount of initial data
is required to perform a rst exploratory analysis.
Consider, for example, the insurance claim handling process as it
was previously depicted. To perform a process discovery task, we start
our analysis from a so‐called “event log”: a data table listing the activi
-
ties that have been executed during a certain time period, together
with the case (the process instance) to which they belong. A simple
event fragment log for the insurance claim handling process might look
as de
p
icted in Table 8.4 . Activities are sorted based on the startin
g
time.
Note t
h
at mu
l
tip
l
e process instances can
b
e active at t
h
e same moment
in time. Note a
l
so t
h
at t
h
e execution o
f
some activities can over
l
ap.
Base
d
on rea
l
‐
l
i
f
e
d
ata as it was store
d
in
l
og repositories, it is pos-
sible to derive an as‐is process model that provides an overview of
how the
p
rocess was actuall
y
executed. To do this, activities are sorted
b
ased on their startin
g
time. Next, an al
g
orithm iterates over all
p
ro-
cess cases and creates “ ows of work” between the activities. Activities
that follow each other distinctl
y
(no overla
pp
in
g
start and end times)
Table 8.4 Example Insurance Claim Handlin
g
Event Lo
g
Case
Identifier Start Time Completion Time Activity
Z
100
1
8
‐
13
‐
2013
09
:
43
:
33
8
‐
13
‐
2013
10
:
11
:
21
C
laim intak
e
Z1
004
8
‐1
3
‐2
0
1
3
11:
55
:1
2
8
‐1
3
‐2
0
1
3
1
5
:4
3
:4
1
C
l
a
im int
a
k
e
Z1
001
8
‐1
3
‐2
0
1
3
14:
3
1:
05
8
‐1
6
‐2
0
1
3
1
0
:
55
:1
3
Ev
a
l
ua
t
e
c
l
a
i
m
Z
100
4
8‐13‐2013 16:11:1
4
8‐16‐2013 10:51:2
4
R
ev
i
ew
p
o
li
c
y
Z1
001
8
‐17‐2
0
1
3
11:
08
:
51
8
‐17‐2
0
1
3
17:11:
53
Propose settlemen
t
Z1
001
8
‐
18
‐
2013
14
:
23
:
31
8
‐
21
‐
2013
09
:
13
:
41
Calculate new premiu
m
Z
100
4
8
‐
19
‐
2013
09
:
0
5:
01
8
‐
21
‐
2013
14
:
42
:
11
P
ropose sett
l
emen
t
Z
1
001
8
‐1
9
‐2
0
1
3
12:1
3
:2
5
8
‐22‐2
0
1
3
11:1
8
:2
6
A
pprove
d
amage paymen
t
Z
1
004
8
‐21‐2
0
1
3
11:1
5
:4
3
8
‐2
5
‐2
0
1
3
1
3
:
30
:
08
A
pprove
d
ama
g
e paymen
t
Z1
001
8
‐24‐2
0
1
3
1
0
:
06
:
08
8
‐24‐2
0
1
3
12:12:1
8
C
l
ose
c
l
a
i
m
Z
100
4
8‐24‐2013 12:15:1
2
8‐25‐2013 10:36:4
2
Calculate new
p
remiu
m
Z1
0
1
1
8
‐2
5
‐2
0
1
3
17:12:
02
8
‐2
6
‐2
0
1
3
14:4
3
:
32
C
l
a
im int
a
k
e
Z
100
4
8‐28‐2013 12:43:4
1
8‐28‐2013 13:13:1
1
C
lose clai
m
Z
101
1
8‐26‐2013 15:11:0
5
8‐26‐2013 15:26:5
5
R
e
j
ect c
l
a
im

21
0
▸ANALYTI
CS
IN A BI
G
DATA W
O
RL
D
wi
ll
b
e
p
ut in a se
q
uence. W
h
en t
h
e same activit
y
is
f
o
ll
owe
d
by
d
i
f-
ferent activities over various
p
rocess instances, a s
p
lit is created. When
two or more activities’ executions overlap in time, they are executed
in parallel and are thus both owing from a common predecessor.
After executing the process discovery algorithm, a process map
such as the one depicted in Figure 8.26 can be obtained (using the
Fi
g
ure 8.26 Example of a Discovered Process Map Annotated with Frequenc
y
Counts
Claim intake
3
1
1
1
2
2
2
2
2
2
1
3
1
1
111
1
1
2
2
Review Policy
Evaluate claim
Propose settlement
Close claim
Calculate new premium Approve damage payment
Reject claim

EXAMPLE APPLICATION
S
◂211
Disco software
p
acka
g
e). The
p
rocess ma
p
can be annotated with vari
-
ous information, such as fre
q
uenc
y
counts of an activit
y
’s execution.
Figure 8.27 shows the same process map now annotated with perfor
-
mance‐based information (mean execution time). Note that, together
with solid ltering capabilities, visualizations such as these provide an
excellent means to perform an exploratory analytics task to determine
Fi
g
ure 8.27 Exam
p
le Process Ma
p
Annotated with Per
f
ormance In
f
ormation
Claim intake
8.6 hrs
66.7 hrs
68.4 hrs
15.8 mins
35 d
77.8 mins
59 hrs
45.4 hrs
3.1 d
5 d
70.2 hrs
24.2 hrs
4.3 hrs 27.6 mins 27.6 mins
43 hrs
29.8 hrs
44.6 hrs
Review Policy
Evaluate claim
Propose settlement
Close claim
Calculate new premium Approve damage payment
Reject claim

212
▸ANALYTI
CS
IN A BI
G
DATA W
O
RL
D
b
ottlenecks and
p
rocess deviations, com
p
ared to havin
g
to work with
at data–based tools (e.
g
., anal
y
zin
g
the ori
g
inal event lo
g
table usin
g
spreadsheet software).
As can be seen from the gures, process discovery provides an
excellent means to perform an initial exploratory analysis of the data
at hand, showing actual and true information. This allows practitio-
ners to quickly determine bottlenecks, deviations, and exceptions in
the day‐to‐day work ows.
Other, more advanced process discovery tools exist to extract
other forms of
p
rocess models. We discuss here the so‐called Al
p
ha
a
l
gorit
h
m, w
h
ic
h
was put
f
orwar
d
b
y Wi
l
van
d
er Aa
l
st as one o
f
t
h
e
rst
f
orma
l
met
h
o
d
s to extract process mo
d
e
l
s containing sp
l
it/join
semantics, meaning t
h
at t
h
is
d
iscovery a
l
gorit
h
m aims to
d
iscover
explicitly which tasks occur in parallel; in the process maps shown in
Fi
g
ures 8.26 and 8.27 , onl
y
hi
g
h level “ ows” between activities are
de
p
icted, which
p
rovides a solid, hi
g
h‐level overview of the
p
rocess
b
ut can be made more speci c.
4
9
The Al
p
ha al
g
orithm assumes three sets of activities: Tw is
t
he
set containin
g
all activities, Ti is the set containin
g
all activities
that occur as a starting activity in a process instance (e.g., “claim
intake”), and To is the set of all activities that occur as an endin
g
activit
y
in a
p
rocess instance (e.
g
., “re
j
ect claim” and “close claim”).
Next, basic ordering relations are determined, starting with
.
It
is said
t
ha
t
ab holds when activit
y
a
directl
y
p
recedes
b
in some
p
rocess instance. Based on this set of orderin
g
s, it is said that ab→
(sequence) holds if and only if abba∧/
.
Also
,
ab# (exclu
-
sion) if and onl
y
if abba
/∧/
and ab|| (inclusion) if and onl
y
if
abba∧. Based on this set of relations, a “footprint” of the log
can be constructed, denoting the relation between each pair of
activities, as de
p
icted in Fi
g
ure 8.28 .
F
i
gure 8.28 Footpr
i
nt Construct
i
on
i
n t
h
e A
l
p
h
a A
l
gor
i
t
h
m
a b c
a #→→
b←#||
c ←|| #

EXAMPLE APPLICATION
S
◂
213
Based on this foot
p
rint, it is
p
ossible to derive semantic relations
b
et
w
een acti
v
ities:
■ ab→
:
a and b follow in sequence
■ abacbc→∧→∧#: choice between b or
c
after
c
a
■ acbcab→∧→∧#:
c
can follow both after
c
a
or
b
■ abacbc→∧→∧||
:
b and
c
are executed both in parallel after
c
a
■ acbcab→∧→∧||
:
c
follows after both
c
a
and
b
are executed in
parallel
T
h
e resu
l
ting process mo
d
e
l
is t
h
en s
h
own as a “wor
k
ow net,” a
speci
c c
l
ass o
f
Petri nets (see Figure 8.29 ). Note t
h
at t
h
e para
ll
e
l
ism
b
etween “ca
l
cu
l
ate new premium” an
d
“approve
d
amage payment”
an
d
t
h
e c
h
oice
b
etween “review po
l
icy” an
d
“eva
l
uate c
l
aim” are now
depicted in an explicit manner.
Process discover
y
is not the onl
y
task that is encom
p
assed b
y
p
ro
-
cess minin
g
. One other
p
articular anal
y
tical task is denoted as con
f
or
-
mance checkin
g
, and this aims to compare an event log as it was executed
in real life with a
g
iven
p
rocess model (which could be either discov
-
ered or
g
iven). This then allows one to
q
uickl
y
p
in
p
oint deviations and
compliance problems.
Consider once more our exam
p
le event lo
g
. When “re
p
la
y
in
g
”
this event lo
g
on the ori
g
inal BPMN model, we immediatel
y
see some
deviations occurring. Figure 8.30 depicts the result after replaying
p
rocess instance Z1004. As can be seen, the re
q
uired activit
y
“eval
-
uate claim” was not executed in this trace, causing a compliance
problem for the execution of “propose settlement.” Conformance
checkin
g
thus
p
rovides a
p
owerful means to immediatel
y
uncover
root causes behind deviations and compliance violations in business
processes.
F
i
gure 8.29 Work
ow Net
f
or the Insurance Case
Claim
Intake
Review
Policy
Evaluate
Claim
Propose
Settlement
Calculate
New Premium
Approve
Damage Payment
Close
Claim
Reject
Claim

Figure 8.30 Conformance Checking
Claim
Intake
Checking instance
Z1004
Claim Intake
Conformant
Review Policy
Conformant
Evaluate Claim
Non-executed
Expected
Propose Settlement
Execution Violation
Approve Pay Damages
Conformant
Dubious
Calculate New Premium
Conformant
Dubious
Close Claim
Conformant
Dubious
Review
Policy
Execution
Violation
Propose
Settlement
Approve
Pay Damages
Reject Claim
Calculate
New Premium
Close
Claim
Evaluate
claim
Missing
Activity
214
EXAMPLE APPLI
C
ATI
O
N
S
◂21
5
This concludes our overview of
p
rocess minin
g
and its common
anal
y
tics tasks. Note that there exist various other
p
rocess anal
y
tics
tasks as well. The following list enumerates a few examples:
■ Rule‐based property veri cation of compliance checking (e.g.,
in an audit context: verifying whether the four‐eyes principle
was applied when needed)
■ Taking into account additional data, other than case identi ers,
activity names, and times; for instance, by also incorporating
information about the workers having executed the tasks
■ Com
b
ining process mining wit
h
socia
l
ana
l
ytics;
f
or instance,
to
d
erive socia
l
networ
k
s exp
l
aining
h
ow peop
l
e wor
k
toget
h
er
■ Com
b
ining process
d
iscovery wit
h
simu
l
ation tec
h
niques to
rapidly iterate on what‐if experiments and to predict the impact
of a
pp
l
y
in
g
a chan
g
e in the
p
rocess
Although Process Mining mainly entails descriptive tasks, such
as ex
p
lorin
g
and extractin
g
p
atterns, techni
q
ues also exist to su
pp
ort
decision makers in
p
redictive anal
y
tics. One
p
articular area of inter-
est has been the prediction of remaining process instance durations
by
learnin
g
p
atterns from historical data. Other a
pp
roaches combine
p
rocess minin
g
with more traditional data minin
g
techni
q
ues, which
will be described further in the next section.
Coming Full Circle: Integrating with Data Analytics
The main difference between process analytics (process mining) and
data anal
y
tics lies in the notion that
p
rocess minin
g
works on two
levels of aggregation. At the bottom level, we nd the various events
relating to certain activities and other additional attributes. By sorting
these events and
g
rou
p
in
g
them based on a case identi er, as done b
y
p
rocess
d
iscover
y
, it
b
ecomes
p
ossi
bl
e to ta
k
e a
p
rocess‐centric view on
t
h
e
d
ata set at
h
an
d
. T
h
ere
f
ore, man
y
p
rocess minin
g
tec
h
ni
q
ues
h
ave
b
een main
l
y
f
ocusing on t
h
is process‐centric view, w
h
i
l
e spen
d
ing
l
ess
time an
d
e
ff
ort to aim to
p
ro
d
uce event‐
g
ranu
l
ar in
f
ormation.
Because o
f
t
h
is as
p
ect, it is stron
gly
a
d
visa
bl
e
f
or
p
ractitioners to
a
d
opt an integrate
d
approac
h
b
y com
b
ining process‐centric tec
h
niques
wit
h
ot
h
er
d
ata ana
ly
tics, as was
d
iscusse
d
t
h
rou
gh
out t
h
is
b
oo
k
. We

216
▸ANALYTI
CS
IN A BI
G
DATA W
O
RL
D
provide a practical example describing how to do so by integrating pro
-
cess minin
g
and anal
y
tics with clusterin
g
and
p
redictive decision trees.
To sketch out the
p
roblem context, consider a
p
rocess mana
g
er
tr
y
in
g
to a
pp
l
y
p
rocess discover
y
to ex
p
lore a ver
y
com
p
lex and ex
-
ible business
p
rocess. Workers are
g
iven man
y
de
g
rees of freedom to
execute particular tasks, with very few imposed rules on how activities
should be ordered. Such
p
rocesses contain a hi
g
h amount of variabilit
y
,
which leads process discovery techniques to extract so‐called spaghetti
models (see Figure 8.31 ).
Clearl
y
, this is an undesirable scenario. Althou
g
h it is
p
ossible to lter
out infrequent paths or activities, one might nevertheless prefer to get a
g
ood overview on how
p
eo
p
le execute their assi
g
ned work without hid
-
in
g
low‐fre
q
uenc
y
behavior that ma
y
si
g
nif
y
both
p
roblematic, rare cases
and also possible strategies to optimize the handling of certain tasks that
have not become common
p
lace
y
et. This is an im
p
ortant note to kee
p
in
mind for an
y
anal
y
tics task: Extractin
g
hi
g
h‐fre
q
uenc
y
p
atterns is crucial
to get a good overview and derive main ndings, but even more impor-
tant is to anal
y
ze data sets based on the im
p
act of
p
atterns—meanin
g
the low fre
q
uent
p
atterns can nevertheless uncover crucial knowled
g
e.
Clustering techniques exist to untangle spaghetti models, such
as the
p
rocess model shown, into multi
p
le smaller models, which all
ca
p
ture a set of behavior and are more understandable. One such tech
-
ni
q
ue, named ActiTraC, incor
p
orates an active learnin
g
techni
q
ue to
per
f
orm t
h
e c
l
ustering, meaning t
h
at c
l
usters are create
d
b
y iterative
l
y
a
pply
in
g
a
p
rocess
d
iscover
y
a
lg
orit
h
m on a
g
rowin
g
num
b
er o
f
p
ro-
cess instances unti
l
it is
d
etermine
d
t
h
at t
h
e
d
erive
d
p
rocess mo
d
e
l
b
ecomes too comp
l
ex an
d
a new c
l
uster is instantiate
d
.
5
0 F
i
gure 8.32
s
h
ows
h
ow t
h
e event
l
o
g
p
revious
ly
s
h
own can
b
e
d
ecom
p
ose
d
into
t
h
e
f
o
ll
owin
g
su
bl
o
g
s wit
h
associate
d
d
iscovere
d
p
rocess mo
d
e
l
s. T
h
e
Figure 8.31 Example Spaghetti Model

EXAMPLE APPLI
C
ATI
O
N
S
◂
217
Fi
g
ure 8.32 Clusterin
g
of Process Instances
A spaghetti model is obtained after applying process discovery on a flexible, unstructured process:
Log is clustered in smaller sublogs based on common behavior:
Unclustered log model
Cluster 1 capturing 74 percent
of process instances
Cluster 1
Mean completion time: 3.3 days
Mean number of workers involved: 2
Involved product types: P201, P202
...
Cluster 2 capturing 11 percent
of process instances
Cluster 3 capturing 4 percent
of process instances
Cluster 4 capturing 11 percent of remaining,
nonfitting, low-frequent process instances
1
Cluster characteristics are analysed to build predictive decision tree:
2
Characteristics of new instances can be predicted:
3
Cluster 2
Cluster 1 Cluster 2 Cluster 3
Attribute 1
Attribute 2 Attribute 3
Cluster 4
Mean completion time: 4.5 days
Mean number of workers involved: 5
Involved product types: P203
...
Cluster 3
Mean completion time: 32.4 days
Mean number of workers involved: 12
Involved product types: P204
...
Cluster 4
Mean completion time: 11.7 days
Mean number of workers involved: 7
Involved product types: P205, P206, P207
...
New Process Instance
Predicted cluster: 2
Expected completion time: 4.5 days
Expected amount of involved workers: 5
Involved product type: P203
...

218
▸ANALYTI
CS
IN A BI
G
DATA W
O
RL
D
discovered
p
rocess models show an easier‐to‐understand view on
t
h
e
d
i
ff
erent t
yp
es o
f
b
e
h
avior containe
d
in t
h
e
d
ata. T
h
e
l
ast c
l
uster
shown here contains all process instances that could not be captured in
one of the simpler clusters and can thus be considered a “rest” category
containing all low‐frequency, rare process variants (extracted with
ActiTraC plugin in ProM software package).
After creating a set of clusters, it is possible to analyze these further
and to derive correlations between the cluster in which an instance
was placed and its characteristics. For example, it is worthwhile to
examine the
p
rocess instances contained in the nal “rest” cluster to
see w
h
et
h
er t
h
ese instances ex
h
i
b
it signi
cant
l
y
d
i
ff
erent run times
(
eit
h
er
l
onger or s
h
orter) t
h
an t
h
e
f
requent instances.
Since it is now possi
bl
e to
l
a
b
e
l
eac
h
process instance
b
ase
d
on t
h
e
clustering, we can also apply predictive analytics in order to construct a
p
redictive classi cation model for new, future
p
rocess instances, based
on the attributes of the
p
rocess when it is created. Fi
g
ure 8.33 shows
how a decision tree can be extracted for an IT incident handling pro-
cess. De
p
endin
g
on the incident t
yp
e, involved
p
roduct, and involved
de
p
artment, it is
p
ossible to
p
redict the cluster with which a
p
articular
instance will match most closely and, as such, derive expected run-
nin
g
time, activit
y
p
ath followed, and other
p
redictive information.
Fi
g
ure 8.33 Example Decision Tree for Describin
g
Clusters
Incident type
Department
Involved
product
Cluster 2
“Bug report”
“Feature request”
“Other”
“Finance,” “HR,” “Sales”
“Marketing,” “Management”
Cluster 4
Cluster 1
“Product A,” “Product E,” “Product F”
“Product B,” “Product C,” “Product D”
Cluster 4
Cluster 3
Standard
behavior,
average
runtime of
one day
“Deviating”
cluster, long
running
time,
varying
activity
sequence
Standard
behavior,
average
runtime of
three days
Standard
behavior,
average
runtime of
two days

EXAMPLE APPLI
C
ATI
O
N
S
◂
219
Decision makers can then a
pp
l
y
this information to or
g
anize an ef -
cient di
v
ision of
w
orkload.
By combining predictive analytics with process analytics, it is
now possible to come full circle when performing analytical tasks in
a business process context. Note that the scope of applications is not
limited to the example previously described. Similar techniques have
also been applied, for example, to:
■ Extract the criteria that determine how a process model will
b
ranch in a choice point
■ Com
b
ine process instance c
l
ustering wit
h
text mining
■ Suggest t
h
e optima
l
route
f
or a process to
f
o
ll
ow
d
uring its exe
-
cu
ti
on
■ Recommend o
p
timal workers to execute a certain task
51
(see
Figure 8.34 )
As a closin
g
note, we draw attention to the fact that this inte
g
rated
a
pp
roach does not onl
y
allow
p
ractitioners and anal
y
sts to “close the
F
ig
ure 8.34 Example Decision Tree
f
or Recommendin
g
Optimal Worker
s
S
ource: A. Kim, J. Obre
g
on, and J. Y. Jun
g
, “Constructin
g
Decision Trees
f
rom Process Lo
g
s
f
or
Per
f
ormer Recommendation,” First International Workshop on Decision Minin
g
& Modelin
g
f
or
Bus
i
ness Processes (DeM
i
MoP
’
13), Be
iji
n
g
, C
hi
na, Au
g
ust 26–30, 2013.
22
0
▸ANALYTI
CS
IN A BI
G
DATA W
O
RL
D
loo
p
” re
g
ardin
g
the set of techni
q
ues bein
g
a
pp
lied (business anal
y
t-
ics,
p
rocess minin
g
, and
p
redictive anal
y
tics), but also enables them
to actively integrate continuous analytics within the actual process
execution. This is contrary to being limited to a post‐hoc exploratory
investigation based on historical, logged data. As such, process
improvement truly becomes an ongoing effort, allowing process own-
ers to implement improvements in a rapid and timely fashion, instead
of relying on reporting–analysis–redesign cycles.
NOTES
1. T. Van Gestel and B. Baesens, Credit Risk Management: Basic Concepts: Financial Risk
Components, Rating Analysis, Models, Economic and Regulatory Capital
(Oxford University
l
Press, 2009); L. C. Thomas, D. Edelman, and J. N. Crook, Credit Scoring and Its
App
lications (Societ
y
for Industrial and A
pp
lied Mathematics, 2002).
2. B. Baesens et al., “Benchmarkin
g
State of the Art Classi cation Al
g
orithms for Credit
Scorin
g
,” Journal o
f
the O
p
erational Research Societ
y
54, no. 6
(
2003
)
: 627–635.
3. T. Van Gestel and B. Baesens
,
Credit Risk Mana
g
ement: Basic Concepts: Financial Risk
Components, Rating Analysis, Models, Economic and Regulatory Capital
(Oxford Universit
y
l
Press, 2009
)
.
4. M. Saerens, P. Latinne, and C. Decaestecker, “Ad
j
ustin
g
the Out
p
uts of a Classi er to
New a Priori Probabilities: A Sim
p
le Procedure,” Neural Com
p
utation 14, no. 1
(
2002
)
:
21–41
.
5. V. Van Vlasselaer et al., “Usin
g
Social Network Knowled
g
e for Detectin
g
S
p
ider Con-
structions in Social Securit
y
Fraud,” in
P
roceedin
g
s of the 2013 IEEE/ACM International
Conference on Advances in Social Network Analysis and Minin
g
(Nia
g
ara Falls, 2013).
I
EEE Com
p
uter Societ
y
.
6. G. J. Cullinan, “Pickin
g
Them b
y
Their Battin
g
Avera
g
es’ Recenc
y
—Fre
q
uenc
y
—
Monetar
y
Method of Controllin
g
Circulation,” Manual Release 2103 (New York:
Direct Mail/Marketin
g
Association, 1977).
7. V. S. Y. Lo, “The True Lift Model—A Novel Data Minin
g
A
pp
roach to Res
p
onse
Modeling in Database Marketing,”
ACM SIGKDD Explorations Newsletter
4
,
no. 2
r
(2002).
8. W. Verbeke et al., “Building Comprehensible Customer Churn Prediction Mod
-
els with Advanced Rule Induction Techni
q
ues,” Ex
p
ert S
y
stems with A
pp
lication
s
38
(
2011
)
: 2354–2364.
9. H.‐S. Kim and C.‐H. Yoon, “Determinants of Subscriber Churn and Customer Lo
y
alt
y
in t
h
e Korean Mo
b
i
l
e Te
l
e
ph
on
y
Mar
k
et,”
T
e
l
ecommunications Po
l
ic
y
28
(
2004
)
:
7
51–7
6
5.
10. S. Y. Lam et a
l
., “Customer Va
l
ue, Satis
f
action, Loya
l
ty, an
d
Switc
h
ing Costs: An
Ill
ustration
f
rom a Business‐to‐Business Service Context,
J
ourna
l
o
f
t
h
e Aca
d
emy
o
f
Mar
k
eting Scienc
e
32, no. 3 (2009): 293–311; B. Huan
g
, M. T. Kec
h
a
d
im, an
d
B. Buc
kl
ey, “Customer C
h
urn Pre
d
iction in Te
l
ecommunications,” Expert
S
ystems
wit
h
App
l
ication
s
39 (2012): 1414–1425; A. A
k
soy et a
l
., “A Cross‐Nationa
l
Investiga-
tion o
f
t
h
e Satis
f
action an
d
Lo
y
a
l
t
y
Lin
k
a
g
e
f
or Mo
b
i
l
e Te
l
ecommunications Services
across Eig
h
t Countries,” Journa
l
o
f
Interactive Mar
k
eting 27
(
2013
)
: 74–82.

EXAMPLE APPLI
C
ATI
O
N
S
◂
221
11. W. Ver
b
e
k
e et a
l
., “Bui
ld
in
g
Com
p
re
h
ensi
bl
e Customer C
h
urn Pre
d
iction Mo
d-
els with Advanced Rule Induction Techni
q
ues,”
E
x
p
ert S
y
stems with A
pp
lications
38
(
2011
)
: 2354–2364.
12. Q. Lu and L. Getoor, “Link‐Based Classi cation Using Labeled and Unlabeled Data,”
i
n Procee
d
ings o
f
t
h
e ICML Wor
k
s
h
op on T
h
e Continuum
f
rom La
b
e
l
e
d
to Un
l
a
b
e
l
e
d
Data
(Washington, DC: ICML, 2003).
13. C. Basu, H. Hirsh, and W. Cohen, “Recommendation as Classi cation: Using Social
and Content‐based Information in Recommendation,” in Proceedings of the Fifteenth
National/Tenth Conference on Arti cial Intelligence/Innovative Applications of Arti cial
Intelligence, American Association for Arti cial Intelligenc
e
(American Association for Arti-
cial Intelligence, Menlo Park, CA, 1998), 714–720; B. N. Miller et al., “ Movielens
Unplugged: Experiences with an Occasionally Connected Recommender System,”
i
n Proceedings of the 8th International Conference on Intelligent User Interfaces (New York,
2003
)
, 263–266. ACM New York, NY, USA.
14. D. Jannach, M. Zanker, and M. Fuchs, “Constraint‐Based Recommendation in
Tourism: A Multi‐Perspective Case Study,” Journal of IT & Touris
m
11, no. 2
(
2009
)
:
139–155; F. Ricci et al., “ITR: A Case‐based Travel Advisory System,” in
P
roceeding
of the 6th European Conference on Case Based Reasoning, ECCBR 2002 (Springer‐Verlag
London, UK 2002
)
, 613–627.
15. M. J. Pazzani, “A Framework for Collaborative, Content‐Based and Demo
g
ra
p
hic
Filtering,”
Arti cial Intelligence Review
13, no. 5–6
(
1999
)
: 393–408.
w
16. J. Schafer et al.
,
C
ollaborative Filterin
g
Recommender Systems, The Adaptive Web
(
2007
)
,
291–324. S
p
rin
g
er‐Verla
g
Berlin, Heidelber
g
2007.
17. I
b
i
d
.
18. I
b
i
d
.
19. F. Cacheda et al., “Com
p
arison of Collaborative Filterin
g
Al
g
orithms: Limitations of
Current Techni
q
ues and Pro
p
osals for Scalable, Hi
g
h‐Performance Recommender
System,”
ACM Transactions on the Web
5, no. 1
(
2011
)
: 1–33.
20. J. Schafer et al.
,
C
ollaborative Filterin
g
Recommender Systems, The Adaptive We
b
(
2007
)
,
291–324. S
p
rin
g
er‐Verla
g
Berlin, Heidelber
g
2007.
21. M. Pazzani and D. Billsus
,
Content‐Based Recommendation S
y
stems, The Ada
p
tive Web
(2007), 325–341. S
p
rin
g
er‐Verla
g
Berlin, Heidelber
g
2007.
22. I
b
i
d
.
23. R. J. Mooney and L. Roy, “Content‐Based Book Recommending Using Learning
for Text Cate
g
orization,” in Proceedin
g
s of the Fifth ACM Conference on Di
g
ital Librar-
ie
s
(2000), 195–204; M. De Gemmis et al., “Preference Learnin
g
in Recommender
Systems,” in Proceedings of Preference Learning (PL‐09), ECML/PKDD‐09 Workshop
(
2009
)
. ACM, New York, NY, USA 2000.
24. M. Pazzani and D. Billsus
,
Content‐Based Recommendation S
y
stems, The Ada
p
tive We
b
(2007), 325–341. S
p
rin
g
er‐Verla
g
Berlin, Heidelber
g
2007.
25. A. Felferni
g
and R. Burke, “Constraint‐Based Recommender S
y
stems: Technolo
g
ies
an
d
Researc
h
Issues
,
” in
P
rocee
d
ings o
f
t
h
e 10t
h
Internationa
l
Con
f
erence on E
l
ectronic
Commerce, ICEC
’
0
8
(New York: ACM, 2008), 1–10.
8
26. R. Bur
k
e, “Hy
b
ri
d
We
b
Recommen
d
er Systems” in
Th
e A
d
aptive We
b
(Spr
i
nger
Ber
l
in/Hei
d
e
lb
erg, 2007), 377–408. Springer Ber
l
in Hei
d
e
lb
erg.
27. P. Me
l
vi
ll
e, R. J. Mooney, an
d
R. Nagarajan, “Content‐Booste
d
Co
ll
a
b
orative
Fi
l
terin
g
f
or Im
p
rove
d
Recommen
d
ations,” in
P
rocee
d
ings o
f
t
h
e Nationa
l
Con
f
erence on
A
rti
cia
l
Inte
ll
igenc
e
(2002), 187–192. American Association
f
or Arti
cia
l
Inte
ll
igence
Men
l
o Par
k
, CA, USA 2002.
222
▸ANALYTICS IN A BIG DATA WORL
D
28. M. Pazzani an
d
D. Bi
ll
sus,
C
ontent‐Base
d
Recommen
d
ation S
y
stems, T
h
e A
d
a
p
tive We
b
(
2007
)
, 325–341.
29. R. Burke, “H
y
brid Web Recommender S
y
stems” in The Ada
p
tive We
b
(S
p
rin
g
er
Berlin/Heidelberg, 2007), 377–408. Springer Berlin Heidelberg.
30. E. Vozalis and K. G. Margaritis, “Analysis of Recommender Systems’ Algorithms,” in
Proceedings of The 6th Hellenic European Conference on Computer Mathematics & Its Applica-
tions (HERCMA
)
(Athens, Greece, 2003). LEA Publishers Printed in Hellas, 2003.
31. Ibid.
32. Ibid.
33. G. Linden, B. Smith, and J. York, “Amazon.com Recommendations: Item‐to‐item
Collaborative Filtering,”
Internet Computing, IEEE
7, no. 1
(
2003
)
: 76–80.
E
34. R. J. Mooney and L. Roy, “Content‐Based Book Recommending Using Learning
for Text Categorization,” in Proceedings of the Fifth ACM Conference on Digital Libraries
(
2000
)
, 195–204.
35. D. Jannach, M. Zanker, and M. Fuchs, “Constraint‐Based Recommendation in
Tourism: A Multi‐Perspective Case Study,” Journal of IT & Touris
m
11, no. 2
(
2009
)
:
139–155.
36. Ricci et al., “ITR: A Case‐based Travel Advisor
y
S
y
stem,” in Proceedin
g
of the 6th
European Conference on Case Based Reasonin
g
, ECCBR 2002 (S
p
rin
g
er‐Verla
g
London,
UK 2002
)
, 613–627.
37. www.di
g
italanal
y
ticsassociation.or
g
38. A. Kaushik
,
Web Anal
y
tics 2.
0
(Wile
y
, 2010).
39. D. Zen
g
et al., “Social Media Anal
y
tics and Intelli
g
ence,”
Intelligent Systems, IEEE
25
,
E
no. 6
(
2010
)
: 13–16.
40. R. Ef n
g
, J. Van Hille
g
ersber
g
, and T. Huibers,
S
ocial Media and Political Partici
p
a-
tion: Are Facebook, Twitter and YouTube Democratizin
g
Our Political Systems? Electroni
c
Partici
p
ation (S
p
rin
g
er Berlin Heidelber
g
, 2011): 25–35.
41. A. Sadilek, H. A. Kautz, and V. Silenzio, “Predictin
g
Disease Transmission from Geo
‐
Ta
gg
ed Micro‐Blo
g
Data,” AAAI 2012.
42. www.facebook.com/advertisin
g
43. www.linkedin.com/advertisin
g
44. http://dev.twitter.com
45. http://developers.facebook.com
46. P. Doreian and F. Stokman, eds., Evolution of Social Networks (Routledge, 1997).
47. http://enemygraph.com
48. W. M. P. Van Der Aalst, Process Mining: Discovery, Conformance and Enhancement o
f
B
usiness
P
rocesses
(S
p
rin
g
er Verla
g
, 2011).
49. W. M. P. Van Der Aalst, A. J. M. M. Wei
j
ters, and L. Maruster, “Work ow Minin
g
:
Discoverin
g
Process Models from Event Lo
g
s,”
I
EEE Transactions on Knowled
g
e and
Data En
g
ineerin
g
16, no. 9
(
2004
)
: 1128–1142; W. M. P. Van Der Aa
l
st, Process Minin
g
:
Discovery, Con
f
ormance an
d
En
h
ancement o
f
Business Processes (Springer Ver
l
ag, 2011).
50. J. De Weer
d
t et a
l
., “Active Trace C
l
ustering
f
or Improve
d
Process Discovery,”
IEEE
Transactions on Know
l
e
d
ge an
d
Data Engineering 25, no. 12
(
2013
)
: 2708–2720.
51. A. Kim, J. O
b
regon, an
d
Y. Jung, “Constructing Decision Trees
f
rom Process Logs
f
or
Per
f
ormer Recommen
d
ation
,
” in Procee
d
ings o
f
t
h
e DeMiMop’13 Wor
k
s
h
op, BPM 2013
Con
f
erence (Bejing, C
h
ina, 2013). Springer.

2
2
3
About the Author
Bart Baesens is an associate
p
rofessor at KU Leuven (Bel
g
ium) and
a lecturer at the Universit
y
of Southam
p
ton (United Kin
g
dom). He
h
as
d
one extensive researc
h
on ana
ly
tics, customer re
l
ations
h
i
p
man-
a
g
ement, we
b
ana
ly
tics,
f
rau
d
d
etection, an
d
cre
d
it ris
k
mana
g
ement
(see www.
d
ataminin
g
a
pp
s.com ). His
n
d
in
g
s
h
ave
b
een
p
u
bl
is
h
e
d
in
well‐known international journals (e.g.,
Machine Learning, Management
Science
,
IEEE Transactions on Neural Networks
,
IEEE Transactions on Knowl
-
edge and Data Engineering, IEEE Transactions on Evolutionary Computation
,
and Journal of Machine Learning Research ) and
p
resented at to
p
interna
-
tional conferences. He is also co‐author of the book Credit Risk Man-
agement: Basic Concepts (Oxford University Press, 2008). He regularly
tutors, advises, and
p
rovides consultin
g
su
pp
ort to international rms
with res
p
ect to their anal
y
tics and credit risk mana
g
ement strate
gy
.

225
A
A priori property, 94
A/B testing, 168, 194–195
Accessibility, 151
Accountability principle, 157
Accuracy ratio (AR), 77, 139
Accuracy, 150, 151, 173
Action plan, 144
ActiTrac, 216
Activation function, 49
Active learning, 216
Actuarial method, 110
Adaboost, 65–66
Alpha algorithm, 212
Alter, 129
Amazon, 184
Analytical model requirements, 9–10
Analytics, 7–9
process model, 4–6
Anatomization, 158
ANOVA, 30, 47
Apache/NCSA, 185
API, 200
Apriori algorithm, 90, 93
Area under the ROC curve (AUC), 75,
117, 139, 182
benchmarks, 76
Assignment decision, 42
Association rules, 87–93
extensions, 92–93
mining, 90–91
multilevel, 93
post processing, 92
Attrition, 172
B
Backpropagation learning, 50
B2B advertisement tools, 197
Backtesting, 134–146
classi cation models, 136–142
clustering models, 143–144
framework, 144–146
policy, 144
regression models, 143
Bagging, 65
Bar chart, 18
Basel II, 36, 161
Basel III, 36, 161
Basic nomenclature, 4
Behavioral scoring, 2
Behavioral targeting, 187
Believability, 151
Benchmark
expert–based, 147
external, 146
Benchmarking, 146–149, 192
Best matching unit (BMU), 100
Betweenness, 121
Bias term, 48
Bid term, 194
Bigraph, 130–132
Binary rating, 177
Binning, 24
Binomial test, 140
Black box, 55
techniques, 52
Board of Directors, 159
Boosting, 65
Bootstrapping procedures, 73
Bounce rate, 190
Box plot, 21
Brier score, 139
Bureau-based inference, 16
Business activity monitoring (BAM), 207
Business expert, 6
Business intelligence, 206
Business process analytics, 204–220
Business process lifecycle, 206
Business process management (BPM),
204
Business process modeling language
(BPMN), 204
INDEX
226 ▸INDEX
Business process, 204
Business relevance, 9, 133
Business-to-Business (B2B), 199
Business-to-Consumer (B2C), 199
C
C4.5 (See5), 42
Capping, 23
Cart abandonment rate, 191
CART, 42
Case-based recommenders, 180
Categorization, 24–28
Censoring, 105
interval, 106
left, 105
right, 105
Centrality measures, 121
CHAID, 42
Champion-challenger, 147
Checkout abandonment rate, 191
Chief Analytics Of cer (CAO), 159
Chi-squared, 43
analysis, 25
Churn prediction, 134, 172–176
models, 173
process, 175
Churn
active, 35
expected, 36
forced, 36
passive, 36
Classi cation accuracy, 74
Classi cation error, 74
Classing, 24
Click density, 193
Clique, 168
Cloglog, 42
Closeness, 121
Clustering, 216
Clustering, Using and Interpreting,
102–104
Coarse classi cation, 24
Cold start problem, 177, 179, 180, 181
Collaborative ltering, 176–178
Collection limitation principle, 156
Collective inference, 123–124, 128
Column completeness, 150
Combined log format, 185
Commercial software, 153
Common log format, 185
Community mining, 122
Competing risks, 116
Completeness, 150, 151
Compliance, 213
Component plane, 101
Comprehensibility, 133, 173, 174
Conditional density, 108
Con dence, 87, 89, 94–95
Conformance checking, 213
Confusion matrix, 74
Conjugate gradient, 50
Consistency, 152
Constraint-based recommenders, 180
Content based ltering, 178–180
Continuous process improvement, 204
Control group, 170
Conversion rate, 191, 197
Convex optimization, 64
Cookie stealing, 187
Cookies, 186
rst-party, 187
persistent, 187
session, 187
third-party, 187
Corporate governance, 159
Corporate performance management
(CPM), 207
Correlational behavior, 123
Corruption perception index (CPI), 101
Coverage, 182
Cramer’s V, 31
Crawl statistics report, 193
Credit conversion factor (CCF), 165
Credit rating agencies, 146
Credit risk modeling, 133, 146, 161–
165
Credit scoring, 15, 36, 58
Cross-validation, 72
Leave-one-out, 72
Strati ed, 72
Cumulative accuracy pro le (CAP),
77, 137
Customer acquisition, 203
Customer attrition, 35
Customer lifetime value (CLV), 4,
35–36
Customer retention, 203
Cutoff, 74
D
Dashboard, 191, 207
Data cleaning, 5
INDEX ◂227
Data mining, 7
Data poolers, 14
Data publisher, 157
Data quality, 149–152
dimensions, 150
principle, 156
Data science, 7
Data set split up, 71
Data sparsity, 183
Data stability, 136, 143
Data warehouse administrator, 6
Database, 6
Decimal scaling, 24
Decision trees, 42–48, 65, 67, 104, 218
multiclass, 69
Decompositional techniques, 52
Defection, 172
Degree, 121
Demographic ltering, 180
Dendrogram, 98–99, 123
Department of Homeland Security, 156
Dependent sorting, 169
Development sample, 71
Deviation index, 136
Difference score model, 172
Digital analytics association (DAA), 185
Digital dashboard, 144
Disco, 211
Distance measures
Euclidean, 97, 100
Kolmogorov-Smirnov, 79, 137
Mahalanobis, 80
Manhattan, 97
Distribution
Bernoulli, 39
Binomial, 140
Exponential, 111–112
Generalized gamma, 113
Normal, 140
Weibull, 112
Divergence metric, 80
Document management system, 159
Documentation test, 159
Doubling amount, 41
E
Economic cost, 10, 133
Edge, 119
Effects
external, 135
internal, 135
Ego, 129
Egonet, 129, 167
Ensemble
methods, 64–65
model, 66
Entropy, 43
Epochs, 50
Equal frequency binning, 25
Equal interval binning, 25
Estimation sample, 71
Evaluating predictive models, 71–83
Event log, 209
Event time distribution, 106
cumulative, 107
discrete, 107
Expert-based data, 14
Explicit rating, 177
Exploratory analysis, 5
Exploratory statistical analysis, 17–19
Exposure at default (EAD), 165
Extended log le format, 185
F
F1 metric, 183
Facebook advertising, 197
Fair Information Practice Principles
(FIPPs), 156
Farness, 121
Feature space, 61, 62, 64
Featurization, 126
FICO score, 14, 146
Fidelity, 55
Filters, 29
Fireclick, 192
Fisher score, 30
Four-eyes principle, 215
Fraud detection, 3, 36, 133, 165–168
Fraudulent degree, 167
Frequent item set, 89, 90
F-test, 144
Funnel plot, 193
G
Gain, 45
Garbage in, garbage out (GIGO), 13, 149
Gartner, 1
Generalization, 158
Geodesic, 121
Gini coef cient, 77
Gini, 43
Girvan-Newman algorithm, 123
228 ▸INDEX
Global minimum, 50
Goodman-Kruskal ϒ, 147
Google AdWords, 193
Google Analytics benchmarking
service, 192
Google analytics, 188
Google webmaster tools, 193
Googlebot, 186
Graph theoretic center, 121
Graph
bipartite, 131
unipartite, 130
Gross response, 36
Gross purchase rate, 170
Grouping, 24
Guilt by association, 124
H
Hazard function, 107
cumulative, 113
Hazard ratio, 115–116
Hazard shapes
constant, 108
convex bathtub, 108
decreasing, 108
increasing, 108
Hidden layer, 49
Heat map, 193
Hidden neurons, 51
Hierarchical clustering, 96–99
agglomerative, 96
divisive, 96
Histogram, 18, 21, 143
Hit set, 183
Hold out sample, 71
Homophily, 124, 129, 174, 203
Hosmer-Lemeshow test, 141
HTTP request, 185
HTTP status code, 186
Hybrid ltering, 181–182
I
Implicit rating, 177
Impurity, 43
Imputation, 19
Inclusion ratio, 193
Incremental impact, 170
Independent sorting, 169
Individual participation principle, 157
Information value, 30, 136
Input layer, 49
Insurance claim handling process, 209
Insurance fraud detection, 4
Intelligent Travel Recommender (ITR),
184
Interestingness measure, 92
Interpretability, 9, 52, 55, 64, 117, 133,
151
Interquartile range, 22
Intertransaction patterns, 94
Intratransaction patterns, 94
IP address, 186
Item-based collaborative ltering, 176
Iterative algorithm, 50
Iterative classi cation, 128
J
Job pro les, 6–7
Justi ability, 9, 133
K
Kaplan Meier analysis, 109–110
KDnuggets, 1, 2, 153
Kendall’s τ, 147
Kernel function, 61–62
Keyword position report, 194
Kite network, 121–122
K-means clustering, 99
Knowledge diamonds, 5
Knowledge discovery, 7
Knowledge-based ltering, 180–181
L
Lagrangian multipliers, 62
Lagrangian optimization, 60–61, 64
Landing page, 194
Leaf nodes, 42
Legal experts, 6
Levenberg-Marquardt, 50
Life table method, 110
Lift curve, 76
Lift measure, 87, 91–92
Likelihood ratio statistic, 110
Likelihood ratio test, 110, 113–114
Linear decision boundary, 41
Linear kernel, 62
Linear programming, 58
Linear regression, 38
Link characteristic
binary-link, 126
count-link, 126
mode-link, 126
INDEX ◂229
Linkage
average, 98
centroid, 98
complete, 98
single, 97
Ward’s, 98
Local minima, 50
Link prediction, 203
LinkedIn campaign manager, 199
Local model, 123
Log entry, 186
Log le, 185
Log format, 185
Logistic regression, 39, 48, 126, 161
cumulative, 68
multiclass, 67–69
relational, 126
Logit, 40, 41
Log-rank test, 110
Loopy belief propagation, 128
Lorenz curve, 77
Loss given default (LGD), 35, 37, 165
M
Mantel-Haenzel test, 110
Margin, 6, 58
Market basket analysis, 93
Markov property, 124
Matlab, 153
Maximum likelihood, 41, 68–69, 112
nonparametric, 109
Mean absolute deviation (MAD), 143,
182
Mean squared error (MSE), 46, 83,
143
Medical diagnosis, 133
Memoryless property, 111
Microsoft Excel, 155
Microsoft, 153
Min/max standardization, 24
Missing values, 19–20
Model
board, 159
calibration, 143
monitoring, 134
performance, 55
ranking, 136, 143
Monotonic relationship, 147
Model design and documentation,
158–159
Moody’s RiskCalc, 42
Multiclass
classi cation techniques, 67
confusion matrix, 80
neural networks, 69–70
support vector machines, 70
Multilayer perceptron (MLP), 49
Multivariate outliers, 20
Multivariate testing, 168, 194–195
Multiway splits, 46
N
Navigation analysis, 192–193
Neighbor-based algorithm, 177
Neighborhood function, 101
Net lift response modeling, 168–172
Net response, 36
Network analytics, 202–204
Network model, 124
Neural network, 48–57, 62
Neuron, 48
Newton Raphson optimization, 113
Next best offer, 3, 93
Node, 119
Nonlinear transformation function, 49
Nonmonotonicity, 25
Notch difference graph, 80
O
Objectivity, 151
Odds ratio, 41
OLAP, 18, 192
OLTP, 14
One-versus-all, 70
One-versus-one, 70
Online analytical processing (OLAP), 207
Open source, 153
Openness principle, 157
Operational ef ciency, 10, 133
Opinion mining, 200
Organization for Economic
Cooperation and Development
(OECD), 156
Outlier detection and treatment, 20–24
Output layer, 49
Over tting, 45, 66
Oversampling, 166
Ownership, 159
P
Packet snif ng, 188
Page overlay, 193
230 ▸INDEX
Page tagging, 187
Page view, 188
Pairs
concordant, 148
discordant, 148
Partial likelihood estimation, 116
Partial pro le, 155
Path analysis, 192
Pay per click (PPC), 193
Pearson correlation, 29, 83, 143
Pedagogical rule extraction, 55
Pedagogical techniques, 52
Performance measures for classi cation
models, 74–82
Performance measures for regression
models, 83
Performance metrics, 71
Permutation, 158
Perturbation, 158
Petri net, 213
Pie chart, 17
Pittcult, 184
Pivot tables, 27
Polynomial kernel, 62
Polysemous word, 178
Population completeness, 150
Posterior class probabilities, 136
Power curve, 77
Precision, 183
Predictive and descriptive analytics, 8
Principal component analysis, 67
Privacy Act, 156
Privacy preserving data mining, 157
Privacy, 7, 15, 155–158, 178, 204
Probabilistic relational neighbor
classi er, 125–126
Probability of default (PD), 163, 164
Probit, 42
Process discovery, 208
Process intelligence, 206–208
Process map, 210
Process mining, 208–215
Product limit estimator, 109
Proportional hazards
assumption, 116
hazards regression, 114–116
Publicly available data, 15
Purpose speci cation principle, 156
Q
Quadratic programming problem,
60–61
Qualitative checks, 144
Quasi-identi er, 157
R
R, 153
Radial basis function, 62
Random forests, 65–67
Recall, 183
Receiver operating characteristic
(ROC), 75, 117, 137
Recommender systems, 93, 176–185
Recursive partitioning algorithms
(RPAs), 42
Referrer, 186
Regression tree, 46, 65
Regulation, 10, 156
Regulatory compliance, 32, 133
Reject inference, 16
Relational neighbor classi er, 124
Relaxation labeling, 128
Relevancy, 151
Reputation, 151
Response modeling, 2, 36, 133,
168
Response time, 183
Retention modeling, 133
RFM (recency, frequency, monetary),
17, 169
Risk rating, 164
Robot report, 193
Robot, 193
Roll rate analysis, 37
Rotation forests, 67
R-squared, 83, 143
Rule
antecedent, 89
consequent, 89
extraction, 52
set, 46
S
Safety safeguards principle, 157
Sample variation, 134
Sampling, 15–16
bias, 15
Gibbs, 128
strati ed, 16
Scatter plot, 18, 83, 143
SAS, 153
Scalar rating, 177
Schema completeness, 150
Scorecard scaling, 162
INDEX ◂231
Scorecard, 161, 207
Application, 161
Behavioral, 163
Scoring, 136
Scree plot, 98–99
Search Engine Marketing Analytics,
193–194
Search engine optimization (SEO), 193
Search term, 194
Security, 151
Segmentation, 32–33, 48, 95–96, 192
Self-organizing map (SOM), 100–102
Senior management, 159
Sensitivity, 74
analysis, 92
Sequence rules, 94–95
Sentiment analysis, 200–202
Session, 187, 189
Sessionization, 189
Sigmoid transformation, 23
Sign operator, 60
Similarity measure, 177
Site search, 192
quality, 192
report, 192
usage, 192
Six sigma, 204
Small data sets, 72
Social ltering, 176
Social media analytics, 3, 195–204
Social network, 215
learning, 123–124, 165
metrics, 121–123
Sociogram, 120
Software, 153–155
commercial, 153
open-source, 153
Sparseness property, 62
Spaghetti model, 216
Sparse data, 177
Spearman’s rank correlation, 147
Speci city, 74
Spider construction, 167
Splitting decision, 42
Splitting up data set, 71–74
SPSS, 153
Squashing, 49
Standardizing data, 24
Statistical performance, 9, 133
Stemming, 201
Stopping criterion, 45
Stopping decision, 42, 47
Stopword, 201
Supervised learning, 165
Support vector machines, 58–64
Support vectors, 60, 62
Support, 87, 89, 94–95
Suppression, 158
Survival analysis
evaluation, 117
measurements, 106–109
parametric, 111–114
semiparametric, 114–116
Survival function, 107
baseline, 116
System stability index (SSI), 136,
143
Swing clients, 170
Synonym, 178
T
Target
de nition, 35–38
variable, 87
Test sample, 71
Test group, 170
Tie strength prediction, 203
Timeliness, 152
Time-varying covariates, 106, 116
Tool vendors, 7
Top decile lift, 76
Top-N recommendation, 183
Total data quality management
program, 152
Total quality management (TQM), 204
Traf c light indicator approach, 135,
137
Training sample, 45, 71
Training set, 51
Transaction identi er, 87
Transactional data, 14
Transform
logarithmic, 112
Trend analysis, 191
Triangle, 168
Truncation, 23
t-test, 143–144
Two-stage model, 52, 55
Types of data sources, 13–15
U
U-matrix, 101
Unary rating, 177
Undersampling, 166
232 ▸INDEX
Univariate
correlations, 29
outliers, 20
Universal approximation, 64
Universal approximators, 49
Unstructured data, 14
Unsupervised learning, 87, 100, 166
US Government Accountability Of ce,
156
Use limitation principle, 156
User agent, 186
User-based collaborative ltering, 176
User-item matrix, 177
V
Validation sample, 45
Validation set, 51
Validation
out-of-sample, 134
out-of-sample, out-of-time, 134
out-of-universe, 134
Value-added, 151
Vantage score, 146
Variable interactions, 32
Variable selection, 29–32
Vertex, 119
Virtual advisor, 184
Visit, 188
Visitors, 190
New, 190
Return, 190
Unique, 190
Visual data exploration, 17–19
W
W3C, 185
Weak classi er, 66
Web analytics, 4, 94, 185–195
Web beacon, 188
Web data collection, 185–188
Web KPI, 188–191
Web server log analysis, 185
Weight regularization, 51
Weighted average cost of capital,
37
Weights of evidence, 28–29
Weka, 153
White box model, 48
Wilcoxon test, 110
Winner take all learning, 70
Winsorizing, 23
Withdrawal inference, 16
Work ow net, 213
Y
Yahoo Search Marketing, 193
Z
z-score standardization, 24
z-scores, 22